Ftp://62.76.7.10/pub/distfiles/gromacs Manual 4.6.5 Gromacs
User Manual: ftp://62.76.7.10/pub/distfiles/gromacs-manual-4.6.5 manual pdf
Open the PDF directly: View PDF
.
Page Count: 412 [warning: Documents this large are best viewed by clicking the View PDF Link!]
- Introduction
- Definitions and Units
- Algorithms
- Introduction
- Periodic boundary conditions
- The group concept
- Molecular Dynamics
- Shell molecular dynamics
- Constraint algorithms
- Simulated Annealing
- Stochastic Dynamics
- Brownian Dynamics
- Energy Minimization
- Normal-Mode Analysis
- Free energy calculations
- Replica exchange
- Essential Dynamics sampling
- Expanded Ensemble
- Parallelization
- Particle decomposition
- Domain decomposition
- Implicit solvation
- Interaction function and force fields
- Non-bonded interactions
- Bonded interactions
- Bond stretching
- Morse potential bond stretching
- Cubic bond stretching potential
- FENE bond stretching potential
- Harmonic angle potential
- Cosine based angle potential
- Urey-Bradley potential
- Bond-Bond cross term
- Bond-Angle cross term
- Quartic angle potential
- Improper dihedrals
- Proper dihedrals
- Tabulated bonded interaction functions
- Restraints
- Polarization
- Free energy interactions
- Methods
- Virtual interaction sites
- Dispersion correction
- Long Range Electrostatics
- Force field
- Topologies
- Special Topics
- Free energy implementation
- Potential of mean force
- Non-equilibrium pulling
- The pull code
- Enforced Rotation
- Calculating a PMF using the free-energy code
- Removing fastest degrees of freedom
- Viscosity calculation
- Tabulated interaction functions
- Mixed Quantum-Classical simulation techniques
- Adaptive Resolution Scheme
- Run parameters and Programs
- On-line and HTML manuals
- File types
- Run Parameters
- General
- Preprocessing
- Run control
- Langevin dynamics
- Energy minimization
- Shell Molecular Dynamics
- Test particle insertion
- Output control
- Neighbor searching
- Electrostatics
- VdW
- Tables
- Ewald
- Temperature coupling
- Pressure coupling
- Simulated annealing
- Velocity generation
- Bonds
- Energy group exclusions
- Walls
- COM pulling
- NMR refinement
- Free energy calculations
- Expanded Ensemble calculations
- Non-equilibrium MD
- Electric fields
- Implicit solvent
- Adaptive Resolution Simulation
- User defined thingies
- Programs by topic
- Analysis
- Using Groups
- Looking at your trajectory
- General properties
- Radial distribution functions
- Correlation functions
- Mean Square Displacement
- Bonds, angles and dihedrals
- Radius of gyration and distances
- Root mean square deviations in structure
- Covariance analysis
- Dihedral principal component analysis
- Hydrogen bonds
- Protein-related items
- Interface-related items
- Chemical shifts
- Technical Details
- Some implementation details
- Averages and fluctuations
- Manual Pages
- Standard options for GROMACS tools
- do_dssp
- editconf
- eneconv
- g_anadock
- g_anaeig
- g_analyze
- g_angle
- g_bar
- g_bond
- g_bundle
- g_chi
- g_cluster
- g_clustsize
- g_confrms
- g_covar
- g_current
- g_density
- g_densmap
- g_densorder
- g_dielectric
- g_dipoles
- g_disre
- g_dist
- g_dos
- g_dyecoupl
- g_dyndom
- genbox
- genconf
- g_enemat
- g_energy
- genion
- genrestr
- g_filter
- g_gyrate
- g_h2order
- g_hbond
- g_helix
- g_helixorient
- g_hydorder
- g_kinetics
- g_lie
- g_mdmat
- g_membed
- g_mindist
- g_morph
- g_msd
- gmxcheck
- gmxdump
- g_nmeig
- g_nmens
- g_nmtraj
- g_order
- g_pme_error
- g_polystat
- g_potential
- g_principal
- g_protonate
- g_rama
- g_rdf
- g_rms
- g_rmsdist
- g_rmsf
- grompp
- g_rotacf
- g_rotmat
- g_saltbr
- g_sans
- g_sas
- g_select
- g_sgangle
- g_sham
- g_sigeps
- g_sorient
- g_spatial
- g_spol
- g_tcaf
- g_traj
- g_tune_pme
- g_vanhove
- g_velacc
- g_wham
- g_wheel
- g_x2top
- g_xrama
- make_edi
- make_ndx
- mdrun
- mk_angndx
- ngmx
- pdb2gmx
- tpbconv
- trjcat
- trjconv
- trjorder
- xpm2ps
- Bibliography
- Index

GROMACS
Groningen Machine for Chemical Simulations
USER MANUAL
Version 4.6.5
GROMACS
USER MANUAL
Version 4.6.5
Contributions from
Mark Abraham, Emile Apol, Rossen Apostolov,
Herman J.C. Berendsen, Aldert van Buuren, P¨
ar Bjelkmar,
Rudi van Drunen, Anton Feenstra, Sebastian Fritsch,
Gerrit Groenhof, Christoph Junghans, Jochen Hub, Peter Kasson,
Carsten Kutzner, Brad Lambeth, Per Larsson, Justin A. Lemkul,
Erik Marklund, Peiter Meulenhoff, Teemu Murtola,
Szil´
ard P´
all, Sander Pronk, Roland Schulz,
Michael Shirts, Alfons Sijbers, Peter Tieleman and Maarten Wolf.
Berk Hess, David van der Spoel, and Erik Lindahl.
c
1991–2000: Department of Biophysical Chemistry, University of Groningen.
Nijenborgh 4, 9747 AG Groningen, The Netherlands.
c
2001–2013: The GROMACS development teams at the Royal Institute of Technology and
Uppsala University, Sweden.
More information can be found on our website: www.gromacs.org.

iv
Preface & Disclaimer
This manual is not complete and has no pretention to be so due to lack of time of the contributors
– our first priority is to improve the software. It is worked on continuously, which in some cases
might mean the information is not entirely correct.
Comments are welcome, please send them by e-mail to gromacs@gromacs.org, or to one of the
mailing lists (see www.gromacs.org).
We try to release an updated version of the manual whenever we release a new version of the soft-
ware, so in general it is a good idea to use a manual with the same major and minor release number
as your GROMACS installation. Any revision numbers (like 3.1.1) are however independent, to
make it possible to implement bug fixes and manual improvements if necessary.
On-line Resources
You can find more documentation and other material at our homepage www.gromacs.org. Among
other things there is an on-line reference, several GROMACS mailing lists with archives and
contributed topologies/force fields.
Citation information
When citing this document in any scientific publication please refer to it as:
D. van der Spoel, E. Lindahl, B. Hess, and the GROMACS development team,
GROMACS User Manual version 4.6.5,www.gromacs.org (2013)
However, we prefer that you cite (some of) the GROMACS papers [1,2,3,4,5] when you publish
your results. Any future development depends on academic research grants, since the package is
distributed as free software!
Current development
GROMACS is a joint effort, with contributions from lots of developers around the world. The core
development is currently taking place at
•Department of Cellular and Molecular Biology, Uppsala University, Sweden.
(David van der Spoel).
•Stockholm Bioinformatics Center, Stockholm University, Sweden
(Erik Lindahl).
•Stockholm Bioinformatics Center, Stockholm University, Sweden
(Berk Hess)

v
GROMACS is Free Software
The entire GROMACS package is available under the GNU Lesser General Public License, version
2.1. This means it’s free as in free speech, not just that you can use it without paying us money. For
details, check the COPYING file in the source code or consult http://www.gnu.org/licenses/old-
licenses/lgpl-2.1.html.
The GROMACS source code and and selected set of binary packages are available on our home-
page, www.gromacs.org. Have fun.

vi
Contents
1 Introduction 1
1.1 Computational Chemistry and Molecular Modeling ................ 1
1.2 Molecular Dynamics Simulations .......................... 2
1.3 Energy Minimization and Search Methods ..................... 5
2 Definitions and Units 7
2.1 Notation ....................................... 7
2.2 MD units ...................................... 7
2.3 Reduced units .................................... 9
3 Algorithms 11
3.1 Introduction ..................................... 11
3.2 Periodic boundary conditions ............................ 11
3.2.1 Some useful box types ........................... 13
3.2.2 Cut-off restrictions ............................. 14
3.3 The group concept ................................. 14
3.4 Molecular Dynamics ................................ 15
3.4.1 Initial conditions .............................. 17
3.4.2 Neighbor searching ............................. 18
3.4.3 Compute forces ............................... 25
3.4.4 The leap-frog integrator .......................... 26
3.4.5 The velocity Verlet integrator ....................... 26
3.4.6 Understanding reversible integrators: The Trotter decomposition ..... 27
3.4.7 Twin-range cut-offs ............................. 29
3.4.8 Temperature coupling ........................... 30
3.4.9 Pressure coupling .............................. 36

viii Contents
3.4.10 The complete update algorithm ...................... 42
3.4.11 Output step ................................. 44
3.5 Shell molecular dynamics .............................. 44
3.5.1 Optimization of the shell positions ..................... 44
3.6 Constraint algorithms ................................ 45
3.6.1 SHAKE ................................... 45
3.6.2 LINCS ................................... 46
3.7 Simulated Annealing ................................ 48
3.8 Stochastic Dynamics ................................ 49
3.9 Brownian Dynamics ................................ 50
3.10 Energy Minimization ................................ 50
3.10.1 Steepest Descent .............................. 50
3.10.2 Conjugate Gradient ............................. 51
3.10.3 L-BFGS ................................... 51
3.11 Normal-Mode Analysis ............................... 52
3.12 Free energy calculations .............................. 52
3.12.1 Slow-growth methods ........................... 52
3.12.2 Thermodynamic integration ........................ 54
3.13 Replica exchange .................................. 55
3.14 Essential Dynamics sampling ............................ 56
3.15 Expanded Ensemble ................................. 57
3.16 Parallelization .................................... 57
3.17 Particle decomposition ............................... 58
3.18 Domain decomposition ............................... 58
3.18.1 Coordinate and force communication ................... 58
3.18.2 Dynamic load balancing .......................... 59
3.18.3 Constraints in parallel ........................... 60
3.18.4 Interaction ranges .............................. 60
3.18.5 Multiple-Program, Multiple-Data PME parallelization .......... 62
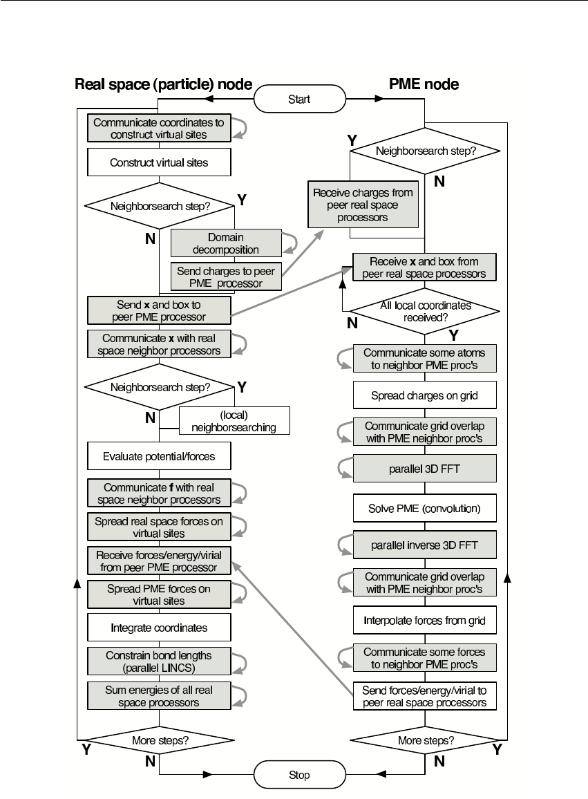
3.18.6 Domain decomposition flow chart ..................... 63
3.19 Implicit solvation .................................. 63
4 Interaction function and force fields 67
4.1 Non-bonded interactions .............................. 67

Contents ix
4.1.1 The Lennard-Jones interaction ....................... 68
4.1.2 Buckingham potential ........................... 69
4.1.3 Coulomb interaction ............................ 69
4.1.4 Coulomb interaction with reaction field .................. 70
4.1.5 Modified non-bonded interactions ..................... 71
4.1.6 Modified short-range interactions with Ewald summation ......... 73
4.2 Bonded interactions ................................. 73
4.2.1 Bond stretching ............................... 74
4.2.2 Morse potential bond stretching ...................... 75
4.2.3 Cubic bond stretching potential ...................... 75
4.2.4 FENE bond stretching potential ...................... 76
4.2.5 Harmonic angle potential .......................... 76
4.2.6 Cosine based angle potential ........................ 77
4.2.7 Urey-Bradley potential ........................... 78
4.2.8 Bond-Bond cross term ........................... 78
4.2.9 Bond-Angle cross term ........................... 78
4.2.10 Quartic angle potential ........................... 78
4.2.11 Improper dihedrals ............................. 79
4.2.12 Proper dihedrals .............................. 80
4.2.13 Tabulated bonded interaction functions .................. 82
4.3 Restraints ...................................... 83
4.3.1 Position restraints .............................. 83
4.3.2 Angle restraints ............................... 84
4.3.3 Dihedral restraints ............................. 84
4.3.4 Distance restraints ............................. 85
4.3.5 Orientation restraints ............................ 88
4.4 Polarization ..................................... 92
4.4.1 Simple polarization ............................. 92
4.4.2 Water polarization ............................. 92
4.4.3 Thole polarization ............................. 92
4.5 Free energy interactions ............................... 92
4.5.1 Soft-core interactions ............................ 95
4.6 Methods ....................................... 97
4.6.1 Exclusions and 1-4 Interactions. ...................... 97

x Contents
4.6.2 Charge Groups ............................... 98
4.6.3 Treatment of Cut-offs ............................ 98
4.7 Virtual interaction sites ............................... 99
4.8 Dispersion correction ................................ 103
4.8.1 Energy ................................... 103
4.8.2 Virial and pressure ............................. 104
4.9 Long Range Electrostatics ............................. 105
4.9.1 Ewald summation .............................. 105
4.9.2 PME .................................... 106
4.9.3 P3M-AD .................................. 107
4.9.4 Optimizing Fourier transforms ....................... 107
4.10 Force field ...................................... 107
4.10.1 GROMOS87 ................................ 108
4.10.2 GROMOS-96 ................................ 108
4.10.3 OPLS/AA .................................. 110
4.10.4 AMBER .................................. 110
4.10.5 CHARMM ................................. 110
4.10.6 Coarse-grained force-fields ......................... 110
4.10.7 MARTINI .................................. 111
4.10.8 PLUM ................................... 111
5 Topologies 113
5.1 Introduction ..................................... 113
5.2 Particle type ..................................... 113
5.2.1 Atom types ................................. 114
5.2.2 Virtual sites ................................. 114
5.3 Parameter files ................................... 116
5.3.1 Atoms .................................... 116
5.3.2 Non-bonded parameters .......................... 116
5.3.3 Bonded parameters ............................. 117
5.3.4 Intramolecular pair interactions ...................... 118
5.3.5 Implicit solvation parameters ........................ 119
5.4 Exclusions ...................................... 120
5.5 Constraint algorithms ................................ 120

Contents xi
5.6 pdb2gmx input files ................................. 121
5.6.1 Residue database .............................. 122
5.6.2 Residue to building block database ..................... 123
5.6.3 Atom renaming database .......................... 124
5.6.4 Hydrogen database ............................. 125
5.6.5 Termini database .............................. 126
5.6.6 Virtual site database ............................ 128
5.6.7 Special bonds ................................ 129
5.7 File formats ..................................... 130
5.7.1 Topology file ................................ 130
5.7.2 Molecule.itp file .............................. 139
5.7.3 Ifdef statements ............................... 140
5.7.4 Topologies for free energy calculations .................. 141
5.7.5 Constraint forces .............................. 144
5.7.6 Coordinate file ............................... 144
5.8 Force field organization .............................. 145
5.8.1 Force field files ............................... 145
5.8.2 Changing force field parameters ...................... 146
5.8.3 Adding atom types ............................. 147
5.9 gmx.ff documentation .............................. 147
6 Special Topics 149
6.1 Free energy implementation ............................ 149
6.2 Potential of mean force ............................... 150
6.3 Non-equilibrium pulling .............................. 151
6.4 The pull code .................................... 151
6.5 Enforced Rotation .................................. 154
6.5.1 Fixed Axis Rotation ............................ 154
6.5.2 Flexible Axis Rotation ........................... 159
6.5.3 Usage .................................... 162
6.6 Calculating a PMF using the free-energy code ................... 165
6.7 Removing fastest degrees of freedom ........................ 165
6.7.1 Hydrogen bond-angle vibrations ...................... 166
6.7.2 Out-of-plane vibrations in aromatic groups ................ 168

xii Contents
6.8 Viscosity calculation ................................ 168
6.9 Tabulated interaction functions ........................... 170
6.9.1 Cubic splines for potentials ......................... 170
6.9.2 User-specified potential functions ..................... 171
6.10 Mixed Quantum-Classical simulation techniques ................. 172
6.10.1 Overview .................................. 173
6.10.2 Usage .................................... 173
6.10.3 Output ................................... 176
6.10.4 Future developments ............................ 176
6.11 Adaptive Resolution Scheme ............................ 176
6.11.1 Example: Adaptive resolution simulation of water ............ 179
7 Run parameters and Programs 183
7.1 On-line and HTML manuals ............................ 183
7.2 File types ...................................... 183
7.3 Run Parameters ................................... 185
7.3.1 General ................................... 185
7.3.2 Preprocessing ................................ 185
7.3.3 Run control ................................. 185
7.3.4 Langevin dynamics ............................. 188
7.3.5 Energy minimization ............................ 188
7.3.6 Shell Molecular Dynamics ......................... 188
7.3.7 Test particle insertion ............................ 189
7.3.8 Output control ............................... 189
7.3.9 Neighbor searching ............................. 190
7.3.10 Electrostatics ................................ 193
7.3.11 VdW .................................... 195
7.3.12 Tables .................................... 197
7.3.13 Ewald .................................... 197
7.3.14 Temperature coupling ........................... 198
7.3.15 Pressure coupling .............................. 199
7.3.16 Simulated annealing ............................ 201
7.3.17 Velocity generation ............................. 202
7.3.18 Bonds .................................... 202

Contents xiii
7.3.19 Energy group exclusions .......................... 204
7.3.20 Walls .................................... 204
7.3.21 COM pulling ................................ 205
7.3.22 NMR refinement .............................. 208
7.3.23 Free energy calculations .......................... 209
7.3.24 Expanded Ensemble calculations ...................... 213
7.3.25 Non-equilibrium MD ............................ 217
7.3.26 Electric fields ................................ 217
7.3.27 Implicit solvent ............................... 219
7.3.28 Adaptive Resolution Simulation ...................... 220
7.3.29 User defined thingies ............................ 222
7.4 Programs by topic .................................. 222
8 Analysis 227
8.1 Using Groups .................................... 227
8.1.1 Default Groups ............................... 228
8.1.2 Selections .................................. 230
8.2 Looking at your trajectory ............................. 230
8.3 General properties .................................. 231
8.4 Radial distribution functions ............................ 231
8.5 Correlation functions ................................ 233
8.5.1 Theory of correlation functions ...................... 233
8.5.2 Using FFT for computation of the ACF .................. 234
8.5.3 Special forms of the ACF .......................... 234
8.5.4 Some Applications ............................. 234
8.6 Mean Square Displacement ............................. 235
8.7 Bonds, angles and dihedrals ............................ 235
8.8 Radius of gyration and distances .......................... 237
8.9 Root mean square deviations in structure ...................... 238
8.10 Covariance analysis ................................. 239
8.11 Dihedral principal component analysis ....................... 241
8.12 Hydrogen bonds ................................... 241
8.13 Protein-related items ................................ 242
8.14 Interface-related items ............................... 243

xiv Contents
8.15 Chemical shifts ................................... 245
A Technical Details 247
A.1 Installation ..................................... 247
A.2 Single or Double precision ............................. 247
A.3 Porting GROMACS ................................. 248
A.4 Environment Variables ............................... 248
A.5 Running GROMACS in parallel .......................... 255
A.6 Running GROMACS on GPUs ........................... 255
B Some implementation details 257
B.1 Single Sum Virial in GROMACS .......................... 257
B.1.1 Virial .................................... 257
B.1.2 Virial from non-bonded forces ....................... 258
B.1.3 The intra-molecular shift (mol-shift) .................... 258
B.1.4 Virial from Covalent Bonds ........................ 259
B.1.5 Virial from SHAKE ............................ 260
B.2 Optimizations .................................... 260
B.2.1 Inner Loops for Water ........................... 260
B.2.2 Fortran Code ................................ 261
B.3 Computation of the 1.0/sqrt function ........................ 261
B.3.1 Introduction ................................. 261
B.3.2 General ................................... 261
B.3.3 Applied to floating-point numbers ..................... 262
B.3.4 Specification of the look-up table ..................... 263
B.3.5 Separate exponent and fraction computation ................ 264
B.3.6 Implementation ............................... 265
B.4 Modifying GROMACS ............................... 265
C Averages and fluctuations 267
C.1 Formulae for averaging ............................... 267
C.2 Implementation ................................... 268
C.2.1 Part of a Simulation ............................ 269
C.2.2 Combining two simulations ........................ 269
C.2.3 Summing energy terms ........................... 270

Contents xv
D Manual Pages 273
D.1 Standard options for GROMACS tools ....................... 273
D.2 do dssp ....................................... 274
D.3 editconf ....................................... 275
D.4 eneconv ....................................... 277
D.5 g anadock ...................................... 277
D.6 g anaeig ....................................... 278
D.7 g analyze ...................................... 280
D.8 g angle ....................................... 282
D.9 g bar ......................................... 283
D.10 g bond ........................................ 284
D.11 g bundle ....................................... 285
D.12 g chi ......................................... 286
D.13 g cluster ....................................... 288
D.14 g clustsize ...................................... 290
D.15 g confrms ...................................... 291
D.16 g covar ....................................... 291
D.17 g current ....................................... 292
D.18 g density ...................................... 293
D.19 g densmap ...................................... 294
D.20 g densorder ..................................... 295
D.21 g dielectric ..................................... 296
D.22 g dipoles ...................................... 297
D.23 g disre ........................................ 299
D.24 g dist ........................................ 299
D.25 g dos ........................................ 300
D.26 g dyecoupl ..................................... 301
D.27 g dyndom ...................................... 302
D.28 genbox ........................................ 302
D.29 genconf ....................................... 304
D.30 g enemat ...................................... 304
D.31 g energy ....................................... 305
D.32 genion ........................................ 308
D.33 genrestr ....................................... 308

xvi Contents
D.34 g filter ........................................ 309
D.35 g gyrate ....................................... 310
D.36 g h2order ...................................... 311
D.37 g hbond ....................................... 311
D.38 g helix ........................................ 314
D.39 g helixorient ..................................... 315
D.40 g hydorder ..................................... 315
D.41 g kinetics ...................................... 316
D.42 g lie ......................................... 317
D.43 g mdmat ....................................... 318
D.44 g membed ...................................... 318
D.45 g mindist ...................................... 320
D.46 g morph ....................................... 321
D.47 g msd ........................................ 321
D.48 gmxcheck ...................................... 322
D.49 gmxdump ...................................... 323
D.50 g nmeig ....................................... 324
D.51 g nmens ....................................... 325
D.52 g nmtraj ....................................... 325
D.53 g order ....................................... 326
D.54 g pme error ..................................... 327
D.55 g polystat ...................................... 327
D.56 g potential ...................................... 328
D.57 g principal ...................................... 329
D.58 g protonate ..................................... 329
D.59 g rama ........................................ 330
D.60 g rdf ......................................... 330
D.61 g rms ........................................ 331
D.62 g rmsdist ...................................... 333
D.63 g rmsf ........................................ 334
D.64 grompp ....................................... 334
D.65 g rotacf ....................................... 336
D.66 g rotmat ....................................... 337
D.67 g saltbr ....................................... 338

Contents xvii
D.68 g sans ........................................ 338
D.69 g sas ......................................... 339
D.70 g select ....................................... 340
D.71 g sgangle ...................................... 341
D.72 g sham ....................................... 342
D.73 g sigeps ....................................... 344
D.74 g sorient ....................................... 344
D.75 g spatial ....................................... 345
D.76 g spol ........................................ 346
D.77 g tcaf ........................................ 347
D.78 g traj ......................................... 348
D.79 g tune pme ..................................... 349
D.80 g vanhove ...................................... 352
D.81 g velacc ....................................... 353
D.82 g wham ....................................... 354
D.83 g wheel ....................................... 356
D.84 g x2top ....................................... 357
D.85 g xrama ....................................... 358
D.86 make edi ...................................... 358
D.87 make ndx ...................................... 361
D.88 mdrun ........................................ 361
D.89 mk angndx ..................................... 367
D.90 ngmx ........................................ 367
D.91 pdb2gmx ...................................... 368
D.92 tpbconv ....................................... 370
D.93 trjcat ......................................... 370
D.94 trjconv ........................................ 371
D.95 trjorder ....................................... 374
D.96 xpm2ps ....................................... 375
Bibliography 377
Index 389

xviii Contents
Chapter 1
Introduction
1.1 Computational Chemistry and Molecular Modeling
GROMACS is an engine to perform molecular dynamics simulations and energy minimization.
These are two of the many techniques that belong to the realm of computational chemistry and
molecular modeling. Computational chemistry is just a name to indicate the use of computational
techniques in chemistry, ranging from quantum mechanics of molecules to dynamics of large
complex molecular aggregates. Molecular modeling indicates the general process of describing
complex chemical systems in terms of a realistic atomic model, with the goal being to under-
stand and predict macroscopic properties based on detailed knowledge on an atomic scale. Often,
molecular modeling is used to design new materials, for which the accurate prediction of physical
properties of realistic systems is required.
Macroscopic physical properties can be distinguished by (a)static equilibrium properties, such
as the binding constant of an inhibitor to an enzyme, the average potential energy of a system, or
the radial distribution function of a liquid, and (b)dynamic or non-equilibrium properties, such
as the viscosity of a liquid, diffusion processes in membranes, the dynamics of phase changes,
reaction kinetics, or the dynamics of defects in crystals. The choice of technique depends on the
question asked and on the feasibility of the method to yield reliable results at the present state of
the art. Ideally, the (relativistic) time-dependent Schr¨
odinger equation describes the properties of
molecular systems with high accuracy, but anything more complex than the equilibrium state of a
few atoms cannot be handled at this ab initio level. Thus, approximations are necessary; the higher
the complexity of a system and the longer the time span of the processes of interest is, the more
severe the required approximations are. At a certain point (reached very much earlier than one
would wish), the ab initio approach must be augmented or replaced by empirical parameterization
of the model used. Where simulations based on physical principles of atomic interactions still
fail due to the complexity of the system, molecular modeling is based entirely on a similarity
analysis of known structural and chemical data. The QSAR methods (Quantitative Structure-
Activity Relations) and many homology-based protein structure predictions belong to the latter
category.
Macroscopic properties are always ensemble averages over a representative statistical ensemble

2 Chapter 1. Introduction
(either equilibrium or non-equilibrium) of molecular systems. For molecular modeling, this has
two important consequences:
•The knowledge of a single structure, even if it is the structure of the global energy min-
imum, is not sufficient. It is necessary to generate a representative ensemble at a given
temperature, in order to compute macroscopic properties. But this is not enough to compute
thermodynamic equilibrium properties that are based on free energies, such as phase equi-
libria, binding constants, solubilities, relative stability of molecular conformations, etc. The
computation of free energies and thermodynamic potentials requires special extensions of
molecular simulation techniques.
•While molecular simulations, in principle, provide atomic details of the structures and mo-
tions, such details are often not relevant for the macroscopic properties of interest. This
opens the way to simplify the description of interactions and average over irrelevant details.
The science of statistical mechanics provides the theoretical framework for such simpli-
fications. There is a hierarchy of methods ranging from considering groups of atoms as
one unit, describing motion in a reduced number of collective coordinates, averaging over
solvent molecules with potentials of mean force combined with stochastic dynamics [6],
to mesoscopic dynamics describing densities rather than atoms and fluxes as response to
thermodynamic gradients rather than velocities or accelerations as response to forces [7].
For the generation of a representative equilibrium ensemble two methods are available: (a)Monte
Carlo simulations and (b)Molecular Dynamics simulations. For the generation of non-equilibrium
ensembles and for the analysis of dynamic events, only the second method is appropriate. While
Monte Carlo simulations are more simple than MD (they do not require the computation of forces),
they do not yield significantly better statistics than MD in a given amount of computer time. There-
fore, MD is the more universal technique. If a starting configuration is very far from equilibrium,
the forces may be excessively large and the MD simulation may fail. In those cases, a robust en-
ergy minimization is required. Another reason to perform an energy minimization is the removal
of all kinetic energy from the system: if several “snapshots” from dynamic simulations must be
compared, energy minimization reduces the thermal noise in the structures and potential energies
so that they can be compared better.
1.2 Molecular Dynamics Simulations
MD simulations solve Newton’s equations of motion for a system of Ninteracting atoms:
mi
∂2ri
∂t2=Fi, i = 1 . . . N. (1.1)
The forces are the negative derivatives of a potential function V(r1,r2,...,rN):
Fi=−∂V
∂ri
(1.2)
The equations are solved simultaneously in small time steps. The system is followed for some
time, taking care that the temperature and pressure remain at the required values, and the coor-
dinates are written to an output file at regular intervals. The coordinates as a function of time

1.2. Molecular Dynamics Simulations 3
type of wavenumber
type of bond vibration (cm−1)
C-H, O-H, N-H stretch 3000–3500
C=C, C=O stretch 1700–2000
HOH bending 1600
C-C stretch 1400–1600
H2CX sciss, rock 1000–1500
CCC bending 800–1000
O-H···O libration 400– 700
O-H···O stretch 50– 200
Table 1.1: Typical vibrational frequencies (wavenumbers) in molecules and hydrogen-bonded liq-
uids. Compare kT/h = 200 cm−1at 300 K.
represent a trajectory of the system. After initial changes, the system will usually reach an equi-
librium state. By averaging over an equilibrium trajectory, many macroscopic properties can be
extracted from the output file.
It is useful at this point to consider the limitations of MD simulations. The user should be aware
of those limitations and always perform checks on known experimental properties to assess the
accuracy of the simulation. We list the approximations below.
The simulations are classical
Using Newton’s equation of motion automatically implies the use of classical mechanics to
describe the motion of atoms. This is all right for most atoms at normal temperatures, but
there are exceptions. Hydrogen atoms are quite light and the motion of protons is sometimes
of essential quantum mechanical character. For example, a proton may tunnel through a
potential barrier in the course of a transfer over a hydrogen bond. Such processes cannot be
properly treated by classical dynamics! Helium liquid at low temperature is another example
where classical mechanics breaks down. While helium may not deeply concern us, the high
frequency vibrations of covalent bonds should make us worry! The statistical mechanics of a
classical harmonic oscillator differs appreciably from that of a real quantum oscillator when
the resonance frequency νapproximates or exceeds kBT/h. Now at room temperature the
wavenumber σ= 1/λ =ν/c at which hν =kBTis approximately 200 cm−1. Thus, all
frequencies higher than, say, 100 cm−1may misbehave in classical simulations. This means
that practically all bond and bond-angle vibrations are suspect, and even hydrogen-bonded
motions as translational or librational H-bond vibrations are beyond the classical limit (see
Table 1.1). What can we do?
Well, apart from real quantum-dynamical simulations, we can do one of two things:
(a) If we perform MD simulations using harmonic oscillators for bonds, we should make
corrections to the total internal energy U=Ekin+Epot and specific heat CV(and to entropy
Sand free energy Aor Gif those are calculated). The corrections to the energy and specific
heat of a one-dimensional oscillator with frequency νare: [8]
UQM =Ucl +kT 1
2x−1 + x
ex−1(1.3)

4 Chapter 1. Introduction
CQM
V=Ccl
V+k x2ex
(ex−1)2−1!,(1.4)
where x=hν/kT . The classical oscillator absorbs too much energy (kT ), while the high-
frequency quantum oscillator is in its ground state at the zero-point energy level of 1
2hν.
(b) We can treat the bonds (and bond angles) as constraints in the equations of motion. The
rationale behind this is that a quantum oscillator in its ground state resembles a constrained
bond more closely than a classical oscillator. A good practical reason for this choice is
that the algorithm can use larger time steps when the highest frequencies are removed. In
practice the time step can be made four times as large when bonds are constrained than
when they are oscillators [9]. GROMACS has this option for the bonds and bond angles.
The flexibility of the latter is rather essential to allow for the realistic motion and coverage
of configurational space [10].
Electrons are in the ground state
In MD we use a conservative force field that is a function of the positions of atoms only.
This means that the electronic motions are not considered: the electrons are supposed to
adjust their dynamics instantly when the atomic positions change (the Born-Oppenheimer
approximation), and remain in their ground state. This is really all right, almost always. But
of course, electron transfer processes and electronically excited states can not be treated.
Neither can chemical reactions be treated properly, but there are other reasons to shy away
from reactions for the time being.
Force fields are approximate
Force fields provide the forces. They are not really a part of the simulation method and
their parameters can be modified by the user as the need arises or knowledge improves.
But the form of the forces that can be used in a particular program is subject to limitations.
The force field that is incorporated in GROMACS is described in Chapter 4. In the present
version the force field is pair-additive (apart from long-range Coulomb forces), it cannot
incorporate polarizabilities, and it does not contain fine-tuning of bonded interactions. This
urges the inclusion of some limitations in this list below. For the rest it is quite useful and
fairly reliable for biologically-relevant macromolecules in aqueous solution!
The force field is pair-additive
This means that all non-bonded forces result from the sum of non-bonded pair interactions.
Non pair-additive interactions, the most important example of which is interaction through
atomic polarizability, are represented by effective pair potentials. Only average non pair-
additive contributions are incorporated. This also means that the pair interactions are not
pure, i.e., they are not valid for isolated pairs or for situations that differ appreciably from the
test systems on which the models were parameterized. In fact, the effective pair potentials
are not that bad in practice. But the omission of polarizability also means that electrons in
atoms do not provide a dielectric constant as they should. For example, real liquid alkanes
have a dielectric constant of slightly more than 2, which reduce the long-range electrostatic
interaction between (partial) charges. Thus, the simulations will exaggerate the long-range
Coulomb terms. Luckily, the next item compensates this effect a bit.
Long-range interactions are cut off
In this version, GROMACS always uses a cut-off radius for the Lennard-Jones interactions

1.3. Energy Minimization and Search Methods 5
and sometimes for the Coulomb interactions as well. The “minimum-image convention”
used by GROMACS requires that only one image of each particle in the periodic boundary
conditions is considered for a pair interaction, so the cut-off radius cannot exceed half the
box size. That is still pretty big for large systems, and trouble is only expected for systems
containing charged particles. But then truly bad things can happen, like accumulation of
charges at the cut-off boundary or very wrong energies! For such systems, you should
consider using one of the implemented long-range electrostatic algorithms, such as particle-
mesh Ewald [11,12].
Boundary conditions are unnatural
Since system size is small (even 10,000 particles is small), a cluster of particles will have a
lot of unwanted boundary with its environment (vacuum). We must avoid this condition if
we wish to simulate a bulk system. As such, we use periodic boundary conditions to avoid
real phase boundaries. Since liquids are not crystals, something unnatural remains. This
item is mentioned last because it is the least of the evils. For large systems, the errors are
small, but for small systems with a lot of internal spatial correlation, the periodic boundaries
may enhance internal correlation. In that case, beware of, and test, the influence of system
size. This is especially important when using lattice sums for long-range electrostatics, since
these are known to sometimes introduce extra ordering.
1.3 Energy Minimization and Search Methods
As mentioned in sec. 1.1, in many cases energy minimization is required. GROMACS provides a
number of methods for local energy minimization, as detailed in sec. 3.10.
The potential energy function of a (macro)molecular system is a very complex landscape (or hy-
persurface) in a large number of dimensions. It has one deepest point, the global minimum and
a very large number of local minima, where all derivatives of the potential energy function with
respect to the coordinates are zero and all second derivatives are non-negative. The matrix of
second derivatives, which is called the Hessian matrix, has non-negative eigenvalues; only the
collective coordinates that correspond to translation and rotation (for an isolated molecule) have
zero eigenvalues. In between the local minima there are saddle points, where the Hessian matrix
has only one negative eigenvalue. These points are the mountain passes through which the system
can migrate from one local minimum to another.
Knowledge of all local minima, including the global one, and of all saddle points would enable
us to describe the relevant structures and conformations and their free energies, as well as the
dynamics of structural transitions. Unfortunately, the dimensionality of the configurational space
and the number of local minima is so high that it is impossible to sample the space at a sufficient
number of points to obtain a complete survey. In particular, no minimization method exists that
guarantees the determination of the global minimum in any practical amount of time. Impractical
methods exist, some much faster than others [13]. However, given a starting configuration, it
is possible to find the nearest local minimum. “Nearest” in this context does not always imply
“nearest” in a geometrical sense (i.e., the least sum of square coordinate differences), but means the
minimum that can be reached by systematically moving down the steepest local gradient. Finding
this nearest local minimum is all that GROMACS can do for you, sorry! If you want to find other

6 Chapter 1. Introduction
minima and hope to discover the global minimum in the process, the best advice is to experiment
with temperature-coupled MD: run your system at a high temperature for a while and then quench
it slowly down to the required temperature; do this repeatedly! If something as a melting or glass
transition temperature exists, it is wise to stay for some time slightly below that temperature and
cool down slowly according to some clever scheme, a process called simulated annealing. Since
no physical truth is required, you can use your imagination to speed up this process. One trick
that often works is to make hydrogen atoms heavier (mass 10 or so): although that will slow
down the otherwise very rapid motions of hydrogen atoms, it will hardly influence the slower
motions in the system, while enabling you to increase the time step by a factor of 3 or 4. You can
also modify the potential energy function during the search procedure, e.g. by removing barriers
(remove dihedral angle functions or replace repulsive potentials by soft-core potentials [14]), but
always take care to restore the correct functions slowly. The best search method that allows rather
drastic structural changes is to allow excursions into four-dimensional space [15], but this requires
some extra programming beyond the standard capabilities of GROMACS.
Three possible energy minimization methods are:
•Those that require only function evaluations. Examples are the simplex method and its
variants. A step is made on the basis of the results of previous evaluations. If derivative
information is available, such methods are inferior to those that use this information.
•Those that use derivative information. Since the partial derivatives of the potential energy
with respect to all coordinates are known in MD programs (these are equal to minus the
forces) this class of methods is very suitable as modification of MD programs.
•Those that use second derivative information as well. These methods are superior in their
convergence properties near the minimum: a quadratic potential function is minimized in
one step! The problem is that for Nparticles a 3N×3Nmatrix must be computed, stored,
and inverted. Apart from the extra programming to obtain second derivatives, for most
systems of interest this is beyond the available capacity. There are intermediate methods
that build up the Hessian matrix on the fly, but they also suffer from excessive storage
requirements. So GROMACS will shy away from this class of methods.
The steepest descent method, available in GROMACS, is of the second class. It simply takes a
step in the direction of the negative gradient (hence in the direction of the force), without any
consideration of the history built up in previous steps. The step size is adjusted such that the
search is fast, but the motion is always downhill. This is a simple and sturdy, but somewhat
stupid, method: its convergence can be quite slow, especially in the vicinity of the local minimum!
The faster-converging conjugate gradient method (see e.g. [16]) uses gradient information from
previous steps. In general, steepest descents will bring you close to the nearest local minimum
very quickly, while conjugate gradients brings you very close to the local minimum, but performs
worse far away from the minimum. GROMACS also supports the L-BFGS minimizer, which is
mostly comparable to conjugate gradient method, but in some cases converges faster.

Chapter 2
Definitions and Units
2.1 Notation
The following conventions for mathematical typesetting are used throughout this document:
Item Notation Example
Vector Bold italic ri
Vector Length Italic ri
We define the lowercase subscripts i,j,kand lto denote particles: riis the position vector of
particle i, and using this notation:
rij =rj−ri(2.1)
rij =|rij|(2.2)
The force on particle iis denoted by Fiand
Fij =force on iexerted by j(2.3)
Please note that we changed notation as of version 2.0 to rij =rj−risince this is the notation
commonly used. If you encounter an error, let us know.
2.2 MD units
GROMACS uses a consistent set of units that produce values in the vicinity of unity for most
relevant molecular quantities. Let us call them MD units. The basic units in this system are nm,
ps, K, electron charge (e) and atomic mass unit (u), see Table 2.1.
Consistent with these units are a set of derived units, given in Table 2.2.
The electric conversion factor f=1
4πεo= 138.935 485(9) kJ mol−1nm e−2. It relates the
mechanical quantities to the electrical quantities as in
V=fq2
ror F=fq2
r2(2.4)

8 Chapter 2. Definitions and Units
Quantity Symbol Unit
length r nm = 10−9m
mass m u (atomic mass unit) =1.6605402(10)×10−27 kg
(1/12 the mass of a 12C atom)
1.6605402(10) ×10−27 kg
time t ps = 10−12 s
charge q e=electronic charge = 1.60217733(49) ×10−19 C
temperature T K
Table 2.1: Basic units used in GROMACS. Numbers in parentheses give accuracy.
Quantity Symbol Unit
energy E, V kJ mol−1
Force FkJ mol−1nm−1
pressure pkJ mol−1nm−3= 1030/NAV Pa
1.660 54 ×106Pa = 16.6054 bar
velocity vnm ps−1= 1000 m s−1
dipole moment µenm
electric potential ΦkJ mol−1e−1= 0.010 364 272(3) Volt
electric field EkJ mol−1nm−1e−1= 1.036 427 2(3) ×107V m−1
Table 2.2: Derived units
Electric potentials Φand electric fields Eare intermediate quantities in the calculation of energies
and forces. They do not occur inside GROMACS. If they are used in evaluations, there is a choice
of equations and related units. We strongly recommend following the usual practice of including
the factor fin expressions that evaluate Φand E:
Φ(r) = fX
j
qj
|r−rj|(2.5)
E(r) = fX
j
qj
(r−rj)
|r−rj|3(2.6)
With these definitions, qΦis an energy and qEis a force. The units are those given in Table 2.2:
about 10 mV for potential. Thus, the potential of an electronic charge at a distance of 1 nm equals
f≈140 units ≈1.4V. (exact value: 1.439965 V)
Note that these units are mutually consistent; changing any of the units is likely to produce incon-
sistencies and is therefore strongly discouraged! In particular: if ˚
A are used instead of nm, the unit
of time changes to 0.1 ps. If kcal mol−1(= 4.184 kJ mol−1) is used instead of kJ mol−1for energy,
the unit of time becomes 0.488882 ps and the unit of temperature changes to 4.184 K. But in both
cases all electrical energies go wrong, because they will still be computed in kJ mol−1, expecting
nm as the unit of length. Although careful rescaling of charges may still yield consistency, it is
clear that such confusions must be rigidly avoided.
In terms of the MD units, the usual physical constants take on different values (see Table 2.3).
All quantities are per mol rather than per molecule. There is no distinction between Boltzmann’s
constant kand the gas constant R: their value is 0.008 314 51 kJ mol−1K−1.

2.3. Reduced units 9
Symbol Name Value
NAV Avogadro’s number 6.022 136 7(36) ×1023 mol−1
Rgas constant 8.314 510(70) ×10−3kJ mol−1K−1
kBBoltzmann’s constant idem
hPlanck’s constant 0.399 031 32(24) kJ mol−1ps
¯hDirac’s constant 0.063 507 807(38) kJ mol−1ps
cvelocity of light 299 792.458 nm ps−1
Table 2.3: Some Physical Constants
Quantity Symbol Relation to SI
Length r∗rσ−1
Mass m∗m M−1
Time t∗tσ−1p/M
Temperature T∗kBT−1
Energy E∗E−1
Force F∗Fσ −1
Pressure P∗Pσ3−1
Velocity v∗vpM/
Density ρ∗Nσ3V−1
Table 2.4: Reduced Lennard-Jones quantities
2.3 Reduced units
When simulating Lennard-Jones (LJ) systems, it might be advantageous to use reduced units (i.e.,
setting ii =σii =mi=kB= 1 for one type of atoms). This is possible. When specifying
the input in reduced units, the output will also be in reduced units. The one exception is the
temperature, which is expressed in 0.008 314 51 reduced units. This is a consequence of using
Boltzmann’s constant in the evaluation of temperature in the code. Thus not T, but kBT, is the
reduced temperature. A GROMACS temperature T= 1 means a reduced temperature of 0.008 . . .
units; if a reduced temperature of 1 is required, the GROMACS temperature should be 120.2717.
In Table 2.4 quantities are given for LJ potentials:
VLJ = 4"σ
r12
−σ
r6#(2.7)

10 Chapter 2. Definitions and Units
Chapter 3
Algorithms
3.1 Introduction
In this chapter we first give describe some general concepts used in GROMACS: periodic bound-
ary conditions (sec. 3.2) and the group concept (sec. 3.3). The MD algorithm is described in
sec. 3.4: first a global form of the algorithm is given, which is refined in subsequent subsections.
The (simple) EM (Energy Minimization) algorithm is described in sec. 3.10. Some other algo-
rithms for special purpose dynamics are described after this.
A few issues are of general interest. In all cases the system must be defined, consisting of
molecules. Molecules again consist of particles with defined interaction functions. The detailed
description of the topology of the molecules and of the force field and the calculation of forces is
given in chapter 4. In the present chapter we describe other aspects of the algorithm, such as pair
list generation, update of velocities and positions, coupling to external temperature and pressure,
conservation of constraints. The analysis of the data generated by an MD simulation is treated in
chapter 8.
3.2 Periodic boundary conditions
The classical way to minimize edge effects in a finite system is to apply periodic boundary condi-
tions. The atoms of the system to be simulated are put into a space-filling box, which is surrounded
by translated copies of itself (Fig. 3.1). Thus there are no boundaries of the system; the artifact
caused by unwanted boundaries in an isolated cluster is now replaced by the artifact of periodic
conditions. If the system is crystalline, such boundary conditions are desired (although motions
are naturally restricted to periodic motions with wavelengths fitting into the box). If one wishes to
simulate non-periodic systems, such as liquids or solutions, the periodicity by itself causes errors.
The errors can be evaluated by comparing various system sizes; they are expected to be less severe
than the errors resulting from an unnatural boundary with vacuum.
There are several possible shapes for space-filling unit cells. Some, like the rhombic dodecahedron
and the truncated octahedron [17] are closer to being a sphere than a cube is, and are therefore

12 Chapter 3. Algorithms
j’ j’
i’ i’i’
i’
j’
i’ i’
y
x
y
x
j’ j’
i’
i’
i’i
j’
j’ j’j’
i’ii’
j’j’
j’
j
i’ i’i’
j’
i’ i’
j’
j’j’
j
Figure 3.1: Periodic boundary conditions in two dimensions.
better suited to the study of an approximately spherical macromolecule in solution, since fewer
solvent molecules are required to fill the box given a minimum distance between macromolecular
images. At the same time, rhombic dodecahedra and truncated octahedra are special cases of
triclinic unit cells; the most general space-filling unit cells that comprise all possible space-filling
shapes [18]. For this reason, GROMACS is based on the triclinic unit cell.
GROMACS uses periodic boundary conditions, combined with the minimum image convention:
only one – the nearest – image of each particle is considered for short-range non-bonded in-
teraction terms. For long-range electrostatic interactions this is not always accurate enough, and
GROMACS therefore also incorporates lattice sum methods such as Ewald Sum, PME and PPPM.
GROMACS supports triclinic boxes of any shape. The simulation box (unit cell) is defined by the
3 box vectors a,band c. The box vectors must satisfy the following conditions:
ay=az=bz= 0 (3.1)
ax>0, by>0, cz>0(3.2)
|bx| ≤ 1
2ax,|cx| ≤ 1
2ax,|cy| ≤ 1
2by(3.3)
Equations 3.1 can always be satisfied by rotating the box. Inequalities (3.2) and (3.3) can always
be satisfied by adding and subtracting box vectors.
Even when simulating using a triclinic box, GROMACS always keeps the particles in a brick-
shaped volume for efficiency, as illustrated in Fig. 3.1 for a 2-dimensional system. Therefore,
from the output trajectory it might seem that the simulation was done in a rectangular box. The
program trjconv can be used to convert the trajectory to a different unit-cell representation.

3.2. Periodic boundary conditions 13
Figure 3.2: A rhombic dodecahedron and truncated octahedron (arbitrary orientations).
box type image box box vectors box vector angles
distance volume a b c 6bc 6ac 6ab
d0 0
cubic d d30d090◦90◦90◦
0 0 d
rhombic d01
2d
dodecahedron d1
2√2d30d1
2d60◦60◦90◦
(xy-square) 0.707 d30 0 1
2√2d
rhombic d1
2d1
2d
dodecahedron d1
2√2d301
2√3d1
6√3d60◦60◦60◦
(xy-hexagon) 0.707 d30 0 1
3√6d
truncated d1
3d−1
3d
octahedron d4
9√3d302
3√2d1
3√2d71.53◦109.47◦71.53◦
0.770 d30 0 1
3√6d
Table 3.1: The cubic box, the rhombic dodecahedron and the truncated octahedron.
It is also possible to simulate without periodic boundary conditions, but it is usually more efficient
to simulate an isolated cluster of molecules in a large periodic box, since fast grid searching can
only be used in a periodic system.
3.2.1 Some useful box types
The three most useful box types for simulations of solvated systems are described in Table 3.1.
The rhombic dodecahedron (Fig. 3.2) is the smallest and most regular space-filling unit cell. Each
of the 12 image cells is at the same distance. The volume is 71% of the volume of a cube having
the same image distance. This saves about 29% of CPU-time when simulating a spherical or
flexible molecule in solvent. There are two different orientations of a rhombic dodecahedron that
satisfy equations 3.1,3.2 and 3.3. The program editconf produces the orientation which has
a square intersection with the xy-plane. This orientation was chosen because the first two box
vectors coincide with the x and y-axis, which is easier to comprehend. The other orientation can

14 Chapter 3. Algorithms
be useful for simulations of membrane proteins. In this case the cross-section with the xy-plane is
a hexagon, which has an area which is 14% smaller than the area of a square with the same image
distance. The height of the box (cz) should be changed to obtain an optimal spacing. This box
shape not only saves CPU time, it also results in a more uniform arrangement of the proteins.
3.2.2 Cut-off restrictions
The minimum image convention implies that the cut-off radius used to truncate non-bonded inter-
actions may not exceed half the shortest box vector:
Rc<1
2min(kak,kbk,kck),(3.4)
because otherwise more than one image would be within the cut-off distance of the force. When a
macromolecule, such as a protein, is studied in solution, this restriction alone is not sufficient: in
principle, a single solvent molecule should not be able to ‘see’ both sides of the macromolecule.
This means that the length of each box vector must exceed the length of the macromolecule in the
direction of that edge plus two times the cut-off radius Rc. It is, however, common to compromise
in this respect, and make the solvent layer somewhat smaller in order to reduce the computational
cost. For efficiency reasons the cut-off with triclinic boxes is more restricted. For grid search the
extra restriction is weak:
Rc<min(ax, by, cz)(3.5)
For simple search the extra restriction is stronger:
Rc<1
2min(ax, by, cz)(3.6)
Each unit cell (cubic, rectangular or triclinic) is surrounded by 26 translated images. A particular
image can therefore always be identified by an index pointing to one of 27 translation vectors and
constructed by applying a translation with the indexed vector (see 3.4.3). Restriction (3.5) ensures
that only 26 images need to be considered.
3.3 The group concept
The GROMACS MD and analysis programs use user-defined groups of atoms to perform certain
actions on. The maximum number of groups is 256, but each atom can only belong to six different
groups, one each of the following:
temperature-coupling group temperature-coupling group The temperature coupling parame-
ters (reference temperature, time constant, number of degrees of freedom, see 3.4.4) can be
defined for each T-coupling group separately. For example, in a solvated macromolecule the
solvent (that tends to generate more heating by force and integration errors) can be coupled
with a shorter time constant to a bath than is a macromolecule, or a surface can be kept
cooler than an adsorbing molecule. Many different T-coupling groups may be defined. See
also center of mass groups below.

3.4. Molecular Dynamics 15
freeze group Atoms that belong to a freeze group are kept stationary in the dynamics. This is
useful during equilibration, e.g. to avoid badly placed solvent molecules giving unreasonable
kicks to protein atoms, although the same effect can also be obtained by putting a restraining
potential on the atoms that must be protected. The freeze option can be used, if desired, on
just one or two coordinates of an atom, thereby freezing the atoms in a plane or on a line.
When an atom is partially frozen, constraints will still be able to move it, even in a frozen
direction. A fully frozen atom can not be moved by constraints. Many freeze groups can
be defined. Frozen coordinates are unaffected by pressure scaling; in some cases this can
produce unwanted results, particularly when constraints are also used (in this case you will
get very large pressures). Accordingly, it is recommended to avoid combining freeze groups
with constraints and pressure coupling. For the sake of equilibration it could suffice to
start with freezing in a constant volume simulation, and afterward use position restraints in
conjunction with constant pressure.
accelerate group On each atom in an “accelerate group” an acceleration agis imposed. This
is equivalent to an external force. This feature makes it possible to drive the system into
a non-equilibrium state and enables the performance of non-equilibrium MD and hence to
obtain transport properties.
energy-monitor group Mutual interactions between all energy-monitor groups are compiled dur-
ing the simulation. This is done separately for Lennard-Jones and Coulomb terms. In prin-
ciple up to 256 groups could be defined, but that would lead to 256×256 items! Better use
this concept sparingly.
All non-bonded interactions between pairs of energy-monitor groups can be excluded (see
sec. 7.3). Pairs of particles from excluded pairs of energy-monitor groups are not put into the
pair list. This can result in a significant speedup for simulations where interactions within
or between parts of the system are not required.
center of mass group In GROMACS the center of mass (COM) motion can be removed, for
either the complete system or for groups of atoms. The latter is useful, e.g. for systems
where there is limited friction (e.g. gas systems) to prevent center of mass motion to occur.
It makes sense to use the same groups for temperature coupling and center of mass motion
removal.
XTC output group In order to reduce the size of the .xtc trajectory file, only a subset of all
particles can be stored. All XTC groups that are specified are saved, the rest is not. If no
XTC groups are specified, than all atoms are saved to the .xtc file.
The use of groups in GROMACS tools is described in sec. 8.1.
3.4 Molecular Dynamics
A global flow scheme for MD is given in Fig. 3.3. Each MD or EM run requires as input a set of
initial coordinates and – optionally – initial velocities of all particles involved. This chapter does
not describe how these are obtained; for the setup of an actual MD run check the online manual at
www.gromacs.org.

16 Chapter 3. Algorithms
THE GLOBAL MD ALGORITHM
1. Input initial conditions
Potential interaction Vas a function of atom positions
Positions rof all atoms in the system
Velocities vof all atoms in the system
⇓
repeat 2,3,4 for the required number of steps:
2. Compute forces
The force on any atom
Fi=−∂V
∂ri
is computed by calculating the force between non-bonded atom
pairs:
Fi=PjFij
plus the forces due to bonded interactions (which may depend on 1,
2, 3, or 4 atoms), plus restraining and/or external forces.
The potential and kinetic energies and the pressure tensor are
computed.
⇓
3. Update configuration
The movement of the atoms is simulated by numerically solving
Newton’s equations of motion
d2ri
dt2=Fi
mi
or
dri
dt=vi;dvi
dt=Fi
mi
⇓
4. if required: Output step
write positions, velocities, energies, temperature, pressure, etc.
Figure 3.3: The global MD algorithm

3.4. Molecular Dynamics 17
Velocity
Figure 3.4: A Maxwell-Boltzmann velocity distribution, generated from random numbers.
3.4.1 Initial conditions
Topology and force field
The system topology, including a description of the force field, must be read in. Force fields and
topologies are described in chapter 4and 5, respectively. All this information is static; it is never
modified during the run.
Coordinates and velocities
Then, before a run starts, the box size and the coordinates and velocities of all particles are re-
quired. The box size and shape is determined by three vectors (nine numbers) b1,b2,b3, which
represent the three basis vectors of the periodic box.
If the run starts at t=t0, the coordinates at t=t0must be known. The leap-frog algorithm, the
default algorithm used to update the time step with ∆t(see 3.4.4), also requires that the velocities
at t=t0−1
2∆tare known. If velocities are not available, the program can generate initial atomic
velocities vi, i = 1 . . . 3Nwith a (Fig. 3.4) at a given absolute temperature T:
p(vi) = rmi
2πkT exp −miv2
i
2kT !(3.7)

18 Chapter 3. Algorithms
where kis Boltzmann’s constant (see chapter 2). To accomplish this, normally distributed random
numbers are generated by adding twelve random numbers Rkin the range 0≤Rk<1and
subtracting 6.0 from their sum. The result is then multiplied by the standard deviation of the
velocity distribution pkT/mi. Since the resulting total energy will not correspond exactly to the
required temperature T, a correction is made: first the center-of-mass motion is removed and then
all velocities are scaled so that the total energy corresponds exactly to T(see eqn. 3.18).
Center-of-mass motion
The center-of-mass velocity is normally set to zero at every step; there is (usually) no net external
force acting on the system and the center-of-mass velocity should remain constant. In practice,
however, the update algorithm introduces a very slow change in the center-of-mass velocity, and
therefore in the total kinetic energy of the system – especially when temperature coupling is used.
If such changes are not quenched, an appreciable center-of-mass motion can develop in long runs,
and the temperature will be significantly misinterpreted. Something similar may happen due to
overall rotational motion, but only when an isolated cluster is simulated. In periodic systems with
filled boxes, the overall rotational motion is coupled to other degrees of freedom and does not
cause such problems.
3.4.2 Neighbor searching
As mentioned in chapter 4, internal forces are either generated from fixed (static) lists, or from
dynamic lists. The latter consist of non-bonded interactions between any pair of particles. When
calculating the non-bonded forces, it is convenient to have all particles in a rectangular box. As
shown in Fig. 3.1, it is possible to transform a triclinic box into a rectangular box. The output
coordinates are always in a rectangular box, even when a dodecahedron or triclinic box was used
for the simulation. Equation 3.1 ensures that we can reset particles in a rectangular box by first
shifting them with box vector c, then with band finally with a. Equations 3.3,3.4 and 3.5 ensure
that we can find the 14 nearest triclinic images within a linear combination that does not involve
multiples of box vectors.
Pair lists generation
The non-bonded pair forces need to be calculated only for those pairs i, j for which the distance
rij between iand the nearest image of jis less than a given cut-off radius Rc. Some of the particle
pairs that fulfill this criterion are excluded, when their interaction is already fully accounted for by
bonded interactions. GROMACS employs a pair list that contains those particle pairs for which
non-bonded forces must be calculated. The pair list contains atoms i, a displacement vector for
atom i, and all particles jthat are within rlist of this particular image of atom i. The list is
updated every nstlist steps, where nstlist is typically 10. There is an option to calculate
the total non-bonded force on each particle due to all particle in a shell around the list cut-off, i.e.
at a distance between rlist and rlistlong. This force is calculated during the pair list update
and retained during nstlist steps.
To make the neighbor list, all particles that are close (i.e. within the neighbor list cut-off) to a given

3.4. Molecular Dynamics 19
particle must be found. This searching, usually called neighbor search (NS) or pair search, involves
periodic boundary conditions and determining the image (see sec. 3.2). The search algorithm is
O(N), although a simpler O(N2)algorithm is still available under some conditions.
Cut-off schemes: group versus Verlet
From version 4.6, GROMACS supports two different cut-off scheme setups: the original one based
on atom groups and one using a Verlet buffer. There are some important differences that affect
results, performance and feature support. The group scheme can be made to work (almost) like
the Verlet scheme, but this will lead to a decrease in performance. The group scheme is especially
fast for water molecules, which are abundant in many simulations.
In the group scheme, a neighbor list is generated consisting of pairs of groups of at least one
atom. These groups were originally charge groups (see sec. 3.4.2), but with a proper treatment
of long-range electrostatics, performance is their only advantage. A pair of groups is put into the
neighbor list when their center of geometry is within the cut-off distance. Interactions between all
atom pairs (one from each charge group) are calculated for a certain number of MD steps, until
the neighbor list is updated. This setup is efficient, as the neighbor search only checks distance
between charge group pair, not atom pairs (saves a factor of 3×3 = 9 with a three-atom water
model) and the non-bonded force kernels can be optimized for, say, a water molecule “group”.
Without explicit buffering, this setup leads to energy drift as some atom pairs which are within the
cut-off don’t interact and some outside the cut-off do interact. This can be caused by
•atoms moving across the cut-off between neighbor search steps, and/or
•for charge groups consisting of more than one atom, atom pairs moving in/out of the cut-off
when their charge group center of geometry distance is outside/inside of the cut-off.
Explicitly adding a buffer to the neighbor list will remove such artifacts, but this comes at a high
computational cost. How severe the artifacts are depends on the system, the properties in which
you are interested, and the cut-off setup.
The Verlet cut-off scheme uses a buffered pair list by default. It also uses clusters of atoms, but
these are not static as in the group scheme. Rather, the clusters are defined spatially and consist
of 4 or 8 atoms, which is convenient for stream computing, using e.g. SSE, AVX or CUDA on
GPUs. At neighbor search steps, an atom pair list (or cluster pair list, but that’s an implementation
detail) is created with a Verlet buffer. Thus the pair-list cut-off is larger than the interaction cut-
off. In the non-bonded force kernels, forces are only added when an atom pair is within the cut-off
distance at that particular time step. This ensures that as atoms move between pair search steps,
forces between nearly all atoms within the cut-off distance are calculated. We say nearly all atoms,
because GROMACS uses a fixed pair list update frequency for efficiency. There is a small chance
that an atom pair distance is decreased to within the cut-off in this fixed number of steps. This
small chance results in a small energy drift. When temperature coupling is used, the buffer size
can be determined automatically, given a certain limit on the energy drift.
The Verlet scheme specific settings in the mdp file are:
cutoff-scheme = Verlet
verlet-buffer-drift = 0.005

20 Chapter 3. Algorithms
Non-bonded interaction feature group Verlet
unbuffered cut-off scheme √
exact cut-off shift/switch √
shifted interactions force+energy energy
switched forces √
non-periodic systems √Z + walls
implicit solvent √
free energy perturbed non-bondeds √
group energy contributions √CPU (not on GPU)
energy group exclusions √
AdResS multi-scale √
OpenMP multi-threading only PME √
native GPU support √
Table 3.2: Differences (only) in the support of non-bonded features between the group and Verlet
cut-off schemes.
The Verlet buffer size is determined from the latter option, which is by default set to 0.005
kJ/mol/ps energy drift per atom. Note that the total energy drift in the system is affected by
many factors and it is usually much smaller than this default setting for the estimate. For constant
energy (NVE) simulations, this drift should be set to -1 and a buffer has to be set manually by
specifying rlist >rcoulomb. The simplest way to get a reasonable buffer size is to use an
NVT mdp file with the target temperature set to what you expect in your NVE simulation, and
transfer the buffer size printed by grompp to your NVE mdp file.
The Verlet cut-off scheme is implemented in a very efficient fashion based on clusters of particles.
The simplest example is a cluster size of 4 particles. The pair list is then constructed based on
cluster pairs. The cluster-pair search is much faster searching based on particle pairs, because
4×4 = 16 particle pairs are put in the list at once. The non-bonded force calculation kernel can
then calculate all 16 particle-pair interactions at once, which maps nicely to SIMD units which
can perform multiple floating operations at once (e.g. SSE, AVX, CUDA on GPUs, BlueGene
FPUs). These non-bonded kernels are much faster than the kernels used in the group scheme for
most types of systems, except for water molecules when not using a buffered pair list. This latter
case is quite common for (bio-)molecular simulations, so for greatest speed, it is worth comparing
the performance of both schemes.
As the Verlet cut-off scheme was introduced in version 4.6, not all features of the group scheme
are supported yet. The Verlet scheme supports a few new features which the group scheme does
not support. A list of features not (fully) supported in both cut-off schemes is given in Table 3.2.
Energy drift and pair-list buffering
For a canonical ensemble, the average energy drift caused by the finite Verlet buffer size can be
determined from the atomic displacements and the shape of the potential at the cut-off. The dis-
placement distribution along one dimension for a freely moving particle with mass mover time
tat temperature Tis Gaussian with zero mean and variance σ2=t kBT /m. For the distance

3.4. Molecular Dynamics 21
between two atoms, the variance changes to σ2=σ2
12 =t kBT(1/m1+ 1/m2). Note that in
practice particles usually interact with other particles over time tand therefore the real displace-
ment distribution is much narrower. Given a non-bonded interaction cut-off distance of rcand
a pair-list cut-off r`=rc+rb, we can then write the average energy drift after time tfor pair
interactions between one particle of type 1 surrounded by particles of type 2 with number density
ρ2, when the inter particle distance changes from r0to rt, as:
h∆Vi=Zrc
0Z∞
r`
4πr2
0ρ2V(rt)Grt−r0
σdr0drt(3.8)
≈Zrc
−∞ Z∞
r`
4πr2
0ρ2hV0(rc)(rt−rc) +
V00(rc)1
2(rt−rc)2iGrt−r0
σdr0drt(3.9)
≈4π(r`+σ)2ρ2Zrc
−∞ Z∞
r`hV0(rc)(rt−rc) +
V00(rc)1
2(rt−rc)2iGrt−r0
σdr0drt(3.10)
= 4π(r`+σ)2ρ21
2V0(rc)rbσGrb
σ−(r2
b+σ2)Erb
σ+
1
6V00(rc)σ(r2
b+σ2)Grb
σ−rb(r2
b+ 3σ2)Erb
σ(3.11)
where Gis a Gaussian distribution with 0 mean and unit variance and E(x) = 1
2erfc(x/√2). We
always want to achieve small energy drift, so σwill be small compared to both rcand r`, thus the
approximations in the equations above are good, since the Gaussian distribution decays rapidly.
The energy drift needs to be averaged over all particle pair types and weighted with the particle
counts. In GROMACS we don’t allow cancellation of drift between pair types, so we average the
absolute values. To obtain the average energy drift per unit time, it needs to be divided by the
neighbor-list life time t= (nstlist −1) ×dt. This function can not be inverted analytically, so
we use bisection to obtain the buffer size rbfor a target drift. Again we note that in practice the drift
we usually be much smaller than this estimate, as in the condensed phase particle displacements
will be much smaller than for freely moving particles, which is the assumption used here.
When (bond) constraints are present, some particles will have fewer degrees of freedom. This will
reduce the energy drift. The displacement in an arbitrary direction of a particle with 2 degrees of
freedom is not Gaussian, but rather follows the complementary error function:
√π
2√2σerfc |r|
√2σ(3.12)
where σ2is again kBT/m. This distribution can no longer be integrated analytically to obtain
the energy drift. But we can generate a tight upper bound using a scaled and shifted Gaussian
distribution (not shown). This Gaussian distribution can then be used to calculate the energy drift
as described above. We consider particles constrained, i.e. having 2 degrees of freedom or fewer,
when they are connected by constraints to particles with a total mass of at least 1.5 times the mass
of the particles itself. For a particle with a single constraint this would give a total mass along the

22 Chapter 3. Algorithms
0 0.02 0.04 0.06 0.08 0.1
Verlet buffer (nm)
10−6
10−5
10−4
10−3
10−2
drift per atom (kJ/mol/ps)
estimate 1x1
estimate 4x4
double precision
single precision
Figure 3.5: Energy drift per atom for an SPC/E water system at 300K with a time step of 2 fs and
a pair-list update period of 10 steps (pair-list life time: 18 fs). PME was used with ewald-rtol
set to 10−5; this parameter affects the shape of the potential at the cut-off. Drift estimates due
to finite Verlet buffer size are shown for a 1×1atom pair list and 4×4atom pair list without
and with (dashed line) cancellation of positive and negative drift. Real energy drift is shown
for double- and single-precision simulations. Single-precision rounding errors in the SETTLE
constraint algorithm cause the drift to become negative at large buffer size. Note that at zero
buffer size, the real drift is small because the positive (H-H) and negative (O-H) drift cancels.
constraint direction of at least 2.5, which leads to a reduction in the variance of the displacement
along that direction by at least a factor of 6.25. As the Gaussian distribution decays very rapidly,
this effectively removes one degree of freedom from the displacement. Multiple constraints would
reduce the displacement even more, but as this gets very complex, we consider those as particles
with 2 degrees of freedom.
There is one important implementation detail that reduces the energy drift caused by the finite
Verlet buffer list size. The derivation above assumes a particle pair-list. However, the GROMACS
implementation uses a cluster pair-list for efficiency. The pair list consists of pairs of clusters of
4 particles in most cases, also called a 4×4list, but the list can also be 4×8(GPU CUDA
kernels and AVX 256-bit single precision kernels) or 4×2(SSE double-precision kernels). This
means that the pair-list is effectively much larger than the corresponding 1×1list. Thus slightly
beyond the pair-list cut-off there will still be a large fraction of particle pairs present in the list.
This fraction can be determined in a simulation and accurately estimated under some reasonable
assumptions. The fraction decreases with increasing pair-list range, meaning that a smaller buffer
can be used. For typical all-atom simulations with a cut-off of 0.9 nm this fraction is around 0.9,
which gives a reduction in the energy drift of a factor of 10. This reduction is taken into account
during the automatic Verlet buffer calculation and results in a smaller buffer size.
In Fig. 3.5 one can see that for water with a pair-list life time of 18 fs, the drift estimate is a factor
of 6 higher than the real drift, or alternatively the buffer estimate is 0.024 nm too large. This is

3.4. Molecular Dynamics 23
because the protons don’t move freely over 18 fs, but rather vibrate.
Cut-off artifacts and switched interactions
With the Verlet scheme, the pair potentials are shifted to be zero at the cut-off, such that the
potential is the integral of the force. Note that in the group scheme this is not possible, because
no exact cut-off distance is used. There can still be energy drift from non-zero forces at the
cut-off. This effect is extremely small and often not noticeable, as other integration errors may
dominate. To completely avoid cut-off artifacts, the non-bonded forces can be switched exactly
to zero at some distance smaller than the neighbor list cut-off (there are several ways to do this in
GROMACS, see sec. 4.1.5). One then has a buffer with the size equal to the neighbor list cut-off
less the longest interaction cut-off. With the group cut-off scheme, one can then also choose to
let mdrun only update the neighbor list when required. That is when one or more particles have
moved more than half the buffer size from the center of geometry of the charge group to which they
belong (see sec. 3.4.2), as determined at the previous neighbor search. This option guarantees that
there are no cut-off artifacts. Note that for larger systems this comes at a high computational cost,
since the neighbor list update frequency will be determined by just one or two particles moving
slightly beyond the half buffer length (which not even necessarily implies that the neighbor list is
invalid), while 99.99% of the particles are fine. ifthenelse test for gmxlite
Simple search
Due to eqns. 3.1 and 3.6, the vector rij connecting images within the cut-off Rccan be found by
constructing:
r000 =rj−ri(3.13)
r00 =r000 −c∗round(r000
z/cz)(3.14)
r0=r00 −b∗round(r00
y/by)(3.15)
rij =r0−a∗round(r0
x/ax)(3.16)
When distances between two particles in a triclinic box are needed that do not obey eqn. 3.1, many
shifts of combinations of box vectors need to be considered to find the nearest image.
Grid search
The grid search is schematically depicted in Fig. 3.6. All particles are put on the NS grid, with the
smallest spacing ≥Rc/2in each of the directions. In the direction of each box vector, a particle
ihas three images. For each direction the image may be -1,0 or 1, corresponding to a translation
over -1, 0 or +1 box vector. We do not search the surrounding NS grid cells for neighbors of
iand then calculate the image, but rather construct the images first and then search neighbors
corresponding to that image of i. As Fig. 3.6 shows, some grid cells may be searched more than
once for different images of i. This is not a problem, since, due to the minimum image convention,
at most one image will “see” the j-particle. For every particle, fewer than 125 (53) neighboring
cells are searched. Therefore, the algorithm scales linearly with the number of particles. Although
the prefactor is large, the scaling behavior makes the algorithm far superior over the standard

24 Chapter 3. Algorithms
j
i
i’
Figure 3.6: Grid search in two dimensions. The arrows are the box vectors.
O(N2)algorithm when there are more than a few hundred particles. The grid search is equally
fast for rectangular and triclinic boxes. Thus for most protein and peptide simulations the rhombic
dodecahedron will be the preferred box shape.
Charge groups
Charge groups were originally introduced to reduce cut-off artifacts of Coulomb interactions.
When a plain cut-off is used, significant jumps in the potential and forces arise when atoms with
(partial) charges move in and out of the cut-off radius. When all chemical moieties have a net
charge of zero, these jumps can be reduced by moving groups of atoms with net charge zero,
called charge groups, in and out of the neighbor list. This reduces the cut-off effects from the
charge-charge level to the dipole-dipole level, which decay much faster. With the advent of full
range electrostatics methods, such as particle mesh Ewald (sec. 4.9.2), the use of charge groups
is no longer required for accuracy. It might even have a slight negative effect on the accuracy or
efficiency, depending on how the neighbor list is made and the interactions are calculated.
But there is still an important reason for using “charge groups”: efficiency. Where applicable,
neighbor searching is carried out on the basis of charge groups which are defined in the molecular
topology. If the nearest image distance between the geometrical centers of the atoms of two charge
groups is less than the cut-off radius, all atom pairs between the charge groups are included in the
pair list. The neighbor searching for a water system, for instance, is 32= 9 times faster when
each molecule is treated as a charge group. Also the highly optimized water force loops (see
sec. B.2.1) only work when all atoms in a water molecule form a single charge group. Currently
the name neighbor-search group would be more appropriate, but the name charge group is retained
for historical reasons. When developing a new force field, the advice is to use charge groups of
3 to 4 atoms for optimal performance. For all-atom force fields this is relatively easy, as one can
simply put hydrogen atoms, and in some case oxygen atoms, in the same charge group as the
heavy atom they are connected to; for example: CH3, CH2, CH, NH2, NH, OH, CO2, CO.

3.4. Molecular Dynamics 25
3.4.3 Compute forces
Potential energy
When forces are computed, the potential energy of each interaction term is computed as well. The
total potential energy is summed for various contributions, such as Lennard-Jones, Coulomb, and
bonded terms. It is also possible to compute these contributions for energy-monitor groups of
atoms that are separately defined (see sec. 3.3).
Kinetic energy and temperature
The temperature is given by the total kinetic energy of the N-particle system:
Ekin =1
2
N
X
i=1
miv2
i(3.17)
From this the absolute temperature Tcan be computed using:
1
2Ndf kT =Ekin (3.18)
where kis Boltzmann’s constant and Ndf is the number of degrees of freedom which can be
computed from:
Ndf = 3N−Nc−Ncom (3.19)
Here Ncis the number of constraints imposed on the system. When performing molecular dynam-
ics Ncom = 3 additional degrees of freedom must be removed, because the three center-of-mass
velocities are constants of the motion, which are usually set to zero. When simulating in vacuo,
the rotation around the center of mass can also be removed, in this case Ncom = 6. When more
than one temperature-coupling group is used, the number of degrees of freedom for group iis:
Ni
df = (3Ni−Ni
c)3N−Nc−Ncom
3N−Nc
(3.20)
The kinetic energy can also be written as a tensor, which is necessary for pressure calculation in a
triclinic system, or systems where shear forces are imposed:
Ekin =1
2
N
X
i
mivi⊗vi(3.21)
Pressure and virial
The pressure tensor Pis calculated from the difference between kinetic energy Ekin and the virial
Ξ:
P=2
V(Ekin −Ξ)(3.22)
where Vis the volume of the computational box. The scalar pressure P, which can be used for
pressure coupling in the case of isotropic systems, is computed as:
P= trace(P)/3(3.23)

26 Chapter 3. Algorithms
1 20 t
x v x
Figure 3.7: The Leap-Frog integration method. The algorithm is called Leap-Frog because rand
vare leaping like frogs over each other’s backs.
The virial Ξtensor is defined as:
Ξ=−1
2X
i<j
rij ⊗Fij (3.24)
The GROMACS implementation of the virial computation is described in sec. B.1.
3.4.4 The leap-frog integrator
The default MD integrator in GROMACS is the so-called leap-frog algorithm [19] for the inte-
gration of the equations of motion. When extremely accurate integration with temperature and/or
pressure coupling is required, the velocity Verlet integrators are also present and may be preferable
(see 3.4.5). The leap-frog algorithm uses positions rat time tand velocities vat time t−1
2∆t; it
updates positions and velocities using the forces F(t)determined by the positions at time tusing
these relations:
v(t+1
2∆t) = v(t−1
2∆t) + ∆t
mF(t)(3.25)
r(t+ ∆t) = r(t)+∆tv(t+1
2∆t)(3.26)
The algorithm is visualized in Fig. 3.7. It produces trajectories that are identical to the Verlet [20]
algorithm, whose position-update relation is
r(t+ ∆t)=2r(t)−r(t−∆t) + 1
mF(t)∆t2+O(∆t4)(3.27)
The algorithm is of third order in rand is time-reversible. See ref. [21] for the merits of this
algorithm and comparison with other time integration algorithms.
The equations of motion are modified for temperature coupling and pressure coupling, and ex-
tended to include the conservation of constraints, all of which are described below.
3.4.5 The velocity Verlet integrator
The velocity Verlet algorithm [22] is also implemented in GROMACS, though it is not yet fully
integrated with all sets of options. In velocity Verlet, positions rand velocities vat time tare used

3.4. Molecular Dynamics 27
to integrate the equations of motion; velocities at the previous half step are not required.
v(t+1
2∆t) = v(t) + ∆t
2mF(t)(3.28)
r(t+ ∆t) = r(t)+∆tv(t+1
2∆t)(3.29)
v(t+ ∆t) = v(t+1
2∆t) + ∆t
2mF(t+ ∆t)(3.30)
or, equivalently,
r(t+ ∆t) = r(t)+∆tv+∆t2
2mF(t)(3.31)
v(t+ ∆t) = v(t) + ∆t
2m[F(t) + F(t+ ∆t)] (3.32)
With no temperature or pressure coupling, and with corresponding starting points, leap-frog and
velocity Verlet will generate identical trajectories, as can easily be verified by hand from the equa-
tions above. Given a single starting file with the same starting point x(0) and v(0), leap-frog
and velocity Verlet will not give identical trajectories, as leap-frog will interpret the velocities as
corresponding to t=−1
2∆t, while velocity Verlet will interpret them as corresponding to the
timepoint t= 0.
3.4.6 Understanding reversible integrators: The Trotter decomposition
To further understand the relationship between velocity Verlet and leap-frog integration, we intro-
duce the reversible Trotter formulation of dynamics, which is also useful to understanding imple-
mentations of thermostats and barostats in GROMACS.
A system of coupled, first-order differential equations can be evolved from time t= 0 to time tby
applying the evolution operator
Γ(t) = exp(iLt)Γ(0)
iL =˙
Γ· ∇Γ,(3.33)
where Lis the Liouville operator, and Γis the multidimensional vector of independent variables
(positions and velocities). A short-time approximation to the true operator, accurate at time ∆t=
t/P , is applied Ptimes in succession to evolve the system as
Γ(t) =
P
Y
i=1
exp(iL∆t)Γ(0) (3.34)
For NVE dynamics, the Liouville operator is
iL =
N
X
i=1
vi· ∇ri+
N
X
i=1
1
mi
F(ri)· ∇vi.(3.35)

28 Chapter 3. Algorithms
This can be split into two additive operators
iL1=
N
X
i=1
1
mi
F(ri)· ∇vi
iL2=
N
X
i=1
vi· ∇ri(3.36)
Then a short-time, symmetric, and thus reversible approximation of the true dynamics will be
exp(iL∆t) = exp(iL2
1
2∆t) exp(iL1∆t) exp(iL2
1
2∆t) + O(∆t3).(3.37)
This corresponds to velocity Verlet integration. The first exponential term over 1
2∆tcorresponds
to a velocity half-step, the second exponential term over ∆tcorresponds to a full velocity step,
and the last exponential term over 1
2∆tis the final velocity half step. For future times t=n∆t,
this becomes
exp(iLn∆t)≈exp(iL2
1
2∆t) exp(iL1∆t) exp(iL2
1
2∆t)n
≈exp(iL2
1
2∆t)exp(iL1∆t) exp(iL2∆t)n−1
exp(iL1∆t) exp(iL2
1
2∆t)(3.38)
This formalism allows us to easily see the difference between the different flavors of Verlet inte-
grators. The leap-frog integrator can be seen as starting with Eq. 3.37 with the exp (iL1∆t)term,
instead of the half-step velocity term, yielding
exp(iLn∆t) = exp (iL1∆t) exp (iL2∆t) + O(∆t3).(3.39)
Here, the full step in velocity is between t−1
2∆tand t+1
2∆t, since it is a combination of the
velocity half steps in velocity Verlet. For future times t=n∆t, this becomes
exp(iLn∆t)≈exp (iL1∆t) exp (iL2∆t)n
.(3.40)
Although at first this does not appear symmetric, as long as the full velocity step is between t−1
2∆t
and t+1
2∆t, then this is simply a way of starting velocity Verlet at a different place in the cycle.
Even though the trajectory and thus potential energies are identical between leap-frog and velocity
Verlet, the kinetic energy and temperature will not necessarily be the same. Standard velocity
Verlet uses the velocities at the tto calculate the kinetic energy and thus the temperature only at
time t; the kinetic energy is then a sum over all particles
KEfull(t) = X
i1
2mi
vi(t)2
=X
i
1
2mi1
2vi(t−1
2∆t) + 1
2vi(t+1
2∆t)2
,(3.41)

3.4. Molecular Dynamics 29
with the square on the outside of the average. Standard leap-frog calculates the kinetic energy at
time tbased on the average kinetic energies at the timesteps t+1
2∆tand t−1
2∆t, or the sum over
all particles
KEaverage(t) = X
i
1
2mi1
2vi(t−1
2∆t)2+1
2vi(t+1
2∆t)2,(3.42)
where the square is inside the average.
A non-standard variant of velocity Verlet which averages the kinetic energies KE(t+1
2∆t)and
KE(t−1
2∆t), exactly like leap-frog, is also now implemented in GROMACS (as .mdp file
option md-vv-avek). Without temperature and pressure coupling, velocity Verlet with half-
step-averaged kinetic energies and leap-frog will be identical up to numerical precision. For
temperature- and pressure-control schemes, however, velocity Verlet with half-step-averaged ki-
netic energies and leap-frog will be different, as will be discussed in the section in thermostats and
barostats.
The half-step-averaged kinetic energy and temperature are slightly more accurate for a given step
size; the difference in average kinetic energies using the half-step-averaged kinetic energies (md
and md-vv-avek) will be closer to the kinetic energy obtained in the limit of small step size than
will the full-step kinetic energy (using md-vv). For NVE simulations, this difference is usually not
significant, since the positions and velocities of the particles are still identical; it makes a difference
in the way the the temperature of the simulations are interpreted, but not in the trajectories that
are produced. Although the kinetic energy is more accurate with the half-step-averaged method,
meaning that it changes less as the timestep gets large, it is also more noisy. The RMS deviation
of the total energy of the system (sum of kinetic plus potential) in the half-step-averaged kinetic
energy case will be higher (about twice as high in most cases) than the full-step kinetic energy.
The drift will still be the same, however, as again, the trajectories are identical.
For NVT simulations, however, there will be a difference, as discussed in the section on temper-
ature control, since the velocities of the particles are adjusted such that kinetic energies of the
simulations, which can be calculated either way, reach the distribution corresponding to the set
temperature. In this case, the three methods will not give identical results.
Because the velocity and position are both defined at the same time tthe velocity Verlet integrator
can be used for some methods, especially rigorously correct pressure control methods, that are not
actually possible with leap-frog. The integration itself takes negligibly more time than leap-frog,
but twice as many communication calls are currently required. In most cases, and especially for
large systems where communication speed is important for parallelization and differences between
thermodynamic ensembles vanish in the 1/N limit, and when only NVT ensembles are required,
leap-frog will likely be the preferred integrator. For pressure control simulations where the fine
details of the thermodynamics are important, only velocity Verlet allows the true ensemble to be
calculated. In either case, simulation with double precision may be required to get fine details of
thermodynamics correct.
3.4.7 Twin-range cut-offs
To save computation time, slowly varying forces can be calculated less often than rapidly varying
forces. In GROMACS such a multiple time step splitting is possible between short and long range

30 Chapter 3. Algorithms
non-bonded interactions. In GROMACS versions up to 4.0, an irreversible integration scheme was
used which is also used by the GROMOS simulation package: every nsteps the long range forces
are determined and these are then also used (without modification) for the next n−1integration
steps in eqn. 3.25. Such an irreversible scheme can result in bad energy conservation and, possi-
bly, bad sampling. Since version 4.5, a leap-frog version of the reversible Trotter decomposition
scheme [23] is used. In this integrator the long-range forces are determined every nsteps and are
then integrated into the velocity in eqn. 3.25 using a time step of ∆tLR =n∆t:
v(t+1
2∆t) =
v(t−1
2∆t) + 1
m[FSR(t) + nFLR(t)] ∆t , step % n= 0
v(t−1
2∆t) + 1
mFSR(t)∆t , step % n6= 0
(3.43)
The parameter nis equal to the neighbor list update frequency. In 4.5, the velocity Verlet version
of multiple time-stepping is not yet fully implemented.
Several other simulation packages uses multiple time stepping for bonds and/or the PME mesh
forces. In GROMACS we have not implemented this (yet), since we use a different philosophy.
Bonds can be constrained (which is also a more sound approximation of a physical quantum
oscillator), which allows the smallest time step to be increased to the larger one. This not only
halves the number of force calculations, but also the update calculations. For even larger time
steps, angle vibrations involving hydrogen atoms can be removed using virtual interaction sites
(see sec. 6.7), which brings the shortest time step up to PME mesh update frequency of a multiple
time stepping scheme.
As an example we show the energy conservation for integrating the equations of motion for SPC/E
water at 300 K. To avoid cut-off effects, reaction-field electrostatics with RF =∞and shifted
Lennard-Jones interactions are used, both with a buffer region. The long-range interactions were
evaluated between 1.0 and 1.4 nm. In Fig. 3.7 one can see that for electrostatics the Trotter scheme
does an order of magnitude better up to ∆tLR = 16 fs. The electrostatics depends strongly on the
orientation of the water molecules, which changes rapidly. For Lennard-Jones interactions, the
energy drift is linear in ∆tLR and roughly two orders of magnitude smaller than for the electro-
statics. Lennard-Jones forces are smaller than Coulomb forces and they are mainly affected by
translation of water molecules, not rotation.
3.4.8 Temperature coupling
While direct use of molecular dynamics gives rise to the NVE (constant number, constant vol-
ume, constant energy ensemble), most quantities that we wish to calculate are actually from a
constant temperature (NVT) ensemble, also called the canonical ensemble. GROMACS can use
the weak-coupling scheme of Berendsen [24], stochastic randomization through the Andersen
thermostat [25], the extended ensemble Nos´
e-Hoover scheme [26,27], or a velocity-rescaling
scheme [28] to simulate constant temperature, with advantages of each of the schemes laid out
below.
There are several other reasons why it might be necessary to control the temperature of the system
(drift during equilibration, drift as a result of force truncation and integration errors, heating due to
external or frictional forces), but this is not entirely correct to do from a thermodynamic standpoint,

3.4. Molecular Dynamics 31
0 4 8 12 16 20
∆tLR (fs)
0
20
40
60
80
100
energy drift per d.o.f. (kBT/ns)
irrev. ∆t=2 fs
irrev. ∆t=4 fs
Trotter ∆t=2 fs
Trotter ∆t=4 fs
0 4 8 12 16 20
∆tLR (fs)
−0.6
−0.4
−0.2
0.0
0.2
Figure 3.8: Energy drift per degree of freedom in SPC/E water with twin-range cut-offs for re-
action field (left) and Lennard-Jones interaction (right) as a function of the long-range time step
length for the irreversible “GROMOS” scheme and a reversible Trotter scheme.
and in some cases only masks the symptoms (increase in temperature of the system) rather than the
underlying problem (deviations from correct physics in the dynamics). For larger systems, errors
in ensemble averages and structural properties incurred by using temperature control to remove
slow drifts in temperature appear to be negligible, but no completely comprehensive comparisons
have been carried out, and some caution must be taking in interpreting the results.
Berendsen temperature coupling
The Berendsen algorithm mimics weak coupling with first-order kinetics to an external heat bath
with given temperature T0. See ref. [29] for a comparison with the Nos´
e-Hoover scheme. The
effect of this algorithm is that a deviation of the system temperature from T0is slowly corrected
according to:
dT
dt=T0−T
τ(3.44)
which means that a temperature deviation decays exponentially with a time constant τ. This
method of coupling has the advantage that the strength of the coupling can be varied and adapted
to the user requirement: for equilibration purposes the coupling time can be taken quite short (e.g.
0.01 ps), but for reliable equilibrium runs it can be taken much longer (e.g. 0.5 ps) in which case
it hardly influences the conservative dynamics.
The Berendsen thermostat suppresses the fluctuations of the kinetic energy. This means that one
does not generate a proper canonical ensemble, so rigorously, the sampling will be incorrect. This
error scales with 1/N , so for very large systems most ensemble averages will not be affected sig-
nificantly, except for the distribution of the kinetic energy itself. However, fluctuation properties,
such as the heat capacity, will be affected. A similar thermostat which does produce a correct
ensemble is the velocity rescaling thermostat [28] described below.

32 Chapter 3. Algorithms
The heat flow into or out of the system is affected by scaling the velocities of each particle every
step, or every nTC steps, with a time-dependent factor λ, given by:
λ="1 + nTC∆t
τT(T0
T(t−1
2∆t)−1)#1/2
(3.45)
The parameter τTis close, but not exactly equal, to the time constant τof the temperature coupling
(eqn. 3.44):
τ= 2CVτT/Ndf k(3.46)
where CVis the total heat capacity of the system, kis Boltzmann’s constant, and Ndf is the
total number of degrees of freedom. The reason that τ6=τTis that the kinetic energy change
caused by scaling the velocities is partly redistributed between kinetic and potential energy and
hence the change in temperature is less than the scaling energy. In practice, the ratio τ /τTranges
from 1 (gas) to 2 (harmonic solid) to 3 (water). When we use the term “temperature coupling
time constant,” we mean the parameter τT.Note that in practice the scaling factor λis limited
to the range of 0.8 <=λ <=1.25, to avoid scaling by very large numbers which may crash the
simulation. In normal use, λwill always be much closer to 1.0.
Velocity-rescaling temperature coupling
The velocity-rescaling thermostat [28] is essentially a Berendsen thermostat (see above) with an
additional stochastic term that ensures a correct kinetic energy distribution by modifying it accord-
ing to
dK= (K0−K)dt
τT
+ 2sKK0
Nf
dW
√τT
,(3.47)
where Kis the kinetic energy, Nfthe number of degrees of freedom and dWa Wiener process.
There are no additional parameters, except for a random seed. This thermostat produces a correct
canonical ensemble and still has the advantage of the Berendsen thermostat: first order decay
of temperature deviations and no oscillations. When an NV T ensemble is used, the conserved
energy quantity is written to the energy and log file.
Andersen thermostat
One simple way to maintain a thermostatted ensemble is to take an NV E integrator and pe-
riodically re-select the velocities of the particles from a Maxwell-Boltzmann distribution. [25].
This can either be done by randomizing all the velocities simultaneously (massive collision) every
τT/∆tsteps, or by randomizing every particle with some small probability every timestep, equal
to ∆t/τ, where in both cases ∆tis the timestep and τTis a characteristic coupling time scale.
Because of the way constraints operate, all particles in the same constraint group must be re-
randomized simultaneously. This thermostat is also only possible with velocity Verlet algorithms,
because it operates directly on the velocities at each timestep.
This algorithm avoids some of the ergodicity issues of other algorithms, as energy cannot flow
back and forth between energetically decoupled components of the system as in velocity scaling
motions. However, it can slow down the kinetics of system by randomizing correlated motions

3.4. Molecular Dynamics 33
of the system, including slowing sampling when τTis at moderate levels (less than 10 ps). This
algorithm should therefore generally not be used when examining kinetics of the system, but can
avoid ergodicity problems of scaling problems when examining thermodynamic properties.
Nos´
e-Hoover temperature coupling
The Berendsen weak-coupling algorithm is extremely efficient for relaxing a system to the target
temperature, but once the system has reached equilibrium it might be more important to probe a
correct canonical ensemble. This is unfortunately not the case for the weak-coupling scheme.
To enable canonical ensemble simulations, GROMACS also supports the extended-ensemble ap-
proach first proposed by Nos´
e [26] and later modified by Hoover [27]. The system Hamiltonian
is extended by introducing a thermal reservoir and a friction term in the equations of motion. The
friction force is proportional to the product of each particle’s velocity and a friction parameter, ξ.
This friction parameter (or “heat bath” variable) is a fully dynamic quantity with its own momen-
tum (pξ) and equation of motion; the time derivative is calculated from the difference between the
current kinetic energy and the reference temperature.
In this formulation, the particles’ equations of motion in Fig. 3.3 are replaced by:
d2ri
dt2=Fi
mi−pξ
Q
dri
dt,(3.48)
where the equation of motion for the heat bath parameter ξis:
dpξ
dt= (T−T0).(3.49)
The reference temperature is denoted T0, while Tis the current instantaneous temperature of the
system. The strength of the coupling is determined by the constant Q(usually called the “mass
parameter” of the reservoir) in combination with the reference temperature. 1
The conserved quantity for the Nos´
e-Hoover equations of motion is not the total energy, but rather
H=
N
X
i=1
pi
2mi
+U(r1,r2,...,rN) + p2
ξ
2Q+NfkT ξ, (3.50)
where Nfis the total number of degrees of freedom.
In our opinion, the mass parameter is a somewhat awkward way of describing coupling strength,
especially due to its dependence on reference temperature (and some implementations even in-
clude the number of degrees of freedom in your system when defining Q). To maintain the cou-
pling strength, one would have to change Qin proportion to the change in reference temperature.
For this reason, we prefer to let the GROMACS user work instead with the period τTof the oscil-
lations of kinetic energy between the system and the reservoir instead. It is directly related to Q
and T0via:
Q=τ2
TT0
4π2.(3.51)
1Note that some derivations, an alternative notation ξalt =vξ=pξ/Q is used.

34 Chapter 3. Algorithms
This provides a much more intuitive way of selecting the Nos´
e-Hoover coupling strength (similar
to the weak-coupling relaxation), and in addition τTis independent of system size and reference
temperature.
It is however important to keep the difference between the weak-coupling scheme and the Nos´
e-
Hoover algorithm in mind: Using weak coupling you get a strongly damped exponential relax-
ation, while the Nos´
e-Hoover approach produces an oscillatory relaxation. The actual time it
takes to relax with Nos´
e-Hoover coupling is several times larger than the period of the oscillations
that you select. These oscillations (in contrast to exponential relaxation) also means that the time
constant normally should be 4–5 times larger than the relaxation time used with weak coupling,
but your mileage may vary.
Nos´
e-Hoover dynamics in simple systems such as collections of harmonic oscillators, can be non-
ergodic, meaning that only a subsection of phase space is ever sampled, even if the simulations
were to run for infinitely long. For this reason, the Nos´
e-Hoover chain approach was developed,
where each of the Nos´
e-Hoover thermostats has its own Nos´
e-Hoover thermostat controlling its
temperature. In the limit of an infinite chain of thermostats, the dynamics are guaranteed to be
ergodic. Using just a few chains can greatly improve the ergodicity, but recent research has shown
that the system will still be nonergodic, and it is still not entirely clear what the practical effect of
this [30]. Currently, the default number of chains is 10, but this can be controlled by the user. In the
case of chains, the equations are modified in the following way to include a chain of thermostatting
particles [31]:
d2ri
dt2=Fi
mi−pξ1
Q1
dri
dt
dpξ1
dt= (T−T0)−pξ1
pξ2
Q2
dpξi=2...N
dt= p2
ξi−1
Qi−1−kT !−pξi
pξi+1
Qi+1
dpξN
dt= p2
ξN−1
QN−1−kT !(3.52)
The conserved quantity for Nos´
e-Hoover chains is
H=
N
X
i=1
pi
2mi
+U(r1,r2,...,rN) +
M
X
k=1
p2
ξk
2Q0
k
+NfkT ξ1+kT
M
X
k=2
ξk(3.53)
The values and velocities of the Nos´
e-Hoover thermostat variables are generally not included in the
output, as they take up a fair amount of space and are generally not important for analysis of sim-
ulations, but this can be overridden by defining the environment variable GMX_NOSEHOOVER_-
CHAINS, which will print the values of all the positions and velocities of all Nos´
e-Hoover particles
in the chain to the .edr file. Leap-frog simulations currently can only have Nos´
e-Hoover chain
lengths of 1, but this will likely be updated in later version.
As described in the integrator section, for temperature coupling, the temperature that the algorithm
attempts to match to the reference temperature is calculated differently in velocity Verlet and leap-
frog dynamics. Velocity Verlet (md-vv) uses the full-step kinetic energy, while leap-frog and
md-vv-avek use the half-step-averaged kinetic energy.

3.4. Molecular Dynamics 35
We can examine the Trotter decomposition again to better understand the differences between
these constant-temperature integrators. In the case of Nos´
e-Hoover dynamics (for simplicity, using
a chain with N= 1, with more details in Ref. [32]), we split the Liouville operator as
iL =iL1+iL2+iLNHC,(3.54)
where
iL1=
N
X
i=1 pi
mi·∂
∂ri
iL2=
N
X
i=1
Fi·∂
∂pi
iLNHC =
N
X
i=1 −pξ
Qvi· ∇vi+pξ
Q
∂
∂ξ + (T−T0)∂
∂pξ
(3.55)
For standard velocity Verlet with Nos´
e-Hoover temperature control, this becomes
exp(iL∆t) = exp (iLNHC∆t/2) exp (iL2∆t/2)
exp (iL1∆t) exp (iL2∆t/2) exp (iLNHC∆t/2) + O(∆t3).(3.56)
For half-step-averaged temperature control using md-vv-avek, this decomposition will not work,
since we do not have the full step temperature until after the second velocity step. However, we
can construct an alternate decomposition that is still reversible, by switching the place of the NHC
and velocity portions of the decomposition:
exp(iL∆t) = exp (iL2∆t/2) exp (iLNHC∆t/2) exp (iL1∆t)
exp (iLNHC∆t/2) exp (iL2∆t/2) + O(∆t3)(3.57)
This formalism allows us to easily see the difference between the different flavors of velocity
Verlet integrator. The leap-frog integrator can be seen as starting with Eq. 3.57 just before the
exp (iL1∆t)term, yielding:
exp(iL∆t) = exp (iL1∆t) exp (iLNHC∆t/2)
exp (iL2∆t) exp (iLNHC∆t/2) + O(∆t3)(3.58)
and then using some algebra tricks to solve for some quantities are required before they are actually
calculated [33].
Group temperature coupling
In GROMACS temperature coupling can be performed on groups of atoms, typically a protein and
solvent. The reason such algorithms were introduced is that energy exchange between different
components is not perfect, due to different effects including cut-offs etc. If now the whole system
is coupled to one heat bath, water (which experiences the largest cut-off noise) will tend to heat
up and the protein will cool down. Typically 100 K differences can be obtained. With the use of
proper electrostatic methods (PME) these difference are much smaller but still not negligible. The

36 Chapter 3. Algorithms
parameters for temperature coupling in groups are given in the mdp file. Recent investigation has
shown that small temperature differences between protein and water may actually be an artifact
of the way temperature is calculated when there are finite timesteps, and very large differences in
temperature are likely a sign of something else seriously going wrong with the system, and should
be investigated carefully [34].
One special case should be mentioned: it is possible to temperature-couple only part of the system,
leaving other parts without temperature coupling. This is done by specifying −1for the time con-
stant τTfor the group that should not be thermostatted. If only part of the system is thermostatted,
the system will still eventually converge to an NVT system. In fact, one suggestion for minimiz-
ing errors in the temperature caused by discretized timesteps is that if constraints on the water
are used, then only the water degrees of freedom should be thermostatted, not protein degrees of
freedom, as the higher frequency modes in the protein can cause larger deviations from the “true”
temperature, the temperature obtained with small timesteps [34].
3.4.9 Pressure coupling
In the same spirit as the temperature coupling, the system can also be coupled to a “pressure
bath.” GROMACS supports both the Berendsen algorithm [24] that scales coordinates and box
vectors every step, the extended-ensemble Parrinello-Rahman approach [35,36], and for the ve-
locity Verlet variants, the Martyna-Tuckerman-Tobias-Klein (MTTK) implementation of pressure
control [32]. Parrinello-Rahman and Berendsen can be combined with any of the temperature
coupling methods above; MTTK can only be used with Nos´
e-Hoover temperature control.
Berendsen pressure coupling
The Berendsen algorithm rescales the coordinates and box vectors every step, or every nPC steps,
with a matrix µ, which has the effect of a first-order kinetic relaxation of the pressure towards a
given reference pressure P0according to
dP
dt=P0−P
τp
.(3.59)
The scaling matrix µis given by
µij =δij −nPC∆t
3τp
βij{P0ij −Pij (t)}.(3.60)
Here, βis the isothermal compressibility of the system. In most cases this will be a diagonal
matrix, with equal elements on the diagonal, the value of which is generally not known. It suffices
to take a rough estimate because the value of βonly influences the non-critical time constant of
the pressure relaxation without affecting the average pressure itself. For water at 1 atm and 300 K
β= 4.6×10−10 Pa−1= 4.6×10−5bar−1, which is 7.6×10−4MD units (see chapter 2). Most
other liquids have similar values. When scaling completely anisotropically, the system has to be
rotated in order to obey eqn. 3.1. This rotation is approximated in first order in the scaling, which

3.4. Molecular Dynamics 37
is usually less than 10−4. The actual scaling matrix µ0is
µ0=
µxx µxy +µyx µxz +µzx
0µyy µyz +µzy
0 0 µzz
.(3.61)
The velocities are neither scaled nor rotated.
In GROMACS, the Berendsen scaling can also be done isotropically, which means that instead
of Pa diagonal matrix with elements of size trace(P)/3is used. For systems with interfaces,
semi-isotropic scaling can be useful. In this case, the x/y-directions are scaled isotropically and
the zdirection is scaled independently. The compressibility in the x/y or z-direction can be set to
zero, to scale only in the other direction(s).
If you allow full anisotropic deformations and use constraints you might have to scale more slowly
or decrease your timestep to avoid errors from the constraint algorithms. It is important to note
that although the Berendsen pressure control algorithm yields a simulation with the correct average
pressure, it does not yield the exact NPT ensemble, and it is not yet clear exactly what errors this
approximation may yield.
Parrinello-Rahman pressure coupling
In cases where the fluctuations in pressure or volume are important per se (e.g. to calculate ther-
modynamic properties), especially for small systems, it may be a problem that the exact ensemble
is not well defined for the weak-coupling scheme, and that it does not simulate the true NPT
ensemble.
GROMACS also supports constant-pressure simulations using the Parrinello-Rahman approach [35,
36], which is similar to the Nos´
e-Hoover temperature coupling, and in theory gives the true NPT
ensemble. With the Parrinello-Rahman barostat, the box vectors as represented by the matrix b
obey the matrix equation of motion2
db2
dt2=VW−1b0−1(P−Pref ).(3.62)
The volume of the box is denoted V, and Wis a matrix parameter that determines the strength of
the coupling. The matrices Pand Pref are the current and reference pressures, respectively.
The equations of motion for the particles are also changed, just as for the Nos´
e-Hoover coupling.
In most cases you would combine the Parrinello-Rahman barostat with the Nos´
e-Hoover thermo-
stat, but to keep it simple we only show the Parrinello-Rahman modification here:
d2ri
dt2=Fi
mi−Mdri
dt,(3.63)
M=b−1"bdb0
dt+db
dtb0#b0−1.(3.64)
2The box matrix representation bin GROMACS corresponds to the transpose of the box matrix representation hin
the paper by Nos´
e and Klein. Because of this, some of our equations will look slightly different.

38 Chapter 3. Algorithms
The (inverse) mass parameter matrix W−1determines the strength of the coupling, and how the
box can be deformed. The box restriction (3.1) will be fulfilled automatically if the corresponding
elements of W−1are zero. Since the coupling strength also depends on the size of your box,
we prefer to calculate it automatically in GROMACS. You only have to provide the approximate
isothermal compressibilities βand the pressure time constant τpin the input file (Lis the largest
box matrix element):
W−1ij =4π2βij
3τ2
pL.(3.65)
Just as for the Nos´
e-Hoover thermostat, you should realize that the Parrinello-Rahman time con-
stant is not equivalent to the relaxation time used in the Berendsen pressure coupling algorithm.
In most cases you will need to use a 4–5 times larger time constant with Parrinello-Rahman cou-
pling. If your pressure is very far from equilibrium, the Parrinello-Rahman coupling may result in
very large box oscillations that could even crash your run. In that case you would have to increase
the time constant, or (better) use the weak-coupling scheme to reach the target pressure, and then
switch to Parrinello-Rahman coupling once the system is in equilibrium. Additionally, using the
leap-frog algorithm, the pressure at time tis not available until after the time step has completed,
and so the pressure from the previous step must be used, which makes the algorithm not directly
reversible, and may not be appropriate for high precision thermodynamic calculations.
Surface-tension coupling
When a periodic system consists of more than one phase, separated by surfaces which are par-
allel to the xy-plane, the surface tension and the z-component of the pressure can be coupled to
a pressure bath. Presently, this only works with the Berendsen pressure coupling algorithm in
GROMACS. The average surface tension γ(t)can be calculated from the difference between the
normal and the lateral pressure
γ(t) = 1
nZLz
0Pzz(z, t)−Pxx(z, t) + Pyy(z, t)
2dz(3.66)
=Lz
nPzz(t)−Pxx(t) + Pyy(t)
2,(3.67)
where Lzis the height of the box and nis the number of surfaces. The pressure in the z-direction
is corrected by scaling the height of the box with µz
∆Pzz =∆t
τp{P0zz −Pzz(t)}(3.68)
µzz = 1 + βzz∆Pzz (3.69)
This is similar to normal pressure coupling, except that the power of 1/3is missing. The pressure
correction in the z-direction is then used to get the correct convergence for the surface tension to
the reference value γ0. The correction factor for the box length in the x/y-direction is
µx/y = 1 + ∆t
2τp
βx/y nγ0
µzzLz−Pzz (t)+∆Pzz −Pxx(t) + Pyy(t)
2 (3.70)
The value of βzz is more critical than with normal pressure coupling. Normally an incorrect
compressibility will just scale τp, but with surface tension coupling it affects the convergence of

3.4. Molecular Dynamics 39
the surface tension. When βzz is set to zero (constant box height), ∆Pzis also set to zero, which
is necessary for obtaining the correct surface tension.
MTTK pressure control algorithms
As mentioned in the previous section, one weakness of leap-frog integration is in constant pressure
simulations, since the pressure requires a calculation of both the virial and the kinetic energy at the
full time step; for leap-frog, this information is not available until after the full timestep. Velocity
Verlet does allow the calculation, at the cost of an extra round of global communication, and can
compute, mod any integration errors, the true NPT ensemble.
The full equations, combining both pressure coupling and temperature coupling, are taken from
Martyna et al. [32] and Tuckerman [37] and are referred to here as MTTK equations (Martyna-
Tuckerman-Tobias-Klein). We introduce for convenience = (1/3) ln(V/V0), where V0is a
reference volume. The momentum of is v=p/W = ˙=˙
V /3V, and define α= 1 + 3/Ndof
(see Ref [37])
The isobaric equations are
˙
ri=pi
mi
+p
Wri
˙
pi
mi
=1
mi
Fi−αp
W
pi
mi
˙=p
W
˙p
W=3V
W(Pint −P)+(α−1) N
X
n=1
p2
i
mi!,(3.71)
(3.72)
where
Pint =Pkin −Pvir =1
3V"N
X
i=1 p2
i
2mi−ri·Fi!#.(3.73)
The terms including αare required to make phase space incompressible [37]. The acceleration
term can be rewritten as
˙p
W=3V
W(αPkin −Pvir −P)(3.74)
In terms of velocities, these equations become
˙
ri=vi+vri
˙
vi=1
mi
Fi−αvvi
˙=v
˙v=3V
W(Pint −P)+(α−1) N
X
n=1
1
2miv2
i!
Pint =Pkin −Pvir =1
3V"N
X
i=1 1
2miv2
i−ri·Fi#(3.75)

40 Chapter 3. Algorithms
For these equations, the conserved quantity is
H=
N
X
i=1
p2
i
2mi
+U(r1,r2,...,rN) + p
2W+P V (3.76)
The next step is to add temperature control. Adding Nos´
e-Hoover chains, including to the barostat
degree of freedom, where we use ηfor the barostat Nos´
e-Hoover variables, and Q0for the coupling
constants of the thermostats of the barostats, we get
˙
ri=pi
mi
+p
Wri
˙
pi
mi
=1
mi
Fi−αp
W
pi
mi−pξ1
Q1
pi
mi
˙=p
W
˙p
W=3V
W(αPkin −Pvir −P)−pη1
Q0
1
p
˙
ξk=pξk
Qk
˙ηk=pηk
Q0
k
˙pξk=Gk−pξk+1
Qk+1
k= 1, . . . , M −1
˙pηk=G0
k−pηk+1
Q0
k+1
k= 1, . . . , M −1
˙pξM=GM
˙pηM=G0
M,
(3.77)
where
Pint =Pkin −Pvir =1
3V"N
X
i=1 p2
i
2mi−ri·Fi!#
G1=
N
X
i=1
p2
i
mi−NfkT
Gk=p2
ξk−1
2Qk−1−kT k = 2, . . . , M
G0
1=p2
2W−kT
G0
k=p2
ηk−1
2Q0
k−1−kT k = 2, . . . , M (3.78)
The conserved quantity is now
H=
N
X
i=1
pi
2mi
+U(r1,r2,...,rN) + p2
2W+P V +

3.4. Molecular Dynamics 41
M
X
k=1
p2
ξk
2Qk
+
M
X
k=1
p2
ηk
2Q0
k
+NfkT ξ1+kT
M
X
i=2
ξk+kT
M
X
k=1
ηk(3.79)
Returning to the Trotter decomposition formalism, for pressure control and temperature con-
trol [32] we get:
iL =iL1+iL2+iL,1+iL,2+iLNHC−baro +iLNHC (3.80)
where “NHC-baro” corresponds to the Nos`
e-Hoover chain of the barostat, and NHC corresponds
to the NHC of the particles,
iL1=
N
X
i=1 pi
mi
+p
Wri·∂
∂ri
(3.81)
iL2=
N
X
i=1
Fi−αp
Wpi·∂
∂pi
(3.82)
iL,1=p
W
∂
∂ (3.83)
iL,2=G
∂
∂p
(3.84)
and where
G= 3V(αPkin −Pvir −P)(3.85)
Using the Trotter decomposition, we get
exp(iL∆t) = exp (iLNHC−baro∆t/2) exp (iLNHC∆t/2)
exp (iL,2∆t/2) exp (iL2∆t/2)
exp (iL,1∆t) exp (iL1∆t)
exp (iL2∆t/2) exp (iL,2∆t/2)
exp (iLNHC∆t/2) exp (iLNHC−baro∆t/2) + O(∆t3)(3.86)
The action of exp (iL1∆t)comes from the solution of the the differential equation ˙
ri=vi+vri
with vi=pi/miand vconstant with initial condition ri(0), evaluate at t= ∆t. This yields the
evolution
ri(∆t) = ri(0)ev∆t+ ∆tvi(0)ev∆t/2sinh (v∆t/2)
v∆t/2.(3.87)
The action of exp (iL2∆t/2) comes from the solution of the differential equation ˙
vi=Fi
mi−
αvvi, yielding
vi(∆t/2) = vi(0)e−αv∆t/2+∆t
2mi
Fi(0)e−αv∆t/4sinh (αv∆t/4)
αv∆t/4.(3.88)
md-vv-avek uses the full step kinetic energies for determining the pressure with the pressure con-
trol, but the half-step-averaged kinetic energy for the temperatures, which can be written as a
Trotter decomposition as
exp(iL∆t) = exp (iLNHC−baro∆t/2) exp (iL,2∆t/2) exp (iL2∆t/2)
exp (iLNHC∆t/2) exp (iL,1∆t) exp (iL1∆t) exp (iLNHC∆t/2)
exp (iL2∆t/2) exp (iL,2∆t/2) exp (iLNHC−baro∆t/2) + O(∆t3)(3.89)

42 Chapter 3. Algorithms
With constraints, the equations become significantly more complicated, in that each of these equa-
tions need to be solved iteratively for the constraint forces. The discussion of the details of the
iteration is beyond the scope of this manual; readers are encouraged to see the implementation
described in [38].
Infrequent evaluation of temperature and pressure coupling
Temperature and pressure control require global communication to compute the kinetic energy and
virial, which can become costly if performed every step for large systems. We can rearrange the
Trotter decomposition to give alternate symplectic, reversible integrator with the coupling steps
every nsteps instead of every steps. These new integrators will diverge if the coupling time step
is too large, as the auxiliary variable integrations will not converge. However, in most cases, long
coupling times are more appropriate, as they disturb the dynamics less [32].
Standard velocity Verlet with Nos´
e-Hoover temperature control has a Trotter expansion
exp(iL∆t)≈exp (iLNHC∆t/2) exp (iL2∆t/2)
exp (iL1∆t) exp (iL2∆t/2) exp (iLNHC∆t/2) .(3.90)
If the Nos´
e-Hoover chain is sufficiently slow with respect to the motions of the system, we can
write an alternate integrator over nsteps for velocity Verlet as
exp(iL∆t)≈(exp (iLNHC(n∆t/2)) [exp (iL2∆t/2)
exp (iL1∆t) exp (iL2∆t/2)]nexp (iLNHC(n∆t/2)) .(3.91)
For pressure control, this becomes
exp(iL∆t)≈exp (iLNHC−baro(n∆t/2)) exp (iLNHC(n∆t/2))
exp (iL,2(n∆t/2)) [exp (iL2∆t/2)
exp (iL,1∆t) exp (iL1∆t)
exp (iL2∆t/2)]nexp (iL,2(n∆t/2))
exp (iLNHC(n∆t/2)) exp (iLNHC−baro(n∆t/2)) ,(3.92)
where the box volume integration occurs every step, but the auxiliary variable integrations happen
every nsteps.
3.4.10 The complete update algorithm
The complete algorithm for the update of velocities and coordinates is given using leap-frog in
Fig. 3.9. The SHAKE algorithm of step 4 is explained below.
GROMACS has a provision to “freeze” (prevent motion of) selected particles, which must be
defined as a “freeze group.” This is implemented using a freeze factor fg, which is a vector, and
differs for each freeze group (see sec. 3.3). This vector contains only zero (freeze) or one (don’t
freeze). When we take this freeze factor and the external acceleration ahinto account the update
algorithm for the velocities becomes
v(t+∆t
2) = fg∗λ∗v(t−∆t
2) + F(t)
m∆t+ah∆t,(3.93)

3.4. Molecular Dynamics 43
THE UPDATE ALGORITHM
Given:
Positions rof all atoms at time t
Velocities vof all atoms at time t−1
2∆t
Accelerations F/m on all atoms at time t.
(Forces are computed disregarding any constraints)
Total kinetic energy and virial at t−∆t
⇓
1. Compute the scaling factors λand µ
according to eqns. 3.45 and 3.60
⇓
2. Update and scale velocities: v0=λ(v+a∆t)
⇓
3. Compute new unconstrained coordinates: r0=r+v0∆t
⇓
4. Apply constraint algorithm to coordinates: constrain(r0→r00;r)
⇓
5. Correct velocities for constraints: v= (r00 −r)/∆t
⇓
6. Scale coordinates and box: r=µr00;b=µb
Figure 3.9: The MD update algorithm with the leap-frog integrator

44 Chapter 3. Algorithms
where gand hare group indices which differ per atom.
3.4.11 Output step
The most important output of the MD run is the trajectory file, which contains particle coordi-
nates and (optionally) velocities at regular intervals. The trajectory file contains frames that could
include positions, velocities and/or forces, as well as information about the dimensions of the sim-
ulation volume, integration step, integration time, etc. The interpretation of the time varies with
the integrator chosen, as described above. For velocity-Verlet integrators, velocities labeled at
time tare for that time. For other integrators (e.g. leap-frog, stochastic dynamics), the velocities
labeled at time tare for time t−1
2∆t.
Since the trajectory files are lengthy, one should not save every step! To retain all information it
suffices to write a frame every 15 steps, since at least 30 steps are made per period of the highest
frequency in the system, and Shannon’s sampling theorem states that two samples per period of
the highest frequency in a band-limited signal contain all available information. But that still gives
very long files! So, if the highest frequencies are not of interest, 10 or 20 samples per ps may
suffice. Be aware of the distortion of high-frequency motions by the stroboscopic effect, called
aliasing: higher frequencies are mirrored with respect to the sampling frequency and appear as
lower frequencies.
GROMACS can also write reduced-precision coordinates for a subset of the simulation system to
a special compressed trajectory file format. All the other tools can read and write this format. See
sec. 7.3 for details on how to set up your .mdp file to have mdrun use this feature.
3.5 Shell molecular dynamics
GROMACS can simulate polarizability using the shell model of Dick and Overhauser [39]. In
such models a shell particle representing the electronic degrees of freedom is attached to a nucleus
by a spring. The potential energy is minimized with respect to the shell position at every step
of the simulation (see below). Successful applications of shell models in GROMACS have been
published for N2[40] and water [41].
3.5.1 Optimization of the shell positions
The force FSon a shell particle Scan be decomposed into two components
FS=Fbond +Fnb (3.94)
where Fbond denotes the component representing the polarization energy, usually represented by
a harmonic potential and Fnb is the sum of Coulomb and van der Waals interactions. If we assume
that Fnb is almost constant we can analytically derive the optimal position of the shell, i.e. where
FS= 0. If we have the shell S connected to atom A we have
Fbond =kb(xS−xA).(3.95)

3.6. Constraint algorithms 45
In an iterative solver, we have positions xS(n)where nis the iteration count. We now have at
iteration n
Fnb =FS−kb(xS(n)−xA)(3.96)
and the optimal position for the shells xS(n+ 1) thus follows from
FS−kb(xS(n)−xA) + kb(xS(n+ 1) −xA)=0 (3.97)
if we write
∆xS=xS(n+ 1) −xS(n)(3.98)
we finally obtain
∆xS=FS/kb(3.99)
which then yields the algorithm to compute the next trial in the optimization of shell positions
xS(n+ 1) = xS(n) + FS/kb.(3.100)
3.6 Constraint algorithms
Constraints can be imposed in GROMACS using LINCS (default) or the traditional SHAKE
method.
3.6.1 SHAKE
The SHAKE [42] algorithm changes a set of unconstrained coordinates r0to a set of coordinates
r00 that fulfill a list of distance constraints, using a set rreference, as
SHAKE(r0→r00;r)(3.101)
This action is consistent with solving a set of Lagrange multipliers in the constrained equations
of motion. SHAKE needs a relative tolerance; it will continue until all constraints are satisfied
within that relative tolerance. An error message is given if SHAKE cannot reset the coordinates
because the deviation is too large, or if a given number of iterations is surpassed.
Assume the equations of motion must fulfill Kholonomic constraints, expressed as
σk(r1. . . rN) = 0; k= 1 . . . K. (3.102)
For example, (r1−r2)2−b2= 0. Then the forces are defined as
−∂
∂ri V+
K
X
k=1
λkσk!,(3.103)
where λkare Lagrange multipliers which must be solved to fulfill the constraint equations. The
second part of this sum determines the constraint forces Gi, defined by
Gi=−
K
X
k=1
λk
∂σk
∂ri
(3.104)

46 Chapter 3. Algorithms
The displacement due to the constraint forces in the leap-frog or Verlet algorithm is equal to
(Gi/mi)(∆t)2. Solving the Lagrange multipliers (and hence the displacements) requires the so-
lution of a set of coupled equations of the second degree. These are solved iteratively by SHAKE.
For the special case of rigid water molecules, that often make up more than 80% of the simulation
system we have implemented the SETTLE algorithm [43] (sec. 5.5).
For velocity Verlet, an additional round of constraining must be done, to constrain the velocities of
the second velocity half step, removing any component of the velocity parallel to the bond vector.
This step is called RATTLE, and is covered in more detail in the original Andersen paper [44].
3.6.2 LINCS
The LINCS algorithm
LINCS is an algorithm that resets bonds to their correct lengths after an unconstrained update [45].
The method is non-iterative, as it always uses two steps. Although LINCS is based on matrices, no
matrix-matrix multiplications are needed. The method is more stable and faster than SHAKE, but
it can only be used with bond constraints and isolated angle constraints, such as the proton angle
in OH. Because of its stability, LINCS is especially useful for Brownian dynamics. LINCS has
two parameters, which are explained in the subsection parameters. The parallel version of LINCS,
P-LINCS, is described in subsection 3.18.3.
The LINCS formulas
We consider a system of Nparticles, with positions given by a 3Nvector r(t). For molecular
dynamics the equations of motion are given by Newton’s Law
d2r
dt2=M−1F,(3.105)
where Fis the 3Nforce vector and Mis a 3N×3Ndiagonal matrix, containing the masses of
the particles. The system is constrained by Ktime-independent constraint equations
gi(r) = |ri1−ri2| − di= 0 i= 1, . . . , K. (3.106)
In a numerical integration scheme, LINCS is applied after an unconstrained update, just like
SHAKE. The algorithm works in two steps (see figure Fig. 3.10). In the first step, the projec-
tions of the new bonds on the old bonds are set to zero. In the second step, a correction is applied
for the lengthening of the bonds due to rotation. The numerics for the first step and the second
step are very similar. A complete derivation of the algorithm can be found in [45]. Only a short
description of the first step is given here.
A new notation is introduced for the gradient matrix of the constraint equations which appears on
the right hand side of this equation:
Bhi =∂gh
∂ri
(3.107)
Notice that Bis a K×3Nmatrix, it contains the directions of the constraints. The following equa-
tion shows how the new constrained coordinates rn+1 are related to the unconstrained coordinates

3.6. Constraint algorithms 47
unconstrained
update
correction for
rotational
lengthening
projecting out
forces working
along the bonds
θ
d
ld
p
d
Figure 3.10: The three position updates needed for one time step. The dashed line is the old bond
of length d, the solid lines are the new bonds. l=dcos θand p= (2d2−l2)1
2.
runc
n+1 by
rn+1 = (I−TnBn)runc
n+1 +Tnd=
runc
n+1 −M−1Bn(BnM−1BT
n)−1(Bnrunc
n+1 −d)(3.108)
where T=M−1BT(BM −1BT)−1. The derivation of this equation from eqns. 3.105 and 3.106
can be found in [45].
This first step does not set the real bond lengths to the prescribed lengths, but the projection of the
new bonds onto the old directions of the bonds. To correct for the rotation of bond i, the projection
of the bond, pi, on the old direction is set to
pi=q2d2
i−l2
i,(3.109)
where liis the bond length after the first projection. The corrected positions are
r∗
n+1 = (I−TnBn)rn+1 +Tnp.(3.110)
This correction for rotational effects is actually an iterative process, but during MD only one
iteration is applied. The relative constraint deviation after this procedure will be less than 0.0001
for every constraint. In energy minimization, this might not be accurate enough, so the number of
iterations is equal to the order of the expansion (see below).
Half of the CPU time goes to inverting the constraint coupling matrix BnM−1BT
n, which has to
be done every time step. This K×Kmatrix has 1/mi1+1/mi2on the diagonal. The off-diagonal
elements are only non-zero when two bonds are connected, then the element is cos φ/mc, where
mcis the mass of the atom connecting the two bonds and φis the angle between the bonds.
The matrix Tis inverted through a power expansion. A K×Kmatrix Sis introduced which is
the inverse square root of the diagonal of BnM−1BT
n. This matrix is used to convert the diagonal
elements of the coupling matrix to one:
(BnM−1BT
n)−1=SS−1(BnM−1BT
n)−1S−1S
=S(SBnM−1BT
nS)−1S=S(I−An)−1S(3.111)

48 Chapter 3. Algorithms
The matrix Anis symmetric and sparse and has zeros on the diagonal. Thus a simple trick can be
used to calculate the inverse:
(I−An)−1=I+An+A2
n+A3
n+. . . (3.112)
This inversion method is only valid if the absolute values of all the eigenvalues of Anare smaller
than one. In molecules with only bond constraints, the connectivity is so low that this will always
be true, even if ring structures are present. Problems can arise in angle-constrained molecules. By
constraining angles with additional distance constraints, multiple small ring structures are intro-
duced. This gives a high connectivity, leading to large eigenvalues. Therefore LINCS should NOT
be used with coupled angle-constraints.
For molecules with all bonds constrained the eigenvalues of Aare around 0.4. This means that
with each additional order in the expansion eqn. 3.112 the deviations decrease by a factor 0.4. But
for relatively isolated triangles of constraints the largest eigenvalue is around 0.7. Such triangles
can occur when removing hydrogen angle vibrations with an additional angle constraint in alcohol
groups or when constraining water molecules with LINCS, for instance with flexible constraints.
The constraints in such triangles converge twice as slow as the other constraints. Therefore, start-
ing with GROMACS 4, additional terms are added to the expansion for such triangles
(I−An)−1≈I+An+. . . +ANi
n+A∗
n+. . . +A∗
nNiANi
n(3.113)
where Niis the normal order of the expansion and A∗only contains the elements of Athat couple
constraints within rigid triangles, all other elements are zero. In this manner, the accuracy of angle
constraints comes close to that of the other constraints, while the series of matrix vector multi-
plications required for determining the expansion only needs to be extended for a few constraint
couplings. This procedure is described in the P-LINCS paper[46].
The LINCS Parameters
The accuracy of LINCS depends on the number of matrices used in the expansion eqn. 3.112.
For MD calculations a fourth order expansion is enough. For Brownian dynamics with large time
steps an eighth order expansion may be necessary. The order is a parameter in the *.mdp file.
The implementation of LINCS is done in such a way that the algorithm will never crash. Even
when it is impossible to to reset the constraints LINCS will generate a conformation which fulfills
the constraints as well as possible. However, LINCS will generate a warning when in one step a
bond rotates over more than a predefined angle. This angle is set by the user in the *.mdp file.
3.7 Simulated Annealing
The well known simulated annealing (SA) protocol is supported in GROMACS, and you can even
couple multiple groups of atoms separately with an arbitrary number of reference temperatures
that change during the simulation. The annealing is implemented by simply changing the current
reference temperature for each group in the temperature coupling, so the actual relaxation and
coupling properties depends on the type of thermostat you use and how hard you are coupling it.
Since we are changing the reference temperature it is important to remember that the system will

3.8. Stochastic Dynamics 49
NOT instantaneously reach this value - you need to allow for the inherent relaxation time in the
coupling algorithm too. If you are changing the annealing reference temperature faster than the
temperature relaxation you will probably end up with a crash when the difference becomes too
large.
The annealing protocol is specified as a series of corresponding times and reference temperatures
for each group, and you can also choose whether you only want a single sequence (after which the
temperature will be coupled to the last reference value), or if the annealing should be periodic and
restart at the first reference point once the sequence is completed. You can mix and match both
types of annealing and non-annealed groups in your simulation.
3.8 Stochastic Dynamics
Stochastic or velocity Langevin dynamics adds a friction and a noise term to Newton’s equations
of motion, as
mi
d2ri
dt2=−miγi
dri
dt+Fi(r)+ ◦
ri,(3.114)
where γiis the friction constant [1/ps]and ◦
ri(t)is a noise process with h◦
ri(t)◦
rj(t+s)i=
2miγikBT δ(s)δij . When 1/γiis large compared to the time scales present in the system, one
could see stochastic dynamics as molecular dynamics with stochastic temperature-coupling. The
advantage compared to MD with Berendsen temperature-coupling is that in case of SD the gen-
erated ensemble is known. For simulating a system in vacuum there is the additional advantage
that there is no accumulation of errors for the overall translational and rotational degrees of free-
dom. When 1/γiis small compared to the time scales present in the system, the dynamics will be
completely different from MD, but the sampling is still correct.
In GROMACS there are two algorithms to integrate equation (3.114): a simple and efficient one
and a more complex leap-frog algorithm [47]. The accuracy of both integrators is equivalent to
the normal MD leap-frog and velocity-Verlet integrator, except with constraints where the simple
SD integrator is significantly less accurate. There is a proper way of applying constraints with
the simple integrator, but that requires a second constraining step [48], which diminishes the gain.
The simple integrator is:
v(t+1
2∆t) = αv(t−1
2∆t) + 1−α
mγ F(t) + skBT
m(1 −α2)rG
i(3.115)
r(t+ ∆t) = r(t)+∆tv(t+1
2∆t)(3.116)
α=1−γ∆t
m(3.117)
where rG
iis Gaussian distributed noise with µ= 0,σ= 1. With constraints you should only
consider using the simple integrator when γ∆t/m 0.01.
In the complex algorithm four Gaussian random numbers are required per integration step per de-
gree of freedom, and with constraints the coordinates need to be constrained twice per integration
step. Depending on the computational cost of the force calculation, this can take a significant part
of the simulation time. Exact continuation of a stochastic dynamics simulation is not possible,

50 Chapter 3. Algorithms
because the state of the random number generator is not stored. When using SD as a thermostat,
an appropriate value for γis 0.5 ps−1, since this results in a friction that is lower than the internal
friction of water, while it is high enough to remove excess heat (unless plain cut-off or reaction-
field electrostatics is used). With this value of γthe efficient algorithm will usually be accurate
enough.
3.9 Brownian Dynamics
In the limit of high friction, stochastic dynamics reduces to Brownian dynamics, also called po-
sition Langevin dynamics. This applies to over-damped systems, i.e. systems in which the inertia
effects are negligible. The equation is
dri
dt=1
γi
Fi(r)+ ◦
ri(3.118)
where γiis the friction coefficient [amu/ps]and ◦
ri(t)is a noise process with h◦
ri(t)◦
rj(t+s)i=
2δ(s)δijkBT/γi. In GROMACS the equations are integrated with a simple, explicit scheme
ri(t+ ∆t) = ri(t) + ∆t
γi
Fi(r(t)) + s2kBT∆t
γi
rG
i,(3.119)
where rG
iis Gaussian distributed noise with µ= 0,σ= 1. The friction coefficients γican be
chosen the same for all particles or as γi=miγi, where the friction constants γican be different
for different groups of atoms. Because the system is assumed to be over-damped, large timesteps
can be used. LINCS should be used for the constraints since SHAKE will not converge for large
atomic displacements. BD is an option of the mdrun program.
3.10 Energy Minimization
Energy minimization in GROMACS can be done using steepest descent, conjugate gradients, or l-
bfgs (limited-memory Broyden-Fletcher-Goldfarb-Shanno quasi-Newtonian minimizer...we prefer
the abbreviation). EM is just an option of the mdrun program.
3.10.1 Steepest Descent
Although steepest descent is certainly not the most efficient algorithm for searching, it is robust
and easy to implement.
We define the vector ras the vector of all 3Ncoordinates. Initially a maximum displacement h0
(e.g. 0.01 nm) must be given.
First the forces Fand potential energy are calculated. New positions are calculated by
rn+1 =rn+Fn
max(|Fn|)hn,(3.120)

3.10. Energy Minimization 51
where hnis the maximum displacement and Fnis the force, or the negative gradient of the poten-
tial V. The notation max(|Fn|)means the largest of the absolute values of the force components.
The forces and energy are again computed for the new positions
If (Vn+1 < Vn) the new positions are accepted and hn+1 = 1.2hn.
If (Vn+1 ≥Vn) the new positions are rejected and hn= 0.2hn.
The algorithm stops when either a user-specified number of force evaluations has been performed
(e.g. 100), or when the maximum of the absolute values of the force (gradient) components is
smaller than a specified value . Since force truncation produces some noise in the energy evalua-
tion, the stopping criterion should not be made too tight to avoid endless iterations. A reasonable
value for can be estimated from the root mean square force fa harmonic oscillator would exhibit
at a temperature T. This value is
f= 2πν√2mkT , (3.121)
where νis the oscillator frequency, mthe (reduced) mass, and kBoltzmann’s constant. For a
weak oscillator with a wave number of 100 cm−1and a mass of 10 atomic units, at a temperature
of 1 K, f= 7.7kJ mol−1nm−1. A value for between 1 and 10 is acceptable.
3.10.2 Conjugate Gradient
Conjugate gradient is slower than steepest descent in the early stages of the minimization, but
becomes more efficient closer to the energy minimum. The parameters and stop criterion are the
same as for steepest descent. In GROMACS conjugate gradient can not be used with constraints,
including the SETTLE algorithm for water [43], as this has not been implemented. If water is
present it must be of a flexible model, which can be specified in the *.mdp file by define =
-DFLEXIBLE.
This is not really a restriction, since the accuracy of conjugate gradient is only required for mini-
mization prior to a normal-mode analysis, which cannot be performed with constraints. For most
other purposes steepest descent is efficient enough.
3.10.3 L-BFGS
The original BFGS algorithm works by successively creating better approximations of the inverse
Hessian matrix, and moving the system to the currently estimated minimum. The memory re-
quirements for this are proportional to the square of the number of particles, so it is not practical
for large systems like biomolecules. Instead, we use the L-BFGS algorithm of Nocedal [49,50],
which approximates the inverse Hessian by a fixed number of corrections from previous steps.
This sliding-window technique is almost as efficient as the original method, but the memory re-
quirements are much lower - proportional to the number of particles multiplied with the correction
steps. In practice we have found it to converge faster than conjugate gradients, but due to the
correction steps it is not yet parallelized. It is also noteworthy that switched or shifted interactions
usually improve the convergence, since sharp cut-offs mean the potential function at the current
coordinates is slightly different from the previous steps used to build the inverse Hessian approxi-
mation.

52 Chapter 3. Algorithms
3.11 Normal-Mode Analysis
Normal-mode analysis [51,52,53] can be performed using GROMACS, by diagonalization of the
mass-weighted Hessian H:
RTM−1/2HM−1/2R=diag(λ1, . . . , λ3N)(3.122)
λi= (2πωi)2(3.123)
where Mcontains the atomic masses, Ris a matrix that contains the eigenvectors as columns, λi
are the eigenvalues and ωiare the corresponding frequencies.
First the Hessian matrix, which is a 3N×3Nmatrix where Nis the number of atoms, needs to
be calculated:
Hij =∂2V
∂xi∂xj
(3.124)
where xiand xjdenote the atomic x, y or z coordinates. In practice, this equation is not used, but
the Hessian is calculated numerically from the force as:
Hij =−fi(x+hej)−fi(x−hej)
2h(3.125)
fi=−∂V
∂xi
(3.126)
where ejis the unit vector in direction j. It should be noted that for a usual normal-mode cal-
culation, it is necessary to completely minimize the energy prior to computation of the Hessian.
The tolerance required depends on the type of system, but a rough indication is 0.001 kJ mol−1.
Minimization should be done with conjugate gradients or L-BFGS in double precision.
A number of GROMACS programs are involved in these calculations. First, the energy should
be minimized using mdrun. Then, mdrun computes the Hessian. Note that for generating the
run input file, one should use the minimized conformation from the full precision trajectory file,
as the structure file is not accurate enough. g_nmeig does the diagonalization and the sorting of
the normal modes according to their frequencies. Both mdrun and g_nmeig should be run in
double precision. The normal modes can be analyzed with the program g_anaeig. Ensembles
of structures at any temperature and for any subset of normal modes can be generated with g_-
nmens. An overview of normal-mode analysis and the related principal component analysis (see
sec. 8.10) can be found in [54].
3.12 Free energy calculations
3.12.1 Slow-growth methods
Free energy calculations can be performed in GROMACS using a number of methods, including
“slow-growth.” An example problem might be calculating the difference in free energy of binding
of an inhibitor Ito an enzyme Eand to a mutated enzyme E0. It is not feasible with computer sim-
ulations to perform a docking calculation for such a large complex, or even releasing the inhibitor

3.12. Free energy calculations 53
I
E’
E
I
EE’
G1∆ ∆G2
∆G4
∆G3
A
G1∆ ∆G2
∆G3
II’
E
I
E
I’
∆G4
B
Figure 3.11: Free energy cycles. A: to calculate ∆G12, the free energy difference between the
binding of inhibitor Ito enzymes Erespectively E0.B: to calculate ∆G12, the free energy differ-
ence for binding of inhibitors Irespectively I0to enzyme E.
from the enzyme in a reasonable amount of computer time with reasonable accuracy. However, if
we consider the free energy cycle in Fig. 3.11A we can write:
∆G1−∆G2= ∆G3−∆G4(3.127)
If we are interested in the left-hand term we can equally well compute the right-hand term.
If we want to compute the difference in free energy of binding of two inhibitors Iand I0to an
enzyme E(Fig. 3.11B) we can again use eqn. 3.127 to compute the desired property.
Free energy differences between two molecular species can be calculated in GROMACS using
the “slow-growth” method. Such free energy differences between different molecular species
are physically meaningless, but they can be used to obtain meaningful quantities employing a
thermodynamic cycle. The method requires a simulation during which the Hamiltonian of the
system changes slowly from that describing one system (A) to that describing the other system
(B). The change must be so slow that the system remains in equilibrium during the process; if that
requirement is fulfilled, the change is reversible and a slow-growth simulation from B to A will
yield the same results (but with a different sign) as a slow-growth simulation from A to B. This is
a useful check, but the user should be aware of the danger that equality of forward and backward
growth results does not guarantee correctness of the results.
The required modification of the Hamiltonian His realized by making Ha function of a coupling
parameter λ:H=H(p, q;λ)in such a way that λ= 0 describes system A and λ= 1 describes
system B:
H(p, q; 0) = HA(p, q); H(p, q; 1) = HB(p, q).(3.128)
In GROMACS, the functional form of the λ-dependence is different for the various force-field
contributions and is described in section sec. 4.5.
The Helmholtz free energy Ais related to the partition function Qof an N, V, T ensemble, which
is assumed to be the equilibrium ensemble generated by a MD simulation at constant volume and
temperature. The generally more useful Gibbs free energy Gis related to the partition function

54 Chapter 3. Algorithms
∆of an N, p, T ensemble, which is assumed to be the equilibrium ensemble generated by a MD
simulation at constant pressure and temperature:
A(λ) = −kBTln Q(3.129)
Q=cZZ exp[−βH(p, q;λ)] dp dq (3.130)
G(λ) = −kBTln ∆ (3.131)
∆ = cZZZexp[−βH(p, q;λ)−βpV ]dp dq dV (3.132)
G=A+pV, (3.133)
where β= 1/(kBT)and c= (N!h3N)−1. These integrals over phase space cannot be evaluated
from a simulation, but it is possible to evaluate the derivative with respect to λas an ensemble
average:
dA
dλ =RR(∂H/∂λ) exp[−βH(p, q;λ)] dp dq
RRexp[−βH(p, q;λ)] dp dq =∂H
∂λ NV T ;λ
,(3.134)
with a similar relation for dG/dλ in the N, p, T ensemble. The difference in free energy between
A and B can be found by integrating the derivative over λ:
AB(V, T )−AA(V, T ) = Z1
0∂H
∂λ NV T ;λ
dλ (3.135)
GB(p, T )−GA(p, T ) = Z1
0∂H
∂λ NpT ;λ
dλ. (3.136)
If one wishes to evaluate GB(p, T )−GA(p, T ), the natural choice is a constant-pressure simu-
lation. However, this quantity can also be obtained from a slow-growth simulation at constant
volume, starting with system A at pressure pand volume Vand ending with system B at pressure
pB, by applying the following small (but, in principle, exact) correction:
GB(p)−GA(p) = AB(V)−AA(V)−ZpB
p
[VB(p0)−V]dp0(3.137)
Here we omitted the constant Tfrom the notation. This correction is roughly equal to −1
2(pB−
p)∆V= (∆V)2/(2κV ), where ∆Vis the volume change at pand κis the isothermal compress-
ibility. This is usually small; for example, the growth of a water molecule from nothing in a bath
of 1000 water molecules at constant volume would produce an additional pressure of as much as
22 bar, but a correction to the Helmholtz free energy of just -1 kJ mol−1.
In Cartesian coordinates, the kinetic energy term in the Hamiltonian depends only on the momenta,
and can be separately integrated and, in fact, removed from the equations. When masses do not
change, there is no contribution from the kinetic energy at all; otherwise the integrated contribution
to the free energy is −3
2kBTln(mB/mA).Note that this is only true in the absence of constraints.
3.12.2 Thermodynamic integration
GROMACS offers the possibility to integrate eq. 3.135 or eq. 3.136 in one simulation over the
full range from A to B. However, if the change is large and insufficient sampling can be expected,

3.13. Replica exchange 55
the user may prefer to determine the value of hdG/dλiaccurately at a number of well-chosen
intermediate values of λ. This can easily be done by setting the stepsize delta_lambda to zero.
Each simulation can be equilibrated first, and a proper error estimate can be made for each value of
dG/dλ from the fluctuation of ∂H/∂λ. The total free energy change is then determined afterward
by an appropriate numerical integration procedure.
GROMACS now also supports the use of Bennett’s Acceptance Ratio [55] for calculating values
of ∆G for transformations from state A to state B using the program g_bar. The same data can
also be used to calculate free energies using MBAR [56], though the analysis currently requires
external tools from the external pymbar package, at https://SimTK.org/home/pymbar.
The λ-dependence for the force-field contributions is described in detail in section sec. 4.5.
3.13 Replica exchange
Replica exchange molecular dynamics (REMD) is a method that can be used to speed up the sam-
pling of any type of simulation, especially if conformations are separated by relatively high energy
barriers. It involves simulating multiple replicas of the same system at different temperatures and
randomly exchanging the complete state of two replicas at regular intervals with the probability:
P(1 ↔2) = min 1,exp 1
kBT1−1
kBT2(U1−U2) (3.138)
where T1and T2are the reference temperatures and U1and U2are the instantaneous potential
energies of replicas 1 and 2 respectively. After exchange the velocities are scaled by (T1/T2)±0.5
and a neighbor search is performed the next step. This combines the fast sampling and frequent
barrier-crossing of the highest temperature with correct Boltzmann sampling at all the different
temperatures [57,58]. We only attempt exchanges for neighboring temperatures as the probability
decreases very rapidly with the temperature difference. One should not attempt exchanges for
all possible pairs in one step. If, for instance, replicas 1 and 2 would exchange, the chance of
exchange for replicas 2 and 3 not only depends on the energies of replicas 2 and 3, but also on the
energy of replica 1. In GROMACS this is solved by attempting exchange for all “odd” pairs on
“odd” attempts and for all “even” pairs on “even” attempts. If we have four replicas: 0, 1, 2 and 3,
ordered in temperature and we attempt exchange every 1000 steps, pairs 0-1 and 2-3 will be tried
at steps 1000, 3000 etc. and pair 1-2 at steps 2000, 4000 etc.
How should one choose the temperatures? The energy difference can be written as:
U1−U2=Ndf
c
2kB(T1−T2)(3.139)
where Ndf is the total number of degrees of freedom of one replica and cis 1 for harmonic poten-
tials and around 2 for protein/water systems. If T2= (1 + )T1the probability becomes:
P(1 ↔2) = exp −2c Ndf
2(1 + )!≈exp −2c
2Ndf (3.140)
Thus for a probability of e−2≈0.135 one obtains ≈2/pc Ndf . With all bonds constrained one
has Ndf ≈2Natoms and thus for c= 2 one should choose as 1/√Natoms. However there is one

56 Chapter 3. Algorithms
problem when using pressure coupling. The density at higher temperatures will decrease, leading
to higher energy [59], which should be taken into account. The GROMACS website features a so-
called “REMD calculator,” that lets you type in the temperature range and the number of atoms,
and based on that proposes a set of temperatures.
An extension to the REMD for the isobaric-isothermal ensemble was proposed by Okabe et
al. [60]. In this work the exchange probability is modified to:
P(1 ↔2) = min 1,exp 1
kBT1−1
kBT2(U1−U2) + P1
kBT1−P2
kBT2(V1−V2)
(3.141)
where P1and P2are the respective reference pressures and V1and V2are the respective instanta-
neous volumes in the simulations. In most cases the differences in volume are so small that the
second term is negligible. It only plays a role when the difference between P1and P2is large or
in phase transitions.
Hamiltonian replica exchange is also supported in GROMACS. In Hamiltonian replica exchange,
each replica has a different Hamiltonian, defined by the free energy pathway specified for the
simulation. The exchange probability to maintain the correct ensemble probabilities is:
P(1 ↔2) = min 1,exp 1
kBT−1
kBT((U1(x2)−U1(x1)) + (U2(x1)−U2(x2)))
(3.142)
The separate Hamiltonians are defined by the free energy functionality of GROMACS, with swaps
made between the different values of λdefined in the mdp file.
Hamiltonian and temperature replica exchange can also be performed simultaneously, using the
acceptance criteria:
P(1 ↔2) = min 1,exp 1
kBT−(U1(x2)−U1(x1)
kBT1
+U2(x1)−U2(x2)
kBT2
) (3.143)
Gibbs sampling replica exchange has also been implemented in GROMACS [61]. In Gibbs sam-
pling replica exchange, all possible pairs are tested for exchange, allowing swaps between replicas
that are not neighbors.
Gibbs sampling replica exchange requires no additional potential energy calculations. However
there is an additional communication cost in Gibbs sampling replica exchange, as for some permu-
tations, more than one round of swaps must take place. In some cases, this extra communication
cost might affect the efficiency.
All replica exchange variants are options of the mdrun program. It will only work when MPI is
installed, due to the inherent parallelism in the algorithm. For efficiency each replica can run on a
separate node. See the manual page of mdrun on how to use these multinode features.
3.14 Essential Dynamics sampling
The results from Essential Dynamics (see sec. 8.10) of a protein can be used to guide MD sim-
ulations. The idea is that from an initial MD simulation (or from other sources) a definition of
the collective fluctuations with largest amplitude is obtained. The position along one or more of

3.15. Expanded Ensemble 57
these collective modes can be constrained in a (second) MD simulation in a number of ways for
several purposes. For example, the position along a certain mode may be kept fixed to monitor
the average force (free-energy gradient) on that coordinate in that position. Another application
is to enhance sampling efficiency with respect to usual MD [62,63]. In this case, the system is
encouraged to sample its available configuration space more systematically than in a diffusion-like
path that proteins usually take.
Another possibility to enhance sampling is flooding. Here a flooding potential is added to certain
(collective) degrees of freedom to expel the system out of a region of phase space [64].
The procedure for essential dynamics sampling or flooding is as follows. First, the eigenvectors
and eigenvalues need to be determined using covariance analysis (g_covar) or normal-mode
analysis (g_nmeig). Then, this information is fed into make_edi, which has many options for
selecting vectors and setting parameters, see Appendix Dfor the manual page of make_edi. The
generated edi input file is then passed to mdrun.
3.15 Expanded Ensemble
In an expanded ensemble simulation [65], both the coordinates and the thermodynamic ensemble
are treated as configuration variables that can be sampled over. The probability of any given state
can be written as:
P(~x, k)∝exp (−βkUk+gk),(3.144)
where βk=1
kBTkis the βcorresponding to the kth thermodynamic state, and gkis a user-specified
weight factor corresponding to the kth state. This space is therefore a mixed,generalized, or
expanded ensemble which samples from multiple thermodynamic ensembles simultaneously. gk
is chosen to give a specific weighting of each subensemble in the expanded ensemble, and can
either be fixed, or determined by an iterative procedure. The set of gkis frequently chosen to
give each thermodynamic ensemble equal probability, in which case gkis equal to the free energy
in non-dimensional units, but they can be set to arbitrary values as desired. Several different
algorithms can be used to equilibrate these weights, described in the mdp option listings.
In GROMACS, this space is sampled by alternating sampling in the kand ~x directions. Sampling
in the ~x direction is done by standard molecular dynamics sampling; sampling between the dif-
ferent thermodynamics states is done by Monte Carlo, with several different Monte Carlo moves
supported. The kstates can be defined by different temperatures, or choices of the free energy
λvariable, or both. Expanded ensemble simulations thus represent a serialization of the replica
exchange formalism, allowing a single simulation to explore many thermodynamic states.
3.16 Parallelization
The CPU time required for a simulation can be reduced by running the simulation in parallel over
more than one processor or processor core. Ideally one would want to have linear scaling: running
on Nprocessors/cores makes the simulation Ntimes faster. In practice this can only be achieved
for a small number of processors. The scaling will depend a lot on the algorithms used. Also,
different algorithms can have different restrictions on the interaction ranges between atoms. In

58 Chapter 3. Algorithms
GROMACS we have two types of parallelization: particle decomposition and domain decomposi-
tion. Particle decomposition is only useful for a few special cases. Domain decomposition, which
is the default algorithm, will always be faster and scale better.
3.17 Particle decomposition
Particle decomposition, also called , is the simplest type of decomposition. At the start of the
simulation, particles are assigned to processors. Then forces between particles need to be assigned
to processors such that the force load is evenly balanced. This decomposition requires that each
processor know the coordinates of at least half of the particles in the system. Thus for a high
number of processors N, about N×N/2coordinates need to be communicated. Because of this
quadratic relation particle decomposition does not scale well.
Particle decomposition was the only method available before version 4 of GROMACS. Now it is
only useful in cases where domain decomposition does not work, such as systems with long-range
bonded interactions, especially NMR distance or orientation restraints. With particle decomposi-
tion only whole molecules can be assigned to a processor.
3.18 Domain decomposition
Since most interactions in molecular simulations are local, domain decomposition is a natural way
to decompose the system. In domain decomposition, a spatial domain is assigned to each proces-
sor, which will then integrate the equations of motion for the particles that currently reside in its
local domain. With domain decomposition, there are two choices that have to be made: the divi-
sion of the unit cell into domains and the assignment of the forces to processors. Most molecular
simulation packages use the half-shell method for assigning the forces. But there are two meth-
ods that always require less communication: the eighth shell [66] and the midpoint [67] method.
GROMACS currently uses the eighth shell method, but for certain systems or hardware architec-
tures it might be advantageous to use the midpoint method. Therefore, we might implement the
midpoint method in the future. Most of the details of the domain decomposition can be found in
the GROMACS 4 paper [5].
3.18.1 Coordinate and force communication
In the most general case of a triclinic unit cell, the space in divided with a 1-, 2-, or 3-D grid
in parallelepipeds that we call domain decomposition cells. Each cell is assigned to a processor.
The system is partitioned over the processors at the beginning of each MD step in which neighbor
searching is performed. Since the neighbor searching is based on charge groups, charge groups
are also the units for the domain decomposition. Charge groups are assigned to the cell where
their center of geometry resides. Before the forces can be calculated, the coordinates from some
neighboring cells need to be communicated, and after the forces are calculated, the forces need
to be communicated in the other direction. The communication and force assignment is based on
zones that can cover one or multiple cells. An example of a zone setup is shown in Fig. 3.12.

3.18. Domain decomposition 59
7
30
4c
r
1
6
5
Figure 3.12: A non-staggered domain decomposition grid of 3×2×2 cells. Coordinates in zones
1 to 7 are communicated to the corner cell that has its home particles in zone 0. rcis the cut-off
radius.
The coordinates are communicated by moving data along the “negative” direction in x,yor z
to the next neighbor. This can be done in one or multiple pulses. In Fig. 3.12 two pulses in x
are required, then one in yand then one in z. The forces are communicated by reversing this
procedure. See the GROMACS 4 paper [5] for details on determining which non-bonded and
bonded forces should be calculated on which node.
3.18.2 Dynamic load balancing
When different processors have a different computational load (load imbalance), all processors
will have to wait for the one that takes the most time. One would like to avoid such a situation.
Load imbalance can occur due to three reasons:
•inhomogeneous particle distribution
•inhomogeneous interaction cost distribution (charged/uncharged, water/non-water due to
GROMACS water innerloops)
•statistical fluctuation (only with small particle numbers)
So we need a dynamic load balancing algorithm where the volume of each domain decomposition
cell can be adjusted independently. To achieve this, the 2- or 3-D domain decomposition grids
need to be staggered. Fig. 3.13 shows the most general case in 2-D. Due to the staggering, one
might require two distance checks for deciding if a charge group needs to be communicated: a
non-bonded distance and a bonded distance check.
By default, mdrun automatically turns on the dynamic load balancing during a simulation when
the total performance loss due to the force calculation imbalance is 5% or more. Note that the
reported force load imbalance numbers might be higher, since the force calculation is only part of

60 Chapter 3. Algorithms
11
2
d
0
32
3’
rc
rb
2’
Figure 3.13: The zones to communicate to the processor of zone 0, see the text for details. rcand
rbare the non-bonded and bonded cut-off radii respectively, dis an example of a distance between
following, staggered boundaries of cells.
work that needs to be done during an integration step. The load imbalance is reported in the log
file at log output steps and when the -v option is used also on screen. The average load imbalance
and the total performance loss due to load imbalance are reported at the end of the log file.
There is one important parameter for the dynamic load balancing, which is the minimum allowed
scaling. By default, each dimension of the domain decomposition cell can scale down by at least
a factor of 0.8. For 3-D domain decomposition this allows cells to change their volume by about
a factor of 0.5, which should allow for compensation of a load imbalance of 100%. The required
scaling can be changed with the -dds option of mdrun.
3.18.3 Constraints in parallel
Since with domain decomposition parts of molecules can reside on different processors, bond
constraints can cross cell boundaries. Therefore a parallel constraint algorithm is required. GRO-
MACS uses the P-LINCS algorithm [46], which is the parallel version of the LINCS algorithm [45]
. (see 3.6.2). The P-LINCS procedure is illustrated in Fig. 3.14. When molecules cross the cell
boundaries, atoms in such molecules up to (lincs_order + 1) bonds away are communicated
over the cell boundaries. Then, the normal LINCS algorithm can be applied to the local bonds
plus the communicated ones. After this procedure, the local bonds are correctly constrained, even
though the extra communicated ones are not. One coordinate communication step is required for
the initial LINCS step and one for each iteration. Forces do not need to be communicated.
3.18.4 Interaction ranges
Domain decomposition takes advantage of the locality of interactions. This means that there will
be limitations on the range of interactions. By default, mdrun tries to find the optimal balance
between interaction range and efficiency. But it can happen that a simulation stops with an error
message about missing interactions, or that a simulation might run slightly faster with shorter
interaction ranges. A list of interaction ranges and their default values is given in Table 3.3.

3.18. Domain decomposition 61
Figure 3.14: Example of the parallel setup of P-LINCS with one molecule split over three do-
main decomposition cells, using a matrix expansion order of 3. The top part shows which atom
coordinates need to be communicated to which cells. The bottom parts show the local constraints
(solid) and the non-local constraints (dashed) for each of the three cells.
interaction range option default
non-bonded rc= max(rlist,rV dW ,rCoul)mdp file
two-body bonded max(rmb,rc)mdrun -rdd starting conf. + 10%
multi-body bonded rmb mdrun -rdd starting conf. + 10%
constraints rcon mdrun -rcon est. from bond lengths
virtual sites rcon mdrun -rcon 0
Table 3.3: The interaction ranges with domain decomposition.

62 Chapter 3. Algorithms
In most cases the defaults of mdrun should not cause the simulation to stop with an error message
of missing interactions. The range for the bonded interactions is determined from the distance be-
tween bonded charge-groups in the starting configuration, with 10% added for headroom. For the
constraints, the value of rcon is determined by taking the maximum distance that (lincs_order
+ 1) bonds can cover when they all connect at angles of 120 degrees. The actual constraint com-
munication is not limited by rcon, but by the minimum cell size LC, which has the following lower
limit:
LC≥max(rmb, rcon)(3.145)
Without dynamic load balancing the system is actually allowed to scale beyond this limit when
pressure scaling is used. Note that for triclinic boxes, LCis not simply the box diagonal compo-
nent divided by the number of cells in that direction, rather it is the shortest distance between the
triclinic cells borders. For rhombic dodecahedra this is a factor of p3/2shorter along xand y.
When rmb > rc,mdrun employs a smart algorithm to reduce the communication. Simply
communicating all charge groups within rmb would increase the amount of communication enor-
mously. Therefore only charge-groups that are connected by bonded interactions to charge groups
which are not locally present are communicated. This leads to little extra communication, but also
to a slightly increased cost for the domain decomposition setup. In some cases, e.g. coarse-grained
simulations with a very short cut-off, one might want to set rmb by hand to reduce this cost.
3.18.5 Multiple-Program, Multiple-Data PME parallelization
Electrostatics interactions are long-range, therefore special algorithms are used to avoid summa-
tion over many atom pairs. In GROMACS this is usually . PME (sec. 4.9.2). Since with PME
all particles interact with each other, global communication is required. This will usually be the
limiting factor for scaling with domain decomposition. To reduce the effect of this problem, we
have come up with a Multiple-Program, Multiple-Data approach [5]. Here, some processors are
selected to do only the PME mesh calculation, while the other processors, called particle-particle
(PP) nodes, do all the rest of the work. For rectangular boxes the optimal PP to PME node ratio
is usually 3:1, for rhombic dodecahedra usually 2:1. When the number of PME nodes is reduced
by a factor of 4, the number of communication calls is reduced by about a factor of 16. Or put
differently, we can now scale to 4 times more nodes. In addition, for modern 4 or 8 core machines
in a network, the effective network bandwidth for PME is quadrupled, since only a quarter of the
cores will be using the network connection on each machine during the PME calculations.
mdrun will by default interleave the PP and PME nodes. If the processors are not number consec-
utively inside the machines, one might want to use mdrun -ddorder pp_pme. For machines
with a real 3-D torus and proper communication software that assigns the processors accordingly
one should use mdrun -ddorder cartesian.
To optimize the performance one should usually set up the cut-offs and the PME grid such that the
PME load is 25 to 33% of the total calculation load. grompp will print an estimate for this load
at the end and also mdrun calculates the same estimate to determine the optimal number of PME
nodes to use. For high parallelization it might be worthwhile to optimize the PME load with the
mdp settings and/or the number of PME nodes with the -npme option of mdrun. For changing
the electrostatics settings it is useful to know the accuracy of the electrostatics remains nearly
constant when the Coulomb cut-off and the PME grid spacing are scaled by the same factor. Note

3.19. Implicit solvation 63
6 PP nodes 2 PME nodes
8 PP/PME nodes
Figure 3.15: Example of 8 nodes without (left) and with (right) MPMD. The PME communication
(red arrows) is much higher on the left than on the right. For MPMD additional PP - PME coordi-
nate and force communication (blue arrows) is required, but the total communication complexity
is lower.
that it is usually better to overestimate than to underestimate the number of PME nodes, since the
number of PME nodes is smaller than the number of PP nodes, which leads to less total waiting
time.
The PME domain decomposition can be 1-D or 2-D along the xand/or yaxis. 2-D decomposition
is also known as pencil decomposition because of the shape of the domains at high parallelization.
1-D decomposition along the yaxis can only be used when the PP decomposition has only 1 do-
main along x. 2-D PME decomposition has to have the number of domains along xequal to the
number of the PP decomposition. mdrun automatically chooses 1-D or 2-D PME decomposition
(when possible with the total given number of nodes), based on the minimum amount of commu-
nication for the coordinate redistribution in PME plus the communication for the grid overlap and
transposes. To avoid superfluous communication of coordinates and forces between the PP and
PME nodes, the number of DD cells in the xdirection should ideally be the same or a multiple of
the number of PME nodes. By default, mdrun takes care of this issue.
3.18.6 Domain decomposition flow chart
In Fig. 3.16 a flow chart is shown for domain decomposition with all possible communication for
different algorithms. For simpler simulations, the same flow chart applies, without the algorithms
and communication for the algorithms that are not used.
3.19 Implicit solvation
Implicit solvent models provide an efficient way of representing the electrostatic effects of solvent
molecules, while saving a large piece of the computations involved in an accurate, aqueous de-
scription of the surrounding water in molecular dynamics simulations. Implicit solvation models
offer several advantages compared with explicit solvation, including eliminating the need for the
equilibration of water around the solute, and the absence of viscosity, which allows the protein to
more quickly explore conformational space.
Implicit solvent calculations in GROMACS can be done using the generalized Born-formalism,

64 Chapter 3. Algorithms
Figure 3.16: Flow chart showing the algorithms and communication (arrows) for a standard MD
simulation with virtual sites, constraints and separate PME-mesh nodes.

3.19. Implicit solvation 65
and the Still [68], HCT [69], and OBC [70] models are available for calculating the Born radii.
Here, the free energy Gsolv of solvation is the sum of three terms, a solvent-solvent cavity term
(Gcav), a solute-solvent van der Waals term (Gvdw), and finally a solvent-solute electrostatics
polarization term (Gpol).
The sum of Gcav and Gvdw corresponds to the (non-polar) free energy of solvation for a molecule
from which all charges have been removed, and is commonly called Gnp, calculated from the
total solvent accessible surface area multiplied with a surface tension. The total expression for the
solvation free energy then becomes:
Gsolv =Gnp +Gpol (3.146)
Under the generalized Born model, Gpol is calculated from the generalized Born equation [68]:
Gpol =1−1
n
X
i=1
n
X
j>i
qiqj
sr2
ij +bibjexp −r2
ij
4bibj(3.147)
In GROMACS, we have introduced the substitution [71]:
ci=1
√bi
(3.148)
which makes it possible to introduce a cheap transformation to a new variable xwhen evaluating
each interaction, such that:
x=rij
pbibj
=rijcicj(3.149)
In the end, the full re-formulation of 3.147 becomes:
Gpol =1−1
n
X
i=1
n
X
j>i
qiqj
pbibj
ξ(x) = 1−1
n
X
i=1
qici
n
X
j>i
qjcjξ(x)(3.150)
The non-polar part (Gnp) of Equation 3.146 is calculated directly from the Born radius of each
atom using a simple ACE type approximation by Schaefer et al. [72], including a simple loop
over all atoms. This requires only one extra solvation parameter, independent of atom type, but
differing slightly between the three Born radii models.

66 Chapter 3. Algorithms

Chapter 4
Interaction function and force
fields
To accommodate the potential functions used in some popular force fields (see 4.10), GROMACS
offers a choice of functions, both for non-bonded interaction and for dihedral interactions. They
are described in the appropriate subsections.
The potential functions can be subdivided into three parts
1. Non-bonded: Lennard-Jones or Buckingham, and Coulomb or modified Coulomb. The non-
bonded interactions are computed on the basis of a neighbor list (a list of non-bonded atoms
within a certain radius), in which exclusions are already removed.
2. Bonded: covalent bond-stretching, angle-bending, improper dihedrals, and proper dihedrals.
These are computed on the basis of fixed lists.
3. Restraints: position restraints, angle restraints, distance restraints, orientation restraints and
dihedral restraints, all based on fixed lists.
4.1 Non-bonded interactions
Non-bonded interactions in GROMACS are pair-additive and centro-symmetric:
V(r1, . . . rN) = X
i<j
Vij(rij ); (4.1)
Fi=−X
j
dVij(rij )
drij
rij
rij
=−Fj(4.2)
The non-bonded interactions contain a repulsion term, a dispersion term, and a Coulomb term.
The repulsion and dispersion term are combined in either the Lennard-Jones (or 6-12 interaction),
or the Buckingham (or exp-6 potential). In addition, (partially) charged atoms act through the
Coulomb term.

68 Chapter 4. Interaction function and force fields
0.3 0.4 0.5 0.6 0.7 0.8
r (nm)
0.0
0.5
1.0
1.5
2.0
VLJ (kJ mole-1)
Figure 4.1: The Lennard-Jones interaction.
4.1.1 The Lennard-Jones interaction
The Lennard-Jones potential VLJ between two atoms equals:
VLJ (rij) = C(12)
ij
r12
ij −C(6)
ij
r6
ij
(4.3)
See also Fig. 4.1 The parameters C(12)
ij and C(6)
ij depend on pairs of atom types; consequently they
are taken from a matrix of LJ-parameters. In the Verlet cut-off scheme, the potential is shifted by
a constant such that it is zero at the cut-off distance.
The force derived from this potential is:
Fi(rij) =
12 C(12)
ij
r13
ij −6C(6)
ij
r7
ij
rij
rij
(4.4)
The LJ potential may also be written in the following form:
VLJ (rij) = 4ij
σij
rij !12
− σij
rij !6
(4.5)
In constructing the parameter matrix for the non-bonded LJ-parameters, two types of combination
rules can be used within GROMACS, only geometric averages (type 1 in the input section of the
force field file):
C(6)
ij =C(6)
ii C(6)
jj 1/2
C(12)
ij =C(12)
ii C(12)
jj 1/2(4.6)
or, alternatively the Lorentz-Berthelot rules can be used. An arithmetic average is used to calculate
σij, while a geometric average is used to calculate ij (type 2):
σij =1
2(σii +σjj )
ij = (ii jj )1/2(4.7)

4.1. Non-bonded interactions 69
0.2 0.3 0.4 0.5 0.6 0.7 0.8
r (nm)
0.0
0.5
1.0
1.5
2.0
V (kJ mole-1)
Figure 4.2: The Buckingham interaction.
finally an geometric average for both parameters can be used (type 3):
σij = (σii σjj )1/2
ij = (ii jj )1/2(4.8)
This last rule is used by the OPLS force field.
4.1.2 Buckingham potential
The Buckingham potential has a more flexible and realistic repulsion term than the Lennard-Jones
interaction, but is also more expensive to compute. The potential form is:
Vbh(rij ) = Aij exp(−Bij rij)−Cij
r6
ij
(4.9)
See also Fig. 4.2. The force derived from this is:
Fi(rij) = "Aij Bij exp(−Bij rij)−6Cij
r7
ij #rij
rij
(4.10)
4.1.3 Coulomb interaction
The Coulomb interaction between two charge particles is given by:
Vc(rij) = fqiqj
εrrij
(4.11)
See also Fig. 4.3, where f=1
4πε0= 138.935 485 (see chapter 2)
The force derived from this potential is:
Fi(rij) = fqiqj
εrr2
ij
rij
rij
(4.12)

70 Chapter 4. Interaction function and force fields
0.0 0.2 0.4 0.6 0.8
r (nm)
0
500
1000
1500
Vc (kJ mol-1)
Coulomb
With RF
RF - C
Figure 4.3: The Coulomb interaction (for particles with equal signed charge) with and without
reaction field. In the latter case εrwas 1, εrf was 78, and rcwas 0.9 nm. The dot-dashed line is
the same as the dashed line, except for a constant.
In GROMACS the relative dielectric constant εrmay be set in the in the input for grompp.
4.1.4 Coulomb interaction with reaction field
The Coulomb interaction can be modified for homogeneous systems by assuming a constant di-
electric environment beyond the cut-off rcwith a dielectric constant of εrf . The interaction then
reads:
Vcrf =fqiqj
εrrij "1 + εrf −εr
2εrf +εr
r3
ij
r3
c#−fqiqj
εrrc
3εrf
2εrf +εr
(4.13)
in which the constant expression on the right makes the potential zero at the cut-off rc. For charged
cut-off spheres this corresponds to neutralization with a homogeneous background charge. We can
rewrite eqn. 4.13 for simplicity as
Vcrf =fqiqj
εr"1
rij
+krf r2
ij −crf #(4.14)
with
krf =1
r3
c
εrf −εr
(2εrf +εr)(4.15)
crf =1
rc
+krf r2
c=1
rc
3εrf
(2εrf +εr)(4.16)
For large εrf the krf goes to r−3
c/2, while for εrf =εrthe correction vanishes. In Fig. 4.3 the
modified interaction is plotted, and it is clear that the derivative with respect to rij (= -force) goes
to zero at the cut-off distance. The force derived from this potential reads:
Fi(rij) = fqiqj
εr"1
r2
ij −2krf rij #rij
rij
(4.17)

4.1. Non-bonded interactions 71
The reaction-field correction should also be applied to all excluded atoms pairs, including self
pairs, in which case the normal Coulomb term in eqns. 4.13 and 4.17 is absent.
Tironi et al. have introduced a generalized reaction field in which the dielectric continuum beyond
the cut-off rcalso has an ionic strength I[73]. In this case we can rewrite the constants krf and
crf using the inverse Debye screening length κ:
κ2=2I F 2
ε0εrf RT =F2
ε0εrf RT
K
X
i=1
ciz2
i(4.18)
krf =1
r3
c
(εrf −εr)(1 + κrc) + 1
2εrf (κrc)2
(2εrf +εr)(1 + κrc) + εrf (κrc)2(4.19)
crf =1
rc
3εrf (1 + κrc+1
2(κrc)2)
(2εrf +εr)(1 + κrc) + εrf (κrc)2(4.20)
where Fis Faraday’s constant, Ris the ideal gas constant, Tthe absolute temperature, cithe
molar concentration for species iand zithe charge number of species iwhere we have Kdifferent
species. In the limit of zero ionic strength (κ= 0) eqns. 4.19 and 4.20 reduce to the simple forms
of eqns. 4.15 and 4.16 respectively.
4.1.5 Modified non-bonded interactions
In GROMACS, the non-bonded potentials can be modified by a shift function. The purpose of this
is to replace the truncated forces by forces that are continuous and have continuous derivatives
at the cut-off radius. With such forces the timestep integration produces much smaller errors and
there are no such complications as creating charges from dipoles by the truncation procedure. In
fact, by using shifted forces there is no need for charge groups in the construction of neighbor lists.
However, the shift function produces a considerable modification of the Coulomb potential. Unless
the “missing” long-range potential is properly calculated and added (through the use of PPPM,
Ewald, or PME), the effect of such modifications must be carefully evaluated. The modification
of the Lennard-Jones dispersion and repulsion is only minor, but it does remove the noise caused
by cut-off effects.
There is no fundamental difference between a switch function (which multiplies the potential with
a function) and a shift function (which adds a function to the force or potential) [74]. The switch
function is a special case of the shift function, which we apply to the force function F(r), related
to the electrostatic or van der Waals force acting on particle iby particle jas:
Fi=cF (rij)rij
rij
(4.21)
For pure Coulomb or Lennard-Jones interactions F(r) = Fα(r) = r−(α+1). The shifted force
Fs(r)can generally be written as:
Fs(r) = Fα(r)r < r1
Fs(r) = Fα(r) + S(r)r1≤r < rc
Fs(r) = 0 rc≤r
(4.22)

72 Chapter 4. Interaction function and force fields
When r1= 0 this is a traditional shift function, otherwise it acts as a switch function. The
corresponding shifted coulomb potential then reads:
Vs(rij) = fΦs(rij )qiqj(4.23)
where Φ(r)is the potential function
Φs(r) = Z∞
r
Fs(x)dx (4.24)
The GROMACS shift function should be smooth at the boundaries, therefore the following bound-
ary conditions are imposed on the shift function:
S(r1)=0
S0(r1)=0
S(rc) = −Fα(rc)
S0(rc) = −F0
α(rc)
(4.25)
A 3rd degree polynomial of the form
S(r) = A(r−r1)2+B(r−r1)3(4.26)
fulfills these requirements. The constants A and B are given by the boundary condition at rc:
A=−(α+ 4)rc−(α+ 1)r1
rα+2
c(rc−r1)2
B=(α+ 3)rc−(α+ 1)r1
rα+2
c(rc−r1)3
(4.27)
Thus the total force function is:
Fs(r) = α
rα+1 +A(r−r1)2+B(r−r1)3(4.28)
and the potential function reads:
Φ(r) = 1
rα−A
3(r−r1)3−B
4(r−r1)4−C(4.29)
where
C=1
rα
c−A
3(rc−r1)3−B
4(rc−r1)4(4.30)
When r1= 0, the modified Coulomb force function is
Fs(r) = 1
r2−5r2
r4
c
+4r3
r5
c
(4.31)
which is identical to the function recommended to be used as a short-range function in conjunction
with a Poisson solver for the long-range part [75]. The modified Coulomb potential function is:
Φ(r) = 1
r−5
3rc
+5r3
3r4
c−r4
r5
c
(4.32)
See also Fig. 4.4.

4.2. Bonded interactions 73
0.0 1.0 2.0 3.0 4.0 5.0
r
−0.5
0.0
0.5
1.0
1.5
f(r)
Normal Force
Shifted Force
Shift Function
Figure 4.4: The Coulomb Force, Shifted Force and Shift Function S(r), using r1= 2 and rc= 4.
4.1.6 Modified short-range interactions with Ewald summation
When Ewald summation or particle-mesh Ewald is used to calculate the long-range interactions,
the short-range Coulomb potential must also be modified, similar to the switch function above. In
this case the short range potential is given by:
V(r) = ferfc(βrij )
rij
qiqj,(4.33)
where βis a parameter that determines the relative weight between the direct space sum and the
reciprocal space sum and erfc(x)is the complementary error function. For further details on long-
range electrostatics, see sec. 4.9.
4.2 Bonded interactions
Bonded interactions are based on a fixed list of atoms. They are not exclusively pair interac-
tions, but include 3- and 4-body interactions as well. There are bond stretching (2-body), bond
angle (3-body), and dihedral angle (4-body) interactions. A special type of dihedral interaction
(called improper dihedral) is used to force atoms to remain in a plane or to prevent transition to a
configuration of opposite chirality (a mirror image).

74 Chapter 4. Interaction function and force fields
b0
0.08 0.09 0.10 0.11 0.12
r (nm)
0
50
100
150
200
Vb (kJ mole-1)
Figure 4.5: Principle of bond stretching (left), and the bond stretching potential (right).
4.2.1 Bond stretching
Harmonic potential
The bond stretching between two covalently bonded atoms iand jis represented by a harmonic
potential:
Vb(rij) = 1
2kb
ij(rij −bij )2(4.34)
See also Fig. 4.5, with the force given by:
Fi(rij) = kb
ij(rij −bij )rij
rij
(4.35)
Fourth power potential
In the GROMOS-96 force field [76], the covalent bond potential is, for reasons of computational
efficiency, written as:
Vb(rij) = 1
4kb
ij r2
ij −b2
ij2(4.36)
The corresponding force is:
Fi(rij) = kb
ij(r2
ij −b2
ij)rij (4.37)
The force constants for this form of the potential are related to the usual harmonic force constant
kb,harm (sec. 4.2.1) as
2kbb2
ij =kb,harm (4.38)
The force constants are mostly derived from the harmonic ones used in GROMOS-87 [77]. Al-
though this form is computationally more efficient (because no square root has to be evaluated), it
is conceptually more complex. One particular disadvantage is that since the form is not harmonic,
the average energy of a single bond is not equal to 1
2kT as it is for the normal harmonic potential.

4.2. Bonded interactions 75
4.2.2 Morse potential bond stretching
For some systems that require an anharmonic bond stretching potential, the Morse potential [78]
between two atoms iand jis available in GROMACS. This potential differs from the harmonic
potential in that it has an asymmetric potential well and a zero force at infinite distance. The
functional form is:
Vmorse(rij ) = Dij [1 −exp(−βij(rij −bij ))]2,(4.39)
See also Fig. 4.6, and the corresponding force is:
Fmorse(rij )=2Dij βijrij exp(−βij (rij −bij ))∗
[1 −exp(−βij(rij −bij ))] rij
rij ,(4.40)
where Dij is the depth of the well in kJ/mol, βij defines the steepness of the well (in nm−1), and
bij is the equilibrium distance in nm. The steepness parameter βij can be expressed in terms of
the reduced mass of the atoms iand j, the fundamental vibration frequency ωij and the well depth
Dij:
βij =ωijsµij
2Dij
(4.41)
and because ω=qk/µ, one can rewrite βij in terms of the harmonic force constant kij :
βij =skij
2Dij
(4.42)
For small deviations (rij −bij), one can approximate the exp-term to first-order using a Taylor
expansion:
exp(−x)≈1−x(4.43)
and substituting eqn. 4.42 and eqn. 4.43 in the functional form:
Vmorse(rij ) = Dij [1 −exp(−βij(rij −bij ))]2
=Dij[1 −(1 −rkij
2Dij (rij −bij))]2
=1
2kij(rij −bij ))2
(4.44)
we recover the harmonic bond stretching potential.
4.2.3 Cubic bond stretching potential
Another anharmonic bond stretching potential that is slightly simpler than the Morse potential
adds a cubic term in the distance to the simple harmonic form:
Vb(rij) = kb
ij(rij −bij )2+kb
ijkcub
ij (rij −bij)3(4.45)
A flexible water model (based on the SPC water model [79]) including a cubic bond stretching
potential for the O-H bond was developed by Ferguson [80]. This model was found to yield a
reasonable infrared spectrum. The Ferguson water model is available in the GROMACS library

76 Chapter 4. Interaction function and force fields
0.0 0.1 0.2 0.3 0.4 0.5
r (nm)
0
50
100
150
200
VMorse (kJ / mol)
Figure 4.6: The Morse potential well, with bond length 0.15 nm.
(flexwat-ferguson.itp). It should be noted that the potential is asymmetric: overstretching
leads to infinitely low energies. The integration timestep is therefore limited to 1 fs.
The force corresponding to this potential is:
Fi(rij)=2kb
ij(rij −bij )rij
rij
+ 3kb
ijkcub
ij (rij −bij)2rij
rij
(4.46)
4.2.4 FENE bond stretching potential
In coarse-grained polymer simulations the beads are often connected by a FENE (finitely extensi-
ble nonlinear elastic) potential [81]:
VFENE(rij ) = −1
2kb
ijb2
ij log 1−r2
ij
b2
ij !(4.47)
The potential looks complicated, but the expression for the force is simpler:
FFENE(rij ) = −kb
ij 1−r2
ij
b2
ij !−1
rij (4.48)
At short distances the potential asymptotically goes to a harmonic potential with force constant
kb, while it diverges at distance b.
4.2.5 Harmonic angle potential
The bond-angle vibration between a triplet of atoms i-j-kis also represented by a harmonic
potential on the angle θijk
Va(θijk) = 1
2kθ
ijk(θijk −θ0
ijk)2(4.49)
As the bond-angle vibration is represented by a harmonic potential, the form is the same as the
bond stretching (Fig. 4.5).

4.2. Bonded interactions 77
θ0
100 110 120 130 140
θ
0
10
20
30
40
50
Vθ (kJ mole-1)
Figure 4.7: Principle of angle vibration (left) and the bond angle potential (right).
The force equations are given by the chain rule:
Fi=−dVa(θijk)
dri
Fk=−dVa(θijk)
drk
Fj=−Fi−Fk
where θijk = arccos (rij ·rkj)
rijrkj
(4.50)
The numbering i, j, k is in sequence of covalently bonded atoms. Atom jis in the middle; atoms
iand kare at the ends (see Fig. 4.7). Note that in the input in topology files, angles are given in
degrees and force constants in kJ/mol/rad2.
4.2.6 Cosine based angle potential
In the GROMOS-96 force field a simplified function is used to represent angle vibrations:
Va(θijk) = 1
2kθ
ijk cos(θijk)−cos(θ0
ijk)2(4.51)
where
cos(θijk) = rij ·rkj
rijrkj
(4.52)
The corresponding force can be derived by partial differentiation with respect to the atomic posi-
tions. The force constants in this function are related to the force constants in the harmonic form
kθ,harm (4.2.5) by:
kθsin2(θ0
ijk) = kθ,harm (4.53)
In the GROMOS-96 manual there is a much more complicated conversion formula which is tem-
perature dependent. The formulas are equivalent at 0 K and the differences at 300 K are on the
order of 0.1 to 0.2%. Note that in the input in topology files, angles are given in degrees and force
constants in kJ/mol.

78 Chapter 4. Interaction function and force fields
4.2.7 Urey-Bradley potential
The Urey-Bradley bond-angle vibration between a triplet of atoms i-j-kis represented by a
harmonic potential on the angle θijk and a harmonic correction term on the distance between the
atoms iand k. Although this can be easily written as a simple sum of two terms, it is convenient
to have it as a single entry in the topology file and in the output as a separate energy term. It is
used mainly in the CHARMm force field [82]. The energy is given by:
Va(θijk) = 1
2kθ
ijk(θijk −θ0
ijk)2+1
2kUB
ijk (rik −r0
ik)2(4.54)
The force equations can be deduced from sections 4.2.1 and 4.2.5.
4.2.8 Bond-Bond cross term
The bond-bond cross term for three particles i, j, k forming bonds i−jand k−jis given by [83]:
Vrr0=krr0(|ri−rj| − r1e) (|rk−rj| − r2e)(4.55)
where krr0is the force constant, and r1eand r2eare the equilibrium bond lengths of the i−jand
k−jbonds respectively. The force associated with this potential on particle iis:
Fi=−krr0(|rk−rj| − r2e)ri−rj
|ri−rj|(4.56)
The force on atom kcan be obtained by swapping iand kin the above equation. Finally, the force
on atom jfollows from the fact that the sum of internal forces should be zero: Fj=−Fi−Fk.
4.2.9 Bond-Angle cross term
The bond-angle cross term for three particles i, j, k forming bonds i−jand k−jis given by [83]:
Vrθ =krθ (|ri−rk| − r3e) (|ri−rj| − r1e+|rk−rj| − r2e)(4.57)
where krθ is the force constant, r3eis the i−kdistance, and the other constants are the same as
in Equation 4.55. The force associated with the potential on atom iis:
Fi=−krθ "(|ri−rk| − r3e)ri−rj
|ri−rj|+ (|ri−rj| − r1e+|rk−rj| − r2e)ri−rk
|ri−rk|#
(4.58)
4.2.10 Quartic angle potential
For special purposes there is an angle potential that uses a fourth order polynomial:
Vq(θijk) =
5
X
n=0
Cn(θijk −θ0
ijk)n(4.59)

4.2. Bonded interactions 79
k
li
j
i
kj
l
k
i
j
l
Figure 4.8: Principle of improper dihedral angles. Out of plane bending for rings (left), sub-
stituents of rings (middle), out of tetrahedral (right). The improper dihedral angle ξis defined as
the angle between planes (i,j,k) and (j,k,l) in all cases.
-20 -10 010 20
ξ
0
5
10
15
20
25
Vξ (kJ mole-1)
Figure 4.9: Improper dihedral potential.
4.2.11 Improper dihedrals
Improper dihedrals are meant to keep planar groups (e.g. aromatic rings) planar, or to prevent
molecules from flipping over to their mirror images, see Fig. 4.8.
Improper dihedrals: harmonic type
The simplest improper dihedral potential is a harmonic potential; it is plotted in Fig. 4.9.
Vid(ξijkl) = 1
2kξ(ξijkl −ξ0)2(4.60)
Since the potential is harmonic it is discontinuous, but since the discontinuity is chosen at 180◦
distance from ξ0this will never cause problems. Note that in the input in topology files, angles are
given in degrees and force constants in kJ/mol/rad2.
Improper dihedrals: periodic type
This potential is identical to the periodic proper dihedral (see below). There is a separate dihedral
type for this (type 4) only to be able to distinguish improper from proper dihedrals in the parameter

80 Chapter 4. Interaction function and force fields
j
k
l
i
0 90 180 270 360
φ
0
10
20
30
40
50
60
70
Vφ (kJ mole-1)
Figure 4.10: Principle of proper dihedral angle (left, in trans form) and the dihedral angle potential
(right).
section and the output.
4.2.12 Proper dihedrals
For the normal dihedral interaction there is a choice of either the GROMOS periodic function or a
function based on expansion in powers of cos φ(the so-called Ryckaert-Bellemans potential). This
choice has consequences for the inclusion of special interactions between the first and the fourth
atom of the dihedral quadruple. With the periodic GROMOS potential a special 1-4 LJ-interaction
must be included; with the Ryckaert-Bellemans potential for alkanes the 1-4 interactions must be
excluded from the non-bonded list. Note: Ryckaert-Bellemans potentials are also used in e.g. the
OPLS force field in combination with 1-4 interactions. You should therefore not modify topologies
generated by pdb2gmx in this case.
Proper dihedrals: periodic type
Proper dihedral angles are defined according to the IUPAC/IUB convention, where φis the angle
between the ijk and the jkl planes, with zero corresponding to the cis configuration (iand lon
the same side). There are two dihedral function types in GROMACS topology files. There is the
standard type 1 which behaves like any other bonded interactions. For certain force fields, type 9 is
useful. Type 9 allows multiple potential functions to be applied automatically to a single dihedral
in the [ dihedral ] section when multiple parameters are defined for the same atomtypes in
the [ dihedraltypes ] section.
Vd(φijkl) = kφ(1 + cos(nφ −φs)) (4.61)

4.2. Bonded interactions 81
C09.28 C2-13.12 C426.24
C112.16 C3-3.06 C5-31.5
Table 4.1: Constants for Ryckaert-Bellemans potential (kJ mol−1).
0 90 180 270 360
φ
0
10
20
30
40
50
Vφ (kJ mole-1)
Figure 4.11: Ryckaert-Bellemans dihedral potential.
Proper dihedrals: Ryckaert-Bellemans function
For alkanes, the following proper dihedral potential is often used (see Fig. 4.11):
Vrb(φijkl) =
5
X
n=0
Cn(cos(ψ))n,(4.62)
where ψ=φ−180◦.
Note: A conversion from one convention to another can be achieved by multiplying every coeffi-
cient Cnby (−1)n.
An example of constants for Cis given in Table 4.1.
(Note: The use of this potential implies exclusion of LJ interactions between the first and the last
atom of the dihedral, and ψis defined according to the “polymer convention” (ψtrans = 0).)
The RB dihedral function can also be used to include Fourier dihedrals (see below):
Vrb(φijkl) = 1
2[F1(1 + cos(φ)) + F2(1 −cos(2φ)) + F3(1 + cos(3φ)) + F4(1 −cos(4φ))]
(4.63)
Because of the equalities cos(2φ) = 2 cos2(φ)−1,cos(3φ) = 4 cos3(φ)−3 cos(φ)and cos(4φ) =
8 cos4(φ)−8 cos2(φ)+1one can translate the OPLS parameters to Ryckaert-Bellemans param-

82 Chapter 4. Interaction function and force fields
eters as follows:
C0=F2+1
2(F1+F3)
C1=1
2(−F1+ 3 F3)
C2=−F2+ 4 F4
C3=−2F3
C4=−4F4
C5= 0
(4.64)
with OPLS parameters in protein convention and RB parameters in polymer convention (this yields
a minus sign for the odd powers of cos(φ)).
Note: Mind the conversion from kcal mol−1for literature OPLS and RB parameters to kJ mol−1
in GROMACS.
Proper dihedrals: Fourier function
The OPLS potential function is given as the first three or four [84] cosine terms of a Fourier series.
In GROMACS the four term function is implemented:
VF(φijkl) = 1
2[C1(1 + cos(φ)) + C2(1 −cos(2φ)) + C3(1 + cos(3φ)) + C4(1 + cos(4φ))] ,
(4.65)
Internally, GROMACS uses the Ryckaert-Bellemans code to compute Fourier dihedrals (see above),
because this is more efficient.
Note: Mind the conversion from kcal mol−1for literature OPLS parameters to kJ mol−1in GRO-
MACS.
4.2.13 Tabulated bonded interaction functions
For full flexibility, any functional shape can be used for bonds, angles and dihedrals through user-
supplied tabulated functions. The functional shapes are:
Vb(rij) = k fb
n(rij)(4.66)
Va(θijk) = k f a
n(θijk)(4.67)
Vd(φijkl) = k f d
n(φijkl)(4.68)
where kis a force constant in units of energy and fis a cubic spline function; for details see 6.9.1.
For each interaction, the force constant kand the table number nare specified in the topology.
There are two different types of bonds, one that generates exclusions (type 8) and one that does
not (type 9). For details see Table 5.5. The table files are supplied to the mdrun program. After
the table file name an underscore, the letter “b” for bonds, “a” for angles or “d” for dihedrals
and the table number are appended. For example, for a bond with n= 0 (and using the default
table file name) the table is read from the file table_b0.xvg. Multiple tables can be supplied
simply by using different values of n, and are applied to the appropriate bonds, as specified in the
topology (Table 5.5). The format for the table files is three columns with x,f(x),−f0(x), where
xshould be uniformly-spaced. Requirements for entries in the topology are given in Table 5.5.

4.3. Restraints 83
The setup of the tables is as follows:
bonds:xis the distance in nm. For distances beyond the table length, mdrun will quit with an
error message.
angles:xis the angle in degrees. The table should go from 0 up to and including 180 degrees; the
derivative is taken in degrees.
dihedrals:xis the dihedral angle in degrees. The table should go from -180 up to and including
180 degrees; the IUPAC/IUB convention is used, i.e. zero is cis, the derivative is taken in degrees.
4.3 Restraints
Special potentials are used for imposing restraints on the motion of the system, either to avoid
disastrous deviations, or to include knowledge from experimental data. In either case they are not
really part of the force field and the reliability of the parameters is not important. The potential
forms, as implemented in GROMACS, are mentioned just for the sake of completeness. Restraints
and constraints refer to quite different algorithms in GROMACS.
4.3.1 Position restraints
These are used to restrain particles to fixed reference positions Ri. They can be used during
equilibration in order to avoid drastic rearrangements of critical parts (e.g. to restrain motion in a
protein that is subjected to large solvent forces when the solvent is not yet equilibrated). Another
application is the restraining of particles in a shell around a region that is simulated in detail, while
the shell is only approximated because it lacks proper interaction from missing particles outside
the shell. Restraining will then maintain the integrity of the inner part. For spherical shells, it is a
wise procedure to make the force constant depend on the radius, increasing from zero at the inner
boundary to a large value at the outer boundary. This feature has not, however, been implemented
in GROMACS.
The following form is used:
Vpr(ri) = 1
2kpr|ri−Ri|2(4.69)
The potential is plotted in Fig. 4.12.
The potential form can be rewritten without loss of generality as:
Vpr(ri) = 1
2hkx
pr(xi−Xi)2ˆ
x+ky
pr(yi−Yi)2ˆ
y+kz
pr(zi−Zi)2ˆ
zi(4.70)
Now the forces are:
Fx
i=−kx
pr (xi−Xi)
Fy
i=−ky
pr (yi−Yi)
Fz
i=−kz
pr (zi−Zi)
(4.71)
Using three different force constants the position restraints can be turned on or off in each spatial
dimension; this means that atoms can be harmonically restrained to a plane or a line. Position
restraints are applied to a special fixed list of atoms. Such a list is usually generated by the
pdb2gmx program.

84 Chapter 4. Interaction function and force fields
0 0.02 0.04 0.06 0.08 0.1
r (nm)
0
2
4
6
8
10
Vposre (kJ mole-1)
Figure 4.12: Position restraint potential.
4.3.2 Angle restraints
These are used to restrain the angle between two pairs of particles or between one pair of particles
and the z-axis. The functional form is similar to that of a proper dihedral. For two pairs of atoms:
Var(ri,rj,rk,rl) = kar(1 −cos(n(θ−θ0))),where θ= arccos rj−ri
krj−rik·rl−rk
krl−rkk!
(4.72)
For one pair of atoms and the z-axis:
Var(ri,rj) = kar(1 −cos(n(θ−θ0))),where θ= arccos
rj−ri
krj−rik·
0
0
1
(4.73)
A multiplicity (n) of 2 is useful when you do not want to distinguish between parallel and anti-
parallel vectors. The equilibrium angle θshould be between 0 and 180 degrees for multiplicity 1
and between 0 and 90 degrees for multiplicity 2.
4.3.3 Dihedral restraints
These are used to restrain the dihedral angle φdefined by four particles as in an improper dihedral
(sec. 4.2.11) but with a slightly modified potential. Using:
φ0= (φ−φ0) MOD 2π(4.74)
where φ0is the reference angle, the potential is defined as:
Vdihr(φ0) =
1
2kdihr(φ0−φ0−∆φ)2for φ0>∆φ
0for φ0≤∆φ(4.75)
where ∆φis a user defined angle and kdihr is the force constant. Note that in the input in topology
files, angles are given in degrees and force constants in kJ/mol/rad2.

4.3. Restraints 85
00.1 0.2 0.3 0.4 0.5
r (nm)
0
5
10
15
20
Vdisre (kJ mol-1)
r0r1r2
Figure 4.13: Distance Restraint potential.
4.3.4 Distance restraints
Distance restraints add a penalty to the potential when the distance between specified pairs of
atoms exceeds a threshold value. They are normally used to impose experimental restraints from,
for instance, experiments in nuclear magnetic resonance (NMR), on the motion of the system.
Thus, MD can be used for structure refinement using NMR data. In GROMACS there are three
ways to impose restraints on pairs of atoms:
•Simple harmonic restraints: use [ bonds ] type 6 . (see sec. 5.4).
•Piecewise linear/harmonic restraints: [ bonds ] type 10.
•Complex NMR distance restraints, optionally with pair, time and/or ensemble averaging.
The last two options will be detailed now.
The potential form for distance restraints is quadratic below a specified lower bound and between
two specified upper bounds, and linear beyond the largest bound (see Fig. 4.13).
Vdr(rij ) =
1
2kdr(rij −r0)2for rij < r0
0for r0≤rij < r1
1
2kdr(rij −r1)2for r1≤rij < r2
1
2kdr(r2−r1)(2rij −r2−r1)for r2≤rij
(4.76)
The forces are
Fi=
−kdr(rij −r0)rij
rij for rij < r0
0for r0≤rij < r1
−kdr(rij −r1)rij
rij for r1≤rij < r2
−kdr(r2−r1)rij
rij for r2≤rij
(4.77)

86 Chapter 4. Interaction function and force fields
For restraints not derived from NMR data, this functionality will usually suffice and a section of
[ bonds ] type 10 can be used to apply individual restraints between pairs of atoms, see 5.7.1.
For applying restraints derived from NMR measurements, more complex functionality might be re-
quired, which is provided through the [ distance_restraints ] section and is described
below.
Time averaging
Distance restraints based on instantaneous distances can potentially reduce the fluctuations in a
molecule significantly. This problem can be overcome by restraining to a time averaged dis-
tance [85]. The forces with time averaging are:
Fi=
−ka
dr(¯rij −r0)rij
rij for ¯rij < r0
0for r0≤¯rij < r1
−ka
dr(¯rij −r1)rij
rij for r1≤¯rij < r2
−ka
dr(r2−r1)rij
rij for r2≤¯rij
(4.78)
where ¯rij is given by an exponential running average with decay time τ:
¯rij =< r−3
ij >−1/3(4.79)
The force constant ka
dr is switched on slowly to compensate for the lack of history at the beginning
of the simulation:
ka
dr =kdr 1−exp −t
τ (4.80)
Because of the time averaging, we can no longer speak of a distance restraint potential.
This way an atom can satisfy two incompatible distance restraints on average by moving between
two positions. An example would be an amino acid side-chain that is rotating around its χdihedral
angle, thereby coming close to various other groups. Such a mobile side chain can give rise to
multiple NOEs that can not be fulfilled by a single structure.
The computation of the time averaged distance in the mdrun program is done in the following
fashion:
r−3ij(0) = rij (0)−3
r−3ij(t) = r−3ij (t−∆t) exp −∆t
τ+rij(t)−3h1−exp −∆t
τi (4.81)
When a pair is within the bounds, it can still feel a force because the time averaged distance can
still be beyond a bound. To prevent the protons from being pulled too close together, a mixed
approach can be used. In this approach, the penalty is zero when the instantaneous distance is
within the bounds, otherwise the violation is the square root of the product of the instantaneous
violation and the time averaged violation:
Fi=
ka
drq(rij −r0)(¯rij −r0)rij
rij for rij < r0and ¯rij < r0
−ka
dr min q(rij −r1)(¯rij −r1), r2−r1rij
rij for rij > r1and ¯rij > r1
0otherwise
(4.82)

4.3. Restraints 87
Averaging over multiple pairs
Sometimes it is unclear from experimental data which atom pair gives rise to a single NOE, in
other occasions it can be obvious that more than one pair contributes due to the symmetry of the
system, e.g. a methyl group with three protons. For such a group, it is not possible to distinguish
between the protons, therefore they should all be taken into account when calculating the distance
between this methyl group and another proton (or group of protons). Due to the physical nature of
magnetic resonance, the intensity of the NOE signal is inversely proportional to the sixth power
of the inter-atomic distance. Thus, when combining atom pairs, a fixed list of Nrestraints may be
taken together, where the apparent “distance” is given by:
rN(t) = "N
X
n=1
¯rn(t)−6#−1/6
(4.83)
where we use rij or eqn. 4.79 for the ¯rn. The rNof the instantaneous and time-averaged distances
can be combined to do a mixed restraining, as indicated above. As more pairs of protons contribute
to the same NOE signal, the intensity will increase, and the summed “distance” will be shorter than
any of its components due to the reciprocal summation.
There are two options for distributing the forces over the atom pairs. In the conservative option,
the force is defined as the derivative of the restraint potential with respect to the coordinates. This
results in a conservative potential when time averaging is not used. The force distribution over
the pairs is proportional to r−6. This means that a close pair feels a much larger force than a
distant pair, which might lead to a molecule that is “too rigid.” The other option is an equal
force distribution. In this case each pair feels 1/N of the derivative of the restraint potential with
respect to rN. The advantage of this method is that more conformations might be sampled, but the
non-conservative nature of the forces can lead to local heating of the protons.
It is also possible to use ensemble averaging using multiple (protein) molecules. In this case the
bounds should be lowered as in:
r1=r1∗M−1/6
r2=r2∗M−1/6(4.84)
where Mis the number of molecules. The GROMACS preprocessor grompp can do this auto-
matically when the appropriate option is given. The resulting “distance” is then used to calculate
the scalar force according to:
Fi=
0rN< r1
kdr(rN−r1)rij
rij r1≤rN< r2
kdr(r2−r1)rij
rij rN≥r2
(4.85)
where iand jdenote the atoms of all the pairs that contribute to the NOE signal.
Using distance restraints
A list of distance restrains based on NOE data can be added to a molecule definition in your
topology file, like in the following example:

88 Chapter 4. Interaction function and force fields
[ distance_restraints ]
; ai aj type index type’ low up1 up2 fac
10 16 1 0 1 0.0 0.3 0.4 1.0
10 28 1 1 1 0.0 0.3 0.4 1.0
10 46 1 1 1 0.0 0.3 0.4 1.0
16 22 1 2 1 0.0 0.3 0.4 2.5
16 34 1 3 1 0.0 0.5 0.6 1.0
In this example a number of features can be found. In columns ai and aj you find the atom
numbers of the particles to be restrained. The type column should always be 1. As explained
in 4.3.4, multiple distances can contribute to a single NOE signal. In the topology this can be
set using the index column. In our example, the restraints 10-28 and 10-46 both have index 1,
therefore they are treated simultaneously. An extra requirement for treating restraints together is
that the restraints must be on successive lines, without any other intervening restraint. The type’
column will usually be 1, but can be set to 2 to obtain a distance restraint that will never be time-
and ensemble-averaged; this can be useful for restraining hydrogen bonds. The columns low,
up1, and up2 hold the values of r0,r1, and r2from eqn. 4.76. In some cases it can be useful to
have different force constants for some restraints; this is controlled by the column fac. The force
constant in the parameter file is multiplied by the value in the column fac for each restraint.
4.3.5 Orientation restraints
This section describes how orientations between vectors, as measured in certain NMR experi-
ments, can be calculated and restrained in MD simulations. The presented refinement methodol-
ogy and a comparison of results with and without time and ensemble averaging have been pub-
lished [86].
Theory
In an NMR experiment, orientations of vectors can be measured when a molecule does not tum-
ble completely isotropically in the solvent. Two examples of such orientation measurements are
residual dipolar couplings (between two nuclei) or chemical shift anisotropies. An observable for
a vector rican be written as follows:
δi=2
3tr(SDi)(4.86)
where Sis the dimensionless order tensor of the molecule. The tensor Diis given by:
Di=ci
krikα
3xx −1 3xy 3xz
3xy 3yy −1 3yz
3xz 3yz 3zz −1
(4.87)
with: x=ri,x
krik, y =ri,y
krik, z =ri,z
krik(4.88)

4.3. Restraints 89
For a dipolar coupling riis the vector connecting the two nuclei, α= 3 and the constant ciis
given by:
ci=µ0
4πγi
1γi
2
¯h
4π(4.89)
where γi
1and γi
2are the gyromagnetic ratios of the two nuclei.
The order tensor is symmetric and has trace zero. Using a rotation matrix Tit can be transformed
into the following form:
TTST =s
−1
2(1 −η)00
0−1
2(1 + η) 0
0 0 1
(4.90)
where −1≤s≤1and 0≤η≤1.sis called the order parameter and ηthe asymmetry of
the order tensor S. When the molecule tumbles isotropically in the solvent, sis zero, and no
orientational effects can be observed because all δiare zero.
Calculating orientations in a simulation
For reasons which are explained below, the Dmatrices are calculated which respect to a reference
orientation of the molecule. The orientation is defined by a rotation matrix R, which is needed to
least-squares fit the current coordinates of a selected set of atoms onto a reference conformation.
The reference conformation is the starting conformation of the simulation. In case of ensemble av-
eraging, which will be treated later, the structure is taken from the first subsystem. The calculated
Dc
imatrix is given by:
Dc
i(t) = R(t)Di(t)RT(t)(4.91)
The calculated orientation for vector iis given by:
δc
i(t) = 2
3tr(S(t)Dc
i(t)) (4.92)
The order tensor S(t)is usually unknown. A reasonable choice for the order tensor is the tensor
which minimizes the (weighted) mean square difference between the calculated and the observed
orientations:
MSD(t) = N
X
i=1
wi!−1N
X
i=1
wi(δc
i(t)−δexp
i)2(4.93)
To properly combine different types of measurements, the unit of wishould be such that all terms
are dimensionless. This means the unit of wiis the unit of δito the power −2.Note that scaling
all wiwith a constant factor does not influence the order tensor.
Time averaging
Since the tensors Difluctuate rapidly in time, much faster than can be observed in an experiment,
they should be averaged over time in the simulation. However, in a simulation the time and the
number of copies of a molecule are limited. Usually one can not obtain a converged average of the
Ditensors over all orientations of the molecule. If one assumes that the average orientations of

90 Chapter 4. Interaction function and force fields
the rivectors within the molecule converge much faster than the tumbling time of the molecule,
the tensor can be averaged in an axis system that rotates with the molecule, as expressed by equa-
tion (4.91). The time-averaged tensors are calculated using an exponentially decaying memory
function:
Da
i(t) = Zt
u=t0
Dc
i(u) exp −t−u
τdu
Zt
u=t0
exp −t−u
τdu
(4.94)
Assuming that the order tensor Sfluctuates slower than the Di, the time-averaged orientation can
be calculated as:
δa
i(t) = 2
3tr(S(t)Da
i(t)) (4.95)
where the order tensor S(t)is calculated using expression (4.93) with δc
i(t)replaced by δa
i(t).
Restraining
The simulated structure can be restrained by applying a force proportional to the difference be-
tween the calculated and the experimental orientations. When no time averaging is applied, a
proper potential can be defined as:
V=1
2k
N
X
i=1
wi(δc
i(t)−δexp
i)2(4.96)
where the unit of kis the unit of energy. Thus the effective force constant for restraint iis kwi.
The forces are given by minus the gradient of V. The force Fiworking on vector riis:
Fi(t) = −dV
dri
=−kwi(δc
i(t)−δexp
i)dδi(t)
dri
=−kwi(δc
i(t)−δexp
i)2ci
krk2+α2RTSRri−2 + α
krk2tr(RTSRrirT
i)ri
Ensemble averaging
Ensemble averaging can be applied by simulating a system of Msubsystems that each contain
an identical set of orientation restraints. The systems only interact via the orientation restraint
potential which is defined as:
V=M1
2k
N
X
i=1
wihδc
i(t)−δexp
ii2(4.97)
The force on vector ri,m in subsystem mis given by:
Fi,m(t) = −dV
dri,m
=−kwihδc
i(t)−δexp
iidδc
i,m(t)
dri,m
(4.98)

4.3. Restraints 91
Time averaging
When using time averaging it is not possible to define a potential. We can still define a quantity
that gives a rough idea of the energy stored in the restraints:
V=M1
2ka
N
X
i=1
wihδa
i(t)−δexp
ii2(4.99)
The force constant kais switched on slowly to compensate for the lack of history at times close to
t0. It is exactly proportional to the amount of average that has been accumulated:
ka=k1
τZt
u=t0
exp −t−u
τdu(4.100)
What really matters is the definition of the force. It is chosen to be proportional to the square root
of the product of the time-averaged and the instantaneous deviation. Using only the time-averaged
deviation induces large oscillations. The force is given by:
Fi,m(t) =
0for a b ≤0
kawi
a
|a|√a b dδc
i,m(t)
dri,m
for a b > 0(4.101)
a=hδa
i(t)−δexp
ii
b=hδc
i(t)−δexp
ii
Using orientation restraints
Orientation restraints can be added to a molecule definition in the topology file in the section
[ orientation_restraints ]. Here we give an example section containing five N-H
residual dipolar coupling restraints:
[ orientation_restraints ]
; ai aj type exp. label alpha const. obs. weight
; Hz nmˆ3 Hz Hzˆ-2
31 32 1 1 3 3 6.083 -6.73 1.0
43 44 1 1 4 3 6.083 -7.87 1.0
55 56 1 1 5 3 6.083 -7.13 1.0
65 66 1 1 6 3 6.083 -2.57 1.0
73 74 1 1 7 3 6.083 -2.10 1.0
The unit of the observable is Hz, but one can choose any other unit. In columns ai and aj you
find the atom numbers of the particles to be restrained. The type column should always be 1. The
exp. column denotes the experiment number, starting at 1. For each experiment a separate order
tensor Sis optimized. The label should be a unique number larger than zero for each restraint. The
alpha column contains the power αthat is used in equation (4.87) to calculate the orientation.
The const. column contains the constant ciused in the same equation. The constant should

92 Chapter 4. Interaction function and force fields
have the unit of the observable times nmα. The column obs. contains the observable, in any unit
you like. The last column contains the weights wi; the unit should be the inverse of the square of
the unit of the observable.
Some parameters for orientation restraints can be specified in the grompp.mdp file, for a study
of the effect of different force constants and averaging times and ensemble averaging see [86].
4.4 Polarization
Polarization can be treated by GROMACS by attaching shell (Drude) particles to atoms and/or
virtual sites. The energy of the shell particle is then minimized at each time step in order to remain
on the Born-Oppenheimer surface.
4.4.1 Simple polarization
This is merely a harmonic potential with equilibrium distance 0.
4.4.2 Water polarization
A special potential for water that allows anisotropic polarization of a single shell particle [41].
4.4.3 Thole polarization
Based on early work by Thole [87], Roux and coworkers have implemented potentials for molecules
like ethanol [88,89,90]. Within such molecules, there are intra-molecular interactions between
shell particles, however these must be screened because full Coulomb would be too strong. The
potential between two shell particles iand jis:
Vthole =qiqj
rij 1−1 + ¯rij
2exp−¯rij (4.102)
Note that there is a sign error in Equation 1 of Noskov et al. [90]:
¯rij =arij
(αiαj)1/6(4.103)
where ais a magic (dimensionless) constant, usually chosen to be 2.6 [90]; αiand αjare the
polarizabilities of the respective shell particles.
4.5 Free energy interactions
This section describes the λ-dependence of the potentials used for free energy calculations (see
sec. 3.12). All common types of potentials and constraints can be interpolated smoothly from state
A (λ= 0) to state B (λ= 1) and vice versa. All bonded interactions are interpolated by linear

4.5. Free energy interactions 93
interpolation of the interaction parameters. Non-bonded interactions can be interpolated linearly
or via soft-core interactions.
Starting in GROMACS 4.6, λis a vector, allowing different components of the free energy trans-
formation to be carried out at different rates. Coulomb, Lennard-Jones, bonded, and restraint terms
can all be controlled independently, as described in the .mdp options.
Harmonic potentials
The example given here is for the bond potential, which is harmonic in GROMACS. However,
these equations apply to the angle potential and the improper dihedral potential as well.
Vb=1
2h(1 −λ)kA
b+λkB
bihb−(1 −λ)bA
0−λbB
0i2(4.104)
∂Vb
∂λ =1
2(kB
b−kA
b)hb−(1 −λ)bA
0+λbB
0i2+
(bA
0−bB
0)hb−(1 −λ)bA
0−λbB
0ih(1 −λ)kA
b+λkB
bi(4.105)
GROMOS-96 bonds and angles
Fourth-power bond stretching and cosine-based angle potentials are interpolated by linear interpo-
lation of the force constant and the equilibrium position. Formulas are not given here.
Proper dihedrals
For the proper dihedrals, the equations are somewhat more complicated:
Vd=h(1 −λ)kA
d+λkB
di1 + cos hnφφ−(1 −λ)φA
s−λφB
si (4.106)
∂Vd
∂λ = (kB
d−kA
d)1 + cos hnφφ−(1 −λ)φA
s−λφB
si+
(φB
s−φA
s)h(1 −λ)kA
d−λkB
disin hnφφ−(1 −λ)φA
s−λφB
si(4.107)
Note: that the multiplicity nφcan not be parameterized because the function should remain peri-
odic on the interval [0,2π].
Tabulated bonded interactions
For tabulated bonded interactions only the force constant can interpolated:
V= ((1 −λ)kA+λkB)f(4.108)
∂V
∂λ = (kB−kA)f(4.109)

94 Chapter 4. Interaction function and force fields
Coulomb interaction
The Coulomb interaction between two particles of which the charge varies with λis:
Vc=f
εrf rij h(1 −λ)qA
iqA
j+λ qB
iqB
ji(4.110)
∂Vc
∂λ =f
εrf rij h−qA
iqA
j+qB
iqB
ji(4.111)
where f=1
4πε0= 138.935 485 (see chapter 2).
Coulomb interaction with reaction field
The Coulomb interaction including a reaction field, between two particles of which the charge
varies with λis:
Vc=f"1
rij
+krf r2
ij −crf #h(1 −λ)qA
iqA
j+λ qB
iqB
ji(4.112)
∂Vc
∂λ =f"1
rij
+krf r2
ij −crf #h−qA
iqA
j+qB
iqB
ji(4.113)
Note that the constants krf and crf are defined using the dielectric constant εrf of the medium
(see sec. 4.1.4).
Lennard-Jones interaction
For the Lennard-Jones interaction between two particles of which the atom type varies with λwe
can write:
VLJ =(1 −λ)CA
12 +λ CB
12
r12
ij −(1 −λ)CA
6+λ CB
6
r6
ij
(4.114)
∂VLJ
∂λ =CB
12 −CA
12
r12
ij −CB
6−CA
6
r6
ij
(4.115)
It should be noted that it is also possible to express a pathway from state A to state B using σand
(see eqn. 4.5). It may seem to make sense physically to vary the force field parameters σand
rather than the derived parameters C12 and C6. However, the difference between the pathways in
parameter space is not large, and the free energy itself does not depend on the pathway, so we use
the simple formulation presented above.
Kinetic Energy
When the mass of a particle changes, there is also a contribution of the kinetic energy to the free
energy (note that we can not write the momentum pas mv, since that would result in the sign of
∂Ek
∂λ being incorrect [91]):

4.5. Free energy interactions 95
Ek=1
2
p2
(1 −λ)mA+λmB(4.116)
∂Ek
∂λ =−1
2
p2(mB−mA)
((1 −λ)mA+λmB)2(4.117)
after taking the derivative, we can insert p= mv, such that:
∂Ek
∂λ =−1
2v2(mB−mA)(4.118)
Constraints
The constraints are formally part of the Hamiltonian, and therefore they give a contribution to the
free energy. In GROMACS this can be calculated using the LINCS or the SHAKE algorithm. If
we have a number of constraint equations gk:
gk=rk−dk(4.119)
where rkis the distance vector between two particles and dkis the constraint distance between
the two particles, we can write this using a λ-dependent distance as
gk=rk−(1 −λ)dA
k+λdB
k(4.120)
the contribution Cλto the Hamiltonian using Lagrange multipliers λ:
Cλ=X
k
λkgk(4.121)
∂Cλ
∂λ =X
k
λkdB
k−dA
k(4.122)
4.5.1 Soft-core interactions
In a free-energy calculation where particles grow out of nothing, or particles disappear, using the
the simple linear interpolation of the Lennard-Jones and Coulomb potentials as described in Equa-
tions 4.115 and 4.113 may lead to poor convergence. When the particles have nearly disappeared,
or are close to appearing (at λclose to 0 or 1), the interaction energy will be weak enough for
particles to get very close to each other, leading to large fluctuations in the measured values of
∂V/∂λ (which, because of the simple linear interpolation, depends on the potentials at both the
endpoints of λ).
To circumvent these problems, the singularities in the potentials need to be removed. This can be
done by modifying the regular Lennard-Jones and Coulomb potentials with “soft-core” potentials
that limit the energies and forces involved at λvalues between 0 and 1, but not at λ= 0 or 1.
In GROMACS the soft-core potentials Vsc are shifted versions of the regular potentials, so that the
singularity in the potential and its derivatives at r= 0 is never reached:
Vsc(r) = (1 −λ)VA(rA) + λV B(rB)(4.123)

96 Chapter 4. Interaction function and force fields
0 1 2 3 4
r
0
2
4
6
8
10
Vsc
LJ, α=0
LJ, α=1.5
LJ, α=2
3/r, α=0
3/r, α=1.5
3/r, α=2
Figure 4.14: Soft-core interactions at λ= 0.5, with p= 2 and CA
6=CA
12 =CB
6=CB
12 = 1.
rA=ασ6
Aλp+r61
6(4.124)
rB=ασ6
B(1 −λ)p+r61
6(4.125)
where VAand VBare the normal “hard core” Van der Waals or electrostatic potentials in state A
(λ= 0) and state B (λ= 1) respectively, αis the soft-core parameter (set with sc_alpha in
the .mdp file), pis the soft-core λpower (set with sc_power), σis the radius of the interaction,
which is (C12/C6)1/6or an input parameter (sc_sigma) when C6or C12 is zero.
For intermediate λ,rAand rBalter the interactions very little for r > α1/6σand quickly switch
the soft-core interaction to an almost constant value for smaller r(Fig. 4.14). The force is:
Fsc(r) = −∂Vsc(r)
∂r = (1 −λ)FA(rA)r
rA5
+λF B(rB)r
rB5
(4.126)
where FAand FBare the “hard core” forces. The contribution to the derivative of the free energy
is:
∂Vsc(r)
∂λ =VB(rB)−VA(rA) + (1 −λ)∂V A(rA)
∂rA
∂rA
∂λ +λ∂V B(rB)
∂rB
∂rB
∂λ
=VB(rB)−VA(rA) +
pα
6hλF B(rB)r−5
Bσ6
B(1 −λ)p−1−(1 −λ)FA(rA)r−5
Aσ6
Aλp−1i(4.127)
The original GROMOS Lennard-Jones soft-core function [92] uses p= 2, but p= 1 gives a
smoother ∂H/∂λ curve.
Another issue that should be considered is the soft-core effect of hydrogens without Lennard-Jones
interaction. Their soft-core σis set with sc-sigma in the .mdp file. These hydrogens produce
peaks in ∂H/∂λ at λis 0 and/or 1 for p= 1 and close to 0 and/or 1 with p= 2. Lowering
sc-sigma will decrease this effect, but it will also increase the interactions with hydrogens
relative to the other interactions in the soft-core state.

4.6. Methods 97
i+1 i+3
i i+2 i+4
Figure 4.15: Atoms along an alkane chain.
When soft core potentials are selected (by setting sc-alpha ¿ 0), and the Coulomb and Lennard-
Jones potentials are turned on or off sequentially, then the Coulombic interaction is turned off
linearly, rather than using soft core interactions, which should be less statistically noisy in most
cases. This behavior can be overwritten by using the mdp option sc-coul to ’yes’. Additionally,
the soft-core interaction potential is only applied when either the A or B state has zero interac-
tion potential. If both A and B states have nonzero interaction potential, default linear scaling
described above is used. When both Coulombic and Lennard-Jones interactions are turned off
simultaneously, a soft-core potential is used, and a hydrogen is being introduced or deleted, the
sigma is set to sc-sigma-min, which itself defaults to sc-sigma-default.
Recently, a new formulation of the soft-core approach has been derived that in most cases gives
lower and more even statistical variance than the standard soft-core path described above. [93,94]
Specifically, we have:
Vsc(r) = (1 −λ)VA(rA) + λV B(rB)(4.128)
rA=ασ48
Aλp+r481
48 (4.129)
rB=ασ48
B(1 −λ)p+r481
48 (4.130)
This “1-1-48” path is also implemented in GROMACS. Note that for this path the soft core α
should satisfy 0.001 < α < 0.003,rather than α≈0.5.
4.6 Methods
4.6.1 Exclusions and 1-4 Interactions.
Atoms within a molecule that are close by in the chain, i.e. atoms that are covalently bonded,
or linked by one or two atoms are called first neighbors, second neighbors and third neighbors,
respectively (see Fig. 4.15). Since the interactions of atom iwith atoms i+1 and i+2 are mainly
quantum mechanical, they can not be modeled by a Lennard-Jones potential. Instead it is assumed
that these interactions are adequately modeled by a harmonic bond term or constraint (i, i+1) and
a harmonic angle term (i, i+2). The first and second neighbors (atoms i+1 and i+2) are therefore
excluded from the Lennard-Jones interaction list of atom i; atoms i+1 and i+2 are called exclusions
of atom i.
For third neighbors, the normal Lennard-Jones repulsion is sometimes still too strong, which
means that when applied to a molecule, the molecule would deform or break due to the inter-
nal strain. This is especially the case for carbon-carbon interactions in a cis-conformation (e.g.

98 Chapter 4. Interaction function and force fields
cis-butane). Therefore, for some of these interactions, the Lennard-Jones repulsion has been re-
duced in the GROMOS force field, which is implemented by keeping a separate list of 1-4 and
normal Lennard-Jones parameters. In other force fields, such as OPLS [95], the standard Lennard-
Jones parameters are reduced by a factor of two, but in that case also the dispersion (r−6) and the
Coulomb interaction are scaled. GROMACS can use either of these methods.
4.6.2 Charge Groups
In principle, the force calculation in MD is an O(N2)problem. Therefore, we apply a cut-off for
non-bonded force (NBF) calculations; only the particles within a certain distance of each other
are interacting. This reduces the cost to O(N)(typically 100Nto 200N) of the NBF. It also
introduces an error, which is, in most cases, acceptable, except when applying the cut-off implies
the creation of charges, in which case you should consider using the lattice sum methods provided
by GROMACS.
Consider a water molecule interacting with another atom. When we would apply the cut-off on an
atom-atom basis we might include the atom-oxygen interaction (with a charge of −0.82) without
the compensating charge of the protons, and as a result, induce a large dipole moment over the
system. Therefore, we have to keep groups of atoms with total charge 0 together. These groups
are called charge groups.
4.6.3 Treatment of Cut-offs
GROMACS is quite flexible in treating cut-offs, which implies there can be quite a number of
parameters to set. These parameters are set in the input file for grompp. There are two sort of
parameters that affect the cut-off interactions; you can select which type of interaction to use in
each case, and which cut-offs should be used in the neighbor searching.
For both Coulomb and van der Waals interactions there are interaction type selectors (termed
vdwtype and coulombtype) and two parameters, for a total of six non-bonded interaction
parameters. See sec. 7.3 for a complete description of these parameters.
The neighbor searching (NS) can be performed using a single-range, or a twin-range approach.
Since the former is merely a special case of the latter, we will discuss the more general twin-
range. In this case, NS is described by two radii: rlist and max(rcoulomb,rvdw). Usually
one builds the neighbor list every 10 time steps or every 20 fs (parameter nstlist). In the
neighbor list, all interaction pairs that fall within rlist are stored. Furthermore, the interac-
tions between pairs that do not fall within rlist but do fall within max(rcoulomb,rvdw) are
computed during NS. The forces and energy are stored separately and added to short-range forces
at every time step between successive NS. If rlist = max(rcoulomb,rvdw), no forces are
evaluated during neighbor list generation. The virial is calculated from the sum of the short- and
long-range forces. This means that the virial can be slightly asymmetrical at non-NS steps. In
single precision, the virial is almost always asymmetrical because the off-diagonal elements are
about as large as each element in the sum. In most cases this is not really a problem, since the
fluctuations in the virial can be 2 orders of magnitude larger than the average.
Except for the plain cut-off, all of the interaction functions in Table 4.2 require that neighbor
searching be done with a larger radius than the rcspecified for the functional form, because of the

4.7. Virtual interaction sites 99
use of charge groups. The extra radius is typically of the order of 0.25 nm (roughly the largest
distance between two atoms in a charge group plus the distance a charge group can diffuse within
neighbor list updates).
Type Parameters
Coulomb Plain cut-off rc,εr
Reaction field rc,εrf
Shift function r1,rc,εr
Switch function r1,rc,εr
VdW Plain cut-off rc
Shift function r1,rc
Switch function r1,rc
Table 4.2: Parameters for the different functional forms of the non-bonded interactions.
4.7 Virtual interaction sites
Virtual interaction sites (called dummy atoms in GROMACS versions before 3.3) can be used in
GROMACS in a number of ways. We write the position of the virtual site rsas a function of the
positions of other particles ri:rs=f(r1..rn). The virtual site, which may carry charge or be
involved in other interactions, can now be used in the force calculation. The force acting on the
virtual site must be redistributed over the particles with mass in a consistent way. A good way to
do this can be found in ref. [96]. We can write the potential energy as:
V=V(rs,r1,...,rn) = V∗(r1,...,rn)(4.131)
The force on the particle iis then:
Fi=−∂V ∗
∂ri
=−∂V
∂ri−∂V
∂rs
∂rs
∂ri
=Fdirect
i+F0
i(4.132)
The first term is the normal force. The second term is the force on particle idue to the virtual site,
which can be written in tensor notation:
F0
i=
∂xs
∂xi
∂ys
∂xi
∂zs
∂xi
∂xs
∂yi
∂ys
∂yi
∂zs
∂yi
∂xs
∂zi
∂ys
∂zi
∂zs
∂zi
Fs(4.133)
where Fsis the force on the virtual site and xs,ysand zsare the coordinates of the virtual site. In
this way, the total force and the total torque are conserved [96].
The computation of the virial (eqn. 3.24) is non-trivial when virtual sites are used. Since the virial
involves a summation over all the atoms (rather than virtual sites), the forces must be redistributed
from the virtual sites to the atoms (using eqn. 4.133)before computation of the virial. In some
special cases where the forces on the atoms can be written as a linear combination of the forces on

100 Chapter 4. Interaction function and force fields
| |
3fd
| |
| |
1-a a
b
a
1-a
a
2 3fad 3out 4fdn
c
b
3
θ
d
Figure 4.16: The six different types of virtual site construction in GROMACS. The constructing
atoms are shown as black circles, the virtual sites in gray.
the virtual sites (types 2 and 3 below) there is no difference between computing the virial before
and after the redistribution of forces. However, in the general case redistribution should be done
first.
There are six ways to construct virtual sites from surrounding atoms in GROMACS, which we
classify by the number of constructing atoms. Note that all site types mentioned can be constructed
from types 3fd (normalized, in-plane) and 3out (non-normalized, out of plane). However, the
amount of computation involved increases sharply along this list, so we strongly recommended
using the first adequate virtual site type that will be sufficient for a certain purpose. Fig. 4.16
depicts 6 of the available virtual site constructions. The conceptually simplest construction types
are linear combinations:
rs=
N
X
i=1
wiri(4.134)
The force is then redistributed using the same weights:
F0
i=wiFs(4.135)
The types of virtual sites supported in GROMACS are given in the list below. Constructing atoms
in virtual sites can be virtual sites themselves, but only if they are higher in the list, i.e. virtual
sites can be constructed from “particles” that are simpler virtual sites.
2. As a linear combination of two atoms (Fig. 4.16 2):
wi= 1 −a , wj=a(4.136)
In this case the virtual site is on the line through atoms iand j.
3. As a linear combination of three atoms (Fig. 4.16 3):
wi= 1 −a−b , wj=a , wk=b(4.137)
In this case the virtual site is in the plane of the other three particles.
3fd. In the plane of three atoms, with a fixed distance (Fig. 4.16 3fd):
rs=ri+brij +arjk
|rij +arjk|(4.138)

4.7. Virtual interaction sites 101
In this case the virtual site is in the plane of the other three particles at a distance of |b|from
i. The force on particles i,jand kdue to the force on the virtual site can be computed as:
F0
i=Fs−γ(Fs−p)
F0
j= (1 −a)γ(Fs−p)
F0
k=aγ(Fs−p)
where
γ=b
|rij +arjk|
p=ris ·Fs
ris ·ris
ris
(4.139)
3fad. In the plane of three atoms, with a fixed angle and distance (Fig. 4.16 3fad):
rs=ri+dcos θrij
|rij|+dsin θr⊥
|r⊥|where r⊥=rjk −rij ·rjk
rij ·rij
rij (4.140)
In this case the virtual site is in the plane of the other three particles at a distance of |d|from
iat an angle of αwith rij. Atom kdefines the plane and the direction of the angle. Note
that in this case band αmust be specified, instead of aand b(see also sec. 5.2.2). The force
on particles i,jand kdue to the force on the virtual site can be computed as (with r⊥as
defined in eqn. 4.140):
F0
i=Fs−dcos θ
|rij|F1+dsin θ
|r⊥| rij ·rjk
rij ·rij
F2+F3!
F0
j=dcos θ
|rij|F1−dsin θ
|r⊥| F2+rij ·rjk
rij ·rij
F2+F3!
F0
k=dsin θ
|r⊥|F2
where F1=Fs−rij ·Fs
rij ·rij
rij ,F2=F1−r⊥·Fs
r⊥·r⊥
r⊥and F3=rij ·Fs
rij ·rij
r⊥
(4.141)
3out. As a non-linear combination of three atoms, out of plane (Fig. 4.16 3out):
rs=ri+arij +brik +c(rij ×rik)(4.142)
This enables the construction of virtual sites out of the plane of the other atoms. The force
on particles i, j and kdue to the force on the virtual site can be computed as:
F0
j=
a−c zik c yik
c zik a−c xik
−c yik c xik a
Fs
F0
k=
b c zij −c yij
−c zij b c xij
c yij −c xij b
Fs
F0
i=Fs−F0
j−F0
k
(4.143)

102 Chapter 4. Interaction function and force fields
x
x
x
x
i
j
k
l
s
x
r
ja
jb
r
Figure 4.17: The new 4fdn virtual site construction, which is stable even when all constructing
atoms are in the same plane.
4fdn. From four atoms, with a fixed distance, see separate Fig. 4.17. This construction is a bit
complex, in particular since the previous type (4fd) could be unstable which forced us to
introduce a more elaborate construction:
rja =arik −rij =a(xk−xi)−(xj−xi)
rjb =bril −rij =b(xl−xi)−(xj−xi)
rm=rja ×rjb
xs=xi+crm
|rm|(4.144)
In this case the virtual site is at a distance of |c|from i, while aand bare parameters. Note
that the vectors rik and rij are not normalized to save floating-point operations. The force
on particles i,j,kand ldue to the force on the virtual site are computed through chain rule
derivatives of the construction expression. This is exact and conserves energy, but it does
lead to relatively lengthy expressions that we do not include here (over 200 floating-point
operations). The interested reader can look at the source code in vsite.c. Fortunately,
this vsite type is normally only used for chiral centers such as Cαatoms in proteins.
The new 4fdn construct is identified with a ‘type’ value of 2 in the topology. The earlier
4fd type is still supported internally (‘type’ value 1), but it should not be used for new
simulations. All current GROMACS tools will automatically generate type 4fdn instead.
N. A linear combination of Natoms with relative weights ai. The weight for atom iis:
wi=ai
N
X
j=1
aj
−1
(4.145)
There are three options for setting the weights:
COG center of geometry: equal weights

4.8. Dispersion correction 103
COM center of mass: aiis the mass of atom i; when in free-energy simulations the mass of
the atom is changed, only the mass of the A-state is used for the weight
COW center of weights: aiis defined by the user
4.8 Dispersion correction
In this section, we derive long-range corrections due to the use of a cut-off for Lennard-Jones or
Buckingham interactions. We assume that the cut-off is so long that the repulsion term can safely
be neglected, and therefore only the dispersion term is taken into account. Due to the nature of the
dispersion interaction (we are truncating a potential proportional to −r−6), energy and pressure
corrections are both negative. While the energy correction is usually small, it may be important for
free energy calculations where differences between two different Hamiltonians are considered. In
contrast, the pressure correction is very large and can not neglected under any circumstances where
a correct pressure is required, especially for any pressure simulations. Although it is, in principle,
possible to parameterize a force field such that the pressure is close to the desired experimental
value without correction, such a method makes the parameterization dependent on the cut-off and
is therefore undesirable.
4.8.1 Energy
The long-range contribution of the dispersion interaction to the virial can be derived analytically, if
we assume a homogeneous system beyond the cut-off distance rc. The dispersion energy between
two particles is written as:
V(rij) = −C6r−6
ij (4.146)
and the corresponding force is:
Fij =−6C6r−8
ij rij (4.147)
In a periodic system it is not easy to calculate the full potentials, so usually a cut-off is applied,
which can be abrupt or smooth. We will call the potential and force with cut-off Vcand Fc. The
long-range contribution to the dispersion energy in a system with Nparticles and particle density
ρ=N/V is:
Vlr =1
2Nρ Z∞
0
4πr2g(r) (V(r)−Vc(r)) dr(4.148)
We will integrate this for the shift function, which is the most general form of van der Waals
interaction available in GROMACS. The shift function has a constant difference Sfrom 0 to r1
and is 0 beyond the cut-off distance rc. We can integrate eqn. 4.148, assuming that the density
in the sphere within r1is equal to the global density and the radial distribution function g(r)is 1
beyond r1:
Vlr =1
2NρZr1
0
4πr2g(r)C6Sdr+ρZrc
r1
4πr2(V(r)−Vc(r)) dr+ρZ∞
rc
4πr2V(r) dr
=1
2N4
3πρr3
1−1C6S+ρZrc
r1
4πr2(V(r)−Vc(r)) dr−4
3πNρ C6r−3
c(4.149)

104 Chapter 4. Interaction function and force fields
where the term −1corrects for the self-interaction. For a plain cut-off we only need to assume
that g(r)is 1 beyond rcand the correction reduces to [97]:
Vlr =−2
3πNρ C6r−3
c(4.150)
If we consider, for example, a box of pure water, simulated with a cut-off of 0.9 nm and a density
of 1 g cm−3this correction is −0.75 kJ mol−1per molecule.
For a homogeneous mixture we need to define an average dispersion constant:
hC6i=2
N(N−1)
N
X
i
N
X
j>i
C6(i, j)(4.151)
In GROMACS, excluded pairs of atoms do not contribute to the average.
In the case of inhomogeneous simulation systems, e.g. a system with a lipid interface, the energy
correction can be applied if hC6ifor both components is comparable.
4.8.2 Virial and pressure
The scalar virial of the system due to the dispersion interaction between two particles iand jis
given by:
Ξ = −1
2rij ·Fij = 3 C6r−6
ij (4.152)
The pressure is given by:
P=2
3V(Ekin −Ξ) (4.153)
The long-range correction to the virial is given by:
Ξlr =1
2Nρ Z∞
0
4πr2g(r)(Ξ −Ξc) dr(4.154)
We can again integrate the long-range contribution to the virial assuming g(r)is 1 beyond r1:
Ξlr =1
2Nρ Zrc
r1
4πr2(Ξ −Ξc) dr+Z∞
rc
4πr23C6r−6
ij dr
=1
2Nρ Zrc
r1
4πr2(Ξ −Ξc) dr+ 4πC6r−3
c(4.155)
For a plain cut-off the correction to the pressure is [97]:
Plr =−4
3πC6ρ2r−3
c(4.156)
Using the same example of a water box, the correction to the virial is 0.75 kJ mol−1per molecule,
the corresponding correction to the pressure for SPC water is approximately −280 bar.
For homogeneous mixtures, we can again use the average dispersion constant hC6i(eqn. 4.151):
Plr =−4
3πhC6iρ2r−3
c(4.157)
For inhomogeneous systems, eqn. 4.157 can be applied under the same restriction as holds for the
energy (see sec. 4.8.1).

4.9. Long Range Electrostatics 105
4.9 Long Range Electrostatics
4.9.1 Ewald summation
The total electrostatic energy of Nparticles and their periodic images is given by
V=f
2X
nxX
nyX
nz∗
N
X
i
N
X
j
qiqj
rij,n
.(4.158)
(nx, ny, nz) = nis the box index vector, and the star indicates that terms with i=jshould be
omitted when (nx, ny, nz) = (0,0,0). The distance rij,nis the real distance between the charges
and not the minimum-image. This sum is conditionally convergent, but very slow.
Ewald summation was first introduced as a method to calculate long-range interactions of the pe-
riodic images in crystals [98]. The idea is to convert the single slowly-converging sum eqn. 4.158
into two quickly-converging terms and a constant term:
V=Vdir +Vrec +V0(4.159)
Vdir =f
2
N
X
i,j X
nxX
nyX
nz∗
qiqj
erfc(βrij,n)
rij,n
(4.160)
Vrec =f
2πV
N
X
i,j
qiqjX
mxX
myX
mz∗
exp −(πm/β)2+ 2πim·(ri−rj)
m2(4.161)
V0=−fβ
√π
N
X
i
q2
i,(4.162)
where βis a parameter that determines the relative weight of the direct and reciprocal sums and
m= (mx, my, mz). In this way we can use a short cut-off (of the order of 1nm) in the direct
space sum and a short cut-off in the reciprocal space sum (e.g. 10 wave vectors in each direction).
Unfortunately, the computational cost of the reciprocal part of the sum increases as N2(or N3/2
with a slightly better algorithm) and it is therefore not realistic for use in large systems.
Using Ewald
Don’t use Ewald unless you are absolutely sure this is what you want - for almost all cases the PME
method below will perform much better. If you still want to employ classical Ewald summation
enter this in your .mdp file, if the side of your box is about 3nm:
coulombtype = Ewald
rvdw = 0.9
rlist = 0.9
rcoulomb = 0.9
fourierspacing = 0.6
ewald-rtol = 1e-5

106 Chapter 4. Interaction function and force fields
The ratio of the box dimensions and the fourierspacing parameter determines the highest
magnitude of wave vectors mx, my, mzto use in each direction. With a 3-nm cubic box this ex-
ample would use 11 wave vectors (from −5to 5) in each direction. The ewald-rtol parameter
is the relative strength of the electrostatic interaction at the cut-off. Decreasing this gives you a
more accurate direct sum, but a less accurate reciprocal sum.
4.9.2 PME
Particle-mesh Ewald is a method proposed by Tom Darden [11] to improve the performance of
the reciprocal sum. Instead of directly summing wave vectors, the charges are assigned to a grid
using interpolation. The implementation in GROMACS uses cardinal B-spline interpolation [12],
which is referred to as smooth PME (SPME). The grid is then Fourier transformed with a 3D FFT
algorithm and the reciprocal energy term obtained by a single sum over the grid in k-space.
The potential at the grid points is calculated by inverse transformation, and by using the interpo-
lation factors we get the forces on each atom.
The PME algorithm scales as Nlog(N), and is substantially faster than ordinary Ewald summa-
tion on medium to large systems. On very small systems it might still be better to use Ewald
to avoid the overhead in setting up grids and transforms. For the parallelization of PME see the
section on MPMD PME (3.18.5).
With the Verlet cut-off scheme, the PME direct space potential is shifted by a constant such that
the potential is zero at the cut-off. This shift is small and since the net system charge is close to
zero, the total shift is very small, unlike in the case of the Lennard-Jones potential where all shifts
add up. We apply the shift anyhow, such that the potential is the exact integral of the force.
Using PME
To use Particle-mesh Ewald summation in GROMACS, specify the following lines in your .mdp
file:
coulombtype = PME
rvdw = 0.9
rlist = 0.9
rcoulomb = 0.9
fourierspacing = 0.12
pme-order = 4
ewald-rtol = 1e-5
In this case the fourierspacing parameter determines the maximum spacing for the FFT grid
(i.e. minimum number of grid points), and pme-order controls the interpolation order. Using
fourth-order (cubic) interpolation and this spacing should give electrostatic energies accurate to
about 5·10−3. Since the Lennard-Jones energies are not this accurate it might even be possible to
increase this spacing slightly.
Pressure scaling works with PME, but be aware of the fact that anisotropic scaling can introduce
artificial ordering in some systems.

4.10. Force field 107
4.9.3 P3M-AD
The Particle-Particle Particle-Mesh methods of Hockney & Eastwood can also be applied in GRO-
MACS for the treatment of long range electrostatic interactions [99]. Although the P3M method
was the first efficient long-range electrostatics method for molecular simulation, the smooth PME
(SPME) method has largely replaced P3M as the method of choice in atomistic simulations. One
performance disadvantage of the original P3M method was that it required 3 3D-FFT back trans-
forms to obtain the forces on the particles. But this is not required for P3M and the forces can be
derived through analytical differentiation of the potential, as done in PME. The resulting method is
termed P3M-AD. The only remaining difference between P3M-AD and PME is the optimization
of the lattice Green influence function for error minimization that P3M uses. However, in 2012
it has been shown that the SPME influence function can be modified to obtain P3M [100]. This
means that the advantage of error minimization in P3M-AD can be used at the same computational
cost and with the same code as PME, just by adding a few lines to modify the influence function.
However, at optimal parameter setting the effect of error minimization in P3M-AD is less than
10%. P3M-AD does show large accuracy gains with interlaced (also known as staggered) grids,
but that is not supported in GROMACS (yet).
P3M is used in GROMACS with exactly the same options as used with PME by selecting the
electrostatics type:
coulombtype = P3M-AD
4.9.4 Optimizing Fourier transforms
To get the best possible performance you should try to avoid large prime numbers for grid dimen-
sions. The FFT code used in GROMACS is optimized for grid sizes of the form 2a3b5c7d11e13f,
where e+fis 0or 1and the other exponents arbitrary. (See further the documentation of the FFT
algorithms at www.fftw.org.
It is also possible to optimize the transforms for the current problem by performing some calcula-
tions at the start of the run. This is not done by default since it takes a couple of minutes, but for
large runs it will save time. Turn it on by specifying
optimize-fft = yes
in your .mdp file.
When running in parallel, the grid must be communicated several times, thus hurting scaling
performance. With PME you can improve this by increasing grid spacing while simultaneously
increasing the interpolation to e.g. sixth order. Since the interpolation is entirely local, doing so
will improve the scaling in most cases.
4.10 Force field
A force field is built up from two distinct components:

108 Chapter 4. Interaction function and force fields
•The set of equations (called the s) used to generate the potential energies and their deriva-
tives, the forces. These are described in detail in the previous chapter.
•The parameters used in this set of equations. These are not given in this manual, but in the
data files corresponding to your GROMACS distribution.
Within one set of equations various sets of parameters can be used. Care must be taken that the
combination of equations and parameters form a consistent set. It is in general dangerous to make
ad hoc changes in a subset of parameters, because the various contributions to the total force are
usually interdependent. This means in principle that every change should be documented, verified
by comparison to experimental data and published in a peer-reviewed journal before it can be used.
GROMACS 4.6.5 includes several force fields, and additional ones are available on the website.
If you do not know which one to select we recommend GROMOS-96 for united-atom setups and
OPLS-AA/L for all-atom parameters. That said, we describe the available options in some detail.
4.10.1 GROMOS87
The GROMOS-87 suite of programs and corresponding force field [77] formed the basis for the
development of GROMACS in the early 1990s. The original GROMOS87 force field is not
available in GROMACS. In previous versions (<3.3.2) there used to be the so-called “GRO-
MACS force field,” which was based on GROMOS-87 [77], with a small modification concerning
the interaction between water oxygens and carbon atoms [101,102], as well as 10 extra atom
types [103,104,101,102,105]. Whenever using this force field, please cite the above references,
and do not call it the “GROMACS force field,” instead name it GROMOS-87 [77] with corrections
as detailed in [101,102]. As noted by pdb2gmx, this force field is “deprecated,” indicating that
newer, perhaps more reliable, versions of this parameter set are available. For backwards compat-
ibility, it is maintained in the current release. Should you have a justifiable reason to use this force
field, all necessary files are provided in the gmx.ff sub-directory of the GROMACS library. See
also the note in 5.2.1.
All-hydrogen force field
The GROMOS-87-based all-hydrogen force field is almost identical to the normal GROMOS-87
force field, since the extra hydrogens have no Lennard-Jones interaction and zero charge. The
only differences are in the bond angle and improper dihedral angle terms. This force field is only
useful when you need the exact hydrogen positions, for instance for distance restraints derived
from NMR measurements. When citing this force field please read the previous paragraph.
4.10.2 GROMOS-96
GROMACS supports the GROMOS-96 force fields [76]. All parameters for the 43A1, 43A2
(development, improved alkane dihedrals), 45A3, 53A5, and 53A6 parameter sets are included.
All standard building blocks are included and topologies can be built automatically by pdb2gmx.
The GROMOS-96 force field is a further development of the GROMOS-87 force field. It has
improvements over the GROMOS-87 force field for proteins and small molecules. Note that

4.10. Force field 109
the sugar parameters present in 53A6 do correspond to those published in 2004[106], which are
different from those present in 45A4, which is not included in GROMACS at this time. The 45A4
parameter set corresponds to a later revision of these parameters. The GROMOS-96 force field is
not, however, recommended for use with long alkanes and lipids. The GROMOS-96 force field
differs from the GROMOS-87 force field in a few respects:
•the force field parameters
•the parameters for the bonded interactions are not linked to atom types
•a fourth power bond stretching potential (4.2.1)
•an angle potential based on the cosine of the angle (4.2.6)
There are two differences in implementation between GROMACS and GROMOS-96 which can
lead to slightly different results when simulating the same system with both packages:
•in GROMOS-96 neighbor searching for solvents is performed on the first atom of the solvent
molecule. This is not implemented in GROMACS, but the difference with searching by
centers of charge groups is very small
•the virial in GROMOS-96 is molecule-based. This is not implemented in GROMACS,
which uses atomic virials
The GROMOS-96 force field was parameterized with a Lennard-Jones cut-off of 1.4 nm, so be
sure to use a Lennard-Jones cut-off (rvdw) of at least 1.4. A larger cut-off is possible because the
Lennard-Jones potential and forces are almost zero beyond 1.4 nm.
GROMOS-96 files
GROMACS can read and write GROMOS-96 coordinate and trajectory files. These files should
have the extension .g96. Such a file can be a GROMOS-96 initial/final configuration file, a
coordinate trajectory file, or a combination of both. The file is fixed format; all floats are written
as 15.9, and as such, files can get huge. GROMACS supports the following data blocks in the
given order:
•Header block:
TITLE (mandatory)
•Frame blocks:
TIMESTEP (optional)
POSITION/POSITIONRED (mandatory)
VELOCITY/VELOCITYRED (optional)
BOX (optional)
See the GROMOS-96 manual [76] for a complete description of the blocks. Note that all GRO-
MACS programs can read compressed (.Z) or gzipped (.gz) files.

110 Chapter 4. Interaction function and force fields
4.10.3 OPLS/AA
4.10.4 AMBER
As of version 4.5, GROMACS provides native support for the following AMBER force fields:
•AMBER94 [107]
•AMBER96 [108]
•AMBER99 [109]
•AMBER99SB [110]
•AMBER99SB-ILDN [111]
•AMBER03 [112]
•AMBERGS [113]
4.10.5 CHARMM
As of version 4.5, GROMACS supports the CHARMM27 force field for proteins [114,115],
lipids [116] and nucleic acids [117]. The protein parameters (and to some extent the lipid and
nucleic acid parameters) were thoroughly tested – both by comparing potential energies between
the port and the standard parameter set in the CHARMM molecular simulation package, as well by
how the protein force field behaves together with GROMACS-specific techniques such as virtual
sites (enabling long time steps) and a fast implicit solvent recently implemented [71] – and the
details and results are presented in the paper by Bjelkmar et al. [118]. The nucleic acid parameters,
as well as the ones for HEME, were converted and tested by Michel Cuendet.
When selecting the CHARMM force field in pdb2gmx the default option is to use CMAP (for
torsional correction map). To exclude CMAP, use -nocmap. The basic form of the CMAP term
implemented in GROMACS is a function of the φand ψbackbone torsion angles. This term is
defined in the .rtp file by a [ cmap ] statement at the end of each residue supporting CMAP.
The following five atom names define the two torsional angles. Atoms 1-4 define φ, and atoms
2-5 define ψ. The corresponding atom types are then matched to the correct CMAP type in the
cmap.itp file that contains the correction maps.
4.10.6 Coarse-grained force-fields
Coarse-graining is a systematic way of reducing the number of degrees of freedom representing
a system of interest. To achieve this, typically whole groups of atoms are represented by single
beads and the coarse-grained force fields describes their effective interactions. Depending on the
choice of parameterization, the functional form of such an interaction can be complicated and
often tabulated potentials are used.
Coarse-grained models are designed to reproduce certain properties of a reference system. This
can be either a full atomistic model or even experimental data. Depending on the properties to

4.10. Force field 111
reproduce there are different methods to derive such force fields. An incomplete list of methods is
given below:
•Conserving free energies
–Simplex method
–MARTINI force-field (see next section)
•Conserving distributions (like the radial distribution function), so-called structure-based
coarse-graining
–(iterative) Boltzmann inversion
–Inverse Monte Carlo
•Conversing forces
–Force matching
Note that coarse-grained potentials are state dependent (e.g. temperature, density,...) and should
be re-parametrized depending on the system of interest and the simulation conditions. This can
for example be done using the Versatile Object-oriented Toolkit for Coarse-Graining Applications
(VOTCA) [119]. The package was designed to assists in systematic coarse-graining, provides
implementations for most of the algorithms mentioned above and has a well tested interface to
GROMACS. It is available as open source and further information can be found at www.votca.org.
4.10.7 MARTINI
The MARTINI force field is a coarse-grain parameter set that allows for the construction of many
systems, including proteins and membranes.
4.10.8 PLUM
The PLUM force field [120] is an example of a solvent-free protein-membrane model for which
the membrane was derived from structure-based coarse-graining [121]. A GROMACS implemen-
tation can be found at code.google.com/p/plumx.

112 Chapter 4. Interaction function and force fields
Chapter 5
Topologies
5.1 Introduction
GROMACS must know on which atoms and combinations of atoms the various contributions to
the potential functions (see chapter 4) must act. It must also know what parameters must be
applied to the various functions. All this is described in the topology file *.top, which lists the
constant attributes of each atom. There are many more atom types than elements, but only atom
types present in biological systems are parameterized in the force field, plus some metals, ions and
silicon. The bonded and special interactions are determined by fixed lists that are included in the
topology file. Certain non-bonded interactions must be excluded (first and second neighbors), as
these are already treated in bonded interactions. In addition, there are dynamic attributes of atoms
- their positions, velocities and forces. These do not strictly belong to the molecular topology,
and are stored in the coordinate file *.gro (positions and velocities), or trajectory file *.trr
(positions, velocities, forces).
This chapter describes the setup of the topology file, the *.top file and the database files: what
the parameters stand for and how/where to change them if needed. First, all file formats are
explained. Section 5.8.1 describes the organization of the files in each force field.
Note: if you construct your own topologies, we encourage you to upload them to our topology
archive at www.gromacs.org! Just imagine how thankful you’d have been if your topology had
been available there before you started. The same goes for new force fields or modified versions
of the standard force fields - contribute them to the force field archive!
5.2 Particle type
In GROMACS, there are three types of particles, see Table 5.1. Only regular atoms and virtual
interaction sites are used in GROMACS; shells are necessary for polarizable models like the Shell-
Water models [41].

114 Chapter 5. Topologies
Particle Symbol
atoms A
shells S
virtual interaction sites V (or D)
Table 5.1: Particle types in GROMACS
5.2.1 Atom types
Each force field defines a set of atom types, which have a characteristic name or number, and mass
(in a.m.u.). These listings are found in the atomtypes.atp file (.atp = atom type parameter
file). Therefore, it is in this file that you can begin to change and/or add an atom type. A sample
from the deprecated gmx.ff force field is listed below.
O 15.99940 ; carbonyl oxygen (C=O)
OM 15.99940 ; carboxyl oxygen (CO-)
OA 15.99940 ; hydroxyl oxygen (OH)
OW 15.99940 ; water oxygen
N 14.00670 ; peptide nitrogen (N or NH)
NT 14.00670 ; terminal nitrogen (NH2)
NL 14.00670 ; terminal nitrogen (NH3)
NR5 14.00670 ; aromatic N (5-ring,2 bonds)
NR5*14.00670 ; aromatic N (5-ring,3 bonds)
NP 14.00670 ; porphyrin nitrogen
C 12.01100 ; bare carbon (peptide,C=O,C-N)
CH1 13.01900 ; aliphatic CH-group
CH2 14.02700 ; aliphatic CH2-group
CH3 15.03500 ; aliphatic CH3-group
Note: GROMACS makes use of the atom types as a name, not as a number (as e.g. in GROMOS).
5.2.2 Virtual sites
Some force fields use virtual interaction sites (interaction sites that are constructed from other
particle positions) on which certain interactions are located (e.g. on benzene rings, to reproduce
the correct quadrupole). This is described in sec. 4.7.
To make virtual sites in your system, you should include a section [ virtual_sites? ] (for
backward compatibility the old name [ dummies? ] can also be used) in your topology file,
where the ‘?’ stands for the number constructing particles for the virtual site. This will be ‘2’ for
type 2, ‘3’ for types 3, 3fd, 3fad and 3out and ‘4’ for type 4fdn. The last of these replace an older
4fd type (with the ‘type’ value 1) that could occasionally be unstable; while it is still supported
internally in the code, the old 4fd type should not be used in new input files. The different types
are explained in sec. 4.7.
Parameters for type 2 should look like this:
[ virtual_sites2 ]

5.2. Particle type 115
; Site from funct a
5 1 2 1 0.7439756
for type 3 like this:
[ virtual_sites3 ]
; Site from funct a b
5 1 2 3 1 0.7439756 0.128012
for type 3fd like this:
[ virtual_sites3 ]
; Site from funct a d
5 1 2 3 2 0.5 -0.105
for type 3fad like this:
[ virtual_sites3 ]
; Site from funct theta d
5 1 2 3 3 120 0.5
for type 3out like this:
[ virtual_sites3 ]
; Site from funct a b c
5 1 2 3 4 -0.4 -0.4 6.9281
for type 4fdn like this:
[ virtual_sites4 ]
; Site from funct a b c
5 1 2 3 4 2 1.0 0.9 0.105
This will result in the construction of a virtual site, number 5 (first column ‘Site’), based on the
positions of the atoms whose indices are 1 and 2 or 1, 2 and 3 or 1, 2, 3 and 4 (next two, three
or four columns ‘from’) following the rules determined by the function number (next column
‘funct’) with the parameters specified (last one, two or three columns ‘a b . .’). Obviously,
the atom numbers (including virtual site number) depend on the molecule. It may be instructive
to study the topologies for TIP4P or TIP5P water models that are included with the GROMACS
distribution.
Note that if any constant bonded interactions are defined between virtual sites and/or normal
atoms, they will be removed by grompp (unless the option tt -normvsbds is used). This re-
moval of bonded interactions is done after generating exclusions, as the generation of exclusions
is based on “chemically” bonded interactions.
Virtual sites can be constructed in a more generic way using basic geometric parameters. The di-
rective that can be used is [ virtual_sitesn ]. Required parameters are listed in Table 5.5.
An example entry for defining a virtual site at the center of geometry of a given set of atoms might
be:
[ virtual_sitesn ]
; Site funct from
5 1 1 2 3 4

116 Chapter 5. Topologies
Property Symbol Unit
Type - -
Mass m a.m.u.
Charge q electron
epsilon kJ/mol
sigma σnm
Table 5.2: Static atom type properties in GROMACS
5.3 Parameter files
5.3.1 Atoms
The static properties (see Table 5.2 assigned to the atom types are assigned based on data in several
places. The mass is listed in atomtypes.atp (see 5.2.1), whereas the charge is listed in *.rtp
(.rtp = residue topology parameter file, see 5.6.1). This implies that the charges are only defined
in the building blocks of amino acids, nucleic acids or otherwise, as defined by the user. When
generating a topology (*.top) using the pdb2gmx program, the information from these files is
combined.
5.3.2 Non-bonded parameters
The non-bonded parameters consist of the van der Waals parameters V (c6 or σ, depending on the
combination rule) and W (c12 or ), as listed in the file ffnonbonded.itp, where ptype is
the particle type (see Table 5.1). As with the bonded parameters, entries in [*type ] directives
are applied to their counterparts in the topology file. Missing parameters generate warnings, except
as noted below in section 5.3.4.
[ atomtypes ]
;name at.num mass charge ptype V(c6) W(c12)
O 8 15.99940 0.000 A 0.22617E-02 0.74158E-06
OM 8 15.99940 0.000 A 0.22617E-02 0.74158E-06
.....
[ nonbond_params ]
; i j func V(c6) W(c12)
O O 1 0.22617E-02 0.74158E-06
O OA 1 0.22617E-02 0.13807E-05
.....
Note that most of the included force fields also include the at.num. column, but this same in-
formation is implied in the OPLS-AA bond_type column. The interpretation of the parameters
V and W depends on the combination rule that was chosen in the [ defaults ] section of the
topology file (see 5.7.1):
for combination rule 1 :Vii =C(6)
i= 4 iσ6
i[ kJ mol−1nm6]
Wii =C(12)
i= 4 iσ12
i[ kJ mol−1nm12 ](5.1)

5.3. Parameter files 117
for combination rules 2 and 3 :Vii =σi[ nm ]
Wii =i[ kJ mol−1](5.2)
Some or all combinations for different atom types can be given in the [ nonbond_params ]
section, again with parameters V and W as defined above. Any combination that is not given will
be computed from the parameters for the corresponding atom types, according to the combination
rule:
for combination rules 1 and 3 :C(6)
ij =C(6)
iC(6)
j1
2
C(12)
ij =C(12)
iC(12)
j1
2
(5.3)
for combination rule 2 :σij =1
2(σi+σj)
ij =√ij(5.4)
When σand need to be supplied (rules 2 and 3), it would seem it is impossible to have a non-zero
C12 combined with a zero C6parameter. However, providing a negative σwill do exactly that,
such that C6is set to zero and C12 is calculated normally. This situation represents a special case
in reading the value of σ, and nothing more.
There is only one set of combination rules for Buckingham potentials:
Aij = (Aii Ajj )1/2
Bij = 2/1
Bii +1
Bjj
Cij = (Cii Cjj )1/2
(5.5)
5.3.3 Bonded parameters
The bonded parameters (i.e. bonds, bond angles, improper and proper dihedrals) are listed in
ffbonded.itp. The entries in this database describe, respectively, the atom types in the in-
teractions, the type of the interaction, and the parameters associated with that interaction. These
parameters are then read by grompp when processing a topology and applied to the relevant
bonded parameters, i.e. bondtypes are applied to entries in the [ bonds ] directive, etc.
Any bonded parameter that is missing from the relevant [*type ] directive generates a fatal
error. The types of interactions are listed in Table 5.5. Example excerpts from such files follow:
[ bondtypes ]
; i j func b0 kb
C O 1 0.12300 502080.
C OM 1 0.12500 418400.
......
[ angletypes ]
; i j k func th0 cth
HO OA C 1 109.500 397.480
HO OA CH1 1 109.500 397.480
......
[ dihedraltypes ]

118 Chapter 5. Topologies
; i l func q0 cq
NR5*NR5 2 0.000 167.360
NR5*NR5*2 0.000 167.360
......
[ dihedraltypes ]
; j k func phi0 cp mult
C OA 1 180.000 16.736 2
C N 1 180.000 33.472 2
......
[ dihedraltypes ]
;
; Ryckaert-Bellemans Dihedrals
;
; aj ak funct
CP2 CP2 3 9.2789 12.156 -13.120 -3.0597 26.240 -31.495
In the ffbonded.itp file, you can add bonded parameters. If you want to include parameters
for new atom types, make sure you define them in atomtypes.atp as well.
5.3.4 Intramolecular pair interactions
Extra Lennard-Jones and electrostatic interactions between pairs of atoms in a molecule can be
added in the [ pairs ] section of a molecule definition. The parameters for these interactions
can be set independently from the non-bonded interaction parameters. In the GROMOS force
fields, pairs are only used to modify the 1-4 interactions (interactions of atoms separated by three
bonds). In these force fields the 1-4 interactions are excluded from the non-bonded interactions
(see sec. 5.4).
[ pairtypes ]
; i j func cs6 cs12 ; THESE ARE 1-4 INTERACTIONS
O O 1 0.22617E-02 0.74158E-06
O OM 1 0.22617E-02 0.74158E-06
.....
The pair interaction parameters for the atom types in ffnonbonded.itp are listed in the
[ pairtypes ] section. The GROMOS force fields list all these interaction parameters explic-
itly, but this section might be empty for force fields like OPLS that calculate the 1-4 interactions by
uniformly scaling the parameters. Pair parameters that are not present in the [ pairtypes ]
section are only generated when gen-pairs is set to “yes” in the [ defaults ] directive of
forcefield.itp (see 5.7.1). When gen-pairs is set to “no,” grompp will give a warning
for each pair type for which no parameters are given.
The normal pair interactions, intended for 1-4 interactions, have function type 1. Function type 2
and the [ pairs_nb ] are intended for free-energy simulations. When determining hydration
free energies, the solute needs to be decoupled from the solvent. This can be done by adding a

5.3. Parameter files 119
B-state topology (see sec. 3.12) that uses zero for all solute non-bonded parameters, i.e. charges
and LJ parameters. However, the free energy difference between the A and B states is not the total
hydration free energy. One has to add the free energy for reintroducing the internal Coulomb and
LJ interactions in the solute when in vacuum. This second step can be combined with the first step
when the Coulomb and LJ interactions within the solute are not modified. For this purpose, there is
a pairs function type 2, which is identical to function type 1, except that the B-state parameters are
always identical to the A-state parameters. For searching the parameters in the [ pairtypes ]
section, no distinction is made between function type 1 and 2. The pairs section [ pairs_nb ]
is intended to replace the non-bonded interaction. It uses the unscaled charges and the non-bonded
LJ parameters; it also only uses the A-state parameters. Note that one should add exclusions for
all atom pairs listed in [ pairs_nb ], otherwise such pairs will also end up in the normal
neighbor lists.
Alternatively, this same behavior can be achieved without ever touching the topology, by using
the couple-moltype,couple-lambda0,couple-lambda1, and couple-intramol
keywords. See sections sec. 3.12 and sec. 6.1 for more information.
All three pair types always use plain Coulomb interactions, even when Reaction-field, PME, Ewald
or shifted Coulomb interactions are selected for the non-bonded interactions. Energies for types
1 and 2 are written to the energy and log file in separate “LJ-14” and “Coulomb-14” entries per
energy group pair. Energies for [ pairs_nb ] are added to the “LJ-(SR)” and “Coulomb-
(SR)” terms.
5.3.5 Implicit solvation parameters
Starting with GROMACS 4.5, implicit solvent is supported. A section in the topology has been
introduced to list those parameters:
[ implicit_genborn_params ]
; Atomtype sar st pi gbr hct
NH1 0.155 1 1.028 0.17063 0.79 ; N
N 0.155 1 1 0.155 0.79 ; Proline backbone N
H 0.1 1 1 0.115 0.85 ; H
CT1 0.180 1 1.276 0.190 0.72 ; C
In this example the atom type is listed first, followed by five numbers, and a comment (following
a semicolon).
Values in columns 1-3 are not currently used. They pertain to more elaborate surface area algo-
rithms, the one from Qiu et al. [68] in particular. Column 4 contains the atomic van der Waals
radii, which are used in computing the Born radii. The dielectric offset is specified in the *.mdp
file, and gets subtracted from the input van der Waals radii for the different Born radii methods, as
described by Onufriev et al. [70]. Column 5 is the scale factor for the HCT and OBC models. The
values are taken from the Tinker implementation of the HCT pairwise scaling method [69]. This
method has been modified such that the scaling factors have been adjusted to minimize differences
between analytical surface areas and GB using the HCT algorithm. The scaling is further modified
in that it is not applied pairwise as proposed by Hawkins et al. [69], but on a per-atom (rather than
a per-pair) basis.

120 Chapter 5. Topologies
5.4 Exclusions
The exclusions for non-bonded interactions are generated by grompp for neighboring atoms up
to a certain number of bonds away, as defined in the [ moleculetype ] section in the topol-
ogy file (see 5.7.1). Particles are considered bonded when they are connected by “chemical”
bonds ([ bonds ] types 1 to 5, 7 or 8) or constraints ([ constraints ] type 1). Type 5
[ bonds ] can be used to create a connection between two atoms without creating an interac-
tion. There is a harmonic interaction ([ bonds ] type 6) that does not connect the atoms by a
chemical bond. There is also a second constraint type ([ constraints ] type 2) that fixes
the distance, but does not connect the atoms by a chemical bond. For a complete list of all these
interactions, see Table 5.5.
Extra exclusions within a molecule can be added manually in a [ exclusions ] section. Each
line should start with one atom index, followed by one or more atom indices. All non-bonded
interactions between the first atom and the other atoms will be excluded.
When all non-bonded interactions within or between groups of atoms need to be excluded, is it
more convenient and much more efficient to use energy monitor group exclusions (see sec. 3.3).
5.5 Constraint algorithms
Constraints are defined in the [ constraints ] section. The format is two atom numbers
followed by the function type, which can be 1 or 2, and the constraint distance. The only differ-
ence between the two types is that type 1 is used for generating exclusions and type 2 is not (see
sec. 5.4). The distances are constrained using the LINCS or the SHAKE algorithm, which can
be selected in the *.mdp file. Both types of constraints can be perturbed in free-energy calcula-
tions by adding a second constraint distance (see 5.7.5). Several types of bonds and angles (see
Table 5.5) can be converted automatically to constraints by grompp. There are several options
for this in the *.mdp file.
We have also implemented the SETTLE algorithm [43], which is an analytical solution of SHAKE,
specifically for water. SETTLE can be selected in the topology file. See, for instance, the SPC
molecule definition:
[ moleculetype ]
; molname nrexcl
SOL 1
[ atoms ]
; nr at type res nr ren nm at nm cg nr charge
1 OW 1 SOL OW1 1 -0.82
2 HW 1 SOL HW2 1 0.41
3 HW 1 SOL HW3 1 0.41
[ settles ]
; OW funct doh dhh
1 1 0.1 0.16333

5.6. pdb2gmx input files 121
[ exclusions ]
123
213
312
The [ settles ] directive defines the first atom of the water molecule. The settle funct is
always 1, and the distance between O-H and H-H distances must be given. Note that the algorithm
can also be used for TIP3P and TIP4P [103]. TIP3P just has another geometry. TIP4P has a virtual
site, but since that is generated it does not need to be shaken (nor stirred).
5.6 pdb2gmx input files
The GROMACS program pdb2gmx generates a topology for the input coordinate file. Several
formats are supported for that coordinate file, but *.pdb is the most commonly-used format
(hence the name pdb2gmx). pdb2gmx searches for force fields in sub-directories of the GRO-
MACS share/top directory and your working directory. Force fields are recognized from the
file forcefield.itp in a directory with the extension .ff. The file forcefield.doc
may be present, and if so, its first line will be used by pdb2gmx to present a short description to
the user to help in choosing a force field. Otherwise, the user can choose a force field with the
-ff xxx command-line argument to pdb2gmx, which indicates that a force field in a xxx.ff
directory is desired. pdb2gmx will search first in the working directory, then in the GROMACS
share/top directory, and use the first matching xxx.ff directory found.
Two general files are read by pdb2gmx: an atom type file (extension .atp, see 5.2.1) from the
force field directory, and a file called residuetypes.dat from either the working directory, or
the GROMACS share/top directory. residuetypes.dat determines which residue names
are considered protein, DNA, RNA, water, and ions.
pdb2gmx can read one or multiple databases with topological information for different types of
molecules. A set of files belonging to one database should have the same basename, preferably
telling something about the type of molecules (e.g. aminoacids, rna, dna). The possible files are:
•<basename>.rtp
•<basename>.r2b (optional)
•<basename>.arn (optional)
•<basename>.hdb (optional)
•<basename>.n.tdb (optional)
•<basename>.c.tdb (optional)
Only the .rtp file, which contains the topologies of the building blocks, is mandatory. Infor-
mation from other files will only be used for building blocks that come from an .rtp file with
the same base name. The user can add building blocks to a force field by having additional files
with the same base name in their working directory. By default, only extra building blocks can be
defined, but calling pdb2gmx with the -rtpo option will allow building blocks in a local file to
replace the default ones in the force field.

122 Chapter 5. Topologies
5.6.1 Residue database
The files holding the residue databases have the extension .rtp. Originally this file contained
building blocks (amino acids) for proteins, and is the GROMACS interpretation of the rt37c4.dat
file of GROMOS. So the residue database file contains information (bonds, charges, charge groups,
and improper dihedrals) for a frequently-used building block. It is better not to change this file
because it is standard input for pdb2gmx, but if changes are needed make them in the *.top file
(see 5.7.1), or in a .rtp file in the working directory as explained in sec. 5.6. Defining topologies
of new small molecules is probably easier by writing an include topology file *.itp directly.
This will be discussed in section 5.7.2. When adding a new protein residue to the database, don’t
forget to add the residue name to the residuetypes.dat file, so that grompp,make_ndx
and analysis tools can recognize the residue as a protein residue (see 8.1.1).
The .rtp files are only used by pdb2gmx. As mentioned before, the only extra information this
program needs from the .rtp database is bonds, charges of atoms, charge groups, and improper
dihedrals, because the rest is read from the coordinate input file. Some proteins contain residues
that are not standard, but are listed in the coordinate file. You have to construct a building block for
this “strange” residue, otherwise you will not obtain a *.top file. This also holds for molecules
in the coordinate file such as ligands, polyatomic ions, crystallization co-solvents, etc. The residue
database is constructed in the following way:
[ bondedtypes ] ; mandatory
; bonds angles dihedrals impropers
1 1 1 2 ; mandatory
[ GLY ] ; mandatory
[ atoms ] ; mandatory
; name type charge chargegroup
N N -0.280 0
H H 0.280 0
CA CH2 0.000 1
C C 0.380 2
O O -0.380 2
[ bonds ] ; optional
;atom1 atom2 b0 kb
N H
N CA
CA C
C O
-C N
[ exclusions ] ; optional
;atom1 atom2
[ angles ] ; optional
;atom1 atom2 atom3 th0 cth
[ dihedrals ] ; optional

5.6. pdb2gmx input files 123
;atom1 atom2 atom3 atom4 phi0 cp mult
[ impropers ] ; optional
;atom1 atom2 atom3 atom4 q0 cq
N -C CA H
-C -CA N -O
[ ZN ]
[ atoms ]
ZN ZN 2.000 0
The file is free format; the only restriction is that there can be at most one entry on a line. The first
field in the file is the [ bondedtypes ] field, which is followed by four numbers, indicating
the interaction type for bonds, angles, dihedrals, and improper dihedrals. The file contains residue
entries, which consist of atoms and (optionally) bonds, angles, dihedrals, and impropers. The
charge group codes denote the charge group numbers. Atoms in the same charge group should
always be ordered consecutively. When using the hydrogen database with pdb2gmx for adding
missing hydrogens (see 5.6.4), the atom names defined in the .rtp entry should correspond ex-
actly to the naming convention used in the hydrogen database. The atom names in the bonded
interaction can be preceded by a minus or a plus, indicating that the atom is in the preceding or
following residue respectively. Explicit parameters added to bonds, angles, dihedrals, and im-
propers override the standard parameters in the .itp files. This should only be used in special
cases. Instead of parameters, a string can be added for each bonded interaction. This is used in
GROMOS-96 .rtp files. These strings are copied to the topology file and can be replaced by
force field parameters by the C-preprocessor in grompp using #define statements.
pdb2gmx automatically generates all angles. This means that for the gmx.ff force field, the
[ angles ] field is only useful for overriding .itp parameters. For the GROMOS-96 force
field the interaction number of all angles need to be specified.
pdb2gmx automatically generates one proper dihedral for every rotatable bond, preferably on
heavy atoms. When the [ dihedrals ] field is used, no other dihedrals will be generated for
the bonds corresponding to the specified dihedrals. It is possible to put more than one dihedral
function on a rotatable bond.
pdb2gmx sets the number of exclusions to 3, which means that interactions between atoms con-
nected by at most 3 bonds are excluded. Pair interactions are generated for all pairs of atoms
that are separated by 3 bonds (except pairs of hydrogens). When more interactions need to be
excluded, or some pair interactions should not be generated, an [ exclusions ] field can be
added, followed by pairs of atom names on separate lines. All non-bonded and pair interactions
between these atoms will be excluded.
5.6.2 Residue to building block database
Each force field has its own naming convention for residues. Most residues have consistent nam-
ing, but some, especially those with different protonation states, can have many different names.
The .r2b files are used to convert standard residue names to the force field build block names. If
no .r2b is present in the force field directory or a residue is not listed, the building block name is

124 Chapter 5. Topologies
ARG protonated arginine
ARGN neutral arginine
ASP negatively charged aspartic acid
ASPH neutral aspartic acid
CYS neutral cysteine
CYS2 cysteine with sulfur bound to another cysteine or a heme
GLU negatively charged glutamic acid
GLUH neutral glutamic acid
HISD neutral histidine with Nδprotonated
HISE neutral histidine with Nprotonated
HISH positive histidine with both Nδand Nprotonated
HIS1 histidine bound to a heme
LYSN neutral lysine
LYS protonated lysine
HEME heme
Table 5.3: Internal GROMACS residue naming convention.
assumed to be identical to the residue name. The .r2b can contain 2 or 5 columns. The 2-column
format has the residue name in the first column and the building block name in the second. The
5-column format has 3 additional columns with the building block for the residue occurring in
the N-terminus, C-terminus and both termini at the same time (single residue molecule). This is
useful for, for instance, the AMBER force fields. If one or more of the terminal versions are not
present, a dash should be entered in the corresponding column.
There is a GROMACS naming convention for residues which is only apparent (except for the
pdb2gmx code) through the .r2b file and specbond.dat files. This convention is only of
importance when you are adding residue types to an .rtp file. The convention is listed in Ta-
ble 5.3. For special bonds with, for instance, a heme group, the GROMACS naming convention
is introduced through specbond.dat (see 5.6.7), which can subsequently be translated by the
.r2b file, if required.
5.6.3 Atom renaming database
Force fields often use atom names that do not follow IUPAC or PDB convention. The .arn
database is used to translate the atom names in the coordinate file to the force field names. Atoms
that are not listed keep their names. The file has three columns: the building block name, the
old atom name, and the new atom name, respectively. The residue name supports question-mark
wildcards that match a single character.
An additional general atom renaming file called xlateat.dat is present in the share/top
directory, which translates common non-standard atom names in the coordinate file to IUPAC/PDB
convention. Thus, when writing force field files, you can assume standard atom names and no
further atom name translation is required, except for translating from standard atom names to the
force field ones.

5.6. pdb2gmx input files 125
5.6.4 Hydrogen database
The hydrogen database is stored in .hdb files. It contains information for the pdb2gmx program
on how to connect hydrogen atoms to existing atoms. In versions of the database before GRO-
MACS 3.3, hydrogen atoms were named after the atom they are connected to: the first letter of
the atom name was replaced by an ‘H.’ In the versions from 3.3 onwards, the H atom has to be
listed explicitly, because the old behavior was protein-specific and hence could not be generalized
to other molecules. If more than one hydrogen atom is connected to the same atom, a number will
be added to the end of the hydrogen atom name. For example, adding two hydrogen atoms to ND2
(in asparagine), the hydrogen atoms will be named HD21 and HD22. This is important since atom
naming in the .rtp file (see 5.6.1) must be the same. The format of the hydrogen database is as
follows:
; res # additions
# H add type H i j k
ALA 1
1 1 H N -C CA
ARG 4
12HNCAC
1 1 HE NE CD CZ
2 3 HH1 NH1 CZ NE
2 3 HH2 NH2 CZ NE
On the first line we see the residue name (ALA or ARG) and the number of kinds of hydrogen
atoms that may be added to this residue by the hydrogen database. After that follows one line for
each addition, on which we see:
•The number of H atoms added
•The method for adding H atoms, which can be any of:
1one planar hydrogen, e.g. rings or peptide bond
One hydrogen atom (n) is generated, lying in the plane of atoms (i,j,k) on the plane
bisecting angle (j-i-k) at a distance of 0.1 nm from atom i, such that the angles (n-i-j)
and (n-i-k) are >90o.
2one single hydrogen, e.g. hydroxyl
One hydrogen atom (n) is generated at a distance of 0.1 nm from atom i, such that
angle (n-i-j)=109.5 degrees and dihedral (n-i-j-k)=trans.
3two planar hydrogens, e.g. ethylene -C=CH2, or amide -C(=O)NH2
Two hydrogens (n1,n2) are generated at a distance of 0.1 nm from atom i, such that
angle (n1-i-j)=(n2-i-j)=120 degrees and dihedral (n1-i-j-k)=cis and (n2-i-j-k)=trans,
such that names are according to IUPAC standards [122].
4two or three tetrahedral hydrogens, e.g. -CH3
Three (n1,n2,n3) or two (n1,n2) hydrogens are generated at a distance of 0.1 nm from
atom i, such that angle (n1-i-j)=(n2-i-j)=(n3-i-j)=109.47o, dihedral (n1-i-j-k)=trans,
(n2-i-j-k)=trans+120 and (n3-i-j-k)=trans+240o.

126 Chapter 5. Topologies
5one tetrahedral hydrogen, e.g. C3CH
One hydrogen atom (n0) is generated at a distance of 0.1 nm from atom i in tetrahedral
conformation such that angle (n0-i-j)=(n0-i-k)=(n0-i-l)=109.47o.
6two tetrahedral hydrogens, e.g. C-CH2-C
Two hydrogen atoms (n1,n2) are generated at a distance of 0.1 nm from atom i in
tetrahedral conformation on the plane bisecting angle j-i-k with angle (n1-i-n2)=(n1-i-
j)=(n1-i-k)=109.47o.
7two water hydrogens
Two hydrogens are generated around atom i according to SPC [79] water geometry.
The symmetry axis will alternate between three coordinate axes in both directions.
10 three water “hydrogens”
Two hydrogens are generated around atom i according to SPC [79] water geometry.
The symmetry axis will alternate between three coordinate axes in both directions.
In addition, an extra particle is generated on the position of the oxygen with the first
letter of the name replaced by ‘M’. This is for use with four-atom water models such
as TIP4P [103].
11 four water “hydrogens”
Same as above, except that two additional particles are generated on the position of
the oxygen, with names ‘LP1’ and ‘LP2.’ This is for use with five-atom water models
such as TIP5P [123].
•The name of the new H atom (or its prefix, e.g. HD2 for the asparagine example given
earlier).
•Three or four control atoms (i,j,k,l), where the first always is the atom to which the H atoms
are connected. The other two or three depend on the code selected. For water, there is only
one control atom.
Some more exotic cases can be approximately constructed from the above tools, and with suit-
able use of energy minimization are good enough for beginning MD simulations. For example
secondary amine hydrogen, nitrenyl hydrogen (C=NH) and even ethynyl hydrogen could be ap-
proximately constructed using method 2 above for hydroxyl hydrogen.
5.6.5 Termini database
The termini databases are stored in aminoacids.n.tdb and aminoacids.c.tdb for the N-
and C-termini respectively. They contain information for the pdb2gmx program on how to con-
nect new atoms to existing ones, which atoms should be removed or changed, and which bonded
interactions should be added. The format of the is as follows (from gmx.ff/aminoacids.c.tdb):
[ COO- ]
[ replace ]
C C C 12.011 0.27
[ add ]

5.6. pdb2gmx input files 127
28OCCAN
OM 15.9994 -0.635
[ delete ]
O
[ impropers ]
C O1 O2 CA
[ None ]
The file is organized in blocks, each with a header specifying the name of the block. These
blocks correspond to different types of termini that can be added to a molecule. In this example
[ COO- ] is the first block, corresponding to changing the terminal carbon atom into a depro-
tonated carboxyl group. [ None ] is the second terminus type, corresponding to a terminus
that leaves the molecule as it is. Block names cannot be any of the following: replace,add,
delete,bonds,angles,dihedrals,impropers. Doing so would interfere with the pa-
rameters of the block, and would probably also be very confusing to human readers.
For each block the following options are present:
•[ replace ]
Replace an existing atom by one with a different atom type, atom name, charge, and/or
mass. This entry can be used to replace an atom that is present both in the input coordinates
and in the .rtp database, but also to only rename an atom in the input coordinates such
that it matches the name in the force field. In the latter case, there should also be a corre-
sponding [ add ] section present that gives instructions to add the same atom, such that
the position in the sequence and the bonding is known. Such an atom can be present in the
input coordinates and kept, or not present and constructed by pdb2gmx. For each atom to
be replaced on line should be entered with the following fields:
–name of the atom to be replaced
–new atom name (optional)
–new atom type
–new mass
–new charge
•[ add ]
Add new atoms. For each (group of) added atom(s), a two-line entry is necessary. The
first line contains the same fields as an entry in the hydrogen database (name of the new
atom, number of atoms, type of addition, control atoms, see 5.6.4), but the possible types of
addition are extended by two more, specifically for C-terminal additions:
8two carboxyl oxygens, -COO−
Two oxygens (n1,n2) are generated according to rule 3, at a distance of 0.136 nm from
atom i and an angle (n1-i-j)=(n2-i-j)=117 degrees

128 Chapter 5. Topologies
9carboxyl oxygens and hydrogen, -COOH
Two oxygens (n1,n2) are generated according to rule 3, at distances of 0.123 nm and
0.125 nm from atom i for n1 and n2, respectively, and angles (n1-i-j)=121 and (n2-i-
j)=115 degrees. One hydrogen (n0) is generated around n2 according to rule 2, where
n-i-j and n-i-j-k should be read as n0-n2-i and n0-n2-i-j, respectively.
After this line, another line follows that specifies the details of the added atom(s), in the
same way as for replacing atoms, i.e.:
–atom type
–mass
–charge
–charge group (optional)
Like in the hydrogen database (see 5.6.1), when more than one atom is connected to an
existing one, a number will be appended to the end of the atom name. Note that, like in the
hydrogen database, the atom name is now on the same line as the control atoms, whereas it
was at the beginning of the second line prior to GROMACS version 3.3. When the charge
group field is left out, the added atom will have the same charge group number as the atom
that it is bonded to.
•[ delete ]
Delete existing atoms. One atom name per line.
•[ bonds ],[ angles ],[ dihedrals ] and [ impropers ]
Add additional bonded parameters. The format is identical to that used in the *.rtp file,
see 5.6.1.
5.6.6 Virtual site database
Since we cannot rely on the positions of hydrogens in input files, we need a special input file
to decide the geometries and parameters with which to add virtual site hydrogens. For more
complex virtual site constructs (e.g. when entire aromatic side chains are made rigid) we also need
information about the equilibrium bond lengths and angles for all atoms in the side chain. This
information is specified in the .vsd file for each force field. Just as for the termini, there is one
such file for each class of residues in the .rtp file.
The virtual site database is not really a very simple list of information. The first couple of sections
specify which mass centers (typically called MCH3/MNH3) to use for CH3, NH3, and NH2groups.
Depending on the equilibrium bond lengths and angles between the hydrogens and heavy atoms
we need to apply slightly different constraint distances between these mass centers. Note that we
do not have to specify the actual parameters (that is automatic), just the type of mass center to use.
To accomplish this, there are three sections names [ CH3 ],[ NH3 ], and [ NH2 ]. For each
of these we expect three columns. The first column is the atom type bound to the 2/3 hydrogens,
the second column is the next heavy atom type which this is bound, and the third column the type
of mass center to use. As a special case, in the [ NH2 ] section it is also possible to specify
planar in the second column, which will use a different construction without mass center. There

5.6. pdb2gmx input files 129
are currently different opinions in some force fields whether an NH2group should be planar or
not, but we try hard to stick to the default equilibrium parameters of the force field.
The second part of the virtual site database contains explicit equilibrium bond lengths and angles
for pairs/triplets of atoms in aromatic side chains. These entries are currently read by specific
routines in the virtual site generation code, so if you would like to extend it e.g. to nucleic acids
you would also need to write new code there. These sections are named after the short amino
acid names ([ PHE ],[ TYR ],[ TRP ],[ HID ],[ HIE ],[ HIP ]), and simply
contain 2 or 3 columns with atom names, followed by a number specifying the bond length (in
nm) or angle (in degrees). Note that these are approximations of the equilibrated geometry for the
entire molecule, which might not be identical to the equilibrium value for a single bond/angle if
the molecule is strained.
5.6.7 Special bonds
The primary mechanism used by pdb2gmx to generate inter-residue bonds relies on head-to-
tail linking of backbone atoms in different residues to build a macromolecule. In some cases
(e.g. disulfide bonds, a heme group, branched polymers), it is necessary to create inter-residue
bonds that do not lie on the backbone. The file specbond.dat takes care of this function.
It is necessary that the residues belong to the same [ moleculetype ]. The -merge and
-chainsep functions of pdb2gmx can be useful when managing special inter-residue bonds
between different chains.
The first line of specbond.dat indicates the number of entries that are in the file. If you
add a new entry, be sure to increment this number. The remaining lines in the file provide the
specifications for creating bonds. The format of the lines is as follows:
resA atomA nbondsA resB atomB nbondsB length newresA newresB
The columns indicate:
1. resA The name of residue A that participates in the bond.
2. atomA The name of the atom in residue A that forms the bond.
3. nbondsA The total number of bonds atomA can form.
4. resB The name of residue B that participates in the bond.
5. atomB The name of the atom in residue B that forms the bond.
6. nbondsB The total number of bonds atomB can form.
7. length The reference length for the bond. If atomA and atomB are not within length
±10% in the coordinate file supplied to pdb2gmx, no bond will be formed.
8. newresA The new name of residue A, if necessary. Some force fields use e.g. CYS2 for a
cysteine in a disulfide or heme linkage.
9. newresB The new name of residue B, likewise.

130 Chapter 5. Topologies
5.7 File formats
5.7.1 Topology file
The topology file is built following the GROMACS specification for a molecular topology. A
*.top file can be generated by pdb2gmx. All possible entries in the topology file are listed
in Tables 5.4 and 5.5. Also tabulated are: all the units of the parameters, which interactions
can be perturbed for free energy calculations, which bonded interactions are used by grompp for
generating exclusions, and which bonded interactions can be converted to constraints by grompp.

5.7. File formats 131
Parameters
interaction directive # f. parameters F. E.
type at. tp
mandatory defaults non-bonded function type;
combination rule(cr);
generate pairs (no/yes);
fudge LJ (); fudge QQ ()
mandatory atomtypes atom type; m (u); q (e); particle type;
V(cr); W(cr)
bondtypes (see Table 5.5, directive bonds)
pairtypes (see Table 5.5, directive pairs)
angletypes (see Table 5.5, directive angles)
dihedraltypes(∗)(see Table 5.5, directive dihedrals)
constrainttypes (see Table 5.5, directive constraints)
LJ nonbond_params 2 1 V(cr);W(cr)
Buckingham nonbond_params 2 2 a(kJ mol−1); b(nm−1);
c6(kJ mol−1nm6)
Molecule definition(s)
mandatory moleculetype molecule name; n(nrexcl)
ex
mandatory atoms 1 atom type; residue number; type
residue name; atom name;
charge group number; q(e); m(u) q, m
intra-molecular interaction and geometry definitions as described in Table 5.5
System
mandatory system system name
mandatory molecules molecule name; number of molecules
‘# at’ is the required number of atom type indices for this directive
‘f. tp’ is the value used to select this function type
‘F. E.’ indicates which of the parameters for this interaction can be
interpolated during free energy calculations
(cr)the combination rule determines the type of LJ parameters, see 5.3.2
(∗)for dihedraltypes one can specify 4 atoms or the inner (outer for improper) 2 atoms
(nrexcl)exclude neighbors nex bonds away for non-bonded interactions
For free energy calculations, type, qand mor no parameters should be added
for topology ‘B’ (λ= 1) on the same line, after the normal parameters.
Table 5.4: The topology (*.top) file.

132 Chapter 5. Topologies
Table 5.5: Details of [ moleculetype ] directives
Name of interaction Topology file directive num. func. Order of parameters and their units use in Cross-
atoms∗type†F.E.?‡references
bond bonds§,¶2 1 b0(nm); kb(kJ mol−1nm−2) all 4.2.1
G96 bond bonds§,¶2 2 b0(nm); kb(kJ mol−1nm−4) all 4.2.1
Morse bonds§,¶2 3 b0(nm); D(kJ mol−1); β(nm−1) all 4.2.2
cubic bond bonds§,¶2 4 b0(nm); Ci=2,3(kJ mol−1nm−i)4.2.3
connection bonds§2 5 5.4
harmonic potential bonds 2 6 b0(nm); kb(kJ mol−1nm−2) all 4.2.1,5.4
FENE bond bonds§2 7 bm(nm); kb(kJ mol−1nm−2)4.2.4
tabulated bond bonds§2 8 table number (≥0); k(kJ mol−1)k4.2.13
tabulated bondkbonds 2 9 table number (≥0); k(kJ mol−1)k4.2.13,5.4
restraint potential bonds 2 10 low, up1, up2(nm); kdr (kJ mol−1nm−2) all 4.3.4
extra LJ or Coulomb pairs 2 1 V∗∗;W∗∗ all 5.3.4
extra LJ or Coulomb pairs 2 2 fudge QQ (); qi,qj(e), V∗∗;W∗∗ 5.3.4
extra LJ or Coulomb pairs_nb 2 1 qi,qj(e); V∗∗;W∗∗ 5.3.4
angle angles¶3 1 θ0(deg); kθ(kJ mol−1rad−2) all 4.2.5
G96 angle angles¶3 2 θ0(deg); kθ(kJ mol−1) all 4.2.6
cross bond-bond angles 3 3 r1e,r2e(nm); krr0(kJ mol−1nm−2)4.2.8
cross bond-angle angles 3 4 r1e,r2er3e(nm); krθ (kJ mol−1nm−2)4.2.9
Urey-Bradley angles¶3 5 θ0(deg); kθ(kJ mol−1rad−2); r13 (nm);
kUB (kJ mol−1nm−2)
all 4.2.7
quartic angle angles¶3 6 θ0(deg); Ci=0,1,2,3,4(kJ mol−1rad−i)4.2.10
∗The required number of atom indices for this directive
†The index to use to select this function type
‡Indicates which of the parameters for this interaction can be interpolated during free energy calculations
§This interaction type will be used by grompp for generating exclusions
¶This interaction type can be converted to constraints by grompp
∗∗The combination rule determines the type of LJ parameters, see 5.3.2
kNo connection, and so no exclusions, are generated for this interaction

5.7. File formats 133
Table 5.5: Details of [ moleculetype ] directives
Name of interaction Topology file directive num. func. Order of parameters and their units use in Cross-
atoms∗type†F.E.?‡references
tabulated angle angles 3 8 table number (≥0); k(kJ mol−1)k4.2.13
proper dihedral dihedrals 4 1 φs(deg); kφ(kJ mol−1); multiplicity φ, k 4.2.12
improper dihedral dihedrals 4 2 ξ0(deg); kξ(kJ mol−1rad−2) all 4.2.11
Ryckaert-Bellemans dihedral dihedrals 4 3 C0,C1,C2,C3,C4,C5(kJ mol−1) all 4.2.12
periodic improper dihedral dihedrals 4 4 φs(deg); kφ(kJ mol−1); multiplicity φ, k 4.2.11
Fourier dihedral dihedrals 4 5 C1,C2,C3,C4(kJ mol−1) all 4.2.12
tabulated dihedral dihedrals 4 8 table number (≥0); k(kJ mol−1)k4.2.13
proper dihedral (multiple) dihedrals 4 9 φs(deg); kφ(kJ mol−1); multiplicity φ, k 4.2.12
exclusions exclusions 1 one or more atom indices 5.4
constraint constraints§2 1 b0(nm) all 4.5,5.5
constraintkconstraints 2 2 b0(nm) all 4.5,5.5,5.4
SETTLE settles 1 1 dOH,dHH (nm) 3.6.1,5.5
2-body virtual site virtual_sites2 3 1 a() 4.7
3-body virtual site virtual_sites3 4 1 a,b() 4.7
3-body virtual site (fd) virtual_sites3 4 2 a(); d(nm) 4.7
3-body virtual site (fad) virtual_sites3 4 3 θ(deg); d(nm) 4.7
3-body virtual site (out) virtual_sites3 4 4 a,b(); c(nm−1)4.7
4-body virtual site (fdn) virtual_sites4 5 2 a,b(); c(nm) 4.7
N-body virtual site (COG) virtual_sitesn 1 1 one or more constructing atom indices 4.7
N-body virtual site (COM) virtual_sitesn 1 2 one or more constructing atom indices 4.7
N-body virtual site (COW) virtual_sitesn 1 3 one or more pairs consisting of
constructing atom index and weight
4.7
position restraint position_restraints 1 1 kx,ky,kz(kJ mol−1nm−2) all 4.3.1
distance restraint distance_restraints 2 1 type; label; low, up1, up2(nm); weight () 4.3.4
dihedral restraint dihedral_restraints 4 1 φ0(deg); ∆φ(deg); all 4.3.3
orientation restraint orientation_restraints 2 1 exp.; label; α;c(U nmα); obs. (U);
weight (U−1)
4.3.5

134 Chapter 5. Topologies
Table 5.5: Details of [ moleculetype ] directives
Name of interaction Topology file directive num. func. Order of parameters and their units use in Cross-
atoms∗type†F.E.?‡references
angle restraint angle_restraints 4 1 θ0(deg); kc(kJ mol−1); multiplicity θ, k 4.3.2
angle restraint (z) angle_restraints_z 2 1 θ0(deg); kc(kJ mol−1); multiplicity θ, k 4.3.2

5.7. File formats 135
Description of the file layout:
•Semicolon (;) and newline characters surround comments
•On a line ending with \the newline character is ignored.
•Directives are surrounded by [and ]
•The topology hierarchy (which must be followed) consists of three levels:
–the parameter level, which defines certain force field specifications (see Table 5.4)
–the molecule level, which should contain one or more molecule definitions (see Ta-
ble 5.5)
–the system level, containing only system-specific information ([ system ] and
[ molecules ])
•Items should be separated by spaces or tabs, not commas
•Atoms in molecules should be numbered consecutively starting at 1
•Atoms in the same charge group must be listed consecutively
•The file is parsed only once, which implies that no forward references can be treated: items
must be defined before they can be used
•Exclusions can be generated from the bonds or overridden manually
•The bonded force types can be generated from the atom types or overridden per bond
•It is possible to apply multiple bonded interactions of the same type on the same atoms
•Descriptive comment lines and empty lines are highly recommended
•Starting with GROMACS version 3.1.3, all directives at the parameter level can be used
multiple times and there are no restrictions on the order, except that an atom type needs to
be defined before it can be used in other parameter definitions
•If parameters for a certain interaction are defined multiple times for the same combination
of atom types the last definition is used; starting with GROMACS version 3.1.3 grompp
generates a warning for parameter redefinitions with different values
•Using one of the [ atoms ],[ bonds ],[ pairs ],[ angles ], etc. without
having used [ moleculetype ] before is meaningless and generates a warning
•Using [ molecules ] without having used [ system ] before is meaningless and
generates a warning.
•After [ system ] the only allowed directive is [ molecules ]
•Using an unknown string in [ ] causes all the data until the next directive to be ignored
and generates a warning

136 Chapter 5. Topologies
Here is an example of a topology file, urea.top:
;
; Example topology file
;
; The force field files to be included
#include "gmx.ff/forcefield.itp"
[ moleculetype ]
; name nrexcl
Urea 3
[ atoms ]
; nr type resnr residu atom cgnr charge
1 C 1 UREA C1 1 0.683
2 O 1 UREA O2 1 -0.683
3 NT 1 UREA N3 2 -0.622
4 H 1 UREA H4 2 0.346
5 H 1 UREA H5 2 0.276
6 NT 1 UREA N6 3 -0.622
7 H 1 UREA H7 3 0.346
8 H 1 UREA H8 3 0.276
[ bonds ]
; ai aj funct b0 kb
3 4 1 1.000000e-01 3.744680e+05
3 5 1 1.000000e-01 3.744680e+05
6 7 1 1.000000e-01 3.744680e+05
6 8 1 1.000000e-01 3.744680e+05
1 2 1 1.230000e-01 5.020800e+05
1 3 1 1.330000e-01 3.765600e+05
1 6 1 1.330000e-01 3.765600e+05
[ pairs ]
; ai aj funct c6 c12
2 4 1 0.000000e+00 0.000000e+00
2 5 1 0.000000e+00 0.000000e+00
2 7 1 0.000000e+00 0.000000e+00
2 8 1 0.000000e+00 0.000000e+00
3 7 1 0.000000e+00 0.000000e+00
3 8 1 0.000000e+00 0.000000e+00
4 6 1 0.000000e+00 0.000000e+00
5 6 1 0.000000e+00 0.000000e+00
[ angles ]
; ai aj ak funct th0 cth
1 3 4 1 1.200000e+02 2.928800e+02
1 3 5 1 1.200000e+02 2.928800e+02
4 3 5 1 1.200000e+02 3.347200e+02
1 6 7 1 1.200000e+02 2.928800e+02
1 6 8 1 1.200000e+02 2.928800e+02
7 6 8 1 1.200000e+02 3.347200e+02

5.7. File formats 137
2 1 3 1 1.215000e+02 5.020800e+02
2 1 6 1 1.215000e+02 5.020800e+02
3 1 6 1 1.170000e+02 5.020800e+02
[ dihedrals ]
; ai aj ak al funct phi cp mult
2 1 3 4 1 1.800000e+02 3.347200e+01 2.000000e+00
6 1 3 4 1 1.800000e+02 3.347200e+01 2.000000e+00
2 1 3 5 1 1.800000e+02 3.347200e+01 2.000000e+00
6 1 3 5 1 1.800000e+02 3.347200e+01 2.000000e+00
2 1 6 7 1 1.800000e+02 3.347200e+01 2.000000e+00
3 1 6 7 1 1.800000e+02 3.347200e+01 2.000000e+00
2 1 6 8 1 1.800000e+02 3.347200e+01 2.000000e+00
3 1 6 8 1 1.800000e+02 3.347200e+01 2.000000e+00
[ dihedrals ]
; ai aj ak al funct q0 cq
3 4 5 1 2 0.000000e+00 1.673600e+02
6 7 8 1 2 0.000000e+00 1.673600e+02
1 3 6 2 2 0.000000e+00 1.673600e+02
[ position_restraints ]
; you wouldn’t normally use this for a molecule like Urea,
; but we include it here for didactic purposes
; ai funct fc
1 1 1000 1000 1000 ; Restrain to a point
2 1 1000 0 1000 ; Restrain to a line (Y-axis)
3 1 1000 0 0 ; Restrain to a plane (Y-Z-plane)
; Include SPC water topology
#include "spc.itp"
[ system ]
Urea in Water
[ molecules ]
;molecule name nr.
Urea 1
SOL 1000
Here follows the explanatory text.
[ defaults ] :
•nbfunc is the non-bonded function type. Use 1 (Lennard-Jones) or 2 (Buckingham)
•comb-rule is the number of the combination rule (see 5.3.2).
•gen-pairs is for pair generation. The default is ‘no’, i.e. get 1-4 parameters from the
pairtypes list. When parameters are not present in the list, stop with a fatal error. Setting
‘yes’ generates 1-4 parameters that are not present in the pair list from normal Lennard-
Jones parameters using fudgeLJ

138 Chapter 5. Topologies
•fudgeLJ is the factor by which to multiply Lennard-Jones 1-4 interactions, default 1
•fudgeQQ is the factor by which to multiply electrostatic 1-4 interactions, default 1
•Nis the power for the repulsion term in a 6-Npotential (with nonbonded-type Lennard-
Jones only), starting with GROMACS version 4.5, mdrun also reads and applies N, for
values not equal to 12 tabulated interaction functions are used (in older version you would
have to use user tabulated interactions).
Note that gen-pairs,fudgeLJ,fudgeQQ, and Nare optional. fudgeLJ is only used when
generate pairs is set to ‘yes’, and fudgeQQ is always used. However, if you want to specify N
you need to give a value for the other parameters as well.
#include "gmx.ff/forcefield.itp" :this includes the bonded and non-bonded force
field parameters, the gmx in gmx.ff will be replaced by the name of the force field you are
actually using.
[ moleculetype ] :defines the name of your molecule in this *.top and nrexcl = 3 stands
for excluding non-bonded interactions between atoms that are no further than 3 bonds away.
[ atoms ] :defines the molecule, where nr and type are fixed, the rest is user defined. So
atom can be named as you like, cgnr made larger or smaller (if possible, the total charge of a
charge group should be zero), and charges can be changed here too.
[ bonds ] :no comment.
[ pairs ] :LJ and Coulomb 1-4 interactions
[ angles ] :no comment
[ dihedrals ] :in this case there are 9 proper dihedrals (funct = 1), 3 improper (funct =
2) and no Ryckaert-Bellemans type dihedrals. If you want to include Ryckaert-Bellemans type
dihedrals in a topology, do the following (in case of e.g. decane):
[ dihedrals ]
; ai aj ak al funct c0 c1 c2
12343
23453
In the original implementation of the potential for alkanes [124] no 1-4 interactions were used,
which means that in order to implement that particular force field you need to remove the 1-4
interactions from the [ pairs ] section of your topology. In most modern force fields, like
OPLS/AA or Amber the rules are different, and the Ryckaert-Bellemans potential is used as a
cosine series in combination with 1-4 interactions.
[ position_restraints ] :harmonically restrain the selected particles to reference posi-
tions (4.3.1). The reference positions are read from a separate coordinate file by grompp.
#include "spc.itp" :includes a topology file that was already constructed (see section 5.7.2).
[ system ] :title of your system, user-defined
[ molecules ] :this defines the total number of (sub)molecules in your system that are de-
fined in this *.top. In this example file, it stands for 1 urea molecule dissolved in 1000 water

5.7. File formats 139
molecules. The molecule type SOL is defined in the spc.itp file. Each name here must cor-
respond to a name given with [ moleculetype ] earlier in the topology. The order of the
blocks of molecule types and the numbers of such molecules must match the coordinate file that
accompanies the topology when supplied to grompp. The blocks of molecules do not need to
be contiguous, but some tools (e.g. genion) may act only on the first or last such block of a
particular molecule type. Also, these blocks have nothing to do with the definition of groups (see
sec. 3.3 and sec. 8.1).
5.7.2 Molecule.itp file
If you construct a topology file you will use frequently (like the water molecule, spc.itp, which
is already constructed for you) it is good to make a molecule.itp file. This only lists the
information of one particular molecule and allows you to re-use the [ moleculetype ] in
multiple systems without re-invoking pdb2gmx or manually copying and pasting. An example
follows:
[ moleculetype ]
; name nrexcl
Urea 3
[ atoms ]
; nr type resnr residu atom cgnr charge
1 C 1 UREA C1 1 0.683
.................
.................
8 H 1 UREA H8 3 0.276
[ bonds ]
; ai aj funct c0 c1
3 4 1 1.000000e-01 3.744680e+05
.................
.................
1 6 1 1.330000e-01 3.765600e+05
[ pairs ]
; ai aj funct c0 c1
2 4 1 0.000000e+00 0.000000e+00
.................
.................
5 6 1 0.000000e+00 0.000000e+00
[ angles ]
; ai aj ak funct c0 c1
1 3 4 1 1.200000e+02 2.928800e+02
.................
.................
3 1 6 1 1.170000e+02 5.020800e+02
[ dihedrals ]

140 Chapter 5. Topologies
; ai aj ak al funct c0 c1 c2
2 1 3 4 1 1.800000e+02 3.347200e+01 2.000000e+00
.................
.................
3 1 6 8 1 1.800000e+02 3.347200e+01 2.000000e+00
[ dihedrals ]
; ai aj ak al funct c0 c1
3 4 5 1 2 0.000000e+00 1.673600e+02
6 7 8 1 2 0.000000e+00 1.673600e+02
1 3 6 2 2 0.000000e+00 1.673600e+02
Using *.itp files results in a very short *.top file:
; The force field files to be included
#include "gmx.ff/forcefield.itp"
; Include urea topology
#include "urea.itp"
; Include SPC water topology
#include "spc.itp"
[ system ]
Urea in Water
[ molecules ]
;molecule name number
Urea 1
SOL 1000
5.7.3 Ifdef statements
A very powerful feature in GROMACS is the use of #ifdef statements in your *.top file.
By making use of this statement, different parameters for one molecule can be used in the same
*.top file. An example is given for TFE, where there is an option to use different charges on
the atoms: charges derived by De Loof et al. [125] or by Van Buuren and Berendsen [104]. In
fact, you can use much of the functionality of the C preprocessor, cpp, because grompp contains
similar pre-processing functions to scan the file. The way to make use of the #ifdef option is as
follows:
•either use the option define = -DDeLoof in the *.mdp file (containing grompp input
parameters), or use the line #define DeLoof early in your *.top or *.itp file; and
•put the #ifdef statements in your *.top, as shown below:
...

5.7. File formats 141
[ atoms ]
; nr type resnr residu atom cgnr charge mass
#ifdef DeLoof
; Use Charges from DeLoof
1 C 1 TFE C 1 0.74
2 F 1 TFE F 1 -0.25
3 F 1 TFE F 1 -0.25
4 F 1 TFE F 1 -0.25
5 CH2 1 TFE CH2 1 0.25
6 OA 1 TFE OA 1 -0.65
7 HO 1 TFE HO 1 0.41
#else
; Use Charges from VanBuuren
1 C 1 TFE C 1 0.59
2 F 1 TFE F 1 -0.2
3 F 1 TFE F 1 -0.2
4 F 1 TFE F 1 -0.2
5 CH2 1 TFE CH2 1 0.26
6 OA 1 TFE OA 1 -0.55
7 HO 1 TFE HO 1 0.3
#endif
[ bonds ]
; ai aj funct c0 c1
6 7 1 1.000000e-01 3.138000e+05
1 2 1 1.360000e-01 4.184000e+05
1 3 1 1.360000e-01 4.184000e+05
1 4 1 1.360000e-01 4.184000e+05
1 5 1 1.530000e-01 3.347000e+05
5 6 1 1.430000e-01 3.347000e+05
...
This mechanism is used by pdb2gmx to implement optional position restraints (4.3.1) by #include-
ing an .itp file whose contents will be meaningful only if a particular #define is set (and
spelled correctly!)
5.7.4 Topologies for free energy calculations
Free energy differences between two systems, A and B, can be calculated as described in sec. 3.12.
Systems A and B are described by topologies consisting of the same number of molecules with
the same number of atoms. Masses and non-bonded interactions can be perturbed by adding B
parameters under the [ atoms ] directive. Bonded interactions can be perturbed by adding B
parameters to the bonded types or the bonded interactions. The parameters that can be perturbed
are listed in Tables 5.4 and 5.5. The λ-dependence of the interactions is described in section
sec. 4.5. The bonded parameters that are used (on the line of the bonded interaction definition, or
the ones looked up on atom types in the bonded type lists) is explained in Table 5.6. In most cases,
things should work intuitively. When the A and B atom types in a bonded interaction are not all
identical and parameters are not present for the B-state, either on the line or in the bonded types,

142 Chapter 5. Topologies
B-state atom types parameters parameters in bonded types
all identical to on line A atom types B atom types message
A-state atom types A B A B A B
+AB −x x
+A +B x x
yes − − − − error
− − +AB −
− − +A +B
+AB −x x x x warning
+A +B x x x x
− − − − x x error
no − − +AB − − − warning
− − +A +B − − warning
− − +A x +B −
− − +A x + +B
Table 5.6: The bonded parameters that are used for free energy topologies, on the line of the
bonded interaction definition or looked up in the bond types section based on atom types. A and
B indicate the parameters used for state A and B respectively, + and −indicate the (non-)presence
of parameters in the topology, x indicates that the presence has no influence.
grompp uses the A-state parameters and issues a warning. For free energy calculations, all or no
parameters for topology B (λ= 1) should be added on the same line, after the normal parameters,
in the same order as the normal parameters. From GROMACS 4.6 onward, if λis treated as a
vector, then the bonded-lambdas component controls all bonded terms that are not explicitly
labeled as restraints. Restrain terms are controlled by the restraint-lambdas component.
Below is an example of a topology which changes from 200 propanols to 200 pentanes using the
GROMOS-96 force field.
; Include force field parameters
#include "gromos43a1.ff/forcefield.itp"
[ moleculetype ]
; Name nrexcl
PropPent 3
[ atoms ]
; nr type resnr residue atom cgnr charge mass typeB chargeB massB
1 H 1 PROP PH 1 0.398 1.008 CH3 0.0 15.035
2 OA 1 PROP PO 1 -0.548 15.9994 CH2 0.0 14.027
3 CH2 1 PROP PC1 1 0.150 14.027 CH2 0.0 14.027
4 CH2 1 PROP PC2 2 0.000 14.027
5 CH3 1 PROP PC3 2 0.000 15.035
[ bonds ]

5.7. File formats 143
; ai aj funct par_A par_B
1 2 2 gb_1 gb_26
2 3 2 gb_17 gb_26
3 4 2 gb_26 gb_26
4 5 2 gb_26
[ pairs ]
; ai aj funct
141
251
[ angles ]
; ai aj ak funct par_A par_B
1 2 3 2 ga_11 ga_14
2 3 4 2 ga_14 ga_14
3 4 5 2 ga_14 ga_14
[ dihedrals ]
; ai aj ak al funct par_A par_B
1 2 3 4 1 gd_12 gd_17
2 3 4 5 1 gd_17 gd_17
[ system ]
; Name
Propanol to Pentane
[ molecules ]
; Compound #mols
PropPent 200
Atoms that are not perturbed, PC2 and PC3, do not need B-state parameter specifications, since the
B parameters will be copied from the A parameters. Bonded interactions between atoms that are
not perturbed do not need B parameter specifications, as is the case for the last bond in the example
topology. Topologies using the OPLS/AA force field need no bonded parameters at all, since both
the A and B parameters are determined by the atom types. Non-bonded interactions involving one
or two perturbed atoms use the free-energy perturbation functional forms. Non-bonded interac-
tions between two non-perturbed atoms use the normal functional forms. This means that when,
for instance, only the charge of a particle is perturbed, its Lennard-Jones interactions will also be
affected when lambda is not equal to zero or one.
Note that this topology uses the GROMOS-96 force field, in which the bonded interactions are not
determined by the atom types. The bonded interaction strings are converted by the C-preprocessor.
The force field parameter files contain lines like:
#define gb_26 0.1530 7.1500e+06
#define gd_17 0.000 5.86 3

144 Chapter 5. Topologies
5.7.5 Constraint forces
The constraint force between two atoms in one molecule can be calculated with the free energy
perturbation code by adding a constraint between the two atoms, with a different length in the A
and B topology. When the B length is 1 nm longer than the A length and lambda is kept con-
stant at zero, the derivative of the Hamiltonian with respect to lambda is the constraint force. For
constraints between molecules, the pull code can be used, see sec. 6.4. Below is an example for
calculating the constraint force at 0.7 nm between two methanes in water, by combining the two
methanes into one “molecule.” Note that the definition of a “molecule” in GROMACS does not
necessarily correspond to the chemical definition of a molecule. In GROMACS, a “molecule” can
be defined as any group of atoms that one wishes to consider simultaneously. The added constraint
is of function type 2, which means that it is not used for generating exclusions (see sec. 5.4). Note
that the constraint free energy term is included in the derivative term, and is specifically included
in the bonded-lambdas component. However, the free energy for changing constraints is not
included in the potential energy differences used for BAR and MBAR, as this requires reevaluating
the energy at each of the constraint components. This functionality is planned for later versions.
; Include force field parameters
#include "gromos43a1.ff/forcefield.itp"
[ moleculetype ]
; Name nrexcl
Methanes 1
[ atoms ]
; nr type resnr residu atom cgnr charge mass
1 CH4 1 CH4 C1 1 0 16.043
2 CH4 1 CH4 C2 2 0 16.043
[ constraints ]
; ai aj funct length_A length_B
1 2 2 0.7 1.7
#include "spc.itp"
[ system ]
; Name
Methanes in Water
[ molecules ]
; Compound #mols
Methanes 1
SOL 2002
5.7.6 Coordinate file
Files with the .gro file extension contain a molecular structure in GROMOS-87 format. A sample
piece is included below:

5.8. Force field organization 145
MD of 2 waters, reformat step, PA aug-91
6
1WATER OW1 1 0.126 1.624 1.679 0.1227 -0.0580 0.0434
1WATER HW2 2 0.190 1.661 1.747 0.8085 0.3191 -0.7791
1WATER HW3 3 0.177 1.568 1.613 -0.9045 -2.6469 1.3180
2WATER OW1 4 1.275 0.053 0.622 0.2519 0.3140 -0.1734
2WATER HW2 5 1.337 0.002 0.680 -1.0641 -1.1349 0.0257
2WATER HW3 6 1.326 0.120 0.568 1.9427 -0.8216 -0.0244
1.82060 1.82060 1.82060
This format is fixed, i.e. all columns are in a fixed position. If you want to read such a file in your
own program without using the GROMACS libraries you can use the following formats:
C-format: "%5i%5s%5s%5i%8.3f%8.3f%8.3f%8.4f%8.4f%8.4f"
Or to be more precise, with title etc. it looks like this:
"%s\n", Title
"%5d\n", natoms
for (i=0; (i<natoms); i++) {
"%5d%-5s%5s%5d%8.3f%8.3f%8.3f%8.4f%8.4f%8.4f\n",
residuenr,residuename,atomname,atomnr,x,y,z,vx,vy,vz
}
"%10.5f%10.5f%10.5f%10.5f%10.5f%10.5f%10.5f%10.5f%10.5f\n",
box[X][X],box[Y][Y],box[Z][Z],
box[X][Y],box[X][Z],box[Y][X],box[Y][Z],box[Z][X],box[Z][Y]
Fortran format: (i5,2a5,i5,3f8.3,3f8.4)
So confin.gro is the GROMACS coordinate file and is almost the same as the GROMOS-87
file (for GROMOS users: when used with ntx=7). The only difference is the box for which
GROMACS uses a tensor, not a vector.
5.8 Force field organization
5.8.1 Force field files
As of GROMACS version 4.5, 14 force fields are available by default. Force fields are detected by
the presence of <name>.ff directories in the GROMACS /share/top sub-directory and/or
the working directory. The information regarding the location of the force field files is printed by
pdb2gmx so you can easily keep track of which version of a force field is being called, in case you
have made modifications in one location or another. The force fields included with GROMACS
are:
•AMBER03 force field (Duan et al., J. Comp. Chem. 24, 1999-2012, 2003)
•AMBER94 force field (Cornell et al., JACS 117, 5179-5197, 1995)
•AMBER96 force field (Kollman et al., Acc. Chem. Res. 29, 461-469, 1996)

146 Chapter 5. Topologies
•AMBER99 force field (Wang et al., J. Comp. Chem. 21, 1049-1074, 2000)
•AMBER99SB force field (Hornak et al., Proteins 65, 712-725, 2006)
•AMBER99SB-ILDN force field (Lindorff-Larsen et al., Proteins 78, 1950-58, 2010)
•AMBERGS force field (Garcia & Sanbonmatsu, PNAS 99, 2782-2787, 2002)
•CHARMM27 all-atom force field (with CMAP)
•GROMOS96 43A1 force field
•GROMOS96 43A2 force field (improved alkane dihedrals)
•GROMOS96 45A3 force field (Schuler JCC 2001 22 1205)
•GROMOS96 53A5 force field (JCC 2004 vol 25 pag 1656)
•GROMOS96 53A6 force field (JCC 2004 vol 25 pag 1656)
•OPLS-AA/L all-atom force field (2001 aminoacid dihedrals)
There are also some additional deprecated force fields listed in the selection from pdb2gmx, but
we do not currently recommend that you use those for new simulations.
A force field is included at the beginning of a topology file with an #include statement followed
by <name>.ff/forcefield.itp. This statement includes the force field file, which, in turn,
may include other force field files. All the force fields are organized in the same way. As an
example, we show the gmx.ff/forcefield.itp file:
#define _FF_GROMACS
#define _FF_GROMACS1
[ defaults ]
; nbfunc comb-rule gen-pairs fudgeLJ fudgeQQ
1 1 no 1.0 1.0
#include "ffnonbonded.itp"
#include "ffbonded.itp"
The first #define can be used in topologies to parse data which is specific for all GROMACS
force fields, the second #define is to parse data specific to this force field. The [ defaults ]
section is explained in 5.7.1. The included file ffnonbonded.itp contains all atom types and
non-bonded parameters. The included file ffbonded.itp contains all bonded parameters.
For each force field, there several files which are only used by pdb2gmx. These are: residue
databases (.rtp, see 5.6.1) the hydrogen database (.hdb, see 5.6.4), two termini databases
(.n.tdb and .c.tdb, see 5.6.5) and the atom type database (.atp, see 5.2.1), which contains
only the masses. Other optional files are described in sec. 5.6.
5.8.2 Changing force field parameters
If one wants to change the parameters of few bonded interactions in a molecule, this is most easily
accomplished by typing the parameters behind the definition of the bonded interaction directly in

5.9. gmx.ff documentation 147
the *.top file under the [ moleculetype ] section (see 5.7.1 for the format and units). If
one wants to change the parameters for all instances of a certain interaction one can change them
in the force-field file or add a new [ ???types ] section after including the force field. When
parameters for a certain interaction are defined multiple times, the last definition is used. As of
GROMACS version 3.1.3, a warning is generated when parameters are redefined with a different
value. Changing the Lennard-Jones parameters of an atom type is not recommended, because in
the GROMOS force fields the Lennard-Jones parameters for several combinations of atom types
are not generated according to the standard combination rules. Such combinations (and possibly
others that do follow the combination rules) are defined in the [ nonbond_params ] section,
and changing the Lennard-Jones parameters of an atom type has no effect on these combinations.
5.8.3 Adding atom types
As of GROMACS version 3.1.3, atom types can be added in an extra [ atomtypes ] section
after the the inclusion of the normal force field. After the definition of the new atom type(s), ad-
ditional non-bonded and pair parameters can be defined. In pre-3.1.3 versions of GROMACS, the
new atom types needed to be added in the [ atomtypes ] section of the force field files, be-
cause all non-bonded parameters above the last [ atomtypes ] section would be overwritten
using the standard combination rules.
5.9 gmx.ff documentation
For backward compatibility we retain here some reference to parameters present in the gmx.ff
force field. The last 10 atom types were not part of the original GROMOS-87 force field [77], so
if you use them you should refer to one or more of the following papers:
•F was taken from ref. [104],
•CP2 and CP3 from ref. [101] and references cited therein,
•CR5, CR6 and HCR from ref. [126]
•OWT3 from ref. [103]
•SD, OD and CD from ref. [105]
Note that we recommend against using these parameters in new projects since they are not
well-tested.

148 Chapter 5. Topologies
Chapter 6
Special Topics
6.1 Free energy implementation
For free energy calculations, there are two things that must be specified; the end states, and the
pathway connecting the end states. The end states can be specified in two ways. The most straight-
forward is through the specification of end states in the topology file. Most potential forms support
both an Astate and a Bstate. Whenever both states are specified, then the Astate corresponds to
the initial free energy state, and the Bstate corresponds to the final state.
In some cases, the end state can also be defined in some cases without altering the topology,
solely through the .mdp file, through the use of the couple-moltype,couple-lambda0,
couple-lambda1, and couple-intramol mdp keywords. Any molecule type selected in
couple-moltype will automatically have a Bstate implicitly constructed (and the Astate rede-
fined) according to the couple-lambda keywords. couple-lambda0 and couple-lambda1
define the non-bonded parameters that are present in the Astate (couple-lambda0) and the B
state (couple-lambda1). The choices are ’q’,’vdw’, and ’vdw-q’; these indicate the Coulom-
bic, van der Waals, or both parameters that are turned on in the respective state.
Once the end states are defined, then the path between the end states has to be defined. This path
is defined solely in the .mdp file. Starting in 4.6, λis a vector of components, with Coulombic,
van der Waals, bonded, restraint, and mass components all able to be adjusted independently. This
makes it possible to turn off the Coulombic term linearly, and then the van der Waals using soft
core, all in the same simulation. This is especially useful for replica exchange or expanded en-
semble simulations, where it is important to sample all the way from interacting to non-interacting
states in the same simulation to improve sampling.
fep-lambdas is the default array of λvalues ranging from 0 to 1. All of the other lambda arrays
use the values in this array if they are not specified. The previous behavior, where the pathway
is controlled by a single λvariable, can be preserved by using only fep-lambdas to define the
pathway.
For example, if you wanted to first to change the Coulombic terms, then the van der Waals terms,
changing bonded at the same time rate as the van der Wheals, but changing the restraints through-

150 Chapter 6. Special Topics
out the first two-thirds of the simulation, then you could use this λvector:
coul-lambdas = 0.0 0.2 0.5 1.0 1.0 1.0 1.0 1.0 1.0 1.0
vdw-lambdas = 0.0 0.0 0.0 0.0 0.4 0.5 0.6 0.7 0.8 1.0
bonded-lambdas = 0.0 0.0 0.0 0.0 0.4 0.5 0.6 0.7 0.8 1.0
restraint-lambdas = 0.0 0.0 0.1 0.2 0.3 0.5 0.7 1.0 1.0 1.0
This is also equivalent to:
fep-lambdas = 0.0 0.0 0.0 0.0 0.4 0.5 0.6 0.7 0.8 1.0
coul-lambdas = 0.0 0.2 0.5 1.0 1.0 1.0 1.0 1.0 1.0 1.0
restraint-lambdas = 0.0 0.0 0.1 0.2 0.3 0.5 0.7 1.0 1.0 1.0
The fep-lambda array, in this case, is being used as the default to fill in the bonded and van
der Waals λarrays. Usually, it’s best to fill in all arrays explicitly, just to make sure things are
properly assigned.
If you want to turn on only restraints going from Ato B, then it would be:
restraint-lambdas = 0.0 0.1 0.2 0.4 0.6 1.0
and all of the other components of the λvector would be left in the Astate.
To compute free energies with a vector λusing thermodynamic integration, then the TI equation
becomes vector equation:
∆F=Zh∇Hi · d~
λ(6.1)
or for finite differences:
∆F≈ZXh∇Hi · ∆λ(6.2)
The external pymbar script downloaded from https://SimTK.org/home/pymbar can compute this
integral automatically from the GROMACS dhdl.xvg output.
6.2 Potential of mean force
A potential of mean force (PMF) is a potential that is obtained by integrating the mean force from
an ensemble of configurations. In GROMACS, there are several different methods to calculate the
mean force. Each method has its limitations, which are listed below.
•pull code: between the centers of mass of molecules or groups of molecules.
•free-energy code with harmonic bonds or constraints: between single atoms.
•free-energy code with position restraints: changing the conformation of a relatively im-
mobile group of atoms.

6.3. Non-equilibrium pulling 151
•pull code in limited cases: between groups of atoms that are part of a larger molecule for
which the bonds are constrained with SHAKE or LINCS. If the pull group if relatively large,
the pull code can be used.
The pull and free-energy code a described in more detail in the following two sections.
Entropic effects
When a distance between two atoms or the centers of mass of two groups is constrained or re-
strained, there will be a purely entropic contribution to the PMF due to the rotation of the two
groups [127]. For a system of two non-interacting masses the potential of mean force is:
Vpmf (r) = −(nc−1)kBTlog(r)(6.3)
where ncis the number of dimensions in which the constraint works (i.e. nc= 3 for a normal con-
straint and nc= 1 when only the z-direction is constrained). Whether one needs to correct for this
contribution depends on what the PMF should represent. When one wants to pull a substrate into a
protein, this entropic term indeed contributes to the work to get the substrate into the protein. But
when calculating a PMF between two solutes in a solvent, for the purpose of simulating without
solvent, the entropic contribution should be removed. Note that this term can be significant; when
at 300K the distance is halved, the contribution is 3.5 kJ mol−1.
6.3 Non-equilibrium pulling
When the distance between two groups is changed continuously, work is applied to the system,
which means that the system is no longer in equilibrium. Although in the limit of very slow pulling
the system is again in equilibrium, for many systems this limit is not reachable within reasonable
computational time. However, one can use the Jarzynski relation [128] to obtain the equilibrium
free-energy difference ∆Gbetween two distances from many non-equilibrium simulations:
∆GAB =−kBTlog De−βWAB EA(6.4)
where WAB is the work performed to force the system along one path from state A to B, the
angular bracket denotes averaging over a canonical ensemble of the initial state A and β= 1/kBT.
6.4 The pull code
The pull code applies forces or constraints between the centers of mass of one or more pairs
of groups of atoms. There is one reference group and one or more other pull groups. Instead
of a reference group, one can also use absolute reference point in space. The most common
situation consists of a reference group and one pull group. In this case, the two groups are treated
equivalently. The distance between a pair of groups can be determined in 1, 2 or 3 dimensions, or
can be along a user-defined vector. The reference distance can be constant or can change linearly
with time. Normally all atoms are weighted by their mass, but an additional weighting factor can
also be used.

152 Chapter 6. Special Topics
V
z
zlink spring
rup
Figure 6.1: Schematic picture of pulling a lipid out of a lipid bilayer with umbrella pulling. Vrup
is the velocity at which the spring is retracted, Zlink is the atom to which the spring is attached
and Zspring is the location of the spring.
Three different types of calculation are supported, and in all cases the reference distance can be
constant or linearly changing with time.
1. Umbrella pulling A harmonic potential is applied between the centers of mass of two
groups. Thus, the force is proportional to the displacement.
2. Constraint pulling The distance between the centers of mass of two groups is constrained.
The constraint force can be written to a file. This method uses the SHAKE algorithm but
only needs 1 iteration to be exact if only two groups are constrained.
3. Constant force pulling A constant force is applied between the centers of mass of two
groups. Thus, the potential is linear. In this case there is no reference distance of pull rate.
Definition of the center of mass
In GROMACS, there are three ways to define the center of mass of a group. The standard way
is a “plain” center of mass, possibly with additional weighting factors. With periodic boundary
conditions it is no longer possible to uniquely define the center of mass of a group of atoms.
Therefore, a reference atom is used. For determining the center of mass, for all other atoms in the
group, the closest periodic image to the reference atom is used. This uniquely defines the center of
mass. By default, the middle (determined by the order in the topology) atom is used as a reference
atom, but the user can also select any other atom if it would be closer to center of the group.
For a layered system, for instance a lipid bilayer, it may be of interest to calculate the PMF of
a lipid as function of its distance from the whole bilayer. The whole bilayer can be taken as
reference group in that case, but it might also be of interest to define the reaction coordinate for
the PMF more locally. The .mdp option pull_geometry = cylinder does not use all the
atoms of the reference group, but instead dynamically only those within a cylinder with radius
r_1 around the pull vector going through the pull group. This only works for distances defined in

6.4. The pull code 153
Figure 6.2: Comparison of a plain center of mass reference group versus a cylinder reference
group applied to interface systems. C is the reference group. The circles represent the center of
mass of two groups plus the reference group, dcis the reference distance.
one dimension, and the cylinder is oriented with its long axis along this one dimension. A second
cylinder can be defined with r_0, with a linear switch function that weighs the contribution of
atoms between r_0 and r_1 with distance. This smooths the effects of atoms moving in and out
of the cylinder (which causes jumps in the pull forces).
For a group of molecules in a periodic system, a plain reference group might not be well-defined.
An example is a water slab that is connected periodically in xand y, but has two liquid-vapor
interfaces along z. In such a setup, water molecules can evaporate from the liquid and they will
move through the vapor, through the periodic boundary, to the other interface. Such a system is
inherently periodic and there is no proper way of defining a “plain” center of mass along z. A
proper solution is to using a cosine shaped weighting profile for all atoms in the reference group.
The profile is a cosine with a single period in the unit cell. Its phase is optimized to give the
maximum sum of weights, including mass weighting. This provides a unique and continuous
reference position that is nearly identical to the plain center of mass position in case all atoms are
all within a half of the unit-cell length. See ref [129] for details.
When relative weights wiare used during the calculations, either by supplying weights in the input
or due to cylinder geometry or due to cosine weighting, the weights need to be scaled to conserve
momentum:
w0
i=wi
N
X
j=1
wjmj,N
X
j=1
w2
jmj(6.5)
where mjis the mass of atom jof the group. The mass of the group, required for calculating the
constraint force, is:
M=
N
X
i=1
w0
imi(6.6)

154 Chapter 6. Special Topics
The definition of the weighted center of mass is:
rcom =
N
X
i=1
w0
imiri,M(6.7)
From the centers of mass the AFM, constraint, or umbrella force Fcom on each group can be
calculated. The force on the center of mass of a group is redistributed to the atoms as follows:
Fi=w0
imi
MFcom (6.8)
Limitations
There is one important limitation: strictly speaking, constraint forces can only be calculated be-
tween groups that are not connected by constraints to the rest of the system. If a group contains
part of a molecule of which the bond lengths are constrained, the pull constraint and LINCS or
SHAKE bond constraint algorithms should be iterated simultaneously. This is not done in GRO-
MACS. This means that for simulations with constraints = all-bonds in the .mdp file
pulling is, strictly speaking, limited to whole molecules or groups of molecules. In some cases this
limitation can be avoided by using the free energy code, see sec. 6.6. In practice, the errors caused
by not iterating the two constraint algorithms can be negligible when the pull group consists of
a large amount of atoms and/or the pull force is small. In such cases, the constraint correction
displacement of the pull group is small compared to the bond lengths.
6.5 Enforced Rotation
This module can be used to enforce the rotation of a group of atoms, as e.g. a protein subunit.
There are a variety of rotation potentials, among them complex ones that allow flexible adaptations
of both the rotated subunit as well as the local rotation axis during the simulation. An example
application can be found in ref. [130].
6.5.1 Fixed Axis Rotation
Stationary Axis with an Isotropic Potential
In the fixed axis approach (see Fig. 6.3B), torque on a group of Natoms with positions xi(denoted
“rotation group”) is applied by rotating a reference set of atomic positions – usually their initial
positions y0
i– at a constant angular velocity ωaround an axis defined by a direction vector ˆ
vand
a pivot point u. To that aim, each atom with position xiis attracted by a “virtual spring” potential
to its moving reference position yi=Ω(t)(y0
i−u), where Ω(t)is a matrix that describes the
rotation around the axis. In the simplest case, the “springs” are described by a harmonic potential,
Viso =k
2
N
X
i=1
wihΩ(t)(y0
i−u)−(xi−u)i2,(6.9)

6.5. Enforced Rotation 155
Figure 6.3: Comparison of fixed and flexible axis rotation. A: Rotating the sketched shape inside
the white tubular cavity can create artifacts when a fixed rotation axis (dashed) is used. More
realistically, the shape would revolve like a flexible pipe-cleaner (dotted) inside the bearing (gray).
B: Fixed rotation around an axis vwith a pivot point specified by the vector u.C: Subdividing
the rotating fragment into slabs with separate rotation axes (↑) and pivot points (•) for each slab
allows for flexibility. The distance between two slabs with indices nand n+ 1 is ∆x.
with optional mass-weighted prefactors wi=N mi/M with total mass M=PN
i=1 mi. The
rotation matrix Ω(t)is
Ω(t) =
cos ωt +v2
xξ vxvyξ−vzsin ωt vxvzξ+vysin ωt
vxvyξ+vzsin ωt cos ωt +v2
yξ vyvzξ−vxsin ωt
vxvzξ−vysin ωt vyvzξ+vxsin ωt cos ωt +v2
zξ
,
where vx,vy, and vzare the components of the normalized rotation vector ˆ
v, and ξ:= 1−cos(ωt).
As illustrated in Fig. 6.4A for a single atom j, the rotation matrix Ω(t)operates on the initial
reference positions y0
j=xj(t0)of atom jat t=t0. At a later time t, the reference position has
rotated away from its initial place (along the blue dashed line), resulting in the force
Fiso
j=−∇jViso =k wjhΩ(t)(y0
j−u)−(xj−u)i,(6.10)
which is directed towards the reference position.
Pivot-Free Isotropic Potential
Instead of a fixed pivot vector uthis potential uses the center of mass xcof the rotation group as
pivot for the rotation axis,
xc=1
M
N
X
i=1
mixiand y0
c=1
M
N
X
i=1
miy0
i,(6.11)
which yields the “pivot-free” isotropic potential
Viso-pf =k
2
N
X
i=1
wihΩ(t)(y0
i−y0
c)−(xi−xc)i2,(6.12)

156 Chapter 6. Special Topics
Vrm,Vflex
V
iso
V
rm2,Vflex2 (=0.01 nm2
)
Vrm2,Vflex2 (= 0 nm2)
Figure 6.4: Selection of different rotation potentials and definition of notation. All four potentials
V(color coded) are shown for a single atom at position xj(t).A: Isotropic potential Viso,B:
radial motion potential Vrm and flexible potential Vflex,C–D: radial motion 2 potential Vrm2
and flexible 2 potential Vflex2 for 0= 0 nm2(C) and 0= 0.01 nm2(D). The rotation axis is
perpendicular to the plane and marked by ⊗. The light gray contours indicate Boltzmann factors
e−V/(kBT)in the xj-plane for T= 300 K and k= 200 kJ/(mol·nm2). The green arrow shows
the direction of the force Fjacting on atom j; the blue dashed line indicates the motion of the
reference position.

6.5. Enforced Rotation 157
with forces
Fiso-pf
j=k wjhΩ(t)(y0
j−y0
c)−(xj−xc)i.(6.13)
Without mass-weighting, the pivot xcis the geometrical center of the group.
Parallel Motion Potential Variant
The forces generated by the isotropic potentials (eqns. 6.9 and 6.12) also contain components
parallel to the rotation axis and thereby restrain motions along the axis of either the whole ro-
tation group (in case of Viso) or within the rotation group (in case of Viso-pf ). For cases where
unrestrained motion along the axis is preferred, we have implemented a “parallel motion” variant
by eliminating all components parallel to the rotation axis for the potential. This is achieved by
projecting the distance vectors between reference and actual positions
ri=Ω(t)(y0
i−u)−(xi−u)(6.14)
onto the plane perpendicular to the rotation vector,
r⊥
i:= ri−(ri·ˆ
v)ˆ
v,(6.15)
yielding
Vpm =k
2
N
X
i=1
wi(r⊥
i)2
=k
2
N
X
i=1
winΩ(t)(y0
i−u)−(xi−u)
−nhΩ(t)(y0
i−u)−(xi−u)i·ˆ
voˆ
vo2,(6.16)
and similarly
Fpm
j=k wjr⊥
j.(6.17)
Pivot-Free Parallel Motion Potential
Replacing in eqn. 6.16 the fixed pivot uby the center of mass xcyields the pivot-free variant of
the parallel motion potential. With
si=Ω(t)(y0
i−y0
c)−(xi−xc)(6.18)
the respective potential and forces are
Vpm-pf =k
2
N
X
i=1
wi(s⊥
i)2,(6.19)
Fpm-pf
j=k wjs⊥
j.(6.20)

158 Chapter 6. Special Topics
Radial Motion Potential
In the above variants, the minimum of the rotation potential is either a single point at the reference
position yi(for the isotropic potentials) or a single line through yiparallel to the rotation axis (for
the parallel motion potentials). As a result, radial forces restrict radial motions of the atoms. The
two subsequent types of rotation potentials, Vrm and Vrm2, drastically reduce or even eliminate
this effect. The first variant, Vrm (Fig. 6.4B), eliminates all force components parallel to the vector
connecting the reference atom and the rotation axis,
Vrm =k
2
N
X
i=1
wi[pi·(xi−u)]2,(6.21)
with
pi:= ˆ
v×Ω(t)(y0
i−u)
kˆ
v×Ω(t)(y0
i−u)k.(6.22)
This variant depends only on the distance pi·(xi−u)of atom ifrom the plane spanned by ˆ
vand
Ω(t)(y0
i−u). The resulting force is
Frm
j=−k wjhpj·(xj−u)ipj.(6.23)
Pivot-Free Radial Motion Potential
Proceeding similar to the pivot-free isotropic potential yields a pivot-free version of the above
potential. With
qi:= ˆ
v×Ω(t)(y0
i−y0
c)
kˆ
v×Ω(t)(y0
i−y0
c)k,(6.24)
the potential and force for the pivot-free variant of the radial motion potential read
Vrm-pf =k
2
N
X
i=1
wi[qi·(xi−xc)]2,(6.25)
Frm-pf
j=−k wjhqj·(xj−xc)iqj+kmj
M
N
X
i=1
wi[qi·(xi−xc)] qi.(6.26)
Radial Motion 2 Alternative Potential
As seen in Fig. 6.4B, the force resulting from Vrm still contains a small, second-order radial
component. In most cases, this perturbation is tolerable; if not, the following alternative, Vrm2,
fully eliminates the radial contribution to the force, as depicted in Fig. 6.4C,
Vrm2 =k
2
N
X
i=1
wi(ˆ
v×(xi−u)) ·Ω(t)(y0
i−u)2
kˆ
v×(xi−u)k2+0,(6.27)
where a small parameter 0has been introduced to avoid singularities. For 0= 0 nm2, the equipo-
tential planes are spanned by xi−uand ˆ
v, yielding a force perpendicular to xi−u, thus not
contracting or expanding structural parts that moved away from or toward the rotation axis.

6.5. Enforced Rotation 159
Choosing a small positive 0(e.g.,0= 0.01 nm2, Fig. 6.4D) in the denominator of eqn. 6.27 yields
a well-defined potential and continuous forces also close to the rotation axis, which is not the case
for 0= 0 nm2(Fig. 6.4C). With
ri:= Ω(t)(y0
i−u)(6.28)
si:= ˆ
v×(xi−u)
kˆ
v×(xi−u)k≡Ψiˆ
v×(xi−u)(6.29)
Ψ∗
i:= 1
kˆ
v×(xi−u)k2+0(6.30)
the force on atom jreads
Frm2
j=−k(wj(sj·rj)"Ψ∗
j
Ψ
j
rj−Ψ∗2
j
Ψ3
j
(sj·rj)sj#)׈
v.(6.31)
Pivot-Free Radial Motion 2 Potential
The pivot-free variant of the above potential is
Vrm2-pf =k
2
N
X
i=1
wi(ˆ
v×(xi−xc)) ·Ω(t)(y0
i−yc)2
kˆ
v×(xi−xc)k2+0.(6.32)
With
ri:= Ω(t)(y0
i−yc)(6.33)
si:= ˆ
v×(xi−xc)
kˆ
v×(xi−xc)k≡Ψiˆ
v×(xi−xc)(6.34)
Ψ∗
i:= 1
kˆ
v×(xi−xc)k2+0(6.35)
the force on atom jreads
Frm2-pf
j=−k(wj(sj·rj)"Ψ∗
j
Ψ
j
rj−Ψ∗2
j
Ψ3
j
(sj·rj)sj#)׈
v
+kmj
M(N
X
i=1
wi(si·ri)"Ψ∗
i
Ψi
ri−Ψ∗2
i
Ψ3
i
(si·ri)si#)׈
v.(6.36)
6.5.2 Flexible Axis Rotation
As sketched in Fig. 6.3A–B, the rigid body behavior of the fixed axis rotation scheme is a drawback
for many applications. In particular, deformations of the rotation group are suppressed when the
equilibrium atom positions directly depend on the reference positions. To avoid this limitation,
eqns. 6.26 and 6.32 will now be generalized towards a “flexible axis” as sketched in Fig. 6.3C. This
will be achieved by subdividing the rotation group into a set of equidistant slabs perpendicular to
the rotation vector, and by applying a separate rotation potential to each of these slabs. Fig. 6.3C
shows the midplanes of the slabs as dotted straight lines and the centers as thick black dots.

160 Chapter 6. Special Topics
Figure 6.5: Gaussian functions gncentered at n∆xfor a slab distance ∆x= 1.5nm and n≥ −2.
Gaussian function g0is highlighted in bold; the dashed line depicts the sum of the shown Gaussian
functions.
To avoid discontinuities in the potential and in the forces, we define “soft slabs” by weighing the
contributions of each slab nto the total potential function Vflex by a Gaussian function
gn(xi)=Γexp −β2
n(xi)
2σ2!,(6.37)
centered at the midplane of the nth slab. Here σis the width of the Gaussian function, ∆xthe
distance between adjacent slabs, and
βn(xi) := xi·ˆ
v−n∆x . (6.38)
A most convenient choice is σ= 0.7∆xand
1/Γ = X
n∈Z
exp −(n−1
4)2
2·0.72!≈1.75464 ,
which yields a nearly constant sum, essentially independent of xi(dashed line in Fig. 6.5), i.e.,
X
n∈Z
gn(xi) = 1 + (xi),(6.39)
with |(xi)|<1.3·10−4. This choice also implies that the individual contributions to the force
from the slabs add up to unity such that no further normalization is required.
To each slab center xn
c, all atoms contribute by their Gaussian-weighted (optionally also mass-
weighted) position vectors gn(xi)xi. The instantaneous slab centers xn
care calculated from the
current positions xi,
xn
c=PN
i=1 gn(xi)mixi
PN
i=1 gn(xi)mi
,(6.40)
while the reference centers yn
care calculated from the reference positions y0
i,
yn
c=PN
i=1 gn(y0
i)miy0
i
PN
i=1 gn(y0
i)mi
.(6.41)
Due to the rapid decay of gn, each slab will essentially involve contributions from atoms located
within ≈3∆xfrom the slab center only.

6.5. Enforced Rotation 161
Flexible Axis Potential
We consider two flexible axis variants. For the first variant, the slab segmentation procedure with
Gaussian weighting is applied to the radial motion potential (eqn. 6.26 / Fig. 6.4B), yielding as the
contribution of slab n
Vn=k
2
N
X
i=1
wign(xi) [qn
i·(xi−xn
c)]2,
and a total potential function
Vflex =X
n
Vn.(6.42)
Note that the global center of mass xcused in eqn. 6.26 is now replaced by xn
c, the center of mass
of the slab. With
qn
i:= ˆ
v×Ω(t)(y0
i−yn
c)
kˆ
v×Ω(t)(y0
i−yn
c)k(6.43)
bn
i:= qn
i·(xi−xn
c),(6.44)
the resulting force on atom jreads
Fflex
j=−k wjX
n
gn(xj)bn
jqn
j−bn
j
βn(xj)
2σ2ˆ
v
+k mjX
n
gn(xj)
Phgn(xh)
N
X
i=1
wign(xi)bn
iqn
i−βn(xj)
σ2[qn
i·(xj−xn
c)] ˆ
v.(6.45)
Note that for Vflex, as defined, the slabs are fixed in space and so are the reference centers yn
c. If
during the simulation the rotation group moves too far in vdirection, it may enter a region where
– due to the lack of nearby reference positions – no reference slab centers are defined, rendering
the potential evaluation impossible. We therefore have included a slightly modified version of
this potential that avoids this problem by attaching the midplane of slab n= 0 to the center of
mass of the rotation group, yielding slabs that move with the rotation group. This is achieved by
subtracting the center of mass xcof the group from the positions,
˜
xi=xi−xc,and ˜
y0
i=y0
i−y0
c,(6.46)
such that
Vflex-t =k
2X
n
N
X
i=1
wign(˜
xi)"ˆ
v×Ω(t)(˜
y0
i−˜
yn
c)
kˆ
v×Ω(t)(˜
y0
i−˜
yn
c)k·(˜
xi−˜
xn
c)#2
.(6.47)
To simplify the force derivation, and for efficiency reasons, we here assume xcto be constant, and
thus ∂xc/∂x =∂xc/∂y =∂xc/∂z = 0. The resulting force error is small (of order O(1/N)or
O(mj/M)if mass-weighting is applied) and can therefore be tolerated. With this assumption, the
forces Fflex-t have the same form as eqn. 6.45.

162 Chapter 6. Special Topics
Flexible Axis 2 Alternative Potential
In this second variant, slab segmentation is applied to Vrm2 (eqn. 6.32), resulting in a flexible axis
potential without radial force contributions (Fig. 6.4C),
Vflex2 =k
2
N
X
i=1 X
n
wign(xi)(ˆ
v×(xi−xn
c)) ·Ω(t)(y0
i−yn
c)2
kˆ
v×(xi−xn
c)k2+0.(6.48)
With
rn
i:= Ω(t)(y0
i−yn
c)(6.49)
sn
i:= ˆ
v×(xi−xn
c)
kˆ
v×(xi−xn
c)k≡ψiˆ
v×(xi−xn
c)(6.50)
ψ∗
i:= 1
kˆ
v×(xi−xn
c)k2+0(6.51)
Wn
j:= gn(xj)mj
Phgn(xh)mh
(6.52)
Sn:=
N
X
i=1
wign(xi) (sn
i·rn
i)"ψ∗
i
ψi
rn
i−ψ∗2
i
ψ3
i
(sn
i·rn
i)sn
i#(6.53)
the force on atom jreads
Fflex2
j=−k(X
n
wjgn(xj) (sn
j·rn
j)"ψ∗
j
ψj
rn
j−ψ∗2
j
ψ3
j
(sn
j·rn
j)sn
j#)׈
v
+k(X
n
Wn
jSn)׈
v−k(X
n
Wn
j
βn(xj)
σ2
1
ψj
sn
j·Sn)ˆ
v
+k
2(X
n
wjgn(xj)βn(xj)
σ2
ψ∗
j
ψ2
j
(sn
j·rn
j)2)ˆ
v.(6.54)
Applying transformation (6.46) yields a “translation-tolerant” version of the flexible 2 potential,
Vflex2-t. Again, assuming that ∂xc/∂x,∂xc/∂y,∂xc/∂z are small, the resulting equations for
Vflex2-t and Fflex2-t are similar to those of Vflex2 and Fflex2.
6.5.3 Usage
To apply enforced rotation, the particles ithat are to be subjected to one of the rotation potentials
are defined via index groups rot_group0,rot_group1, etc., in the .mdp input file. The
reference positions y0
iare read from a special .trr file provided to grompp. If no such file is
found, xi(t= 0) are used as reference positions and written to .trr such that they can be used for
subsequent setups. All parameters of the potentials such as k,0, etc. (Table 6.1) are provided as
.mdp parameters; rot_type selects the type of the potential. The option rot_massw allows
to choose whether or not to use mass-weighted averaging. For the flexible potentials, a cutoff
value gmin
n(typically gmin
n= 0.001) makes shure that only significant contributions to Vand F
are evaluated, i.e. terms with gn(x)< gmin
nare omitted. Table 6.2 summarizes observables that
are written to additional output files and which are described below.

6.5. Enforced Rotation 163
Table 6.1: Parameters used by the various rotation potentials. x’s indicate which parameter is
actually used for a given potential.
parameter kˆ
v u ω 0∆x gmin
n
.mdp input variable name k vec pivot rate eps slab dist min gauss
unit kJ
mol·nm2- nm ◦/ps nm2nm -
fixed axis potentials: eqn.
isotropic Viso (6.9)x x x x - - -
— pivot-free Viso-pf (6.12)x x -x- - -
parallel motion Vpm (6.16)x x x x - - -
— pivot-free Vpm-pf (6.20)x x -x- - -
radial motion Vrm (6.21)x x x x - - -
— pivot-free Vrm-pf (6.26)x x -x- - -
radial motion 2 Vrm2 (6.27)x x x x x - -
— pivot-free Vrm2-pf (6.32)x x -x x - -
flexible axis potentials: eqn.
flexible Vflex (6.42)x x -x-x x
— transl. tol. Vflex-t (6.47)x x -x-x x
flexible 2 Vflex2 (6.48)x x -x x x x
— transl. tol. Vflex2-t -x x -x x x x
Table 6.2: Quantities recorded in output files during enforced rotation simulations. All slab-wise
data is written every nstsout steps, other rotation data every nstrout steps.
quantity unit equation output file fixed flexible
V(t)kJ/mol see 6.1 rotation x x
θref (t)degrees θref (t) = ωt rotation x x
θav(t)degrees (6.55)rotation x-
θfit(t),θfit(t, n)degrees (6.57)rotangles -x
y0(n),x0(t, n)nm (6.40,6.41)rotslabs -x
τ(t)kJ/mol (6.58)rotation x-
τ(t, n)kJ/mol (6.58)rottorque -x

164 Chapter 6. Special Topics
Angle of Rotation Groups: Fixed Axis
For fixed axis rotation, the average angle θav(t)of the group relative to the reference group is
determined via the distance-weighted angular deviation of all rotation group atoms from their
reference positions,
θav =
N
X
i=1
riθi,N
X
i=1
ri.(6.55)
Here, riis the distance of the reference position to the rotation axis, and the difference angles θi
are determined from the atomic positions, projected onto a plane perpendicular to the rotation axis
through pivot point u(see eqn. 6.15 for the definition of ⊥),
cos θi=(yi−u)⊥·(xi−u)⊥
k(yi−u)⊥·(xi−u)⊥k.(6.56)
The sign of θav is chosen such that θav >0if the actual structure rotates ahead of the reference.
Angle of Rotation Groups: Flexible Axis
For flexible axis rotation, two outputs are provided, the angle of the entire rotation group, and
separate angles for the segments in the slabs. The angle of the entire rotation group is determined
by an RMSD fit of xito the reference positions y0
iat t= 0, yielding θfit as the angle by which
the reference has to be rotated around ˆ
vfor the optimal fit,
RMSD(xi,Ω(θfit)y0
i)!
= min .(6.57)
To determine the local angle for each slab n, both reference and actual positions are weighted with
the Gaussian function of slab n, and θfit(t, n)is calculated as in eqn. 6.57) from the Gaussian-
weighted positions.
For all angles, the .mdp input option rot_fit_method controls whether a normal RMSD fit
is performed or whether for the fit each position xiis put at the same distance to the rotation axis
as its reference counterpart y0
i. In the latter case, the RMSD measures only angular differences,
not radial ones.
Angle Determination by Searching the Energy Minimum
Alternatively, for rot_fit_method = potential, the angle of the rotation group is deter-
mined as the angle for which the rotation potential energy is minimal. Therefore, the used rotation
potential is additionally evaluated for a set of angles around the current reference angle. In this
case, the rotangles.log output file contains the values of the rotation potential at the chosen
set of angles, while rotation.xvg lists the angle with minimal potential energy.
Torque
The torque τ(t)exerted by the rotation potential is calculated for fixed axis rotation via
τ(t) =
N
X
i=1
ri(t)×f⊥
i(t),(6.58)

6.6. Calculating a PMF using the free-energy code 165
where ri(t)is the distance vector from the rotation axis to xi(t)and f⊥
i(t)is the force component
perpendicular to ri(t)and ˆ
v. For flexible axis rotation, torques τnare calculated for each slab
using the local rotation axis of the slab and the Gaussian-weighted positions.
6.6 Calculating a PMF using the free-energy code
The free-energy coupling-parameter approach (see sec. 3.12) provides several ways to calculate
potentials of mean force. A potential of mean force between two atoms can be calculated by
connecting them with a harmonic potential or a constraint. For this purpose there are special
potentials that avoid the generation of extra exclusions, see sec. 5.4. When the position of the
minimum or the constraint length is 1 nm more in state B than in state A, the restraint or constraint
force is given by ∂H/∂λ. The distance between the atoms can be changed as a function of λand
time by setting delta-lambda in the .mdp file. The results should be identical (although not
numerically due to the different implementations) to the results of the pull code with umbrella
sampling and constraint pulling. Unlike the pull code, the free energy code can also handle atoms
that are connected by constraints.
Potentials of mean force can also be calculated using position restraints. With position restraints,
atoms can be linked to a position in space with a harmonic potential (see 4.3.1). These positions
can be made a function of the coupling parameter λ. The positions for the A and the B states are
supplied to grompp with the -r and -rb options, respectively. One could use this approach to
do targeted MD; note that we do not encourage the use of targeted MD for proteins. A protein
can be forced from one conformation to another by using these conformations as position restraint
coordinates for state A and B. One can then slowly change λfrom 0 to 1. The main drawback of
this approach is that the conformational freedom of the protein is severely limited by the position
restraints, independent of the change from state A to B. Also, the protein is forced from state A to
B in an almost straight line, whereas the real pathway might be very different. An example of a
more fruitful application is a solid system or a liquid confined between walls where one wants to
measure the force required to change the separation between the boundaries or walls. Because the
boundaries (or walls) already need to be fixed, the position restraints do not limit the system in its
sampling.
6.7 Removing fastest degrees of freedom
The maximum time step in MD simulations is limited by the smallest oscillation period that can
be found in the simulated system. Bond-stretching vibrations are in their quantum-mechanical
ground state and are therefore better represented by a constraint instead of a harmonic potential.
For the remaining degrees of freedom, the shortest oscillation period (as measured from a simu-
lation) is 13 fs for bond-angle vibrations involving hydrogen atoms. Taking as a guideline that
with a Verlet (leap-frog) integration scheme a minimum of 5 numerical integration steps should be
performed per period of a harmonic oscillation in order to integrate it with reasonable accuracy,
the maximum time step will be about 3 fs. Disregarding these very fast oscillations of period 13 fs,
the next shortest periods are around 20 fs, which will allow a maximum time step of about 4 fs.
Removing the bond-angle degrees of freedom from hydrogen atoms can best be done by defining

166 Chapter 6. Special Topics
them as virtual interaction sites instead of normal atoms. Whereas a normal atom is connected
to the molecule with bonds, angles and dihedrals, a virtual site’s position is calculated from the
position of three nearby heavy atoms in a predefined manner (see also sec. 4.7). For the hydrogens
in water and in hydroxyl, sulfhydryl, or amine groups, no degrees of freedom can be removed,
because rotational freedom should be preserved. The only other option available to slow down
these motions is to increase the mass of the hydrogen atoms at the expense of the mass of the
connected heavy atom. This will increase the moment of inertia of the water molecules and the
hydroxyl, sulfhydryl, or amine groups, without affecting the equilibrium properties of the system
and without affecting the dynamical properties too much. These constructions will shortly be
described in sec. 6.7.1 and have previously been described in full detail [131].
Using both virtual sites and modified masses, the next bottleneck is likely to be formed by the
improper dihedrals (which are used to preserve planarity or chirality of molecular groups) and the
peptide dihedrals. The peptide dihedral cannot be changed without affecting the physical behavior
of the protein. The improper dihedrals that preserve planarity mostly deal with aromatic residues.
Bonds, angles, and dihedrals in these residues can also be replaced with somewhat elaborate virtual
site constructions.
All modifications described in this section can be performed using the GROMACS topology build-
ing tool pdb2gmx. Separate options exist to increase hydrogen masses, virtualize all hydrogen
atoms, or also virtualize all aromatic residues. Note that when all hydrogen atoms are virtual-
ized, those inside the aromatic residues will be virtualized as well, i.e. hydrogens in the aromatic
residues are treated differently depending on the treatment of the aromatic residues.
Parameters for the virtual site constructions for the hydrogen atoms are inferred from the force
field parameters (vis. bond lengths and angles) directly by grompp while processing the topology
file. The constructions for the aromatic residues are based on the bond lengths and angles for the
geometry as described in the force fields, but these parameters are hard-coded into pdb2gmx due
to the complex nature of the construction needed for a whole aromatic group.
6.7.1 Hydrogen bond-angle vibrations
Construction of virtual sites
The goal of defining hydrogen atoms as virtual sites is to remove all high-frequency degrees of
freedom from them. In some cases, not all degrees of freedom of a hydrogen atom should be
removed, e.g. in the case of hydroxyl or amine groups the rotational freedom of the hydrogen
atom(s) should be preserved. Care should be taken that no unwanted correlations are introduced
by the construction of virtual sites, e.g. bond-angle vibration between the constructing atoms could
translate into hydrogen bond-length vibration. Additionally, since virtual sites are by definition
massless, in order to preserve total system mass, the mass of each hydrogen atom that is treated as
virtual site should be added to the bonded heavy atom.
Taking into account these considerations, the hydrogen atoms in a protein naturally fall into several
categories, each requiring a different approach (see also Fig. 6.6).
•hydroxyl (-OH) or sulfhydryl (-SH) hydrogen: The only internal degree of freedom in a
hydroxyl group that can be constrained is the bending of the C-O-H angle. This angle is

6.7. Removing fastest degrees of freedom 167
D
d
α
d
B
A C
Figure 6.6: The different types of virtual site constructions used for hydrogen atoms. The atoms
used in the construction of the virtual site(s) are depicted as black circles, virtual sites as gray
ones. Hydrogens are smaller than heavy atoms. A: fixed bond angle, note that here the hydrogen
is not a virtual site; B: in the plane of three atoms, with fixed distance; C: in the plane of three
atoms, with fixed angle and distance; D: construction for amine groups (-NH2or -NH+
3), see text
for details.
fixed by defining an additional bond of appropriate length, see Fig. 6.6A. Doing so removes
the high-frequency angle bending, but leaves the dihedral rotational freedom. The same
goes for a sulfhydryl group. Note that in these cases the hydrogen is not treated as a virtual
site.
•single amine or amide (-NH-) and aromatic hydrogens (-CH-): The position of these hy-
drogens cannot be constructed from a linear combination of bond vectors, because of the
flexibility of the angle between the heavy atoms. Instead, the hydrogen atom is positioned
at a fixed distance from the bonded heavy atom on a line going through the bonded heavy
atom and a point on the line through both second bonded atoms, see Fig. 6.6B.
•planar amine (-NH2) hydrogens: The method used for the single amide hydrogen is not well
suited for planar amine groups, because no suitable two heavy atoms can be found to define
the direction of the hydrogen atoms. Instead, the hydrogen is constructed at a fixed distance
from the nitrogen atom, with a fixed angle to the carbon atom, in the plane defined by one
of the other heavy atoms, see Fig. 6.6C.
•amine group (umbrella -NH2or -NH+
3) hydrogens: Amine hydrogens with rotational free-
dom cannot be constructed as virtual sites from the heavy atoms they are connected to, since
this would result in loss of the rotational freedom of the amine group. To preserve the rota-
tional freedom while removing the hydrogen bond-angle degrees of freedom, two “dummy
masses” are constructed with the same total mass, moment of inertia (for rotation around
the C-N bond) and center of mass as the amine group. These dummy masses have no in-
teraction with any other atom, except for the fact that they are connected to the carbon and
to each other, resulting in a rigid triangle. From these three particles, the positions of the
nitrogen and hydrogen atoms are constructed as linear combinations of the two carbon-mass
vectors and their outer product, resulting in an amine group with rotational freedom intact,
but without other internal degrees of freedom. See Fig. 6.6D.

168 Chapter 6. Special Topics
ε
η
ζ
δ
ε
γ
ε
δ ε
δ
ε
δ
γ
ζ
ε
η
ε
δ
γ
Phe Tyr HisTrp
ζ
ε
ζ
ε
δ
γ
δδ
Figure 6.7: The different types of virtual site constructions used for aromatic residues. The atoms
used in the construction of the virtual site(s) are depicted as black circles, virtual sites as gray ones.
Hydrogens are smaller than heavy atoms. A: phenylalanine; B: tyrosine (note that the hydroxyl
hydrogen is not a virtual site); C: tryptophan; D: histidine.
6.7.2 Out-of-plane vibrations in aromatic groups
The planar arrangements in the side chains of the aromatic residues lends itself perfectly to a
virtual-site construction, giving a perfectly planar group without the inherently unstable con-
straints that are necessary to keep normal atoms in a plane. The basic approach is to define three
atoms or dummy masses with constraints between them to fix the geometry and create the rest of
the atoms as simple virtual sites type (see sec. 4.7) from these three. Each of the aromatic residues
require a different approach:
•Phenylalanine: Cγ,C1, and C2are kept as normal atoms, but with each a mass of one
third the total mass of the phenyl group. See Fig. 6.6A.
•Tyrosine: The ring is treated identically to the phenylalanine ring. Additionally, constraints
are defined between C1,C2, and Oη. The original improper dihedral angles will keep both
triangles (one for the ring and one with Oη) in a plane, but due to the larger moments of
inertia this construction will be much more stable. The bond-angle in the hydroxyl group
will be constrained by a constraint between Cγand Hη.Note that the hydrogen is not treated
as a virtual site. See Fig. 6.6B.
•Tryptophan: Cβis kept as a normal atom and two dummy masses are created at the center
of mass of each of the rings, each with a mass equal to the total mass of the respective ring
(Cδ2and C2are each counted half for each ring). This keeps the overall center of mass and
the moment of inertia almost (but not quite) equal to what it was. See Fig. 6.6C.
•Histidine: Cγ,C1and N2are kept as normal atoms, but with masses redistributed such
that the center of mass of the ring is preserved. See Fig. 6.6D.
6.8 Viscosity calculation
The shear viscosity is a property of liquids that can be determined easily by experiment. It is useful
for parameterizing a force field because it is a kinetic property, while most other properties which
are used for parameterization are thermodynamic. The viscosity is also an important property,
since it influences the rates of conformational changes of molecules solvated in the liquid.

6.8. Viscosity calculation 169
The viscosity can be calculated from an equilibrium simulation using an Einstein relation:
η=1
2
V
kBTlim
t→∞
d
dt*Zt0+t
t0
Pxz(t0)dt02+t0
(6.59)
This can be done with g_energy. This method converges very slowly [132], and as such a
nanosecond simulation might not be long enough for an accurate determination of the viscosity.
The result is very dependent on the treatment of the electrostatics. Using a (short) cut-off results
in large noise on the off-diagonal pressure elements, which can increase the calculated viscosity
by an order of magnitude.
GROMACS also has a non-equilibrium method for determining the viscosity [132]. This makes
use of the fact that energy, which is fed into system by external forces, is dissipated through viscous
friction. The generated heat is removed by coupling to a heat bath. For a Newtonian liquid adding
a small force will result in a velocity gradient according to the following equation:
ax(z) + η
ρ
∂2vx(z)
∂z2= 0 (6.60)
Here we have applied an acceleration ax(z)in the x-direction, which is a function of the z-
coordinate. In GROMACS the acceleration profile is:
ax(z) = Acos 2πz
lz(6.61)
where lzis the height of the box. The generated velocity profile is:
vx(z) = Vcos 2πz
lz(6.62)
V=Aρ
ηlz
2π2
(6.63)
The viscosity can be calculated from Aand V:
η=A
Vρlz
2π2
(6.64)
In the simulation Vis defined as:
V=
N
X
i=1
mivi,x2 cos 2πz
lz
N
X
i=1
mi
(6.65)
The generated velocity profile is not coupled to the heat bath. Moreover, the velocity profile is
excluded from the kinetic energy. One would like Vto be as large as possible to get good statistics.
However, the shear rate should not be so high that the system gets too far from equilibrium. The
maximum shear rate occurs where the cosine is zero, the rate being:
shmax = max
z
∂vx(z)
∂z =Aρ
η
lz
2π(6.66)

170 Chapter 6. Special Topics
For a simulation with: η= 10−3[kg m−1s−1], ρ= 103[kg m−3] and lz= 2π[nm], shmax =
1[ps nm−1]A. This shear rate should be smaller than one over the longest correlation time in
the system. For most liquids, this will be the rotation correlation time, which is around 10 ps. In
this case, Ashould be smaller than 0.1 [nm ps−2]. When the shear rate is too high, the observed
viscosity will be too low. Because Vis proportional to the square of the box height, the optimal
box is elongated in the z-direction. In general, a simulation length of 100 ps is enough to obtain
an accurate value for the viscosity.
The heat generated by the viscous friction is removed by coupling to a heat bath. Because this
coupling is not instantaneous the real temperature of the liquid will be slightly lower than the
observed temperature. Berendsen derived this temperature shift [29], which can be written in
terms of the shear rate as:
Ts=η τ
2ρ Cv
sh2
max (6.67)
where τis the coupling time for the Berendsen thermostat and Cvis the heat capacity. Using
the values of the example above, τ= 10−13 [s] and Cv= 2 ·103[J kg−1K−1], we get: Ts=
25 [K ps−2] sh2
max. When we want the shear rate to be smaller than 1/10 [ps−1], Tsis smaller than
0.25 [K], which is negligible.
Note that the system has to build up the velocity profile when starting from an equilibrium state.
This build-up time is of the order of the correlation time of the liquid.
Two quantities are written to the energy file, along with their averages and fluctuations: Vand
1/η, as obtained from (6.64).
6.9 Tabulated interaction functions
6.9.1 Cubic splines for potentials
In some of the inner loops of GROMACS, look-up tables are used for computation of potential
and forces. The tables are interpolated using a cubic spline algorithm. There are separate tables
for electrostatic, dispersion, and repulsion interactions, but for the sake of caching performance
these have been combined into a single array. The cubic spline interpolation for xi≤x < xi+1
looks like this:
Vs(x) = A0+A1+A22+A33(6.68)
where the table spacing hand fraction are given by:
h=xi+1 −xi(6.69)
= (x−xi)/h (6.70)
so that 0≤ < 1. From this, we can calculate the derivative in order to determine the forces:
−V0
s(x) = −dVs(x)
d
d
dx=−(A1+ 2A2+ 3A32)/h (6.71)
The four coefficients are determined from the four conditions that Vsand −V0
sat both ends of each
interval should match the exact potential Vand force −V0. This results in the following errors for

6.9. Tabulated interaction functions 171
each interval:
|Vs−V|max =V0000 h4
384 +O(h5)(6.72)
|V0
s−V0|max =V0000 h3
72√3+O(h4)(6.73)
|V00
s−V00|max =V0000 h2
12 +O(h3)(6.74)
V and V’ are continuous, while V” is the first discontinuous derivative. The number of points per
nanometer is 500 and 2000 for single- and double-precision versions of GROMACS, respectively.
This means that the errors in the potential and force will usually be smaller than the single precision
accuracy.
GROMACS stores A0,A1,A2and A3. The force routines get a table with these four parameters
and a scaling factor sthat is equal to the number of points per nm. (Note that his s−1). The
algorithm goes a little something like this:
1. Calculate distance vector (rij ) and distance rij
2. Multiply rij by sand truncate to an integer value n0to get a table index
3. Calculate fractional component (=srij −n0) and 2
4. Do the interpolation to calculate the potential Vand the scalar force f
5. Calculate the vector force Fby multiplying fwith rij
Note that table look-up is significantly slower than computation of the most simple Lennard-Jones
and Coulomb interaction. However, it is much faster than the shifted Coulomb function used in
conjunction with the PPPM method. Finally, it is much easier to modify a table for the potential
(and get a graphical representation of it) than to modify the inner loops of the MD program.
6.9.2 User-specified potential functions
You can also use your own s without editing the GROMACS code. The potential function should
be according to the following equation
V(rij) = qiqj
4π0
f(rij) + C6g(rij ) + C12 h(rij )(6.75)
where f,g, and hare user defined functions. Note that if g(r)represents a normal dispersion
interaction, g(r)should be <0. C6, C12 and the charges are read from the topology. Also note
that combination rules are only supported for Lennard-Jones and Buckingham, and that your tables
should match the parameters in the binary topology.
When you add the following lines in your .mdp file:
rlist = 1.0
coulombtype = User
rcoulomb = 1.0
vdwtype = User
rvdw = 1.0

172 Chapter 6. Special Topics
mdrun will read a single non-bonded table file, or multiple when energygrp-table is set (see
below). The name of the file(s) can be set with the mdrun option -table. The table file should
contain seven columns of table look-up data in the order: x,f(x),−f0(x),g(x),−g0(x),h(x),
−h0(x). The xshould run from 0 to rc+ 1 (the value of table_extension can be changed
in the .mdp file). You can choose the spacing you like; for the standard tables GROMACS uses a
spacing of 0.002 and 0.0005 nm when you run in single and double precision, respectively. In this
context, rcdenotes the maximum of the two cut-offs rvdw and rcoulomb (see above). These
variables need not be the same (and need not be 1.0 either). Some functions used for potentials
contain a singularity at x= 0, but since atoms are normally not closer to each other than 0.1 nm,
the function value at x= 0 is not important. Finally, it is also possible to combine a standard
Coulomb with a modified LJ potential (or vice versa). One then specifies e.g. coulombtype =
Cut-off or coulombtype = PME, combined with vdwtype = User. The table file must
always contain the 7 columns however, and meaningful data (i.e. not zeroes) must be entered in
all columns. A number of pre-built table files can be found in the GMXLIB directory for 6-8, 6-9,
6-10, 6-11, and 6-12 Lennard-Jones potentials combined with a normal Coulomb.
If you want to have different functional forms between different groups of atoms, this can be set
through energy groups. Different tables can be used for non-bonded interactions between different
energy groups pairs through the .mdp option energygrp-table (see sec. 7.3). Atoms that
should interact with a different potential should be put into different energy groups. Between
group pairs which are not listed in energygrp-table, the normal user tables will be used.
This makes it easy to use a different functional form between a few types of atoms.
6.10 Mixed Quantum-Classical simulation techniques
In a molecular mechanics (MM) force field, the influence of electrons is expressed by empirical
parameters that are assigned on the basis of experimental data, or on the basis of results from
high-level quantum chemistry calculations. These are valid for the ground state of a given covalent
structure, and the MM approximation is usually sufficiently accurate for ground-state processes
in which the overall connectivity between the atoms in the system remains unchanged. However,
for processes in which the connectivity does change, such as chemical reactions, or processes that
involve multiple electronic states, such as photochemical conversions, electrons can no longer be
ignored, and a quantum mechanical description is required for at least those parts of the system in
which the reaction takes place.
One approach to the simulation of chemical reactions in solution, or in enzymes, is to use a com-
bination of quantum mechanics (QM) and molecular mechanics (MM). The reacting parts of the
system are treated quantum mechanically, with the remainder being modeled using the force field.
The current version of GROMACS provides interfaces to several popular Quantum Chemistry
packages (MOPAC [133], GAMESS-UK [134], Gaussian [135] and CPMD [136]).
GROMACS interactions between the two subsystems are either handled as described by Field et
al. [137] or within the ONIOM approach by Morokuma and coworkers [138,139].

6.10. Mixed Quantum-Classical simulation techniques 173
6.10.1 Overview
Two approaches for describing the interactions between the QM and MM subsystems are sup-
ported in this version:
1. Electronic Embedding The electrostatic interactions between the electrons of the QM re-
gion and the MM atoms and between the QM nuclei and the MM atoms are included in the
Hamiltonian for the QM subsystem:
HQM/MM =HQM
e−
n
X
i
M
X
J
e2QJ
4π0riJ
+
N
X
A
M
X
J
e2ZAQJ
eπ0RAJ
,(6.76)
where nand Nare the number of electrons and nuclei in the QM region, respectively,
and Mis the number of charged MM atoms. The first term on the right hand side is the
original electronic Hamiltonian of an isolated QM system. The first of the double sums is
the total electrostatic interaction between the QM electrons and the MM atoms. The total
electrostatic interaction of the QM nuclei with the MM atoms is given by the second double
sum. Bonded interactions between QM and MM atoms are described at the MM level by the
appropriate force field terms. Chemical bonds that connect the two subsystems are capped
by a hydrogen atom to complete the valence of the QM region. The force on this atom,
which is present in the QM region only, is distributed over the two atoms of the bond. The
cap atom is usually referred to as a link atom.
2. ONIOM In the ONIOM approach, the energy and gradients are first evaluated for the iso-
lated QM subsystem at the desired level of ab initio theory. Subsequently, the energy and
gradients of the total system, including the QM region, are computed using the molecular
mechanics force field and added to the energy and gradients calculated for the isolated QM
subsystem. Finally, in order to correct for counting the interactions inside the QM region
twice, a molecular mechanics calculation is performed on the isolated QM subsystem and
the energy and gradients are subtracted. This leads to the following expression for the total
QM/MM energy (and gradients likewise):
Etot =EQM
I+EMM
I+II −EMM
I,(6.77)
where the subscripts I and II refer to the QM and MM subsystems, respectively. The su-
perscripts indicate at what level of theory the energies are computed. The ONIOM scheme
has the advantage that it is not restricted to a two-layer QM/MM description, but can easily
handle more than two layers, with each layer described at a different level of theory.
6.10.2 Usage
To make use of the QM/MM functionality in GROMACS, one needs to:
1. introduce link atoms at the QM/MM boundary, if needed;
2. specify which atoms are to be treated at a QM level;
3. specify the QM level, basis set, type of QM/MM interface and so on.

174 Chapter 6. Special Topics
Adding link atoms
At the bond that connects the QM and MM subsystems, a link atoms is introduced. In GROMACS
the link atom has special atomtype, called LA. This atomtype is treated as a hydrogen atom in the
QM calculation, and as a virtual site in the force field calculation. The link atoms, if any, are part
of the system, but have no interaction with any other atom, except that the QM force working on
it is distributed over the two atoms of the bond. In the topology, the link atom (LA), therefore, is
defined as a virtual site atom:
[ virtual_sites2 ]
LA QMatom MMatom 1 0.65
See sec. 5.2.2 for more details on how virtual sites are treated. The link atom is replaced at every
step of the simulation.
In addition, the bond itself is replaced by a constraint:
[ constraints ]
QMatom MMatom 2 0.153
Note that, because in our system the QM/MM bond is a carbon-carbon bond (0.153 nm), we use
a constraint length of 0.153 nm, and dummy position of 0.65. The latter is the ratio between the
ideal C-H bond length and the ideal C-C bond length. With this ratio, the link atom is always
0.1 nm away from the QMatom, consistent with the carbon-hydrogen bond length. If the QM and
MM subsystems are connected by a different kind of bond, a different constraint and a different
dummy position, appropriate for that bond type, are required.
Specifying the QM atoms
Atoms that should be treated at a QM level of theory, including the link atoms, are added to the
index file. In addition, the chemical bonds between the atoms in the QM region are to be defined
as connect bonds (bond type 5) in the topology file:
[ bonds ]
QMatom1 QMatom2 5
QMatom2 QMatom3 5
Specifying the QM/MM simulation parameters
In the .mdp file, the following parameters control a QM/MM simulation.
QMMM = no
If this is set to yes, a QM/MM simulation is requested. Several groups of atoms can be
described at different QM levels separately. These are specified in the QMMM-grps field
separated by spaces. The level of ab initio theory at which the groups are described is
specified by QMmethod and QMbasis Fields. Describing the groups at different levels of
theory is only possible with the ONIOM QM/MM scheme, specified by QMMMscheme.

6.10. Mixed Quantum-Classical simulation techniques 175
QMMM-grps =
groups to be described at the QM level
QMMMscheme = normal
Options are normal and ONIOM. This selects the QM/MM interface. normal implies
that the QM subsystem is electronically embedded in the MM subsystem. There can only
be one QMMM-grps that is modeled at the QMmethod and QMbasis level of ab initio
theory. The rest of the system is described at the MM level. The QM and MM subsystems
interact as follows: MM point charges are included in the QM one-electron Hamiltonian
and all Lennard-Jones interactions are described at the MM level. If ONIOM is selected, the
interaction between the subsystem is described using the ONIOM method by Morokuma
and co-workers. There can be more than one QMMM-grps each modeled at a different level
of QM theory (QMmethod and QMbasis).
QMmethod =
Method used to compute the energy and gradients on the QM atoms. Available meth-
ods are AM1, PM3, RHF, UHF, DFT, B3LYP, MP2, CASSCF, MMVB and CPMD. For
CASSCF, the number of electrons and orbitals included in the active space is specified by
CASelectrons and CASorbitals. For CPMD, the plane-wave cut-off is specified by
the planewavecutoff keyword.
QMbasis =
Gaussian basis set used to expand the electronic wave-function. Only Gaussian basis sets
are currently available, i.e. STO-3G, 3-21G, 3-21G*, 3-21+G*, 6-21G, 6-31G, 6-31G*,
6-31+G*, and 6-311G. For CPMD, which uses plane wave expansion rather than atom-
centered basis functions, the planewavecutoff keyword controls the plane wave ex-
pansion.
QMcharge =
The total charge in eof the QMMM-grps. In case there are more than one QMMM-grps, the
total charge of each ONIOM layer needs to be specified separately.
QMmult =
The multiplicity of the QMMM-grps. In case there are more than one QMMM-grps, the
multiplicity of each ONIOM layer needs to be specified separately.
CASorbitals =
The number of orbitals to be included in the active space when doing a CASSCF computa-
tion.
CASelectrons =
The number of electrons to be included in the active space when doing a CASSCF compu-
tation.
SH = no
If this is set to yes, a QM/MM MD simulation on the excited state-potential energy surface
and enforce a diabatic hop to the ground-state when the system hits the conical intersection
hyperline in the course the simulation. This option only works in combination with the
CASSCF method.

176 Chapter 6. Special Topics
6.10.3 Output
The energies and gradients computed in the QM calculation are added to those computed by GRO-
MACS. In the .edr file there is a section for the total QM energy.
6.10.4 Future developments
Several features are currently under development to increase the accuracy of the QM/MM inter-
face. One useful feature is the use of delocalized MM charges in the QM computations. The most
important benefit of using such smeared-out charges is that the Coulombic potential has a finite
value at interatomic distances. In the point charge representation, the partially-charged MM atoms
close to the QM region tend to “over-polarize” the QM system, which leads to artifacts in the
calculation.
What is needed as well is a transition state optimizer.
6.11 Adaptive Resolution Scheme
The adaptive resolution scheme [140,141] (AdResS) couples two systems with different reso-
lutions by a force interpolation scheme. In contrast to the mixed Quantum-Classical simulation
techniques of the previous section, the number of high resolution particles is not fixed, but can
vary over the simulation time.
Below we discuss AdResS for a double resolution (atomistic and coarse grained) representation
of the same system. See Fig. 6.8 for illustration. The details of implementation described in this
section were published in [142,143].
Every molecule needs a well-defined mapping point (usually the center of mass) but any other
linear combination of particle coordinates is also sufficient. In the topology the mapping point
is defined by a virtual site. The forces in the coarse-grained region are functions of the mapping
point positions only. In this implementation molecules are modeled by charge groups or sets of
charge groups, which actually allows one to have multiple mapping points per molecule. This
can be useful for bigger molecules like polymers. In that case one has to also extend the AdResS
description to bonded interactions [144], which will be implemented into GROMACSin one of the
future versions.
The force between two molecules is given by [140]1:
~
Fαβ =wαwβ~
Fex,mol
αβ + [1 −wαwβ]~
Fcg,mol
αβ ,(6.78)
where αand βlabel the two molecules and wα,wβare the adaptive weights of the two molecules.
The first part, which represents the explicit interaction of the molecules, can be written as:
~
Fex,mol
αβ =X
i∈αX
j∈β
~
Fex
ij ,(6.79)
1Note that the equation obeys Newton’s third law, which is not the case for other interpolation schemes [145].

6.11. Adaptive Resolution Scheme 177
Figure 6.8: A schematic illustration of the AdResS method for water.
where ~
Fex
ij is the force between the ith atom in αth molecule and the jth atom in the βth molecule,
which is given by an explicit force field. The second part of eqn. 6.78 comes from the coarse-
grained interaction of the molecules. In GROMACSa slightly extended case is implemented:
~
Fαβ =X
i∈αX
j∈β
wiwj~
Fex
ij + [1 −wαwβ]~
Fcg,mol
αβ ,(6.80)
where wiand wjare atom-wise weights, which are determined by the adress-site option. For
adress-site being the center of mass, atom ihas the weight of the center of mass of its charge
group. The weight wαof molecule αis determined by the position of coarse-grained particle,
which is constructed as a virtual site from the atomistic particles as specified in the topology.
This extension allows one to perform all kind of AdResS variations, but the common case can be
recovered by using a center of mass virtual site in the topology, adress-site=COM and putting
all atoms (except the virtual site representing the coarse-grained interaction) of a molecule into
one charge group. For big molecules, it is sometimes useful to use an atom-based weight, which
can be either be achieved by setting adress-site=atomperatom or putting every atom into
a separate charge group (the center of mass of a charge group with one atom is the atom itself).
The coarse-grained force field ~
Fcg is usually derived from the atomistic system by structure-based
coarse-graining (see sec. 4.10.6). To specify which atoms belong to a coarse-grained represen-
tation, energy groups are used. Each coarse-grained interaction has to be associated with a spe-
cific energy group, which is why the virtual sites representing the coarse-grained interactions also
have to be in different charge groups. The energy groups which are treated as coarse-grained
interactions are then listed in adress_cg_grp_names. The most important element of this

178 Chapter 6. Special Topics
interpolation (see eqn. 6.78 and eqn. 6.80) is the adaptive weighting function (for illustration see
Fig. 6.8):
w(x) =
1 : atomistic/explicit region
0< w < 1 : hybrid region
0 : coarse −grained region
,(6.81)
which has a value between 0 and 1. This definition of wgives a purely explicit force in the explicit
region and a purely coarse-grained force in the coarse-grained region, so essentially eqn. 6.78
only the hybrid region has mixed interactions which would not appear in a standard simulation. In
GROMACS, a cos2-like function is implemented as a weighting function:
w(x) =
0 : x> dex +dhy
cos2π
2dhy (x−dex):dex +dhy >x> dex
1 : dex >x
,(6.82)
where dex and dhy are the sizes of the explicit and the hybrid region, respectively. Depending on
the physical interest of the research, other functions could be implemented as long as the following
boundary conditions are fulfilled: The function is 1) continuous, 2) monotonic and 3) has zero
derivatives at the boundaries. Spherical and one-dimensional splitting of the simulation box has
been implemented (adress-type option) and depending on this, the distance xto the center of
the explicit region is calculated as follows:
x=(|(~
Rα−~
Rct)·ˆe|: splitting in ˆedirection
|~
Rα−~
Rct|: spherical splitting ,(6.83)
where ~
Rct is the center of the explicit zone (defined by adress-reference-coords option).
~
Rαis the mapping point of the αth molecule. For the center of mass mapping, it is given by:
Rα=Pi∈αmiri
Pi∈αmi
(6.84)
Note that the value of the weighting function depends exclusively on the mapping of the molecule.
The interpolation of forces (see eqn. 6.80) can produce inhomogeneities in the density and affect
the structure of the system in the hybrid region.
One way of reducing the density inhomogeneities is by the application of the so-called thermo-
dynamic force (TF) [146]. Such a force consists of a space-dependent external field applied in
the hybrid region on the coarse-grained site of each molecule. It can be specified for each of the
species of the system. The TF compensates the pressure profile [147] that emerges under a homo-
geneous density profile. Therefore, it can correct the local density inhomogeneities in the hybrid
region and it also allows the coupling of atomistic and coarse-grained representations which by
construction have different pressures at the target density. The field can be determined by an iter-
ative procedure, which is described in detail in the manual of the VOTCA package [119]. Setting
the adress-interface-correction to thermoforce enables the TF correction and
adress-tf-grp-names defines the energy groups to act on.

6.11. Adaptive Resolution Scheme 179
6.11.1 Example: Adaptive resolution simulation of water
In this section the set up of an adaptive resolution simulation coupling atomistic SPC [79] water
to its coarse-grained representation will be explained (as used in [147]). The following steps are
required to setup the simulation:
•Perform a reference all-atom simulation
•Create a coarse-grained representation and save it as tabulated interaction function
•Create a hybrid topology for the SPC water
•Modify the atomistic coordinate file to include the coarse grained representation
•Define the geometry of the adaptive simulation in the grompp input file
•Create an index file
The coarse-grained representation of the interaction is stored as tabulated interaction function see
6.9.2. The convention is to use the C(12) columns with the C(12)- coefficient set to 1. All other
columns should be zero. The VOTCA manual has detailed instructions and a tutorial for SPC
water on how to coarse-grain the interaction using various techniques. Here we named the coarse
grained interaction CG, so the corresponding tabulated file is table_CG_CG.xvg. To create the
topology one can start from the atomistic topology file (e.g. share/gromacs/top/oplsaa.ff/spc.itp),
we are assuming rigid water here. In the VOTCA tutorial the file is named hybrid_spc.itp.
The only difference to the atomistic topology is the addition of a coarse-grained virtual site:
[ moleculetype ]
; molname nrexcl
SOL 2
[ atoms ]
; nr type resnr residue atom cgnr charge mass
1 opls_116 1 SOL OW 1 -0.82
2 opls_117 1 SOL HW1 1 0.41
3 opls_117 1 SOL HW2 1 0.41
4 CG 1 SOL CG 2 0
[ settles ]
; OW funct doh dhh
1 1 0.1 0.16330
[ exclusions ]
123
213
312
[ virtual_sites3 ]
; Site from funct a d
4 1 2 3 1 0.05595E+00 0.05595E+00

180 Chapter 6. Special Topics
The virtual site type 3 with the specified coefficients places the virtual site in the center of mass
of the molecule (for larger molecules virtual sitesn has to be used). We now need to include our
modified water model in the topology file and define the type CG. In topol.top:
#include "ffoplsaa.itp"
[ atomtypes ]
;name mass charge ptype sigma epsilon
CG 0.00000 0.0000 V 1 0.25
#include "hybrid_spc.itp"
[ system ]
Adaptive water
[ molecules ]
SOL 8507
The σand values correspond to C6= 1 and C12 = 1 and thus the table file should contain the
coarse-grained interaction in either the C6or C12 column. In the example the OPLS force field
is used where σand are specified. Note that for force fields which define atomtypes directly
in terms of C6and C12 ( like gmx.ff ) one can simply set C6= 0 and C12 = 1. See section
6.9.2 for more details on tabulated interactions. Since now the water molecule has a virtual site
the coordinate file also needs to include that.
adaptive water coordinates
34028
1SOL OW 1 0.283 0.886 0.647
1SOL HW1 2 0.359 0.884 0.711
1SOL HW2 3 0.308 0.938 0.566
1SOL CG 4 0.289 0.889 0.646
1SOL OW 5 1.848 0.918 0.082
1SOL HW1 6 1.760 0.930 0.129
1SOL HW2 7 1.921 0.912 0.150
1SOL CG 8 1.847 0.918 0.088
(...)
This file can be created manually or using the VOTCA tool csg_map with the --hybrid
option.
In the grompp input file the AdResS feature needs to be enabled and the geometry defined.
(...)
; AdResS relevant options
energygrps = CG
energygrp_table = CG CG
; Method for doing Van der Waals
vdw-type = user
adress = yes
adress_type = xsplit
adress_ex_width = 1.5
adress_hy_width = 1.5

6.11. Adaptive Resolution Scheme 181
adress_interface_correction = off
adress_reference_coords = 8 0 0
adress_cg_grp_names = CG
Here we are defining an energy group CG which consists of the coarse-grained virtual site. As
discussed above, the coarse-grained interaction is usually tabulated. This requires the vdw-type
parameter to be set to user. In the case where multi-component systems are coarse-grained,
an energy group has to be defined for each component. Note that all the energy groups defining
coarse-grained representations have to be listed again in adress_cg_grp_names to distin-
guish them from regular energy groups.
The index file has to be updated to have a group CG which includes all the coarse-grained virtual
sites. This can be done easily using the make_ndx tool of gromacs.

182 Chapter 6. Special Topics
Chapter 7
Run parameters and
Programs
7.1 On-line and HTML manuals
All the information in this chapter can also be found in HTML format in your GROMACS data
directory. The path depends on where your files are installed, but the default location is
/usr/local/gromacs/share/html/online.html
Or, if you installed from Linux packages it can be found as
/usr/local/share/gromacs/html/online.html
You can also use the online from our web site,
http://manual.gromacs.org/current/
In addition, we install standard UNIX manuals for all the programs. If you have sourced the
GMXRC script in the GROMACS binary directory for your host they should already be present in
your $MANPATH, and you should be able to type e.g. man grompp.
The program manual pages can also be found in Appendix Din this manual.
7.2 File types
Table 7.1 lists the file types used by GROMACS along with a short description, and you can find
a more detail description for each file in your HTML reference, or in our online version.
GROMACS files written in XDR format can be read on any architecture with GROMACS version
1.6 or later if the configuration script found the XDR libraries on your system. They should always
be present on UNIX since they are necessary for NFS support.

184 Chapter 7. Run parameters and Programs
Default Default
Name Ext. Type Option Description
atomtp.atp Asc Atomtype file used by pdb2gmx
eiwit.brk Asc -f Brookhaven data bank file
state.cpt xdr Checkpoint file
nnnice.dat Asc Generic data file
user.dlg Asc Dialog Box data for ngmx
sam.edi Asc ED sampling input
sam.edo Asc ED sampling output
ener.edr Generic energy: edr ene
ener.edr xdr Energy file in portable xdr format
ener.ene Bin Energy file
eiwit.ent Asc -f Entry in the protein date bank
plot.eps Asc Encapsulated PostScript (tm) file
conf.esp Asc -c Coordinate file in ESPResSo format
gtraj.g87 Asc Gromos-87 ASCII trajectory format
conf.g96 Asc -c Coordinate file in Gromos-96 format
conf.gro Asc -c Coordinate file in Gromos-87 format
conf.gro -c Structure: gro g96 pdb esp tpr tpb tpa
out.gro -o Structure: gro g96 pdb esp
polar.hdb Asc Hydrogen data base
topinc.itp Asc Include file for topology
run.log Asc -l Log file
ps.m2p Asc Input file for mat2ps
ss.map Asc File that maps matrix data to colors
ss.mat Asc Matrix Data file
grompp.mdp Asc -f grompp input file with MD parameters
hessian.mtx Bin -m Hessian matrix
index.ndx Asc -n Index file
hello.out Asc -o Generic output file
eiwit.pdb Asc -f Protein data bank file
residue.rtp Asc Residue Type file used by pdb2gmx
doc.tex Asc -o LaTeX file
topol.top Asc -p Topology file
topol.tpb Bin -s Binary run input file
topol.tpr -s Generic run input: tpr tpb tpa
topol.tpr -s Structure+mass(db): tpr tpb tpa gro g96 pdb
topol.tpr xdr -s Portable xdr run input file
traj.trj Bin Trajectory file (architecture specific)
traj.trr Full precision trajectory: trr trj cpt
traj.trr xdr Trajectory in portable xdr format
root.xpm Asc X PixMap compatible matrix file
traj.xtc -f Trajec., input: xtc trr trj cpt gro g96 pdb
traj.xtc -f Trajectory, output: xtc trr trj gro g96 pdb
traj.xtc xdr Compressed trajectory (portable xdr format)
graph.xvg Asc -o xvgr/xmgr file
Table 7.1: The GROMACS file types.

7.3. Run Parameters 185
7.3 Run Parameters
7.3.1 General
Default values are given in parentheses. The first option in the list is always the default option.
Units are given in square brackets The difference between a dash and an underscore is ignored. A
sample .mdp file is available. This should be appropriate to start a normal simulation. Edit it to
suit your specific needs and desires.
7.3.2 Preprocessing
include:
directories to include in your topology. Format:
-I/home/john/mylib -I../otherlib
define:
defines to pass to the preprocessor, default is no defines. You can use any defines to control
options in your customized topology files. Options that are already available by default are:
-DFLEXIBLE
Will tell grompp to include flexible water in stead of rigid water into your topology,
this can be useful for normal mode analysis.
-DPOSRES
Will tell grompp to include posre.itp into your topology, used for position restraints.
7.3.3 Run control
integrator: (Despite the name, this list includes algorithms that are not actually integrators.
steep and all entries following it are in this category)
md
A leap-frog algorithm for integrating Newton’s equations of motion.
md-vv
A velocity Verlet algorithm for integrating Newton’s equations of motion. For constant
NVE simulations started from corresponding points in the same trajectory, the trajec-
tories are analytically, but not binary, identical to the md leap-frog integrator. The the
kinetic energy, which is determined from the whole step velocities and is therefore
slightly too high. The advantage of this integrator is more accurate, reversible Nose-
Hoover and Parrinello-Rahman coupling integration based on Trotter expansion, as
well as (slightly too small) full step velocity output. This all comes at the cost off ex-
tra computation, especially with constraints and extra communication in parallel. Note
that for nearly all production simulations the md integrator is accurate enough.

186 Chapter 7. Run parameters and Programs
md-vv-avek
A velocity Verlet algorithm identical to md-vv, except that the kinetic energy is de-
termined as the average of the two half step kinetic energies as in the md integrator,
and this thus more accurate. With Nose-Hoover and/or Parrinello-Rahman coupling
this comes with a slight increase in computational cost.
sd
An accurate leap-frog stochastic dynamics integrator. Four Gaussian random number
are required per integration step per degree of freedom. With constraints, coordinates
needs to be constrained twice per integration step. Depending on the computational
cost of the force calculation, this can take a significant part of the simulation time.
The temperature for one or more groups of atoms (tc-grps) is set with ref-t [K],
the inverse friction constant for each group is set with tau-t [ps]. The parameter
tcoupl is ignored. The random generator is initialized with ld-seed. When used
as a thermostat, an appropriate value for tau-t is 2 ps, since this results in a friction
that is lower than the internal friction of water, while it is high enough to remove
excess heat (unless cut-off or reaction-field electrostatics is used). NOTE:
temperature deviations decay twice as fast as with a Berendsen thermostat with the
same tau-t.
sd1
An efficient leap-frog stochastic dynamics integrator. This integrator is equivalent to
sd, except that it requires only one Gaussian random number and one constraint step
and is therefore significantly faster. Without constraints the accuracy is the same as
sd. With constraints the accuracy is significantly reduced, so then sd will often be
preferred.
bd
An Euler integrator for Brownian or position Langevin dynamics, the velocity is the
force divided by a friction coefficient (bd-fric [amu ps−1]) plus random thermal
noise (ref-t). When bd-fric=0, the friction coefficient for each particle is cal-
culated as mass/tau-t, as for the integrator sd. The random generator is initialized
with ld-seed.
steep
A steepest descent algorithm for energy minimization. The maximum step size is
emstep [nm], the tolerance is emtol [kJ mol−1nm−1].
cg
A conjugate gradient algorithm for energy minimization, the tolerance is emtol [kJ
mol−1nm−1]. CG is more efficient when a steepest descent step is done every once
in a while, this is determined by nstcgsteep. For a minimization prior to a normal
mode analysis, which requires a very high accuracy, GROMACS should be compiled
in double precision.
l-bfgs
A quasi-Newtonian algorithm for energy minimization according to the low-memory
Broyden-Fletcher-Goldfarb-Shanno approach. In practice this seems to converge faster
than Conjugate Gradients, but due to the correction steps necessary it is not (yet) par-
allelized.

7.3. Run Parameters 187
nm
Normal mode analysis is performed on the structure in the tpr file. GROMACS
should be compiled in double precision.
tpi
Test particle insertion. The last molecule in the topology is the test particle. A trajec-
tory should be provided with the -rerun option of mdrun. This trajectory should
not contain the molecule to be inserted. Insertions are performed nsteps times in
each frame at random locations and with random orientiations of the molecule. When
nstlist is larger than one, nstlist insertions are performed in a sphere with ra-
dius rtpi around a the same random location using the same neighborlist (and the
same long-range energy when rvdw or rcoulomb>rlist, which is only allowed
for single-atom molecules). Since neighborlist construction is expensive, one can per-
form several extra insertions with the same list almost for free. The random seed is set
with ld-seed. The temperature for the Boltzmann weighting is set with ref-t, this
should match the temperature of the simulation of the original trajectory. Dispersion
correction is implemented correctly for tpi. All relevant quantities are written to the
file specified with the -tpi option of mdrun. The distribution of insertion energies
is written to the file specified with the -tpid option of mdrun. No trajectory or en-
ergy file is written. Parallel tpi gives identical results to single node tpi. For charged
molecules, using PME with a fine grid is most accurate and also efficient, since the
potential in the system only needs to be calculated once per frame.
tpic
Test particle insertion into a predefined cavity location. The procedure is the same as
for tpi, except that one coordinate extra is read from the trajectory, which is used
as the insertion location. The molecule to be inserted should be centered at 0,0,0.
Gromacs does not do this for you, since for different situations a different way of
centering might be optimal. Also rtpi sets the radius for the sphere around this
location. Neighbor searching is done only once per frame, nstlist is not used.
Parallel tpic gives identical results to single node tpic.
tinit: (0) [ps]
starting time for your run (only makes sense for integrators md,sd and bd)
dt: (0.001) [ps]
time step for integration (only makes sense for integrators md,sd and bd)
nsteps: (0)
maximum number of steps to integrate or minimize, -1 is no maximum
init-step: (0)
The starting step. The time at an step i in a run is calculated as: t = tinit +dt*(init-step
+ i). The free-energy lambda is calculated as: lambda = init-lambda +delta-lambda*(init-step
+ i). Also non-equilibrium MD parameters can depend on the step number. Thus for exact
restarts or redoing part of a run it might be necessary to set init-step to the step number
of the restart frame. tpbconv does this automatically.
comm-mode:

188 Chapter 7. Run parameters and Programs
Linear
Remove center of mass translation
Angular
Remove center of mass translation and rotation around the center of mass
None
No restriction on the center of mass motion
nstcomm: (100) [steps]
frequency for center of mass motion removal
comm-grps:
group(s) for center of mass motion removal, default is the whole system
7.3.4 Langevin dynamics
bd-fric: (0) [amu ps−1]
Brownian dynamics friction coefficient. When bd-fric=0, the friction coefficient for
each particle is calculated as mass/tau-t.
ld-seed: (1993) [integer]
used to initialize random generator for thermal noise for stochastic and Brownian dynamics.
When ld-seed is set to -1, the seed is calculated from the process ID. When running
BD or SD on multiple processors, each processor uses a seed equal to ld-seed plus the
processor number.
7.3.5 Energy minimization
emtol: (10.0) [kJ mol−1nm−1]
the minimization is converged when the maximum force is smaller than this value
emstep: (0.01) [nm]
initial step-size
nstcgsteep: (1000) [steps]
frequency of performing 1 steepest descent step while doing conjugate gradient energy min-
imization.
nbfgscorr: (10)
Number of correction steps to use for L-BFGS minimization. A higher number is (at least
theoretically) more accurate, but slower.
7.3.6 Shell Molecular Dynamics
When shells or flexible constraints are present in the system the positions of the shells and the
lengths of the flexible constraints are optimized at every time step until either the RMS force on
the shells and constraints is less than emtol, or a maximum number of iterations (niter) has been
reached

7.3. Run Parameters 189
emtol: (10.0) [kJ mol−1nm−1]
the minimization is converged when the maximum force is smaller than this value. For shell
MD this value should be 1.0 at most, but since the variable is used for energy minimization
as well the default is 10.0.
niter: (20)
maximum number of iterations for optimizing the shell positions and the flexible constraints.
fcstep: (0) [ps2]
the step size for optimizing the flexible constraints. Should be chosen as mu/(d2V/dq2)
where mu is the reduced mass of two particles in a flexible constraint and d2V/dq2is the
second derivative of the potential in the constraint direction. Hopefully this number does
not differ too much between the flexible constraints, as the number of iterations and thus the
runtime is very sensitive to fcstep. Try several values!
7.3.7 Test particle insertion
rtpi: (0.05) [nm]
the test particle insertion radius see integrators tpi and tpic
7.3.8 Output control
nstxout: (0) [steps]
frequency to write coordinates to output trajectory file, the last coordinates are always writ-
ten
nstvout: (0) [steps]
frequency to write velocities to output trajectory, the last velocities are always written
nstfout: (0) [steps]
frequency to write forces to output trajectory.
nstlog: (1000) [steps]
frequency to write energies to log file, the last energies are always written
nstcalcenergy: (100)
frequency for calculating the energies, 0 is never. This option is only relevant with dynam-
ics. With a twin-range cut-off setup nstcalcenergy should be equal to or a multiple
of nstlist. This option affects the performance in parallel simulations, because calcu-
lating energies requires global communication between all processes which can become a
bottleneck at high parallelization.
nstenergy: (1000) [steps]
frequency to write energies to energy file, the last energies are always written, should be a
multiple of nstcalcenergy. Note that the exact sums and fluctuations over all MD steps
modulo nstcalcenergy are stored in the energy file, so g_energy can report exact
energy averages and fluctuations also when nstenergy>1

190 Chapter 7. Run parameters and Programs
nstxtcout: (0) [steps]
frequency to write coordinates to xtc trajectory
xtc-precision: (1000) [real]
precision to write to xtc trajectory
xtc-grps:
group(s) to write to xtc trajectory, default the whole system is written (if nstxtcout >0)
energygrps:
group(s) to write to energy file
7.3.9 Neighbor searching
cutoff-scheme:
group
Generate a pair list for groups of atoms. These groups correspond to the charge groups
in the topology. This was the only cut-off treatment scheme before version 4.6. There
is no explicit buffering of the pair list. This enables efficient force calculations, but
energy is only conserved when a buffer is explicitly added. For energy conservation,
the Verlet option provides a more convenient and efficient algorithm.
Verlet
Generate a pair list with buffering. The buffer size is automatically set based on
verlet-buffer-drift, unless this is set to -1, in which case rlist will be used.
This option has an explicit, exact cut-off at rvdw=rcoulomb. Currently only cut-off,
reaction-field, PME electrostatics and plain LJ are supported. Some mdrun function-
ality is not yet supported with the Verlet scheme, but grompp checks for this. Na-
tive GPU acceleration is only supported with Verlet. With GPU-accelerated PME,
mdrun will automatically tune the CPU/GPU load balance by scaling rcoulomb and
the grid spacing. This can be turned off with -notunepme.Verlet is somewhat
faster than group when there is no water, or if group would use a pair-list buffer to
conserve energy.
nstlist: (10) [steps]
>0
Frequency to update the neighbor list (and the long-range forces, when using twin-
range cut-offs). When this is 0, the neighbor list is made only once. With energy mini-
mization the neighborlist will be updated for every energy evaluation when nstlist>0.
With non-bonded force calculation on the GPU, a value of 20 or more gives the best
performance.
0
The neighbor list is only constructed once and never updated. This is mainly useful
for vacuum simulations in which all particles see each other.

7.3. Run Parameters 191
-1
Automated update frequency, only supported with cutoff-scheme=group. This
can only be used with switched, shifted or user potentials where the cut-off can be
smaller than rlist. One then has a buffer of size rlist minus the longest cut-off.
The neighbor list is only updated when one or more particles have moved further than
half the buffer size from the center of geometry of their charge group as determined
at the previous neighbor search. Coordinate scaling due to pressure coupling or the
deform option is taken into account. This option guarantees that their are no cut-
off artifacts, but for larger systems this can come at a high computational cost, since
the neighbor list update frequency will be determined by just one or two particles
moving slightly beyond the half buffer length (which does not necessarily imply that
the neighbor list is invalid), while 99.99% of the particles are fine.
nstcalclr: (-1) [steps]
Controls the period between calculations of long-range forces when using the group cut-off
scheme.
1
Calculate the long-range forces every single step. This is useful to have separate neigh-
bor lists with buffers for electrostatics and Van der Waals interactions, and in particular
it makes it possible to have the Van der Waals cutoff longer than electrostatics (useful
e.g. with PME). However, there is no point in having identical long-range cutoffs for
both interaction forms and update them every step - then it will be slightly faster to put
everything in the short-range list.
>1
Calculate the long-range forces every nstcalclr steps and use a multiple-time-step
integrator to combine forces. This can now be done more frequently than nstlist
since the lists are stored, and it might be a good idea e.g. for Van der Waals interactions
that vary slower than electrostatics.
-1
Calculate long-range forces on steps where neighbor searching is performed. While
this is the default value, you might want to consider updating the long-range forces
more frequently.
Note that twin-range force evaluation might be enabled automatically by PP-PME load bal-
ancing. This is done in order to maintain the chosen Van der Waals interaction radius even
if the load balancing is changing the electrostatics cutoff. If the .mdp file already specifies
twin-range interactions (e.g. to evaluate Lennard-Jones interactions with a longer cutoff than
the PME electrostatics every 2-3 steps), the load balancing will have also a small effect on
Lennard-Jones, since the short-range cutoff (inside which forces are evaluated every step) is
changed.
ns-type:
grid
Make a grid in the box and only check atoms in neighboring grid cells when construct-

192 Chapter 7. Run parameters and Programs
ing a new neighbor list every nstlist steps. In large systems grid search is much
faster than simple search.
simple
Check every atom in the box when constructing a new neighbor list every nstlist
steps.
pbc:
xyz
Use periodic boundary conditions in all directions.
no
Use no periodic boundary conditions, ignore the box. To simulate without cut-offs,
set all cut-offs to 0 and nstlist=0. For best performance without cut-offs, use
nstlist=0,ns-type=simple and particle decomposition instead of domain de-
composition.
xy
Use periodic boundary conditions in x and y directions only. This works only with
ns-type=grid and can be used in combination with walls. Without walls or
with only one wall the system size is infinite in the z direction. Therefore pressure
coupling or Ewald summation methods can not be used. These disadvantages do not
apply when two walls are used.
periodic-molecules:
no
molecules are finite, fast molecular PBC can be used
yes
for systems with molecules that couple to themselves through the periodic boundary
conditions, this requires a slower PBC algorithm and molecules are not made whole in
the output
verlet-buffer-drift: (0.005) [kJ/mol/ps]
Useful only with cutoff-scheme=Verlet. This sets the target energy drift per par-
ticle caused by the Verlet buffer, which indirectly sets rlist. As both nstlist and
the Verlet buffer size are fixed (for performance reasons), particle pairs not in the pair list
can occasionally get within the cut-off distance during nstlist-1 nsteps. This generates
energy drift. In a constant-temperature ensemble, the drift can be estimated for a given
cut-off and rlist. The estimate assumes a homogeneous particle distribution, hence the
drift might be slightly underestimated for multi-phase systems. For longer pair-list life-time
(nstlist-1)*dt the drift is overestimated, because the interactions between particles are
ignored. Combined with cancellation of errors, the actual energy drift is usually one to two
orders of magnitude smaller. Note that the generated buffer size takes into account that the
GROMACS pair-list setup leads to a reduction in the drift by a factor 10, compared to a
simple particle-pair based list. Without dynamics (energy minimization etc.), the buffer is
5% of the cut-off. For dynamics without temperature coupling or to override the buffer size,
use verlet-buffer-drift=-1 and set rlist manually.

7.3. Run Parameters 193
rlist: (1) [nm]
Cut-off distance for the short-range neighbor list. With cutoff-scheme=Verlet, this is
by default set by the verlet-buffer-drift option and the value of rlist is ignored.
rlistlong: (-1) [nm]
Cut-off distance for the long-range neighbor list. This parameter is only relevant for a twin-
range cut-off setup with switched potentials. In that case a buffer region is required to
account for the size of charge groups. In all other cases this parameter is automatically set
to the longest cut-off distance.
7.3.10 Electrostatics
coulombtype:
Cut-off
Twin range cut-offs with neighborlist cut-off rlist and Coulomb cut-off rcoulomb,
where rcoulomb≥rlist.
Ewald
Classical Ewald sum electrostatics. The real-space cut-off rcoulomb should be equal
to rlist. Use e.g. rlist=0.9,rcoulomb=0.9. The highest magnitude of wave
vectors used in reciprocal space is controlled by fourierspacing. The relative
accuracy of direct/reciprocal space is controlled by ewald-rtol.
NOTE: Ewald scales as O(N3/2) and is thus extremely slow for large systems. It is
included mainly for reference - in most cases PME will perform much better.
PME
Fast smooth Particle-Mesh Ewald (SPME) electrostatics. Direct space is similar to the
Ewald sum, while the reciprocal part is performed with FFTs. Grid dimensions are
controlled with fourierspacing and the interpolation order with pme-order.
With a grid spacing of 0.1 nm and cubic interpolation the electrostatic forces have
an accuracy of 2-3*10−4. Since the error from the vdw-cutoff is larger than this you
might try 0.15 nm. When running in parallel the interpolation parallelizes better than
the FFT, so try decreasing grid dimensions while increasing interpolation.
P3M-AD
Particle-Particle Particle-Mesh algorithm with analytical derivative for for long range
electrostatic interactions. The method and code is identical to SPME, except that the
influence function is optimized for the grid. This gives a slight increase in accuracy.
Reaction-Field electrostatics
Reaction field with Coulomb cut-off rcoulomb, where rcoulomb ≥rlist. The
dielectric constant beyond the cut-off is epsilon-rf. The dielectric constant can be
set to infinity by setting epsilon-rf=0.
Generalized-Reaction-Field
Generalized reaction field with Coulomb cut-off rcoulomb, where rcoulomb ≥
rlist. The dielectric constant beyond the cut-off is epsilon-rf. The ionic
strength is computed from the number of charged (i.e. with non zero charge) charge
groups. The temperature for the GRF potential is set with ref-t [K].

194 Chapter 7. Run parameters and Programs
Reaction-Field-zero
In GROMACS, normal reaction-field electrostatics with cutoff-scheme=group
leads to bad energy conservation. Reaction-Field-zero solves this by making
the potential zero beyond the cut-off. It can only be used with an infinite dielectric con-
stant (epsilon-rf=0), because only for that value the force vanishes at the cut-off.
rlist should be 0.1 to 0.3 nm larger than rcoulomb to accommodate for the size of
charge groups and diffusion between neighbor list updates. This, and the fact that ta-
ble lookups are used instead of analytical functions make Reaction-Field-zero
computationally more expensive than normal reaction-field.
Reaction-Field-nec
The same as Reaction-Field, but implemented as in GROMACS versions before
3.3. No reaction-field correction is applied to excluded atom pairs and self pairs. The
1-4 interactions are calculated using a reaction-field. The missing correction due to
the excluded pairs that do not have a 1-4 interaction is up to a few percent of the total
electrostatic energy and causes a minor difference in the forces and the pressure.
Shift
Analogous to Shift for vdwtype. You might want to use Reaction-Field-zero
instead, which has a similar potential shape, but has a physical interpretation and has
better energies due to the exclusion correction terms.
Encad-Shift
The Coulomb potential is decreased over the whole range, using the definition from
the Encad simulation package.
Switch
Analogous to Switch for vdwtype. Switching the Coulomb potential can lead to
serious artifacts, advice: use Reaction-Field-zero instead.
User
mdrun will now expect to find a file table.xvg with user-defined potential func-
tions for repulsion, dispersion and Coulomb. When pair interactions are present,
mdrun also expects to find a file tablep.xvg for the pair interactions. When the
same interactions should be used for non-bonded and pair interactions the user can
specify the same file name for both table files. These files should contain 7 columns:
the xvalue, f(x),-f’(x),g(x),-g’(x),h(x),-h’(x), where f(x) is the
Coulomb function, g(x) the dispersion function and h(x) the repulsion function.
When vdwtype is not set to User the values for g,-g’,hand -h’ are ignored. For
the non-bonded interactions xvalues should run from 0 to the largest cut-off distance
+table-extension and should be uniformly spaced. For the pair interactions the
table length in the file will be used. The optimal spacing, which is used for non-user
tables, is 0.002 [nm] when you run in single precision or 0.0005 [nm] when you
run in double precision. The function value at x=0 is not important. More information
is in the printed manual.
PME-Switch
A combination of PME and a switch function for the direct-space part (see above).
rcoulomb is allowed to be smaller than rlist. This is mainly useful constant
energy simulations (note that using PME with cutoff-scheme=Verlet will be
more efficient).

7.3. Run Parameters 195
PME-User
A combination of PME and user tables (see above). rcoulomb is allowed to be
smaller than rlist. The PME mesh contribution is subtracted from the user table by
mdrun. Because of this subtraction the user tables should contain about 10 decimal
places.
PME-User-Switch
A combination of PME-User and a switching function (see above). The switching
function is applied to final particle-particle interaction, i.e. both to the user supplied
function and the PME Mesh correction part.
coulomb-modifier:
Potential-shift-Verlet
Selects Potential-shift with the Verlet cutoff-scheme, as it is (nearly) free; se-
lects None with the group cutoff-scheme.
Potential-shift
Shift the Coulomb potential by a constant such that it is zero at the cut-off. This makes
the potential the integral of the force. Note that this does not affect the forces or the
sampling.
None
Use an unmodified Coulomb potential. With the group scheme this means no exact
cut-off is used, energies and forces are calculated for all pairs in the neighborlist.
rcoulomb-switch: (0) [nm]
where to start switching the Coulomb potential
rcoulomb: (1) [nm]
distance for the Coulomb cut-off
epsilon-r: (1)
The relative dielectric constant. A value of 0 means infinity.
epsilon-rf: (0)
The relative dielectric constant of the reaction field. This is only used with reaction-field
electrostatics. A value of 0 means infinity.
7.3.11 VdW
vdwtype:
Cut-off
Twin range cut-offs with neighbor list cut-off rlist and VdW cut-off rvdw, where
rvdw ≥rlist.
Shift
The LJ (not Buckingham) potential is decreased over the whole range and the forces

196 Chapter 7. Run parameters and Programs
decay smoothly to zero between rvdw-switch and rvdw. The neighbor search cut-
off rlist should be 0.1 to 0.3 nm larger than rvdw to accommodate for the size of
charge groups and diffusion between neighbor list updates.
Switch
The LJ (not Buckingham) potential is normal out to rvdw-switch, after which it
is switched off to reach zero at rvdw. Both the potential and force functions are
continuously smooth, but be aware that all switch functions will give rise to a bulge
(increase) in the force (since we are switching the potential). The neighbor search cut-
off rlist should be 0.1 to 0.3 nm larger than rvdw to accommodate for the size of
charge groups and diffusion between neighbor list updates.
Encad-Shift
The LJ (not Buckingham) potential is decreased over the whole range, using the defi-
nition from the Encad simulation package.
User
See user for coulombtype. The function value at x=0 is not important. When
you want to use LJ correction, make sure that rvdw corresponds to the cut-off in the
user-defined function. When coulombtype is not set to User the values for fand
-f’ are ignored.
vdw-modifier:
Potential-shift-Verlet
Selects Potential-shift with the Verlet cutoff-scheme, as it is (nearly) free; se-
lects None with the group cutoff-scheme.
Potential-shift
Shift the Van der Waals potential by a constant such that it is zero at the cut-off. This
makes the potential the integral of the force. Note that this does not affect the forces
or the sampling.
None
Use an unmodified Van der Waals potential. With the group scheme this means no
exact cut-off is used, energies and forces are calculated for all pairs in the neighborlist.
rvdw-switch: (0) [nm]
where to start switching the LJ potential
rvdw: (1) [nm]
distance for the LJ or Buckingham cut-off
DispCorr:
no
don’t apply any correction
EnerPres
apply long range dispersion corrections for Energy and Pressure
Ener
apply long range dispersion corrections for Energy only

7.3. Run Parameters 197
7.3.12 Tables
table-extension: (1) [nm]
Extension of the non-bonded potential lookup tables beyond the largest cut-off distance. The
value should be large enough to account for charge group sizes and the diffusion between
neighbor-list updates. Without user defined potential the same table length is used for the
lookup tables for the 1-4 interactions, which are always tabulated irrespective of the use of
tables for the non-bonded interactions.
energygrp-table:
When user tables are used for electrostatics and/or VdW, here one can give pairs of energy
groups for which seperate user tables should be used. The two energy groups will be ap-
pended to the table file name, in order of their definition in energygrps, seperated by
underscores. For example, if energygrps = Na Cl Sol and energygrp-table
= Na Na Na Cl,mdrun will read table_Na_Na.xvg and table_Na_Cl.xvg in
addition to the normal table.xvg which will be used for all other energy group pairs.
7.3.13 Ewald
fourierspacing: (0.12) [nm]
For ordinary Ewald, the ratio of the box dimensions and the spacing determines a lower
bound for the number of wave vectors to use in each (signed) direction. For PME and P3M,
that ratio determines a lower bound for the number of Fourier-space grid points that will
be used along that axis. In all cases, the number for each direction can be overridden by
entering a non-zero value for fourier_n[xyz]. For optimizing the relative load of the
particle-particle interactions and the mesh part of PME, it is useful to know that the accuracy
of the electrostatics remains nearly constant when the Coulomb cut-off and the PME grid
spacing are scaled by the same factor.
fourier-nx (0) ; fourier-ny (0) ; fourier-nz: (0)
Highest magnitude of wave vectors in reciprocal space when using Ewald. Grid size when
using PME or P3M. These values override fourierspacing per direction. The best
choice is powers of 2, 3, 5 and 7. Avoid large primes.
pme-order (4)
Interpolation order for PME. 4 equals cubic interpolation. You might try 6/8/10 when run-
ning in parallel and simultaneously decrease grid dimension.
ewald-rtol (1e-5)
The relative strength of the Ewald-shifted direct potential at rcoulomb is given by ewald-rtol.
Decreasing this will give a more accurate direct sum, but then you need more wave vectors
for the reciprocal sum.
ewald-geometry: (3d)
3d
The Ewald sum is performed in all three dimensions.

198 Chapter 7. Run parameters and Programs
3dc
The reciprocal sum is still performed in 3D, but a force and potential correction applied
in the zdimension to produce a pseudo-2D summation. If your system has a slab
geometry in the x-y plane you can try to increase the z-dimension of the box (a box
height of 3 times the slab height is usually ok) and use this option.
epsilon-surface: (0)
This controls the dipole correction to the Ewald summation in 3D. The default value of zero
means it is turned off. Turn it on by setting it to the value of the relative permittivity of the
imaginary surface around your infinite system. Be careful - you shouldn’t use this if you
have free mobile charges in your system. This value does not affect the slab 3DC variant of
the long range corrections.
optimize-fft:
no
Don’t calculate the optimal FFT plan for the grid at startup.
yes
Calculate the optimal FFT plan for the grid at startup. This saves a few percent for
long simulations, but takes a couple of minutes at start.
7.3.14 Temperature coupling
tcoupl:
no
No temperature coupling.
berendsen
Temperature coupling with a Berendsen-thermostat to a bath with temperature ref-t
[K], with time constant tau-t [ps]. Several groups can be coupled separately, these
are specified in the tc-grps field separated by spaces.
nose-hoover
Temperature coupling using a Nose-Hoover extended ensemble. The reference tem-
perature and coupling groups are selected as above, but in this case tau-t [ps] con-
trols the period of the temperature fluctuations at equilibrium, which is slightly dif-
ferent from a relaxation time. For NVT simulations the conserved energy quantity is
written to energy and log file.
v-rescale
Temperature coupling using velocity rescaling with a stochastic term (JCP 126, 014101).
This thermostat is similar to Berendsen coupling, with the same scaling using tau-t,
but the stochastic term ensures that a proper canonical ensemble is generated. The ran-
dom seed is set with ld-seed. This thermostat works correctly even for tau-t=0.
For NVT simulations the conserved energy quantity is written to the energy and log
file.

7.3. Run Parameters 199
nsttcouple: (-1)
The frequency for coupling the temperature. The default value of -1 sets nsttcouple
equal to nstlist, unless nstlist≤0, then a value of 10 is used. For velocity Verlet
integrators nsttcouple is set to 1.
nh-chain-length (10)
the number of chained Nose-Hoover thermostats for velocity Verlet integrators, the leap-
frog md integrator only supports 1. Data for the NH chain variables is not printed to the .edr,
but can be using the GMX_NOSEHOOVER_CHAINS environment variable
tc-grps:
groups to couple separately to temperature bath
tau-t: [ps]
time constant for coupling (one for each group in tc-grps), -1 means no temperature
coupling
ref-t: [K]
reference temperature for coupling (one for each group in tc-grps)
7.3.15 Pressure coupling
pcoupl:
no
No pressure coupling. This means a fixed box size.
berendsen
Exponential relaxation pressure coupling with time constant tau-p [ps]. The box is
scaled every timestep. It has been argued that this does not yield a correct thermody-
namic ensemble, but it is the most efficient way to scale a box at the beginning of a
run.
Parrinello-Rahman
Extended-ensemble pressure coupling where the box vectors are subject to an equa-
tion of motion. The equation of motion for the atoms is coupled to this. No instanta-
neous scaling takes place. As for Nose-Hoover temperature coupling the time constant
tau-p [ps] is the period of pressure fluctuations at equilibrium. This is probably a
better method when you want to apply pressure scaling during data collection, but
beware that you can get very large oscillations if you are starting from a different pres-
sure. For simulations where the exact fluctation of the NPT ensemble are important,
or if the pressure coupling time is very short it may not be appropriate, as the previous
time step pressure is used in some steps of the GROMACS implementation for the
current time step pressure.
MTTK
Martyna-Tuckerman-Tobias-Klein implementation, only useable with md-vv or md-vv-avek,
very similar to Parrinello-Rahman. As for Nose-Hoover temperature coupling the time con-
stant tau-p [ps] is the period of pressure fluctuations at equilibrium. This is probably a

200 Chapter 7. Run parameters and Programs
better method when you want to apply pressure scaling during data collection, but beware
that you can get very large oscillations if you are starting from a different pressure. Currently
only supports isotropic scaling.
pcoupltype:
isotropic
Isotropic pressure coupling with time constant tau-p [ps]. The compressibility and
reference pressure are set with compressibility [bar−1] and ref-p [bar], one
value is needed.
semiisotropic
Pressure coupling which is isotropic in the xand ydirection, but different in the z
direction. This can be useful for membrane simulations. 2 values are needed for x/y
and zdirections respectively.
anisotropic
Idem, but 6 values are needed for xx,yy,zz,xy/yx,xz/zx and yz/zy compo-
nents, respectively. When the off-diagonal compressibilities are set to zero, a rectan-
gular box will stay rectangular. Beware that anisotropic scaling can lead to extreme
deformation of the simulation box.
surface-tension
Surface tension coupling for surfaces parallel to the xy-plane. Uses normal pressure
coupling for the z-direction, while the surface tension is coupled to the x/y dimen-
sions of the box. The first ref-p value is the reference surface tension times the
number of surfaces [bar nm], the second value is the reference z-pressure [bar]. The
two compressibility [bar−1] values are the compressibility in the x/y and z
direction respectively. The value for the z-compressibility should be reasonably accu-
rate since it influences the convergence of the surface-tension, it can also be set to zero
to have a box with constant height.
nstpcouple: (-1)
The frequency for coupling the pressure. The default value of -1 sets nstpcouple equal to
nstlist, unless nstlist ≤0, then a value of 10 is used. For velocity Verlet integrators
nstpcouple is set to 1.
tau-p: (1) [ps]
time constant for coupling
compressibility: [bar−1]
compressibility (NOTE: this is now really in bar−1) For water at 1 atm and 300 K the
compressibility is 4.5e-5 [bar−1].
ref-p: [bar]
reference pressure for coupling
refcoord-scaling:

7.3. Run Parameters 201
no
The reference coordinates for position restraints are not modified. Note that with this
option the virial and pressure will depend on the absolute positions of the reference
coordinates.
all
The reference coordinates are scaled with the scaling matrix of the pressure coupling.
com
Scale the center of mass of the reference coordinates with the scaling matrix of the
pressure coupling. The vectors of each reference coordinate to the center of mass
are not scaled. Only one COM is used, even when there are multiple molecules with
position restraints. For calculating the COM of the reference coordinates in the starting
configuration, periodic boundary conditions are not taken into account.
7.3.16 Simulated annealing
Simulated annealing is controlled separately for each temperature group in GROMACS. The ref-
erence temperature is a piecewise linear function, but you can use an arbitrary number of points
for each group, and choose either a single sequence or a periodic behaviour for each group. The
actual annealing is performed by dynamically changing the reference temperature used in the ther-
mostat algorithm selected, so remember that the system will usually not instantaneously reach the
reference temperature!
annealing:
Type of annealing for each temperature group
no
No simulated annealing - just couple to reference temperature value.
single
A single sequence of annealing points. If your simulation is longer than the time of
the last point, the temperature will be coupled to this constant value after the annealing
sequence has reached the last time point.
periodic
The annealing will start over at the first reference point once the last reference time is
reached. This is repeated until the simulation ends.
annealing-npoints:
A list with the number of annealing reference/control points used for each temperature
group. Use 0 for groups that are not annealed. The number of entries should equal the
number of temperature groups.
annealing-time:
List of times at the annealing reference/control points for each group. If you are using
periodic annealing, the times will be used modulo the last value, i.e. if the values are 0, 5,
10, and 15, the coupling will restart at the 0ps value after 15ps, 30ps, 45ps, etc. The number
of entries should equal the sum of the numbers given in annealing-npoints.

202 Chapter 7. Run parameters and Programs
annealing-temp:
List of temperatures at the annealing reference/control points for each group. The number
of entries should equal the sum of the numbers given in annealing-npoints.
Confused? OK, let’s use an example. Assume you have two temperature groups, set the
group selections to annealing = single periodic, the number of points of each
group to annealing-npoints = 3 4, the times to annealing-time = 0 3 6
0246and finally temperatures to annealing-temp = 298 280 270 298 320
320 298. The first group will be coupled to 298K at 0ps, but the reference temperature
will drop linearly to reach 280K at 3ps, and then linearly between 280K and 270K from 3ps
to 6ps. After this is stays constant, at 270K. The second group is coupled to 298K at 0ps,
it increases linearly to 320K at 2ps, where it stays constant until 4ps. Between 4ps and 6ps
it decreases to 298K, and then it starts over with the same pattern again, i.e. rising linearly
from 298K to 320K between 6ps and 8ps. Check the summary printed by grompp if you
are unsure!
7.3.17 Velocity generation
gen-vel:
no
Do not generate velocities. The velocities are set to zero when there are no velocities
in the input structure file.
yes
Generate velocities in grompp according to a Maxwell distribution at temperature
gen-temp [K], with random seed gen-seed. This is only meaningful with integra-
tor md.
gen-temp: (300) [K]
temperature for Maxwell distribution
gen-seed: (173529) [integer]
used to initialize random generator for random velocities, when gen-seed is set to -1, the
seed is calculated from the process ID number.
7.3.18 Bonds
constraints:
none
No constraints except for those defined explicitly in the topology, i.e. bonds are rep-
resented by a harmonic (or other) potential or a Morse potential (depending on the
setting of morse) and angles by a harmonic (or other) potential.
h-bonds
Convert the bonds with H-atoms to constraints.

7.3. Run Parameters 203
all-bonds
Convert all bonds to constraints.
h-angles
Convert all bonds and additionally the angles that involve H-atoms to bond-constraints.
all-angles
Convert all bonds and angles to bond-constraints.
constraint-algorithm:
LINCS
LINear Constraint Solver. With domain decomposition the parallel version P-LINCS
is used. The accuracy in set with lincs-order, which sets the number of matrices
in the expansion for the matrix inversion. After the matrix inversion correction the
algorithm does an iterative correction to compensate for lengthening due to rotation.
The number of such iterations can be controlled with lincs-iter. The root mean
square relative constraint deviation is printed to the log file every nstlog steps. If a
bond rotates more than lincs-warnangle [degrees] in one step, a warning will be
printed both to the log file and to stderr. LINCS should not be used with coupled
angle constraints.
SHAKE
SHAKE is slightly slower and less stable than LINCS, but does work with angle con-
straints. The relative tolerance is set with shake-tol, 0.0001 is a good value for
“normal” MD. SHAKE does not support constraints between atoms on different nodes,
thus it can not be used with domain decompositon when inter charge-group constraints
are present. SHAKE can not be used with energy minimization.
continuation:
This option was formerly known as unconstrained-start.
no
apply constraints to the start configuration and reset shells
yes
do not apply constraints to the start configuration and do not reset shells, useful for
exact coninuation and reruns
shake-tol: (0.0001)
relative tolerance for SHAKE
lincs-order: (4)
Highest order in the expansion of the constraint coupling matrix. When constraints form
triangles, an additional expansion of the same order is applied on top of the normal expan-
sion only for the couplings within such triangles. For “normal” MD simulations an order
of 4 usually suffices, 6 is needed for large time-steps with virtual sites or BD. For accurate
energy minimization an order of 8 or more might be required. With domain decomposition,
the cell size is limited by the distance spanned by lincs-order+1 constraints. When
one wants to scale further than this limit, one can decrease lincs-order and increase
lincs-iter, since the accuracy does not deteriorate when (1+lincs-iter)*lincs-order
remains constant.

204 Chapter 7. Run parameters and Programs
lincs-iter: (1)
Number of iterations to correct for rotational lengthening in LINCS. For normal runs a
single step is sufficient, but for NVE runs where you want to conserve energy accurately or
for accurate energy minimization you might want to increase it to 2.
lincs-warnangle: (30) [degrees]
maximum angle that a bond can rotate before LINCS will complain
morse:
no
bonds are represented by a harmonic potential
yes
bonds are represented by a Morse potential
7.3.19 Energy group exclusions
energygrp-excl:
Pairs of energy groups for which all non-bonded interactions are excluded. An example: if
you have two energy groups Protein and SOL, specifying
energygrp-excl = Protein Protein SOL SOL
would give only the non-bonded interactions between the protein and the solvent. This is
especially useful for speeding up energy calculations with mdrun -rerun and for exclud-
ing interactions within frozen groups.
7.3.20 Walls
nwall: 0
When set to 1there is a wall at z=0, when set to 2there is also a wall at z=z-box. Walls
can only be used with pbc=xy. When set to 2pressure coupling and Ewald summation
can be used (it is usually best to use semiisotropic pressure coupling with the x/y com-
pressibility set to 0, as otherwise the surface area will change). Walls interact wit the rest of
the system through an optional wall-atomtype. Energy groups wall0 and wall1 (for
nwall=2) are added automatically to monitor the interaction of energy groups with each
wall. The center of mass motion removal will be turned off in the z-direction.
wall-atomtype:
the atom type name in the force field for each wall. By (for example) defining a special
wall atom type in the topology with its own combination rules, this allows for independent
tuning of the interaction of each atomtype with the walls.
wall-type:
9-3
LJ integrated over the volume behind the wall: 9-3 potential

7.3. Run Parameters 205
10-4
LJ integrated over the wall surface: 10-4 potential
12-6
direct LJ potential with the z distance from the wall
table
user defined potentials indexed with the z distance from the wall, the tables are read
analogously to the energygrp-table option, where the first name is for a “nor-
mal” energy group and the second name is wall0 or wall1, only the dispersion and
repulsion columns are used
wall-r-linpot: -1 (nm)
Below this distance from the wall the potential is continued linearly and thus the force is
constant. Setting this option to a postive value is especially useful for equilibration when
some atoms are beyond a wall. When the value is ≤0 (<0 for wall-type=table), a
fatal error is generated when atoms are beyond a wall.
wall-density: [nm−3/nm−2]
the number density of the atoms for each wall for wall types 9-3 and 10-4
wall-ewald-zfac: 3
The scaling factor for the third box vector for Ewald summation only, the minimum is 2.
Ewald summation can only be used with nwall=2, where one should use ewald-geometry=3dc.
The empty layer in the box serves to decrease the unphysical Coulomb interaction between
periodic images.
7.3.21 COM pulling
pull:
no
No center of mass pulling. All the following pull options will be ignored (and if present
in the .mdp file, they unfortunately generate warnings)
umbrella
Center of mass pulling using an umbrella potential between the reference group and
one or more groups.
constraint
Center of mass pulling using a constraint between the reference group and one or more
groups. The setup is identical to the option umbrella, except for the fact that a rigid
constraint is applied instead of a harmonic potential.
constant-force
Center of mass pulling using a linear potential and therefore a constant force. For this
option there is no reference position and therefore the parameters pull-init and
pull-rate are not used.
pull-geometry:

206 Chapter 7. Run parameters and Programs
distance
Pull along the vector connecting the two groups. Components can be selected with
pull-dim.
direction
Pull in the direction of pull-vec.
direction-periodic
As direction, but allows the distance to be larger than half the box size. With
this geometry the box should not be dynamic (e.g. no pressure scaling) in the pull
dimensions and the pull force is not added to virial.
cylinder
Designed for pulling with respect to a layer where the reference COM is given by
a local cylindrical part of the reference group. The pulling is in the direction of
pull-vec. From the reference group a cylinder is selected around the axis go-
ing through the pull group with direction pull-vec using two radii. The radius
pull-r1 gives the radius within which all the relative weights are one, between
pull-r1 and pull-r0 the weights are switched to zero. Mass weighting is also
used. Note that the radii should be smaller than half the box size. For tilted cylinders
they should be even smaller than half the box size since the distance of an atom in
the reference group from the COM of the pull group has both a radial and an axial
component.
position
Pull to the position of the reference group plus pull-init + time*pull-rate*pull-vec.
pull-dim: (Y Y Y)
the distance components to be used with geometry distance and position, and also
sets which components are printed to the output files
pull-r1: (1) [nm]
the inner radius of the cylinder for geometry cylinder
pull-r0: (1) [nm]
the outer radius of the cylinder for geometry cylinder
pull-constr-tol: (1e-6)
the relative constraint tolerance for constraint pulling
pull-start:
no
do not modify pull-init
yes
add the COM distance of the starting conformation to pull-init
pull-nstxout: (10)
frequency for writing out the COMs of all the pull group
pull-nstfout: (1)
frequency for writing out the force of all the pulled group

7.3. Run Parameters 207
pull-ngroups: (1)
The number of pull groups, not including the reference group. If there is only one group,
there is no difference in treatment of the reference and pulled group (except with the cylinder
geometry). Below only the pull options for the reference group (ending on 0) and the first
group (ending on 1) are given, further groups work analogously, but with the number 1
replaced by the group number.
pull-group0:
The name of the reference group. When this is empty an absolute reference of (0,0,0)
is used. With an absolute reference the system is no longer translation invariant and one
should think about what to do with the center of mass motion.
pull-weights0:
see pull-weights1
pull-pbcatom0: (0)
see pull-pbcatom1
pull-group1:
The name of the pull group.
pull-weights1:
Optional relative weights which are multiplied with the masses of the atoms to give the total
weight for the COM. The number should be 0, meaning all 1, or the number of atoms in the
pull group.
pull-pbcatom1: (0)
The reference atom for the treatment of periodic boundary conditions inside the group (this
has no effect on the treatment of the pbc between groups). This option is only important
when the diameter of the pull group is larger than half the shortest box vector. For deter-
mining the COM, all atoms in the group are put at their periodic image which is closest to
pull-pbcatom1. A value of 0 means that the middle atom (number wise) is used. This
parameter is not used with geometry cylinder. A value of -1 turns on cosine weighting,
which is useful for a group of molecules in a periodic system, e.g. a water slab (see Engin
et al. J. Chem. Phys. B 2010).
pull-vec1: (0.0 0.0 0.0)
The pull direction. grompp normalizes the vector.
pull-init1: (0.0) / (0.0 0.0 0.0) [nm]
The reference distance at t=0. This is a single value, except for geometry position which
uses a vector.
pull-rate1: (0) [nm/ps]
The rate of change of the reference position.
pull-k1: (0) [kJ mol−1nm−2/ [kJ mol−1nm−1]]
The force constant. For umbrella pulling this is the harmonic force constant in [kJ mol−1
nm−2]. For constant force pulling this is the force constant of the linear potential, and thus
minus (!) the constant force in [kJ mol−1nm−1].

208 Chapter 7. Run parameters and Programs
pull-kB1: (pull-k1) [kJ mol−1nm−2/ [kJ mol−1nm−1]]
As pull-k1, but for state B. This is only used when free-energy is turned on. The
force constant is then (1 - lambda)*pull-k1 + lambda*pull-kB1.
7.3.22 NMR refinement
disre:
no
ignore distance restraint information in topology file
simple
simple (per-molecule) distance restraints.
ensemble
distance restraints over an ensemble of molecules in one simulation box. Normally,
one would perform ensemble averaging over multiple subsystems, each in a separate
box, using mdrun -multi;s upply topol0.tpr,topol1.tpr, ... with different
coordinates and/or velocities. The environment variable GMX_DISRE_ENSEMBLE_-
SIZE sets the number of systems within each ensemble (usually equal to the mdrun
-multi value).
disre-weighting:
equal (default)
divide the restraint force equally over all atom pairs in the restraint
conservative
the forces are the derivative of the restraint potential, this results in an r−7weighting
of the atom pairs. The forces are conservative when disre-tau is zero.
disre-mixed:
no
the violation used in the calculation of the restraint force is the time-averaged violation
yes
the violation used in the calculation of the restraint force is the square root of the
product of the time-averaged violation and the instantaneous violation
disre-fc: (1000) [kJ mol−1nm−2]
force constant for distance restraints, which is multiplied by a (possibly) different factor for
each restraint given in the fac column of the interaction in the topology file.
disre-tau: (0) [ps]
time constant for distance restraints running average. A value of zero turns off time averag-
ing.
nstdisreout: (100) [steps]
period between steps when the running time-averaged and instantaneous distances of all
atom pairs involved in restraints are written to the energy file (can make the energy file very
large)

7.3. Run Parameters 209
orire:
no
ignore orientation restraint information in topology file
yes
use orientation restraints, ensemble averaging can be performed with mdrun -multi
orire-fc: (0) [kJ mol]
force constant for orientation restraints, which is multiplied by a (possibly) different weight
factor for each restraint, can be set to zero to obtain the orientations from a free simulation
orire-tau: (0) [ps]
time constant for orientation restraints running average. A value of zero turns off time
averaging.
orire-fitgrp:
fit group for orientation restraining. This group of atoms is used to determine the rotation
Rof the system with respect to the reference orientation. The reference orientation is the
starting conformation of the first subsystem. For a protein, backbone is a reasonable choice
nstorireout: (100) [steps]
period between steps when the running time-averaged and instantaneous orientations for all
restraints, and the molecular order tensor are written to the energy file (can make the energy
file very large)
7.3.23 Free energy calculations
free-energy:
no
Only use topology A.
yes
Interpolate between topology A (lambda=0) to topology B (lambda=1) and write the
derivative of the Hamiltonian with respect to lambda (as specified with dhdl-derivatives),
or the Hamiltonian differences with respect to other lambda values (as specified with
foreign-lambda) to the energy file and/or to dhdl.xvg, where they can be pro-
cessed by, for example g_bar. The potentials, bond-lengths and angles are inter-
polated linearly as described in the manual. When sc-alpha is larger than zero,
soft-core potentials are used for the LJ and Coulomb interactions.
expanded
Turns on expanded ensemble simulation, where the alchemical state becomes a dy-
namic variable, allowing jumping between different Hamiltonians. See the expanded
ensemble options for controlling how expanded ensemble simulations are performed.
The different Hamiltonians used in expanded ensemble simulations are defined by the
other free energy options.

210 Chapter 7. Run parameters and Programs
init-lambda: (-1)
starting value for lambda (float). Generally, this should only be used with slow growth (i.e.
nonzero delta-lambda). In other cases, init-lambda-state should be specified
instead. Must be greater than or equal to 0.
delta-lambda: (0)
increment per time step for lambda
init-lambda-state: (-1)
starting value for the lambda state (integer). Specifies which columm of the lambda vec-
tor (coul-lambdas,vdw-lambdas,bonded-lambdas,restraint-lambdas,
mass-lambdas,temperature-lambdas,fep-lambdas) should be used. This is
a zero-based index: init-lambda-state 0 means the first column, and so on.
fep-lambdas: ()
Zero, one or more lambda values for which Delta H values will be determined and written to
dhdl.xvg every nstdhdl steps. Values must be between 0 and 1. Free energy differences
between different lambda values can then be determined with g_bar.fep-lambdas is
different from the other -lambdas keywords because all components of the lambda vector
that are not specified will use fep-lambdas (including restraint-lambdas and therefore
the pull code restraints).
coul-lambdas: ()
Zero, one or more lambda values for which Delta H values will be determined and written
to dhdl.xvg every nstdhdl steps. Values must be between 0 and 1. Only the electro-
static interactions are controlled with this component of the lambda vector (and only if the
lambda=0 and lambda=1 states have differing electrostatic interactions).
vdw-lambdas: ()
Zero, one or more lambda values for which Delta H values will be determined and written
to dhdl.xvg every nstdhdl steps. Values must be between 0 and 1. Only the van der Waals
interactions are controlled with this component of the lambda vector.
bonded-lambdas: ()
Zero, one or more lambda values for which Delta H values will be determined and written
to dhdl.xvg every nstdhdl steps. Values must be between 0 and 1. Only the bonded
interactions are controlled with this component of the lambda vector.
restraint-lambdas: ()
Zero, one or more lambda values for which Delta H values will be determined and written to
dhdl.xvg every nstdhdl steps. Values must be between 0 and 1. Only the restraint inter-
actions: dihedral restraints, and the pull code restraints are controlled with this component
of the lambda vector.
mass-lambdas: ()
Zero, one or more lambda values for which Delta H values will be determined and written to
dhdl.xvg every nstdhdl steps. Values must be between 0 and 1. Only the particle masses
are controlled with this component of the lambda vector.

7.3. Run Parameters 211
temperature-lambdas: ()
Zero, one or more lambda values for which Delta H values will be determined and written
to dhdl.xvg every nstdhdl steps. Values must be between 0 and 1. Only the temperatures
controlled with this component of the lambda vector. Note that these lambdas should not be
used for replica exchange, only for simulated tempering.
calc-lambda-neighbors (1)
Controls the number of lambda values for which Delta H values will be calculated and writ-
ten out, if init-lambda-state has been set. A positive value will limit the number of
lambda points calculated to only the nth neighbors of init-lambda-state: for exam-
ple, if init-lambda-state is 5 and this parameter has a value of 2, energies for lambda
points 3-7 will be calculated and writen out. A value of -1 means all lambda points will be
written out. For normal BAR such as with g bar, a value of 1 is sufficient, while for MBAR
-1 should be used.
sc-alpha: (0)
the soft-core alpha parameter, a value of 0 results in linear interpolation of the LJ and
Coulomb interactions
sc-r-power: (6)
the power of the radial term in the soft-core equation. Possible values are 6 and 48. 6 is
more standard, and is the default. When 48 is used, then sc-alpha should generally be much
lower (between 0.001 and 0.003).
sc-coul: (no)
Whether to apply the soft core free energy interaction transformation to the Columbic inter-
action of a molecule. Default is no, as it is generally more efficient to turn off the Coulomic
interactions linearly before turning off the van der Waals interactions.
sc-power: (0)
the power for lambda in the soft-core function, only the values 1 and 2 are supported
sc-sigma: (0.3) [nm]
the soft-core sigma for particles which have a C6 or C12 parameter equal to zero or a sigma
smaller than sc-sigma
couple-moltype:
Here one can supply a molecule type (as defined in the topology) for calculating solvation
or coupling free energies. There is a special option system that couples all molecule types
in the system. This can be useful for equilibrating a system starting from (nearly) random
coordinates. free-energy has to be turned on. The Van der Waals interactions and/or
charges in this molecule type can be turned on or off between lambda=0 and lambda=1,
depending on the settings of couple-lambda0 and couple-lambda1. If you want to
decouple one of several copies of a molecule, you need to copy and rename the molecule
definition in the topology.
couple-lambda0:

212 Chapter 7. Run parameters and Programs
vdw-q
all interactions are on at lambda=0
vdw
the charges are zero (no Coulomb interactions) at lambda=0
q
the Van der Waals interactions are turned at lambda=0; soft-core interactions will be
required to avoid singularities
none
the Van der Waals interactions are turned off and the charges are zero at lambda=0;
soft-core interactions will be required to avoid singularities.
couple-lambda1:
analogous to couple-lambda1, but for lambda=1
couple-intramol:
no
All intra-molecular non-bonded interactions for moleculetype couple-moltype
are replaced by exclusions and explicit pair interactions. In this manner the decou-
pled state of the molecule corresponds to the proper vacuum state without periodicity
effects.
yes
The intra-molecular Van der Waals and Coulomb interactions are also turned on/off.
This can be useful for partitioning free-energies of relatively large molecules, where
the intra-molecular non-bonded interactions might lead to kinetically trapped vacuum
conformations. The 1-4 pair interactions are not turned off.
nstdhdl: (100)
the frequency for writing dH/dlambda and possibly Delta H to dhdl.xvg, 0 means no ouput,
should be a multiple of nstcalcenergy.
dhdl-derivatives: (yes)
If yes (the default), the derivatives of the Hamiltonian with respect to lambda at each
nstdhdl step are written out. These values are needed for interpolation of linear energy
differences with g_bar (although the same can also be achieved with the right foreign
lambda setting, that may not be as flexible), or with thermodynamic integration
dhdl-print-energy: (no)
Include the total energy in the dhdl file. This information is needed for later analysis if the
states of interest in the free e energy calculation are at different temperatures. If all are at
the same temperature, this information is not needed.
separate-dhdl-file: (yes)
yes
the free energy values that are calculated (as specified with the foreign-lambda
and dhdl-derivatives settings) are written out to a separate file, with the default
name dhdl.xvg. This file can be used directly with g_bar.

7.3. Run Parameters 213
no
The free energy values are written out to the energy output file (ener.edr, in accu-
mulated blocks at every nstenergy steps), where they can be extracted with g_-
energy or used directly with g_bar.
dh-hist-size: (0)
If nonzero, specifies the size of the histogram into which the Delta H values (specified with
foreign-lambda) and the derivative dH/dl values are binned, and written to ener.edr.
This can be used to save disk space while calculating free energy differences. One histogram
gets written for each foreign lambda and two for the dH/dl, at every nstenergy step.
Be aware that incorrect histogram settings (too small size or too wide bins) can introduce
errors. Do not use histograms unless you’re certain you need it.
dh-hist-spacing (0.1)
Specifies the bin width of the histograms, in energy units. Used in conjunction with dh-hist-size.
This size limits the accuracy with which free energies can be calculated. Do not use his-
tograms unless you’re certain you need it.
7.3.24 Expanded Ensemble calculations
nstexpanded
The number of integration steps beween attempted moves changing the system Hamiltonian
in expanded ensemble simulations. Must be a multiple of nstcalcenergy, but can be
greater or less than nstdhdl.
lmc-stats:
no
No Monte Carlo in state space is performed.
metropolis-transition
Uses the Metropolis weights to update the expanded ensemble weight of each state.
Min1,exp(-(beta new u new - beta old u old)
barker-transition
Uses the Barker transition critera to update the expanded ensemble weight of each
state i, defined by exp(-beta new u new)/[exp(-beta new u new)+exp(-beta old u old)
wang-landau
Uses the Wang-Landau algorithm (in state space, not energy space) to update the ex-
panded ensemble weights.
min-variance
Uses the minimum variance updating method of Escobedo et al. to update the ex-
panded ensemble weights. Weights will not be the free energies, but will rather em-
phasize states that need more sampling to give even uncertainty.
lmc-mc-move:
no
No Monte Carlo in state space is performed.

214 Chapter 7. Run parameters and Programs
metropolis-transition
Randomly chooses a new state up or down, then uses the Metropolis critera to decide
whether to accept or reject: Min1,exp(-(beta new u new - beta old u old)
barker-transition
Randomly chooses a new state up or down, then uses the Barker transition critera to de-
cide whether to accept or reject: exp(-beta new u new)/[exp(-beta new u new)+exp(-
beta old u old)]
gibbs
Uses the conditional weights of the state given the coordinate (exp(-beta i u i) / sum k
exp(beta i u i) to decide which state to move to.
metropolized-gibbs
Uses the conditional weights of the state given the coordinate (exp(-beta i u i) / sum -
k exp(beta i u i) to decide which state to move to, EXCLUDING the current state,
then uses a rejection step to ensure detailed balance. Always more efficient that Gibbs,
though only marginally so in many situations, such as when only the nearest neighbors
have decent phase space overlap.
lmc-seed:
random seed to use for Monte Carlo moves in state space. If not specified, ld-seed is
used instead.
mc-temperature:
Temperature used for acceptance/rejection for Monte Carlo moves. If not specified, the
temperature of the simulation specified in the first group of ref_t is used.
wl-ratio: (0.8)
The cutoff for the histogram of state occupancies to be reset, and the free energy incrementor
to be reset as delta -¿ delta*wl-scale. If we define the Nratio = (number of samples at each
histogram) / (average number of samples at each histogram). wl-ratio of 0.8 means that
means that the histogram is only considered flat if all Nratio >0.8 AND simultaneously all
1/Nratio >0.8.
wl-scale: (0.8)
Each time the histogram is considered flat, then the current value of the Wang-Landau in-
crementor for the free energies is multiplied by wl-scale. Value must be between 0 and
1.
init-wl-delta: (1.0)
The initial value of the Wang-Landau incrementor in kT. Some value near 1 kT is usually
most efficient, though sometimes a value of 2-3 in units of kT works better if the free energy
differences are large.
wl-oneovert: (no)
Set Wang-Landau incrementor to scale with 1/(simulation time) in the large sample limit.
There is significant evidence that the standard Wang-Landau algorithms in state space pre-
sented here result in free energies getting ’burned in’ to incorrect values that depend on the

7.3. Run Parameters 215
initial state. when wl-oneovert is true, then when the incrementor becomes less than
1/N, where N is the mumber of samples collected (and thus proportional to the data collec-
tion time, hence ’1 over t’), then the Wang-Lambda incrementor is set to 1/N, decreasing
every step. Once this occurs, wl-ratio is ignored, but the weights will still stop updating
when the equilibration criteria set in lmc-weights-equil is achieved.
lmc-repeats: (1)
Controls the number of times that each Monte Carlo swap type is performed each iteration.
In the limit of large numbers of Monte Carlo repeats, then all methods converge to Gibbs
sampling. The value will generally not need to be different from 1.
lmc-gibbsdelta: (-1)
Limit Gibbs sampling to selected numbers of neighboring states. For Gibbs sampling, it is
sometimes inefficient to perform Gibbs sampling over all of the states that are defined. A
positive value of lmc-gibbsdelta means that only states plus or minus lmc-gibbsdelta
are considered in exchanges up and down. A value of -1 means that all states are considered.
For less than 100 states, it is probably not that expensive to include all states.
lmc-forced-nstart: (0)
Force initial state space sampling to generate weights. In order to come up with reasonable
initial weights, this setting allows the simulation to drive from the initial to the final lambda
state, with lmc-forced-nstart steps at each state before moving on to the next lambda
state. If lmc-forced-nstart is sufficiently long (thousands of steps, perhaps), then the
weights will be close to correct. However, in most cases, it is probably better to simply run
the standard weight equilibration algorithms.
nst-transition-matrix: (-1)
Frequency of outputting the expanded ensemble transition matrix. A negative number means
it will only be printed at the end of the simulation.
symmetrized-transition-matrix: (no)
Whether to symmetrize the empirical transition matrix. In the infinite limit the matrix will be
symmetric, but will diverge with statistical noise for short timescales. Forced symmetriza-
tion, by using the matrix T sym = 1/2 (T + transpose(T)), removes problems like the exis-
tence of (small magnitude) negative eigenvalues.
mininum-var-min: (100)
The min-variance strategy (option of lmc-stats is only valid for larger number of
samples, and can get stuck if too few samples are used at each state. mininum-var-min
is the minimum number of samples that each state that are allowed before the min-variance
strategy is activated if selected.
init-lambda-weights:
The initial weights (free energies) used for the expanded ensemble states. Default is a vector
of zero weights. format is similar to the lambda vector settings in fep-lambdas, except
the weights can be any floating point number. Units are kT. Its length must match the lambda
vector lengths.
lmc-weights-equil: (no)

216 Chapter 7. Run parameters and Programs
no
Expanded ensemble weights continue to be updated throughout the simulation.
yes
The input expanded ensemble weights are treated as equilibrated, and are not updated
throughout the simulation.
wl-delta
Expanded ensemble weight updating is stopped when the Wang-Landau incrementor
falls below the value specified by weight-equil-wl-delta.
number-all-lambda
Expanded ensemble weight updating is stopped when the number of samples at all of
the lambda states is greater than the value specified by weight-equil-number-all-lambda.
number-steps
Expanded ensemble weight updating is stopped when the number of steps is greater
than the level specified by weight-equil-number-steps.
number-samples
Expanded ensemble weight updating is stopped when the number of total samples
across all lambda states is greater than the level specified by weight-equil-number-samples.
count-ratio
Expanded ensemble weight updating is stopped when the ratio of samples at the least
sampled lambda state and most sampled lambda state greater than the value specified
by weight-equil-count-ratio.
simulated-tempering: (no)
Turn simulated tempering on or off. Simulated tempering is implemented as expanded
ensemble sampling with different temperatures instead of different Hamiltonians.
sim-temp-low: (300)
Low temperature for simulated tempering.
sim-temp-high: (300)
High temperature for simulated tempering.
simulated-tempering-scaling: (linear)
Controls the way that the temperatures at intermediate lambdas are calculated from the
temperature-lambda part of the lambda vector.
linear
Linearly interpolates the temperatures using the values of temperature-lambda,i.e.
if sim-temp-low=300, sim-temp-high=400, then lambda=0.5 correspond to a
temperature of 350. A nonlinear set of temperatures can always be implemented with
uneven spacing in lambda.
geometric
Interpolates temperatures geometrically between sim-temp-low and sim-temp-high.
The i:th state has temperature sim-temp-low * (sim-temp-high/sim-temp-low)
raised to the power of (i/(ntemps-1)). This should give roughly equal exchange for
constant heat capacity, though of course things simulations that involve protein fold-
ing have very high heat capacity peaks.

7.3. Run Parameters 217
exponential
Interpolates temperatures exponentially between sim-temp-low and sim-temp-high.
The ith state has temperature sim-temp-low + (sim-temp-high-sim-temp-low)*((exp(temperature-lambdas[i])-
1)/(exp(1.0)-1)).
7.3.25 Non-equilibrium MD
acc-grps:
groups for constant acceleration (e.g.:Protein Sol) all atoms in groups Protein and Sol
will experience constant acceleration as specified in the accelerate line
accelerate: (0) [nm ps−2]
acceleration for acc-grps; x, y and z for each group (e.g. 0.1 0.0 0.0 -0.1 0.0
0.0 means that first group has constant acceleration of 0.1 nm ps−2in X direction, second
group the opposite).
freezegrps:
Groups that are to be frozen (i.e. their X, Y, and/or Z position will not be updated; e.g.
Lipid SOL). freezedim specifies for which dimension the freezing applies. To avoid
spurious contibrutions to the virial and pressure due to large forces between completely
frozen atoms you need to use energy group exclusions, this also saves computing time.
Note that coordinates of frozen atoms are not scaled by pressure-coupling algorithms.
freezedim:
dimensions for which groups in freezegrps should be frozen, specify Yor Nfor X, Y
and Z and for each group (e.g. YYNNNNmeans that particles in the first group can
move only in Z direction. The particles in the second group can move in any direction).
cos-acceleration: (0) [nm ps−2]
the amplitude of the acceleration profile for calculating the viscosity. The acceleration is
in the X-direction and the magnitude is cos-acceleration cos(2 pi z/boxheight). Two
terms are added to the energy file: the amplitude of the velocity profile and 1/viscosity.
deform: (0 0 0 0 0 0) [nm ps−1]
The velocities of deformation for the box elements: a(x) b(y) c(z) b(x) c(x) c(y). Each step
the box elements for which deform is non-zero are calculated as: box(ts)+(t-ts)*deform,
off-diagonal elements are corrected for periodicity. The coordinates are transformed accord-
ingly. Frozen degrees of freedom are (purposely) also transformed. The time ts is set to t at
the first step and at steps at which x and v are written to trajectory to ensure exact restarts.
Deformation can be used together with semiisotropic or anisotropic pressure coupling when
the appropriate compressibilities are set to zero. The diagonal elements can be used to strain
a solid. The off-diagonal elements can be used to shear a solid or a liquid.
7.3.26 Electric fields
E-x ; E-y ; E-z:
If you want to use an electric field in a direction, enter 3 numbers after the appropriate E-*,

218 Chapter 7. Run parameters and Programs
the first number: the number of cosines, only 1 is implemented (with frequency 0) so enter
1, the second number: the strength of the electric field in V nm−1, the third number: the
phase of the cosine, you can enter any number here since a cosine of frequency zero has no
phase.
E-xt; E-yt; E-zt:
not implemented yet
¡h3¿Mixed quantum/classical molecular dynamics¡!–QuietIdx¿QM/MM¡!–EQuietIdx–¿¡/h3¿
QMMM:
no
No QM/MM.
yes
Do a QM/MM simulation. Several groups can be described at different QM levels sep-
arately. These are specified in the QMMM-grps field separated by spaces. The level of
¡i¿ab initio¡/i¿ theory at which the groups are described is specified by QMmethod and
QMbasis Fields. Describing the groups at different levels of theory is only possible
with the ONIOM QM/MM scheme, specified by QMMMscheme.
QMMM-grps:
groups to be descibed at the QM level
QMMMscheme:
normal
normal QM/MM. There can only be one QMMM-grps that is modelled at the QMmethod
and QMbasis level of ab initio theory. The rest of the system is described at the
MM level. The QM and MM subsystems interact as follows: MM point charges are
included in the QM one-electron hamiltonian and all Lennard-Jones interactions are
described at the MM level.
ONIOM
The interaction between the subsystem is described using the ONIOM method by Mo-
rokuma and co-workers. There can be more than one QMMM-grps each modeled at a
different level of QM theory (QMmethod and QMbasis).
QMmethod: (RHF)
Method used to compute the energy and gradients on the QM atoms. Available methods are
AM1, PM3, RHF, UHF, DFT, B3LYP, MP2, CASSCF, and MMVB. For CASSCF, the num-
ber of electrons and orbitals included in the active space is specified by CASelectrons
and CASorbitals.
QMbasis: (STO-3G)
Basis set used to expand the electronic wavefuntion. Only Gaussian basis sets are currently
available, i.e. STO-3G, 3-21G, 3-21G*, 3-21+G*, 6-21G, 6-31G, 6-31G*, 6-31+G*, and
6-311G.

7.3. Run Parameters 219
QMcharge: (0) [integer]
The total charge in eof the QMMM-grps. In case there are more than one QMMM-grps,
the total charge of each ONIOM layer needs to be specified separately.
QMmult: (1) [integer]
The multiplicity of the QMMM-grps. In case there are more than one QMMM-grps, the
multiplicity of each ONIOM layer needs to be specified separately.
CASorbitals: (0) [integer]
The number of orbitals to be included in the active space when doing a CASSCF computa-
tion.
CASelectrons: (0) [integer]
The number of electrons to be included in the active space when doing a CASSCF compu-
tation.
SH:
no
No surface hopping. The system is always in the electronic ground-state.
yes
Do a QM/MM MD simulation on the excited state-potential energy surface and en-
force a diabatic hop to the ground-state when the system hits the conical intersection
hyperline in the course the simulation. This option only works in combination with
the CASSCF method.
7.3.27 Implicit solvent
implicit-solvent:
no
No implicit solvent
GBSA
Do a simulation with implicit solvent using the Generalized Born formalism. Three
different methods for calculating the Born radii are available, Still, HCT and OBC.
These are specified with the gb-algorithm field. The non-polar solvation is speci-
fied with the sa-algorithm field.
gb-algorithm:
Still
Use the Still method to calculate the Born radii
HCT
Use the Hawkins-Cramer-Truhlar method to calculate the Born radii
OBC
Use the Onufriev-Bashford-Case method to calculate the Born radii

220 Chapter 7. Run parameters and Programs
nstgbradii: (1) [steps]
Frequency to (re)-calculate the Born radii. For most practial purposes, setting a value larger
than 1 violates energy conservation and leads to unstable trajectories.
rgbradii: (1.0) [nm]
Cut-off for the calculation of the Born radii. Currently must be equal to rlist
gb-epsilon-solvent: (80)
Dielectric constant for the implicit solvent
gb-saltconc: (0) [M]
Salt concentration for implicit solvent models, currently not used
gb-obc-alpha (1); gb-obc-beta (0.8); gb-obc-gamma (4.85);
Scale factors for the OBC model. Default values are OBC(II). Values for OBC(I) are 0.8, 0
and 2.91 respectively
gb-dielectric-offset: (0.009) [nm]
Distance for the di-electric offset when calculating the Born radii. This is the offset between
the center of each atom the center of the polarization energy for the corresponding atom
sa-algorithm
Ace-approximation
Use an Ace-type approximation (default)
None
No non-polar solvation calculation done. For GBSA only the polar part gets calculated
sa-surface-tension: [kJ mol−1nm−2]
Default value for surface tension with SA algorithms. The default value is -1; Note that
if this default value is not changed it will be overridden by grompp using values that
are specific for the choice of radii algorithm (0.0049 kcal/mol/Angstrom2for Still, 0.0054
kcal/mol/Angstrom2for HCT/OBC) Setting it to 0 will while using an sa-algorithm other
than None means no non-polar calculations are done.
7.3.28 Adaptive Resolution Simulation
adress: (no)
Decide whether the AdResS feature is turned on.
adress-type: (Off)
Off
Do an AdResS simulation with weight equal 1, which is equivalent to an explicit (nor-
mal) MD simulation. The difference to disabled AdResS is that the AdResS variables
are still read-in and hence are defined.
Constant
Do an AdResS simulation with a constant weight, adress-const-wf defines the
value of the weight

7.3. Run Parameters 221
XSplit
Do an AdResS simulation with simulation box split in x-direction, so basically the
weight is only a function of the x coordinate and all distances are measured using the
x coordinate only.
Sphere
Do an AdResS simulation with spherical explicit zone.
adress-const-wf: (1)
Provides the weight for a constant weight simulation (adress-type=Constant)
adress-ex-width: (0)
Width of the explicit zone, measured from adress-reference-coords.
adress-hy-width: (0)
Width of the hybrid zone.
adress-reference-coords: (0,0,0)
Position of the center of the explicit zone. Periodic boundary conditions apply for measuring
the distance from it.
adress-cg-grp-names
The names of the coarse-grained energy groups. All other energy groups are considered
explicit and their interactions will be automatically excluded with the coarse-grained groups.
adress-site: (COM) The mapping point from which the weight is calculated.
COM
The weight is calculated from the center of mass of each charge group.
COG
The weight is calculated from the center of geometry of each charge group.
Atom
The weight is calculated from the position of 1st atom of each charge group.
AtomPerAtom
The weight is calculated from the position of each individual atom.
adress-interface-correction: (Off)
Off
Do not a apply any interface correction.
thermoforce
Apply thermodynamic force interface correction. The table can be specified using the
-tabletf option of mdrun. The table should contain the potential and force (acting
on molecules) as function of the distance from adress-reference-coords.
adress-tf-grp-names
The names of the energy groups to which the thermoforce is applied if enabled in
adress-interface-correction. If no group is given the default table is applied.
adress-ex-forcecap: (0)
Cap the force in the hybrid region, useful for big molecules. 0 disables force capping.

222 Chapter 7. Run parameters and Programs
7.3.29 User defined thingies
user1-grps; user2-grps:
userint1 (0); userint2 (0); userint3 (0); userint4 (0)
userreal1 (0); userreal2 (0); userreal3 (0); userreal4 (0)
These you can use if you modify code. You can pass integers and reals to your subroutine.
Check the inputrec definition in src/include/types/inputrec.h
7.4 Programs by topic
Generating topologies and coordinates
editconf edits the box and writes subgroups
g_protonate protonates structures
g_x2top generates a primitive topology from coordinates
genbox solvates a system
genconf multiplies a conformation in ’random’ orientations
genion generates mono atomic ions on energetically favorable positions
genrestr generates position restraints or distance restraints for index groups
pdb2gmx converts coordinate files to topology and FF-compliant coordinate files
Running a simulation
grompp makes a run input file
mdrun performs a simulation, do a normal mode analysis or an energy minimiza-
tion
tpbconv makes a run input file for restarting a crashed run
Viewing trajectories
g_nmtraj generate a virtual trajectory from an eigenvector
ngmx displays a trajectory
Processing energies
g_enemat extracts an energy matrix from an energy file
g_energy writes energies to xvg files and displays averages
mdrun with -rerun (re)calculates energies for trajectory frames
Converting files
editconf converts and manipulates structure files
eneconv converts energy files
g_sigeps convert c6/12 or c6/cn combinations to and from sigma/epsilon
trjcat concatenates trajectory files

7.4. Programs by topic 223
trjconv converts and manipulates trajectory files
xpm2ps converts XPM matrices to encapsulated postscript (or XPM)
Tools
g_analyze analyzes data sets
g_dyndom interpolate and extrapolate structure rotations
g_filter frequency filters trajectories, useful for making smooth movies
g_lie free energy estimate from linear combinations
g_morph linear interpolation of conformations
g_pme_error estimates the error of using PME with a given input file
g_select selects groups of atoms based on flexible textual selections
g_sham read/write xmgr and xvgr data sets
g_spatial calculates the spatial distribution function
g_traj plots x, v and f of selected atoms/groups (and more) from a trajectory
g_tune_pme time mdrun as a function of PME nodes to optimize settings
g_wham weighted histogram analysis after umbrella sampling
gmxcheck checks and compares files
gmxdump makes binary files human readable
make_ndx makes index files
mk_angndx generates index files for g angle
trjorder orders molecules according to their distance to a group
xpm2ps convert XPM (XPixelMap) file to postscript
Distances between structures
g_cluster clusters structures
g_confrms fits two structures and calculates the rmsd
g_rms calculates rmsd’s with a reference structure and rmsd matrices
g_rmsf calculates atomic fluctuations
Distances in structures over time
g_bond calculates distances between atoms
g_dist calculates the distances between the centers of mass of two groups
g_mindist calculates the minimum distance between two groups
g_mdmat calculates residue contact maps
g_polystat calculates static properties of polymers
g_rmsdist calculates atom pair distances averaged with power -2, -3 or -6
Mass distribution properties over time
g_gyrate calculates the radius of gyration
g_msd calculates mean square displacements
g_polystat calculates static properties of polymers
g_rdf calculates radial distribution functions
g_rotacf calculates the rotational correlation function for molecules
g_rotmat plots the rotation matrix for fitting to a reference structure
g_sans computes the small angle neutron scattering spectra

224 Chapter 7. Run parameters and Programs
g_traj plots x, v, f, box, temperature and rotational energy
g_vanhove calculates Van Hove displacement functions
Analyzing bonded interactions
g_angle calculates distributions and correlations for angles and dihedrals
g_bond calculates bond length distributions
mk_angndx generates index files for g angle
Structural properties
g_anadock cluster structures from Autodock runs
g_bundle analyzes bundles of axes, e.g. helices
g_clustsize calculate size distributions of atomic clusters
g_disre analyzes distance restraints
g_hbond computes and analyzes hydrogen bonds
g_order computes the order parameter per atom for carbon tails
g_principal calculates axes of inertia for a group of atoms
g_rdf calculates radial distribution functions
g_saltbr computes salt bridges
g_sas computes solvent accessible surface area
g_sgangle computes the angle and distance between two groups
g_sorient analyzes solvent orientation around solutes
g_spol analyzes solvent dipole orientation and polarization around solutes
Kinetic properties
g_bar calculates free energy difference estimates through Bennett’s acceptance
ratio
g_current calculate current autocorrelation function of system
g_dos analyzes density of states and properties based on that
g_dyecoupl extracts dye dynamics from trajectories
g_kinetics analyzes kinetic constants from properties based on the Eyring model
g_principal calculate principal axes of inertion for a group of atoms
g_tcaf calculates viscosities of liquids
g_traj plots x, v, f, box, temperature and rotational energy
g_vanhove compute Van Hove correlation function
g_velacc calculates velocity autocorrelation functions
Electrostatic properties
g_current calculates dielectric constants for charged systems
g_dielectric calculates frequency dependent dielectric constants
g_dipoles computes the total dipole plus fluctuations
g_potential calculates the electrostatic potential across the box
g_spol analyze dipoles around a solute
genion generates mono atomic ions on energetically favorable positions
Protein-specific analysis

7.4. Programs by topic 225
do_dssp assigns secondary structure and calculates solvent accessible surface area
g_chi calculates everything you want to know about chi and other dihedrals
g_helix calculates basic properties of alpha helices
g_helixorientcalculates local pitch/bending/rotation/orientation inside helices
g_rama computes Ramachandran plots
g_wheel plots helical wheels
g_xrama shows animated Ramachandran plots
Interfaces
g_bundle analyzes bundles of axes, e.g. transmembrane helices
g_density calculates the density of the system
g_densmap calculates 2D planar or axial-radial density maps
g_densorder calculate surface fluctuations
g_h2order computes the orientation of water molecules
g_hydorder computes tetrahedrality parameters around a given atom
g_order computes the order parameter per atom for carbon tails
g_membed embeds a protein into a lipid bilayer
g_potential calculates the electrostatic potential across the box
Covariance analysis
g_anaeig analyzes the eigenvectors
g_covar calculates and diagonalizes the covariance matrix
make_edi generate input files for essential dynamics sampling
Normal modes
g_anaeig analyzes the normal modes
g_nmeig diagonalizes the Hessian
g_nmtraj generate oscillating trajectory of an eigenmode
g_nmens generates an ensemble of structures from the normal modes
grompp makes a run input file
mdrun finds a potential energy minimum and calculates the Hessian

226 Chapter 7. Run parameters and Programs
Chapter 8
Analysis
In this chapter different ways of analyzing your trajectory are described. The names of the cor-
responding analysis programs are given. Specific information on the in- and output of these pro-
grams can be found in the online manual at www.gromacs.org. The output files are often produced
as finished Grace/Xmgr graphs.
First, in sec. 8.1, the group concept in analysis is explained. Then, the different analysis tools are
presented.
8.1 Using Groups
make_ndx, mk_angndx
In chapter 3, it was explained how groups of atoms can be used in mdrun (see sec. 3.3). In most
analysis programs, groups of atoms must also be chosen. Most programs can generate several
default index groups, but groups can always be read from an index file. Let’s consider the example
of a simulation of a binary mixture of components A and B. When we want to calculate the radial
distribution function (RDF) gAB(r)of A with respect to B, we have to calculate:
4πr2gAB(r) = V
NA
X
i∈A
NB
X
j∈B
P(r)(8.1)
where Vis the volume and P(r)is the probability of finding a B atom at distance rfrom an A
atom.
By having the user define the atom numbers for groups A and B in a simple file, we can calculate
this gAB in the most general way, without having to make any assumptions in the RDF program
about the type of particles.
Groups can therefore consist of a series of atom numbers, but in some cases also of molecule
numbers. It is also possible to specify a series of angles by triples of atom numbers, dihedrals
by quadruples of atom numbers and bonds or vectors (in a molecule) by pairs of atom numbers.
When appropriate the type of index file will be specified for the following analysis programs. To

228 Chapter 8. Analysis
help creating such index files (index.ndx), there are a couple of programs to generate them,
using either your input configuration or the topology. To generate an index file consisting of a
series of atom numbers (as in the example of gAB), use make_ndx or g_select. To generate
an index file with angles or dihedrals, use mk_angndx. Of course you can also make them by
hand. The general format is presented here:
[ Oxygen ]
147
[ Hydrogen ]
2356
8 9
First, the group name is written between square brackets. The following atom numbers may be
spread out over as many lines as you like. The atom numbering starts at 1.
Each tool that can use groups will offer the available alternatives for the user to choose. That
choice can be made with the number of the group, or its name. In fact, the first few letters of the
group name will suffice if that will distinguish the group from all others. There are ways to use
Unix shell features to choose group names on the command line, rather than interactively. Consult
www.gromacs.org for suggestions.
8.1.1 Default Groups
When no index file is supplied to analysis tools or grompp, a number of default groups are
generated to choose from:
System
all atoms in the system
Protein
all protein atoms
Protein-H
protein atoms excluding hydrogens
C-alpha
Cαatoms
Backbone
protein backbone atoms; N, Cαand C
MainChain
protein main chain atoms: N, Cα, C and O, including oxygens in C-terminus
MainChain+Cb
protein main chain atoms including Cβ

8.1. Using Groups 229
MainChain+H
protein main chain atoms including backbone amide hydrogens and hydrogens on the N-
terminus
SideChain
protein side chain atoms; that is all atoms except N, Cα, C, O, backbone amide hydrogens,
oxygens in C-terminus and hydrogens on the N-terminus
SideChain-H
protein side chain atoms excluding all hydrogens
Prot-Masses
protein atoms excluding dummy masses (as used in virtual site constructions of NH3groups
and tryptophan side-chains), see also sec. 5.2.2; this group is only included when it differs
from the “Protein” group
Non-Protein
all non-protein atoms
DNA
all DNA atoms
RNA
all RNA atoms
Water
water molecules (names like SOL,WAT,HOH, etc.) See residuetypes.dat for a full
listing
non-Water
anything not covered by the Water group
Ion
any name matching an Ion entry in residuetypes.dat
Water_and_Ions
combination of the Water and Ions groups
molecule_name
for all residues/molecules which are not recognized as protein, DNA, or RNA; one group
per residue/molecule name is generated
Other
all atoms which are neither protein, DNA, nor RNA.
Empty groups will not be generated. Most of the groups only contain protein atoms. An atom is
considered a protein atom if its residue name is listed in the residuetypes.dat file and is
listed as a “Protein” entry. The process for determinding DNA, RNA, etc. is analogous. If you
need to modify these classifications, then you can copy the file from the library directory into your
working directory and edit the local copy.

230 Chapter 8. Analysis
Figure 8.1: The window of ngmx showing a box of water.
8.1.2 Selections
g_select
GROMACS also includes a g_select tool that can be used to select atoms based on more flex-
ible criteria than in make_ndx, including selecting atoms based on their coordinates. Currently,
the tool is experimental and only supports some basic operations, but in the future the function-
ality is planned to be included in other analysis tools as well. A description of possible ways to
select atoms can be read by running g_select and typing help at the selection prompt that
appears. It is also possible to write your own analysis tools to take advantage of the flexibility of
these selections: see the template.c file in the share/gromacs/template directory of
your installation for an example.
8.2 Looking at your trajectory
ngmx
Before analyzing your trajectory it is often informative to look at your trajectory first. GROMACS
comes with a simple trajectory viewer ngmx; the advantage with this one is that it does not require
OpenGL, which usually isn’t present on e.g. supercomputers. It is also possible to generate a hard-
copy in Encapsulated Postscript format (see Fig. 8.1). If you want a faster and more fancy viewer
there are several programs that can read the GROMACS trajectory formats – have a look at our
homepage (www.gromacs.org) for updated links.

8.3. General properties 231
8.3 General properties
g_energy, g_traj
To analyze some or all energies and other properties, such as total pressure,pressure tensor,
density,box-volume and box-sizes, use the program g_energy. A choice can be made from a list
a set of energies, like potential, kinetic or total energy, or individual contributions, like Lennard-
Jones or dihedral energies.
The center-of-mass velocity, defined as
vcom =1
M
N
X
i=1
mivi(8.2)
with M=PN
i=1 mithe total mass of the system, can be monitored in time by the program g_-
traj -com -ov. It is however recommended to remove the center-of-mass velocity every step
(see chapter 3)!
8.4 Radial distribution functions
g_rdf
The radial distribution function (RDF) or pair correlation function gAB(r)between particles of
type Aand Bis defined in the following way:
gAB(r) = hρB(r)i
hρBilocal
=1
hρBilocal
1
NA
NA
X
i∈A
NB
X
j∈B
δ(rij −r)
4πr2
(8.3)
with hρB(r)ithe particle density of type Bat a distance raround particles A, and hρBilocal the
particle density of type Baveraged over all spheres around particles Awith radius rmax (see
Fig. 8.2C).
Usually the value of rmax is half of the box length. The averaging is also performed in time. In
practice the analysis program g_rdf divides the system into spherical slices (from rto r+dr,
see Fig. 8.2A) and makes a histogram in stead of the δ-function. An example of the RDF of
oxygen-oxygen in SPC water [79] is given in Fig. 8.3.
With g_rdf it is also possible to calculate an angle dependent rdf gAB(r, θ), where the angle θis
defined with respect to a certain laboratory axis e, see Fig. 8.2B.
gAB(r, θ) = 1
hρBilocal, θ
1
NA
NA
X
i∈A
NB
X
j∈B
δ(rij −r)δ(θij −θ)
2πr2sin(θ)(8.4)
cos(θij) = rij ·e
krijk kek(8.5)
This gAB(r, θ)is useful for analyzing anisotropic systems. Note that in this case the normalization
hρBilocal, θ is the average density in all angle slices from θto θ+dθ up to rmax, so angle dependent,
see Fig. 8.2D.

232 Chapter 8. Analysis
r
r+dr r+dr
r
θ+dθθ
e
A B
DC
Figure 8.2: Definition of slices in g_rdf: A. gAB (r). B. gAB(r, θ). The slices are colored gray.
C. Normalization hρBilocal. D. Normalization hρBilocal, θ. Normalization volumes are colored
gray.
0 0.2 0.4 0.6 0.8 1 1.2
r (nm)
0
0.5
1
1.5
2
2.5
3
g(r)
Figure 8.3: gOO(r)for Oxygen-Oxygen of SPC-water.

8.5. Correlation functions 233
8.5 Correlation functions
8.5.1 Theory of correlation functions
The theory of correlation functions is well established [97]. We describe here the implementation
of the various correlation function flavors in the GROMACS code. The definition of the (ACF)
Cf(t)for a property f(t)is:
Cf(t) = hf(ξ)f(ξ+t)iξ(8.6)
where the notation on the right hand side indicates averaging over ξ,i.e. over time origins. It is
also possible to compute cross-correlation function from two properties f(t)and g(t):
Cfg(t) = hf(ξ)g(ξ+t)iξ(8.7)
however, in GROMACS there is no standard mechanism to do this (note: you can use the xmgr
program to compute cross correlations). The integral of the correlation function over time is the
correlation time τf:
τf=Z∞
0
Cf(t)dt(8.8)
In practice, correlation functions are calculated based on data points with discrete time intervals
∆t, so that the ACF from an MD simulation is:
Cf(j∆t) = 1
N−j
N−1−j
X
i=0
f(i∆t)f((i+j)∆t)(8.9)
where Nis the number of available time frames for the calculation. The resulting ACF is obviously
only available at time points with the same interval ∆t. Since, for many applications, it is necessary
to know the short time behavior of the ACF (e.g. the first 10 ps) this often means that we have to
save the data with intervals much shorter than the time scale of interest. Another implication of
eqn. 8.9 is that in principle we can not compute all points of the ACF with the same accuracy, since
we have N−1data points for Cf(∆t)but only 1 for Cf((N−1)∆t). However, if we decide to
compute only an ACF of length M∆t, where M≤N/2we can compute all points with the same
statistical accuracy:
Cf(j∆t) = 1
M
N−1−M
X
i=0
f(i∆t)f((i+j)∆t)(8.10)
Here of course j < M.Mis sometimes referred to as the time lag of the correlation function.
When we decide to do this, we intentionally do not use all the available points for very short time
intervals (j << M), but it makes it easier to interpret the results. Another aspect that may not be
neglected when computing ACFs from simulation is that usually the time origins ξ(eqn. 8.6) are
not statistically independent, which may introduce a bias in the results. This can be tested using a
block-averaging procedure, where only time origins with a spacing at least the length of the time
lag are included, e.g. using ktime origins with spacing of M∆t(where kM ≤N):
Cf(j∆t) = 1
k
k−1
X
i=0
f(iM∆t)f((iM +j)∆t)(8.11)
However, one needs very long simulations to get good accuracy this way, because there are many
fewer points that contribute to the ACF.

234 Chapter 8. Analysis
8.5.2 Using FFT for computation of the ACF
The computational cost for calculating an ACF according to eqn. 8.9 is proportional to N2, which
is considerable. However, this can be improved by using fast Fourier transforms to do the convo-
lution [97].
8.5.3 Special forms of the ACF
There are some important varieties on the ACF, e.g. the ACF of a vector p:
Cp(t) = Z∞
0
Pn(cos 6(p(ξ),p(ξ+t)) dξ(8.12)
where Pn(x)is the nth order Legendre polynomial 1. Such correlation times can actually be ob-
tained experimentally using e.g. NMR or other relaxation experiments. GROMACS can compute
correlations using the 1st and 2nd order Legendre polynomial (eqn. 8.12). This can also be used
for rotational autocorrelation (g_rotacf) and dipole autocorrelation (g_dipoles).
In order to study torsion angle dynamics, we define a dihedral autocorrelation function as [148]:
C(t) = hcos(θ(τ)−θ(τ+t))iτ(8.13)
Note that this is not a product of two functions as is generally used for correlation functions, but
it may be rewritten as the sum of two products:
C(t) = hcos(θ(τ)) cos(θ(τ+t)) + sin(θ(τ)) sin(θ(τ+t))iτ(8.14)
8.5.4 Some Applications
The program g_velacc calculates the velocity autocorrelation function.
Cv(τ) = hvi(τ)·vi(0)ii∈A(8.15)
The self diffusion coefficient can be calculated using the Green-Kubo relation [97]:
DA=1
3Z∞
0hvi(t)·vi(0)ii∈Adt (8.16)
which is just the integral of the velocity autocorrelation function. There is a widely-held belief
that the velocity ACF converges faster than the mean square displacement (sec. 8.6), which can
also be used for the computation of diffusion constants. However, Allen & Tildesley [97] warn us
that the long-time contribution to the velocity ACF can not be ignored, so care must be taken.
Another important quantity is the dipole correlation time. The dipole correlation function for
particles of type Ais calculated as follows by g_dipoles:
Cµ(τ) = hµi(τ)·µi(0)ii∈A(8.17)
1P0(x) = 1,P1(x) = x,P2(x) = (3x2−1)/2

8.6. Mean Square Displacement 235
200 250 300 350 400
Time (ps)
0
1000
2000
3000
4000
MSD (nm2)
D = 3.50 10-5cm-2s-1
Figure 8.4: Mean Square Displacement of SPC-water.
with µi=Pj∈irjqj. The dipole correlation time can be computed using eqn. 8.8. For some
applications see [149].
The viscosity of a liquid can be related to the correlation time of the Pressure tensor P[150,151].
g_energy can compute the viscosity, but this is not very accurate [132], and actually the values
do not converge.
8.6 Mean Square Displacement
g_msd
To determine the self DAof particles of type A, one can use the Einstein relation [97]:
lim
t→∞hkri(t)−ri(0)k2ii∈A= 6DAt(8.18)
This mean square displacement and DAare calculated by the program g_msd. Normally an index
file containing atom numbers is used and the MSD is averaged over these atoms. For molecules
consisting of more than one atom, rican be taken as the center of mass positions of the molecules.
In that case, you should use an index file with molecule numbers. The results will be nearly
identical to averaging over atoms, however. The g_msd program can also be used for calculating
diffusion in one or two dimensions. This is useful for studying lateral diffusion on interfaces.
An example of the mean square displacement of SPC water is given in Fig. 8.4.
8.7 Bonds, angles and dihedrals
g_bond, g_angle, g_sgangle
To monitor specific bonds in your molecules during time, the program g_bond calculates the dis-
tribution of the bond length in time. The index file consists of pairs of atom numbers, for example

236 Chapter 8. Analysis
φ = 0φ = 0
A B
Figure 8.5: Dihedral conventions: A. “Biochemical convention”. B. “Polymer convention”.
[ bonds_1 ]
1 2
3 4
9 10
[ bonds_2 ]
12 13
The program g_angle calculates the distribution of angles and dihedrals in time. It also gives
the average angle or dihedral. The index file consists of triplets or quadruples of atom numbers:
[ angles ]
123
234
345
[ dihedrals ]
1234
2355
For the dihedral angles you can use either the “biochemical convention” (φ= 0 ≡cis) or “poly-
mer convention” (φ= 0 ≡trans), see Fig. 8.5.
To follow specific angles in time between two vectors, a vector and a plane or two planes (defined
by 2 or 3 atoms, respectively, inside your molecule, see Fig. 8.6A, B, C), use the program g_-
sgangle.
For planes, g_sgangle uses the normal vector perpendicular to the plane. It can also calculate
the distance dbetween the geometrical center of two planes (see Fig. 8.6D), and the distances d1
and d2between 2 atoms (of a vector) and the center of a plane defined by 3 atoms (see Fig. 8.6D).
It further calculates the distance dbetween the center of the plane and the middle of this vector.
Depending on the input groups (i.e. groups of 2 or 3 atom numbers), the program decides what
angles and distances to calculate. For example, the index-file could look like this:
[ a_plane ]
123

8.8. Radius of gyration and distances 237
b b
a
φ
2
C
D
d
d
E
φ
d
φ
A B
n
1
d
n
n
Figure 8.6: Options of g_sgangle: A. Angle between 2 vectors. B. Angle between a vector and
the normal of a plane. C. Angle between two planes. D. Distance between the geometrical centers
of 2 planes. E. Distances between a vector and the center of a plane.
[ a_vector ]
4 5
8.8 Radius of gyration and distances
g_gyrate, g_sgangle, g_mindist, g_mdmat, xpm2ps
To have a rough measure for the compactness of a structure, you can calculate the radius of gyra-
tion with the program g_gyrate as follows:
Rg= Pikrik2mi
Pimi!1
2
(8.19)
where miis the mass of atom iand rithe position of atom iwith respect to the center of mass of
the molecule. It is especially useful to characterize polymer solutions and proteins.
Sometimes it is interesting to plot the distance between two atoms, or the minimum distance be-
tween two groups of atoms (e.g.: protein side-chains in a salt bridge). To calculate these distances
between certain groups there are several possibilities:
•The distance between the geometrical centers of two groups can be calculated with the program
g_sgangle, as explained in sec. 8.7.
•The minimum distance between two groups of atoms during time can be calculated with the pro-
gram g_mindist. It also calculates the number of contacts between these groups within
a certain radius rmax.
•To monitor the minimum distances between amino acid residues within a (protein) molecule,
you can use the program g_mdmat. This minimum distance between two residues Aiand

238 Chapter 8. Analysis
21 30 40 50 60 70 80 90
21
30
40
50
60
70
80
90
t=0 ps
Residue Number
0 Distance (nm) 1.2
Figure 8.7: A minimum distance matrix for a peptide [152].
Ajis defined as the smallest distance between any pair of atoms (i ∈Ai, j ∈Aj). The output
is a symmetrical matrix of smallest distances between all residues. To visualize this matrix,
you can use a program such as xv. If you want to view the axes and legend or if you want
to print the matrix, you can convert it with xpm2ps into a Postscript picture, see Fig. 8.7.
Plotting these matrices for different time-frames, one can analyze changes in the structure,
and e.g. forming of salt bridges.
8.9 Root mean square deviations in structure
g_rms, g_rmsdist
The root mean square deviation (RMSD) of certain atoms in a molecule with respect to a refer-
ence structure can be calculated with the program g_rms by least-square fitting the structure to
the reference structure (t2= 0) and subsequently calculating the RMSD (eqn. 8.20).
RMSD(t1, t2) = "1
M
N
X
i=1
mikri(t1)−ri(t2)k2#1
2
(8.20)
where M=PN
i=1 miand ri(t)is the position of atom iat time t.Note that fitting does not
have to use the same atoms as the calculation of the RM SD;e.g. a protein is usually fitted on
the backbone atoms (N,Cα,C), but the RMSD can be computed of the backbone or of the whole
protein.
Instead of comparing the structures to the initial structure at time t= 0 (so for example a crystal
structure), one can also calculate eqn. 8.20 with a structure at time t2=t1−τ. This gives some
insight in the mobility as a function of τ. A matrix can also be made with the RMSD as a function
of t1and t2, which gives a nice graphical interpretation of a trajectory. If there are transitions in a
trajectory, they will clearly show up in such a matrix.

8.10. Covariance analysis 239
Alternatively the RMSD can be computed using a fit-free method with the program g_rmsdist:
RMSD(t) =
1
N2
N
X
i=1
N
X
j=1 krij(t)−rij (0)k2
1
2
(8.21)
where the distance rij between atoms at time tis compared with the distance between the same
atoms at time 0.
8.10 Covariance analysis
Covariance analysis, also called principal component analysis or essential dynamics [153], can
find correlated motions. It uses the covariance matrix Cof the atomic coordinates:
Cij =M
1
2
ii (xi− hxii)M
1
2
jj (xj− hxji)(8.22)
where Mis a diagonal matrix containing the masses of the atoms (mass-weighted analysis) or
the unit matrix (non-mass weighted analysis). Cis a symmetric 3N×3Nmatrix, which can be
diagonalized with an orthonormal transformation matrix R:
RTCR =diag(λ1, λ2, . . . , λ3N)where λ1≥λ2≥. . . ≥λ3N(8.23)
The columns of Rare the eigenvectors, also called principal or essential modes. Rdefines a
transformation to a new coordinate system. The trajectory can be projected on the principal modes
to give the principal components pi(t):
p(t) = RTM1
2(x(t)− hxi)(8.24)
The eigenvalue λiis the mean square fluctuation of principal component i. The first few principal
modes often describe collective, global motions in the system. The trajectory can be filtered along
one (or more) principal modes. For one principal mode ithis goes as follows:
xf(t) = hxi+M−1
2R∗ipi(t)(8.25)
When the analysis is performed on a macromolecule, one often wants to remove the overall rota-
tion and translation to look at the internal motion only. This can be achieved by least square fitting
to a reference structure. Care has to be taken that the reference structure is representative for the
ensemble, since the choice of reference structure influences the covariance matrix.
One should always check if the principal modes are well defined. If the first principal component
resembles a half cosine and the second resembles a full cosine, you might be filtering noise (see
below). A good way to check the relevance of the first few principal modes is to calculate the
overlap of the sampling between the first and second half of the simulation. Note that this can
only be done when the same reference structure is used for the two halves.
A good measure for the overlap has been defined in [154]. The elements of the covariance matrix
are proportional to the square of the displacement, so we need to take the square root of the matrix
to examine the extent of sampling. The square root can be calculated from the eigenvalues λiand

240 Chapter 8. Analysis
the eigenvectors, which are the columns of the rotation matrix R. For a symmetric and diagonally-
dominant matrix Aof size 3N×3Nthe square root can be calculated as:
A1
2=Rdiag(λ
1
2
1, λ
1
2
2, . . . , λ
1
2
3N)RT(8.26)
It can be verified easily that the product of this matrix with itself gives A. Now we can define a
difference dbetween covariance matrices Aand Bas follows:
d(A, B) = str A1
2−B1
22(8.27)
=rtr A+B−2A1
2B1
2(8.28)
=
N
X
i=1 λA
i+λB
i−2
N
X
i=1
N
X
j=1 qλA
iλB
jRA
i·RB
j2
1
2
(8.29)
where tr is the trace of a matrix. We can now define the overlap sas:
s(A, B)=1−d(A, B)
√trA+trB(8.30)
The overlap is 1 if and only if matrices Aand Bare identical. It is 0 when the sampled subspaces
are completely orthogonal.
A commonly-used measure is the subspace overlap of the first few eigenvectors of covariance
matrices. The overlap of the subspace spanned by morthonormal vectors w1,...,wmwith a
reference subspace spanned by northonormal vectors v1,...,vncan be quantified as follows:
overlap(v,w) = 1
n
n
X
i=1
m
X
j=1
(vi·wj)2(8.31)
The overlap will increase with increasing mand will be 1 when set vis a subspace of set w.
The disadvantage of this method is that it does not take the eigenvalues into account. All eigen-
vectors are weighted equally, and when degenerate subspaces are present (equal eigenvalues), the
calculated overlap will be too low.
Another useful check is the cosine content. It has been proven that the the principal components
of random diffusion are cosines with the number of periods equal to half the principal component
index [155,154]. The eigenvalues are proportional to the index to the power −2. The cosine
content is defined as:
2
T ZT
0
cos iπt
Tpi(t)dt!2 ZT
0
p2
i(t)dt!−1
(8.32)
When the cosine content of the first few principal components is close to 1, the largest fluctuations
are not connected with the potential, but with random diffusion.
The covariance matrix is built and diagonalized by g_covar. The principal components and
overlap (and many more things) can be plotted and analyzed with g_anaeig. The cosine content
can be calculated with g_analyze.

8.11. Dihedral principal component analysis 241
D
H
α
A
r
Figure 8.8: Geometrical Hydrogen bond criterion.
8.11 Dihedral principal component analysis
g_angle, g_covar, g_anaeig
Principal component analysis can be performed in dihedral space [156] using GROMACS. You
start by defining the dihedral angles of interest in an index file, either using mk_angndx or
otherwise. Then you use the g_angle program with the -or flag to produce a new .trr file
containing the cosine and sine of each dihedral angle in two coordinates, respectively. That is,
in the .trr file you will have a series of numbers corresponding to: cos(φ1), sin(φ1), cos(φ2),
sin(φ2), ..., cos(φn), sin(φn), and the array is padded with zeros, if necessary. Then you can use this
.trr file as input for the g_covar program and perform principal component analysis as usual.
For this to work you will need to generate a reference file (.tpr,.gro,.pdb etc.) containing
the same number of “atoms” as the new .trr file, that is for ndihedrals you need 2n/3 atoms
(rounded up if not an integer number). You should use the -nofit option for g_covar since
the coordinates in the dummy reference file do not correspond in any way to the information in
the .trr file. Analysis of the results is done using g_anaeig.
8.12 Hydrogen bonds
g_hbond
The program g_hbond analyzes the hydrogen bonds (H-bonds) between all possible donors D
and acceptors A. To determine if an H-bond exists, a geometrical criterion is used, see also Fig. 8.8:
r≤rHB = 0.35 nm
α≤αHB = 30o(8.33)
The value of rHB = 0.35 nm corresponds to the first minimum of the RDF of SPC water (see also
Fig. 8.3).
The program g_hbond analyzes all hydrogen bonds existing between two groups of atoms (which
must be either identical or non-overlapping) or in specified donor-hydrogen-acceptor triplets, in
the following ways:
•Donor-Acceptor distance (r) distribution of all H-bonds
•Hydrogen-Donor-Acceptor angle (α) distribution of all H-bonds
•The total number of H-bonds in each time frame

242 Chapter 8. Analysis
O
DA
H
H
H
(1) (2)
(2)
Figure 8.9: Insertion of water into an H-bond. (1) Normal H-bond between two residues. (2)
H-bonding bridge via a water molecule.
•The number of H-bonds in time between residues, divided into groups n-n+iwhere nand
n+istand for residue numbers and igoes from 0 to 6. The group for i= 6 also includes
all H-bonds for i > 6. These groups include the n-n+3,n-n+4and n-n+5H-bonds, which
provide a measure for the formation of α-helices or β-turns or strands.
•The lifetime of the H-bonds is calculated from the average over all autocorrelation functions
of the existence functions (either 0 or 1) of all H-bonds:
C(τ) = hsi(t)si(t+τ)i(8.34)
with si(t) = {0,1}for H-bond iat time t. The integral of C(τ)gives a rough estimate of
the average H-bond lifetime τHB:
τHB =Z∞
0
C(τ)dτ (8.35)
Both the integral and the complete autocorrelation function C(τ)will be output, so that more
sophisticated analysis (e.g. using multi-exponential fits) can be used to get better estimates
for τHB. A more complete analysis is given in ref. [157]; one of the more fancy option is
the Luzar and Chandler analysis of hydrogen bond kinetics [158,159].
•An H-bond existence map can be generated of dimensions # H-bonds×# frames. The order-
ing is identical to the index file (see below), but reversed, meaning that the last triplet in the
index file corresponds to the first row of the existence map.
•Index groups are output containing the analyzed groups, all donor-hydrogen atom pairs
and acceptor atoms in these groups, donor-hydrogen-acceptor triplets involved in hydrogen
bonds between the analyzed groups and all solvent atoms involved in insertion.
8.13 Protein-related items
do_dssp, g_rama, g_xrama, g_wheel
To analyze structural changes of a protein, you can calculate the radius of gyration or the minimum
residue distances over time (see sec. 8.8), or calculate the RMSD (sec. 8.9).

8.14. Interface-related items 243
0 100 200 300 400 500 600 700 800 900 1000
1
5
10
15
Residue
Time (ps)
Coil Bend Turn A-Helix B-Bridge
Figure 8.10: Analysis of the secondary structure elements of a peptide in time.
C
O
N
C
H
R
C
O
α
N
H
H
ψ
φ
Figure 8.11: Definition of the dihedral angles φand ψof the protein backbone.
You can also look at the changing of secondary structure elements during your run. For this, you
can use the program do_dssp, which is an interface for the commercial program DSSP [160].
For further information, see the DSSP manual. A typical output plot of do_dssp is given in
Fig. 8.10.
One other important analysis of proteins is the so-called Ramachandran plot. This is the projection
of the structure on the two dihedral angles φand ψof the protein backbone, see Fig. 8.11.
To evaluate this Ramachandran plot you can use the program g_rama. A typical output is given
in Fig. 8.12.
It is also possible to generate an animation of the Ramachandran plot in time. This can be useful
for analyzing certain dihedral transitions in your protein. You can use the program g_xrama for
this.
When studying α-helices it is useful to have a helical wheel projection of your peptide, to see
whether a peptide is amphipathic. This can be done using the g_wheel program. Two examples
are plotted in Fig. 8.13.
8.14 Interface-related items
g_order, g_density, g_potential, g_traj
When simulating molecules with long carbon tails, it can be interesting to calculate their average
orientation. There are several flavors of order parameters, most of which are related. The program
g_order can calculate order parameters using the equation:
Sz=3
2hcos2θzi − 1
2(8.36)

244 Chapter 8. Analysis
-180 -90 0 90 180
Φ
-180
-90
0
90
180
Ψ
Figure 8.12: Ramachandran plot of a small protein.
HPr-A HIS-15+
THR-16
ARG-17+
PRO-18
ALA-19
ALA-20
GLN-21
PHE-22
VAL-23
LYS-24+
GLU-25-
ALA-26
LYS-27+
GLY-28
Figure 8.13: Helical wheel projection of the N-terminal helix of HPr.

8.15. Chemical shifts 245
where θzis the angle between the z-axis of the simulation box and the molecular axis under
consideration. The latter is defined as the vector from Cn−1to Cn+1. The parameters Sxand Syare
defined in the same way. The brackets imply averaging over time and molecules. Order parameters
can vary between 1 (full order along the interface normal) and −1/2(full order perpendicular to
the normal), with a value of zero in the case of isotropic orientation.
The program can do two things for you. It can calculate the order parameter for each CH2segment
separately, for any of three axes, or it can divide the box in slices and calculate the average value
of the order parameter per segment in one slice. The first method gives an idea of the ordering of
a molecule from head to tail, the second method gives an idea of the ordering as function of the
box length.
The electrostatic potential (ψ) across the interface can be computed from a trajectory by evaluating
the double integral of the charge density (ρ(z)):
ψ(z)−ψ(−∞) = −Zz
−∞
dz0Zz0
−∞
ρ(z00)dz00/0(8.37)
where the position z=−∞ is far enough in the bulk phase such that the field is zero. With this
method, it is possible to “split” the total potential into separate contributions from lipid and water
molecules. The program g_potential divides the box in slices and sums all charges of the
atoms in each slice. It then integrates this charge density to give the electric field, which is in turn
integrated to give the potential. Charge density, electric field, and potential are written to xvgr
input files.
The program g_traj is a very simple analysis program. All it does is print the coordinates,
velocities, or forces of selected atoms. It can also calculate the center of mass of one or more
molecules and print the coordinates of the center of mass to three files. By itself, this is probably
not a very useful analysis, but having the coordinates of selected molecules or atoms can be very
handy for further analysis, not only in interfacial systems.
The program g_density also calculates the density of groups, but takes the masses into account
and gives a plot of the density against a box axis. This is useful for looking at the distribution of
groups or atoms across the interface.
8.15 Chemical shifts
total, do_shift
You can compute the NMR chemical shifts of protons with the program do_shift. This is just
an GROMACS interface to the public domain program total [161]. For further information,
read the article. Although there is limited support for this in GROMACS, users are encouraged to
use the software provided by David Case’s group at Scripps because it seems to be more up-to-
date.

246 Chapter 8. Analysis
Appendix A
Technical Details
A.1 Installation
The entire GROMACS package is Free Software, licensed under the GNU Lesser General Pub-
lic License; either version 2.1 of the License, or (at your option) any later version. The main
distribution site is our WWW server at www.gromacs.org.
The package is mainly distributed as source code, but others provide packages for Linux and Mac.
Check your Linux distribution tools (search for gromacs). On Mac OS X the port tool will allow
you to install a recent version. On the home page you will find all the information you need
to install the package, mailing lists with archives, and several additional on-line resources like
contributed topologies, etc.
A.2 Single or Double precision
GROMACS can be compiled in either single or double precision. It is very important to note
here that single precision is actually mixed precision. Using single precision for all variables
would lead to a significant reduction in accuracy. Although in single precision all state vectors,
i.e. particle coordinates, velocities and forces, are stored in single precision, critical variables
are double precision. A typical example of the latter is the virial, which is a sum over all forces
in the system, which have varying signs. In addition, in many parts of the code we managed to
avoid double precision for arithmetic, by paying attention to summation order or reorganization of
mathematical expressions. The default choice is single precision, but it is easy to turn on double
precision by adding the option -DGMX_DOUBLE=on to cmake. Double precision will be 20
to 100% slower than single precision depending on the architecture you are running on. Double
precision will use somewhat more memory and run input, energy and full-precision trajectory files
will be almost twice as large. SIMD (single-instruction multiple-data) intrinsics non-bonded force
and/or energy kernels are available for x86 hardware in single and double precision in different
SSE and AVX flavors; the minimum requirement is SSE2. IBM Blue Gene Q intrinsics will be
available soon. Some other parts of the code, especially PME, also employ x86 SIMD intrinsics.

248 Appendix A. Technical Details
All other hardware will use optimized C kernels. The Verlet non-bonded scheme uses SIMD non-
bonded kernels that are C pre-processor macro driven, therefore it is straightforward to implement
SIMD acceleration for new architectures; a guide is provided on www.gromacs.org.
The energies in single precision are accurate up to the last decimal, the last one or two decimals
of the forces are non-significant. The virial is less accurate than the forces, since the virial is only
one order of magnitude larger than the size of each element in the sum over all atoms (sec. B.1).
In most cases this is not really a problem, since the fluctuations in the virial can be two orders
of magnitude larger than the average. Using cut-offs for the Coulomb interactions cause large
errors in the energies, forces, and virial. Even when using a reaction-field or lattice sum method,
the errors are larger than, or comparable to, the errors due to the single precision. Since MD is
chaotic, trajectories with very similar starting conditions will diverge rapidly, the divergence is
faster in single precision than in double precision.
For most simulations single precision is accurate enough. In some cases double precision is re-
quired to get reasonable results:
•normal mode analysis, for the conjugate gradient or l-bfgs minimization and the calculation
and diagonalization of the Hessian
•long-term energy conservation, especially for large systems
A.3 Porting GROMACS
The GROMACS system is designed with portability as a major design goal. However there are
a number of things we assume to be present on the system GROMACS is being ported on. We
assume the following features:
1. A UNIX-like operating system (BSD 4.x or SYSTEM V rev.3 or higher) or UNIX-like
libraries running under e.g. Cygwin
2. an ANSI C compiler
There are some additional features in the package that require extra stuff to be present, but it is
checked for in the configuration script and you will be warned if anything important is missing.
That’s the requirements for a single node system. If you want to compile GROMACS for running a
single simulation across multiple nodes, you also need an MPI library (Message-Passing Interface)
to perform the parallel communication. This is always shipped with supercomputers, and for
workstations you can find links to free MPI implementations through the GROMACS homepage
at www.gromacs.org.
A.4 Environment Variables
GROMACS programs may be influenced by the use of environment variables. First of all, the
variables set in the GMXRC file are essential for running and compiling GROMACS. Some other

A.4. Environment Variables 249
useful environment variables are listed in the following sections. Most environment variables
function by being set in your shell to any non-NULL value. Specific requirements are described
below if other values need to be set. You should consult the documentation for your shell for
instructions on how to set environment variables in the current shell, or in config files for future
shells. Note that requirements for exporting environment variables to jobs run under batch control
systems vary and you should consult your local documentation for details.
Output Control
1. GMX_CONSTRAINTVIR: print constraint virial and force virial energy terms.
2. GMX_MAXBACKUP: GROMACS automatically backs up old copies of files when trying
to write a new file of the same name, and this variable controls the maximum number of
backups that will be made, default 99.
3. GMX_NO_QUOTES: if this is explicitly set, no cool quotes will be printed at the end of a
program.
4. GMX_SUPPRESS_DUMP: prevent dumping of step files during (for example) blowing up
during failure of constraint algorithms.
5. GMX_TPI_DUMP: dump all configurations to a .pdb file that have an interaction energy
less than the value set in this environment variable.
6. GMX_VIEW_XPM:GMX_VIEW_XVG,GMX_VIEW_EPS and GMX_VIEW_PDB, commands
used to automatically view .xvg,.xpm,.eps and .pdb file types, respectively; they
default to xv,xmgrace,ghostview and rasmol. Set to empty to disable automatic
viewing of a particular file type. The command will be forked off and run in the background
at the same priority as the GROMACS tool (which might not be what you want). Be careful
not to use a command which blocks the terminal (e.g. vi), since multiple instances might
be run.
7. GMX_VIRIAL_TEMPERATURE: print virial temperature energy term
8. LOG_BUFS: the size of the buffer for file I/O. When set to 0, all file I/O will be unbuffered
and therefore very slow. This can be handy for debugging purposes, because it ensures that
all files are always totally up-to-date.
9. LOGO: set display color for logo in ngmx.
10. LONGFORMAT: use long float format when printing decimal values.
Debugging
1. DUMPNL: dump neighbor list. If set to a positive number the entire neighbor list is printed
in the log file (may be many megabytes). Mainly for debugging purposes, but may also be
handy for porting to other platforms.
2. WHERE: when set, print debugging info on line numbers.

250 Appendix A. Technical Details
Performance and Run Control
1. DISTGCT: couple distances between two atoms when doing general coupling theory pro-
cesses. The format is a string containing two integers, separated by a space.
2. GALACTIC_DYNAMICS: planetary simulations are made possible (just for fun) by setting
this environment variable, which allows setting epsilon_r = -1 in the .mdp file. Nor-
mally, epsilon_r must be greater than zero to prevent a fatal error. See www.gromacs.org
for example input files for a planetary simulation.
3. GMX_ALLOW_CPT_MISMATCH: when set, runs will not exit if the ensemble set in the
.tpr file does not match that of the .cpt file.
4. GMX_CAPACITY: the maximum capacity of charge groups per processor when using par-
ticle decomposition.
5. GMX_CUDA_NB_DEFAULT: Force the use of the default CUDA non-bonded kernels in-
stead of the legacy ones; mutually exclusive of GMX_CUDA_NB_LEGACY.
6. GMX_CUDA_NB_EWALD_TWINCUT: force the use of twin-range cutoff kernel even if rvdw
=rcoulomb after PP-PME load balancing. The switch to twin-range kernels is automated,
so this variable should be used only for benchmarking.
7. GMX_CUDA_NB_ANA_EWALD: force the use of analytical Ewald kernels. Should be used
only for benchmarking.
8. GMX_CUDA_NB_TAB_EWALD: force the use of tabulated Ewald kernels. Should be used
only for benchmarking.
9. GMX_CUDA_NB_LEGACY: Force the use of the legacy CUDA non-bonded kernels, which
are the default when using the CUDA toolkit versions 3.2 or 4.0 on Fermi NVIDIA GPUs
(compute capability 2.x); mutually exclusive of GMX_CUDA_NB_DEFAULT.
10. GMX_CUDA_STREAMSYNC: force the use of cudaStreamSynchronize on ECC-enabled GPUs,
which leads to performance loss due to a known CUDA driver bug present in API v5.0
NVIDIA drivers (pre-30x.xx). Cannot be set simultaneously with GMX_NO_CUDA_STREAMSYNC.
11. GMX_CYCLE_ALL: times all code during runs. Incompatible with threads.
12. GMX_CYCLE_BARRIER: calls MPI Barrier before each cycle start/stop call.
13. GMX_DD_ORDER_ZYX: build domain decomposition cells in the order (z, y, x) rather than
the default (x, y, z).
14. GMX_DETAILED_PERF_STATS: when set, print slightly more detailed performance in-
formation to the .log file. The resulting output is the way performance summary is re-
ported in versions 4.5.x and thus may be useful for anyone using scripts to parse .log files
or standard output.
15. GMX_DISABLE_CPU_ACCELERATION: disables CPU architecture-specific SIMD-optimized
(SSE2, SSE4, AVX, etc.) non-bonded kernels thus forcing the use of plain C kernels.

A.4. Environment Variables 251
16. GMX_DISABLE_CUDA_TIMING: timing of asynchronously executed GPU operations can
have a non-negligible overhead with short step times. Disabling timing can improve perfor-
mance in these cases.
17. GMX_DISABLE_GPU_DETECTION: when set, disables GPU detection even if mdrun was
compiled with GPU support.
18. GMX_DISABLE_PINHT: disable pinning of consecutive threads to physical cores when
using Intel hyperthreading. Controlled with mdrun -nopinht and thus this environment
variable will likely be removed.
19. GMX_DISRE_ENSEMBLE_SIZE: the number of systems for distance restraint ensemble
averaging. Takes an integer value.
20. GMX_EMULATE_GPU: emulate GPU runs by using algorithmically equivalent CPU refer-
ence code instead of GPU-accelerated functions. As the CPU code is slow, it is intended to
be used only for debugging purposes. The behavior is automatically triggered if non-bonded
calculations are turned off using GMX_NO_NONBONDED case in which the non-bonded cal-
culations will not be called, but the CPU-GPU transfer will also be skipped.
21. GMX_ENX_NO_FATAL: disable exiting upon encountering a corrupted frame in an .edr
file, allowing the use of all frames up until the corruption.
22. GMX_FORCE_UPDATE: update forces when invoking mdrun -rerun.
23. GMX_GPU_ID: set in the same way as the mdrun option -gpu_id,GMX_GPU_ID allows
the user to specify different GPU id-s, which can be useful for selecting different devices on
different compute nodes in a cluster. Cannot be used in conjunction with -gpu_id.
24. GMX_IGNORE_FSYNC_FAILURE_ENV: allow mdrun to continue even if a file is miss-
ing.
25. GMX_LJCOMB_TOL: when set to a floating-point value, overrides the default tolerance of
1e-5 for force-field floating-point parameters.
26. GMX_MAX_MPI_THREADS: sets the maximum number of MPI-threads that mdrun can
use.
27. GMX_MAXCONSTRWARN: if set to -1, mdrun will not exit if it produces too many LINCS
warnings.
28. GMX_NB_GENERIC: use the generic C kernel. Should be set if using the group-based cutoff
scheme and also sets GMX_NO_SOLV_OPT to be true, thus disabling solvent optimizations
as well.
29. GMX_NB_MIN_CI: neighbor list balancing parameter used when running on GPU. Sets
the target minimum number pair-lists in order to improve multi-processor load-balance for
better performance with small simulation systems. Must be set to a positive integer, the
default value is optimized for NVIDIA Fermi and Kepler GPUs, therefore changing it is not
necessary for normal usage, but it can be useful on future architectures.

252 Appendix A. Technical Details
30. GMX_NBLISTCG: use neighbor list and kernels based on charge groups.
31. GMX_NBNXN_CYCLE: when set, print detailed neighbor search cycle counting.
32. GMX_NBNXN_EWALD_ANALYTICAL: force the use of analytical Ewald non-bonded ker-
nels, mutually exclusive of GMX_NBNXN_EWALD_TABLE.
33. GMX_NBNXN_EWALD_TABLE: force the use of tabulated Ewald non-bonded kernels, mu-
tually exclusive of GMX_NBNXN_EWALD_ANALYTICAL.
34. GMX_NBNXN_SIMD_2XNN: force the use of 2x(N+N) SIMD CPU non-bonded kernels,
mutually exclusive of GMX_NBNXN_SIMD_4XN.
35. GMX_NBNXN_SIMD_4XN: force the use of 4xN SIMD CPU non-bonded kernels, mutually
exclusive of GMX_NBNXN_SIMD_2XNN.
36. GMX_NO_ALLVSALL: disables optimized all-vs-all kernels.
37. GMX_NO_CART_REORDER: used in initializing domain decomposition communicators.
Node reordering is default, but can be switched off with this environment variable.
38. GMX_NO_CUDA_STREAMSYNC: the opposite of GMX_CUDA_STREAMSYNC. Disables the
use of the standard cudaStreamSynchronize-based GPU waiting to improve performance
when using CUDA driver API ealier than v5.0 with ECC-enabled GPUs.
39. GMX_NO_INT,GMX_NO_TERM,GMX_NO_USR1: disable signal handlers for SIGINT,
SIGTERM, and SIGUSR1, respectively.
40. GMX_NO_NODECOMM: do not use separate inter- and intra-node communicators.
41. GMX_NO_NONBONDED: skip non-bonded calculations; can be used to estimate the possible
performance gain from adding a GPU accelerator to the current hardware setup – assuming
that this is fast enough to complete the non-bonded calculations while the CPU does bonded
force and PME computation.
42. GMX_NO_PULLVIR: when set, do not add virial contribution to COM pull forces.
43. GMX_NOCHARGEGROUPS: disables multi-atom charge groups, i.e. each atom in all non-
solvent molecules is assigned its own charge group.
44. GMX_NOPREDICT: shell positions are not predicted.
45. GMX_NO_SOLV_OPT: turns off solvent optimizations; automatic if GMX_NB_GENERIC is
enabled.
46. GMX_NSCELL_NCG: the ideal number of charge groups per neighbor searching grid cell
is hard-coded to a value of 10. Setting this environment variable to any other integer value
overrides this hard-coded value.
47. GMX_PME_NTHREADS: set the number of OpenMP or PME threads (overrides the number
guessed by mdrun.

A.4. Environment Variables 253
48. GMX_PME_P3M: use P3M-optimized influence function instead of smooth PME B-spline
interpolation.
49. GMX_PME_THREAD_DIVISION: PME thread division in the format “x y z” for all three
dimensions. The sum of the threads in each dimension must equal the total number of PME
threads (set in GMX_PME_NTHREADS).
50. GMX_PMEONEDD: if the number of domain decomposition cells is set to 1 for both x and y,
decompose PME in one dimension.
51. GMX_REQUIRE_SHELL_INIT: require that shell positions are initiated.
52. GMX_REQUIRE_TABLES: require the use of tabulated Coulombic and van der Waals in-
teractions.
53. GMX_SCSIGMA_MIN: the minimum value for soft-core σ.Note that this value is set using
the sc-sigma keyword in the .mdp file, but this environment variable can be used to
reproduce pre-4.5 behavior with respect to this parameter.
54. GMX_TPIC_MASSES: should contain multiple masses used for test particle insertion into a
cavity. The center of mass of the last atoms is used for insertion into the cavity.
55. GMX_USE_GRAPH: use graph for bonded interactions.
56. GMX_VERLET_BUFFER_RES: resolution of buffer size in Verlet cutoff scheme. The de-
fault value is 0.001, but can be overridden with this environment variable.
57. GMX_VERLET_SCHEME: convert from group-based to Verlet cutoff scheme, even if the
cutoff_scheme is not set to use Verlet in the .mdp file. It is unnecessary since the
-testverlet option of mdrun has the same functionality, but it is maintained for back-
wards compatibility.
58. GMXNPRI: for SGI systems only. When set, gives the default non-degrading priority (npri)
for mdrun,g_covar and g_nmeig,e.g. setting setenv GMXNPRI 250 causes all
runs to be performed at near-lowest priority by default.
59. GMXNPRIALL: same as GMXNPRI, but for all processes.
60. MPIRUN: the mpirun command used by g_tune_pme.
61. MDRUN: the mdrun command used by g_tune_pme.
62. GMX_NSTLIST: sets the default value for nstlist, preventing it from being tuned during
mdrun startup when using the Verlet cutoff scheme.
Analysis and Core Functions
1. ACC: accuracy in Gaussian L510 (MC-SCF) component program.
2. BASENAME: prefix of .tpr files, used in Orca calculations for input and output file names.

254 Appendix A. Technical Details
3. CPMCSCF: when set to a nonzero value, Gaussian QM calculations will iteratively solve the
CP-MCSCF equations.
4. DEVEL_DIR: location of modified links in Gaussian.
5. DSSP: used by do_dssp to point to the dssp executable (not just its path).
6. GAUSS_DIR: directory where Gaussian is installed.
7. GAUSS_EXE: name of the Gaussian executable.
8. GKRWIDTH: spacing used by g_dipoles.
9. GMX_MAXRESRENUM: sets the maximum number of residues to be renumbered by grompp.
A value of -1 indicates all residues should be renumbered.
10. GMX_FFRTP_TER_RENAME: Some force fields (like AMBER) use specific names for N-
and C- terminal residues (NXXX and CXXX) as .rtp entries that are normally renamed.
Setting this environment variable disables this renaming.
11. GMX_PATH_GZIP:gunzip executable, used by g_wham.
12. GMXFONT: name of X11 font used by ngmx.
13. GMXTIMEUNIT: the time unit used in output files, can be anything in fs, ps, ns, us, ms, s,
m or h.
14. MEM: memory used for Gaussian QM calculation.
15. MULTIPROT: name of the multiprot executable, used by the contributed program do_-
multiprot.
16. NCPUS: number of CPUs to be used for Gaussian QM calculation
17. OPENMM_PLUGIN_DIR: the location of OpenMM plugins, needed for mdrun-gpu.
18. ORCA_PATH: directory where Orca is installed.
19. SASTEP: simulated annealing step size for Gaussian QM calculation.
20. STATE: defines state for Gaussian surface hopping calculation.
21. TESTMC: perform 1000 random swaps in Monte Carlo clustering method within g_cluster.
22. TOTAL: name of the total executable used by the contributed do_shift program.
23. VERBOSE: make g_energy and eneconv loud and noisy.
24. VMD_PLUGIN_PATH: where to find VMD plug-ins. Needed to be able to read file formats
recognized only by a VMD plug-in.
25. VMDDIR: base path of VMD installation.
26. XMGR: sets viewer to xmgr (deprecated) instead of xmgrace.

A.5. Running GROMACS in parallel 255
A.5 Running GROMACS in parallel
By default GROMACS will be compiled with the built-in threaded MPI library. This library sup-
ports MPI communication between threads instead of between processes. To run GROMACS in
parallel over multiple nodes in a cluster of a supercomputer, you need to configure and compile
GROMACS with an external MPI library. All supercomputers are shipped with MPI libraries op-
timized for that particular platform, and if you are using a cluster of workstations there are several
good free MPI implementations; Open MPI is usually a good choice. Once you have an MPI li-
brary installed it’s trivial to compile GROMACS with MPI support: Just pass the option -DGMX_-
MPI=on to cmake and (re-)compile. Please see www.gromacs.org for more detailed instructions.
Note that in addition to MPI parallelization, GROMACS supports thread-parallelization through
OpenMP. MPI and OpenMP parallelization can be combined, which results in, so called, hybrid
parallelization. See www.gromacs.org for details on use and performance of the parallelization
schemes.
For communications over multiple nodes connected by a network, there is a program usually called
mpirun with which you can start the parallel processes. A typical command line could look like:
mpirun -np 10 mdrun_mpi -s topol -v
With the implementation of threading available by default in GROMACS version 4.5, if you have a
single machine with multiple processors you don’t have to use the mpirun command, or compile
with MPI. Instead, you can allow GROMACS to determine the number of threads automatically,
or use the mdrun option -nt:mdrun -nt 8 -s topol.tpr
Check your local manuals (or online manual) for exact details of your MPI implementation.
If you are interested in programming MPI yourself, you can find manuals and reference literature
on the internet.
A.6 Running GROMACS on GPUs
As of version 4.6, GROMACS has native GPU support through CUDA. Note that GROMACS only
off-loads the most compute intensive parts to the GPU, currently the non-bonded interactions, and
does all other parts of the MD calculation on the CPU. The requirements for the CUDA code are
an Nvidia GPU with compute capability ≥2.0, i.e. at least Fermi class. In many cases cmake
can auto-detect GPUs and the support will be configured automatically. To be sure GPU support is
configured, pass the -DGMX_GPU=on option to cmake. The actual use of GPUs is decided at run
time by mdrun, depending on the availability of (suitable) GPUs and on the run input settings. A
binary compiled with GPU support can also run CPU only simulations. Use mdrun -nb cpu to
force a simulation to run on CPUs only. Only simulations with the Verlet cut-off scheme will run
on a GPU. To test performance of old tpr files with GPUs, you can use the -testverlet option
of mdrun, but as this doesn’t do the full parameter consistency check of grommp, you should not
use this option for production simulations. Getting good performance with GROMACS on GPUs
is easy, but getting best performance can be difficult. Please check www.gromacs.org for up to
date information on GPU usage.

256 Appendix A. Technical Details

Appendix B
Some implementation details
In this chapter we will present some implementation details. This is far from complete, but we
deemed it necessary to clarify some things that would otherwise be hard to understand.
B.1 Single Sum Virial in GROMACS
The virial Ξcan be written in full tensor form as:
Ξ = −1
2
N
X
i<j
rij ⊗Fij (B.1)
where ⊗denotes the direct product of two vectors.1When this is computed in the inner loop of
an MD program 9 multiplications and 9 additions are needed.2
Here it is shown how it is possible to extract the virial calculation from the inner loop [162].
B.1.1 Virial
In a system with , the periodicity must be taken into account for the virial:
Ξ = −1
2
N
X
i<j
rn
ij ⊗Fij (B.2)
where rn
ij denotes the distance vector of the nearest image of atom ifrom atom j. In this definition
we add a shift vector δito the position vector riof atom i. The difference vector rn
ij is thus equal
to:
rn
ij =ri+δi−rj(B.3)
or in shorthand:
rn
ij =rn
i−rj(B.4)
1(u⊗v)αβ =uαvβ
2The calculation of Lennard-Jones and Coulomb forces is about 50 floating point operations.

258 Appendix B. Some implementation details
In a triclinic system, there are 27 possible images of i; when a truncated octahedron is used, there
are 15 possible images.
B.1.2 Virial from non-bonded forces
Here the derivation for the single sum virial in the non-bonded force routine is given. i6=jin all
formulae below.
Ξ = −1
2
N
X
i<j
rn
ij ⊗Fij (B.5)
=−1
4
N
X
i=1
N
X
j=1
(ri+δi−rj)⊗Fij (B.6)
=−1
4
N
X
i=1
N
X
j=1
(ri+δi)⊗Fij −rj⊗Fij (B.7)
=−1
4
N
X
i=1
N
X
j=1
(ri+δi)⊗Fij −
N
X
i=1
N
X
j=1
rj⊗Fij
(B.8)
=−1
4
N
X
i=1
(ri+δi)⊗
N
X
j=1
Fij −
N
X
j=1
rj⊗
N
X
i=1
Fij
(B.9)
=−1
4
N
X
i=1
(ri+δi)⊗Fi+
N
X
j=1
rj⊗Fj
(B.10)
=−1
4 2
N
X
i=1
ri⊗Fi+
N
X
i=1
δi⊗Fi!(B.11)
In these formulae we introduced:
Fi=
N
X
j=1
Fij (B.12)
Fj=
N
X
i=1
Fji (B.13)
which is the total force on iwith respect to j. Because we use Newton’s Third Law:
Fij =−Fji (B.14)
we must, in the implementation, double the term containing the shift δi.
B.1.3 The intra-molecular shift (mol-shift)
For the bonded forces and SHAKE it is possible to make a mol-shift list, in which the periodicity
is stored. We simple have an array mshift in which for each atom an index in the shiftvec
array is stored.

B.1. Single Sum Virial in GROMACS 259
The algorithm to generate such a list can be derived from graph theory, considering each particle
in a molecule as a bead in a graph, the bonds as edges.
1 Represent the bonds and atoms as bidirectional graph
2 Make all atoms white
3 Make one of the white atoms black (atom i) and put it in the central box
4 Make all of the neighbors of ithat are currently white, gray
5 Pick one of the gray atoms (atom j), give it the correct periodicity with respect to any of its
black neighbors and make it black
6 Make all of the neighbors of jthat are currently white, gray
7 If any gray atom remains, go to [5]
8 If any white atom remains, go to [3]
Using this algorithm we can
•optimize the bonded force calculation as well as SHAKE
•calculate the virial from the bonded forces in the single sum method again
Find a representation of the bonds as a bidirectional graph.
B.1.4 Virial from Covalent Bonds
Since the covalent bond force gives a contribution to the virial, we have:
b=krn
ijk(B.15)
Vb=1
2kb(b−b0)2(B.16)
Fi=−∇Vb(B.17)
=kb(b−b0)rn
ij
b(B.18)
Fj=−Fi(B.19)
The virial contribution from the bonds then is:
Ξb=−1
2(rn
i⊗Fi+rj⊗Fj)(B.20)
=−1
2rn
ij ⊗Fi(B.21)

260 Appendix B. Some implementation details
B.1.5 Virial from SHAKE
An important contribution to the virial comes from shake. Satisfying the constraints a force Gthat
is exerted on the particles “shaken.” If this force does not come out of the algorithm (as in standard
SHAKE) it can be calculated afterward (when using leap-frog) by:
∆ri=ri(t+ ∆t)−[ri(t) + vi(t−∆t
2)∆t+Fi
mi
∆t2](B.22)
Gi=mi∆ri
∆t2(B.23)
This does not help us in the general case. Only when no periodicity is needed (like in rigid water)
this can be used, otherwise we must add the virial calculation in the inner loop of SHAKE.
When it is applicable the virial can be calculated in the single sum way:
Ξ = −1
2
Nc
X
i
ri⊗Fi(B.24)
where Ncis the number of constrained atoms.
B.2 Optimizations
Here we describe some of the algorithmic optimizations used in GROMACS, apart from par-
allelism. One of these, the implementation of the 1.0/sqrt(x) function is treated separately in
sec. B.3. The most important other optimizations are described below.
B.2.1 Inner Loops for Water
GROMACS uses special inner loops to calculate non-bonded interactions for water molecules with
other atoms, and yet another set of loops for interactions between pairs of water molecules. There
highly optimized loops for two types of water models. For three site models similar to SPC [79],
i.e.:
1. There are three atoms in the molecule.
2. The whole molecule is a single charge group.
3. The first atom has Lennard-Jones (sec. 4.1.1) and Coulomb (sec. 4.1.3) interactions.
4. Atoms two and three have only Coulomb interactions, and equal charges.
These loops also works for the SPC/E [163] and TIP3P [103] water models. And for four site
water models similar to TIP4P [103]:
1. There are four atoms in the molecule.
2. The whole molecule is a single charge group.

B.3. Computation of the 1.0/sqrt function 261
3. The first atom has only Lennard-Jones (sec. 4.1.1) interactions.
4. Atoms two and three have only Coulomb (sec. 4.1.3) interactions, and equal charges.
5. Atom four has only Coulomb interactions.
The benefit of these implementations is that there are more floating-point operations in a single
loop, which implies that some compilers can schedule the code better. However, it turns out that
even some of the most advanced compilers have problems with scheduling, implying that manual
tweaking is necessary to get optimum performance. This may include common-sub-expression
elimination, or moving code around.
B.2.2 Fortran Code
Unfortunately, on a few platforms Fortran compilers are still better than C-compilers. For some
machines (e.g. SGI Power Challenge) the difference may be up to a factor of 3, in the case of vector
computers this may be even larger. Therefore, some of the routines that take up a lot of computer
time have been translated into Fortran and even assembly code for Intel and AMD x86 processors.
In most cases, the Fortran or assembly loops should be selected automatically by the configure
script when appropriate, but you can also tweak this by setting options to the configure script.
B.3 Computation of the 1.0/sqrt function
B.3.1 Introduction
The GROMACS project started with the development of a 1/√xprocessor that calculates:
Y(x) = 1
√x(B.25)
As the project continued, the Intel i860 processor was used to implement GROMACS, which now
turned into almost a full software project. The 1/√xprocessor was implemented using a Newton-
Raphson iteration scheme for one step. For this it needed look-up tables to provide the initial
approximation. The 1/√xfunction makes it possible to use two almost independent tables for the
exponent seed and the fraction seed with the IEEE floating-point representation.
B.3.2 General
According to [164] the 1/√xfunction can be evaluated using the Newton-Raphson iteration
scheme. The inverse function is:
X(y) = 1
y2(B.26)
So instead of calculating:
Y(a) = q(B.27)
the equation:
X(q)−a= 0 (B.28)

262 Appendix B. Some implementation details
| {z }| {z }
?
FES
02331
V alue = (−1)S(2E−127)(1.F )
02331
V alue = (−1)S(2E−127)(1.F )
Figure B.1: IEEE single-precision floating-point format
can now be solved using Newton-Raphson. An iteration is performed by calculating:
yn+1 =yn−f(yn)
f0(yn)(B.29)
The absolute error ε, in this approximation is defined by:
ε≡yn−q(B.30)
Using Taylor series expansion to estimate the error results in:
εn+1 =−ε2
n
2
f00(yn)
f0(yn)(B.31)
according to [164] equation (3.2). This is an estimation of the absolute error.
B.3.3 Applied to floating-point numbers
Floating-point numbers in IEEE 32 bit single-precision format have a nearly constant relative error
of ∆x/x = 2−24. As seen earlier in the Taylor series expansion equation (eqn. B.31), the error in
every iteration step is absolute and in general dependent of y. If the error is expressed as a relative
error εrthe following holds:
εrn+1 ≡εn+1
y(B.32)
and so:
εrn+1 =−(εn
y)2yf00
2f0(B.33)
For the function f(y) = y−2the term yf 00/2f0is constant (equal to −3/2) so the relative error
εrnis independent of y.
εrn+1 =3
2(εrn)2(B.34)
The conclusion of this is that the function 1/√xcan be calculated with a specified accuracy.

B.3. Computation of the 1.0/sqrt function 263
B.3.4 Specification of the look-up table
To calculate the function 1/√xusing the previously mentioned iteration scheme, it is clear that the
first estimation of the solution must be accurate enough to get precise results. The requirements
for the calculation are
•Maximum possible accuracy with the used IEEE format
•Use only one iteration step for maximum speed
The first requirement states that the result of 1/√xmay have a relative error εrequal to the
εrof a IEEE 32 bit single-precision floating-point number. From this, the 1/√xof the initial
approximation can be derived, rewriting the definition of the relative error for succeeding steps
(eqn. B.34):
εn
y=sεrn+1
2f0
yf00 (B.35)
So for the look-up table the needed accuracy is:
∆Y
Y=r2
32−24 (B.36)
which defines the width of the table that must be ≥13 bit.
At this point the relative error, εrn, of the look-up table is known. From this the maximum relative
error in the argument can be calculated as follows. The absolute error ∆xis defined as:
∆x≡∆Y
Y0(B.37)
and thus:
∆x
Y=∆Y
Y(Y0)−1(B.38)
and thus:
∆x=constant Y
Y0(B.39)
For the 1/√xfunction, Y/Y 0∼xholds, so ∆x/x =constant. This is a property of the used
floating-point representation as earlier mentioned. The needed accuracy of the argument of the
look-up table follows from:
∆x
x=−2∆Y
Y(B.40)
So, using the floating-point accuracy (eqn. B.36):
∆x
x=−2r2
32−24 (B.41)
This defines the length of the look-up table which should be ≥12 bit.

264 Appendix B. Some implementation details
B.3.5 Separate exponent and fraction computation
The used IEEE 32 bit single-precision floating-point format specifies that a number is represented
by a exponent and a fraction. The previous section specifies for every possible floating-point
number the look-up table length and width. Only the size of the fraction of a floating-point number
defines the accuracy. The conclusion from this can be that the size of the look-up table is length of
look-up table, earlier specified, times the size of the exponent (21228,1Mb). The 1/√xfunction
has the property that the exponent is independent of the fraction. This becomes clear if the floating-
point representation is used. Define:
x≡(−1)S(2E−127)(1.F )(B.42)
See Fig. B.1, where 0≤S≤1,0≤E≤255,1≤1.F < 2and S,E,Finteger (normalization
conditions). The sign bit (S) can be omitted because 1/√xis only defined for x > 0. The 1/√x
function applied to xresults in:
y(x) = 1
√x(B.43)
or:
y(x) = 1
q(2E−127)(1.F )
(B.44)
This can be rewritten as:
y(x) = (2E−127)−1/2(1.F )−1/2(B.45)
Define:
(2E0−127)≡(2E−127)−1/2(B.46)
1.F 0≡(1.F )−1/2(B.47)
Then 1
√2<1.F 0≤1holds, so the condition 1≤1.F 0<2, which is essential for normalized real
representation, is not valid anymore. By introducing an extra term, this can be corrected. Rewrite
the 1/√xfunction applied to floating-point numbers (eqn. B.45) as:
y(x) = (2127−E
2−1)(2(1.F )−1/2)(B.48)
and:
(2E0−127)≡(2127−E
2−1)(B.49)
1.F 0≡2(1.F )−1/2(B.50)
Then √2<1.F ≤2holds. This is not the exact valid range as defined for normalized floating-
point numbers in eqn. B.42. The value 2causes the problem. By mapping this value on the nearest
representation <2, this can be solved. The small error that is introduced by this approximation is
within the allowable range.
The integer representation of the exponent is the next problem. Calculating (2127−E
2−1)introduces
a fractional result if (127 −E) = odd. This is again easily accounted for by splitting up the
calculation into an odd and an even part. For (127 −E) = even E0in equation (eqn. B.49) can
be exactly calculated in integer arithmetic as a function of E.
E0=127 −E
2+ 126 (B.51)

B.4. Modifying GROMACS 265
For (127 −E) = odd equation (eqn. B.45) can be rewritten as:
y(x) = (2127−E−1
2)(1.F
2)−1/2(B.52)
Thus:
E0=126 −E
2+ 127 (B.53)
which also can be calculated exactly in integer arithmetic. Note that the fraction is automatically
corrected for its range earlier mentioned, so the exponent does not need an extra correction.
The conclusions from this are:
•The fraction and exponent look-up table are independent. The fraction look-up table exists
of two tables (odd and even exponent) so the odd/even information of the exponent (lsb bit)
has to be used to select the right table.
•The exponent table is an 256 x 8 bit table, initialized for odd and even.
B.3.6 Implementation
The look-up tables can be generated by a small C program, which uses floating-point numbers
and operations with IEEE 32 bit single-precision format. Note that because of the odd/even
information that is needed, the fraction table is twice the size earlier specified (13 bit i.s.o. 12 bit).
The function according to eqn. B.29 has to be implemented. Applied to the 1/√xfunction, equa-
tion eqn. B.28 leads to:
f=a−1
y2(B.54)
and so:
f0=2
y3(B.55)
so:
yn+1 =yn−a−1
y2
n
2
y3
n
(B.56)
or:
yn+1 =yn
2(3 −ay2
n)(B.57)
Where y0can be found in the look-up tables, and y1gives the result to the maximum accuracy. It
is clear that only one iteration extra (in double precision) is needed for a double-precision result.
B.4 Modifying GROMACS
The following files have to be edited in case you want to add a bonded potential of any type.
1. include/bondf.h
2. include/types/idef.h

266 Appendix B. Some implementation details
3. include/types/nrnb.h
4. include/types/enums.h
5. include/grompp.h
6. src/kernel/topdirs.c
7. src/gmxlib/tpxio.c
8. src/gmxlib/bondfree.c
9. src/gmxlib/ifunc.c
10. src/gmxlib/nrnb.c
11. src/kernel/convparm.c
12. src/kernel/topdirs.c
13. src/kernel/topio.c

Appendix C
Averages and fluctuations
C.1 Formulae for averaging
Note: this section was taken from ref [165].
When analyzing a MD trajectory averages hxiand fluctuations
D(∆x)2E1
2=D[x− hxi]2E1
2(C.1)
of a quantity xare to be computed. The variance σxof a series of Nxvalues, {xi}, can be computed
from
σx=
Nx
X
i=1
x2
i−1
Nx Nx
X
i=1
xi!2
(C.2)
Unfortunately this formula is numerically not very accurate, especially when σ
1
2
xis small compared
to the values of xi. The following (equivalent) expression is numerically more accurate
σx=
Nx
X
i=1
[xi− hxi]2(C.3)
with
hxi=1
Nx
Nx
X
i=1
xi(C.4)
Using eqns. C.2 and C.4 one has to go through the series of xivalues twice, once to determine
hxiand again to compute σx, whereas eqn. C.1 requires only one sequential scan of the series
{xi}. However, one may cast eqn. C.2 in another form, containing partial sums, which allows for
a sequential update algorithm. Define the partial sum
Xn,m =
m
X
i=n
xi(C.5)

268 Appendix C. Averages and fluctuations
and the partial variance
σn,m =
m
X
i=nxi−Xn,m
m−n+ 12
(C.6)
It can be shown that
Xn,m+k=Xn,m +Xm+1,m+k(C.7)
and
σn,m+k=σn,m +σm+1,m+k+Xn,m
m−n+ 1 −Xn,m+k
m+k−n+ 1 2
∗
(m−n+ 1)(m+k−n+ 1)
k(C.8)
For n= 1 one finds
σ1,m+k=σ1,m +σm+1,m+k+X1,m
m−X1,m+k
m+k2m(m+k)
k(C.9)
and for n= 1 and k= 1 (eqn. C.8) becomes
σ1,m+1 =σ1,m +X1,m
m−X1,m+1
m+ 1 2
m(m+ 1) (C.10)
=σ1,m +[X1,m −mxm+1 ]2
m(m+ 1) (C.11)
where we have used the relation
X1,m+1 =X1,m +xm+1 (C.12)
Using formulae (eqn. C.11) and (eqn. C.12) the average
hxi=X1,Nx
Nx
(C.13)
and the fluctuation
D(∆x)2E1
2=σ1,Nx
Nx1
2(C.14)
can be obtained by one sweep through the data.
C.2 Implementation
In GROMACS the instantaneous energies E(m)are stored in the energy file, along with the values
of σ1,m and X1,m. Although the steps are counted from 0, for the energy and fluctuations steps are
counted from 1. This means that the equations presented here are the ones that are implemented.
We give somewhat lengthy derivations in this section to simplify checking of code and equations
later on.

C.2. Implementation 269
C.2.1 Part of a Simulation
It is not uncommon to perform a simulation where the first part, e.g. 100 ps, is taken as equili-
bration. However, the averages and fluctuations as printed in the log file are computed over the
whole simulation. The equilibration time, which is now part of the simulation, may in such a case
invalidate the averages and fluctuations, because these numbers are now dominated by the initial
drift towards equilibrium.
Using eqns. C.7 and C.8 the average and standard deviation over part of the trajectory can be
computed as:
Xm+1,m+k=X1,m+k−X1,m (C.15)
σm+1,m+k=σ1,m+k−σ1,m −X1,m
m−X1,m+k
m+k2m(m+k)
k(C.16)
or, more generally (with p≥1and q≥p):
Xp,q =X1,q −X1,p−1(C.17)
σp,q =σ1,q −σ1,p−1−X1,p−1
p−1−X1,q
q2(p−1)q
q−p+ 1 (C.18)
Note that implementation of this is not entirely trivial, since energies are not stored every time
step of the simulation. We therefore have to construct X1,p−1and σ1,p−1from the information at
time pusing eqns. C.11 and C.12:
X1,p−1=X1,p −xp(C.19)
σ1,p−1=σ1,p −[X1,p−1−(p−1)xp]2
(p−1)p(C.20)
C.2.2 Combining two simulations
Another frequently occurring problem is, that the fluctuations of two simulations must be com-
bined. Consider the following example: we have two simulations (A) of nand (B) of msteps, in
which the second simulation is a continuation of the first. However, the second simulation starts
numbering from 1 instead of from n+ 1. For the partial sum this is no problem, we have to add
XA
1,n from run A:
XAB
1,n+m=XA
1,n +XB
1,m (C.21)
When we want to compute the partial variance from the two components we have to make a
correction ∆σ:
σAB
1,n+m=σA
1,n +σB
1,m + ∆σ(C.22)
if we define xAB
ias the combined and renumbered set of data points we can write:
σAB
1,n+m=
n+m
X
i=1 "xAB
i−XAB
1,n+m
n+m#2
(C.23)

270 Appendix C. Averages and fluctuations
and thus
n+m
X
i=1 "xAB
i−XAB
1,n+m
n+m#2
=
n
X
i=1 "xA
i−XA
1,n
n#2
+
m
X
i=1 "xB
i−XB
1,m
m#2
+ ∆σ(C.24)
or
n+m
X
i=1
(xAB
i)2−2xAB
i
XAB
1,n+m
n+m+ XAB
1,n+m
n+m!2
−
n
X
i=1
(xA
i)2−2xA
i
XA
1,n
n+ XA
1,n
n!2
−
m
X
i=1
(xB
i)2−2xB
i
XB
1,m
m+ XB
1,m
m!2
= ∆σ(C.25)
all the x2
iterms drop out, and the terms independent of the summation counter ican be simplified:
XAB
1,n+m2
n+m−XA
1,n2
n−XB
1,m2
m−
2XAB
1,n+m
n+m
n+m
X
i=1
xAB
i+ 2 XA
1,n
n
n
X
i=1
xA
i+ 2 XB
1,m
m
m
X
i=1
xB
i= ∆σ(C.26)
we recognize the three partial sums on the second line and use eqn. C.21 to obtain:
∆σ=mXA
1,n −nXB
1,m2
nm(n+m)(C.27)
if we check this by inserting m= 1 we get back eqn. C.11
C.2.3 Summing energy terms
The g_energy program can also sum energy terms into one, e.g. potential + kinetic = total. For
the partial averages this is again easy if we have Senergy components s:
XS
m,n =
n
X
i=m
S
X
s=1
xs
i=
S
X
s=1
n
X
i=m
xs
i=
S
X
s=1
Xs
m,n (C.28)
For the fluctuations it is less trivial again, considering for example that the fluctuation in potential
and kinetic energy should cancel. Nevertheless we can try the same approach as before by writing:
σS
m,n =
S
X
s=1
σs
m,n + ∆σ(C.29)
if we fill in eqn. C.6:
n
X
i=m" S
X
s=1
xs
i!−XS
m,n
m−n+ 1#2
=
S
X
s=1
n
X
i=m(xs
i)−Xs
m,n
m−n+ 12
+ ∆σ(C.30)

C.2. Implementation 271
which we can expand to:
n
X
i=m
S
X
s=1
(xs
i)2+ XS
m,n
m−n+ 1!2
−2
XS
m,n
m−n+ 1
S
X
s=1
xs
i+
S
X
s=1
S
X
s0=s+1
xs
ixs0
i
−
S
X
s=1
n
X
i=m"(xs
i)2−2Xs
m,n
m−n+ 1 xs
i+Xs
m,n
m−n+ 12#= ∆σ(C.31)
the terms with (xs
i)2cancel, so that we can simplify to:
XS
m,n2
m−n+ 1 −2XS
m,n
m−n+ 1
n
X
i=m
S
X
s=1
xs
i−2
n
X
i=m
S
X
s=1
S
X
s0=s+1
xs
ixs0
i−
S
X
s=1
n
X
i=m"−2Xs
m,n
m−n+ 1 xs
i+Xs
m,n
m−n+ 12#= ∆σ(C.32)
or
−XS
m,n2
m−n+ 1 −2
n
X
i=m
S
X
s=1
S
X
s0=s+1
xs
ixs0
i+
S
X
s=1 Xs
m,n2
m−n+ 1 = ∆σ(C.33)
If we now expand the first term using eqn. C.28 we obtain:
−PS
s=1 Xs
m,n2
m−n+ 1 −2
n
X
i=m
S
X
s=1
S
X
s0=s+1
xs
ixs0
i+
S
X
s=1 Xs
m,n2
m−n+ 1 = ∆σ(C.34)
which we can reformulate to:
−2
S
X
s=1
S
X
s0=s+1
Xs
m,nXs0
m,n +
n
X
i=m
S
X
s=1
S
X
s0=s+1
xs
ixs0
i
= ∆σ(C.35)
or
−2
S
X
s=1
Xs
m,n
S
X
s0=s+1
Xs0
m,n +
S
X
s=1
n
X
i=m
xs
i
S
X
s0=s+1
xs0
i
= ∆σ(C.36)
which gives
−2
S
X
s=1
Xs
m,n
S
X
s0=s+1
n
X
i=m
xs0
i+
n
X
i=m
xs
i
S
X
s0=s+1
xs0
i
= ∆σ(C.37)
Since we need all data points ito evaluate this, in general this is not possible. We can then make an
estimate of σS
m,n using only the data points that are available using the left hand side of eqn. C.30.
While the average can be computed using all time steps in the simulation, the accuracy of the
fluctuations is thus limited by the frequency with which energies are saved. Since this can be
easily done with a program such as xmgr this is not built-in in GROMACS.

272 Appendix C. Averages and fluctuations

Appendix D
Manual Pages
D.1 Standard options for GROMACS tools
GROMACS programs have some standard options, of which some are hidden by default:
Other options
-h bool no Print help info and quit
-version bool no Print version info and quit
-verb int 0[hidden] Level of verbosity for this program
-hidden bool yes [hidden] Print hidden options
-quiet bool no [hidden] Do not print help info
-man enum tex [hidden] Write manual and quit: no,html,tex,nroff,ascii,
completion,py,xml or wiki
-debug int 0[hidden] Write file with debug information, 1: short, 2: also x and f
-nice int 0Set the nicelevel
•If the configuration script found Motif or Lesstif on your system, you can use the graphical interface
(if not, you will get an error):
-X gmx bool no Use dialog box GUI to edit command line options
•When compiled on an SGI-IRIX system, all GROMACS programs have an additional option:
-npri int 0Set non blocking priority (try 128)
•Optional files are not used unless the option is set, in contrast to non-optional files, where the default
file name is used when the option is not set.
•All GROMACS programs will accept file options without a file extension or filename being specified.
In such cases the default filenames will be used. With multiple input file types, such as generic
structure format, the directory will be searched for files of each type with the supplied or default
name. When no such file is found, or with output files the first file type will be used.
•All GROMACS programs with the exception of mdrun and eneconv check if the command line
options are valid. If this is not the case, the program will be halted.
•Enumerated options (enum) should be used with one of the arguments listed in the option description,
the argument may be abbreviated. The first match to the shortest argument in the list will be selected.
•Vector options can be used with 1 or 3 parameters. When only one parameter is supplied the two
others are also set to this value.

274 Appendix D. Manual Pages
•All GROMACS programs can read compressed or g-zipped files. There might be a problem with
reading compressed .xtc,.trr and .trj files, but these will not compress very well anyway.
•Most GROMACS programs can process a trajectory with fewer atoms than the run input or structure
file, but only if the trajectory consists of the first n atoms of the run input or structure file.
•Many GROMACS programs will accept the -tu option to set the time units to use in output files
(e.g. for xmgr graphs or xpm matrices) and in all time options.
D.2 do dssp
do_dssp reads a trajectory file and computes the secondary structure for each time frame calling the
dssp program. If you do not have the dssp program, get it from http://swift.cmbi.ru.nl/gv/dssp. do_dssp
assumes that the dssp executable is located in /usr/local/bin/dssp. If this is not the case, then you
should set an environment variable DSSP pointing to the dssp executable, e.g.:
setenv DSSP /opt/dssp/bin/dssp
Since version 2.0.0, dssp is invoked with a syntax that differs from earlier versions. If you have an older
version of dssp, use the -ver option to direct do dssp to use the older syntax. By default, do dssp uses
the syntax introduced with version 2.0.0. Even newer versions (which at the time of writing are not yet
released) are assumed to have the same syntax as 2.0.0.
The structure assignment for each residue and time is written to an .xpm matrix file. This file can be
visualized with for instance xv and can be converted to postscript with xpm2ps. Individual chains are
separated by light grey lines in the .xpm and postscript files. The number of residues with each secondary
structure type and the total secondary structure (-sss) count as a function of time are also written to file
(-sc).
Solvent accessible surface (SAS) per residue can be calculated, both in absolute values (A2) and in fractions
of the maximal accessible surface of a residue. The maximal accessible surface is defined as the accessible
surface of a residue in a chain of glycines. Note that the program g_sas can also compute SAS and that is
more efficient.
Finally, this program can dump the secondary structure in a special file ssdump.dat for usage in the
program g_chi. Together these two programs can be used to analyze dihedral properties as a function of
secondary structure type.
Files
-f traj.xtc Input Trajectory: xtc trr trj gro g96 pdb cpt
-s topol.tpr Input Structure+mass(db): tpr tpb tpa gro g96 pdb
-n index.ndx Input, Opt. Index file
-ssdump ssdump.dat Output, Opt. Generic data file
-map ss.map Input, Lib. File that maps matrix data to colors
-o ss.xpm Output X PixMap compatible matrix file
-sc scount.xvg Output xvgr/xmgr file
-a area.xpm Output, Opt. X PixMap compatible matrix file
-ta totarea.xvg Output, Opt. xvgr/xmgr file
-aa averarea.xvg Output, Opt. xvgr/xmgr file
Other options
-h bool no Print help info and quit
-version bool no Print version info and quit
-nice int 19 Set the nicelevel
-b time 0First frame (ps) to read from trajectory
-e time 0Last frame (ps) to read from trajectory

D.3. editconf 275
-dt time 0Only use frame when t MOD dt = first time (ps)
-tu enum ps Time unit: fs,ps,ns,us,ms or s
-w bool no View output .xvg,.xpm,.eps and .pdb files
-xvg enum xmgrace xvg plot formatting: xmgrace,xmgr or none
-sss string HEBT Secondary structures for structure count
-ver int 2DSSP major version. Syntax changed with version 2
D.3 editconf
editconf converts generic structure format to .gro,.g96 or .pdb.
The box can be modified with options -box,-d and -angles. Both -box and -d will center the system
in the box, unless -noc is used.
Option -bt determines the box type: triclinic is a triclinic box, cubic is a rectangular box with
all sides equal dodecahedron represents a rhombic dodecahedron and octahedron is a truncated
octahedron. The last two are special cases of a triclinic box. The length of the three box vectors of the
truncated octahedron is the shortest distance between two opposite hexagons. Relative to a cubic box with
some periodic image distance, the volume of a dodecahedron with this same periodic distance is 0.71 times
that of the cube, and that of a truncated octahedron is 0.77 times.
Option -box requires only one value for a cubic, rhombic dodecahedral, or truncated octahedral box.
With -d and a triclinic box the size of the system in the x-, y-, and z-directions is used. With -d and
cubic,dodecahedron or octahedron boxes, the dimensions are set to the diameter of the system
(largest distance between atoms) plus twice the specified distance.
Option -angles is only meaningful with option -box and a triclinic box and cannot be used with option
-d.
When -n or -ndef is set, a group can be selected for calculating the size and the geometric center, other-
wise the whole system is used.
-rotate rotates the coordinates and velocities.
-princ aligns the principal axes of the system along the coordinate axes, with the longest axis aligned
with the x-axis. This may allow you to decrease the box volume, but beware that molecules can rotate
significantly in a nanosecond.
Scaling is applied before any of the other operations are performed. Boxes and coordinates can be scaled
to give a certain density (option -density). Note that this may be inaccurate in case a .gro file is given
as input. A special feature of the scaling option is that when the factor -1 is given in one dimension, one
obtains a mirror image, mirrored in one of the planes. When one uses -1 in three dimensions, a point-mirror
image is obtained.
Groups are selected after all operations have been applied.
Periodicity can be removed in a crude manner. It is important that the box vectors at the bottom of your
input file are correct when the periodicity is to be removed.
When writing .pdb files, B-factors can be added with the -bf option. B-factors are read from a file with
with following format: first line states number of entries in the file, next lines state an index followed by a
B-factor. The B-factors will be attached per residue unless an index is larger than the number of residues
or unless the -atom option is set. Obviously, any type of numeric data can be added instead of B-factors.
-legend will produce a row of CA atoms with B-factors ranging from the minimum to the maximum
value found, effectively making a legend for viewing.
With the option -mead a special .pdb (.pqr) file for the MEAD electrostatics program (Poisson-Boltzmann

276 Appendix D. Manual Pages
solver) can be made. A further prerequisite is that the input file is a run input file. The B-factor field is then
filled with the Van der Waals radius of the atoms while the occupancy field will hold the charge.
The option -grasp is similar, but it puts the charges in the B-factor and the radius in the occupancy.
Option -align allows alignment of the principal axis of a specified group against the given vector, with
an optional center of rotation specified by -aligncenter.
Finally, with option -label,editconf can add a chain identifier to a .pdb file, which can be useful
for analysis with e.g. Rasmol.
To convert a truncated octrahedron file produced by a package which uses a cubic box with the corners cut
off (such as GROMOS), use:
editconf -f in -rotate 0 45 35.264 -bt o -box veclen -o out
where veclen is the size of the cubic box times √3/2.
Files
-f conf.gro Input Structure file: gro g96 pdb tpr etc.
-n index.ndx Input, Opt. Index file
-o out.gro Output, Opt. Structure file: gro g96 pdb etc.
-mead mead.pqr Output, Opt. Coordinate file for MEAD
-bf bfact.dat Input, Opt. Generic data file
Other options
-h bool no Print help info and quit
-version bool no Print version info and quit
-nice int 0Set the nicelevel
-w bool no View output .xvg,.xpm,.eps and .pdb files
-ndef bool no Choose output from default index groups
-bt enum
triclinic Box type for -box and -d:triclinic,cubic,dodecahedron or
octahedron
-box vector 000 Box vector lengths (a,b,c)
-angles vector90 90 90 Angles between the box vectors (bc,ac,ab)
-d real 0Distance between the solute and the box
-c bool no Center molecule in box (implied by -box and -d)
-center vector 000 Coordinates of geometrical center
-aligncenter vector 000 Center of rotation for alignment
-align vector 000 Align to target vector
-translate vector 000 Translation
-rotate vector 000 Rotation around the X, Y and Z axes in degrees
-princ bool no Orient molecule(s) along their principal axes
-scale vector 111 Scaling factor
-density real 1000 Density (g/L) of the output box achieved by scaling
-pbc bool no Remove the periodicity (make molecule whole again)
-resnr int -1 Renumber residues starting from resnr
-grasp bool no Store the charge of the atom in the B-factor field and the radius of the
atom in the occupancy field
-rvdw real 0.12 Default Van der Waals radius (in nm) if one can not be found in the
database or if no parameters are present in the topology file
-sig56 bool no Use rmin/2 (minimum in the Van der Waals potential) rather than σ/2
-vdwread bool no Read the Van der Waals radii from the file vdwradii.dat rather than
computing the radii based on the force field
-atom bool no Force B-factor attachment per atom
-legend bool no Make B-factor legend
-label string AAdd chain label for all residues

D.4. eneconv 277
-conect bool no Add CONECT records to a .pdb file when written. Can only be done
when a topology is present
•For complex molecules, the periodicity removal routine may break down, in that case you can use
trjconv.
D.4 eneconv
With multiple files specified for the -f option:
Concatenates several energy files in sorted order. In the case of double time frames, the one in the later file
is used. By specifying -settime you will be asked for the start time of each file. The input files are taken
from the command line, such that the command eneconv -f *.edr -o fixed.edr should do the
trick.
With one file specified for -f:
Reads one energy file and writes another, applying the -dt,-offset,-t0 and -settime options and
converting to a different format if necessary (indicated by file extentions).
-settime is applied first, then -dt/-offset followed by -b and -e to select which frames to write.
Files
-f ener.edr Input, Mult. Energy file
-o fixed.edr Output Energy file
Other options
-h bool no Print help info and quit
-version bool no Print version info and quit
-nice int 19 Set the nicelevel
-b real -1 First time to use
-e real -1 Last time to use
-dt real 0Only write out frame when t MOD dt = offset
-offset real 0Time offset for -dt option
-settime bool no Change starting time interactively
-sort bool yes Sort energy files (not frames)
-rmdh bool no Remove free energy block data
-scalefac real 1Multiply energy component by this factor
-error bool yes Stop on errors in the file
•When combining trajectories the sigma and E2(necessary for statistics) are not updated correctly.
Only the actual energy is correct. One thus has to compute statistics in another way.
D.5 g anadock
g_anadock analyses the results of an Autodock run and clusters the structures together, based on distance
or RMSD. The docked energy and free energy estimates are analysed, and for each cluster the energy
statistics are printed.
An alternative approach to this is to cluster the structures first using g_cluster and then sort the clusters
on either lowest energy or average energy.

278 Appendix D. Manual Pages
Files
-f eiwit.pdb Input Protein data bank file
-ox cluster.pdb Output Protein data bank file
-od edocked.xvg Output xvgr/xmgr file
-of efree.xvg Output xvgr/xmgr file
-g anadock.log Output Log file
Other options
-h bool no Print help info and quit
-version bool no Print version info and quit
-nice int 0Set the nicelevel
-xvg enum xmgrace xvg plot formatting: xmgrace,xmgr or none
-free bool no Use Free energy estimate from autodock for sorting the classes
-rms bool yes Cluster on RMS or distance
-cutoff real 0.2 Maximum RMSD/distance for belonging to the same cluster
D.6 g anaeig
g_anaeig analyzes eigenvectors. The eigenvectors can be of a covariance matrix (g_covar) or of a
Normal Modes analysis (g_nmeig).
When a trajectory is projected on eigenvectors, all structures are fitted to the structure in the eigenvector
file, if present, otherwise to the structure in the structure file. When no run input file is supplied, periodicity
will not be taken into account. Most analyses are performed on eigenvectors -first to -last, but when
-first is set to -1 you will be prompted for a selection.
-comp: plot the vector components per atom of eigenvectors -first to -last.
-rmsf: plot the RMS fluctuation per atom of eigenvectors -first to -last (requires -eig).
-proj: calculate projections of a trajectory on eigenvectors -first to -last. The projections of a
trajectory on the eigenvectors of its covariance matrix are called principal components (pc’s). It is often
useful to check the cosine content of the pc’s, since the pc’s of random diffusion are cosines with the
number of periods equal to half the pc index. The cosine content of the pc’s can be calculated with the
program g_analyze.
-2d: calculate a 2d projection of a trajectory on eigenvectors -first and -last.
-3d: calculate a 3d projection of a trajectory on the first three selected eigenvectors.
-filt: filter the trajectory to show only the motion along eigenvectors -first to -last.
-extr: calculate the two extreme projections along a trajectory on the average structure and interpolate
-nframes frames between them, or set your own extremes with -max. The eigenvector -first will be
written unless -first and -last have been set explicitly, in which case all eigenvectors will be written
to separate files. Chain identifiers will be added when writing a .pdb file with two or three structures (you
can use rasmol -nmrpdb to view such a .pdb file).
Overlap calculations between covariance analysis:
Note: the analysis should use the same fitting structure
-over: calculate the subspace overlap of the eigenvectors in file -v2 with eigenvectors -first to -last
in file -v.
-inpr: calculate a matrix of inner-products between eigenvectors in files -v and -v2. All eigenvectors
of both files will be used unless -first and -last have been set explicitly.

D.6. g anaeig 279
When -v,-eig,-v2 and -eig2 are given, a single number for the overlap between the covariance ma-
trices is generated. The formulas are:
difference = sqrt(tr((sqrt(M1) - sqrt(M2))2))
normalized overlap = 1 - difference/sqrt(tr(M1) + tr(M2))
shape overlap = 1 - sqrt(tr((sqrt(M1/tr(M1)) - sqrt(M2/tr(M2)))2))
where M1 and M2 are the two covariance matrices and tr is the trace of a matrix. The numbers are pro-
portional to the overlap of the square root of the fluctuations. The normalized overlap is the most useful
number, it is 1 for identical matrices and 0 when the sampled subspaces are orthogonal.
When the -entropy flag is given an entropy estimate will be computed based on the Quasiharmonic
approach and based on Schlitter’s formula.
Files
-v eigenvec.trr Input Full precision trajectory: trr trj cpt
-v2 eigenvec2.trr Input, Opt. Full precision trajectory: trr trj cpt
-f traj.xtc Input, Opt. Trajectory: xtc trr trj gro g96 pdb cpt
-s topol.tpr Input, Opt. Structure+mass(db): tpr tpb tpa gro g96 pdb
-n index.ndx Input, Opt. Index file
-eig eigenval.xvg Input, Opt. xvgr/xmgr file
-eig2 eigenval2.xvg Input, Opt. xvgr/xmgr file
-comp eigcomp.xvg Output, Opt. xvgr/xmgr file
-rmsf eigrmsf.xvg Output, Opt. xvgr/xmgr file
-proj proj.xvg Output, Opt. xvgr/xmgr file
-2d 2dproj.xvg Output, Opt. xvgr/xmgr file
-3d 3dproj.pdb Output, Opt. Structure file: gro g96 pdb etc.
-filt filtered.xtc Output, Opt. Trajectory: xtc trr trj gro g96 pdb cpt
-extr extreme.pdb Output, Opt. Trajectory: xtc trr trj gro g96 pdb cpt
-over overlap.xvg Output, Opt. xvgr/xmgr file
-inpr inprod.xpm Output, Opt. X PixMap compatible matrix file
Other options
-h bool no Print help info and quit
-version bool no Print version info and quit
-nice int 19 Set the nicelevel
-b time 0First frame (ps) to read from trajectory
-e time 0Last frame (ps) to read from trajectory
-dt time 0Only use frame when t MOD dt = first time (ps)
-tu enum ps Time unit: fs,ps,ns,us,ms or s
-w bool no View output .xvg,.xpm,.eps and .pdb files
-xvg enum xmgrace xvg plot formatting: xmgrace,xmgr or none
-first int 1First eigenvector for analysis (-1 is select)
-last int -1 Last eigenvector for analysis (-1 is till the last)
-skip int 1Only analyse every nr-th frame
-max real 0Maximum for projection of the eigenvector on the average structure,
max=0 gives the extremes
-nframes int 2Number of frames for the extremes output
-split bool no Split eigenvector projections where time is zero
-entropy bool no Compute entropy according to the Quasiharmonic formula or Schlitter’s
method.
-temp real 298.15 Temperature for entropy calculations
-nevskip int 6Number of eigenvalues to skip when computing the entropy due to the
quasi harmonic approximation. When you do a rotational and/or transla-
tional fit prior to the covariance analysis, you get 3 or 6 eigenvalues that
are very close to zero, and which should not be taken into account when
computing the entropy.

280 Appendix D. Manual Pages
D.7 g analyze
g_analyze reads an ASCII file and analyzes data sets. A line in the input file may start with a time
(see option -time) and any number of y-values may follow. Multiple sets can also be read when they are
separated by & (option -n); in this case only one y-value is read from each line. All lines starting with #
and @ are skipped. All analyses can also be done for the derivative of a set (option -d).
All options, except for -av and -power, assume that the points are equidistant in time.
g_analyze always shows the average and standard deviation of each set, as well as the relative deviation
of the third and fourth cumulant from those of a Gaussian distribution with the same standard deviation.
Option -ac produces the autocorrelation function(s). Be sure that the time interval between data points is
much shorter than the time scale of the autocorrelation.
Option -cc plots the resemblance of set i with a cosine of i/2 periods. The formula is:
2(RT
0y(t) cos (iπt)dt)2/RT
0y2(t)dt
This is useful for principal components obtained from covariance analysis, since the principal components
of random diffusion are pure cosines.
Option -msd produces the mean square displacement(s).
Option -dist produces distribution plot(s).
Option -av produces the average over the sets. Error bars can be added with the option -errbar. The
errorbars can represent the standard deviation, the error (assuming the points are independent) or the interval
containing 90% of the points, by discarding 5% of the points at the top and the bottom.
Option -ee produces error estimates using block averaging. A set is divided in a number of blocks and
averages are calculated for each block. The error for the total average is calculated from the variance
between averages of the m blocks Bias follows: error2=P(Bi-<B>)2/ (m*(m-1)). These errors are
plotted as a function of the block size. Also an analytical block average curve is plotted, assuming that the
autocorrelation is a sum of two exponentials. The analytical curve for the block average is:
f(t) = σ∗p2/T (α(τ1((exp (−t/τ1)−1)τ1/t + 1)) + (1 −α)(τ2((exp (−t/τ2)−1)τ2/t + 1))),
where T is the total time. α,τ1and τ2are obtained by fitting f2(t) to error2. When the actual block average
is very close to the analytical curve, the error is σ∗p2/T (aτ1+ (1 −a)τ2). The complete derivation is
given in B. Hess, J. Chem. Phys. 116:209-217, 2002.
Option -bal finds and subtracts the ultrafast ”ballistic” component from a hydrogen bond autocorrelation
function by the fitting of a sum of exponentials, as described in e.g. O. Markovitch, J. Chem. Phys.
129:084505, 2008. The fastest term is the one with the most negative coefficient in the exponential, or with
-d, the one with most negative time derivative at time 0. -nbalexp sets the number of exponentials to fit.
Option -gem fits bimolecular rate constants ka and kb (and optionally kD) to the hydrogen bond auto-
correlation function according to the reversible geminate recombination model. Removal of the ballistic
component first is strongly advised. The model is presented in O. Markovitch, J. Chem. Phys. 129:084505,
2008.
Option -filter prints the RMS high-frequency fluctuation of each set and over all sets with respect to a
filtered average. The filter is proportional to cos(πt/len) where t goes from -len/2 to len/2. len is supplied
with the option -filter. This filter reduces oscillations with period len/2 and len by a factor of 0.79 and
0.33 respectively.
Option -g fits the data to the function given with option -fitfn.
Option -power fits the data to bta, which is accomplished by fitting to at +bon log-log scale. All points
after the first zero or with a negative value are ignored.

D.7. g analyze 281
Option -luzar performs a Luzar & Chandler kinetics analysis on output from g_hbond. The input file
can be taken directly from g_hbond -ac, and then the same result should be produced.
Files
-f graph.xvg Input xvgr/xmgr file
-ac autocorr.xvg Output, Opt. xvgr/xmgr file
-msd msd.xvg Output, Opt. xvgr/xmgr file
-cc coscont.xvg Output, Opt. xvgr/xmgr file
-dist distr.xvg Output, Opt. xvgr/xmgr file
-av average.xvg Output, Opt. xvgr/xmgr file
-ee errest.xvg Output, Opt. xvgr/xmgr file
-bal ballisitc.xvg Output, Opt. xvgr/xmgr file
-g fitlog.log Output, Opt. Log file
Other options
-h bool no Print help info and quit
-version bool no Print version info and quit
-nice int 0Set the nicelevel
-w bool no View output .xvg,.xpm,.eps and .pdb files
-xvg enum xmgrace xvg plot formatting: xmgrace,xmgr or none
-time bool yes Expect a time in the input
-b real -1 First time to read from set
-e real -1 Last time to read from set
-n int 1Read this number of sets separated by &
-d bool no Use the derivative
-bw real 0.1 Binwidth for the distribution
-errbar enum none Error bars for -av:none,stddev,error or 90
-integrate bool no Integrate data function(s) numerically using trapezium rule
-aver_start real 0Start averaging the integral from here
-xydy bool no Interpret second data set as error in the y values for integrating
-regression bool no Perform a linear regression analysis on the data. If -xydy is set a second
set will be interpreted as the error bar in the Y value. Otherwise, if multi-
ple data sets are present a multilinear regression will be performed yield-
ing the constant A that minimize χ2= (y−A0x0−A1x1−...−ANxN)2
where now Y is the first data set in the input file and xithe others. Do
read the information at the option -time.
-luzar bool no Do a Luzar and Chandler analysis on a correlation function and related
as produced by g_hbond. When in addition the -xydy flag is given the
second and fourth column will be interpreted as errors in c(t) and n(t).
-temp real 298.15 Temperature for the Luzar hydrogen bonding kinetics analysis (K)
-fitstart real 1Time (ps) from which to start fitting the correlation functions in order
to obtain the forward and backward rate constants for HB breaking and
formation
-fitend real 60 Time (ps) where to stop fitting the correlation functions in order to obtain
the forward and backward rate constants for HB breaking and formation.
Only with -gem
-smooth real -1 If this value is ≥0, the tail of the ACF will be smoothed by fitting it to
an exponential function: y=Aexp (−x/τ )
-filter real 0Print the high-frequency fluctuation after filtering with a cosine filter of
this length
-power bool no Fit data to: b ta
-subav bool yes Subtract the average before autocorrelating
-oneacf bool no Calculate one ACF over all sets
-acflen int -1 Length of the ACF, default is half the number of frames

282 Appendix D. Manual Pages
-normalize bool yes Normalize ACF
-P enum 0Order of Legendre polynomial for ACF (0 indicates none): 0,1,2or 3
-fitfn enum none Fit function: none,exp,aexp,exp_exp,vac,exp5,exp7,exp9
or erffit
-ncskip int 0Skip this many points in the output file of correlation functions
-beginfit real 0Time where to begin the exponential fit of the correlation function
-endfit real -1 Time where to end the exponential fit of the correlation function, -1 is
until the end
D.8 g angle
g_angle computes the angle distribution for a number of angles or dihedrals.
With option -ov, you can plot the average angle of a group of angles as a function of time. With the -all
option, the first graph is the average and the rest are the individual angles.
With the -of option, g_angle also calculates the fraction of trans dihedrals (only for dihedrals) as func-
tion of time, but this is probably only fun for a select few.
With option -oc, a dihedral correlation function is calculated.
It should be noted that the index file must contain atom triplets for angles or atom quadruplets for dihedrals.
If this is not the case, the program will crash.
With option -or, a trajectory file is dumped containing cos and sin of selected dihedral angles, which
subsequently can be used as input for a principal components analysis using g_covar.
Option -ot plots when transitions occur between dihedral rotamers of multiplicity 3 and -oh records a
histogram of the times between such transitions, assuming the input trajectory frames are equally spaced in
time.
Files
-f traj.xtc Input Trajectory: xtc trr trj gro g96 pdb cpt
-n angle.ndx Input Index file
-od angdist.xvg Output xvgr/xmgr file
-ov angaver.xvg Output, Opt. xvgr/xmgr file
-of dihfrac.xvg Output, Opt. xvgr/xmgr file
-ot dihtrans.xvg Output, Opt. xvgr/xmgr file
-oh trhisto.xvg Output, Opt. xvgr/xmgr file
-oc dihcorr.xvg Output, Opt. xvgr/xmgr file
-or traj.trr Output, Opt. Trajectory in portable xdr format
Other options
-h bool no Print help info and quit
-version bool no Print version info and quit
-nice int 19 Set the nicelevel
-b time 0First frame (ps) to read from trajectory
-e time 0Last frame (ps) to read from trajectory
-dt time 0Only use frame when t MOD dt = first time (ps)
-w bool no View output .xvg,.xpm,.eps and .pdb files
-xvg enum xmgrace xvg plot formatting: xmgrace,xmgr or none
-type enum angle Type of angle to analyse: angle,dihedral,improper or
ryckaert-bellemans
-all bool no Plot all angles separately in the averages file, in the order of appearance
in the index file.
-binwidth real 1binwidth (degrees) for calculating the distribution

D.9. g bar 283
-periodic bool yes Print dihedral angles modulo 360 degrees
-chandler bool no Use Chandler correlation function (N[trans] = 1, N[gauche] = 0) rather
than cosine correlation function. Trans is defined as phi <-60 or phi >
60.
-avercorr bool no Average the correlation functions for the individual angles/dihedrals
-acflen int -1 Length of the ACF, default is half the number of frames
-normalize bool yes Normalize ACF
-P enum 0Order of Legendre polynomial for ACF (0 indicates none): 0,1,2or 3
-fitfn enum none Fit function: none,exp,aexp,exp_exp,vac,exp5,exp7,exp9
or erffit
-ncskip int 0Skip this many points in the output file of correlation functions
-beginfit real 0Time where to begin the exponential fit of the correlation function
-endfit real -1 Time where to end the exponential fit of the correlation function, -1 is
until the end
•Counting transitions only works for dihedrals with multiplicity 3
D.9 g bar
g_bar calculates free energy difference estimates through Bennett’s acceptance ratio method (BAR). It
also automatically adds series of individual free energies obtained with BAR into a combined free energy
estimate.
Every individual BAR free energy difference relies on two simulations at different states: say state A and
state B, as controlled by a parameter, λ(see the .mdp parameter init_lambda). The BAR method
calculates a ratio of weighted average of the Hamiltonian difference of state B given state A and vice versa.
The energy differences to the other state must be calculated explicitly during the simulation. This can be
done with the .mdp option foreign_lambda.
Input option -f expects multiple dhdl.xvg files. Two types of input files are supported:
*Files with more than one y-value. The files should have columns with dH/dλand ∆λ. The λvalues are
inferred from the legends: λof the simulation from the legend of dH/dλand the foreign λvalues from the
legends of Delta H
*Files with only one y-value. Using the -extp option for these files, it is assumed that the y-value is
dH/dλand that the Hamiltonian depends linearly on λ. The λvalue of the simulation is inferred from the
subtitle (if present), otherwise from a number in the subdirectory in the file name.
The λof the simulation is parsed from dhdl.xvg file’s legend containing the string ’dH’, the foreign λ
values from the legend containing the capitalized letters ’D’ and ’H’. The temperature is parsed from the
legend line containing ’T =’.
The input option -g expects multiple .edr files. These can contain either lists of energy differences
(see the .mdp option separate_dhdl_file), or a series of histograms (see the .mdp options dh_-
hist_size and dh_hist_spacing). The temperature and λvalues are automatically deduced from
the ener.edr file.
In addition to the .mdp option foreign_lambda, the energy difference can also be extrapolated from the
dH/dλvalues. This is done with the-extp option, which assumes that the system’s Hamiltonian depends
linearly on λ, which is not normally the case.
The free energy estimates are determined using BAR with bisection, with the precision of the output set with
-prec. An error estimate taking into account time correlations is made by splitting the data into blocks
and determining the free energy differences over those blocks and assuming the blocks are independent.
The final error estimate is determined from the average variance over 5 blocks. A range of block numbers
for error estimation can be provided with the options -nbmin and -nbmax.

284 Appendix D. Manual Pages
g_bar tries to aggregate samples with the same ’native’ and ’foreign’ λvalues, but always assumes in-
dependent samples. Note that when aggregating energy differences/derivatives with different sampling
intervals, this is almost certainly not correct. Usually subsequent energies are correlated and different time
intervals mean different degrees of correlation between samples.
The results are split in two parts: the last part contains the final results in kJ/mol, together with the error
estimate for each part and the total. The first part contains detailed free energy difference estimates and
phase space overlap measures in units of kT (together with their computed error estimate). The printed
values are:
*lam A: the λvalues for point A.
*lam B: the λvalues for point B.
*DG: the free energy estimate.
*s A: an estimate of the relative entropy of B in A.
*s B: an estimate of the relative entropy of A in B.
*stdev: an estimate expected per-sample standard deviation.
The relative entropy of both states in each other’s ensemble can be interpreted as a measure of phase space
overlap: the relative entropy s A of the work samples of lambda B in the ensemble of lambda A (and vice
versa for s B), is a measure of the ’distance’ between Boltzmann distributions of the two states, that goes to
zero for identical distributions. See Wu & Kofke, J. Chem. Phys. 123 084109 (2005) for more information.
The estimate of the expected per-sample standard deviation, as given in Bennett’s original BAR paper:
Bennett, J. Comp. Phys. 22, p 245 (1976). Eq. 10 therein gives an estimate of the quality of sampling (not
directly of the actual statistical error, because it assumes independent samples).
To get a visual estimate of the phase space overlap, use the -oh option to write series of histograms,
together with the -nbin option.
Files
-f dhdl.xvg Input, Opt., Mult.xvgr/xmgr file
-g ener.edr Input, Opt., Mult.Energy file
-o bar.xvg Output, Opt. xvgr/xmgr file
-oi barint.xvg Output, Opt. xvgr/xmgr file
-oh histogram.xvg Output, Opt. xvgr/xmgr file
Other options
-h bool no Print help info and quit
-version bool no Print version info and quit
-nice int 0Set the nicelevel
-w bool no View output .xvg,.xpm,.eps and .pdb files
-xvg enum xmgrace xvg plot formatting: xmgrace,xmgr or none
-b real 0Begin time for BAR
-e real -1 End time for BAR
-temp real -1 Temperature (K)
-prec int 2The number of digits after the decimal point
-nbmin int 5Minimum number of blocks for error estimation
-nbmax int 5Maximum number of blocks for error estimation
-nbin int 100 Number of bins for histogram output
-extp bool no Whether to linearly extrapolate dH/dl values to use as energies
D.10 g bond
g_bond makes a distribution of bond lengths. If all is well a Gaussian distribution should be made when
using a harmonic potential. Bonds are read from a single group in the index file in order i1-j1 i2-j2 through
in-jn.

D.11. g bundle 285
-tol gives the half-width of the distribution as a fraction of the bondlength (-blen). That means, for a
bond of 0.2 a tol of 0.1 gives a distribution from 0.18 to 0.22.
Option -d plots all the distances as a function of time. This requires a structure file for the atom and residue
names in the output. If however the option -averdist is given (as well or separately) the average bond
length is plotted instead.
Files
-f traj.xtc Input Trajectory: xtc trr trj gro g96 pdb cpt
-n index.ndx Input Index file
-s topol.tpr Input, Opt. Structure+mass(db): tpr tpb tpa gro g96 pdb
-o bonds.xvg Output xvgr/xmgr file
-l bonds.log Output, Opt. Log file
-d distance.xvg Output, Opt. xvgr/xmgr file
Other options
-h bool no Print help info and quit
-version bool no Print version info and quit
-nice int 19 Set the nicelevel
-b time 0First frame (ps) to read from trajectory
-e time 0Last frame (ps) to read from trajectory
-dt time 0Only use frame when t MOD dt = first time (ps)
-w bool no View output .xvg,.xpm,.eps and .pdb files
-xvg enum xmgrace xvg plot formatting: xmgrace,xmgr or none
-blen real -1 Bond length. By default length of first bond
-tol real 0.1 Half width of distribution as fraction of -blen
-aver bool yes Average bond length distributions
-averdist bool yes Average distances (turns on -d)
•It should be possible to get bond information from the topology.
D.11 g bundle
g_bundle analyzes bundles of axes. The axes can be for instance helix axes. The program reads two
index groups and divides both of them in -na parts. The centers of mass of these parts define the tops and
bottoms of the axes. Several quantities are written to file: the axis length, the distance and the z-shift of the
axis mid-points with respect to the average center of all axes, the total tilt, the radial tilt and the lateral tilt
with respect to the average axis.
With options -ok,-okr and -okl the total, radial and lateral kinks of the axes are plotted. An extra index
group of kink atoms is required, which is also divided into -na parts. The kink angle is defined as the angle
between the kink-top and the bottom-kink vectors.
With option -oa the top, mid (or kink when -ok is set) and bottom points of each axis are written to a
.pdb file each frame. The residue numbers correspond to the axis numbers. When viewing this file with
Rasmol, use the command line option -nmrpdb, and type set axis true to display the reference axis.
Files
-f traj.xtc Input Trajectory: xtc trr trj gro g96 pdb cpt
-s topol.tpr Input Structure+mass(db): tpr tpb tpa gro g96 pdb
-n index.ndx Input, Opt. Index file
-ol bun_len.xvg Output xvgr/xmgr file

286 Appendix D. Manual Pages
-od bun_dist.xvg Output xvgr/xmgr file
-oz bun_z.xvg Output xvgr/xmgr file
-ot bun_tilt.xvg Output xvgr/xmgr file
-otr bun_tiltr.xvg Output xvgr/xmgr file
-otl bun_tiltl.xvg Output xvgr/xmgr file
-ok bun_kink.xvg Output, Opt. xvgr/xmgr file
-okr bun_kinkr.xvg Output, Opt. xvgr/xmgr file
-okl bun_kinkl.xvg Output, Opt. xvgr/xmgr file
-oa axes.pdb Output, Opt. Protein data bank file
Other options
-h bool no Print help info and quit
-version bool no Print version info and quit
-nice int 19 Set the nicelevel
-b time 0First frame (ps) to read from trajectory
-e time 0Last frame (ps) to read from trajectory
-dt time 0Only use frame when t MOD dt = first time (ps)
-tu enum ps Time unit: fs,ps,ns,us,ms or s
-xvg enum xmgrace xvg plot formatting: xmgrace,xmgr or none
-na int 0Number of axes
-z bool no Use the z-axis as reference instead of the average axis
D.12 g chi
g_chi computes φ,ψ,ω, and χdihedrals for all your amino acid backbone and sidechains. It can compute
dihedral angle as a function of time, and as histogram distributions. The distributions (histo-(dihedral)(RESIDUE).xvg)
are cumulative over all residues of each type.
If option -corr is given, the program will calculate dihedral autocorrelation functions. The function used
is C(t) = <cos (χ(τ)) cos (χ(τ+t))>. The use of cosines rather than angles themselves, resolves the
problem of periodicity. (Van der Spoel & Berendsen (1997), Biophys. J. 72, 2032-2041). Separate files for
each dihedral of each residue (corr(dihedral)(RESIDUE)(nresnr).xvg) are output, as well as
a file containing the information for all residues (argument of -corr).
With option -all, the angles themselves as a function of time for each residue are printed to separate files
(dihedral)(RESIDUE)(nresnr).xvg. These can be in radians or degrees.
A log file (argument -g) is also written. This contains
(a) information about the number of residues of each type.
(b) The NMR 3J coupling constants from the Karplus equation.
(c) a table for each residue of the number of transitions between rotamers per nanosecond, and the order
parameter S2of each dihedral.
(d) a table for each residue of the rotamer occupancy.
All rotamers are taken as 3-fold, except for ωand χdihedrals to planar groups (i.e. χ2of aromatics, Asp
and Asn; χ3of Glu and Gln; and χ4of Arg), which are 2-fold. ”rotamer 0” means that the dihedral was not
in the core region of each rotamer. The width of the core region can be set with -core_rotamer
The S2order parameters are also output to an .xvg file (argument -o ) and optionally as a .pdb file with
the S2values as B-factor (argument -p). The total number of rotamer transitions per timestep (argument
-ot), the number of transitions per rotamer (argument -rt), and the 3J couplings (argument -jc), can also
be written to .xvg files. Note that the analysis of rotamer transitions assumes that the supplied trajectory
frames are equally spaced in time.

D.12. g chi 287
If -chi_prod is set (and -maxchi >0), cumulative rotamers, e.g. 1+9(χ1-1)+3(χ2-1)+(χ3-1) (if the
residue has three 3-fold dihedrals and -maxchi ≥3) are calculated. As before, if any dihedral is not in
the core region, the rotamer is taken to be 0. The occupancies of these cumulative rotamers (starting with
rotamer 0) are written to the file that is the argument of -cp, and if the -all flag is given, the rotamers
as functions of time are written to chiproduct(RESIDUE)(nresnr).xvg and their occupancies to
histo-chiproduct(RESIDUE)(nresnr).xvg.
The option -r generates a contour plot of the average ωangle as a function of the φand ψangles, that is,
in a Ramachandran plot the average ωangle is plotted using color coding.
Files
-s conf.gro Input Structure file: gro g96 pdb tpr etc.
-f traj.xtc Input Trajectory: xtc trr trj gro g96 pdb cpt
-o order.xvg Output xvgr/xmgr file
-p order.pdb Output, Opt. Protein data bank file
-ss ssdump.dat Input, Opt. Generic data file
-jc Jcoupling.xvg Output xvgr/xmgr file
-corr dihcorr.xvg Output, Opt. xvgr/xmgr file
-g chi.log Output Log file
-ot dihtrans.xvg Output, Opt. xvgr/xmgr file
-oh trhisto.xvg Output, Opt. xvgr/xmgr file
-rt restrans.xvg Output, Opt. xvgr/xmgr file
-cpchiprodhisto.xvg Output, Opt. xvgr/xmgr file
Other options
-h bool no Print help info and quit
-version bool no Print version info and quit
-nice int 19 Set the nicelevel
-b time 0First frame (ps) to read from trajectory
-e time 0Last frame (ps) to read from trajectory
-dt time 0Only use frame when t MOD dt = first time (ps)
-w bool no View output .xvg,.xpm,.eps and .pdb files
-xvg enum xmgrace xvg plot formatting: xmgrace,xmgr or none
-r0 int 1starting residue
-phi bool no Output for φdihedral angles
-psi bool no Output for ψdihedral angles
-omega bool no Output for ωdihedrals (peptide bonds)
-rama bool no Generate φ/ψand χ1/χ2Ramachandran plots
-viol bool no Write a file that gives 0 or 1 for violated Ramachandran angles
-periodic bool yes Print dihedral angles modulo 360 degrees
-all bool no Output separate files for every dihedral.
-rad bool no in angle vs time files, use radians rather than degrees.
-shift bool no Compute chemical shifts from φ/ψangles
-binwidth int 1bin width for histograms (degrees)
-core_rotamer real 0.5 only the central -core_rotamer*(360/multiplicity) belongs to each
rotamer (the rest is assigned to rotamer 0)
-maxchi enum 0calculate first ndih χdihedrals: 0,1,2,3,4,5or 6
-normhisto bool yes Normalize histograms
-ramomega bool no compute average omega as a function of φ/ψand plot it in an .xpm plot
-bfact real -1 B-factor value for .pdb file for atoms with no calculated dihedral order
parameter
-chi_prod bool no compute a single cumulative rotamer for each residue
-HChi bool no Include dihedrals to sidechain hydrogens

288 Appendix D. Manual Pages
-bmax real 0Maximum B-factor on any of the atoms that make up a dihedral, for the
dihedral angle to be considere in the statistics. Applies to database work
where a number of X-Ray structures is analyzed. -bmax ≤0 means no
limit.
-acflen int -1 Length of the ACF, default is half the number of frames
-normalize bool yes Normalize ACF
-P enum 0Order of Legendre polynomial for ACF (0 indicates none): 0,1,2or 3
-fitfn enum none Fit function: none,exp,aexp,exp_exp,vac,exp5,exp7,exp9
or erffit
-ncskip int 0Skip this many points in the output file of correlation functions
-beginfit real 0Time where to begin the exponential fit of the correlation function
-endfit real -1 Time where to end the exponential fit of the correlation function, -1 is
until the end
•Produces MANY output files (up to about 4 times the number of residues in the protein, twice that if
autocorrelation functions are calculated). Typically several hundred files are output.
•φand ψdihedrals are calculated in a non-standard way, using H-N-CA-C for φinstead of C(-)-N-
CA-C, and N-CA-C-O for ψinstead of N-CA-C-N(+). This causes (usually small) discrepancies
with the output of other tools like g_rama.
•-r0 option does not work properly
•Rotamers with multiplicity 2 are printed in chi.log as if they had multiplicity 3, with the 3rd
(g(+)) always having probability 0
D.13 g cluster
g_cluster can cluster structures using several different methods. Distances between structures can be
determined from a trajectory or read from an .xpm matrix file with the -dm option. RMS deviation after
fitting or RMS deviation of atom-pair distances can be used to define the distance between structures.
single linkage: add a structure to a cluster when its distance to any element of the cluster is less than
cutoff.
Jarvis Patrick: add a structure to a cluster when this structure and a structure in the cluster have each other
as neighbors and they have a least Pneighbors in common. The neighbors of a structure are the M closest
structures or all structures within cutoff.
Monte Carlo: reorder the RMSD matrix using Monte Carlo.
diagonalization: diagonalize the RMSD matrix.
gromos: use algorithm as described in Daura et al. (Angew. Chem. Int. Ed. 1999,38, pp 236-240). Count
number of neighbors using cut-off, take structure with largest number of neighbors with all its neighbors as
cluster and eliminate it from the pool of clusters. Repeat for remaining structures in pool.
When the clustering algorithm assigns each structure to exactly one cluster (single linkage, Jarvis Patrick
and gromos) and a trajectory file is supplied, the structure with the smallest average distance to the others
or the average structure or all structures for each cluster will be written to a trajectory file. When writing all
structures, separate numbered files are made for each cluster.
Two output files are always written:
-o writes the RMSD values in the upper left half of the matrix and a graphical depiction of the clusters in
the lower right half When -minstruct = 1 the graphical depiction is black when two structures are in
the same cluster. When -minstruct >1 different colors will be used for each cluster.
-g writes information on the options used and a detailed list of all clusters and their members.

D.13. g cluster 289
Additionally, a number of optional output files can be written:
-dist writes the RMSD distribution.
-ev writes the eigenvectors of the RMSD matrix diagonalization.
-sz writes the cluster sizes.
-tr writes a matrix of the number transitions between cluster pairs.
-ntr writes the total number of transitions to or from each cluster.
-clid writes the cluster number as a function of time.
-cl writes average (with option -av) or central structure of each cluster or writes numbered files with
cluster members for a selected set of clusters (with option -wcl, depends on -nst and -rmsmin). The
center of a cluster is the structure with the smallest average RMSD from all other structures of the cluster.
Files
-f traj.xtc Input, Opt. Trajectory: xtc trr trj gro g96 pdb cpt
-s topol.tpr Input, Opt. Structure+mass(db): tpr tpb tpa gro g96 pdb
-n index.ndx Input, Opt. Index file
-dm rmsd.xpm Input, Opt. X PixMap compatible matrix file
-o rmsd-clust.xpm Output X PixMap compatible matrix file
-g cluster.log Output Log file
-dist rmsd-dist.xvg Output, Opt. xvgr/xmgr file
-ev rmsd-eig.xvg Output, Opt. xvgr/xmgr file
-sz clust-size.xvg Output, Opt. xvgr/xmgr file
-trclust-trans.xpm Output, Opt. X PixMap compatible matrix file
-ntrclust-trans.xvg Output, Opt. xvgr/xmgr file
-clid clust-id.xvg Output, Opt. xvgr/xmgr file
-cl clusters.pdb Output, Opt. Trajectory: xtc trr trj gro g96 pdb cpt
Other options
-h bool no Print help info and quit
-version bool no Print version info and quit
-nice int 19 Set the nicelevel
-b time 0First frame (ps) to read from trajectory
-e time 0Last frame (ps) to read from trajectory
-dt time 0Only use frame when t MOD dt = first time (ps)
-tu enum ps Time unit: fs,ps,ns,us,ms or s
-w bool no View output .xvg,.xpm,.eps and .pdb files
-xvg enum xmgrace xvg plot formatting: xmgrace,xmgr or none
-dista bool no Use RMSD of distances instead of RMS deviation
-nlevels int 40 Discretize RMSD matrix in this number of levels
-cutoff real 0.1 RMSD cut-off (nm) for two structures to be neighbor
-fit bool yes Use least squares fitting before RMSD calculation
-max real -1 Maximum level in RMSD matrix
-skip int 1Only analyze every nr-th frame
-av bool no Write average iso middle structure for each cluster
-wcl int 0Write the structures for this number of clusters to numbered files
-nst int 1Only write all structures if more than this number of structures per cluster
-rmsmin real 0minimum rms difference with rest of cluster for writing structures
-method enum linkage Method for cluster determination: linkage,jarvis-patrick,
monte-carlo,diagonalization or gromos
-minstruct int 1Minimum number of structures in cluster for coloring in the .xpm file
-binary bool no Treat the RMSD matrix as consisting of 0 and 1, where the cut-off is
given by -cutoff
-M int 10 Number of nearest neighbors considered for Jarvis-Patrick algorithm, 0
is use cutoff

290 Appendix D. Manual Pages
-P int 3Number of identical nearest neighbors required to form a cluster
-seed int 1993 Random number seed for Monte Carlo clustering algorithm
-niter int 10000 Number of iterations for MC
-kT real 0.001 Boltzmann weighting factor for Monte Carlo optimization (zero turns off
uphill steps)
-pbc bool yes PBC check
D.14 g clustsize
This program computes the size distributions of molecular/atomic clusters in the gas phase. The output is
given in the form of an .xpm file. The total number of clusters is written to an .xvg file.
When the -mol option is given clusters will be made out of molecules rather than atoms, which allows
clustering of large molecules. In this case an index file would still contain atom numbers or your calculation
will die with a SEGV.
When velocities are present in your trajectory, the temperature of the largest cluster will be printed in a
separate .xvg file assuming that the particles are free to move. If you are using constraints, please correct
the temperature. For instance water simulated with SHAKE or SETTLE will yield a temperature that is 1.5
times too low. You can compensate for this with the -ndf option. Remember to take the removal of center
of mass motion into account.
The -mc option will produce an index file containing the atom numbers of the largest cluster.
Files
-f traj.xtc Input Trajectory: xtc trr trj gro g96 pdb cpt
-s topol.tpr Input, Opt. Portable xdr run input file
-n index.ndx Input, Opt. Index file
-o csize.xpm Output X PixMap compatible matrix file
-ow csizew.xpm Output X PixMap compatible matrix file
-nc nclust.xvg Output xvgr/xmgr file
-mc maxclust.xvg Output xvgr/xmgr file
-ac avclust.xvg Output xvgr/xmgr file
-hchisto-clust.xvg Output xvgr/xmgr file
-temp temp.xvg Output, Opt. xvgr/xmgr file
-mcn maxclust.ndx Output, Opt. Index file
Other options
-h bool no Print help info and quit
-version bool no Print version info and quit
-nice int 19 Set the nicelevel
-b time 0First frame (ps) to read from trajectory
-e time 0Last frame (ps) to read from trajectory
-dt time 0Only use frame when t MOD dt = first time (ps)
-tu enum ps Time unit: fs,ps,ns,us,ms or s
-w bool no View output .xvg,.xpm,.eps and .pdb files
-xvg enum xmgrace xvg plot formatting: xmgrace,xmgr or none
-cut real 0.35 Largest distance (nm) to be considered in a cluster
-mol bool no Cluster molecules rather than atoms (needs .tpr file)
-pbc bool yes Use periodic boundary conditions
-nskip int 0Number of frames to skip between writing
-nlevels int 20 Number of levels of grey in .xpm output
-ndf int -1 Number of degrees of freedom of the entire system for temperature cal-
culation. If not set, the number of atoms times three is used.

D.15. g confrms 291
-rgblo vector 110 RGB values for the color of the lowest occupied cluster size
-rgbhi vector 001 RGB values for the color of the highest occupied cluster size
D.15 g confrms
g_confrms computes the root mean square deviation (RMSD) of two structures after least-squares fitting
the second structure on the first one. The two structures do NOT need to have the same number of atoms,
only the two index groups used for the fit need to be identical. With -name only matching atom names
from the selected groups will be used for the fit and RMSD calculation. This can be useful when comparing
mutants of a protein.
The superimposed structures are written to file. In a .pdb file the two structures will be written as separate
models (use rasmol -nmrpdb). Also in a .pdb file, B-factors calculated from the atomic MSD values
can be written with -bfac.
Files
-f1 conf1.gro Input Structure+mass(db): tpr tpb tpa gro g96 pdb
-f2 conf2.gro Input Structure file: gro g96 pdb tpr etc.
-o fit.pdb Output Structure file: gro g96 pdb etc.
-n1 fit1.ndx Input, Opt. Index file
-n2 fit2.ndx Input, Opt. Index file
-no match.ndx Output, Opt. Index file
Other options
-h bool no Print help info and quit
-version bool no Print version info and quit
-nice int 19 Set the nicelevel
-w bool no View output .xvg,.xpm,.eps and .pdb files
-one bool no Only write the fitted structure to file
-mw bool yes Mass-weighted fitting and RMSD
-pbc bool no Try to make molecules whole again
-fit bool yes Do least squares superposition of the target structure to the reference
-name bool no Only compare matching atom names
-label bool no Added chain labels A for first and B for second structure
-bfac bool no Output B-factors from atomic MSD values
D.16 g covar
g_covar calculates and diagonalizes the (mass-weighted) covariance matrix. All structures are fitted to
the structure in the structure file. When this is not a run input file periodicity will not be taken into account.
When the fit and analysis groups are identical and the analysis is non mass-weighted, the fit will also be
non mass-weighted.
The eigenvectors are written to a trajectory file (-v). When the same atoms are used for the fit and the
covariance analysis, the reference structure for the fit is written first with t=-1. The average (or reference
when -ref is used) structure is written with t=0, the eigenvectors are written as frames with the eigenvector
number as timestamp.
The eigenvectors can be analyzed with g_anaeig.
Option -ascii writes the whole covariance matrix to an ASCII file. The order of the elements is: x1x1,
x1y1, x1z1, x1x2, ...

292 Appendix D. Manual Pages
Option -xpm writes the whole covariance matrix to an .xpm file.
Option -xpma writes the atomic covariance matrix to an .xpm file, i.e. for each atom pair the sum of the
xx, yy and zz covariances is written.
Note that the diagonalization of a matrix requires memory and time that will increase at least as fast as than
the square of the number of atoms involved. It is easy to run out of memory, in which case this tool will
probably exit with a ’Segmentation fault’. You should consider carefully whether a reduced set of atoms
will meet your needs for lower costs.
Files
-f traj.xtc Input Trajectory: xtc trr trj gro g96 pdb cpt
-s topol.tpr Input Structure+mass(db): tpr tpb tpa gro g96 pdb
-n index.ndx Input, Opt. Index file
-o eigenval.xvg Output xvgr/xmgr file
-v eigenvec.trr Output Full precision trajectory: trr trj cpt
-av average.pdb Output Structure file: gro g96 pdb etc.
-l covar.log Output Log file
-ascii covar.dat Output, Opt. Generic data file
-xpm covar.xpm Output, Opt. X PixMap compatible matrix file
-xpma covara.xpm Output, Opt. X PixMap compatible matrix file
Other options
-h bool no Print help info and quit
-version bool no Print version info and quit
-nice int 19 Set the nicelevel
-b time 0First frame (ps) to read from trajectory
-e time 0Last frame (ps) to read from trajectory
-dt time 0Only use frame when t MOD dt = first time (ps)
-tu enum ps Time unit: fs,ps,ns,us,ms or s
-xvg enum xmgrace xvg plot formatting: xmgrace,xmgr or none
-fit bool yes Fit to a reference structure
-ref bool no Use the deviation from the conformation in the structure file instead of
from the average
-mwa bool no Mass-weighted covariance analysis
-last int -1 Last eigenvector to write away (-1 is till the last)
-pbc bool yes Apply corrections for periodic boundary conditions
D.17 g current
g_current is a tool for calculating the current autocorrelation function, the correlation of the rotational
and translational dipole moment of the system, and the resulting static dielectric constant. To obtain a
reasonable result, the index group has to be neutral. Furthermore, the routine is capable of extracting
the static conductivity from the current autocorrelation function, if velocities are given. Additionally, an
Einstein-Helfand fit can be used to obtain the static conductivity.
The flag -caf is for the output of the current autocorrelation function and -mc writes the correlation of the
rotational and translational part of the dipole moment in the corresponding file. However, this option is only
available for trajectories containing velocities. Options -sh and -tr are responsible for the averaging and
integration of the autocorrelation functions. Since averaging proceeds by shifting the starting point through
the trajectory, the shift can be modified with -sh to enable the choice of uncorrelated starting points.
Towards the end, statistical inaccuracy grows and integrating the correlation function only yields reliable
values until a certain point, depending on the number of frames. The option -tr controls the region of the
integral taken into account for calculating the static dielectric constant.

D.18. g density 293
Option -temp sets the temperature required for the computation of the static dielectric constant.
Option -eps controls the dielectric constant of the surrounding medium for simulations using a Reaction
Field or dipole corrections of the Ewald summation (-eps=0 corresponds to tin-foil boundary conditions).
-[no]nojump unfolds the coordinates to allow free diffusion. This is required to get a continuous transla-
tional dipole moment, required for the Einstein-Helfand fit. The results from the fit allow the determination
of the dielectric constant for system of charged molecules. However, it is also possible to extract the di-
electric constant from the fluctuations of the total dipole moment in folded coordinates. But this option
has to be used with care, since only very short time spans fulfill the approximation that the density of the
molecules is approximately constant and the averages are already converged. To be on the safe side, the
dielectric constant should be calculated with the help of the Einstein-Helfand method for the translational
part of the dielectric constant.
Files
-s topol.tpr Input Structure+mass(db): tpr tpb tpa gro g96 pdb
-n index.ndx Input, Opt. Index file
-f traj.xtc Input Trajectory: xtc trr trj gro g96 pdb cpt
-o current.xvg Output xvgr/xmgr file
-caf caf.xvg Output, Opt. xvgr/xmgr file
-dsp dsp.xvg Output xvgr/xmgr file
-md md.xvg Output xvgr/xmgr file
-mj mj.xvg Output xvgr/xmgr file
-mc mc.xvg Output, Opt. xvgr/xmgr file
Other options
-h bool no Print help info and quit
-version bool no Print version info and quit
-nice int 0Set the nicelevel
-b time 0First frame (ps) to read from trajectory
-e time 0Last frame (ps) to read from trajectory
-dt time 0Only use frame when t MOD dt = first time (ps)
-w bool no View output .xvg,.xpm,.eps and .pdb files
-xvg enum xmgrace xvg plot formatting: xmgrace,xmgr or none
-sh int 1000 Shift of the frames for averaging the correlation functions and the mean-
square displacement.
-nojump bool yes Removes jumps of atoms across the box.
-eps real 0Dielectric constant of the surrounding medium. The value zero corre-
sponds to infinity (tin-foil boundary conditions).
-bfit real 100 Begin of the fit of the straight line to the MSD of the translational fraction
of the dipole moment.
-efit real 400 End of the fit of the straight line to the MSD of the translational fraction
of the dipole moment.
-bvit real 0.5 Begin of the fit of the current autocorrelation function to a*tb.
-evit real 5End of the fit of the current autocorrelation function to a*tb.
-tr real 0.25 Fraction of the trajectory taken into account for the integral.
-temp real 300 Temperature for calculating epsilon.
D.18 g density
Compute partial densities across the box, using an index file.
For the total density of NPT simulations, use g_energy instead.

294 Appendix D. Manual Pages
Densities are in kg/m3, and number densities or electron densities can also be calculated. For electron
densities, a file describing the number of electrons for each type of atom should be provided using -ei. It
should look like:
2
atomname = nrelectrons
atomname = nrelectrons
The first line contains the number of lines to read from the file. There should be one line for each unique
atom name in your system. The number of electrons for each atom is modified by its atomic partial charge.
Files
-f traj.xtc Input Trajectory: xtc trr trj gro g96 pdb cpt
-n index.ndx Input, Opt. Index file
-s topol.tpr Input Run input file: tpr tpb tpa
-ei electrons.dat Input, Opt. Generic data file
-o density.xvg Output xvgr/xmgr file
Other options
-h bool no Print help info and quit
-version bool no Print version info and quit
-nice int 19 Set the nicelevel
-b time 0First frame (ps) to read from trajectory
-e time 0Last frame (ps) to read from trajectory
-dt time 0Only use frame when t MOD dt = first time (ps)
-w bool no View output .xvg,.xpm,.eps and .pdb files
-xvg enum xmgrace xvg plot formatting: xmgrace,xmgr or none
-d string ZTake the normal on the membrane in direction X, Y or Z.
-sl int 50 Divide the box in this number of slices.
-dens enum mass Density: mass,number,charge or electron
-ng int 1Number of groups of which to compute densities.
-symm bool no Symmetrize the density along the axis, with respect to the center. Useful
for bilayers.
-center bool no Shift the center of mass along the axis to zero. This means if your axis is
Z and your box is bX, bY, bZ, the center of mass will be at bX/2, bY/2,
0.
•When calculating electron densities, atomnames are used instead of types. This is bad.
D.19 g densmap
g_densmap computes 2D number-density maps. It can make planar and axial-radial density maps. The
output .xpm file can be visualized with for instance xv and can be converted to postscript with xpm2ps.
Optionally, output can be in text form to a .dat file with -od, instead of the usual .xpm file with -o.
The default analysis is a 2-D number-density map for a selected group of atoms in the x-y plane. The
averaging direction can be changed with the option -aver. When -xmin and/or -xmax are set only
atoms that are within the limit(s) in the averaging direction are taken into account. The grid spacing is
set with the option -bin. When -n1 or -n2 is non-zero, the grid size is set by this option. Box size
fluctuations are properly taken into account.
When options -amax and -rmax are set, an axial-radial number-density map is made. Three groups
should be supplied, the centers of mass of the first two groups define the axis, the third defines the analysis
group. The axial direction goes from -amax to +amax, where the center is defined as the midpoint between

D.20. g densorder 295
the centers of mass and the positive direction goes from the first to the second center of mass. The radial
direction goes from 0 to rmax or from -rmax to +rmax when the -mirror option has been set.
The normalization of the output is set with the -unit option. The default produces a true number density.
Unit nm-2 leaves out the normalization for the averaging or the angular direction. Option count produces
the count for each grid cell. When you do not want the scale in the output to go from zero to the maximum
density, you can set the maximum with the option -dmax.
Files
-f traj.xtc Input Trajectory: xtc trr trj gro g96 pdb cpt
-s topol.tpr Input, Opt. Structure+mass(db): tpr tpb tpa gro g96 pdb
-n index.ndx Input, Opt. Index file
-od densmap.dat Output, Opt. Generic data file
-o densmap.xpm Output X PixMap compatible matrix file
Other options
-h bool no Print help info and quit
-version bool no Print version info and quit
-nice int 19 Set the nicelevel
-b time 0First frame (ps) to read from trajectory
-e time 0Last frame (ps) to read from trajectory
-dt time 0Only use frame when t MOD dt = first time (ps)
-w bool no View output .xvg,.xpm,.eps and .pdb files
-bin real 0.02 Grid size (nm)
-aver enum zThe direction to average over: z,yor x
-xmin real -1 Minimum coordinate for averaging
-xmax real -1 Maximum coordinate for averaging
-n1 int 0Number of grid cells in the first direction
-n2 int 0Number of grid cells in the second direction
-amax real 0Maximum axial distance from the center
-rmax real 0Maximum radial distance
-mirror bool no Add the mirror image below the axial axis
-sums bool no Print density sums (1D map) to stdout
-unit enum nm-3 Unit for the output: nm-3,nm-2 or count
-dmin real 0Minimum density in output
-dmax real 0Maximum density in output (0 means calculate it)
D.20 g densorder
A small program to reduce a two-phase density distribution along an axis, computed over a MD trajectory
to 2D surfaces fluctuating in time, by a fit to a functional profile for interfacial densities A time-averaged
spatial representation of the interfaces can be output with the option -tavg
Files
-s topol.tpr Input Run input file: tpr tpb tpa
-f traj.xtc Input Trajectory: xtc trr trj gro g96 pdb cpt
-n index.ndx Input Index file
-o Density4D.dat Output, Opt. Generic data file
-or hello.out Output, Opt., Mult.Generic output file
-og interface.xpm Output, Opt., Mult.X PixMap compatible matrix file
-Spect intfspect.out Output, Opt., Mult.Generic output file

296 Appendix D. Manual Pages
Other options
-h bool no Print help info and quit
-version bool no Print version info and quit
-nice int 0Set the nicelevel
-b time 0First frame (ps) to read from trajectory
-e time 0Last frame (ps) to read from trajectory
-dt time 0Only use frame when t MOD dt = first time (ps)
-w bool no View output .xvg,.xpm,.eps and .pdb files
-1d bool no Pseudo-1d interface geometry
-bw real 0.2 Binwidth of density distribution tangential to interface
-bwn real 0.05 Binwidth of density distribution normal to interface
-order int 0Order of Gaussian filter, order 0 equates to NO filtering
-axis string ZAxis Direction - X, Y or Z
-method enum bisect Interface location method: bisect or functional
-d1 real 0Bulk density phase 1 (at small z)
-d2 real 1000 Bulk density phase 2 (at large z)
-tblock int 100 Number of frames in one time-block average
-nlevel int 100 Number of Height levels in 2D - XPixMaps
D.21 g dielectric
g_dielectric calculates frequency dependent dielectric constants from the autocorrelation function of
the total dipole moment in your simulation. This ACF can be generated by g_dipoles. The functional
forms of the available functions are:
One parameter: y = exp (−a1x),
Two parameters: y = a2exp (−a1x),
Three parameters: y = a2exp (−a1x)+(1-a2)exp (−a3x).
Start values for the fit procedure can be given on the command line. It is also possible to fix parameters at
their start value, use -fix with the number of the parameter you want to fix.
Three output files are generated, the first contains the ACF, an exponential fit to it with 1, 2 or 3 parameters,
and the numerical derivative of the combination data/fit. The second file contains the real and imaginary
parts of the frequency-dependent dielectric constant, the last gives a plot known as the Cole-Cole plot, in
which the imaginary component is plotted as a function of the real component. For a pure exponential
relaxation (Debye relaxation) the latter plot should be one half of a circle.
Files
-f dipcorr.xvg Input xvgr/xmgr file
-d deriv.xvg Output xvgr/xmgr file
-o epsw.xvg Output xvgr/xmgr file
-c cole.xvg Output xvgr/xmgr file
Other options
-h bool no Print help info and quit
-version bool no Print version info and quit
-nice int 19 Set the nicelevel
-b time 0First frame (ps) to read from trajectory
-e time 0Last frame (ps) to read from trajectory
-dt time 0Only use frame when t MOD dt = first time (ps)
-w bool no View output .xvg,.xpm,.eps and .pdb files
-xvg enum xmgrace xvg plot formatting: xmgrace,xmgr or none

D.22. g dipoles 297
-fft bool no use fast fourier transform for correlation function
-x1 bool yes use first column as x-axis rather than first data set
-eint real 5Time to end the integration of the data and start to use the fit
-bfit real 5Begin time of fit
-efit real 500 End time of fit
-tail real 500 Length of function including data and tail from fit
-A real 0.5 Start value for fit parameter A
-tau1 real 10 Start value for fit parameter τ1
-tau2 real 1Start value for fit parameter τ2
-eps0 real 80 0 of your liquid
-epsRF real 78.5 of the reaction field used in your simulation. A value of 0 means infinity.
-fix int 0Fix parameters at their start values, A (2), tau1 (1), or tau2 (4)
-ffn enum none Fit function: none,exp,aexp,exp_exp,vac,exp5,exp7,exp9
or erffit
-nsmooth int 3Number of points for smoothing
D.22 g dipoles
g_dipoles computes the total dipole plus fluctuations of a simulation system. From this you can compute
e.g. the dielectric constant for low-dielectric media. For molecules with a net charge, the net charge is
subtracted at center of mass of the molecule.
The file Mtot.xvg contains the total dipole moment of a frame, the components as well as the norm of the
vector. The file aver.xvg contains <|µ|2>and |<µ>|2during the simulation. The file dipdist.xvg
contains the distribution of dipole moments during the simulation The value of -mumax is used as the
highest value in the distribution graph.
Furthermore, the dipole autocorrelation function will be computed when option -corr is used. The output
file name is given with the -c option. The correlation functions can be averaged over all molecules (mol),
plotted per molecule separately (molsep) or it can be computed over the total dipole moment of the
simulation box (total).
Option -g produces a plot of the distance dependent Kirkwood G-factor, as well as the average cosine of
the angle between the dipoles as a function of the distance. The plot also includes gOO and hOO according
to Nymand & Linse, J. Chem. Phys. 112 (2000) pp 6386-6395. In the same plot, we also include the energy
per scale computed by taking the inner product of the dipoles divided by the distance to the third power.
EXAMPLES
g_dipoles -corr mol -P 1 -o dip_sqr -mu 2.273 -mumax 5.0
This will calculate the autocorrelation function of the molecular dipoles using a first order Legendre poly-
nomial of the angle of the dipole vector and itself a time t later. For this calculation 1001 frames will be
used. Further, the dielectric constant will be calculated using an -epsilonRF of infinity (default), temper-
ature of 300 K (default) and an average dipole moment of the molecule of 2.273 (SPC). For the distribution
function a maximum of 5.0 will be used.
Files
-en ener.edr Input, Opt. Energy file
-f traj.xtc Input Trajectory: xtc trr trj gro g96 pdb cpt
-s topol.tpr Input Run input file: tpr tpb tpa
-n index.ndx Input, Opt. Index file
-o Mtot.xvg Output xvgr/xmgr file
-eps epsilon.xvg Output xvgr/xmgr file
-a aver.xvg Output xvgr/xmgr file

298 Appendix D. Manual Pages
-d dipdist.xvg Output xvgr/xmgr file
-c dipcorr.xvg Output, Opt. xvgr/xmgr file
-g gkr.xvg Output, Opt. xvgr/xmgr file
-adip adip.xvg Output, Opt. xvgr/xmgr file
-dip3d dip3d.xvg Output, Opt. xvgr/xmgr file
-cos cosaver.xvg Output, Opt. xvgr/xmgr file
-cmap cmap.xpm Output, Opt. X PixMap compatible matrix file
-q quadrupole.xvg Output, Opt. xvgr/xmgr file
-slab slab.xvg Output, Opt. xvgr/xmgr file
Other options
-h bool no Print help info and quit
-version bool no Print version info and quit
-nice int 19 Set the nicelevel
-b time 0First frame (ps) to read from trajectory
-e time 0Last frame (ps) to read from trajectory
-dt time 0Only use frame when t MOD dt = first time (ps)
-w bool no View output .xvg,.xpm,.eps and .pdb files
-xvg enum xmgrace xvg plot formatting: xmgrace,xmgr or none
-mu real -1 dipole of a single molecule (in Debye)
-mumax real 5max dipole in Debye (for histogram)
-epsilonRF real 0of the reaction field used during the simulation, needed for dielectric
constant calculation. WARNING: 0.0 means infinity (default)
-skip int 0Skip steps in the output (but not in the computations)
-temp real 300 Average temperature of the simulation (needed for dielectric constant cal-
culation)
-corr enum none Correlation function to calculate: none,mol,molsep or total
-pairs bool yes Calculate |cos (θ)|between all pairs of molecules. May be slow
-ncos int 1Must be 1 or 2. Determines whether the <cos (θ)>is computed between
all molecules in one group, or between molecules in two different groups.
This turns on the -g flag.
-axis string ZTake the normal on the computational box in direction X, Y or Z.
-sl int 10 Divide the box into this number of slices.
-gkratom int 0Use the n-th atom of a molecule (starting from 1) to calculate the dis-
tance between molecules rather than the center of charge (when 0) in the
calculation of distance dependent Kirkwood factors
-gkratom2 int 0Same as previous option in case ncos = 2, i.e. dipole interaction between
two groups of molecules
-rcmax real 0Maximum distance to use in the dipole orientation distribution (with ncos
== 2). If zero, a criterion based on the box length will be used.
-phi bool no Plot the ’torsion angle’ defined as the rotation of the two dipole vectors
around the distance vector between the two molecules in the .xpm file
from the -cmap option. By default the cosine of the angle between the
dipoles is plotted.
-nlevels int 20 Number of colors in the cmap output
-ndegrees int 90 Number of divisions on the y-axis in the cmap output (for 180 degrees)
-acflen int -1 Length of the ACF, default is half the number of frames
-normalize bool yes Normalize ACF
-P enum 0Order of Legendre polynomial for ACF (0 indicates none): 0,1,2or 3
-fitfn enum none Fit function: none,exp,aexp,exp_exp,vac,exp5,exp7,exp9
or erffit
-ncskip int 0Skip this many points in the output file of correlation functions
-beginfit real 0Time where to begin the exponential fit of the correlation function

D.23. g disre 299
-endfit real -1 Time where to end the exponential fit of the correlation function, -1 is
until the end
D.23 g disre
g_disre computes violations of distance restraints. If necessary, all protons can be added to a protein
molecule using the g_protonate program.
The program always computes the instantaneous violations rather than time-averaged, because this analysis
is done from a trajectory file afterwards it does not make sense to use time averaging. However, the time
averaged values per restraint are given in the log file.
An index file may be used to select specific restraints for printing.
When the optional -q flag is given a .pdb file coloured by the amount of average violations.
When the -c option is given, an index file will be read containing the frames in your trajectory correspond-
ing to the clusters (defined in another manner) that you want to analyze. For these clusters the program will
compute average violations using the third power averaging algorithm and print them in the log file.
Files
-s topol.tpr Input Run input file: tpr tpb tpa
-f traj.xtc Input Trajectory: xtc trr trj gro g96 pdb cpt
-ds drsum.xvg Output xvgr/xmgr file
-da draver.xvg Output xvgr/xmgr file
-dn drnum.xvg Output xvgr/xmgr file
-dm drmax.xvg Output xvgr/xmgr file
-dr restr.xvg Output xvgr/xmgr file
-l disres.log Output Log file
-n viol.ndx Input, Opt. Index file
-q viol.pdb Output, Opt. Protein data bank file
-c clust.ndx Input, Opt. Index file
-x matrix.xpm Output, Opt. X PixMap compatible matrix file
Other options
-h bool no Print help info and quit
-version bool no Print version info and quit
-nice int 19 Set the nicelevel
-b time 0First frame (ps) to read from trajectory
-e time 0Last frame (ps) to read from trajectory
-dt time 0Only use frame when t MOD dt = first time (ps)
-w bool no View output .xvg,.xpm,.eps and .pdb files
-xvg enum xmgrace xvg plot formatting: xmgrace,xmgr or none
-ntop int 0Number of large violations that are stored in the log file every step
-maxdr real 0Maximum distance violation in matrix output. If less than or equal to 0
the maximum will be determined by the data.
-nlevels int 20 Number of levels in the matrix output
-third bool yes Use inverse third power averaging or linear for matrix output
D.24 g dist
g_dist can calculate the distance between the centers of mass of two groups of atoms as a function of
time. The total distance and its x-, y-, and z-components are plotted.

300 Appendix D. Manual Pages
Or when -dist is set, print all the atoms in group 2 that are closer than a certain distance to the center of
mass of group 1.
With options -lt and -dist the number of contacts of all atoms in group 2 that are closer than a certain
distance to the center of mass of group 1 are plotted as a function of the time that the contact was con-
tinuously present. The -intra switch enables calculations of intramolecular distances avoiding distance
calculation to its periodic images. For a proper function, the molecule in the input trajectory should be
whole (e.g. by preprocessing with trjconv -pbc) or a matching topology should be provided. The
-intra switch will only give meaningful results for intramolecular and not intermolecular distances.
Other programs that calculate distances are g_mindist and g_bond.
Files
-f traj.xtc Input Trajectory: xtc trr trj gro g96 pdb cpt
-s topol.tpr Input Run input file: tpr tpb tpa
-n index.ndx Input, Opt. Index file
-o dist.xvg Output, Opt. xvgr/xmgr file
-lt lifetime.xvg Output, Opt. xvgr/xmgr file
Other options
-h bool no Print help info and quit
-version bool no Print version info and quit
-nice int 19 Set the nicelevel
-b time 0First frame (ps) to read from trajectory
-e time 0Last frame (ps) to read from trajectory
-dt time 0Only use frame when t MOD dt = first time (ps)
-xvg enum xmgrace xvg plot formatting: xmgrace,xmgr or none
-intra bool no Calculate distances without considering periodic boundaries, e.g. in-
tramolecular.
-dist real 0Print all atoms in group 2 closer than dist to the center of mass of group
1
D.25 g dos
g_dos computes the Density of States from a simulations. In order for this to be meaningful the velocities
must be saved in the trajecotry with sufficiently high frequency such as to cover all vibrations. For flexible
systems that would be around a few fs between saving. Properties based on the DoS are printed on the
standard output.
Files
-f traj.trr Input Full precision trajectory: trr trj cpt
-s topol.tpr Input Run input file: tpr tpb tpa
-n index.ndx Input, Opt. Index file
-vacf vacf.xvg Output xvgr/xmgr file
-mvacf mvacf.xvg Output xvgr/xmgr file
-dos dos.xvg Output xvgr/xmgr file
-g dos.log Output Log file
Other options
-h bool no Print help info and quit
-version bool no Print version info and quit
-nice int 19 Set the nicelevel
-b time 0First frame (ps) to read from trajectory
-e time 0Last frame (ps) to read from trajectory

D.26. g dyecoupl 301
-dt time 0Only use frame when t MOD dt = first time (ps)
-w bool no View output .xvg,.xpm,.eps and .pdb files
-xvg enum xmgrace xvg plot formatting: xmgrace,xmgr or none
-v bool yes Be loud and noisy.
-recip bool no Use cmˆ-1 on X-axis instead of 1/ps for DoS plots.
-abs bool no Use the absolute value of the Fourier transform of the VACF as the Den-
sity of States. Default is to use the real component only
-normdos bool no Normalize the DoS such that it adds up to 3N. This is a hack that should
not be necessary.
-T real 298.15 Temperature in the simulation
-acflen int -1 Length of the ACF, default is half the number of frames
-normalize bool yes Normalize ACF
-P enum 0Order of Legendre polynomial for ACF (0 indicates none): 0,1,2or 3
-fitfn enum none Fit function: none,exp,aexp,exp_exp,vac,exp5,exp7,exp9
or erffit
-ncskip int 0Skip this many points in the output file of correlation functions
-beginfit real 0Time where to begin the exponential fit of the correlation function
-endfit real -1 Time where to end the exponential fit of the correlation function, -1 is
until the end
•This program needs a lot of memory: total usage equals the number of atoms times 3 times number
of frames times 4 (or 8 when run in double precision).
D.26 g dyecoupl
This tool extracts dye dynamics from trajectory files. Currently, R and kappa2between dyes is extracted
for (F)RET simulations with assumed dipolar coupling as in the Foerster equation. It further allows the
calculation of R(t) and kappa2(t), R and kappa2histograms and averages, as well as the instantaneous
FRET efficiency E(t) for a specified Foerster radius R 0 (switch -R0). The input dyes have to be whole
(see res and mol pbc options in trjconv). The dye transition dipole moment has to be defined by at least a
single atom pair, however multiple atom pairs can be provided in the index file. The distance R is calculated
on the basis of the COMs of the given atom pairs. The -pbcdist option calculates distances to the nearest
periodic image instead to the distance in the box. This works however only,for periodic boundaries in all 3
dimensions. The -norm option (area-) normalizes the histograms.
Files
-f traj.xtc Input Trajectory: xtc trr trj gro g96 pdb cpt
-n index.ndx Input Index file
-ot rkappa.xvg Output, Opt. xvgr/xmgr file
-oe insteff.xvg Output, Opt. xvgr/xmgr file
-o rkappa.dat Output, Opt. Generic data file
-rhist rhist.xvg Output, Opt. xvgr/xmgr file
-khist khist.xvg Output, Opt. xvgr/xmgr file
Other options
-h bool no Print help info and quit
-version bool no Print version info and quit
-nice int 19 Set the nicelevel
-b time 0First frame (ps) to read from trajectory
-e time 0Last frame (ps) to read from trajectory
-tu enum ps Time unit: fs,ps,ns,us,ms or s
-w bool no View output .xvg,.xpm,.eps and .pdb files

302 Appendix D. Manual Pages
-xvg enum xmgrace xvg plot formatting: xmgrace,xmgr or none
-pbcdist bool no Distance R based on PBC
-norm bool no Normalize histograms
-bins int 50 # of histogram bins
-R0 real -1 Foerster radius including kappa2=2/3 in nm
D.27 g dyndom
g_dyndom reads a .pdb file output from DynDom (http://www.cmp.uea.ac.uk/dyndom/). It reads the
coordinates, the coordinates of the rotation axis, and an index file containing the domains. Furthermore,
it takes the first and last atom of the arrow file as command line arguments (head and tail) and finally it
takes the translation vector (given in DynDom info file) and the angle of rotation (also as command line
arguments). If the angle determined by DynDom is given, one should be able to recover the second structure
used for generating the DynDom output. Because of limited numerical accuracy this should be verified by
computing an all-atom RMSD (using g_confrms) rather than by file comparison (using diff).
The purpose of this program is to interpolate and extrapolate the rotation as found by DynDom. As a result
unphysical structures with long or short bonds, or overlapping atoms may be produced. Visual inspection,
and energy minimization may be necessary to validate the structure.
Files
-f dyndom.pdb Input Protein data bank file
-o rotated.xtc Output Trajectory: xtc trr trj gro g96 pdb
-n domains.ndx Input Index file
Other options
-h bool no Print help info and quit
-version bool no Print version info and quit
-nice int 0Set the nicelevel
-firstangle real 0Angle of rotation about rotation vector
-lastangle real 0Angle of rotation about rotation vector
-nframe int 11 Number of steps on the pathway
-maxangle real 0DymDom dtermined angle of rotation about rotation vector
-trans real 0Translation (Angstrom) along rotation vector (see DynDom info file)
-head vector 000 First atom of the arrow vector
-tail vector 000 Last atom of the arrow vector
D.28 genbox
genbox can do one of 3 things:
1) Generate a box of solvent. Specify -cs and -box. Or specify -cs and -cp with a structure file with a
box, but without atoms.
2) Solvate a solute configuration, e.g. a protein, in a bath of solvent molecules. Specify -cp (solute) and
-cs (solvent). The box specified in the solute coordinate file (-cp) is used, unless -box is set. If you
want the solute to be centered in the box, the program editconf has sophisticated options to change the
box dimensions and center the solute. Solvent molecules are removed from the box where the distance
between any atom of the solute molecule(s) and any atom of the solvent molecule is less than the sum of
the van der Waals radii of both atoms. A database (vdwradii.dat) of van der Waals radii is read by the

D.28. genbox 303
program, and atoms not in the database are assigned a default distance -vdwd. Note that this option will
also influence the distances between solvent molecules if they contain atoms that are not in the database.
3) Insert a number (-nmol) of extra molecules (-ci) at random positions. The program iterates until
nmol molecules have been inserted in the box. To test whether an insertion is successful the same van der
Waals criterium is used as for removal of solvent molecules. When no appropriately-sized holes (holes that
can hold an extra molecule) are available, the program tries for -nmol *-try times before giving up.
Increase -try if you have several small holes to fill.
If you need to do more than one of the above operations, it can be best to call genbox separately for each
operation, so that you are sure of the order in which the operations occur.
The default solvent is Simple Point Charge water (SPC), with coordinates from $GMXLIB/spc216.gro.
These coordinates can also be used for other 3-site water models, since a short equibilibration will remove
the small differences between the models. Other solvents are also supported, as well as mixed solvents.
The only restriction to solvent types is that a solvent molecule consists of exactly one residue. The residue
information in the coordinate files is used, and should therefore be more or less consistent. In practice this
means that two subsequent solvent molecules in the solvent coordinate file should have different residue
number. The box of solute is built by stacking the coordinates read from the coordinate file. This means
that these coordinates should be equlibrated in periodic boundary conditions to ensure a good alignment of
molecules on the stacking interfaces. The -maxsol option simply adds only the first -maxsol solvent
molecules and leaves out the rest that would have fitted into the box. This can create a void that can cause
problems later. Choose your volume wisely.
The program can optionally rotate the solute molecule to align the longest molecule axis along a box edge.
This way the amount of solvent molecules necessary is reduced. It should be kept in mind that this only
works for short simulations, as e.g. an alpha-helical peptide in solution can rotate over 90 degrees, within
500 ps. In general it is therefore better to make a more or less cubic box.
Setting -shell larger than zero will place a layer of water of the specified thickness (nm) around the
solute. Hint: it is a good idea to put the protein in the center of a box first (using editconf).
Finally, genbox will optionally remove lines from your topology file in which a number of solvent
molecules is already added, and adds a line with the total number of solvent molecules in your coordi-
nate file.
Files
-cp protein.gro Input, Opt. Structure file: gro g96 pdb tpr etc.
-cs spc216.gro Input, Opt., Lib.Structure file: gro g96 pdb tpr etc.
-ci insert.gro Input, Opt. Structure file: gro g96 pdb tpr etc.
-o out.gro Output Structure file: gro g96 pdb etc.
-p topol.top In/Out, Opt. Topology file
Other options
-h bool no Print help info and quit
-version bool no Print version info and quit
-nice int 19 Set the nicelevel
-box vector 000 Box size
-nmol int 0Number of extra molecules to insert
-try int 10 Try inserting -nmol times -try times
-seed int 1997 Random generator seed
-vdwd real 0.105 Default van der Waals distance
-shell real 0Thickness of optional water layer around solute
-maxsol int 0Maximum number of solvent molecules to add if they fit in the box. If
zero (default) this is ignored
-vel bool no Keep velocities from input solute and solvent

304 Appendix D. Manual Pages
•Molecules must be whole in the initial configurations.
D.29 genconf
genconf multiplies a given coordinate file by simply stacking them on top of each other, like a small
child playing with wooden blocks. The program makes a grid of user-defined proportions (-nbox), and
interspaces the grid point with an extra space -dist.
When option -rot is used the program does not check for overlap between molecules on grid points. It is
recommended to make the box in the input file at least as big as the coordinates + van der Waals radius.
If the optional trajectory file is given, conformations are not generated, but read from this file and translated
appropriately to build the grid.
Files
-f conf.gro Input Structure file: gro g96 pdb tpr etc.
-o out.gro Output Structure file: gro g96 pdb etc.
-trj traj.xtc Input, Opt. Trajectory: xtc trr trj gro g96 pdb cpt
Other options
-h bool no Print help info and quit
-version bool no Print version info and quit
-nice int 0Set the nicelevel
-nbox vector 111 Number of boxes
-dist vector 000 Distance between boxes
-seed int 0Random generator seed, if 0 generated from the time
-rot bool no Randomly rotate conformations
-shuffle bool no Random shuffling of molecules
-sort bool no Sort molecules on X coord
-block int 1Divide the box in blocks on this number of cpus
-nmolat int 3Number of atoms per molecule, assumed to start from 0. If you set this
wrong, it will screw up your system!
-maxrot vector
180 180 180 Maximum random rotation
-renumber bool yes Renumber residues
•The program should allow for random displacement of lattice points.
D.30 g enemat
g_enemat extracts an energy matrix from the energy file (-f). With -groups a file must be supplied
with on each line a group of atoms to be used. For these groups matrix of interaction energies will be
extracted from the energy file by looking for energy groups with names corresponding to pairs of groups of
atoms, e.g. if your -groups file contains:
2
Protein
SOL
then energy groups with names like ’Coul-SR:Protein-SOL’ and ’LJ:Protein-SOL’ are expected in the en-
ergy file (although g_enemat is most useful if many groups are analyzed simultaneously). Matrices
for different energy types are written out separately, as controlled by the -[no]coul,-[no]coulr,

D.31. g energy 305
-[no]coul14,-[no]lj,-[no]lj14,-[no]bham and -[no]free options. Finally, the total in-
teraction energy energy per group can be calculated (-etot).
An approximation of the free energy can be calculated using: Ef ree =E0+kT log (<exp ((E−E0)/kT )>),
where ’<>’ stands for time-average. A file with reference free energies can be supplied to calculate the
free energy difference with some reference state. Group names (e.g. residue names) in the reference file
should correspond to the group names as used in the -groups file, but a appended number (e.g. residue
number) in the -groups will be ignored in the comparison.
Files
-f ener.edr Input, Opt. Energy file
-groups groups.dat Input Generic data file
-eref eref.dat Input, Opt. Generic data file
-emat emat.xpm Output X PixMap compatible matrix file
-etot energy.xvg Output xvgr/xmgr file
Other options
-h bool no Print help info and quit
-version bool no Print version info and quit
-nice int 19 Set the nicelevel
-b time 0First frame (ps) to read from trajectory
-e time 0Last frame (ps) to read from trajectory
-dt time 0Only use frame when t MOD dt = first time (ps)
-w bool no View output .xvg,.xpm,.eps and .pdb files
-xvg enum xmgrace xvg plot formatting: xmgrace,xmgr or none
-sum bool no Sum the energy terms selected rather than display them all
-skip int 0Skip number of frames between data points
-mean bool yes with -groups extracts matrix of mean energies instead of matrix for
each timestep
-nlevels int 20 number of levels for matrix colors
-max real 1e+20 max value for energies
-min real -1e+20 min value for energies
-coulsr bool yes extract Coulomb SR energies
-coullr bool no extract Coulomb LR energies
-coul14 bool no extract Coulomb 1-4 energies
-ljsr bool yes extract Lennard-Jones SR energies
-ljlr bool no extract Lennard-Jones LR energies
-lj14 bool no extract Lennard-Jones 1-4 energies
-bhamsr bool no extract Buckingham SR energies
-bhamlr bool no extract Buckingham LR energies
-free bool yes calculate free energy
-temp real 300 reference temperature for free energy calculation
D.31 g energy
g_energy extracts energy components or distance restraint data from an energy file. The user is prompted
to interactively select the desired energy terms.
Average, RMSD, and drift are calculated with full precision from the simulation (see printed manual). Drift
is calculated by performing a least-squares fit of the data to a straight line. The reported total drift is the
difference of the fit at the first and last point. An error estimate of the average is given based on a block
averages over 5 blocks using the full-precision averages. The error estimate can be performed over multiple

306 Appendix D. Manual Pages
block lengths with the options -nbmin and -nbmax.Note that in most cases the energy files contains
averages over all MD steps, or over many more points than the number of frames in energy file. This makes
the g_energy statistics output more accurate than the .xvg output. When exact averages are not present
in the energy file, the statistics mentioned above are simply over the single, per-frame energy values.
The term fluctuation gives the RMSD around the least-squares fit.
Some fluctuation-dependent properties can be calculated provided the correct energy terms are selected,
and that the command line option -fluct_props is given. The following properties will be computed:
Property Energy terms needed
—————————————————
Heat capacity Cp(NPT sims): Enthalpy, Temp
Heat capacity Cv(NVT sims): Etot, Temp
Thermal expansion coeff. (NPT): Enthalpy, Vol, Temp
Isothermal compressibility: Vol, Temp
Adiabatic bulk modulus: Vol, Temp
—————————————————
You always need to set the number of molecules -nmol. The Cp/Cvcomputations do not include any
corrections for quantum effects. Use the g_dos program if you need that (and you do).
When the -viol option is set, the time averaged violations are plotted and the running time-averaged and
instantaneous sum of violations are recalculated. Additionally running time-averaged and instantaneous
distances between selected pairs can be plotted with the -pairs option.
Options -ora,-ort,-oda,-odr and -odt are used for analyzing orientation restraint data. The first
two options plot the orientation, the last three the deviations of the orientations from the experimental
values. The options that end on an ’a’ plot the average over time as a function of restraint. The options
that end on a ’t’ prompt the user for restraint label numbers and plot the data as a function of time. Option
-odr plots the RMS deviation as a function of restraint. When the run used time or ensemble averaged
orientation restraints, option -orinst can be used to analyse the instantaneous, not ensemble-averaged
orientations and deviations instead of the time and ensemble averages.
Option -oten plots the eigenvalues of the molecular order tensor for each orientation restraint experiment.
With option -ovec also the eigenvectors are plotted.
Option -odh extracts and plots the free energy data (Hamiltoian differences and/or the Hamiltonian deriva-
tive dhdl) from the ener.edr file.
With -fee an estimate is calculated for the free-energy difference with an ideal gas state:
∆A = A(N,V,T) - Aidealgas(N,V,T) = kT ln (<exp (Upot/kT )>)
∆G = G(N,p,T) - Gidealgas(N,p,T) = kT ln (<exp (Upot/kT )>)
where k is Boltzmann’s constant, T is set by -fetemp and the average is over the ensemble (or time in a
trajectory). Note that this is in principle only correct when averaging over the whole (Boltzmann) ensemble
and using the potential energy. This also allows for an entropy estimate using:
∆S(N,V,T) = S(N,V,T) - Sidealgas(N,V,T) = (<Upot>-∆A)/T
∆S(N,p,T) = S(N,p,T) - Sidealgas(N,p,T) = (<Upot>+ pV - ∆G)/T
When a second energy file is specified (-f2), a free energy difference is calculated
dF = -kT ln (<exp (−(EB−EA)/kT )>A), where EAand EBare the energies from the first and second
energy files, and the average is over the ensemble A. The running average of the free energy difference
is printed to a file specified by -ravg.Note that the energies must both be calculated from the same
trajectory.
Files
-f ener.edr Input Energy file
-f2 ener.edr Input, Opt. Energy file
-s topol.tpr Input, Opt. Run input file: tpr tpb tpa
-o energy.xvg Output xvgr/xmgr file

D.31. g energy 307
-viol violaver.xvg Output, Opt. xvgr/xmgr file
-pairs pairs.xvg Output, Opt. xvgr/xmgr file
-ora orienta.xvg Output, Opt. xvgr/xmgr file
-ort orientt.xvg Output, Opt. xvgr/xmgr file
-oda orideva.xvg Output, Opt. xvgr/xmgr file
-odr oridevr.xvg Output, Opt. xvgr/xmgr file
-odt oridevt.xvg Output, Opt. xvgr/xmgr file
-oten oriten.xvg Output, Opt. xvgr/xmgr file
-corr enecorr.xvg Output, Opt. xvgr/xmgr file
-vis visco.xvg Output, Opt. xvgr/xmgr file
-ravg runavgdf.xvg Output, Opt. xvgr/xmgr file
-odh dhdl.xvg Output, Opt. xvgr/xmgr file
Other options
-h bool no Print help info and quit
-version bool no Print version info and quit
-nice int 19 Set the nicelevel
-b time 0First frame (ps) to read from trajectory
-e time 0Last frame (ps) to read from trajectory
-w bool no View output .xvg,.xpm,.eps and .pdb files
-xvg enum xmgrace xvg plot formatting: xmgrace,xmgr or none
-fee bool no Do a free energy estimate
-fetemp real 300 Reference temperature for free energy calculation
-zero real 0Subtract a zero-point energy
-sum bool no Sum the energy terms selected rather than display them all
-dp bool no Print energies in high precision
-nbmin int 5Minimum number of blocks for error estimate
-nbmax int 5Maximum number of blocks for error estimate
-mutot bool no Compute the total dipole moment from the components
-skip int 0Skip number of frames between data points
-aver bool no Also print the exact average and rmsd stored in the energy frames (only
when 1 term is requested)
-nmol int 1Number of molecules in your sample: the energies are divided by this
number
-fluct_props bool no Compute properties based on energy fluctuations, like heat capacity
-driftcorr bool no Useful only for calculations of fluctuation properties. The drift in the ob-
servables will be subtracted before computing the fluctuation properties.
-fluc bool no Calculate autocorrelation of energy fluctuations rather than energy itself
-orinst bool no Analyse instantaneous orientation data
-ovec bool no Also plot the eigenvectors with -oten
-acflen int -1 Length of the ACF, default is half the number of frames
-normalize bool yes Normalize ACF
-P enum 0Order of Legendre polynomial for ACF (0 indicates none): 0,1,2or 3
-fitfn enum none Fit function: none,exp,aexp,exp_exp,vac,exp5,exp7,exp9
or erffit
-ncskip int 0Skip this many points in the output file of correlation functions
-beginfit real 0Time where to begin the exponential fit of the correlation function
-endfit real -1 Time where to end the exponential fit of the correlation function, -1 is
until the end

308 Appendix D. Manual Pages
D.32 genion
genion randomly replaces solvent molecules with monoatomic ions. The group of solvent molecules
should be continuous and all molecules should have the same number of atoms. The user should add the
ion molecules to the topology file or use the -p option to automatically modify the topology.
The ion molecule type, residue and atom names in all force fields are the capitalized element names without
sign. This molecule name should be given with -pname or -nname, and the [molecules] section of
your topology updated accordingly, either by hand or with -p. Do not use an atom name instead!
Ions which can have multiple charge states get the multiplicity added, without sign, for the uncommon
states only.
For larger ions, e.g. sulfate we recommended using genbox.
Files
-s topol.tpr Input Run input file: tpr tpb tpa
-n index.ndx Input, Opt. Index file
-o out.gro Output Structure file: gro g96 pdb etc.
-p topol.top In/Out, Opt. Topology file
Other options
-h bool no Print help info and quit
-version bool no Print version info and quit
-nice int 19 Set the nicelevel
-np int 0Number of positive ions
-pname string NA Name of the positive ion
-pq int 1Charge of the positive ion
-nn int 0Number of negative ions
-nname string CL Name of the negative ion
-nq int -1 Charge of the negative ion
-rmin real 0.6 Minimum distance between ions
-seed int 1993 Seed for random number generator
-conc real 0Specify salt concentration (mol/liter). This will add sufficient ions to
reach up to the specified concentration as computed from the volume of
the cell in the input .tpr file. Overrides the -np and -nn options.
-neutral bool no This option will add enough ions to neutralize the system. These ions are
added on top of those specified with -np/-nn or -conc.
•If you specify a salt concentration existing ions are not taken into account. In effect you therefore
specify the amount of salt to be added.
D.33 genrestr
genrestr produces an include file for a topology containing a list of atom numbers and three force
constants for the x-, y-, and z-direction. A single isotropic force constant may be given on the command
line instead of three components.
WARNING: position restraints only work for the one molecule at a time. Position restraints are interactions
within molecules, therefore they should be included within the correct [ moleculetype ] block in the
topology. Since the atom numbers in every moleculetype in the topology start at 1 and the numbers in the
input file for genrestr number consecutively from 1, genrestr will only produce a useful file for the
first molecule.

D.34. g filter 309
The -of option produces an index file that can be used for freezing atoms. In this case, the input file must
be a .pdb file.
With the -disre option, half a matrix of distance restraints is generated instead of position restraints.
With this matrix, that one typically would apply to Cαatoms in a protein, one can maintain the overall
conformation of a protein without tieing it to a specific position (as with position restraints).
Files
-f conf.gro Input Structure file: gro g96 pdb tpr etc.
-n index.ndx Input, Opt. Index file
-o posre.itp Output Include file for topology
-of freeze.ndx Output, Opt. Index file
Other options
-h bool no Print help info and quit
-version bool no Print version info and quit
-nice int 0Set the nicelevel
-fc vector
1000 1000 1000 Force constants (kJ/mol nm2)
-freeze real 0If the -of option or this one is given an index file will be written con-
taining atom numbers of all atoms that have a B-factor less than the level
given here
-disre bool no Generate a distance restraint matrix for all the atoms in index
-disre_dist real 0.1 Distance range around the actual distance for generating distance re-
straints
-disre_frac real 0Fraction of distance to be used as interval rather than a fixed distance. If
the fraction of the distance that you specify here is less than the distance
given in the previous option, that one is used instead.
-disre_up2 real 1Distance between upper bound for distance restraints, and the distance at
which the force becomes constant (see manual)
-cutoff real -1 Only generate distance restraints for atoms pairs within cutoff (nm)
-constr bool no Generate a constraint matrix rather than distance restraints. Constraints
of type 2 will be generated that do generate exclusions.
D.34 g filter
g_filter performs frequency filtering on a trajectory. The filter shape is cos(πt/A) + 1 from -A to
+A, where A is given by the option -nf times the time step in the input trajectory. This filter reduces
fluctuations with period A by 85%, with period 2*A by 50% and with period 3*A by 17% for low-pass
filtering. Both a low-pass and high-pass filtered trajectory can be written.
Option -ol writes a low-pass filtered trajectory. A frame is written every -nf input frames. This ratio
of filter length and output interval ensures a good suppression of aliasing of high-frequency motion, which
is useful for making smooth movies. Also averages of properties which are linear in the coordinates are
preserved, since all input frames are weighted equally in the output. When all frames are needed, use the
-all option.
Option -oh writes a high-pass filtered trajectory. The high-pass filtered coordinates are added to the coor-
dinates from the structure file. When using high-pass filtering use -fit or make sure you use a trajectory
that has been fitted on the coordinates in the structure file.
Files
-f traj.xtc Input Trajectory: xtc trr trj gro g96 pdb cpt
-s topol.tpr Input, Opt. Structure+mass(db): tpr tpb tpa gro g96 pdb

310 Appendix D. Manual Pages
-n index.ndx Input, Opt. Index file
-ol lowpass.xtc Output, Opt. Trajectory: xtc trr trj gro g96 pdb
-oh highpass.xtc Output, Opt. Trajectory: xtc trr trj gro g96 pdb
Other options
-h bool no Print help info and quit
-version bool no Print version info and quit
-nice int 19 Set the nicelevel
-b time 0First frame (ps) to read from trajectory
-e time 0Last frame (ps) to read from trajectory
-dt time 0Only use frame when t MOD dt = first time (ps)
-w bool no View output .xvg,.xpm,.eps and .pdb files
-nf int 10 Sets the filter length as well as the output interval for low-pass filtering
-all bool no Write all low-pass filtered frames
-nojump bool yes Remove jumps of atoms across the box
-fit bool no Fit all frames to a reference structure
D.35 g gyrate
g_gyrate computes the radius of gyration of a molecule and the radii of gyration about the x-, y- and
z-axes, as a function of time. The atoms are explicitly mass weighted.
With the -nmol option the radius of gyration will be calculated for multiple molecules by splitting the
analysis group in equally sized parts.
With the option -nz 2D radii of gyration in the x-y plane of slices along the z-axis are calculated.
Files
-f traj.xtc Input Trajectory: xtc trr trj gro g96 pdb cpt
-s topol.tpr Input Structure+mass(db): tpr tpb tpa gro g96 pdb
-n index.ndx Input, Opt. Index file
-o gyrate.xvg Output xvgr/xmgr file
-acf moi-acf.xvg Output, Opt. xvgr/xmgr file
Other options
-h bool no Print help info and quit
-version bool no Print version info and quit
-nice int 19 Set the nicelevel
-b time 0First frame (ps) to read from trajectory
-e time 0Last frame (ps) to read from trajectory
-dt time 0Only use frame when t MOD dt = first time (ps)
-w bool no View output .xvg,.xpm,.eps and .pdb files
-xvg enum xmgrace xvg plot formatting: xmgrace,xmgr or none
-nmol int 1The number of molecules to analyze
-q bool no Use absolute value of the charge of an atom as weighting factor instead
of mass
-p bool no Calculate the radii of gyration about the principal axes.
-moi bool no Calculate the moments of inertia (defined by the principal axes).
-nz int 0Calculate the 2D radii of gyration of this number of slices along the z-axis
-acflen int -1 Length of the ACF, default is half the number of frames
-normalize bool yes Normalize ACF
-P enum 0Order of Legendre polynomial for ACF (0 indicates none): 0,1,2or 3

D.36. g h2order 311
-fitfn enum none Fit function: none,exp,aexp,exp_exp,vac,exp5,exp7,exp9
or erffit
-ncskip int 0Skip this many points in the output file of correlation functions
-beginfit real 0Time where to begin the exponential fit of the correlation function
-endfit real -1 Time where to end the exponential fit of the correlation function, -1 is
until the end
D.36 g h2order
g_h2order computes the orientation of water molecules with respect to the normal of the box. The
program determines the average cosine of the angle between the dipole moment of water and an axis of
the box. The box is divided in slices and the average orientation per slice is printed. Each water molecule
is assigned to a slice, per time frame, based on the position of the oxygen. When -nm is used, the angle
between the water dipole and the axis from the center of mass to the oxygen is calculated instead of the
angle between the dipole and a box axis.
Files
-f traj.xtc Input Trajectory: xtc trr trj gro g96 pdb cpt
-n index.ndx Input Index file
-nm index.ndx Input, Opt. Index file
-s topol.tpr Input Run input file: tpr tpb tpa
-o order.xvg Output xvgr/xmgr file
Other options
-h bool no Print help info and quit
-version bool no Print version info and quit
-nice int 19 Set the nicelevel
-b time 0First frame (ps) to read from trajectory
-e time 0Last frame (ps) to read from trajectory
-dt time 0Only use frame when t MOD dt = first time (ps)
-w bool no View output .xvg,.xpm,.eps and .pdb files
-xvg enum xmgrace xvg plot formatting: xmgrace,xmgr or none
-d string ZTake the normal on the membrane in direction X, Y or Z.
-sl int 0Calculate order parameter as function of boxlength, dividing the box in
this number of slices.
•The program assigns whole water molecules to a slice, based on the first atom of three in the index
file group. It assumes an order O,H,H. Name is not important, but the order is. If this demand is not
met, assigning molecules to slices is different.
D.37 g hbond
g_hbond computes and analyzes hydrogen bonds. Hydrogen bonds are determined based on cutoffs for
the angle Hydrogen - Donor - Acceptor (zero is extended) and the distance Donor - Acceptor (or Hydrogen
- Acceptor using -noda). OH and NH groups are regarded as donors, O is an acceptor always, N is an
acceptor by default, but this can be switched using -nitacc. Dummy hydrogen atoms are assumed to be
connected to the first preceding non-hydrogen atom.
You need to specify two groups for analysis, which must be either identical or non-overlapping. All hydro-
gen bonds between the two groups are analyzed.

312 Appendix D. Manual Pages
If you set -shell, you will be asked for an additional index group which should contain exactly one
atom. In this case, only hydrogen bonds between atoms within the shell distance from the one atom are
considered.
With option -ac, rate constants for hydrogen bonding can be derived with the model of Luzar and Chandler
(Nature 394, 1996; J. Chem. Phys. 113:23, 2000) or that of Markovitz and Agmon (J. Chem. Phys 129,
2008). If contact kinetics are analyzed by using the -contact option, then n(t) can be defined as either all
pairs that are not within contact distance r at time t (corresponding to leaving the -r2 option at the default
value 0) or all pairs that are within distance r2 (corresponding to setting a second cut-off value with option
-r2). See mentioned literature for more details and definitions.
[ selected ]
20 21 24
25 26 29
136
Note that the triplets need not be on separate lines. Each atom triplet specifies a hydrogen bond to be
analyzed, note also that no check is made for the types of atoms.
Output:
-num: number of hydrogen bonds as a function of time.
-ac: average over all autocorrelations of the existence functions (either 0 or 1) of all hydrogen bonds.
-dist: distance distribution of all hydrogen bonds.
-ang: angle distribution of all hydrogen bonds.
-hx: the number of n-n+i hydrogen bonds as a function of time where n and n+i stand for residue numbers
and i ranges from 0 to 6. This includes the n-n+3, n-n+4 and n-n+5 hydrogen bonds associated with helices
in proteins.
-hbn: all selected groups, donors, hydrogens and acceptors for selected groups, all hydrogen bonded atoms
from all groups and all solvent atoms involved in insertion.
-hbm: existence matrix for all hydrogen bonds over all frames, this also contains information on solvent
insertion into hydrogen bonds. Ordering is identical to that in -hbn index file.
-dan: write out the number of donors and acceptors analyzed for each timeframe. This is especially useful
when using -shell.
-nhbdist: compute the number of HBonds per hydrogen in order to compare results to Raman Spec-
troscopy.
Note: options -ac,-life,-hbn and -hbm require an amount of memory proportional to the total num-
bers of donors times the total number of acceptors in the selected group(s).
Files
-f traj.xtc Input Trajectory: xtc trr trj gro g96 pdb cpt
-s topol.tpr Input Run input file: tpr tpb tpa
-n index.ndx Input, Opt. Index file
-num hbnum.xvg Output xvgr/xmgr file
-g hbond.log Output, Opt. Log file
-ac hbac.xvg Output, Opt. xvgr/xmgr file
-dist hbdist.xvg Output, Opt. xvgr/xmgr file
-ang hbang.xvg Output, Opt. xvgr/xmgr file
-hx hbhelix.xvg Output, Opt. xvgr/xmgr file
-hbn hbond.ndx Output, Opt. Index file
-hbm hbmap.xpm Output, Opt. X PixMap compatible matrix file
-don donor.xvg Output, Opt. xvgr/xmgr file
-dan danum.xvg Output, Opt. xvgr/xmgr file
-life hblife.xvg Output, Opt. xvgr/xmgr file
-nhbdist nhbdist.xvg Output, Opt. xvgr/xmgr file

D.37. g hbond 313
Other options
-h bool no Print help info and quit
-version bool no Print version info and quit
-nice int 19 Set the nicelevel
-b time 0First frame (ps) to read from trajectory
-e time 0Last frame (ps) to read from trajectory
-dt time 0Only use frame when t MOD dt = first time (ps)
-tu enum ps Time unit: fs,ps,ns,us,ms or s
-xvg enum xmgrace xvg plot formatting: xmgrace,xmgr or none
-a real 30 Cutoff angle (degrees, Hydrogen - Donor - Acceptor)
-r real 0.35 Cutoff radius (nm, X - Acceptor, see next option)
-da bool yes Use distance Donor-Acceptor (if TRUE) or Hydrogen-Acceptor (FALSE)
-r2 real 0Second cutoff radius. Mainly useful with -contact and -ac
-abin real 1Binwidth angle distribution (degrees)
-rbin real 0.005 Binwidth distance distribution (nm)
-nitacc bool yes Regard nitrogen atoms as acceptors
-contact bool no Do not look for hydrogen bonds, but merely for contacts within the cut-
off distance
-shell real -1 when >0, only calculate hydrogen bonds within # nm shell around one
particle
-fitstart real 1Time (ps) from which to start fitting the correlation functions in order
to obtain the forward and backward rate constants for HB breaking and
formation. With -gemfit we suggest -fitstart 0
-fitstart real 1Time (ps) to which to stop fitting the correlation functions in order to
obtain the forward and backward rate constants for HB breaking and for-
mation (only with -gemfit)
-temp real 298.15 Temperature (K) for computing the Gibbs energy corresponding to HB
breaking and reforming
-smooth real -1 If ≥0, the tail of the ACF will be smoothed by fitting it to an exponential
function: y = A exp(-x/τ)
-dump int 0Dump the first N hydrogen bond ACFs in a single .xvg file for debug-
ging
-max_hb real 0Theoretical maximum number of hydrogen bonds used for normalizing
HB autocorrelation function. Can be useful in case the program estimates
it wrongly
-merge bool yes H-bonds between the same donor and acceptor, but with different hydro-
gen are treated as a single H-bond. Mainly important for the ACF.
-geminate enum none Use reversible geminate recombination for the kinetics/thermodynamics
calclations. See Markovitch et al., J. Chem. Phys 129, 084505 (2008) for
details.: none,dd,ad,aa or a4
-diff real -1 Dffusion coefficient to use in the reversible geminate recombination ki-
netic model. If negative, then it will be fitted to the ACF along with ka
and kd.
-acflen int -1 Length of the ACF, default is half the number of frames
-normalize bool yes Normalize ACF
-P enum 0Order of Legendre polynomial for ACF (0 indicates none): 0,1,2or 3
-fitfn enum none Fit function: none,exp,aexp,exp_exp,vac,exp5,exp7,exp9
or erffit
-ncskip int 0Skip this many points in the output file of correlation functions
-beginfit real 0Time where to begin the exponential fit of the correlation function
-endfit real -1 Time where to end the exponential fit of the correlation function, -1 is
until the end

314 Appendix D. Manual Pages
•The option -sel that used to work on selected hbonds is out of order, and therefore not available
for the time being.
D.38 g helix
g_helix computes all kinds of helix properties. First, the peptide is checked to find the longest helical
part, as determined by hydrogen bonds and φ/ψangles. That bit is fitted to an ideal helix around the z-axis
and centered around the origin. Then the following properties are computed:
1. Helix radius (file radius.xvg). This is merely the RMS deviation in two dimensions for all Cαatoms.
it is calculated as p(Pi(x2(i) + y2(i)))/N where N is the number of backbone atoms. For an ideal helix
the radius is 0.23 nm
2. Twist (file twist.xvg). The average helical angle per residue is calculated. For an α-helix it is 100
degrees, for 3-10 helices it will be smaller, and for 5-helices it will be larger.
3. Rise per residue (file rise.xvg). The helical rise per residue is plotted as the difference in z-coordinate
between Cαatoms. For an ideal helix, this is 0.15 nm
4. Total helix length (file len-ahx.xvg). The total length of the helix in nm. This is simply the average
rise (see above) times the number of helical residues (see below).
5. Helix dipole, backbone only (file dip-ahx.xvg).
6. RMS deviation from ideal helix, calculated for the Cαatoms only (file rms-ahx.xvg).
7. Average Cα- Cαdihedral angle (file phi-ahx.xvg).
8. Average φand ψangles (file phipsi.xvg).
9. Ellipticity at 222 nm according to Hirst and Brooks.
Files
-s topol.tpr Input Run input file: tpr tpb tpa
-n index.ndx Input Index file
-f traj.xtc Input Trajectory: xtc trr trj gro g96 pdb cpt
-to gtraj.g87 Output, Opt. Gromos-87 ASCII trajectory format
-cz zconf.gro Output Structure file: gro g96 pdb etc.
-co waver.gro Output Structure file: gro g96 pdb etc.
Other options
-h bool no Print help info and quit
-version bool no Print version info and quit
-nice int 19 Set the nicelevel
-b time 0First frame (ps) to read from trajectory
-e time 0Last frame (ps) to read from trajectory
-dt time 0Only use frame when t MOD dt = first time (ps)
-w bool no View output .xvg,.xpm,.eps and .pdb files
-r0 int 1The first residue number in the sequence
-q bool no Check at every step which part of the sequence is helical
-F bool yes Toggle fit to a perfect helix
-db bool no Print debug info
-prop enum RAD Select property to weight eigenvectors with. WARNING experimental
stuff: RAD,TWIST,RISE,LEN,NHX,DIP,RMS,CPHI,RMSA,PHI,
PSI,HB3,HB4,HB5 or CD222
-ev bool no Write a new ’trajectory’ file for ED
-ahxstart int 0First residue in helix
-ahxend int 0Last residue in helix

D.39. g helixorient 315
D.39 g helixorient
g_helixorient calculates the coordinates and direction of the average axis inside an alpha helix, and
the direction/vectors of both the Cαand (optionally) a sidechain atom relative to the axis.
As input, you need to specify an index group with Cαatoms corresponding to an α-helix of continuous
residues. Sidechain directions require a second index group of the same size, containing the heavy atom in
each residue that should represent the sidechain.
Note that this program does not do any fitting of structures.
We need four Cαcoordinates to define the local direction of the helix axis.
The tilt/rotation is calculated from Euler rotations, where we define the helix axis as the local x-axis, the
residues/Cαvector as y, and the z-axis from their cross product. We use the Euler Y-Z-X rotation, meaning
we first tilt the helix axis (1) around and (2) orthogonal to the residues vector, and finally apply the (3)
rotation around it. For debugging or other purposes, we also write out the actual Euler rotation angles as
theta[1-3].xvg
Files
-s topol.tpr Input Run input file: tpr tpb tpa
-f traj.xtc Input Trajectory: xtc trr trj gro g96 pdb cpt
-n index.ndx Input, Opt. Index file
-oaxis helixaxis.dat Output Generic data file
-ocenter center.dat Output Generic data file
-orise rise.xvg Output xvgr/xmgr file
-oradius radius.xvg Output xvgr/xmgr file
-otwist twist.xvg Output xvgr/xmgr file
-obending bending.xvg Output xvgr/xmgr file
-otilt tilt.xvg Output xvgr/xmgr file
-orot rotation.xvg Output xvgr/xmgr file
Other options
-h bool no Print help info and quit
-version bool no Print version info and quit
-nice int 19 Set the nicelevel
-b time 0First frame (ps) to read from trajectory
-e time 0Last frame (ps) to read from trajectory
-dt time 0Only use frame when t MOD dt = first time (ps)
-xvg enum xmgrace xvg plot formatting: xmgrace,xmgr or none
-sidechain bool no Calculate sidechain directions relative to helix axis too.
-incremental bool no Calculate incremental rather than total rotation/tilt.
D.40 g hydorder
g hydorder computes the tetrahedrality order parameters around a given atom. Both angle an distance order
parameters are calculated. See P.-L. Chau and A.J. Hardwick, Mol. Phys., 93, (1998), 511-518. for more
details.
This application calculates the orderparameter in a 3d-mesh in the box, and with 2 phases in the box gives
the user the option to define a 2D interface in time separating the faces by specifying parameters -sgang1
and -sgang2 (It is important to select these judiciously)
Files
-f traj.xtc Input Trajectory: xtc trr trj gro g96 pdb cpt

316 Appendix D. Manual Pages
-n index.ndx Input Index file
-s topol.tpr Input Run input file: tpr tpb tpa
-o intf.xpm Output, Mult. X PixMap compatible matrix file
-or raw.out Output, Opt., Mult.Generic output file
-Spect intfspect.out Output, Opt., Mult.Generic output file
Other options
-h bool no Print help info and quit
-version bool no Print version info and quit
-nice int 19 Set the nicelevel
-b time 0First frame (ps) to read from trajectory
-e time 0Last frame (ps) to read from trajectory
-dt time 0Only use frame when t MOD dt = first time (ps)
-w bool no View output .xvg,.xpm,.eps and .pdb files
-d enum zDirection of the normal on the membrane: z,xor y
-bw real 1Binwidth of box mesh
-sgang1 real 1tetrahedral angle parameter in Phase 1 (bulk)
-sgang2 real 1tetrahedral angle parameter in Phase 2 (bulk)
-tblock int 1Number of frames in one time-block average
-nlevel int 100 Number of Height levels in 2D - XPixMaps
D.41 g kinetics
g_kinetics reads two .xvg files, each one containing data for N replicas. The first file contains the
temperature of each replica at each timestep, and the second contains real values that can be interpreted as
an indicator for folding. If the value in the file is larger than the cutoff it is taken to be unfolded and the
other way around.
From these data an estimate of the forward and backward rate constants for folding is made at a reference
temperature. In addition, a theoretical melting curve and free energy as a function of temperature are printed
in an .xvg file.
The user can give a max value to be regarded as intermediate (-ucut), which, when given will trigger the
use of an intermediate state in the algorithm to be defined as those structures that have cutoff <DATA <
ucut. Structures with DATA values larger than ucut will not be regarded as potential folders. In this case 8
parameters are optimized.
The average fraction foled is printed in an .xvg file together with the fit to it. If an intermediate is used a
further file will show the build of the intermediate and the fit to that process.
The program can also be used with continuous variables (by setting -nodiscrete). In this case kinet-
ics of other processes can be studied. This is very much a work in progress and hence the manual (this
information) is lagging behind somewhat.
In order to compile this program you need access to the GNU scientific library.
Files
-f temp.xvg Input xvgr/xmgr file
-d data.xvg Input xvgr/xmgr file
-d2 data2.xvg Input, Opt. xvgr/xmgr file
-o ft_all.xvg Output xvgr/xmgr file
-o2 it_all.xvg Output, Opt. xvgr/xmgr file
-o3 ft_repl.xvg Output, Opt. xvgr/xmgr file
-ee err_est.xvg Output, Opt. xvgr/xmgr file

D.42. g lie 317
-g remd.log Output Log file
-m melt.xvg Output xvgr/xmgr file
Other options
-h bool no Print help info and quit
-version bool no Print version info and quit
-nice int 19 Set the nicelevel
-tu enum ps Time unit: fs,ps,ns,us,ms or s
-w bool no View output .xvg,.xpm,.eps and .pdb files
-xvg enum xmgrace xvg plot formatting: xmgrace,xmgr or none
-time bool yes Expect a time in the input
-b real 0First time to read from set
-e real 0Last time to read from set
-bfit real -1 Time to start the fit from
-efit real -1 Time to end the fit
-T real 298.15 Reference temperature for computing rate constants
-n int 1Read data for this number of replicas. Only necessary when files are
written in xmgrace format using @type and & as delimiters.
-cut real 0.2 Cut-off (max) value for regarding a structure as folded
-ucut real 0Cut-off (max) value for regarding a structure as intermediate (if not
folded)
-euf real 10 Initial guess for energy of activation for folding (kJ/mol)
-efu real 30 Initial guess for energy of activation for unfolding (kJ/mol)
-ei real 10 Initial guess for energy of activation for intermediates (kJ/mol)
-maxiter int 100 Max number of iterations
-back bool yes Take the back reaction into account
-tol real 0.001 Absolute tolerance for convergence of the Nelder and Mead simplex al-
gorithm
-skip int 0Skip points in the output .xvg file
-split bool yes Estimate error by splitting the number of replicas in two and refitting
-sum bool yes Average folding before computing χ2
-discrete bool yes Use a discrete folding criterion (F <->U) or a continuous one
-mult int 1Factor to multiply the data with before discretization
D.42 g lie
g_lie computes a free energy estimate based on an energy analysis from. One needs an energy file with
the following components: Coul (A-B) LJ-SR (A-B) etc.
Files
-f ener.edr Input Energy file
-o lie.xvg Output xvgr/xmgr file
Other options
-h bool no Print help info and quit
-version bool no Print version info and quit
-nice int 19 Set the nicelevel
-b time 0First frame (ps) to read from trajectory
-e time 0Last frame (ps) to read from trajectory
-dt time 0Only use frame when t MOD dt = first time (ps)
-w bool no View output .xvg,.xpm,.eps and .pdb files
-xvg enum xmgrace xvg plot formatting: xmgrace,xmgr or none

318 Appendix D. Manual Pages
-Elj real 0Lennard-Jones interaction between ligand and solvent
-Eqq real 0Coulomb interaction between ligand and solvent
-Clj real 0.181 Factor in the LIE equation for Lennard-Jones component of energy
-Cqq real 0.5 Factor in the LIE equation for Coulomb component of energy
-ligand string none Name of the ligand in the energy file
D.43 g mdmat
g_mdmat makes distance matrices consisting of the smallest distance between residue pairs. With -frames,
these distance matrices can be stored in order to see differences in tertiary structure as a function of time.
If you choose your options unwisely, this may generate a large output file. By default, only an averaged
matrix over the whole trajectory is output. Also a count of the number of different atomic contacts between
residues over the whole trajectory can be made. The output can be processed with xpm2ps to make a
PostScript (tm) plot.
Files
-f traj.xtc Input Trajectory: xtc trr trj gro g96 pdb cpt
-s topol.tpr Input Structure+mass(db): tpr tpb tpa gro g96 pdb
-n index.ndx Input, Opt. Index file
-mean dm.xpm Output X PixMap compatible matrix file
-frames dmf.xpm Output, Opt. X PixMap compatible matrix file
-no num.xvg Output, Opt. xvgr/xmgr file
Other options
-h bool no Print help info and quit
-version bool no Print version info and quit
-nice int 19 Set the nicelevel
-b time 0First frame (ps) to read from trajectory
-e time 0Last frame (ps) to read from trajectory
-dt time 0Only use frame when t MOD dt = first time (ps)
-xvg enum xmgrace xvg plot formatting: xmgrace,xmgr or none
-t real 1.5 trunc distance
-nlevels int 40 Discretize distance in this number of levels
D.44 g membed
g_membed embeds a membrane protein into an equilibrated lipid bilayer at the position and orientation
specified by the user.
SHORT MANUAL
————
The user should merge the structure files of the protein and membrane (+solvent), creating a single structure
file with the protein overlapping the membrane at the desired position and orientation. The box size is taken
from the membrane structure file. The corresponding topology files should also be merged. Consecutively,
create a .tpr file (input for g_membed) from these files,with the following options included in the .mdp
file.
-integrator = md
-energygrps = Protein (or other group that you want to insert)
-freezegrps = Protein
-freezedim = Y Y Y

D.44. g membed 319
-energygrp_excl = Protein Protein
The output is a structure file containing the protein embedded in the membrane. If a topology file is pro-
vided, the number of lipid and solvent molecules will be updated to match the new structure file.
For a more extensive manual see Wolf et al, J Comp Chem 31 (2010) 2169-2174, Appendix.
SHORT METHOD DESCRIPTION
————————
1. The protein is resized around its center of mass by a factor -xy in the xy-plane (the membrane plane)
and a factor -z in the z-direction (if the size of the protein in the z-direction is the same or smaller than
the width of the membrane, a -z value larger than 1 can prevent that the protein will be enveloped by the
lipids).
2. All lipid and solvent molecules overlapping with the resized protein are removed. All intraprotein
interactions are turned off to prevent numerical issues for small values of -xy or -z
3. One md step is performed.
4. The resize factor (-xy or -z) is incremented by a small amount ((1-xy)/nxy or (1-z)/nz) and the protein
is resized again around its center of mass. The resize factor for the xy-plane is incremented first. The resize
factor for the z-direction is not changed until the -xy factor is 1 (thus after -nxy iterations).
5. Repeat step 3 and 4 until the protein reaches its original size (-nxy +-nz iterations).
For a more extensive method description see Wolf et al, J Comp Chem, 31 (2010) 2169-2174.
NOTE
—-
- Protein can be any molecule you want to insert in the membrane.
- It is recommended to perform a short equilibration run after the embedding (see Wolf et al, J Comp Chem
31 (2010) 2169-2174), to re-equilibrate the membrane. Clearly protein equilibration might require longer.
Files
-f into_mem.tpr Input Run input file: tpr tpb tpa
-n index.ndx Input, Opt. Index file
-p topol.top In/Out, Opt. Topology file
-o traj.trr Output Full precision trajectory: trr trj cpt
-x traj.xtc Output, Opt. Compressed trajectory (portable xdr format)
-c membedded.gro Output Structure file: gro g96 pdb etc.
-e ener.edr Output Energy file
-dat membed.dat Output Generic data file
Other options
-h bool no Print help info and quit
-version bool no Print version info and quit
-nice int 0Set the nicelevel
-xyinit real 0.5 Resize factor for the protein in the xy dimension before starting embed-
ding
-xyend real 1Final resize factor in the xy dimension
-zinit real 1Resize factor for the protein in the z dimension before starting embedding
-zend real 1Final resize faction in the z dimension
-nxy int 1000 Number of iteration for the xy dimension
-nz int 0Number of iterations for the z dimension
-rad real 0.22 Probe radius to check for overlap between the group to embed and the
membrane
-pieces int 1Perform piecewise resize. Select parts of the group to insert and resize
these with respect to their own geometrical center.
-asymmetry bool no Allow asymmetric insertion, i.e. the number of lipids removed from the
upper and lower leaflet will not be checked.
-ndiff int 0Number of lipids that will additionally be removed from the lower (neg-
ative number) or upper (positive number) membrane leaflet.

320 Appendix D. Manual Pages
-maxwarn int 0Maximum number of warning allowed
-start bool no Call mdrun with membed options
-v bool no Be loud and noisy
-mdrun_path string Path to the mdrun executable compiled with this g membed version
D.45 g mindist
g_mindist computes the distance between one group and a number of other groups. Both the minimum
distance (between any pair of atoms from the respective groups) and the number of contacts within a given
distance are written to two separate output files. With the -group option a contact of an atom in another
group with multiple atoms in the first group is counted as one contact instead of as multiple contacts. With
-or, minimum distances to each residue in the first group are determined and plotted as a function of
residue number.
With option -pi the minimum distance of a group to its periodic image is plotted. This is useful for
checking if a protein has seen its periodic image during a simulation. Only one shift in each direction is
considered, giving a total of 26 shifts. It also plots the maximum distance within the group and the lengths
of the three box vectors.
Other programs that calculate distances are g_dist and g_bond.
Files
-f traj.xtc Input Trajectory: xtc trr trj gro g96 pdb cpt
-s topol.tpr Input, Opt. Structure+mass(db): tpr tpb tpa gro g96 pdb
-n index.ndx Input, Opt. Index file
-od mindist.xvg Output xvgr/xmgr file
-on numcont.xvg Output, Opt. xvgr/xmgr file
-o atm-pair.out Output, Opt. Generic output file
-ox mindist.xtc Output, Opt. Trajectory: xtc trr trj gro g96 pdb
-or mindistres.xvg Output, Opt. xvgr/xmgr file
Other options
-h bool no Print help info and quit
-version bool no Print version info and quit
-nice int 19 Set the nicelevel
-b time 0First frame (ps) to read from trajectory
-e time 0Last frame (ps) to read from trajectory
-dt time 0Only use frame when t MOD dt = first time (ps)
-tu enum ps Time unit: fs,ps,ns,us,ms or s
-w bool no View output .xvg,.xpm,.eps and .pdb files
-xvg enum xmgrace xvg plot formatting: xmgrace,xmgr or none
-matrix bool no Calculate half a matrix of group-group distances
-max bool no Calculate *maximum* distance instead of minimum
-d real 0.6 Distance for contacts
-group bool no Count contacts with multiple atoms in the first group as one
-pi bool no Calculate minimum distance with periodic images
-split bool no Split graph where time is zero
-ng int 1Number of secondary groups to compute distance to a central group
-pbc bool yes Take periodic boundary conditions into account
-respertime bool no When writing per-residue distances, write distance for each time point
-printresname bool no Write residue names

D.46. g morph 321
D.46 g morph
g_morph does a linear interpolation of conformations in order to create intermediates. Of course these are
completely unphysical, but that you may try to justify yourself. Output is in the form of a generic trajectory.
The number of intermediates can be controlled with the -ninterm flag. The first and last flag correspond
to the way of interpolating: 0 corresponds to input structure 1 while 1 corresponds to input structure 2. If
you specify -first <0 or -last >1 extrapolation will be on the path from input structure x1to x2. In
general, the coordinates of the intermediate x(i) out of N total intermediates correspond to:
x(i) = x1+ (first+(i/(N-1))*(last-first))*(x2-x1)
Finally the RMSD with respect to both input structures can be computed if explicitly selected (-or option).
In that case, an index file may be read to select the group from which the RMS is computed.
Files
-f1 conf1.gro Input Structure file: gro g96 pdb tpr etc.
-f2 conf2.gro Input Structure file: gro g96 pdb tpr etc.
-o interm.xtc Output Trajectory: xtc trr trj gro g96 pdb cpt
-or rms-interm.xvg Output, Opt. xvgr/xmgr file
-n index.ndx Input, Opt. Index file
Other options
-h bool no Print help info and quit
-version bool no Print version info and quit
-nice int 0Set the nicelevel
-w bool no View output .xvg,.xpm,.eps and .pdb files
-xvg enum xmgrace xvg plot formatting: xmgrace,xmgr or none
-ninterm int 11 Number of intermediates
-first real 0Corresponds to first generated structure (0 is input x1, see above)
-last real 1Corresponds to last generated structure (1 is input x2, see above)
-fit bool yes Do a least squares fit of the second to the first structure before interpolat-
ing
D.47 g msd
g_msd computes the mean square displacement (MSD) of atoms from a set of initial positions. This
provides an easy way to compute the diffusion constant using the Einstein relation. The time between the
reference points for the MSD calculation is set with -trestart. The diffusion constant is calculated by
least squares fitting a straight line (D*t + c) through the MSD(t) from -beginfit to -endfit (note that
t is time from the reference positions, not simulation time). An error estimate given, which is the difference
of the diffusion coefficients obtained from fits over the two halves of the fit interval.
There are three, mutually exclusive, options to determine different types of mean square displacement:
-type,-lateral and -ten. Option -ten writes the full MSD tensor for each group, the order in the
output is: trace xx yy zz yx zx zy.
If -mol is set, g_msd plots the MSD for individual molecules (including making molecules whole across
periodic boundaries): for each individual molecule a diffusion constant is computed for its center of mass.
The chosen index group will be split into molecules.
The default way to calculate a MSD is by using mass-weighted averages. This can be turned off with
-nomw.
With the option -rmcomm, the center of mass motion of a specific group can be removed. For trajectories
produced with GROMACS this is usually not necessary, as mdrun usually already removes the center of
mass motion. When you use this option be sure that the whole system is stored in the trajectory file.

322 Appendix D. Manual Pages
The diffusion coefficient is determined by linear regression of the MSD, where, unlike for the normal out-
put of D, the times are weighted according to the number of reference points, i.e. short times have a higher
weight. Also when -beginfit=-1,fitting starts at 10% and when -endfit=-1, fitting goes to 90%. Us-
ing this option one also gets an accurate error estimate based on the statistics between individual molecules.
Note that this diffusion coefficient and error estimate are only accurate when the MSD is completely linear
between -beginfit and -endfit.
Option -pdb writes a .pdb file with the coordinates of the frame at time -tpdb with in the B-factor field
the square root of the diffusion coefficient of the molecule. This option implies option -mol.
Files
-f traj.xtc Input Trajectory: xtc trr trj gro g96 pdb cpt
-s topol.tpr Input Structure+mass(db): tpr tpb tpa gro g96 pdb
-n index.ndx Input, Opt. Index file
-o msd.xvg Output xvgr/xmgr file
-mol diff_mol.xvg Output, Opt. xvgr/xmgr file
-pdb diff_mol.pdb Output, Opt. Protein data bank file
Other options
-h bool no Print help info and quit
-version bool no Print version info and quit
-nice int 19 Set the nicelevel
-b time 0First frame (ps) to read from trajectory
-e time 0Last frame (ps) to read from trajectory
-tu enum ps Time unit: fs,ps,ns,us,ms or s
-w bool no View output .xvg,.xpm,.eps and .pdb files
-xvg enum xmgrace xvg plot formatting: xmgrace,xmgr or none
-type enum no Compute diffusion coefficient in one direction: no,x,yor z
-lateral enum no Calculate the lateral diffusion in a plane perpendicular to: no,x,yor z
-ten bool no Calculate the full tensor
-ngroup int 1Number of groups to calculate MSD for
-mw bool yes Mass weighted MSD
-rmcomm bool no Remove center of mass motion
-tpdb time 0The frame to use for option -pdb (ps)
-trestart time 10 Time between restarting points in trajectory (ps)
-beginfit time -1 Start time for fitting the MSD (ps), -1 is 10%
-endfit time -1 End time for fitting the MSD (ps), -1 is 90%
D.48 gmxcheck
gmxcheck reads a trajectory (.trj,.trr or .xtc), an energy file (.ene or .edr) or an index file
(.ndx) and prints out useful information about them.
Option -c checks for presence of coordinates, velocities and box in the file, for close contacts (smaller than
-vdwfac and not bonded, i.e. not between -bonlo and -bonhi, all relative to the sum of both Van
der Waals radii) and atoms outside the box (these may occur often and are no problem). If velocities are
present, an estimated temperature will be calculated from them.
If an index file, is given its contents will be summarized.
If both a trajectory and a .tpr file are given (with -s1) the program will check whether the bond lengths
defined in the tpr file are indeed correct in the trajectory. If not you may have non-matching files due to e.g.
deshuffling or due to problems with virtual sites. With these flags, gmxcheck provides a quick check for
such problems.

D.49. gmxdump 323
The program can compare two run input (.tpr,.tpb or .tpa) files when both -s1 and -s2 are supplied.
Similarly a pair of trajectory files can be compared (using the -f2 option), or a pair of energy files (using
the -e2 option).
For free energy simulations the A and B state topology from one run input file can be compared with options
-s1 and -ab.
In case the -m flag is given a LaTeX file will be written consisting of a rough outline for a methods section
for a paper.
Files
-f traj.xtc Input, Opt. Trajectory: xtc trr trj gro g96 pdb cpt
-f2 traj.xtc Input, Opt. Trajectory: xtc trr trj gro g96 pdb cpt
-s1 top1.tpr Input, Opt. Run input file: tpr tpb tpa
-s2 top2.tpr Input, Opt. Run input file: tpr tpb tpa
-c topol.tpr Input, Opt. Structure+mass(db): tpr tpb tpa gro g96 pdb
-e ener.edr Input, Opt. Energy file
-e2 ener2.edr Input, Opt. Energy file
-n index.ndx Input, Opt. Index file
-m doc.tex Output, Opt. LaTeX file
Other options
-h bool no Print help info and quit
-version bool no Print version info and quit
-nice int 0Set the nicelevel
-vdwfac real 0.8 Fraction of sum of VdW radii used as warning cutoff
-bonlo real 0.4 Min. fract. of sum of VdW radii for bonded atoms
-bonhi real 0.7 Max. fract. of sum of VdW radii for bonded atoms
-rmsd bool no Print RMSD for x, v and f
-tol real 0.001 Relative tolerance for comparing real values defined as 2∗(a−b)/(|a|+
|b|)
-abstol real 0.001 Absolute tolerance, useful when sums are close to zero.
-ab bool no Compare the A and B topology from one file
-lastener string Last energy term to compare (if not given all are tested). It makes sense
to go up until the Pressure.
D.49 gmxdump
gmxdump reads a run input file (.tpa/.tpr/.tpb), a trajectory (.trj/.trr/.xtc), an energy file
(.ene/.edr), or a checkpoint file (.cpt) and prints that to standard output in a readable format. This
program is essential for checking your run input file in case of problems.
The program can also preprocess a topology to help finding problems. Note that currently setting GMXLIB
is the only way to customize directories used for searching include files.
Files
-s topol.tpr Input, Opt. Run input file: tpr tpb tpa
-f traj.xtc Input, Opt. Trajectory: xtc trr trj gro g96 pdb cpt
-e ener.edr Input, Opt. Energy file
-cp state.cpt Input, Opt. Checkpoint file
-p topol.top Input, Opt. Topology file
-mtx hessian.mtx Input, Opt. Hessian matrix
-om grompp.mdp Output, Opt. grompp input file with MD parameters

324 Appendix D. Manual Pages
Other options
-h bool no Print help info and quit
-version bool no Print version info and quit
-nice int 0Set the nicelevel
-nr bool yes Show index numbers in output (leaving them out makes comparison eas-
ier, but creates a useless topology)
-sys bool no List the atoms and bonded interactions for the whole system instead of
for each molecule type
•Position restraint output from -sys -s is broken
D.50 g nmeig
g_nmeig calculates the eigenvectors/values of a (Hessian) matrix, which can be calculated with mdrun.
The eigenvectors are written to a trajectory file (-v). The structure is written first with t=0. The eigenvectors
are written as frames with the eigenvector number as timestamp. The eigenvectors can be analyzed with
g_anaeig. An ensemble of structures can be generated from the eigenvectors with g_nmens. When
mass weighting is used, the generated eigenvectors will be scaled back to plain Cartesian coordinates before
generating the output. In this case, they will no longer be exactly orthogonal in the standard Cartesian norm,
but in the mass-weighted norm they would be.
This program can be optionally used to compute quantum corrections to heat capacity and enthalpy by
providing an extra file argument -qcorr. See the GROMACS manual, Chapter 1, for details. The result
includes subtracting a harmonic degree of freedom at the given temperature. The total correction is printed
on the terminal screen. The recommended way of getting the corrections out is:
g_nmeig -s topol.tpr -f nm.mtx -first 7 -last 10000 -T 300 -qc [-constr]
The -constr option should be used when bond constraints were used during the simulation for all the
covalent bonds. If this is not the case, you need to analyze the quant_corr.xvg file yourself.
To make things more flexible, the program can also take virtual sites into account when computing quantum
corrections. When selecting -constr and -qc, the -begin and -end options will be set automatically
as well. Again, if you think you know it better, please check the eigenfreq.xvg output.
Files
-f hessian.mtx Input Hessian matrix
-s topol.tpr Input Run input file: tpr tpb tpa
-of eigenfreq.xvg Output xvgr/xmgr file
-ol eigenval.xvg Output xvgr/xmgr file
-os spectrum.xvg Output, Opt. xvgr/xmgr file
-qc quant_corr.xvg Output, Opt. xvgr/xmgr file
-v eigenvec.trr Output Full precision trajectory: trr trj cpt
Other options
-h bool no Print help info and quit
-version bool no Print version info and quit
-nice int 19 Set the nicelevel
-xvg enum xmgrace xvg plot formatting: xmgrace,xmgr or none
-m bool yes Divide elements of Hessian by product of sqrt(mass) of involved atoms
prior to diagonalization. This should be used for ’Normal Modes’ analy-
sis
-first int 1First eigenvector to write away
-last int 50 Last eigenvector to write away

D.51. g nmens 325
-maxspec int 4000 Highest frequency (1/cm) to consider in the spectrum
-T real 298.15 Temperature for computing quantum heat capacity and enthalpy when
using normal mode calculations to correct classical simulations
-constr bool no If constraints were used in the simulation but not in the normal mode
analysis (this is the recommended way of doing it) you will need to set
this for computing the quantum corrections.
-width real 1Width (sigma) of the gaussian peaks (1/cm) when generating a spectrum
D.51 g nmens
g_nmens generates an ensemble around an average structure in a subspace that is defined by a set of
normal modes (eigenvectors). The eigenvectors are assumed to be mass-weighted. The position along each
eigenvector is randomly taken from a Gaussian distribution with variance kT/eigenvalue.
By default the starting eigenvector is set to 7, since the first six normal modes are the translational and
rotational degrees of freedom.
Files
-v eigenvec.trr Input Full precision trajectory: trr trj cpt
-e eigenval.xvg Input xvgr/xmgr file
-s topol.tpr Input Structure+mass(db): tpr tpb tpa gro g96 pdb
-n index.ndx Input, Opt. Index file
-o ensemble.xtc Output Trajectory: xtc trr trj gro g96 pdb
Other options
-h bool no Print help info and quit
-version bool no Print version info and quit
-nice int 19 Set the nicelevel
-xvg enum xmgrace xvg plot formatting: xmgrace,xmgr or none
-temp real 300 Temperature in Kelvin
-seed int -1 Random seed, -1 generates a seed from time and pid
-num int 100 Number of structures to generate
-first int 7First eigenvector to use (-1 is select)
-last int -1 Last eigenvector to use (-1 is till the last)
D.52 g nmtraj
g_nmtraj generates an virtual trajectory from an eigenvector, corresponding to a harmonic Cartesian
oscillation around the average structure. The eigenvectors should normally be mass-weighted, but you can
use non-weighted eigenvectors to generate orthogonal motions. The output frames are written as a trajectory
file covering an entire period, and the first frame is the average structure. If you write the trajectory in (or
convert to) PDB format you can view it directly in PyMol and also render a photorealistic movie. Motion
amplitudes are calculated from the eigenvalues and a preset temperature, assuming equipartition of the
energy over all modes. To make the motion clearly visible in PyMol you might want to amplify it by setting
an unrealistically high temperature. However, be aware that both the linear Cartesian displacements and
mass weighting will lead to serious structure deformation for high amplitudes - this is is simply a limitation
of the Cartesian normal mode model. By default the selected eigenvector is set to 7, since the first six
normal modes are the translational and rotational degrees of freedom.
Files
-s topol.tpr Input Structure+mass(db): tpr tpb tpa gro g96 pdb

326 Appendix D. Manual Pages
-v eigenvec.trr Input Full precision trajectory: trr trj cpt
-o nmtraj.xtc Output Trajectory: xtc trr trj gro g96 pdb
Other options
-h bool no Print help info and quit
-version bool no Print version info and quit
-nice int 19 Set the nicelevel
-eignr string 7String of eigenvectors to use (first is 1)
-phases string 0.0 String of phases (default is 0.0)
-temp real 300 Temperature (K)
-amplitude real 0.25 Amplitude for modes with eigenvalue≤0
-nframes int 30 Number of frames to generate
D.53 g order
Compute the order parameter per atom for carbon tails. For atom i the vector i-1, i+1 is used together
with an axis. The index file should contain only the groups to be used for calculations, with each group of
equivalent carbons along the relevant acyl chain in its own group. There should not be any generic groups
(like System, Protein) in the index file to avoid confusing the program (this is not relevant to tetrahedral
order parameters however, which only work for water anyway).
The program can also give all diagonal elements of the order tensor and even calculate the deuterium order
parameter Scd (default). If the option -szonly is given, only one order tensor component (specified by
the -d option) is given and the order parameter per slice is calculated as well. If -szonly is not selected,
all diagonal elements and the deuterium order parameter is given.
The tetrahedrality order parameters can be determined around an atom. Both angle an distance order pa-
rameters are calculated. See P.-L. Chau and A.J. Hardwick, Mol. Phys., 93, (1998), 511-518. for more
details.
Files
-f traj.xtc Input Trajectory: xtc trr trj gro g96 pdb cpt
-n index.ndx Input Index file
-nr index.ndx Input Index file
-s topol.tpr Input Run input file: tpr tpb tpa
-o order.xvg Output xvgr/xmgr file
-od deuter.xvg Output xvgr/xmgr file
-ob eiwit.pdb Output Protein data bank file
-os sliced.xvg Output xvgr/xmgr file
-Sg sg-ang.xvg Output, Opt. xvgr/xmgr file
-Sk sk-dist.xvg Output, Opt. xvgr/xmgr file
-Sgslsg-ang-slice.xvg Output, Opt. xvgr/xmgr file
-Skslsk-dist-slice.xvg Output, Opt. xvgr/xmgr file
Other options
-h bool no Print help info and quit
-version bool no Print version info and quit
-nice int 19 Set the nicelevel
-b time 0First frame (ps) to read from trajectory
-e time 0Last frame (ps) to read from trajectory
-dt time 0Only use frame when t MOD dt = first time (ps)

D.54. g pme error 327
-w bool no View output .xvg,.xpm,.eps and .pdb files
-xvg enum xmgrace xvg plot formatting: xmgrace,xmgr or none
-d enum zDirection of the normal on the membrane: z,xor y
-sl int 1Calculate order parameter as function of box length, dividing the box into
this number of slices.
-szonly bool no Only give Sz element of order tensor. (axis can be specified with -d)
-unsat bool no Calculate order parameters for unsaturated carbons. Note that this cannot
be mixed with normal order parameters.
-permolecule bool no Compute per-molecule Scd order parameters
-radial bool no Compute a radial membrane normal
-calcdist bool no Compute distance from a reference
D.54 g pme error
g_pme_error estimates the error of the electrostatic forces if using the sPME algorithm. The flag -tune
will determine the splitting parameter such that the error is equally distributed over the real and reciprocal
space part. The part of the error that stems from self interaction of the particles is computationally demand-
ing. However, a good a approximation is to just use a fraction of the particles for this term which can be
indicated by the flag -self.
Files
-s topol.tpr Input Run input file: tpr tpb tpa
-o error.out Output Generic output file
-so tuned.tpr Output, Opt. Run input file: tpr tpb tpa
Other options
-h bool no Print help info and quit
-version bool no Print version info and quit
-nice int 0Set the nicelevel
-beta real -1 If positive, overwrite ewald beta from .tpr file with this value
-tune bool no Tune the splitting parameter such that the error is equally distributed be-
tween real and reciprocal space
-self real 1If between 0.0 and 1.0, determine self interaction error from just this
fraction of the charged particles
-seed int 0Random number seed used for Monte Carlo algorithm when -self is
set to a value between 0.0 and 1.0
-v bool no Be loud and noisy
D.55 g polystat
g_polystat plots static properties of polymers as a function of time and prints the average.
By default it determines the average end-to-end distance and radii of gyration of polymers. It asks for an
index group and split this into molecules. The end-to-end distance is then determined using the first and the
last atom in the index group for each molecules. For the radius of gyration the total and the three principal
components for the average gyration tensor are written. With option -v the eigenvectors are written. With
option -pc also the average eigenvalues of the individual gyration tensors are written. With option -i the
mean square internal distances are written.
With option -p the persistence length is determined. The chosen index group should consist of atoms
that are consecutively bonded in the polymer mainchains. The persistence length is then determined from

328 Appendix D. Manual Pages
the cosine of the angles between bonds with an index difference that is even, the odd pairs are not used,
because straight polymer backbones are usually all trans and therefore only every second bond aligns. The
persistence length is defined as number of bonds where the average cos reaches a value of 1/e. This point is
determined by a linear interpolation of log(<cos>).
Files
-s topol.tpr Input Run input file: tpr tpb tpa
-f traj.xtc Input Trajectory: xtc trr trj gro g96 pdb cpt
-n index.ndx Input, Opt. Index file
-o polystat.xvg Output xvgr/xmgr file
-v polyvec.xvg Output, Opt. xvgr/xmgr file
-p persist.xvg Output, Opt. xvgr/xmgr file
-i intdist.xvg Output, Opt. xvgr/xmgr file
Other options
-h bool no Print help info and quit
-version bool no Print version info and quit
-nice int 19 Set the nicelevel
-b time 0First frame (ps) to read from trajectory
-e time 0Last frame (ps) to read from trajectory
-dt time 0Only use frame when t MOD dt = first time (ps)
-tu enum ps Time unit: fs,ps,ns,us,ms or s
-w bool no View output .xvg,.xpm,.eps and .pdb files
-xvg enum xmgrace xvg plot formatting: xmgrace,xmgr or none
-mw bool yes Use the mass weighting for radii of gyration
-pc bool no Plot average eigenvalues
D.56 g potential
g_potential computes the electrostatical potential across the box. The potential is calculated by first
summing the charges per slice and then integrating twice of this charge distribution. Periodic boundaries
are not taken into account. Reference of potential is taken to be the left side of the box. It is also possible
to calculate the potential in spherical coordinates as function of r by calculating a charge distribution in
spherical slices and twice integrating them. epsilon r is taken as 1, but 2 is more appropriate in many cases.
Files
-f traj.xtc Input Trajectory: xtc trr trj gro g96 pdb cpt
-n index.ndx Input Index file
-s topol.tpr Input Run input file: tpr tpb tpa
-o potential.xvg Output xvgr/xmgr file
-oc charge.xvg Output xvgr/xmgr file
-of field.xvg Output xvgr/xmgr file
Other options
-h bool no Print help info and quit
-version bool no Print version info and quit
-nice int 19 Set the nicelevel
-b time 0First frame (ps) to read from trajectory
-e time 0Last frame (ps) to read from trajectory
-dt time 0Only use frame when t MOD dt = first time (ps)
-w bool no View output .xvg,.xpm,.eps and .pdb files

D.57. g principal 329
-xvg enum xmgrace xvg plot formatting: xmgrace,xmgr or none
-d string ZTake the normal on the membrane in direction X, Y or Z.
-sl int 10 Calculate potential as function of boxlength, dividing the box in this num-
ber of slices.
-cb int 0Discard this number of first slices of box for integration
-ce int 0Discard this number of last slices of box for integration
-tz real 0Translate all coordinates by this distance in the direction of the box
-spherical bool no Calculate spherical thingie
-ng int 1Number of groups to consider
-correct bool no Assume net zero charge of groups to improve accuracy
•Discarding slices for integration should not be necessary.
D.57 g principal
g_principal calculates the three principal axes of inertia for a group of atoms.
Files
-f traj.xtc Input Trajectory: xtc trr trj gro g96 pdb cpt
-s topol.tpr Input Structure+mass(db): tpr tpb tpa gro g96 pdb
-n index.ndx Input, Opt. Index file
-a1 axis1.dat Output Generic data file
-a2 axis2.dat Output Generic data file
-a3 axis3.dat Output Generic data file
-om moi.dat Output Generic data file
Other options
-h bool no Print help info and quit
-version bool no Print version info and quit
-nice int 19 Set the nicelevel
-b time 0First frame (ps) to read from trajectory
-e time 0Last frame (ps) to read from trajectory
-dt time 0Only use frame when t MOD dt = first time (ps)
-tu enum ps Time unit: fs,ps,ns,us,ms or s
-w bool no View output .xvg,.xpm,.eps and .pdb files
-foo bool no Dummy option to avoid empty array
D.58 g protonate
g_protonate reads (a) conformation(s) and adds all missing hydrogens as defined in gmx2.ff/aminoacids.hdb.
If only -s is specified, this conformation will be protonated, if also -f is specified, the conformation(s)
will be read from this file, which can be either a single conformation or a trajectory.
If a .pdb file is supplied, residue names might not correspond to to the GROMACS naming conventions,
in which case these residues will probably not be properly protonated.
If an index file is specified, please note that the atom numbers should correspond to the protonated state.
Files
-s topol.tpr Input Structure+mass(db): tpr tpb tpa gro g96 pdb
-f traj.xtc Input, Opt. Trajectory: xtc trr trj gro g96 pdb cpt
-n index.ndx Input, Opt. Index file
-o protonated.xtc Output Trajectory: xtc trr trj gro g96 pdb

330 Appendix D. Manual Pages
Other options
-h bool no Print help info and quit
-version bool no Print version info and quit
-nice int 0Set the nicelevel
-b time 0First frame (ps) to read from trajectory
-e time 0Last frame (ps) to read from trajectory
-dt time 0Only use frame when t MOD dt = first time (ps)
•For the moment, only .pdb files are accepted to the -s flag
D.59 g rama
g_rama selects the φ/ψdihedral combinations from your topology file and computes these as a function
of time. Using simple Unix tools such as grep you can select out specific residues.
Files
-f traj.xtc Input Trajectory: xtc trr trj gro g96 pdb cpt
-s topol.tpr Input Run input file: tpr tpb tpa
-o rama.xvg Output xvgr/xmgr file
Other options
-h bool no Print help info and quit
-version bool no Print version info and quit
-nice int 19 Set the nicelevel
-b time 0First frame (ps) to read from trajectory
-e time 0Last frame (ps) to read from trajectory
-dt time 0Only use frame when t MOD dt = first time (ps)
-w bool no View output .xvg,.xpm,.eps and .pdb files
-xvg enum xmgrace xvg plot formatting: xmgrace,xmgr or none
D.60 g rdf
The structure of liquids can be studied by either neutron or X-ray scattering. The most common way to
describe liquid structure is by a radial distribution function. However, this is not easy to obtain from a
scattering experiment.
g_rdf calculates radial distribution functions in different ways. The normal method is around a (set of)
particle(s), the other methods are around the center of mass of a set of particles (-com) or to the closest
particle in a set (-surf). With all methods, the RDF can also be calculated around axes parallel to the
z-axis with option -xy. With option -surf normalization can not be used.
The option -rdf sets the type of RDF to be computed. Default is for atoms or particles, but one can
also select center of mass or geometry of molecules or residues. In all cases, only the atoms in the index
groups are taken into account. For molecules and/or the center of mass option, a run input file is required.
Weighting other than COM or COG can currently only be achieved by providing a run input file with
different masses. Options -com and -surf also work in conjunction with -rdf.
If a run input file is supplied (-s) and -rdf is set to atom, exclusions defined in that file are taken into
account when calculating the RDF. The option -cut is meant as an alternative way to avoid intramolecular
peaks in the RDF plot. It is however better to supply a run input file with a higher number of exclusions.

D.61. g rms 331
For e.g. benzene a topology, setting nrexcl to 5 would eliminate all intramolecular contributions to the RDF.
Note that all atoms in the selected groups are used, also the ones that don’t have Lennard-Jones interactions.
Option -cn produces the cumulative number RDF, i.e. the average number of particles within a distance r.
To bridge the gap between theory and experiment structure factors can be computed (option -sq). The
algorithm uses FFT, the grid spacing of which is determined by option -grid.
Files
-f traj.xtc Input Trajectory: xtc trr trj gro g96 pdb cpt
-s topol.tpr Input, Opt. Structure+mass(db): tpr tpb tpa gro g96 pdb
-n index.ndx Input, Opt. Index file
-d sfactor.dat Input, Opt. Generic data file
-o rdf.xvg Output, Opt. xvgr/xmgr file
-sq sq.xvg Output, Opt. xvgr/xmgr file
-cn rdf_cn.xvg Output, Opt. xvgr/xmgr file
-hq hq.xvg Output, Opt. xvgr/xmgr file
Other options
-h bool no Print help info and quit
-version bool no Print version info and quit
-nice int 19 Set the nicelevel
-b time 0First frame (ps) to read from trajectory
-e time 0Last frame (ps) to read from trajectory
-dt time 0Only use frame when t MOD dt = first time (ps)
-w bool no View output .xvg,.xpm,.eps and .pdb files
-xvg enum xmgrace xvg plot formatting: xmgrace,xmgr or none
-bin real 0.002 Binwidth (nm)
-com bool no RDF with respect to the center of mass of first group
-surf enum no RDF with respect to the surface of the first group: no,mol or res
-rdf enum atom RDF type: atom,mol_com,mol_cog,res_com or res_cog
-pbc bool yes Use periodic boundary conditions for computing distances. Without PBC
the maximum range will be three times the largest box edge.
-norm bool yes Normalize for volume and density
-xy bool no Use only the x and y components of the distance
-cut real 0Shortest distance (nm) to be considered
-ng int 1Number of secondary groups to compute RDFs around a central group
-fade real 0From this distance onwards the RDF is tranformed by g’(r) = 1 + [g(r)-1]
exp(-(r/fade-1)2to make it go to 1 smoothly. If fade is 0.0 nothing is
done.
-nlevel int 20 Number of different colors in the diffraction image
-startq real 0Starting q (1/nm)
-endq real 60 Ending q (1/nm)
-energy real 12 Energy of the incoming X-ray (keV)
D.61 g rms
g_rms compares two structures by computing the root mean square deviation (RMSD), the size-independent
ρsimilarity parameter (rho) or the scaled ρ(rhosc), see Maiorov & Crippen, Proteins 22, 273 (1995).
This is selected by -what.
Each structure from a trajectory (-f) is compared to a reference structure. The reference structure is taken
from the structure file (-s).

332 Appendix D. Manual Pages
With option -mir also a comparison with the mirror image of the reference structure is calculated. This is
useful as a reference for ’significant’ values, see Maiorov & Crippen, Proteins 22, 273 (1995).
Option -prev produces the comparison with a previous frame the specified number of frames ago.
Option -m produces a matrix in .xpm format of comparison values of each structure in the trajectory with
respect to each other structure. This file can be visualized with for instance xv and can be converted to
postscript with xpm2ps.
Option -fit controls the least-squares fitting of the structures on top of each other: complete fit (rotation
and translation), translation only, or no fitting at all.
Option -mw controls whether mass weighting is done or not. If you select the option (default) and sup-
ply a valid .tpr file masses will be taken from there, otherwise the masses will be deduced from the
atommass.dat file in GMXLIB. This is fine for proteins, but not necessarily for other molecules. A de-
fault mass of 12.011 amu (carbon) is assigned to unknown atoms. You can check whether this happend by
turning on the -debug flag and inspecting the log file.
With -f2, the ’other structures’ are taken from a second trajectory, this generates a comparison matrix of
one trajectory versus the other.
Option -bin does a binary dump of the comparison matrix.
Option -bm produces a matrix of average bond angle deviations analogously to the -m option. Only bonds
between atoms in the comparison group are considered.
Files
-s topol.tpr Input Structure+mass(db): tpr tpb tpa gro g96 pdb
-f traj.xtc Input Trajectory: xtc trr trj gro g96 pdb cpt
-f2 traj.xtc Input, Opt. Trajectory: xtc trr trj gro g96 pdb cpt
-n index.ndx Input, Opt. Index file
-o rmsd.xvg Output xvgr/xmgr file
-mir rmsdmir.xvg Output, Opt. xvgr/xmgr file
-a avgrp.xvg Output, Opt. xvgr/xmgr file
-dist rmsd-dist.xvg Output, Opt. xvgr/xmgr file
-m rmsd.xpm Output, Opt. X PixMap compatible matrix file
-bin rmsd.dat Output, Opt. Generic data file
-bm bond.xpm Output, Opt. X PixMap compatible matrix file
Other options
-h bool no Print help info and quit
-version bool no Print version info and quit
-nice int 19 Set the nicelevel
-b time 0First frame (ps) to read from trajectory
-e time 0Last frame (ps) to read from trajectory
-dt time 0Only use frame when t MOD dt = first time (ps)
-tu enum ps Time unit: fs,ps,ns,us,ms or s
-w bool no View output .xvg,.xpm,.eps and .pdb files
-xvg enum xmgrace xvg plot formatting: xmgrace,xmgr or none
-what enum rmsd Structural difference measure: rmsd,rho or rhosc
-pbc bool yes PBC check
-fit enum
rot+trans Fit to reference structure: rot+trans,translation or none
-prev int 0Compare with previous frame
-split bool no Split graph where time is zero
-skip int 1Only write every nr-th frame to matrix
-skip2 int 1Only write every nr-th frame to matrix

D.62. g rmsdist 333
-max real -1 Maximum level in comparison matrix
-min real -1 Minimum level in comparison matrix
-bmax real -1 Maximum level in bond angle matrix
-bmin real -1 Minimum level in bond angle matrix
-mw bool yes Use mass weighting for superposition
-nlevels int 80 Number of levels in the matrices
-ng int 1Number of groups to compute RMS between
D.62 g rmsdist
g_rmsdist computes the root mean square deviation of atom distances, which has the advantage that no
fit is needed like in standard RMS deviation as computed by g_rms. The reference structure is taken from
the structure file. The RMSD at time t is calculated as the RMS of the differences in distance between
atom-pairs in the reference structure and the structure at time t.
g_rmsdist can also produce matrices of the rms distances, rms distances scaled with the mean distance
and the mean distances and matrices with NMR averaged distances (1/r3and 1/r6averaging). Finally,
lists of atom pairs with 1/r3and 1/r6averaged distance below the maximum distance (-max, which will
default to 0.6 in this case) can be generated, by default averaging over equivalent hydrogens (all triplets
of hydrogens named *[123]). Additionally a list of equivalent atoms can be supplied (-equiv), each line
containing a set of equivalent atoms specified as residue number and name and atom name; e.g.:
3 SER HB1 3 SER HB2
Residue and atom names must exactly match those in the structure file, including case. Specifying non-
sequential atoms is undefined.
Files
-f traj.xtc Input Trajectory: xtc trr trj gro g96 pdb cpt
-s topol.tpr Input Structure+mass(db): tpr tpb tpa gro g96 pdb
-n index.ndx Input, Opt. Index file
-equiv equiv.dat Input, Opt. Generic data file
-o distrmsd.xvg Output xvgr/xmgr file
-rms rmsdist.xpm Output, Opt. X PixMap compatible matrix file
-scl rmsscale.xpm Output, Opt. X PixMap compatible matrix file
-mean rmsmean.xpm Output, Opt. X PixMap compatible matrix file
-nmr3 nmr3.xpm Output, Opt. X PixMap compatible matrix file
-nmr6 nmr6.xpm Output, Opt. X PixMap compatible matrix file
-noe noe.dat Output, Opt. Generic data file
Other options
-h bool no Print help info and quit
-version bool no Print version info and quit
-nice int 19 Set the nicelevel
-b time 0First frame (ps) to read from trajectory
-e time 0Last frame (ps) to read from trajectory
-dt time 0Only use frame when t MOD dt = first time (ps)
-w bool no View output .xvg,.xpm,.eps and .pdb files
-xvg enum xmgrace xvg plot formatting: xmgrace,xmgr or none
-nlevels int 40 Discretize RMS in this number of levels
-max real -1 Maximum level in matrices
-sumh bool yes Average distance over equivalent hydrogens
-pbc bool yes Use periodic boundary conditions when computing distances

334 Appendix D. Manual Pages
D.63 g rmsf
g_rmsf computes the root mean square fluctuation (RMSF, i.e. standard deviation) of atomic positions in
the trajectory (supplied with -f) after (optionally) fitting to a reference frame (supplied with -s).
With option -oq the RMSF values are converted to B-factor values, which are written to a .pdb file with
the coordinates, of the structure file, or of a .pdb file when -q is specified. Option -ox writes the B-factors
to a file with the average coordinates.
With the option -od the root mean square deviation with respect to the reference structure is calculated.
With the option -aniso,g_rmsf will compute anisotropic temperature factors and then it will also output
average coordinates and a .pdb file with ANISOU records (corresonding to the -oq or -ox option). Please
note that the U values are orientation-dependent, so before comparison with experimental data you should
verify that you fit to the experimental coordinates.
When a .pdb input file is passed to the program and the -aniso flag is set a correlation plot of the Uij
will be created, if any anisotropic temperature factors are present in the .pdb file.
With option -dir the average MSF (3x3) matrix is diagonalized. This shows the directions in which the
atoms fluctuate the most and the least.
Files
-f traj.xtc Input Trajectory: xtc trr trj gro g96 pdb cpt
-s topol.tpr Input Structure+mass(db): tpr tpb tpa gro g96 pdb
-n index.ndx Input, Opt. Index file
-q eiwit.pdb Input, Opt. Protein data bank file
-oq bfac.pdb Output, Opt. Protein data bank file
-ox xaver.pdb Output, Opt. Protein data bank file
-o rmsf.xvg Output xvgr/xmgr file
-od rmsdev.xvg Output, Opt. xvgr/xmgr file
-oc correl.xvg Output, Opt. xvgr/xmgr file
-dir rmsf.log Output, Opt. Log file
Other options
-h bool no Print help info and quit
-version bool no Print version info and quit
-nice int 19 Set the nicelevel
-b time 0First frame (ps) to read from trajectory
-e time 0Last frame (ps) to read from trajectory
-dt time 0Only use frame when t MOD dt = first time (ps)
-w bool no View output .xvg,.xpm,.eps and .pdb files
-xvg enum xmgrace xvg plot formatting: xmgrace,xmgr or none
-res bool no Calculate averages for each residue
-aniso bool no Compute anisotropic termperature factors
-fit bool yes Do a least squares superposition before computing RMSF. Without this
you must make sure that the reference structure and the trajectory match.
D.64 grompp
The gromacs preprocessor reads a molecular topology file, checks the validity of the file, expands the
topology from a molecular description to an atomic description. The topology file contains information
about molecule types and the number of molecules, the preprocessor copies each molecule as needed.
There is no limitation on the number of molecule types. Bonds and bond-angles can be converted into

D.64. grompp 335
constraints, separately for hydrogens and heavy atoms. Then a coordinate file is read and velocities can be
generated from a Maxwellian distribution if requested. grompp also reads parameters for the mdrun (eg.
number of MD steps, time step, cut-off), and others such as NEMD parameters, which are corrected so that
the net acceleration is zero. Eventually a binary file is produced that can serve as the sole input file for the
MD program.
grompp uses the atom names from the topology file. The atom names in the coordinate file (option -c)
are only read to generate warnings when they do not match the atom names in the topology. Note that
the atom names are irrelevant for the simulation as only the atom types are used for generating interaction
parameters.
grompp uses a built-in preprocessor to resolve includes, macros, etc. The preprocessor supports the fol-
lowing keywords:
#ifdef VARIABLE
#ifndef VARIABLE
#else
#endif
#define VARIABLE
#undef VARIABLE
#include ”filename”
#include <filename>
The functioning of these statements in your topology may be modulated by using the following two flags in
your .mdp file:
define = -DVARIABLE1 -DVARIABLE2
include = -I/home/john/doe
For further information a C-programming textbook may help you out. Specifying the -pp flag will get the
pre-processed topology file written out so that you can verify its contents.
When using position restraints a file with restraint coordinates can be supplied with -r, otherwise restrain-
ing will be done with respect to the conformation from the -c option. For free energy calculation the the
coordinates for the B topology can be supplied with -rb, otherwise they will be equal to those of the A
topology.
Starting coordinates can be read from trajectory with -t. The last frame with coordinates and velocities
will be read, unless the -time option is used. Only if this information is absent will the coordinates in the
-c file be used. Note that these velocities will not be used when gen_vel = yes in your .mdp file. An
energy file can be supplied with -e to read Nose-Hoover and/or Parrinello-Rahman coupling variables.
grompp can be used to restart simulations (preserving continuity) by supplying just a checkpoint file with
-t. However, for simply changing the number of run steps to extend a run, using tpbconv is more
convenient than grompp. You then supply the old checkpoint file directly to mdrun with -cpi. If you
wish to change the ensemble or things like output frequency, then supplying the checkpoint file to grompp
with -t along with a new .mdp file with -f is the recommended procedure.
By default, all bonded interactions which have constant energy due to virtual site constructions will be
removed. If this constant energy is not zero, this will result in a shift in the total energy. All bonded
interactions can be kept by turning off -rmvsbds. Additionally, all constraints for distances which will
be constant anyway because of virtual site constructions will be removed. If any constraints remain which
involve virtual sites, a fatal error will result.
To verify your run input file, please take note of all warnings on the screen, and correct where necessary.
Do also look at the contents of the mdout.mdp file; this contains comment lines, as well as the input that
grompp has read. If in doubt, you can start grompp with the -debug option which will give you more
information in a file called grompp.log (along with real debug info). You can see the contents of the run
input file with the gmxdump program. gmxcheck can be used to compare the contents of two run input

336 Appendix D. Manual Pages
files.
The -maxwarn option can be used to override warnings printed by grompp that otherwise halt output. In
some cases, warnings are harmless, but usually they are not. The user is advised to carefully interpret the
output messages before attempting to bypass them with this option.
Files
-f grompp.mdp Input grompp input file with MD parameters
-po mdout.mdp Output grompp input file with MD parameters
-c conf.gro Input Structure file: gro g96 pdb tpr etc.
-r conf.gro Input, Opt. Structure file: gro g96 pdb tpr etc.
-rb conf.gro Input, Opt. Structure file: gro g96 pdb tpr etc.
-n index.ndx Input, Opt. Index file
-p topol.top Input Topology file
-pp processed.top Output, Opt. Topology file
-o topol.tpr Output Run input file: tpr tpb tpa
-t traj.trr Input, Opt. Full precision trajectory: trr trj cpt
-e ener.edr Input, Opt. Energy file
-ref rotref.trr In/Out, Opt. Full precision trajectory: trr trj cpt
Other options
-h bool no Print help info and quit
-version bool no Print version info and quit
-nice int 0Set the nicelevel
-v bool no Be loud and noisy
-time real -1 Take frame at or first after this time.
-rmvsbds bool yes Remove constant bonded interactions with virtual sites
-maxwarn int 0Number of allowed warnings during input processing. Not for normal
use and may generate unstable systems
-zero bool no Set parameters for bonded interactions without defaults to zero instead of
generating an error
-renum bool yes Renumber atomtypes and minimize number of atomtypes
D.65 g rotacf
g_rotacf calculates the rotational correlation function for molecules. Atom triplets (i,j,k) must be given
in the index file, defining two vectors ij and jk. The rotational ACF is calculated as the autocorrelation
function of the vector n = ij x jk, i.e. the cross product of the two vectors. Since three atoms span a plane,
the order of the three atoms does not matter. Optionally, by invoking the -d switch, you can calculate the
rotational correlation function for linear molecules by specifying atom pairs (i,j) in the index file.
EXAMPLES
g_rotacf -P 1 -nparm 2 -fft -n index -o rotacf-x-P1 -fa expfit-x-P1 -beginfit
2.5 -endfit 20.0
This will calculate the rotational correlation function using a first order Legendre polynomial of the angle
of a vector defined by the index file. The correlation function will be fitted from 2.5 ps until 20.0 ps to a
two-parameter exponential.
Files
-f traj.xtc Input Trajectory: xtc trr trj gro g96 pdb cpt
-s topol.tpr Input Run input file: tpr tpb tpa
-n index.ndx Input Index file
-o rotacf.xvg Output xvgr/xmgr file

D.66. g rotmat 337
Other options
-h bool no Print help info and quit
-version bool no Print version info and quit
-nice int 19 Set the nicelevel
-b time 0First frame (ps) to read from trajectory
-e time 0Last frame (ps) to read from trajectory
-dt time 0Only use frame when t MOD dt = first time (ps)
-w bool no View output .xvg,.xpm,.eps and .pdb files
-xvg enum xmgrace xvg plot formatting: xmgrace,xmgr or none
-d bool no Use index doublets (vectors) for correlation function instead of triplets
(planes)
-aver bool yes Average over molecules
-acflen int -1 Length of the ACF, default is half the number of frames
-normalize bool yes Normalize ACF
-P enum 0Order of Legendre polynomial for ACF (0 indicates none): 0,1,2or 3
-fitfn enum none Fit function: none,exp,aexp,exp_exp,vac,exp5,exp7,exp9
or erffit
-ncskip int 0Skip this many points in the output file of correlation functions
-beginfit real 0Time where to begin the exponential fit of the correlation function
-endfit real -1 Time where to end the exponential fit of the correlation function, -1 is
until the end
D.66 g rotmat
g_rotmat plots the rotation matrix required for least squares fitting a conformation onto the reference
conformation provided with -s. Translation is removed before fitting. The output are the three vectors that
give the new directions of the x, y and z directions of the reference conformation, for example: (zx,zy,zz)
is the orientation of the reference z-axis in the trajectory frame.
This tool is useful for, for instance, determining the orientation of a molecule at an interface, possibly on a
trajectory produced with trjconv -fit rotxy+transxy to remove the rotation in the x-y plane.
Option -ref determines a reference structure for fitting, instead of using the structure from -s. The
structure with the lowest sum of RMSD’s to all other structures is used. Since the computational cost of
this procedure grows with the square of the number of frames, the -skip option can be useful. A full fit
or only a fit in the x-y plane can be performed.
Option -fitxy fits in the x-y plane before determining the rotation matrix.
Files
-f traj.xtc Input Trajectory: xtc trr trj gro g96 pdb cpt
-s topol.tpr Input Structure+mass(db): tpr tpb tpa gro g96 pdb
-n index.ndx Input, Opt. Index file
-o rotmat.xvg Output xvgr/xmgr file
Other options
-h bool no Print help info and quit
-version bool no Print version info and quit
-nice int 19 Set the nicelevel
-b time 0First frame (ps) to read from trajectory
-e time 0Last frame (ps) to read from trajectory
-dt time 0Only use frame when t MOD dt = first time (ps)
-w bool no View output .xvg,.xpm,.eps and .pdb files
-xvg enum xmgrace xvg plot formatting: xmgrace,xmgr or none

338 Appendix D. Manual Pages
-ref enum none Determine the optimal reference structure: none,xyz or xy
-skip int 1Use every nr-th frame for -ref
-fitxy bool no Fit the x/y rotation before determining the rotation
-mw bool yes Use mass weighted fitting
D.67 g saltbr
g_saltbr plots the distance between all combination of charged groups as a function of time. The groups
are combined in different ways. A minimum distance can be given (i.e. a cut-off), such that groups that are
never closer than that distance will not be plotted.
Output will be in a number of fixed filenames, min-min.xvg,plus-min.xvg and plus-plus.xvg,
or files for every individual ion pair if the -sep option is selected. In this case, files are named as
sb-(Resname)(Resnr)-(Atomnr). There may be many such files.
Files
-f traj.xtc Input Trajectory: xtc trr trj gro g96 pdb cpt
-s topol.tpr Input Run input file: tpr tpb tpa
Other options
-h bool no Print help info and quit
-version bool no Print version info and quit
-nice int 19 Set the nicelevel
-b time 0First frame (ps) to read from trajectory
-e time 0Last frame (ps) to read from trajectory
-dt time 0Only use frame when t MOD dt = first time (ps)
-t real 1000 Groups that are never closer than this distance are not plotted
-sep bool no Use separate files for each interaction (may be MANY)
D.68 g sans
This is simple tool to compute SANS spectra using Debye formula It currently uses topology file (since it
need to assigne element for each atom)
Parameters:
-pr Computes normalized g(r) function averaged over trajectory
-prframe Computes normalized g(r) function for each frame
-sq Computes SANS intensity curve averaged over trajectory
-sqframe Computes SANS intensity curve for each frame
-startq Starting q value in nm
-endq Ending q value in nm
-qstep Stepping in q space
Note: When using Debye direct method computational cost increases as 1/2 * N * (N - 1) where N is atom
number in group of interest
WARNING: If sq or pr specified this tool can produce large number of files! Up to two times larger than
number of frames!

D.69. g sas 339
Files
-s topol.tpr Input Run input file: tpr tpb tpa
-f traj.xtc Input Trajectory: xtc trr trj gro g96 pdb cpt
-n index.ndx Input, Opt. Index file
-d nsfactor.dat Input, Opt. Generic data file
-pr pr.xvg Output xvgr/xmgr file
-sq sq.xvg Output xvgr/xmgr file
-prframe prframe.xvg Output, Opt. xvgr/xmgr file
-sqframe sqframe.xvg Output, Opt. xvgr/xmgr file
Other options
-h bool no Print help info and quit
-version bool no Print version info and quit
-nice int 19 Set the nicelevel
-b time 0First frame (ps) to read from trajectory
-e time 0Last frame (ps) to read from trajectory
-dt time 0Only use frame when t MOD dt = first time (ps)
-tu enum ps Time unit: fs,ps,ns,us,ms or s
-xvg enum xmgrace xvg plot formatting: xmgrace,xmgr or none
-mode enum direct Mode for sans spectra calculation: direct or mc
-mcover real -1 Monte-Carlo coverage should be -1(default) or (0,1]
-pbc bool yes Use periodic boundary conditions for computing distances
-startq real 0Starting q (1/nm)
-endq real 2Ending q (1/nm)
-qstep real 0.01 Stepping in q (1/nm)
-seed int 0Random seed for Monte-Carlo
D.69 g sas
g_sas computes hydrophobic, hydrophilic and total solvent accessible surface area. See Eisenhaber F,
Lijnzaad P, Argos P, Sander C, & Scharf M (1995) J. Comput. Chem. 16, 273-284. As a side effect, the
Connolly surface can be generated as well in a .pdb file where the nodes are represented as atoms and the
vertice connecting the nearest nodes as CONECT records. The program will ask for a group for the surface
calculation and a group for the output. The calculation group should always consists of all the non-solvent
atoms in the system. The output group can be the whole or part of the calculation group. The average and
standard deviation of the area over the trajectory can be plotted per residue and atom as well (options -or
and -oa). In combination with the latter option an .itp file can be generated (option -i) which can be
used to restrain surface atoms.
By default, periodic boundary conditions are taken into account, this can be turned off using the -nopbc
option.
With the -tv option the total volume and density of the molecule can be computed. Please consider whether
the normal probe radius is appropriate in this case or whether you would rather use e.g. 0. It is good to keep
in mind that the results for volume and density are very approximate. For example, in ice Ih, one can easily
fit water molecules in the pores which would yield a volume that is too low, and surface area and density
that are both too high.
Files
-f traj.xtc Input Trajectory: xtc trr trj gro g96 pdb cpt
-s topol.tpr Input Structure+mass(db): tpr tpb tpa gro g96 pdb
-o area.xvg Output xvgr/xmgr file

340 Appendix D. Manual Pages
-or resarea.xvg Output, Opt. xvgr/xmgr file
-oa atomarea.xvg Output, Opt. xvgr/xmgr file
-tv volume.xvg Output, Opt. xvgr/xmgr file
-q connelly.pdb Output, Opt. Protein data bank file
-n index.ndx Input, Opt. Index file
-i surfat.itp Output, Opt. Include file for topology
Other options
-h bool no Print help info and quit
-version bool no Print version info and quit
-nice int 19 Set the nicelevel
-b time 0First frame (ps) to read from trajectory
-e time 0Last frame (ps) to read from trajectory
-dt time 0Only use frame when t MOD dt = first time (ps)
-w bool no View output .xvg,.xpm,.eps and .pdb files
-xvg enum xmgrace xvg plot formatting: xmgrace,xmgr or none
-probe real 0.14 Radius of the solvent probe (nm)
-ndots int 24 Number of dots per sphere, more dots means more accuracy
-qmax real 0.2 The maximum charge (e, absolute value) of a hydrophobic atom
-f_index bool no Determine from a group in the index file what are the hydrophobic atoms
rather than from the charge
-minarea real 0.5 The minimum area (nm2) to count an atom as a surface atom when writ-
ing a position restraint file (see help)
-pbc bool yes Take periodicity into account
-prot bool yes Output the protein to the Connelly .pdb file too
-dgs real 0Default value for solvation free energy per area (kJ/mol/nm2)
D.70 g select
g_select writes out basic data about dynamic selections. It can be used for some simple analyses, or
the output can be combined with output from other programs and/or external analysis programs to calculate
more complex things. Any combination of the output options is possible, but note that -om only operates
on the first selection. -os is the default output option if none is selected.
With -os, calculates the number of positions in each selection for each frame. With -norm, the output
is between 0 and 1 and describes the fraction from the maximum number of positions (e.g., for selection
’resname RA and x <5’ the maximum number of positions is the number of atoms in RA residues). With
-cfnorm, the output is divided by the fraction covered by the selection. -norm and -cfnorm can be
specified independently of one another.
With -oc, the fraction covered by each selection is written out as a function of time.
With -oi, the selected atoms/residues/molecules are written out as a function of time. In the output,
the first column contains the frame time, the second contains the number of positions, followed by the
atom/residue/molecule numbers. If more than one selection is specified, the size of the second group imme-
diately follows the last number of the first group and so on. With -dump, the frame time and the number
of positions is omitted from the output. In this case, only one selection can be given.
With -on, the selected atoms are written as a index file compatible with make_ndx and the analyzing
tools. Each selection is written as a selection group and for dynamic selections a group is written for each
frame.
For residue numbers, the output of -oi can be controlled with -resnr:number (default) prints the
residue numbers as they appear in the input file, while index prints unique numbers assigned to the

D.71. g sgangle 341
residues in the order they appear in the input file, starting with 1. The former is more intuitive, but if
the input contains multiple residues with the same number, the output can be less useful.
With -om, a mask is printed for the first selection as a function of time. Each line in the output corresponds
to one frame, and contains either 0/1 for each atom/residue/molecule possibly selected. 1 stands for the
atom/residue/molecule being selected for the current frame, 0 for not selected. With -dump, the frame
time is omitted from the output.
Files
-f traj.xtc Input, Opt. Trajectory: xtc trr trj gro g96 pdb cpt
-s topol.tpr Input, Opt. Structure+mass(db): tpr tpb tpa gro g96 pdb
-sf selection.dat Input, Opt. Generic data file
-n index.ndx Input, Opt. Index file
-os size.xvg Output, Opt. xvgr/xmgr file
-oc cfrac.xvg Output, Opt. xvgr/xmgr file
-oi index.dat Output, Opt. Generic data file
-om mask.dat Output, Opt. Generic data file
-on index.ndx Output, Opt. Index file
Other options
-h bool no Print help info and quit
-version bool no Print version info and quit
-nice int 19 Set the nicelevel
-b time 0First frame (ps) to read from trajectory
-e time 0Last frame (ps) to read from trajectory
-dt time 0Only use frame when t MOD dt = first time (ps)
-xvg enum xmgrace xvg plot formatting: xmgrace,xmgr or none
-rmpbc bool yes Make molecules whole for each frame
-pbc bool yes Use periodic boundary conditions for distance calculation
-select string Selection string (use ’help’ for help). Note that the whole selec-
tion string will need to be quoted so that your shell will pass it in
as a string. Example: g_select -select ’"Nearby water"
resname SOL and within 0.25 of group Protein’
-selrpos enum atom Selection reference position: atom,res_com,res_cog,mol_-
com,mol_cog,whole_res_com,whole_res_cog,whole_-
mol_com,whole_mol_cog,part_res_com,part_res_cog,
part_mol_com,part_mol_cog,dyn_res_com,dyn_res_-
cog,dyn_mol_com or dyn_mol_cog
-seltype enum atom Default analysis positions: atom,res_com,res_cog,mol_-
com,mol_cog,whole_res_com,whole_res_cog,whole_-
mol_com,whole_mol_cog,part_res_com,part_res_cog,
part_mol_com,part_mol_cog,dyn_res_com,dyn_res_-
cog,dyn_mol_com or dyn_mol_cog
-dump bool no Do not print the frame time (-om, -oi) or the index size (-oi)
-norm bool no Normalize by total number of positions with -os
-cfnorm bool no Normalize by covered fraction with -os
-resnr enum number Residue number output type: number or index
D.71 g sgangle
Compute the angle and distance between two groups. The groups are defined by a number of atoms given
in an index file and may be two or three atoms in size. If -one is set, only one group should be specified

342 Appendix D. Manual Pages
in the index file and the angle between this group at time 0 and t will be computed. The angles calculated
depend on the order in which the atoms are given. Giving, for instance, 5 6 will rotate the vector 5-6 with
180 degrees compared to giving 6 5.
If three atoms are given, the normal on the plane spanned by those three atoms will be calculated, using the
formula P1P2 x P1P3. The cos of the angle is calculated, using the inproduct of the two normalized vectors.
Here is what some of the file options do:
-oa: Angle between the two groups specified in the index file. If a group contains three atoms the normal
to the plane defined by those three atoms will be used. If a group contains two atoms, the vector defined by
those two atoms will be used.
-od: Distance between two groups. Distance is taken from the center of one group to the center of the
other group.
-od1: If one plane and one vector is given, the distances for each of the atoms from the center of the plane
is given separately.
-od2: For two planes this option has no meaning.
Files
-f traj.xtc Input Trajectory: xtc trr trj gro g96 pdb cpt
-n index.ndx Input Index file
-s topol.tpr Input Run input file: tpr tpb tpa
-oa sg_angle.xvg Output xvgr/xmgr file
-od sg_dist.xvg Output, Opt. xvgr/xmgr file
-od1 sg_dist1.xvg Output, Opt. xvgr/xmgr file
-od2 sg_dist2.xvg Output, Opt. xvgr/xmgr file
Other options
-h bool no Print help info and quit
-version bool no Print version info and quit
-nice int 19 Set the nicelevel
-b time 0First frame (ps) to read from trajectory
-e time 0Last frame (ps) to read from trajectory
-dt time 0Only use frame when t MOD dt = first time (ps)
-w bool no View output .xvg,.xpm,.eps and .pdb files
-xvg enum xmgrace xvg plot formatting: xmgrace,xmgr or none
-one bool no Only one group compute angle between vector at time zero and time t
-z bool no Use the z-axis as reference
D.72 g sham
g_sham makes multi-dimensional free-energy, enthalpy and entropy plots. g_sham reads one or more
.xvg files and analyzes data sets. The basic purpose of g_sham is to plot Gibbs free energy landscapes
(option -ls) by Bolzmann inverting multi-dimensional histograms (option -lp), but it can also make
enthalpy (option -lsh) and entropy (option -lss) plots. The histograms can be made for any quantities
the user supplies. A line in the input file may start with a time (see option -time) and any number of
y-values may follow. Multiple sets can also be read when they are separated by & (option -n), in this case
only one y-value is read from each line. All lines starting with # and @ are skipped.
Option -ge can be used to supply a file with free energies when the ensemble is not a Boltzmann ensemble,
but needs to be biased by this free energy. One free energy value is required for each (multi-dimensional)
data point in the -f input.
Option -ene can be used to supply a file with energies. These energies are used as a weighting function in
the single histogram analysis method by Kumar et al. When temperatures are supplied (as a second column

D.72. g sham 343
in the file), an experimental weighting scheme is applied. In addition the vales are used for making enthalpy
and entropy plots.
With option -dim, dimensions can be gives for distances. When a distance is 2- or 3-dimensional, the
circumference or surface sampled by two particles increases with increasing distance. Depending on what
one would like to show, one can choose to correct the histogram and free-energy for this volume effect.
The probability is normalized by r and r2for dimensions of 2 and 3, respectively. A value of -1 is used to
indicate an angle in degrees between two vectors: a sin(angle) normalization will be applied. Note that for
angles between vectors the inner-product or cosine is the natural quantity to use, as it will produce bins of
the same volume.
Files
-f graph.xvg Input xvgr/xmgr file
-ge gibbs.xvg Input, Opt. xvgr/xmgr file
-ene esham.xvg Input, Opt. xvgr/xmgr file
-dist ener.xvg Output, Opt. xvgr/xmgr file
-histo edist.xvg Output, Opt. xvgr/xmgr file
-bin bindex.ndx Output, Opt. Index file
-lp prob.xpm Output, Opt. X PixMap compatible matrix file
-ls gibbs.xpm Output, Opt. X PixMap compatible matrix file
-lsh enthalpy.xpm Output, Opt. X PixMap compatible matrix file
-lss entropy.xpm Output, Opt. X PixMap compatible matrix file
-map map.xpm Output, Opt. X PixMap compatible matrix file
-ls3 gibbs3.pdb Output, Opt. Protein data bank file
-mdata mapdata.xvg Input, Opt. xvgr/xmgr file
-g shamlog.log Output, Opt. Log file
Other options
-h bool no Print help info and quit
-version bool no Print version info and quit
-nice int 19 Set the nicelevel
-w bool no View output .xvg,.xpm,.eps and .pdb files
-xvg enum xmgrace xvg plot formatting: xmgrace,xmgr or none
-time bool yes Expect a time in the input
-b real -1 First time to read from set
-e real -1 Last time to read from set
-ttol real 0Tolerance on time in appropriate units (usually ps)
-n int 1Read this number of sets separated by lines containing only an ampersand
-d bool no Use the derivative
-bw real 0.1 Binwidth for the distribution
-sham bool yes Turn off energy weighting even if energies are given
-tsham real 298.15 Temperature for single histogram analysis
-pmin real 0Minimum probability. Anything lower than this will be set to zero
-dim vector 111 Dimensions for distances, used for volume correction (max 3 values, di-
mensions >3 will get the same value as the last)
-ngrid vector32 32 32 Number of bins for energy landscapes (max 3 values, dimensions >3
will get the same value as the last)
-xmin vector 000 Minimum for the axes in energy landscape (see above for >3 dimen-
sions)
-xmax vector 111 Maximum for the axes in energy landscape (see above for >3 dimen-
sions)
-pmax real 0Maximum probability in output, default is calculate
-gmax real 0Maximum free energy in output, default is calculate
-emin real 0Minimum enthalpy in output, default is calculate

344 Appendix D. Manual Pages
-emax real 0Maximum enthalpy in output, default is calculate
-nlevels int 25 Number of levels for energy landscape
-mname string Legend label for the custom landscape
D.73 g sigeps
g_sigeps is a simple utility that converts C6/C12 or C6/Cn combinations to σand , or vice versa. It
can also plot the potential in file. In addition, it makes an approximation of a Buckingham potential to a
Lennard-Jones potential.
Files
-o potje.xvg Output xvgr/xmgr file
Other options
-h bool no Print help info and quit
-version bool no Print version info and quit
-nice int 0Set the nicelevel
-w bool no View output .xvg,.xpm,.eps and .pdb files
-xvg enum xmgrace xvg plot formatting: xmgrace,xmgr or none
-c6 real 0.001 C6
-cn real 1e-06 Constant for repulsion
-pow int 12 Power of the repulsion term
-sig real 0.3 σ
-eps real 1
-A real 100000 Buckingham A
-B real 32 Buckingham B
-C real 0.001 Buckingham C
-qi real 0qi
-qj real 0qj
-sigfac real 0.7 Factor in front of σfor starting the plot
D.74 g sorient
g_sorient analyzes solvent orientation around solutes. It calculates two angles between the vector from
one or more reference positions to the first atom of each solvent molecule:
θ1: the angle with the vector from the first atom of the solvent molecule to the midpoint between atoms 2
and 3.
θ2: the angle with the normal of the solvent plane, defined by the same three atoms, or, when the option
-v23 is set, the angle with the vector between atoms 2 and 3.
The reference can be a set of atoms or the center of mass of a set of atoms. The group of solvent atoms
should consist of 3 atoms per solvent molecule. Only solvent molecules between -rmin and -rmax are
considered for -o and -no each frame.
-o: distribtion of cos (θ1)for rmin≤r≤rmax.
-no: distribution of cos (θ2)for rmin≤r≤rmax.
-ro:<cos (θ1)>and <3 cos (2θ2)−1>as a function of the distance.
-co: the sum over all solvent molecules within distance r of cos (θ1)and 3 cos (2(θ2)−1) as a function of
r.
-rc: the distribution of the solvent molecules as a function of r

D.75. g spatial 345
Files
-f traj.xtc Input Trajectory: xtc trr trj gro g96 pdb cpt
-s topol.tpr Input Structure+mass(db): tpr tpb tpa gro g96 pdb
-n index.ndx Input, Opt. Index file
-o sori.xvg Output xvgr/xmgr file
-no snor.xvg Output xvgr/xmgr file
-ro sord.xvg Output xvgr/xmgr file
-co scum.xvg Output xvgr/xmgr file
-rc scount.xvg Output xvgr/xmgr file
Other options
-h bool no Print help info and quit
-version bool no Print version info and quit
-nice int 19 Set the nicelevel
-b time 0First frame (ps) to read from trajectory
-e time 0Last frame (ps) to read from trajectory
-dt time 0Only use frame when t MOD dt = first time (ps)
-w bool no View output .xvg,.xpm,.eps and .pdb files
-xvg enum xmgrace xvg plot formatting: xmgrace,xmgr or none
-com bool no Use the center of mass as the reference postion
-v23 bool no Use the vector between atoms 2 and 3
-rmin real 0Minimum distance (nm)
-rmax real 0.5 Maximum distance (nm)
-cbin real 0.02 Binwidth for the cosine
-rbin real 0.02 Binwidth for r (nm)
-pbc bool no Check PBC for the center of mass calculation. Only necessary when your
reference group consists of several molecules.
D.75 g spatial
g_spatial calculates the spatial distribution function and outputs it in a form that can be read by VMD
as Gaussian98 cube format. This was developed from template.c (GROMACS-3.3). For a system of 32,000
atoms and a 50 ns trajectory, the SDF can be generated in about 30 minutes, with most of the time dedicated
to the two runs through trjconv that are required to center everything properly. This also takes a whole
bunch of space (3 copies of the .xtc file). Still, the pictures are pretty and very informative when the fitted
selection is properly made. 3-4 atoms in a widely mobile group (like a free amino acid in solution) works
well, or select the protein backbone in a stable folded structure to get the SDF of solvent and look at the
time-averaged solvation shell. It is also possible using this program to generate the SDF based on some
arbitrary Cartesian coordinate. To do that, simply omit the preliminary trjconv steps.
USAGE:
1. Use make_ndx to create a group containing the atoms around which you want the SDF
2. trjconv -s a.tpr -f a.xtc -o b.xtc -boxcenter tric -ur compact -pbc none
3. trjconv -s a.tpr -f b.xtc -o c.xtc -fit rot+trans
4. run g_spatial on the .xtc output of step #3.
5. Load grid.cube into VMD and view as an isosurface.
Note that systems such as micelles will require trjconv -pbc cluster between steps 1 and 2
WARNINGS:
The SDF will be generated for a cube that contains all bins that have some non-zero occupancy. However,

346 Appendix D. Manual Pages
the preparatory -fit rot+trans option to trjconv implies that your system will be rotating and
translating in space (in order that the selected group does not). Therefore the values that are returned will
only be valid for some region around your central group/coordinate that has full overlap with system volume
throughout the entire translated/rotated system over the course of the trajectory. It is up to the user to ensure
that this is the case.
BUGS:
When the allocated memory is not large enough, a segmentation fault may occur. This is usually detected
and the program is halted prior to the fault while displaying a warning message suggesting the use of the
-nab (Number of Additional Bins) option. However, the program does not detect all such events. If you
encounter a segmentation fault, run it again with an increased -nab value.
RISKY OPTIONS:
To reduce the amount of space and time required, you can output only the coords that are going to be used
in the first and subsequent run through trjconv. However, be sure to set the -nab option to a sufficiently
high value since memory is allocated for cube bins based on the initial coordinates and the -nab option
value.
Files
-s topol.tpr Input Structure+mass(db): tpr tpb tpa gro g96 pdb
-f traj.xtc Input Trajectory: xtc trr trj gro g96 pdb cpt
-n index.ndx Input, Opt. Index file
Other options
-h bool no Print help info and quit
-version bool no Print version info and quit
-nice int 0Set the nicelevel
-b time 0First frame (ps) to read from trajectory
-e time 0Last frame (ps) to read from trajectory
-dt time 0Only use frame when t MOD dt = first time (ps)
-w bool no View output .xvg,.xpm,.eps and .pdb files
-pbc bool no Use periodic boundary conditions for computing distances
-div bool yes Calculate and apply the divisor for bin occupancies based on
atoms/minimal cube size. Set as TRUE for visualization and as FALSE
(-nodiv) to get accurate counts per frame
-ign int -1 Do not display this number of outer cubes (positive values may reduce
boundary speckles; -1 ensures outer surface is visible)
-bin real 0.05 Width of the bins (nm)
-nab int 4Number of additional bins to ensure proper memory allocation
D.76 g spol
g_spol analyzes dipoles around a solute; it is especially useful for polarizable water. A group of reference
atoms, or a center of mass reference (option -com) and a group of solvent atoms is required. The program
splits the group of solvent atoms into molecules. For each solvent molecule the distance to the closest atom
in reference group or to the COM is determined. A cumulative distribution of these distances is plotted.
For each distance between -rmin and -rmax the inner product of the distance vector and the dipole of
the solvent molecule is determined. For solvent molecules with net charge (ions), the net charge of the ion
is subtracted evenly from all atoms in the selection of each ion. The average of these dipole components is
printed. The same is done for the polarization, where the average dipole is subtracted from the instantaneous
dipole. The magnitude of the average dipole is set with the option -dip, the direction is defined by the
vector from the first atom in the selected solvent group to the midpoint between the second and the third
atom.

D.77. g tcaf 347
Files
-f traj.xtc Input Trajectory: xtc trr trj gro g96 pdb cpt
-s topol.tpr Input Run input file: tpr tpb tpa
-n index.ndx Input, Opt. Index file
-o scdist.xvg Output xvgr/xmgr file
Other options
-h bool no Print help info and quit
-version bool no Print version info and quit
-nice int 19 Set the nicelevel
-b time 0First frame (ps) to read from trajectory
-e time 0Last frame (ps) to read from trajectory
-dt time 0Only use frame when t MOD dt = first time (ps)
-w bool no View output .xvg,.xpm,.eps and .pdb files
-xvg enum xmgrace xvg plot formatting: xmgrace,xmgr or none
-com bool no Use the center of mass as the reference postion
-refat int 1The reference atom of the solvent molecule
-rmin real 0Maximum distance (nm)
-rmax real 0.32 Maximum distance (nm)
-dip real 0The average dipole (D)
-bw real 0.01 The bin width
D.77 g tcaf
g_tcaf computes tranverse current autocorrelations. These are used to estimate the shear viscosity, η. For
details see: Palmer, Phys. Rev. E 49 (1994) pp 359-366.
Transverse currents are calculated using the k-vectors (1,0,0) and (2,0,0) each also in the y- and z-direction,
(1,1,0) and (1,-1,0) each also in the 2 other planes (these vectors are not independent) and (1,1,1) and the 3
other box diagonals (also not independent). For each k-vector the sine and cosine are used, in combination
with the velocity in 2 perpendicular directions. This gives a total of 16*2*2=64 transverse currents. One
autocorrelation is calculated fitted for each k-vector, which gives 16 TCAFs. Each of these TCAFs is
fitted to f(t) = exp (−v)(cosh (W v)+1/W sinh (W v)),v=−t/(2τ),W=p1−4τη/ρk2, which
gives 16 values of τand η. The fit weights decay exponentially with time constant w(given with -wt)
as exp (−t/w), and the TCAF and fit are calculated up to time 5∗w. The ηvalues should be fitted to
1−aη(k)k2, from which one can estimate the shear viscosity at k=0.
When the box is cubic, one can use the option -oc, which averages the TCAFs over all k-vectors with the
same length. This results in more accurate TCAFs. Both the cubic TCAFs and fits are written to -oc The
cubic ηestimates are also written to -ov.
With option -mol, the transverse current is determined of molecules instead of atoms. In this case, the
index group should consist of molecule numbers instead of atom numbers.
The k-dependent viscosities in the -ov file should be fitted to η(k) = η0(1 −ak2)to obtain the viscosity
at infinite wavelength.
Note: make sure you write coordinates and velocities often enough. The initial, non-exponential, part of
the autocorrelation function is very important for obtaining a good fit.
Files
-f traj.trr Input Full precision trajectory: trr trj cpt
-s topol.tpr Input, Opt. Structure+mass(db): tpr tpb tpa gro g96 pdb
-n index.ndx Input, Opt. Index file

348 Appendix D. Manual Pages
-ot transcur.xvg Output, Opt. xvgr/xmgr file
-oa tcaf_all.xvg Output xvgr/xmgr file
-o tcaf.xvg Output xvgr/xmgr file
-of tcaf_fit.xvg Output xvgr/xmgr file
-oc tcaf_cub.xvg Output, Opt. xvgr/xmgr file
-ov visc_k.xvg Output xvgr/xmgr file
Other options
-h bool no Print help info and quit
-version bool no Print version info and quit
-nice int 19 Set the nicelevel
-b time 0First frame (ps) to read from trajectory
-e time 0Last frame (ps) to read from trajectory
-dt time 0Only use frame when t MOD dt = first time (ps)
-w bool no View output .xvg,.xpm,.eps and .pdb files
-xvg enum xmgrace xvg plot formatting: xmgrace,xmgr or none
-mol bool no Calculate TCAF of molecules
-k34 bool no Also use k=(3,0,0) and k=(4,0,0)
-wt real 5Exponential decay time for the TCAF fit weights
-acflen int -1 Length of the ACF, default is half the number of frames
-normalize bool yes Normalize ACF
-P enum 0Order of Legendre polynomial for ACF (0 indicates none): 0,1,2or 3
-fitfn enum none Fit function: none,exp,aexp,exp_exp,vac,exp5,exp7,exp9
or erffit
-ncskip int 0Skip this many points in the output file of correlation functions
-beginfit real 0Time where to begin the exponential fit of the correlation function
-endfit real -1 Time where to end the exponential fit of the correlation function, -1 is
until the end
D.78 g traj
g_traj plots coordinates, velocities, forces and/or the box. With -com the coordinates, velocities and
forces are calculated for the center of mass of each group. When -mol is set, the numbers in the index file
are interpreted as molecule numbers and the same procedure as with -com is used for each molecule.
Option -ot plots the temperature of each group, provided velocities are present in the trajectory file. No
corrections are made for constrained degrees of freedom! This implies -com.
Options -ekt and -ekr plot the translational and rotational kinetic energy of each group, provided veloc-
ities are present in the trajectory file. This implies -com.
Options -cv and -cf write the average velocities and average forces as temperature factors to a .pdb file
with the average coordinates or the coordinates at -ctime. The temperature factors are scaled such that
the maximum is 10. The scaling can be changed with the option -scale. To get the velocities or forces of
one frame set both -b and -e to the time of desired frame. When averaging over frames you might need to
use the -nojump option to obtain the correct average coordinates. If you select either of these option the
average force and velocity for each atom are written to an .xvg file as well (specified with -av or -af).
Option -vd computes a velocity distribution, i.e. the norm of the vector is plotted. In addition in the same
graph the kinetic energy distribution is given.
Files
-f traj.xtc Input Trajectory: xtc trr trj gro g96 pdb cpt
-s topol.tpr Input Structure+mass(db): tpr tpb tpa gro g96 pdb

D.79. g tune pme 349
-n index.ndx Input, Opt. Index file
-ox coord.xvg Output, Opt. xvgr/xmgr file
-oxt coord.xtc Output, Opt. Trajectory: xtc trr trj gro g96 pdb cpt
-ov veloc.xvg Output, Opt. xvgr/xmgr file
-of force.xvg Output, Opt. xvgr/xmgr file
-ob box.xvg Output, Opt. xvgr/xmgr file
-ot temp.xvg Output, Opt. xvgr/xmgr file
-ekt ektrans.xvg Output, Opt. xvgr/xmgr file
-ekr ekrot.xvg Output, Opt. xvgr/xmgr file
-vd veldist.xvg Output, Opt. xvgr/xmgr file
-cv veloc.pdb Output, Opt. Protein data bank file
-cf force.pdb Output, Opt. Protein data bank file
-av all_veloc.xvg Output, Opt. xvgr/xmgr file
-af all_force.xvg Output, Opt. xvgr/xmgr file
Other options
-h bool no Print help info and quit
-version bool no Print version info and quit
-nice int 19 Set the nicelevel
-b time 0First frame (ps) to read from trajectory
-e time 0Last frame (ps) to read from trajectory
-dt time 0Only use frame when t MOD dt = first time (ps)
-tu enum ps Time unit: fs,ps,ns,us,ms or s
-w bool no View output .xvg,.xpm,.eps and .pdb files
-xvg enum xmgrace xvg plot formatting: xmgrace,xmgr or none
-com bool no Plot data for the com of each group
-pbc bool yes Make molecules whole for COM
-mol bool no Index contains molecule numbers iso atom numbers
-nojump bool no Remove jumps of atoms across the box
-x bool yes Plot X-component
-y bool yes Plot Y-component
-z bool yes Plot Z-component
-ng int 1Number of groups to consider
-len bool no Plot vector length
-fp bool no Full precision output
-bin real 1Binwidth for velocity histogram (nm/ps)
-ctime real -1 Use frame at this time for x in -cv and -cf instead of the average x
-scale real 0Scale factor for .pdb output, 0 is autoscale
D.79 g tune pme
For a given number -np or -ntmpi of processors/threads, this program systematically times mdrun with
various numbers of PME-only nodes and determines which setting is fastest. It will also test whether
performance can be enhanced by shifting load from the reciprocal to the real space part of the Ewald sum.
Simply pass your .tpr file to g_tune_pme together with other options for mdrun as needed.
Which executables are used can be set in the environment variables MPIRUN and MDRUN. If these are not
present, ’mpirun’ and ’mdrun’ will be used as defaults. Note that for certain MPI frameworks you need to
provide a machine- or hostfile. This can also be passed via the MPIRUN variable, e.g.
export MPIRUN="/usr/local/mpirun -machinefile hosts"

350 Appendix D. Manual Pages
Please call g_tune_pme with the normal options you would pass to mdrun and add -np for the number
of processors to perform the tests on, or -ntmpi for the number of threads. You can also add -r to repeat
each test several times to get better statistics.
g_tune_pme can test various real space / reciprocal space workloads for you. With -ntpr you control
how many extra .tpr files will be written with enlarged cutoffs and smaller Fourier grids respectively.
Typically, the first test (number 0) will be with the settings from the input .tpr file; the last test (number
ntpr) will have the Coulomb cutoff specified by -rmax with a somwhat smaller PME grid at the same
time. In this last test, the Fourier spacing is multiplied with rmax/rcoulomb. The remaining .tpr files
will have equally-spaced Coulomb radii (and Fourier spacings) between these extremes. Note that you can
set -ntpr to 1 if you just seek the optimal number of PME-only nodes; in that case your input .tpr file
will remain unchanged.
For the benchmark runs, the default of 1000 time steps should suffice for most MD systems. The dynamic
load balancing needs about 100 time steps to adapt to local load imbalances, therefore the time step counters
are by default reset after 100 steps. For large systems (>1M atoms), as well as for a higher accuarcy of the
measurements, you should set -resetstep to a higher value. From the ’DD’ load imbalance entries in
the md.log output file you can tell after how many steps the load is sufficiently balanced. Example call:
g_tune_pme -np 64 -s protein.tpr -launch
After calling mdrun several times, detailed performance information is available in the output file perf.out.
Note that during the benchmarks, a couple of temporary files are written (options -b*), these will be auto-
matically deleted after each test.
If you want the simulation to be started automatically with the optimized parameters, use the command line
option -launch.
Files
-p perf.out Output Generic output file
-err bencherr.log Output Log file
-so tuned.tpr Output Run input file: tpr tpb tpa
-s topol.tpr Input Run input file: tpr tpb tpa
-o traj.trr Output Full precision trajectory: trr trj cpt
-x traj.xtc Output, Opt. Compressed trajectory (portable xdr format)
-cpi state.cpt Input, Opt. Checkpoint file
-cpo state.cpt Output, Opt. Checkpoint file
-c confout.gro Output Structure file: gro g96 pdb etc.
-e ener.edr Output Energy file
-g md.log Output Log file
-dhdl dhdl.xvg Output, Opt. xvgr/xmgr file
-field field.xvg Output, Opt. xvgr/xmgr file
-table table.xvg Input, Opt. xvgr/xmgr file
-tabletf tabletf.xvg Input, Opt. xvgr/xmgr file
-tablep tablep.xvg Input, Opt. xvgr/xmgr file
-tableb table.xvg Input, Opt. xvgr/xmgr file
-rerun rerun.xtc Input, Opt. Trajectory: xtc trr trj gro g96 pdb cpt
-tpi tpi.xvg Output, Opt. xvgr/xmgr file
-tpid tpidist.xvg Output, Opt. xvgr/xmgr file
-ei sam.edi Input, Opt. ED sampling input
-eo edsam.xvg Output, Opt. xvgr/xmgr file
-j wham.gct Input, Opt. General coupling stuff
-jo bam.gct Output, Opt. General coupling stuff
-ffout gct.xvg Output, Opt. xvgr/xmgr file
-devout deviatie.xvg Output, Opt. xvgr/xmgr file
-runav runaver.xvg Output, Opt. xvgr/xmgr file

D.79. g tune pme 351
-px pullx.xvg Output, Opt. xvgr/xmgr file
-pf pullf.xvg Output, Opt. xvgr/xmgr file
-ro rotation.xvg Output, Opt. xvgr/xmgr file
-ra rotangles.log Output, Opt. Log file
-rs rotslabs.log Output, Opt. Log file
-rt rottorque.log Output, Opt. Log file
-mtx nm.mtx Output, Opt. Hessian matrix
-dn dipole.ndx Output, Opt. Index file
-bo bench.trr Output Full precision trajectory: trr trj cpt
-bx bench.xtc Output Compressed trajectory (portable xdr format)
-bcpo bench.cpt Output Checkpoint file
-bc bench.gro Output Structure file: gro g96 pdb etc.
-be bench.edr Output Energy file
-bg bench.log Output Log file
-beo benchedo.xvg Output, Opt. xvgr/xmgr file
-bdhdl benchdhdl.xvg Output, Opt. xvgr/xmgr file
-bfield benchfld.xvg Output, Opt. xvgr/xmgr file
-btpi benchtpi.xvg Output, Opt. xvgr/xmgr file
-btpid benchtpid.xvg Output, Opt. xvgr/xmgr file
-bjo bench.gct Output, Opt. General coupling stuff
-bffout benchgct.xvg Output, Opt. xvgr/xmgr file
-bdevout benchdev.xvg Output, Opt. xvgr/xmgr file
-brunav benchrnav.xvg Output, Opt. xvgr/xmgr file
-bpx benchpx.xvg Output, Opt. xvgr/xmgr file
-bpf benchpf.xvg Output, Opt. xvgr/xmgr file
-bro benchrot.xvg Output, Opt. xvgr/xmgr file
-bra benchrota.log Output, Opt. Log file
-brs benchrots.log Output, Opt. Log file
-brt benchrott.log Output, Opt. Log file
-bmtx benchn.mtx Output, Opt. Hessian matrix
-bdn bench.ndx Output, Opt. Index file
Other options
-h bool no Print help info and quit
-version bool no Print version info and quit
-nice int 0Set the nicelevel
-xvg enum xmgrace xvg plot formatting: xmgrace,xmgr or none
-np int 1Number of nodes to run the tests on (must be >2 for separate PME
nodes)
-npstring enum -np Specify the number of processors to $MPIRUN using this string: -np,
-n or none
-ntmpi int 1Number of MPI-threads to run the tests on (turns MPI & mpirun off)
-r int 2Repeat each test this often
-max real 0.5 Max fraction of PME nodes to test with
-min real 0.25 Min fraction of PME nodes to test with
-npme enum auto Within -min and -max, benchmark all possible values for -npme, or just
a reasonable subset. Auto neglects -min and -max and chooses reasonable
values around a guess for npme derived from the .tpr: auto,all or
subset
-fix int -2 If ≥-1, do not vary the number of PME-only nodes, instead use this
fixed value and only vary rcoulomb and the PME grid spacing.
-rmax real 0If >0, maximal rcoulomb for -ntpr>1 (rcoulomb upscaling results in
fourier grid downscaling)

352 Appendix D. Manual Pages
-rmin real 0If >0, minimal rcoulomb for -ntpr>1
-scalevdw bool yes Scale rvdw along with rcoulomb
-ntpr int 0Number of .tpr files to benchmark. Create this many files with dif-
ferent rcoulomb scaling factors depending on -rmin and -rmax. If <1,
automatically choose the number of .tpr files to test
-steps step 1000 Take timings for this many steps in the benchmark runs
-resetstep int 100 Let dlb equilibrate this many steps before timings are taken (reset cycle
counters after this many steps)
-simsteps step -1 If non-negative, perform this many steps in the real run (overwrites nsteps
from .tpr, add .cpt steps)
-launch bool no Launch the real simulation after optimization
-bench bool yes Run the benchmarks or just create the input .tpr files?
-append bool yes Append to previous output files when continuing from checkpoint instead
of adding the simulation part number to all file names (for launch only)
-cpnum bool no Keep and number checkpoint files (launch only)
D.80 g vanhove
g_vanhove computes the Van Hove correlation function. The Van Hove G(r,t) is the probability that a
particle that is at r0at time zero can be found at position r0+r at time t. g_vanhove determines G not for
a vector r, but for the length of r. Thus it gives the probability that a particle moves a distance of r in time
t. Jumps across the periodic boundaries are removed. Corrections are made for scaling due to isotropic or
anisotropic pressure coupling.
With option -om the whole matrix can be written as a function of t and r or as a function of √tand r (option
-sqrt).
With option -or the Van Hove function is plotted for one or more values of t. Option -nr sets the number
of times, option -fr the number spacing between the times. The binwidth is set with option -rbin. The
number of bins is determined automatically.
With option -ot the integral up to a certain distance (option -rt) is plotted as a function of time.
For all frames that are read the coordinates of the selected particles are stored in memory. Therefore the
program may use a lot of memory. For options -om and -ot the program may be slow. This is because the
calculation scales as the number of frames times -fm or -ft. Note that with the -dt option the memory
usage and calculation time can be reduced.
Files
-f traj.xtc Input Trajectory: xtc trr trj gro g96 pdb cpt
-s topol.tpr Input Structure+mass(db): tpr tpb tpa gro g96 pdb
-n index.ndx Input, Opt. Index file
-om vanhove.xpm Output, Opt. X PixMap compatible matrix file
-or vanhove_r.xvg Output, Opt. xvgr/xmgr file
-ot vanhove_t.xvg Output, Opt. xvgr/xmgr file
Other options
-h bool no Print help info and quit
-version bool no Print version info and quit
-nice int 19 Set the nicelevel
-b time 0First frame (ps) to read from trajectory
-e time 0Last frame (ps) to read from trajectory
-dt time 0Only use frame when t MOD dt = first time (ps)
-w bool no View output .xvg,.xpm,.eps and .pdb files

D.81. g velacc 353
-xvg enum xmgrace xvg plot formatting: xmgrace,xmgr or none
-sqrt real 0Use √ton the matrix axis which binspacing # in √ps
-fm int 0Number of frames in the matrix, 0 is plot all
-rmax real 2Maximum r in the matrix (nm)
-rbin real 0.01 Binwidth in the matrix and for -or (nm)
-mmax real 0Maximum density in the matrix, 0 is calculate (1/nm)
-nlevels int 81 Number of levels in the matrix
-nr int 1Number of curves for the -or output
-fr int 0Frame spacing for the -or output
-rt real 0Integration limit for the -ot output (nm)
-ft int 0Number of frames in the -ot output, 0 is plot all
D.81 g velacc
g_velacc computes the velocity autocorrelation function. When the -m option is used, the momentum
autocorrelation function is calculated.
With option -mol the velocity autocorrelation function of molecules is calculated. In this case the index
group should consist of molecule numbers instead of atom numbers.
Be sure that your trajectory contains frames with velocity information (i.e. nstvout was set in your
original .mdp file), and that the time interval between data collection points is much shorter than the time
scale of the autocorrelation.
Files
-f traj.trr Input Full precision trajectory: trr trj cpt
-s topol.tpr Input, Opt. Structure+mass(db): tpr tpb tpa gro g96 pdb
-n index.ndx Input, Opt. Index file
-o vac.xvg Output xvgr/xmgr file
-os spectrum.xvg Output, Opt. xvgr/xmgr file
Other options
-h bool no Print help info and quit
-version bool no Print version info and quit
-nice int 19 Set the nicelevel
-b time 0First frame (ps) to read from trajectory
-e time 0Last frame (ps) to read from trajectory
-dt time 0Only use frame when t MOD dt = first time (ps)
-w bool no View output .xvg,.xpm,.eps and .pdb files
-xvg enum xmgrace xvg plot formatting: xmgrace,xmgr or none
-m bool no Calculate the momentum autocorrelation function
-recip bool yes Use cmˆ-1 on X-axis instead of 1/ps for spectra.
-mol bool no Calculate the velocity acf of molecules
-acflen int -1 Length of the ACF, default is half the number of frames
-normalize bool yes Normalize ACF
-P enum 0Order of Legendre polynomial for ACF (0 indicates none): 0,1,2or 3
-fitfn enum none Fit function: none,exp,aexp,exp_exp,vac,exp5,exp7,exp9
or erffit
-ncskip int 0Skip this many points in the output file of correlation functions
-beginfit real 0Time where to begin the exponential fit of the correlation function
-endfit real -1 Time where to end the exponential fit of the correlation function, -1 is
until the end

354 Appendix D. Manual Pages
D.82 g wham
This is an analysis program that implements the Weighted Histogram Analysis Method (WHAM). It is
intended to analyze output files generated by umbrella sampling simulations to compute a potential of
mean force (PMF).
At present, three input modes are supported.
*With option -it, the user provides a file which contains the file names of the umbrella simulation run-
input files (.tpr files), AND, with option -ix, a file which contains file names of the pullx mdrun output
files. The .tpr and pullx files must be in corresponding order, i.e. the first .tpr created the first pullx,
etc.
*Same as the previous input mode, except that the the user provides the pull force output file names
(pullf.xvg) with option -if. From the pull force the position in the umbrella potential is computed.
This does not work with tabulated umbrella potentials.
*With option -ip, the user provides file names of (gzipped) .pdo files, i.e. the GROMACS 3.3 umbrella
output files. If you have some unusual reaction coordinate you may also generate your own .pdo files and
feed them with the -ip option into to g_wham. The .pdo file header must be similar to the following:
# UMBRELLA 3.0
# Component selection: 0 0 1
# nSkip 1
# Ref. Group ’TestAtom’
# Nr. of pull groups 2
# Group 1 ’GR1’ Umb. Pos. 5.0 Umb. Cons. 1000.0
# Group 2 ’GR2’ Umb. Pos. 2.0 Umb. Cons. 500.0
#####
The number of pull groups, umbrella positions, force constants, and names may (of course) differ. Follow-
ing the header, a time column and a data column for each pull group follows (i.e. the displacement with
respect to the umbrella center). Up to four pull groups are possible per .pdo file at present.
By default, the output files are
-o PMF output file
-hist Histograms output file
Always check whether the histograms sufficiently overlap.
The umbrella potential is assumed to be harmonic and the force constants are read from the .tpr or .pdo
files. If a non-harmonic umbrella force was applied a tabulated potential can be provided with -tab.
WHAM OPTIONS
————
-bins Number of bins used in analysis
-temp Temperature in the simulations
-tol Stop iteration if profile (probability) changed less than tolerance
-auto Automatic determination of boundaries
-min,-max Boundaries of the profile
The data points that are used to compute the profile can be restricted with options -b,-e, and -dt. Adjust
-b to ensure sufficient equilibration in each umbrella window.
With -log (default) the profile is written in energy units, otherwise (with -nolog) as probability. The
unit can be specified with -unit. With energy output, the energy in the first bin is defined to be zero. If
you want the free energy at a different position to be zero, set -zprof0 (useful with bootstrapping, see
below).
For cyclic or periodic reaction coordinates (dihedral angle, channel PMF without osmotic gradient), the
option -cycl is useful. g_wham will make use of the periodicity of the system and generate a periodic

D.82. g wham 355
PMF. The first and the last bin of the reaction coordinate will assumed be be neighbors.
Option -sym symmetrizes the profile around z=0 before output, which may be useful for, e.g. membranes.
AUTOCORRELATIONS
—————-
With -ac,g_wham estimates the integrated autocorrelation time (IACT) τfor each umbrella window and
weights the respective window with 1/[1+2*τ/dt]. The IACTs are written to the file defined with -oiact.
In verbose mode, all autocorrelation functions (ACFs) are written to hist_autocorr.xvg. Because
the IACTs can be severely underestimated in case of limited sampling, option -acsig allows one to
smooth the IACTs along the reaction coordinate with a Gaussian (σprovided with -acsig, see output in
iact.xvg). Note that the IACTs are estimated by simple integration of the ACFs while the ACFs are
larger 0.05. If you prefer to compute the IACTs by a more sophisticated (but possibly less robust) method
such as fitting to a double exponential, you can compute the IACTs with g_analyze and provide them
to g_wham with the file iact-in.dat (option -iiact), which should contain one line per input file
(.pdo or pullx/f file) and one column per pull group in the respective file.
ERROR ANALYSIS
————–
Statistical errors may be estimated with bootstrap analysis. Use it with care, otherwise the statistical error
may be substantially underestimated. More background and examples for the bootstrap technique can be
found in Hub, de Groot and Van der Spoel, JCTC (2010) 6: 3713-3720.
-nBootstrap defines the number of bootstraps (use, e.g., 100). Four bootstrapping methods are sup-
ported and selected with -bs-method.
(1) b-hist Default: complete histograms are considered as independent data points, and the bootstrap is
carried out by assigning random weights to the histograms (”Bayesian bootstrap”). Note that each point
along the reaction coordinate must be covered by multiple independent histograms (e.g. 10 histograms),
otherwise the statistical error is underestimated.
(2) hist Complete histograms are considered as independent data points. For each bootstrap, N histograms
are randomly chosen from the N given histograms (allowing duplication, i.e. sampling with replacement).
To avoid gaps without data along the reaction coordinate blocks of histograms (-histbs-block) may
be defined. In that case, the given histograms are divided into blocks and only histograms within each block
are mixed. Note that the histograms within each block must be representative for all possible histograms,
otherwise the statistical error is underestimated.
(3) traj The given histograms are used to generate new random trajectories, such that the generated data
points are distributed according the given histograms and properly autocorrelated. The autocorrelation time
(ACT) for each window must be known, so use -ac or provide the ACT with -iiact. If the ACT of all
windows are identical (and known), you can also provide them with -bs-tau. Note that this method may
severely underestimate the error in case of limited sampling, that is if individual histograms do not represent
the complete phase space at the respective positions.
(4) traj-gauss The same as method traj, but the trajectories are not bootstrapped from the umbrella
histograms but from Gaussians with the average and width of the umbrella histograms. That method yields
similar error estimates like method traj.
Bootstrapping output:
-bsres Average profile and standard deviations
-bsprof All bootstrapping profiles
With -vbs (verbose bootstrapping), the histograms of each bootstrap are written, and, with bootstrap
method traj, the cumulative distribution functions of the histograms.
Files
-ixpullx-files.dat Input, Opt. Generic data file
-ifpullf-files.dat Input, Opt. Generic data file
-it tpr-files.dat Input, Opt. Generic data file
-ip pdo-files.dat Input, Opt. Generic data file

356 Appendix D. Manual Pages
-o profile.xvg Output xvgr/xmgr file
-hist histo.xvg Output xvgr/xmgr file
-oiact iact.xvg Output, Opt. xvgr/xmgr file
-iiact iact-in.dat Input, Opt. Generic data file
-bsres bsResult.xvg Output, Opt. xvgr/xmgr file
-bsprof bsProfs.xvg Output, Opt. xvgr/xmgr file
-tab umb-pot.dat Input, Opt. Generic data file
Other options
-h bool no Print help info and quit
-version bool no Print version info and quit
-nice int 19 Set the nicelevel
-xvg enum xmgrace xvg plot formatting: xmgrace,xmgr or none
-min real 0Minimum coordinate in profile
-max real 0Maximum coordinate in profile
-auto bool yes Determine min and max automatically
-bins int 200 Number of bins in profile
-temp real 298 Temperature
-tol real 1e-06 Tolerance
-v bool no Verbose mode
-b real 50 First time to analyse (ps)
-e real 1e+20 Last time to analyse (ps)
-dt real 0Analyse only every dt ps
-histonly bool no Write histograms and exit
-boundsonly bool no Determine min and max and exit (with -auto)
-log bool yes Calculate the log of the profile before printing
-unit enum kJ Energy unit in case of log output: kJ,kCal or kT
-zprof0 real 0Define profile to 0.0 at this position (with -log)
-cycl bool no Create cyclic/periodic profile. Assumes min and max are the same point.
-sym bool no Symmetrize profile around z=0
-ac bool no Calculate integrated autocorrelation times and use in wham
-acsig real 0Smooth autocorrelation times along reaction coordinate with Gaussian of
this σ
-ac-trestart real 1When computing autocorrelation functions, restart computing every ..
(ps)
-nBootstrap int 0nr of bootstraps to estimate statistical uncertainty (e.g., 200)
-bs-method enum b-hist Bootstrap method: b-hist,hist,traj or traj-gauss
-bs-tau real 0Autocorrelation time (ACT) assumed for all histograms. Use option -ac
if ACT is unknown.
-bs-seed int -1 Seed for bootstrapping. (-1 = use time)
-histbs-block int 8When mixing histograms only mix within blocks of -histbs-block.
-vbs bool no Verbose bootstrapping. Print the CDFs and a histogram file for each boot-
strap.
D.83 g wheel
g_wheel plots a helical wheel representation of your sequence. The input sequence is in the .dat file
where the first line contains the number of residues and each consecutive line contains a residue name.
Files
-f nnnice.dat Input Generic data file
-o plot.eps Output Encapsulated PostScript (tm) file

D.84. g x2top 357
Other options
-h bool no Print help info and quit
-version bool no Print version info and quit
-nice int 19 Set the nicelevel
-r0 int 1The first residue number in the sequence
-rot0 real 0Rotate around an angle initially (90 degrees makes sense)
-T string Plot a title in the center of the wheel (must be shorter than 10 characters,
or it will overwrite the wheel)
-nn bool yes Toggle numbers
D.84 g x2top
g_x2top generates a primitive topology from a coordinate file. The program assumes all hydrogens are
present when defining the hybridization from the atom name and the number of bonds. The program can
also make an .rtp entry, which you can then add to the .rtp database.
When -param is set, equilibrium distances and angles and force constants will be printed in the topology
for all interactions. The equilibrium distances and angles are taken from the input coordinates, the force
constant are set with command line options. The force fields somewhat supported currently are:
G53a5 GROMOS96 53a5 Forcefield (official distribution)
oplsaa OPLS-AA/L all-atom force field (2001 aminoacid dihedrals)
The corresponding data files can be found in the library directory with name atomname2type.n2t.
Check Chapter 5 of the manual for more information about file formats. By default, the force field selection
is interactive, but you can use the -ff option to specify one of the short names above on the command line
instead. In that case g_x2top just looks for the corresponding file.
Files
-f conf.gro Input Structure file: gro g96 pdb tpr etc.
-o out.top Output, Opt. Topology file
-r out.rtp Output, Opt. Residue Type file used by pdb2gmx
Other options
-h bool no Print help info and quit
-version bool no Print version info and quit
-nice int 0Set the nicelevel
-ff string oplsaa Force field for your simulation. Type ”select” for interactive selection.
-v bool no Generate verbose output in the top file.
-nexcl int 3Number of exclusions
-H14 bool yes Use 3rd neighbour interactions for hydrogen atoms
-alldih bool no Generate all proper dihedrals
-remdih bool no Remove dihedrals on the same bond as an improper
-pairs bool yes Output 1-4 interactions (pairs) in topology file
-name string ICE Name of your molecule
-pbc bool yes Use periodic boundary conditions.
-pdbq bool no Use the B-factor supplied in a .pdb file for the atomic charges
-param bool yes Print parameters in the output
-round bool yes Round off measured values
-kb real 400000 Bonded force constant (kJ/mol/nm2)
-kt real 400 Angle force constant (kJ/mol/rad2)
-kp real 5Dihedral angle force constant (kJ/mol/rad2)

358 Appendix D. Manual Pages
•The atom type selection is primitive. Virtually no chemical knowledge is used
•Periodic boundary conditions screw up the bonding
•No improper dihedrals are generated
•The atoms to atomtype translation table is incomplete (atomname2type.n2t file in the data
directory). Please extend it and send the results back to the GROMACS crew.
D.85 g xrama
g_xrama shows a Ramachandran movie, that is, it shows the Phi/Psi angles as a function of time in an
X-Window.
Static Phi/Psi plots for printing can be made with g_rama.
Some of the more common X command line options can be used:
-bg,-fg change colors, -font fontname, changes the font.
Files
-f traj.xtc Input Trajectory: xtc trr trj gro g96 pdb cpt
-s topol.tpr Input Run input file: tpr tpb tpa
Other options
-h bool no Print help info and quit
-version bool no Print version info and quit
-nice int 0Set the nicelevel
-b time 0First frame (ps) to read from trajectory
-e time 0Last frame (ps) to read from trajectory
-dt time 0Only use frame when t MOD dt = first time (ps)
D.86 make edi
make_edi generates an essential dynamics (ED) sampling input file to be used with mdrun based on
eigenvectors of a covariance matrix (g_covar) or from a normal modes analysis (g_nmeig). ED sam-
pling can be used to manipulate the position along collective coordinates (eigenvectors) of (biological)
macromolecules during a simulation. Particularly, it may be used to enhance the sampling efficiency of
MD simulations by stimulating the system to explore new regions along these collective coordinates. A
number of different algorithms are implemented to drive the system along the eigenvectors (-linfix,
-linacc,-radfix,-radacc,-radcon), to keep the position along a certain (set of) coordinate(s)
fixed (-linfix), or to only monitor the projections of the positions onto these coordinates (-mon).
References:
A. Amadei, A.B.M. Linssen, B.L. de Groot, D.M.F. van Aalten and H.J.C. Berendsen; An efficient method
for sampling the essential subspace of proteins., J. Biomol. Struct. Dyn. 13:615-626 (1996)
B.L. de Groot, A. Amadei, D.M.F. van Aalten and H.J.C. Berendsen; Towards an exhaustive sampling of
the configurational spaces of the two forms of the peptide hormone guanylin, J. Biomol. Struct. Dyn. 13 :
741-751 (1996)
B.L. de Groot, A.Amadei, R.M. Scheek, N.A.J. van Nuland and H.J.C. Berendsen; An extended sampling
of the configurational space of HPr from E. coli Proteins: Struct. Funct. Gen. 26: 314-322 (1996)
You will be prompted for one or more index groups that correspond to the eigenvectors, reference structure,
target positions, etc.

D.86. make edi 359
-mon: monitor projections of the coordinates onto selected eigenvectors.
-linfix: perform fixed-step linear expansion along selected eigenvectors.
-linacc: perform acceptance linear expansion along selected eigenvectors. (steps in the desired direc-
tions will be accepted, others will be rejected).
-radfix: perform fixed-step radius expansion along selected eigenvectors.
-radacc: perform acceptance radius expansion along selected eigenvectors. (steps in the desired direction
will be accepted, others will be rejected). Note: by default the starting MD structure will be taken as origin
of the first expansion cycle for radius expansion. If -ori is specified, you will be able to read in a structure
file that defines an external origin.
-radcon: perform acceptance radius contraction along selected eigenvectors towards a target structure
specified with -tar.
NOTE: each eigenvector can be selected only once.
-outfrq: frequency (in steps) of writing out projections etc. to .xvg file
-slope: minimal slope in acceptance radius expansion. A new expansion cycle will be started if the
spontaneous increase of the radius (in nm/step) is less than the value specified.
-maxedsteps: maximum number of steps per cycle in radius expansion before a new cycle is started.
Note on the parallel implementation: since ED sampling is a ’global’ thing (collective coordinates etc.), at
least on the ’protein’ side, ED sampling is not very parallel-friendly from an implementation point of view.
Because parallel ED requires some extra communication, expect the performance to be lower as in a free
MD simulation, especially on a large number of nodes and/or when the ED group contains a lot of atoms.
Please also note that if your ED group contains more than a single protein, then the .tpr file must contain
the correct PBC representation of the ED group. Take a look on the initial RMSD from the reference
structure, which is printed out at the start of the simulation; if this is much higher than expected, one of the
ED molecules might be shifted by a box vector.
All ED-related output of mdrun (specify with -eo) is written to a .xvg file as a function of time in
intervals of OUTFRQ steps.
Note that you can impose multiple ED constraints and flooding potentials in a single simulation (on different
molecules) if several .edi files were concatenated first. The constraints are applied in the order they appear
in the .edi file. Depending on what was specified in the .edi input file, the output file contains for each
ED dataset
*the RMSD of the fitted molecule to the reference structure (for atoms involved in fitting prior to calculat-
ing the ED constraints)
*projections of the positions onto selected eigenvectors
FLOODING:
with -flood, you can specify which eigenvectors are used to compute a flooding potential, which will lead
to extra forces expelling the structure out of the region described by the covariance matrix. If you switch
-restrain the potential is inverted and the structure is kept in that region.
The origin is normally the average structure stored in the eigvec.trr file. It can be changed with -ori
to an arbitrary position in configuration space. With -tau,-deltaF0, and -Eflnull you control the
flooding behaviour. Efl is the flooding strength, it is updated according to the rule of adaptive flooding. Tau
is the time constant of adaptive flooding, high τmeans slow adaption (i.e. growth). DeltaF0 is the flooding
strength you want to reach after tau ps of simulation. To use constant Efl set -tau to zero.
-alpha is a fudge parameter to control the width of the flooding potential. A value of 2 has been found
to give good results for most standard cases in flooding of proteins. αbasically accounts for incomplete

360 Appendix D. Manual Pages
sampling, if you sampled further the width of the ensemble would increase, this is mimicked by α > 1. For
restraining, α < 1 can give you smaller width in the restraining potential.
RESTART and FLOODING: If you want to restart a crashed flooding simulation please find the values
deltaF and Efl in the output file and manually put them into the .edi file under DELTA F0 and EFL -
NULL.
Files
-f eigenvec.trr Input Full precision trajectory: trr trj cpt
-eig eigenval.xvg Input, Opt. xvgr/xmgr file
-s topol.tpr Input Structure+mass(db): tpr tpb tpa gro g96 pdb
-n index.ndx Input, Opt. Index file
-tar target.gro Input, Opt. Structure file: gro g96 pdb tpr etc.
-ori origin.gro Input, Opt. Structure file: gro g96 pdb tpr etc.
-o sam.edi Output ED sampling input
Other options
-h bool no Print help info and quit
-version bool no Print version info and quit
-nice int 0Set the nicelevel
-xvg enum xmgrace xvg plot formatting: xmgrace,xmgr or none
-mon string Indices of eigenvectors for projections of x (e.g. 1,2-5,9) or 1-100:10
means 1 11 21 31 ... 91
-linfix string Indices of eigenvectors for fixed increment linear sampling
-linacc string Indices of eigenvectors for acceptance linear sampling
-radfix string Indices of eigenvectors for fixed increment radius expansion
-radacc string Indices of eigenvectors for acceptance radius expansion
-radcon string Indices of eigenvectors for acceptance radius contraction
-flood string Indices of eigenvectors for flooding
-outfrq int 100 Freqency (in steps) of writing output in .xvg file
-slope real 0Minimal slope in acceptance radius expansion
-linstep string Stepsizes (nm/step) for fixed increment linear sampling (put in quotes!
”1.0 2.3 5.1 -3.1”)
-accdir string Directions for acceptance linear sampling - only sign counts! (put in
quotes! ”-1 +1 -1.1”)
-radstep real 0Stepsize (nm/step) for fixed increment radius expansion
-maxedsteps int 0Maximum number of steps per cycle
-eqsteps int 0Number of steps to run without any perturbations
-deltaF0 real 150 Target destabilization energy for flooding
-deltaF real 0Start deltaF with this parameter - default 0, nonzero values only needed
for restart
-tau real 0.1 Coupling constant for adaption of flooding strength according to deltaF0,
0 = infinity i.e. constant flooding strength
-Eflnull real 0The starting value of the flooding strength. The flooding strength is up-
dated according to the adaptive flooding scheme. For a constant flooding
strength use -tau 0.
-T real 300 T is temperature, the value is needed if you want to do flooding
-alpha real 1Scale width of gaussian flooding potential with alpha2
-restrain bool no Use the flooding potential with inverted sign ->effects as quasiharmonic
restraining potential
-hessian bool no The eigenvectors and eigenvalues are from a Hessian matrix
-harmonic bool no The eigenvalues are interpreted as spring constant
-constF string Constant force flooding: manually set the forces for the eigenvectors se-
lected with -flood (put in quotes! ”1.0 2.3 5.1 -3.1”). No other flooding
parameters are needed when specifying the forces directly.

D.87. make ndx 361
D.87 make ndx
Index groups are necessary for almost every gromacs program. All these programs can generate default
index groups. You ONLY have to use make_ndx when you need SPECIAL index groups. There is a
default index group for the whole system, 9 default index groups for proteins, and a default index group is
generated for every other residue name.
When no index file is supplied, also make_ndx will generate the default groups. With the index editor you
can select on atom, residue and chain names and numbers. When a run input file is supplied you can also
select on atom type. You can use NOT, AND and OR, you can split groups into chains, residues or atoms.
You can delete and rename groups.
The atom numbering in the editor and the index file starts at 1.
Files
-f conf.gro Input, Opt. Structure file: gro g96 pdb tpr etc.
-n index.ndx Input, Opt., Mult.Index file
-o index.ndx Output Index file
Other options
-h bool no Print help info and quit
-version bool no Print version info and quit
-nice int 0Set the nicelevel
-natoms int 0set number of atoms (default: read from coordinate or index file)
D.88 mdrun
The mdrun program is the main computational chemistry engine within GROMACS. Obviously, it per-
forms Molecular Dynamics simulations, but it can also perform Stochastic Dynamics, Energy Minimiza-
tion, test particle insertion or (re)calculation of energies. Normal mode analysis is another option. In this
case mdrun builds a Hessian matrix from single conformation. For usual Normal Modes-like calcula-
tions, make sure that the structure provided is properly energy-minimized. The generated matrix can be
diagonalized by g_nmeig.
The mdrun program reads the run input file (-s) and distributes the topology over nodes if needed. mdrun
produces at least four output files. A single log file (-g) is written, unless the option -seppot is used,
in which case each node writes a log file. The trajectory file (-o), contains coordinates, velocities and
optionally forces. The structure file (-c) contains the coordinates and velocities of the last step. The energy
file (-e) contains energies, the temperature, pressure, etc, a lot of these things are also printed in the log
file. Optionally coordinates can be written to a compressed trajectory file (-x).
The option -dhdl is only used when free energy calculation is turned on.
A simulation can be run in parallel using two different parallelization schemes: MPI parallelization and/or
OpenMP thread parallelization. The MPI parallelization uses multiple processes when mdrun is compiled
with a normal MPI library or threads when mdrun is compiled with the GROMACS built-in thread-MPI li-
brary. OpenMP threads are supported when mdrun is compiled with OpenMP. Full OpenMP support is only
available with the Verlet cut-off scheme, with the (older) group scheme only PME-only processes can use
OpenMP parallelization. In all cases mdrun will by default try to use all the available hardware resources.
With a normal MPI library only the options -ntomp (with the Verlet cut-off scheme) and -ntomp_-
pme, for PME-only processes, can be used to control the number of threads. With thread-MPI there are
additional options -nt, which sets the total number of threads, and -ntmpi, which sets the number of
thread-MPI threads. Note that using combined MPI+OpenMP parallelization is almost always slower than
single parallelization, except at the scaling limit, where especially OpenMP parallelization of PME reduces

362 Appendix D. Manual Pages
the communication cost. OpenMP-only parallelization is much faster than MPI-only parallelization on a
single CPU(-die). Since we currently don’t have proper hardware topology detection, mdrun compiled
with thread-MPI will only automatically use OpenMP-only parallelization when you use up to 4 threads,
up to 12 threads with Intel Nehalem/Westmere, or up to 16 threads with Intel Sandy Bridge or newer CPUs.
Otherwise MPI-only parallelization is used (except with GPUs, see below).
To quickly test the performance of the new Verlet cut-off scheme with old .tpr files, either on CPUs or
CPUs+GPUs, you can use the -testverlet option. This should not be used for production, since it
can slightly modify potentials and it will remove charge groups making analysis difficult, as the .tpr
file will still contain charge groups. For production simulations it is highly recommended to specify
cutoff-scheme = Verlet in the .mdp file.
With GPUs (only supported with the Verlet cut-off scheme), the number of GPUs should match the number
of MPI processes or MPI threads, excluding PME-only processes/threads. With thread-MPI, unless set on
the command line, the number of MPI threads will automatically be set to the number of GPUs detected.
To use a subset of the available GPUs, or to manually provide a mapping of GPUs to PP ranks, you can
use the -gpu_id option. The argument of -gpu_id is a string of digits (without delimiter) representing
device id-s of the GPUs to be used. For example, ”02” specifies using GPUs 0 and 2 in the first and second
PP ranks per compute node respectively. To select different sets of GPU-s on different nodes of a compute
cluster, use the GMX_GPU_ID environment variable instead. The format for GMX_GPU_ID is identical to
-gpu_id, with the difference that an environment variable can have different values on different compute
nodes. Multiple MPI ranks on each node can share GPUs. This is accomplished by specifying the id(s) of
the GPU(s) multiple times, e.g. ”0011” for four ranks sharing two GPUs in this node. This works within a
single simulation, or a multi-simulation, with any form of MPI.
When using PME with separate PME nodes or with a GPU, the two major compute tasks, the non-bonded
force calculation and the PME calculation run on different compute resources. If this load is not balanced,
some of the resources will be idle part of time. With the Verlet cut-off scheme this load is automatically
balanced when the PME load is too high (but not when it is too low). This is done by scaling the Coulomb
cut-off and PME grid spacing by the same amount. In the first few hundred steps different settings are tried
and the fastest is chosen for the rest of the simulation. This does not affect the accuracy of the results, but it
does affect the decomposition of the Coulomb energy into particle and mesh contributions. The auto-tuning
can be turned off with the option -notunepme.
mdrun pins (sets affinity of) threads to specific cores, when all (logical) cores on a compute node are used
by mdrun, even when no multi-threading is used, as this usually results in significantly better performance.
If the queuing systems or the OpenMP library pinned threads, we honor this and don’t pin again, even
though the layout may be sub-optimal. If you want to have mdrun override an already set thread affinity
or pin threads when using less cores, use -pin on. With SMT (simultaneous multithreading), e.g. Intel
Hyper-Threading, there are multiple logical cores per physical core. The option -pinstride sets the
stride in logical cores for pinning consecutive threads. Without SMT, 1 is usually the best choice. With
Intel Hyper-Threading 2 is best when using half or less of the logical cores, 1 otherwise. The default value
of 0 do exactly that: it minimizes the threads per logical core, to optimize performance. If you want to run
multiple mdrun jobs on the same physical node,you should set -pinstride to 1 when using all logical
cores. When running multiple mdrun (or other) simulations on the same physical node, some simulations
need to start pinning from a non-zero core to avoid overloading cores; with -pinoffset you can specify
the offset in logical cores for pinning.
When mdrun is started using MPI with more than 1 process or with thread-MPI with more than 1 thread,
MPI parallelization is used. By default domain decomposition is used, unless the -pd option is set, which
selects particle decomposition.
With domain decomposition, the spatial decomposition can be set with option -dd. By default mdrun
selects a good decomposition. The user only needs to change this when the system is very inhomogeneous.
Dynamic load balancing is set with the option -dlb, which can give a significant performance improve-

D.88. mdrun 363
ment, especially for inhomogeneous systems. The only disadvantage of dynamic load balancing is that runs
are no longer binary reproducible, but in most cases this is not important. By default the dynamic load
balancing is automatically turned on when the measured performance loss due to load imbalance is 5%
or more. At low parallelization these are the only important options for domain decomposition. At high
parallelization the options in the next two sections could be important for increasing the performace.
When PME is used with domain decomposition, separate nodes can be assigned to do only the PME mesh
calculation; this is computationally more efficient starting at about 12 nodes. The number of PME nodes is
set with option -npme, this can not be more than half of the nodes. By default mdrun makes a guess for
the number of PME nodes when the number of nodes is larger than 11 or performance wise not compatible
with the PME grid x dimension. But the user should optimize npme. Performance statistics on this issue
are written at the end of the log file. For good load balancing at high parallelization, the PME grid x and y
dimensions should be divisible by the number of PME nodes (the simulation will run correctly also when
this is not the case).
This section lists all options that affect the domain decomposition.
Option -rdd can be used to set the required maximum distance for inter charge-group bonded interactions.
Communication for two-body bonded interactions below the non-bonded cut-off distance always comes for
free with the non-bonded communication. Atoms beyond the non-bonded cut-off are only communicated
when they have missing bonded interactions; this means that the extra cost is minor and nearly indepedent
of the value of -rdd. With dynamic load balancing option -rdd also sets the lower limit for the domain
decomposition cell sizes. By default -rdd is determined by mdrun based on the initial coordinates. The
chosen value will be a balance between interaction range and communication cost.
When inter charge-group bonded interactions are beyond the bonded cut-off distance, mdrun terminates
with an error message. For pair interactions and tabulated bonds that do not generate exclusions, this check
can be turned off with the option -noddcheck.
When constraints are present, option -rcon influences the cell size limit as well. Atoms connected by
NC constraints, where NC is the LINCS order plus 1, should not be beyond the smallest cell size. A error
message is generated when this happens and the user should change the decomposition or decrease the
LINCS order and increase the number of LINCS iterations. By default mdrun estimates the minimum cell
size required for P-LINCS in a conservative fashion. For high parallelization it can be useful to set the
distance required for P-LINCS with the option -rcon.
The -dds option sets the minimum allowed x, y and/or z scaling of the cells with dynamic load balancing.
mdrun will ensure that the cells can scale down by at least this factor. This option is used for the automated
spatial decomposition (when not using -dd) as well as for determining the number of grid pulses, which in
turn sets the minimum allowed cell size. Under certain circumstances the value of -dds might need to be
adjusted to account for high or low spatial inhomogeneity of the system.
The option -gcom can be used to only do global communication every n steps. This can improve perfor-
mance for highly parallel simulations where this global communication step becomes the bottleneck. For a
global thermostat and/or barostat the temperature and/or pressure will also only be updated every -gcom
steps. By default it is set to the minimum of nstcalcenergy and nstlist.
With -rerun an input trajectory can be given for which forces and energies will be (re)calculated. Neigh-
bor searching will be performed for every frame, unless nstlist is zero (see the .mdp file).
ED (essential dynamics) sampling and/or additional flooding potentials are switched on by using the -ei
flag followed by an .edi file. The .edi file can be produced with the make_edi tool or by using options
in the essdyn menu of the WHAT IF program. mdrun produces a .xvg output file that contains projections
of positions, velocities and forces onto selected eigenvectors.
When user-defined potential functions have been selected in the .mdp file the -table option is used to
pass mdrun a formatted table with potential functions. The file is read from either the current directory or
from the GMXLIB directory. A number of pre-formatted tables are presented in the GMXLIB dir, for 6-8,

364 Appendix D. Manual Pages
6-9, 6-10, 6-11, 6-12 Lennard-Jones potentials with normal Coulomb. When pair interactions are present,
a separate table for pair interaction functions is read using the -tablep option.
When tabulated bonded functions are present in the topology, interaction functions are read using the
-tableb option. For each different tabulated interaction type the table file name is modified in a dif-
ferent way: before the file extension an underscore is appended, then a ’b’ for bonds, an ’a’ for angles or a
’d’ for dihedrals and finally the table number of the interaction type.
The options -px and -pf are used for writing pull COM coordinates and forces when pulling is selected
in the .mdp file.
With -multi or -multidir, multiple systems can be simulated in parallel. As many input files/directories
are required as the number of systems. The -multidir option takes a list of directories (one for each
system) and runs in each of them, using the input/output file names, such as specified by e.g. the -s option,
relative to these directories. With -multi, the system number is appended to the run input and each output
filename, for instance topol.tpr becomes topol0.tpr,topol1.tpr etc. The number of nodes per
system is the total number of nodes divided by the number of systems. One use of this option is for NMR
refinement: when distance or orientation restraints are present these can be ensemble averaged over all the
systems.
With -replex replica exchange is attempted every given number of steps. The number of replicas is
set with the -multi or -multidir option, described above. All run input files should use a different
coupling temperature, the order of the files is not important. The random seed is set with -reseed. The
velocities are scaled and neighbor searching is performed after every exchange.
Finally some experimental algorithms can be tested when the appropriate options have been given. Cur-
rently under investigation are: polarizability and X-ray bombardments.
The option -membed does what used to be g membed, i.e. embed a protein into a membrane. The data file
should contain the options that where passed to g membed before. The -mn and -mp both apply to this as
well.
The option -pforce is useful when you suspect a simulation crashes due to too large forces. With this
option coordinates and forces of atoms with a force larger than a certain value will be printed to stderr.
Checkpoints containing the complete state of the system are written at regular intervals (option -cpt) to the
file -cpo, unless option -cpt is set to -1. The previous checkpoint is backed up to state_prev.cpt to
make sure that a recent state of the system is always available, even when the simulation is terminated while
writing a checkpoint. With -cpnum all checkpoint files are kept and appended with the step number. A
simulation can be continued by reading the full state from file with option -cpi. This option is intelligent
in the way that if no checkpoint file is found, Gromacs just assumes a normal run and starts from the first
step of the .tpr file. By default the output will be appending to the existing output files. The checkpoint
file contains checksums of all output files, such that you will never loose data when some output files are
modified, corrupt or removed. There are three scenarios with -cpi:
*no files with matching names are present: new output files are written
*all files are present with names and checksums matching those stored in the checkpoint file: files are
appended
*otherwise no files are modified and a fatal error is generated
With -noappend new output files are opened and the simulation part number is added to all output file
names. Note that in all cases the checkpoint file itself is not renamed and will be overwritten, unless its
name does not match the -cpo option.
With checkpointing the output is appended to previously written output files, unless -noappend is used
or none of the previous output files are present (except for the checkpoint file). The integrity of the files to
be appended is verified using checksums which are stored in the checkpoint file. This ensures that output
can not be mixed up or corrupted due to file appending. When only some of the previous output files are

D.88. mdrun 365
present, a fatal error is generated and no old output files are modified and no new output files are opened.
The result with appending will be the same as from a single run. The contents will be binary identical,
unless you use a different number of nodes or dynamic load balancing or the FFT library uses optimizations
through timing.
With option -maxh a simulation is terminated and a checkpoint file is written at the first neighbor search
step where the run time exceeds -maxh*0.99 hours.
When mdrun receives a TERM signal, it will set nsteps to the current step plus one. When mdrun receives
an INT signal (e.g. when ctrl+C is pressed), it will stop after the next neighbor search step (with nstlist=0
at the next step). In both cases all the usual output will be written to file. When running with MPI, a signal
to one of the mdrun processes is sufficient, this signal should not be sent to mpirun or the mdrun process
that is the parent of the others.
When mdrun is started with MPI, it does not run niced by default.
Files
-s topol.tpr Input Run input file: tpr tpb tpa
-o traj.trr Output Full precision trajectory: trr trj cpt
-x traj.xtc Output, Opt. Compressed trajectory (portable xdr format)
-cpi state.cpt Input, Opt. Checkpoint file
-cpo state.cpt Output, Opt. Checkpoint file
-c confout.gro Output Structure file: gro g96 pdb etc.
-e ener.edr Output Energy file
-g md.log Output Log file
-dhdl dhdl.xvg Output, Opt. xvgr/xmgr file
-field field.xvg Output, Opt. xvgr/xmgr file
-table table.xvg Input, Opt. xvgr/xmgr file
-tabletf tabletf.xvg Input, Opt. xvgr/xmgr file
-tablep tablep.xvg Input, Opt. xvgr/xmgr file
-tableb table.xvg Input, Opt. xvgr/xmgr file
-rerun rerun.xtc Input, Opt. Trajectory: xtc trr trj gro g96 pdb cpt
-tpi tpi.xvg Output, Opt. xvgr/xmgr file
-tpid tpidist.xvg Output, Opt. xvgr/xmgr file
-ei sam.edi Input, Opt. ED sampling input
-eo edsam.xvg Output, Opt. xvgr/xmgr file
-j wham.gct Input, Opt. General coupling stuff
-jo bam.gct Output, Opt. General coupling stuff
-ffout gct.xvg Output, Opt. xvgr/xmgr file
-devout deviatie.xvg Output, Opt. xvgr/xmgr file
-runav runaver.xvg Output, Opt. xvgr/xmgr file
-px pullx.xvg Output, Opt. xvgr/xmgr file
-pf pullf.xvg Output, Opt. xvgr/xmgr file
-ro rotation.xvg Output, Opt. xvgr/xmgr file
-ra rotangles.log Output, Opt. Log file
-rs rotslabs.log Output, Opt. Log file
-rt rottorque.log Output, Opt. Log file
-mtx nm.mtx Output, Opt. Hessian matrix
-dn dipole.ndx Output, Opt. Index file
-multidir rundir Input, Opt., Mult.Run directory
-membed membed.dat Input, Opt. Generic data file
-mp membed.top Input, Opt. Topology file
-mn membed.ndx Input, Opt. Index file
Other options

366 Appendix D. Manual Pages
-h bool no Print help info and quit
-version bool no Print version info and quit
-nice int 0Set the nicelevel
-deffnm string Set the default filename for all file options
-xvg enum xmgrace xvg plot formatting: xmgrace,xmgr or none
-pd bool no Use particle decompostion
-dd vector 000 Domain decomposition grid, 0 is optimize
-ddorder enum
interleave DD node order: interleave,pp_pme or cartesian
-npme int -1 Number of separate nodes to be used for PME, -1 is guess
-nt int 0Total number of threads to start (0 is guess)
-ntmpi int 0Number of thread-MPI threads to start (0 is guess)
-ntomp int 0Number of OpenMP threads per MPI process/thread to start (0 is guess)
-ntomp_pme int 0Number of OpenMP threads per MPI process/thread to start (0 is -ntomp)
-pin enum auto Fix threads (or processes) to specific cores: auto,on or off
-pinoffset int 0The starting logical core number for pinning to cores; used to avoid pin-
ning threads from different mdrun instances to the same core
-pinstride int 0Pinning distance in logical cores for threads, use 0 to minimize the num-
ber of threads per physical core
-gpu_id string List of GPU device id-s to use, specifies the per-node PP rank to GPU
mapping
-ddcheck bool yes Check for all bonded interactions with DD
-rdd real 0The maximum distance for bonded interactions with DD (nm), 0 is deter-
mine from initial coordinates
-rcon real 0Maximum distance for P-LINCS (nm), 0 is estimate
-dlb enum auto Dynamic load balancing (with DD): auto,no or yes
-dds real 0.8 Minimum allowed dlb scaling of the DD cell size
-gcom int -1 Global communication frequency
-nb enum auto Calculate non-bonded interactions on: auto,cpu,gpu or gpu_cpu
-tunepme bool yes Optimize PME load between PP/PME nodes or GPU/CPU
-testverlet bool no Test the Verlet non-bonded scheme
-v bool no Be loud and noisy
-compact bool yes Write a compact log file
-seppot bool no Write separate V and dVdl terms for each interaction type and node to
the log file(s)
-pforce real -1 Print all forces larger than this (kJ/mol nm)
-reprod bool no Try to avoid optimizations that affect binary reproducibility
-cpt real 15 Checkpoint interval (minutes)
-cpnum bool no Keep and number checkpoint files
-append bool yes Append to previous output files when continuing from checkpoint instead
of adding the simulation part number to all file names
-nsteps step -2 Run this number of steps, overrides .mdp file option
-maxh real -1 Terminate after 0.99 times this time (hours)
-multi int 0Do multiple simulations in parallel
-replex int 0Attempt replica exchange periodically with this period (steps)
-nex int 0Number of random exchanges to carry out each exchange interval (N3
is one suggestion). -nex zero or not specified gives neighbor replica ex-
change.
-reseed int -1 Seed for replica exchange, -1 is generate a seed
-ionize bool no Do a simulation including the effect of an X-Ray bombardment on your
system

D.89. mk angndx 367
D.89 mk angndx
mk_angndx makes an index file for calculation of angle distributions etc. It uses a run input file (.tpx)
for the definitions of the angles, dihedrals etc.
Files
-s topol.tpr Input Run input file: tpr tpb tpa
-n angle.ndx Output Index file
Other options
-h bool no Print help info and quit
-version bool no Print version info and quit
-nice int 0Set the nicelevel
-type enum angle Type of angle: angle,dihedral,improper or
ryckaert-bellemans
-hyd bool yes Include angles with atoms with mass <1.5
-hq real -1 Ignore angles with atoms with mass <1.5 and magnitude of their charge
less than this value
D.90 ngmx
ngmx is the GROMACS trajectory viewer. This program reads a trajectory file, a run input file and an index
file and plots a 3D structure of your molecule on your standard X Window screen. No need for a high end
graphics workstation, it even works on Monochrome screens.
The following features have been implemented: 3D view, rotation, translation and scaling of your molecule(s),
labels on atoms, animation of trajectories, hardcopy in PostScript format, user defined atom-filters runs on
MIT-X (real X), open windows and motif, user friendly menus, option to remove periodicity, option to show
computational box.
Some of the more common X command line options can be used: -bg,-fg change colors, -font
fontname changes the font.
Files
-f traj.xtc Input Trajectory: xtc trr trj gro g96 pdb cpt
-s topol.tpr Input Run input file: tpr tpb tpa
-n index.ndx Input, Opt. Index file
Other options
-h bool no Print help info and quit
-version bool no Print version info and quit
-nice int 0Set the nicelevel
-b time 0First frame (ps) to read from trajectory
-e time 0Last frame (ps) to read from trajectory
-dt time 0Only use frame when t MOD dt = first time (ps)
•Balls option does not work
•Some times dumps core without a good reason

368 Appendix D. Manual Pages
D.91 pdb2gmx
This program reads a .pdb (or .gro) file, reads some database files, adds hydrogens to the molecules
and generates coordinates in GROMACS (GROMOS), or optionally .pdb, format and a topology in GRO-
MACS format. These files can subsequently be processed to generate a run input file.
pdb2gmx will search for force fields by looking for a forcefield.itp file in subdirectories <forcefield>.ff
of the current working directory and of the GROMACS library directory as inferred from the path of the
binary or the GMXLIB environment variable. By default the forcefield selection is interactive, but you can
use the -ff option to specify one of the short names in the list on the command line instead. In that case
pdb2gmx just looks for the corresponding <forcefield>.ff directory.
After choosing a force field, all files will be read only from the corresponding force field directory. If you
want to modify or add a residue types, you can copy the force field directory from the GROMACS library
directory to your current working directory. If you want to add new protein residue types, you will need
to modify residuetypes.dat in the library directory or copy the whole library directory to a local
directory and set the environment variable GMXLIB to the name of that directory. Check Chapter 5 of the
manual for more information about file formats.
Note that a .pdb file is nothing more than a file format, and it need not necessarily contain a protein
structure. Every kind of molecule for which there is support in the database can be converted. If there is no
support in the database, you can add it yourself.
The program has limited intelligence, it reads a number of database files, that allow it to make special
bonds (Cys-Cys, Heme-His, etc.), if necessary this can be done manually. The program can prompt the
user to select which kind of LYS, ASP, GLU, CYS or HIS residue is desired. For Lys the choice is between
neutral (two protons on NZ) or protonated (three protons, default), for Asp and Glu unprotonated (default)
or protonated, for His the proton can be either on ND1, on NE2 or on both. By default these selections are
done automatically. For His, this is based on an optimal hydrogen bonding conformation. Hydrogen bonds
are defined based on a simple geometric criterion, specified by the maximum hydrogen-donor-acceptor
angle and donor-acceptor distance, which are set by -angle and -dist respectively.
The protonation state of N- and C-termini can be chosen interactively with the -ter flag. Default termini
are ionized (NH3+ and COO-), respectively. Some force fields support zwitterionic forms for chains of one
residue, but for polypeptides these options should NOT be selected. The AMBER force fields have unique
forms for the terminal residues, and these are incompatible with the -ter mechanism. You need to prefix
your N- or C-terminal residue names with ”N” or ”C” respectively to use these forms, making sure you
preserve the format of the coordinate file. Alternatively, use named terminating residues (e.g. ACE, NME).
The separation of chains is not entirely trivial since the markup in user-generated PDB files frequently varies
and sometimes it is desirable to merge entries across a TER record, for instance if you want a disulfide
bridge or distance restraints between two protein chains or if you have a HEME group bound to a protein.
In such cases multiple chains should be contained in a single moleculetype definition. To handle this,
pdb2gmx uses two separate options. First, -chainsep allows you to choose when a new chemical chain
should start, and termini added when applicable. This can be done based on the existence of TER records,
when the chain id changes, or combinations of either or both of these. You can also do the selection fully
interactively. In addition, there is a -merge option that controls how multiple chains are merged into
one moleculetype, after adding all the chemical termini (or not). This can be turned off (no merging), all
non-water chains can be merged into a single molecule, or the selection can be done interactively.
pdb2gmx will also check the occupancy field of the .pdb file. If any of the occupancies are not one,
indicating that the atom is not resolved well in the structure, a warning message is issued. When a .pdb
file does not originate from an X-ray structure determination all occupancy fields may be zero. Either way,
it is up to the user to verify the correctness of the input data (read the article!).
During processing the atoms will be reordered according to GROMACS conventions. With -n an index

D.91. pdb2gmx 369
file can be generated that contains one group reordered in the same way. This allows you to convert a
GROMOS trajectory and coordinate file to GROMOS. There is one limitation: reordering is done after the
hydrogens are stripped from the input and before new hydrogens are added. This means that you should not
use -ignh.
The .gro and .g96 file formats do not support chain identifiers. Therefore it is useful to enter a .pdb
file name at the -o option when you want to convert a multi-chain .pdb file.
The option -vsite removes hydrogen and fast improper dihedral motions. Angular and out-of-plane mo-
tions can be removed by changing hydrogens into virtual sites and fixing angles, which fixes their position
relative to neighboring atoms. Additionally, all atoms in the aromatic rings of the standard amino acids
(i.e. PHE, TRP, TYR and HIS) can be converted into virtual sites, eliminating the fast improper dihedral
fluctuations in these rings. Note that in this case all other hydrogen atoms are also converted to virtual sites.
The mass of all atoms that are converted into virtual sites, is added to the heavy atoms.
Also slowing down of dihedral motion can be done with -heavyh done by increasing the hydrogen-mass
by a factor of 4. This is also done for water hydrogens to slow down the rotational motion of water. The
increase in mass of the hydrogens is subtracted from the bonded (heavy) atom so that the total mass of the
system remains the same.
Files
-f eiwit.pdb Input Structure file: gro g96 pdb tpr etc.
-o conf.gro Output Structure file: gro g96 pdb etc.
-p topol.top Output Topology file
-i posre.itp Output Include file for topology
-n clean.ndx Output, Opt. Index file
-q clean.pdb Output, Opt. Structure file: gro g96 pdb etc.
Other options
-h bool no Print help info and quit
-version bool no Print version info and quit
-nice int 0Set the nicelevel
-chainsep enum
id_or_ter Condition in PDB files when a new chain should be started (adding ter-
mini): id_or_ter,id_and_ter,ter,id or interactive
-merge enum no Merge multiple chains into a single [moleculetype]: no,all or
interactive
-ff string select Force field, interactive by default. Use -h for information.
-water enum select Water model to use: select,none,spc,spce,tip3p,tip4p or
tip5p
-inter bool no Set the next 8 options to interactive
-ss bool no Interactive SS bridge selection
-ter bool no Interactive termini selection, instead of charged (default)
-lys bool no Interactive lysine selection, instead of charged
-arg bool no Interactive arginine selection, instead of charged
-asp bool no Interactive aspartic acid selection, instead of charged
-glu bool no Interactive glutamic acid selection, instead of charged
-gln bool no Interactive glutamine selection, instead of neutral
-his bool no Interactive histidine selection, instead of checking H-bonds
-angle real 135 Minimum hydrogen-donor-acceptor angle for a H-bond (degrees)
-dist real 0.3 Maximum donor-acceptor distance for a H-bond (nm)
-una bool no Select aromatic rings with united CH atoms on phenylalanine, trypto-
phane and tyrosine
-ignh bool no Ignore hydrogen atoms that are in the coordinate file
-missing bool no Continue when atoms are missing, dangerous
-v bool no Be slightly more verbose in messages

370 Appendix D. Manual Pages
-posrefc real 1000 Force constant for position restraints
-vsite enum none Convert atoms to virtual sites: none,hydrogens or aromatics
-heavyh bool no Make hydrogen atoms heavy
-deuterate bool no Change the mass of hydrogens to 2 amu
-chargegrp bool yes Use charge groups in the .rtp file
-cmap bool yes Use cmap torsions (if enabled in the .rtp file)
-renum bool no Renumber the residues consecutively in the output
-rtpres bool no Use .rtp entry names as residue names
D.92 tpbconv
tpbconv can edit run input files in four ways.
1. by modifying the number of steps in a run input file with options -extend,-until or -nsteps
(nsteps=-1 means unlimited number of steps)
2. (OBSOLETE) by creating a run input file for a continuation run when your simulation has crashed
due to e.g. a full disk, or by making a continuation run input file. This option is obsolete, since mdrun
now writes and reads checkpoint files. Note that a frame with coordinates and velocities is needed. When
pressure and/or Nose-Hoover temperature coupling is used an energy file can be supplied to get an exact
continuation of the original run.
3. by creating a .tpx file for a subset of your original tpx file, which is useful when you want to remove the
solvent from your .tpx file, or when you want to make e.g. a pure Cα.tpx file. Note that you may need
to use -nsteps -1 (or similar) to get this to work. WARNING: this .tpx file is not fully functional.
4. by setting the charges of a specified group to zero. This is useful when doing free energy estimates using
the LIE (Linear Interaction Energy) method.
Files
-s topol.tpr Input Run input file: tpr tpb tpa
-f traj.trr Input, Opt. Full precision trajectory: trr trj cpt
-e ener.edr Input, Opt. Energy file
-n index.ndx Input, Opt. Index file
-o tpxout.tpr Output Run input file: tpr tpb tpa
Other options
-h bool no Print help info and quit
-version bool no Print version info and quit
-nice int 0Set the nicelevel
-extend real 0Extend runtime by this amount (ps)
-until real 0Extend runtime until this ending time (ps)
-nsteps int 0Change the number of steps
-time real -1 Continue from frame at this time (ps) instead of the last frame
-zeroq bool no Set the charges of a group (from the index) to zero
-vel bool yes Require velocities from trajectory
-cont bool yes For exact continuation, the constraints should not be applied before the
first step
-init_fep_state int 0fep state to initialize from
D.93 trjcat
trjcat concatenates several input trajectory files in sorted order. In case of double time frames the one in
the later file is used. By specifying -settime you will be asked for the start time of each file. The input

D.94. trjconv 371
files are taken from the command line, such that a command like trjcat -f *.trr -o fixed.trr
should do the trick. Using -cat, you can simply paste several files together without removal of frames
with identical time stamps.
One important option is inferred when the output file is amongst the input files. In that case that particular
file will be appended to which implies you do not need to store double the amount of data. Obviously the
file to append to has to be the one with lowest starting time since one can only append at the end of a file.
If the -demux option is given, the N trajectories that are read, are written in another order as specified in
the .xvg file. The .xvg file should contain something like:
0012345
2102354
Where the first number is the time, and subsequent numbers point to trajectory indices. The frames corre-
sponding to the numbers present at the first line are collected into the output trajectory. If the number of
frames in the trajectory does not match that in the .xvg file then the program tries to be smart. Beware.
Files
-f traj.xtc Input, Mult. Trajectory: xtc trr trj gro g96 pdb cpt
-o trajout.xtc Output, Mult. Trajectory: xtc trr trj gro g96 pdb
-n index.ndx Input, Opt. Index file
-demux remd.xvg Input, Opt. xvgr/xmgr file
Other options
-h bool no Print help info and quit
-version bool no Print version info and quit
-nice int 19 Set the nicelevel
-tu enum ps Time unit: fs,ps,ns,us,ms or s
-xvg enum xmgrace xvg plot formatting: xmgrace,xmgr or none
-b time -1 First time to use (ps)
-e time -1 Last time to use (ps)
-dt time 0Only write frame when t MOD dt = first time (ps)
-prec int 3Precision for .xtc and .gro writing in number of decimal places
-vel bool yes Read and write velocities if possible
-settime bool no Change starting time interactively
-sort bool yes Sort trajectory files (not frames)
-keeplast bool no Keep overlapping frames at end of trajectory
-overwrite bool no Overwrite overlapping frames during appending
-cat bool no Do not discard double time frames
D.94 trjconv
trjconv can convert trajectory files in many ways:
1. from one format to another
2. select a subset of atoms
3. change the periodicity representation
4. keep multimeric molecules together
5. center atoms in the box
6. fit atoms to reference structure
7. reduce the number of frames
8. change the timestamps of the frames (-t0 and -timestep)
9. cut the trajectory in small subtrajectories according to information in an index file. This allows subse-
quent analysis of the subtrajectories that could, for example, be the result of a cluster analysis. Use option

372 Appendix D. Manual Pages
-sub. This assumes that the entries in the index file are frame numbers and dumps each group in the index
file to a separate trajectory file.
10. select frames within a certain range of a quantity given in an .xvg file.
The program trjcat is better suited for concatenating multiple trajectory files.
Currently seven formats are supported for input and output: .xtc,.trr,.trj,.gro,.g96,.pdb and
.g87. The file formats are detected from the file extension. The precision of .xtc and .gro output is
taken from the input file for .xtc,.gro and .pdb, and from the -ndec option for other input formats.
The precision is always taken from -ndec, when this option is set. All other formats have fixed precision.
.trr and .trj output can be single or double precision, depending on the precision of the trjconv
binary. Note that velocities are only supported in .trr,.trj,.gro and .g96 files.
Option -app can be used to append output to an existing trajectory file. No checks are performed to ensure
integrity of the resulting combined trajectory file.
Option -sep can be used to write every frame to a separate .gro, .g96 or .pdb file. By default,
all frames all written to one file. .pdb files with all frames concatenated can be viewed with rasmol
-nmrpdb.
It is possible to select part of your trajectory and write it out to a new trajectory file in order to save disk
space, e.g. for leaving out the water from a trajectory of a protein in water. ALWAYS put the original
trajectory on tape! We recommend to use the portable .xtc format for your analysis to save disk space
and to have portable files.
There are two options for fitting the trajectory to a reference either for essential dynamics analysis, etc.
The first option is just plain fitting to a reference structure in the structure file. The second option is a
progressive fit in which the first timeframe is fitted to the reference structure in the structure file to obtain
and each subsequent timeframe is fitted to the previously fitted structure. This way a continuous trajectory is
generated, which might not be the case when using the regular fit method, e.g. when your protein undergoes
large conformational transitions.
Option -pbc sets the type of periodic boundary condition treatment:
*mol puts the center of mass of molecules in the box, and requires a run input file to be supplied with -s.
*res puts the center of mass of residues in the box.
*atom puts all the atoms in the box.
*nojump checks if atoms jump across the box and then puts them back. This has the effect that all
molecules will remain whole (provided they were whole in the initial conformation). Note that this ensures a
continuous trajectory but molecules may diffuse out of the box. The starting configuration for this procedure
is taken from the structure file, if one is supplied, otherwise it is the first frame.
*cluster clusters all the atoms in the selected index such that they are all closest to the center of mass
of the cluster, which is iteratively updated. Note that this will only give meaningful results if you in fact
have a cluster. Luckily that can be checked afterwards using a trajectory viewer. Note also that if your
molecules are broken this will not work either.
The separate option -clustercenter can be used to specify an approximate center for the cluster. This
is useful e.g. if you have two big vesicles, and you want to maintain their relative positions.
*whole only makes broken molecules whole.
Option -ur sets the unit cell representation for options mol,res and atom of -pbc. All three options
give different results for triclinic boxes and identical results for rectangular boxes. rect is the ordinary
brick shape. tric is the triclinic unit cell. compact puts all atoms at the closest distance from the center
of the box. This can be useful for visualizing e.g. truncated octahedra or rhombic dodecahedra. The center
for options tric and compact is tric (see below), unless the option -boxcenter is set differently.
Option -center centers the system in the box. The user can select the group which is used to determine
the geometrical center. Option -boxcenter sets the location of the center of the box for options -pbc
and -center. The center options are: tric: half of the sum of the box vectors, rect: half of the box

D.94. trjconv 373
diagonal, zero: zero. Use option -pbc mol in addition to -center when you want all molecules in
the box after the centering.
It is not always possible to use combinations of -pbc,-fit,-ur and -center to do exactly what you
want in one call to trjconv. Consider using multiple calls, and check out the GROMACS website for
suggestions.
With -dt, it is possible to reduce the number of frames in the output. This option relies on the accuracy
of the times in your input trajectory, so if these are inaccurate use the -timestep option to modify the
time (this can be done simultaneously). For making smooth movies, the program g_filter can reduce
the number of frames while using low-pass frequency filtering, this reduces aliasing of high frequency
motions.
Using -trunc trjconv can truncate .trj in place, i.e. without copying the file. This is useful when a
run has crashed during disk I/O (i.e. full disk), or when two contiguous trajectories must be concatenated
without having double frames.
Option -dump can be used to extract a frame at or near one specific time from your trajectory.
Option -drop reads an .xvg file with times and values. When options -dropunder and/or -dropover
are set, frames with a value below and above the value of the respective options will not be written.
Files
-f traj.xtc Input Trajectory: xtc trr trj gro g96 pdb cpt
-o trajout.xtc Output Trajectory: xtc trr trj gro g96 pdb
-s topol.tpr Input, Opt. Structure+mass(db): tpr tpb tpa gro g96 pdb
-n index.ndx Input, Opt. Index file
-fr frames.ndx Input, Opt. Index file
-sub cluster.ndx Input, Opt. Index file
-drop drop.xvg Input, Opt. xvgr/xmgr file
Other options
-h bool no Print help info and quit
-version bool no Print version info and quit
-nice int 19 Set the nicelevel
-b time 0First frame (ps) to read from trajectory
-e time 0Last frame (ps) to read from trajectory
-tu enum ps Time unit: fs,ps,ns,us,ms or s
-w bool no View output .xvg,.xpm,.eps and .pdb files
-xvg enum xmgrace xvg plot formatting: xmgrace,xmgr or none
-skip int 1Only write every nr-th frame
-dt time 0Only write frame when t MOD dt = first time (ps)
-round bool no Round measurements to nearest picosecond
-dump time -1 Dump frame nearest specified time (ps)
-t0 time 0Starting time (ps) (default: don’t change)
-timestep time 0Change time step between input frames (ps)
-pbc enum none PBC treatment (see help text for full description): none,mol,res,
atom,nojump,cluster or whole
-ur enum rect Unit-cell representation: rect,tric or compact
-center bool no Center atoms in box
-boxcenter enum tric Center for -pbc and -center: tric,rect or zero
-box vector 000 Size for new cubic box (default: read from input)
-clustercenter vector 000 Optional starting point for pbc cluster option
-trans vector 000 All coordinates will be translated by trans. This can advantageously be
combined with -pbc mol -ur compact.
-shift vector 000 All coordinates will be shifted by framenr*shift

374 Appendix D. Manual Pages
-fit enum none Fit molecule to ref structure in the structure file: none,rot+trans,
rotxy+transxy,translation,transxy or progressive
-ndec int 3Precision for .xtc and .gro writing in number of decimal places
-vel bool yes Read and write velocities if possible
-force bool no Read and write forces if possible
-trunc time -1 Truncate input trajectory file after this time (ps)
-exec string Execute command for every output frame with the frame number as ar-
gument
-app bool no Append output
-split time 0Start writing new file when t MOD split = first time (ps)
-sep bool no Write each frame to a separate .gro, .g96 or .pdb file
-nzero int 0If the -sep flag is set, use these many digits for the file numbers and
prepend zeros as needed
-dropunder real 0Drop all frames below this value
-dropover real 0Drop all frames above this value
-conect bool no Add conect records when writing .pdb files. Useful for visualization of
non-standard molecules, e.g. coarse grained ones
D.95 trjorder
trjorder orders molecules according to the smallest distance to atoms in a reference group or on z-
coordinate (with option -z). With distance ordering, it will ask for a group of reference atoms and a group
of molecules. For each frame of the trajectory the selected molecules will be reordered according to the
shortest distance between atom number -da in the molecule and all the atoms in the reference group. The
center of mass of the molecules can be used instead of a reference atom by setting -da to 0. All atoms in
the trajectory are written to the output trajectory.
trjorder can be useful for e.g. analyzing the n waters closest to a protein. In that case the reference
group would be the protein and the group of molecules would consist of all the water atoms. When an index
group of the first n waters is made, the ordered trajectory can be used with any Gromacs program to analyze
the n closest waters.
If the output file is a .pdb file, the distance to the reference target will be stored in the B-factor field in
order to color with e.g. Rasmol.
With option -nshell the number of molecules within a shell of radius -r around the reference group are
printed.
Files
-f traj.xtc Input Trajectory: xtc trr trj gro g96 pdb cpt
-s topol.tpr Input Structure+mass(db): tpr tpb tpa gro g96 pdb
-n index.ndx Input, Opt. Index file
-o ordered.xtc Output, Opt. Trajectory: xtc trr trj gro g96 pdb
-nshell nshell.xvg Output, Opt. xvgr/xmgr file
Other options
-h bool no Print help info and quit
-version bool no Print version info and quit
-nice int 19 Set the nicelevel
-b time 0First frame (ps) to read from trajectory
-e time 0Last frame (ps) to read from trajectory
-dt time 0Only use frame when t MOD dt = first time (ps)
-xvg enum xmgrace xvg plot formatting: xmgrace,xmgr or none

D.96. xpm2ps 375
-na int 3Number of atoms in a molecule
-da int 1Atom used for the distance calculation, 0 is COM
-com bool no Use the distance to the center of mass of the reference group
-r real 0Cutoff used for the distance calculation when computing the number of
molecules in a shell around e.g. a protein
-z bool no Order molecules on z-coordinate
D.96 xpm2ps
xpm2ps makes a beautiful color plot of an XPixelMap file. Labels and axis can be displayed, when they
are supplied in the correct matrix format. Matrix data may be generated by programs such as do_dssp,
g_rms or g_mdmat.
Parameters are set in the .m2p file optionally supplied with -di. Reasonable defaults are provided. Set-
tings for the y-axis default to those for the x-axis. Font names have a defaulting hierarchy: titlefont ->
legendfont; titlefont ->(xfont ->yfont ->ytickfont) ->xtickfont, e.g. setting titlefont sets all fonts,
setting xfont sets yfont, ytickfont and xtickfont.
When no .m2p file is supplied, many settings are taken from command line options. The most important
option is -size, which sets the size of the whole matrix in postscript units. This option can be overridden
with the -bx and -by options (and the corresponding parameters in the .m2p file), which set the size of a
single matrix element.
With -f2 a second matrix file can be supplied. Both matrix files will be read simultaneously and the upper
left half of the first one (-f) is plotted together with the lower right half of the second one (-f2). The
diagonal will contain values from the matrix file selected with -diag. Plotting of the diagonal values
can be suppressed altogether by setting -diag to none. In this case, a new color map will be generated
with a red gradient for negative numbers and a blue for positive. If the color coding and legend labels
of both matrices are identical, only one legend will be displayed, else two separate legends are displayed.
With -combine, an alternative operation can be selected to combine the matrices. The output range is
automatically set to the actual range of the combined matrix. This can be overridden with -cmin and
-cmax.
-title can be set to none to suppress the title, or to ylabel to show the title in the Y-label position
(alongside the y-axis).
With the -rainbow option, dull grayscale matrices can be turned into attractive color pictures.
Merged or rainbowed matrices can be written to an XPixelMap file with the -xpm option.
Files
-f root.xpm Input X PixMap compatible matrix file
-f2 root2.xpm Input, Opt. X PixMap compatible matrix file
-di ps.m2p Input, Opt., Lib.Input file for mat2ps
-do out.m2p Output, Opt. Input file for mat2ps
-o plot.eps Output, Opt. Encapsulated PostScript (tm) file
-xpm root.xpm Output, Opt. X PixMap compatible matrix file
Other options
-h bool no Print help info and quit
-version bool no Print version info and quit
-nice int 0Set the nicelevel
-w bool no View output .xvg,.xpm,.eps and .pdb files
-frame bool yes Display frame, ticks, labels, title and legend
-title enum top Show title at: top,once,ylabel or none

376 Appendix D. Manual Pages
-yonce bool no Show y-label only once
-legend enum both Show legend: both,first,second or none
-diag enum first Diagonal: first,second or none
-size real 400 Horizontal size of the matrix in ps units
-bx real 0Element x-size, overrides -size (also y-size when -by is not set)
-by real 0Element y-size
-rainbow enum no Rainbow colors, convert white to: no,blue or red
-gradient vector 000 Re-scale colormap to a smooth gradient from white 1,1,1 to r,g,b
-skip int 1only write out every nr-th row and column
-zeroline bool no insert line in .xpm matrix where axis label is zero
-legoffset int 0Skip first N colors from .xpm file for the legend
-combine enum halves Combine two matrices: halves,add,sub,mult or div
-cmin real 0Minimum for combination output
-cmax real 0Maximum for combination output
Bibliography
[1] Bekker, H., Berendsen, H. J. C., Dijkstra, E. J., Achterop, S., van Drunen, R., van der
Spoel, D., Sijbers, A., Keegstra, H., Reitsma, B., Renardus, M. K. R. Gromacs: A parallel
computer for molecular dynamics simulations. In Physics Computing 92 (Singapore, 1993).
de Groot, R. A., Nadrchal, J., eds. . World Scientific.
[2] Berendsen, H. J. C., van der Spoel, D., van Drunen, R. GROMACS: A message-passing
parallel molecular dynamics implementation. Comp. Phys. Comm. 91:43–56, 1995.
[3] Lindahl, E., Hess, B., van der Spoel, D. GROMACS 3.0: A package for molecular simula-
tion and trajectory analysis. J. Mol. Mod. 7:306–317, 2001.
[4] van der Spoel, D., Lindahl, E., Hess, B., Groenhof, G., Mark, A. E., Berendsen, H. J. C.
GROMACS: Fast, Flexible and Free. J. Comp. Chem. 26:1701–1718, 2005.
[5] Hess, B., Kutzner, C., van der Spoel, D., Lindahl, E. GROMACS 4: Algorithms for Highly
Efficient, Load-Balanced, and Scalable Molecular Simulation. J. Chem. Theory Comp.
4(3):435–447, 2008.
[6] van Gunsteren, W. F., Berendsen, H. J. C. Computer simulation of molecular dynamics:
Methodology, applications, and perspectives in chemistry. Angew. Chem. Int. Ed. Engl.
29:992–1023, 1990.
[7] Fraaije, J. G. E. M. Dynamic density functional theory for microphase separation kinetics
of block copolymer melts. J. Chem. Phys. 99:9202–9212, 1993.
[8] McQuarrie, D. A. Statistical Mechanics. New York: Harper & Row. 1976.
[9] van Gunsteren, W. F., Berendsen, H. J. C. Algorithms for macromolecular dynamics and
constraint dynamics. Mol. Phys. 34:1311–1327, 1977.
[10] van Gunsteren, W. F., Karplus, M. Effect of constraints on the dynamics of macromolecules.
Macromolecules 15:1528–1544, 1982.
[11] Darden, T., York, D., Pedersen, L. Particle mesh Ewald: An N•log(N) method for Ewald
sums in large systems. J. Chem. Phys. 98:10089–10092, 1993.
[12] Essmann, U., Perera, L., Berkowitz, M. L., Darden, T., Lee, H., Pedersen, L. G. A smooth
particle mesh ewald potential. J. Chem. Phys. 103:8577–8592, 1995.

378 Bibliography
[13] Geman, S., Geman, D. Stochastic relaxation, Gibbs distributions and the Bayesian restora-
tion of images. IEEE Trans. Patt. Anal. Mach. Int. 6:721, 1984.
[14] Nilges, M., Clore, G. M., Gronenborn, A. M. Determination of three-dimensional structures
of proteins from interproton distance data by dynamical simulated annealing from a random
array of atoms. FEBS Lett. 239:129–136, 1988.
[15] van Schaik, R. C., Berendsen, H. J. C., Torda, A. E., van Gunsteren, W. F. A structure
refinement method based on molecular dynamics in 4 spatial dimensions. J. Mol. Biol.
234:751–762, 1993.
[16] Zimmerman, K. All purpose molecular mechanics simulator and energy minimizer. J.
Comp. Chem. 12:310–319, 1991.
[17] Adams, D. J., Adams, E. M., Hills, G. J. The computer simulation of polar liquids. Mol.
Phys. 38:387–400, 1979.
[18] Bekker, H., Dijkstra, E. J., Renardus, M. K. R., Berendsen, H. J. C. An efficient, box shape
independent non-bonded force and virial algorithm for molecular dynamics. Mol. Sim.
14:137–152, 1995.
[19] Hockney, R. W., Goel, S. P., Eastwood, J. Quiet High Resolution Computer Models of a
Plasma. J. Comp. Phys. 14:148–158, 1974.
[20] Verlet., L. Computer experiments on classical fluids. I. Thermodynamical properties of
Lennard-Jones molecules. Phys. Rev. 159:98–103, 1967.
[21] Berendsen, H. J. C., van Gunsteren, W. F. Practical algorithms for dynamics simulations.
[22] Swope, W. C., Andersen, H. C., Berens, P. H., Wilson, K. R. A computer-simulation
method for the calculation of equilibrium-constants for the formation of physical clusters
of molecules: Application to small water clusters. J. Chem. Phys. 76:637–649, 1982.
[23] Tuckerman, M., Berne, B. J., Martyna, G. J. Reversible multiple time scale molecular
dynamics. J. Chem. Phys. 97(3):1990–2001, 1992.
[24] Berendsen, H. J. C., Postma, J. P. M., DiNola, A., Haak, J. R. Molecular dynamics with
coupling to an external bath. J. Chem. Phys. 81:3684–3690, 1984.
[25] Andersen, H. C. Molecular dynamics simulations at constant pressure and/or temperature.
J. Chem. Phys. 72:2384, 1980.
[26] Nos´
e, S. A molecular dynamics method for simulations in the canonical ensemble. Mol.
Phys. 52:255–268, 1984.
[27] Hoover, W. G. Canonical dynamics: equilibrium phase-space distributions. Phys. Rev. A
31:1695–1697, 1985.
[28] Bussi, G., Donadio, D., Parrinello, M. Canonical sampling through velocity rescaling. J.
Chem. Phys. 126:014101, 2007.

Bibliography 379
[29] Berendsen, H. J. C. Transport properties computed by linear response through weak cou-
pling to a bath. In: Computer Simulations in Material Science. Meyer, M., Pontikis, V. eds.
. Kluwer 1991 139–155.
[30] Cooke, B., Schmidler, S. J. Preserving the Boltzmann ensemble in replica-exchange molec-
ular dynamics. J. Chem. Phys. 129:164112, 2008.
[31] Martyna, G. J., Klein, M. L., Tuckerman, M. E. Nos´
e-Hoover chains: The canonical en-
semble via continuous dynamics. J. Chem. Phys. 97:2635–2643, 1992.
[32] Martyna, G. J., Tuckerman, M. E., Tobias, D. J., Klein, M. L. Explicit reversible integrators
for extended systems dynamics. Mol. Phys. 87:1117–1157, 1996.
[33] Holian, B. L., Voter, A. F., Ravelo, R. Thermostatted molecular dynamics: How to avoid
the Toda demon hidden in Nos´
e-Hoover dynamics. Phys. Rev. E 52(3):2338–2347, 1995.
[34] Eastwood, M. P., Stafford, K. A., Lippert, R. A., Jensen, M. O., Maragakis, P., Predescu, C.,
Dror, R. O., Shaw, D. E. Equipartition and the calculation of temperature in biomolecular
simulations. J. Chem. Theory Comp. ASAP:DOI: 10.1021/ct9002916, 2010.
[35] Parrinello, M., Rahman, A. Polymorphic transitions in single crystals: A new molecular
dynamics method. J. Appl. Phys. 52:7182–7190, 1981.
[36] Nos´
e, S., Klein, M. L. Constant pressure molecular dynamics for molecular systems. Mol.
Phys. 50:1055–1076, 1983.
[37] Tuckerman, M. E., Alejandre, J., L´
opez-Rend´
on, R., Jochim, A. L., Martyna, G. J. A
Liouville-operator derived measure-preserving integrator for molecular dynamics simula-
tions in the isothermal-isobaric ensemble. J. Phys. A. 59:5629–5651, 2006.
[38] Yu, T.-Q., Alejandre, J., Lopez-Rendon, R., Martyna, G. J., Tuckerman, M. E. Measure-
preserving integrators for molecular dynamics in the isothermal-isobaric ensemble derived
from the liouville operator. Chem. Phys. 370:294–305, 2010.
[39] Dick, B. G., Overhauser, A. W. Theory of the dielectric constants of alkali halide crystals.
Phys. Rev. 112:90–103, 1958.
[40] Jordan, P. C., van Maaren, P. J., Mavri, J., van der Spoel, D., Berendsen, H. J. C. Towards
phase transferable potential functions: Methodology and application to nitrogen. J. Chem.
Phys. 103:2272–2285, 1995.
[41] van Maaren, P. J., van der Spoel, D. Molecular dynamics simulations of a water with a
novel shell-model potential. J. Phys. Chem. B. 105:2618–2626, 2001.
[42] Ryckaert, J. P., Ciccotti, G., Berendsen, H. J. C. Numerical integration of the cartesian
equations of motion of a system with constraints; molecular dynamics of n-alkanes. J.
Comp. Phys. 23:327–341, 1977.
[43] Miyamoto, S., Kollman, P. A. SETTLE: An analytical version of the SHAKE and RATTLE
algorithms for rigid water models. J. Comp. Chem. 13:952–962, 1992.

380 Bibliography
[44] Andersen, H. C. RATTLE: A “Velocity” version of the SHAKE algorithm for molecular
dynamics calculations. J. Comp. Phys. 52:24–34, 1983.
[45] Hess, B., Bekker, H., Berendsen, H. J. C., Fraaije, J. G. E. M. LINCS: A linear constraint
solver for molecular simulations. J. Comp. Chem. 18:1463–1472, 1997.
[46] Hess, B. P-LINCS: A parallel linear constraint solver for molecular simulation. J. Chem.
Theory Comp. 4:116–122, 2007.
[47] van Gunsteren, W. F., Berendsen, H. J. C. A leap-frog algorithm for stochastic dynamics.
Mol. Sim. 1:173–185, 1988.
[48] Goga, N., Rzepiela, A. J., de Vries, A. H., Marrink, S. J., Berendsen, H. J. C. Efficient
algorithms for Langevin and DPD dynamics. J. Chem. Theory Comp. 8:3637–3649, 2012.
[49] Byrd, R. H., Lu, P., Nocedal, J. A limited memory algorithm for bound constrained opti-
mization. SIAM J. Scientif. Statistic. Comput. 16:1190–1208, 1995.
[50] Zhu, C., Byrd, R. H., Nocedal, J. L-BFGS-B: Algorithm 778: L-BFGS-B, FORTRAN
routines for large scale bound constrained optimization. ACM Trans. Math. Softw. 23:550–
560, 1997.
[51] Levitt, M., Sander, C., Stern, P. S. The normal modes of a protein: Native bovine pancreatic
trypsin inhibitor. Int. J. Quant. Chem: Quant. Biol. Symp. 10:181–199, 1983.
[52] G¯o, N., Noguti, T., Nishikawa, T. Dynamics of a small globular protein in terms of low-
frequency vibrational modes. Proc. Natl. Acad. Sci. USA 80:3696–3700, 1983.
[53] Brooks, B., Karplus, M. Harmonic dynamics of proteins: Normal modes and fluctuations
in bovine pancreatic trypsin inhibitor. Proc. Natl. Acad. Sci. USA 80:6571–6575, 1983.
[54] Hayward, S., G¯o, N. Collective variable description of native protein dynamics. Annu. Rev.
Phys. Chem. 46:223–250, 1995.
[55] Bennett, C. H. Efficient Estimation of Free Energy Differences from Monte Carlo Data. J.
Comp. Phys. 22:245–268, 1976.
[56] Shirts, M. R., Chodera, J. D. Statistically optimal analysis of multiple equilibrium simula-
tions. J. Chem. Phys. 129:124105, 2008.
[57] Hukushima, K., Nemoto, K. Exchange Monte Carlo Method and Application to Spin Glass
Simulations. J. Phys. Soc. Jpn. 65:1604–1608, 1996.
[58] Sugita, Y., Okamoto, Y. Replica-exchange molecular dynamics method for protein folding.
Chem. Phys. Lett. 314:141–151, 1999.
[59] Seibert, M., Patriksson, A., Hess, B., van der Spoel, D. Reproducible polypeptide folding
and structure prediction using molecular dynamics simulations. J. Mol. Biol. 354:173–183,
2005.
[60] Okabe, T., Kawata, M., Okamoto, Y., Mikami, M. Replica-exchange Monte Carlo method
for the isobaric-isothermal ensemble. Chem. Phys. Lett. 335:435–439, 2001.

Bibliography 381
[61] Chodera, J. D., Shirts, M. R. Replica exchange and expanded ensemble simulations as
gibbs sampling: Simple improvements for enhanced mixing. J. Chem. Phys. 135:194110,
2011.
[62] de Groot, B. L., Amadei, A., van Aalten, D. M. F., Berendsen, H. J. C. Towards an ex-
haustive sampling of the configurational spaces of the two forms of the peptide hormone
guanylin. J. Biomol. Str. Dyn. 13(5):741–751, 1996.
[63] de Groot, B. L., Amadei, A., Scheek, R. M., van Nuland, N. A. J., Berendsen, H. J. C. An
extended sampling of the configurational space of HPr from E. coli. PROTEINS: Struct.
Funct. Gen. 26:314–322, 1996.
[64] Lange, O. E., Schafer, L. V., Grubmuller, H. Flooding in GROMACS: Accelerated barrier
crossings in molecular dynamics. J. Comp. Chem. 27:1693–1702, 2006.
[65] Lyubartsev, A. P., Martsinovski, A. A., Shevkunov, S. V., Vorontsov-Velyaminov, P. N. New
approach to Monte Carlo calculation of the free energy: Method of expanded ensembles. J.
Chem. Phys. 96:1776–1783, 1992.
[66] Liem, S. Y., Brown, D., Clarke, J. H. R. Molecular dynamics simulations on distributed
memory machines. Comput. Phys. Commun. 67(2):261–267, 1991.
[67] Bowers, K. J., Dror, R. O., Shaw, D. E. The midpoint method for parallelization of particle
simulations. J. Chem. Phys. 124(18):184109–184109, 2006.
[68] Qiu, D., Shenkin, P., Hollinger, F., Still, W. The GB/SA Continuum Model for Solvation.
A Fast Analytical Method for the Calculation of Approximate Born Radii. J. Phys. Chem.
A. 101:3005–3014, 1997.
[69] Hawkins, D., Cramer, C., Truhlar, D. Parametrized Models of Aqueous Free Energies
of Solvation Based on Pairwise Descreening of Solute Atomic Charges from a Dielectric
Medium. J. Phys. Chem. 100:19824–19839, 1996.
[70] Onufriev, A., Bashford, D., Case, D. Exploring protein native states and large-scale con-
formational changes with a modified Generalized Born model. PROTEINS: Struct. Funct.
Gen. 55(2):383–394, 2004.
[71] Larsson, P., Lindahl, E. A High-Performance Parallel-Generalized Born Implementation
Enabled by Tabulated Interaction Rescaling. J. Comp. Chem. 31(14):2593–2600, 2010.
[72] Schaefer, M., Bartels, C., Karplus, M. Solution conformations and thermodynamics of
structured peptides: molecular dynamics simulation with an implicit solvation model. J.
Mol. Biol. 284(3):835–848, 1998.
[73] Tironi, I. G., Sperb, R., Smith, P. E., van Gunsteren, W. F. A generalized reaction field
method for molecular dynamics simulations. J. Chem. Phys. 102:5451–5459, 1995.
[74] van der Spoel, D., van Maaren, P. J. The origin of layer structure artifacts in simulations of
liquid water. J. Chem. Theory Comp. 2:1–11, 2006.

382 Bibliography
[75] Berendsen, H. J. C. Electrostatic interactions. In: Computer Simulation of Biomolecular
Systems. van Gunsteren, W. F., Weiner, P. K., Wilkinson, A. J. eds. . ESCOM Leiden 1993
161–181.
[76] van Gunsteren, W. F., Billeter, S. R., Eising, A. A., H¨
unenberger, P. H., Kr¨
uger, P., Mark,
A. E., Scott, W. R. P., Tironi, I. G. Biomolecular Simulation: The GROMOS96 manual and
user guide. Z¨
urich, Switzerland: Hochschulverlag AG an der ETH Z¨
urich. 1996.
[77] van Gunsteren, W. F., Berendsen, H. J. C. Gromos-87 manual. Biomos BV Nijenborgh 4,
9747 AG Groningen, The Netherlands 1987.
[78] Morse, P. M. Diatomic molecules according to the wave mechanics. II. vibrational levels.
Phys. Rev. 34:57–64, 1929.
[79] Berendsen, H. J. C., Postma, J. P. M., van Gunsteren, W. F., Hermans, J. Interaction models
for water in relation to protein hydration. In: Intermolecular Forces. Pullman, B. ed. . D.
Reidel Publishing Company Dordrecht 1981 331–342.
[80] Ferguson, D. M. Parametrization and evaluation of a flexible water model. J. Comp. Chem.
16:501–511, 1995.
[81] Warner Jr., H. R. Kinetic theory and rheology of dilute suspensions of finitely extendible
dumbbells. Ind. Eng. Chem. Fundam. 11(3):379–387, 1972.
[82] Brooks, B. R., Bruccoleri, R. E., Olafson, B. D., States, D. J., Swaminathan, S., Karplus,
M. CHARMM: a program for macromolecular energy, minimization, and dynamics calcu-
lation. J. Comp. Chem. 4:187–217, 1983.
[83] Lawrence, C. P., Skinner, J. L. Flexible TIP4P model for molecular dynamics simulation of
liquid water. Chem. Phys. Lett. 372:842–847, 2003.
[84] Jorgensen, W. L., Tirado-Rives, J. Potential energy functions for atomic-level simulations of
water and organic and biomolecular systems. Proc. Natl. Acad. Sci. USA 102:6665–6670,
2005.
[85] Torda, A. E., Scheek, R. M., van Gunsteren, W. F. Time-dependent distance restraints in
molecular dynamics simulations. Chem. Phys. Lett. 157:289–294, 1989.
[86] Hess, B., Scheek, R. M. Orientation restraints in molecular dynamics simulations using
time and ensemble averaging. J. Magn. Reson. 164:19–27, 2003.
[87] Thole, B. T. Molecular polarizabilities with a modified dipole interaction. Chem. Phys.
59:341–345, 1981.
[88] Lamoureux, G., Roux, B. Modeling induced polarization with classical drude oscillators:
Theory and molecular dynamics simulation algorithm. J. Chem. Phys. 119:3025–3039,
2003.
[89] Lamoureux, G., MacKerell, A. D., Roux, B. A simple polarizable model of water based on
classical drude oscillators. J. Chem. Phys. 119:5185–5197, 2003.

Bibliography 383
[90] Noskov, S. Y., Lamoureux, G., Roux, B. Molecular dynamics study of hydration in ethanol-
water mixtures using a polarizable force field. J. Phys. Chem. B. 109:6705–6713, 2005.
[91] van Gunsteren, W. F., Mark, A. E. Validation of molecular dynamics simulations. J. Chem.
Phys. 108:6109–6116, 1998.
[92] Beutler, T. C., Mark, A. E., van Schaik, R. C., Greber, P. R., van Gunsteren, W. F. Avoid-
ing singularities and numerical instabilities in free energy calculations based on molecular
simulations. Chem. Phys. Lett. 222:529–539, 1994.
[93] Pham, T. T., Shirts, M. R. Identifying low variance pathways for free energy calculations
of molecular transformations in solution phase. J. Chem. Phys. 135:034114, 2011.
[94] Pham, T. T., Shirts, M. R. Optimal pairwise and non-pairwise alchemical pathways for
free energy calculations of molecular transformation in solution phase. J. Chem. Phys.
136:124120, 2012.
[95] Jorgensen, W. L., Tirado-Rives, J. The OPLS potential functions for proteins. energy mini-
mizations for crystals of cyclic peptides and crambin. J. Am. Chem. Soc. 110:1657–1666,
1988.
[96] Berendsen, H. J. C., van Gunsteren, W. F. Molecular dynamics simulations: Techniques and
approaches. In: Molecular Liquids-Dynamics and Interactions. et al., A. J. B. ed. NATO
ASI C 135. Reidel Dordrecht, The Netherlands 1984 475–500.
[97] Allen, M. P., Tildesley, D. J. Computer Simulations of Liquids. Oxford: Oxford Science
Publications. 1987.
[98] Ewald, P. P. Die Berechnung optischer und elektrostatischer Gitterpotentiale. Ann. Phys.
64:253–287, 1921.
[99] Hockney, R. W., Eastwood, J. W. Computer simulation using particles. New York:
McGraw-Hill. 1981.
[100] Ballenegger, V., Cerd`
a, J. J., Holm, C. How to convert SPME to P3M: Influence functions
and error estimates. J. Chem. Theory Comp. 8(3):936–947, 2012.
[101] van Buuren, A. R., Marrink, S. J., Berendsen, H. J. C. A molecular dynamics study of the
decane/water interface. J. Phys. Chem. 97:9206–9212, 1993.
[102] Mark, A. E., van Helden, S. P., Smith, P. E., Janssen, L. H. M., van Gunsteren, W. F.
Convergence properties of free energy calculations: α-cyclodextrin complexes as a case
study. J. Am. Chem. Soc. 116:6293–6302, 1994.
[103] Jorgensen, W. L., Chandrasekhar, J., Madura, J. D., Impey, R. W., Klein, M. L. Comparison
of simple potential functions for simulating liquid water. J. Chem. Phys. 79:926–935, 1983.
[104] van Buuren, A. R., Berendsen, H. J. C. Molecular Dynamics simulation of the stability of
a 22 residue alpha-helix in water and 30% trifluoroethanol. Biopolymers 33:1159–1166,
1993.

384 Bibliography
[105] Liu, H., M¨
uller-Plathe, F., van Gunsteren, W. F. A force field for liquid dimethyl sulfoxide
and liquid proporties of liquid dimethyl sulfoxide calculated using molecular dynamics
simulation. J. Am. Chem. Soc. 117:4363–4366, 1995.
[106] Oostenbrink, C., Villa, A., Mark, A. E., Van Gunsteren, W. F. A biomolecular force field
based on the free enthalpy of hydration and solvation: The GROMOS force-field parameter
sets 53A5 and 53A6. Journal of Computational Chemistry 25(13):1656–1676, 2004.
[107] Cornell, W. D., Cieplak, P., Bayly, C. I., Gould, I. R., Merz, K. R. Jr., Ferguson, D. M.,
Spellmeyer, D. C., Fox, T., Caldwell, J. W., Kollman, P. A. A Second Generation Force
Field for the Simulation of Proteins, Nucleic Acids, and Organic Molecules. J. Am. Chem.
Soc. 117(19):5179–5197, 1995.
[108] Kollman, P. A. Advances and Continuing Challenges in Achieving Realistic and Predic-
tive Simulations of the Properties of Organic and Biological Molecules. Acc. Chem. Res.
29(10):461–469, 1996.
[109] Wang, J., Cieplak, P., Kollman, P. A. How Well Does a Restrained Electrostatic Potential
(RESP) Model Perform in Calculating Conformational Energies of Organic and Biological
Molecules? J. Comp. Chem. 21(12):1049–1074, 2000.
[110] Hornak, V., Abel, R., Okur, A., Strockbine, B., Roitberg, A., Simmerling, C. Comparison of
Multiple Amber Force Fields and Development of Improved Protein Backbone Parameters.
PROTEINS: Struct. Funct. Gen. 65:712–725, 2006.
[111] Lindorff-Larsen, K., Piana, S., Palmo, K., Maragakis, P., Klepeis, J. L., Dorr, R. O., Shaw,
D. E. Improved side-chain torsion potentials for the AMBER ff99SB protein force field.
PROTEINS: Struct. Funct. Gen. 78:1950–1958, 2010.
[112] Duan, Y., Wu, C., Chowdhury, S., Lee, M. C., Xiong, G., Zhang, W., Yang, R., Cieplak, P.,
Luo, R., Lee, T., Caldwell, J., Wang, J., Kollman, P. A Point-Charge Force Field for Molec-
ular Mechanics Simulations of Proteins Based on Condensed-Phase Quantum Mechanical
Calculations. J. Comp. Chem. 24(16):1999–2012, 2003.
[113] Garc´
ıa, A. E., Sanbonmatsu, K. Y. α-Helical stabilization by side chain shielding of back-
bone hydrogen bonds. Proc. Natl. Acad. Sci. USA 99(5):2782–2787, 2002.
[114] MacKerell, J. A. D., Feig, M., Brooks III, C. L. Extending the treatment of backbone en-
ergetics in protein force fields: limitations of gas-phase quantum mechanics in reproducing
protein conformational distributions in molecular dynamics simulations. J. Comp. Chem.
25(11):1400–15, 2004.
[115] MacKerell, A. D., Bashford, D., Bellott, Dunbrack, R. L., Evanseck, J. D., Field, M. J.,
Fischer, S., Gao, J., Guo, H., Ha, S., Joseph-McCarthy, D., Kuchnir, L., Kuczera, K., Lau,
F. T. K., Mattos, C., Michnick, S., Ngo, T., Nguyen, D. T., Prodhom, B., Reiher, W. E.,
Roux, B., Schlenkrich, M., Smith, J. C., Stote, R., Straub, J., Watanabe, M., Wiorkiewicz-
Kuczera, J., Yin, D., Karplus, M. All-atom empirical potential for molecular modeling and
dynamics studies of proteins. J. Phys. Chem. B. 102(18):3586–3616, 1998.

Bibliography 385
[116] Feller, S. E., MacKerell, A. D. An improved empirical potential energy function for molec-
ular simulations of phospholipids. J. Phys. Chem. B. 104(31):7510–7515, 2000.
[117] Foloppe, N., MacKerell, A. D. All-atom empirical force field for nucleic acids: I. Parameter
optimization based on small molecule and condensed phase macromolecular target data. J.
Comp. Chem. 21(2):86–104, 2000.
[118] Bjelkmar, P., Larsson, P., Cuendet, M. A., Hess, B., Lindahl, E. Implementation of the
CHARMM force field in GROMACS: Analysis of protein stability effects from correction
maps, virtual interaction sites, and water models. J. Chem. Theory Comp. 6:459–466, 2010.
[119] R¨
uhle, V., Junghans, C., Lukyanov, A., Kremer, K., Andrienko, D. Versatile Object-
Oriented toolkit for Coarse-Graining applications. J. Chem. Theory Comp. 5(12):3211–
3223, 2009.
[120] Bereau, T., Wang, Z.-J., Deserno, M. Solvent-free coarse-grained model for unbiased high-
resolution protein-lipid interactions. (submitted).
[121] Wang, Z.-J., Deserno, M. A systematically coarse-grained solvent-free model for quantita-
tive phospholipid bilayer simulations. J. Phys. Chem. B. 114(34):11207–11220, 2010.
[122] IUPAC-IUB Commission on Biochemical Nomenclature. Abbreviations and Symbols for
the Description of the Conformation of Polypeptide Chains. Tentative Rules (1969). Bio-
chemistry 9:3471–3478, 1970.
[123] Mahoney, M. W., Jorgensen, W. L. A five-site model for liquid water and the reproduction of
the density anomaly by rigid, nonpolarizable potential functions. J. Chem. Phys. 112:8910–
8922, 2000.
[124] Ryckaert, J. P., Bellemans, A. Molecular dynamics of liquid alkanes. Far. Disc. Chem. Soc.
66:95–106, 1978.
[125] de Loof, H., Nilsson, L., Rigler, R. Molecular dynamics simulations of galanin in aqueous
and nonaqueous solution. J. Am. Chem. Soc. 114:4028–4035, 1992.
[126] van der Spoel, D., van Buuren, A. R., Tieleman, D. P., Berendsen, H. J. C. Molecular
dynamics simulations of peptides from BPTI: A closer look at amide-aromatic interactions.
J. Biomol. NMR 8:229–238, 1996.
[127] Neumann, R. M. Entropic approach to Brownian Movement. Am. J. Phys. 48:354–357,
1980.
[128] Jarzynski, C. Nonequilibrium equality for free energy differences. Phys. Rev. Lett.
78(14):2690 – 2693, 1997.
[129] O. Engin, M. S. A. Villa, Hess, B. Driving forces for adsorption of amphiphilic peptides to
air-water interface. J. Phys. Chem. B.
[130] Kutzner, C., Czub, J., Grubm¨
uller, H. Keep it flexible: Driving macromolecular rotary
motions in atomistic simulations with GROMACS. J. Chem. Theory Comp. 7:1381–1393,
2011.

386 Bibliography
[131] Feenstra, K. A., Hess, B., Berendsen, H. J. C. Improving efficiency of large time-scale
molecular dynamics simulations of hydrogen-rich systems. J. Comp. Chem. 20:786–798,
1999.
[132] Hess, B. Determining the shear viscosity of model liquids from molecular dynamics. J.
Chem. Phys. 116:209–217, 2002.
[133] Dewar, M. J. S. Development and status of MINDO/3 and MNDO. J. Mol. Struct. 100:41,
1983.
[134] Guest, M. F., Harrison, R. J., van Lenthe, J. H., van Corler, L. C. H. Computational chem-
istry on the FPS-X64 scientific computers - Experience on single- and multi-processor sys-
tems. Theor. Chim. Act. 71:117, 1987.
[135] Frisch, M. J., Trucks, G. W., Schlegel, H. B., Scuseria, G. E., Robb, M. A., Cheeseman,
J. R., Montgomery, J. A. Jr., Vreven, T., Kudin, K. N., Burant, J. C., Millam, J. M., Iyengar,
S. S., Tomasi, J., Barone, V., Mennucci, B., Cossi, M., Scalmani, G., Rega, N., Petersson,
G. A., Nakatsuji, H., Hada, M., Ehara, M., Toyota, K., Fukuda, R., Hasegawa, J., Ishida, M.,
Nakajima, T., Honda, Y., Kitao, O., Nakai, H., Klene, M., Li, X., Knox, J. E., Hratchian,
H. P., Cross, J. B., Bakken, V., Adamo, C., Jaramillo, J., Gomperts, R., Stratmann, R. E.,
Yazyev, O., Austin, A. J., Cammi, R., Pomelli, C., Ochterski, J. W., Ayala, P. Y., Morokuma,
K., Voth, G. A., Salvador, P., Dannenberg, J. J., Zakrzewski, V. G., Dapprich, S., Daniels,
A. D., Strain, M. C., Farkas, O., Malick, D. K., Rabuck, A. D., Raghavachari, K., Foresman,
J. B., Ortiz, J. V., Cui, Q., Baboul, A. G., Clifford, S., Cioslowski, J., Stefanov, B. B., Liu,
G., Liashenko, A., Piskorz, P., Komaromi, I., Martin, R. L., Fox, D. J., Keith, T., Al-Laham,
M. A., Peng, C. Y., Nanayakkara, A., Challacombe, M., Gill, P. M. W., Johnson, B., Chen,
W., Wong, M. W., Gonzalez, C., Pople, J. A. Gaussian 03, Revision C.02. Gaussian, Inc.,
Wallingford, CT, 2004.
[136] Car, R., Parrinello, M. Unified approach for molecular dynamics and density-functional
theory. Phys. Rev. Lett. 55:2471–2474, 1985.
[137] Field, M., Bash, P. A., Karplus, M. A combined quantum mechanical and molecular me-
chanical potential for molecular dynamics simulation. J. Comp. Chem. 11:700, 1990.
[138] Maseras, F., Morokuma, K. IMOMM: A New Ab Initio + Molecular Mechanics Geometry
Optimization Scheme of Equilibrium Structures and Transition States. J. Comp. Chem.
16:1170–1179, 1995.
[139] Svensson, M., Humbel, S., Froes, R. D. J., Matsubara, T., Sieber, S., Morokuma, K.
ONIOM a multilayered integrated MO + MM method for geometry optimizations and
single point energy predictions. a test for Diels-Alder reactions and Pt(P(t-Bu)3)2 + H2
oxidative addition. J. Phys. Chem. 100:19357, 1996.
[140] Praprotnik, M., Delle Site, L., Kremer, K. Adaptive resolution molecular-dynamics simu-
lation: Changing the degrees of freedom on the fly. J. Chem. Phys. 123:224106, 2005.
[141] Praprotnik, M., Delle Site, L., Kremer, K. Multiscale simulation of soft matter: From scale
bridging to adaptive resolution. Annu. Rev. Phys. Chem. 59:545–571, 2008.

Bibliography 387
[142] Junghans, C., Poblete, S. A reference implementation of the adaptive resolution scheme in
ESPResSo. Comp. Phys. Comm. 181:1449–1454, 2010.
[143] Fritsch, S., Junghans, C., Kremer, K. Structure formation of toluene around c60: Imple-
mentation of the adaptive resolution scheme (adress) into gromacs. J. Chem. Theory Comp.
8:398–403, 2012.
[144] Praprotnik, M., Poblete, S., Kremer, K. Statistical physics problems in adaptive resolution
computer simulations of complex fluids. J. Stat. Phys. 145:946–966, 2011.
[145] Delle Site, L. Some fundamental problems for an energy-conserving adaptive-resolution
molecular dynamics scheme. Phys. Rev. E76.
[146] Poblete, S., Praprotnik, M., Kremer, K., Delle Site, L. Coupling different levels of resolu-
tion in molecular simulations. J. Chem. Phys. 132:114101, 2010.
[147] Fritsch, S., Poblete, S., Junghans, C., Ciccottii, G., Delle Site, L., Kremer, K. Adaptive
resolution molecular dynamics simulation through coupling to an internal particle reservoir.
Phys. Rev. Lett. 108:170602, 2012.
[148] van der Spoel, D., Berendsen, H. J. C. Molecular dynamics simulations of Leu-enkephalin
in water and DMSO. Biophys. J. 72:2032–2041, 1997.
[149] van der Spoel, D., van Maaren, P. J., Berendsen, H. J. C. A systematic study of water
models for molecular simulation. J. Chem. Phys. 108:10220–10230, 1998.
[150] Smith, P. E., van Gunsteren, W. F. The Viscosity of SPC and SPC/E Water. Comp. Phys.
Comm. 215:315–318, 1993.
[151] Balasubramanian, S., Mundy, C. J., Klein, M. L. Shear viscosity of polar fluids: Miolecular
dynamics calculations of water. J. Chem. Phys. 105:11190–11195, 1996.
[152] van der Spoel, D., Vogel, H. J., Berendsen, H. J. C. Molecular dynamics simulations of
N-terminal peptides from a nucleotide binding protein. PROTEINS: Struct. Funct. Gen.
24:450–466, 1996.
[153] Amadei, A., Linssen, A. B. M., Berendsen, H. J. C. Essential dynamics of proteins. PRO-
TEINS: Struct. Funct. Gen. 17:412–425, 1993.
[154] Hess, B. Convergence of sampling in protein simulations. Phys. Rev. E65:031910, 2002.
[155] Hess, B. Similarities between principal components of protein dynamics and random dif-
fusion. Phys. Rev. E62:8438–8448, 2000.
[156] Mu, Y., Nguyen, P. H., Stock, G. Energy landscape of a small peptide revelaed by dihedral
angle principal component analysis. PROTEINS: Struct. Funct. Gen. 58:45–52, 2005.
[157] van der Spoel, D., van Maaren, P. J., Larsson, P., Timneanu, N. Thermodynamics of hy-
drogen bonding in hydrophilic and hydrophobic media. J. Phys. Chem. B. 110:4393–4398,
2006.
[158] Luzar, A., Chandler, D. Hydrogen-bond kinetics in liquid water. Nature 379:55–57, 1996.

388 Bibliography
[159] Luzar, A. Resolving the hydrogen bond dynamics conundrum. J. Chem. Phys. 113:10663–
10675, 2000.
[160] Kabsch, W., Sander, C. Dictionary of protein secondary structure: Pattern recognition of
hydrogen-bonded and geometrical features. Biopolymers 22:2577–2637, 1983.
[161] Williamson, M. P., Asakura, T. Empirical comparisons of models for chemical-shift calcu-
lation in proteins. J. Magn. Reson. Ser. B 101:63–71, 1993.
[162] Bekker, H., Berendsen, H. J. C., Dijkstra, E. J., Achterop, S., v. Drunen, R., v. d. Spoel,
D., Sijbers, A., Keegstra, H., Reitsma, B., Renardus, M. K. R. Gromacs Method of Virial
Calculation Using a Single Sum. In Physics Computing 92 (Singapore, 1993). de Groot,
R. A., Nadrchal, J., eds. . World Scientific.
[163] Berendsen, H. J. C., Grigera, J. R., Straatsma, T. P. The missing term in effective pair
potentials. J. Phys. Chem. 91:6269–6271, 1987.
[164] Bekker, H. Ontwerp van een special-purpose computer voor moleculaire dynamica simu-
laties. Master’s thesis. RuG. 1987.
[165] van Gunsteren, W. F., Berendsen, H. J. C. Molecular dynamics of simple systems.
Practicum Handleiding voor MD Practicum Nijenborgh 4, 9747 AG, Groningen, The
Netherlands 1994.
Index
τT32
εr70
1-4 interaction 80,118
A
accelerate group 15
Adaptive Resolution Scheme 176
adding atom types 147
AdResS see Adaptive Resolution Scheme
AMBER force field 110
Andersen thermostat 32
angle
restraint 84
vibration 76
annealing, simulated
see simulated annealing
atom see particle
type 114
types, adding see adding atom types
autocorrelation function 233
average, ensemble see ensemble average
B
BAR 54
Bennett’s acceptance ratio 54
Berendsen pressure coupling
see pressure coupling, Berendsen
see temperature coupling, Berendsen
bond stretching 74
bonded parameter 117
Born-Oppenheimer 4
branched polymers 129
Brownian dynamics 50
Buckingham potential 69
building block 116
C
center of mass group 15
center-of-mass
pulling 151
velocity 18
charge group 19,23,24,98,193
CHARMM force field 110
chemistry, computational
see computational chemistry
choosing groups 228
citing iv
CMAP 110
combination rule 68,117,137
compressibility 36
computational chemistry 1
conjugate gradient 51,186
connection 120
constant, dielectric see dielectric constant
constraint 4
algorithms 45,120,202
force 144
pulling 152
constraints 25,60
correlation 233
Coulomb 69,94
covariance analysis 239
cut-off 4,71,98,195,196
Cut-off schemes 19
D
database
hydrogen ∼see hydrogen database
termini ∼see termini database
default groups 228
deform 217
degrees of freedom 165
dielectric constant 70,195
diffusion coefficient 235
dihedral 80
restraint 84

390 Index
improper ∼see improper dihedral
proper ∼see proper dihedral
dipolar couplings 88
dispersion 67
correction 103,196
distance restraint 85,208
ensemble-averaged ∼
see ensemble-averaged distance restraint
time-averaged ∼
see time-averaged distance restraint
disulfide bonds 129
do dssp 243,254,274
do multiprot 254
do shift 245,254
dodecahedron 13
domain decomposition 58
double precision see precision, double
Drude 92
dummy atoms see virtual interaction sites
dynamic load balancing 59
dynamics
Brownian ∼see Brownian dynamics
Langevin ∼see Langevin dynamics
mesoscopic ∼
see mesoscopic dynamics
stochastic ∼see stochastic dynamics,
see stochastic dynamics
E
editconf 275
Einstein relation 235
electric field 217
electrostatics 193
eneconv 254,277
energy
file 268
minimization 50,188
kinetic ∼see kinetic energy
potential ∼see potential energy
energy-monitor group 15
Enforced Rotation 154
ensemble average 1
ensemble-averaged distance restraint 87
environment variables 248
equation, Schr¨
odinger
see Schr¨
odinger equation
equations of motion 2,26
equilibration 269
essential dynamics 56,
see covariance analysis
Ewald
sum 73,105,193
particle-mesh ∼73
exclusions 15,97,120,204
Expanded Ensemble 57
calculations 213
extended ensemble 33
F
FENE potential 76
file
type 183
energy ∼see energy file
index ∼see index file
log ∼see log file
topology ∼see topology file
trajectory ∼see trajectory file
files, GROMOS96 see GROMOS96 files
flooding 57
force
decomposition 58
force field 4,67,107,146
organization 145
force-field, coarse-grained 110
Fortran 261
free energy
calculations 52,165,209
interactions 92
topologies 141
freedom, degrees of see degrees of freedom
freeze group 15,42
frozen atoms 15,42
G
g anadock 277
g anaeig 240,278
g analyze 240,280
g angle 236,282
g bar 55,283
g bond 235,284
g bundle 285
g chi 286

Index 391
g cluster 254,288
g clustsize 290
g confrms 291
g covar 240,253,291
g current 292
g density 245,293
g densmap 294
g densorder 295
g dielectric 296
g dipoles 234,254,297
g disre 299
g dist 299
g dos 300
g dyecoupl 301
g dyndom 302
g enemat 304
genergy 231,235,254,270,305
g filter 309
g gyrate 237,310
g h2order 311
g hbond 241,311
g helix 314
g helixorient 315
g hydorder 315
g kinetics 316
g lie 317
g mdmat 237,318
g membed 318
g mindist 237,320
g morph 321
g msd 235,321
g nmeig 52,253,324
g nmens 52,325
g nmtraj 325
g order 243,326
g pme error 327
g polystat 327
g potential 245,328
g principal 329
g protonate 329
g rama 243,330
g rdf 231,330
g rms 238,331
g rmsdist 239,333
g rmsf 334
g rotacf 234,336
g rotmat 337
g saltbr 338
g sans 338
g sas 339
g select 228,230,340
g sgangle 236,237,341
gsham 342
g sigeps 344
g sorient 344
g spatial 345
g spol 346
g tcaf 347
g traj 231,245,348
g tune pme 253,349
g vanhove 352
g velacc 234,353
g wham 254,354
g wheel 243,356
g x2top 357
g xrama 243,358
genbox 302
genconf 304
Generalized Born methods 63
genion 139,308
genrestr 308
gmxcheck 322
gmxdump 323
GMXRC 248
GPUs 255
grid search 23
GROMOS87 108
force field 108
GROMOS96
files 109
force field 108
grompp 117,118,138,139,166,254,334
group 14
accelerate ∼see accelerate group
center of mass ∼
see center of mass group
charge ∼see charge group,
see charge group
energy-monitor ∼
see energy-monitor group
freeze ∼see freeze group,
see freeze group

392 Index
planar ∼see planar group
temperature-coupling ∼
see temperature-coupling group
XTC output ∼see XTC output group
groups 139,227
choosing ∼see choosing groups
default ∼see default groups
H
harmonic interaction 120
heme group 129
Hessian 52
html manual 183
hydrogen database 125
I
image, nearest see nearest image
implicit solvation 63
parameters 119
improper dihedral 79
index file 228
install 247
integration timestep 76
integrator
leap-frog ∼see leap-frog integrator
velocity Verlet ∼
see velocity Verlet integrator
interaction list 97
intramolecular pair interaction 118
isothermal compressibility 36
K
kinetic energy 25
L
L-BFGS 51
Langevin dynamics 49,188
leap-frog integrator 26,185
Lennard-Jones 68,94
limitations 3
LINCS 46,60,95,203
list, interaction see interaction list
load balancing, dynamic
see dynamic load balancing
log file 189,269
M
make edi 358
make ndx 228,361
Martini force field 111
mass, modified see modified mass
Maxwell-Boltzmann distribution 17
MD
units 7
non-equilibrium ∼
see non-equilibrium MD
mdrun 251–253,361
mdrun-gpu 254
mechanics, statistical
see statistical mechanics
mesoscopic dynamics 2
mirror image
minimum image convention 12,14
79
mk angndx 228,367
modeling, molecular
see molecular modeling
modified mass 166
molecular modeling 1
Morse potential 75
motion, equations of
see equations of motion, see equations of motion
multiple time step 29
N
nearest image 18
neighbor
list 18,190
searching 18,190
third ∼see third neighbor
ngmx 230,249,254,367
NMA 52
NMR refinement 208
85
non-bonded parameter 116
non-equilibrium MD 15,217
normal-mode analysis 52,187
Nos´
e-Hoover temperature coupling
see temperature coupling, Nos´
e-Hoover
O
octahedron 13
online manual 183

Index 393
OpenMP 255
OPLS/AA force field 110
options
standard 273
orientation restraint 88,209
P
P-LINCS 60
P3M-AD 107,193
parabolic force 72
parallelization 57
parameter 113
bonded ∼see bonded parameter
non-bonded ∼
see non-bonded parameter
run ∼see run parameter
Parrinello-Rahman pressure coupling
see pressure coupling, Parrinello-Rahman
particle 113
decomposition 58
particle-mesh Ewald see PME
Particle-Particle Particle-Mesh see P3M
PCA see covariance analysis
pdb2gmx 80,83,110,116,121,129,166,
368
pencil decomposition 63
performance 261
periodic boundary conditions 11,105,257
planar group 79
PLUM force field 111
PME 62,106,193
Poisson solver 72
polarizability 44
position restraint 83,185
potential
energy 25
function 108,171
potentials of mean force 165
precision
double ∼247
single ∼247
pressure 25
pressure coupling 36,199
Berendsen ∼36
Parrinello-Rahman ∼37
surface-tension ∼38
principal component analysis 56,
see covariance analysis
programs by topic 222
proper dihedral 80
pulling 205
constraint ∼see constraint pulling
rotational ∼see enforced rotation
umbrella ∼see umbrella pulling
Q
QSAR 1
quadrupole 114
quasi-Newtonian 186
R
reaction field 70,94
reaction-field electrostatics 193
reduced units 9
refinement,nmr 85
REMD 55
removing COM motion 15,18
replica exchange 55
repulsion 67
residuetypes.dat 122,229
restraint
angle ∼see angle restraint
dihedral ∼see dihedral restraint
distance ∼see distance restraint
orientation ∼see orientation restraint
position ∼see position restraint
rhombic dodecahedron 11
rotational pulling see enforced rotation
run parameter 185
S
sampling 44
Schr¨
odinger equation 1
search
grid ∼see grid search
simple ∼see simple search
searching, neighbor see neighbor searching
SETTLE 46,120
SHAKE 45,95,203
shear 217
shell 92,see particle
model 44
molecular dynamics 188

394 Index
simple search 23
simulated annealing 48,201
single precision see precision, single
slow-growth methods 52
soft-core interactions 95
solver, Poisson see Poisson solver
specbond.dat 129
statistical mechanics 2
steepest descent 50,186
stochastic dynamics 2,49
strain 217
stretching, bond see bond stretching
surface-tension pressure coupling
see pressure coupling, surface-tension
T
tabulated
bonded interaction function 82
interaction functions 170
targeted MD 165
temperature 25
temperature coupling 14,30,198
Nos´
e-Hoover 33
Berendsen ∼31
velocity-rescaling ∼32
temperature-coupling group 14,25,35
termini database 126
thermodynamic integration 54
third neighbor 97
Thole 92
time lag 233
time-averaged distance restraint 86
timestep, integration
see integration timestep
topology 113
file 130
tpbconv 370
trajectory file 44,189
triclinic unit cell 12
trjcat 370
trjconv 371
trjorder 374
truncated octahedron 11
twin-range
cut-off 29
type
atom ∼see atom type
file ∼see file type
U
umbrella pulling 152
units 7
Urey-Bradley bond-angle vibration 78
V
velocity
Verlet integrator 26
center-of-mass ∼
see center-of-mass velocity
velocity-rescaling temperature coupling
see temperature coupling, velocity-rescaling
Versatile Object-oriented Toolkit for Coarse-
Graining Applications (VOTCA) 111
vibration
angle ∼see angle vibration
Urey-Bradley bond-angle ∼
see Urey-Bradley bond-angle vibration
virial 25,98,99,257
virtual interaction sites 99,114,166
viscosity 168,217,235
VOTCA package 178
W
walls 204
water 75
weak coupling 31,36
X
XDR 183
xmgr 233,271
xpm2ps 375
XTC 15
output group 15