XL 300 Con143766
User Manual: XL-300
Open the PDF directly: View PDF
.
Page Count: 91

Sondate/Quelento/Sarparm XL 50, 200, 300 and 400 mg Prolonged-release Tablets
UK/H/2074 and
UK/H/4674-5/01-4/DC
1
Public Assessment Report
Decentralised Procedure
Sondate/Quelento/Sarparm XL 50 mg Prolonged-release Tablets
Sondate/Quelento/Sarparm XL 200 mg Prolonged-release Tablets
Sondate/Quelento/Sarparm XL 300 mg Prolonged-release Tablets
Sondate/Quelento/Sarparm XL 400 mg Prolonged-release Tablets
(Quetiapine fumarate)
Procedure Nos: UK/H/2074 and UK/H/4674-5/01-4/DC
UK Licence No: PL 00289/1219-22 and PL 00289/1506-13
Teva UK Limited

Sondate/Quelento/Sarparm XL 50, 200, 300 and 400 mg Prolonged-release Tablets
UK/H/2074 and
UK/H/4674-5/01-4/DC
2
LAY SUMMARY
Sondate/Quelento/Sarparm XL 50 mg Prolonged-release Tablets
Sondate/Quelento/Sarparm XL 200 mg Prolonged-release Tablets
Sondate/Quelento/Sarparm XL 300 mg Prolonged-release Tablets
Sondate/Quelento/Sarparm XL 400 mg Prolonged-release Tablets
(Quetiapine fumarate)
This is a summary of the Public Assessment Report (PAR) for Sondate/Quelento/Sarparm XL 50, 200,
300 and 400 mg Prolonged-release Tablets (PL 00289/1219-22 and PL 00289/1506-13; UK/H/2074/01-
4/DC and UK/H/4674-5/01-4/DC). It explains how Sondate/Quelento/Sarparm XL 50, 200, 300 and 400
mg Prolonged-release Tablets were assessed and their authorisation recommended as well as their
conditions of use. It is not intended to provide practical advice on how to use these products.
These products will be referred to as Sondate/Quelento/Sarparm Tablets in this lay summary for ease of
reading.
For practical information about using Sondate/Quelento/Sarparm Tablets, patients should read the
package leaflets or contact their doctor or pharmacist.
What is Sondate/Quelento/Sarparm Tablets and what are they used for?
Sondate/Quelento/Sarparm Tablets are ‘generic medicines’. This means that they are similar to the
‘reference medicines’, already authorised in the UK called Seroquel XL 50, 200, 300 and 400 mg
prolonged-released tablets (AstraZeneca UK Limited, UK).
Sondate/Quelento/Sarparm Tablets are used to treat several illnesses, such as:
• Bipolar depression and major depressive episodes in major depressive disorder: where patients
feel sad. They may find that they feel depressed, feel guilty, lack energy, lose their appetite or
can’t sleep
• Mania: where patients may feel very excited, elated, agitated, enthusiastic or hyperactive or have
poor judgement including being aggressive or disruptive.
• Schizophrenia: where patietns may hear or feel things that are not there, believe things that are
not true or feel unusually suspicious, anxious, confused, guilty tense or depressed.
How do Sondate/Quelento/Sarparm Tablets work?
Sondate/Quelento/Sarparm Tablets contains the active ingredient quetiapine, which belongs to a group
of medicines called anti-psychotics. This medicine affects the action of a number of chemicals in the
brain called neurotransmitters – chemicals which brain cells need to communicate with each other.
How are Sondate/Quelento/Sarparm Tablets used?
Sondate/Quelento/Sarparm Tablets are taken by mouth. The tablet should be swallowed whole with a
drink of water. The tablet should not be split, chewed or crushed. This medicine must be taken without
food (at least one hour before a meal or at bedtime).
The maintenance dose (daily dose) will depend on patient’s illness and needs but will usually be
between 150 mg and 800 mg. Patients should not drink grapefruit juice while they are taking this
medicine as it can affect the way it works.
The dose in elderly people or patients with liver problems may be changed by a doctor
Sondate/Quelento/Sarparm Tablets should not be used by children and adolescents aged under 18 years.
Sondate/Quelento/Sarparm XL 50, 200, 300 and 400 mg Prolonged-release Tablets
UK/H/2074 and
UK/H/4674-5/01-4/DC
3
This medicine can only be obtained with a prescription.
Please read Section 3 of the patient information leaflet for detailed information on dosing
recommendations, the route of administration and the duration of treatment.
How have Sondate/Quelento/Sarparm Tablets been studied?
Because Sondate/Quelento/Sarparm Tablets are generic medicines, studies in patients have been limited
to tests to determine that they are bioequivalent to the reference medicines, Seroquel XL 50, 200, 300
and 400 mg prolonged-released tablets. Two medicines are bioequivalent when they produce the same
levels of the active substance in the body.
What are the benefits and risks of Sondate/Quelento/Sarparm Tablets?
Because Sondate/Quelento/Sarparm Tablets are generic medicines, and are bioequivalent to the
reference medicines, Seroquel XL 50, 200, 300 and 400 mg prolonged-released tablets, their benefits
and risks are taken as being the same as the reference medicines.
Why is Sondate/Quelento/Sarparm Tablets approved?
It was concluded that, in accordance with EU requirements, Sondate/Quelento/Sarparm Tablets have
been shown to have comparable quality and to be bioequivalent to Seroquel XL 50, 200, 300 and 400
mg prolonged-released tablets. Therefore, the view was that, as for Seroquel XL 50, 200, 300 and 400
mg prolonged-released tablets, the benefits outweigh the identified risks.
What measures are being taken to ensure the safe and effective use of Sondate/Quelento/Sarparm
Tablets?
A risk management plan has been developed to ensure that Sondate/Quelento/Sarparm Tablets are used
as safely as possible. Based on this plan, safety information has been included in the Summaries of
Product Characteristics (SmPC) and the package leaflet for Sondate/Quelento/Sarparm Tablets,
including the appropriate precautions to be followed by healthcare professionals and patients.
Known side effects are continuously monitored. Furthermore new safety signals reported by patients and
healthcare professionals will be monitored and reviewed continuously as well.
Other information about Sondate/Quelento/Sarparm Tablets
Austria, Belgium, Bulgaria, Czech Republic, Denmark, Estonia, Finland, Germany, Greece, Hungary,
Italy, Ireland, Latvia, Lithuania, Luxembourg, the Netherlands, Norway, Poland, Portugal, Romania,
Slovenia, Slovak Republic, Spain and the UK agreed to grant Marketing Authorisations for
Sondate/Quelento/Sarparm Tablets on 23 November 2011. Marketing Authorisations were granted in the
UK on 22 December 2011.
The name of the product was changed from Sondate XL 50, 200, 300 and 400 mg Prolonged-release
Tablets to Quelento XL 50, 200, 300 and 400 mg Prolonged-release Tablets (PL 00289/1506-9;
UK/H/4674/001-4/DC) and to Sarparm XL 50 mg Prolonged-release Tablets (PL 00289/1510-13;
UK/H/4675/001-4/DC) via variations that were approved on 22 January 2013.
The full PAR for Sondate/Quelento/Sarparm Tablets follows this summary.
This summary was last updated in January 2018.
Sondate/Quelento/Sarparm XL 50, 200, 300 and 400 mg Prolonged-release Tablets
UK/H/2074 and
UK/H/4674-5/01-4/DC
4
SCIENTIFIC DISCUSSION
TABLE OF CONTENTS
I Introduction
Page 5
II Quality aspects
Page 7
III Non-clinical aspects
Page 9
IV Clinical aspects
Page 9
V User consultation
Page 17
VI Overall conclusion, benefit/risk assessment and
recommendation
Page 17
Table of content of the PAR update for MRP and DCP
Annex – 1
Annex - 2
Page 20
Page 21
Page 87
Sondate/Quelento/Sarparm XL 50, 200, 300 and 400 mg Prolonged-release Tablets
UK/H/2074 and
UK/H/4674-5/01-4/DC
5
I INTRODUCTION
Based on the review of the data on quality, safety and efficacy, the member states considered that the
applications for Sondate XL 50 mg, 200 mg, 300 mg and 400 mg prolonged-release tablets (PL
00289/1219-22 and PL 00289/1506-13; UK/H/2074 and UK/H/4674-5/01-4/DC) could be approved.
The products are prescription-only medicines (POM) indicated for the treatment of:
• schizophrenia,
• bipolar disorder including:
- moderate to severe manic episodes in bipolar disorder
- major depressive episodes in bipolar disorder
- preventing recurrence in bipolar disorder in patients whose manic or depressive episode has
responded to quetiapine treatment.
Sondate XL 50 mg, 200 mg, 300 mg and 400 mg prolonged-release tablets are also indicated as add-on
treatment of major depressive episodes in patients with Major Depressive Disorder (MDD) who have
had sub-optimal response to antidepressant monotherapy. Prior to initiating treatment, clinicians should
consider the safety profile of quetiapine.
These applications were submitted using the Decentralised Procedure (DCP), with the UK as Reference
Member State (RMS), and Austria, Belgium, Bulgaria, Czech Republic, Denmark, Estonia, Finland,
Germany, Greece, Hungary, Italy, Ireland, Latvia, Lithuania, Luxembourg, the Netherlands, Norway,
Poland, Portugal, Romania, Slovenia, Slovak Republic and Spain as Concerned Member States (CMS).
These applications were submitted under Article 10(1) of Directive 2001/83/EC, as amended, as generic
applications. The reference medicinal product for these applications is Seroquel 200 mg film-coated
tablets (AstraZeneca BV, Netherlands), which was first authorised in the Netherlands on 27 April 1998.
Reference is also made to the corresponding prolonged-release UK reference products Seroquel XL 50
mg, 200 mg, 300 mg and 400 mg prolonged-released tablets (AstraZeneca UK Limited, UK), which
were first authorised in the UK on 10 September 2008.
Sondate XL 50mg, 200 mg, 300 mg and 400 mg prolonged-release tablets contain the active ingredient
quetiapine (as quetiapine fumarate), which is an atypical antipsychotic.
No new non-clinical data have been submitted, which is acceptable given that the applications were
based on being generic medicinal products of originator products that have been in clinical use for over
10 years.
Eight (four single-dose and four multiple-dose) bioequivalence studies were submitted to support these
applications, comparing the test products Quetiapine Prolonged Release (PR) 50 mg, 200 mg, 300 mg
and 400 mg Tablets with the corresponding reference products Seroquel XR 50 mg, 200 mg, 300 mg
and 400 mg Tablets (AstraZeneca BV, Netherlands), and Seroquel Prolong 200 mg Retardtabletten
(AstraZeneca GmbH, Germany). During product development, Quetipine PR was the name used for the
Sondate XL products. The bioequivalence studies were carried out in accordance with Good Clinical
Practice (GCP).
With the exception of the bioequivalence studies, no new clinical data were submitted, which is
acceptable given that the applications were based on being generic medicinal products of an originator
product that have been in clinical use for over 10 years. The bioequivalence studies were carried out in
accordance with Good Clinical Practice (GCP).
The RMS has been assured that acceptable standards of Good Manufacturing Practice (GMP) are in
place at all sites responsible for the manufacture, assembly and batch release of these products. For
Sondate/Quelento/Sarparm XL 50, 200, 300 and 400 mg Prolonged-release Tablets
UK/H/2074 and
UK/H/4674-5/01-4/DC
6
manufacturing sites within the Community, the RMS has accepted copies of current manufacturer
authorisations issued by inspection services of the competent authorities as certification that acceptable
standards of GMP are in place at those sites.
The RMS and CMS considered that the applications could be approved at the end of procedure (Day
210) on 23 November 2011. After a subsequent national phase, licences were granted in the UK on 22
December 2011.
The name of the product was changed from Sondate XL 50, 200, 300 and 400 mg Prolonged-release
Tablets to Quelento XL 50, 200, 300 and 400 mg Prolonged-release Tablets (PL 00289/1506-9;
UK/H/4674/001-4/DC) and to Sarparm XL 50, 200, 300 and 400 mg Prolonged-release Tablets (PL
00289/1510-13; UK/H/4675/001-4/DC) via variations that were approved on 22 January 2013.

Sondate/Quelento/Sarparm XL 50, 200, 300 and 400 mg Prolonged-release Tablets
UK/H/2074 and
UK/H/4674-5/01-4/DC
7
II QUALITY ASPECTS
II.1 Introduction
The products are presented as prolonged-release tablets. Each tablet contains 50, 200, 300 and 400 mg
quetiapine (as quetiapine fumarate).
Other ingredients consist of the pharmaceutical excipients in the tablet core and film coating, namely
hypromellose, cellulose microcrystalline, sodium citrate anhydrous, magnesium stearate, titanium
dioxide (E171), macrogol/PEG 400, Polysorbate 80. The 50 mg, 200, mg and 300mg strength tablets
also contain yellow iron oxide (E172) and red iron oxide (E172) and the 50 mg and 300 mg strength
tablets also contain black iron oxide (E172). Appropriate justifications for the inclusion of each
excipient have been provided.
All excipients comply with their respective European Pharmacopoeia monograph, with the exception of
sodium citrate anhydrous, yellow iron oxide (E172), red iron oxide (E172) and black iron oxide (E172).
Sodium citrate anhydrous is controlled to a suitable in-house specification. Iron oxide yellow (E172),
iron oxide red (E172) and iron oxide black (E172) are controlled to National Formulary specifications
and are in compliance with current EU Directives concerning the use of colouring agents. Satisfactory
Certificates of Analysis have been provided for all excipients.
None of the excipients contain materials of animal or human origin. No genetically modified organisms
(GMO) have been used in the preparation of these excipients.
The tablets are packaged in either:
1. polyvinylchloride/Aclar/Aluminium (PVC/Aclar/Al) blisters, in pack sizes of 10, 20, 30, 50,
50x1 (hospital pack), 56 (calendar pack), 60, 90 and 100 prolonged-release tablets.
2. white opaque high-density polyethylene (HDPE) bottles, with white opaque polypropylene (PP)
screw caps containing dessicant, in a pack size of 60 prolonged-release tablets.
Not all pack sizes may be marketed.
Satisfactory specifications and Certificates of Analysis have been provided for all packaging
components. All primary packaging complies with the current European regulations concerning
materials in contact with food.
II.2 Drug substance
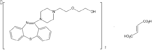
INN: Quetiapine fumarate
Chemical Name: Bis [2-(2-[4-(dibenzo[b,f][1,4]thiapin-11-yl) piperazin-1-yl] ethoxy)ethanol],
fumarate;
Ethanol [2-(2-[4-(dibenzo[b,f][1,4]-thiazepin-11-yl-1)piperazinyl)ethoxy]-(E)-2-
butenedionate (2:1)
Molecular formula: (C21H25N3O2S)2.C4H4O4
Structure:
Molecular mass: 883.10 g/mol
Sondate/Quelento/Sarparm XL 50, 200, 300 and 400 mg Prolonged-release Tablets
UK/H/2074 and
UK/H/4674-5/01-4/DC
8
Appearance: A white to off-white crystalline powder, moderately soluble in water, freely
soluble in acetic acid and slightly soluble in methanol and ethanol.
Quetiapine fumarate is not the subject of a European Pharmacopoeia monograph.
Synthesis of the active substance from the designated starting materials has been adequately described,
and appropriate in-process controls and intermediate specifications are applied. Satisfactory
specification tests are in place for all starting materials and reagents, and these are supported by relevant
Certificates of Analysis.
Appropriate proof-of-structure data have been supplied. All potential known impurities have been
identified and characterised.
An appropriate specification is provided for the active substance. Analytical methods have been
appropriately validated and are satisfactory for ensuring compliance with the specification limits. Batch
analysis data are provided and comply with the proposed specification.
Satisfactory Certificates of Analysis have been provided for all working standards.
Suitable specifications have been provided for all packaging used. The primary packaging has been
shown to comply with current guidelines concerning contact with foodstuff.
Appropriate stability data have been generated supporting a suitable retest period when stored in the
proposed packaging.
II.3 Medicinal Product
Pharmaceutical Development
The objective of the development programme was to formulate safe, efficacious, stable prolonged-
release tablets containing 50 mg, 200 mg, 300 mg and 400 mg quetiapine that could be considered
generic medicinal products of Seroquel XL 50 mg, 200 mg, 300 mg, and 400 mg prolonged-release
tablets (AstraZeneca UK Limited, UK). Suitable pharmaceutical development data have been provided
for these applications.
Suitable pharmaceutical development data have been provided for these applications.
Comparative in-vitro dissolution and impurity profiles have been provided for these products and their
respective reference products.
Manufacture of the products
Satisfactory batch formulae have been provided for the manufacture of all strengths of the product,
along with an appropriate account of the manufacturing process. The manufacturing process has been
validated at production scale and has shown satisfactory results.
Finished Product Specifications
The finished product specifications are satisfactory. The test methods have been described and
adequately validated, as appropriate. Batch data have been provided and comply with the release
specifications. Certificates of Analysis have been provided for any working standards used.
Stability of the products
Finished product stability studies were performed in accordance with current guidelines on batches of
Sondate/Quelento/Sarparm XL 50, 200, 300 and 400 mg Prolonged-release Tablets
UK/H/2074 and
UK/H/4674-5/01-4/DC
9
finished product packed in the packaging proposed for marketing. The data from these studies support a
shelf-life of 2 years, with no special storage conditions. After first opening the HDPE bottle/container,
the product should be used within 60 days.
Suitable post approval stability commitments have been provided to continue stability testing on batches
of finished product.
Bioequivalence/bioavailability
Satisfactory Certificates of Analysis have been provided for the test and reference batches used in the
bioequivalence studies. The bioequivalence studies are discussed in Section III.3, Clinical Aspects.
II.4 Discussion on chemical, pharmaceutical and biological aspects
There are no objections to the approval of these products from a pharmaceutical viewpoint.
III NON-CLINICAL ASPECTS
III.1 Introduction
The pharmacodynamic, pharmacokinetic and toxicological properties of quetiapine fumarate are well
known. No new non-clinical data have been submitted for these applications and none are required.
The applicant has provided an overview based on published literature. The non-clinical overview has
been written by an appropriately qualified person and is satisfactory, providing an appropriate review of
the relevant non-clinical pharmacology, pharmacokinetics and toxicology.
III.2 Pharmacology
Not applicable, see Section III.1 Introduction, above.
III.3 Pharmacokinetics
Not applicable, see Section III.1 Introduction, above.
III.4 Toxicology
Not applicable, see Section III.1 Introduction, above.
III.5 Ecotoxicity/Environmental Risk Assessment (ERA)
Suitable justification has been provided for not submitting an Environmental Risk Assessment. As the
products are intended for generic substitution with products that are already marketed, no increase in
environmental exposure to quetiapine is anticipated. Thus, the justification for not submitting an
Environmental Risk Assessment is accepted.
III.6 Discussion of the non-clinical aspects
There are no objections to the approval of these products from a non-clinical viewpoint.
IV CLINICAL ASPECTS
IV.1 Introduction
The clinical pharmacology of quetiapine fumarate is well-known. With the exception of data from the
bioequivalence studies detailed below, no new pharmacodynamics or pharmacokinetic data are provided
or are required for this type of applications.
No new efficacy or safety studies have been performed and none are required for this type of
applications. A comprehensive review of the published literature has been provided by the Applicant,
citing the well-established clinical pharmacology, efficacy and safety of quetiapine fumarate.

Sondate/Quelento/Sarparm XL 50, 200, 300 and 400 mg Prolonged-release Tablets
UK/H/2074 and
UK/H/4674-5/01-4/DC
10
IV.2 Pharmacokinetics
In support of the applications, the Marketing Authorisation Holder initially submitted the following six
bioequivalence studies:
Study 1
A randomised, open label, single-dose, three-period, three-sequence, two-treatment, partial
replicate, crossover study comparing the pharmacokinetics of the test product A, Quetiapine PR
50 mg Tablets and the reference product B, Seroquel XR 50 mg Tablets (AstraZeneca BV,
Netherlands) in healthy adult male and female subjects under fasting conditions.
The subjects were given a single dose of either treatment with 240ml of water after at least a 10-hour
overnight fast. The reference product B tablet was administered twice (replicate trial design) and hence
each subject was randomised to one of three dosing sequences: ABB, BAB or BBA. Blood samples
were collected before and up to 36 hours after each administration. The washout period between the
treatment periods was 7 days. The pharmacokinetic results are presented below:
Pharmacokinetic parameters (geometric means, ratios and confidence intervals [CI]) of
quetiapine)
Parameter
s (Units)
Ln-transformed Geometric Means and its
Ratio
90% Confidence
Interval
(ln-
transformed)
Quetiapine
PR 50 mg
(Test)
Seroquel XR
50 mg
(Reference)
Test/Ref Ratio
(%)
CV (%)
AUC0-t
(ng h/mL)
591.50
609.04
97.12
92.14-102.37
Cmax
(ng/mL)
43.43
44.67
97.22
90.04-104.98
24
AUC0-t area under the plasma concentration-time curve from time zero to t hours
Cmax maximum plasma concentration
CV coefficient of variation
Ratios and 90% CI calculated from log-transformed data
The 90% confidence intervals of the test/reference ratio for AUC0-t, and Cmax lie within the acceptable
limits of 80% to 125%, in line with the ‘Note for Guidance on the Investigation of Bioavailability and
Bioequivalence (CPMP/EWP/QWP/1401/98). Thus, the data support the claim that the test product
Quetiapine PR 50 mg Tablets is bioequivalent to the reference product Seroquel XR 50 mg Tablets
(AstraZeneca BV, Netherlands) in healthy subjects after a single oral dose, under fasting conditions.
Study 2
A randomised, open label, single-dose, three-period, three-sequence, two-treatment, partial
replicate, crossover study comparing the pharmacokinetics of the test product A, Quetiapine PR
50 mg Tablets and the reference product B, Seroquel XR 50 mg Tablets (AstraZeneca BV,
Netherlands), in healthy adult male and female subjects under fed conditions.
The subjects were given a single dose of either treatment with 240ml of water after a high fat, high
calorie breakfast after an overnight fast. The reference B tablet was administered twice (replicate trial
design) and hence each subject was randomised to one of three dosing sequences: ABB, BAB or BBA.
Blood samples were collected before and up to 36 hours after each administration. The washout period
between the treatment periods was 7 days. The pharmacokinetic results are presented below:

Sondate/Quelento/Sarparm XL 50, 200, 300 and 400 mg Prolonged-release Tablets
UK/H/2074 and
UK/H/4674-5/01-4/DC
11
Pharmacokinetic parameters (geometric means, ratios and confidence intervals [CI]) of
quetiapine)
Parameter
s (Units)
Ln-transformed Geometric Means and its
Ratio
90% Confidence
Interval
(ln-
transformed)
Quetiapine
PR 50 mg
(Test)
Seroquel
XR 50 mg
(Reference)
Test/Ref Ratio
(%)
CV (%)
AUC0-t
(ng h/mL)
568.15
562.89
100.93
97.50-104.49
Cmax
(ng/mL)
87.13
85.51
101.89
96.00-108.15
21
AUC0-t area under the plasma concentration-time curve from time zero to t hours
Cmax maximum plasma concentration
CV coefficient of variation
Ratios and 90% CI calculated from log-transformed data
The 90% confidence intervals of the test/reference ratio for AUC0-t, and Cmax lie within the acceptable
limits. Thus, the data support the claim that the test product Quetiapine PR 50 mg Tablets is
bioequivalent to the reference product Seroquel XR 50 mg Tablets (AstraZeneca BV, Netherlands) in
healthy subjects after a single oral dose, under fed conditions.
Study 3
A randomised, open label, multiple-dose, three-period, three-sequence, two-treatment, partial
replicate, crossover study comparing the pharmacokinetics of the test product A, Quetiapine PR
50 mg Tablets and the reference product B, Seroquel XR 50 mg Tablets (AstraZeneca BV,
Netherlands) in healthy adult male and female subjects under fasting conditions.
The subjects were given a single dose of either treatment with 240ml of water after an overnight fast.
The study drugs were administered once daily for 13 days over three treatment periods (period 1 – Days
1 to 5, period 2 - Days 6 to 9, and period 3 - Days 10 to 13). The reference B tablet was administered
twice (replicate trial design), hence each subject was randomised to one of three dosing sequences:
ABB, BAB or BBA. There was no washout period between the treatment periods. The elimination half-
life of quetiapine is approximately 7 hours. It can therefore be assumed that steady state would be
reached in each of the three study periods and that there would be no significant carryover of drug from
one period into the sampling phase of the subsequent period.
Blood samples were collected before each administration on Days 1, 3, 4, 7, 8, 11 and 12, and before
and up to 24 hours after each administration on Days 5, 9 and 13. The pharmacokinetic results are
presented below:

Sondate/Quelento/Sarparm XL 50, 200, 300 and 400 mg Prolonged-release Tablets
UK/H/2074 and
UK/H/4674-5/01-4/DC
12
Pharmacokinetic parameters (geometric means, ratios and confidence intervals [CI]) of
quetiapine)
Parameter
s (Units)
Ln-transformed Geometric Means and its
Ratio
90% Confidence
Interval
(ln-
transformed)
Quetiapine
PR 50 mg
(Test)
Seroquel XR
50 mg
(Reference)
Test/Ref
Ratio (%)
CV (%)
AUC0-tau
(ng h/mL)
581.71
561.21
103.65
100.16-107.27
Cmax
(ng/mL)
49.38
47.56
103.85
97.63-110.46
18
Ctrough
(ng/ml)
8.41
8.32
101.04
91.40-111.69
AUC0-tau area under the plasma concentration-time during a dosage interval in steady state
Cmax maximum plasma concentration over a dosing interval
Ctrough plasma concentration at the end of the dosing interval
CV coefficient of variation
Ratios and 90% CI calculated from log-transformed data
The 90% confidence intervals of the test/reference ratio for AUC0-tau, Cmax, and Ctrough lie within the
acceptable limits. Thus, the data support the claim that the test product Quetiapine PR 50 mg Tablets is
bioequivalent to the reference product Seroquel XR 50 mg Tablets (AstraZeneca BV, Netherlands) at
steady state in healthy subjects after multiple, oral doses, under fasting conditions.
Study 4
A randomised, open label, single-dose, three-period, three-sequence, two-treatment, partial
replicate, crossover study comparing the pharmacokinetics of the test product A, Quetiapine PR
200 mg Tablets and the reference product B, Seroquel XR 200 mg Tablets (AstraZeneca BV,
Netherlands) in healthy adult male and female subjects under fasting conditions.
The subjects were given a single dose of either treatment with 240ml of water after at least a 10-hour
overnight fast. The reference B tablet was administered twice (replicate trial design) and hence each
subject was randomised to one of three dosing sequences: ABB, BAB or BBA. Blood samples were
collected before and up to 48 hours after each administration. The washout period between the treatment
periods was 7 days. The pharmacokinetic results are presented below:
Pharmacokinetic parameters (geometric means, ratios and confidence intervals [CI]) of
quetiapine)
Parameter
s(Units)
Ln-transformed Geometric Means and its
Ratio
90% Confidence
Interval
(ln-
transformed)
Quetiapine
PR 200 mg
(Test)
Seroquel XR
200 mg
(Reference)
Test/Ref Ratio
(%)
CV (%)
AUC0-t
(ng h/mL)
2400.90
2371.88
101.22
95.05-107.8
Cmax
(ng/mL)
212.70
189.85
112.04
103.76-120.97
31
AUC0-t area under the plasma concentration-time curve from time zero to t hours
Cmax maximum plasma concentration
CV coefficient of variation
Ratios and 90% CI calculated from log-transformed data

Sondate/Quelento/Sarparm XL 50, 200, 300 and 400 mg Prolonged-release Tablets
UK/H/2074 and
UK/H/4674-5/01-4/DC
13
The 90% confidence intervals of the test/reference ratio for AUC0-t, and Cmax lie within the acceptable
limits. Thus, the data support the claim that the test product Quetipine PR 200 mg Tablets is
bioequivalent to the reference product Seroquel XR 200 mg Tablets (AstraZeneca BV, Netherlands) in
healthy subjects after a single, oral dose, under fasting conditions.
The results demonstrate that the intra-subject coefficient of variation of Cmax for the reference product
was greater than 30%. However, as the 90% confidence intervals of the test/reference ratio for AUC0-t
and Cmax lie within the defined limits of 80 to 125%, the proposed widening of the acceptance criteria
was not necessary.
Study 5
A randomised, open label, single-dose, three-period, three-sequence, two-treatment, partial
replicate, crossover study comparing the pharmacokinetics of the test product A, Quetiapine PR
200 mg Tablets and the reference product B, Seroquel XR 200 mg Tablets (AstraZeneca BV,
Netherlands) in healthy adult male and female subjects under fed conditions.
The subjects were given a single dose of either treatment with 240ml of water after a high fat, high
calorie breakfast after an overnight fast. The reference B tablet was administered twice (replicate trial
design) and hence each subject was randomised to one of three dosing sequences: ABB, BAB or BBA.
Blood samples were collected before and up to 48 hours after each administration. The washout period
between the treatment periods was 7 days. The pharmacokinetic results are presented below:
Pharmacokinetic parameters (geometric means, ratios and confidence intervals [CI]) of
quetiapine)
Parameter
s(Units)
Ln-transformed Geometric Means and its
Ratio
90% Confidence
Interval
(ln-
transformed)
Quetiapine
PR 200 mg
(Test)
Seroquel XR
200 mg
(Reference)
Test/Ref
Ratio
(%)
CV (%)
AUC0-t
(ng h/mL)
2370.12
2341.92
101.20
97.40-105.16
Cmax
(ng/mL)
387.84
333.71
116.22
108.41-124.60
25
AUC0-t area under the plasma concentration-time curve from time zero to t hours
Cmax maximum plasma concentration
CV coefficient of variation
Ratios and 90% CI calculated from log-transformed data
The 90% confidence intervals of the test/reference ratio for AUC0-t and Cmax lie within the acceptable
limits. Thus, the data support the claim that the test product Quetiapine PR 200 mg Tablets (Teva
Pharmaceutical Works Private Limited Company, Hungary) is bioequivalent to the reference product
Seroquel XR 200 mg Tablets (AstraZeneca BV, Netherlands) in healthy subjects after a single, oral
dose, under fed conditions.
Study 6
A randomised, open label, multiple dose, two-treatment, three-period, three-sequence, partial
replicate crossover study comparing the pharmacokinetics of the test product A, Quetiapine PR
400mg Tablets and the reference product B, Seroquel XR 400mg tablets (AstraZeneca BV,
Netherlands), in male and female subjects with primary psychotic and/or bipolar disorder, under
fasting conditions.

Sondate/Quelento/Sarparm XL 50, 200, 300 and 400 mg Prolonged-release Tablets
UK/H/2074 and
UK/H/4674-5/01-4/DC
14
The subjects were given 400 mg of either treatment with 240ml of water after an overnight fast. The
study drugs were administered once daily for 13 days over three treatment periods (period 1 - Days 1 to
5, period 2 - Days 6 to 9, and period 3 - Days 10 to 13). The reference B tablet was administered twice
(replicate trial design), hence each subject was randomised to one of three dosing sequences: ABB, BAB
or BBA. There was no washout period between the treatment periods. The elimination half life of
quetiapine is approximately 7 hours. It can therefore be assumed that steady state would be reached in
each of the three study periods and that there would be no significant carryover of drug from one period
into the sampling phase of the subsequent period. Blood samples were collected before each
administration on days 1, 3, 4, 7, 8, 11 and 12, and before and up to 24 hours after each administration
on Days 5, 9 and 13. The pharmacokinetic results are presented below:
Pharmacokinetic parameters (geometric means, ratios and confidence intervals [CI]) of
quetiapine)
Parameters
(Units)
Ln-transformed Geometric Means and its
Ratio
90% Confidence
Interval
(ln-transformed)
Quetiapine
PR 400 mg
(Test)
Seroquel
XR 400 mg
(Reference)
Test/Ref Ratio
(%)
CV (%)
AUC0-tau
(ng h/mL)
4603.58
4654.68
98.90
94.44-103.57
Cmax
(ng/mL)
440.08
446.31
98.60
91.54-106.21
23
Ctrough
(ng/mL)
57.69
64.17
89.90
80.59-100.28
36
AUC0-tau area under the plasma concentration-time curve during a dosage interval at steady state
Cmax maximum plasma concentration over a dosing interval
Ctrough plasma concentration at the end of the dosing interval
CV coefficient of variation
Ratios and 90% CI calculated from log-transformed data
The 90% confidence intervals of the test/reference ratio for AUC0-tau, Cmax and Ctrough lie within the
acceptable limits. Thus, the data support the claim that the test product Quetiapine PR 400 mg Tablets is
bioequivalent to the reference product Seroquel XR 400 mg Tablets (AstraZeneca BV, Netherlands) at
steady state in subjects with primary psychotic and/or bipolar disorder, after multiple doses, under
fasting conditions.
In response to requests by the RMS and CMS, the applicant submitted the following two additional
bioequivalence studies to support the applications:
Study 7:
A randomised, open label, multiple-dose, two-treatment, two-period, two-way, crossover study
comparing the pharmacokinetics of the test product A, Quetiapine PR 200mg Tablets and the
reference product B, Seroquel Prolong 200 mg Retardtabletten (AstraZeneca GmbH, Germany)
in healthy adult male and female subjects under fasting conditions.
The study included 3 phases:
• Titration: step-up increase of quetiapine doses from 50mg to 150mg over 3 days (Day -2 to 0)
• Period 1: building the steady-state and pharmacokinetic sampling (Day 1 to 5)
• Period 2: switch to the alternate treatment, maintain the steady-state and collect pharmacokinetic
samples (Day 6 to 9)
In order to reduce the adverse events, over a period of 4 days the subjects received increasing doses of

Sondate/Quelento/Sarparm XL 50, 200, 300 and 400 mg Prolonged-release Tablets
UK/H/2074 and
UK/H/4674-5/01-4/DC
15
quetiapine starting with 50 mg up to the 200 mg dose which was the strength of the tested formulations.
The 50mg product used was Seroquel XR 50 mg Tablets from the Canadian market. The use of a non-
EU product is acceptable in this context (initial dose titration) as, based on the elimination half-life of
about 7 hours it would be making a negligible contribution to the blood levels by Day 5 of the study
(first sampling day).
The subjects were given a single dose of either the test or reference product with 100 mL of water after
an overnight fast. Subjects were randomly assigned to one of the two dosing sequences AB or BA under
fasting conditions. Blood samples were collected over a 24-hour interval on Days 5 and 9, and in pre-
doses on Days 2, 3, 4, 5, 7, 8 and 9. There was no washout period between the treatment periods. The
pharmacokinetic results are presented below:
Pharmacokinetic parameters (geometric means, ratios and confidence intervals [CI]) of quetiapine
Parameter
s(Units)
Ln-transformed Geometric Means and its Ratio
90% Confidence
Interval
(ln-transformed)
Quetiapine
PR 200 mg
(Test)
Seroquel
Prolong 200 mg
(Reference)
Test/Ref
Ratio
(%)
CV
(%)
AUC0-tau
(ng h/mL)
3134.11
3118.90
100.49
96.36-104.80
Cmax
(ng/mL)
278.41
267.54
104.06
97.26-111.34
22
Ctrough
(ng/mL)
41.54
43.82
94.80
84.09-106.86
AUC0-tau area under the plasma concentration-time curve during a dosage interval at steady state
Cmax maximum plasma concentration over a dosing interval
Ctrough plasma concentration at the end of the dosing interval
CV coefficient of variation
Ratios and 90% CI calculated from log-transformed data
The 90% confidence intervals of the test/reference ratio for AUC0-tau, Cmax and Ctrough lie within the
acceptable limits. Thus, the data support the claim that the test product Quetiapine PR 200 mg Tablets
(Teva Pharmaceutical Works Private Limited Company, Hungary) is bioequivalent to the reference
product Seroquel Prolong 200 mg Retardtabletten (AstraZeneca GmbH, Germany) at steady state in
healthy subjects after multiple doses, under fasting conditions.
Study 8
A randomised, open label, multiple-dose, four-period, two-sequence, two-treatment, replicate,
crossover study comparing the pharmacokinetics of the test product A, Quetiapine PR 300 mg
Tablets and the reference product B, Seroquel XR 300 mg Tablets (AstraZeneca BV,
Netherlands), in male and female subjects with primary psychotic and/or bipolar disorder under
fasting conditions.
At admission on Day −3
The subjects followed the tapering schedule provided by the investigator.
Pre-dose Washout (Days −2 and −1)
Subjects were restricted from taking quetiapine for at least 48 hours prior to drug administration on Day
0.
Titration (Additional Product, Day 0)
On Day 0, following the pre-study washout and prior to the administration of the study drug, subjects
received a single, oral dose of Seroquel XR 200 mg Tablets (AstraZeneca Canada Inc., Canada) with

Sondate/Quelento/Sarparm XL 50, 200, 300 and 400 mg Prolonged-release Tablets
UK/H/2074 and
UK/H/4674-5/01-4/DC
16
240 mL of room temperature potable water after an overnight fast of at least 10 hours. The use of a non-
EU product is acceptable in this context (initial dose titration) as, based on the elimination half-life of
about 7 hours it would be making a negligible contribution to the blood levels .by Day 5 of the study
(first sampling day).
Dosing and Blood sampling (Days 1-17)
The subjects were given 300 mg of either treatment with 240ml of water after an overnight fast. The
study drugs were administered once daily for 17 days over four treatment periods. The subjects were
randomly assigned to one of the two dosing sequences ABAB or BABA. Blood samples were collected
before each administration on Days 0, 3, 4, 7, 8, 11, 12, 15, and 16, and before and up to 24 hours after
each administration on Days 5, 9 and 13 and 17. There was no washout period between the treatment
periods. The pharmacokinetic results are presented below:
Pharmacokinetic parameters (arithmetic means) of quetiapine
Parameters
(Units)
First Administration
Second Administration
Quetiapine PR
300 mg
(Test)
Seroquel XR
300 mg
(Reference)
Quetiapine PR
300 mg
(Test)
Seroquel XR
300 mg
(Reference)
AUC0-tau
(ng.mL/h)
4039.96
4039.24
3731.46
3774.66
Cmax
(ng/mL)
407.45
382.55
375.00
399.03
Ctrough
(ng/mL)
49.21
55.43
48.36
53.01
AUC0-tau area under the plasma concentration-time curve during a dosage interval at steady state
Cmax maximum plasma concentration
Ctrough plasma concentration at the end of the dosing interval
Pharmacokinetic parameters (geometric means, ratios and confidence intervals [CI]) of
quetiapine)
Parameter
s(Units)
Ln-transformed Geometric Means and its
Ratio
90% Confidence
Interval
(ln-
transformed)
Quetiapine
PR 300 mg
(Test)
Seroquel
XR 300 mg
(Reference)
Test/Ref Ratio
(%)
CV (%)
AUC0-t
(ng h/mL)
3507.39
3498.34
100.26
97.50-103.10
Cmax
(ng/mL)
346.38
342.57
101.11
94.73-107.93
23
Ctrough
(ng/mL)
37.70
43.19
87.30
81.05-94.02
AUC0-tau area under the plasma concentration-time curve during a dosage interval at steady state
Cmax maximum plasma concentration over a dosing interval
Ctrough plasma concentration at the end of the dosing interval
CV coefficient of variation
Ratios and 90% CI calculated from log-transformed data
The 90% confidence intervals of the test/reference ratio for AUC0-tau, Cmax and Ctrough lie within the
acceptable limits. Thus, the data support the claim that the test product Quetipine PR 300 mg Tablets is
bioequivalent to the reference product Seroquel XR 300 mg Tablets (AstraZeneca BV, Netherlands) at
steady-state in subjects with primary psychotic and/or bipolar disorder, after multiple doses, under
fasting conditions.
Sondate/Quelento/Sarparm XL 50, 200, 300 and 400 mg Prolonged-release Tablets
UK/H/2074 and
UK/H/4674-5/01-4/DC
17
Overall Conclusion on Bioequivalence
Based on the submitted bioequivalence studies, Quetiapine PR 50 mg, 200 mg, 300 mg and 400 mg
Tablets are considered bioequivalent with the corresponding strength reference products used in the
bioequivalence studies.
As the Dutch and German reference products used in the bioequivalence studies are considered identical
to the corresponding strength reference products in the UK, bioequivalence has also been shown
between the Sondate XL 50 mg, 200 mg, 300 mg and 400 mg Tablets and their respective UK reference
products (Seroquel XL 50 mg, 200 mg, 300 mg and 400 mg prolonged-release tablets).
IV.3 Pharmacodynamics
No new pharmacodynamic data were submitted and none were required for these applications.
IV.4 Clinical Efficacy
The efficacy of quetiapine fumarate is well-known. No new efficacy data have been submitted and none
are required for applications of this type.
IV.5 Clinical Safety
With the exception of the safety data generated during the bioequivalence studies, no new safety data
were submitted and none are required for applications of this type. No new or unexpected safety issues
arose during the bioequivalence studies.
IV.6 Risk Management Plan
The Pharmacovigilance System, as described by the applicant, fulfils the requirements and provides
adequate evidence that the applicant has the services of a qualified person responsible for
pharmacovigilance, and has the necessary means for the notification of any adverse reaction suspected
of occurring either in the Community or in a third country.
A Risk Management Plan has been set for the reference product Seroquel XR, with some provisions that
also need to be applied for generic products. A formal Risk Management Plan is not considered
necessary however the Marketing Authorisation has provided a post-approval commitment to comply
with special measures now requested for quetiapine.
IV.7 Discussion of the clinical aspects
It is recommended that Marketing Authorisations are granted from a clinical point of view.
V USER CONSULTATION
A package leaflet has been submitted to the MHRA along with results of consultations with target
patient groups ("user testing"), in accordance with Article 59 of Council Directive 2001/83/EC, as
amended. The leaflet conforms to the requirements. The test shows that the patients/users are able to act
upon the information that the leaflet contains.
VI OVERALL CONCLUSION, BENEFIT/RISK ASSESSMENT AND
RECOMMENDATION
The quality characteristics of Sondate/Quelento/Sarparm XL 50, 200, 300 and 400 mg Prolonged-release
Tablets (PL 00289/1219-22 and PL 00289/1506-13; UK/H/2074 and UK/H/4674-5/01-4/DC) are well-
defined and controlled. The specifications and batch analytical results indicate consistency from batch to
batch. There are no outstanding quality issues that would have a negative impact on the benefit/risk
balance.
Sondate/Quelento/Sarparm XL 50, 200, 300 and 400 mg Prolonged-release Tablets
UK/H/2074 and
UK/H/4674-5/01-4/DC
18
No new non-clinical data were submitted. As the pharmacokinetics, pharmacodynamics and toxicology
of quetiapine fumarate are well-known, no additional data were required.
With the exception of the bioequivalence studies, no new data were submitted and none are required for
applications of this type.
Bioequivalence has been demonstrated between the applicant’s Sondate XL 50 mg, 200 mg, 300 mg and
400 mg prolonged-release tablets and their respective reference products Seroquel XL 50 mg, 200 mg,
300 mg and 400 mg prolonged-release tablets (AstraZeneca UK Limited, UK).
With the exception of the safety data from the bioequivalence studies, no new data were submitted and
none are required for applications of this type. As the safety profile of quetiapine fumarate is well
known, no additional data were required. No new or unexpected safety concerns arose from the
bioequivalence studies.
The SmPCs, PILs and labelling are satisfactory, and consistent with those for the reference products,
where appropriate, along with current guidelines.
BENEFIT/RISK ASSESSMENT
The quality of the products is acceptable, and no non-clinical or clinical concerns have been identified.
Extensive clinical experience with quetiapine fumarate is considered to have demonstrated the
therapeutic value of the products. The products are considered bioequivalent to the corresponding
reference products and their benefit/risk balance is, therefore, also considered to be positive.
Sondate/Quelento/Sarparm XL 50, 200, 300 and 400 mg Prolonged-release Tablets
UK/H/2074 and
UK/H/4674-5/01-4/DC
19
Summary of Product Characteristics, Patient Information Leaflet & Labels
In accordance with Directive 2012/84/EU, the current approved UK versions of the
SmPCs and PIL for these products are available on the MHRA website. The current approved UK
labelling is presented in annex 1.

Sondate/Quelento/Sarparm XL 50, 200, 300 and 400 mg Prolonged-release Tablets
UK/H/2074 and
UK/H/4674-5/01-4/DC
20
Please note the below variation only relates to PL 00289/1506-13.
Table of content of the PAR update for MRP and DCP
Steps taken after the initial procedure with an influence on the Public Assessment Report (Type II
variations, PSURs, commitments)
The following table lists non-safety update to the Marketing Authorisations for these products that has
been approved by the MHRA since the products were first licensed. The table includes updates that are
detailed in the annex to this PAR. This is not a complete list of the post-authorisation changes that have
been made to these Marketing Authorisations.
Scope
Procedure
numbers
Product
information
affected
Date of start
of the
procedure
Date of end of
procedure
Approval/
non approval
Assessment
report
attached
Y/N (version)
To update sections 3
& 6.5 of the SmPC
and labelling in line
with recommended
wording agreed by
competent authorities
that may require
additional minor
assessment following
a repeat use
procedure.
Additionally, the
SmPC has been
aligned with the
Quality review of
documents (QRD)
template.
Update the SmPC,
PIL, and Labelling in
line with
recommended
wording agreed by
competent authorities
that may require
additional minor
assessment following
a repeat use
procedure. The
proposed wording
was proposed by
concerned member
states Sweden and
France during repeat
use procedure
UK/H/2074/001-
005/E/002 in line
with the current
QRD template (Rev
9 February 2016.)
UK/H/4674/001,
3-5/II/024
UK/H/4675/001-
4/II/024
UK/H/2074/001-
4/II/027
SmPC and
labelling
SmPC, PIL and
Labelling
17/05/2017
17/05/2017
04/08/2017
08/12/2017
Approval
Approval
Yes
Yes
Sondate/Quelento/Sarparm XL 50, 200, 300 and 400 mg Prolonged-release Tablets
UK/H/2074 and
UK/H/4674-5/01-4/DC
21
Please note the below variation only relates to PL 00289/1506-13.
Annex 1
Reference: PL 00289/1506 – 0039, PL 00289/1507 – 0039, PL 00289/1508 – 0038 and PL
00289/1509 – 0038, PL 00289/1510 – 0041, PL 00289/1511 – 0040, PL
00289/1512 – 0040, PL 00289/1513 - 0040
Product: Quelento/Sarparm XL 50, 200, 300 and 400 mg Prolonged-release Tablets
Marketing Authorisation Holder: TEVA UK Limited
Active Ingredient: Quetiapine fumarate
Reason:
To update sections 3 & 6.5 of the SmPC and labelling in line with recommended wording agreed by
competent authorities that may require additional minor assessment following a repeat use procedure.
Additionally, the SmPC has been aligned with the QRD template.
Supporting evidence
The applicant has submitted updated sections of the SmPC, PIL and label.
Evaluation
The amended sections of the SmPC, PIL and labelling are satisfactory. These proposed changes appear
acceptable.
Conclusion
The updated SmPC fragments and the labelling have been incorporated into these Marketing
Authorisations. The proposed changes are acceptable.
Decision: Grant
Date: 04 August 2017

Sondate/Quelento/Sarparm XL 50, 200, 300 and 400 mg Prolonged-release Tablets
UK/H/2074 and
UK/H/4674-5/01-4/DC
22
The current approved UK labelling Quelento/Sarparm XL 50, 200, 300 and 400 mg
is presented below:

Sondate/Quelento/Sarparm XL 50, 200, 300 and 400 mg Prolonged-release Tablets
UK/H/2074 and
UK/H/4674-5/01-4/DC
23

Sondate/Quelento/Sarparm XL 50, 200, 300 and 400 mg Prolonged-release Tablets
UK/H/2074 and
UK/H/4674-5/01-4/DC
24

Sondate/Quelento/Sarparm XL 50, 200, 300 and 400 mg Prolonged-release Tablets
UK/H/2074 and
UK/H/4674-5/01-4/DC
25

Sondate/Quelento/Sarparm XL 50, 200, 300 and 400 mg Prolonged-release Tablets
UK/H/2074 and
UK/H/4674-5/01-4/DC
26

Sondate/Quelento/Sarparm XL 50, 200, 300 and 400 mg Prolonged-release Tablets
UK/H/2074 and
UK/H/4674-5/01-4/DC
27

Sondate/Quelento/Sarparm XL 50, 200, 300 and 400 mg Prolonged-release Tablets
UK/H/2074 and
UK/H/4674-5/01-4/DC
28

Sondate/Quelento/Sarparm XL 50, 200, 300 and 400 mg Prolonged-release Tablets
UK/H/2074 and
UK/H/4674-5/01-4/DC
29

Sondate/Quelento/Sarparm XL 50, 200, 300 and 400 mg Prolonged-release Tablets
UK/H/2074 and
UK/H/4674-5/01-4/DC
30

Sondate/Quelento/Sarparm XL 50, 200, 300 and 400 mg Prolonged-release Tablets
UK/H/2074 and
UK/H/4674-5/01-4/DC
31

Sondate/Quelento/Sarparm XL 50, 200, 300 and 400 mg Prolonged-release Tablets
UK/H/2074 and
UK/H/4674-5/01-4/DC
32

Sondate/Quelento/Sarparm XL 50, 200, 300 and 400 mg Prolonged-release Tablets
UK/H/2074 and
UK/H/4674-5/01-4/DC
33

Sondate/Quelento/Sarparm XL 50, 200, 300 and 400 mg Prolonged-release Tablets
UK/H/2074 and
UK/H/4674-5/01-4/DC
34

Sondate/Quelento/Sarparm XL 50, 200, 300 and 400 mg Prolonged-release Tablets
UK/H/2074 and
UK/H/4674-5/01-4/DC
35

Sondate/Quelento/Sarparm XL 50, 200, 300 and 400 mg Prolonged-release Tablets
UK/H/2074 and
UK/H/4674-5/01-4/DC
36

Sondate/Quelento/Sarparm XL 50, 200, 300 and 400 mg Prolonged-release Tablets
UK/H/2074 and
UK/H/4674-5/01-4/DC
37

Sondate/Quelento/Sarparm XL 50, 200, 300 and 400 mg Prolonged-release Tablets
UK/H/2074 and
UK/H/4674-5/01-4/DC
38

Sondate/Quelento/Sarparm XL 50, 200, 300 and 400 mg Prolonged-release Tablets
UK/H/2074 and
UK/H/4674-5/01-4/DC
39

Sondate/Quelento/Sarparm XL 50, 200, 300 and 400 mg Prolonged-release Tablets
UK/H/2074 and
UK/H/4674-5/01-4/DC
40

Sondate/Quelento/Sarparm XL 50, 200, 300 and 400 mg Prolonged-release Tablets
UK/H/2074 and
UK/H/4674-5/01-4/DC
41

Sondate/Quelento/Sarparm XL 50, 200, 300 and 400 mg Prolonged-release Tablets
UK/H/2074 and
UK/H/4674-5/01-4/DC
42

Sondate/Quelento/Sarparm XL 50, 200, 300 and 400 mg Prolonged-release Tablets
UK/H/2074 and
UK/H/4674-5/01-4/DC
43

Sondate/Quelento/Sarparm XL 50, 200, 300 and 400 mg Prolonged-release Tablets
UK/H/2074 and
UK/H/4674-5/01-4/DC
44

Sondate/Quelento/Sarparm XL 50, 200, 300 and 400 mg Prolonged-release Tablets
UK/H/2074 and
UK/H/4674-5/01-4/DC
45

Sondate/Quelento/Sarparm XL 50, 200, 300 and 400 mg Prolonged-release Tablets
UK/H/2074 and
UK/H/4674-5/01-4/DC
46

Sondate/Quelento/Sarparm XL 50, 200, 300 and 400 mg Prolonged-release Tablets
UK/H/2074 and
UK/H/4674-5/01-4/DC
47

Sondate/Quelento/Sarparm XL 50, 200, 300 and 400 mg Prolonged-release Tablets
UK/H/2074 and
UK/H/4674-5/01-4/DC
48

Sondate/Quelento/Sarparm XL 50, 200, 300 and 400 mg Prolonged-release Tablets
UK/H/2074 and
UK/H/4674-5/01-4/DC
49

Sondate/Quelento/Sarparm XL 50, 200, 300 and 400 mg Prolonged-release Tablets
UK/H/2074 and
UK/H/4674-5/01-4/DC
50

Sondate/Quelento/Sarparm XL 50, 200, 300 and 400 mg Prolonged-release Tablets
UK/H/2074 and
UK/H/4674-5/01-4/DC
51

Sondate/Quelento/Sarparm XL 50, 200, 300 and 400 mg Prolonged-release Tablets
UK/H/2074 and
UK/H/4674-5/01-4/DC
52

Sondate/Quelento/Sarparm XL 50, 200, 300 and 400 mg Prolonged-release Tablets
UK/H/2074 and
UK/H/4674-5/01-4/DC
53

Sondate/Quelento/Sarparm XL 50, 200, 300 and 400 mg Prolonged-release Tablets
UK/H/2074 and
UK/H/4674-5/01-4/DC
54

Sondate/Quelento/Sarparm XL 50, 200, 300 and 400 mg Prolonged-release Tablets
UK/H/2074 and
UK/H/4674-5/01-4/DC
55

Sondate/Quelento/Sarparm XL 50, 200, 300 and 400 mg Prolonged-release Tablets
UK/H/2074 and
UK/H/4674-5/01-4/DC
56

Sondate/Quelento/Sarparm XL 50, 200, 300 and 400 mg Prolonged-release Tablets
UK/H/2074 and
UK/H/4674-5/01-4/DC
57

Sondate/Quelento/Sarparm XL 50, 200, 300 and 400 mg Prolonged-release Tablets
UK/H/2074 and
UK/H/4674-5/01-4/DC
58

Sondate/Quelento/Sarparm XL 50, 200, 300 and 400 mg Prolonged-release Tablets
UK/H/2074 and
UK/H/4674-5/01-4/DC
59

Sondate/Quelento/Sarparm XL 50, 200, 300 and 400 mg Prolonged-release Tablets
UK/H/2074 and
UK/H/4674-5/01-4/DC
60

Sondate/Quelento/Sarparm XL 50, 200, 300 and 400 mg Prolonged-release Tablets
UK/H/2074 and
UK/H/4674-5/01-4/DC
61

Sondate/Quelento/Sarparm XL 50, 200, 300 and 400 mg Prolonged-release Tablets
UK/H/2074 and
UK/H/4674-5/01-4/DC
62

Sondate/Quelento/Sarparm XL 50, 200, 300 and 400 mg Prolonged-release Tablets
UK/H/2074 and
UK/H/4674-5/01-4/DC
63

Sondate/Quelento/Sarparm XL 50, 200, 300 and 400 mg Prolonged-release Tablets
UK/H/2074 and
UK/H/4674-5/01-4/DC
64

Sondate/Quelento/Sarparm XL 50, 200, 300 and 400 mg Prolonged-release Tablets
UK/H/2074 and
UK/H/4674-5/01-4/DC
65

Sondate/Quelento/Sarparm XL 50, 200, 300 and 400 mg Prolonged-release Tablets
UK/H/2074 and
UK/H/4674-5/01-4/DC
66

Sondate/Quelento/Sarparm XL 50, 200, 300 and 400 mg Prolonged-release Tablets
UK/H/2074 and
UK/H/4674-5/01-4/DC
67

Sondate/Quelento/Sarparm XL 50, 200, 300 and 400 mg Prolonged-release Tablets
UK/H/2074 and
UK/H/4674-5/01-4/DC
68

Sondate/Quelento/Sarparm XL 50, 200, 300 and 400 mg Prolonged-release Tablets
UK/H/2074 and
UK/H/4674-5/01-4/DC
69

Sondate/Quelento/Sarparm XL 50, 200, 300 and 400 mg Prolonged-release Tablets
UK/H/2074 and
UK/H/4674-5/01-4/DC
70

Sondate/Quelento/Sarparm XL 50, 200, 300 and 400 mg Prolonged-release Tablets
UK/H/2074 and
UK/H/4674-5/01-4/DC
71

Sondate/Quelento/Sarparm XL 50, 200, 300 and 400 mg Prolonged-release Tablets
UK/H/2074 and
UK/H/4674-5/01-4/DC
72

Sondate/Quelento/Sarparm XL 50, 200, 300 and 400 mg Prolonged-release Tablets
UK/H/2074 and
UK/H/4674-5/01-4/DC
73

Sondate/Quelento/Sarparm XL 50, 200, 300 and 400 mg Prolonged-release Tablets
UK/H/2074 and
UK/H/4674-5/01-4/DC
74

Sondate/Quelento/Sarparm XL 50, 200, 300 and 400 mg Prolonged-release Tablets
UK/H/2074 and
UK/H/4674-5/01-4/DC
75

Sondate/Quelento/Sarparm XL 50, 200, 300 and 400 mg Prolonged-release Tablets
UK/H/2074 and
UK/H/4674-5/01-4/DC
76

Sondate/Quelento/Sarparm XL 50, 200, 300 and 400 mg Prolonged-release Tablets
UK/H/2074 and
UK/H/4674-5/01-4/DC
77

Sondate/Quelento/Sarparm XL 50, 200, 300 and 400 mg Prolonged-release Tablets
UK/H/2074 and
UK/H/4674-5/01-4/DC
78

Sondate/Quelento/Sarparm XL 50, 200, 300 and 400 mg Prolonged-release Tablets
UK/H/2074 and
UK/H/4674-5/01-4/DC
79

Sondate/Quelento/Sarparm XL 50, 200, 300 and 400 mg Prolonged-release Tablets
UK/H/2074 and
UK/H/4674-5/01-4/DC
80

Sondate/Quelento/Sarparm XL 50, 200, 300 and 400 mg Prolonged-release Tablets
UK/H/2074 and
UK/H/4674-5/01-4/DC
81

Sondate/Quelento/Sarparm XL 50, 200, 300 and 400 mg Prolonged-release Tablets
UK/H/2074 and
UK/H/4674-5/01-4/DC
82

Sondate/Quelento/Sarparm XL 50, 200, 300 and 400 mg Prolonged-release Tablets
UK/H/2074 and
UK/H/4674-5/01-4/DC
83

Sondate/Quelento/Sarparm XL 50, 200, 300 and 400 mg Prolonged-release Tablets
UK/H/2074 and
UK/H/4674-5/01-4/DC
84

Sondate/Quelento/Sarparm XL 50, 200, 300 and 400 mg Prolonged-release Tablets
UK/H/2074 and
UK/H/4674-5/01-4/DC
85

Sondate/Quelento/Sarparm XL 50, 200, 300 and 400 mg Prolonged-release Tablets
UK/H/2074 and
UK/H/4674-5/01-4/DC
86
Sondate/Quelento/Sarparm XL 50, 200, 300 and 400 mg Prolonged-release Tablets
UK/H/2074 and
UK/H/4674-5/01-4/DC
87
Please note the below variation only relates to PL 00289/1219-1222.
Annex 2
Reference: PL 00289/1219 – 0046, PL 00289/1220 – 0046, PL 00289/1221 – 0046 and PL
00289/1222 – 0046
Product: Sondate XL 50, 200, 300 and 400 mg Prolonged-release Tablets
Marketing Authorisation Holder: TEVA UK Limited
Active Ingredient: Quetiapine fumarate
Reason:
To update the SmPC, PIL, and Labelling in line with recommended wording agreed by competent
authorities that may require additional minor assessment following a repeat use procedure. The proposed
wording was proposed by the concerned (CMS) Sweden and France during repeat use procedure
UK/H/2074/001-004/E/002 in line with the current Quality Review of Documents (QRD) template (Rev
9 February 2016).
Supporting evidence
The applicant has submitted updated sections of the SmPC, PIL and label.
Evaluation
The amended sections of the SmPC, PIL and labelling are satisfactory. These proposed changes appear
acceptable.
Conclusion
The updated SmPC fragments and the labelling have been incorporated into these Marketing
Authorisations. The proposed changes are acceptable.
Decision: Grant
Date: 08 December 2017

Sondate/Quelento/Sarparm XL 50, 200, 300 and 400 mg Prolonged-release Tablets
UK/H/2074 and
UK/H/4674-5/01-4/DC
88
The current approved UK labelling for Sondate XL 50, 200, 300 and 400 mg is
presented below:

Sondate/Quelento/Sarparm XL 50, 200, 300 and 400 mg Prolonged-release Tablets
UK/H/2074 and
UK/H/4674-5/01-4/DC
89

Sondate/Quelento/Sarparm XL 50, 200, 300 and 400 mg Prolonged-release Tablets
UK/H/2074 and
UK/H/4674-5/01-4/DC
90

Sondate/Quelento/Sarparm XL 50, 200, 300 and 400 mg Prolonged-release Tablets
UK/H/2074 and
UK/H/4674-5/01-4/DC
91