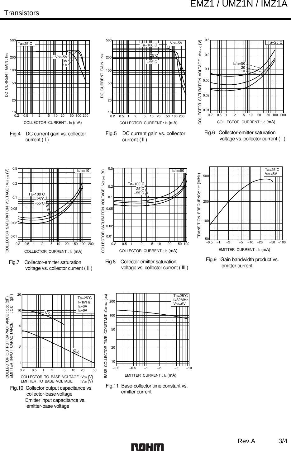
EMZ1, IMZ1A, UMZ1N Datasheet. Www.s Manuals.com. Rohm
User Manual: Marking of electronic components, SMD Codes Z1, Z1-, Z11, Z11 *, Z12, Z1237QI2, Z13, Z14, Z15, Z16, Z17, Z19, Z1AAG, Z1AAL, Z1ABG, Z1ABL, Z1ACG, Z1ACL, Z1ADG, Z1ADL, Z1AEG, Z1AEL, Z1AFG, Z1AFL, Z1AGG, Z1AGL, Z1AHG, Z1AHL, Z1AIG, Z1AIL, Z1W, Z1Z, Z1p, Z1t. Datasheets 2N7002PT, AOZ1237QI-02, BZV49C4V7, BZX84-C2V4, BZX84-C2V7, BZX84-C3V0, BZX84-C3V3, BZX84-C3V6, BZX84-C3V9, BZX84-C4V3, BZX84-C4V7, BZX84C2V4, BZX84C2V4-V, BZX84C2V4LT1G, BZX84C2V7, BZX84C2V7-V, BZX84C2V7LT1G, BZX84C3V0, BZX84C3V0-V, BZX84C3V0LT1
Open the PDF directly: View PDF
.
Page Count: 6





