Anusplin44 User Guide
User Manual:
Open the PDF directly: View PDF
.
Page Count: 55

THE AUSTRALIAN NATIONAL UNIVERSITY
FENNER SCHOOL OF ENVIRONMENT AND SOCIETY
CANBERRA
ANUSPLIN VERSION 4.4
USER GUIDE
Michael F. Hutchinson and Tingbao Xu
The ANUSPLIN package contains FORTRAN programs for fitting surfaces to noisy
data as functions of one or more independent variables. The package includes programs
for interrogating the fitted surfaces in both point and grid form. Procedures for
calculating standard error surfaces have also been developed.
The programs are normally distributed as binary executables for:
All Microsoft Windows operating systems with 64 bit or 32 bit hardware.
Linux on Intel or AMD hardware.
Last revision to this document: 23 August 2013
ANUSPLIN Version 4.4 II
The publishing program of the Fenner School of Environment and Society at the
Australian National University is designed to present the results of the School’s research
and the proceedings of conferences and workshops. Views expressed in Fenner School
publications are the views of the authors and are not necessarily those of the School or
any associated institution.
Director: Prof Stephen Dovers
Executive Officer: Suzanne Mendes
© FSES 2013
This book is copyright. Apart from any fair dealing for the purposes of study, research,
criticism or review as permitted under the Copyright Act, no part may be reproduced by
any process without permission. Enquiries should be made to the publisher.
All FSES publications are available from:
Publications Section
Fenner School of Environment and Society
Australian National University
Canberra ACT 0200
Tel. +61 2 6125 2579
Fax +61 2 6125 0746
URL: fennerschool.anu.edu.au
ANUSPLIN Version 4.4 III
TABLE OF CONTENTS
INTRODUCTION ......................................................................................................... 1
PROGRAM SUMMARY .............................................................................................. 3
SPLINE .......................................................................................................................... 5
Program Inputs .......................................................................................................... 5
Program Outputs ........................................................................................................ 6
Knot Selection ........................................................................................................... 6
Interpretation of Output Statistics ............................................................................. 7
Calculation of Standard Errors ................................................................................ 10
Dependent Variable Transformations ...................................................................... 11
Fitting Climate Surfaces .......................................................................................... 12
SPLINE User Directives .............................................................................................. 14
GCVGML User Directives .......................................................................................... 19
SELNOT User Directives ............................................................................................ 20
ADDNOT User Directives .......................................................................................... 23
LAPPNT User Directives ............................................................................................ 24
LAPGRD User Directives ........................................................................................... 26
ANNOTATED EXAMPLES ...................................................................................... 30
Spline smoothing of uni-variate data ....................................................................... 31
Partial spline smoothing of monthly mean temperature data .................................. 39
Tri-variate spline smoothing of monthly mean precipitation data using knots and
the square root transformation ................................................................................. 44
Bi-variate and tri-variate spline smoothing of monthly mean solar radiation data
using surface independent variables ........................................................................ 47
REFERENCES ............................................................................................................ 50
ANUSPLIN Version 4.4
1
INTRODUCTION
The aim of the ANUSPLIN package is to provide a facility for transparent analysis and interpolation
of noisy multi-variate data using thin plate smoothing splines. The package supports this process by
providing comprehensive statistical analyses, data diagnostics and spatially distributed standard
errors. It also supports flexible data input and surface interrogation procedures.
The original thin plate (formerly Laplacian) smoothing spline surface fitting technique was described
by Wahba (1979), with modifications for larger data sets due to Bates and Wahba (1982), Elden
(1984), Hutchinson (1984) and Hutchinson and de Hoog (1985). The package also supports the
extension to partial thin plate splines based on Bates et al. (1987). This allows for the incorporation
of parametric linear sub-models (or covariates), in addition to the independent spline variables. This
is a robust way of allowing for additional dependencies, provided a parametric form for these
dependencies can be determined. In the limiting case of no independent spline variables (not
currently permitted), the procedure would become simple multi-variate linear regression.
Thin plate smoothing splines can be viewed as a generalisation of standard multi-variate linear
regression, in which the parametric model is replaced by a suitably smooth non-parametric function.
The degree of smoothness, or inversely the degree of complexity, of the fitted function is usually
determined automatically from the data by minimising a measure of predictive error of the fitted
surface given by the generalised cross validation (GCV). Theoretical justification of the GCV and
demonstration of its performance on simulated data have been given by Craven and Wahba (1979).
An alternative criterion is to minimise the generalised maximum likelihood (GML) developed by
Wahba (1985,1990). This is based on a Bayesian formulation for the thin plate smoothing spline
model and has been found to be superior to GCV in some cases (Kohn et al. 1991). Both criteria are
offered in this version of ANUSPLIN.
A comprehensive introduction to the technique of thin plate smoothing splines, with various
extensions, is given in Wahba (1990). A brief overview of the basic theory and applications to
spatial interpolation of monthly mean climate is given in Hutchinson (1991a). These interpolated
monthly mean climate surfaces have provided critical underpinning for bioclimatic analyses and
natural resource modelling more generally (Booth et al. 2013, Xu and Hutchinson 2011,2013). More
comprehensive discussion of the algorithms and associated statistical analyses, and comparisons with
kriging, are given in Hutchinson (1993) and Hutchinson Gessler (1994). Applications to annual,
monthly and daily climate data have been described by Hutchinson (1995, 1998ab), Price et al.
(2000), Hutchinson et al. (2009) and McKenney et al. (2011). The book by Schimek (2000)
provides a good overview of the subject of smoothing and non-parametric regression with extensive
references.
It is often convenient, particularly when processing climate data, to process several surfaces
simultaneously. If the independent variables and the relative weightings of the data are the same for
each surface, and there are no missing data values, then many surfaces can be calculated for little
more computation than one surface. ANUSPLIN allows for arbitrarily many such surfaces with
significant savings in computation. ANUSPLIN also introduces the concept of "surface independent
variables", to accommodate independent variables that change systematically from surface to
surface. ANUSPLIN permits systematic interrogation of these surfaces, and their standard errors, in
both point and grid form.
ANUSPLIN also permits transformations of both independent and dependent variables and permits
processing of data sets with missing data values. When a transformation is applied to the dependent
ANUSPLIN Version 4.4
2
variable ANUSPLIN permits back-transformation of the fitted surfaces, calculates the corresponding
standard errors, and corrects for the small bias that these transformations induce. This has been
found to be particularly convenient when fitting surfaces to precipitation data and other data that are
naturally positive or non-negative.
A summary of the six programs that make up the ANUSPLIN package is tabulated in the following
section, accompanied by a flow chart showing the main connections between the programs. This is
followed by detailed documentation for each program in the package. The User Guide concludes
with a comprehensive discussion of example smoothing spline analyses of uni-variate data and
multi-variate climate data. The data supporting these analyses are supplied with the package. These
analyses can be used as a tutorial on the basic concepts of data smoothing, with particular
applications to the spatial interpolation of climate.

ANUSPLIN Version 4.4
3
PROGRAM SUMMARY
Table 1. The six programs making up the ANUSPLIN package.
PROGRAM
DESCRIPTION
SPLINE
A program that fits an arbitrary number of (partial) thin plate
smoothing spline functions of one or more independent
variables. Suitable for data sets with up to about 10,000 points
although data sets can have arbitrarily many points. It uses
knots either determined directly by SPLINE itself or from the
output of either SELNOT or ADDNOT. The knots are chosen
from the data points to match the complexity of the fitted
surface. There should normally be no more than about 2000 to
3000 knots, although arbitrarily large knot sets are permitted.
The degree of data smoothing is normally determined by
minimising the generalised cross validation (GCV) or the
generalised maximum likelihood (GML) of the fitted surface.
SELNOT
Selects an initial set of knots for use by SPLINE. Now rarely
used. It can be useful for specifying a single knot set for a very
large data set that is to be processed by SPLINE in overlapping
tiles. It can also be used to select a spatially representative
subset of a data set for spatially unbiased withheld data
assessment of surface accuracy.
ADDNOT
Updates a knot index file when additional knots are selected
from the ranked residual list produced by SPLINE.
GCVGML
Calculates the GCV or GML for each surface, and the average
GCV or GML over all surfaces, for a range of values of the
smoothing parameter. It can be applied to optimisation
parameters produced by SPLINE. The GCV or GML values
are written to a file for inspection and plotting.
LAPPNT
Calculates values and Bayesian standard error estimates of
partial thin plate smoothing spline surfaces at points supplied in
a file.
LAPGRD
Calculates values and Bayesian standard error estimates of
partial thin plate smoothing spline surfaces on a regular
rectangular grid.
The flow chart in Figure 1 shows the main data flows through the programs described in Table 1.
The overall analysis proceeds from point data to output point and grid files suitable for analysis and
display by a geographic information system (GIS) and other analysis packages. The analyses by
SPLINE produce output files that provide statistical analyses, support detection of data errors, an
important phase of the analysis, and facilitate determination of additional knots by ADDNOT. The
output surface coefficients and error covariance matrices enable systematic interrogation of the fitted
surfaces by LAPPNT and LAPGRD. The GCV or GML files output by GCVGML can also assist
detection of data errors and revision of the specifications of the spline model.

ANUSPLIN Version 4.4
4
Figure 1. Main data flows through the ANUSPLIN package. The procedure for choosing and
updating knot sets is described in a following section. Knot selection is also demonstrated in the
provided annotated examples.
ANUSPLIN Version 4.4
5
SPLINE
SPLINE is a FORTRAN 95 program that fits partial thin plate smoothing spline surfaces to multi-
variate noisy data. It fits partial thin plate smoothing spline surfaces, constructed from a set of knots,
to multi-variate noisy data. The knots are chosen from the data points, either by the SPLINE program
itself, or by SELNOT. It is important to note that knots are only used to limit the complexity of the
fitted surface. No matter what size the knot set, all data points are used to calculate the fitted
surface. Knot sets can also be augmented by the ADDNOT program. ADDNOT can choose
additional knots from the largest residuals of an earlier run of SPLINE. The computation time of
SPLINE is proportional to the cube of the number of knots, so it is normally beneficial to limit the
number of knots to the minimum needed to match the complexity of the fitted surface. Limited knot
sets can also enable robust analyses of poor quality data. Further advice on knot selection is given in
a later section, and is demonstrated in the annotated examples.
User directives for the program are read from standard input and output statistics are written to
standard output. Users are strongly advised to either use the Menu Interface provided with
ANUSPLIN package, or to use a command file for the user directives, so that program output can be
saved in an output log file. The log file provides a record of the directives supplied to the program
and provides essential statistical analyses of the fitted surfaces, standard error estimates and a sorted
list of the largest residuals. The Menu Interface also permits log files to be saved.
To run the program from a command-line shell type, for example:
spline < job.cmt > job.log
where job.cmt is an input command text file and job.log is the output log file.
Program Inputs
These include the numbers of independent spline variables and covariates, the lower and upper limits
for each independent variable, optional transformations of each independent variable, and of the
dependent variable, the order of derivative to be minimised, the number of surfaces, and the method
to be used to determine the amount of data smoothing for each surface. Input and output file
specifications are also required. Data points at positions that lie outside the user supplied
independent variable limits are ignored. These limits can be used to fit a surface to a subset of the
data without having to create a separate data file. These limits may include margins to allow for the
creation of overlapping surface patches. This can be required for very large data sets. The user-
supplied limits also give a simple check on the specified data format and the order of the independent
variables in the data file. An error in these specifications would be indicated if fewer than the
expected number data points were selected. See the annotated examples for further discussion of
program inputs.
With the incorporation of standard FORTRAN 95 ANUSPLIN has dynamically allocated memory
for most data and working arrays. Accordingly, SPLINE can accommodate arbitrarily many surfaces
fitted to arbitrary numbers of data points. However, it is advisable to limit the number of data points
to no more than about 10,000 data points and to limit the number of knots to no more than 2000 to
3000 points, provided the number of knots is sufficient to adequately approximate the fitted spline
function. The main storage requirement for SPLINE is proportional to the square of the number of
knots and the processing time is proportional to cube of the number of knots. The latter is required
to perform a tri-diagonal decomposition of a matrix of order the number of knots. The required
ANUSPLIN Version 4.4
6
linear algebra routines are contained within the double precision LINPACK library (Dongarra et al.,
1979), with amendments to incorporate standard vector arithmetical routines in FORTRAN 95.
The SPLINE program permits data sets containing coincident data points and with missing data
values.
Program Outputs
Summary statistics and a list of the largest residuals, ranked in descending order, are always written
to standard output that should always be saved in an output log file. The ranked list of largest
residuals is particularly useful in detecting data errors, especially when fitting a surface to a new data
set. A list of the data and fitted values with Bayesian standard error estimates may also be written to
an output list file. This can also assist in the detection of data errors. Optimisation parameters, that
are used to determine the optimum smoothing parameter, may also be written for input to GCVGML.
The program can also provide cross validation residuals for the data points and summary statistics
for points in a test data file. These permit detailed assessment of predictive errors and overall quality
of the fitted surfaces. See the annotated examples for further discussion of program outputs.
Files containing the coefficients of the fitted surfaces and the Bayesian error covariance matrices of
the fitted surface coefficients may also be written. These surface coefficients and error covariance
matrices are used to calculate values and standard errors of the fitted surfaces by LAPGRD and
LAPPNT.
Knot Selection
For data sets with no more than a few hundred data points it is normally recommended to select
every data point as a knot. This can be done by simply specifying the number of knots to be
calculated by SPLINE to a number at least as large as the number of data points. However for larger
data sets, and for data sets with poor quality data, it is normally recommended to choose the knots as
a distinct subset of the data. This can significantly reduce computation time for larger data sets, and
provide a robust analysis in the presence of poor quality data.
It should be noted that the degree of data smoothing is normally optimised to minimise the predictive
error of the fitted surfaces. This becomes independent of the number of knots once the number of
knots is sufficient to capture the information in the data. Thus, knot sets cannot be increased in size
indefinitely to “improve” the fit of the surfaces. This is illustrated in command 7 of the first set of
annotated examples (sine20.cmt). In this example a spline curve calculated using just 20 knots is
virtually indistinguishable from the spline curve calculated using all 101 data points as knots.
The following, somewhat heuristic, procedure for knot selection has been found to work well in
practice:
1. Specify an initial number of knots in the SPLINE run itself, or less commonly, use SELNOT to
select an initial knot set for a very large data set. The knots are selected to equi-sample the
independent spline variable space covered by the data points. When choosing knots as a subset of
the data points, a typical initial set of knots may be around 1/4 to 1/3 of the size of the data set.
However the number of knots required really depends on the spatial complexity of the data being
fitted, with more knots required for more complex surfaces. If the signal of the fitted surface is
found to be within 10 to 20% of the number of knots (the maximum possible signal), then the
process should be re-started with a larger initial knot set. The process should also be re-started with

ANUSPLIN Version 4.4
7
a larger initial knot set if the ranked large residual list indicates large outliers for apparently valid
data points for more than around 5% of the number of knots. These actions comprise the left hand
option illustrated in Figure 1.
2. Run SPLINE, with the output list of data and fitted values, and examine the largest residuals for
data errors. Re-fit the surface if necessary after data errors have been corrected. If there is a
moderate number of remaining large data residuals that appear to be associated with valid data,
typically less than 5% of the number of knots, the ADDNOT program can be used to add to the knot
index file the indices of the largest aberrant residuals that are not already knots. The surface can then
be re-fitted using these additional knots. This is the right hand option illustrated in Figure 1. These
indices may be read by ADDNOT from the large residual list output by SPLINE. The number of
additional knots selected by ADDNOT should normally be no more than around 1-2% of the number
of knots. Knot indices may also be added to the knot index file by supplying knot indices directly to
ADDNOT but this is not generally recommended. Residuals that are already associated with a knot
are identified by a minus sign, both in the output ranked residual list in the SPLINE log file, and in
the output list file of data and fitted values. ADDNOT ignores those residuals already associated
with a knot when adding new knots.
3. Repeat the procedure of adding to the knot list the indices of the largest aberrant residuals and
re-fitting the surface until the solution stabilises or the variance estimates output by the program are
in approximate agreement with a priori estimates. This should normally be done only once or twice,
since there is a risk of overfitting to erroneous data if it is done too many times, especially if there is
short range correlation in the data. For large data sets, where it becomes critical to choose knots
carefully, two successive additions of 1% of the number of knots can make an effective choice of the
additional knots.
Interpretation of Output Statistics
The output statistics are best interpreted in relation to the partial spline model for N observed data
values zi given by
zi = f(xi) + bTyi +ei (i =1,...,N) (1)
where each xi is a d-dimensional vector of spline independent variables, f is an unknown smooth
function of the xi, each yi is a p-dimensional vector of independent covariates, b is an unknown p-
dimensional vector of coefficients of the yi and each ei is an independent, zero mean error term with
variance wi2, where wi is termed the relative error variance (known) and 2 is the error variance
which is constant across all data points, but normally unknown (Hutchinson, 1991a). The model
reduces, on the one hand, to an ordinary thin plate spline model when there are no covariates (p=0)
and to a simple multivariate linear regression model, on the other hand, when f(xi) is absent. The
latter possibility is not currently permitted by ANUSPLIN.
The function f and the coefficient vector b are determined by minimising
N
1i
m
i
i
T
ii fJ
w
ybxfz
2
(2)
where
fJm
is a measure of the complexity of f, the "roughness penalty" defined in terms of an
integral of mth order partial derivatives of f and
is a positive number called the smoothing
parameter. As
approaches zero, the fitted function approaches an exact interpolant. As

ANUSPLIN Version 4.4
8
approaches infinity, the function f approaches a least squares polynomial, with order depending on
the order m of the roughness penalty. The value of the smoothing parameter is normally determined
by minimising a measure of predictive error of the fitted surface given by the generalised cross
validation (GCV).
The vector
z
of fitted function values can be written
Azz
(3)
where A is an N x N matrix called the influence matrix. By analogy with linear regression (Wahba
1990), the number of degrees of freedom of the fitted spline, or the effective number of parameters,
is given by
SIGNAL = trace (A). (4)
The number of degrees of freedom of the weighted residual sum of squares, the first term of equation
(2), is given by
ERROR = trace (I -A) = N - trace (A). (5)
The weighted mean residual sum of squares is given by
MSR =
2
-1
W I - A z /N
(6)
where W is the diagonal matrix given by
( )
N1 w,...,wdiag=W
(7)
The SIGNAL degrees of freedom and the ERROR degrees of freedom for each surface add up to N
(the number of data points).
The GCV is calculated for each value of the smoothing parameter
by implicitly removing each
data point and calculating the residual from the omitted data point of a surface fitted to all other data
points using the same value of
. The GCV is then a suitably weighted sum of the squares of these
residuals (Craven and Wahba 1979, Wahba 1990). The GCV is actually calculated by the formula
-
2
-1
2
W I - A z /N
GCV tr I A /N
. (8)
The surface fitting procedure is normally considered to have failed to find a genuine optimum value
of the smoothing parameter if either the smoothing parameter is very small and the signal is the
maximum possible (equal to the number of knots) or the smoothing parameter is very large and the
signal is the minimum possible (a number which depends on the number of independent variables
and the order of the roughness penalty). Both of these conditions are flagged by an asterisk in the
output log file. Hutchinson (1993) and Hutchinson and Gessler (1994) recommend that the signal
should not exceed around half the number of data points. Signals larger than this can indicate
insufficient data or positive correlation in data errors.

ANUSPLIN Version 4.4
9
The variance
2
of the data error
i
e
in equation (1) is estimated by
2
-1
W I - A z
VAR= tr I - A
(9)
If
2
is known, or estimated, an unbiased estimate of the "true" mean square error of the fitted
function across the data points is given by
--
2
-1 2 2
MSE = W I A z /N 2σ tr I - A / N + σ
. (10)
Craven and Wahba (1979) have shown that under suitable conditions the formula
GCV =
2
σ+MSE
(11)
holds approximately. Thus minimising GCV, which does not depend on knowing
2
, is
approximately equivalent to minimising MSE, the true mean square error.
The generalised cross validation (GCV), mean square residual (MSR) and the data error variance
estimate (VAR) are written to the output log file together with their square roots (RTGCV, RTMSR,
RTVAR) which are in the units of the data values. VAR is the estimate of 2 given by equation (9).
The mean square residual given by equation (6) is weighted according to the relative variance
estimates wi as provided in the data file. For the GCV calculation these relative variances are
rescaled to have average value 1 in order to facilitate comparisons of GCV values across different
models. If the relative variance estimates are actual estimates of the absolute value of the error
variance (so that 2 =1), then VAR and RTVAR should be approximately 1.
The goodness of fit of the fitted model may be checked by comparing the scaled residual sum of
squares (N.MSR/
2 where N is the number of data points) with the critical points of a chi-square
variable with df degrees of freedom, where df is the error degrees of freedom, given by equation (5),
as output by the program, and 2 is an a priori estimate of the error variance.
This variance corresponds to the "nugget" in standard kriging analyses. It is rarely known a priori,
since it includes two distinct components. The first of these is error inherent in the data, such as
measurement error. This may be known or reasonably estimated beforehand. However, the second
component is the error in the underlying spline function. This error is essentially unknown, and
decreases as the number of data points increases. In different situations one of these components can
be dominant, or they can be equally important, as is often the case when interpolating climate
statistics (Hutchinson 1995).
When an estimate of 2 is available an alternative strategy is to provide the corresponding standard
deviation estimate to the program. The program then minimises an unbiased estimate of the true
mean square error, MSE given by equation (10) instead of the GCV. This is not normally
recommended since it depends on having a reasonably accurate estimate of 2. It is generally
preferable to minimise GCV, since this appears to be more robust and does not depend on knowing
2. An a priori estimate of 2 can be better used to check the goodness of fit of the model as
described above. On the other hand, specifying the error standard derivation may be preferable when
there is no local minimum of the GCV, as can happen when fitting surfaces to very small data sets
(less than about 20-30 data points).
ANUSPLIN Version 4.4
10
SPLINE provides in the output log file the coefficients of any covariates as well as the estimate of
the mean square error of the smoothed data values (MSE). This estimate depends on the value of
error variance (VAR) as estimated by equation (9) or the input error standard deviation estimate when
this has been provided by the user.
Calculation of Standard Errors
Using a Bayesian argument, Wahba (1983) and Silverman (1985) have adopted appropriate multi-
variate Gaussian prior distributions for the vector z of data values, so that the error covariance matrix
of the vector
z
of fitted values is given by
AW
2 (12)
where A is the influence matrix described in equation (3) and W
2 is the assumed error covariance
matrix of the data errors. Here W is described by equation (7) and
2 is estimated by equation (9).
Spatially distributed standard errors for surfaces fitted by SPLINE are calculated using the method
described by Hutchinson (1993). SPLINE calculates the error covariance matrix of the coefficients
of the fitted spline surface by expressing the surface coefficients as a linear transformation of the
vector
z
of fitted values. This includes the error covariance matrix of the coefficients of any
covariates, from which standard error estimates of the coefficients of the covariates may be directly
calculated. The error covariance matrices of the fitted surfaces are written by SPLINE to a separate
binary file, as shown in Figure 1.
The value zx of a spline surface at an arbitrary position x can be written
zx = axTc (13)
where ax is a vector depending on x and c is the vector of fitted surface coefficients. The standard
error estimate of the surface value zx is then calculated by LAPPNT and LAPGRD using the formula
(axTVax)½ (14)
where V is the error covariance matrix of the surface coefficients calculated by SPLINE. This
standard error is called the model standard error, since it relates to the error in estimating the model
given by equation (1). The prediction standard error is calculated by LAPPNT and LAPGRD using
the formula
(axTVax +
2)½ (15)
where
2 is the variance of the data error. This estimate is only applicable if the values being
predicted have a uniform variance of
2 about the fitted spline function. This normally occurs when
W is the identity matrix. Non-uniform error variances, such as those for the model discussed by
Hutchinson (1995), must be accommodated using a separate calculation. Alternatively, non-uniform
error variances may be directly accommodated in LAPPNT and LAPGRD using one of the
transformations of the dependent variable described in the following section.
Confidence intervals of the calculated spline values are estimated by multiplying either the model
standard error or the prediction standard error by 1.96 corresponding to the 95 percent two-sided
confidence interval of the standard normal distribution.
ANUSPLIN Version 4.4
11
The mean of an arbitrary number of fitted surface values is a linear function of the fitted surface
coefficients. It can be expressed in the form
aTc (16)
where a is the mean of the vectors ax in equation (13). The standard error of the mean is therefore
given by
(aTVa)1/2. (17)
This formula is used by LAPPNT and LAPGRD to calculate the standard error of the mean of the
surface values when there is no dependent variable transformation. It is not the mean of the standard
errors of the individual surface values.
Dependent Variable Transformations
Three dependent variable transformations, the square root, the natural logarithm and an occurrence
transformation, are currently permitted by ANUSPLIN. Any of these transformations may be
applied by SPLINE to the data before a spline surface is fitted. The square root and the natural
logarithm transformations can reduce positive skew in measured values, as can arise with data that
are naturally non-negative or positive. The occurrence transformation is defined by setting all
positive data values to 1.0 and ignoring all negative data values.
These transformations are automatically coded into the fitted surface coefficients file so that
LAPPNT and LAPGRD can calculate either transformed surface values or back-transformed values.
For the square root and natural logarithm transformations, these are obtained by applying the inverse
dependent variable transformation (square or exponential) to the calculated surface values. When
either of these inverse transformations is applied a correction for bias is made. Hutchinson (1998a)
has found that applying the square root transformation to daily rainfall data, before fitting a thin plate
smoothing spline, could reduce interpolation error by about 10 percent.
For the occurrence transformation, the back-transformation consists of setting output spline values to
0.0 or 1.0 depending on whether or not the fitted spline values are respectively less than or greater
than the threshold value of 0.5. Standard errors are not available for the back-transformed occurrence
values.
If the surface values are chosen to back-transformed using the inverse of the square root or natural
logarithm transformations then standard errors are calculated by LAPPNT and LAPGRD
accordingly. Formulae appropriate for the square root transformation have been demonstrated by
Hutchinson (1998a). If the interpolated square root value is given by X, with standard error s, then
an estimate of the standard error of X2 is given by
SE(X2) = 2s(X2 + s2/2)½. (18)
This can be applied with s as either model standard error, or predictive standard error, as defined in
the preceding section. The second term in this expression is negligible except when X is close to
zero or s2 is relatively large. Relative errors are thus given approximately by the formula
RE(X2) = 2s/X (19)
that is twice the relative error in the square root surface values.
ANUSPLIN Version 4.4
12
For the square root transformation, absolute standard error estimates are calculated. It can be seen
from these two formulae that smaller surface values will be estimated with smaller absolute standard
error, while larger surface values will be estimated with smaller relative error. Approximate
confidence intervals are calculated in this case by assuming that the errors of the interpolated square
root values are distributed according to a normal distribution. It follows that the 95 percent
confidence interval for the squared values is given by
[X2 - CI, X2 + CI] (20)
where
CI = 4X 1.96 s(X2 + s2/2)½. (21)
Analogous standard error estimates are calculated by LAPPNT and LAPGRD when the natural
logarithm has been applied to the data values and the exponential transformation is applied to the
interpolated values. If the interpolated logarithmic value is given by X, with standard error s, then
LAPPNT and LAPGRD calculate the standard error in the value exp(X) using the formula
SE(exp(X)) = exp(X + s2/2) (exp(s2) - 1)½. (22)
Relative confidence intervals, that must be applied multiplicatively, are calculated in this case by
assuming that the errors of the interpolated logarithmic values are distributed according to a normal
distribution. The two-sided 95 percent confidence interval is then given by
[exp(X)/CI, exp(X).CI] (23)
where
CI = exp(1.96s). (24)
LAPPNT and LAPGRD provide the absolute standard error estimate given by equation (22) and the
relative confidence interval given by equation (24).
Fitting Climate Surfaces
The ANUSPLIN package was primarily developed for this task. There are normally at least two
independent spline variables, longitude and latitude, in this order and in units of decimal degrees. A
third independent variable, elevation above sea-level, is normally appropriate when fitting surfaces to
temperature or precipitation. This is normally included as a third independent spline variable, in
which case it should be scaled to be in units of kilometres. Minor improvements can sometimes be
had by slightly altering this scaling of elevation. This scaling was originally determined by
Hutchinson and Bischof (1983) and has been verified by Hutchinson (1995, 1998b).
Over restricted areas, superior performance can sometimes be achieved by including elevation not as
an independent spline variable but as an independent covariate. Thus, in the case of fitting a
temperature surface, the coefficient of an elevation covariate would be an empirically determined
temperature lapse rate (Hutchinson, 1991a). Other factors that influence the climate variable may be
included as additional covariates if appropriate parameterizations can be determined and the relevant
data are available. These might include, for example, topographic effects other than elevation above
sea-level. Other applications to climate interpolation have been described by Hutchinson et al.
(1984ab, 1996a, 2009), Hutchinson (1989a, 1991ab) and McKenney et al. (2011). Applications of
fitted spline climate surfaces to global agroclimatic classifications and to the assessment of
ANUSPLIN Version 4.4
13
biodiversity are described by Hutchinson et al. (1992, 1996b, 2005). They have also been used to
develop spatially detailed climate change scenarios (Houser et al. 2004).
To fit multi-variate climate surfaces, the values of the independent variables are needed only at the
data points. Thus meteorological stations should be accurately located in position and elevation.
Errors in these locations are often indicated by large values in the output ranked residual list. Recent
applications have examined the utility of using elevation and variables related to slope and aspect
obtained from digital elevation models at various horizontal resolutions (Hutchinson 1995, 1998b).
Thin plate spline interpolation of monthly mean precipitation and temperature has been favourably
compared with other methods by Price et al. (2000) and Hutchinson et al. (2009).
The LAPGRD program can be used to calculate regular grids of fitted climate values and their
standard errors, for mapping and other purposes, provided a regular grid of values of each
independent variable, additional to longitude and latitude, is supplied. This usually means that a
regular grid digital elevation model (DEM) is required. A technique for calculating such DEMs from
elevation and stream line data has been described by Hutchinson (1988, 1989b, 1996, 2001).

ANUSPLIN Version 4.4
14
SPLINE User Directives
User Directive
Type
Description
Title of fitted
surfaces
60 characters
Title recorded in surface coefficient file to
document surface.
Surface value
units code and
optional missing
data value
0–8, real number
0 - undefined
1 - metres 2 - feet
3 - kilometres 4 - miles
5 - degrees 6 - radians
7 - millimetres 8 – megajoules
Data values less than or equal to the missing
data value are removed from the analysis. If
a dependent data transformation is specified
then data values outside the natural domain
of the transformation are automatically
removed. Thus negative data values are
automatically removed if the square root
dependent variable transformation is
specified.
Number of
independent
spline variables
Non-negative integer
May not exceed specified limit (currently
10).
Number of
independent
covariates
Non-negative integer
Limit depends on the number of spline
variables.
Number of
surface
independent
spline variables
Non-negative integer
Surface independent variables take different
values for each surface.
Number of
surface
independent
covariates
Non-negative integer
Surface independent variables take different
values for each surface.
Independent
variable lower
and upper limits,
transformation
code, units code,
optional margins.
Two real numbers,
two non-negative
integers (0-8), up to
two real numbers for
each independent
variable
Lower limit precedes upper limit. Data
points outside these limits, augmented by
margins, are ignored. One or both margins
may be omitted. If one margin is supplied it
is used as the common lower and upper
margin. If both margins are omitted the
transformation code and units code may also
be omitted. Units code as for surface value
units code.

ANUSPLIN Version 4.4
15
Independent
variable
transformation
parameters
One or two real
numbers (a,b)
Required for each independent variable for
which the transformation code is positive.
The possible transformations for each
independent variable x are:
0 - no transformation
1 - x/a
2 - ax
3 -a log (x +b)
4 - (x/b) a
5 - a exp (x/b)
6 - a tanh (x/b)
7 - anisotropy angle in degrees
8 - anisotropy factor - in the direction
specified by the anisotropy angle.
Dependent
variable
transformation
0, 1, 2 or 5
0 - no transformation.
1 - fit surface to natural logarithm of the
data values.
2 - fit surface to the square root of the data
values.
5 – occurrence – transform data values by
setting all positive value to 1.0 and
ignoring all negative values.
Order of spline
Positive integer
Usually 2.
Lower limit specified by the program.
Number of
surfaces
Positive integer
Any positive number of surfaces permitted.
Number of
relative error
variances
Non-negative integer
0 - data points uniformly weighted for each
surface.
1 - the same weighting is applied to each
surface.
Number of surfaces - a different weighting
is applied to each surface.
Optimization
directive
0 – 2
0 - common smoothing parameter for all
surfaces.
1 - common smoothing directive for all
surfaces (default).
2 - different smoothing directive for each
surface.
Smoothing
directive for each
surface
0 – 4
0 - fixed smoothing parameter -supply
value.
1 - minimise GCV (default).
2 - minimise true mean square error using
supplied error standard deviation
estimate.

ANUSPLIN Version 4.4
16
3 - fixed signal - supply value.
4 - minimise GML.
Data file name
255 characters
Must be supplied.
Maximum
number of data
points
Positive integer
Used to allocate memory for data and
working arrays. Number should be at least
as large as the number of data points.
Number of
characters in site
label
0 - 20
If positive, an alphanumeric site label is
expected for each data point in the data file.
These labels are printed in the output data
list and large residual files. Names with
embedded blanks are permitted provided the
data are read with a format statement.
Data file format
255 characters
If non-blank the provided FORTRAN
format statement is used to read in order:
the site label (if number of characters in site
name is positive), the independent variables
(spline variables before covariates), the
surface independent variables (spline
variables before covariates), the data values
and the relative variances as specified
above. A uniform weighting of 1 for each
data point may be specified by having zero
relative variances.
If the format is blank, the data file is read in
list directed free format in the same order as
for formatted reads. Blank is not permitted
if the site names have embedded blanks.
Number of knots
calculated by
SPLINE
Non-negative integer
If positive then SPLINE selects the specified
number of knots from the data. If this
number exceeds the number of data points
then all data points are selected as knots.
The selected knots can optionally be written
to the output knot file.
If zero then the knots must be read from the
supplied input knot index file.
Knot index file
(input/output)
255 characters
(optional)
Optional output file if the number of knots
calculated by SPLINE is positive. Blank if
not required.
Required input file if the number of knots
calculated by SPLINE is set to zero.
Input bad data
flag file
255 characters
Blank if not required. File used to remove
particular data values from the analysis.

ANUSPLIN Version 4.4
17
Each record has a site label followed by
binary number (0 or 1) for each surface,
with each 1 indicating a corresponding data
value to be removed. This permits removal
of suspicious data values without altering
the data file.
Output bad data
flag file
255 characters
Blank if not required. File contains all bad
data flags from the input bad data flag file
augmented by a flag for each data value that
differs from the corresponding fitted surface
value by more than 3.6 standard deviations.
This file can be used as an input bad data
flag file for a subsequent run of SPLINE
after inspection and possible changes by the
user.
Output large
residual file name
255 characters
Blank if not required. Used to check for
data errors. May be read directly by
ADDNOT to add knots to an existing knot
file.
Output large
cross validation
residual file name
255 characters
Blank if not required. Used to check for
data errors. Can help to identify spatially
isolated points with bad data values.
Output
optimisation
parameters file
255 characters
Blank if not required. File containing
parameters used to calculate the optimum
smoothing parameter(s). This file can be
used with GCVGML to calculate GCV or
GML values as a function of the smoothing
parameter.
Output surface
coefficients file
255 characters
Normally required but may be blank if
surface coefficients are not required.
Contains the coefficients defining the fitted
surfaces. These are used to calculate values
of the surfaces by LAPPNT and LAPGRD.
Output error
covariance file
name
255 characters
Blank if not required. Error covariance
matrices of fitted surface coefficients. Used
by LAPPNT and LAPGRD to calculate
spatially distributed standard error estimates
of fitted surfaces.
Output data list
file name
255 characters
Blank if not required. List of data and fitted
values with Bayesian standard error
estimates. Useful for checking for data
errors.

ANUSPLIN Version 4.4
18
Output cross
validation file
name
255 characters
Blank if not required. Used to record the
cross validated value at each data point. The
cross validated value is the value that the
surface would have if the data point was
removed. Useful for making detailed
assessments of surface predictive error.
Input test data
file name
255 characters
Blank if not supplied. If non-blank, residuals
of the test points from the fitted surfaces are
calculated, and summary statistics are
written to the log file. This file normally
holds data points that are not in the data file
used to fit the surface. The test data can
provide independent validation of the output
surface statistics.
Maximum
number of test
data points
Positive integer
(not required if the
test data file name is
blank)
Used to allocate memory for validation data
and working arrays. Should be at least as
large as the number of test data points.
Number of
characters in test
data site label
0 - 20
(not required if the
test data file name is
blank)
If positive, an alphanumeric site label is
expected for each test data point.
Test data file
format
255 characters
(not required if the
test data file name is
blank)
As for the data file format above but no
relative variances.
Output test data
list file name
255 characters
(not required if the
test data file name is
blank)
If non-blank then a list of test data and
surface values is written to this file in
standard format.

ANUSPLIN Version 4.4
19
GCVGML User Directives
GCVGML calculates values of the GCV or GML statistic for surfaces produced by SPLINE. Values
are tabulated as a function of the common logarithm (base 10) of the smoothing parameter and
written in columns to an output text file, with one column for each surface, in a format suitable for
plotting by a spreadsheet program or a commonly available plotting package. If there is more than
one surface, the averages of the GCV or GML values over all surfaces are written to a final column.
The GCV is the usually recommended statistic as it is more stable over different model structures
and knot sets.
User Directive
Type
Description
Optimisation parameters file
name
255 characters
Name of optimisation
parameters file produced by
SPLINE.
Statistic
1 or 4
1 – GCV
4 – GML
Output GCV or GML file
name
255 characters
Name of output text file with
columns of GCV or GML
values.

ANUSPLIN Version 4.4
20
SELNOT User Directives
SELNOT is a program that selects an initial set of knots for use by the SPLINE program. As for
SPLINE, multiple surfaces and multiple relative error variances are permitted. Independent and
dependent variables are specified exactly as for SPLINE.
SELNOT selects knots by successively rejecting one point from the closest remaining pair of points in
the independent spline variable space until the specified number of knots remain. This maximises the
minimum separation of the selected data points. Distances in the independent spline variable space are
calculated after any specified transformations of the independent variables have been performed.
Overall computational cost of the procedure is proportional to the square of the number of data points.
The procedure was first described in Hutchinson (1984) and applied to rainfall interpolation by
Hutchinson and Bischof (1983). It can also be used to select withheld data for testing of fitted surfaces
(Hutchinson 1995, 1998ab; Hutchinson et al. 2009; Hopkinson et al. 2011).
User Directive
Type
Description
Number of
independent
spline variables
Non-negative integer
May not exceed specified limit (currently
50).
Number of
independent
covariates
Non-negative integer
Limit depends on the number of spline
variables.
Number of
surface
independent
spline variables
Non-negative integer
Surface independent variables take different
values for each surface.
Number of
surface
independent
covariates
Non-negative integer
Surface independent variables take different
values for each surface.
Independent
variable lower
and upper limits,
transformation
code, units code,
optional margins.
Two real numbers,
two non-negative
integers (0-8), two
real numbers for
each independent
variable
Lower limit precedes upper limit. Data
points outside these limits, augmented by
margins, are ignored. One or both margins
may be omitted. If one margin supplied it is
used as the common lower and upper
margin. If margins are omitted
transformation code and units code may be
omitted. Units code as for surface value
units code.

ANUSPLIN Version 4.4
21
Transformation
parameters
One or two real
numbers (a,b)
Required for each independent variable for
which the transformation code is positive.
The possible transformations for each
independent variable x are:
0 - no transformation
1 - x/a
2 - ax
3 - alog (x +b)
4 - (x/b) a
5 - a exp (x/b)
6 - a tanh (x/b)
7 - anisotropy angle in degrees
8 - anisotropy factor
Dependent
variable
transformation
0, 1, 2 or 5
0 - no transformation
1 - natural logarithm
2 - square root
5 – occurrence
Number of
surfaces
Positive integer
Any positive number of surfaces permitted.
Number of
relative error
variances
Non-negative integer
0 - data points uniformly weighted for
each surface
1 - the same weighting is applied to each
surface.
Number of surfaces - a different
weighting is applied to each surface.
Data file name
255 characters
Must be supplied.
Maximum
number of data
points
Positive integer
Used to allocate memory for data and
working arrays.
Number of
characters in site
name
0 - 20
If positive, a site name is expected for each
data point in the data file. Names with
embedded blanks are permitted provided the
data are read with a format statement.
Date file format
255 characters
Specify format for data and relative error
variances. Use blank to specify list directed
free format. Blank is not permitted if the
site names have embedded blanks.
Output knot file
255 characters
Name of output knot index file.

ANUSPLIN Version 4.4
22
Rejected points
file
255 characters
Not normally required. If non-blank, lists the
index of each data point rejected as a knot
together with the index of the closest knot.
Points are listed in reverse order so the file
begins with the last rejected point.
Number of knots
Positive integer
Normally within the range, calculated by the
program, of 1/4 to 1/3 of the number of data
points contained within the specified
coordinate limits.

ANUSPLIN Version 4.4
23
ADDNOT User Directives
The ADDNOT program adds data point indices to an existing knot file that has been initially calculated
either by SPLINE or by SELNOT. Knot indices may be read from standard input, but preferably are
read from the large residual list produced by a previous run of SPLINE. In this case the user must
specify the number of knots to be added.
User Directive
Type
Description
Old knot index
file name
255 characters
Name of old knot file
Number of
characters in site
name
0-20
If positive, a site name is expected for each
data point. Specifying the size of this name
permits use of names with embedded blanks.
Large residual
file
255 characters
Name of large residual file, as produced by a
previous run of SPLINB. If blank, additional
knot indices are read from standard input.
Number of
additional knots
Positive integer
Required if the large residual file name is
not blank. Number of knots to be added
from the specified large residual file.
New knot file
name
255 characters
Name of new augmented knot file.
Optional data
point indices
Positive integers,
with site names
Not normally supplied. Site names are
required if the number of characters in the
site name is positive. The lists of indices
and site names can be supplied in an input
command file. If ADDNOT is run
interactively, terminate the list with a data
point index of 0.

ANUSPLIN Version 4.4
24
LAPPNT User Directives
LAPPNT calculates values and spatially distributed errors of (partial) thin plate smoothing spline
surfaces at points whose position coordinates are provided in a file. The spline surface coefficients
are read from an ascii file calculated by SPLINE. The error covariance matrices of the surface
coefficients are read from a binary file calculated by the same run of SPLINE. All surfaces can be
calculated by specifying 0 for the surface number.
Calculation time for each surface value is proportional to the number of knots. Calculation time for
each error value is proportional to the square of the number of knots.
An alphanumeric label may be read from the user supplied point file and written to the output point
file. No alphanumeric labels are read or written if the number of characters in the label is specified
to be 0. Points outside the position limits in the surface coefficients file are ignored. The position
coordinates are optionally written to the output point file. The program writes the number of points
and summary statistics to standard output.
User Directive
Type
Description
Surface file name
255 characters
Name of the surface coefficients file.
Surface numbers
Non-negative
integers
Surface numbers to be calculated, in
increasing order. Specify 0 if values of all
surfaces are to be selected.
Type of surface
calculation
0 or 1
0 - summary statistics only.
1 - calculate surface values.
Back-transform
surface and error
values
0 or 1
(not required if no
surface
transformation)
0 - do not apply surface back-transformation
1 - apply surface back-transformation.
Error covariance
file name
255 characters
Blank if there is no covariance file or if no
errors are to be calculated.
Type of error
calculation
0 - 4
(not required if
covariance file name
is blank).
0 - calculate standard error of the average
surface value only.
1 - calculate model standard errors.
2 - calculate prediction standard errors.
3 - calculate 95% model confidence
intervals.
4 - calculate 95% prediction confidence
intervals.

ANUSPLIN Version 4.4
25
Maximum
standard errors
Blank or maximum
standard errors for
all selected surfaces
(not required if
covariance file name
is blank).
Surface values and error values are not
calculated if the standard error exceeds the
provided maximum error. When there is a
surface transformation then maximum errors
are applied to the error surface fitted to the
transformed values.
Input position
coordinates file
255 characters
User supplied file with position coordinates.
Label size
Non-negative integer
Specifies the number of characters in the
label attached to each set of coordinates in
the input position file. If label size is set to
0, then no label is read from the file.
Input position file
format
255 characters
Format of coordinates in the input position
file. If label size is positive, then the format
must include an initial alphanumeric format
descriptor with number of characters set to
the label size.
If format is blank then the site label, if
required, and the position coordinates are
read in free format.
Output point file
name
255 characters
Name of output point file.
Include position
coordinates
0 or 1
0 - position coordinates are not included in
the output point file.
1 - position coordinates are included in the
output point file.
Output point file
format
255 characters
Output format for writing both the input
positions, with label when specified, and the
output calculated surface values.
Blank for free format.

ANUSPLIN Version 4.4
26
LAPGRD User Directives
LAPGRD calculates values and spatially distributed errors of a regular two-dimensional grid of a
(partial) thin plate smoothing spline surface. Coefficients defining the partial spline surface are read
from an ascii file calculated by SPLINE. The error covariance matrices of the surface coefficients
are read from a binary format calculated by the same run of SPLINE. Calculation time for surface
values is proportional to the number of knots times the number of grid points. Calculation time for
error values is proportional to the square of the number of knots times the number of grid points.
Values of additional independent variables required to define the spline may be set to user supplied
constants or read from user supplied grid files with the same number of rows and columns as the grid
being calculated by LAPGRD. User supplied grids must be in row format, since they are read one
row at a time to save storage space. All grids are read and written by rows from maximum Y to
minimum Y.
Grid points may be specified as a grid of cells or a lattice of points. Normal usage with modern
packages, including ArcGIS, Grass and Idrisi, is that grid points are specified as cells. Point lattices
are a common option in older systems that generate vector output to display grids.
User Directive
Type
Description
Surface file
255 characters
Name of the surface coefficients file.
Surface numbers
Non-negative
integers
Surface numbers to be calculated in increasing
order. Specify 0 if values of all surfaces in the
surface coefficients file are to be selected.
Type of surface
calculation
0 or 1
0 - summary statistics only.
1 - calculate surface values.
Back-transform
surface and error
values
0 or 1
Not required if there is no surface
transformation.
0 - do not apply surface back-transformation
1 - apply surface back-transformation.
Error covariance
file name
255 characters
Blank if there is no covariance file or if no
errors are to be calculated.
Type of error
calculation
0 - 4
0 - calculate standard error of the average
surface value only.
1 - calculate model standard errors.
2 - calculate prediction standard errors.
3 - calculate 95% model confidence intervals.
4 - calculate 95% prediction confidence
intervals.
Maximum standard
errors
Blank or maximum
standard errors for
all selected surfaces
Surface values and error values are not
calculated if the standard error exceeds the
provident maximum error. When there is a
surface transformation then maximum errors
are applied to the errors of the surface fitted to

ANUSPLIN Version 4.4
27
the transformed values.
Grid position
option
0 or 1
0 - grid is a point lattice.
1 - grid of cells with points at cell centres.
Normally 1 for ArcGIS, Grass and Idrisi.
Index of first grid
variable
Non-negative integer
If positive, identifies the independent variable
of the spline which increments across each row
of the output grid - normally 1.
If zero then values of this independent variable
are read from a grid. The zero option can be
used to incorporate a map projection into the
output grid.
Limits and spacing
of first variable
3 real numbers
Lower limit, upper limit and spacing
respectively of first grid independent variable.
Index of second
grid variable
Non-negative integer
If positive, identifies the independent variable
of the spline which increments along each
column of the output grid - normally 2.
If zero then values of this independent variable
are read from a grid. The zero option can be
used to incorporate a map projection into the
output grid.
Limits and spacing
of second grid
variable
3 real numbers
Lower limit, upper limit and spacing
respectively of second grid independent
variable.
N.B. The spacing of the first and second
variable must be equal when reading or writing
ArcGIS or Idrisi grids.
Mode of mask grid
0 - 3
0 - mask grid not supplied.
1 - generic mask grid.
2 - ArcGIS mask grid.
3 - Idrisi mask grid.
Name of mask grid
255 characters
(Not required if
mode of mask grid is
zero)
Grid used to mask out special values. The mask
corresponds to the no-data values of the mask
grid.
Mask grids in standard ArcGIS or Idrisi mode
are recommended. If the mask grid is in generic
mode, the row format (blank for binary format,
non-blank for free ASCII format), no value
indicator (0 or 1) and the no data value (real
number) are also required.

ANUSPLIN Version 4.4
28
Specify for each remaining independent variable (if spline has more than two independent variables
or if the first and second grid variable indices not both positive.):-
Mode of the
independent
variable
0 – 3
0 - user supplied constant.
1 - user supplied grid in generic row format
with the same size as the grid being
calculated.
2 - user supplied ArcGIS grid with same
size as the grid being calculated.
3 - user supplied Idrisi image with the same
size as the grid being calculated.
Constant
Real number
(Only required if
mode is 0)
Independent variable grid is set to this
constant.
Input grid file
name
255 characters
(Required if mode is
not 0.)
File name of user supplied grid. If the
independent variable is a surface
independent variable then a separate file
name is required for each surface being
calculated.
Input grids in standard ArcGIS or Idrisi
mode are recommended. If the input grid is
in generic mode, the row format (blank for
binary format, non-blank for free ASCII
format), no value indicator (0 or 1) and the
no data value (real number) are also
required.
If the surface calculation type is 1 then specify:-
Mode of output
surface value
grids
0 – 3
0 - grid written in X,Y,Z format.
1 - generic grid written by rows.
2 - ArcGIS grid.
3 - Idrisi image.
Output grids in standard ArcGIS or Idrisi
mode are recommended.
Special value of
output grid
Real number
(Must be supplied)
Indicates no data value in output grid.
Output grid file
names
255 characters
File names of all output surface value grids.
Output grid
format
255 characters
Must be consistent with the format mode of
the output grids specified above. If blank

ANUSPLIN Version 4.4
29
then output grid is written as an unformatted
binary file. This is normally recommended
as it saves time and storage space. Use an
ASCII formatted grid when the grid is to be
moved between DOS and UNIX platforms.
If the error calculation type is positive then specify:-
Mode of output
error grids
0 – 3
0 - grid written in X,Y,Z format.
1 - generic grid written by rows.
2 - ArcGIS grid.
3 - Idrisi image.
Output grids in standard ArcGIS or Idrisi
mode are recommended.
Special value of
output grid
Real number
(Must be supplied)
Indicates no data value in output grid.
Output grid file
names
255 characters
File names of all output error surface grids.
Output grid
format
255 characters
Must be consistent with the format mode of
the output grids specified above. If blank
then output grid is written as an unformatted
binary file. This is normally recommended
as it saves time and storage space. Use an
ASCII formatted grid when the grid is to be
moved between DOS and UNIX platforms.
ANUSPLIN Version 4.4
30
ANNOTATED EXAMPLES
In order to test and demonstrate the 6 programs in ANUSPLIN, test data and example command files
have been provided in four groups in four separate sub-directories. The example data sets, command
files and reference outputs can be found under the test directory in the ANUSPLIN installation
root directory. The ANUSPLIN installation root directory is the directory specified when the
package was installed and will vary from system to system.
The first group illustrates the basic principles of data smoothing by applying SPLINE to simulated
noisy uni-variate data, obtained by randomly perturbing points from a sine curve. Every data point is
initially selected as a knot. The fitted spline curves are interrogated using LAPPNT and using the
four different options for standard errors and 95% confidence intervals of the fitted spline values. A
spline is also fitted using just 20 knots to illustrate the effectiveness of small knot sets when the fitted
function is not very complex.
The second group illustrates smoothing of monthly mean temperature data using a tri-variate partial
spline function of longitude, latitude and elevation. The analyses are performed by SPLINE with
every data point selected as a knot and then with the knots selected as a distinct subset of the data
points. The fitted surfaces are interrogated in regular grid form using LAPGRD.
The third group illustrates smoothing of monthly mean precipitation data using a full tri-variate
spline function of longitude, latitude and elevation. Analyses with SPLINE using knots are
illustrated because precipitation data sets are often large. Use of independent variable margins and
of the square root transformation of the dependent precipitation values is also illustrated.
The fourth group illustrates smoothing of monthly mean solar radiation data using a bivariate spline
function of longitude and latitude and using a tri-variate spline function with precipitation as a third
"surface independent variable".
The examples are intended to test the installation of ANUSPLIN and to provide canonical examples
of applications to uni-variate data and multi-variate climate data. Each group of examples contains a
table showing all commands and input and output files. Each table is followed by explanatory notes
for each command in the proceeding table

ANUSPLIN Version 4.4
31
Spline smoothing of uni-variate data
To illustrate the basic concepts and procedures for data smoothing, two data files are supplied in the
test/math subdirectory:
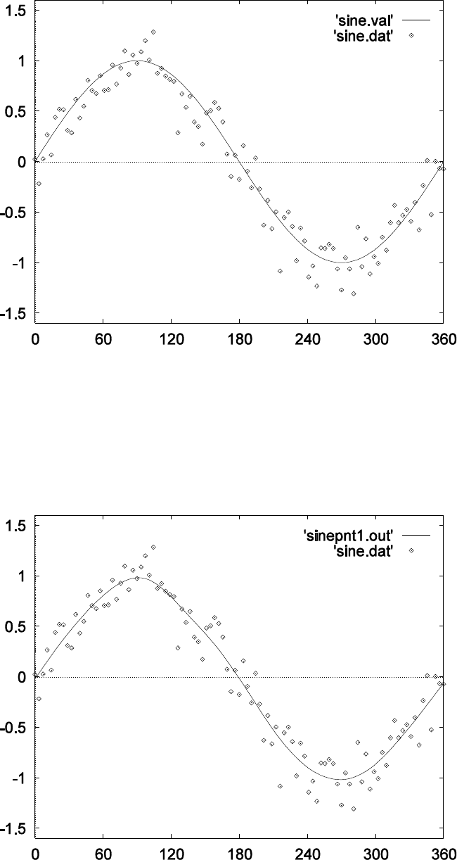
sine.dat - 101 noisy data values obtained by perturbing points from a single sine curve
by random values from a zero mean normal variable with standard deviation 0.2
sine.val - 101 values of the true sine curve
These data are displayed in Figure 2 below.
Seven ANUSPLIN command files for processing these data files are provided in the test\math
subdirectory and listed in the table below. Each command and its outputs are discussed in the notes
following the table. All output files are provided in the test\math\out subdirectory.
Command
Input Files
Output Files
1. spline < sine.cmt > sine.log
sine.dat
sine.res
sine.val
sine.rcv
sine.opt
sine.sur
sine.cov
sine.lis
sine.crv
sine.out
2. gcvgml < sinegcv.cmt > sinegcv.log
sine.opt
sine.gcv
3. lappnt < sinepnt1.cmt > sinepnt1.log
sine.sur
sinepnt1.out
sine.cov
sine.val
4. lappnt < sinepnt3.cmt > sinepnt3.log
sine.sur
sinepnt3.out
sine.cov
sine.val
5. lappnt < sinepnt2.cmt > sinepnt2.log
sine.sur
sinepnt2.out
sine.cov
sine.val
6. lappnt < sinepnt4.cmt > sinepnt4.log
sine.sur
sinepnt4.out
sine.cov
sine.val
7. spline < sine20.cmt > sine20.log
sine.dat
sine20.res
sine.val
sine20.rcv
sine20.opt
sine20.sur
sine20.cov
sine20.lis
sine20.crv
sine20.out
ANUSPLIN Version 4.4
32
Notes
1. This command uses SPLINE to fit a second order smoothing spline to the noisy data points shown
in Figure 2. Every data point is chosen as a knot by specifying the number of knots to be calculated
to SPLINE to 150. Optimisation parameters in the output file sine.opt are used by command 2.
Surface coefficients are generated in the output file sine.sur and error covariances are generated
in the output file sine.cov for use by commands 3-6. The command also produces an output large
residual file in sine.res and an output list file in sine.lis, which lists the data and fitted
values, together with Bayesian standard error estimates. These files are normally used, in conjunction
with summary statistics in the output log file to aid detection and correction of data errors, as
indicated in Figure 1. The largest data residual from the fitted spline is the 61st data point, as listed
under the ranked root mean square residuals in the output log file, and in the output file sine.res.
This data point has an x value of 216 degrees and can be seen clearly in Figure 3.
The fitted spline curve is plotted in Figure 3, showing good agreement with the original sine curve in
Figure 2. This command also calculates values of the fitted spline function compared with the true
sine values provided in the input file sine.val. The true and fitted values are written to the output
file sine.out, and summary validation statistics are written to the output log file. The largest
residual of the true sine values from the fitted spline is the 38th point, as listed under the validation
statistics in the output log file. This point has an x value of 133.2 degrees and can also be seen clearly
in Figure 3. Indvividual cross validated values are generated in the output file sine.crv and summary
statistics of the differences of these values from the data values are also written to the log file.
Unlike common applications of SPLINE to higher dimensional data, there are no site labels in the
data file. In this case each data point is labelled by the program to be its sequence number in the data
file. No units are specified for the data values, and no transformations are applied to either the
independent variable or the dependent variable. No margins are specified for the independent
variable. No weighting is applied to the data values.
The order of the spline is specified to be 2, giving rise to a minimum curvature smoothing spline.
This spline can be represented, in the uni-variate case only, by a piece-wise cubic polynomial. This
representation is not provided by the ANUSPLIN package, which is primarily designed for general
applications to multi-variate data. Efficient “order (n)” cubic spline smoothing of uni-variate data,
using a piece-wise cubic representation, can be obtained using the procedure CUBGCV (Hutchinson
and de Hoog 1985, Hutchinson 1986).
The amount of data smoothing is determined in this example by minimising the generalised cross
validation (GCV). The log file shows that the fitted spline has 8.4 degrees of freedom, or 8.4
effective parameters, as given by the trace of the influence matrix associated with the fitted spline
(Wahba 1990). The number of degrees of freedom of the residual is 92.6. These two numbers sum to
101, the number of data points. The signal to noise ratio of this smoothing analysis is 8.4/92.6=0.09.
The size of the signal is much less than the half the number of data points, in line with the heuristic
recommendation in Hutchinson (1993) and Hutchinson and Gessler (1994). Equivalently, the signal
to noise ratio is less than 1.0. The square root of the GCV, or “root mean square predictive error”, is
listed under RTGCV as 0.183. The root mean square residual of the spline from the data is listed
under RTMSR as 0.168, and the estimate of the standard deviation of the noise in the spline model is
listed under RTVAR as 0.175. This estimate is reasonably close to the known standard deviation of
the noise in the data of 0.2. Further examples of smoothing spline analyses of uni-variate noisy data
have been given by Craven and Wahba (1979).

ANUSPLIN Version 4.4
33
Figure 2. Sine curve and 101 noisy data points perturbed from the sine curve by values from a zero
mean normal variable with standard deviation 0.2.
Figure 3. Fitted spline curve with the 101 noisy data points.

ANUSPLIN Version 4.4
34
The root mean square error estimate of 0.0504, listed under RTMSE, is an estimate of the error in the
fitted function after the effects of the noise in the data have been removed from the RTGCV. This is
reasonably close to the root mean square residual from the true sine curve, which has been obtained
from the values in the file sine.val and is listed under RMS as 0.0432. In this example the
variance of the error of the fitted spline is dominated by the variance of the noise in the data values.
In many applications, such as the interpolation of rainfall (Hutchinson 1995), error in the spline itself
contributes significantly to the estimated error variance. In such cases the error estimate listed under
RTMSE would be optimistic. In general, the standard deviation of the true error of the fitted spline
will lie somewhere between RTMSE and RTGCV, depending on the relative magnitudes of the error
in the noise and the error in the fitted spline.
2. This command uses GCVGML to calculate values of the GCV as a function of the logarithm to
base 10 of the smoothing parameter. GCVGML uses the optimisation parameters, as calculated by
SPLINE in the file sine.opt, and writes the table of GCV values to the output file sine.gcv.
These values are plotted in Figure 4. The GCV normally has a unique local minimum value, which in
this case occurs when the logarithm of the value of the smoothing parameter is 4.4. The
corresponding value listed under RHO in the SPLINE log file is 0.255E+5. Multiple local minima in
GCV curves can indicate significant errors in the data or significant mis-specification of the spline
model. SPLINE normally selects the smoothest local minimum when there are multiple local
minima, in order to choose the model with the least number of effective parameters.
Figure 4. Plot of the GCV as a function of the logarithm of the smoothing parameter.
ANUSPLIN Version 4.4
35
3. This command uses LAPPNT to calculate values of the fitted spline, and corresponding Bayesian
standard error estimates, using surface coefficients provided in the input data file sine.val and
error covariances in the input data file sine.cov. The error covariance matrix of the spline
coefficients are calculated according to the method described by Hutchinson (1993). Spline values
and standard errors are calculated at the x values provided in the first column of the input data file
sine.val and are written to the output file sinepnt1.out. The output spline values are plotted
as the curve in Figure 3.
The Bayesian standard error estimates are plotted in Figure 5. In this case, model standard errors are
calculated (error calculation type = 1). These standard errors correspond to standard errors of the
fitted parameters of a linear regression model. They are essentially functions of local data density,
being approximately 0.05 for most interior points, but rapidly increasing towards 0.1 as points
approach the boundary of the data points. The Bayesian standard errors increase without bound at
positions beyond the limits of the original data points.
4. This command uses LAPPNT to calculate values of the fitted spline, and corresponding Bayesian
95% confidence intervals, using the same input files as for command 3. Model confidence intervals
are specified (error calculation type = 3). Output spline values and confidence intervals are written to
the output file sinepnt3.out. The confidence intervals are plotted in Figure 6, together with 101
values of the true sine curve. The 95% confidence intervals are calculated as 1.96 times the model
standard errors calculated by command 3. This assumes that the errors are distributed according to a
normal distribution. Just 3 of the 101 true sine values lie beyond the 95% confidence intervals,
acceptably close to the expected number of about 5.

ANUSPLIN Version 4.4
36
Figure 5. Plot of Bayesian model standard errors of the fitted spline.
Figure 6. Plot of 95% model confidence intervals together with 101 true sine values.

ANUSPLIN Version 4.4
37
5. This command uses LAPPNT to calculate values of the fitted spline, and corresponding Bayesian
standard error estimates, using the same input files as for command 3. Prediction standard errors are
calculated (error calculation type = 2). Output spline values and prediction standard errors are written
to the output file sinepnt2.out. These standard errors correspond to standard errors in estimating
data from the spline model. The prediction standard errors are obtained from the model standard
errors calculated by command 3 using the formula
p = (
m2 +
2)½
where
p is the prediction standard error,
m is the model standard error, and
=0.175 is the
estimated standard deviation of the data errors. The prediction standard error estimates are plotted in
Figure 7. Since the data errors in this case dominate the model standard errors, the prediction
standard errors increase only slightly at positions close to the boundary of the data points. However,
as for the standard model errors, the prediction standard errors would increase without bound at
positions beyond the limits of the original data points.
6. This command uses LAPPNT to calculate values of the fitted spline, and corresponding two-sided
Bayesian 95% confidence intervals, using the same input files as for command 3. Prediction
confidence intervals are specified (error calculation type = 4). Output spline values and confidence
intervals are written to the output file sinepnt4.out. The confidence intervals are plotted in
Figure 8, together with 101 data values obtained in a separate simulation from the original data
values. The 95% prediction confidence intervals are calculated as 1.96 times the prediction standard
errors calculated by command 5. This assumes that the prediction errors are distributed according to
a normal distribution. Seven of the 101 simulated noisy data values lie beyond the 95% confidence
intervals, acceptably close to the expected number of about 5.
Figure 7. Plot of prediction standard errors of the fitted spline.

ANUSPLIN Version 4.4
38
Figure 8. Plot of 95% prediction confidence intervals together with 101 simulated data values
distinct from the original data values.
7. The final command illustrates the use of a small number of knots to provide an effective analysis
when the fitted function is relatively simple. Since the spline fitted by command 1 using 101 knots
has a signal of just 8.4, the function can be well approximated by a much smaller number of knots.
The command file sine20.cmt specifies just 20 knots and the output statistics in sine20.log
and the other output files are virtually identical to those in sine.log and the other output files
from command 1. However, the output surface coefficient file sine20.sur and the output error
covariance file sine20.cov are much smaller than sine.sur and sine.cov. This can lead to
significant computational savings when interrogating the fitted spline and calculating standard error
estimates.

ANUSPLIN Version 4.4
39
Partial spline smoothing of monthly mean temperature data
To illustrate the tri-variate partial spline smoothing of monthly mean temperature data, five data files
are supplied in the test\temp subdirectory:
tmaxa.dat - monthly mean temperature data with elevation errors
tmaxb.dat - monthly mean temperature data with corrected elevation values
tas4.asc - small DEM in ArcGIS ascii grid format
tas4x.asc - X coordinates of the small DEM in ArcGIS ascii grid format
tas4y.asc - Y coordinates of the small DEM in ArcGIS ascii grid format
Eight ANUSPLIN command files for processing these data files are provided in the test\temp
subdirectory and listed in the table below. Each command and its outputs are discussed in the notes
following the table. All output files are provided in the test\temp\out subdirectory.
Command
Input Files
Output Files
1. spline < tmaxa.cmt > tmaxa.log
tmaxa.dat
tmaxa.res
tmaxa.rcv
tmaxa.opt
tmaxa.sur
tmaxa.cov
tmaxa.lis
tmaxa.crv
tmaxa.out
2. gcvgml < tmaxagcv.cmt > tmaxagcv.log
tmaxa.opt
tmaxa.gcv
3. lappnt < tmaxapnt.cmt > tmaxapnt.log
tmaxa.sur
tmaxapnt.out
tmaxa.cov
tmaxa.dat
4. lapgrd < tmaxasum1.cmt > tmaxasum1.log
tmaxa.sur
tmaxa.cov
-
tmaxa.cov
tas4.asc
5. lapgrd < tmaxasum2.cmt > tmaxasum2.log
tmaxa.sur
-
tmaxa.cov
tas4x.grd
tas4y.grd
tas4.dem
6. lapgrd < tmaxagrd.cmt > tmaxagrd.log
tmaxa.sur
tmaxa01.asc
tmaxa.cov
tmaxa07.asc
tas4.dem
tcova01.asc
tcova07.asc

ANUSPLIN Version 4.4
40
7. spline < tmaxb.cmt > tmaxb.log
tmaxb.dat
tmaxb.res
tmaxb.rcv
tmaxb.opt
tmaxb.sur
tmaxb.cov
tmaxb.lis
tmaxb.crv
8. lapgrd < tmaxbgrd.com > tmaxbgrd.log
tmaxb.sur
tmaxb01.asc
tmaxb.cov
tmaxb07.asc
tas4.asc
tcovb01.asc
tcovb07.asc
Notes
1. This command uses SPLINE to fit a partial thin plate smoothing spline, with linear dependence on
elevation, to monthly mean values of daily maximum temperature data in the file tmaxa.dat. Every
data point is selected as a knot by specifying a suitably large number of knots to be calculated by
SPLINE. The data have the same uniform weight for each surface. The data are read using a
FORTRAN format. This could have been omitted in this case since the required items are provided
in the correct order in the data file.
The log file tmaxa.log contains summary statistics for the analysis, including the number of
points read by the program, the generalised cross validation for each monthly surface, the standard
error of each fitted monthly mean maximum temperature elevation lapse rate and a ranked list of the
largest residuals from the fitted surfaces. The log file should always be carefully inspected. Large
residuals from the fitted surface often indicate errors in data positions or values. The ranked list of
large residuals is also written to tmaxa.res.
The fitted surface coefficients are stored in tmaxa.sur. The error covariance matrices of the
surface coefficients for each surface are stored in tmaxa.cov in binary form only. This file cannot
be moved between Windows and Unix platforms. The surface coefficients and the error covariance
matrices are used to calculate values of the fitted surfaces and spatially distributed standard errors by
LAPPNT and LAPGRD in commands 3,4,5 and 6.
The list of data and fitted values is stored in tmaxa.lis. This file also contains a Bayesian
standard error estimate for each fitted value. This file can assist detection of data errors when used
in conjunction with the large residual list. The optimisation parameters in tmaxa.opt can be used
by GCVGML to calculate the GCV as a function of different values of the smoothing parameter, as
in command 2.
The log file shows that the signals of the fitted surfaces vary between 6 and 39. Almost all of these
values are less than half the number of data points, in agreement with the general recommendation.
A signal much larger than half the number of data points indicates either significant data errors or
that there are insufficient data to fit the surface model. There is a generally systematic progression in
the signals from month to month, although the higher signal in June (surface number 6) indicates
some instability in the determination of the smoothing parameter which, in this case, is probably due
to data errors.
ANUSPLIN Version 4.4
41
The square root of the GCV (RTGCV) varies between 0.74 degrees in June and 1.2 degrees in
February. These are conservative estimates of overall standard prediction error because they include
the data error, as estimated by the procedure. The root mean square model error (RTMSE) is an
estimate of standard error after the estimated data error has been removed. This may be likened to a
standard error estimate of a fitted coefficient of a parametric model. It is a somewhat optimistic
estimate of surface error because the procedure includes deficiencies in the model in the estimated
data error. The RTMSE varies between 0.23 degrees in June and 0.57 degrees in February. Standard
error estimates less than 0.5 degrees are typical when fitting splines to monthly mean maximum
temperature data.
The coefficients of the parametric sub-model, which can be interpreted as temperature lapse rates,
are approximately 8 degrees per 1000 metres. This agrees with known process controls on this
value. The free air dry adiabatic lapse rate is 10 degrees per 1000 metres. The elevation lapse rate
for minimum temperature is generally less than 8 degrees per 1000 metres (Hutchinson 1991a). Note
that elevation, the third independent variable, has been scaled to be in kilometres. The standard error
estimates of the lapse rates for the 12 surfaces ranges between 0.35 and 0.58, consistent with a priori
expectations, and with the month to month variation in the fitted covariate values.
The stations with the four largest residuals all have significant elevation errors. The four elevation
values for the corresponding points in the data file are 700, 305, 145 and 200 metres. The correct
values are 1250, 40, 5 and 80 metres respectively. The departures of the fitted temperature values, as
can be seen in the file tmaxa.lis, are consistent with the fitted temperature elevation lapse rates.
The fifth largest residual in the large residual list is associated with a point on the coast, where close
proximity to the ocean can significantly reduce maximum temperatures.
Fitting temperature with a partial spline dependence on elevation provides a robust analysis of
elevation dependence that is very useful for flagging elevation errors in the data. These errors have
been corrected in the data file tmaxb.dat used by command 7. Once data errors are corrected it is
generally recommended to fit a full trivariate spline function of longitude, latitude and elevation to
temperature to account for variations in lapse rates over space. This is not done in these examples.
2. Uses GCVGML to calculate values and model standard errors for the GCV for each month, as a
function of the smoothing parameter, in the file tmaxa.gcv. The optimisation parameters required
for this calculation have been obtained from the optimisation parameters file tmaxa.opt, as
produced by command 1.
3. Uses LAPPNT to calculate values of the 12 fitted surfaces, fitted by command 1, at positions
specified in the file tmaxa.dat. Since this is the same data file used in command 1, the calculated
surface values should be identical to the fitted values in the file tmaxa.lis. In this case the data
file tmaxa.dat is read using a FORTRAN format statement. The surface coefficients are read from
the file tmaxa.sur and the error covariance matrices of the surface coefficients are read from the
file tmaxa.cov. The log file includes summary statistics for the output surface and standard error
values.
4. Uses LAPGRD to calculate summary statistics of grids of mean daily maximum temperature and
standard errors for the four mid-season months. LAPGRD uses the surface coefficients and error
covariance matrices calculated by command 1 and the DEM in ArcGIS ascii format in tas4.asc.
The actual surface and standard error grids are not calculated, hence there are no output files apart
from the log file. The summary statistics are written to the log file. They consist of, for each month,
ANUSPLIN Version 4.4
42
the number of valid grid points, the mean of the grid of valid surface values and the standard error of
the grid mean. Note that this is NOT the mean of the grid of standard errors.
5. Uses LAPGRD to calculate the same summary statistics of grids as calculated by command 4 but
uses X and Y coordinates supplied separately as grids in tas4x.grd and tas4y.grd and
elevations supplied as a grid in tas4.dem. This option can be useful in modelling situations where
the X or Y coordinates used to fit the spline surface are not the standard X or Y coordinates but are
instead functions of position. This option can also support the calculation of regular grids according
to a map projection other than the coordinates used to fit the spline surface.
6. Uses LAPGRD to calculate grids of values of mean daily maximum temperature and prediction
standard errors for the months of January and July. The grids of surface values depend on the
surface coefficients tmaxa.sur calculated by SPLINE in command 1 and the small DEM provided
as tas4.asc. The standard error grids also depend on the error covariance matrices in
tmaxa.cov calculated by SPLINE. By specifying maximum standard errors of 0.8, surface values
and errors are not calculated if the prediction standard error exceeds these values. This reduces the
number of grid points calculated from 148 to 80 in January and from 148 to 43 in July. This facility
is useful in preventing calculation of grid values with very large estimated errors.
The file tas4.asc is in standard ArcGIS ascii GRID format. LAPGRD reads the elevation data
from this file, in units of metres, without further specification of format. Special or NODATA
values, as specified in the header of this file, are recognised by LAPGRD. Surface values are not
calculated by LAPGRD for such values. Binary ArcGIS grid files, with accompanying standard ascii
header files, are also recognised by LAPGRD, provided the ascii header file is provided with the
standard file extension ".hdr". The position limits and grid spacing in the ArcGIS header file are
checked for compatibility with the position limits and grid spacing specified in the command file
tmaxagrd.cmt.
7. Uses SPLINE to fit an approximate partial thin plate spline, with linear dependence on elevation,
to the corrected monthly mean daily maximum temperature data in the data file tmaxb.dat. The
approximate spline is constructed by specifying 40 knots to be calculated by SPLINE. Other
specifications are the same as specified for SPLINE in command 1. The signals of the fitted surfaces
are all well less than the number of knots, indicating that the specified number of knots is sufficient.
The log file tmaxb.log contains summary statistics for the analysis, including the number of
points read by the program, the cross validation for each monthly surface and a ranked list of the
largest outliers from the fitted surfaces. The predictive errors obtained from using the corrected data
are considerably reduced from those obtained by command 1, with the RTGCV now varying
between 0.40 in September to 0.90 in February. The log file should always be carefully inspected.
Large outliers from the fitted surface often indicate errors in data positions or values. In this case the
use of the corrected data has removed all large outliers.
The fitted elevation lapse rates for this analysis are very similar to the lapse rates for the analysis
produced by command 1 but the standard errors have been halved because of the corrected data. The
use of knots saves computer time, both in fitting the surfaces and in subsequent interrogation of the
fitted surfaces. Moreover, it has helped to stabilise the values of the signal, which now show
systematic variation throughout the year.
The fitted surface coefficients are stored in tmaxb.sur. The error covariance matrices of the
surface coefficients are stored in tmaxb.cov. The list of data and fitted values is stored in
ANUSPLIN Version 4.4
43
tmaxb.lis. The optimisation parameters in tmaxb.opt can be used by GCVGML to calculate
the GCV as a function of different values of the smoothing parameter, as in command 2.
7. Uses LAPGRD to calculate grids of values of mean daily maximum temperature and prediction
standard errors for January and July. The grids depend on the surface coefficients tmaxb.sur, the
error covariance matrices in tmaxb.cov calculated by SPLINE in command 1 and the small DEM
in standard ArcGIS ascii format, provided as tas4.asc. As for command 6, surface values and
errors are not calculated if the prediction standard error exceeds the value 0.8. Since the data have
been corrected the standard errors of the fitted surfaces have all been reduced and now all gridded
surface values have standard errors less than 0.8 so that surface values and standard errors are
calculated for all 148 valid DEM points.

ANUSPLIN Version 4.4
44
Tri-variate spline smoothing of monthly mean precipitation data using knots and the square
root transformation
To illustrate the tri-variate spline smoothing of monthly mean precipitation data, two data files are
supplied in the test\rain subdirectory:
rain.dat - monthly mean precipitation data
rain.val - test monthly mean precipitation data
tas4.asc - small DEM in ArcGIS ascii grid format
Six ANUSPLIN command files for processing these data files are provided in the test\rain
subdirectory and are listed in the table below. Each command and its outputs are discussed in the
notes following the table. All output files are provided in the test\rain\out subdirectory.
Command
Input Files
Output Files
1. spline < rain1.cmt > rain1.log
rain.dat
rain1.not
rain.val
rain1.res
rain1.rcv
rain1.opt
rain1.sur
rain1.cov
rain1.lis
rain1.crv
rain1.out
2. addnot < rainadd.cmt > rainadd.log
rain1.res
rain1.not
rain2.not
3. spline < rain2.cmt > rain2.log
rain.dat
rain2.not
rain.val
rain2.res
rain2.rcv
rain2.opt
rain2.sur
rain2.cov
rain2.lis
rain2.crv
rain2.out
4. gcvgml < rainadd.cmt > rainadd.log
rain2.opt
rain2.gcv
5. lapgrd < raingrd.cmt > raingrd.log
rain2.sur
rain01.asc
rain2.cov
rain07.asc
tas4.asc
rcov01.asc
rcov07.asc
6. selnot < rainsel.cmt > rainsel.log
rain.dat
rain.not
ANUSPLIN Version 4.4
45
Notes
1. Uses SPLINE to fit 12 approximate thin plate smoothing spline functions to 12 sets of monthly
mean precipitation data in the file rain.dat. There are 246 data points in rain.dat of which
243 lie within the specified X,Y limits. An approximate spline is calculated by specifying 150 knots
to be selected from the data points. Positive margins of 3.0 for longitude and 2.0 for latitude are also
specified.
The rainfall mean data values are first transformed by the square root transformation. This should
only be applied to data with naturally non-negative values. The square root rainfall means are
weighted uniformly in the spline fitting process. The square root transformation reduces the skew in
the data and this has been found by Hutchinson (1998b) to reduce overall error when interpolating
daily precipitation data. The effect of using the square root transformation is to apply more
smoothing to large rainfall data values, and less smoothing to small rainfall data values.
The log file shows that the signals of the fitted surfaces vary slightly over the year between 92 and
116. These values well less than the number of knots, indicating that the initial choice of the number
of knots is sufficient to capture the spatial variability in the rainfall data. Summary statistics in the
log file are calculated in terms of the square root analysis. The log file also includes summary
statistics for individually cross validated values. These are calculated in terms of both the square
root rainfall values and the untransformed rainfall values. The summary error statistics of the test
data are calculated in the untransformed units of the data. The cross validation and the test data
statistics both indicate mean absolute predictive errors (MAE) of around 10% of the network means.
The MAE statistic is more appropriate for significantly skewed data such as rainfall. It is also
recommended to quote standard errors of rainfall in terms of percentages, because of the skewed
nature of the distribution of rainfall.
2. The ranked residual list output by command 1 indicates a modest number of large outliers, again
confirming the appropriateness of the initial choice of 150 knots. This file lists each large residual
together with the closest neighbouring site. The neighbouring site name is accompanied by its root
mean square residual and its distance from the large residual site in the final column. These
neighbours can help to assess whether a large residual is due to a data problem associated with the
site itself or possibly due to a data problem with its closest neighbour. In this case the neighbours of
the largest residual sites all have relatively small residuals, indicating that they are consistent with
the fitted surface and that the largest residuals either have less accurate data values or are just poorly
represented by the fitted surface. Assuming the latter, Command 2 uses ADDNOT to add just 5
knots to the initial knot set. These are selected from the top of the ranked residual list in
rain1.res to produce the augmented knot set in rain2.not. Since sites 092052 and 096001
are already knots, as indicated by the minus sign in the ranked residual list, the fifth additional knot
included in rain2.not is site 095009.
3. Uses SPLINE to fit approximate thin plate smoothing spline functions to the same 12 sets of
monthly mean precipitation data in the file rain.dat but now using the input knot data set in
rain2.not. The fits are slightly improved, with the average signal increasing from 108 to 116 and
the root mean GCV over all 12 months slightly improving from 0.447 to 0.435. The average MAEs
of the individually cross validated data barely improves from 7.23 to 7.21 and the average MAEs of
the test data improves from 6.29 to 6.13. The magnitudes of the largest residuals are also slightly
improved. Thus in this case the additional knots have yielded a marginal improvement in the fit and
predictive error of the fitted spline and no further knots should be added to the knot set.
4. Uses GCVGML to calculate values of the GCV for each month for the fit by command 3, as a
function of the logarithm to base 10 of the smoothing parameter. The optimisation parameters
ANUSPLIN Version 4.4
46
required for this calculation are read from the file rain2.opt produced by command 3. The
output GCV values are tabulated in the output text file rain.gcv. The GCV values in this table
show unimodal minimums for each surface. This in part reflects the robustness of SPLINE analyses
with knots.
5. Uses LAPGRD to calculate the grid files rain01.asc, rain07.asc, rcov01.asc and
rcov07.asc, in ArcGIS ascii grid format. These files contain grids of mean precipitation and
standard errors for the months January and July. The grids depend on the surface coefficients in the
file rain2.sur and the covariance matrices in rain2.cov as produced by command 3 and the
small DEM in ArcGIS ascii grid format in the file tas4.asc. The log file concludes with
summary statistics of the output grid files.
6. Uses SELNOT to select 150 knots from the 243 data points in rain.dat that lie within the specified
coordinate limits. The selected knots are written to the output rain.not. This file is identical to
the output knot file rain1.not produced by SPLINE under command 1. This verifies that the
knot selection processes for SPLINE and SELNOT are identical. SELNOT is now not commonly
used. As noted in Table 1, it can be useful for specifying a single knot set for a very large data set
that is to be processed by SPLINE in overlapping tiles. It can also be used to select a spatially
representative subset of a data set for spatially unbiased withheld data assessment of surface
accuracy (Hutchinson et al. 2009, Hopkinson et al. 2011).
The SELNOT program can output two files. The output knot file rain.not has two columns
containing the sequence number in the data file and the site name of each selected knot. These are
listed in order of increasing sequence number. The optional output file rain.rej provides a list of
the data points rejected as knots in the reverse order of their rejection. The sequence number of each
rejected point is accompanied by the sequence number of the closest remaining data point which
gave rise to the rejection of the data point. This is followed by the site names of the rejected data
point and its neighbour. The final column gives the Euclidean distance in the independent variable
space between the two points. These naturally increase from the first rejected point at the bottom of
the file to the last rejected point at the top of the file. The minimum separation of the selected knots
exceeds the largest distance at the top of the rejected point file.

ANUSPLIN Version 4.4
47
Bi-variate and tri-variate spline smoothing of monthly mean solar radiation data using surface
independent variables
To illustrate bi-variate and tri-variate spline smoothing of monthly mean solar radiation data, five
data files are supplied in the test/rad subdirectory:
rainrad.dat - monthly mean solar radiation and precipitation data
rainrad.val - validation monthly mean solar radiation and precipitation data
tas4.asc - small DEM in ArcGIS ascii grid format
rain01.asc - precipitation grid in ArcGIS ascii grid format
rain07.asc - precipitation grid in ArcGIS ascii grid format
The two precipitation grids are as calculated in the test\rain\out subdirectory by command 5
of the preceding set of examples. Five ANUSPLIN command files are provided in the test\rad
subdirectory and are listed in the table below. Each command and its outputs are discussed in the
notes following the table. All output files are provided in the test\rad\out subdirectory.
Command
Input files
Output files
1. spline < rad.cmt > rad.log
rainrad.dat
rad.res
rainrad.val
rad.rcv
rad.opt
rad.sur
rad.cov
rad.lis
rad.crv
rad.out
2. lapgrd < radgrd.cmt > radgrd.log
rad.sur
rad01.asc
rad.cov
rad07.asc
tas4.asc
raderr01.asc
raderr07.asc
3. spline < rainrad.cmt > rainrad.log
rainrad.sur
rainrad.res
rainrad.val
rainrad.rcv
rainrad.opt
rainrad.sur
rainrad.cov
rainrad.lis
rainrad.crv
rainrad.out
4. gcvgml < rradgcv.cmt > rradgcv.log
rainrad.opt
rradgcv.log
rainrad.gcv
5. lapgrd < rradgrd.cmt > rradgrd.log
rainrad.sur
rrad01.asc
rainrad.cov
rrad07.asc
rain1.grd
rraderr01.asc
rain7.grd
rraderr07.asc
ANUSPLIN Version 4.4
48
Notes
1. Uses SPLINE to fit 12 bi-variate thin plate smoothing spline functions to 12 sets of 98 monthly
mean solar radiation data points in the file rainrad.dat. All data points have been selected as
knots. Surface coefficients are written to the file rad.sur. Error covariance matrices of the
surface coefficients are written to the file rad.cov. The signals of the fitted surfaces are
acceptably less than the number of knots. Separate test data have been provided in the input file
rainrad.val and root mean square residuals from the surfaces of the test data are shown under
RMS in the output log file. These residuals are in good agreement with the square roots of the GCV,
especially in the winter months. Fitted values at the test points are written to the file rad.out in a
standard format.
2. Uses LAPGRD to calculate the surface grid files rad01.asc and rad07.asc, and prediction
standard error grids in raderr01.asc and raderr07.asc for the mid-summer and mid-winter
months January and July. All grids are written in ArcGIS ascii grid format. The grids depend on the
surface coefficients in the file rad.sur and the error covariance matrices in the file rad.cov, as
produced by command 1. Since the bi-variate solar radiation surfaces do not depend on elevation,
the DEM in ArcGIS ascii grid format in the file tas4.asc is used to mask the output grids so that
points are only calculated over land. The log file concludes with summary statistics of all output grid
files.
3. Uses SPLINE to fit 12 tri-variate partial thin plate smoothing spline functions to 12 sets of
monthly mean solar radiation data in the file rainrad.dat. Monthly mean rainfall, transformed
by the tanh function, is used as a surface independent covariate. This variable varies systematically
from month to month so separate input rainfall values need to be provided for each month in the data
file. Surface coefficients are written to the file rainrad.sur. Error covariance matrices of the
surface coefficients are written to the file rainrad.cov. Separate test data have been provided in
the input file rainrad.val. The root mean square residuals from the surfaces of the test data are
shown under RMS in the output log file. The RTGCV and RMS values show agreement similar to
that for the bi-variate analysis in command 1. Fitted values at the test points are written to the file
rainrad.out in a standard format.
The dependence on transformed rainfall allows for the known dependence of solar radiation on cloud
associated with rainfall, giving rise to more complex solar radiation patterns in areas with complex
terrain (Hutchinson et al. 1984a). Signals of the fitted surfaces are mostly smaller than the signals
for the bivariate analysis, and show a more consistent progression over the months. Test data
residuals in the summer months are slightly less than corresponding test data residuals for the bi-
variate analysis, while test data residuals in the winter months are slightly larger. Some remaining
data errors may affect these comparisons. There is some minor inconsistency in the coefficients of
the covariates for different months.
4. Uses GCVGML to calculate values of the GCV for each month, as a function of the logarithm, to
base 10, of the smoothing parameter. The optimisation parameters required for this calculation are
read from the file rainrad.opt produced by command 3. The output GCV values are tabulated in
the output text file rainrad.gcv. The GCV values in this table show multi-modal behaviour for
some months, indicative of remaining data errors, and perhaps deficiencies in the modelled
dependence on rainfall.
5. Uses LAPGRD to calculate the surface grid files rrad01.asc and rrad07.asc, and
prediction standard error grids in rraderr01.asc and rraderr07.asc for the mid-summer
and mid-winter months January and July. All grids are written in ArcGIS ascii grid format. The grids
ANUSPLIN Version 4.4
49
depend on the surface coefficients in the file rainrad.sur and the error covariance matrices in
the file rainrad.cov, as produced by command 3, as well as the rainfall grids rain01.asc and
rain07.asc for the months of January and July. The rainfall grids are the grids produced by
command 5 of the preceding group of examples of rainfall analyses. Since the rainfall grids
automatically depend on elevation, there is no need to use a mask grid in this case to ensure that grid
points are only calculated over land. The log file concludes with summary statistics of all output grid
files.
ANUSPLIN Version 4.4
50
REFERENCES
Bates D and Wahba G. 1982. Computational methods for generalised cross validation with large data
sets. In: Baker CTH and Miller GF (eds). Treatment of Integral Equations by Numerical Methods.
New York: Academic Press: 283-296.
Bates D, Lindstrom M, Wahba G and Yandell B. 1987. GCVPACK routines for generalised cross
validation. Commun. Statist. B Simulation and Computation 16: 263-297.
Booth, T.H., Nix, H.A., Busby, J.R. and Hutchinson, M.F. 2013. BIOCLIM: the first species
distribution modelling (SDM) package, its early applications and relevance to most current MaxEnt
studies. Diversity and Distributions (in press).
Craven P and Wahba G. 1979. Smoothing noisy data with spline functions. Numerische Mathematik
31: 377-403.
Dongarra, JJ., Moler, CB., Bunch, JR. and Stewart GW. 1979. LINPACK Users' Guide. SIAM,
Philadelphia.
Elden L. 1984. A note on the computation of the generalised cross-validation function for ill-
conditioned least squares problems. BIT 24: 467-472.
Hopkinson, R.F., McKenney, D.W., Milewska, E.J., Hutchinson, M.F., Papadopol, P. and Vincent,
L.A. 2011. Impact of aligning climatological day on gridding daily maximum-minimum temperature
and precipitation over Canada. Journal of Applied Meteorology and Climatology 50: 1654-1665.
Houser P, Hutchinson MF, Viterbo P, Hervé Douville J, and Running SW 2004. Terrestrial data
assimilation. In: Vegetation, Water, Humans and the Climate. Global Change - The IGB Series.
Kabat, P. et al. (eds). Springer, Berlin.
Hutchinson MF. 1984. A summary of some surface fitting and contouring programs for noisy data.
CSIRO Division of Mathematics and Statistics, Consulting Report ACT 84/6. Canberra, Australia.
Hutchinson MF. 1988. Calculation of hydrologically sound digital elevation models. Third
International Symposium on Spatial Data Handling. Columbus, Ohio: International Geographical
Union: 117-133.
Hutchinson MF. 1989a. A new objective method for spatial interpolation of meteorological variables
from irregular networks applied to the estimation of monthly mean solar radiation, temperature,
precipitation and windrun. CSIRO Division of Water Resources Tech. Memo. 89/5: 95-104.
Hutchinson MF. 1989b. A new procedure for gridding elevation and stream line data with automatic
removal of spurious pits. Journal of Hydrology 106: 211-232.
Hutchinson MF. 1991a. The application of thin plate smoothing splines to continent-wide data
assimilation. In:. Jasper JD (ed.) BMRC Research Report No.27, Data Assimilation Systems.
Melbourne: Bureau of Meteorology: 104-113.
Hutchinson MF. 1991b. Climatic analyses in data sparse regions. In:. Muchow RC and. Bellamy JA
(eds). Climatic Risk in Crop Production, CAB International, 55-71.
Hutchinson MF. 1993. On thin plate splines and kriging. In: Tarter ME and Lock MD.(eds).
Computing and Science in Statistics 25. University of California, Berkeley: Interface Foundation of
North America: 55-62.
Hutchinson MF. 1995. Interpolating mean rainfall using thin plate smoothing splines. International
Journal of Geographic Information Systems 9: 305-403.

ANUSPLIN Version 4.4
51
Hutchinson MF. 1996. A locally adaptive approach to the interpolation of digital elevation models.
Third Conference/Workshop on Integrating GIS and Environmental Modeling. Santa Barbara:
NCGIA, University of California. http://www.ncgia.ucsb.edu/conf/SANTA_FE_CD-
ROM/santa_fe.html.
Hutchinson MF. 2006. ANUDEM Version 5.3. Fenner School of Environment and Society,
Australian National University, Canberra. http://fennerschool.anu.edu.au/research/products/anudem
Hutchinson MF. 1998a. Interpolation of rainfall data with thin plate smoothing splines: I two
dimensional smoothing of data with short range correlation. Journal of Geographic Information and
Decision Analysis 2(2): 152-167.
http://www.ai-geostats.org/pub/AI_GEOSTATS/Papers20100623102956/Hutchinson_1.pdf
Hutchinson MF. 1998b. Interpolation of rainfall data with thin plate smoothing splines: II analysis
of topographic dependence. Journal of Geographic Information and Decision Analysis 2(2): 168-
185. https://wiki.52north.org/pub/AI_GEOSTATS/Papers20100623103414/Hutchinson_2.pdf
Hutchinson MF. and Bishof RJ. 1983. A new method for estimating the spatial distribution of mean
seasonal and annual rainfall applied to the Hunter Valley, New South Wales. Australian
Meteorological Magazine 31: 179-184.
Hutchinson MF, Booth TH, Nix HA and McMahon JP. 1984a. Estimating monthly mean values of
daily total solar radiation for Australia. Solar Energy 32: 277-290.
Hutchinson MF., Kalma JD and Johnson ME. 1984b. Monthly estimates of wind speed and wind run
for Australia. Journal of Climatology 4: 311-324.
Hutchinson MF. and de Hoog FR. 1985. Smoothing noisy data with spline functions. Numerische
Mathematik 47: 99-106.
Hutchinson MF. Nix HA. and McMahon JP. 1992. Climate constraints on cropping systems. In:
Pearson CJ. (ed), Ecosystems of the World, 18 Field Crop Ecosystems. Amsterdam: Elsevier: 37-58.
Hutchinson MF. and Gessler PE. 1994. Splines more than just a smooth interpolator. Geoderma
62: 45-67.
Hutchinson MF. Nix HA, McMahon JP. and Ord KD. 1996a. The development of a topographic and
climate database for Africa. In: Proceedings of the Third International Conference/Workshop on
Integrating GIS and Environmental Modeling, NCGIA, Santa Barbara, California.
http://www.ncgia.ucsb.edu/conf/SANTA_FE_CD-ROM/santa_fe.html
Hutchinson MF., Belbin L., Nicholls AO., Nix HA., McMahon J.P. and Ord KD. 1996b. Rapid
Assessment of Biodiversity, Volume Two, Spatial Modelling Tools. The Australian BioRap
Consortium, Australian National University, 142pp.
Hutchinson, M.F., McIntyre, S., Hobbs, R.J., Stein, J.L., Garnett, S. and Kinloch, J. 2005. Integrating
a global agro-climatic classification with bioregional boundaries in Australia. Global Ecology and
Biogeography 14: 197-211.
Hutchinson, M.F., Mckenney, D.W., Lawrence, K., Pedlar, J., Hopkinson, R., Milewska, E. and
Papadopol, P. 2009. Development and testing of Canada-wide interpolated spatial models of daily
minimum/maximum temperature and precipitation for 1961-2003. Journal of Applied Meteorology
and Climatology 48: 725–741.
Kesteven JL. and Hutchinson MF. 1996. Spatial modelling of climatic variables on a continental
scale. In: Proceedings of the Third International Conference/Workshop on Integrating GIS and
Environmental Modeling, NCGIA, Santa Barbara, California.

ANUSPLIN Version 4.4
52
http://www.ncgia.ucsb.edu/conf/SANTA_FE_CD-ROM/santa_fe.html
Kohn,R., Ansley, CF. and Tharm, D. 1991. The performance of cross-validation and maximum
likelihood estimators of spline smoothing parameters. Journal American Statistical Association 86:
1042-1049.
McKenney, D.W., Hutchinson, M.F., Papadopol, P., Lawrence, K., Pedlar, J., Campbell, K.,
Milewska, E., Hopkinson, R.F., Price, D. and Owen, T. 2011. Customized spatial climate models for
North America. Bulletin of the American Meteorological Society December 2011, 1611-1622.
doi:10.1175/BAMS-D-10-3132.1
Price DT., McKenney DW., Nalder IA., Hutchinson MF. and Kesteven JL. 2000. A comparison of
two statistical methods for spatial interpolation of Canadian monthly mean climate date. Agricultural
and Forest Meteorology 101: 81-94.
Schimek, M.G. (ed) 2000. Smoothing and Regression: approaches, computation and application.
John Wiley & Sons, New York.
Silverman B.W. 1985. Some aspects of the spline smoothing approach to nonparametric regression
curve fitting (with discussion). Journal Royal Statistical Society Series B 47: 1-52.
Wahba G. 1979. How to smooth curves and surfaces with splines and cross-validation. Proc. 24th
Conference on the Design of Experiments. US Army Research Office 79-2, Research Triangle Park,
NC: 167-192.
Wahba G. 1983. Bayesian confidence intervals for the cross-validated smoothing spline. Journal
Royal Statistical Society Series B 45: 133-150.
Wahba G. 1985. A comparison of GCV and GML for choosing the smoothing parameter in the
generalized spline smoothing problem. Annals of Statistics 13: 1378-1402.
Wahba G. 1990. Spline Models for Observational Data. CBMS-NSF Regional Conference Series in
Applied Mathematics 59, SIAM, Philadelphia, Pennsylvania.
Xu, T. and Hutchinson M.F. 2011. ANUCLIM Version 6.1. Fenner School of Environment and
Society, Australian National University, Canberra.
http://fennerschool.anu.edu.au/research/products/anuclim
Xu, T. and Hutchinson, M.F. 2013. New developments and applications in the ANUCLIM spatial
climatic and bioclimatic modelling package. Environmental Modelling and Software 40: 267-279.
doi: 10.1016/j.envsoft.2012.10.003