Jenetics Manual 4.2.0
User Manual:
Open the PDF directly: View PDF
.
Page Count: 135 [warning: Documents this large are best viewed by clicking the View PDF Link!]
- Fundamentals
- Advanced topics
- Internals
- Modules
- Examples
- Build
- Bibliography

JENETICS
LIBRARY USER’S MANUAL 4.2
Franz Wilhelmstötter

Franz Wilhelmstötter
franz.wilhelmstoetter@gmail.com
http://jenetics.io
4.2.0—2018/05/31
This work is licensed under a Creative Commons Attribution-ShareAlike 3.0 License. To view
a copy of this license, visit http://creativecommons.org/licenses/by-sa/3.0/ or send a
letter to Creative Commons, 444 Castro Street, Suite 900, Mountain View, California, 94041,
USA.

Contents
1 Fundamentals 1
1.1 Introduction.............................. 1
1.2 Architecture.............................. 4
1.3 Baseclasses.............................. 5
1.3.1 Domainclasses ........................ 6
1.3.1.1 Gene ........................ 6
1.3.1.2 Chromosome . . . . . . . . . . . . . . . . . . . . 7
1.3.1.3 Genotype...................... 8
1.3.1.4 Phenotype . . . . . . . . . . . . . . . . . . . . . 11
1.3.2 Operation classes . . . . . . . . . . . . . . . . . . . . . . . 11
1.3.2.1 Selector....................... 12
1.3.2.2 Alterer ....................... 15
1.3.3 Engineclasses......................... 21
1.3.3.1 Fitness function . . . . . . . . . . . . . . . . . . 21
1.3.3.2 Fitness scaler . . . . . . . . . . . . . . . . . . . . 22
1.3.3.3 Engine ....................... 22
1.3.3.4 EvolutionStream . . . . . . . . . . . . . . . . . . 25
1.3.3.5 EvolutionResult . . . . . . . . . . . . . . . . . . 26
1.3.3.6 EvolutionStatistics . . . . . . . . . . . . . . . . . 27
1.3.3.7 Engine.Evaluator . . . . . . . . . . . . . . . . . . 29
1.4 Nutsandbolts ............................ 30
1.4.1 Concurrency ......................... 30
1.4.1.1 Basic configuration . . . . . . . . . . . . . . . . 30
1.4.1.2 Concurrency tweaks . . . . . . . . . . . . . . . . 31
1.4.2 Randomness ......................... 32
1.4.3 Serialization.......................... 35
1.4.4 Utility classes . . . . . . . . . . . . . . . . . . . . . . . . . 36
2 Advanced topics 38
2.1 Extending Jenetics ......................... 38
2.1.1 Genes ............................. 38
2.1.2 Chromosomes......................... 39
2.1.3 Selectors............................ 41
2.1.4 Alterers ............................ 42
2.1.5 Statistics ........................... 42
2.1.6 Engine............................. 43
2.2 Encoding ............................... 44
2.2.1 Realfunction......................... 44
ii

CONTENTS CONTENTS
2.2.2 Scalar function . . . . . . . . . . . . . . . . . . . . . . . . 45
2.2.3 Vector function . . . . . . . . . . . . . . . . . . . . . . . . 46
2.2.4 Affine transformation . . . . . . . . . . . . . . . . . . . . 46
2.2.5 Graph............................. 48
2.3 Codec ................................. 50
2.3.1 Scalarcodec.......................... 51
2.3.2 Vectorcodec ......................... 52
2.3.3 Subsetcodec ......................... 52
2.3.4 Permutation codec . . . . . . . . . . . . . . . . . . . . . . 54
2.3.5 Composite codec . . . . . . . . . . . . . . . . . . . . . . . 55
2.4 Problem................................ 56
2.5 Validation............................... 57
2.6 Termination.............................. 58
2.6.1 Fixed generation . . . . . . . . . . . . . . . . . . . . . . . 59
2.6.2 Steadyfitness......................... 59
2.6.3 Evolution time . . . . . . . . . . . . . . . . . . . . . . . . 61
2.6.4 Fitness threshold . . . . . . . . . . . . . . . . . . . . . . . 62
2.6.5 Fitness convergence . . . . . . . . . . . . . . . . . . . . . 63
2.6.6 Population convergence . . . . . . . . . . . . . . . . . . . 64
2.6.7 Gene convergence . . . . . . . . . . . . . . . . . . . . . . . 65
2.7 Evolution performance . . . . . . . . . . . . . . . . . . . . . . . . 65
2.8 Evolution strategies . . . . . . . . . . . . . . . . . . . . . . . . . 66
2.8.1 (µ, λ)evolution strategy . . . . . . . . . . . . . . . . . . . 66
2.8.2 (µ+λ)evolution strategy . . . . . . . . . . . . . . . . . . 68
2.9 Evolution interception . . . . . . . . . . . . . . . . . . . . . . . . 68
3 Internals 70
3.1 PRNGtesting............................. 70
3.2 Randomseeding ........................... 71
4 Modules 74
4.1 io.jenetics.ext .......................... 75
4.1.1 Data structures . . . . . . . . . . . . . . . . . . . . . . . . 75
4.1.1.1 Tree......................... 75
4.1.1.2 Flattree ...................... 76
4.1.2 Genes ............................. 77
4.1.2.1 BigInteger gene . . . . . . . . . . . . . . . . . . 77
4.1.2.2 Treegene...................... 77
4.1.3 Operators........................... 77
4.1.4 Weasel program . . . . . . . . . . . . . . . . . . . . . . . 77
4.1.5 Modifying Engine ...................... 80
4.1.5.1 ConcatEngine ................... 81
4.1.5.2 CyclicEngine ................... 82
4.1.5.3 AdaptiveEngine .................. 82
4.1.6 Multi-objective optimization . . . . . . . . . . . . . . . . 83
4.1.6.1 Pareto efficiency . . . . . . . . . . . . . . . . . . 84
4.1.6.2 Implementing classes . . . . . . . . . . . . . . . 85
4.1.6.3 Termination . . . . . . . . . . . . . . . . . . . . 88
4.2 io.jenetics.prog .......................... 88
4.2.1 Operations .......................... 88
iii

CONTENTS CONTENTS
4.2.2 Program creation . . . . . . . . . . . . . . . . . . . . . . . 90
4.2.3 Program repair . . . . . . . . . . . . . . . . . . . . . . . . 91
4.2.4 Program pruning . . . . . . . . . . . . . . . . . . . . . . . 91
4.3 io.jenetics.xml .......................... 92
4.3.1 XMLwriter.......................... 92
4.3.2 XMLreader.......................... 93
4.3.3 Marshalling performance . . . . . . . . . . . . . . . . . . . 94
4.4 io.jenetics.prngine ........................ 94
5 Examples 99
5.1 Onescounting............................. 99
5.2 Realfunction ............................. 101
5.3 Rastriginfunction .......................... 103
5.4 0/1Knapsack.............................105
5.5 Traveling salesman . . . . . . . . . . . . . . . . . . . . . . . . . . 107
5.6 Evolvingimages ...........................110
5.7 Symbolic regression . . . . . . . . . . . . . . . . . . . . . . . . . . 113
5.8 DTLZ1 ................................115
6 Build 119
Bibliography 123
iv

List of Figures
1.2.1 Evolution workflow . . . . . . . . . . . . . . . . . . . . . . . . . . 4
1.2.2 Evolution engine model . . . . . . . . . . . . . . . . . . . . . . . 4
1.2.3Packagestructure........................... 5
1.3.1Domainmodel ............................ 6
1.3.2 Chromosome structure ........................ 8
1.3.3 Genotype structure.......................... 8
1.3.4 Row-major Genotype vector .................... 9
1.3.5 Column-major Genotype vector................... 10
1.3.6 Genotype scalar............................ 11
1.3.7 Fitness proportional selection . . . . . . . . . . . . . . . . . . . . 13
1.3.8 Stochastic-universal selection . . . . . . . . . . . . . . . . . . . . 15
1.3.9 Single-point crossover . . . . . . . . . . . . . . . . . . . . . . . . 18
1.3.102-pointcrossover ........................... 18
1.3.113-pointcrossover ........................... 18
1.3.12Partially-matched crossover . . . . . . . . . . . . . . . . . . . . . 19
1.3.13Uniform crossover . . . . . . . . . . . . . . . . . . . . . . . . . . 19
1.3.14Line crossover hypercube . . . . . . . . . . . . . . . . . . . . . . 20
1.4.1Evaluationbatch ........................... 30
1.4.2Blocksplitting ............................ 34
1.4.3Leapfrogging ............................. 35
1.4.4 Seq classdiagram........................... 37
2.2.1 Undirected graph and adjacency matrix . . . . . . . . . . . . . . 48
2.2.2 Directed graph and adjacency matrix . . . . . . . . . . . . . . . . 49
2.2.3 Weighted graph and adjacency matrix . . . . . . . . . . . . . . . 50
2.6.1 Fixed generation termination . . . . . . . . . . . . . . . . . . . . 60
2.6.2 Steady fitness termination . . . . . . . . . . . . . . . . . . . . . . 61
2.6.3 Execution time termination . . . . . . . . . . . . . . . . . . . . . 62
2.6.4 Fitness threshold termination . . . . . . . . . . . . . . . . . . . . 63
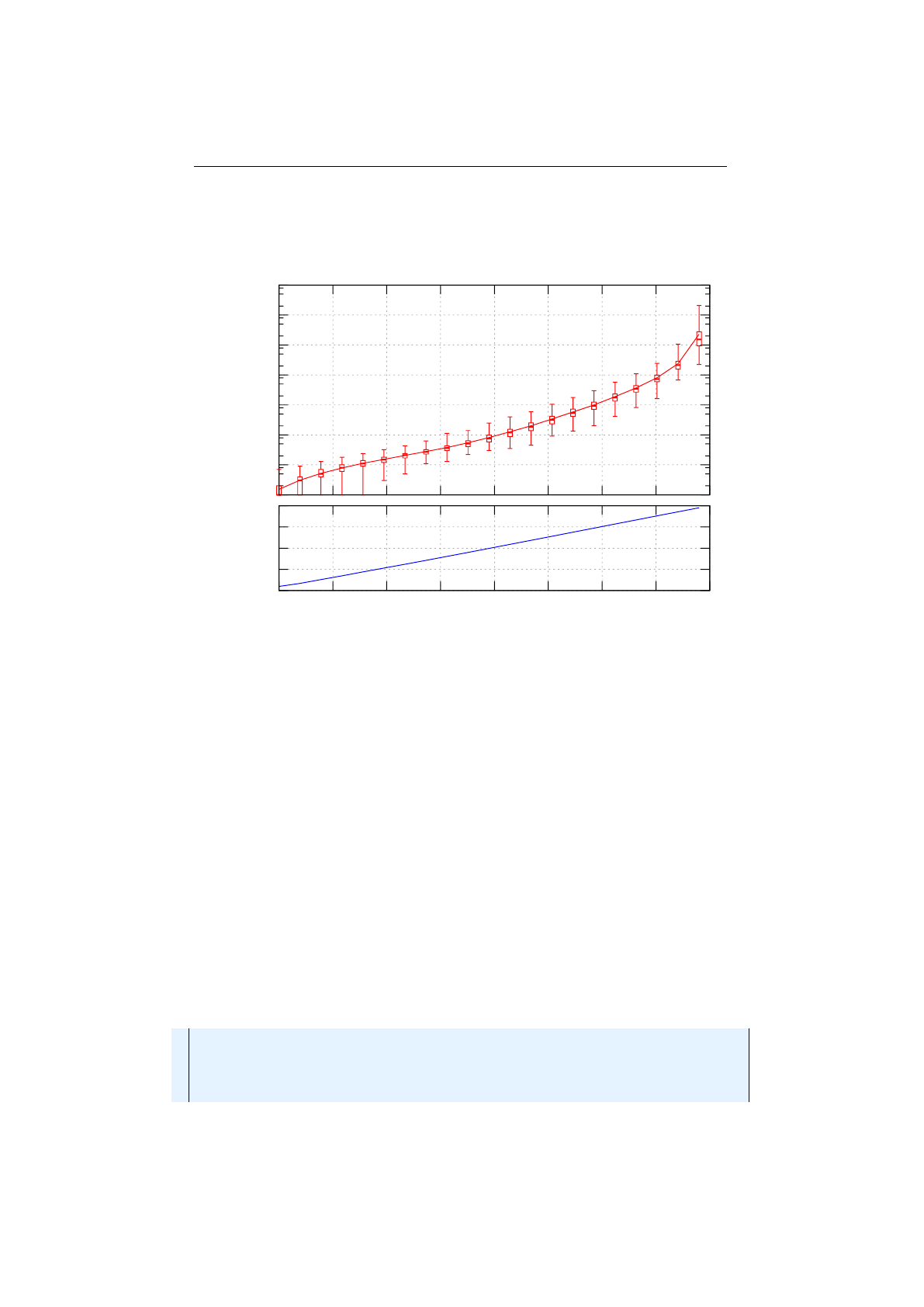
2.6.5 Fitness convergence termination: NS= 10,NL= 30 ....... 65
2.6.6 Fitness convergence termination: NS= 50,NL= 150 ....... 66
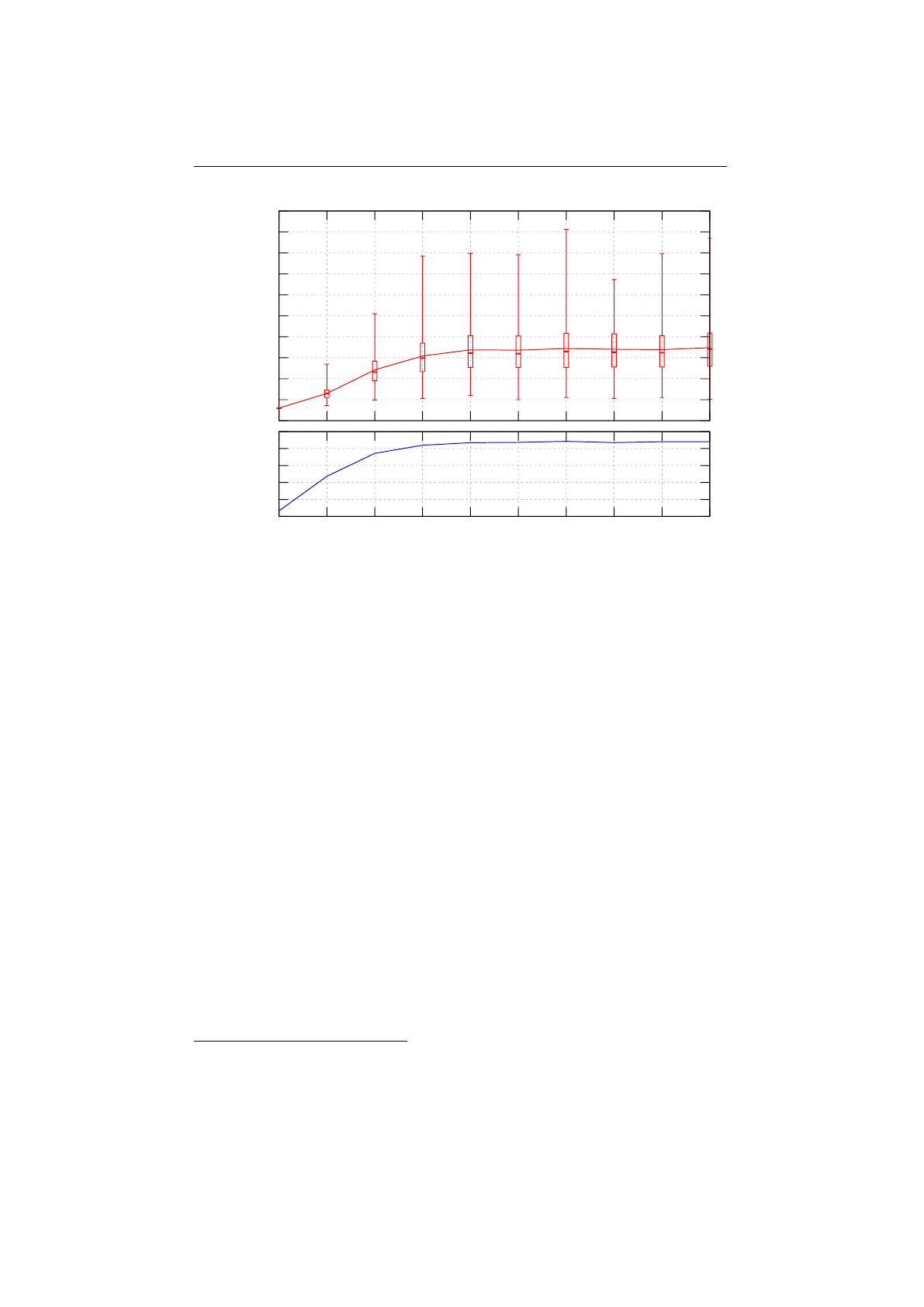
2.7.1 Selector-performance (Knapsack) . . . . . . . . . . . . . . . . . . 67
4.0.1Modulegraph............................. 74
4.1.1Exampletree ............................. 75
4.1.2 Example FlatTree .......................... 76
4.1.3 Single-node crossover . . . . . . . . . . . . . . . . . . . . . . . . . 78
4.1.4 Engine concatenation ........................ 81
4.1.5 Cyclic Engine ............................. 82
v

LIST OF FIGURES LIST OF FIGURES
4.1.6 Adaptive Engine ........................... 83
4.1.7Circlepoints ............................. 84
4.1.8 Maximizing Pareto front . . . . . . . . . . . . . . . . . . . . . . . 85
4.1.9 Minimizing Pareto front . . . . . . . . . . . . . . . . . . . . . . . 85
4.3.1 Genotype write performance . . . . . . . . . . . . . . . . . . . . . 95
4.3.2 Genotype read performance . . . . . . . . . . . . . . . . . . . . . 96
5.2.1Realfunction ............................. 101
5.3.1 Rastrigin function . . . . . . . . . . . . . . . . . . . . . . . . . . 103
5.6.1 Evolving images UI . . . . . . . . . . . . . . . . . . . . . . . . . . 111
5.6.2 Evolving Mona Lisa images.....................112
5.7.1 Symbolic regression polynomial . . . . . . . . . . . . . . . . . . . 115
5.8.1 Pareto front DTLZ1 . . . . . . . . . . . . . . . . . . . . . . . . . 118
vi

Chapter 1
Fundamentals
Jenetics
is an advanced
Genetic Algorithm
,
Evolutionary Algorithm
and
Genetic Programming
library, respectively, written in modern day Java.
It is designed with a clear separation of the several algorithm concepts, e. g.
Gene
,
Chromosome
,
Genotype
,
Phenotype
, population and fitness
Function
.
Jenetics
allows you to minimize or maximize the given fitness function without
tweaking it. In contrast to other GA implementations, the library uses the
concept of an evolution stream (EvolutionStream) for executing the evolution
steps. Since the
EvolutionStream
implements the Java
Stream
interface, it
works smoothly with the rest of the Java Stream API. This chapter describes
the design concepts and its implementation. It also gives some basic examples
and best practice tips.1
1.1 Introduction
Jenetics
is a library, written in Java
2
, which provides an genetic algorithm (GA)
and genetic programming (GP) implementation. It has no runtime dependencies
to other libraries, except the Java 8 runtime. Since the library is available on
maven central repository
3
, it can be easily integrated into existing projects. The
very clear structuring of the different parts of the GA allows an easy adaption
for different problem domains.
This manual is not an introduction or a tutorial for genetic and/or evolu-
tionary algorithms in general. It is assumed that the reader has a knowledge
about the structure and the functionality of genetic algorithms. Good in-
troductions to GAs can be found in [
29
], [
20
], [
28
], [
19
], [
21
] or [
33
]. For
genetic programming you can have a look at [17] or [18].
1
The classes described in this chapter reside in the
io.jenetics.base
module or
io:jenetics:jenetics:4.2.0 artifact, respectively.
2
The library is build with and depends on Java SE 8:
http://www.oracle.com/technetwork/
java/javase/downloads/index.html
3https://mvnrepository.com/artifact/io.jenetics/jenetics
: If you are using Gradle,
you can use the following dependency string: »io.jenetics:jenetics:4.2.0«.
1

1.1. INTRODUCTION CHAPTER 1. FUNDAMENTALS
To give you a first impression of the library usage, lets start with a simple
»Hello World« program. This first example implements the well known bit-
counting problem.
1import i o . j e n e t i c s . BitChromosome ;
2import i o . j e n e t i c s . BitGene ;
3import i o . j e n e t i c s . Genotype ;
4import i o . j e n e t i c s . en gin e . Engine ;
5import i o . j e n e t i c s . e n g i n e . E v o l u t i o n R e s u l t ;
6import i o . j e n e t i c s . u t i l . F actory ;
7
8public f i n a l c l as s HelloWorld {
9// 2 . ) D e f i n i t i o n o f th e f i t n e s s f u nc t i o n .
10 priv at e s t a t i c i nt eval( final Genotype<BitGene> g t ) {
11 return gt . getChromosome ( )
12 . as ( BitChromosome . c l a s s )
13 . bitCount () ;
14 }
15
16 pub li c s t a t i c void main ( final S t r i n g [ ] a r g s ) {
17 // 1 . ) D ef in e th e g enotype ( f a c t o r y ) s u i t a b l e
18 // f o r t he problem .
19 final Factory<Genotype<BitGene>> g t f =
20 Genotyp e . o f ( BitChromosome . o f ( 1 0 , 0 . 5 ) ) ;
21
22 // 3 . ) C re a te t he e x e c u t i o n e nv ir on me nt .
23 final Eng ine<BitGene , I n t e g e r > e n gi n e = Eng ine
24 . b u i l d e r ( He lloWor ld : : ev al , g t f )
25 . b u i l d ( ) ;
26
27 // 4 . ) S t a r t t he e x e c u t i o n ( e v o l u t i o n ) and
28 // c o l l e c t t h e r e s u l t .
29 final Genotype<Bi tGen e> r e s u l t = e n g i n e . s tr ea m ( )
30 . l i m i t ( 1 0 0 )
31 . c o l l e c t ( E v o l u t i o n R e s u l t . t oB es tG en ot yp e ( ) ) ;
32
33 System . out . p r i n t l n ( " H e l l o World : \ n\ t " + r e s u l t ) ;
34 }
35 }
Listing 1.1: »Hello World« GA
In contrast to other GA implementations,
Jenetics
uses the concept of an
evolution stream (
EvolutionStream
) for executing the evolution steps. Since
the
EvolutionStream
implements the Java
Stream
interface, it works smoothly
with the rest of the Java Stream API. Now let’s have a closer look at listing 1.1
and discuss this simple program step by step:
1.
The probably most challenging part, when setting up a new evolution
Engine
, is to transform the problem domain into an appropriate
Genotype
(factory) representation.
4
In our example we want to count the number
of ones of a
BitChromosome
. Since we are counting only the ones of one
chromosome, we are adding only one
BitChromosome
to our
Genotype
.
In general, the
Genotype
can be created with 1 to
n
chromosomes. For a
detailed description of the genotype’s structure have a look at section 1.3.1.3
on page 8.
2.
Once this is done, the fitness function, which should be maximized, can
be defined. Utilizing language features introduced in Java 8, we simply
4Section 2.2 on page 44 describes some common problem encodings.
2

1.1. INTRODUCTION CHAPTER 1. FUNDAMENTALS
write a private static method, which takes the genotype we defined and
calculate it’s fitness value. If we want to use the optimized bit-counting
method,
bitCount()
, we have to cast the
Chromosome<BitGene>
class
to the actual used
BitChromosome
class. Since we know for sure that we
created the
Genotype
with a
BitChromosome
, this can be done safely. A
reference to the
eval
method is then used as fitness function and passed
to the Engine.build method.
3.
In the third step we are creating the evolution
Engine
, which is responsible
for changing, respectively evolving, a given population. The Engine is highly
configurable and takes parameters for controlling the evolutionary and the
computational environment. For changing the evolutionary behavior, you
can set different alterers and selectors (see section 1.3.2 on page 11). By
changing the used
Executor
service, you control the number of threads,
the
Engine
is allowed to use. An new
Engine
instance can only be created
via its builder, which is created by calling the Engine.builder method.
4.
In the last step, we can create a new
EvolutionStream
from our
Engine
.
The
EvolutionStream
is the model (or view) of the evolutionary process.
It serves as a »process handle« and also allows you, among other things,
to control the termination of the evolution. In our example, we simply
truncate the stream after 100 generations. If you don’t limit the stream, the
EvolutionStream
will not terminate and run forever. The final result, the
best
Genotype
in our example, is then collected with one of the predefined
collectors of the EvolutionResult class.
As the example shows,
Jenetics
makes heavy use of the
Stream
and
Collector
classes in Java 8. Also the newly introduced lambda expressions and the
functional interfaces (SAM types) play an important roll in the library design.
There are many other GA implementations out there and they may slightly
differ in the order of the single execution steps.
Jenetics
uses an classical
approach. Listing 1.2 shows the (imperative) pseudo-code of the
Jenetics
genetic algorithm steps.
1P0←Pinitial
2F(P0)
3while !f inished do
4g←g+ 1
5Sg←selectS(Pg−1)
6Og←selectO(Pg−1)
7Og←alter(Og)
8Pg←filter[gi≥gmax](Sg) + f ilter[gi≥gmax](Og)
9F(Pg)
Listing 1.2: Genetic algorithm
Line (1) creates the initial population and line (2) calculates the fitness value
of the individuals. The initial population is created implicitly before the first
evolution step is performed. Line (4) increases the generation number and line (5)
and (6) selects the survivor and the offspring population. The offspring/survivor
fraction is determined by the
offspringFraction
property of the
Engine-
.Builder
. The selected offspring are altered in line (7). The next line combines
the survivor population and the altered offspring population—after removing
the died individuals—to the new population. The steps from line (4) to (9) are
repeated until a given termination criterion is fulfilled.
3

1.2. ARCHITECTURE CHAPTER 1. FUNDAMENTALS
1.2 Architecture
The basic metaphor of the
Jenetics
library is the Evolution Stream, implemented
via the Java 8 Stream API. Therefore it is no longer necessary (and advised)
to perform the evolution steps in an imperative way. An evolution stream is
powered by—and bound to—an Evolution Engine, which performs the needed
evolution steps for each generation; the steps are described in the body of the
while-loop of listing 1.2 on the previous page.
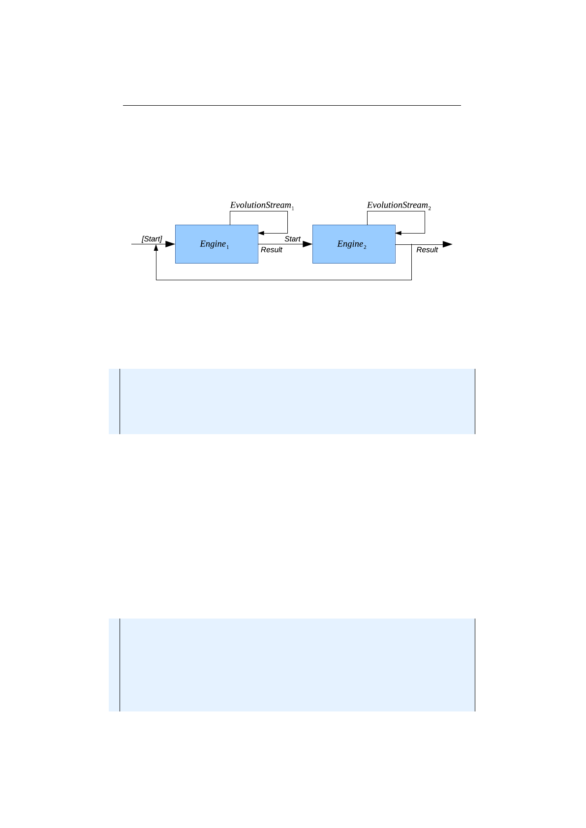
Figure 1.2.1: Evolution workflow
The described evolution workflow is also illustrated in figure 1.2.1, where
ES(i)
denotes the
EvolutionStart
object at generation
i
and
ER(i)
the
Evo-
lutionResult
at the
ith
generation. Once the evolution
Engine
is created, it
can be used by multiple
EvolutionStreams
, which can be safely used in different
execution threads. This is possible, because the evolution
Engine
doesn’t have
any mutable global state. It is practically a stateless function,
fE
: P
→
P,
which maps a start population, P, to an evolved result population. The
Engine
function,
fE
, is, of course,non-deterministic. Calling it twice with the same start
population will lead to different result populations.
The evolution process terminates, if the
EvolutionStream
is truncated and
the
EvolutionStream
truncation is controlled by the
limit
predicate. As
long as the predicate returns true, the evolution is continued.
5
At last, the
EvolutionResult
is collected from the
EvolutionStream
by one of the available
EvolutionResult collectors.
Figure 1.2.2: Evolution engine model
Figure 1.2.2 shows the static view of the main evolution classes, together
with its dependencies. Since the
Engine
class itself is immutable, and can’t
be changed after creation, it is instantiated (configured) via a builder. The
Engine
can be used to create an arbitrary number of
EvolutionStream
s. The
EvolutionStream
is used to control the evolutionary process and collect the final
5
See section 2.6 on page 58 for a detailed description of the available termination strategies.
4

1.3. BASE CLASSES CHAPTER 1. FUNDAMENTALS
result. This is done in the same way as for the normal
java.util.stream.-
Stream
classes. With the additional
limit(Predicate)
method, it is possible
to truncate the
EvolutionStream
if some termination criteria is fulfilled. The
separation of
Engine
and
EvolutionStream
is the separation of the evolution
definition and evolution execution.
Figure 1.2.3: Package structure
In figure 1.2.3 the package structure of the library is shown and it consists of
the following packages:
io.jenetics
This is the base package of the
Jenetics
library and contains all
domain classes, like
Gene
,
Chromosome
or
Genotype
. Most of this types
are immutable data classes and doesn’t implement any behavior. It also
contains the
Selector
and
Alterer
interfaces and its implementations.
The classes in this package are (almost) sufficient to implement an own
GA.
io.jenetics.engine
This package contains the actual GA implementation
classes, e. g.
Engine
,
EvolutionStream
or
EvolutionResult
. They
mainly operate on the domain classes of the io.jenetics package.
io.jenetics.stat
This package contains additional statistics classes which are
not available in the Java core library. Java only includes classes for calcu-
lating the sum and the average of a given numeric stream (e. g.
Double-
SummaryStatistics
). With the additions in this package it is also possible
to calculate the variance, skewness and kurtosis—using the
DoubleMoment-
Statistics
class. The
EvolutionStatistics
object, which can be cal-
culated for every generation, relies on the classes of this package.
io.jenetics.util
This package contains the collection classes (
Seq
,
ISeq
and
MS
eq) which are used in the public interfaces of the
Chromosome
and
Geno-
type
. It also contains the
RandomRegistry
class, which implements the
global PRNG lookup, as well as helper
IO
classes for serializing
Genotype
s
and whole populations.
1.3 Base classes
This chapter describes the main classes which are needed to setup and run an
genetic algorithm with the
Jenetics6
library. They can roughly divided into
three types:
6
The documentation of the whole API is part of the download package or can be viewed
online: http://jenetics.io/javadoc/jenetics/4.2/index.html.
5

1.3. BASE CLASSES CHAPTER 1. FUNDAMENTALS
Domain classes
This classes form the domain model of the evolutionary algo-
rithm and contain the structural classes like
Gene
and
Chromosome
. They
are directly located in the io.jenetics package.
Operation classes
This classes operates on the domain classes and includes the
Alterer
and
Selector
classes. They are also located in the
io.jenetics
package.
Engine classes
This classes implements the actual evolutionary algorithm and
reside solely in the io.jenetics.engine package.
1.3.1 Domain classes
Most of the domain classes are pure data classes and can be treated as value
objects
7
. All
Gene
and
Chromosome
implementations are immutable as well as
the Genotype and Phenotype class.
Figure 1.3.1: Domain model
Figure 1.3.1 shows the class diagram of the domain classes. All domain
classes are located in the
io.jenetics
package. The
Gene
is the base of the
class structure.
Gene
s are aggregated in
Chromosome
s. One to n
Chromosome
s
are aggregated in
Genotype
s. A
Genotype
and a fitness
Function
form the
Phenotype, which are collected into a population Seq.
1.3.1.1 Gene
Gene
s are the basic building blocks of the
Jenetics
library. They contain the
actual information of the encoded solution, the allele. Some of the implemen-
tations also contains domain information of the wrapped allele. This is the
case for all
BoundedGene
, which contain the allowed minimum and maximum
values. All
Gene
implementations are final and immutable. In fact, they are all
value-based classes and fulfill the properties which are described in the Java API
documentation[24].8
Beside the container functionality for the allele, every
Gene
is its own factory
and is able to create new, random instances of the same type and with the same
constraints. The factory methods are used by the
Alterer
s for creating new
7https://en.wikipedia.org/wiki/Value_object
8
It is also worth reading the blog entry from Stephen Colebourne:
http://blog.joda.org/
2014/03/valjos-value-java-objects.html
6

1.3. BASE CLASSES CHAPTER 1. FUNDAMENTALS
Gene
s from the existing one and play a crucial role by the exploration of the
problem space.
1public i nt erf a ce Gene<A, G extends Gene<A, G>>
2extends Factory<G>, V e r i f i a b l e
3{
4public A g e t A l l e l e ( ) ;
5public G new In st an ce ( ) ;
6public G new I nsta nc e (A a l l e l e ) ;
7public boolean isValid () ;
8}
Listing 1.3: Gene interface
Listing 1.3 shows the most important methods of the
Gene
interface. The
isValid
method, introduced by the
Verifiable
interface, allows the gene to
mark itself as invalid. All invalid genes are replaced with new ones during the
evolution phase.
The available
Gene
implementations in the
Jenetics
library should cover a
wide range of problem encodings. Refer to chapter 2.1.1 on page 38 for how to
implement your own Gene types.
1.3.1.2 Chromosome
A
Chromosome
is a collection of
Gene
s which contains at least one
Gene
. This
allows to encode problems which requires more than one
Gene
. Like the
Gene
interface, the
Chromosome
is also it’s own factory and allows to create a new
Chromosome from a given Gene sequence.
1public i nt erf a ce Chromosome<G extends Gene<? , G>>
2extends Factory<Chromosome<G>>, I t e r a b l e <G>, V e r i f i a b l e
3{
4public Chromosome<G> n e wI nsta nc e ( ISeq<G> ge ne s ) ;
5public G getGene ( int i nd ex ) ;
6public ISeq<G> t oSe q ( ) ;
7public Stream<G> stream ( ) ;
8public in t l e n g t h ( ) ;
9}
Listing 1.4: Chromosome interface
Listing 1.4 shows the main methods of the
Chromosome
interface. This are the
methods for accessing single
Gene
s by index and as an
ISeq
respectively, and
the factory method for creating a new
Chromosome
from a given sequence of
Gene
s. The factory method is used by the
Alterer
classes which were able to
create altered Chromosome from a (changed) Gene sequence.
Most of the
Chromosome
implementations can be created with variable length.
E. g. the
IntegerChromosome
can be created with variable length, where the
minimum value of the length range is included and the maximum value of the
length range is excluded.
1IntegerChromosome chromosome = IntegerChromosome . of (
20 , 1_000 , I ntR ang e . o f ( 5 , 9 )
3) ;
The factory method of the
IntegerChromosome
will now create chromosome
instances with a length between
[rangemin, rangemax)
, equally distributed. Fig-
ure 1.3.2 on the following page shows the structure of a
Chromosome
with variable
length.
7

1.3. BASE CLASSES CHAPTER 1. FUNDAMENTALS
Figure 1.3.2: Chromosome structure
1.3.1.3 Genotype
The central class, the evolution
Engine
is working with, is the
Genotype
. It
is the structural and immutable representative of an individual and consists
of one to
nChromosome
s. All
Chromosome
s must be parameterized with the
same
Gene
type, but it is allowed to have different lengths and constraints. The
allowed minimal- and maximal values of a
NumericChromosome
is an example
of such a constraint. Within the same chromosome, all numeric gene alleles must
lay within the defined minimal- and maximal values.
Figure 1.3.3: Genotype structure
Figure 1.3.3 shows the
Genotype
structure. A
Genotype
consists of
NG
Chromosome
s and a
Chromosome
consists of
NC[i]Gene
s (depending on the
Chromosome
). The overall number of
Gene
s of a
Genotype
is given by the sum
of the
Chromosome
’s
Gene
s, which can be accessed via the
Genotype.gene-
Count() method:
Ng=
NG−1
X
i=0
NC[i](1.3.1)
As already mentioned, the
Chromosome
s of a
Genotype
doesn’t have to have
necessarily the same size. It is only required that all genes are from the same
type and the
Gene
s within a
Chromosome
have the same constraints; e. g. the
same min- and max values for numerical Genes.
1Genotype<DoubleGene> g en ot yp e = Genotype . o f (
2DoubleChromosome . o f ( 0 . 0 , 1 .0 , 8) ,
3DoubleChromosome . o f ( 1 . 0 , 2 . 0 , 1 0) ,
4DoubleChromosome . o f ( 0 . 0 , 1 0 .0 , 9) ,
8

1.3. BASE CLASSES CHAPTER 1. FUNDAMENTALS
5DoubleChromosome . o f ( 0 . 1 , 0 . 9 , 5)
6) ;
The code snippet in the listing above creates a
Genotype
with the same structure
as shown in figure 1.3.3 on the preceding page. In this example the
DoubleGene
has been chosen as Gene type.
Genotype vector
The
Genotype
is essentially a two-dimensional composition
of
Gene
s. This makes it trivial to create
Genotype
s which can be treated
as a
Gene
matrices. If its needed to create a vector of
Gene
s, there are two
possibilities to do so:
1. creating a row-major or
2. creating a column-major
Genotype
vector. Each of the two possibilities have specific advantages and
disadvantages.
Figure 1.3.4: Row-major Genotype vector
Figure 1.3.4 shows a
Genotype
vector in row-major layout. A
Genotype
vector of length
n
needs one
Chromosome
of length
n
. Each
Gene
of such a vector
obeys the same constraints. E. g., for
Genotype
vectors containing
Numeric-
Gene
s, all
Gene
s must have the same minimum and maximum values. If the
problem space doesn’t need to have different minimum and maximum values, the
row-major
Genotype
vector is the preferred choice. Beside the easier
Genotype
creation, the available
Recombinator
alterers are more efficient in exploring the
search domain.
If the problem space allows equal
Gene
constraint, the row-major
Genotype
vector encoding should be chosen. It is easier to create and the available
Recombinator classes are more efficient in exploring the search domain.
The following code snippet shows the creation of a row-major
Genotype
vector. All
Alterer
s derived from the
Recombinator
do a fairly good job in
exploring the problem space for row-major Genotype vector.
1Genotype<DoubleGene> g en ot yp e = Genotype . o f (
2DoubleChromosome . o f ( 0 . 0 , 1 . 0 , 8)
3) ;
The column-major
Genotype
vector layout must be chosen when the problem
space requires components (
Gene
s) with different constraints. This is almost the
9

1.3. BASE CLASSES CHAPTER 1. FUNDAMENTALS
only reason for choosing the column-major layout. The layout of this
Genotype
vector is shown in 1.3.5. For a vector of length
n
,
nChromosome
s of length one
are needed.
Figure 1.3.5: Column-major Genotype vector
The code snippet below shows how to create a
Genotype
vector in column-
major layout. It’s a little more effort to create such a vector, since every
Gene
has to be wrapped into a separate
Chromosome
. The
DoubleChromosome
in the
given example has length of one, when the length parameter is omitted.
1Genotype<DoubleGene> g en ot yp e = Genotype . o f (
2DoubleChromosome . o f ( 0 . 0 , 1 . 0 ) ,
3DoubleChromosome . o f ( 1 . 0 , 2 . 0 ) ,
4DoubleChromosome . o f ( 0 . 0 , 1 0 . 0) ,
5DoubleChromosome . o f ( 0 . 1 , 0 . 9 )
6) ;
The greater flexibility of a column-major
Genotype
vector has to be payed with
a lower exploration capability of the
Recombinator
alterers. Using
Crossover
alterers will have the same effect as the
SwapMutator
, when used with row-major
Genotype vectors. Recommended alterers for vectors of NumericGenes are:
•MeanAlterer9,
•LineCrossover10 and
•IntermediateCrossover11
See also 2.3.2 on page 52 for an advanced description on how to use the predefined
vector codecs.
Genotype scalar
A very special case of a
Genotype
contains only one
Chro-
mosome
with length one. The layout of such a
Genotype
scalar is shown in 1.3.6
on the next page. Such
Genotype
s are mostly used for encoding real function
problems.
How to create a
Genotype
for a real function optimization problem, is shown
in the code snippet below. The recommended
Alterer
s are the same as for
column-major
Genotype
vectors:
MeanAlterer
,
LineCrossover
and
Inter-
mediateCrossover.
9See 1.3.2.2 on page 20.
10See 1.3.2.2 on page 20.
11See 1.3.2.2 on page 20.
10

1.3. BASE CLASSES CHAPTER 1. FUNDAMENTALS
Figure 1.3.6: Genotype scalar
1Genotype<DoubleGene> g en ot yp e = Genotype . o f (
2DoubleChromosome . o f ( 0 . 0 , 1 . 0 )
3) ;
See also 2.3.1 on page 51 for an advanced description on how to use the predefined
scalar codecs.
1.3.1.4 Phenotype
The
Phenotype
is the actual representative of an individual and consists of
the
Genotype
and the fitness
Function
, which is used to (lazily) calculate the
Genotype
’s fitness value.
12
It is only a container which forms the environment
of the
Genotype
and doesn’t change the structure. Like the
Genotype
, the
Phenotype is immutable and can’t be changed after creation.
1public f i n a l c l a ss Phenotype<
2Gextends Gene <? , G>,
3Cextends Comparable<? super C>
4>
5implements Comparable<Phenotype<G, C>>
6{
7public C g e t F i t n e s s ( ) ;
8public Genotype<G> getGenotyp e ( ) ;
9public long getAge(long currentGeneration ) ;
10 public void evaluate () ;
11 }
Listing 1.5: Phenotype class
Listing 1.5 shows the main methods of the
Phenotype
. The
fitness
property
will return the actual fitness value of the
Genotype
, which can be fetched with
the
getGenotype
method. To make the runtime behavior predictable, the fitness
value is evaluated lazily. Either by querying the
fitness
property or through
the call of the
evaluate
method. The evolution
Engine
is calling the evaluate
method in a separate step and makes the fitness evaluation time available
through the
EvolutionDurations
class. Additionally to the fitness value, the
Phenotype
contains the generation when it was created. This allows to calculate
the current age and the removal of overaged individuals from the population.
1.3.2 Operation classes
Genetic operators are used for creating genetic diversity (
Alterer
) and selecting
potentially useful solutions for recombination (
Selector
). This section gives an
12
Since the fitness
Function
is shared by all
Phenotype
s, calls to the fitness
Function
must
be idempotent. See section 1.3.3.1 on page 21.
11

1.3. BASE CLASSES CHAPTER 1. FUNDAMENTALS
overview about the genetic operators available in the
Jenetics
library. It also
contains some theoretical information, which should help you to choose the right
combination of operators and parameters, for the problem to be solved.
1.3.2.1 Selector
Selectors are responsible for selecting a given number of individuals from the
population. The selectors are used to divide the population into survivors
and offspring. The selectors for offspring and for the survivors can be chosen
independently.
The selection process of the
Jenetics
library acts on
Phenotype
s and indi-
rectly, via the fitness function, on
Genotype
s. Direct
Gene
- or population
selection is not supported by the library.
1Engine<DoubleGene , Double> e ng in e = Engine . b u i l d e r ( . . . )
2. offspringFraction (0.7)
3. survivorsSelector(new R ou l e t te Wh ee lS el ec to r <>())
4. offspringSelector(new To u rname n tSel e ctor <>() )
5. b u i l d ( ) ;
The
offspringFraction
,
fO∈
[0
,
1], determines the number of selected off-
spring
NOg=kOgk=rint (kPgk · fO)(1.3.2)
and the number of selected survivors
NSg=kSgk=kPgk−kOgk.(1.3.3)
The Jenetics library contains the following selector implementations:
•TournamentSelector
•TruncationSelector
•MonteCarloSelector
•ProbabilitySelector
•RouletteWheelSelector
•LinearRankSelector
•ExponentialRankSelector
•BoltzmannSelector
•StochasticUniversalSelector
•EliteSelector
Beside the well known standard selector implementation the
Probability-
Selector is the base of a set of fitness proportional selectors.
Tournament selector
In tournament selection the best individual from a
random sample of
s
individuals is chosen from the population
P g
. The samples
are drawn with replacement. An individual will win a tournament only if the
fitness is greater than the fitness of the other
s−
1competitors. Note that
the worst individual never survives, and the best individual wins in all the
tournaments it participates. The selection pressure can be varied by changing
the tournament size
s
. For large values of
s
, weak individuals have less chance
of being selected.
12

1.3. BASE CLASSES CHAPTER 1. FUNDAMENTALS
Truncation selector
In truncation selection individuals are sorted according
to their fitness. Only the
n
best individuals are selected. The truncation selection
is a very basic selection algorithm. It has it’s strength in fast selecting individuals
in large populations, but is not very often used in practice.
Monte Carlo selector
The Monte Carlo selector selects the individuals from a
given population randomly. This selector can be used to measure the performance
of a other selectors. In general, the performance of a selector should be better
than the selection performance of the Monte Carlo selector.
Probability selectors
Probability selectors are a variation of fitness propor-
tional selectors and selects individuals from a given population based on it’s
selection probability
P
(
i
). Fitness proportional selection works as shown in
Figure 1.3.7: Fitness proportional selection
figure 1.3.7. An uniform distributed random number
r∈[0, F )
specifies which
individual is selected, by argument minimization:
i←argmin
n∈[0,N)(r <
n
X
i=0
fi),(1.3.4)
where
N
is the number of individuals and
fi
the fitness value of the
ith
individual.
The probability selector works the same way, only the fitness value
fi
is replaced
by the individual’s selection probability
P
(
i
). It is not necessary to sort the
population. The selection probability of an individual
i
follows a binomial
distribution
P(i, k) = n
kP(i)k(1 −P(i))n−k(1.3.5)
where
n
is the overall number of selected individuals and
k
the number of individual
i
in the set of selected individuals. The runtime complexity of the implemented
probability selectors is
O
(
n
+
log
(
n
)) instead of
O
(
n2
)as for the naive approach:
A binary (index) search is performed on the summed probability array.
Roulette-wheel selector
The roulette-wheel selector is also known as fitness
proportional selector. In the
Jenetics
library it is implemented as probability
selector. The fitness value
fi
is used to calculate the selection probability of
individual i.
P(i) = fi
PN
j=1 fj
(1.3.6)
13

1.3. BASE CLASSES CHAPTER 1. FUNDAMENTALS
Selecting
n
individuals from a given population is equivalent to play
n
times on
the roulette-wheel. The population don’t have to be sorted before selecting the
individuals. Roulette-wheel selection is one of the traditional selection strategies.
Linear-rank selector
In linear-ranking selection the individuals are sorted
according to their fitness values. The rank
N
is assigned to the best individual
and the rank 1 to the worst individual. The selection probability
P
(
i
)of
individualiis linearly assigned to the individuals according to their rank.
P(i) = 1
Nn−+n+−n−i−1
N−1.(1.3.7)
Here
n−
N
is the probability of the worst individual to be selected and
n+
N
the
probability of the best individual to be selected. As the population size is held
constant, the condition
n+
= 2
−n−
and
n−≥
0must be fulfilled. Note that
all individuals get a different rank, respectively a different selection probability,
even if they have the same fitness value.[5]
Exponential-rank selector
An alternative to the weak linear-rank selector
is to assign survival probabilities to the sorted individuals using an exponential
function:
P(i) = (c−1) ci−1
cN−1,(1.3.8)
where
c
must within the range
[0 . . . 1)
. A small value of
c
increases the probability
of the best individual to be selected. If
c
is set to zero, the selection probability of
the best individual is set to one. The selection probability of all other individuals
is zero. A value near one equalizes the selection probabilities. This selector sorts
the population in descending order before calculating the selection probabilities.
Boltzmann selector
The selection probability of the Boltzmann selector is
defined as
P(i) = eb·fi
Z,(1.3.9)
where
b
is a parameter which controls the selection intensity and
Z
is defined as
Z=
n
X
i=1
efi.(1.3.10)
Positive values of
b
increases the selection probability of individuals with high
fitness values and negative values of
b
decreases it. If
b
is zero, the selection
probability of all individuals is set to 1
N.
Stochastic-universal selector
Stochastic-universal selection[
1
] (SUS) is a
method for selecting individuals according to some given probability in a way
that minimizes the chance of fluctuations. It can be viewed as a type of roulette
game where we now have
p
equally spaced points which we spin. SUS uses a
single random value for selecting individuals by choosing them at equally spaced
intervals. The selection method was introduced by James Baker.[
2
] Figure 1.3.8
14

1.3. BASE CLASSES CHAPTER 1. FUNDAMENTALS
Figure 1.3.8: Stochastic-universal selection
shows the function of the stochastic-universal selection, where
n
is the number
of individuals to select. Stochastic universal sampling ensures a selection of
offspring, which is closer to what is deserved than roulette wheel selection.[29]
Elite selector
The
EliteSelector
copies a small proportion of the fittest
candidates, without changes, into the next generation. This may have a dramatic
impact on performance by ensuring that the GA doesn’t waste time re-discovering
previously refused partial solutions. Individuals that are preserved through
elitism remain eligible for selection as parents of the next generation. Elitism is
also related with memory: remember the best solution found so far. A problem
with elitism is that it may causes the GA to converge to a local optimum, so
pure elitism is a race to the nearest local optimum.
1.3.2.2 Alterer
The problem encoding (representation) determines the bounds of the search
space, but the
Alterer
s determine how the space can be traversed:
Alterer
s
are responsible for the genetic diversity of the
EvolutionStream
. The two
Alterer types used in Jenetics are:
1. mutation and
2. recombination (e. g. crossover).
First we will have a look at the mutation
— There are two distinct
roles mutation plays in the evolution process:
1. Exploring the search space
: By making small moves, mutation allows
a population to explore the search space. This exploration is often slow
compared to crossover, but in problems where crossover is disruptive this
can be an important way to explore the landscape.
2. Maintaining diversity
: Mutation prevents a population from correlating.
Even if most of the search is being performed by crossover, mutation can
be vital to provide the diversity which crossover needs.
The mutation probability,
P
(
m
), is the parameter that must be optimized. The
optimal value of the mutation rate depends on the role mutation plays. If
15

1.3. BASE CLASSES CHAPTER 1. FUNDAMENTALS
mutation is the only source of exploration (if there is no crossover), the mutation
rate should be set to a value that ensures that a reasonable neighborhood of
solutions is explored.
The mutation probability,
P
(
m
), is defined as the probability that a specific
gene, over the whole population, is mutated. That means, the (average) number
of genes mutated by a mutator is
ˆµ=NP·Ng·P(m)(1.3.11)
where
Ng
is the number of available genes of a genotype and
NP
the population
size (revere to equation 1.3.1 on page 8).
Mutator
The mutator has to deal with the problem, that the genes are
arranged in a 3
D
structure (see chapter 1.3.1.3). The mutator selects the gene
which will be mutated in three steps:
1. Select a genotype G[i]from the population with probability PG(m),
2.
select a chromosome
C
[
j
]from the selected genotype
G
[
i
]with probability
PC(m)and
3.
select a gene
g
[
k
]from the selected chromosome
C
[
j
]with probability
Pg(m).
The needed sub-selection probabilities are set to
PG(m) = PC(m) = Pg(m) = 3
pP(m).(1.3.12)
Gaussian mutator
The Gaussian mutator performs the mutation of number
genes. This mutator picks a new value based on a Gaussian distribution around
the current value of the gene. The variance of the new value (before clipping to
the allowed gene range) will be
ˆσ2=gmax −gmin
42
(1.3.13)
where
gmin
and
gmax
are the valid minimum and maximum values of the number
gene. The new value will be cropped to the gene’s boundaries.
Swap mutator
The swap mutator changes the order of genes in a chromosome,
with the hope of bringing related genes closer together, thereby facilitating the
production of building blocks. This mutation operator can also be used for
combinatorial problems, where no duplicated genes within a chromosome are
allowed, e. g. for the TSP.
The second alterer type is the recombination
— An enhanced genetic
algorithm (EGA) combine elements of existing solutions in order to create a new
solution, with some of the properties of each parents. Recombination creates a
new chromosome by combining parts of two (or more) parent chromosomes. This
combination of chromosomes can be made by selecting one or more crossover
points, splitting these chromosomes on the selected points, and merge those
portions of different chromosomes to form new ones.
16

1.3. BASE CLASSES CHAPTER 1. FUNDAMENTALS
1void recombi n e ( final ISeq<Phenotype<G, C>> pop ) {
2// S e l e c t t he Genotypes f o r c r o s s o v e r .
3final Random random = RandomRegistry . getRandom ( ) ;
4f i n a l i nt i 1 = random . n e x t I n t ( pop . l e n g t h ( ) ) ;
5f i n a l i nt i 2 = random . n e x t I n t ( pop . l e n g t h ( ) ) ;
6final Phenotype<G, C> p t1 = pop . ge t ( i 1 ) ;
7final Phenotype<G, C> p t2 = pop . g et ( 2 ) ;
8final Genotype<G> g t1 = pt 1 . getGenot ype ( ) ;
9final Genotype<G> g t2 = pt 2 . getGenot ype ( ) ;
10
11 // Choosin g th e Chromosome f o r c r o s s o v e r .
12 f i n a l i nt chIn d e x =
13 random . n e x tI n t ( min ( g t 1 . l e n g t h ( ) , g t2 . l e n g t h ( ) ) ) ;
14 final MSeq<Chromosome<G>> c1 = g t1 . toSeq ( ) . copy ( ) ;
15 final MSeq<Chromosome<G>> c2 = g t2 . toSeq ( ) . copy ( ) ;
16 final MSeq<G> g en es 1 = c1 . g e t ( chIn d ex ) . to S eq ( ) . copy ( ) ;
17 final MSeq<G> g en es 2 = c2 . g e t ( chIn d ex ) . to S eq ( ) . copy ( ) ;
18
19 // Perform t he c r o s s o v e r .
20 c r o s s o v e r ( g ene s1 , g en es 2 ) ;
21 c1 . s e t ( c hIn de x , c 1 . g e t ( c h In de x ) . n ew I n st a n ce ( g e ne s 1 . t o I S e q ( ) ) ) ;
22 c2 . s e t ( c hIn de x , c 2 . g e t ( c h In de x ) . n ew I n st a n ce ( g e ne s 2 . t o I S e q ( ) ) ) ;
23
24 // C re at in g two new P he notypes and r e p l a c e th e ol d one .
25 MSeq<Phenotype<G, C>> r e s u l t = pop . copy ( ) ;
26 r e s u l t . s e t ( i 1 , p t1 . n ew I ns t a nc e ( g t 1 . n e w In s ta n c e ( c1 . t o I S e q ( ) ) ) ) ;
27 r e s u l t . s e t ( i 2 , p t2 . n ew I ns t a nc e ( g t 1 . n e w In s ta n c e ( c2 . t o I S e q ( ) ) ) ) ;
28 }
Listing 1.6: Chromosome selection for recombination
Listing 1.6 shows how two chromosomes are selected for recombination. It is
done this way for preserving the given constraints and to avoid the creation of
invalid individuals.
Because of the possible different
Chromosome
length and/or
Chromosome
constraints within a
Genotype
, only
Chromosome
s with the same
Genotype position are recombined (see listing 1.6).
The recombination probability,
P
(
r
), determines the probability that a given
individual (genotype) of a population is selected for recombination. The (mean)
number of changed individuals depend on the concrete implementation and
can be vary from
P
(
r
)
·NG
to
P
(
r
)
·NG·OR
, where
OR
is the order of the
recombination, which is the number of individuals involved in the
combine
method.
Single-point crossover
The single-point crossover changes two children chro-
mosomes by taking two chromosomes and cutting them at some, randomly
chosen, site. If we create a child and its complement we preserve the total
number of genes in the population, preventing any genetic drift. Single-point
crossover is the classic form of crossover. However, it produces very slow mixing
compared with multi-point crossover or uniform crossover. For problems where
the site position has some intrinsic meaning to the problem single-point crossover
can lead to smaller disruption than multiple-point or uniform crossover.
17

1.3. BASE CLASSES CHAPTER 1. FUNDAMENTALS
Figure 1.3.9: Single-point crossover
Figure 1.3.9 shows how the
SinglePointCrossover
class is performing the
crossover for different crossover points—in the given example for the chromosome
indexes 0,1,3,6and 7.
Multi-point crossover
If the
MultiPointCrossover
class is created with
one crossover point, it behaves exactly like the single-point crossover. The
following picture shows how the multi-point crossover works with two crossover
points, defined at index 1and 4.
Figure 1.3.10: 2-point crossover
Figure 1.3.11 you can see how the crossover works for an odd number of
crossover points.
Figure 1.3.11: 3-point crossover
Partially-matched crossover
The partially-matched crossover guarantees
that all genes are found exactly once in each chromosome. No gene is duplicated
by this crossover strategy. The partially-matched crossover (PMX) can be applied
18

1.3. BASE CLASSES CHAPTER 1. FUNDAMENTALS
usefully in the TSP or other permutation problem encodings. Permutation
encoding is useful for all problems where the fitness only depends on the ordering
of the genes within the chromosome. This is the case in many combinatorial
optimization problems. Other crossover operators for combinatorial optimization
are:
•order crossover
•cycle crossover
•edge recombination crossover
•edge assembly crossover
The PMX is similar to the two-point crossover. A crossing region is chosen
by selecting two crossing points (see figure 1.3.12 a)).
Figure 1.3.12: Partially-matched crossover
After performing the crossover we–normally–got two invalid chromosomes
(figure 1.3.12 b)). Chromosome 1contains the value 6 twice and misses the value
3. On the other side chromosome 2contains the value 3 twice and misses the
value 6. We can observe that this crossover is equivalent to the exchange of the
values 3
→
6, 4
→
5 and 5
→
4. To repair the two chromosomes we have to apply
this exchange outside the crossing region (figure 1.3.12 b)). At the end figure
1.3.12 c) shows the repaired chromosome.
Uniform crossover
In uniform crossover, the genes at index
i
of two chro-
mosomes are swapped with the swap-probability,
pS
. Empirical studies shows
that uniform crossover is a more exploitative approach than the traditional
exploitative approach that maintains longer schemata. This leads to a better
search of the design space with maintaining the exchange of good information.[
8
]
Figure 1.3.13: Uniform crossover
19

1.3. BASE CLASSES CHAPTER 1. FUNDAMENTALS
Figure 1.3.13 on the preceding page shows an example of a uniform crossover
with four crossover points. A gene is swapped, if a uniformly created random
number,
r∈[0,1]
, is smaller than the swap-probability,
pS
. The following code
snippet shows how these swap indexes are calculated, in a functional way.
1final Random random = RandomRegistry . getRandom ( ) ;
2f i n a l i nt l e n g t h = 8 ;
3f i n a l double ps = 0 . 5 ;
4f i n a l i nt [ ] i n d e x e s = In tRan ge . r a ng e ( 0 , l e n g t h )
5. f i l t e r ( i −> random . n extD ouble ( ) < p s )
6. toArr ay ( ) ;
Mean alterer
The Mean alterer works on genes which implement the
Mean
interface. All numeric genes implement this interface by calculating the arithmetic
mean of two genes.
Line crossover
The line crossover
13
takes two numeric chromosomes and
treats it as a real number vector. Each of this vectors can also be seen as a point
in
Rn
. If we draw a line through this two points (chromosome), we have the
possible values of the new chromosomes, which all lie on this line.
Figure 1.3.14: Line crossover hypercube
Figure 1.3.14 shows how the two chromosomes form the two three-dimensional
vectors (black circles). The dashed line, connecting the two points, form the
possible solutions created by the line crossover. An additional variable,
p
,
determines how far out along the line the created children will be. If
p
= 0 then
the children will be located along the line within the hypercube. If
p >
0, the
children may be located on an arbitrary place on the line, even outside of the
hypercube.This is useful if you want to explore unknown regions, and you need
a way to generate chromosomes further out than the parents are.
The internal random parameters, which define the location of the new
crossover point, are generated once for the whole vector (chromosome). If the
LineCrossover
generates numeric genes which lie outside the allowed minimum
and maximum value, it simply uses the original gene and rejects the generated,
invalid one.
Intermediate crossover
The intermediate crossover is quite similar to the
line crossover. It differs in the way on how the internal random parameters
13
The line crossover, also known as line recombination, was originally described by Heinz
Mühlenbein and Dirk Schlierkamp-Voosen.[22]
20

1.3. BASE CLASSES CHAPTER 1. FUNDAMENTALS
are generated and the handling of the invalid–out of range–genes. The internal
random parameters of the
IntermediateCrossover
class are generated for each
gene of the chromosome, instead once for all genes. If the newly generated gene
is not within the allowed range, a new one is created. This is repeated, until a
valid gene is built.
The crossover parameter,
p
, has the same properties as for the line crossover.
If the chosen value for
p
is greater than 0, it is likely that some genes must be
created more than once, because they are not in the valid range. The probability
for gene re-creation rises sharply with the value of
p
. Setting
p
to a value greater
than one, doesn’t make sense in most of the cases. A value greater than 10
should be avoided.
1.3.3 Engine classes
The executing classes, which perform the actual evolution, are located in the
io.jenetics.engine
package. The evolution stream (
EvolutionStream
) is the
base metaphor for performing an GA. On the
EvolutionStream
you can define
the termination predicate and than collect the final
EvolutionResult
. This
decouples the static data structure from the executing evolution part. The
EvolutionStream
is also very flexible, when it comes to collecting the final
result. The
EvolutionResult
class has several predefined collectors, but you
are free to create your own one, which can be seamlessly plugged into the existing
stream.
1.3.3.1 Fitness function
The fitness
Function
is also an important part when modeling an genetic
algorithm. It takes a
Genotype
as argument and returns, at least, a
Comparable
object as result—the fitness value. This allows the evolution
Engine
, respectively
the selection operators, to select the offspring- and survivor population. Some
selectors have stronger requirements to the fitness value than a
Comparable
,
but this constraints is checked by the Java type system at compile time.
Since the fitness Function is shared by all Phenotypes, calls to the fitness
Function has to be idempotent. A fitness Function is idempotent if, whenever
it is applied twice to any Genotype, it returns the same fitness value as if it
were applied once. In the simplest case, this is achieved by Functions which
doesn’t contain any global mutable state.
The following example shows the simplest possible fitness
Function
. This
Function simply returns the allele of a 1x1float Genotype.
1pu bl ic c l a s s Main {
2static Double i d e n t i t y ( final Genotype<DoubleGene> gt ) {
3return gt . getGene ( ) . g e t A l l e l e ( ) ;
4}
5
6pub li c s t a t i c void main ( final S t r i n g [ ] a r g s ) {
7// C re at e f i t n e s s f u n c t i o n from method r e f e r e n c e .
8Function<Genotype<DoubleGene >, Double>> f f 1 =
9Main : : i d e n t i t y ;
21

1.3. BASE CLASSES CHAPTER 1. FUNDAMENTALS
10
11 // C re at e f i t n e s s f u n c t i o n from lambda e x p r e s s i o n .
12 Function<Genotype<DoubleGene >, Double>> f f 2 = gt −>
13 gt . getGene ( ) . g e t A l l e l e ( ) ;
14 }
15 }
The first type parameter of the
Function
defines the kind of
Genotype
from
which the fitness value is calculated and the second type parameter determines
the return type, which must be, at least, a Comparable type.
1.3.3.2 Fitness scaler
The fitness value, calculated by the fitness
Function
, is treated as the raw-
fitness of an individual. The
Jenetics
library allows you to apply an additional
scaling function on the raw-fitness to form the fitness value which is used by the
selectors. This can be useful when using probability selectors (see chapter 1.3.2.1
on page 13), where the actual amount of the fitness value influences the selection
probability. In such cases, the fitness scaler gives you additional flexibility when
selecting offspring and survivors. In the default configuration the raw-fitness
is equal to the actual fitness value, that means, the used fitness scaler is the
identity function.
1c l a s s Main {
2pub li c s t a t i c void main ( final S t r i n g [ ] a r g s ) {
3Engine<DoubleGene , Double> e ng in e = Engine . b u i l d e r ( . . . )
4. f i t n e s s S c a l e r ( Math : : s q r t )
5. b u i l d ( ) ;
6}
7}
The given listing shows a fitness scaler which reduces the the raw-fitness to its
square root. This gives weaker individuals a greater changes being selected and
weakens the influence of super-individuals.
When using a fitness scaler you have to take care that your scaler doesn’t
destroy your fitness value. This can be the case when your fitness value
is negative and your fitness scaler squares the value. Trying to find the
minimum will not work in this configuration.
1.3.3.3 Engine
The evolution
Engine
controls how the evolution steps are executed. Once the
Engine is created, via a
Builder
class, it can’t be changed. It doesn’t contain
any mutable global state and can therefore safely used/called from different
threads. This allows to create more than one
EvolutionStreams
from the
Engine and execute them in parallel.
1public f i n a l c l a ss Engine<
2Gextends Gene <? , G>,
3Cextends Comparable<? super C>
4>
5implements Fu nc ti on<E v o l u t i o n S t a r t <G, C>,
6E v o l ut i o n R e s u lt <G, C>>,
22

1.3. BASE CLASSES CHAPTER 1. FUNDAMENTALS
7E vo l u ti o nS t r ea m ab l e <G, C>
8{
9// The e v o l u t i o n f un c ti o n , p er fo rm s one e v o l u t i o n s t e p .
10 E v ol u ti o nR e su l t <G, C> e v o l v e (
11 ISeq<Phenotype<G, C>> p op ul ati on ,
12 long g e n e r a t i o n
13 ) ;
14
15 // E v o l ut i on s tr ea m f o r " normal " e v o l u t i o n e x e c u t i o n .
16 E vo lu ti o nS tr ea m <G, C> s tr ea m ( ) ;
17
18 // E v ol ut io n i t e r a t o r f o r e x t e r n a l e v o l u t i o n i t e r a t i o n .
19 I t e r a t o r <E vo lu ti on Re su lt <G, C>> i t e r a t o r ( ) ;
20 }
Listing 1.7: Engine class
Listing 1.7 on the previous page shows the main methods of the
Engine
class.
It is used for performing the actual evolution of a give population. One evolu-
tion step is executed by calling the
Engine.evolve
method, which returns an
EvolutionResult
object. This object contains the evolved population plus addi-
tional information like execution duration of the several evolution sub-steps and
information about the killed and as invalid marked individuals. With the
stream
method you create a new
EvolutionStream
, which is used for controlling the
evolution process—see section 1.3.3.4 on page 25. Alternatively it is possible to
iterate through the evolution process in an imperative way (for whatever reasons
this should be necessary). Just create an
Iterator
of
EvolutionResult
object
by calling the iterator method.
As already shown in previous examples, the
Engine
can only be created
via its
Builder
class. Only the fitness
Function
and the
Chromosome
s, which
represents the problem encoding, must be specified for creating an Engine
instance. For the rest of the parameters default values are specified. This are
the Engine parameters which can configured:
alterers
A list of
Alterer
s which are applied to the offspring population, in
the defined order. The default value of this property is set to
Single-
PointCrossover<>(0.2) followed by Mutator<>(0.15).
clock
The
java.time.Clock
used for calculating the execution durations. A
Clock
with nanosecond precision (
System.nanoTime()
) is used as default.
executor
With this property it is possible to change the
java.util.concur-
rent.Executor
engine used for evaluating the evolution steps. This prop-
erty can be used to define an application wide
Executor
or for controlling
the number of execution threads. The default value is set to
ForkJoin-
Pool.commonPool().
evaluator
This property allows you to replace the evaluation strategy of the
Phenotype
’s fitness function. Normally, each fitness value is evaluated
concurrently, but independently from each other. In some configuration
it is necessary, for performance reason, to evaluate the fitness values of a
population at once. This is then performed by the
Engine.Evaluator
or
Engine.GenotypeEvaluator interface.
fitnessFunction
This property defines the fitness
Function
used by the evo-
lution Engine. (See section 1.3.3.1 on page 21.)
23

1.3. BASE CLASSES CHAPTER 1. FUNDAMENTALS
fitnessScaler
This property defines the fitness scaler used by the evolution
Engine
. The default value is set to the identity function. (See section 1.3.3.2
on page 22.)
genotypeFactory
Defines the
Genotype Facto
ry used for creating new indi-
viduals. Since the
Genotype
is its own
Fact
ory, it is sufficient to create a
Genotype, which then serves as template.
genotypeValidator
This property lets you override the default implementation
of the
Genotype.isValid
method, which is useful if the
Genotype
validity
not only depends on valid property of the elements it consists of.
maximalPhenotypeAge
Set the maximal allowed age of an individual (Pheno-
type). This prevents super individuals to live forever. The default value is
set to 70.
offspringFraction
Through this property it is possible to define the fraction of
offspring (and survivors) for evaluating the next generation. The fraction
value must within the interval [0
,
1]. The default value is set to 0
.
6.
Additionally to this property, it is also possible to set the
survivorsFrac-
tion
,
survivorsSize
or
offspringSize
. All this additional properties
effectively set the offspringFraction.
offspringSelector
This property defines the
Selector
used for selecting the
offspring population. The default values is set to
TournamentSelect-
or<>(3).
optimize
With this property it is possible to define whether the fitness
Function
should be maximized of minimized. By default, the fitness
Function
is
maximized.
phenotypeValidator
This property lets you override the default implementa-
tion of the
Phenotype.isValid
method, which is useful if the
Phenotype
validity not only depends on valid property of the elements it consists of.
populationSize
Defines the number of individuals of a population. The evolu-
tion
Engine
keeps the number of individuals constant. That means, the
population of the
EvolutionResult
always contains the number of entries
defined by this property. The default value is set to 50.
selector
This method allows to set the
offspringSelector
and
survivors-
Selector in one step with the same selector.
survivorsSelector
This property defines the
Selector
used for selecting the
survivors population. The default values is set to
TournamentSelec-
tor<>(3).
individualCreationRetries
The evolution
Engine
tries to create only valid
individuals. If a newly created
Genotype
is not valid, the
Engine
creates
another one, till the created
Genotype
is valid. This parameter sets the
maximal number of retries before the
Engine
gives up and accept invalid
individuals. The default value is set to 10.
24

1.3. BASE CLASSES CHAPTER 1. FUNDAMENTALS
mapper
This property lets you define an mapper, which transforms the final
EvolutionResult
object after every generation. One usage of the mapper
is to remove duplicate individuals from the population. The
Evolution-
Result.toUniquePopulation()
method provides such a de-duplication
mapper.
The
EvolutionStream
s created by the
Engine
class are unlimited. Such streams
must be limited by calling the available
EvolutionStream.limit
methods. Al-
ternatively, the
Engine
instance itself can be limited with the
Engine.limit
methods. This limited
Engine
s no long creates infinite
EvolutionStream
s, they
are truncated by the limit predicate defined by the
Engine
. This feature is
needed when you are concatenating evolution
Engine
s (see section 4.1.5.1 on
page 81).
1final E v ol u t i on S t r e am a b l e <DoubleGene , Double> e n g i n e =
2Engine . b u i l d e r ( problem )
3. m in im iz ing ( )
4. b u i l d ( )
5. l i m i t ( ( ) −> Limits . bySteadyFitness (10) ) ;
As shown in the example code above, one important difference between the
Engine.limit
and the
EvolutionStream.limit
method is, that the limit me-
thod of the
Engine
takes a limiting
Predicate Supplier
instead of the the
Predicate
itself. The reason for this is that some
Predicate
s has to maintain
internal state to work properly. This means, every time the
Engine
creates a
new stream, it must also create a new limiting Predicate.
1.3.3.4 EvolutionStream
The EvolutionStream controls the execution of the evolution process and can
be seen as a kind of execution handle. This handle can be used to define
the termination criteria and to collect the final evolution result. Since the
EvolutionStream
extends the Java
Stream
interface, it integrates smoothly
with the rest of the Java Stream API.14
1public i n t erf a ce E v oluti o nStr e am<
2Gextends Gene <? , G>,
3Cextends Comparable<? super C>
4>
5extends Stream<E vo lu ti on Re su l t <G, C>>
6{
7public Evoluti o n Stre a m<G, C>
8l i m i t ( Pr ed ic at e <? super E vo lu ti on Re s ul t <G, C>> p ro ce ed ) ;
9}
Listing 1.8: EvolutionStream class
Listing 1.8 shows the whole
EvolutionStream
interface. As it can be seen,
it only adds one additional method. But this additional
limit
method al-
lows to truncate the
EvolutionStream
based on a
Predicate
which takes an
EvolutionResult
. Once the
Predicate
returns
false
, the evolution process
is stopped. Since the
limit
method returns an
EvolutionStream
, it is possible
to define more than one
Predicate
, which both must be fulfilled to continue
the evolution process.
14
It is recommended to make yourself familiar with the Java Stream API.
A good introduction can be found here:
http://winterbe.com/posts/2014/07/31/
java8-stream-tutorial-examples/
25

1.3. BASE CLASSES CHAPTER 1. FUNDAMENTALS
1Eng in e<DobuleGene , Double> e n g i n e = . . .
2E vo lu t io nS t re am <DoubleGene , Double> s tr ea m = e n g i n e . st re am ( )
3. l i m i t ( p r e d i c a t e 1 )
4. l i m i t ( p r e d i c a t e 2 )
5. l i m i t ( 1 0 0 ) ;
The
EvolutionStream
, created in the example above, will be truncated if one
of the two predicates is
false
or if the maximal allowed generations, of 100,
is reached. An
EvolutionStream
is usually created via the
Engine.stream()
method. The immutable and stateless nature of the evolution
Engine
allows to
create more than one EvolutionStream with the same Engine instance.
The generations of the
EvolutionStream
are evolved serially. Calls of the
EvolutionStream
methods (e. g.
limit
,
peek
, ...) are executed in the
thread context of the created
Stream
. In atypical setup, no additional
synchronization and/or locking is needed.
In cases where you appreciate the usage of the
EvolutionStream
but need a
different
Engine
implementation, you can use the
EvolutionStream.of
factory
method for creating an new EvolutionStream.
1static <G extends Gene <? , G>, C extends Comparable<? super C>>
2Evo lut ion St rea m<G, C> o f (
3S u p p l i e r <E v o l u t i o n S t a r t <G, C>> s t a r t ,
4Function <? super E v o l u t i o n S t a r t <G, C> , E v o l u t io n R e s u l t <G, C>> f
5) ;
This factory method takes a start value, of type
EvolutionStart
, and an
evolution
Function
. The evolution
Function
takes the start value and returns
an
EvolutionResult
object. To make the runtime behavior more predictable,
the start value is fetched/created lazily at the evolution start time.
1final S u p p l i e r <E v o l u t i o n S t a r t <DoubleGene , Double>> s t a r t = . . .
2final Evoluti o n Stre a m<DoubleGene , Double> s t r eam =
3Ev ol ut ion St re am . o f ( s t a r t , new MySpecialEngine () ) ;
1.3.3.5 EvolutionResult
The
EvolutionResult
collects the result data of an evolution step into an
immutable value class. This class is the type of the stream elements of the
EvolutionStream, as described in section 1.3.3.4 on the previous page.
1public f i n a l c l a ss EvolutionResult<
2Gextends Gene <? , G>,
3Cextends Comparable<? super C>
4>
5implements Comparable<E vo lu ti on Re s ul t <G, C>>
6{
7IS eq <Ph enoty pe<G, C>> g e t P o p u l a t i o n ( ) ;
8long g et Ge ne ra ti on ( ) ;
9}
Listing 1.9: EvolutionResult class
Listing 1.3.3.5 shows the two most important properties, the
population
and
the
generation
the result belongs to. This are also the two properties needed
26

1.3. BASE CLASSES CHAPTER 1. FUNDAMENTALS
for the next evolution step. The
generation
is, of course, incremented by
one. To make collecting the
EvolutionResult
object easier, it also implements
the
Comparable
interface. Two
EvolutionResult
s are compared by its best
Phenotype.
The
EvolutionResult
classes has three predefined factory methods, which
will return Collectors usable for the EvolutionStream:
toBestEvolutionResult()
Collects the best
EvolutionResult
of a
Evolu-
tionStream according to the defined optimization strategy.
toBestPhenotype()
This collector can be used if you are only interested in the
best Phenotype.
toBestGenotype()
Use this collector if you only need the best
Genotype
of the
EvolutionStream.
The following code snippets shows how to use the different
EvolutionStream
collectors.
1// C o l l e c t i n g t h e b e s t E v o l u t i o n R e s u l t o f t h e E v ol u ti o nS t re a m .
2Ev ol ut io nR esu lt <DoubleGene , Double> r e s u l t = stream
3. c o l l e c t ( E v o l u t i o n R e s u l t . t o B e s t E v o l u t i o n R e s u l t ( ) ) ;
4
5// C o l l e c t i n g t he b es t Phenotype o f t he E vo lut io nSt re am .
6Phenotype<DoubleGene , Double> r e s u l t = stream
7. c o l l e c t ( E v o l u t i o n R e s u l t . t oB es t Ph en ot y pe ( ) ) ;
8
9// C o l l e c t i n g t he b es t Genotype o f the E vo lut ion St rea m .
10 Genotype<DoubleGene> r e s u l t = stream
11 . c o l l e c t ( E v o l u t i o n R e s u l t . t oB es tG en ot yp e ( ) ) ;
1.3.3.6 EvolutionStatistics
The
EvolutionStatistics
class allows you to gather additional statistical
information from the
EvolutionStream
. This is especially useful during the
development phase of the application, when you have to find the right parametriza-
tion of the evolution
Engine
. Besides other informations, the
Evolution-
Statistics
contains (statistical) information about the fitness, invalid and
killed
Phenotypes
and runtime information of the different evolution steps.
Since the
EvolutionStatistics
class implements the
Consumer<Evolution-
Result<?, C>>
interface, it can be easily plugged into the
EvolutionStream
,
adding it with the peek method of the stream.
1Eng in e<DoubleGene , Double> e n g i n e = . . .
2E v o l u t i o n S t a t i s t i c s <?, Double> s t a t i s t i c s =
3EvolutionStatistics .ofNumber() ;
4e n g i n e . st re am ( )
5. l i m i t ( 1 0 0 )
6. peek ( s t a t i s t i c s )
7. c o l l e c t ( to B e s tG enotype ( ) ) ;
Listing 1.10: EvolutionStatistics usage
Listing 1.10 shows how to add the the
EvolutionStatistics
to the
Evolution-
Stream
. Once the algorithm tuning is finished, it can be removed in the produc-
tion environment.
27

1.3. BASE CLASSES CHAPTER 1. FUNDAMENTALS
There are two different specializations of the EvolutionStatistics object
available. The first is the general one, which will be working for every kind
of
Gene
s and fitness types. It can be created via the
EvolutionStatistics.-
ofComparable()
method. The second one collects additional statistical data for
numeric fitness values. This can be created with the
EvolutionStatistics.-
ofNumber() method.
1+---------------------------------------------------------------------------+
2| Time s t at is t ic s |
3+---------------------------------------------------------------------------+
4| Se le ct io n : sum = 0 .0 4 65 3 82 7 80 0 0 s; mean = 0 .0 0 38 7 81 8 98 3 3 s |
5| Alte ri ng : sum = 0 .0 8 615 545 700 0 s ; mean = 0 .00 717 962 141 7 s |
6| Fit ne ss c al c ul ati on : sum =0 . 02 2 90 1 60 6 00 0 s ; mean =0 . 00 1 90 8 46 7 16 7 s |
7| Ove ra ll e xe cu tio n : sum = 0. 1 472 980 670 00 s; mean = 0.0 122 748 389 1 7 s |
8+---------------------------------------------------------------------------+
9| Evo lu ti on s t at is tic s |
10 +---------------------------------------------------------------------------+
11 | Ge ne rat io ns : 12 |
12 | Alt ere d : s um =7 ,3 31; m ean =6 10. 916 666 667 |
13 | Kil le d : sum =0 ; me an = 0.0 000 000 00 |
14 | In va li ds : sum =0; mean =0 .0 000 000 00 |
15 +---------------------------------------------------------------------------+
16 | Pop ul ati on s ta t is ti c s |
17 +---------------------------------------------------------------------------+
18 | Age : m ax = 11 ; m ea n = 1. 95 10 00 ; var = 5. 54 519 0 |
19 | Fit nes s : |
20 | min = 0.000000000000 |
21 | max = 481.748227114537 |
22 | mean = 384.430345078660 |
23 | var = 13 0 06. 1 32 5 373 015 2 8 |
24 +---------------------------------------------------------------------------+
A typical output of an number
EvolutionStatistics
object will look like the
example above.
The
EvolutionStatistics
object is a simple for inspecting the
Evolution-
Stream
after it is finished. It doesn’t give you a
live
view of the current evolution
process, which can be necessary for long running streams. In such cases you
have to maintain/update the statistics yourself.
1pu bl ic c l a s s TSM {
2// The l o c a t i o n s t o v i s i t .
3s t a t i c f i n a l ISeq<Point> POINTS = IS eq . o f ( . . . ) ;
4
5// The per mu t at io n c od ec .
6s t a t i c f i n a l Codec<ISeq<Point >, EnumGene<Point>>
7CODEC = Codecs . of Per mu tat io n (POINTS) ;
8
9// The f i t n e s s f u n c t i o n ( i n th e pr oble m domain ) .
10 s t a t i c double d i s t ( final ISeq<Point> p ) { . . . }
11
12 // The e v o l u t i o n e n gi n e .
13 s t a t i c f i n a l Engine<EnumGene<Point >, Double> ENGINE = Engine
14 . b u i l d e r (TSM: : d is t , CODEC)
15 . o p t i m i z e ( O pt im iz e . MINIMUM)
16 . b u i l d ( ) ;
17
18 // Best phenotype found so f a r .
19 static Phenotype<EnumGene<Po in t >, Double> b e s t = null ;
20
21 // You w i l l be inf or me d on new r e s u l t s . This a l l o ws t o
22 // r e a c t on new b e s t p he no ty pe s , e . g . l o g i t .
23 priv at e s t a t i c void update(
24 final Ev ol ut ion Re su lt <EnumGene<Point >, Double> r e s u l t
25 ) {
26 i f ( b e s t == n u ll | |
28

1.3. BASE CLASSES CHAPTER 1. FUNDAMENTALS
27 b e s t . compareTo ( r e s u l t . g et B es tP h en ot y pe ( ) ) < 0 )
28 {
29 b e s t = r e s u l t . g et Be st P he no t yp e ( ) ;
30 System . out . p r in t ( r e s u l t . g etG en e ra t io n ( ) + " : " ) ;
31 System . out . p r i n t l n ( " Found b e s t p he noty pe : " + b e s t ) ;
32 }
33 }
34
35 // Find th e s o l u t i o n .
36 pub li c s t a t i c void main ( final S t r i n g [ ] a r g s ) {
37 final ISeq<Point> r e s u l t = CODEC. decode (
38 ENGINE . stream ( )
39 . peek (TSM : : update )
40 . l i m i t ( 10 )
41 . c o l l e c t ( E v o l u t i o n R e s u l t . t oB es tG en ot yp e ( ) )
42 ) ;
43 System . out . p r i n t l n ( r e s u l t ) ;
44 }
45 }
Listing 1.11: Live evolution statistics
Listing 1.11 on the preceding page shows how to implement a manual statistics
gathering. The update method is called whenever a new
EvolutionResult
is
has been calculated. If a new best
Phenotype
is available, it is stored and logged.
With the
TSM::update
method, which is called on every finished generation,
you have alive view on the evolution progress.
1.3.3.7 Engine.Evaluator
This interface allows to define different strategies for evaluating the fitness
functions of a given population. Usually, it is not necessary to override the
default evaluation strategy. It is helpful if you have performance problems when
the fitness function is evaluated serially—or in small concurrent batches, as it
is implemented by the default strategy. In this case, the
Engine.Evaluator
interface can be used to calculate the fitness function for a population in one
batch.
1public i n t erf a ce E val uat o r<
2Gextends Gene <? , G>,
3Cextends Comparable<? super C>
4> {
5IS eq<Phenotype<G, C>> e v a l u a t e ( Seq<Phenotype<G, C>> pop ) ;
6}
Listing 1.12: Engine.Evaluator interface
The implementer is free to do the evaluation in place, or create new Phenotype
instance and return the newly created one.
A second use case for the
Evaluator
interface is, when the fitness value also
depends on the current composition of the population. E. g. it is possible to
normalize the population’s fitness values.
29

1.4. NUTS AND BOLTS CHAPTER 1. FUNDAMENTALS
1.4 Nuts and bolts
1.4.1 Concurrency
The
Jenetics
library parallelizes independent task whenever possible. Especially
the evaluation of the fitness function is done concurrently. That means that the
fitness function must be thread safe, because it is shared by all phenotypes of a
population. The easiest way for achieving thread safety is to make the fitness
function immutable and re-entrant.
Since the number of individuals of one population, which determines the
number of fitness functions to be evaluated, is usually much higher then the
number of available CPU cores, the fitness evaluation is done in batches. This
reduces the evaluation overhead, for lightweight fitness functions.
Figure 1.4.1: Evaluation batch
Figure 1.4.1 shows an example population with 12 individuals. The evaluation
of the phenotype’s fitness functions are evaluated in batches with three elements.
For this purpose, the individuals of one batch are wrapped into a
Runnable
object. The batch size is automatically adapted to the available number of CPU
cores. It is assumed that the evaluation cost of one fitness function is quite small.
If this assumption doesn’t hold, you can configure the the maximal number
of batch elements with the
io.jenetics.concurrency.maxBatchSize
system
property15.
1.4.1.1 Basic configuration
The used
Executor
can be defined when building the evolution
Engine
object.
1import j a v a . u t i l . c o n c u r r e n t . Ex ec u to r ;
2import j a v a . u t i l . c o n c u r r e n t . E xe c u t or s ;
3
4pu bl ic c l a s s Main {
5priv at e s t a t i c Double e v a l ( final Genotype<DoubleGene> g t ) {
6// c a l c u l a t e and re t ur n f i t n e s s
7}
8
9pub li c s t a t i c void main ( final S t r i n g [ ] a r g s ) {
10 // C r e a t in g an f i x e d s i z e E x e c u t o r S e r v i c e
11 final E x e c u t o r S e r v i c e e x e c u t o r = E x e cu t or s
12 . new Fi xe dTh re ad Po ol ( 1 0 )
13 final Factory<Genotype<DoubleGene>> g t f = . . .
14 final Eng in e<DoubleGene , Double> e n g i n e = E ng in e
15 . b u i l d e r ( Main : : e va l , g t f )
16 // Us in g 10 t h r e a d s f o r e v o l v i n g .
17 . e x e c u t o r ( e x e c u t o r )
18 . b u i l d ( )
19 ...
20 }
21 }
15See section 1.4.1.2 on the following page.
30

1.4. NUTS AND BOLTS CHAPTER 1. FUNDAMENTALS
If no
Executor
is given,
Jenetics
uses a common
ForkJoinPool16
for concur-
rency.
Sometimes it might be useful to run the evaluation
Engine
single-threaded,
or even execute all operations in the main thread. This can be easily achieved
by setting the appropriate Executor.
1final Engine<DoubleGene , Double> e ng in e = Engine . b u i l d e r ( . . . )
2// Doing t he En gi ne o p e r a t i o n s i n t he main t hr e ad
3. e x e c u t o r ( ( E xe cu t or ) Runnable : : ru n )
4. b u i l d ( )
The code snippet above shows how to do the
Engine
operations in the main
thread. Whereas the snippet below executes the
Engine
operations in a single
thread, other than the main thread.
1final Engine<DoubleGene , Double> e ng in e = Engine . b u i l d e r ( . . . )
2// Doing t he En gi ne o p e r a t i o n s i n a s i n g l e t hr ea d
3. e x e c u t o r ( E x e cu t o rs . n ew Si n gl eT h re a dE xe c ut or ( ) )
4. b u i l d ( )
Such a configuration can be useful for performing reproducible (performance)
tests, without the uncertainty of a concurrent execution environment.
1.4.1.2 Concurrency tweaks
Jenetics
uses different strategies for minimizing the concurrency overhead, de-
pending on the configured
Executor
. For the
ForkJoinPool
, the fitness evalua-
tion of the population is done by recursively dividing it into sub-populations using
the abstract
RecursiveAction
class. If a minimal sub-population size is reached,
the fitness values for this sub-population are directly evaluated. The default value
of this threshold is five and can be controlled via the
io.jenetics.concurrency-
.splitThreshold
system property. Besides the
splitThreshold
, the size of
the evaluated sub-population is dynamically determined by the
ForkJoinTask-
.getSurplusQueuedTaskCount()
method.
17
If this value is greater than three,
the fitness values of the current sub-population are also evaluated immediately.
The default value can be overridden by the
io.jenetics.concurrency.max-
SurplusQueuedTaskCount system property.
$ java -Dio.jenetics.concurrency.splitThreshold=1 \
-Dio.jenetics.concurrency.maxSurplusQueuedTaskCount=2 \
-cp jenetics-4.2.0.jar:app.jar \
com.foo.bar.MyJeneticsApp
You may want to tweak this parameters, if you realize a low CPU utilization
during the fitness value evaluation. Long running fitness function could lead to
CPU under-utilization while evaluating the last sub-population. In this case,
only one core is busy, while the other cores are idle, because they already finished
16https://docs.oracle.com/javase/8/docs/api/java/util/concurrent/ForkJoinPool.
html
17
Excerpt from the Javadoc: Returns an estimate of how many more locally queued tasks
are held by the current worker thread than there are other worker threads that might steal
them. This value may be useful for heuristic decisions about whether to fork other tasks. In
many usages of
ForkJoinTasks
, at steady state, each worker should aim to maintain a small
constant surplus (for example, 3) of tasks, and to process computations locally if this threshold
is exceeded.
31

1.4. NUTS AND BOLTS CHAPTER 1. FUNDAMENTALS
the fitness evaluation. Since the workload has been already distributed, no
work-stealing is possible. Reducing the
splitThreshold
can help to have a
more equal workload distribution between the available CPUs. Reducing the
maxSurplusQueuedTaskCount
property will create a more uniform workload for
fitness function with heavily varying computation cost for different genotype
values.
The fitness function shouldn’t acquire locks for achieving thread safety. It
is also recommended to avoid calls to blocking methods. If such calls are
unavoidable, consider using the
ForkJoinPool.managedBlock
method.
Especially if you are using a
ForkJoinPool
executor, which is the default.
If the Engine is using an
ExecutorService
, a different optimization strategy
is used for reducing the concurrency overhead. The original population is divided
into a fixed number
18
of sub-populations, and the fitness values of each sub-
population are evaluated by one thread. For long running fitness functions, it is
better to have smaller sub-populations for a better CPU utilization. With the
io.jenetics.concurrency.maxBatchSize
system property, it is possible to
reduce the sub-population size. The default value is set to
Integer.MAX_VALUE
.
This means, that only the number of CPU cores influences the batch size.
$ java -Dio.jenetics.concurrency.maxBatchSize=3 \
-cp jenetics-4.2.0.jar:app.jar \
com.foo.bar.MyJeneticsApp
Another source of under-utilized CPUs are lock contentions. It is therefore
strongly recommended to avoid locking and blocking calls in your fitness function
at all. If blocking calls are unavoidable, consider using the managed block
functionality of the ForkJoinPool.19
1.4.2 Randomness
In general, GAs heavily depends on pseudo random number generators (PRNG)
for creating new individuals and for the selection- and mutation-algorithms.
Jenetics
uses the Java
Random
object, respectively sub-types from it, for gen-
erating random numbers. To make the random engine pluggable, the
Random
object is always fetched from the
RandomRegistry
. This makes it possible to
change the implementation of the random engine without changing the client
code. The central
RandomRegistry
also allows to easily change
Random
engine
even for specific parts of the code.
The following example shows how to change and restore the
Random
object.
When opening the
with
scope, changes to the
RandomRegistry
are only visible
within this scope. Once the
with
scope is left, the original
Random
object is
restored.
18
The number of sub-populations actually depends on the number of available CPU cores,
which are determined with Runtime.availableProcessors().
19
A good introduction on how to use managed blocks, and the motivation behind it, is given
in this talk: https://www.youtube.com/watch?v=rUDGQQ83ZtI
32

1.4. NUTS AND BOLTS CHAPTER 1. FUNDAMENTALS
1L i s t <Genotype<DoubleGene>> g e n ot y p e s =
2RandomRegistry . with (new Random ( 1 2 3 ) , r −> {
3Genotype . o f ( DoubleChromosome . o f ( 0 . 0 , 1 0 0 . 0 , 1 0) )
4. i n s t a n c e s ( )
5. l i m i t ( 1 0 0 )
6. c o l l e c t ( C o l l e c t o r s . t o L i s t ( ) )
7}) ;
With the previous listing, a random, but reproducible, list of genotypes is created.
This might be useful while testing your application or when you want to evaluate
the EvolutionStream several times with the same initial population.
1Eng in e<DoubleGene , Double> e n g i n e = . . . ;
2// C re at e a new e v o l u t i o n s tream wi th th e gi ve n
3// i n i t i a l g en o ty p es .
4Pheno type<DoubleGene , Double> b e s t = e n g i n e . st r ea m ( g e n o t yp e s )
5. l i m i t ( 10 )
6. c o l l e c t ( E v o l u t i o n R e s u l t . t oB es t Ph en ot y pe ( ) ) ;
The example above uses the generated genotypes for creating the
Evolution-
Stream
. Each created stream uses the same starting population, but will, most
likely, create a different result. This is because the stream evaluation is still
non-deterministic.
Setting the PRNG to a Random object with a defined seed has the effect,
that every evolution stream will produce the same result—in an single
threaded environment.
The parallel nature of the GA implementation requires the creation of streams
ti,j
of random numbers which are statistically independent, where the streams
are numbered with
j
= 1
,
2
,
3
, ..., p
,
p
denotes the number of processes. We expect
statistical independence between the streams as well. The used PRNG should
enable the GA to play fair, which means that the outcome of the GA is strictly
independent from the underlying hardware and the number of parallel processes
or threads. This is essential for reproducing results in parallel environments
where the number of parallel tasks may vary from run to run.
The Fair Play property of a PRNG guarantees that the quality of the
genetic algorithm (evolution stream) does not depend on the degree of
parallelization.
When the
Random
engine is used in an multi-threaded environment, there
must be a way to parallelize the sequential PRNG. Usually this is done by
taking the elements of the sequence of pseudo-random numbers and distribute
them among the threads. There are essentially four different parallelizations
techniques used in practice: Random seeding,Parameterization,Block splitting
and Leapfrogging.
Random seeding
Every thread uses the same kind of PRNG but with a
different seed. This is the default strategy used by the
Jenetics
library. The
33

1.4. NUTS AND BOLTS CHAPTER 1. FUNDAMENTALS
RandomRegistry
is initialized with the
ThreadLocalRandom
class from the
ja-
va.util.concurrent
package. Random seeding works well for the most prob-
lems but without theoretical foundation.
20
If you assume that this strategy is
responsible for some non-reproducible results, consider using the
LCG64Shift-
Random PRNG instead, which uses block splitting as parallelization strategy.
Parameterization
All threads uses the same kind of PRNG but with different
parameters. This requires the PRNG to be parameterizable, which is not the
case for the Random object of the JDK. You can use the
LCG64ShiftRandom
class if you want to use this strategy. The theoretical foundation for these
method is weak. In a massive parallel environment you will need a reliable set
of parameters for every random stream, which are not trivial to find.
Block splitting
With this method each thread will be assigned a non-over-
lapping contiguous block of random numbers, which should be enough for the
whole runtime of the process. If the number of threads is not known in advance,
the length of each block should be chosen much larger then the maximal expected
number of threads. This strategy is used when using the LCG64ShiftRandom.-
ThreadLocal
class.This class assigns every thread a block of 2
56 ≈
7
,
2
·
10
16
random numbers.After 128 threads, the blocks are recycled, but with changed
seed.
Figure 1.4.2: Block splitting
Leapfrog
With the leapfrog method each thread
t∈[0, P )
only consumes the
Pth
random number and jump ahead in the random sequence by the number of
threads,
P
. This method requires the ability to jump very quickly ahead in the
sequence of random numbers by a given amount. Figure 1.4.3 on the next page
graphically shows the concept of the leapfrog method.
LCG64ShiftRandom21
The
LCG64ShiftRandom
class is a port of the
trng::-
lcg64_shift
PRNG class of the TRNG
22
library, implemented in C++.[
4
]
It implements additional methods, which allows to implement the block split-
ting—and also the leapfrog—method.
20
This is also expressed by Donald Knuth’s advice: »Random number generators should not
be chosen at random.«
21
The
LCG64ShiftRandom
PRNG is part of the
io.jenetics.prngine
module (see section 4.4
on page 94).
22http://numbercrunch.de/trng/
34

1.4. NUTS AND BOLTS CHAPTER 1. FUNDAMENTALS
Figure 1.4.3: Leapfrogging
1pu bl ic c l a s s LCG64ShiftRandom extends Random {
2public void s p l i t ( f i n a l i nt p , f i n a l int s ) ;
3public void jump( f i n a l long s t e p ) ;
4public void jump2 ( f i n a l in t s ) ;
5...
6}
Listing 1.13: LCG64ShiftRandom class
Listing 1.13 shows the interface used for implementing the block splitting and
leapfrog parallelizations technique. This methods have the following meaning:
split
Changes the internal state of the PRNG in a way that future calls to
nextLong()
will generated the
sth
sub-stream of
pth
sub-streams.
s
must
be within the range of
[0, p −1)
. This method is used for parallelization
via leapfrogging.
jump
Changes the internal state of the PRNG in such a way that the engine
jumps
s
steps ahead. This method is used for parallelization via block
splitting.
jump2
Changes the internal state of the PRNG in such a way that the engine
jumps 2
s
steps ahead. This method is used for parallelization via block
splitting.
1.4.3 Serialization
Jenetics
supports serialization for a number of classes, most of them are located
in the
io.jenetics
package. Only the concrete implementations of the
Gene
and the
Chromosome
interfaces implements the
Serializable
interface. This
gives a greater flexibility when implementing own Genes and Chromosomes.
•BitGene
•BitChromosome
•CharacterGene
•CharacterChromosome
•IntegerGene
•IntegerChromosome
•LongGene
•LongChomosome
•DoubleGene
•DoubleChromosome
35

1.4. NUTS AND BOLTS CHAPTER 1. FUNDAMENTALS
•EnumGene
•PermutationChromosome
•Genotype
•Phenotype
With the serialization mechanism you can write a population to disk and load
it into an new
EvolutionStream
at a later time. It can also be used to transfer
populations to evolution engines, running on different hosts, over a network link.
The
IO
class, located in the
io.jenetics.util
package, supports native Java
serialization.
1// C r e a t i n g r e s u l t p o p u l a t i o n .
2Ev ol ut io nR esu lt <DoubleGene , Double> r e s u l t = stream
3. l i m i t ( 1 0 0 )
4. c o l l e c t ( t o B e s t E v o l u t i o n R e s u l t ( ) ) ;
5
6// W ri t in g th e p o p u l a t i o n t o d i s k .
7final F i l e f i l e = new File(" p o p u l a t i o n . o bj " ) ;
8IO . o b j e c t . w r i t e ( r e s u l t . g e t P o p u l a t i o n ( ) , f i l e ) ;
9
10 // R ea din g t he p o p u l a t i o n fro m d i s k .
11 IS eq <Phe notyp e<G, C>> p o p u l a t i o n =
12 ( ISeq <Phenotype<G, C>>)IO . o b j e c t . re ad ( f i l e ) ;
13 Evoluti o nStre a m<DoubleGene , Double> s t ream = Engine
14 . b u i l d ( f f , g t f )
15 . stream ( p op ula ti on , 1 ) ;
1.4.4 Utility classes
The
io.jenetics.util
and the
io.jenetics.stat
package of the library con-
tains utility and helper classes which are essential for the implementation of the
GA.
io.jenetics.util.Seq
Most notable are the
Seq
interfaces and its implemen-
tation. They are used, among others, in the
Chromosome
and
Genotype
classes
and holds the
Gene
s and
Chromosome
s, respectively. The
Seq
interface itself
represents a fixed-sized, ordered sequence of elements. It is an abstraction over
the Java build-in array-type, but much safer to use for generic elements, because
there are no casts needed when using nested generic types.
Figure 1.4.4 on the next page shows the
Seq
class diagram with their most
important methods. The interfaces
MSeq
and
ISeq
are mutable, respectively
immutable specializations of the basis interface. Creating instances of the
Seq
interfaces is possible via the static factory methods of the interfaces.
1// C r ea t e " d i f f e r e n t " s e q u e n c e s .
2final Seq<I n t e g e r > a1 = Seq . o f ( 1 , 2 , 3 ) ;
3final MSeq<I n t e g e r > a2 = MSeq . o f ( 1 , 2 , 3 ) ;
4final IS eq<I n t e g e r > a3 = MSeq . o f ( 1 , 2 , 3 ) . t o I S e q ( ) ;
5final MSeq<I n t e g e r > a4 = a3 . copy ( ) ;
6
7// The ’ e q u a l s ’ method p er fo rm s elemen t−w is e comp a rison .
8a s s e r t ( a1 . eq u al s ( a2 ) && a1 != a2 ) ;
9a s s e r t ( a2 . eq u al s ( a3 ) && a2 != a3 ) ;
10 a s s e r t ( a3 . eq u al s ( a4 ) && a3 != a4 ) ;
How to create instances of the three
Seq
types is shown in the listing above.
The
Seq
classes also allows a more functional programming style. For a full
method description refer to the Javadoc.
36

1.4. NUTS AND BOLTS CHAPTER 1. FUNDAMENTALS
Figure 1.4.4: Seq class diagram
io.jenetics.stat
This package contains classes for calculating statistical
moments. They are designed to work smoothly with the Java Stream API and
are divided into mutable (number) consumers and immutable value classes, which
holds the statistical moments. The additional classes calculate the
•minimum,
•maximum,
•sum,
•mean,
•variance,
•skewness and
•kurtosis value.
Numeric type Consumer class Value class
int IntMomentStatistics IntMoments
long LongMomentStatistics LongMoments
double DoubleMomentStatistics DoubleMoments
Table 1.4.1: Statistics classes
Table 1.4.1 contains the available statistical moments for the different numeric
types. The following code snippet shows an example on how to collect double
statistics from an given DoubleGene stream.
1// C o l l e c t i n g i n t o an s t a t i s t i c s o b j e c t .
2DoubleChromosome chromosome = . . .
3Do ub leM om ent Sta ti sti cs s t a t i s t i c s = chromosome . st r eam ( )
4. c o l l e c t ( D o ubl eMo me ntS ta tis tic s
5. t oD oub le Mo me nt St at is ti cs ( v −> v . d ou ble Va lue ( ) ) ) ;
6
7// C o l l e c t i n g i n t o an moments o b j e ct .
8DoubleMoments moments = chromosome . st ream ( )
9. c o l l e c t ( DoubleMoments . toDoubleMoments ( v −> v . d ou bl eVa lue ( ) ) ) ;
37

Chapter 2
Advanced topics
This section describes some advanced topics for setting up an evolution
Engine
or
EvolutionStream
. It contains some problem encoding examples and how to
override the default validation strategy of the given Genotypes. The last section
contains a detailed description of the implemented termination strategies.
2.1 Extending Jenetics
The
Jenetics
library was designed to give you a great flexibility in transforming
your problem into a structure that can be solved by an GA. It also comes with
different implementations for the base data-types (genes and chromosomes) and
operators (alterers and selectors). If it is still some functionality missing, this
section describes how you can extend the existing classes. Most of the extensible
classes are defined by an interface and have an abstract implementation which
makes it easier to extend it.
2.1.1 Genes
Gene
s are the starting point in the class hierarchy. They hold the actual
information, the alleles, of the problem domain. Beside the classical bit-gene,
Jenetics
comes with gene implementations for numbers (
double
-,
int
- and
long values), characters and enumeration types.
For implementing your own gene type you have to implement the
Gene
interface with three methods: (1) the
getAllele
() method which will return the
wrapped data, (2) the
newInstance
method for creating new, random instances
of the gene—must be of the same type and have the same constraint—and (3)
the
isValid()
method which checks if the gene fulfill the expected constraints.
The gene constraint might be violated after mutation and/or recombination. If
you want to implement a new number-gene, e. g. a gene which holds complex
values, you may want extend it from the abstract
NumericGene
class. Every
Gene
extends the
Serializable
interface. For normal genes there is no more
work to do for using the Java serialization mechanism.
38

2.1. EXTENDING JENETICS CHAPTER 2. ADVANCED TOPICS
The custom
Gene
s and
Chromosome
s implementations must use the
Random
engine available via the
RandomRegistry.getRandom
method
when implementing their factory methods. Otherwise it is not possible
to seamlessly change the
Random
engine by using the
RandomRegistry-
.setRandom method.
If you want to support your own allele type, but want to avoid the effort of
implementing the
Gene
interface, you can alternatively use the
AnyGene
class. It
can be created with
AnyGene.of(Supplier, Predicate)
. The given
Supplier
is responsible for creating new random alleles, similar to the
newInstance
method in the
Gene
interface. Additional validity checks are performed by the
given Predicate.
1c l a s s LastMonday {
2// C re at es new random ’ Loca lDate ’ o b j e c t s .
3priv at e s t a t i c L oc alDat e nextMonday ( ) {
4final Random random = RandomRegistry . getRandom ( ) ;
5LocalDate
6. o f ( 20 1 5 , 1 , 5 )
7. plu sW ee ks ( random . n e x t I n t ( 1 0 0 0 ) ) ;
8}
9
10 // Do some a d d i t i o n a l v a l i d i t y c heck .
11 priv at e s t a t i c boolean isValid(final Loc a l Date d a te ) { . . . }
12
13 // C re at e a new gene from th e random ’ S u p p l i e r ’ and
14 // v a l i d a t i o n ’ P r e di c at e ’ .
15 private f i n a l AnyGene<LocalDate> gene = AnyGene
16 . o f ( LastMonday : : nextMonday , LastMonday : : i s V a l i d ) ;
17 }
Listing 2.1: AnyGene example
Example listing 2.1 shows the (almost) minimal setup for creating user defined
Gene
allele types. By convention, the
Random
engine, used for creating the
new
LocalDate
objects, must be requested from the
RandomRegistry
. With
the optional validation function,
isValid
, it is possible to reject
Genes
whose
alleles doesn’t conform some criteria.
The simple usage of the
AnyGene
has also its downsides. Since the
AnyGene
instances are created from function objects, serialization is not supported by
the
AnyGene
class. It is also not possible to use some
Alterer
implementations
with the AnyGene, like:
•GaussianMutator,
•MeanAlterer and
•PartiallyMatchedCrossover
2.1.2 Chromosomes
A new gene type normally needs a corresponding chromosome implementation.
The most important part of a chromosome is the factory method
newInstance
,
which lets the evolution
Engine
create a new
Chromosome
instance from a
39

2.1. EXTENDING JENETICS CHAPTER 2. ADVANCED TOPICS
sequence of
Gene
s. This method is used by the
Alterer
s when creating new,
combined
Chromosome
s. It is allowed, that the newly created chromosome has
a different length than the original one. The other methods should be self-
explanatory. The chromosome has the same serialization mechanism as the gene.
For the minimal case it can extends the Serializable interface.1
Just implementing the Serializable interface is sometimes not enough. You
might also need to implement the
readObject
and
writeObject
methods
for a more concise serialization result. Consider using the serialization proxy
pattern, item 90, described in Effective Java [6].
Corresponding to the
AnyGene
, it is possible to create chromosomes with
arbitrary allele types with the AnyChromosome.
1pu bl ic c l a s s LastMonday {
2// The used problem Codec .
3priv at e s t a t i c f i n a l Codec<LocalDate , AnyGene<LocalDate>>
4CODEC = Codec . o f (
5Genotype . of ( AnyChromosome . o f ( LastMonday : : nextMonday ) ) ,
6gt −> gt . getGene ( ) . g e t A l l e l e ( )
7) ;
8
9// C re at es new random ’ Loca lDate ’ o b j e c t s .
10 priv at e s t a t i c L oc alDat e nextMonday ( ) {
11 final Random random = RandomRegistry . getRandom ( ) ;
12 LocalDate
13 . o f ( 20 1 5 , 1 , 5 )
14 . plu sW ee ks ( random . n e x t I n t ( 1 0 0 0 ) ) ;
15 }
16
17 // The f i t n e s s f u n c t i o n : f i n d a monday a t th e end o f t he month .
18 priv at e s t a t i c i nt fitness (final Loc a lDate d at e ) {
19 return da te . getDayOfMonth ( ) ;
20 }
21
22 pub li c s t a t i c void main ( final S t r i n g [ ] a r g s ) {
23 final Eng ine<AnyGene<L oca lD ate >, I n t e g e r > e n g in e = Eng ine
24 . b u i l d e r ( LastMonday : : f i t n e s s , CODEC)
25 . offspringSelector(new Ro ul et te Wh ee l S e le ct or <>() )
26 . b u i l d ( ) ;
27
28 final Phenotype<AnyGene<L oc alD at e >, I n t e g e r > b e s t =
29 e n g i n e . st re am ( )
30 . l i m i t ( 50 )
31 . c o l l e c t ( E v o l u t i o n R e s u l t . t oB es t Ph en ot y pe ( ) ) ;
32
33 System . out . p r i n t l n ( b e st ) ;
34 }
35 }
Listing 2.2: AnyChromosome example
Listing 2.2 shows a full usage example of the
AnyGene
and
AnyChromosome
class.
The example tries to find a Monday with a maximal day of month. An interesting
detail is, that an
Codec2
definition is used for creating new
Genotypes
and
1http://www.oracle.com/technetwork/articles/java/javaserial-1536170.html
2See section 2.3 on page 50 for a more detailed Codec description.
40

2.1. EXTENDING JENETICS CHAPTER 2. ADVANCED TOPICS
for converting them back to
LocalDate
alleles. The convenient usage of the
AnyChromosome
has to be payed by the same restriction as for the
AnyGene
:
no serialization support for the chromosome and not usable for all
Alterer
implementations.
2.1.3 Selectors
If you want to implement your own selection strategy you only have to implement
the Selector interface with the select method.
1@FunctionalInterface
2public i n t erf a ce Selector<
3Gextends Gene <? , G>,
4Cextends Comparable<? super C>
5> {
6public ISeq<Phenotype<G, C>> s e l e c t (
7Seq<Phenotype<G, C>> po pul at i on ,
8int count ,
9Optimize opt
10 ) ;
11 }
Listing 2.3: Selector interface
The first parameter is the original
population
from which the sub-population
is selected. The second parameter,
count
, is the number of individuals of the
returned sub-population. Depending on the selection algorithm, it is possible
that the sub-population contains more elements than the original one. The
last parameter,
opt
, determines the optimization strategy which must be used
by the selector. This is exactly the point where it is decided whether the GA
minimizes or maximizes the fitness function.
Before implementing a selector from scratch, consider to extend your selector
from the
ProbabilitySelector
(or any other available
Selector
implementa-
tion). It is worth the effort to try to express your selection strategy in terms of
selection property
P
(
i
). Another way for re-using existing
Selector
implemen-
tation is by composition.
1pu bl ic c l a s s EliteSelector<
2Gextends Gene <? , G>,
3Cextends Comparable<? super C>
4>
5implements Selector<G, C>
6{
7private f i n a l TruncationSelector<G, C>
8_ e l i t e = new TruncationSelector <>();
9
10 private f i n a l Tourna m entSe l ecto r <G, C>
11 _r e st = new Tournam e ntSe l ector <>(3) ;
12
13 public E l i t e S e l e c t o r ( ) {
14 }
15
16 @Override
17 public ISeq<Phenotype<G, C>> s e l e c t (
18 final Seq<Phenotype<G, C>> p opu la t io n ,
19 f i n a l i nt count ,
20 final Optimize opt
21 ) {
22 ISeq<Phenotype<G, C>> r e s u l t ;
41

2.1. EXTENDING JENETICS CHAPTER 2. ADVANCED TOPICS
23 i f ( p o p u l a t i o n . isEm pty ( ) | | c ou nt <= 0 ) {
24 r e s u l t = I Se q . empty ( ) ;
25 }else {
26 f i n a l i nt e c = min ( count , _e li te Co un t ) ;
27 r e s u l t = _ e l i t e . s e l e c t ( po p ul ati on , ec , opt ) ;
28 r e s u l t = r e s u l t . append (
29 _r e st . s e l e c t ( po pu l at ion , max( 0 , count −ec ) , opt )
30 ) ;
31 }
32 return r e s u l t ;
33 }
34 }
Listing 2.4: Elite selector
Listing 2.4 on the preceding page shows how an elite selector could be imple-
mented by using the existing
Truncation
- and
TournamentSelector
. With
elite selection, the quality of the best solution in each generation monotoni-
cally increases over time.[
3
] Although this is not necessary, since the evolution
Engine
/
Stream
doesn’t throw away the best solution found during the evolution
process.
2.1.4 Alterers
For implementing a new alterer class it is necessary to implement the
Alterer
interface. You might do this if your new
Gene
type needs a special kind of
alterer not available in the Jenetics project.
1@FunctionalInterface
2public i n t erf a ce Alterer<
3Gextends Gene <? , G>,
4Cextends Comparable<? super C>
5> {
6public A l t e r e r R e s u l t <G, C> a l t e r (
7Seq<Phenotype<G, C>> po pul at i on ,
8long g e n e r a t i o n
9) ;
10 }
Listing 2.5: Alterer interface
The first parameter of the
alter
method is the population which has to be al-
tered. The second parameter is the
generation
of the newly created individuals
and the return value is the number of genes that has been altered.
To maximize the range of application of an
Alterer
, it is recommended
that they can handle Genotypes and Chromosomes with variable length.
2.1.5 Statistics
During the developing phase of an application which uses the
Jenetics
library,
additional statistical data about the evolution process is crucial. Such data can
help to optimize the parametrization of the evolution Engine. A good starting
point is to use the
EvolutionStatistics
class in the
io.jenetics.engine
package (see listing 1.10 on page 27). If the data in the
EvolutionStatistics
42

2.1. EXTENDING JENETICS CHAPTER 2. ADVANCED TOPICS
class doesn’t fit your needs, you simply have to write your own statistics class.
It is not possible to derive from the existing
EvolutionStatistics
class. This
is not a real restriction, since you still can use the class by delegation. Just
implement the Java Consumer<EvolutionResult<G, C>> interface.
2.1.6 Engine
The evolution
Engine
itself can’t be extended, but it is still possible to create an
EvolutionStream
without using the
Engine
class.
3
Because the
Evolution-
Stream
has no direct dependency to the
Engine
, it is possible to use an different,
special evolution Function.
1public f i n a l c l a ss SpecialEngine {
2// The Genotype f a c t o r y .
3priv at e s t a t i c f i n a l Factory<Genotype<DoubleGene>> GTF =
4Genotype . o f ( DoubleChromosome . o f ( 0 , 1 ) ) ;
5
6// The f i t n e s s f u n c t i o n .
7priv at e s t a t i c Double f i t n e s s ( final Genotype<DoubleGene> gt ) {
8return gt . getGene ( ) . g e t A l l e l e ( ) ;
9}
10
11 // C re at e new e v o l u t i o n s t a r t o b j e c t .
12 priv at e s t a t i c E v o l u t i o n S t a r t <DoubleGene , Double>
13 start(f i n a l in t p o p u l a t i o n S i z e , f i n a l long g e n e r a t i o n ) {
14 final IS eq<Phen otyp e<DoubleGene , Double>> p o p u l a t i o n = GTF
15 . i n s t a n c e s ( )
16 . map( g t −> Phenotype
17 . o f ( gt , g e n e r a t i o n , S p e c i a l E n g i n e : : f i t n e s s ) )
18 . l i m i t ( p o p u l a t i o n S i z e )
19 . c o l l e c t ( IS e q . to IS eq ( ) ) ;
20
21 return E v o l u t i o n S t a r t . o f ( p o pu la t io n , g e n e r a t i o n ) ;
22 }
23
24 // The s p e c i a l e v o l u t i o n f u n c t i o n .
25 priv at e s t a t i c E vo lu ti on Re su l t <DoubleGene , Double>
26 evolve( final E v o l u t i o n S t a r t <DoubleGene , Double> s t a r t ) {
27 return ...; // Add im pl em ent a tio n !
28 }
29
30 pub li c s t a t i c void main ( final S t r i n g [ ] a r g s ) {
31 final Genotype<DoubleGene> b e s t = E v ol ut io n St r ea m
32 . o f ( ( ) −> s t a r t ( 5 0 , 0 ) , S p e c i a l E n g i n e : : e v o l v e )
33 . limit (Limits . bySteadyFitness (10) )
34 . l i m i t ( 1 0 0 )
35 . c o l l e c t ( E v o l u t i o n R e s u l t . t oB es tG en ot yp e ( ) ) ;
36
37 System . out . p r i n t l n ( " Best Genotype : " + b e s t ) ) ;
38 }
39 }
Listing 2.6: Special evolution engine
Listing 2.6 shows a complete implementation stub for using an own special
evolution Function.
3
Also refer to section 1.3.3.4 on page 25 on how to create an
EvolutionStream
from an
evolution Function.
43

2.2. ENCODING CHAPTER 2. ADVANCED TOPICS
2.2 Encoding
This section presents some encoding examples for common problems. The
encoding should be a complete and minimal expression of a solution to the
problem. An encoding is complete if it contains enough information to represent
every solution to the problem. An minimal encoding contains only the information
needed to represent a solution to the problem. If an encoding contains more
information than is needed to uniquely identify solutions to the problem, the
search space will be larger than necessary.
Whenever possible, the encoding should not be able to represent infeasible
solutions. If a genotype can represent an infeasible solution, care must be taken
in the fitness function to give partial credit to the genotype for its »good« genetic
material while sufficiently penalizing it for being infeasible. Implementing a
specialized
Chromosome
, which won’t create invalid encodings can be a solution
to this problem. In general, it is much more desirable to design a representation
that can only represent valid solutions so that the fitness function measures only
fitness, not validity. An encoding that includes invalid individuals enlarges the
search space and makes the search more costly. A deeper analysis of how to
create encodings can be found in [27] and [26].
Some of the encodings represented in the following sections has been imple-
mented by
Jenetics
, using the
Codec4
interface, and are available through static
factory methods of the io.jenetics.engine.Codecs class.
2.2.1 Real function
Jenetics
contains three different numeric gene and chromosome implementations,
which can be used to encode a real function, f:R→R:
•IntegerGene/Chromosome,
•LongGene/Chromosome and
•DoubleGene/Chromosome.
It is quite easy to encode a real function. Only the minimum and maximum
value of the function domain must be defined. The
DoubleChromosome
of length
1 is then wrapped into a Genotype.
1Genotype . o f (
2DoubleChromosome . o f ( min , max , 1 )
3) ;
Decoding the double value from the Genotype is also straight forward. Just
get the first gene from the first chromosome, with the
getGene()
method, and
convert it to a double.
1s t a t i c double toDouble ( final Genotype<DoubleGene> gt ) {
2return gt . getGene ( ) . do ubl eVa lu e ( ) ;
3}
When the
Genotype
only contains scalar chromosomes
5
, it should be clear, that
it can’t be altered by every
Alterer
. That means, that none of the
Crossover
4See section 2.3 on page 50.
5Scalar chromosomes contains only one gene.
44

2.2. ENCODING CHAPTER 2. ADVANCED TOPICS
alterers will be able to create modified
Genotype
s. For scalars the appropriate
alterers would be the MeanAlterer,GaussianAlterer and Mutator.
Scalar
Chromosome
s and/or
Genotype
s can only be altered by
MeanAlterer
,
GaussianAlterer
and
Mutator
classes. Other alterers
are allowed, but will have no effect on the Chromosomes.
2.2.2 Scalar function
Optimizing a function
f(x1, ..., xn)
of one or more variable whose range is
one-dimensional, we have two possibilities for the Genotype encoding.[
31
] For
the first encoding we expect that all variables,
xi
, have the same minimum
and maximum value. In this case we can simply create a
Genotype
with a
Numeric Chromosome of the desired length n.
1Genotype . o f (
2DoubleChromosome . o f ( min , max , n )
3) ;
The decoding of the
Genotype
requires a cast of the first
Chromosome
to a
DoubleChromosome
. With a call to the
DoubleChromosome.toArray()
method
we return the variables (x1, ..., xn)as double[] array.
1s t a t i c double [] toScalars(final Genotype<DoubleGene> gt ) {
2return gt . getChromosome ( ) . as ( DoubleChromosome . c l a s s ) . toArray ( ) ;
3}
With the first encoding you have the possibility to use all available alterers,
including all Crossover alterer classes.
The second encoding must be used if the minimum and maximum value
of the variables
xi
can’t be the same for all
i
. For the different domains, each
variable
xi
is represented by a
Numeric Chromosome
with length one. The final
Genotype will consist of nChromosomes with length one.
1Genotype . o f (
2DoubleChromosome . o f ( min1 , max1 , 1 ) ,
3DoubleChromosome . o f ( min2 , max2 , 1 ) ,
4...
5DoubleChromosome . o f ( minn , maxn , 1 )
6) ;
With the help of the new Java Stream API, the decoding of the
Genotype
can
be done in a view lines. The
DoubleChromosome
stream, which is created from
the chromosome
Seq
, is first mapped to
double
values and then collected into
an array.
1s t a t i c double [] toScalars(final Genotype<DoubleGene> gt ) {
2return gt . s tream ( )
3. mapToDouble ( c −> c . getGene ( ) . dou ble Va lue ( ) )
4. toArr ay ( ) ;
5}
As already mentioned, with the use of scalar chromosomes we can only use the
MeanAlterer,GaussianAlterer or Mutator alterer class.
If there are performance issues in converting the
Genotype
into a
double[]
array, or any other numeric array, you can access the
Gene
s directly via the
45

2.2. ENCODING CHAPTER 2. ADVANCED TOPICS
Genotype.get(i, j)
method and than convert it to the desired numeric value,
by calling intValue(),longValue() or doubleValue().
2.2.3 Vector function
A function
f(X1, ..., Xn)
, of one to
n
variables whose range is
m
-dimensional, is
encoded by
mDoubleChromosome
s of length
n
.[
32
] The domain–minimum and
maximum values–of one variable Xiare the same in this encoding.
1Genotype . o f (
2DoubleChromosome . o f ( min1 , max1 , m) ,
3DoubleChromosome . o f ( min2 , max2 , m) ,
4...
5DoubleChromosome . o f ( minn , maxn , m)
6) ;
The decoding of the vectors is quite easy with the help of the Java Stream API. In
the first
map
we have to cast the
Chromosome<DoubleGene>
object to the actual
DoubleChromosome
. The second
map
then converts each
DoubleChromosome
to
a
double[]
array, which is collected to an2-dimensional
double[n][m]
array
afterwards.
1s t a t i c double [ ] [ ] t o V e c t o r s ( final Genotype<DoubleGene> gt ) {
2return gt . s tream ( )
3. map( dc −> dc . as (DoubleChromosome . c l a s s ) . to Array ( ) )
4. toArray(double [ ] [ ] : : new) ;
5}
For the special case of
n
= 1, the decoding of the
Genotype
can be simplified to
the decoding we introduced for scalar functions in section2.2.2.
1s t a t i c double [ ] t oVe ct o r ( final Genotype<DoubleGene> gt ) {
2return gt . getChromosome ( ) . as ( DoubleChromosome . c l a s s ) . toArray ( ) ;
3}
2.2.4 Affine transformation
An affine transformation
6
,
7
is usually performed by a matrix multiplication
with a transformation matrix—in a homogeneous coordinates system
8
. For a
transformation in R2, we can define the matrix A9:
A=
a11 a12 a13
a21 a22 a23
001
.(2.2.1)
A simple representation can be done by creating a
Genotype
which contains
two DoubleChromosomes with a length of 3.
1Genotype . o f (
2DoubleChromosome . o f ( min , max , 3 ) ,
3DoubleChromosome . o f ( min , max , 3 )
4) ;
6https://en.wikipedia.org/wiki/Affine_transformation
7http://mathworld.wolfram.com/AffineTransformation.html
8https://en.wikipedia.org/wiki/Homogeneous_coordinates
9https://en.wikipedia.org/wiki/Transformation_matrix
46

2.2. ENCODING CHAPTER 2. ADVANCED TOPICS
The drawback with this kind of encoding is, that we will create a lot of invalid
(non-affine transformation matrices) during the evolution process, which must
be detected and discarded. It is also difficult to find the right parameters for
the min and max values of the DoubleChromosomes.
A better approach will be to encode the transformation parameters instead
of the transformation matrix. The affine transformation can be expressed by the
following parameters:
•sx– the scale factor in xdirection
•sy– the scale factor in ydirection
•tx– the offset in xdirection
•ty– the offset in ydirection
•θ– the rotation angle clockwise around origin
•kx– shearing parallel to xaxis
•ky– shearing parallel to yaxis
This parameters can then be represented by the following Genotype.
1Genotype . o f (
2// S c a l e
3DoubleChromosome . o f ( sxMin , sxMax ) ,
4DoubleChromosome . o f ( syMin , syMax ) ,
5// Translation
6DoubleChromosome . o f ( txMin , txMax ) ,
7DoubleChromosome . o f ( tyMin , tyMax ) ,
8// Ro ta tio n
9DoubleChromosome . o f ( thMin , thMax ) ,
10 // Shear
11 DoubleChromosome . o f ( kxMin , kxMax ) ,
12 DoubleChromosome . o f ( kyMin , kxMax )
13 )
This encoding ensures that no invalid
Genotype
will be created during the
evolution process, since the crossover will be only performed on the same kind of
chromosome (same chromosome index). To convert the
Genotype
back to the
transformation matrix A, the following equations can be used [14]:
a11 =sxcos θ+kxsysin θ
a12 =sykxcos θ−sxsin θ
a13 =tx
a21 =kysxcos θ+sysin θ(2.2.2)
a22 =sycos θ−sxkysin θ
a23 =ty
This corresponds to an transformation order of T·Sh·Sc·R:
1 0 tx
0 1 ty
0 0 1
·
1kx0
ky1 0
0 0 1
·
sx0 0
0sy0
0 0 1
·
cos θ−sin θ0
sin θcos θ0
0 0 1
.
In Java code, the conversion from the
Genotype
to the transformation matrix,
will look like this:
47

2.2. ENCODING CHAPTER 2. ADVANCED TOPICS
1s t a t i c double [ ] [ ] toM a tr ix ( final Genotype<DoubleGene> g t ) {
2f i n a l double sx = gt . g et ( 0 , 0) . dou b le V al u e ( ) ;
3f i n a l double sy = gt . g et ( 1 , 0) . dou b le V al u e ( ) ;
4f i n a l double tx = gt . ge t (2 , 0 ) . dou b le V al u e ( ) ;
5f i n a l double ty = gt . ge t (3 , 0 ) . dou b le V al u e ( ) ;
6f i n a l double th = g t . ge t ( 4 , 0 ) . d ou bl eV al u e ( ) ;
7f i n a l double kx = gt . g e t ( 5 , 0) . do u bl e Va l ue ( ) ;
8f i n a l double ky = gt . g e t ( 6 , 0) . do u bl e Va l ue ( ) ;
9
10 f i n a l double cos_th = co s ( th ) ;
11 f i n a l double si n_th = s i n ( t h ) ;
12 f i n a l double a11 = co s_ th ∗sx + kx∗sy ∗sin_th ;
13 f i n a l double a12 = co s_ th ∗kx∗sy −sx ∗sin_th ;
14 f i n a l double a21 = co s_ th ∗ky∗sx + sy ∗sin_th ;
15 f i n a l double a22 = co s_ th ∗sy −ky∗sx ∗sin_th ;
16
17 return new double [][] {
18 {a11 , a12 , tx } ,
19 {a21 , a22 , ty } ,
20 { 0 . 0 , 0 . 0 , 1 . 0 }
21 } ;
22 }
For the introduced encoding all kind of alterers can be used. Since we have one
scalar DoubleChromosome, the rotation angle θ, it is recommended also to add
aMeanAlterer or GaussianAlterer to the list of alterers.
2.2.5 Graph
A graph can be represented in many different ways. The most known graph
representation is the adjacency matrix. The following encoding examples uses
adjacency matrices with different characteristics.
Undirected graph
In an undirected graph the edges between the vertices
have no direction. If there is a path between nodes
i
and
j
, it is assumed that
there is also path from jto i.
Figure 2.2.1: Undirected graph and adjacency matrix
Figure 2.2.1 shows an undirected graph and its corresponding matrix rep-
resentation. Since the edges between the nodes have no direction, the values
of the lower diagonal matrix are not taken into account. An application which
48

2.2. ENCODING CHAPTER 2. ADVANCED TOPICS
optimizes an undirected graph has to ignore this part of the matrix.10
1f i n a l i nt n = 6 ;
2final Genotype<BitGene> g t = Genotype . o f ( BitChromosome . o f ( n ) , n ) ;
The code snippet above shows how to create an adjacency matrix for a graph
with
n
= 6 nodes. It creates a genotype which consists of
nBitChromosome
s of
length
n
each. Whether the node
i
is connected to node
j
can be easily checked by
calling
gt.get(i-1, j-1).booleanValue()
. For extracting the whole matrix
as int[] array, the following code can be used.
1f i n a l i nt [ ] [ ] a rr ay = gt . toSe q ( ) . stream ( )
2. map( c −> c . t oSe q ( ) . stream ( )
3. mapToInt ( BitGene : : o r d i n a l )
4. toArr ay ( ) )
5. toArray( int [ ] [ ] : : new) ;
Directed graph
A directed graph (digraph) is a graph where the path between
the nodes have a direction associated with them. The encoding of a directed
graph looks exactly like the encoding of an undirected graph. This time the
whole matrix is used and the second diagonal matrix is no longer ignored.
Figure 2.2.2: Directed graph and adjacency matrix
Figure 2.2.2 shows the adjacency matrix of a digraph. This time the whole
matrix is used for representing the graph.
Weighted directed graph
A weighted graph associates a weight (label) with
every path in the graph. Weights are usually real numbers. They may be
restricted to rational numbers or integers.
The following code snippet shows how the
Genotype
of the matrix is created.
1f i n a l i nt n = 6 ;
2f i n a l double min = −1;
3f i n a l double max = 2 0 ;
4final Genotype<DoubleGene> g t = Genotype
5. o f ( DoubleChromosome . of ( min , max , n ) , n ) ;
10
This property violates the minimal encoding requirement we mentioned at the beginning
of section 2.2 on page 44. For simplicity reason this will be ignored for the undirected graph
encoding.
49

2.3. CODEC CHAPTER 2. ADVANCED TOPICS
Figure 2.2.3: Weighted graph and adjacency matrix
For accessing the single matrix elements, you can simply call
Genotype.get(i,
j).doubleValue()
. If the interaction with another library requires a
double-
[][] array, the following code can be used.
1f i n a l double [ ] [ ] ar ra y = gt . stream ( )
2. map( dc −> dc . as (DoubleChromosome . c l a s s ) . to Array ( ) )
3. toArray(double [ ] [ ] : : new) ;
2.3 Codec
The
Codec
interface—located in the
io.jenetics.engine
package—narrows
the gap between the fitness Function, which should be maximized/minimized,
and the
Genotype
representation, which can be understand by the evolution
Engine
. With the
Codec
interface it is possible to implement the encodings of
section 2.2 on page 44 in a more formalized way.
Normally, the
Engine
expects a fitness function which takes a
Genotype
as
input. This
Genotype
has then to be transformed into an object of the problem
domain. The usage
Codec
interface allows a tighter coupling of the
Genotype
definition and the transformation code.11
1public i nt erf a ce Codec<T, G extends Gene <? , G>> {
2public Fa cto ry<Genotype<G>> enc odi ng ( ) ;
3public Fu nc tio n<Genotype<G>, T> d ec od er ( ) ;
4public defaul t T decode ( final Genotype<G> gt ) { . . . }
5}
Listing 2.7: Codec interface
Listing 2.7 shows the
Codec
interface. The
encoding()
method returns the
Genotype
factory, which is used by the
Engine
for creating new
Genotypes
.
The decoder
Function
, which is returned by the
decoder()
method, transforms
the
Genotype
to the argument type of the fitness
Function
. Without the
Codec
interface, the implementation of the fitness Function is polluted with code, which
transforms the
Genotype
into the argument type of the actual fitness
Function
.
1s t a t i c double eval(final Genotype<DoubleGene> gt ) {
2f i n a l double x = g t . getGene ( ) . dou ble Val ue ( ) ;
11
Section 2.2 on page 44 describes some possible encodings for common optimization
problems.
50

2.3. CODEC CHAPTER 2. ADVANCED TOPICS
3// Do some c a l c u l a t i o n with ’ x ’ .
4return ...
5}
The
Codec
for the example above is quite simple and is shown below. It is not
necessary to implement the
Codec
interface, instead you can use the
Codec.of
factory method for creating new Codec instances.
1final DoubleRange domain = DoubleRange . of (0 , 2∗PI ) ;
2final Codec<Double , DoubleGene> c od ec = Codec . o f (
3Genotype . o f ( DoubleChromosome . o f ( domain ) ) ,
4gt −> gt . getChromosome ( ) . getGene ( ) . g e t A l l e l e ( )
5) ;
When using a
Codec
instance, the fitness
Function
solely contains code from
your actual problem domain—no dependencies to classes of the
Jenetics
library.
1s t a t i c double eval(f i n a l double x ) {
2// Do some c a l c u l a t i o n with ’ x ’ .
3return ...
4}
Jenetics
comes with a set of standard encodings, which are created via static
factory methods of the
io.jenetics.engine.Codecs
class. The following sub-
sections shows some of the implementation of this methods.
2.3.1 Scalar codec
Listing 2.8 shows the implementation of the
Codecs.ofScalar
factory method—for
Integer scalars.
1static Codec<I n t e g e r , I n te ge r Ge ne > o f S c a l a r ( I ntR an ge domain ) {
2return Codec . o f (
3Genotype . of ( IntegerChromosome . o f ( domain ) ) ,
4gt −> gt . getChromosome ( ) . getGene ( ) . g e t A l l e l e ( )
5) ;
6}
Listing 2.8: Codec factory method: ofScalar
The usage of the
Codec
, created by this factory method, simplifies the imple-
mentation of the fitness
Function
and the creation of the evolution
Engine
.
For scalar types, the saving, in complexity and lines of code, is not that big, but
using the factory method is still quite handy. The following listing demonstrates
the interaction between Codec, fitness Function and evolution Engine.
1c l a s s Main {
2// F i t n e s s f u n c t i o n d i r e c t l y t a ke s an ’ i n t ’ v a lu e .
3s t a t i c double fitness(int a r g ) {
4return ...;
5}
6pub li c s t a t i c void main ( S t r i n g [ ] a r g s ) {
7final Eng in e<I n te g er G en e , Double> e n g i n e = E ngi ne
8. b u i l d e r ( Main : : f i t n e s s , o f S c a l a r ( IntRange . o f ( 0 , 1 00 ) ) )
9. b u i l d ( ) ;
10 ...
11 }
12 }
51

2.3. CODEC CHAPTER 2. ADVANCED TOPICS
2.3.2 Vector codec
In the listing 2.9, the
ofVector
factory method returns a
Codec
for an
int[]
array. The
domain
parameter defines the allowed range of the
int
values and
the length defines the length of the encoded int array.
1static Codec<int [ ] , I n te g er G en e > o f V e c t o r (
2IntRange domain ,
3int length
4) {
5return Codec . o f (
6Genotype . o f ( I nte ge rC hro mo so me . o f ( domain , l e n g t h ) ) ,
7gt −> gt . getChromosome ( )
8. as ( IntegerChromosome . c l a s s )
9. toArr ay ( )
10 ) ;
11 }
Listing 2.9: Codec factory method: ofVector
The usage example of the vector
Codec
is almost the same as for the scalar
Codec
. As additional parameter, we need to define the length of the desired
array and we define our fitness function with an int[] array.
1c l a s s Main {
2// F i t n e s s f u n c t i o n d i r e c t l y t a ke s an ’ i n t [ ] ’ a r ra y .
3s t a t i c double fitness(int [ ] a r g s ) {
4return ...;
5}
6pub li c s t a t i c void main ( S t r i n g [ ] a r g s ) {
7final Eng in e<I n te g er G en e , Double> e n g i n e = E ngi ne
8. builder(
9Main : : f i t n e s s ,
10 o f V e c t o r ( I nt Ra nge . o f ( 0 , 1 0 0) , 1 0 ) )
11 . b u i l d ( ) ;
12 ...
13 }
14 }
2.3.3 Subset codec
There are currently two kinds of subset codecs you can choose from: finding
subsets with variable size and with fixed size.
Variable-sized subsets
A Codec for variable-sized subsets can be easily
implemented with the use of a BitChromosome, as shown in listing 2.10.
1static <T> Codec<I Se q<T>, BitGene> o fS ub Se t ( I Se q<T> b a s i c S e t ) {
2return Codec . o f (
3Genotype . o f ( BitChromosome . o f ( b a s i c S e t . l en g th ( ) ) ) ,
4gt −> gt . getChromosome ( )
5. as ( BitChromosome . c l a s s ) . on es ( )
6. mapToObj ( b a s i c S e t : : g et )
7. c o l l e c t ( IS e q . to IS eq ( ) )
8) ;
9}
Listing 2.10: Codec factory method: ofSubSet
52

2.3. CODEC CHAPTER 2. ADVANCED TOPICS
The following usage example of subset
Codec
shows a simplified version of the
Knapsack problem (see section 5.4 on page 105). We try to find a subset, from
the given basic
SET
, where the sum of the values is as big as possible, but smaller
or equal than 20.
1c l a s s Main {
2// The b a s i c s e t fr om where t o c ho o s e an ’ o p t im a l ’ s u b s e t .
3f i n a l s t a t i c I Seq<I n t e g e r > SET =
4ISe q . o f (1 , 2 , 3 , 4 , 5 , 6 , 7 , 8 , 9 , 1 0) ;
5
6// F i t n e s s f u n c t i o n d i r e c t l y t a ke s an ’ i n t ’ v a lu e .
7s t a t i c i nt f i t n e s s ( I Se q<I n t e g e r > s u b s e t ) {
8a s s e r t ( s ub se t . s i z e ( ) <= SET . s i z e ( ) ) ;
9f i n a l i nt s i z e = s ub s e t . stream ( ) . c o l l e c t (
10 C o l l e c t o r s . summingInt ( I n t e ge r : : i nt Va lu e ) ) ;
11 return s i z e <= 20 ? s i z e : 0 ;
12 }
13 pub li c s t a t i c void main ( S t r i n g [ ] a r g s ) {
14 final Eng in e<BitG ene , D ouble> e n g i n e = E ngi ne
15 . b u i l d e r ( Main : : f i t n e s s , o fS ub Se t (SET) )
16 . b u i l d ( ) ;
17 ...
18 }
19 }
Fixed-size subsets12
The second kind of subset codec allows you to find the
best subset of a given, fixed size. A classical usage for this encoding is the Subset
sum problem13:
Given a set (or multi-set) of integers, is there a non-empty subset whose sum is
zero? For example, given the set
{−7,−3,−2,5,8}
, the answer is yes because
the subset {−3,-2,5}sums to zero. The problem is NP-complete14.
1pu bl ic c l a s s SubsetSum
2implements Problem<IS eq<I n t e g e r >, EnumGene<I n t e g e r >, I n t e g e r >
3{
4private f i n a l I Se q<I n t e g e r > _ b a si c S et ;
5private f i n a l in t _s iz e ;
6
7public SubsetSum ( I Seq<I n t e g e r > b a s i c S e t , int s i z e ) {
8_ ba si cS et = b a s i c S e t ;
9_s iz e = s i z e ;
10 }
11
12 @Override
13 public Fu nc tio n<ISe q<I n t e g e r >, I n t e g e r > f i t n e s s ( ) {
14 return s u b s e t −> abs (
15 s ub s et . stream ( ) . mapToInt ( I n t e g e r : : i n tV a lu e ) . sum ( ) ) ;
16 }
17
18 @Override
19 public Codec<ISe q<I n t e g e r >, EnumGene<I n t e g e r >> c od e c ( ) {
20 return Codecs . o fS ubS e t ( _basi cS e t , _ si z e ) ;
21 }
22 }
12
The algorithm for choosing subsets based on a FORTRAN77 version, originally implemented
by Albert Nijenhuis, Herbert Wilf. The actual Java implementation is based on the C++
version by John Burkardt.[23],[34]
13https://en.wikipedia.org/wiki/Subset_sum_problem
14https: // en. wikipedia. org/ wiki/ NP-completeness
53

2.3. CODEC CHAPTER 2. ADVANCED TOPICS
2.3.4 Permutation codec
This kind of codec can be used for problems where optimal solution depends on
the order of the input elements. A classical example for such problems is the
Knapsack problem (chapter 5.5 on page 107).
1static <T> Codec<T [ ] , EnumGene<T>> ofP er mut at ion (T . . . a l l e l e s ) {
2return Codec . o f (
3Genotype . o f ( PermutationChromosome . of ( a l l e l e s ) ) ,
4gt −> gt . getChromosome ( ) . s tream ( )
5. map( EnumGene : : g e t A l l e l e )
6. t oA rr ay ( l e n g t h −> (T [ ] ) Array . n ew In stan ce (
7a l l e l e s [ 0 ] . g e t C l a s s ( ) , l e n g t h ) )
8) ;
9}
Listing 2.11: Codec factory method: ofPermutation
Listing 2.11 shows the implementation of a permutation codec, where the order
of the given alleles influences the value of the fitness function. An alternate
formulation of the traveling salesman problem is shown in the following listing.
It uses the permutation codec in listing 2.11 and uses
java.awt.geom Point
s
for representing the city locations.
1pu bl ic c l a s s TSM {
2// The l o c a t i o n s t o v i s i t .
3s t a t i c f i n a l ISeq<Point> POINTS = IS eq . o f ( . . . ) ;
4
5// The per mu t at io n c od ec .
6s t a t i c f i n a l Codec<ISeq<Point >, EnumGene<Point>>
7CODEC = Codecs . of Per mu tat io n (POINTS) ;
8
9// The f i t n e s s f u n c t i o n ( i n th e pr oble m domain ) .
10 s t a t i c double d i s t ( final I Se q<Po int > p ) {
11 return I nt St re am . ra n ge ( 0 , p . l e n g t h )
12 . mapToDouble ( i −> p . ge t ( i )
13 . d i s t a n c e ( p . g et ( i + i%p . l e n gt h ( ) ) ) )
14 . sum ( ) ;
15 }
16
17 // The e v o l u t i o n e n gi n e .
18 s t a t i c f i n a l Engine<EnumGene<Point >, Double> ENGINE = Engine
19 . b u i l d e r (TSM: : d is t , CODEC)
20 . o p t i m i z e ( O pt im iz e . MINIMUM)
21 . b u i l d ( ) ;
22
23 // Find th e s o l u t i o n .
24 pub li c s t a t i c void main ( final S t r i n g [ ] a r g s ) {
25 final ISeq<Point> r e s u l t = CODEC. decode (
26 ENGINE . stream ( )
27 . l i m i t ( 10 )
28 . c o l l e c t ( E v o l u t i o n R e s u l t . t oB es tG en ot yp e ( ) )
29 ) ;
30
31 System . out . p r i n t l n ( r e s u l t ) ;
32 }
33 }
54

2.3. CODEC CHAPTER 2. ADVANCED TOPICS
2.3.5 Composite codec
The composite
Codec
factory method allows to combine two or more
Codec
s
into one. Listing 2.12 shows the method signature of the factory method, which
is implemented directly in the Codec interface.
1static <G extends Gene <? , G>, A, B , T> Codec<T, G> o f (
2final Codec<A, G> c odec1 ,
3final Codec<B, G> codec2 ,
4final Bi Function<A, B, T> de cod er
5) { . . . }
Listing 2.12: Composite Codec factory method
As you can see from the method definition, the combining
Codecs
and the
combined Codec have the same Gene type.
Only
Codec
s which the same
Gene
type can be composed by the combining
factory methods of the Codec class.
The following listing shows a full example which uses a combined
Codec
. It
uses the subset
Codec
, introduced in section 2.3.3 on page 52, and combines it
into a Tuple of subsets.
1c l a s s Main {
2s t a t i c f i n a l I Seq <I n t e g e r > SET =
3ISe q . o f (1 , 2 , 3 , 4 , 5 , 6 , 7 , 8 , 9 ) ;
4
5// R e s ul t ty pe o f t he combined ’ Codec ’ .
6s t a t i c f i n a l c l a s s Tuple<A, B> {
7final A first ;
8final B se co nd ;
9Tuple ( final A f i r s t , final B se co n d ) {
10 this . f i r s t = f i r s t ;
11 this . second = second ;
12 }
13 }
14
15 s t a t i c i nt f i t n e s s ( Tuple<IS eq<I n t e g e r >, I Seq <I n t e g e r >> a r g s ) {
16 return a rg s . f i r s t . stream ( )
17 . mapToInt ( I n t e g e r : : i nt V al u e )
18 . sum ( ) −
19 a r g s . s ec on d . s tr ea m ( )
20 . mapToInt ( I n t e g e r : : i nt V al u e )
21 . sum ( ) ;
22 }
23
24 pub li c s t a t i c void main ( S t r i n g [ ] a r g s ) {
25 // Combined ’ Codec ’ .
26 final Codec<Tuple<I Se q<I n t e g e r >, I Seq <I n t e g e r >>, BitGene>
27 c od ec = Codec . o f (
28 Codecs . o fS ubS e t (SET) ,
29 Codecs . o fS ubS e t (SET) ,
30 Tuple : : new
31 ) ;
32
33 final Eng ine<BitGene , I n t e g e r > e n gi n e = E ngi ne
34 . b u i l d e r ( Main : : f i t n e s s , co de c )
35 . b u i l d ( ) ;
55

2.4. PROBLEM CHAPTER 2. ADVANCED TOPICS
36
37 final Phenotype<BitGe ne , I n t e g e r > p t = e n g i n e . s tr ea m ( )
38 . l i m i t ( 1 0 0 )
39 . c o l l e c t ( E v o l u t i o n R e s u l t . t oB es t Ph en ot y pe ( ) ) ;
40
41 // Use t he c o de c f o r c o n v e r t i n g t he r e s u l t ’ Genotype ’ .
42 final Tuple<ISe q<I n t e g e r >, IS eq<I n t e g e r >> r e s u l t =
43 cod ec . d ec ode r ( ) . apply ( pt . g etGe not ype ( ) ) ;
44 }
45 }
If you have to combine more than one Codec into one, you have to use the
second, more general, combining function:
Codec.of(ISeq<Codec<?, G>>,-
Function<Object[], T>)
. The example above shows how to use the general
combining function. It is just a little bit more verbose and requires explicit casts
for the sub-codec types.
1final Codec<T ri pl e <Long , Long , Long>, LongGene>
2cod ec = Codec . of ( ISe q . of (
3Codecs . o f S c a l a r ( LongRange . o f ( 0 , 1 00 ) ) ,
4Codecs . o f S c a l a r ( LongRange . o f ( 0 , 1 000 ) ) ,
5Codecs . o f S c a l a r ( LongRange . o f ( 0 , 1 000 0) ) ) ,
6v a l u e s −> {
7final Long f i r s t = ( Long ) v a l u e s [ 0 ] ;
8final Long s ec on d = ( Long ) v a l u e s [ 1 ] ;
9final Long t h i r d = ( Long ) v a l u e s [ 2 ] ;
10 return new T ri pl e <>( f i r s t , seco nd , t h i r d ) ;
11 }
12 ) ;
2.4 Problem
The
Problem
interface is a further abstraction level, which allows to bind the
problem encoding and the fitness function into one class.
1public i nt er fac e Problem<
2T,
3Gextends Gene <? , G>,
4Cextends Comparable<? super C>
5> {
6public Function<T, C> f i t n e s s ( ) ;
7public Codec<T, G> c od ec ( ) ;
8}
Listing 2.13: Problem interface
Listing 2.13 shows the
Problem
interface. The generic type
T
represents the
native argument type of the fitness function and
C
the
Comparable
result of the
fitness function. Gis the Gene type, which is used by the evolution Engine.
1// D e f i n i t i o n o f th e Ones co un ti ng problem .
2final Problem<IS eq<BitGene > , Bit Gene , I n t e g e r > ONES_COUNTING =
3Problem . of (
4// F i t n e s s F unc ti on<I Seq<BitGene >, I n t e g e r >
5genes −> ( int) g en es . stream ( )
6. f i l t e r ( BitGene : : g e tB i t ) . count ( ) ,
7Codec . o f (
8// Genotype Factory<Genotype<BitGene>>
9Genotype . o f ( BitChromosome . o f ( 2 0 , 0 . 1 5 ) ) ,
10 // Genotype c o n v e r s i o n
56

2.5. VALIDATION CHAPTER 2. ADVANCED TOPICS
11 // Function<Genotype<BitGene >, <BitGene>>
12 gt −> gt . getChromosome ( ) . toS eq ( )
13 )
14 ) ;
15
16 // Engine c r e a t i o n f o r Problem s o l v i n g .
17 final Eng ine<BitGene , I n t e g e r > e n gi n e = E ngi ne
18 . b u l d e r (ONES_COUNTING)
19 . p o p u l a t i o n S i z e ( 1 50 )
20 . s u r v i v o r s S e l e c t o r ( newTournamentSelector <>(5) )
21 . offspringSelector(new Ro ul et te Wh ee l S e le ct or <>() )
22 . a l t e r e r s (
23 new Mutator < >(0.03) ,
24 new S i n g l e P o i n t C r o s s o v e r < >( 0.125) )
25 . b u i l d ( ) ;
The listing above shows how a new
Engine
is created by using a predefined
Problem
instance. This allows the complete decoupling of problem and
Engine
definition.
2.5 Validation
A given problem should usually encoded in a way, that it is not possible for
the evolution
Engine
to create invalid individuals (
Genotypes
). Some possible
encodings for common data-structures are described in section 2.2 on page 44.
The
Engine
creates new individuals in the altering step, by rearranging (or
creating new)
Genes
within a
Chromosome
. Since a
Genotype
is treated as valid
if every single
Gene
in every
Chromosome
is valid, the validity property of the
Genes determines the validity of the whole Genotype.
The
Engine
tries to create only valid individuals when creating the initial
population and when it replaces
Genotype
s which has been destroyed by the
altering step. Individuals which has exceeded its lifetime are also replaced by
new valid ones. To guarantee the termination of the
Genotype
creation, the
Engine is parameterized with the maximal number of retries (
individualCrea-
tionRetr
ies)
15
. If the described validation mechanism doesn’t fulfill your needs,
you can override the validation mechanism by creating the
Engine
with an
external Genotype validator.
1final Predicate<? super Genotype<DoubleGene>> v a l i d a t o r = gt −> {
2// Implement advanced Genotype c h eck .
3boolean v a l i d = . . . ;
4return v a l i d ;
5} ;
6final Engine<DoubleGene , Double> e ng in e = Engine . b u i l d e r ( g tf , f f )
7. l i m i t ( 1 0 0 )
8. g e n o t y p e V a l i d a t o r ( v a l i d a t o r )
9. individualCreationRetries (15)
10 . b u i l d ( ) ;
Having the possibility to replace the default validation check is a nice thing, but
it is better to not create invalid individuals in the first place. For achieving this
goal, you have two possibilities:
1. Creating an explicit Genotype factory and
2. implementing new Gene/Chromosome/Alterer classes.
15See section 1.3.3.3 on page 22.
57

2.6. TERMINATION CHAPTER 2. ADVANCED TOPICS
Genotype factory
The usual mechanism for defining an encoding is to create a
Genotype
prototype
16
. Since the
Genotype
implements the
Factory
interface,
an prototype instance can easily passed to the
Engine.builder
method. For a
more advanced
Genotype
creation, you only have to create an explicit
Genotype
factory.
1final Factory<Genotype<DoubleGene>> g t f = ( ) −> {
2// Implement your advanced Genotype f a c t o r y .
3Genotype<DoubleGene> ge n oty pe = . . . ;
4return genotype ;
5} ;
6final Engine<DoubleGene , Double> e ng in e = Engine . b u i l d e r ( g tf , f f )
7. l i m i t ( 1 0 0 )
8. individualCreationRetries (15)
9. b u i l d ( ) ;
With this method you can avoid that the
Engine
creates invalid individuals
in the first place, but it is still possible that the alterer step will destroy your
Genotypes.
Gene/Chromosome/Alterer
Creating your own
Gene
,
Chromosome
and
Alt-
erer
classes is the most heavy-weighted possibility for solving the validity
problem. Refer to section 2.1 on page 38 for a more detailed description on how
to implement this classes.
2.6 Termination
Termination is the criterion by which the evolution stream decides whether to
continue or truncate the stream. This section gives a deeper insight into the
different ways of terminating or truncating the evolution stream, respectively.
The
EvolutionStream
of the
Jenetics
library offers an additional method for
limiting the evolution. With the
limit(Predicate<EvolutionResult<G,C>>)
method it is possible to use more advanced termination strategies. If the predicate,
given to the
limit
function, returns false, the evolution stream is truncated.
EvolutionStream.limit(r -> true) will create an infinite evolution stream.
All termination strategies described in the following sub-sections are part of
the library and can be created by factory methods of the
io.jenetics.engine-
.Limits
class. The termination strategies where tested by solving the Knapsack
problem
17
(see section 5.4 on page 105) with 250 items. This makes it a real
problem with a search-space size of 2250 ≈1075 elements.
The predicate given to the
EvolutionStream.limit
function must return
false for truncating the evolution stream. If it returns true, the evolution is
continued.
Table 2.6.1 on the next page shows the evolution parameters used for the
termination tests. To make the tests comparable, all test runs uses the same
16https://en.wikipedia.org/wiki/Prototype_pattern
17
The actual implementation used for the termination tests can be found in the Github repos-
itory:
https://github.com/jenetics/jenetics/blob/master/io.jenetics.tool/src/main/
java/org/jenetics/tool/problem/Knapsack.java
58

2.6. TERMINATION CHAPTER 2. ADVANCED TOPICS
Population size: 150
Survivors selector: TournamentSelector<>(5)
Offspring selector: RouletteWheelSelector<>()
Alterers: Mutator<>(0.03) and
SinglePointCrossover<>(0.125)
Fitness scaler: Identity function
Table 2.6.1: Knapsack evolution parameters
evolution parameters and the very same set of knapsack items. Each termination
test was repeated 1,000 times, which gives us enough data to draw the given
candlestick diagrams.
Some of the implemented termination strategy needs to maintain an internal
state. This strategies can’t be re-used in different evolution streams. To be on
the safe side, it is recommended to always create a
Predicate
instance for each
stream. Calling
Stream.limit(Limits.byTerminationStrategy )
will always
work as expected.
2.6.1 Fixed generation
The simplest way for terminating the evolution process, is to define a maximal
number of generations on the
EvolutionStream
. It just uses the existing
limit
method of the Java Stream interface.
1f i n a l long MAX_GENERATIONS = 1 0 0 ;
2E vo lu t io nS t re am <DoubleGene , Double> s tr ea m = e n g i n e . st re am ( )
3. l i m i t (MAX_GENERATIONS) ;
This kind of termination method should always be applied—usually additional
with other evolution terminators—, to guarantee the truncation of the evolution
stream and to define an upper limit of the executed generations.
Figure 2.6.1 on the following page shows the best fitness values of the used
Knapsack problem after a given number of generations, whereas the candle-stick
points represents the min,25
th
percentile,median,75
th
percentile and max fitness
after 250 repetitions per generation. The solid line shows for the mean of the best
fitness values. For a small increase of the fitness value, the needed generations
grows exponentially. This is especially the case when the fitness is approaching
to its maximal value.
2.6.2 Steady fitness
The steady fitness strategy truncates the evolution stream if its best fitness
hasn’t changed after a given number of generations. The predicate maintains an
internal state, the number of generations with non increasing fitness, and must
be newly created for every evolution stream.
1f i n a l c l as s SteadyFitnessLimit<C extends Comparable<? super C>>
2implements P re d ic a te <E vo lu ti on Re su lt <? , C>>
3{
4private f i n a l in t _generations ;
5private boolean _proceed = true ;
6private int _ st ab le = 0 ;
7private C _ f i t n e s s ;
59

2.6. TERMINATION CHAPTER 2. ADVANCED TOPICS
6.5
7.0
7.5
8.0
8.5
9.0
9.5
10.0
10.5
11.0
11.5
100101102103104105
Fitness
Generation
Figure 2.6.1: Fixed generation termination
8
9public SteadyFitnessLimit ( f i n a l i nt generations) {
10 _ ge ne ra ti on s = g e n e r a t i o n s ;
11 }
12
13 @Override
14 public boolean t e s t ( final E v o l u t io n R e s u lt <? , C> e r ) {
15 i f ( ! _proceed ) return f a l s e ;
16 i f ( _ f i t n e s s == n ul l ) {
17 _ f i t n e s s = e r . g e t B e s t F i t n e s s ( ) ;
18 _ st ab le = 1 ;
19 }else {
20 final Optimize o pt = r e s u l t . g etO pt imi z e ( ) ;
21 i f ( opt . compare ( _ f i t n e s s , e r . g e t B e s t F i t n e s s ( ) ) >= 0 ) {
22 _proceed = ++_ s ta ble <= _g en er at io ns ;
23 }else {
24 _ f i t n e s s = e r . g e t B e s t F i t n e s s ( ) ;
25 _ st ab le = 1 ;
26 }
27 }
28 return _proceed ;
29 }
30 }
Listing 2.14: Steady fitness
Listing 2.14 on the previous page shows the implementation of the
Limits-
.bySteadyFitness(int)
in the
io.jenetics.engine
package. It should give
you an impression of how to implement own termination strategies, which possible
holds and internal state.
1Eng in e<DobuleGene , Double> e n g i n e = . . .
60

2.6. TERMINATION CHAPTER 2. ADVANCED TOPICS
2E vo lu t io nS t re am <DoubleGene , Double> s tr ea m = e n g i n e . st re am ( )
3. limit (Limits . bySteadyFitness (15) ) ;
The steady fitness terminator can be created by the
bySteadyFitness
factory
method of the
io.jenetics.engine.Limits
class. In the example above, the
evolution stream is terminated after 15 stable generations.
100
101
102
103
104
105
106
Total generation
7.0
8.0
9.0
10.0
11.0
100101102103104105
Fitness
Steady generation
Figure 2.6.2: Steady fitness termination
Figure 2.6.2 shows the actual total executed generation depending on the
desired number of steady fitness generations. The variation of the total generation
is quite big, as shown by the candle-sticks. Though the variation can be quite
big—the termination test has been repeated 250 times for each data point—, the
tests showed that the steady fitness termination strategy always terminated, at
least for the given test setup. The lower diagram give an overview of the fitness
progression. Only the mean values of the maximal fitness is shown.
2.6.3 Evolution time
This termination strategy stops the evolution when the elapsed evolution time
exceeds an user-specified maximal value. The evolution stream is only truncated
at the end of an generation and will not interrupt the current evolution step.
An maximal evolution time of zero ms will at least evaluate one generation. In
an time-critical environment, where a solution must be found within a maximal
time period, this terminator let you define the desired guarantees.
1Eng in e<DobuleGene , Double> e n g i n e = . . .
2E vo lu t io nS t re am <DoubleGene , Double> s tr ea m = e n g i n e . st re am ( )
3. l i m i t ( L im i ts . byExecutionTime ( Durat i on . o f M i l l i s ( 50 0) ) ;
61

2.6. TERMINATION CHAPTER 2. ADVANCED TOPICS
In the code example above, the
byExecutionTime(Duration)
method is used for
creating the termination object. Another method,
byExecutionTime(Duration,
Clock)
, lets you define the
java.time.Clock
, which is used for measure the
execution time.
Jenetics
uses the nano precision clock
io.jenetics.util.-
NanoClock
for measuring the time. To have the possibility to define a different
Clock implementation is especially useful for testing purposes.
100
101
102
103
104
105
106
Total generation
7.0
8.0
9.0
10.0
11.0
100101102103104105
Fitness
Execution time [ms]
Figure 2.6.3: Execution time termination
Figure 2.6.3 shows the evaluated generations depending on the execution
time. Except for very small execution times, the evaluated generations per time
unit stays quite stable.
18
That means that a doubling of the execution time will
double the number of evolved generations.
2.6.4 Fitness threshold
A termination method that stops the evolution when the best fitness in the
current population becomes less than the user-specified fitness threshold and the
objective is set to minimize the fitness. This termination method also stops the
evolution when the best fitness in the current population becomes greater than
the user-specified fitness threshold when the objective is to maximize the fitness.
1Eng in e<DobuleGene , Double> e n g i n e = . . .
2E vo lu t io nS t re am <DoubleGene , Double> s tr ea m = e n g i n e . st re am ( )
3. l i m i t ( L im it s . by Fi t ne ss Th re sh ol d ( 1 0 . 5 )
4. l i m i t ( 5 0 0 0 ) ;
18
While running the tests, all other CPU intensive process has been stopped. The measuring
started after a warm-up phase.
62

2.6. TERMINATION CHAPTER 2. ADVANCED TOPICS
When limiting the evolution stream by a fitness threshold, you have to have a
knowledge about the expected maximal fitness. If there is no such knowledge, it
is advisable to add an additional fixed sized generation limit as safety net.
100
101
102
103
104
105
106
107
Total generation
7.0
8.0
9.0
10.0
11.0
7.0 7.5 8.0 8.5 9.0 9.5 10.0 10.5 11.0
Fitness
Fitness threshold
Figure 2.6.4: Fitness threshold termination
Figure 2.6.4 shows executed generations depending on the minimal fitness
value. The total generations grows exponentially with the desired fitness value.
This means, that this termination strategy will (practically) not terminate, if
the value for the fitness threshold is chosen to high. And it will definitely not
terminate if the fitness threshold is higher than the global maximum of the fitness
function. It will be a perfect strategy if you can define some good enough fitness
value, which can be easily achieved.
2.6.5 Fitness convergence
In this termination strategy, the evolution stops when the fitness is deemed as
converged. Two filters of different lengths are used to smooth the best fitness
across the generations. When the best smoothed fitness of the long filter is
less than a specified percentage away from the best smoothed fitness from the
short filter, the fitness is deemed as converged.
Jenetics
offers a generic version
fitness-convergence predicate and a version where the smoothed fitness is the
moving average of the used filters.
1pub li c s t a t i c <N extends Number & Comparable <? super N>>
2P re d ic a te <E vo lu ti on Re su lt <? , N>> by Fi tne ssC onv er ge nc e (
3f i n a l i nt shortFilterSize ,
4f i n a l i nt longFilterSize ,
5final B iP r ed i ca t e <DoubleMoments , DoubleMoments> p ro ce ed
63

2.6. TERMINATION CHAPTER 2. ADVANCED TOPICS
6) ;
Listing 2.15: General fitness convergence
Listing 2.15 on the previous page shows the factory method which creates the
generic fitness convergence predicate. This method allows to define the evolution
termination according to the statistical moments of the short- and long fitness
filter.
1pub li c s t a t i c <N extends Number & Comparable <? super N>>
2P re d ic a te <E vo lu ti on Re su lt <? , N>> by Fi tne ssC onv er ge nc e (
3f i n a l i nt shortFilterSize ,
4f i n a l i nt longFilterSize ,
5f i n a l double epsilon
6) ;
Listing 2.16: Mean fitness convergence
The second factory method (shown in listing 2.16) creates a fitness convergence
predicate, which uses the moving average
19
for the two filters. The smoothed
fitness value is calculated as follows:
σF(N) = 1
N
N−1
X
i=0
F[G−i](2.6.1)
where
N
is the length of the filter,
F[i]
the fitness value at generation
i
and
G
the current generation. If the condition
|σF(NS)−σF(NL)|
δ< (2.6.2)
is fulfilled, the evolution stream is truncated. Where δis defined as follows:
δ=max (|σF(NS)|,|σF(NL)|) if σF(Nx)6= 0
1 otherwise .(2.6.3)
1Eng in e<DobuleGene , Double> e n g i n e = . . .
2E vo lu t io nS t re am <DoubleGene , Double> s tr ea m = e n g i n e . st re am ( )
3. l i m i t ( L im it s . b yF it nes sC onv erg enc e ( 10 , 3 0 , 10E−4) ;
For using the fitness convergence strategy you have to specify three parameter.
The length of the short filter,
NS
, the length of the long filter,
NL
and the
relative difference between the smoothed fitness values, .
Figure 2.6.5 on the next page shows the termination behavior of the fitness
convergence termination strategy. It can be seen that the minimum number of
evolved generations is the length of the long filter, NL.
Figure 2.6.6 on page 66 shows the generations needed for terminating the
evolution for higher values of the NSand NLparameters.
2.6.6 Population convergence
A termination method that stops the evolution when the population is deemed
as converged. The population is deemed as converged when the average fitness
across the current population is less than a user-specified percentage away from
the best fitness of the current population.
19https://en.wikipedia.org/wiki/Moving_average
64

2.7. EVOLUTION PERFORMANCE CHAPTER 2. ADVANCED TOPICS
0
50
100
150
200
250
300
350
400
450
500
NS= 10
NL= 30
Total generation
8.4
8.6
8.8
9.0
9.2
9.4
10-10
10-9
10-8
10-7
10-6
10-5
10-4
10-3
10-2
10-1
Fitness
Epsilon
Figure 2.6.5: Fitness convergence termination: NS= 10,NL= 30
2.6.7 Gene convergence
This termination strategy is different, in the sense that it takes the genes or
alleles, respectively, for terminating the evolution stream. In the gene convergence
termination method the evolution stops when a specified percentage of the genes
of a genotype are deemed as converged. A gene is treated as converged when the
average value of that gene across all of the genotypes in the current population
is less than a given percentage away from the maximum allele value across the
genotypes.
2.7 Evolution performance
This section contains an empirical proof, that evolutionary selectors deliver
significantly better fitness results than a random search. The
MonteCarlo-
Selector is used for creating the comparison (random search) fitness values.
Figure 2.7.1 on page 67 shows the evolution performance of the
Selector20
used by the examples in section 2.6 on page 58. The lower blue line shows the
(mean) fitness values of the Knapsack problem when using the
MonteCarlo-
Selector
for selecting the survivors and offspring population. It can be easily
seen, that the performance of the real evolutionary
Selector
s is much better
than a random search.
20
The termination tests are using a
TournamentSelector
, with tournament-size 5, for se-
lecting the survivors, and a RouletteWheelSelector for selecting the offspring.
65

2.8. EVOLUTION STRATEGIES CHAPTER 2. ADVANCED TOPICS
0
500
1000
1500
2000
2500
NS= 50
NL= 150
Total generation
9.2
9.4
9.6
9.8
10.0
10-10
10-9
10-8
10-7
10-6
10-5
10-4
10-3
10-2
10-1
Fitness
Epsilon
Figure 2.6.6: Fitness convergence termination: NS= 50,NL= 150
2.8 Evolution strategies
Evolution Strategies, ES, were developed by Ingo Rechenberg and Hans-Paul
Schwefel at the Technical University of Berlin in the mid 1960s.[
30
] It is a
global optimization algorithm in continuous search spaces and is an instance
of an Evolutionary Algorithm from the field of Evolutionary Computation. ES
uses truncation selection21 for selecting the individuals and usually mutation22
for changing the next generation. This section describes how to configure the
evolution Engine of the library for the (µ, λ)- and (µ+λ)-ES.
2.8.1 (µ, λ)evolution strategy
The
(µ, λ)
algorithm starts by generating
λ
individuals randomly. After eval-
uating the fitness of all the individuals, all but the
µ
fittest ones are deleted.
Each of the
µ
fittest individuals gets to produce
λ
µ
children through an ordinary
mutation. The newly created children just replaces the discarded parents.[19]
To summarize it:
µ
is the number of parents which survive, and
λ
is the
number of offspring, created by the
µ
parents. The value of
λ
should be a multiple
of
µ
. ES practitioners usually refer to their algorithm by the choice of
µ
and
λ
.
If we set µ= 5 and λ= 5, then we have a (5,20)-ES.
1final Eng in e<DoubleGene , Double> e n g i n e =
2Engine . b u i l d e r ( f i t n e s s , co de c )
3. p o p u l a t i o n S i z e ( lambda )
4. survivorsSize (0)
21See 1.3.2.1 on page 13.
22See 1.3.2.2 on page 16.
66

2.8. EVOLUTION STRATEGIES CHAPTER 2. ADVANCED TOPICS
7.0
7.5
8.0
8.5
9.0
9.5
10.0
10.5
11.0
100101102103104105
Fitness
Generation
MonteCarloSelector
Evolutionary-Selector
Figure 2.7.1: Selector-performance (Knapsack)
5. offspringSelector(new TruncationSelector<>(mu))
6. a l t e r e r s (new Mutator <>(p ) )
7. b u i l d ( ) ;
Listing 2.17: (µ, λ)Engine configuration
Listing 2.17 on the previous page shows how to configure the evolution Engine
for
(µ, λ)
-ES. The population size is set to
λ
and the survivors size to zero, since
the best parents are not part of the final population. Step three is configured
by setting the offspring selector to the
TruncationSelector
. Additionally,
the
TruncationSelector
is parameterized with
µ
. This lets the
Truncation-
Selector
only select the
µ
best individuals, which corresponds to step two of
the ES.
There are mainly three levers for the
(µ, λ)
-ES where we can adjust explo-
ration versus exploitation:[19]
•Population size λ
: This parameter controls the sample size for each
population. For the extreme case, as
λ
approaches
∞
, the algorithm would
perform a simple random search.
•Survivors size of µ
: This parameter controls how selective the ES is.
Relatively low
µ
values pushes the algorithm towards exploitative search,
because only the best individuals are used for reproduction.23
23
As you can see in listing 2.17 on the preceding page, the survivors size (reproduction pool
size) for the
(µ, λ)
-ES must be set indirectly via the
TruncationSelector
parameter. This is
necessary, since for the
(µ, λ)
-ES, the selected best
µ
individuals are not part of the population
of the next generation.
67

2.9. EVOLUTION INTERCEPTION CHAPTER 2. ADVANCED TOPICS
•Mutation probability p
: A high mutation probability pushes the al-
gorithm toward a fairly random search, regardless of the selectivity of
µ.
2.8.2 (µ+λ)evolution strategy
In the
(µ+λ)
-ES, the next generation consists of the selected best
µ
parents
and the
λ
new children. This is also the main difference to
(µ, λ)
, where the
µ
parents are not part of the next generation. Thus the next and all successive
generations are
µ
+
λ
in size.[
19
]
Jenetics
works with a constant population
size and it is therefore not possible to implement an increasing population size.
Besides this restriction, the
Engine
configuration for the
(µ+λ)
-ES is shown
in listing 2.18.
1final Eng in e<DoubleGene , Double> e n g i n e =
2Engine . b u i l d e r ( f i t n e s s , co de c )
3. p o p u l a t i o n S i z e ( lambda )
4. survivorsSize(mu)
5. selector(new TruncationSelector<>(mu))
6. a l t e r e r s (new Mutator <>(p ) )
7. b u i l d ( ) ;
Listing 2.18: (µ+λ)Engine configuration
Since the selected
µ
parents are part of the next generation, the
survivorsSize
property must be set to
µ
. This also requires to set the survivors selector to the
TruncationSelector
. With the
selector(Selector)
method, both selectors,
the selector for the survivors and for the offspring, can be set. Because the
best parents are also part of the next generation, the
(µ+λ)
-ES may be more
exploitative than the
(µ, λ)
-ES. This has the risk, that very fit parents can defeat
other individuals over and over again, which leads to a prematurely convergence
to a local optimum.
2.9 Evolution interception
Once the
EvolutionStream
is created, it will continuously create
Evolution-
Result
objects, one for every generation. It is not possible to alter the results,
although it is tempting to use the
Stream.map
method for this purpose. The
problem with the
map
method is, that the altered
EvolutionResult
will not be
fed back to the Engine when evolving the next generation.
1private E vo l ut i on Re s ul t <DoubleGene , Double>
2mapping ( E vo lu t ion Re su lt <DoubleGene , Double> r e s u l t ) { . . . }
3
4final Genotype<DobuleGene> r e s u l t = e n g i n e . s tr ea m ( )
5. map( this : : mapping)
6. l i m i t ( 1 0 0 )
7. c o l l e c t ( to B e s tG enotype ( ) ) ;
Doing the
EvolutionResult
mapping as shown in the code snippet above, will
only change the results for the operations after the mapper definition. The
evolution processing of the
Engine
is not affected. If we want to intercept the
evolution process, the mapping must be defined when the Engine is created.
1final Eng in e<DobuleGene , Double> e n g i n e = E ng in e . b u i l d ( p ro bl em )
2. mapping( this : : mapping )
3. b u i l d ( ) ;
68

2.9. EVOLUTION INTERCEPTION CHAPTER 2. ADVANCED TOPICS
The code snippet above shows the correct way for intercepting the evolution
stream. The mapper given to the
Engine
will change the stream of
Evolution-
Results and the will also feed the altered result back to the evolution Engine.
Distinct population
This kind of intercepting the evolution process is very
flexible.
Jenetics
comes with one predefined stream interception method, which
allows to remove duplicate individuals from the resulting population.
1final Eng in e<DobuleGene , Double> e n g i n e = E ng in e . b u i l d ( p ro bl em )
2. mapping ( E v o l u t i o n R e s u l t . t o U ni q u eP o pu la t i on ( ) )
3. b u i l d ( ) ;
Despite the de-duplication, it is still possible to have duplicate individuals.
This will be the case when domain of the possible
Genotype
s is not big enough
and the same individual is created by chance. You can control the number of
Genotype
creation retries using the
EvolutionResult.toUniquePopulation(-
int)
method, which allows you to define the maximal number of retries if an
individual already exists.
69

Chapter 3
Internals
This section contains internal implementation details which doesn’t fit in one of
the previous sections. They are not essential for using the library, but would give
the user a deeper insight in some design decisions, made when implementing the
library. It also introduces tools and classes which where developed for testing
purpose. This classes are not exported and not part of the official API.
3.1 PRNG testing
Jenetics
uses the
dieharder1
(command line) tool for testing the randomness
of the used PRNGs.
dieharder
is a random number generator (RNG) testing
suite. It is intended to test generators, not files of possibly random numbers.
Since
dieharder
needs a huge amount of random data, for testing the quality
of a RNG, it is usually advisable to pipe the random numbers to the
dieharder
process:
$ cat /dev/urandom | dieharder -g 200 -a
The example above demonstrates how to stream a raw binary stream of bits to
the
stdin
(raw) interface of
dieharder
. With the
DieHarder
class, which is
part of the
io.jenetics-.prngine.internal
package, it is easily possible to
test PRNGs extending the
java.util.Random
class. The only requirement is,
that the PRNG must be default-constructible and part of the classpath.
$ java -cp io.jenetics.prngine-1.0.1.jar \
io.jenetics.prngine.internal.DieHarder \
<random-engine-name> -a
Calling the command above will create an instance of the given random engine
and stream the random data (bytes) to the raw interface of
dieharder
process.
1#=============================================================================#
2# Te st ing : < random - engine - name > (2 015 -07 -1 1 23:48) #
3#=============================================================================#
4#=============================================================================#
5# Li nu x 3.19. 0 -2 2 - g en eri c ( a md 64 ) #
6# java ve rs io n " 1 .8 .0 _ 45 " #
1From Robert G. Brown:http://www.phy.duke.edu/~rgb/General/dieharder.php
70

3.2. RANDOM SEEDING CHAPTER 3. INTERNALS
7# J av a ( TM ) S E R un ti me E nv i ro n me nt ( b ui ld 1 .8 .0 _4 5 - b1 4 ) #
8# J av a H ot Sp o t ( TM ) 64 - B it S er ve r VM ( b ui ld 25 .4 5 - b02 ) #
9#=============================================================================#
10 #=============================================================================#
11 # die ha rd er ver si on 3. 31 .1 C op yright 200 3 Rob ert G . Br own #
12 #=============================================================================#
13 rn g_ na me | ran ds / s ec on d | Seed |
14 s td in _i np u t_ ra w | 1. 36 e + 07 | 15 8 34 96 49 6 |
15 #=============================================================================#
16 te st _n am e | n tup | t sa mp le s | p sa mpl es | p - val ue | As ses sm en t
17 #=============================================================================#
18 di eh ard _b irt hd ays | 0| 100| 1 00 |0 .63 37 207 8| PASS ED
19 di eh ard _o pe rm5 | 0| 1 00 00 00 | 10 0|0 .4 296 50 82| PASS ED
20 di eh ard _r ank _3 2x3 2 | 0| 4000 0| 1 00 |0. 95 159 38 0| PAS SED
21 diehard_rank_6x8| 0| 100000| 100|0.70376799| PASSED
22 ...
23 Pre pa ri ng to ru n t est 209. n tu ple = 0
24 da b_ mo nob it 2 | 12| 6 50 00 00 0| 1| 0. 76 563 78 0| PA SSE D
25 #=============================================================================#
26 # S um m ar y : P AS SE D =112 , W EA K =2 , FA IL ED =0 #
27 # 235 , 031 .492 MB of ra ndo m data c re ate d with 4 1. 394 MB / sec #
28 #=============================================================================#
29 #=============================================================================#
30 # Runtime: 1:34:37 #
31 #=============================================================================#
In the listing above, a part of the created
dieharder
report is shown. For test-
ing the
LCG64ShiftRandom
class, which is part of the
io.jenetics.prngine
module, the following command can be called:
$ java -cp io.jenetics.prngine-1.0.1.jar \
io.jenetics.prngine.internal.DieHarder \
io.jenetics.prngine.LCG64ShiftRandom -a
Table 3.1.1 shows the summary of the
dieharder
tests. The full report is part
of the source file of theLCG64ShiftRandom class.2
Passed tests Weak tests Failed tests
110 4 0
Table 3.1.1: LCG64ShiftRandom quality
3.2 Random seeding
The PRNGs
3
, used by the
Jenetics
library, needs to be initialized with a proper
seed value before they can be used. The usual way for doing this, is to take the
current time stamp.
1pub li c s t a t i c long s ee d ( ) {
2return System . nanoTime ( ) ;
3}
Before applying this method throughout the whole library, I decided to perform
some statistical tests. For this purpose I treated the
seed()
method itself as
PRNG and analyzed the created long values with the
DieHarder class
. The
2https://github.com/jenetics/prngine/blob/master/prngine/src/main/java/io/
jenetics/prngine/LCG64ShiftRandom.java
3See section 1.4.2 on page 32.
71

3.2. RANDOM SEEDING CHAPTER 3. INTERNALS
seed()
method has been wrapped into the
io.jenetics.prngine.internal.-
NanoTimeRandom
class. Assuming that the
dieharder
tool is in the search path,
calling
$ java -cp io.jenetics.prngine-1.0.1.jar \
io.jenetics.prngine.internal.DieHarder \
io.jenetics.prngine.internal.NanoTimeRandom -a
will perform the statistical tests for the nano time random engine. The statistical
quality is rather bad: every single test failed. Table 3.2.1 shows the summary of
the dieharder report.4
Passed tests Weak tests Failed tests
0 0 114
Table 3.2.1: Nano time seeding quality
An alternative source of entropy, for generating seed values, would be the
/dev/random
or
/dev/urandom
file. But this approach is not portable, which
was a prerequisite for the Jenetics library.
The next attempt tries to fetch the seeds from the JVM, via the
Object.-
hashCode()
method. Since the hash code of an Object is available for every
operating system and most likely »randomly« distributed.
1pub li c s t a t i c long s ee d ( ) {
2return ( ( long )new Obj ect ( ) . hashCode ( ) << 3 2) |
3new O bj ect ( ) . hashCode ( ) ;
4}
This seed method has been wrapped into the
ObjectHashRandom
class and
tested as well with
$ java -cp io.jenetics.prngine-1.0.1.jar \
io.jenetics.prngine.internal.DieHarder \
io.jenetics.prngine.internal.ObjectHashRandom -a
Table 3.2.2 shows the summary of the
dieharder
report
5
, which looks better
than the nano time seeding, but 86 failing tests was still not very satisfying.
Passed tests Weak tests Failed tests
28 0 86
Table 3.2.2: Object hash seeding quality
After additional experimentation, a combination of the nano time seed and
the object hash seeding seems to be the right solution. The rational behind this
was, that the PRNG seed shouldn’t rely on a single source of entropy.
4
The detailed test report can be found in the source of the NanoTimeRandom
class.
https://github.com/jenetics/prngine/blob/master/prngine/src/main/java/io/
jenetics/prngine/internal/NanoTimeRandom.java
5
Full report:
https://github.com/jenetics/prngine/blob/master/prngine/src/main/
java/io/jenetics/prngine/internal/ObjectHashRandom.java
72

3.2. RANDOM SEEDING CHAPTER 3. INTERNALS
1pub li c s t a t i c long s ee d ( ) {
2return mix ( System . nanoType ( ) , o bje ct Ha shS ee d ( ) ) ;
3}
4
5priv at e s t a t i c long mix ( f i n a l long a , f i n a l long b ) {
6long c = a^b ;
7c ^= c << 1 7 ;
8c ^= c >>> 3 1 ;
9c ^= c << 8 ;
10 return c ;
11 }
12
13 priv at e s t a t i c long o bj ec tH ash Se ed ( ) {
14 return ( ( long )new Obj ect ( ) . hashCode ( ) << 3 2) |
15 new O bj ect ( ) . hashCode ( ) ;
16 }
Listing 3.1: Random seeding
The code in listing 3.1 shows how the nano time seed is mixed with the object
seed. The
mix
method was inspired by the mixing step of the
lcg64_shift6
random engine, which has been reimplemented in the
LCG64ShiftRandom
class.
Running the tests with
$ java -cp io.jenetics.prngine-1.0.1.jar \
io.jenetics.prngine.internal.DieHarder \
io.jenetics.prngine.internal.SeedRandom -a
leads to the statistics summary7, which is shown in table 3.2.3.
Passed tests Weak tests Failed tests
112 2 0
Table 3.2.3: Combined random seeding quality
The statistical performance of this seeding is better, according to the
die-
harder
test suite, than some of the real random engines, including the default
Java
Random
engine. Using the proposed
seed()
method is in any case prefer-
able to the simple System.nanoTime() call.
Open questions
•How does this method perform on operating systems other than Linux?
•How does this method perform on other JVM implementations?
6
This class is part of the TRNG library:
https://github.com/rabauke/trng4/blob/
master/src/lcg64_shift.hpp
7
Full report:
https://github.com/jenetics/prngine/blob/master/prngine/src/main/
java/io/jenetics/prngine/internal/SeedRandom.java
73

Chapter 4
Modules
The
Jenetics
library has been split up into several modules, which allows to keep
the base EA module as small as possible. It currently consists of the modules
shown in table 4.0.1, including the Jenetics base module.1
Module Artifact
io.jenetics.base io.jenetics:jenetics:4.2.0
io.jenetics.ext io.jenetics:jenetics.ext:4.2.0
io.jenetics.prog io.jenetics:jenetics.prog:4.2.0
io.jenetics.xml io.jenetics:jenetics.xml:4.2.0
io.jenetics.prngine io.jenetics:prngine:1.0.1
Table 4.0.1: Jenetics modules
With this module split the code is easier to maintain and doesn’t force the user
to use parts of the library he or she isn’t using, which keep the
io.jenetics-
.base
module as small as possible. The additional
Jenetics
modules will be
described in this chapter. Figure 4.0.1 shows the dependency graph of the
Jenetics modules.
Figure 4.0.1: Module graph
1
The used module names follow the recommended naming scheme for the JPMS automatic
modules: http://blog.joda.org/2017/05/java-se-9-jpms-automatic-modules.html.
74

4.1. IO.JENETICS.EXT CHAPTER 4. MODULES
4.1 io.jenetics.ext
The
io.jenetics.ext
module implements additional non-standard genes and
evolutionary operations. It also contains data structures which are used by this
additional genes and operations.
4.1.1 Data structures
4.1.1.1 Tree
The
Tree
interface defines a general tree data type, where each tree node can
have an arbitrary number of children.
1public i n te rfa c e Tree<V, T extends Tree<V, T>> {
2public V getValue () ;
3public Optio nal <T> g et Pa re nt ( ) ;
4public T g e t C h i l d ( int i nde x ) ;
5public in t c hi ld Co un t ( ) ;
6}
Listing 4.1: Tree interface
Listing 4.1 shows the
Tree
interface with its basic abstract tree methods. All
other needed tree methods, e. g. for node traversal and search, are implemented
with default methods, which are derived from this four abstract tree methods. A
mutable default implementation of the
Tree
interface is given by the
TreeNode
class.
0
1 2 3
456789
10 11
Figure 4.1.1: Example tree
To illustrate the usage of the
TreeNode
class, we will create a
TreeNode
instance from the tree shown in figure 4.1.1. The example tree consists of 12
nodes with a maximal depth of three and a varying child count from one to
three.
1final TreeNode<I n t e g e r > t r e e = TreeNode . o f ( 0 )
2. a t t a c h ( TreeNode . o f ( 1 )
3. a t t a c h ( 4 , 5 ) )
4. a t t a c h ( TreeNode . o f ( 2 )
5. a t t a c h ( 6 ) )
6. a t t a c h ( TreeNode . o f ( 3 )
7. a t t a c h ( TreeNode . o f ( 7 )
8. a t t a c h ( 1 0 , 1 1 ) )
75

4.1. IO.JENETICS.EXT CHAPTER 4. MODULES
9. a t t a c h ( 8 )
10 . a t t a c h ( 9 ) ) ;
Listing 4.2: Example TreeNode
Listing 4.2 on the preceding page shows the
TreeNode
representation of the
given example tree. New children are added by using the
attach
method. For
full Tree method list have a look at the Javadoc documentation.
4.1.1.2 Flat tree
The main purpose for the
Tree
data type in the
io.jenetics.ext
module is
to support hierarchical
TreeGene
s, which are needed for genetic programming
(see section 4.2 on page 88). Since the chromosome type is essentially an array,
a mapping from the hierarchical tree structure to a 1-dimensional array is
needed.
2
For general trees with arbitrary child count, additional information
needs to be stored for a bijective mapping between tree and array. The
FlatTree
interface extends the Tree node with a
childOffset()
method, which returns
the absolute start index of the tree’s children.
1public i n t erf a ce F lat Tre e <V, T extends F lat T re e <V, T>>
2extends Tree<V, T>
3{
4public in t childOffset () ;
5public defa u l t I Se q<T> f l a t t e n e d N o d e s ( ) { . . . } ;
6}
Listing 4.3: FlatTree interface
Listing 4.3 shows the additional child offset needed for reconstructing the tree
from the flattened array version. When flattening an existing tree, the nodes are
traversed in breadth first order.
3
For each node the absolute array offset of the
first child is stored, together with the child count of the node. If the node has
no children, the child offset is set to −1.
Figure 4.1.2: Example FlatTree
Figure 4.1.2 illustrates the flattened example tree shown in figure 4.1.1 on
the preceding page. The curved arrows denotes the child offset of a given parent
node and the curly braces denotes the child count of a given parent node.
1final TreeNode<I n t e g e r > t r e e = . . . ;
2final IS eq<F la tTr ee Nod e<I n t e g e r >> n od es = F latT re eNo de
2
There exists mapping schemes for perfect binary trees, which allows a bijective mapping
from tree to array without additional storage need:
https://en.wikipedia.org/wiki/Binary_
tree#Arrays
. For general trees with arbitrary child count, such simple mapping doesn’t exist.
3https://en.wikipedia.org/wiki/Breadth-first_search
76

4.1. IO.JENETICS.EXT CHAPTER 4. MODULES
3. o f ( t r e e ) . f l a t t e n e d N o d e s ( ) ;
4
5final TreeNode<I n t eg e r > u n f l a t t e n e d = TreeNode . o f ( n odes . g et ( 0 ) ) ;
The code snippet above shows how to flatten a given integer tree and convert it
back to a regular tree. The first element of the flattened tree node sequence is
always the root node.
Since the
TreeGene
and the
ProgramGene
are implementing the
FlatTree
interface, it is helpful to know and understand the used tree
to array mapping.
4.1.2 Genes
4.1.2.1 BigInteger gene
The
BigIntegerGene
implements the
NumericGene
interface and can be used
when the range of the existing
LongGene
or
DoubleGene
is not enough. Its
allele type is a
BigInteger
, which can store arbitrary-precision integers. There
also exists a corresponding BigIntegerChromosome.
4.1.2.2 Tree gene
The
TreeGene
interface extends the
FlatTree
interface and serves as basis for
the
ProgramGene
, used for genetic programming. Its tree nodes are stored in
the corresponding
TreeChromosome
. How the tree hierarchy is flattened and
mapped to an array is described in section 4.1.1.2 on the previous page.
4.1.3 Operators
Simulated binary crossover
The
SimulatedBinaryCrossover
performs the
simulated binary crossover (SBX) on
NumericChromosome
s such that each posi-
tion is either crossed contracted or expanded with a certain probability. The
probability distribution is designed such that the children will lie closer to their
parents as is the case with the single point binary crossover. It is implemented
as described in [11].
Single-node crossover
The
SingleNodeCrossover
class works on
TreeCh-
romosome
s. It swaps two, randomly chosen, nodes from two tree chromosomes.
Figure 4.1.3 on the following page shows how the single-node crossover works. In
this example node 3of the first tree is swapped with node
h
of the second tree.
4.1.4 Weasel program
The Weasel program
4
is thought experiment from Richard Dawkins, in which
he tries to illustrate the function of genetic mutation and selection.
5
For this
reason he chooses the well known example of typewriting monkeys.
4https://en.wikipedia.org/wiki/Weasel_program
5The classes are located in the io.jenetics.ext module.
77

4.1. IO.JENETICS.EXT CHAPTER 4. MODULES
0
1 2 3
456789
10 11
a
b c d
e f g h i j
k l
3←→ h
0
12h
456kl
a
b c d
e f g 3 i j
7 8 9
10 11
Figure 4.1.3: Single-node crossover
I don’t know who it was first pointed out that, given enough time, a
monkey bashing away at random on a typewriter could produce all
the works of Shakespeare. The operative phrase is, of course, given
enough time. Let us limit the task facing our monkey somewhat.
Suppose that he has to produce, not the complete works of Shake-
speare but just the short sentence»Methinks it is like a weasel«, and
we shall make it relatively easy by giving him a typewriter with a
restricted keyboard, one with just the 26 (uppercase) letters, and a
space bar. How long will he take to write this one little sentence?[
9
]
The search space of the 28 character long target string is 27
28 ≈
10
40
. If the
monkey writes 1
,
000
,
000 different sentences per second, it would take about 10
26
years (in average) writing the correct one. Although Dawkins did not provide
the source code for his program, a »Weasel« style algorithm could run as follows:
1. Start with a random string of 28 characters.
2. Make ncopies of the string (reproduce).
3. Mutate the characters with an mutation probability of 5%.
4.
Compare each new string with the target string »METHINKS IT IS LIKE
A WEASEL«, and give each a score (the number of letters in the string
that are correct and in the correct position).
5.
If any of the new strings has a perfect score (28), halt. Otherwise, take
the highest scoring string, and go to step 2.
78

4.1. IO.JENETICS.EXT CHAPTER 4. MODULES
Richard Dawkins was also very careful to point out the limitations of this
simulation:
Although the monkey/Shakespeare model is useful for explaining the
distinction between single-step selection and cumulative selection, it is
misleading in important ways. One of these is that, in each generation
of selective »breeding«, the mutant »progeny« phrases were judged
according to the criterion of resemblance to a distant ideal target,
the phrase METHINKS IT IS LIKE A WEASEL. Life isn’t like that.
Evolution has no long-term goal. There is no long-distance target, no
final perfection to serve as a criterion for selection, although human
vanity cherishes the absurd notion that our species is the final goal of
evolution. In real life, the criterion for selection is always short-term,
either simple survival or, more generally, reproductive success.[9]
If you want to write a Weasel program with th
Jenetics
library, you need to use
the special WeaselSelector and WeaselMutator.
1pu bl ic c l a s s WeaselProgram {
2priv at e s t a t i c f i n a l S t r i n g TARGET =
3"METHINKS IT IS LIKE A WEASEL" ;
4
5priv at e s t a t i c i nt s c o r e ( final Genotype<CharacterGene> gt ) {
6final Ch ar Seq uen ce s o u r c e =
7( CharSequence ) g t . getChromosome ( ) ;
8return I nt St re am . ra n ge ( 0 , TARGET. l e n g t h ( ) )
9. map( i −> s o u r c e . cha rAt ( i ) == TARGET. ch arA t ( i ) ? 1 : 0 )
10 . sum ( ) ;
11 }
12
13 pub li c s t a t i c void main ( final S t r i n g [ ] a r g s ) {
14 final CharSeq c h a r s = Ch arSeq . o f ( "A−Z " ) ;
15 final Factory<Genotype<CharacterGene>> g t f = Genotype . of (
16 new C haracterChro mosome ( c h ar s , TARGET. l e n g t h ( ) )
17 ) ;
18 final Eng ine<C ha rac ter Gen e , I n t e g e r > e n g i n e = E ngi ne
19 . b u i l d e r ( WeaselProgram : : s co r e , g t f )
20 . p o p u l a t i o n S i z e ( 1 50 )
21 . selector(new WeaselSelector <>())
22 . offspringFraction (1)
23 . a l t e r e r s (new WeaselMutator <>(0.05))
24 . b u i l d ( ) ;
25 final Phenotype<Ch ar act erG ene , I n t e g e r > r e s u l t = e n g i n e
26 . stream ( )
27 . l i m i t ( b y F i t n es s T hr e s h o l d (TARGET. l e n g t h ( ) −1 ) )
28 . peek ( r −> System . out . p r i n t l n (
29 r . getTotalGenerations () + " : " +
30 r . getBestPhenotype () ) )
31 . c o l l e c t ( toBestPh e notyp e ( ) ) ;
32 System . out . p r i n t l n ( r e s u l t ) ;
33 }
34 }
Listing 4.4: Weasel program
Listing 4.4 shows how-to implement the
WeaselProgram
with
Jenetics
. Step (1)
and (2) of the algorithm is done implicitly when the initial population is created.
The third step is done by the
WeaselMutator
, with mutation probability of
0.05. Step (4) is done by the WeaselSelector together with the configured
79

4.1. IO.JENETICS.EXT CHAPTER 4. MODULES
offspring-fraction of one. The evolution stream is limited by the
Limits.by-
FitnessThreshold
, which is set to
scoremax −
1. In the current example this
value is set to TARGET.length() - 1 = 27.
11: [ U BN HL JUS RCO XR L FI YLA WRD CC NY ] --> 6
22: [ U BN HL JUS RCO XR L FI YLA WWD CC NY ] --> 7
33: [ U BQ HL JUS RCO XR L FI YLA WWE CC NY ] --> 8
45: [ U BQ HL JUS RCO XR L FI CLA WWE CC NL ] --> 9
56: [W QHLJUS RCOXR LFICLA WEGCNL] --> 10
67: [W QHLJKS RCOXR LFIHLA WEGCNL] --> 11
78: [W QHLJKS RCOXR LFIHLA WEGSNL] --> 12
89: [ W QH LJ KS RCO XR LFIS A WEGS NL ] --> 13
910: [M Q HLJKS RC OXR LFIS A WEG SNL ] - -> 14
10 11: [ M EQHLJKS RCO XR LFIS A WEGS NL ] --> 15
11 12: [ M EQHIJKS ICO XR LFIN A WEGS NL ] --> 17
12 14: [ M EQHINKS ICO XR LFIN A WEGS NL ] --> 18
13 16: [ M ETHIN KS ICO XR LFIN A WEGS NL ] --> 19
14 18: [ M ETHINKS IMO XR LFKN A WEGS NL ] --> 20
15 19: [ M ETHIN KS IMO XR LIKN A WEGS NL ] --> 21
16 20: [ M ETHINKS IMO IR LIKN A WEGS NL ] --> 22
17 23: [ M ETHINKS IMO IR LIKN A WEGS EL ] --> 23
18 26: [ M ETHIN KS IMO IS LIKN A WEGS EL ] --> 24
19 27: [ M ETHINKS IM IS LIKN A WE HS EL ] --> 25
20 32: [ M ETHINKS IT IS LIKN A WE HS EL ] --> 26
21 42: [ M ETHINKS IT IS LIKN A WE AS EL ] --> 27
22 46: [ M ETHIN KS IT IS LIKE A WE AS EL ] --> 28
The (shortened) output of the Weasel program (listing 4.4 on the preceding
page) shows, that the optimal solution is reached in generation 46.
4.1.5 Modifying Engine
The current design of
Engine
allows to created multiple independent evolution
streams from a single Engine instance. One drawback of this approach is, that
the evolution stream runs with the same evolution parameters until the stream is
truncated. It is not possible to change the stream’s
Engine
configuration during
the evolution process. For this purpose, the
EvolutionStreamable
interface has
been introduced. It is similar to the Java
Iterable
interface and abstracts the
EvolutionStream creation.
1public i n t erf a ce EvolutionStreamable<
2Gextends Gene <? , G>,
3Cextends Comparable<? super C>
4> {
5Evoluti o nStre a m<G, C>
6s tr ea m ( S u p p l i e r <E v o l u t i o n S t a r t <G, C>> s t a r t ) ;
7
8Evo lu ti on St rea m<G, C> s tream ( E v o l u t i o n I n i t <G> i n i t ) ;
9
10 E vo l u ti o nS t r ea m ab l e <G, C>
11 l i m i t ( S u p p l i e r <P r e d i c a t e <? super E v ol u t i on R e s ul t <G, C>>> p )
12 }
Listing 4.5: EvolutionStreamable interface
Listing 4.5 shows the main methods of the
EvolutionStreamable
interface.
The existing
stream
methods take an initial value, which allows to concatenate
different engines. With the
limit
method it is possible to limit the size of the
created
EvolutionStream
instances. The
io.jenetics.ext
module contains
additional classes which allows to concatenate evolution
Engines
with different
configurations, which will then create one varying
EvolutionStream
. This
additional Engine classes are:
80

4.1. IO.JENETICS.EXT CHAPTER 4. MODULES
1. ConcatEngine,
2. CyclicEngine and
3. AdaptiveEngine.
4.1.5.1 ConcatEngine
The
ConcatEngine
class allows to create more than one
Engine
s, with different
configurations, and combine it into one EvolutionStreamable (Engine).
Figure 4.1.4: Engine concatenation
Figure 4.1.4 shows how the
EvolutionStream
of two concatenated
Engine
s
works. You can create the first partial
EvolutionStream
with an optional start
value. If the first
EvolutionStream
stops, it’s final
EvolutionResult
is used
as start value of the second evolution stream, created by the second evolution
Engine
. It is important that the evolution
Engine
s used for concatenation are
limited. Otherwise the created
EvolutionStream
will only use the first
Engine
,
since it is not limited.
The concatenated evolution Engines must be limited (by calling
Engine.limit
), otherwise only the first
Engine
is used executing the
resulting EvolutionStream.
The following code sample shows how to create an
EvolutionStream
from
two concatenate Engines. As you can see, the two Engines are limited.
1final Engine<DoubleGene , Double> en gi ne 1 = . . . ;
2final Engine<DoubleGene , Double> en gi ne 2 = . . . ;
3
4final Genotype<DoubleGene> r e s u l t =
5ConcatEngine . of (
6e n g in e 1 . l i m i t ( 5 0 ) ,
7en gi n e2 . l i m i t ( ( ) −> Limits . bySteadyFitness (30) ))
8. stream ( )
9. c o l l e c t ( E v o l u t i o n R e s u l t . t oB es tG en ot yp e ( ) ) ;
A practical use case for the
Engine
concatenation is, when you want to do a
broader exploration of the search space at the beginning and narrow it with the
following
Engine
s. In such a setup, the first
Engine
would be configured with a
Mutator
with a relatively big mutation probability. The mutation probabilities
of the following Engines would then be gradually reduced.
81

4.1. IO.JENETICS.EXT CHAPTER 4. MODULES
4.1.5.2 CyclicEngine
The
CyclicEngine
is similar to the
ConcatEngine
. Where the
ConcatEngine
stops the evolution, when the stream of the last engine terminates, the
Cyclic-
Engine
continues with a new stream from the first
Engine
. The evolution flow
of the CyclicEngine is shown in figure 4.1.5.
Figure 4.1.5: Cyclic Engine
Since the
CyclicEngine
creates unlimited streams, although the participating
Engine
s are all creating limited streams, the resulting
EvolutionStream
must
be limited as well. The code snippet below shows the creation and execution of
acyclic EvolutionStream.
1final Genotype<DoubleGene> r e s u l t =
2C yc li ng E ng in e . o f (
3e n g in e 1 . l i m i t ( 5 0 ) ,
4en gi n e2 . l i m i t ( ( ) −> Limits . bySteadyFitness (15) ))
5. stream ( )
6. limit (Limits . bySteadyFitness (50) )
7. c o l l e c t ( E v o l u t i o n R e s u l t . t oB es tG en ot yp e ( ) ) ;
The reason for using a cyclic
EvolutionStream
is similar to the reason for using a
concatenated
EvolutionStream
. It allows you to do a broad search, followed by
a narrowed exploration. This cycle is then repeated until the limiting predicate
of the outer stream terminates the evolution process.
4.1.5.3 AdaptiveEngine
The
AdaptiveEngine
is the most flexible method for creating
EvolutionStream
s.
Instead of defining a fixed set
Engine
s, which then creates the
EvolutionStream
,
you define a function which creates an
Engine
, depending on last
EvolutionRe-
sult
of the previous
EvolutionStream
. You can see the evolution flow of the
AdaptiveEngine in figure 4.1.6 on the following page.
From the implementation perspective, the
AdaptiveEngine
requires a little
bit more code. The additional flexibility isn’t for free, as you can see in the code
example below.
1pub li c s t a t i c void main ( final S t r i n g [ ] a r g s ) {
2final Problem<double [ ] , DoubleGene , Double> problem = . . . ;
3// E ngin e . B u i l d e r t em pl at e .
4final En gi ne . B u il d er <DoubleGene , Double> b ld = E ng ine
5. b u i l d e r ( problem )
6. m in im iz ing ( ) ;
7
8final Genotype<DoubleGene> r e s u l t =
9AdaptiveE ngine .< DoubleGene , Double>o f ( r −> e n g i n e ( r , b l d ) )
10 . stream ( )
82

4.1. IO.JENETICS.EXT CHAPTER 4. MODULES
Figure 4.1.6: Adaptive Engine
11 . limit (Limits . bySteadyFitness (50) )
12 . c o l l e c t ( E v o l u t i o n R e s u l t . t oB es tG en ot yp e ( ) ) ;
13 }
14
15 static E v ol u t i on S t r e am a b l e <DoubleGene , Double> e n g i n e (
16 final Ev ol ut io nR es ul t <DoubleGene , Double> r e s u l t ,
17 final Engine . Bu il de r<DoubleGene , Double> b u i l d e r
18 ) {
19 return var ( r e s u l t ) < 0 .2
20 ? b u i l d e r . copy ( )
21 . a l t e r e r s (new Mutator < >(0.75) )
22 . b u i l d ( )
23 . l i m i t ( 5)
24 : b u i l d e r . copy ( )
25 . a l t e r e r s (
26 new Mutator < >(0.05) ,
27 new MeanAlterer <>())
28 . selector(new R ou le tt eW he e l S el ec to r <>() )
29 . b u i l d ( )
30 . limit (Limits . bySteadyFitness (25) ) ;
31 }
32
33 s t a t i c double var ( final E v o lu t i o n R es u l t <DoubleGene , Double> e r ) {
34 return e r != n u l l
35 ? e r . g e t P o p u l a t i o n ( ) . s tr ea m ( )
36 . map( Phenotype : : g e t F i t n e s s )
37 . c o l l e c t ( toDoubleMoments ( ) )
38 . g e t V a r i a n c e ( )
39 : 0 . 0 ;
40 }
The example tries to broaden the search, once the variance of the population’s
fitness values are below a given threshold. When implementing the
Engine
creation function, you have to be aware, that the
EvolutionResult
for the first
Engine is null.
4.1.6 Multi-objective optimization
A Multi-objective Optimization Problem (MOP) can be defined as the problem
of finding
a vector of decision variables which satisfies constraints and optimizes
a vector function whose elements represent the objective functions.
These functions form a mathematical description of performance
83

4.1. IO.JENETICS.EXT CHAPTER 4. MODULES
criteria which are usually in conflict with each other. Hence, the
term »optimize« means finding such a solution which would give the
values of all the objective functions acceptable to the decision maker.
[25]
There are several ways for solving multiobjective problems. An excellent theo-
retical foundation is given in [
7
]. The algorithms implemented by
Jenetics
are
based in therms of Pareto optimality as described in [13], [10] and [16].
4.1.6.1 Pareto efficiency
In contrast to single-objective optimization, where usually only one optimal
solution exits, the multi-objective optimization creates a set of optimal solutions.
The optimal solutions are also known as the Pareto front or Pareto set.
Definition. (Pareto efficiency
[
7
]
):
A solution
x
is said to be Pareto op-
timal iff there is no
x0
for which
v
=
(f1(x0), ..., fk(x0))
dominates
u
=
(f1(x), ..., fk(x)).
The definition says that
x∗
is Pareto optimal if there exists no feasible vector
x
which would decrease some criterion without causing a simultaneous increase
in at least one other criterion.
Definition. (Pareto dominance
[
7
]
):
A vector
u
=
(u1, ..., uk)
is said to
dominate
another vector
v
=
(v1, ..., vk)
(denoted by
uv
) iff
u
is partially
less than v, i.e., ∀i∈ {1, ..., k},ui≥vi∧ ∃i∈ {1, ..., k}:ui> vi.
After this two basic definitions, lets have a look at a simple example. Fig-
ure 4.1.7 shows some points of a two-dimensional solution space. For simplicity,
the points will all lie within a circle with radius 1and center point of (1,1).
0
0.2
0.4
0.6
0.8
1
1.2
1.4
1.6
1.8
2
0 0.2 0.4 0.6 0.8 1 1.2 1.4 1.6 1.8 2
Figure 4.1.7: Circle points
Figure 4.1.8 on the following page shows the Pareto front of a maximization
problem. This means we are searching for solutions tries to maximize the
x
and
ycoordinate at the same time.
84

4.1. IO.JENETICS.EXT CHAPTER 4. MODULES
0.8
1
1.2
1.4
1.6
1.8
2
0.8 1 1.2 1.4 1.6 1.8 2
Figure 4.1.8: Maximizing Pareto front
Figure 4.1.9 shows the Pareto front if we try to minimize the
x
and
y
coordinate at the same time.
0
0.1
0.2
0.3
0.4
0.5
0.6
0.7
0.8
0.9
1
0 0.1 0.2 0.3 0.4 0.5 0.6 0.7 0.8 0.9 1
Figure 4.1.9: Minimizing Pareto front
4.1.6.2 Implementing classes
The classes, used for solving multi-objective problems, reside in the
io.jenetics-
.ext.moea
package. Originally, the
Jenetics
library focuses on solving single-
objective problems. This drives the design decision to force the return value of
the fitness function to be
Comparable
. If the result type of the fitness function
is a vector, it is no longer clear how to make the results comparable.
Jenetics
chooses to use the Pareto dominance relation (see section 4.1.6.1 on the preceding
page). The Pareto dominance relation,
, defines a strict partial order, which
85

4.1. IO.JENETICS.EXT CHAPTER 4. MODULES
means is
1. irreflexive: uu,
2. transitive: uv∧vw⇒uwand
3. asymmetric: uv⇒vu.
The
io.jenetics.ext.moea
package contains the classes needed for doing multi-
objective optimization. One of the central types is the
Vec
interface, which
allows you wrap a vector of any element type into a Comparable.
1public i nt erf a ce Vec<T> extends Comparable<Vec<T>> {
2public T data ( ) ;
3public in t l e n g t h ( ) ;
4public ElementComparator<T> co mpar ator ( ) ;
5public Element Dista nce<T> d i s t a n c e ( ) ;
6public Comparator<T> dominance ( ) ;
7}
Listing 4.6: Vec interface
Listing 4.6 shows the necessary methods of the
Vec
interface. This methods are
sufficient to do all the optimization calculations. The
data()
method returns the
underlying vector type, like
double[]
or
int[]
. With the
ElementComparator
,
which is returned by the
comparator()
method, it is possible to compare single
elements of the vector type
T
. This is similar to the
ElementDistance
function,
returned by the
distance()
method, which calculates the distance of two
vector elements. The last method,
dominance()
, returns the Pareto dominance
comparator,
. Since it is quite a bothersome to implement all this needed
methods, the
Vec
interface comes with a set of factory methods, which allows to
create Vec instance for some primitive array types.
1final Vec<int[] > i v e c = Vec . o f ( 1 , 2 , 3 ) ;
2final Vec<long [ ] > l v e c = Vec . o f ( 1L , 2L , 3L) ;
3final Vec<double [] > dvec = Vec . o f ( 1 . 0 , 2 . 0 , 3 . 0 ) ;
For efficiency reason, the primitive arrays are not copied, when the
Vec
instance
is created. This lets you, theoretically, change the value of a created
Vec
instance,
which will lead to unexpected results.
The second difference to the single-objective setup is the
EvolutionResult
collector. In the single-objective case, we will only get one best result, which
is different in the multi-object optimization. As we have seen in section 4.1.6.1
on page 84, we no longer have only one result, we have a set of Pareto optimal
solutions. There is a predefined collector in the
io.jenetics.ext.moea
package,
MOEA.toParetoSet(IntRange)
, which collects the Pareto optimal
Phenotypes
into an ISeq.
1final ISeq<Phenotype<DoubleGene , Vec<double[]>>> paretoSet =
2e n g i n e . st re am ( )
3. l i m i t ( 1 0 0 )
4. c o l l e c t (MOEA. t o P a r e t o S e t ( I nt Ra ng e . o f ( 3 0 , 5 0 ) ) ) ;
Since there exists a potential infinite number of Pareto optimal solutions, you
have to define desired number set elements. This is done with an
IntRange
object, where you can specify the minimal and maximal set size. The example
above will return a Pareto size which size in the range of
[30,50)
. For reducing the
Pareto set size, the distance between two vector elements is taken into account.
86

4.1. IO.JENETICS.EXT CHAPTER 4. MODULES
Points which lie very close to each other are removed. This leads to a result,
where the Pareto optimal solutions are, more or less, evenly distributed over the
whole Pareto front. The crowding-distance
6
measure is used for calculating the
proximity of two points and it is described in [7] and [13].
Till now we have described the multi-objective result type (
Vec
) and the final
collecting of the Pareto optimal solution. So lets create a simple multi-objective
problem and an appropriate Engine.
1final Problem<double [ ] , DoubleGene , Vec<double[]>> problem =
2Problem . of (
3v−> Vec . o f ( v [ 0 ] ∗c o s ( v [ 1 ] ) + 1 , v [ 0 ] ∗s i n ( v [ 1 ] ) + 1) ,
4Co de cs . o f V e c t o r (
5DoubleRange . o f ( 0 , 1 ) ,
6DoubleRange . of (0 , 2∗PI )
7)
8) ;
9
10 final Engine<DoubleGene , Vec<double[]> > e n g i n e =
11 Engine . b u i l d e r ( problem )
12 . offspringSelector(new To ur na me nt Se le ct or <>(4) )
13 . s u r v i v o r s S e l e c t o r ( UFTournamentSelector . ofVec ( ) )
14 . b u i l d ( ) ;
The fitness function in the example problem above will create 2D-points which
will all lies within a circle with a center of
(1,1)
. In figure 4.1.8 on page 85 you
can see how the resulting solution will look like. There is almost no difference in
creating an evolution Engine for single- or multi-objective optimization. You
only have to take care to choose the right Selector. Not all
Selector
s will
work for multi-objective optimization. This include all
Selector
s which needs
a
Number
fitness type and where the population needs to be sorted
7
. The
Selector which works fine in a multi-objective setup is the
TournamentSelector
.
Additionally you can use one of the special MO selectors:
NSGA2Selector
and
UFTournamentSelector.
NSGA2 selector
This selector selects the first elements of the population,
which has been sorted by the Crowded-comparison operator (equation 4.1.1),
n
,
as described in [10]
i
njif (irank < jrank )∨((irank =jrank )∧idist > jdist),(4.1.1)
where
irank
denotes the non-domination rank of individual
i
and
idist
the crowd-
ing distance of individual i.
Unique fitness tournament selector
The selection of unique fitnesses lifts
the selection bias towards over-represented fitnesses by reducing multiple solutions
sharing the same fitness to a single point in the objective space. It is therefore no
longer required to assign a crowding distance of zero to individual of equal fitness
6
The crowding distance value of a solution provides an estimate of the density of solutions
surrounding that solution. The crowding distance value of a particular solution is the av-
erage distance of its two neighboring solutions.
https://www.igi-global.com/dictionary/
crowding-distance/42740.
7
Since the
relation doesn’t define a total order, sorting the population will lead to an
IllegalArgumentException at runtime.
87

4.2. IO.JENETICS.PROG CHAPTER 4. MODULES
as the selection operator correctly enforces diversity preservation by picking
unique points in the objective space. [13]
Since the MOO classes are an extensions to the existing evolution
Engine
,
the implementation doesn’t exactly follow an established algorithm, like
NSGA2 or SPEA2. The results and performance, described in the relevant
papers, are therefore not directly comparable. See listing 1.2 on page 3 for
comparing the Jenetics evolution flavor.
4.1.6.3 Termination
Most of the existing termination strategies, implemented in the
Limits
class,
presumes a total order of the fitness values. This assumption holds for single-
objective optimization problems, but not for multi-objective problems. Only
termination strategies which doesn’t rely on the total order of the fitness value,
can be safely used. The following termination strategies can be used for multi-
objective problems:
•Limits.byFixedGeneration,
•Limits.byExecutionTime and
•Limits.byGeneConvergence.
All other strategies doesn’t have a well defined termination behavior.
4.2 io.jenetics.prog
In artificial intelligence, genetic programming (GP) is a technique whereby
computer programs are encoded as a set of genes that are then modified (evolved)
using an evolutionary algorithm (often a genetic algorithm).
8
The
io.jenetics-
.prog
module contains classes which enables the
Jenetics
library doing GP. It
introduces a
ProgramGene
and
ProgramChromosome
pair, which serves as the
main data-structure for genetic programs. A
ProgramGene
is essentially a tree
(AST9) of operations (Op) stored in a ProgramChromosome.10
4.2.1 Operations
When creating own genetic programs, it is not necessary to derive own classes
from the
ProgramGene
or
ProgramChromosome
. The intended extension point
is the Op interface.
8https://en.wikipedia.org/wiki/Genetic_programming
9https://en.wikipedia.org/wiki/Abstract_syntax_tree
10
When implementing the GP module, the emphasis was to not create a parallel world of
genes and chromosomes. It was an requirement, that the existing Alterer and Selector classes
could also be used for the new GP classes. This has been achieved by flattening the AST of a
genetic program to fit into the 1-dimensional (flat) structure of a chromosome.
88

4.2. IO.JENETICS.PROG CHAPTER 4. MODULES
The extension point for own GP implementations is the Op interface. There
is in general no need for extending the ProgramChromosome class.
1public i nt erf a ce Op<T> {
2public S t r i n g name ( ) ;
3public in t a r i t y ( ) ;
4public T a pp ly (T [ ] a r g s ) ;
5}
Listing 4.7: GP Op interface
The generic type of the
Op
interface (see listing 4.7) enforces the data-type
constraints for the created program tree and makes the implementation a strongly
typed GP. Using the
Op.of
factory method, a new operation is created by defining
the desired operation function.
1final Op<Double> add = Op. o f ( "+" , 2 , v −> v [ 0 ] + v [ 1 ] ) ;
2final Op<St ri ng > c on c at = Op . o f ( "+" , 2 , v −> v [ 0 ] + v [ 1 ] ) ;
A new
ProgramChromosome
is created with the operations suitable for our
problem. When creating a new
ProgramChromosome
, we must distinguish two
different kind of operations:
1.
Non-terminal operations have an arity greater than zero, which means they
take at least one argument. This operations need to have child nodes, where
the number of children must be equal to the arity of the operation of the
parent node. Non-terminal operations will be abbreviated to operations.
2.
Terminal operations have an arity of zero and from the leaves of the
program tree. Terminal operations will be abbreviated to terminals.
The
io.jenetics.prog
module comes with three predefined terminal opera-
tions: Var,Const and EphemeralConst.
Var
The
Var
operation defines a variable of a program, which is set from
outside when it is evaluated.
1final Var<Double> x = Var . o f ( "x" , 0) ;
2final Var<Double> y = Var . o f ( "y" , 1) ;
3final Var<Double> z = Var . o f ( "z" , 2) ;
4final IS eq <Op<Double>> t e r m i n a l s = I Se q . o f ( x , y , z ) ;
The terminal operations defined in the listing above can be used for defining
a program which takes a 3-dimensional vector as input parameters,
x
,
y
, and
z
, with the argument indices 0,1, and 2. If you have again a look at the
apply
method of the operation interface, you can see that this method takes an
object array of type
T
. The variable
x
will return the first element of the input
arguments, because it has been created with index 0.
Const
The
Const
operation will always return the same, constant, value when
evaluated.
1final Const<Double> one = Const . o f ( 1 . 0 ) ;
2final Const<Double> p i = Const . o f ( " PI " , Math . PI ) ;
89

4.2. IO.JENETICS.PROG CHAPTER 4. MODULES
We can create a constant operation in to flavors: with a value only and with a
dedicated name. If a constant has a name, the symbolic name is used, instead of
the value, when the program tree is printed.
EphemeralConst
An ephemeral constant is a special constant, which is only
constant within an tree. If a new tree is created, a new constant is created, by
the Supplier function the ephemeral constant is created with.
1final Op<Double> ra nd 1 = Eph emeralConst . o f ( Math : : random ) ;
2final Op<Double> ra nd 2 = Eph emeralConst . o f ( "R" , Math : : random ) ;
4.2.2 Program creation
The
ProgramChromosome
comes with some factory methods, which lets you
easily create program trees with a given depth and a given set of operations and
terminals.
1f i n a l i nt depth = 5 ;
2final Op<Double> o p e r a t i o n s = IS eq . o f ( . . . ) ;
3final Op<Double> t e r m i n a l s = IS eq . o f ( . . . ) ;
4final ProgramChromosome<Double> program = ProgramChromosome
5. o f ( depth , o p e r a t i o n s , t e r m i n a l s ) ;
The code snippet above will create a perfect program tree
11
of depth 5. All non-
leaf nodes will contain operations, randomly selected from the given operations,
whereas all leaf nodes are filled with operations from the terminals.
The created program tree is perfect, which means that all leaf nodes have
the same depth. If new trees needs to be created during evolution, they
will be created with the depth,operations and terminals defined by the
template program tree.
The evolution
Engine
used for solving GP problems is created the same
way as for normal GA problems. Also the execution of the
EvolutionStream
stays the same. The first
Gene
of the collected final
Genotype
represents the
evolved program, which can be used to calculate function values from arbitrary
arguments.
1final Eng in e<ProgramGene<Double >, Doub le> e n g i n e = E ngi ne
2. b u i l d e r ( Main : : e r r or , program )
3. m in im iz ing ( )
4. a l t e r e r s (
5new SingleNodeCrossover <>() ,
6new Mutator <>() )
7. b u i l d ( ) ;
8
9final ProgramGene<Double> p rogra m = e n g i n e . s tr ea m ( )
10 . l i m i t ( 3 0 0 )
11 . c o l l e c t ( E v o l u t i o n R e s u l t . t oB es tG en ot yp e ( ) )
12 . getGene ( ) ;
13 f i n a l double r e s u l t = program . e v a l ( 3 . 4 ) ;
11
All leafs of a perfect tree have the same depth and all internal nodes have degree
Op.arity
.
90

4.2. IO.JENETICS.PROG CHAPTER 4. MODULES
For a complete GP example have a look at the examples in chapter 5.7 on
page 113.
4.2.3 Program repair
The specialized crossover class,
SingleNodeCrossover
, for a
TreeGene
guar-
antees that the program tree after the alter operation is still valid. It obeys
the tree structure of the gene. General alterers, not written for
ProgramGene
of
TreeGene
classes, will most likely destroy the tree property of the altered
chromosome. There are essentially two possibility for handling invalid tree
chromosomes:
1.
Marking the chromosome as invalid. This possibility is easier to achieve,
but would also to lead to a large number of invalid chromosomes, which
must be recreated. When recreating invalid chromosomes we will also loose
possible solutions.
2.
Trying to repair the invalid chromosome. This is the approach the
Jenetics
library has chosen. The repair process reuses the operations in a
Program-
Chromosome and rebuilds the tree property by using the operation arity.
Jenetics
allows the usage of arbitrary Alterer implementations. Even alterers
not implemented for ProgramGenes. Genes destroyed by such alterer are
repaired.
4.2.4 Program pruning
When you are solving symbolic regression problems, the mathematical expression
trees, created during the evolution process, can become quite big. From the
diversity point of view, this might be not that bad, but it comes with additional
computation cost. With the
MathTreePruneAlterer
you are able to simplify
some portion of the population in each generation.
1final Eng in e<ProgramGene<Double >, Doub le> e n g i n e = E ngi ne
2. b u i l d e r ( Main : : e r r or , program )
3. m in im iz ing ( )
4. a l t e r e r s (
5new SingleNodeCrossover <>() ,
6new Mutator <>() ,
7new MathTreePruneAlterer <>(0.5))
8. b u i l d ( ) ;
In the example above, half of the expression trees are simplified in each generation.
If you want to prune the final result, you can do this with the
MathExpr.simplify
method.
1final ProgramGene<Double> p rogra m = e n g i n e . s tr ea m ( )
2. l i m i t ( 3 0 0 0 )
3. c o l l e c t ( E v o l u t i o n R e s u l t . t oB es tG en ot yp e ( ) )
4. getGene ( ) ;
5
6final TreeNode<Op<Double>> e x pr = MathExpr . s i m p l i f y ( program ) ;
91

4.3. IO.JENETICS.XML CHAPTER 4. MODULES
The algorithm used for pruning the expression tree, currently only uses some
basic mathematical identities, like
x
+ 0 =
x
,
x·
1 =
x
or
x·
0=0. More
advanced simplification algorithms may be implemented in the future. The
MathExpr
helper class can also be used for creating mathematical expression
trees from the usual textual representation.
1final MathExpr expr = MathExpr
2. p a r s e ( " 5∗z + 6∗x + s i n ( y ) ^3 + (1 + s i n ( z ∗5) / 4) /6 " ) ;
3f i n a l double v a lu e = e xp r . e v a l ( 5 . 5 , 4 , 2 . 3 ) ;
The variables in an expression string are sorted alphabetically. This means, that
the expression is evaluated with
x
= 5
.
5,
y
= 4 and
z
= 2
.
3, which leads to a
result value of 44.19673085074048.
4.3 io.jenetics.xml
The
io.jenetics.xml
module allows to write and read chromosomes and geno-
types to and from XML. Since the existing JAXB marshaling is part of the
deprecated
javax.xml.bind
module the
io.jenetics.xml
module is now the
recommended for XML marshalling of the
Jenetics
classes. The XML mar-
shalling, implemented in this module, is based on the Java
XMLStreamWriter
and XMLStreamReader classes of the java.xml module.
4.3.1 XML writer
The main entry point for writing XML files is the typed XML
Writer
interface.
Listing 4.8 shows the interface of the XMLWriter.
1@FunctionalInterface
2public i n t erf a ce Writer<T> {
3public void w r i t e ( XMLStreamWriter xml , T d at a )
4throws XMLStreamException ;
5
6pub li c s t a t i c <T> Write r<T> a t t r ( S t r i n g name ) ;
7pub li c s t a t i c <T> Write r<T> a t t r ( S t r i n g name , Obj ec t va l ue ) ;
8pub li c s t a t i c <T> Wr it er<T> t e x t ( ) ;
9
10 pub li c s t a t i c <T> Writer<T>
11 elem ( S t r i n g name , Wri ter <? super T> . . . c h i l d r e n ) ;
12
13 pub li c s t a t i c <T> Writer<I t e r a b l e <T>>
14 ele m s ( Writer <? super T> w r i t e r ) ;
15 }
Listing 4.8: XMLWriter interface
Together with the static
Writer
factory method, it is possible to define arbitrary
writers through composition. There is no need for implementing the
Writer
interface. A simple example will show you how to create (compose) a Writer
class for the
IntegerChromosome
. The created XML should look like the given
example above.
1<int - ch rom os ome l en gt h =" 3 " >
2< mi n > - 21 474 83 64 8 < / min >
3< max > 214 74 836 47 </ max >
4<alleles>
5< all ele > - 187 876 243 9 </ all ele >
6< a ll el e > - 95 73 46 59 5 < / al l el e >
92

4.3. IO.JENETICS.XML CHAPTER 4. MODULES
7< all ele > -8866 8137 </ al lel e >
8</alleles>
9< / in t - c h ro m o so m e >
The following writer will create the desired XML from an integer chromosome.
As the example shows, the structure of the XML can easily be grasp from the
XML writer definition and vice versa.
1final Writer<IntegerChromosome> w r i t e r =
2elem( " in t −chromosome " ,
3a t t r ( " l e n g t h " ) . map( ch −> ch . l e n g t h ( ) ) ,
4elem( " min " , W ri te r .< I n t e g e r >t e x t ( ) . map( ch −> ch . getMin ( ) ) ) ,
5elem( "max" , W ri t er .< I n t e g e r >t e x t ( ) . map( ch −> ch . getMax ( ) ) ) ,
6elem( " a l l e l e s " ,
7ele m s ( " a l l e l e " , W ri te r .< I n t e g e r >t e x t ( ) )
8. map( ch −> ch . to Seq ( ) . map( g −> g . g e t A l l e l e ( ) ) )
9)
10 ) ;
4.3.2 XML reader
Reading and writing XML files uses the same concepts. For reading XML there
is an abstract
Reader
class, which can be easily composed. The main method
of the Reader class can be seen in listing 4.9.
1pu bl ic a bs tra ct c l a s s Reader<T> {
2public abstract T re a d ( final XMLStreamReader xml)
3throws XMLStreamException ;
4}
Listing 4.9: XMLReader class
When creating a XML
Reader
, the structure of the XML must be defined in a
similar way as for the XML
Writer
. Additionally, a factory function, which will
create the desired object from the extracted XML data, is needed. A
Reader
,
which will read the XML representation of an
IntegerChromosome
can be seen
in the following code snippet below.
1final Reader<IntegerC hr om os ome> r e a d e r =
2elem(
3( Obje ct [ ] v ) −> {
4f i n a l i nt l e n g t h = ( int) v [ 0 ] ;
5f i n a l i nt min = ( int ) v [ 1 ] ;
6f i n a l i nt max = ( int ) v [ 2 ] ;
7final L i s t <I n t e g e r > a l l e l e s = ( L i s t <I n t e g e r >)v [ 3 ] ;
8a s s e r t a l l e l e s . s i z e ( ) == l e n g t h ;
9return IntegerChromosome . of (
10 a l l e l e s . str e a m ( )
11 . map( v a lu e −> I nt e ge r Ge ne . o f ( v al ue , min , max)
12 . toArray ( I nt ege rGe ne [ ] : : new)
13 ) ;
14 } ,
15 " i nt −chromosome " ,
16 a t t r ( " l e n g t h " ) . map( I n t e g e r : : p a r s e I n t ) ,
17 elem( " min " , t e x t ( ) . map( I n t e g e r : : p a r s e I n t ) ) ,
18 elem( "max" , t e x t ( ) . map( I n t e g e r : : p a r s e I n t ) ) ,
19 elem( " a l l e l e s " ,
20 ele m s ( elem ( " allele " , t e x t ( ) . map( I n t e g e r : : p a r s e I n t ) ) )
21 )
22 ) ;
93

4.4. IO.JENETICS.PRNGINE CHAPTER 4. MODULES
4.3.3 Marshalling performance
Another important aspect when doing marshalling, is the space needed for the
marshaled objects and the time needed for doing the marshalling. For the
performance tests a genotype with a varying chromosome count is used. The
used genotype template can be seen in the code snippet below.
1final Genotype<DoubleGene> g en ot yp e = Genotype . o f (
2DoubleChromosome . o f ( 0 . 0 , 1 . 0 , 100 ) ,
3chromosomeCount
4) ;
Table 4.3.1 shows the required space of the marshaled genotypes for different
marshalling methods: (a) Java serialization, (b) JAXB
12
serialization and (c)
XMLWriter.
Chromosome count Java serialization JAXB XML writer
1 0.0017 MiB 0.0045 MiB 0.0035 MiB
10 0.0090 MiB 0.0439 MiB 0.0346 MiB
100 0.0812 MiB 0.4379 MiB 0.3459 MiB
1000 0.8039 MiB 4.3772 MiB 3.4578 MiB
10000 8.0309 MiB 43.7730 MiB 34.5795 MiB
100000 80.3003 MiB 437.7283 MiB 345.7940 MiB
Table 4.3.1: Marshaled object size
Using the Java serialization will create the smallest files and the XML
Writer
of the
io.jenetics.xml
module will create files roughly 75% the size of the
JAXB serialized genotypes. The size of the marshaled also influences the
write performance. As you can see in diagram 4.3.1 on the next page the Java
serialization is the fastest marshalling method, followed by the JAXB marshalling.
The XML
Writer
is the slowest one, but still comparable to the JAXB method.
For reading the serialized genotypes, we will see similar results (see dia-
gram 4.3.2 on page 96). Reading Java serialized genotypes has the best read
performance, followed by JAXB and the XML Reader. This time the difference
between JAXB and the XML Reader is hardly visible.
4.4 io.jenetics.prngine
The
prngine13
module contains pseudo-random number generators for sequen-
tial and parallel Monte Carlo simulations
14
. It has been designed to work
smoothly with the
Jenetics
GA library, but it has no dependency to it. All
PRNG implementations of this library extends the Java Random class, which
makes it easily usable in other projects.
12
The JAXB marshalling has been removed in version 4.0. It is still part of the table for
comparison with the new XML marshalling.
13
This module is not part of the
Jenetics
project directly. Since it has no dependency to
any of the
Jenetics
modules, it has been extracted to a separate GitHub repository (
https:
//github.com/jenetics/prngine) with an independent versioning.
14https://de.wikipedia.org/wiki/Monte-Carlo-Simulation
94

4.4. IO.JENETICS.PRNGINE CHAPTER 4. MODULES
100
101
102
103
104
105
106
107
100101102103104105
Marshalling time [µs]
Chromosome count
JAXB
Java serialization
XML writer
Figure 4.3.1: Genotype write performance
The pseudo random number generators of the
io.jenetics.prngine
mod-
ule are not cryptographically strong PRNGs.
The
io.jenetics.prngine
module consists of the following PRNG imple-
mentations:
KISS32Random
Implementation of an simple PRNG as proposed in Good Practice
in (Pseudo) Random Number Generation for Bioinformatics Applications
(JKISS32, page 3) David Jones, UCL Bioinformatics Group.[
15
] The period
of this PRNG is ≈2.6·1036.
KISS64Random
Implementation of an simple PRNG as proposed in Good Practice
in (Pseudo) Random Number Generation for Bioinformatics Applications
(JKISS64, page 10) David Jones, UCL Bioinformatics Group.[
15
] The
PRNG has a period of ≈1.8·1075.
LCG64ShiftRandom
This class implements a linear congruential PRNG with
additional bit-shift transition. It is a port of the trng::lcg64_shift PRNG
class of the TRNG library created by Heiko Bauke.15
MT19937_32Random
This is a 32-bit version of Mersenne Twister pseudo random
number generator.16
15https://github.com/jenetics/trng4
16https://en.wikipedia.org/wiki/Mersenne_Twister
95

4.4. IO.JENETICS.PRNGINE CHAPTER 4. MODULES
100
101
102
103
104
105
106
107
108
100101102103104105
Marshalling time [µs]
Chromosome count
JAXB
Java serialization
XML reader
Figure 4.3.2: Genotype read performance
MT19937_64Random
This is a 64-bit version of Mersenne Twister pseudo random
number generator.
XOR32ShiftRandom
This generator was discovered and characterized by George
Marsaglia [Xorshift RNGs]. In just three XORs and three shifts (generally
fast operations) it produces a full period of 2
32 −
1on 32 bits. (The missing
value is zero, which perpetuates itself and must be avoided.)17
XOR64ShiftRandom
This generator was discovered and characterized by George
Marsaglia [Xorshift RNGs]. In just three XORs and three shifts (generally
fast operations) it produces a full period of 2
64 −
1on 64 bits. (The missing
value is zero, which perpetuates itself and must be avoided.)
All implemented PRNGs has been tested with the
dieharder
test suite. Ta-
ble 4.4.1 on the next page shows the statistical performance of the implemented
PRNGs, including the Java
Random
implementation. Beside the
XOR32Shift-
Random
class, the
j.u.Random
implementation has the poorest performance,
concerning its statistical performance.
The second important performance measure for PRNGs is the number of
random number it is able to create per second.
18
Table 4.4.2 on the following
page shows the PRN creation speed for all implemented generators. The slowest
random engine is the
j.u.Random
class, which is caused by the synchronized
17http://digitalcommons.wayne.edu/jmasm/vol2/iss1/2/
18
Measured on a Intel(R) Core(TM) i7-6700HQ CPU @ 2.60GHz with Java(TM) SE Runtime
Environment (build 1.8.0_102-b14)—Java HotSpot(TM) 64-Bit Server VM (build 25.102-b14,
mixed mode)—, using the JHM micro-benchmark library.
96

4.4. IO.JENETICS.PRNGINE CHAPTER 4. MODULES
PRNG Passed Weak Failed
KISS32Random 108 6 0
KISS64Random 109 5 0
LCG64ShiftRandom 110 4 0
MT19937_32Random 113 1 0
MT19937_64Random 111 3 0
XOR32ShiftRandom 101 4 9
XOR64ShiftRandom 107 7 0
j.u.Random 106 4 4
Table 4.4.1: Dieharder results
implementations. When the only the creation speed counts, the
j.u.c.Thread-
LocalRandom is the random engine to use.
PRNG 106int/s 106float/s 106long/s 106double/s
KISS32Random 189 143 129 108
KISS64Random 128 124 115 124
LCG64ShiftRandom 258 185 261 191
MT19937_32Random 140 115 92 82
MT19937_64Random 148 120 148 120
XOR32ShiftRandom 227 161 140 120
XOR64ShiftRandom 225 166 235 166
j.u.Random 91 89 46 46
j.u.c.TL Random 264 224 268 216
Table 4.4.2: PRNG speed
97

Appendix

Chapter 5
Examples
This section contains some coding examples which should give you a feeling
of how to use the
Jenetics
library. The given examples are complete, in the
sense that they will compile and run and produce the given example output.
Running the examples delivered with the
Jenetics
library can be started with
the run-examples.sh script.
$ ./jenetics.example/src/main/scripts/run-examples.sh
Since the script uses JARs located in the build directory you have to build it
with the jar Gradle target first; see section 6 on page 119.
5.1 Ones counting
Ones counting is one of the simplest model-problem. It uses a binary chromosome
and forms a classic genetic algorithm
1
. The fitness of a
Genotype
is proportional
to the number of ones.
1import s t a t i c i o . j e n e t i c s . e n g i n e . E v o l u t i o n R e s u l t . t o Be st Ph en o ty pe ;
2import s t a t i c i o . j e n e t i c s . en gi ne . L im it s . by St ea d yF it ne ss ;
3
4import i o . j e n e t i c s . BitChromosome ;
5import i o . j e n e t i c s . BitGene ;
6import i o . j e n e t i c s . Genotype ;
7import i o . j e n e t i c s . Mutator ;
8import i o . j e n e t i c s . Phenotype ;
9import io . jenetics . RouletteWheelSelector ;
10 import i o . j e n e t i c s . S i n g l e P o i n t C r o s s o v e r ;
11 import i o . j e n e t i c s . en gi ne . Engine ;
12 import i o . j e n e t i c s . en gi n e . E v o l u t i o n S t a t i s t i c s ;
13
14 pu bl ic c l a s s OnesCounting {
15
16 // This method c a l c u l a t e s t he f i t n e s s f o r a g i ve n gen o ty p e .
17 priv at e s t a t i c I n t e g e r count ( final Genotype<BitGene> gt ) {
18 return gt . getChromosome ( )
19 . as ( BitChromosome . c l a s s )
20 . bitCount () ;
1
In the classic genetic algorithm the problem is a maximization problem and the fitness
function is positive. The domain of the fitness function is a bit-chromosome.
99

5.1. ONES COUNTING CHAPTER 5. EXAMPLES
21 }
22
23 pub li c s t a t i c void main ( S t r i n g [ ] a r g s ) {
24 // C o nf ig ur e and b u i ld t he e v o l u t i o n e ng i ne .
25 final Eng ine<BitGene , I n t e g e r > e n gi n e = E ngi ne
26 . builder(
27 OnesCounting : : count ,
28 BitChromosome . o f ( 2 0 , 0 . 1 5 ) )
29 . p o p u l a t i o n S i z e ( 5 00 )
30 . selector(new R ou le tt eW he e l S el ec to r <>() )
31 . a l t e r e r s (
32 new Mutator < >(0.55) ,
33 new S i n g l e P o i n t C r o s s o v e r < >(0. 06) )
34 . b u i l d ( ) ;
35
36 // Cr ea te e v o l u t i o n s t a t i s t i c s consumer .
37 final E v o l u t i o n S t a t i s t i c s <I nt e g e r , ?>
38 s t a t i s t i c s = E v o l u t i o n S t a t i s t i c s . ofNumber ( ) ;
39
40 final Phenotype<BitGe ne , I n t e g e r > b e s t = e n g i n e . s tr ea m ( )
41 // Tru ncat e t he e v o l u t i o n s tream a f t e r 7 " s t ea d y "
42 // generations .
43 . limit ( bySteadyFitness (7) )
44 // The e v o l u t i o n w i l l s to p a f t e r maximal 100
45 // generations .
46 . l i m i t ( 1 0 0 )
47 // Update t he e v a l u a t i o n s t a t i s t i c s a f t e r
48 // each g e n e r a t i o n
49 . peek ( s t a t i s t i c s )
50 // C o l l e c t ( r ed uc e ) t he e v o l u t i o n s tre am to
51 // i t s b e s t p he noty pe .
52 . c o l l e c t ( toBestPh e notyp e ( ) ) ;
53
54 System . out . p r i n t l n ( s t a t i s t i c s ) ;
55 System . out . p r i n t l n ( b e st ) ;
56 }
57 }
The genotype in this example consists of one
BitChromosome
with a ones
probability of 0.15. The altering of the offspring population is performed by
mutation, with mutation probability of 0.55, and then by a single-point crossover,
with crossover probability of 0.06. After creating the initial population, with the
ga.setup()
call, 100 generations are evolved. The tournament selector is used
for both, the offspring- and the survivor selection—this is the default selector.
2
1+---------------------------------------------------------------------------+
2| Time s t at is t ic s |
3+---------------------------------------------------------------------------+
4| Se le ct io n : sum = 0 .0 1 65 8 01 4 40 0 0 s; mean = 0 .0 0 13 8 16 7 86 6 7 s |
5| Alte ri ng : sum = 0 .0 9 690 415 900 0 s ; mean =0 .0 0 807 534 658 3 s |
6| Fit ne ss c al c ul ati on : sum =0 . 02 2 89 4 31 8 00 0 s ; mean =0 . 00 1 90 7 85 9 83 3 s |
7| Ove ra ll e xe cu tio n : sum = 0. 1 36 5 753 230 00 s; mean = 0.0 113 812 769 1 7 s |
8+---------------------------------------------------------------------------+
9| Evo lu ti on s t at is tic s |
10 +---------------------------------------------------------------------------+
11 | Ge ne rat io ns : 12 |
12 | Alt ere d : s um = 40 ,48 7; m ean =3 373 .91 666 666 7 |
13 | Kil le d : sum =0 ; me an = 0.0 000 000 00 |
14 | In va li ds : sum =0; mean =0 .0 000 000 00 |
15 +---------------------------------------------------------------------------+
16 | Pop ul ati on s ta t is ti c s |
17 +---------------------------------------------------------------------------+
2
For the other default values (population size, maximal age, ...) have a look at the Javadoc:
http://jenetics.io/javadoc/jenetics/4.2/index.html
100

5.2. REAL FUNCTION CHAPTER 5. EXAMPLES
18 | Age : m ax =9; m ea n = 0. 80 86 67 ; var = 1. 44 62 99 |
19 | Fit nes s : |
20 | min = 1.000000000000 |
21 | max = 18 . 00 0 00 0 000 000 |
22 | mean = 1 0 .0 5 08 3 33 3 33 3 3 |
23 | var = 7.839555898205 |
24 | std = 2. 7 99 9 20 6 94 9 85 |
25 +---------------------------------------------------------------------------+
26 [0 0 001 1 01| 1 111 0 111 | 1 11 1 1 11 1 ] -- > 18
The given example will print the overall timing statistics onto the console. In
the Evolution statistics section you can see that it actually takes 15 generations
to fulfill the termination criteria—finding no better result after 7 consecutive
generations.
5.2 Real function
In this example we try to find the minimum value of the function
f(x) = cos 1
2+ sin (x)·cos (x).(5.2.1)
-1
-0.8
-0.6
-0.4
-0.2
0
0.2
0.4
0.6
0.8
1
0123456
y
x
Figure 5.2.1: Real function
The graph of function 5.2.1, in the range of
[0,2π]
, is shown in figure 5.2.1
and the listing beneath shows the GA implementation which will minimize the
function.
1import s t a t i c j av a . la ng . Math . PI ;
2import s t a t i c j av a . la ng . Math . co s ;
3import s t a t i c j av a . la ng . Math . s i n ;
4import s t a t i c i o . j e n e t i c s . e n g i n e . E v o l u t i o n R e s u l t . t o Be st Ph en o ty pe ;
5import s t a t i c i o . j e n e t i c s . en gi ne . L im it s . by St ea d yF it ne ss ;
6
7import i o . j e n e t i c s . DoubleGene ;
8import i o . j e n e t i c s . M ea nAlterer ;
9import i o . j e n e t i c s . Mutator ;
10 import i o . j e n e t i c s . Optimize ;
11 import i o . j e n e t i c s . Phenotype ;
12 import i o . j e n e t i c s . en gi ne . Codecs ;
13 import i o . j e n e t i c s . en gi ne . Engine ;
14 import i o . j e n e t i c s . en gi n e . E v o l u t i o n S t a t i s t i c s ;
101

5.2. REAL FUNCTION CHAPTER 5. EXAMPLES
15 import i o . j e n e t i c s . u t i l . DoubleRange ;
16
17 pu bl ic c l a s s RealFunction {
18
19 // The f i t n e s s f u n c t i o n .
20 priv at e s t a t i c double fitness (f i n a l double x ) {
21 return co s ( 0 . 5 + s i n ( x ) ) ∗c os ( x ) ;
22 }
23
24 pub li c s t a t i c void main ( final S t r i n g [ ] a r g s ) {
25 final Eng in e<DoubleGene , Double> e n g i n e = E ng in e
26 // C re ate a new b u i l d e r with the g iv en f i t n e s s
27 // f u n c t i o n and chromosome .
28 . builder(
29 Rea l Fu nc ti o n : : f i t n e s s ,
30 Codecs . o f S c a l a r ( DoubleRange . o f ( 0 . 0 , 2 .0 ∗PI ) ) )
31 . p o p u l a t i o n S i z e ( 5 00 )
32 . o p t i m i z e ( O pt im iz e . MINIMUM)
33 . a l t e r e r s (
34 new Mutator < >(0.03) ,
35 new M ean Alt ere r < >(0.6) )
36 // B ui ld an e v o l u t i o n e n gi ne with th e
37 // d e f i n e d p ar am et er s .
38 . b u i l d ( ) ;
39
40 // Cr ea te e v o l u t i o n s t a t i s t i c s consumer .
41 final EvolutionStatistics<Double , ?>
42 s t a t i s t i c s = E v o l u t i o n S t a t i s t i c s . ofNumber ( ) ;
43
44 final Pheno type<DoubleGene , Double> b e s t = e n g i n e . st r ea m ( )
45 // Tru ncat e t he e v o l u t i o n s tream a f t e r 7 " s t ea d y "
46 // generations .
47 . limit ( bySteadyFitness (7) )
48 // The e v o l u t i o n w i l l s to p a f t e r maximal 100
49 // generations .
50 . l i m i t ( 1 0 0 )
51 // Update t he e v a l u a t i o n s t a t i s t i c s a f t e r
52 // each g e n e r a t i o n
53 . peek ( s t a t i s t i c s )
54 // C o l l e c t ( r ed uc e ) t he e v o l u t i o n s tre am to
55 // i t s b e s t p he noty pe .
56 . c o l l e c t ( toBestPh e notyp e ( ) ) ;
57
58 System . out . p r i n t l n ( s t a t i s t i c s ) ;
59 System . out . p r i n t l n ( b e st ) ;
60 }
61 }
The GA works with 1
×
1
DoubleChromosomes
whose values are restricted
to the range [0,2π].
1+---------------------------------------------------------------------------+
2| Time s t at is t ic s |
3+---------------------------------------------------------------------------+
4| Se le ct io n : sum = 0. 064 406 456 000 s ; mea n =0 .00 306 697 409 5 s |
5| Al te ri ng : sum = 0.0 701 583 820 00 s; mea n =0 .00 334 087 5333 s |
6| Fit ne ss c al c ul ati on : sum =0 . 05 0 45 2 64 7 00 0 s ; mean =0 . 00 2 40 2 50 7 00 0 s |
7| Ove ra ll e xe cu tio n : sum = 0. 1 698 351 540 00 s; mean = 0.0 080 873 882 8 6 s |
8+---------------------------------------------------------------------------+
9| Evo lu ti on s t at is tic s |
10 +---------------------------------------------------------------------------+
11 | Ge ne rat io ns : 21 |
12 | Alt ere d : s um =3 ,8 97; m ean =1 85. 571 428 571 |
13 | Kil le d : sum =0 ; me an = 0.0 000 000 00 |
14 | In va li ds : sum =0; mean =0 .0 000 000 00 |
102

5.3. RASTRIGIN FUNCTION CHAPTER 5. EXAMPLES
15 +---------------------------------------------------------------------------+
16 | Pop ul ati on s ta t is ti c s |
17 +---------------------------------------------------------------------------+
18 | Age : m ax =9; m ea n = 1. 10 43 81 ; va r = 1. 96 26 25 |
19 | Fit nes s : |
20 | min = -0.938171897696 |
21 | max = 0.936310125279 |
22 | mean = - 0. 89 78 56 58 36 65 |
23 | var = 0.027246274838 |
24 | std = 0. 1 65 0 64 4 56 6 17 |
25 +---------------------------------------------------------------------------+
26 [[ [ 3. 3 8 91 2 578 2 657 3 14 ] ] ] --> -0.9 38 17 189 76 95 6 66 1
The GA will generated an console output like above. The exact result of the
function–for the given range–will be 3
.
389
,
125
,
782
,
8907
,
939
...
You can also see,
that we reached the final result after 19 generations.
5.3 Rastrigin function
The Rastrigin function
3
is often used to test the optimization performance of
genetic algorithm.
f(x) = An +
n
X
i=1 x2
i−Acos (2πxi).(5.3.1)
As the plot in figure 5.3.1 shows, the Rastrigin function has many local minima,
which makes it difficult for standard, gradient-based methods to find the global
minimum. If
A
= 10 and
xi∈[−5.12,5.12]
, the function has only one global
minimum at x=0with f(x)=0.
Figure 5.3.1: Rastrigin function
3https://en.wikipedia.org/wiki/Rastrigin_function
103

5.3. RASTRIGIN FUNCTION CHAPTER 5. EXAMPLES
The following listing shows the
Engine
setup for solving the Rastrigin func-
tion, which is very similar to the setup for the real-function in section 5.2 on
page 101. Beside the different fitness function, the
Codec
for
double
vectors is
used, instead of the double scalar Codec.
1import s t a t i c j av a . la ng . Math . PI ;
2import s t a t i c j av a . la ng . Math . co s ;
3import s t a t i c i o . j e n e t i c s . e n g i n e . E v o l u t i o n R e s u l t . t o Be st Ph en o ty pe ;
4import s t a t i c i o . j e n e t i c s . en gi ne . L im it s . by St ea d yF it ne ss ;
5
6import i o . j e n e t i c s . DoubleGene ;
7import i o . j e n e t i c s . M ea nAlterer ;
8import i o . j e n e t i c s . Mutator ;
9import i o . j e n e t i c s . Optimize ;
10 import i o . j e n e t i c s . Phenotype ;
11 import i o . j e n e t i c s . en gi ne . Codecs ;
12 import i o . j e n e t i c s . en gi ne . Engine ;
13 import i o . j e n e t i c s . en gi n e . E v o l u t i o n S t a t i s t i c s ;
14 import i o . j e n e t i c s . u t i l . DoubleRange ;
15
16 pu bl ic c l a s s RastriginFunction {
17 priv at e s t a t i c f i n a l double A = 1 0 ;
18 priv at e s t a t i c f i n a l double R = 5 . 1 2 ;
19 priv at e s t a t i c f i n a l i nt N = 2 ;
20
21 priv at e s t a t i c double fitness (f i n a l double [ ] x ) {
22 double value = A∗N;
23 for (int i = 0 ; i < N; ++i ) {
24 v al u e += x [ i ] ∗x [ i ] −A∗co s ( 2 . 0 ∗PI∗x [ i ] ) ;
25 }
26
27 return value ;
28 }
29
30 pub li c s t a t i c void main ( final S t r i n g [ ] a r g s ) {
31 final Eng in e<DoubleGene , Double> e n g i n e = E ng in e
32 . builder(
33 R a s t r i g i n F u n c t i o n : : f i t n e s s ,
34 // Codec f o r ’ x ’ v e c t o r .
35 Co de cs . o f V e c t o r ( DoubleRan ge . o f (−R, R) , N) )
36 . p o p u l a t i o n S i z e ( 5 00 )
37 . o p t i m i z e ( O pt im iz e . MINIMUM)
38 . a l t e r e r s (
39 new Mutator < >(0.03) ,
40 new M ean Alt ere r < >(0.6) )
41 . b u i l d ( ) ;
42
43 final EvolutionStatistics<Double , ?>
44 s t a t i s t i c s = E v o l u t i o n S t a t i s t i c s . ofNumber ( ) ;
45
46 final Pheno type<DoubleGene , Double> b e s t = e n g i n e . st r ea m ( )
47 . limit ( bySteadyFitness (7) )
48 . peek ( s t a t i s t i c s )
49 . c o l l e c t ( toBestPh e notyp e ( ) ) ;
50
51 System . out . p r i n t l n ( s t a t i s t i c s ) ;
52 System . out . p r i n t l n ( b e st ) ;
53 }
54 }
The console output of the program shows, that
Jenetics
finds the optimal
solution after 38 generations.
104

5.4. 0/1 KNAPSACK CHAPTER 5. EXAMPLES
1+---------------------------------------------------------------------------+
2| Time s t at is t ic s |
3+---------------------------------------------------------------------------+
4| Se le ct io n : sum = 0 .2 0 91 8 51 3 40 0 0 s; mean = 0 .0 0 55 0 48 7 19 4 7 s |
5| Alte ri ng : sum = 0 .2 9 510 204 400 0 s ; mean = 0 .00 776 584 326 3 s |
6| Fit ne ss c al c ul ati on : sum =0 . 17 6 87 9 93 7 00 0 s ; mean =0 . 00 4 65 4 73 5 18 4 s |
7| Ove ra ll e xe cu tio n : sum = 0. 6 645 172 560 00 s; mean = 0. 0 174 872 962 11 s |
8+---------------------------------------------------------------------------+
9| Evo lu ti on s t at is tic s |
10 +---------------------------------------------------------------------------+
11 | Ge ne rat io ns : 38 |
12 | Alt ere d : s um =7 ,5 49; m ean =1 98. 657 894 737 |
13 | Kil le d : sum =0 ; me an = 0.0 000 000 00 |
14 | In va li ds : sum =0; mean =0 .0 000 000 00 |
15 +---------------------------------------------------------------------------+
16 | Pop ul ati on s ta t is ti c s |
17 +---------------------------------------------------------------------------+
18 | Age : m ax =8; m ea n = 1. 10 02 11 ; va r = 1. 81 40 53 |
19 | Fit nes s : |
20 | min = 0.000000000000 |
21 | max = 63 . 67 2 604 047 475 |
22 | mean = 3.484157452128 |
23 | var = 71 . 04 7 47 5 139 018 |
24 | std = 8. 4 28 9 66 4 33 6 16 |
25 +---------------------------------------------------------------------------+
26 [[ [ -1. 32 261 68 5 88 424 14 3 E - 9] , [ -1 .0 9696497 14 04 29 2 E -9]]] --> 0.0
5.4 0/1 Knapsack
In the Knapsack problem
4
a set of items, together with it’s size and value, is
given. The task is to select a disjoint subset so that the total size does not
exceed the knapsack size. For solving the 0/1 knapsack problem we define a
BitChromosome
, one bit for each item. If the
ith
bit is set to one the
ith
item is
selected.
1import s t a t i c i o . j e n e t i c s . e n g i n e . E v o l u t i o n R e s u l t . t o Be st Ph en o ty pe ;
2import s t a t i c i o . j e n e t i c s . en gi ne . L im it s . by St ea d yF it ne ss ;
3
4import ja va . u t i l . Random ;
5import j av a . u t i l . f u n c t i o n . Fu nct ion ;
6import ja va . u t i l . stream . C o l l e c t o r ;
7import ja va . u t i l . stream . Stream ;
8
9import i o . j e n e t i c s . BitGene ;
10 import i o . j e n e t i c s . Mutator ;
11 import i o . j e n e t i c s . Phenotype ;
12 import io . jenetics . RouletteWheelSelector ;
13 import i o . j e n e t i c s . S i n g l e P o i n t C r o s s o v e r ;
14 import i o . j e n e t i c s . To u rn am en t Se le ct o r ;
15 import i o . j e n e t i c s . en gi ne . Codecs ;
16 import i o . j e n e t i c s . en gi ne . Engine ;
17 import i o . j e n e t i c s . en gi n e . E v o l u t i o n S t a t i s t i c s ;
18 import i o . j e n e t i c s . u t i l . I Se q ;
19 import i o . j e n e t i c s . u t i l . RandomRegistry ;
20
21 // The main c l a s s .
22 pu bl ic c l a s s Knapsack {
23
24 // This c l a s s r e p r e s e n t s a knapsack item , with a s p e c i f i c
25 // " s i z e " and " va lu e " .
26 f i n a l s t a t i c c l a s s Item {
27 public f i n a l double s i z e ;
4https://en.wikipedia.org/wiki/Knapsack_problem
105

5.4. 0/1 KNAPSACK CHAPTER 5. EXAMPLES
28 public f i n a l double value ;
29
30 Item ( f i n a l double s i z e , f i n a l double value ) {
31 this . s i z e = s i z e ;
32 this . value = value ;
33 }
34
35 // Cr ea te a new random knapsack item .
36 static Item random ( ) {
37 final Random r = RandomRegistry . getRandom ( ) ;
38 return new Item (
39 r . nextDouble ( ) ∗1 00 ,
40 r . nextDouble ( ) ∗100
41 ) ;
42 }
43
44 // C o l l e c t o r f o r summing up t he knapsack it ems .
45 static C o l l e c t o r <Item , ? , Item> toSum ( ) {
46 return C o l l e c t o r . o f (
47 ( ) −>new double [ 2 ] ,
48 ( a , b ) −> { a [ 0 ] += b . s i z e ; a [ 1 ] += b . v al ue ; } ,
49 ( a , b ) −> { a [ 0 ] += b [ 0 ] ; a [ 1 ] += b [ 1 ] ; return a ; } ,
50 r−>new Item ( r [ 0 ] , r [ 1 ] )
51 ) ;
52 }
53 }
54
55 // C re at in g th e f i t n e s s f u n c t i on .
56 static Function<ISeq<Item >, Double>
57 fitness(f i n a l double s i z e ) {
58 return items −> {
59 final Item sum = i te ms . stream ( ) . c o l l e c t ( Item . toSum ( ) ) ;
60 return sum . s i z e <= s i z e ? sum . va lu e : 0 ;
61 } ;
62 }
63
64 pub li c s t a t i c void main ( final S t r i n g [ ] a r g s ) {
65 f i n a l i nt n it em s = 1 5 ;
66 f i n a l double k s s i z e = ni t em s ∗1 0 0 . 0 / 3 . 0 ;
67
68 final ISeq<Item> i t em s =
69 Stream . g e n e r a t e ( It em : : random )
70 . l i m i t ( n ite ms )
71 . c o l l e c t ( IS e q . to IS eq ( ) ) ;
72
73 // C o nf ig ur e and b u i ld t he e v o l u t i o n e ng i ne .
74 final Eng in e<BitG ene , D ouble> e n g i n e = E ngi ne
75 . b u i l d e r ( f i t n e s s ( k s s i z e ) , Codecs . o fS ubS et ( it em s ) )
76 . p o p u l a t i o n S i z e ( 5 00 )
77 . survivorsSelector(new T ou rna me nt Se le cto r <>(5) )
78 . offspringSelector(new Ro ul et te Wh ee l S e le ct or <>() )
79 . a l t e r e r s (
80 new Mutator < >(0.115) ,
81 new S i n g l e P o i n t C r o s s o v e r < >(0. 16) )
82 . b u i l d ( ) ;
83
84 // Cr ea te e v o l u t i o n s t a t i s t i c s consumer .
85 final EvolutionStatistics<Double , ?>
86 s t a t i s t i c s = E v o l u t i o n S t a t i s t i c s . ofNumber ( ) ;
87
88 final Pheno type<Bit Gene , Double> b e s t = e n g i n e . s t re am ( )
89 // Tru ncat e t he e v o l u t i o n s tream a f t e r 7 " s t ea d y "
106

5.5. TRAVELING SALESMAN CHAPTER 5. EXAMPLES
90 // generations .
91 . limit ( bySteadyFitness (7) )
92 // The e v o l u t i o n w i l l s to p a f t e r maximal 100
93 // generations .
94 . l i m i t ( 1 0 0 )
95 // Update t he e v a l u a t i o n s t a t i s t i c s a f t e r
96 // each g e n e r a t i o n
97 . peek ( s t a t i s t i c s )
98 // C o l l e c t ( r ed uc e ) t he e v o l u t i o n s tre am to
99 // i t s b e s t p he noty pe .
100 . c o l l e c t ( toBestPh e notyp e ( ) ) ;
101
102 System . out . p r i n t l n ( s t a t i s t i c s ) ;
103 System . out . p r i n t l n ( b e st ) ;
104 }
105 }
The console out put for the Knapsack GA will look like the listing beneath.
1+---------------------------------------------------------------------------+
2| Time s t at is t ic s |
3+---------------------------------------------------------------------------+
4| Se le ct io n : sum = 0 .0 4 44 6 59 7 80 0 0 s; mean = 0 .0 0 55 5 82 4 72 5 0 s |
5| Alte ri ng : sum = 0 .0 6 738 521 100 0 s ; mean = 0 .00 842 315 137 5 s |
6| Fit ne ss c al c ul ati on : sum =0 . 03 7 20 8 18 9 00 0 s ; mean =0 . 00 4 65 1 02 3 62 5 s |
7| Ove ra ll e xe cu tio n : s um = 0. 126 468 539 000 s ; mean =0. 015 808 567 375 s |
8+---------------------------------------------------------------------------+
9| Evo lu ti on s t at is tic s |
10 +---------------------------------------------------------------------------+
11 | Ge ne rat io ns : 8 |
12 | Alt ere d : s um =4 ,8 42; m ean =6 05. 250 000 000 |
13 | Kil le d : sum =0 ; me an = 0.0 000 000 00 |
14 | In va li ds : sum =0; mean =0 .0 000 000 00 |
15 +---------------------------------------------------------------------------+
16 | Pop ul ati on s ta t is ti c s |
17 +---------------------------------------------------------------------------+
18 | Age : m ax =7; m ea n = 1. 38 75 00 ; va r = 2. 78 00 39 |
19 | Fit nes s : |
20 | min = 0.000000000000 |
21 | max = 542.363235999342 |
22 | mean = 436.098248628661 |
23 | var = 11 4 31. 8 01 2 918 123 9 0 |
24 | std = 106.919601999878 |
25 +---------------------------------------------------------------------------+
26 [01111011|10111101] --> 542.3632359993417
5.5 Traveling salesman
The Traveling Salesman problem
5
is one of the classical problems in computa-
tional mathematics and it is the most notorious NP-complete problem. The goal
is to find the shortest distance, or the path, with the least costs, between
N
different cities. Testing all possible path for
N
cities would lead to
N
!checks to
find the shortest one.
The following example uses a path where the cities are lying on a circle. That
means, the optimal path will be a polygon. This makes it easier to check the
quality of the found solution.
1import s t a t i c j av a . la ng . Math . PI ;
2import s t a t i c j av a . la ng . Math . co s ;
3import s t a t i c j av a . la ng . Math . hypot ;
4import s t a t i c j av a . la ng . Math . s i n ;
5https://en.wikipedia.org/wiki/Travelling_salesman_problem
107

5.5. TRAVELING SALESMAN CHAPTER 5. EXAMPLES
5import s t a t i c j av a . la ng . System . out ;
6import s t a t i c j av a . u t i l . O bje ct s . r eq ui reN on Nu ll ;
7import s t a t i c i o . j e n e t i c s . e n g i n e . E v o l u t i o n R e s u l t . t o Be st Ph en o ty pe ;
8import s t a t i c i o . j e n e t i c s . en gi ne . L im it s . by St ea d yF it ne ss ;
9
10 import ja va . u t i l . Random ;
11 import j av a . u t i l . f u n c t i o n . Fu nct ion ;
12 import ja va . u t i l . stream . I nt S tr e am ;
13
14 import i o . j e n e t i c s . EnumGene ;
15 import i o . j e n e t i c s . Optimize ;
16 import i o . j e n e t i c s . P a r t i a l l y M a t c h e d C r o s s o v e r ;
17 import i o . j e n e t i c s . Phenotype ;
18 import i o . j e n e t i c s . SwapMutator ;
19 import i o . j e n e t i c s . en gi ne . Codec ;
20 import i o . j e n e t i c s . en gi ne . Codecs ;
21 import i o . j e n e t i c s . en gi ne . Engine ;
22 import i o . j e n e t i c s . en gi n e . E v o l u t i o n S t a t i s t i c s ;
23 import i o . j e n e t i c s . en gi ne . Problem ;
24 import i o . j e n e t i c s . u t i l . I Se q ;
25 import i o . j e n e t i c s . u t i l . MSeq ;
26 import i o . j e n e t i c s . u t i l . RandomRegistry ;
27
28 pu bl ic c l a s s TravelingSalesman
29 implements Problem<ISeq<double [] > , EnumGene<double [ ] > , Double>
30 {
31
32 private f i n a l ISeq<double [] > _p o int s ;
33
34 // C re at e new TSP problem i n s t a n c e with g iv en way p o i n t s .
35 public TravelingSalesman(ISeq<double [ ] > p o i n t s ) {
36 _po in ts = r e qu ir eN on N ul l ( p o i n t s ) ;
37 }
38
39 @Override
40 public Function<ISeq<double [ ] > , Double> f i t n e s s ( ) {
41 return p−> In t St re am . r an g e ( 0 , p . l e n g t h ( ) )
42 . mapToDouble ( i −> {
43 f i n a l double [ ] p1 = p . g et ( i ) ;
44 f i n a l double [ ] p2 = p . ge t ( ( i + 1)%p . s i z e ( ) ) ;
45 return hypot ( p1 [ 0 ] −p2 [ 0 ] , p1 [ 1 ] −p2 [ 1 ] ) ; } )
46 . sum ( ) ;
47 }
48
49 @Override
50 public Codec<ISeq<double [ ] > , EnumGene<double[]>> c od ec ( ) {
51 return Codecs . ofP er mut a tio n ( _ p oin t s ) ;
52 }
53
54 // Cr ea te a new TSM example problem w i t h t h e g i ve n number
55 // o f s t o p s . A l l s t o p s l i e on a c i r c l e w it h t he g i v e n r a d i u s .
56 pub li c s t a t i c TravelingSalesman of (int st op s , double r a d i u s ) {
57 final MSeq<double [ ] > p o i n t s = MSeq . o fL en gt h ( s t o ps ) ;
58 f i n a l double d e l t a = 2 . 0∗PI / s t o p s ;
59
60 for (int i = 0 ; i < s t o p s ; ++i ) {
61 f i n a l double a lp ha = d e l t a ∗i ;
62 f i n a l double x = co s ( alp ha ) ∗r a d i u s + r a d i u s ;
63 f i n a l double y = s i n ( a lp ha ) ∗r a d i u s + r a d i u s ;
64 p o i n t s . s e t ( i , new double [ ] { x , y }) ;
65 }
66
108

5.5. TRAVELING SALESMAN CHAPTER 5. EXAMPLES
67 // S h u f f l i n g o f t h e c r e a t e d p o i n t s .
68 final Random random = RandomRegistry . getRandom ( ) ;
69 for (int j = p o i n t s . l e n g t h ( ) −1 ; j > 0 ; −− j ) {
70 f i n a l i nt i = random . n e x t I n t ( j + 1 ) ;
71 f i n a l double [ ] tmp = p o i n t s . ge t ( i ) ;
72 p o i n t s . s e t ( i , p o i n t s . g e t ( j ) ) ;
73 p o i n t s . s e t ( j , tmp ) ;
74 }
75
76 return new T r a v e li n g S a le s m a n ( p o i n t s . t o I S e q ( ) ) ;
77 }
78
79 pub li c s t a t i c void main ( S t r i n g [ ] a r g s ) {
80 int s t o p s = 2 0 ; double R = 1 0 ;
81 double minPathLength = 2 . 0 ∗stops∗R∗s i n ( PI / s t o p s ) ;
82
83 T ra v el i ng S al e sm an tsm = T r av el in gS a le s ma n . o f ( s to ps , R) ;
84 Engine<EnumGene<double [ ] > , Double> e n g i n e = En gi ne
85 . b u i l d e r ( tsm )
86 . o p t i m i z e ( O pt im iz e . MINIMUM)
87 . maximalPhenotypeAge (11)
88 . p o p u l a t i o n S i z e ( 5 00 )
89 . a l t e r e r s (
90 new SwapMutator < >(0.2) ,
91 new P a rt ia ll yM at ch ed Cr os so ve r < >(0.35) )
92 . b u i l d ( ) ;
93
94 // Cr ea te e v o l u t i o n s t a t i s t i c s consumer .
95 EvolutionStatistics<Double , ?>
96 s t a t i s t i c s = E v o l u t i o n S t a t i s t i c s . ofNumber ( ) ;
97
98 Phenotype<EnumGene<double [ ] > , Double> b e s t =
99 e n g i n e . st re am ( )
100 // Tru ncat e t he e v o l u t i o n s tream a f t e r 25 " s te ad y "
101 // generations .
102 . limit ( bySteadyFitness (25) )
103 // The e v o l u t i o n w i l l s to p a f t e r maximal 250
104 // generations .
105 . l i m i t ( 2 5 0 )
106 // Update t he e v a l u a t i o n s t a t i s t i c s a f t e r
107 // each g e n e r a t i o n
108 . peek ( s t a t i s t i c s )
109 // C o l l e c t ( r ed uc e ) t he e v o l u t i o n s tre am to
110 // i t s b e s t p he noty pe .
111 . c o l l e c t ( toBestPh e notyp e ( ) ) ;
112
113 out . p r i n t l n ( s t a t i s t i c s ) ;
114 out . p r i n t l n ( " Known min pa th l e n g t h : " + minPathLength ) ;
115 out . p r i n t l n ( " Found min pa th l e n g t h : " + b e st . g e t F i t n e s s ( ) ) ;
116 }
117
118 }
The Traveling Salesman problem is a very good example which shows you
how to solve combinatorial problems with an GA.
Jenetics
contains several
classes which will work very well with this kind of problems. Wrapping the base
type into an
EnumGene
is the first thing to do. In our example, every city has
an unique number, that means we are wrapping an
Integer
into an
EnumGene
.
Creating a genotype for integer values is very easy with the factory method
of the
PermutationChromosome
. For other data types you have to use one of
the constructors of the permutation chromosome. As alterers, we are using a
109

5.6. EVOLVING IMAGES CHAPTER 5. EXAMPLES
swap-mutator and a partially-matched crossover. These alterers guarantees that
no invalid solutions are created—every city exists exactly once in the altered
chromosomes.
1+---------------------------------------------------------------------------+
2| Time s t at is t ic s |
3+---------------------------------------------------------------------------+
4| Se le ct io n : sum = 0. 077 451 297 000 s ; mea n =0 .00 061 961 037 6 s |
5| Alte ri ng : sum = 0 .2 0 53 5 168 800 0 s ; mean = 0 .00 164 281 350 4 s |
6| Fit ne ss c al c ul ati on : sum =0 . 09 7 12 7 22 5 00 0 s ; mean =0 . 00 0 77 7 01 7 80 0 s |
7| Ove ra ll e xe cu tio n : sum = 0. 3 71 3 044 640 00 s; mean = 0.0 029 704 357 1 2 s |
8+---------------------------------------------------------------------------+
9| Evo lu ti on s t at is tic s |
10 +---------------------------------------------------------------------------+
11 | Ge ne rat io ns : 125 |
12 | Alt ere d : s um = 177 , 200 ; mean = 141 7. 60 000 000 0 |
13 | Kil le d : sum = 17 3; mean =1 .38 40 00 00 0 |
14 | In va li ds : sum =0; mean =0 .0 000 000 00 |
15 +---------------------------------------------------------------------------+
16 | Pop ul ati on s ta t is ti c s |
17 +---------------------------------------------------------------------------+
18 | Age : m ax = 11 ; m ea n = 1. 67 78 72 ; var = 5. 61 729 9 |
19 | Fit nes s : |
20 | min = 62 . 57 3 786 016 092 |
21 | max = 344.248763720487 |
22 | mean = 144.636749974591 |
23 | var = 50 8 2.9 4 72 4 78 7 895 3 |
24 | std = 71 . 29 4 791 169 334 |
25 +---------------------------------------------------------------------------+
26 Kno wn m in pa th l en gt h : 6 2.5 73 78 60 16 09 23 5
27 Fou nd m in pa th l en gt h : 6 2.5 73 78 60 16 09 23 5
The listing above shows the output generated by our example. The last line
represents the phenotype of the best solution found by the GA, which represents
the traveling path. As you can see, the GA has found the shortest path, in
reverse order.
5.6 Evolving images
The following example tries to approximate a given image by semitransparent
polygons.
6
It comes with an Swing UI, where you can immediately start your
own experiments. After compiling the sources with
$ ./gradlew jar
you can start the example by calling
$ ./jrun io.jenetics.example.image.EvolvingImages
Figure 5.6.1 on the following page show the GUI after evolving the default
image for about 4,000 generations. With the »Open« button it is possible to load
other images for polygonization. The »Save« button allows to store polygonized
images in PNG format to disk. At the button of the UI, you can change some of
the GA parameters of the example:
Population size The number of individual of the population.
Tournament size
The example uses a
TournamentSelector
for selecting the
offspring population. This parameter lets you set the number of individual
used for the tournament step.
6
Original idea by Roger Johansson
http://rogeralsing.com/2008/12/07/
genetic-programming-evolution-of-mona-lisa.
110

5.6. EVOLVING IMAGES CHAPTER 5. EXAMPLES
Figure 5.6.1: Evolving images UI
Mutation rate
The probability that a polygon component (color or vertex
position) is altered.
Mutation magnitude
In case a polygon component is going to be mutated,
its value will be randomly modified in the uniform range of [−m, +m].
Polygon length The number of edges (or vertices) of the created polygons.
Polygon count The number of polygons of one individual (Genotype).
Reference image size
To improve the processing speed, the fitness of a given
polygon set (individual) is not calculated with the full sized image. Instead
an scaled reference image with the given size is used. A smaller reference
image will speed up the calculation, but will also reduce the accuracy.
It is also possible to run and configure the Evolving Images example from the
command line. This allows to do long running evolution experiments and save
polygon images every
n
generations—specified with the
--image-generation
parameter.
$ ./jrun io.jenetics.example.image.EvolvingImages evolve \
--engine-properties engine.properties \
--input-image monalisa.png \
--output-dir evolving-images \
111

5.6. EVOLVING IMAGES CHAPTER 5. EXAMPLES
--generations 10000 \
--image-generation 100
Every command line argument has proper default values, so that it is possible
to start it without parameters. Listing 5.1 shows the default values for the GA
engine if the--engine-properties parameter is not specified.
1p o p u l a t i o n _ s i z e =50
2tournament_size=3
3mutation_ r ate =0.025
4mutation_multitude=0.15
5polygon_length=4
6polygon_count=250
7refe ren ce _ im a ge _wi dth =60
8reference_image_height=60
Listing 5.1: Default engine.properties
For a quick start, you can simply call
$ ./jrun io.jenetics.example.image.EvolvingImages evolve
a)100generations b)102generations c)103generations
d)104generations e)105generations f)106generations
Figure 5.6.2: Evolving Mona Lisa images
The images in figure 5.6.2 shows the resulting polygon images after the given
number of generations. They where created with the command line version of
the program using the default engine.properties file (listing 5.1):
$ ./jrun io.jenetics.example.image.EvolvingImages evolve \
--generations 1000000 \
--image-generation 100
112

5.7. SYMBOLIC REGRESSION CHAPTER 5. EXAMPLES
5.7 Symbolic regression
Symbolic regression is a classical example in genetic programming and tries to
find a mathematical expression for a given set of values.
Symbolic regression involves finding a mathematical expression, in
symbolic form, that provides a good, best, or perfect fit between a
given finite sampling of values of the independent variables and the
associated values of the dependent variables.[17]
The following example shows how to solve the GP problem with
Jenetics
. We
are trying to find the polynomial, 4
x3−
3
x2
+
x
, which fits a given data set.
The sample data where created with the polynomial we are searching for. This
makes it easy to check the quality of the approximation found by the GP.
1import s t a t i c j av a . la ng . Math . pow ;
2
3import ja va . u t i l . Arrays ;
4
5import i o . j e n e t i c s . Genotype ;
6import i o . j e n e t i c s . Mutator ;
7import i o . j e n e t i c s . en gi ne . Codec ;
8import i o . j e n e t i c s . en gi ne . Engine ;
9import i o . j e n e t i c s . e n g i n e . E v o l u t i o n R e s u l t ;
10 import i o . j e n e t i c s . ex t . S in gl eN o de Cr os s ov er ;
11 import i o . j e n e t i c s . ex t . u t i l . Tree ;
12 import i o . j e n e t i c s . prog . ProgramChromosome ;
13 import i o . j e n e t i c s . prog . ProgramGene ;
14 import i o . j e n e t i c s . prog . op . EphemeralConst ;
15 import i o . j e n e t i c s . prog . op . MathOp ;
16 import i o . j e n e t i c s . prog . op . Op ;
17 import i o . j e n e t i c s . prog . op . Var ;
18 import i o . j e n e t i c s . u t i l . I Se q ;
19 import i o . j e n e t i c s . u t i l . RandomRegistry ;
20
21 pu bl ic c l a s s S ym b ol ic Re gr es si on {
22
23 // Sample data c r e a t e d with 4∗x^3 −3∗x^2 + x
24 s t a t i c f i n a l double [ ] [ ] SAMPLES = new double [][] {
25 {−1.0 , −8.0000} ,
26 {−0.9 , −6.2460} ,
27 {−0.8 , −4.7680} ,
28 {−0.7 , −3.5420} ,
29 {−0.6 , −2.5440} ,
30 {−0.5 , −1.7500} ,
31 {−0.4 , −1.1360} ,
32 {−0.3 , −0.6780} ,
33 {−0.2 , −0.3520} ,
34 {−0.1 , −0.1340} ,
35 { 0 . 0 , 0 . 0 0 0 0 } ,
36 { 0 . 1 , 0 . 0 7 4 0 } ,
37 { 0 . 2 , 0 . 1 1 2 0 } ,
38 { 0 . 3 , 0 . 1 3 8 0 } ,
39 { 0 . 4 , 0 . 1 7 6 0 } ,
40 { 0 . 5 , 0 . 2 5 0 0 } ,
41 { 0 . 6 , 0 . 3 8 4 0 } ,
42 { 0 . 7 , 0 . 6 0 2 0 } ,
43 { 0 . 8 , 0 . 9 2 8 0 } ,
44 { 0 . 9 , 1 . 3 8 6 0 } ,
45 { 1 . 0 , 2 .0 0 00 }
46 } ;
113

5.7. SYMBOLIC REGRESSION CHAPTER 5. EXAMPLES
47
48 // D e f i n i t i o n o f t he o p e r a t i o n s .
49 s t a t i c f i n a l ISeq<Op<Double>> OPERATIONS = ISe q . o f (
50 MathOp .ADD,
51 MathOp . SUB,
52 MathOp .MUL
53 ) ;
54
55 // D e f i n i t i o n o f th e t e r m i n a l s .
56 s t a t i c f i n a l ISeq <Op<Double>> TERMINALS = I Se q . o f (
57 Var . o f ( "x" , 0 ) ,
58 EphemeralConst . of (() −> ( double )RandomRegistry
59 . getRandom ( ) . n e x t I n t ( 1 0 ) )
60 ) ;
61
62 s t a t i c double error(final ProgramGene<Double> program ) {
63 return Arrays . stream (SAMPLES)
64 . mapToDouble ( s am pl e −>
65 pow ( sample [ 1 ] −program . e v a l ( sample [ 0 ] ) , 2) +
66 program . s i z e ( ) ∗0.00001)
67 . sum ( ) ;
68 }
69
70 s t a t i c f i n a l Codec<ProgramGene<Double >, ProgramGene<Double>>
71 CODEC = Codec . o f (
72 Genotype . of ( ProgramChromosome . o f (
73 5 ,
74 ch −> ch . ge t R o o t ( ) . s i z e ( ) <= 5 0 ,
75 OPERATIONS,
76 TERMINALS
77 ) ) ,
78 Genotype : : getGene
79 ) ;
80
81 pub li c s t a t i c void main ( final S t r i n g [ ] a r g s ) {
82 final Eng in e<ProgramGene<Double >, Doub le> e n g i n e = E ngi ne
83 . b u i l d e r ( S ym bo li cR eg r es s io n : : e rr o r , CODEC)
84 . m in im iz ing ( )
85 . a l t e r e r s (
86 new SingleNodeCrossover <>() ,
87 new Mutator <>() )
88 . b u i l d ( ) ;
89
90 final ProgramGene<Double> p rogra m = e n g i n e . s tr ea m ( )
91 . l i m i t ( 1 0 0 )
92 . c o l l e c t ( E v o l u t i o n R e s u l t . t oB es tG en ot yp e ( ) )
93 . getGene ( ) ;
94
95 System . ou t . p r i n t l n ( Tr ee . t o D o t t y S t r i n g ( p rogram ) ) ;
96 }
97
98 }
One output of a GP run is shown is shown in figure 5.7.1 on the following
page. If we simplify this program tree, we will get exactly the polynomial which
created the sample data.
114

5.8. DTLZ1 CHAPTER 5. EXAMPLES
sub
add mul
x mul add x
mul x add x
add x x x
add x
add x
x x
Figure 5.7.1: Symbolic regression polynomial
5.8 DTLZ1
Deb, Thiele, Laumanns and Zitzler have proposed a set of generational MOPs
for testing and comparing MOEAs. This suite of benchmarks attempts to define
generic MOEA test problems that are scalable to a user defined number of
objectives. Because of the last names of its creators, this test suite is known as
DTLZ (Deb-Thiele-Laumanns-Zitzler). [7]
DTLZ1 is an M-objective problem with linear Pareto-optimal front: [12]
115

5.8. DTLZ1 CHAPTER 5. EXAMPLES
f1(x) = 1
2x1x2· · · xM−1(1 + g(xM)) ,
f2(x) = 1
2x1x2· · · (1 −xM−1) (1 + g(xM)) ,
.
.
.
fM−1(x) = 1
2x1(1 −x2) (1 + g(xM)) ,
fM(x) = 1
2(1 −x1) (1 + g(xM)) ,
∀i∈[1, ..n] : 0 ≤xi≤1
The functional
g(xM)
requires
|xM|
=
k
variables and must take any function
with g≥0. Typically gis defined as:
g(xM) = 100 "|xM|+x−1
22
−cos 20πx−1
2#.
In the above problem, the total number of variables is
n
=
M
+
k−
1. The
search space contains 11
k−
1local Pareto-optimal fronts, each of which can
attract an MOEA.
1import s t a t i c j av a . la ng . Math . PI ;
2import s t a t i c j av a . la ng . Math . co s ;
3import s t a t i c j av a . la ng . Math . pow ;
4
5import i o . j e n e t i c s . DoubleGene ;
6import i o . j e n e t i c s . Mutator ;
7import i o . j e n e t i c s . Phenotype ;
8import i o . j e n e t i c s . To u rn am en t Se le ct o r ;
9import i o . j e n e t i c s . en gi ne . Codecs ;
10 import i o . j e n e t i c s . en gi ne . Engine ;
11 import i o . j e n e t i c s . en gi ne . Problem ;
12 import i o . j e n e t i c s . u t i l . DoubleRange ;
13 import i o . j e n e t i c s . u t i l . I Se q ;
14 import i o . j e n e t i c s . u t i l . IntRange ;
15
16 import i o . j e n e t i c s . ex t . S im ula te d Bi na r yC ros so ver ;
17 import i o . j e n e t i c s . ex t . moea .MOEA;
18 import i o . j e n e t i c s . ex t . moea . NSGA2Selector ;
19 import i o . j e n e t i c s . ex t . moea . Vec ;
20
21 pu bl ic c l a s s DTLZ1 {
22 priv at e s t a t i c f i n a l i nt VARIABLES = 4 ;
23 priv at e s t a t i c f i n a l i nt OBJECTIVES = 3 ;
24 priv at e s t a t i c f i n a l i nt K = VARIABLES −OBJECTIVES + 1 ;
25
26 s t a t i c f i n a l Problem<double [ ] , DoubleGene , Vec<double[]>>
27 PROBLEM = Problem . o f (
28 DTLZ1 : : f ,
29 Co de cs . o f V e c t o r ( DoubleRan ge . o f ( 0 , 1 . 0 ) , VARIABLES)
30 ) ;
31
32 static Vec<double [] > f ( f i n a l double [ ] x ) {
33 double g = 0 . 0 ;
34 for (int i = VARIABLES −K; i < VARIABLES; i ++) {
35 g += pow ( x [ i ] −0 . 5 , 2 . 0 ) −c o s ( 2 0 . 0 ∗PI ∗( x [ i ] −0 . 5 ) ) ;
116

5.8. DTLZ1 CHAPTER 5. EXAMPLES
36 }
37 g = 1 0 0 . 0 ∗(K + g ) ;
38
39 f i n a l double [ ] f = new double [ OBJECTIVES ] ;
40 for (int i = 0 ; i < OBJECTIVES ; ++i ) {
41 f [ i ] = 0 . 5 ∗( 1 . 0 + g ) ;
42 for (int j = 0 ; j < OBJECTIVES −i−1 ; ++j ) {
43 f [ i ] ∗= x [ j ] ;
44 }
45 i f ( i != 0) {
46 f [ i ] ∗= 1 −x [ OBJECTIVES −i−1 ] ;
47 }
48 }
49
50 return Vec . o f ( f ) ;
51 }
52
53 s t a t i c f i n a l Engine<DoubleGene , Vec<double[]>> ENGINE =
54 Engine . b u i l d e r (PROBLEM)
55 . p o p u l a t i o n S i z e ( 1 00 )
56 . a l t e r e r s (
57 new SimulatedBinaryCrossover <>(1) ,
58 new Mutator <>(1.0/VARIABLES) )
59 . offspringSelector(new To ur na me nt Se le ct or <>(5) )
60 . s u r v i v o r s S e l e c t o r ( NSGA2Selector . ofVec ( ) )
61 . m in im iz ing ( )
62 . b u i l d ( ) ;
63
64 pub li c s t a t i c void main ( final S t r i n g [ ] a r g s ) {
65 final ISeq<Vec<double[]>> f r o n t = ENGINE . s tream ( )
66 . l i m i t ( 2 5 0 0 )
67 . c o l l e c t (MOEA. t o P a r e t o S e t ( I nt Ra ng e . o f ( 1 0 0 0 , 1 1 00 ) ) )
68 . map( Phenotype : : g e t F i t n e s s ) ;
69 }
70
71 }
The listing above shows the encoding of the DTLZ1 problem with the
Jenetics
library. Figure 5.8.1 on the next page shows the output DTLZ1 optimization.
117

5.8. DTLZ1 CHAPTER 5. EXAMPLES
0
0.1
0.2
0.3
0.4
0.5 00.1 0.2 0.3 0.4 0.5
0
0.1
0.2
0.3
0.4
0.5
f1
f2
f3
Figure 5.8.1: Pareto front DTLZ1
118

Chapter 6
Build
For building the
Jenetics
library from source, download the most recent, stable
package version from
https://sourceforge.net/projects/jenetics/files/
latest/download
or
https://github.com/jenetics/jenetics/releases
and
extract it to some build directory.
$ unzip jenetics-<version>.zip -d <builddir>
<version>
denotes the actual
Jenetics
version and
<builddir>
the actual build
directory. Alternatively you can check out the latest version from the Git
master
branch.
$ git clone https://github.com/jenetics/jenetics.git \
<builddir>
Jenetics
uses Gradle
1
as build system and organizes the source into sub-projects
(modules).2Each sub-project is located in it’s own sub-directory.
Published projects
•jenetics
: This project contains the source code and tests for the
Jenetics
base-module.
•jenetics.ext
: This module contains additional non-standard GA opera-
tions and data types. It also contains classes for solving multi-objective
problems (MOEA).
•jenetics.prog
: The modules contains classes which allows to do genetic
programming (GP). It seamlessly works with the existing
Evolution-
Stream and evolution Engine.
•jenetics.xml
: XML marshalling module for the
Jenetics
base data struc-
tures.
1http://gradle.org/downloads
2
If you are calling the
gradlew
script (instead of
gradle
), which are part of the downloaded
package, the proper Gradle version is automatically downloaded and you don’t have to install
Gradle explicitly.
119

CHAPTER 6. BUILD
•prngine
: PRNGine is a pseudo-random number generator library for
sequential and parallel Monte Carlo simulations. Since this library has no
dependencies to one of the other projects, it has its own repository
3
with
independent versioning.
Non-published projects
•jenetics.example
: This project contains example code for the base-
module.
•jenetics.doc: Contains the code of the web-site and this manual.
•jenetics.tool
: This module contains classes used for doing integration
testing and algorithmic performance testing. It is also used for creating
GA performance measures and creating diagrams from the performance
measures.
For building the library change into the
<builddir>
directory (or one of the
module directory) and call one of the available tasks:
•compileJava
: Compiles the
Jenetics
sources and copies the class files to
the <builddir>/<module-dir>/build/classes/main directory.
•jar
: Compiles the sources and creates the JAR files. The artifacts are
copied to the <builddir>/<module-dir>/build/libs directory.
•test
: Compiles and executes the unit tests. The test results are printed
onto the console and a test-report, created by TestNG, is written to
<builddir>/<module-dir> directory.
•javadoc
: Generates the API documentation. The Javadoc is stored in the
<builddir>/<module-dir>/build/docs directory.
•clean
: Deletes the
<builddir>/build/*
directories and removes all gen-
erated artifacts.
For building the library from the source, call
$ cd <build-dir>
$ gradle jar
or
$ ./gradlew jar
if you don’t have the the Gradle build system installed—calling the the Gradle
wrapper script will download all needed files and trigger the build task afterwards.
3https://github.com/jenetics/prngine
120

CHAPTER 6. BUILD
External library dependencies
The following external projects are used for
running and/or building the Jenetics library.
•TestNG
◦Version:6.13
◦Homepage:http: // testng. org/ doc/ index. html
◦License:Apache License, Version 2.0
◦Scope:test
•Apache Commons Math
◦Version:3.6.1
◦Homepage
:
http: // commons. apache. org/ proper/ commons-math/
◦Download
:
http: // tweedo. com/ mirror/ apache/ commons/ math/
binaries/ commons-math3-3. 6. 1-bin. zip
◦License:Apache License, Version 2.0
◦Scope:test
•Java2Html
◦Version:5.0
◦Homepage:http: // www. java2html. de/
◦Download:http: // www. java2html. de/ java2html_ 50. zip
◦License:GPL orCPL1.0
◦Scope:javadoc
•Gradle
◦Version: 4.5
◦Homepage:http: // gradle. org/
◦Download
:
http: // services. gradle. org/ distributions/ gradle-4.
5-bin. zip
◦License:Apache License, Version 2.0
◦Scope:build
Maven Central
The whole
Jenetics
package can also be downloaded from
the Maven Central repository http://repo.maven.apache.org/maven2:
pom.xml snippet for Maven
<dependency>
<groupId>io.jenetics</groupId>
<artifactId>module-name </artifactId>
<version>4.2.0</version>
</dependency>
121

CHAPTER 6. BUILD
Gradle
’io.jenetics:module-name :4.2.0’
License The library itself is licensed under theApache License, Version 2.0.
Copyright 2007-2018 Franz Wilhelmstötter
Licensed under the Apache License, Version 2.0 (the "License");
you may not use this file except in compliance with the License.
You may obtain a copy of the License at
http://www.apache.org/licenses/LICENSE-2.0
Unless required by applicable law or agreed to in writing, software
distributed under the License is distributed on an "AS IS" BASIS,
WITHOUT WARRANTIES OR CONDITIONS OF ANY KIND, either express or implied.
See the License for the specific language governing permissions and
limitations under the License.
122

Bibliography
[1]
Thomas Back. Evolutionary Algorithms in Theory and Practice. Oxford
Univiversity Press, 1996.
[2]
James E. Baker. Reducing bias and inefficiency in the selection algorithm.
Proceedings of the Second International Conference on Genetic Algorithms
and their Application, pages 14–21, 1987.
[3]
Shumeet Baluja and Rich Caruana. Removing the genetics from the standard
genetic algorithm. pages 38–46. Morgan Kaufmann Publishers, 1995.
[4]
Heiko Bauke. Tina’s random number generator library.
http://numbercrunch.de/trng/trng.pdf, 2011.
[5]
Tobias Blickle and Lothar Thiele. A comparison of selection schemes used
in evolutionary algorithms. Evolutionary Computation, 4:361–394, 1997.
[6]
Joshua Bloch. Effective Java. Addison-Wesley Professional, 3rd edition,
2018.
[7]
David A. Van Veldhuizen Carlos A. Coello Coello, Gary B. Lamont. Evo-
lutionary Algorithms for Solving Multi-Objective Problems. Genetic and
Evolutionary Computation. Springer, Berlin, Heidelberg, 2nd edition, 2007.
[8]
P.K. Chawdhry, R. Roy, and R.K. Pant. Soft Computing in Engineering
Design and Manufacturing. Springer London, 1998.
[9]
Richard Dawkins. The Blind Watchmaker. New York: W. W. Norton &
Company, 1986.
[10]
K. Deb, A. Pratap, S. Agarwal, and T. Meyarivan. A fast and elitist
multiobjective genetic algorithm: Nsga-ii. Trans. Evol. Comp, 6(2):182–197,
April 2002.
[11]
Kalyanmoy Deb and Hans-Georg Beyer. Self-adaptive genetic algorithms
with simulated binary crossover. COMPLEX SYSTEMS, 9:431–454, 1999.
[12]
Kalyanmoy Deb, Lothar Thiele, Marco Laumanns, and Eckart Zitzler.
Scalable test problems for evolutionary multi-objective optimization. Number
112 in TIK-Technical Report. ETH-Zentrum, ETH-Zentrum Switzerland,
July 2001.
123

BIBLIOGRAPHY BIBLIOGRAPHY
[13]
Félix-Antoine Fortin and Marc Parizeau. Revisiting the nsga-ii crowding-
distance computation. In Proceedings of the 15th Annual Conference on
Genetic and Evolutionary Computation, GECCO ’13, pages 623–630, New
York, NY, USA, 2013. ACM.
[14]
J.F. Hughes and J.D. Foley. Computer Graphics: Principles and Practice.
The systems programming series. Addison-Wesley, 2014.
[15]
David Jones. Good practice in (pseudo) random number generation for
bioinformatics applications, May 2010.
[16]
Abdullah Konak, David W. Coit, and Alice E. Smith. Multi-objective
optimization using genetic algorithms: A tutorial. Rel. Eng. & Sys. Safety,
91(9):992–1007, 2006.
[17]
John R. Koza. Genetic Programming: On the Programming of Computers
by Means of Natural Selection. MIT Press, Cambridge, MA, USA, 1992.
[18]
John R. Koza. Introduction to genetic programming: Tutorial. In Proceed-
ings of the 10th Annual Conference Companion on Genetic and Evolutionary
Computation, GECCO ’08, pages 2299–2338, New York, NY, USA, 2008.
ACM.
[19]
Sean Luke. Essentials of Metaheuristics. Lulu, second edition, 2013. Avail-
able for free at http://cs.gmu.edu/∼sean/book/metaheuristics/.
[20]
Zbigniew Michalewicz. Genetic Algorithms + Data Structures = Evolution.
Springer, 1996.
[21]
Melanie Mitchell. An Introduction to Genetic Algorithms. MIT Press,
Cambridge, MA, USA, 1998.
[22]
Heinz Mühlenbein and Dirk Schlierkamp-Voosen. Predictive models for the
breeder genetic algorithm i. continuous parameter optimization. 1(1):25–49.
[23]
Albert Nijenhuis and Herbert Wilf. Combinatorial Algorithms for Computers
and Calculators. Academic Press, second edition, 1978.
[24]
Oracle. Value-based classes. https://docs.oracle.com/javase/8/docs/api/-
java/lang/doc-files/ValueBased.html, 2014.
[25]
A. Osyczka. Multicriteria optimization for engineering design. Design
Optimization, page 193–227, 1985.
[26]
Charles C. Palmer and Aaron Kershenbaum. An approach to a problem in
network design using genetic algorithms. Networks, 26(3):151–163, 1995.
[27]
Franz Rothlauf. Representations for Genetic and Evolutionary Algorithms.
Springer, 2 edition, 2006.
[28]
Daniel Shiffman. The Nature of Code. The Nature of Code, 1 edition, 12
2012.
[29]
S. N. Sivanandam and S. N. Deepa. Introduction to Genetic Algorithms.
Springer, 2010.
124

BIBLIOGRAPHY BIBLIOGRAPHY
[30]
W. Vent. Rechenberg, ingo, evolutionsstrategie — optimierung technischer
systeme nach prinzipien der biologischen evolution. 170 s. mit 36 abb.
frommann-holzboog-verlag. stuttgart 1973. broschiert. Feddes Repertorium,
86(5):337–337, 1975.
[31]
Eric W. Weisstein. Scalar function. http://mathworld.wolfram.com/-
ScalarFunction.html, 2015.
[32]
Eric W. Weisstein. Vector function. http://mathworld.wolfram.com/-
VectorFunction.html, 2015.
[33]
Darrell Whitley. A genetic algorithm tutorial. Statistics and Computing,
4:65–85, 1994.
[34]
Mark Wolters. A genetic algorithm for selection of fixed-size subsets with
application to design problems. Journal of Statistical Software, 68(1):1–18,
2015.
125

Index
0/1 Knapsack, 105
2-point crossover, 18
3-point crossover, 18
AdaptiveEngine, 82
Allele, 6, 38
Alterer, 15, 42
AnyChromosome, 40
AnyGene, 39
Apache Commons Math, 121
Architecture, 4
Base classes, 5
BigIntegerGene, 77
Block splitting, 34
Boltzmann selector, 14
Build, 119
Gradle, 119
gradlew, 119
Chromosome, 7, 8, 39
recombination, 17
scalar, 44
variable length, 7
Codec, 50
Permutation, 54
Scalar, 51
Subset, 52
Vector, 52
Compile, 120
ConcatEngine, 81
Concurrency, 30
configuration, 30
maxBatchSize, 32
maxSurplusQueuedTaskCount, 31
splitThreshold, 31
tweaks, 31
Crossover
2-point crossover, 18
3-point crossover, 18
Intermediate crossover, 20
Line crossover, 20
Multiple-point crossover, 18
Partially-matched crossover, 18,
19
Simulated binary crossover, 77
Single-point crossover, 17, 18
Uniform crossover, 19
CyclicEngine, 82
Dieharder, 70
Directed graph, 49
Distinct population, 69
Domain classes, 6
Domain model, 6
Download, 119
DTLZ1, 115
Elite selector, 15, 42
Elitism, 15, 42
Encoding, 44
Affine transformation, 46
Directed graph, 49
Graph, 48
Real function, 44
Scalar function, 45
Undirected graph, 48
Vector function, 46
Weighted graph, 49
Engine, 22, 43
Evaluator, 29
Engine classes, 21
ES, 65
Evolution
Engine, 22
interception, 68
performance, 65
Stream, 4, 21, 25
Evolution strategy, 65
(µ+λ)-ES, 68
(µ, λ)-ES, 66
Evolution time, 61
126

INDEX INDEX
Evolution workflow, 4
EvolutionResult, 26
interception, 68
mapper, 25, 68
EvolutionStatistics, 27
EvolutionStream, 25
EvolutionStreamable, 80
Evolving images, 110, 111
Examples, 99
0/1 Knapsack, 105
Evolving images, 110, 111
Ones counting, 99
Rastrigin function, 103
Real function, 101
Traveling salesman, 107
Exponential-rank selector, 14
Fitness convergence, 63
Fitness function, 21
Fitness scaler, 22
Fitness threshold, 62
Fixed generation, 59
FlatTree, 76
Gaussian mutator, 16
Gene, 6, 38
validation, 7
Gene convergence, 64
Genetic algorithm, 3
Genetic programming, 88, 113
Const, 89
EphemeralConst, 90
Operations, 88
Program creation, 90
Program pruning, 91
Program repair, 91
Var, 89
Genotype, 8
scalar, 10, 44
Validation, 24
vector, 9
Git repository, 119
GP, 88, 113
Gradle, 119, 121
gradlew, 119
Graph, 48
Hello World, 2
Installation, 119
Interception, 68
Internals, 70
io.jenetics.ext, 75
io.jenetics.prngine, 94
io.jenetics.prog, 88
io.jenetics.xml, 92
Java property
maxBatchSize, 32
maxSurplusQueuedTaskCount, 31
splitThreshold, 31
Java2Html, 121
LCG64ShiftRandom, 34, 71
Leapfrog, 34
License, i, 122
Linear-rank selector, 14
Mean alterer, 20
Modifying Engine, 80
Modules, 74
io.jenetics.ext, 75
io.jenetics.prngine, 94
io.jenetics.prog, 88
io.jenetics.xml, 92
Mona Lisa, 112
Monte Carlo selector, 13, 65
MOO, 83
Multi-objective optimization, 83
Multiple-point crossover, 18
Mutation, 15
Mutator, 16
NSGA2 selector, 87
Ones counting, 99
Operation classes, 11
Package structure, 5
Pareto dominance, 84
Pareto efficiency, 84
Partially-matched crossover, 18, 19
Permutation codec, 54
Phenotype, 11
Validation, 24
Population, 6
unique, 25
Population convergence, 64
PRNG, 32
Block splitting, 34
LCG64ShiftRandom, 34
127

INDEX INDEX
Leapfrog, 34
Parameterization, 34
Random seeding, 33
PRNG testing, 70
Probability selector, 13
Problem, 56
Random, 32
Engine, 32
LCG64ShiftRandom, 34
Registry, 32
seeding, 71
testing, 70
Random seeding, 33
Randomness, 32
Rastrigin function, 103
Real function, 101
Recombination, 16
Roulette-wheel selector, 13
SBX, 77
Scalar chromosome, 44
Scalar codec, 51
Scalar genotype, 44
Seeding, 71
Selector, 12, 41
Elite, 42
Seq, 36
Serialization, 35
Simulated binary crossover, 77
Single-node crossover, 77
Single-point crossover, 17, 18
Source code, 119
Statistics, 37, 42
Steady fitness, 59
Stochastic-universal selector, 14
Subset codec, 52
Swap mutator, 16
Symbolic regression, 113
Termination, 58
Evolution time, 61
Fitness convergence, 63
Fitness threshold, 62
Fixed generation, 59
Gene convergence, 64
Population convergence, 64
Steady fitness, 59
TestNG, 121
Tournament selector, 12
Traveling salesman, 107
Tree, 75
TreeGene, 77
Truncation selector, 13
Undirected graph, 48
Uniform crossover, 19
Unique fitness tournament selector,
87
Unique population, 69
Validation, 7, 24, 57
Vec, 86
Vector codec, 52
Weasel program, 77
WeaselMutator, 79
WeaselSelector, 79
Weighted graph, 49
128