Traffic Watch Icann Memo Motion For Withdrawal 20may11 En
User Manual: TrafficWatch
Open the PDF directly: View PDF
.
Page Count: 104 [warning: Documents this large are best viewed by clicking the View PDF Link!]

UNITED STATES DISTRICT COURT
MIDDLE DISTRICT OF FLORIDA
TAMPA DIVISION
IN RE:
CHARLES F. STEINBERGER Case No. 8:10-bk-19945-KRM
PAMELA J. PERRY Chapter 7
Debtors,
_______________________________________ Adv. Pro. No. 8:11-ap-00418-KRM
DENISE SUBRAMANIAM,
Plaintiff,
v.
CHARLES STEINBERGER,
ICANN
INTERNET.BS,
SUSAN K. WOODARD, Chapter 7 Trustee
Defendants.
DEFENDANT INTERNET CORPORATION FOR ASSIGNED NAMES AND
NUMBERS, INC.’S MEMORANDUM OF LAW IN SUPPORT OF ITS MOTION FOR
WITHDRAWAL OF REFERENCE OF THE ADVERSARY PROCEEDING AS TO
CLAIMS AGAINST DEFENDANT ICANN
Case 8:11-ap-00418-KRM Doc 12 Filed 05/20/11 Page 1 of 27
TABLE OF CONTENTS
Page
PRELIMINARY STATEMENT ................................................................................................... 2
PROCEDURAL AND FACTUAL BACKGROUND ................................................................... 4
A. Background on ICANN ......................................................................................... 4
B. The Debtor-Defendant’s Bankruptcy ..................................................................... 5
C. Plaintiff’s Complaint .............................................................................................. 6
D. Proceedings in the Bankruptcy Court .................................................................... 7
ARGUMENT ................................................................................................................................. 8
A. Standards Governing Withdrawal of the Reference .............................................. 8
B. Cause Exists to Withdraw the Reference of the Claims Against ICANN to
Remedy the Defective Removal of Those Claims ............................................... 10
1. The Claims Against ICANN Were Not Removable under 28
U.S.C. § 1452(a) ...................................................................................... 10
2. The Oregon Action was Improperly Removed Directly to the
Bankruptcy Court instead of the Oregon District Court .......................... 13
C. The Traditional Requirements for Withdrawal of the Reference Are Met .......... 14
1. None of the Claims against ICANN Are Core Or Non-Core Claims ...... 15
2. There is No Risk of Forum-Shopping Here ............................................. 15
3. Withdrawal of the Reference Would Promote the Economical Use
of the Parties’ and Judicial Resources ..................................................... 16
4. ICANN is Entitled to a Jury Trial ............................................................ 16
5. None of the Remaining Permissive Withdrawal Factors Counsel
Against Withdrawing the Reference ........................................................ 17
D. The Appropriate Remedy Upon Withdrawal of the Reference is Dismissal
or Transfer to the Oregon District Court .............................................................. 18
CONCLUSION ............................................................................................................................ 20
- i -
Case 8:11-ap-00418-KRM Doc 12 Filed 05/20/11 Page 2 of 27

TABLE OF AUTHORITIES
Page
CASES
Abondolo v. GGR Holbrook Medford, Inc.,
285 B.R. 101 (E.D.N.Y. 2002) ..................................................................................................9
Agee v. Assocs. First Capital Corp.,
No. 2:05 CV 305-A, 2005 WL 2387603 (M.D. Ala. Sept. 28, 2005) ......................................11
Alexander v. Cintas Corp.
( In re Terry Mfg. Co. Inc)., 324 B.R. 147 (Bankr. M.D. Ala. 2005) ......................................19
Anstine & Musgrove, Inc. v. Calcasieu Ref. Co.,
436 B.R. 136 (D. Kan. 2010) ...................................................................................................11
BankUnited Fin. Corp. v. F.D.I.C.,
436 B.R. 216 (S.D. Fla. 2010) ...................................................................................................9
Barton v. Barbour,
104 U.S. 126 (1881) ...................................................................................................................7
Carter v. Rodgers,
220 F.3d 1249 (11th Cir. 2000) .........................................................................................11, 12
Control Ctr., L.L.C. v. Lauer,
288 B.R. 269 (M.D. Fla. 2002) ..............................................................................14, 15, 16, 17
Cook v. Shell Chem. Co.,
730 F. Supp. 1381 (M.D. La. 1990) ...................................................................................13, 18
Global Satellite Commc’n Co. v. Starmill U.K. Ltd.,
378 F.3d 1269 (11th Cir. 2004) ...............................................................................................13
Hollis v. Fla. State Univ.,
259 F.3d 1295 (11th Cir. 2001) ...............................................................................................13
In re Dierkes,
No. 05–60983, 2007 WL 5734794 (Bankr. N.D. Ga. Mar. 22, 2007) .....................................12
In re EDP Med. Computer Sys., Inc.,
178 B.R. 57 (M.D. Pa. 1995) ...................................................................................................19
In re Germaine,
152 B.R. 619 (B.A.P. 9th Cir. 1993)........................................................................................12
- ii -
Case 8:11-ap-00418-KRM Doc 12 Filed 05/20/11 Page 3 of 27
TABLE OF AUTHORITIES
(continued) Page
In re Gunnallen Fin., Inc.,
No. BR. 8:10-AP-949-MGW, 2011 WL 398054 (M.D. Fla. Feb. 3, 2011) ............................17
In re Happy Hocker Pawn Shop, Inc.,
212 Fed. App’x. 811 (11th Cir. 2006) ...............................................................................12, 16
In re Hvide Marine Towing, Inc.,
248 B.R. 841, 844 (M.D. Fla. 2000) ........................................................................................14
In re Johnson,
No. 03-41916-JJR-13, 2010 Bankr. LEXIS 3559 (Bankr. N.D. Ala. Sept. 30, 2010) .............12
In re Lemco Gypsum, Inc.,
910 F.2d 784 (11th Cir. 1990) .................................................................................................12
In re Micci,
188 B.R. 697 (S.D. Fla. 1995) .................................................................................................19
In re Nat’l Developers, Inc.,
803 F.2d 616 (11th Cir. 1986) .....................................................................................13, 14, 19
In re Orion Pictures Corp.,
4 F.3d 1095 (2d Cir. 1993).......................................................................................................17
In re Pickett,
362 B.R. 794 (Bankr. S.D. Tex. 2007) ....................................................................................12
In re S & K Air Power of Fla., Inc.,
166 B.R. 193 (Bankr. S.D. Fla. 1994) ...............................................................................13, 14
In re Sporting Club at Illinois Ctr.,
132 B.R. 792 (N.D. Ga. 1991) ...........................................................................................19, 20
In re Stone,
No. 8:10-cv-2517-JDW, 2010 WL 5069698 (M.D. Fla. Dec. 7, 2010) .....................................8
In re Toledo,
170 F.3d 1340 (11th Cir. 1999) ...............................................................................................11
In re Trafficwatch,
138 B.R. 841 (Bankr. E.D. Tex. 1992) ..............................................................................13, 19
Keeth v. State Farm Fire & Cas. Co.,
No. 10-13219, 2011 WL 479903 (E.D. Mich. Feb 7, 2011) ....................................................18
- iii -
Case 8:11-ap-00418-KRM Doc 12 Filed 05/20/11 Page 4 of 27
TABLE OF AUTHORITIES
(continued) Page
Lawrence v. Goldberg,
573 F.3d 1265 (11th Cir. 2009) .................................................................................................7
Mortensen v. Wheel Horse Prods., Inc.,
772 F. Supp. 85 (N.D.N.Y. 1991) ............................................................................................18
Northern Pipeline Const. Co. v. Marathon Pipe Line Co.,
458 U.S. 50 (1982) ...................................................................................................................19
Ret. Sys. of Ala. v. Merrill Lynch & Co.,
209 F. Supp. 2d 1257 (M.D. Ala. 2002) ..................................................................................11
Ross v. Bernhard,
396 U.S. 531 (1970) .................................................................................................................17
Shamrock Mfg. Co. v. Ammex Corp.,
No. CV-F-10-908, 2010 WL 3153976 (E.D. Cal. Aug. 9, 2010) ............................................18
Stein v. Miller,
158 B.R. 876 (S.D. Fla. 1993) ...................................................................................................9
Terry Mfg. Co. v. Steel Law Firm P.C.
(In re Terry Mfg. Co. Inc.), 323 B.R. 507 (Bankr. M.D. Ala. 2005) .......................................20
Things Remembered, Inc. v. Petrarca,
516 U.S. 124 (1995) .................................................................................................................19
Thompson v. Greenwood,
507 F.3d 416 (6th Cir. 2007) ...................................................................................................19
United States v. DeMiro,
No. 11-50131, --B.R--, 2011 WL 798147 (E.D. Mich. Feb. 23, 2011) .....................................9
United States v. Kaplan,
146 B.R. 500 (D. Mass. 1992) .................................................................................................15
STATUTES
28 U.S.C. § 157 ...................................................................................................................... passim
28 U.S.C. § 1331 ..............................................................................................................1, 3, 10, 18
28 U.S.C. § 1332 .................................................................................................................... passim
28 U.S.C. § 1334 .................................................................................................................... passim
- iv -
Case 8:11-ap-00418-KRM Doc 12 Filed 05/20/11 Page 5 of 27
TABLE OF AUTHORITIES
(continued) Page
- v -
28 U.S.C. § 1406 .................................................................................................................... passim
28 U.S.C. § 1412 ..............................................................................................................1, 4, 18, 19
28 U.S.C. § 1441 .................................................................................................................... passim
28 U.S.C. § 1452 .................................................................................................................... passim
OTHER AUTHORITIES
17 J. Moore, Federal Practice § 111.37 (4th ed. 2011) .................................................................18
14C Charles A. Wright , Arthur R. Miller & E. Cooper, Federal Practice and Procedure
§ 3732 (4th ed. 2011) ...............................................................................................................13
Fed. R. Bankr. P. 5011 .................................................................................................................1, 3
Fed. R. Bankr. P. 9027 ........................................................................................................... passim
Case 8:11-ap-00418-KRM Doc 12 Filed 05/20/11 Page 6 of 27

By this motion (the “Motion”), Defendant Internet Corporation for Assigned Names and
Numbers, Inc. (“ICANN”) hereby moves this Court (the “Florida District Court”), pursuant to 28
U.S.C. § 157(d), Rule 5011 of the Federal Rules of Bankruptcy Procedure (the “Bankruptcy
Rules”) and Rule 5011-1 of the Local Rules of the United States Bankruptcy Court for the
Middle District of Florida (the “Local Rules”), and without any opposition from the other
defendants, for two forms of relief.
First, ICANN seeks the entry of an order withdrawing the reference with respect to the
claims asserted against ICANN in the adversary proceeding captioned Subramaniam v.
Steinberger, Adv. Proc. 8:11-AP-00418-KRM (the “Adversary Proceeding”) to the United States
Bankruptcy Court for the Middle District of Florida (the “Bankruptcy Court”) on the grounds
that the Florida District Court has proper subject matter jurisdiction over these non-bankruptcy
related claims, under both 28 U.S.C. § 1331 and 28 U.S.C. § 1332(a).1
Second, ICANN seeks the entry of an order either dismissing the claims against ICANN
or transferring them, pursuant to 28 U.S.C. §§ 1406(a) and 1412, to United States District Court
for the District of Oregon, Portland Division (the “Oregon District Court”)2 as the only venue to
which these claims could properly be removed. Separately, even if the Florida District Court
determines that the entire Adversary Proceeding is properly pending before the Bankruptcy
Court, ICANN moves this Court, pursuant to 28 U.S.C. § 157(d), Bankruptcy Rule 5011 and
Local Rule 5011-1, for the entry of an order withdrawing the reference with respect to the claims
asserted against ICANN for cause shown inasmuch the claims asserted against ICANN involve
1 As set forth in ICANN’s concurrently filed Motion to Dismiss, Florida cannot exercise personal
jurisdiction over ICANN in that ICANN has no meaningful contacts with the State that would subject ICANN to
suit here. By filing this Motion, ICANN does not submit to the jurisdiction of Florida Courts, but, instead, expressly
refers to its Motion to Dismiss challenging jurisdiction in this forum and further reserves all rights and claims to
challenge jurisdiction and venue.
2 Complaints filed in the County of Washington are properly removed to the District Court for the District
of Oregon, Portland Division. See Local Rule 3-2 of the Local Rules Governing Practice and Procedure in the
Oregon District Court for civil matters.
Case 8:11-ap-00418-KRM Doc 12 Filed 05/20/11 Page 7 of 27

exclusively state law and non-bankruptcy federal law claims by a non-debtor against a non-
debtor which are neither core nor non-core claims the adversary proceeding.
ICANN certifies that it has conferred with counsel for both the Trustee-Defendant and
the Debtor-Defendant to this Adversary Proceeding and has confirmed that neither opposes the
relief requested in this Motion.3
PRELIMINARY STATEMENT
During the short life of this case, ICANN has been subjected to a series of procedural
missteps resulting in ICANN being dragged into Bankruptcy Court, which lacks subject matter
jurisdiction over the non-bankruptcy claims pending against ICANN and lacks personal
jurisdiction over ICANN (a California non-profit public benefit corporation).4 To begin with,
Plaintiff Denise Subramaniam (“Plaintiff”) improperly filed her action against ICANN and
others in the Circuit Court of the State of Oregon (the “State Court”) on March 31, 2011 (the
“Oregon Action”), claiming that the defendants breached a duty owed to Plaintiff by allowing
several of her Internet domain names to expire. With respect to ICANN, however, Plaintiff sued
the wrong party, in the wrong jurisdiction, and under the wrong statutes because Oregon lacks
personal jurisdiction over ICANN and ICANN has no connection to Plaintiff’s alleged injuries.
Then, to make matters worse, on April 26, 2011, Defendant Susan K. Woodard, Trustee
for the bankruptcy estate of Defendant Charles F. Steinberger (the “Trustee”), filed a notice of
removal (the “Notice of Removal”) directly in the Bankruptcy Court, removing the entire Oregon
Action and commencing this Adversary Proceeding. See Exhibit (“Ex.”) A to this Motion.
3 It is ICANN’s understanding that the only remaining non-debtor defendant, Defendant Internet.bs, has
not been served with the Complaint by Plaintiff and is therefore not yet implicated in this Adversary Proceeding.
Given that there is no opposition from the other defendants, ICANN does not believe a hearing on this Motion is
necessary, but will appear for oral argument if the Florida District Court determines otherwise.
4 Pursuant to 28 U.S.C. § 157(a) and this Court’s standing order of reference, the Bankruptcy Court may
only hear “any and all cases under title 11 and any and all proceedings arising under title 11 or arising in and related
to a case under title 11.” 28 U.S.C. § 157(a); Order No. 84-MISC-152 (M.D. Fla. Jul. 11, 1984).
2
Case 8:11-ap-00418-KRM Doc 12 Filed 05/20/11 Page 8 of 27

Pursuant to Bankruptcy Rule 9027(c), the Trustee filed a copy of the Notice of Removal in the
Oregon Action on April 28, 2011, precluding any further proceedings in the State Court. Fed. R.
Bankr. P. 9027(c); see also Ex. B to Motion.
As discussed more fully below, it was improper for the Trustee to remove the entire
Oregon Action to this Bankruptcy Court. Instead, the Trustee should have removed only the
claims and causes of action brought against the Trustee and the Debtors, since removal under 28
U.S.C. § 1452 only permits “[a] party [to] remove any claim or cause of action in a civil action
… if such district court has jurisdiction of such claim or cause of action under section 1334 of
this title.”5 28 U.S.C. § 1452 (emphasis added). The Bankruptcy Court lacks jurisdiction to hear
the state law and non-bankruptcy federal law claims asserted against ICANN in the Adversary
Proceeding, which have no conceivable effect on the Debtors’ estate and are not claims over
which the Bankruptcy Court has jurisdiction under 28 U.S.C. § 1334. But because the District
Court has proper subject matter jurisdiction over this action under both 28 U.S.C. § 1331 and 28
U.S.C. § 1332(a), ICANN requests that the Court withdraw the reference with respect to the
claims asserted against ICANN in order to cure the Trustee’s defective removal.
In addition, this Court should exercise its discretion to withdraw the reference pursuant to
28 U.S.C. § 157(d), Bankruptcy Rule 5011 and Local Rule 5011-1 for cause shown. All of the
traditional factors weighing in favor of withdrawal of the reference with respect to the claims
asserted against ICANN are more than satisfied here, since: (i) these claims are neither core nor
non-core claims among non-debtor parties that have no conceivable effect on the Debtor’s
bankruptcy case; (ii) there is no risk of promoting forum shopping here because these claims
were not brought originally in Bankruptcy Court, but removed there from Oregon state court
5 The Trustee’s Notice of Removal also improperly removed the Oregon Action to the Bankruptcy Court,
rather than to the district court for the district in which the state court action was pending. See 28 U.S.C. § 1452(a)
and Fed. R. Bankr. P. 9027(a)(1).
3
Case 8:11-ap-00418-KRM Doc 12 Filed 05/20/11 Page 9 of 27
where Plaintiff commenced the Oregon Action; (iii) withdrawal of the reference will promote the
efficient use of party and judicial resources by removing the cloud of the jurisdictional and
procedural defects resulting from the improper removal to the Bankruptcy Court; and (iv) the
parties are entitled to a jury trial for determination of the non-bankruptcy claims, which the
Bankruptcy Court cannot provide. As such, permissive withdrawal of the reference so that
ICANN’s defenses to this action can be heard in a U.S. District Court is entirely warranted.
Upon withdrawing the reference, the Florida District Court should either dismiss the
claims against ICANN or transfer them to the Oregon District Court pursuant to 28 U.S.C. §§
1406(a) and 1412, to cure the procedural defects resulting from the Trustee’s improper removal
of the entire Oregon Action to the Bankruptcy Court. Even though the Trustee’s removal was
improper, it had the effect of prohibiting ICANN from proceeding any further in the Oregon
Action, see Fed. R. Bankr. P. 9027(c), and foreclosed ICANN’s ability to effect removal to the
appropriate district court in order to present its challenges, including jurisdictional challenges, to
the action. As discussed below, given that the Florida District Court does have subject matter
jurisdiction over the claims against ICANN on both federal question and diversity grounds,
ICANN submits that the Florida District Court should prevent any further prejudice to ICANN
by either dismissing these improperly removed claims or transferring them to the Oregon District
Court, as the only venue to which these claims could properly have been removed.
PROCEDURAL AND FACTUAL BACKGROUND
A. Background on ICANN
ICANN is a California non-profit public benefit corporation with its principal place of
business in Marina del Rey, California. ICANN does not engage in commercial business, but
rather administers the Internet’s domain name system, pursuant to a series of agreements over
time with the United States Department of Commerce. ICANN’s coordination role is fulfilled in
4
Case 8:11-ap-00418-KRM Doc 12 Filed 05/20/11 Page 10 of 27
certain ways. For example, and relevant to Plaintiff’s allegations, consumers may obtain the
right to use Internet domain names (such as google.com or uscourts.gov) through companies
known as “Registrars.” ICANN operates an accreditation system that has produced a highly
competitive Registrar marketplace, with over 900 accredited Registrars, including defendant
Internet.bs. These Registrars then allocate the right to use a certain Internet domain name to
consumers. ICANN does not directly contract with any consumer, and certainly has not with
Plaintiff.
ICANN has no company facilities, assets or real estate in Florida, is not registered to do
business in Florida, does not solicit business in Florida, does not have any phone number or
mailing address in Florida, does not sell any goods or services in Florida, does not have a bank
account in Florida, and does not have any employees in Florida. Ex. C to this Motion
(Declaration of Akram Atallah In Support of ICANN’s Motion to Dismiss (“Atallah Decl.”)) at
¶¶ 3, 8-12, 14-15.
B. The Debtor-Defendant’s Bankruptcy
On August 19, 2010, Charles F. Steinberger and Pamela J. Perry filed a voluntary petition
for bankruptcy relief pursuant to Chapter 7 of Title 11 of the United States Code. Steinberger
and Perry’s bankruptcy case (the “Bankruptcy Proceeding”) proceeded in the Bankruptcy Court,
and the debtors were ultimately issued a discharge injunction on November 23, 2010
(the “Discharge Injunction”). The Bankruptcy Court set April 15, 2011 as the bar-date for
creditors to file proofs of claim with the Bankruptcy Court, thereby invoking the specific
procedures by which a creditor could recover from the bankruptcy estate. After the Discharge
Injunction was issued, but prior to the claims’ bar-date established in the Bankruptcy Proceeding,
Plaintiff filed the Complaint in the State Court against the Debtor, ICANN, and the Trustee,
among others, thereby commencing the underlying Oregon Action. See Attachment #1 to Ex. A
5
Case 8:11-ap-00418-KRM Doc 12 Filed 05/20/11 Page 11 of 27
to this Motion (Complaint). Plaintiff elected not to file a proof of claim with the Bankruptcy
Court.
C. Plaintiff’s Complaint
Plaintiff alleges that in 2003, she “contracted as a domain name reseller . . . with
4Domains Inc., owned by defendant Charles Steinberger.” Complaint at ¶ 19. Under this
alleged contract, Plaintiff alleges that she was able to purchase Internet domain names wholesale
and “resell them to her business clients.” Id. She further alleges that 4Domains later became
insolvent and the owner, defendant Charles Steinberger, went bankrupt. Id. at ¶¶ 31, 35. After
determining that 4Domains was in bankruptcy, ICANN allegedly transferred 4Domains’ data and
reseller accounts to another Registrar, defendant Internet.bs. Id. at ¶¶ 155, 156.
Plaintiff apparently alleges that after her domain name registrations were transferred to
defendant Internet.bs, she was unable to communicate with Internet.bs via email because she was
bedridden with a disability and Internet.bs did not offer phone support. Id. at ¶¶ 68, 159, 160.
Plaintiff claims that as a result, several of her domain name registrations expired, id. at ¶¶ 67,
69, 70, which allegedly caused her to suffer economic injury and emotional distress. Id. at ¶ 140,
143-146.
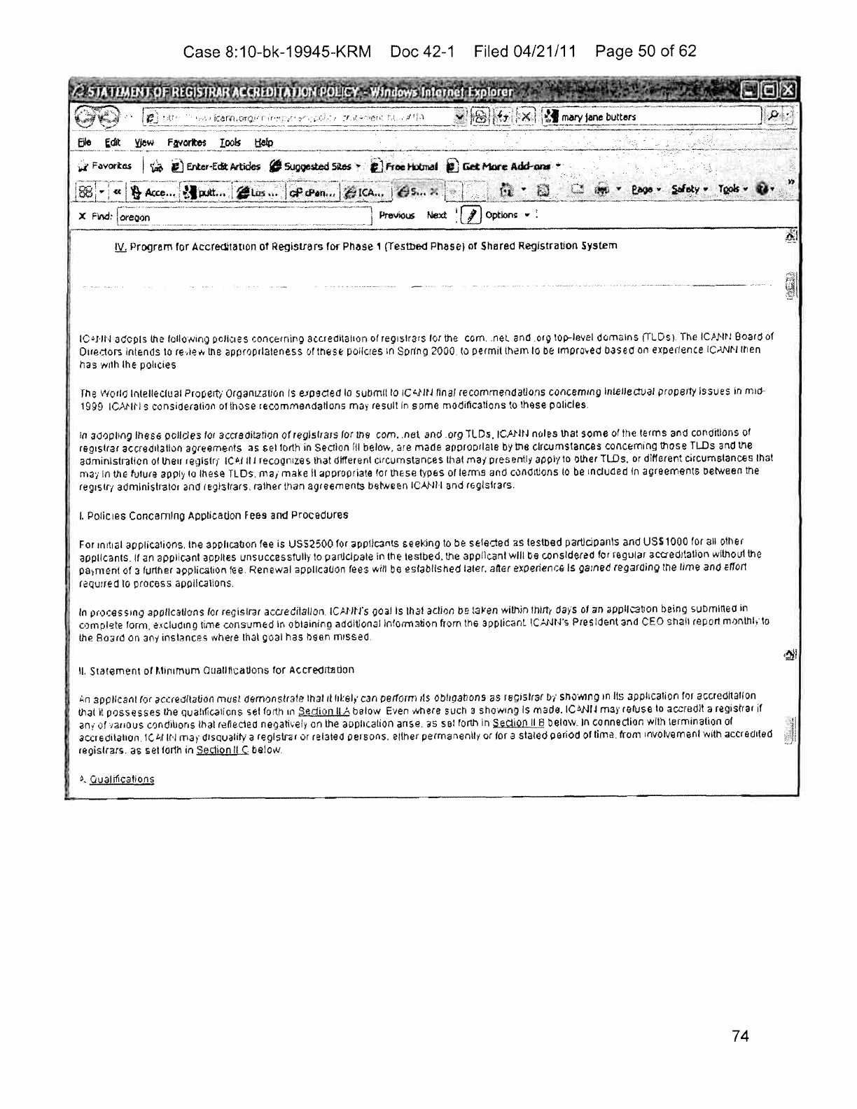
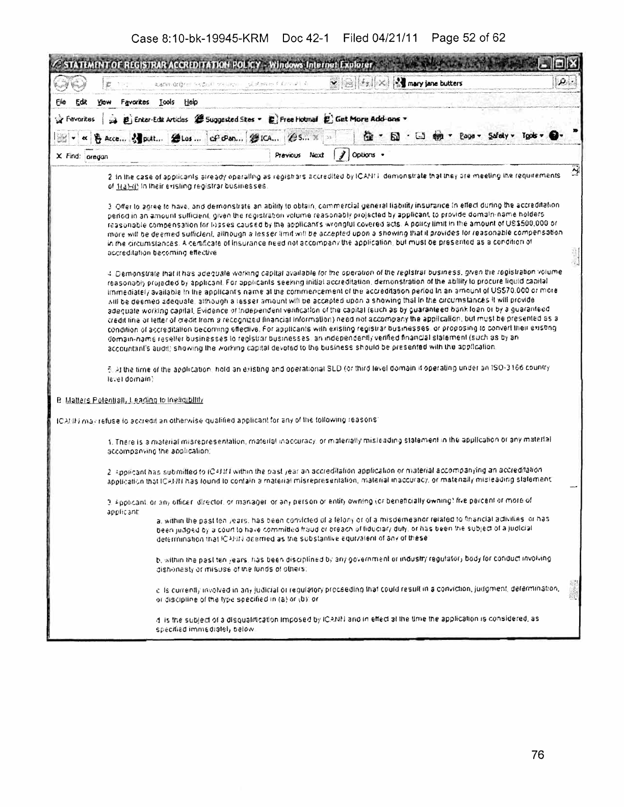
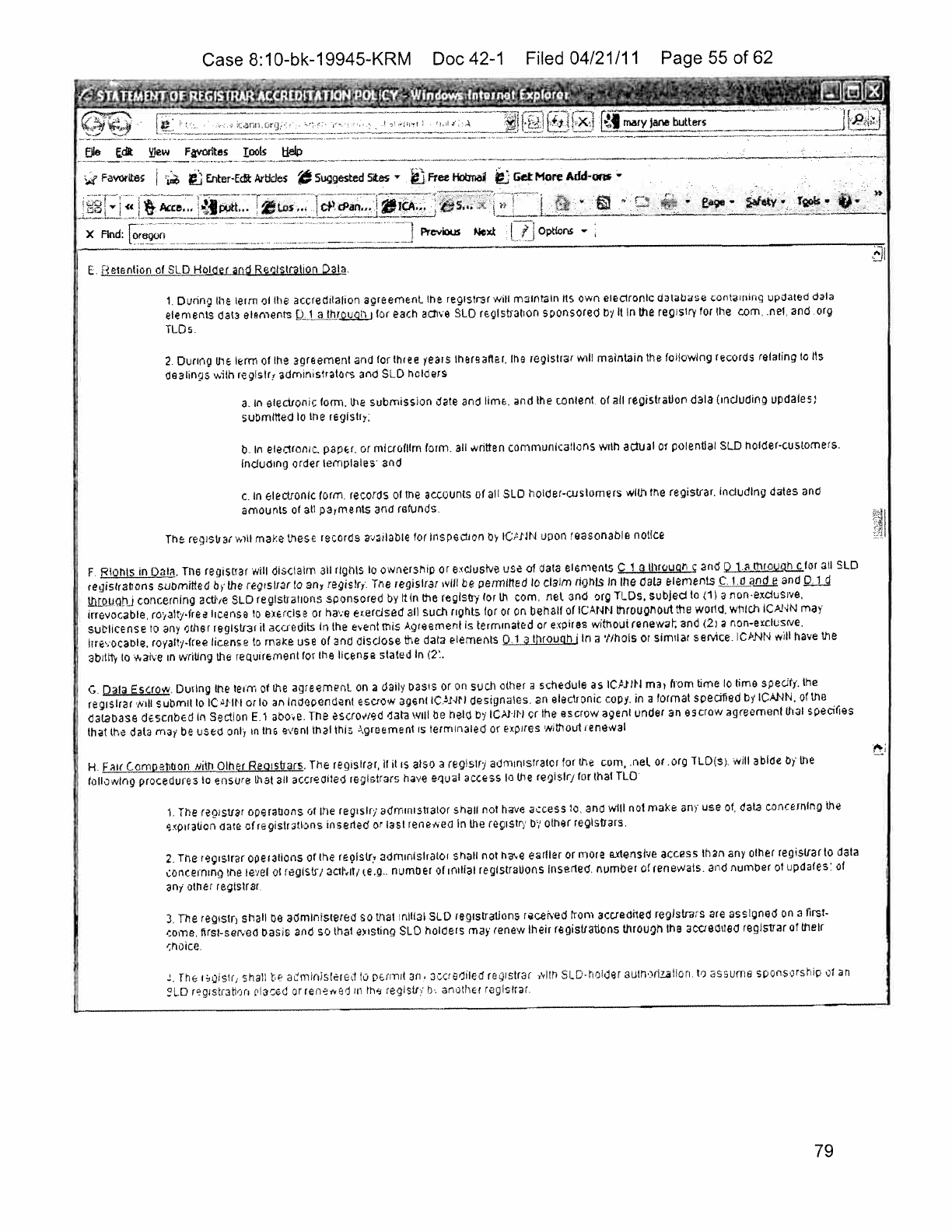
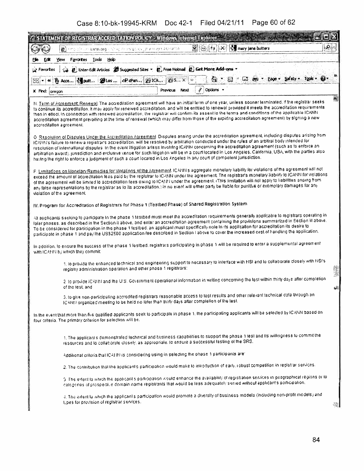
Plaintiff’s only allegations regarding ICANN relate to the Registrar Accreditation
Agreement that ICANN maintains with third party Registrars (not Plaintiff) and its Statement of
Registrar Accreditation Policy. Id. at ¶ 29. Plaintiff claims that under Oregon’s Uniform
Commercial Code (ORS 72.1010 et seq.) these documents create “express and implied
warranties” to Plaintiff “regarding performance expectations for ICANN” and that ICANN
breached its contractual obligations to Plaintiff and the general “public.” Id. at ¶¶ 26, 43, 46.
Plaintiff also alleges that ICANN violated the American with Disabilities Act (“ADA”) for
failing to give her adequate instructions on how to transfer her domain name registrations and for
6
Case 8:11-ap-00418-KRM Doc 12 Filed 05/20/11 Page 12 of 27
failing to require defendant Internet.bs to offer Plaintiff phone support. Id. at ¶¶ 155-165.
Finally, Plaintiff alleges that ICANN violated the Freedom of Information Act (“FOIA”) by
failing to adequately respond to her request for records and to answer why ICANN transferred
her domain name registrations to defendant Internet.bs. Id. at ¶¶ 170-174.
D. Proceedings in the Bankruptcy Court
In response to the filing of the Complaint, on April 21, 2011, the Debtor-Defendant filed
a motion in the Bankruptcy Court to enforce the Discharge Injunction and to impose sanctions on
Plaintiff for willfully violating the Discharge Injunction (the “Discharge Injunction Motion”).
On April 26, 2011, the Trustee filed the Notice of Removal directly with the Bankruptcy Court,
purporting to remove the entire Oregon Action to the Bankruptcy Court and alleging, among
other things, that upon removal the proceeding would be a core proceeding. See Ex. A to this
Motion. On April 28, 2011, the Trustee filed a copy of the Notice of Removal with the State
Court. See Ex. B to this Motion. Even though the Trustee’s removal was defective in that it
failed to comply with the procedures mandated in 28 U.S.C. § 1452 and Bankruptcy Rule
9027(a)(1), upon the filing of the Notice of Removal with the State Court the Trustee succeeded
in commencing this Adversary Proceeding. Pursuant to Bankruptcy Rule 9027(c), all parties
were thereby prohibited from proceeding any further in the State Court unless and until the
action is remanded. A pretrial conference hearing is scheduled for June 21, 2011.
On May 7, 2011, the Trustee filed a motion to dismiss the Adversary Proceeding on the
grounds that the filing of the Oregon Action naming the Trustee as a defendant without first
seeking leave from the Bankruptcy Court violated the “Barton Doctrine.” See, e.g., Lawrence v.
Goldberg, 573 F.3d 1265 (11th Cir. 2009) (“Barton doctrine” bars suit against trustee and
counsel, applying doctrine derived from Barton v. Barbour, 104 U.S. 126 (1881)).
7
Case 8:11-ap-00418-KRM Doc 12 Filed 05/20/11 Page 13 of 27
On May 11, 2011, ICANN filed a protective statement under Bankruptcy Rule 9027(e)(3)
(the “ICANN Statement”), denying, inter alia, the Trustee’s allegation that the proceeding was
core upon removal. The ICANN Statement also denied that the Bankruptcy Court had
jurisdiction over the claims against ICANN and noted the defective removal effectuated by the
Trustee’s removal directly to the Bankruptcy Court (when the proper venue was the District of
Oregon) and, on the basis of such defective removal, submitted that the Bankruptcy Court has no
jurisdiction over claims against ICANN and ICANN further does not consent to the exercise of
any jurisdiction by the Bankruptcy Court.
ARGUMENT
A. Standards Governing Withdrawal of the Reference
As this Court is well aware, bankruptcy courts are not Article III courts and derive their
limited jurisdiction from the district courts’ referral of bankruptcy matters. Specifically, under
28 U.S.C. § 1334(b), the United States district courts have “original but not exclusive jurisdiction
of all civil proceedings arising under title 11, or arising in or related to cases under title 11.”
Under 28 U.S.C. § 157(a), “[e]ach district court may provide that . . . any or all proceedings
arising under title 11 or arising in or related to a case under title 11 shall be referred to the
bankruptcy judges for the district.” In the Middle District of Florida, proceedings within the
district courts’ bankruptcy jurisdiction pursuant to 28 U.S.C. § 1334 are automatically referred to
the Bankruptcy Court pursuant to the standing order of reference, as contemplated by 28 U.S.C.
§ 157(a). See In re Stone, No. 8:10-cv-2517-JDW, 2010 WL 5069698, at *1 (M.D. Fla. Dec. 7,
2010). Because the Bankruptcy Court acquires jurisdiction only by reference from the district
court, a district court may, pursuant to 28 U.S.C. § 157(d), “withdraw, in whole or in part, any
case or proceeding referred under this section, on its own motion, or on timely motion by any
8
Case 8:11-ap-00418-KRM Doc 12 Filed 05/20/11 Page 14 of 27

party, for cause shown.” 28 U.S.C. § 157(d) (emphasis added).6 As the statute expressly
permits, it is common for courts to withdraw the reference as to those aspects of a case for which
withdrawal is appropriate, or in other words, to withdraw the reference “in part.” See, e.g.,
BankUnited Fin. Corp. v. F.D.I.C., 436 B.R. 216 (S.D. Fla. 2010) (withdrawing the reference
only as to the single issue upon which withdrawal was mandatory); Stein v. Miller, 158 B.R. 876
(S.D. Fla. 1993) (withdrawing the reference as to the trial of any legal causes of action and
affirming the reference in all other respects); United States v. DeMiro, No. 11-50131, --B.R--,
2011 WL 798147 (E.D. Mich. Feb. 23, 2011) (withdrawing the reference as to mandatory
withdrawal issues only); Abondolo v. GGR Holbrook Medford, Inc., 285 B.R. 101 (E.D.N.Y.
2002) (withdrawing the reference as to certain motions on efficiency grounds and denying
withdrawal as to other motions for which efficiency concerns were not implicated).7
While Congress has not statutorily defined the word “cause,” “cause” certainly exists in
this case. As an initial matter, there is cause to withdraw the reference to remedy the defective
removal of the Oregon Action to the Bankruptcy Court – the claims pending against ICANN are
not removable to bankruptcy court; and the Oregon Action was improperly removed directly to
the Bankruptcy Court instead of the Oregon District Court. Furthermore, as discussed below,
cause exists under the traditional requirements for withdrawal of a reference, which are
unquestionably met here. Given this, the reference should be withdrawn, and the claims pending
against ICANN should either be dismissed or transferred to Oregon District Court.
6 The district court is also required to “withdraw a proceeding if the court determines that resolution of the
proceeding requires consideration of both title 11 and other laws of the United States regulating organizations or
activities affecting interstate commerce.” 28 U.S.C. § 157(d). Plaintiff has asserted claims under the ADA and
FOIA, which provides a basis for independent federal question jurisdiction over the Oregon Action. As a result, to
the extent that Plaintiff advocates that resolution of this case will turn on novel issues of federal law, mandatory
withdrawal of the reference would be required.
7 A motion for withdrawal of a case or proceeding must be heard by a district judge. Fed. R. Bankr. P.
5011(a). Local Rule 5011-1 provides for how such a motion is to be filed and served in this District.
9
Case 8:11-ap-00418-KRM Doc 12 Filed 05/20/11 Page 15 of 27

B. Cause Exists to Withdraw the Reference of the Claims Against ICANN to
Remedy the Defective Removal of Those Claims
Withdrawal of the automatic reference of the Adversary Proceeding to the Bankruptcy
Court is justified here to remedy the defective removal of the Oregon Action to the Bankruptcy
Court. As discussed below, the Bankruptcy Court did not properly acquire subject matter
jurisdiction over the claims against ICANN since they were not removable under 28 U.S.C.
§ 1452, but the Florida District Court does have subject-matter jurisdiction pursuant to 28 U.S.C.
§ 1331 and § 1332(a), and therefore in the interests of justice, should withdraw the reference as
to the claims against ICANN.
1. The Claims Against ICANN Were Not Removable under 28 U.S.C. §
1452(a)
The Trustee based the removal of the State Court Action upon 28 U.S.C. § 1452, which
provides as follows:
A party may remove any claim or cause of action in a civil action
other than a proceeding before the United States Tax Court or a
civil action by a governmental unit to enforce such governmental
unit’s police or regulatory power, to the district court for the
district where such civil action is pending, if such district court
has jurisdiction of such claim or cause of action under section
1334 of this title.
28 U.S.C. § 1452(a) (emphasis added). As this language makes clear, it is the removal of
discrete claims or causes of action in a civil action, rather than the removal of a civil action as a
whole, that is authorized by this bankruptcy removal statute.8 Moreover, by its express terms,
section 1452 only allows claims or causes of action to be removed if there is bankruptcy
jurisdiction under 28 U.S.C. § 1334. A claim or cause of action is within the bankruptcy
jurisdiction as defined by 28 U.S.C. § 1334(b) “if it ‘arises under’ the Bankruptcy Code or
8 This language is in distinct contrast to the general federal removal statute, which governs the
removability of “any civil action brought in a State Court of which the district courts of the United States have
original jurisdiction. 28 U.S.C. § 1441(a) (emphasis added).
10
Case 8:11-ap-00418-KRM Doc 12 Filed 05/20/11 Page 16 of 27

‘arises in’ or is ‘related to’ a case under the [Bankruptcy] Code.” Carter v. Rodgers, 220 F.3d
1249, 1253 (11th Cir. 2000), (citation omitted). Accordingly, a claim or cause of action is not
removable under section 1452 unless it arises under title 11 or arises in, or is related to, a case
under title 11. See Agee v. Assocs. First Capital Corp., No. 2:05 CV 305-A, 2005 WL 2387603,
at *4 (M.D. Ala. Sept. 28, 2005) (holding that only those claims over which the court had
bankruptcy jurisdiction under section 1334 could be removed under section 1452); Ret. Sys. of
Ala. v. Merrill Lynch & Co., 209 F. Supp. 2d 1257, 1264 (M.D. Ala. 2002) (“1452 authorizes a
party to remove a particular ‘claim or cause of action’ that touches on the administration of a
bankruptcy estate, but not an entire ‘action’ involving claims and other parties that may have
nothing to do with the bankruptcy”).9
A claim “arises under title 11” if it “invokes a cause of action, or substantive right,
created by a specific section of the Bankruptcy Code.” In re Toledo, 170 F.3d 1340, 1349 (11th
Cir. 1999). Plaintiff’s allegations against ICANN include a claim for breach of contract under
Oregon state law, a claim for damages under the ADA and a claim for damages under FOIA.
Clearly, none of these claims invoke a cause of action or substantive right created by a specific
section of the Bankruptcy Code, and as such these claims do not “arise under” the Bankruptcy
Code.
A claim “arises in” a case under title 11 if it involves “administrative matters unique to
the management of a bankruptcy estate.” Id. Again, in contrast to Plaintiff’s claims against the
Trustee and Debtor Defendant, which arguably do implicate the Debtor’s bankruptcy case, and
the Discharge Injunction, Plaintiff’s claims against ICANN under Oregon state law, the ADA
and FOIA clearly do not implicate any matters unique to the management of the Debtor’s, or any
9 See also Anstine & Musgrove, Inc. v. Calcasieu Ref. Co., 436 B.R. 136, 142 (D. Kan. 2010) (section 1452
allows “any single party [to] remove any (or all) claims in the case over which the federal court could assert
bankruptcy jurisdiction”); 3 Collier on Bankruptcy ¶ 3.07.[1] (2011) (removal under section 1452 requires that “the
claim or cause of action be within the jurisdiction of the district court under section 1334”).
11
Case 8:11-ap-00418-KRM Doc 12 Filed 05/20/11 Page 17 of 27

other, bankruptcy estate. The claims Plaintiff asserts against ICANN under Oregon law and
federal law could be resolved without any involvement of the Bankruptcy Court whatsoever.
Finally, “[s]ection 157(c)(1) sets the minimum requirements for bankruptcy jurisdiction,”
otherwise known as “related-to” jurisdiction. In re Happy Hocker Pawn Shop, Inc., 212 Fed.
App’x. 811, 817 (11th Cir. 2006). The “usual articulation of the test for determining [‘related-to’
jurisdiction] is whether the outcome of the proceeding could conceivably have an effect on the
estate being administered in bankruptcy.” Carter, 220 F.3d at 1253. Plaintiff’s claims against
ICANN constitute a dispute between two non-debtors implicating non-bankruptcy law, and there
are no allegations against ICANN that in any way affect the bankruptcy estate or the amount of
estate property available to satisfy creditors’ claims. See id. The outcome of a dispute between
these two non-debtors could not alter the Debtor’s “rights, liabilities, options, or freedom of
action (either positively or negatively) . . . in any way [that] impacts upon the handling and
administration of the bankrupt estate.” In re Lemco Gypsum, Inc., 910 F.2d 784, 788 (11th Cir.
1990). Even if ICANN were somehow found liable, ICANN’s liability to Plaintiff could have no
conceivable effect on the Debtor’s bankruptcy estate because, if for no other reason, there is no
longer an “estate” to affect. See In re Pickett, 362 B.R. 794, 798 (Bankr. S.D. Tex. 2007) (“the
debtor has already received a discharge in her Chapter 7 case; thus, there is no longer an
estate.”).10 Accordingly, Plaintiff’s claims against ICANN are not “related-to” the Debtor’s
bankruptcy estate.
Because Plaintiff’s claims against ICANN do not “arise under title 11,” and neither
“arose in” nor are “related to” the Debtor’s bankruptcy proceeding, there is no bankruptcy
10 See also In re Dierkes, No. 05–60983, 2007 WL 5734794, at *7 (Bankr. N.D. Ga. Mar. 22, 2007)
(holding that the bankruptcy court had no jurisdiction over state-law claims against debtor once the debtor was
discharged; resolution of such claims could no longer affect the debtor’s estate because the estate had been fully
administered); In re Johnson, No. 03-41916-JJR-13, 2010 Bankr. LEXIS 3559, at *9 (Bankr. N.D. Ala. Sept. 30,
2010) (same); In re Germaine, 152 B.R. 619 (B.A.P. 9th Cir. 1993) (concluding that post-discharge efforts to collect
debt from debtor, even if successful, would not have reduced the assets of the estate).
12
Case 8:11-ap-00418-KRM Doc 12 Filed 05/20/11 Page 18 of 27

jurisdiction over those claims under 28 U.S.C. § 1334. As such, these claims were not
removable under 28 U.S.C. § 1452.
2. The Oregon Action was Improperly Removed Directly to the
Bankruptcy Court instead of the Oregon District Court
A defendant’s right to remove an action from state to federal court “‘is purely statutory
and therefore its scope and the terms of its availability are entirely dependent on the will of
Congress.’” Global Satellite Commc’n Co. v. Starmill U.K. Ltd., 378 F.3d 1269, 1271 (11th Cir.
2004), (citation omitted). The bankruptcy removal statute, 28 U.S.C. § 1452, is like the general
removal statute, 28 U.S.C. § 1441, in that both prescribe that a case or proceeding must be
removed to the district court for the district in which the action to be removed is pending. 28
U.S.C. §§ 1441, 1452. Courts within the Eleventh Circuit and elsewhere have uniformly held
that the district court for the district in which the action to be removed is pending is the only
proper forum to which to remove the action under either statute. See Global Satellite Commc’n
Co., 378 F.3d at 1271; Hollis v. Fla. State Univ., 259 F.3d 1295, 1299 (11th Cir. 2001)
(“[section] 1441(a), by requiring removal to the district court for the district in which the state
action is pending, properly fixes the federal venue in that district.”).11
11 See also In re S & K Air Power of Fla., Inc., 166 B.R. 193, 194 (Bankr. S.D. Fla. 1994) (“state court
actions must be removed to the District Court for the district in which the case is pending [under section 1452].”); In
re Trafficwatch, 138 B.R. 841, 843 (Bankr. E.D. Tex. 1992) (same); Cook v. Shell Chem. Co., 730 F. Supp. 1381,
1382 (M.D. La. 1990) (section 1441 fixes proper venue for removed state court actions as “the district court of the
United States for the district and division embracing the place where such action is pending”); 14C Charles A.
Wright , Arthur R. Miller & E. Cooper, Federal Practice and Procedure § 3732 (4th ed. 2011) (“[t]he general
removal statute, Section 1441 of Title 28, provides that the venue of a removed case is ‘the district and division
embracing the place where such action is pending.’”). There appears to be some tension within the Eleventh Circuit
as to whether removing a proceeding to the wrong district is a jurisdictional, as opposed to merely procedural,
defect. The National Developers court, which was followed by the court in S & K Air Power, held that an improper
removal under the precursor statute to section 1452 deprived the destination court of subject matter jurisdiction. In
re Nat’l Developers, Inc., 803 F.2d 616, 620 (11th Cir. 1986) (direct removal of New York State action to Middle
District of Alabama Bankruptcy Court was improper under section 1452’s statutory precursor). At the same time,
several subsequent 11th Circuit cases have clearly found that section 1441 is a venue-fixing statute, making defects
in removal merely procedural defects. See, e.g., Global Satellite Commc’n Co. v. Starmill U.K. Ltd., 378 F.3d 1269,
1271 (11th Cir. 2004); Hollis, 259 F.3d at 1299. In any event, since National Developers involved a request to
remand based on the lack of bankruptcy court jurisdiction and not a request to retain jurisdiction under independent
federal subject matter jurisdiction on diversity and federal question grounds, it is not controlling here.
13
Case 8:11-ap-00418-KRM Doc 12 Filed 05/20/11 Page 19 of 27

The removal of the Oregon Action directly to the Bankruptcy Court in Florida was
therefore defective and in contravention of the procedures mandated by 28 U.S.C. § 1452(a) and
Bankruptcy Rule 9027(a)(1).12 Pursuant to the plain language of both the statute and the rule,
the Oregon District Court is the only court having proper venue for actions removed from an
Oregon state court. Proper procedure required the Trustee to remove the Oregon Action to the
Oregon District Court and then seek a transfer from the Oregon District Court to the Middle
District of Florida, where the proceedings related to the Bankruptcy Proceeding would then have
been referred to the Bankruptcy Court. See National Developers, 803 F.2d at 620; S & K Air
Power, 166 B.R. at 194. Because the Trustee elected not to follow this procedure, the removal
was defective and the claims against ICANN are improperly venued in the Middle District of
Florida.
C. The Traditional Requirements for Withdrawal of the Reference Are Met
As established above, “cause” exists to withdraw the reference as to the claims against
ICANN by virtue of the defective removal that has improperly placed ICANN in the Bankruptcy
Court. However, even if this Court finds that the Oregon Action was properly removed to the
Bankruptcy Court, the factors traditionally relied upon for determining whether to withdraw the
reference fully support withdrawal under 28 U.S.C. § 157(d), which include: (i) the
advancement of uniformity in bankruptcy administration; (ii) decreasing forum shopping and
confusion; (iii) promoting the economical use of the parties’ resources; (iv) facilitating the
bankruptcy process; (v) whether the claim is core or non-core; (vi) the efficient use of judicial
resources; (vii) whether a jury demand has been made; and (viii) the prevention of delay.
Control Ctr., L.L.C. v. Lauer, 288 B.R. 269, 274 (M.D. Fla. 2002) (citing Dionne v. Simmons (In
12 Bankruptcy Rule 9027(a)(1) provides, in relevant part: “(a) Notice of Removal. (1) Where filed: form
and content. A notice of removal shall be filed with the clerk for the district and division within which is located
the state or federal court where the civil action is pending . . . .” Fed. R. Bankr.P. 9027(a)(1) (emphasis added).
14
Case 8:11-ap-00418-KRM Doc 12 Filed 05/20/11 Page 20 of 27
re Simmons), 200 F.3d 738, 742 (11th Cir. 2000); In re Hvide Marine Towing, Inc., 248 B.R.
841, 844 (M.D. Fla. 2000)). Cause to withdraw the reference may be found “if one or more of
these factors is present.” United States v. Kaplan, 146 B.R. 500, 504 (D. Mass. 1992); see also
Control Ctr., L.L.C. v. Lauer, 288 B.R. 269 (withdrawing the reference on the basis that all but
one claim in adversary complaint was non-core and the defendant was entitled to a jury trial).
When each of these factors is considered, it is clear that the reference should be withdrawn.
1. None of the Claims against ICANN Are Core Or Non-Core Claims
Because a district court is obligated to review the findings of a bankruptcy court on non-
core matters de novo, “a determination that a proceeding is non-core weighs in favor of
transferring the matter to a district court.” Control Ctr., 288 B.R. at 275. Under 28 U.S.C.
§ 157, core proceedings are the equivalent to those “‘arising under title 11 or arising in a case
under title 11,’ while ‘non-core’ proceedings are synonymous with those ‘otherwise related’ to
the bankruptcy estate.’” Id. at 276 (quoting In re Toledo, 170 F.3d at 1349)(emphasis added);
see also 28 U.S.C. § 157(b)(1) and (c)(1).
As established above, the claims against ICANN did not “arise under title 11,” did not
“arise in” and are not “related to” the Debtor’s bankruptcy proceeding. As such, the claims
against ICANN are neither core nor non-core claims. This determination weighs heavily in favor
of this Court withdrawing the reference over these non-bankruptcy claims.
2. There is No Risk of Forum-Shopping Here
ICANN’s request to withdraw the reference to the Bankruptcy Court does not represent
an effort to “forum shop.” Indeed, as established above, this proceeding did not commence in
the Bankruptcy Court and should properly be sent to the Oregon District Court, which is the only
forum to which the Oregon Action could have been properly removed in the first instance. The
15
Case 8:11-ap-00418-KRM Doc 12 Filed 05/20/11 Page 21 of 27

Bankruptcy Court has no countervailing interest in hearing the claims against ICANN,13 and
given that the Bankruptcy Court does not have jurisdiction over the non-bankruptcy claims
between non-debtor parties, this factor again weighs in favor of withdrawing the reference with
respect to the claims against ICANN.
3. Withdrawal of the Reference Would Promote the Economical Use of
the Parties’ and Judicial Resources
The promotion of the economical use of the parties’ and judicial resources are additional
factors weighing in favor of withdrawal of the reference. Control Ctr., 288 B.R. at 274. Here,
withdrawal of the reference and transfer would promote efficiency by removing the cloud of the
jurisdictional and procedural defects resulting from the improper removal to the Bankruptcy
Court. A matter must be, at a minimum, related to a bankruptcy proceeding in order for a
bankruptcy court to exercise any jurisdiction. In re Happy Hocker, 212 Fed. App’x. at 817. As
established above, there is no “related-to” bankruptcy jurisdiction over the claims against
ICANN. As such, the removal of the claims against ICANN was improper, raising procedural
and jurisdictional questions regarding any actions taken with regard to the claims against ICANN
by the Bankruptcy Court. Under these circumstances, withdrawal of the reference would
promote judicial economy by ensuring that the claims against ICANN are heard by a court that
clearly has subject matter jurisdiction.
4. ICANN is Entitled to a Jury Trial
Should the matter against ICANN continue beyond the pleading stage (which it cannot
because there is no personal jurisdiction over ICANN), ICANN has a right to a jury trial.
ICANN’s right to a jury trial is highly relevant to withdrawal of the reference and, by itself,
13 In fact, the issues before the Bankruptcy Court on the claims involving the Debtor Defendant and the
Trustee both involve purely procedural issues (whether the claims violate the Discharge Injunction, and whether the
Plaintiff failed to obtain leave from the Bankruptcy Court to sue the Trustee under the Barton Doctrine,
respectively), and thus the Bankruptcy Court is not even being asked to address the merits of the claims as to these
two defendants.
16
Case 8:11-ap-00418-KRM Doc 12 Filed 05/20/11 Page 22 of 27

constitutes cause to withdraw the reference. See In re Orion Pictures Corp., 4 F.3d 1095, 1101
(2d Cir. 1993) (“a district court might find that the inability of the bankruptcy court to hold the
trial constitutes cause to withdraw the reference”). In the instant case, ICANN is entitled to a
jury trial on all of Plaintiff’s claims.14 The Supreme Court has long recognized that, “as a
general rule, monetary relief is legal in nature, and that claims for such relief give rise to a right
to trial by jury.” Control Ctr., 288 B.R. at 278 (citing Feltner v. Columbia Pictures Television,
Inc., 523 U.S. 340, 352, 1185 S. Ct. 1279, 140 L. Ed. 2d 438 (1998). The claims against ICANN
each pray for monetary relief. Moreover, it is indisputable that ICANN is entitled, at the very
least, to a jury trial on Plaintiff’s claims alleging breach of contract. See Ross v. Bernhard, 396
U.S. 531, (1970) (finding a right to jury trial in a shareholder’s derivative suit because plaintiffs’
case presented legal issues of breach of contract and negligence); In re Gunnallen Fin., Inc., No.
BR. 8:10-AP-949-MGW, 2011 WL 398054, at *2 (M.D. Fla. Feb. 3, 2011) (defendant had a
right to a jury trial on breach of contract claim). ICANN’s right to a jury trial, accordingly,
provides additional and sufficient cause for withdrawal of the reference.15
5. None of the Remaining Permissive Withdrawal Factors Counsel
Against Withdrawing the Reference
The remaining factors to consider when determining whether to withdraw the reference to
the bankruptcy court, including the advancement of uniformity in bankruptcy administration,
facilitating the bankruptcy process, and the prevention of delay, are not relevant as to the claims
against ICANN. Thus, these remaining factors do not counsel against withdrawing the reference.
14 Plaintiff has also specifically requested a jury trial in her Complaint. Complaint at ¶ 175.
15 A bankruptcy court may conduct a jury trial only if it is “specially designated” to do so by the district
court and all parties have consented. 28 U.S.C. § 157(e). To eliminate any doubt, ICANN does not consent to a
jury trial in the Bankruptcy Court.
17
Case 8:11-ap-00418-KRM Doc 12 Filed 05/20/11 Page 23 of 27
D. The Appropriate Remedy Upon Withdrawal of the Reference is Dismissal or
Transfer to the Oregon District Court
As established above, withdrawal of the reference is called for in this case. Upon
withdrawing the reference, this Court should either dismiss the claims against ICANN or transfer
those claims to the Oregon District Court. See 28 U.S.C. §§ 1406(a), 1412.
As a threshold matter, while the Bankruptcy Court lacks subject matter jurisdiction over
the claims against ICANN, the Florida District Court has independent federal question and
diversity of citizenship jurisdiction over these claims. By virtue of Plaintiff’s claims against
ICANN under the ADA and FOIA, both federal statutes, this Court retains federal question
jurisdiction under 28 U.S.C. § 1331. And diversity jurisdiction also exists. See 28 U.S.C. §
1332. Plaintiff is a resident of Oregon, Cmplaint at ¶ 1; and ICANN is a California non-profit
public benefit corporation with its principal place of business in California. Atallah Decl. at ¶ 2.
Furthermore, the Complaint seeks damages of more than $5 million, which well-exceeds the
minimum amount in controversy required for diversity jurisdiction. 28 U.S.C. § 1332(a).
Under 28 U.S.C. § 1406(a) “[t]he district court in which is filed a case laying venue in the
wrong division or district shall dismiss, or if it be in the interests of justice, transfer such case to
any district or division in which it could have been brought.” In the context of section 1441,
numerous courts have held, based on the procedural nature of the defect resulting from
proceedings being removed to the wrong district, that section 1406 contains the proper remedy
for such defects. See, e.g., Keeth v. State Farm Fire & Cas. Co., No. 10-13219, 2011 WL
479903, at *2 (E.D. Mich. Feb 7, 2011); Shamrock Mfg. Co. v. Ammex Corp., No. CV-F-10-908,
2010 WL 3153976, at *8 (E.D. Cal. Aug. 9, 2010); Mortensen v. Wheel Horse Prods., Inc., 772
F. Supp. 85, 89 (N.D.N.Y. 1991); Cook, 730 F. Supp. at 1382; see also 17 J. Moore, Federal
Practice § 111.37 (4th ed. 2011) (“[w]hen the defendant mistakenly removes an action filed in
18
Case 8:11-ap-00418-KRM Doc 12 Filed 05/20/11 Page 24 of 27

state court to the wrong district or division . . . the courts analogize the defect in the district court
as ‘akin to an improper venue situation,’ and accordingly will transfer the action under Section
1406(a), the improper venue transfer statute, rather than remand the action for improvident
removal.”). Removal to the wrong district under section 1452 has been similarly ruled to be a
procedural defect. See In re Trafficwatch, 138 B.R. at 843.16 Accordingly, section 1406(a)
should also be held to supplement section 1452, especially because section 1452 does not contain
any similar remedy for an improperly venued removal. See 28 U.S.C. § 1452; In re Micci, 188
B.R. 697 (S.D. Fla. 1995) (assuming the applicability of 28 U.S.C. § 1406(a) to a case filed in
bankruptcy court); Thompson v. Greenwood, 507 F.3d 416, 420 (6th Cir. 2007) (concluding that
when a bankruptcy proceeding is improperly venued, section 1406, rather than section 1412,
applies); In re EDP Med. Computer Sys., Inc., 178 B.R. 57 (M.D. Pa. 1995) (same); In re
Sporting Club at Illinois Ctr., 132 B.R. 792 (N.D. Ga. 1991) (same).
But even if section 1406(a) did not apply, section 1412, which governs change of venue
in bankruptcy cases, justifies a transfer in the interests of justice of the claims against ICANN to
the Oregon District Court. 28 U.S.C. § 1412. ICANN has been dragged into an improper court
by virtue of the Trustee’s defective removal. Prior to the removal, ICANN fully intended itself
to remove the Oregon Action to the Oregon District Court. ICANN was unable to do so,
however, because the Trustee filed its improper Notice of Removal first, and thereafter, the
parties were prohibited from proceeding any further in the Oregon Action at the state level. See
16 While National Developers interpreted the same error under section 1452 to be a jurisdictional defect,
potentially calling into question the applicability of the “venue” defect described in section 1406(a) to removals
under section 1452, National Developers involved the statutory precursor to section 1452 under a previous version
of the Bankruptcy Code that conferred jurisdiction over bankruptcy cases and proceedings directly upon the
bankruptcy courts and did not involve a situation, as here, where the District Court has independent subject matter
jurisdiction without regard to whether there is bankruptcy jurisdiction. 803 F.2d at 620; see Northern Pipeline
Const. Co. v. Marathon Pipe Line Co., 458 U.S. 50 (1982). Moreover, subsequent to National Developers, the
Supreme Court has stated that that the general removal provisions of sections 1441, 1446–48, supplement the
bankruptcy removal provision of section 1452. Alexander v. Cintas Corp. ( In re Terry Mfg. Co. Inc)., 324 B.R.
147, 151-152 (Bankr. M.D. Ala. 2005) (discussing Things Remembered, Inc. v. Petrarca, 516 U.S. 124, 129 (1995)).
19
Case 8:11-ap-00418-KRM Doc 12 Filed 05/20/11 Page 25 of 27

Fed. R. Bankr. P. 9027(c). Accordingly, the interests of justice demand that the claims against
ICANN be transferred to the Oregon District Court, which is the court to which these claims
should have been removed. Terry Mfg. Co. v. Steel Law Firm P.C. (In re Terry Mfg. Co. Inc.),
323 B.R. 507, 509 (Bankr. M.D. Ala. 2005); In re Sporting Club at Illinois Ctr., 132 B.R. 792.
CONCLUSION
For the reasons set forth herein, ICANN respectfully requests that the Court enter an
order (i) withdrawing the reference of the claims against ICANN from the Bankruptcy Court to
the Florida District Court; and (ii) either dismissing the claims against ICANN or transferring
them to the Oregon District Court.
DATED: May 20, 2011 Respectfully submitted,
By: /s/ Maria Ruiz
Maria Ruiz
Florida Bar No.: 182923
Kasowitz, Benson, Torres & Friedman LLP
1441 Brickell Avenue, Suite 1420
Miami, Florida 33131
Telephone: (786) 587-1044
Facsimile: (305)675-2601
Email: mruiz@kasowitz.com
By: /s/ Jane Rue Wittstein
Jane Rue Wittstein (Pro Hac Vice Pending)
Cindy Reichline (Pro Hac Vice Pending)
Jones Day
555 S. Flower Street, 50th Floor
Los Angeles, California 90071
Telephone: (213) 4893939
Facsimile: (213)243-2539
Email: jruewittstein@jonesday.com
Email: creichline@jonesday.com
Attorneys for Defendant
INTERNET CORPORATION FOR
ASSIGNED NAMES AND NUMBERS
20
Case 8:11-ap-00418-KRM Doc 12 Filed 05/20/11 Page 26 of 27

21
CERTIFICATE OF SERVICE
I HEREBY CERTIFY that a true and correct copy of the foregoing memorandum of law
has been provided by regular U.S. Mail or the Court's CM/ECF system on the 20th day of May,
2011, to: Charles F. Steinberger and Pamela J. Perry, 19302 69th Avenue East, Bradenton, FL
34211; Christopher D. Smith, Esq., 5391 Lakewood Ranch Blvd., #203, Sarasota, FL 34240;
Denise Subramaniam, 2850 SW Cedar Hills Blvd. #351, Beaverton, OR 97005 and at 13865 SW
Walker Road, Beaverton, OR 97005; Susan K. Woodard, Trustee, PO Box 7828, St. Petersburg,
FL 33734-7828; Herbert Donica, Counsel for Trustee, 106 S. Tampania Ave., Suite 250 Tampa,
FL 33609 and Internet.bs Corp., c/o Ernesto Gongora, CTO, 98 Hampshire Street, N-4892
Nassau, The Bahamas.
/s/ Maria H. Ruiz
Maria H. Ruiz
Florida Bar No. 182923
mruiz@kasowitz.com
LAI-3131168v2
Case 8:11-ap-00418-KRM Doc 12 Filed 05/20/11 Page 27 of 27

Case 8:11-ap-00418-KRM Doc 12-1 Filed 05/20/11 Page 1 of 66

Case 8:11-ap-00418-KRM Doc 12-1 Filed 05/20/11 Page 2 of 66

Case 8:11-ap-00418-KRM Doc 12-1 Filed 05/20/11 Page 3 of 66

Case 8:11-ap-00418-KRM Doc 12-1 Filed 05/20/11 Page 4 of 66

Case 8:11-ap-00418-KRM Doc 12-1 Filed 05/20/11 Page 5 of 66

Case 8:11-ap-00418-KRM Doc 12-1 Filed 05/20/11 Page 6 of 66

Case 8:11-ap-00418-KRM Doc 12-1 Filed 05/20/11 Page 7 of 66

Case 8:11-ap-00418-KRM Doc 12-1 Filed 05/20/11 Page 8 of 66

Case 8:11-ap-00418-KRM Doc 12-1 Filed 05/20/11 Page 9 of 66

Case 8:11-ap-00418-KRM Doc 12-1 Filed 05/20/11 Page 10 of 66

Case 8:11-ap-00418-KRM Doc 12-1 Filed 05/20/11 Page 11 of 66

Case 8:11-ap-00418-KRM Doc 12-1 Filed 05/20/11 Page 12 of 66

Case 8:11-ap-00418-KRM Doc 12-1 Filed 05/20/11 Page 13 of 66

Case 8:11-ap-00418-KRM Doc 12-1 Filed 05/20/11 Page 14 of 66

Case 8:11-ap-00418-KRM Doc 12-1 Filed 05/20/11 Page 15 of 66

Case 8:11-ap-00418-KRM Doc 12-1 Filed 05/20/11 Page 16 of 66

Case 8:11-ap-00418-KRM Doc 12-1 Filed 05/20/11 Page 17 of 66

Case 8:11-ap-00418-KRM Doc 12-1 Filed 05/20/11 Page 18 of 66

Case 8:11-ap-00418-KRM Doc 12-1 Filed 05/20/11 Page 19 of 66

Case 8:11-ap-00418-KRM Doc 12-1 Filed 05/20/11 Page 20 of 66

Case 8:11-ap-00418-KRM Doc 12-1 Filed 05/20/11 Page 21 of 66

Case 8:11-ap-00418-KRM Doc 12-1 Filed 05/20/11 Page 22 of 66

Case 8:11-ap-00418-KRM Doc 12-1 Filed 05/20/11 Page 23 of 66

Case 8:11-ap-00418-KRM Doc 12-1 Filed 05/20/11 Page 24 of 66

Case 8:11-ap-00418-KRM Doc 12-1 Filed 05/20/11 Page 25 of 66

Case 8:11-ap-00418-KRM Doc 12-1 Filed 05/20/11 Page 26 of 66

Case 8:11-ap-00418-KRM Doc 12-1 Filed 05/20/11 Page 27 of 66

Case 8:11-ap-00418-KRM Doc 12-1 Filed 05/20/11 Page 28 of 66

Case 8:11-ap-00418-KRM Doc 12-1 Filed 05/20/11 Page 29 of 66

Case 8:11-ap-00418-KRM Doc 12-1 Filed 05/20/11 Page 30 of 66

Case 8:11-ap-00418-KRM Doc 12-1 Filed 05/20/11 Page 31 of 66

Case 8:11-ap-00418-KRM Doc 12-1 Filed 05/20/11 Page 32 of 66

Case 8:11-ap-00418-KRM Doc 12-1 Filed 05/20/11 Page 33 of 66

Case 8:11-ap-00418-KRM Doc 12-1 Filed 05/20/11 Page 34 of 66

Case 8:11-ap-00418-KRM Doc 12-1 Filed 05/20/11 Page 35 of 66

Case 8:11-ap-00418-KRM Doc 12-1 Filed 05/20/11 Page 36 of 66

Case 8:11-ap-00418-KRM Doc 12-1 Filed 05/20/11 Page 37 of 66

Case 8:11-ap-00418-KRM Doc 12-1 Filed 05/20/11 Page 38 of 66

Case 8:11-ap-00418-KRM Doc 12-1 Filed 05/20/11 Page 39 of 66

Case 8:11-ap-00418-KRM Doc 12-1 Filed 05/20/11 Page 40 of 66

Case 8:11-ap-00418-KRM Doc 12-1 Filed 05/20/11 Page 41 of 66

Case 8:11-ap-00418-KRM Doc 12-1 Filed 05/20/11 Page 42 of 66

Case 8:11-ap-00418-KRM Doc 12-1 Filed 05/20/11 Page 43 of 66

Case 8:11-ap-00418-KRM Doc 12-1 Filed 05/20/11 Page 44 of 66

Case 8:11-ap-00418-KRM Doc 12-1 Filed 05/20/11 Page 45 of 66

Case 8:11-ap-00418-KRM Doc 12-1 Filed 05/20/11 Page 46 of 66

Case 8:11-ap-00418-KRM Doc 12-1 Filed 05/20/11 Page 47 of 66

Case 8:11-ap-00418-KRM Doc 12-1 Filed 05/20/11 Page 48 of 66

Case 8:11-ap-00418-KRM Doc 12-1 Filed 05/20/11 Page 49 of 66

Case 8:11-ap-00418-KRM Doc 12-1 Filed 05/20/11 Page 50 of 66

Case 8:11-ap-00418-KRM Doc 12-1 Filed 05/20/11 Page 51 of 66

Case 8:11-ap-00418-KRM Doc 12-1 Filed 05/20/11 Page 52 of 66

Case 8:11-ap-00418-KRM Doc 12-1 Filed 05/20/11 Page 53 of 66

Case 8:11-ap-00418-KRM Doc 12-1 Filed 05/20/11 Page 54 of 66

Case 8:11-ap-00418-KRM Doc 12-1 Filed 05/20/11 Page 55 of 66

Case 8:11-ap-00418-KRM Doc 12-1 Filed 05/20/11 Page 56 of 66

Case 8:11-ap-00418-KRM Doc 12-1 Filed 05/20/11 Page 57 of 66

Case 8:11-ap-00418-KRM Doc 12-1 Filed 05/20/11 Page 58 of 66

Case 8:11-ap-00418-KRM Doc 12-1 Filed 05/20/11 Page 59 of 66

Case 8:11-ap-00418-KRM Doc 12-1 Filed 05/20/11 Page 60 of 66

Case 8:11-ap-00418-KRM Doc 12-1 Filed 05/20/11 Page 61 of 66

Case 8:11-ap-00418-KRM Doc 12-1 Filed 05/20/11 Page 62 of 66

Case 8:11-ap-00418-KRM Doc 12-1 Filed 05/20/11 Page 63 of 66

Case 8:11-ap-00418-KRM Doc 12-1 Filed 05/20/11 Page 64 of 66

Case 8:11-ap-00418-KRM Doc 12-1 Filed 05/20/11 Page 65 of 66

Case 8:11-ap-00418-KRM Doc 12-1 Filed 05/20/11 Page 66 of 66

Case 8:11-ap-00418-KRM Doc 12-2 Filed 05/20/11 Page 1 of 6

Case 8:11-ap-00418-KRM Doc 12-2 Filed 05/20/11 Page 2 of 6

Case 8:11-ap-00418-KRM Doc 12-2 Filed 05/20/11 Page 3 of 6

Case 8:11-ap-00418-KRM Doc 12-2 Filed 05/20/11 Page 4 of 6

Case 8:11-ap-00418-KRM Doc 12-2 Filed 05/20/11 Page 5 of 6

Case 8:11-ap-00418-KRM Doc 12-2 Filed 05/20/11 Page 6 of 6

Case 8:11-ap-00418-KRM Doc 12-3 Filed 05/20/11 Page 1 of 5

Case 8:11-ap-00418-KRM Doc 12-3 Filed 05/20/11 Page 2 of 5

Case 8:11-ap-00418-KRM Doc 12-3 Filed 05/20/11 Page 3 of 5

Case 8:11-ap-00418-KRM Doc 12-3 Filed 05/20/11 Page 4 of 5

Case 8:11-ap-00418-KRM Doc 12-3 Filed 05/20/11 Page 5 of 5