MvdMlab Manual V0
User Manual:
Open the PDF directly: View PDF
.
Page Count: 50
MVDMLAB MANUAL

Copyright © 2018 van der Meer lab
www.vandermeerlab.org
Licensed under the Creative Commons BY-NC-SA License (the “License”), version 4.0; you may not use
this file except in compliance with the License. Briefly, you are free to share and adapt this material, un-
der the condition that you give appropriate credit, do not use the material for commercial purposes,
and distribute your contributions under the same terms. You may obtain a copy of the full License at
https://creativecommons.org/licenses/by-nc-sa/4.0/.
Inspired by similar lab manuals by others. Particularly helpful were the wonderful examples from the
Peelle and Aly labs.
Typeset in Palatino Linotype using L
A
T
EX and the tufte-book class.
Version 0.1, November 2018
Contents
Welcome! 7
About this manual 9
Research Using Animals 11
Institutional oversight 12
Values and Expectations 15
Expectations: everyone 15
Principal Investigator 16
Graduate Students 17
Research Technicians 18
Undergraduates 18
Code of Conduct 19
Visitors to the lab 19
Doing good science 21
Failing fast and often, but learn from your mistakes 21
Documentation and taking good notes 22
Asking good questions 23
Reading papers 24
Communication 24
Lab space 25
General expectations 25
4
Experiment rooms 26
Fine Assembly Room (FAR) 27
Surgery and anteroom 27
Workshop 27
Shared facilities 27
Vivarium space 27
Offices 27
Electronic resources 29
GitHub 29
Slack 29
Wiki 30
Calendar 30
Mailing list 30
Lab servers 30
Others 30
Computing 31
Lab computers 31
Lab web services accounts 33
Printing 33
Skills 33
Software 34
Data management 37
Data storage 38
Data promotion 39
Data use cases 39
Animal care and recordkeeping 41
Animal ownership and responsibility 41
PBS and Dartmouth 43
Training required by Dartmouth 43
Important people and contact info 43
Dartmouth resources 43

Welcome!
I didn’t change my mind, it changed all by itself.
– Luna, Double Feature (1995)
The van der Meer lab brings together people who share an in-
terest in how the brain works. We aim to better understand how
learning, memory, and decision-making arise from the coordinated
activity of neurons. In the pursuit of this goal, we perform brain
surgery, design and construct strange mazes, painstakingly build
small devices so we can read the minds of rats, solder tiny circuit
boards to even tinier wires, write thousands of lines of computer
code, collect beautiful data, produce even more beautiful plots, and
many other activities.
Figure 1: Some strange mazes. (From
Emily Irvine’s shortcut experiment.)
Each of us brings their own particular blend of motivations for
engaging in these lab activities, but there are a few common threads:
curiosity about how the physical stuff of the brain gives rise to
thought and to behavior, a love for animals and computers alike, a
desire to help solve some of the big mysteries, and contributing to
human knowledge and ultimately a better world.
Figure 2: A small device for rat mind-
reading (by Andrew Alvarenga).
Our efforts are collaborative, not only within the lab, but also
with other labs in the department of Psychological & Brain Sciences
at Dartmouth. We share equipment, space, and interests with these
labs, and collaborate on joint projects and on creating a scientifically
exciting and supportive culture where everyone can thrive. We also
have joint projects with other labs around the world. We collaborate
because the problems we are trying to solve are hard, and because
learning from and working with others is one of the great joys of
working in science!

8
Working with others brings not only joy, but also expectations.
Coding and data analysis can be fun, but are full of pitfalls. Sharing
space and expensive equipment with others demands respect. There
is satisfaction in getting an experiment to work, but it can be a long
slog to get there. Perhaps most importantly of all, the use of animals
in research comes with practical as well as moral responsibilities. This
manual is intended to provide guidance on how to navigate these issues,
with particular focus on the van der Meer lab.
Figure 3: Some beautiful data, recorded
from R050’s hippocampus (by Alyssa
Carey). Vertical tick marks indicate
spikes (one row per neuron, sorted by
place field location); horizontal axis
indicates time; blue trace shows a local
field potential. Scale bar is 1s.
If you are new to the lab, I would like you to read this man-
ual through in its entirety. If you will not be working with animals
directly, it may seem like chapter on Animal Management does not
apply to you, but it will give you important insights into how the lab
operates.
Welcome. Let’s do some great science together!
–MvdM
About this manual
This document describes the principles that shape how the mem-
bers of the lab interact and work. Rather than dealing with the nuts
and bolts of how to get stuff done in the lab, the manual is about lab
philosophy, expectations, and resources. It is an introduction to the
lab. The lab manual is one of several classes (categories) of shared
documents in the lab, which are:
•Lab Manual. You are looking at it. It contains information that does
not change frequently. Only MvdM can change the lab manual,
but he wants to hear from you if you have thoughts of suggestions!
Periodically, we will review the manual as a group at lab meeting
to determine what needs updating.
• Private GitHub repositories1that contain protocols, i.e. documen- 1www.github.com/vandermeerlab.
Because these repositories are private,
you will not be able to see them unless
you are logged in and a member of the
vandermeerlab organization.
tation for experimental procedures2, and a separate repository for
2Examples include electrode plating,
histology, drive building, et cetera:
mvdmlab-protocols repository
behavioral tasks and associated computer code3. This documen-
3mvdmlab-tasks
tation is on GitHub so that we can say things like, “I used version
1.1of the histology protocol”, and so that we can track changes
to those protocols as well as the reasons for those changes. If you
perform procedures in the lab, you are expected to follow and to
contribute to these protocols; see section XXX for a more detailed
explanation.
• A lab wiki4that contains tutorials, guides, lists of useful links, et 4discovery.dartmouth.edu/~mvdm/wiki
cetera. The wiki is a more dynamic, easier to edit resource for
content that doesn’t rely as much on version control. The wiki
currently contains the lab’s MATLAB data analysis tutorials.
• We also have a lab Slack team5which is used for day to day com- 5mvdmlab.slack.com
munication. It hosts shared documents best described as “every-
thing else”, something that isn’t a protocol, task, or tutorial.
These different venues reflect an overall organization ranging
from content that is easy to create and easy to change (low overhead,
quick; Slack, wiki), to content that is moderately stable and takes a

10 mvdmlab manual
bit more effort to change (but easier to track; GitHub), to principles
that rarely change (lab manual). For instance, an idea for an exper-
iment may be initially discussed on Slack, lead to a draft protocol
shared there, and then get pushed to GitHub.
There are a number of other kinds of documents used in the lab
that, unlike the above categories, are not typically consulted by multi-
ple lab members. Most important among these are (1) animal records,
described in more detail in section XXX, and (2) lab notebooks, de-
scribed in section YYY.
I assume the lab manual and procedures on GitHub are accurate. This means
that you should follow all of the policies and procedures contained in the man-
ual and GitHub. If you notice something that seems to be wrong, please let
me know (for the lab manual) or change it yourself (if on GitHub). If there is
something in the lab manual or GitHub that you notice people aren’t doing,
please bring this up at lab meeting, or to me directly. Don’t assume this is
okay (it’s not).

Research Using Animals
We use animals in the lab, based on the conviction that doing so
accelerates scientific progess and provides a net benefit to humans,
and perhaps to animals, too. There are many examples of scientific
discoveries that were directly enabled by resarch in animals6. How- 6Some good examples are highlighted
in the “Position statement of the Max
Planck Society concerning the use
of animals in experiments for ba-
sic research”, https://www.mpg.de/
10882259/MPG_Whitepaper.pdf
ever, past successes do not mean we can experiment freely on any
animal we want. The use of animals for research carries a moral, sci-
entific, and legal obligation to only perform experiments when the
benefits can be reasonably expected to outweigh the costs, to do so
only if no suitable alternatives are available, and to do so while car-
ing for our animals to the fullest extent possible. These notions are
often phrased as the “3R’s” (reduction, replacement, refinement)7.7Some references on the 3Rs
Figure 4: Visualization of human-rat
synergy.
More generally, research in animals demands that we do the best
job possible, and maximize the usefulness of the research outcomes.
This means that:
•We take care of our animals. If animals are comfortable and well
cared for, they will perform the behavioral tasks we want, be eas-
ier to handle, and the resulting fundings will be more likely to
generalize.
• We strive to design experiments such that the outcomes will be as infor-
mative as possible. There are many resources on this topic, including
the specific demands on rigor and reproducibility mandated by
the NIH8. Many experimental design decisions can be brought 8NIH reference
into focus by perparing a formal preregistration of your proposed
experiment9, which requires justifying how many subjects you 9Preregistration
plan to run, what analyses you will carry out, and the inferences
supported by possible outcomes.
• We aim to collect the highest quality data possible. We often invest
a tremendous amount of time in each animal through behavioral
training, construction of chronic implants, surgery, and so on. If

12 mvdmlab manual
any one of these procedures is not performed diligently, then your
investment in all the others may come to nothing.
• For the data to be interpretable, good records need to be kept.
Recordkeeping includes informal written notes and the comple-
tion of highly organized templates produced as procedures are
performed. It also encompasses the process of translating these
notes into computer-readable formats suitable for data analysis.
•Data is valuable. It needs to be protected against inadvertent loss,
and its impact needs to be maximized by making it possible for a
single data set to inform multiple questions, including those asked
by different investigators within and outside the lab. This means it
needs to be organized and annotated in a specific common format.
In sum, the fact we are working with animals shapes both our lab
philosophy and many practical aspects of working in the lab. Much
of the content that follows in this manual is essentially unpacking the
above points in more detail.
Figure 5: A cartoon rat with some
objects. Figure from Dudchenko et al.
Institutional oversight
Animal research at Dartmouth is overseen by the Institutional
Animal Care and Use Committee (IACUC). All work with animals
needs to receive prior approval from the IACUC in the form of proto-
cols10. Only procedures11 that have been approved by the IACUC may 10 Protocol: document outlining the
scientific rationale, aims, and a set
of proposed experiments, including
specific animal numbers for each. The
total number of approved animals may
not be exceeded.
11 Procedure: Any action or change
beyond picking an animal up in the
colony room (e.g. for changing cages or
weighing) counts as a procedure
be performed on animals, and only by approved personnel (listed
on the protocol). We are required to log all procedures. Invasive
procedures, such as electrode implant surgery, require follow-up pro-
cedures providing post-operative care (administration of analgesia,
monitoring).
Important: Violations of the above requirements, such as performing a pro-
cedure not previously approved, or neglecting to log a procedure that was
performed, are serious. Beyond potentially violating our moral responsibility
towards our animal subjects, the lab, the department, and Dartmouth risks los-
ing federal approval to perform animal research if found delinquent. Systems
are in place to minimize the likelihood of mistakes from happening; however,
we are all human and mistakes do happen. If you notice any slips, please take
action: rectify if you can, consider how to prevent this happening again, and let
MvdM know.
Animal husbandry12 at Dartmouth is provided by the Center 12 That is, animal care not consisting
of procedures, such as changing
cages and providing food and water.
research using animals 13
for Comparative Medicine Research (CCMR). CCMR maintains a
satellite animal facility in the basement of Moore Hall, where our an-
imals are housed and cared for by CCMR staff. CCMR also employs
veterinary staff, who are “on call” to provide support and advice
(and in unusual cases, can mandate an animal be euthanized).
Values and Expectations
The lab values personal and scientific integrity, respect for each other,
for animals, for equipment, and for data. We care about shaping and
maintaining an environment that fosters personal development, cu-
riosity, exploration, and the joy of discovery. We choose to work on
hard problems that require dedication, persistence, resourcefulness,
and resilience. We are humble. We support each other in when things
get tough, and celebrate each other’s successes. We value opportuni-
ties to learn from each other, set high standards but do not judge.
Holding these values implies the following:
Expectations: everyone
• Behave respectfully and professionally towards others in the lab,
department, and beyond. Doing this well requires considering
how your actions (or lack of them) affect others13. We value be- 13 Recurse guidelines
haviors that enable everyone to flourish. Behaviors that exclude
anyone based on race, gender, religion, or appearance are not OK.
See the Code of Conduct below for details.
• Treat your animal subjects with care.
• Participate in our weekly lab meetings.
• Take initiative. If you are stuck, try something different. Ask
someone.
• Document. Anything you do more than once, or that you or
someone else might have to do again, should be written up as
aexperimental protocol14. Anything done with an animal is 14 Not to be confused with an animal
(IACUC) protocol.
aprocedure and needs to be logged. Good recordkeeping is es-
sential to doing good science. Keep track of what you did with
experiments and analyses in your lab notebook.
16 mvdmlab manual
• Communicate. Tell others what you are working on, what is work-
ing well and what could be improved. Post on updates on Slack
frequently.
• Contribute to community resources and space. If you notice some-
thing that can be improved, fix it, mention it on Slack, or open a
GitHub issue.
• Collaborate. Share your expertise. Make arrangements with others
to take care of their animals one weekend and reciprocate another.
Offer to do code reviews, read each other’s manuscript, offer feed-
back on practive talks.
• Showing up. There will be days when it feels like you aren’t mak-
ing any progress and nothing is working. Don’t underestimate the
power of an iterative routine.
• Be a little obsessive.
• Be punctual and consistent if you are running experiments. Hours
can be somewhat flexible, but in general all full-time lab members
are expected to be in at work during at least the core hours of 11-4,
so that we can interact. If you are going to be away from the lab
for more than a day or two, enter it into the lab calendar.
• Take care of yourself. Know when it’s time to push, and when it’s
time to take a walk in Pine Park15.15 See here for a guide to some of
Hanover’s best trails, accessible from
the lab in the space of a lunch break.
• Tell others when you notice they did something well, or when they
made your life a little better today16.16 We have the octothorp, awarded
during lab meeting. But don’t stop
there!
• Keep at it. While brilliant ideas, creativity and skill certainly help,
the best predictor of success is how consistently you put in the
work.
• If you have an issue with a member of the lab, tell MvdM. If you
have an issue with MvdM that you are not comfortable discussing,
the graduate student representative, department chair, and other
faculty are available.
• Pictures/videos. Before taking pictures with a lab member in
them, ask their consent first. Ask consent again before posting
to social media. If you’d like to take pictures of an experimental
subject, ask MvdM.
Principal Investigator
• Provide an environment where great science can be done and
values and expectations 17
people can thrive.
• Give my perspective on where the field is going, and how work in
the lab will help shape that direction.
• Secure operating funds for the lab, which may include your
stipend or salary.
• Be a mentor, supporter, and resource for you. This includes pro-
viding you with training in diverse aspects of science, helping
you plan your career, promote your work and provide you with
opportunities.
• Hold weekly lab meetings and project one-on-ones with you.
• Give you timely feedback on project ideas, conference posters,
talks, manuscripts, figures, grants.
• Support and monitor your trajectory in yearly feedback meetings.
Graduate Students
• Your goal is to make an original contribution to knowledge, in the
form of a thesis that you will defend. Become really good at at
least one marketable technique or skill.
• When you first join the lab, you are expected to take on an existing
or previously proposed project, so you can learn the ropes with
plenty of interaction time with MvdM and senior lab members.
As you progress, you are expected to take a more active role in
helping to shape project directions within the scope of the lab’s
current and planned funding.
• Your productivity is expected to be low initially (1-2years), but
then ramp up. Expect to submit at least one paper per year in
years 3+. Research is the clear priority– avoid spending too much
time on coursework and teaching assistantships.
• Become the world expert on your thesis topic. Read superficially
in a broad area, and deep in your chosen area17.17 See “How to read a book” book and
MvdM’s slides for some pointers on
different kinds of reading.
• Submit fellowship applications. Help MvdM write grants and
review papers.
• Be aware of the program requirements, and everything else that
is in the PBS grad guide. Be in charge of these program require-
ments. Coursework and milestones.
• Attend B4, and present regularly (this is a program requirement)
18 mvdmlab manual
• Attend departmental colloquia, and go to lunch with the speaker a
few times each year.
• Participate in Dartmouth research events (Neuroscience Day) and
major conferences in the field.
• Participate in rotating lab assignments that change on a term-by-
term basis (animal care, space, codebase, protocols, journal club
chair, social chair).
• Attend a summer school such as Neural Systems & Behavior at
MBL18.18 www.mbl.edu/nsb
• Be aware of what is required to take the next step of career paths
you are considering19. If you are thinking about postdocs, identify 19 Some starting points for thinking
about industry vs. academia include:
potential advisors early on and take steps to get them to know
about you and your work. Read some example letters of recom-
mendation, and proacvtively consider what you would like yours
to say.
• If you are going to be away from the lab for more than a day or
two, ask MvdM (and enter the dates in the lab calendar).
• Use Twitter wisely: it is a great way to stay in touch with new
work and useful resources, but it can be a real time sink.
• Take an active role in monitoring and promoting your mental
health.
Research Technicians
• Work regular hours as defined by your contract. Flexibility is
encouraged, but seek approval from MvdM first.
• cc MvdM on all PCARD transactions. Request permission first for
anything unusual and anything over $500.
• Discuss attending talks (B4, colloquia) with MvdM first before
going.
Undergraduates
If you do animal work, be reliable and punctual.
Letters of recommendation. You can expect me to write letters
of recommendation for you if you have worked in the lab for a year
(three terms) or more.
values and expectations 19
Funding sources for research and travel.
Code of Conduct
The lab is committed to providing a safe, friendly, and accepting en-
vironment for everybody. We will not tolerate any verbal or physical
harassment or discrimination on the basis of gender, gender identity
and expression, sexual orientation, disability, physical appearance,
body size, country of origin, native language, race, or religion. We
will not tolerate intimidation, stalking, following, unwanted pho-
tography or video recording, sustained disruption of talks or other
events, inappropriate physical contact, and unwelcome sexual atten-
tion.
If you notice or experience any of these, please tell MvdM. If
MvdM is the cause of your concern, there are a number of trusted
sources available20. Please be assured that your concerns will be 20
taken seriously, that you will be listened to, and that you can share
them without fear of retaliation. You should be aware of the distinc-
tion between private resources and confidential resources21.21 Private resources are legally obligated
to share a disclosure of sexual miscon-
duct with the Title IX office, including
all details that are known. This is to
ensure adequate support for those who
may need it. Confidential resources
may not share any information (with
very few exceptions).
Important resources:
• Dartmouth policies
• PBS diversity page
• Confidential resources: WISE, Dick’s House, ...
• Private resources: MvdM, department chair, ...
Visitors to the lab
Please ask MvdM for permission first. Some visitors lack the context
to interpret what they see in the lab.
Doing good science
This chapter provides some general strategies that effective scientists
use.
Failing fast and often, but learn from your mistakes
Science involves a lot of trial and error. You will be asking questions
whose answers are often not yet known, using combinations of tech-
niques and analyses that do not yet exist or have not been applied
to your particular question. So you want to find ways to learn from
errors as quickly as possible, and ways to avoid making them in the
first place.
The general principle to do this is to find ways to get feedback of-
ten. For projects that are at the idea stage, talk with your peers about
it, and solicit feedback from more senior colleagues. Find out what
the likely pitfalls and challenging steps are, and who has already
tried or even solved them before.
For projects that are experimental, the same idea applies: find
a setup in which the feedback cycle is as short as it can be. For in-
stance, if your project requires recording from a brain area that the
lab has not recorded from before, chronically implanting an animal
would take much longer until you find out if you hit, compared to
doing an acute (non-recovery) surgery.
Experiments often consist of multiple steps or components that all
need to work – failure in any component will make all the other steps
in vain22. This implies that you should find ways to get feedback 22 A typical example is that if you do
not follow aseptic surgical procedures,
an infection may cause your implant to
detach. Having built perfect electrodes
is then moot.
about whether each component is working correctly. For instance,
inspect your tetrodes under a microscope before attaching them to
the interface board.
For analysis projects, a similar logic again applies: formulate ex-
pectations about what the output of a given analysis step should look
22 mvdmlab manual
like.
For all of these processes, apply a hacker/startup mindset that
takes the quickest path towards a minimal working example or proof
of principle. At that point, if the results look promising, you should
clean up, improve and document things.
Often, things will not work. This is not always a problem – some-
times you just want to try something and only follow up if it looks
like things are going to work. However, some failures actually block
your way forward, and you will need to resolve them. Notes, as de-
scribed next, will help you (and others) identify what the problem
might be. Making the same mistake twice is not a good use of time
and resources.
Documentation and taking good notes
One way to avoid making the same mistake twice or to avoid making
them in the first place is to have good documentation.
A related but different reason to care about documentation is that
a desirable property of a scientific study is that it should be possible
for others to replicate the result.
Lab notes
You are expected to keep notes in a lab notebook. This can be a phys-
ical notebook, or an electronic document. I keep notes in a binder for
experiments, and in a Google Doc for data analysis23. Make a habit 23 Be aware that images pasted into any
of the Google online documents are
stored with lossy compression, so you
will not be able to recover the original
image!
of writing notes every day that you perform experiments or analysis.
Some examples of things to keep notes about:
• Building a drive for implanting. Document the lengths of the
pieces used, the height and weight of the drive, which tetrode wire
you used, et cetera.
• Improvising a new way to glue an optical fiber to a silicon probe.
• The filename of a new piece of code you used to try out a new
analysis (that you’re not ready to commit to GitHub yet), some
screenshots of the plots it produced, your interpretation of what
you see, and the next step you plan to take the next day.
Of course, any procedures performed with experimental subjects
need to be logged in that subject’s binder. Commonly performed
doing good science 23
procedures, such as histology and surgery, will have a protocol with
fields that can be completed as you go along (discussed below). If
you perform mostly well-established procedures, your notes binder
will consist primarily of protocol sheets. Having your notes in a
binder is great for this because you can mix protocol sheets and
written notes.
Protocols
Protocols are step-by-step instructions of procedures used in the lab.
Anything you expect to do again in the future should be written up
as a protocol. If you only do a thing once, you should still take notes!
Protocols are hosted on GitHub. Why?
What makes a good protocol? Use standard structure (purpose,
ingredients, equipment). Step-by-step instructions: it should be a
recipe, and algorithm. The main procedures should be clean and
minimal so that it is easy to get an overview, but adding copious
notes and explanations as footnotes/sidenotes/appendices are great.
Steps should be as easy as possible to follow, with checks/tests that
can be used to tell if things are working as expected. Pictures can be
very helpful here.
Some example protocols are:
If you use a protocol, update it regularly, even if it is to say when it
was last used successfully (and by whom).
Asking good questions
Questions about science.
Experiments and analyses are ways of asking nature a question.
Your goal should never be to obtain a certain answer. You should
formulate expectations about possible answers and consider if those
would in fact inform the question you are asking.
Working models are good sources of questions.
Questions about computer code.
When troubleshooting computer code, aim to create a Minimal,
Complete, and Verifiable example. In doing so, you make it easier
for others to replicate the problem you are experiencing, helping
them help you. Moreover, often you’ll find that in the process of
24 mvdmlab manual
creating such an example, you discover the source of the problem.
See this page on Stack Overflow24 for more detailed instructions. 24 www.stackoverflow.com, an excellent
resource for crowdsourced answers to
programming issues.
Reading papers
Inspectional, analytical, syntopical
Bibliography management
Find the classic papers and intellectual roots of the question you
are working on. If this doesn’t motivate or energize you at least from
time to time, ask yourself how much you actually care about your
question.
Communication
Writing well
Clear thesis
Structure of argument
Vomit draft, results packet
Iterating often
Citing: first, best, and most recent (this is a good rule of thumb to
guide your reading, too.)
Simpler is better
See SOFTWARE SECTION for more info on recommendations.
Importance of visuals
Simpler is better
See SOFTWARE SECTION.
Lab space
Our lab space consists of the following:
Include map.
General expectations
In the lab, we assemble precision devices that will be surgically im-
planted in live animals. We perform behavioral experiments that are
sensitive to changes in many different conditions. The amount of
time invested in these procedures, and the fact that we are doing this
in live animals, demand careful attention. In addition, lab space is
subject to general lab safety requirements (link) and IACUC inspec-
tions (link).
The principle that guides the use of shared lab space is that any
lab member needs to be able to come in, find the items they need,
and get things done to a high standard. In addition, the condition in
which te lab spaces are kept should reflect pride taken in doing good
work – it will be seen and interpreted by others viewing our space.
Depending on the specific rooms this can mean somewhat different
things, discussed in more detail below, but there are some common
principles:
•Clean up after yourself. Use common sense about when to do this.
If you’re in the middle of something and stepping out to get some
lunch, it makes no sense to clear your work area. However, if
you’ve finished what you were working on, definitely clean up.
Before going home for the day is usually a good time to at least
clean a bit. See the specific room schedules for more specific clean-
ing requirements.
•Organize where things are stored. Any item in the lab has a home.
Some individual items are sufficiently important that they have
a dedicated place, such as “final cut scissors” (PICTURE). Some
26 mvdmlab manual
items don’t have a dedicated place but are a member of a more
general category, such as “BNC interconnects”. If you find an item
that does not have an obvious home, check on Slack if anyone has
suggestions, and/or create one for it. Creating a home for an item
can be as simple as labeling a piece of a shelf somewhere. Make
sure you tell everyone about it on Slack, in accordance with the
Communication Principle!
•Track stock levels. If something is running low, don’t just ignore
it. Post about it on Slack. Store parts that go with a certain piece
equipment with that equipment (for instance, by taping a ziploc
baggie to it).
•Label things. Any liquid and food containers MUST be labeled with
the contents and expiry date, if applicable. When you open a new
package of something, write on it when you opened it. When a
new thing comes in, write on it when it was received.
•Treat tools with respect. What may look like a cheap pair of scissors
is likely to cost at least $300. Use tools for their intended purpose,
and use the correct tool for the job. For instance, don’t use fine
scissors to make rough cuts into hard materials. Don’t use fine
forceps to hold metal parts. 25 25 Quick guide to forceps: #55 are finest.
•Be safe. The general lab safety training covers the basics, but spe-
cific spaces have hazards described below. First Aid kits are avail-
able in the FAR and in B101.
Experiment rooms
AKA “running rooms”
These are the main spaces that our rats interact with. That has a
few consequences:
• If you have a rat out, have the doors closed. Put a sign on the door
saying, “Experiment in Progress”.
• Don’t make changes to the layout of the room while you are run-
ning an experiment. Changing the cues and landmarks available
can change what strategy animals use to solve a behavioral task.
• Work to keep light levels, sound levels, and odor cues consistent.
• Any surface rats interact with needs to be cleanable. So, no card-
board, unsealed wood, and so on.
• Our IACUC protocols require cleaning apparatus at least weekly.
lab space 27
Cleanliness and organization is important, but don’t let that hold
you back in shaping your workspace to enable you do perform your
experiments well and efficiently. Tape procedures you are using
to the walls, print out the relevant atlas sections, make temporary
storage spaces for the tools you use frequently.
Fine Assembly Room (FAR)
Surgery and anteroom
If there is any single room that is especially important to be clean and
organized, this is it!
Workshop
Beware the Dremel and the belt sander. Wear gloves and goggles.
Shared facilities
Histology.
Vivarium space
Our rats are in Moore B63, and our mice in Moore B61.
Vivarium rooms need to have binders containing weights and
animal records.
Offices

Electronic resources
GitHub
GitHub hosts multiple repositories containing important lab re-
sources. These include:
•mvdmlab-protocols: contains descriptions of experimental proce-
dures.
•mvdmlab-tasks: contains descriptions of behavioral tasks.
•mvdmlab-designs: contains CAD designs for use with our 3D
printer or printing services.
• The main lab codebase. MATLAB version and Python version
• Code and data associated with the lab’s publications.
• Assorted project-specific repositories.
To access some of these repositories, you need to be a member
of the vandermeerlab organization (URL). Ask MvdM to become a
member.
Slack
www.slack.com is a software platform for having group conversa-
tions in topic-specific channels. The lab Slack is mvdmlab.slack.com.
Figure 6: Slack.
The lab Slack is used for everyday communication about all as-
pects of the lab’s work, ranging from animal-related logistics and or-
dering supplies to logging and discussing ongoing project results and
sharing grants. I suggest you join all channels initially – even chan-
nels on topics not necessarily related to your interests you should
look at on occasion to see what is happening.
30 mvdmlab manual
Wiki
Calendar
The lab has a Google account (credentials: ) which is associated with
a number of calendars. All experiment rooms and surgery have their
own calendar, which you should use to schedule your planned use of
these rooms. The main lab calendar contains labmeeting times and
other scheduled events (e.g. journal clubs).
Mailing list
The lab mailing list is used for announcements such as lab meetings
and journal clubs.
Lab servers
Datavault
Continuous integration server
Others
We use Dropbox to facilitate sharing of files across computers. It
should never be used for storage of data!
Dropbox credentials:
However, if you see an opportunity to promote any files currently
on Dropbox to the relevant GitHub repo, please do so (or create an
issue first).
Computing
Computing plays an increasingly important role in (neuro)science
and is central to many aspects of the lab’s workflow. The safety of
your hard-won data, the integrity and reproducibility of your anal-
yses and results, the ongoing development and sharing of the best
protocols and procedures, and the speed with which you can ac-
complish your goals all depend critically on correct use of the lab’s
computing resources.
Because many of these are shared (experimental machines) and/or
inherently collaborative (lab database, codebase) it is especially im-
portant to be aware of the issues below. Experience with some of the
more advanced concepts and tools is a highly valued skill in many
labs and workplaces; mastery of these will set you apart from many
of your peers.
Lab computers
The lab’s computers are a mixture of custom builds (assembled from
parts by MvdM or someone else brave enough!), designed for a par-
ticular role, and general-purpose workstations purchased from Dart-
mouth Computing Services. The different roles determine the best
way to use each machine. The roles are:
• Single-user machines in offices, one for each grad student/tech/postdoc.
• Shared machines. There is one in the FAR (B28), for use with the
NanoZ and high-power microscope; one in B101, for use with the
3D printer; a laptop in surgery; and one computer associated with
each data acquisition system (Neuralynx, Open Ephys).
32 mvdmlab manual
Single user machines
One of these will be exclusively yours to use during your tenure in
the lab. You are free to install software and change settings to suit
your needs as long as any changes (1) do not interfere with the ma-
chine’s ability to support research, and (2) fall within the Dartmouth
Computing guidelines26. However, remember that this is still a lab 26 link
(Dartmouth)-owned machine, and should not be extensively used for
private activity. You can feel free to choose your own username and
password credentials.
Single user machines have a boot drive (C:) for the operating sys-
tem and frequently used software. This is a fast SSD drive with lim-
ited space, so be mindful of what you install here. Absolutely do not
use this drive for any documents or data; use the data drive (D:) for
this.
Many single-user machines use a RAID (automatically “mirrored”)
storage array for the D: drive. This means that if one hard drive
fails, the data is still available on the other. However, mirroring will
not help you if you accidentally delete or overwrite files. For this
reason, data should always be available on the lab server, code should
be regularly pushed to GitHub and/or stored on Dropbox27, and 27 ...or a similar service such as Google
Drive; note that Dropbox has a free
academic account upgrade.
documents (e.g. your grant application, paper, or thesis) should be on
Dropbox or equivalent.
If you see Windows updates to install on any machine, go ahead
and install them. If a computer needs rebooting because of updates
and you can do so safely, go ahead.
Shared machines
Unlike the single user machines, when using the shared machine
you will need to consider how your actions affect other users. A few
guidelines:
• If need to save your work, create a folder with your name on the
Data (D:) drive. Do not leave work or data files on the desktop.
If you find anything that’s not supposed to be there on the desk-
top or anywhere else, put it in the lost-and-found folder on the
desktop.
• Do not install any software, or change any software and system
settings, without discussing with MvdM first. Do not delete any
files, but place them in the lost-and-found folder on the Desktop
instead.
computing 33
• If you log in to web services, consider logging out when you are
done.
Experimental machines
The above considerations for shared machines apply. In addition:
• If you acquire data for your project, use correct renaming and
backup procedure when you finish your acquisition session. This
is absolutely essential: data is expensive, and you individually and
the lab as a whole cannot afford to lose any of it, EVER. Do not
leave data in the acquisition folder.
• If you encounter a potential data file or folder that is not yours
and seems lost, make an effort to find out whose data it might be.
• NEVER delete anything that looks like it might be data, unless you
are absolutely certain that it has been backed up correctly.
Lab web services accounts
gmail: mvdmlab@gmail.com dropbox: mvdmlab@gmail.com skype:
vandermeerlab (for contacting suppliers and other lab-related busi-
ness)
Printing
The departmental printer (in XX) is the primary way to print stuff.
Please be considerate when using the printer. Keeping an electronic
library of PDFs using an iPad, Dropbox and iAnnotate is a worth-
while investment that will make it much easier to find papers and
your comments in the future, and will save a LOT of paper!
We also have a lab printer in the FAR. Only use this printer for
printing experiment-related documents such as animal weight sheets
and protocols.
Skills
Growth mindset.
Basic skills: learning about your filesystem, what makes sense to
store where

34 mvdmlab manual
Learn to use the command line.
Learn to code. MATLAB and Python are the most important. In
our subfield of neuroscience, MATLAB is still the most used, but
Python is gaining ground.
Good coding practices.
Style guide.
Other important software: reference manager, LaTeX if you plan to
write a paper or a thesis. Adobe Creative Suite for making figures.
How to ask good questions. Stack Overflow on how to create a
minimal, complete, and verifiable example.
Software
In general, you should feel free use whatever software is the best tool
for the job28, and you should feel free to do so. However, there are 28 ...where “best” is defined as the
intersection between the capabilities of
the software itself, suitability for the
task at hand, and the user’s ability to
use it correctly.
startup costs associated with learning how to use new software, and
the lab has built up expertise and resources in a number of software
packages that work well. Learning to use these software packages
will help you be productive in the lab, and will be applicable in other
settings as well.
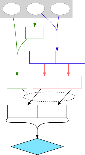
spikes
MUA
LFPs position
SWR
events
left SWR
sequences
right SWR
sequences
left tuning
curves
right tuning
curves
left full
posterior
right full
posterior
L/R count
ratio
sequence
detection
decode
full data
exclude L/R
overlaps
encoding
model
candidate
detection
Figure 7: Example data analysis work-
flow, made with Graphviz
•Git is a tool for “collaborative version control”: a way to keep
track of changes made to files such as computer code, experi-
mental protocols or manuscrupt drafts, and to coordinate those
changes across multiple contributors.
•MATLAB is a scientific computing environment that includes a
programming language, libraries for performing specific tasks, a
development environment with a fully featured editor, debugger,
and interpreter, and many other features. It is widely used for data
analysis in neuroscience. Although it is not free, Dartmouth has a
site license that enables you to use it (download page). Python is
becoming increasingly popular, and is far more widely used than
MATLAB outside neuroscience. However, various toolboxes used
in the lab such as Chronux and FieldTrip are still MATLAB-only,
and MvdM is still a beginner in Python.
•Adobe Creative Suite is expensive, but produces superior docu-
ments. We use Illustrator to touch up and group together figure
panels for manuscripts based on raw output from MATLAB or
Graphviz, and to make posters. Photoshop is sometimes used to
process image files such as those from histology. Free alternatives
computing 35
such as Inkscape and GIMP exist, can do the job for simple docu-
ments, but I don’t (yet) recommend them for publication-quality
output.
•Graphviz produces schematics such as the one in Figure 7. Unlike
‘what-you-see-is-what-you-get” design software such as Photoshop
and Illustrator, the Graphviz tools create graphics from a plain text
source file. The source file contains a recipe for what the graphic
output should look like.
• L
A
T
EX. Unlike “what-you-see-is-what-you-get” content creation
programs such as Word, LaTeX creates documents from a plain
text source file. The source file contains instructions for what the
document should look like. Compared to Word, LaTeX does much
better with equations, produces more professional-looking docu-
ments29, and makes it much easier to maintain large documents. 29 Especially where typesetting features
such as spacing, kerning, and ligatures
are concerned.
Note that several of these require you to use the Command Line
(Terminal).
Operating Systems
Lab computers use Windows and/or Ubuntu Linux. There are a
few reasons for this: the data acquisition machines require Windows
(Neuralynx) or Windows/Linux (Open Ephys), and custom machine
builds are generally cheaper for PCs than for Apple Macs. Neverthe-
less, many lab members have Mac personal laptops that run OS X,
and most of the above software works fine on them. However, some
Neuralynx loaders only work on Windows, some codebase functions
have only been compiled to work on some OSes, and the lab only has
licenses for some software (Adobe) to work on Windows.
Data management
Data is valuable. After taking into account the number of hours
that went into training an animal, building a hyperdrive, preparing
for and performing surgery, painstakingly turning electrodes; animal
housing costs, costs of parts and consumables, and so on, the cost
of a single subject worth of data can run into tens of thousands of
dollars – and this is without the moral calculation of considering an
animal’s life. Data therefore needs to be treated with the greatest re-
spect: specifically, it needs to be managed so that it can be maximally
useful. The first requirement of data management is that data needs
to be available – i.e. backed up so that it can never be lost, and acces-
sible by those who need it. Our lab is committed to Open Science,
of which public data sharing is one component. Increasingly, jour-
nals and funders demand that data is made publicly available. The
second requirement of data management is that the data needs to be
organized such that it can be easily understood and used.
Before discussing how these two requirements – data storage
and data organization – are implemented in the lab, it is useful to
distinguish between different categories of data.
•Raw data is what gets saved on a data acquisition machine, such
as a running room computer connected to a Neuralynx record-
ing system, or a machine connected to a microscope. Depending
on the data you collect, a single session may yield many differ-
ent files, such as behavioral tracking data and neural recording
data, or a single file (an image). Raw data is only rarely suitable
for analysis beyond a few quick checks. At a minimum, freshly ac-
quired data sets typically must be annotated, and/or the files sys-
tematically renamed – for instance, with the ID of the experimental
subject and some information about recording locations – so that
the analyst can select which files to analyze, and combine results
across sessions and subjects. More complex pre-processing steps
include spike sorting (the process of assigning spike waveforms
38 mvdmlab manual
to putative single neurons to obtain their spike times), artefact
removal, and many others.
•Promoted data is data that is ready for analysis. Data files need
to be organized in a specific folder structure, named according
to the naming scheme, and supplied with annotations describing
the data. If applicable, various preprocessing steps may have been
carried out, for instance spike-sorting of raw voltage traces into
spike trains of putative single neurons, filtering of position data
to remove artifacts, and definition of trials on a behavioral tasks.
PDFs of handwritten notes and procedure logs, and images of his-
tology may also be included. A promoted data set typically does
not include the raw data. Promoted data should be sufficiently
well described and organized such that a competent reviewer or
collaborator can use it.
•InProcess data is data that is being worked on to move it from raw
to Promoted.
Data storage
Immediately after data is first acquired, do the following:
• Create and/or rename the new data folder according to the Lab
Data Naming Scheme.
• If applicable, compress any files that are large and compressible:
typical examples include Neuralynx .nvt (video tracking) files30.30 See section XXX for a quick primer on
data compression.
• Upload the data to the Incoming folder on the lab server. See sec-
tion XXX for instructions.
• Move the data out of the location where it is saved, into a folder
specific to your subject or experiment.
• Following completion of data collection from that subject or ex-
periment, verify that indeed all data is correct and present on the
server, and then delete it from the data acquisition machine.31 31 This is an important step, because
if there is no space available on a data
acquisition machine, we cannot acquire
more data!
The lab server uses a redundant data storage system that can
tolerate failure of a single hard drive without causing loss of data.
The contents of the datavault folder are periodically backed up to
“cold” offsite storage. However, it is good practive to also make your
own personal backup of your raw and promoted data. One good way
of doing this is to store that data on your desktop workstation, or
move it to an external HDD, just in case.
data management 39
Data promotion
What exactly is included in a promoted data set depends on the
specific experiment, but typical features include the following:
• Data should be organized and (re)named according to the lab Data
File Naming Scheme (link).
• Make sure raw and intermediate data files that are no longer
needed are removed.
•ExpKeys file.
• If applicable, task-specific metadata file(s).
• A description of the task/experiment.
• PDFs of relevant task notes and histology.
As you collect data, you should start drafting an example ExpKeys
file. Prior to starting data collection, you should have created a
protocol that describes the procedures used. You should use this
protocol as the basis for a description of the task/experiment.
Examples of nice promoted data with description include Alyssa’s
MotivationalT data (link) and Jimmie’s CueCoding data32.32 https://github.com/jgmaz/
vStrCueCoding
Data use cases
Some examples (“use cases”) that motivate careful data management
include:
• When analyzing your own data, you want to be able to easily
specify which subject(s) and session(s) you are working on.
• If you have a question that can be answered with someone else’s
data, you want to be able to “plug in” that data into your existing
workflow. When I (MvdM) joined the Redish lab, I ran a compar-
ison of dorsolateral striatum, ventral striatum, and hippocampus
data33. This was made possible through the use of a consistent 33 van der Meer et al. Neuron 2010
data formatting and annotation scheme.
• When publishing your work, it is the policy of the lab, and an
increasing number of journals and funders, that your data is made
publicly available. You want it to be easy to use and understand,
so that your colleagues are not annoyed with you and you don’t
have to answer their emails telling you things aren’t working.
40 mvdmlab manual
• Before you get to publishing, you will need to convince MvdM
of your results and conclusions. This likely invloves him running
your code on your data. That will only work if you’ve organized
your data correctly.
• MvdM is always working on applications to obtain research fund-
ing. Some of these applications, and the pilot data used to sup-
port them, are planned in advance; others are more spur-of-the-
moment, or even if planned, new insights can happen. Thus, there
is often a need to produce an analysis or figure in short order. This
is only possible, or at least made a lot easier, if the data is ready
for analysis..

Animal care and recordkeeping
Keeping detailed and accurate records on each of our animals is
an IACUC requirement (and indirectly a federal issue), as well as
scientifically important.
The main principles are that for any animal that is currently alive,
there must a binder (or a section in a binder) with that animal that
contains an up to date record of all procedures34 performed on that 34 What counts as a procedure: anything
beyond what’s required to change a
cage or weigh an animal. If in doubt,
log it anyway.
animal, as well as records of their weight.
Failure to log a procedure is a serious oversight that, if discovered, could have
real consequences, such as creating more work for everyone, or making our
IACUC renewals more painful. Don’t let it happen to you.
When performing invasive procedures (surgery) and when ad-
ministering drugs, CCMR requests that these are reported using a
special cage card35. Writing procedures on these cards is not suffi- 35 Picture of procedure cage card.
cient logging: you also need to log the procedure(s) in the animal’s
binder.
Once you euthanize and animal (or request it to be euthanized),
collect all weight and procedure logs, along with any additional
information (notes from behavior, for instance), scan them into a
single PDF36 and upload to the data vault. 36 The departmental copier/scanner is
great for this, you can feed it a pile of
documents and it can email you a PDF.
If you are working with animals, read the Animal Recordkeeping
Protocol (link), which provides detailed procedures for the above.
Animal ownership and responsibility
By default, CCMR staff will feed, water, and change cages for all our
animals. We pay them a per diem fee to do this.
By default, all animals receive ad lib37 food and water. 37 Ad libitem is the Latin phrase for,
literally, “to your libido”, i.e. as much as
desired. Incidentally, i.e. is Latin for id
est, “it is”.
42 mvdmlab manual
We can also request CCMR to feed rats 18g/day. This is a useful
amount that prevents rats from getting obese. To request this, use the
relevant cage card38.38 This one.
For any other food/water regimens, you’ll need to use the “Ex-
perimenter will feed/water” cage card. Doing so implies that the
experimenter listed takes ownership39 of that animal. 39 As the owner of an animal, you are
responsible for logging its weight
and all procedures. If the animal is
food and/or water-restricted, you are
responsible for supplying those things,
and logging that you have done so.
When animals first arrive, they are typically group-housed (multi-
ple animals per cage). They are named40 and start out with communal
40 Rats are named Rxxx, where xxx is
a3-digit counter that it incremented
with each new animal. Mice are named
Mxxx.
status. Communal animals do not have an owner yet. They are
weighed weekly by the Communal Animal Caretaker41. When com-
41 Note that to track weights of group-
housed animals, some kind of mark
needs to be used. The lab convention is
to write numbers 1,2,3etc. on the base
of the tail with a Sharpie. 1indicates
the animal with the lowest number.
Mouse tails are too small to write
numbers; stripes or rings can be used
instead.
munal animals are below 400g in weight, the Caretaker also handles
them weekly (about 5minutes per animal appears to be the sweet
spot, although you may want to take ownership of an animal that
will be implanted with a hyperdrive early on so that it can be han-
dled more). When communal animals reach 400g, the Caretaker
separates them into individual cages so that CCMR can feed them
18g/day.
These procedures are described in more detail in the Animal
Recordkeeping Protocol.
PBS and Dartmouth
Training required by Dartmouth
General lab safety training
Important people and contact info
PBS staff
CCMR
Dartmouth resources
Dick’s House
Graduate School
Postdoc Association
Workshops
Dartmouth design language and files
Beyond the lab
Resources on the internet
Industry vs. academia
Upper Valley
Appendix: Subject email format template
Subject line should read:
Appendix: Yearly evaluation forms
Graduate students
Staff