Revision 5 Pci Express 10
User Manual: Revision 5
Open the PDF directly: View PDF
.
Page Count: 416 [warning: Documents this large are best viewed by clicking the View PDF Link!]

PCI Express
Base Specification
Revision 1.0
April 29, 2002

REVISION REVISION HISTORY DATE
1.0 Initial release. 4/29/02
PCI-SIG disclaims all warranties and liability for the use of this document and the
information contained herein and assumes no responsibility for any errors that may appear
in this document, nor does PCI-SIG make a commitment to update the information
contained herein.
Contact the PCI-SIG office to obtain the latest revision of the specification.
Questions regarding the PCI Express Base Specification or membership in PCI-SIG may be
forwarded to:
Membership Services
www.pcisig.com
E-mail: administration@pcisig.com
Phone: 1-800-433-5177 (Domestic Only)
503-291-2569
Fax: 503-297-1090
Technical Support
techsupp@pcisig.com
DISCLAIMER
This draft Specification is being provided to you for review purposes pursuant to
Article 15.2 of the Bylaws of PCI-SIG. This draft Specification is subject to
amendment until it is officially adopted by the Board of Directors of PCI-SIG. The
Board of Directors may, at its discretion, initiate additional review periods, in which
case you will be notified of the same. Pursuant to Article 14 of the Bylaws, this draft
Specification is to be considered PCI-SIG Confidential until adopted by the Board of
Directors.
All product names are trademarks, registered trademarks, or servicemarks of their respective
owners.
Copyright © 2002 PCI-SIG
PCI EXPRESS BASE SPECIFICATION, REV 1.0
3
Contents
PREFACE........................................................................................................................17
OBJECTIVE OF THE SPECIFICATION.................................................................................18
DOCUMENT ORGANIZATION...........................................................................................18
DOCUMENTATION CONVENTIONS...................................................................................19
TERMS AND ABBREVIATIONS .........................................................................................20
REFERENCE DOCUMENTS ...............................................................................................25
1. INTRODUCTION...................................................................................................27
1.1. A THIRD GENERATION I/O INTERCONNECT .......................................................27
1.2. PCI EXPRESS LINK.............................................................................................29
1.3. PCI EXPRESS FABRIC TOPOLOGY ......................................................................30
1.3.1. Root Complex............................................................................................31
1.3.2. Endpoints...................................................................................................32
1.3.3. Switch ........................................................................................................33
1.3.4. PCI Express-PCI Bridge...........................................................................34
1.4. PCI EXPRESS FABRIC TOPOLOGY CONFIGURATION ...........................................34
1.5. PCI EXPRESS LAYERING OVERVIEW..................................................................35
1.5.1. Transaction Layer .....................................................................................36
1.5.2. Data Link Layer ........................................................................................36
1.5.3. Physical Layer...........................................................................................37
1.5.4. Layer Functions and Services ...................................................................37
1.6. ADVANCED PEER-TO-PEER COMMUNICATION OVERVIEW .................................41
2. TRANSACTION LAYER SPECIFICATION .....................................................43
2.1. TRANSACTION LAYER OVERVIEW......................................................................43
2.2. ADDRESS SPACES,TRANSACTION TYPES,AND USAGE ......................................44
2.2.1. Memory Transactions................................................................................44
2.2.2. I/O Transactions........................................................................................45
2.2.3. Configuration Transactions ......................................................................45
2.2.4. Message Transactions...............................................................................45
2.3. PACKET FORMAT OVERVIEW .............................................................................47
2.4. TRANSACTION DESCRIPTOR ...............................................................................48
2.4.1. Overview....................................................................................................48
2.4.2. Transaction Descriptor –Transaction ID Field ........................................48
2.4.3. Transaction Descriptor – Attributes Field................................................50
2.4.4. Transaction Descriptor – Traffic Class Field...........................................51
2.5. TRANSACTION ORDERING ..................................................................................52
2.6. VIRTUAL CHANNEL (VC) MECHANISM..............................................................56
2.6.1. Virtual Channel Identification (VC ID) ....................................................58
2.6.2. VC Support Options ..................................................................................58
2.6.3. TC to VC Mapping ....................................................................................59
PCI EXPRESS BASE SPECIFICATION, REV 1.0
4
2.6.4. VC and TC Rules....................................................................................... 60
2.7. TRANSACTION LAYER PROTOCOL -PACKET DEFINITION AND HANDLING .........61
2.7.1. Transaction Layer Packet Definition Rules ..............................................61
2.7.2. TLP Digest Rules.......................................................................................65
2.7.3. TLPs with Data Payloads - Rules .............................................................66
2.7.4. Requests.....................................................................................................67
2.7.5. Completions...............................................................................................76
2.7.6. Handling of Received TLPs.......................................................................78
2.8. MESSAGES..........................................................................................................88
2.8.1. Baseline Messages.....................................................................................88
2.8.2. Advanced Switching Support Message Group ..........................................98
2.9. ORDERING AND RECEIVE BUFFER FLOW CONTROL............................................99
2.9.1. Overview and Definitions..........................................................................99
2.9.2. Flow Control Rules .................................................................................100
2.10. DATA INTEGRITY .........................................................................................109
2.10.1. Introduction.............................................................................................109
2.10.2. ECRC Rules.............................................................................................109
2.11. ERROR FORWARDING ...................................................................................113
2.11.1. Error Forwarding Usage Model.............................................................113
2.11.2. Rules For Use of Data Poisoning ...........................................................114
2.12. COMPLETION TIMEOUT MECHANISM ...........................................................114
2.13. TRANSACTION LAYER BEHAVIOR IN DL_DOWN STATUS ............................115
2.14. TRANSACTION LAYER BEHAVIOR IN DL_UPSTATUS ..................................116
3. DATA LINK LAYER SPECIFICATION ..........................................................117
3.1. DATA LINK LAYER OVERVIEW ........................................................................117
3.2. DATA LINK CONTROL AND MANAGEMENT STATE MACHINE...........................119
3.2.1. Data Link Control and Management State Machine Rules.....................120
3.3. FLOW CONTROL INITIALIZATION PROTOCOL....................................................121
3.3.1. Flow Control Initialization State Machine Rules....................................123
3.4. DATA LINK LAYER PACKETS (DLLPS) ............................................................125
3.4.1. Data Link Layer Packet Rules.................................................................125
3.5. DATA INTEGRITY .............................................................................................130
3.5.1. Introduction.............................................................................................130
3.5.2. LCRC, Sequence Number, and Retry Management (TLP Transmitter)..130
3.5.3. LCRC and Sequence Number (TLP Receiver) ........................................142
4. PHYSICAL LAYER SPECIFICATION ............................................................149
4.1. INTRODUCTION.................................................................................................149
4.2. LOGICAL SUB-BLOCK................................................................................149
4.2.1. Symbol Encoding.....................................................................................150
4.2.2. Framing and Application of Symbols to Lanes.......................................153
4.2.3. Data Scrambling .....................................................................................156
4.2.4. Link Initialization and Training..............................................................157
4.2.5. Link Training and Status State Machine (LTSSM)........................................180
4.2.6. Link Training and Status State Descriptions...........................................183
4.2.7. Clock Tolerance Compensation ..............................................................195
PCI EXPRESS BASE SPECIFICATION, REV 1.0
5
4.2.8. Compliance Pattern.................................................................................197
4.3. ELECTRICAL SUB-BLOCK .................................................................................198
4.3.1. Electrical Sub-Block Requirements.........................................................198
4.3.2. Electrical Signal Specifications ..............................................................201
4.3.3. Differential Transmitter (Tx) Output Specifications...............................206
4.3.4. Differential Receiver (Rx) Input Specifications ......................................211
5. SOFTWARE INITIALIZATION AND CONFIGURATION ..........................215
5.1. CONFIGURATION TOPOLOGY............................................................................215
5.2. PCI EXPRESS CONFIGURATION MECHANISMS..................................................216
5.2.1. PCI 2.3 Compatible Configuration Mechanism......................................217
5.2.2. PCI Express Enhanced Configuration Mechanism.................................218
5.2.3. Root Complex Register Block..................................................................218
5.3. CONFIGURATION TRANSACTION RULES ...........................................................219
5.3.1. Device Number........................................................................................219
5.3.2. Configuration Transaction Addressing...................................................219
5.3.3. Configuration Request Routing Rules.....................................................220
5.3.4. Generating PCI Special Cycles using PCI Configuration Mechanism #1
221
5.4. CONFIGURATION REGISTER TYPES...................................................................221
5.5. PCI-COMPATIBLE CONFIGURATION REGISTERS...............................................222
5.5.1. Type 0/1 Common Configuration Space .................................................223
5.5.2. Type 0 Configuration Space Header.......................................................228
5.5.3. Type 1 Configuration Space Header.......................................................229
5.6. PCI POWER MANAGEMENT CAPABILITY STRUCTURE......................................232
5.7. MSI CAPABILITY STRUCTURE..........................................................................234
5.8. PCI EXPRESS CAPABILITY STRUCTURE............................................................234
5.8.1. PCI Express Capability List Register (Offset 00h) .................................235
5.8.2. PCI Express Capabilities Register (Offset 02h)......................................235
5.8.3. Device Capabilities Register (Offset 04h)...............................................237
5.8.4. Device Control Register (Offset 08h)......................................................241
5.8.5. Device Status Register (Offset 0Ah)........................................................244
5.8.6. Link Capabilities Register (Offset 0Ch)..................................................246
5.8.7. Link Control Register (Offset 10h)..........................................................248
5.8.8. Link Status Register (Offset 12h) ............................................................250
5.8.9. Slot Capabilities Register (Offset 14h)....................................................251
5.8.10. Slot Control Register (Offset 18h)...........................................................253
5.8.11. Slot Status Register (Offset 1Ah).............................................................255
5.8.12. Root Control Register (Offset 1Ch).........................................................256
5.8.13. Root Status Register (Offset 20h)............................................................257
5.9. PCI EXPRESS EXTENDED CAPABILITIES...........................................................258
5.9.1. Extended Capabilities in Configuration Space.......................................259
5.9.2. Extended Capabilities in the Root Complex Register Block ...................259
5.9.3. PCI Express Enhanced Capability Header.............................................259
5.10. ADVANCED ERROR REPORTING CAPABILITY ...............................................260
5.10.1. Advanced Error Reporting Enhanced Capability Header (Offset 00h)..261
5.10.2. Uncorrectable Error Status Register (Offset 04h)..................................262
PCI EXPRESS BASE SPECIFICATION, REV 1.0
6
5.10.3. Uncorrectable Error Mask Register (Offset 08h) ...................................263
5.10.4. Uncorrectable Error Severity Register (Offset 0Ch) ..............................264
5.10.5. Correctable Error Status Register (Offset 10h)...................................... 265
5.10.6. Correctable Error Mask (Offset 14h) ..................................................... 265
5.10.7. Advanced Error Capabilities and Control Register (Offset 18h) ...........266
5.10.8. Header Log Register (Offset 1Ch) ..........................................................267
5.10.9. Root Error Command Register (Offset 2Ch)...........................................268
5.10.10. Root Error Status Register (Offset 30h)..............................................269
5.10.11. Error Source Identification Register (Offset 34h)...............................270
5.11. VIRTUAL CHANNEL CAPABILITY..................................................................271
5.11.1. Virtual Channel Enhanced Capability Header.......................................272
5.11.2. Port VC Capability Register 1 ................................................................273
5.11.3. Port VC Capability Register 2 ................................................................275
5.11.4. Port VC Control Register........................................................................276
5.11.5. Port VC Status Register...........................................................................277
5.11.6. VC Resource Capability Register............................................................277
5.11.7. VC Resource Control Register ................................................................ 279
5.11.8. VC Resource Status Register...................................................................281
5.11.9. VC Arbitration Table...............................................................................282
5.11.10. Port Arbitration Table.........................................................................283
5.12. DEVICE SERIAL NUMBER CAPABILITY .........................................................285
5.12.1. Device Serial Number Enhanced Capability Header (Offset 00h) .........285
5.12.2. Serial Number Register (Offset 04h).......................................................286
5.13. POWER BUDGETING CAPABILITY .................................................................287
5.13.1. Power Budgeting Enhanced Capability Header (Offset 00h).................287
5.13.2. Data Select Register (Offset 04h)............................................................288
5.13.3. Data Register (Offset 08h) ......................................................................289
5.13.4. Power Budget Capability Register (Offset 0Ch).....................................291
6. POWER MANAGEMENT...................................................................................293
6.1. OVERVIEW .......................................................................................................293
6.1.1. Statement of Requirements......................................................................294
6.2. LINK STATE POWER MANAGEMENT.................................................................294
6.3. PCI-PM SOFTWARE COMPATIBLE MECHANISMS.............................................299
6.3.1. Device Power Management States (D-States) of a Function..................299
6.3.2. PM Software Control of the Link Power Management State..................302
6.3.3. Power Management Event Mechanisms .................................................307
6.4. NATIVE PCI EXPRESS POWER MANAGEMENT MECHANISMS ...........................316
6.4.1. Active-State Power Management ............................................................316
6.5. AUXILIARY POWER SUPPORT ...........................................................................332
6.5.1. Auxiliary Power Enabling.......................................................................332
6.6. POWER MANAGEMENT SYSTEM MESSAGES AND DLLPS.................................333
6.6.1. Power Management System Messages....................................................333
6.6.2. Power Management DLLPs .................................................................... 334
7. PCI EXPRESS SYSTEM ARCHITECTURE....................................................335
7.1. INTERRUPT SUPPORT ........................................................................................335
PCI EXPRESS BASE SPECIFICATION, REV 1.0
7
7.1.1. Rationale for PCI Express Interrupt Model............................................335
7.1.2. PCI Compatible INTx Emulation............................................................336
7.1.3. INTx Emulation Software Model.............................................................336
7.1.4. Message Signaled Interrupt (MSI) Support ............................................336
7.1.5. MSI Software Model................................................................................337
7.1.6. PME Support...........................................................................................337
7.1.7. PME Software Model ..............................................................................338
7.1.8. PME Routing Between PCI Express and PCI Hierarchies.....................338
7.2. ERROR SIGNALING AND LOGGING....................................................................338
7.2.1. Scope .......................................................................................................338
7.2.2. Error Classification ................................................................................339
7.2.3. Error Signaling .......................................................................................340
7.2.4. Error Logging .........................................................................................343
7.2.5. Error Listing and Rules...........................................................................344
7.2.6. Real and Virtual PCI Bridge Error Handling.........................................346
7.3. VIRTUAL CHANNEL SUPPORT...........................................................................347
7.3.1. Introduction and Scope ...........................................................................347
7.3.2. Supported TC/VC Configurations...........................................................348
7.3.3. VC Arbitration.........................................................................................350
7.3.4. Isochronous Support ...............................................................................356
7.4. DEVICE SYNCHRONIZATION STOP MECHANISM .............................................359
7.5. LOCKED TRANSACTIONS ..................................................................................360
7.5.1. Introduction.............................................................................................360
7.5.2. Initiation and Propagation of Locked Transactions - Rules...................360
7.5.3. Switches and Lock - Rules.......................................................................361
7.5.4. PCI Express/PCI Bridges and Lock - Rules............................................ 362
7.5.5. Root Complex and Lock - Rules ..............................................................362
7.5.6. Legacy Endpoints....................................................................................363
7.5.7. PCI Express Endpoints............................................................................363
7.6. PCI EXPRESS RESET -RULES............................................................................363
7.7. PCI EXPRESS NATIVE HOT PLUG SUPPORT......................................................366
7.7.1. PCI Express Hot Plug Usage Model.......................................................366
7.7.2. Event Behavior........................................................................................371
7.7.3. Registers Grouped by Device Association ..............................................371
7.7.4. Messages .................................................................................................376
7.7.5. PCI Express Hot Plug Interrupt/Wake Signal Logic ..............................377
7.7.6. The Operating System Hot Plug Method.................................................379
7.8. POWER BUDGETING CAPABILITY .....................................................................380
7.8.1. System Power Budgeting Process Recommendations.............................380
7.9. SLOT POWER LIMIT CONTROL..........................................................................381
A. ISOCHRONOUS APPLICATIONS AND SUPPORT ......................................383
A.1. INTRODUCTION.................................................................................................383
A.2. ISOCHRONOUS CONTRACT AND CONTRACT PARAMETERS ...............................385
A.2.1. Isochronous Time Period and Isochronous Virtual Timeslot .................386
A.2.2. Isochronous Payload Size .......................................................................386
A.2.3. Isochronous Bandwidth Allocation.........................................................387
PCI EXPRESS BASE SPECIFICATION, REV 1.0
8
A.2.4. Isochronous Transaction Latency...........................................................388
A.2.5. An Example Illustrating Isochronous Parameters..................................389
A.3. ISOCHRONOUS TRANSACTION RULES ...............................................................390
A.4. TRANSACTION ORDERING ................................................................................390
A.5. ISOCHRONOUS DATA COHERENCY ...................................................................390
A.6. FLOW CONTROL ...............................................................................................391
A.7. TOPOLOGY RESTRICTIONS................................................................................391
A.8. TRANSFER RELIABILITY ...................................................................................392
A.9. CONSIDERATIONS FOR BANDWIDTH ALLOCATION ...........................................393
A.9.1. Isochronous Bandwidth of PCI Express Links........................................393
A.9.2. Isochronous Bandwidth of Endpoint Devices ......................................... 394
A.9.3. Isochronous Bandwidth of Switches........................................................394
A.9.4. Isochronous Bandwidth of Root Complex...............................................394
A.10. CONSIDERATIONS FOR PCI EXPRESS COMPONENTS .....................................394
A.10.1. A PCI Express Endpoint Device as a Requester.....................................394
A.10.2. A PCI Express Endpoint Device as a Completer....................................395
A.10.3. Switches...................................................................................................396
A.10.4. Root Complex..........................................................................................397
B. SYMBOL ENCODING ........................................................................................399
C. PHYSICAL LAYER APPENDIX........................................................................409
C.1. DATA SCRAMBLING .........................................................................................409
PCI EXPRESS BASE SPECIFICATION, REV 1.0
9
Figures
FIGURE 1-1: PCI EXPRESS LINK........................................................................................29
FIGURE 1-2: EXAMPLE TOPOLOGY....................................................................................31
FIGURE 1-3: LOGICAL BLOCK DIAGRAM OF A SWITCH .....................................................33
FIGURE 1-4: HIGH-LEVEL LAYERING DIAGRAM ...............................................................35
FIGURE 1-5: PACKET FLOW THROUGH THE LAYERS .........................................................36
FIGURE 1-6: ADVANCED PEER-TO-PEER COMMUNICATION ..............................................41
FIGURE 2-1: LAYERING DIAGRAM HIGHLIGHTING THE TRANSACTION LAYER..................43
FIGURE 2-2: GENERIC TRANSACTION LAYER PACKET FORMAT........................................47
FIGURE 2-3: TRANSACTION DESCRIPTOR ..........................................................................48
FIGURE 2-4: TRANSACTION ID..........................................................................................48
FIGURE 2-5: ATTRIBUTES FIELD OF TRANSACTION DESCRIPTOR ......................................50
FIGURE 2-6: VIRTUAL CHANNEL CONCEPT –ANILLUSTRATION ......................................57
FIGURE 2-7: VIRTUAL CHANNEL CONCEPT –SWITCH INTERNALS (UPSTREAM FLOW).....57
FIGURE 2-8: ANEXAMPLE OF TC/VC CONFIGURATIONS..................................................60
FIGURE 2-9: REQUEST HEADER FORMAT FOR 32BADDRESSING OF MEMORY ..................68
FIGURE 2-10: REQUEST HEADER FORMAT FOR 64BADDRESSING OF MEMORY ................68
FIGURE 2-11: REQUEST HEADER FORMAT FOR I/O TRANSACTIONS..................................68
FIGURE 2-12: REQUEST HEADER FORMAT FOR CONFIGURATION TRANSACTIONS ............68
FIGURE 2-13: REQUEST HEADER FORMAT FOR MSG REQUEST .........................................69
FIGURE 2-14: REQUEST HEADER FORMAT FOR MSGDREQUEST ......................................69
FIGURE 2-15: REQUEST HEADER FORMAT FOR MSGAS REQUEST....................................69
FIGURE 2-16: REQUEST HEADER FORMAT FOR MSGASD REQUEST .................................69
FIGURE 2-17: COMPLETION HEADER FORMAT ..................................................................76
FIGURE 2-18: COMPLETER ID ...........................................................................................77
FIGURE 2-19: FLOWCHART FOR HANDLING OF RECEIVED TLPS.......................................79
FIGURE 2-20: FLOWCHART FOR SWITCH HANDLING OF TLPS...........................................80
FIGURE 2-21: FLOWCHART FOR HANDLING OF RECEIVED REQUEST .................................82
FIGURE 2-22: INTXCOLLAPSING IN A DUAL-HEADED BRIDGE ........................................92
FIGURE 2-23: PAYLOAD_DEFINED MESSAGE....................................................................96
FIGURE 2-24: RELATIONSHIP BETWEEN REQUESTER AND ULTIMATE COMPLETER ...........99
FIGURE 2-25: CALCULATION OF 32BECRC FOR TLP END TO END DATA INTEGRITY
PROTECTION.............................................................................................................112
FIGURE 3-1: LAYERING DIAGRAM HIGHLIGHTING THE DATA LINK LAYER ....................117
FIGURE 3-2: DATA LINK CONTROL AND MANAGEMENT STATE MACHINE......................119
FIGURE 3-3: FLOWCHART DIAGRAM OF FLOW CONTROL INITIALIZATION PROTOCOL ....122
FIGURE 3-4: DLLP TYPE AND CRC FIELDS....................................................................126
FIGURE 3-5: DATA LINK LAYER PACKET FORMAT FOR ACK AND NAK...........................127
FIGURE 3-6: DATA LINK LAYER PACKET FORMAT FOR INITFC1 ....................................127
FIGURE 3-7: DATA LINK LAYER PACKET FORMAT FOR INITFC2 ....................................127
FIGURE 3-8: DATA LINK LAYER PACKET FORMAT FOR UPDATEFC................................127
FIGURE 3-9: PM DATA LINK LAYER PACKET FORMAT...................................................127
FIGURE 3-10: VENDOR SPECIFIC DATA LINK LAYER PACKET FORMAT ..........................128
FIGURE 3-11: DIAGRAM OF CRC CALCULATION FOR DLLPS.........................................129
PCI EXPRESS BASE SPECIFICATION, REV 1.0
10
FIGURE 3-12: TLP WITH LCRC AND SEQUENCE NUMBER APPLIED...............................130
FIGURE 3-13: TLP FOLLOWING APPLICATION OF SEQUENCE NUMBER AND RESERVED BITS
.................................................................................................................................132
FIGURE 3-14: CALCULATION OF LCRC...........................................................................134
FIGURE 3-15: RECEIVED DLLP ERROR CHECK FLOWCHART..........................................139
FIGURE 3-16: ACK/NAK DLLP PROCESSING FLOWCHART .............................................140
FIGURE 3-17: RECEIVE DATA LINK LAYER HANDLING OF TLPS....................................145
FIGURE 4-1: HIGH LEVEL LAYERING DIAGRAM HIGHLIGHTING PHYSICAL LAYER.........149
FIGURE 4-2: CHARACTER TO SYMBOL MAPPING.............................................................150
FIGURE 4-3: BIT TRANSMISSION ORDER ON PHYSICAL LANES -X1EXAMPLE................151
FIGURE 4-4: BIT TRANSMISSION ORDER ON PHYSICAL LANES -X4EXAMPLE................151
FIGURE 4-5: TLP WITH FRAMING SYMBOLS APPLIED.....................................................154
FIGURE 4-6: DLLP WITH FRAMING SYMBOLS APPLIED ..................................................155
FIGURE 4-7: FRAMED TLP ONAX1LINK .......................................................................155
FIGURE 4-8: FRAMED TLP ONAX2LINK .......................................................................156
FIGURE 4-9: FRAMED TLP ONAX4LINK .......................................................................156
FIGURE 4-10: LFSR WITH SCRAMBLING POLYNOMIAL...................................................157
FIGURE 4-11: WIDTH NEGOTIATION,SIMPLIFIED STATE MACHINE,DOWNSTREAM
COMPONENT (PART 1)..............................................................................................170
FIGURE 4-12: WIDTH NEGOTIATION,SIMPLIFIED STATE MACHINE,DOWNSTREAM
COMPONENT (PART 2)..............................................................................................171
FIGURE 4-13: WIDTH NEGOTIATION,SIMPLIFIED STATE MACHINE,UPSTREAM
COMPONENT (PART 1)..............................................................................................172
FIGURE 4-14: WIDTH NEGOTIATION,SIMPLIFIED STATE MACHINE,UPSTREAM
COMPONENT (PART 2)..............................................................................................173
FIGURE 4-15: WIDTH NEGOTIATION EXAMPLE ...............................................................174
FIGURE 4-16: LINK WIDTH NEGOTIATION;STEPS 1,2.....................................................176
FIGURE 4-17: LINK WIDTH NEGOTIATION;STEPS 3, 4....................................................177
FIGURE 4-18: LINK WIDTH NEGOTIATION;STEPS 5, 6....................................................179
FIGURE 4-19: MAIN STATE DIAGRAM FOR LINK TRAINING AND STATUS STATE MACHINE
.................................................................................................................................183
FIGURE 4-20: DETECT SUB-STATE MACHINE..................................................................184
FIGURE 4-21: POLLING SUB-STATE MACHINE ................................................................186
FIGURE 4-22: CONFIGURATION SUB-STATE MACHINE....................................................188
FIGURE 4-23: RECOVERY SUB-STATE MACHINE..............................................................189
FIGURE 4-24: L0SSUB-STATE MACHINE .........................................................................191
FIGURE 4-25: L1 SUB-STATE MACHINE...........................................................................192
FIGURE 4-26: L2 SUB-STATE MACHINE..........................................................................193
FIGURE 4-27: LOOPBACK STATE MACHINE.....................................................................195
FIGURE 4-28: SAMPLE DIFFERENTIAL SIGNAL .................................................................202
FIGURE 4-29: SAMPLE TRANSMITTED WAVEFORM SHOWING -3.5 DBDE-EMPHASIS
AROUND A 0.5 V COMMON MODE...........................................................................203
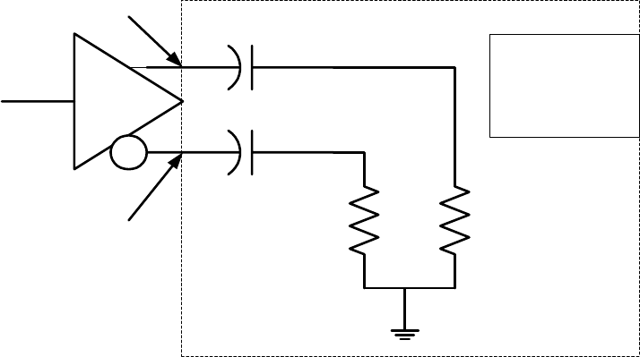
FIGURE 4-30: A 30 KHZBEACON SIGNALING THROUGH A 75 NFCAPACITOR.............205
FIGURE 4-31: BEACON, WHICH INCLUDES A 2NS PULSE THROUGH A 75 NFCAPACITOR
.................................................................................................................................205
PCI EXPRESS BASE SPECIFICATION, REV 1.0
11
FIGURE 4-32: MINIMUM TRANSMITTER TIMING AND VOLTAGE OUTPUT COMPLIANCE
SPECIFICATION .........................................................................................................209
FIGURE 4-33: COMPLIANCE TEST/MEASUREMENT LOAD................................................210
FIGURE 4-34: MINIMUM RECEIVER EYE TIMING AND VOLTAGE COMPLIANCE
SPECIFICATION .........................................................................................................214
FIGURE 5-1: PCI EXPRESS ROOT COMPLEX DEVICE MAPPING .......................................216
FIGURE 5-2: PCI EXPRESS SWITCH DEVICE MAPPING ...................................................216
FIGURE 5-3: PCI EXPRESS CONFIGURATION SPACE LAYOUT..........................................217
FIGURE 5-4: COMMON CONFIGURATION SPACE HEADER................................................223
FIGURE 5-5: TYPE 0CONFIGURATION SPACE HEADER....................................................228
FIGURE 5-6: TYPE 1CONFIGURATION SPACE HEADER....................................................229
FIGURE 5-7: PCI POWER MANAGEMENT CAPABILITY STRUCTURE.................................232
FIGURE 5-8: POWER MANAGEMENT CAPABILITIES .........................................................232
FIGURE 5-9: POWER MANAGEMENT STATUS/CONTROL..................................................233
FIGURE 5-10: PCI EXPRESS CAPABILITY STRUCTURE.....................................................234
FIGURE 5-11: PCI EXPRESS CAPABILITY LIST REGISTER................................................235
FIGURE 5-12: PCI EXPRESS CAPABILITIES REGISTER .....................................................235
FIGURE 5-13: DEVICE CAPABILITIES REGISTER ..............................................................237
FIGURE 5-14: DEVICE CONTROL REGISTER.....................................................................241
FIGURE 5-15: DEVICE STATUS REGISTER........................................................................244
FIGURE 5-16: LINK CAPABILITIES REGISTER...................................................................246
FIGURE 5-17: LINK CONTROL REGISTER.........................................................................248
FIGURE 5-18: LINK STATUS REGISTER............................................................................250
FIGURE 5-19: SLOT CAPABILITIES REGISTER ..................................................................251
FIGURE 5-20: SLOT CONTROL REGISTER.........................................................................253
FIGURE 5-21: SLOT STATUS REGISTER............................................................................255
FIGURE 5-22: ROOT CONTROL REGISTER........................................................................256
FIGURE 5-23: ROOT STATUS REGISTER...........................................................................257
FIGURE 5-24: PCI EXPRESS EXTENDED CONFIGURATION SPACE LAYOUT .....................258
FIGURE 5-25: PCI EXPRESS ENHANCED CAPABILITY HEADER .......................................259
FIGURE 5-26: PCI EXPRESS ADVANCED ERROR REPORTING EXTENDED CAPABILITY
STRUCTURE ..............................................................................................................260
FIGURE 5-27: ADVANCED ERROR REPORTING ENHANCED CAPABILITY HEADER ...........261
FIGURE 5-28: UNCORRECTABLE ERROR STATUS REGISTER ............................................262
FIGURE 5-29: UNCORRECTABLE ERROR MASK REGISTER...............................................263
FIGURE 5-30: UNCORRECTABLE ERROR SEVERITY REGISTER.........................................264
FIGURE 5-31: CORRECTABLE ERROR STATUS REGISTER.................................................265
FIGURE 5-32: CORRECTABLE ERROR MASK REGISTER ................................................... 265
FIGURE 5-33: ADVANCED ERROR CAPABILITIES AND CONTROL REGISTER ....................266
FIGURE 5-34: HEADER LOG REGISTER ............................................................................267
FIGURE 5-35: ROOT ERROR COMMAND REGISTER ..........................................................268
FIGURE 5-36: ROOT ERROR STATUS REGISTER ...............................................................269
FIGURE 5-37: ERROR SOURCE IDENTIFICATION REGISTER ..............................................270
FIGURE 5-38: PCI EXPRESS VIRTUAL CHANNEL CAPABILITY STRUCTURE.....................271
FIGURE 5-39: VIRTUAL CHANNEL ENHANCED CAPABILITY HEADER..............................272
FIGURE 5-40: PORT VC CAPABILITY REGISTER 1 ........................................................... 273
PCI EXPRESS BASE SPECIFICATION, REV 1.0
12
FIGURE 5-41: PORT VC CAPABILITY REGISTER 2 ........................................................... 275
FIGURE 5-42: PORT VC CONTROL REGISTER..................................................................276
FIGURE 5-43: PORT VC STATUS REGISTER.....................................................................277
FIGURE 5-44: VC RESOURCE CAPABILITY REGISTER .....................................................277
FIGURE 5-45: VC RESOURCE CONTROL REGISTER .........................................................279
FIGURE 5-46: VC RESOURCE STATUS REGISTER ............................................................281
FIGURE 5-47: STRUCTURE OF AN EXAMPLE VC ARBITRATION TABLE WITH 32-PHASES.283
FIGURE 5-48: EXAMPLE PORT ARBITRATION TABLE WITH 128 PHASES AND 2-BIT TABLE
ENTRIES ...................................................................................................................284
FIGURE 5-49: PCI EXPRESS DEVICE SERIAL NUMBER CAPABILITY STRUCTURE ............285
FIGURE 5-50: DEVICE SERIAL NUMBER ENHANCED CAPABILITY HEADER .....................285
FIGURE 5-51: SERIAL NUMBER REGISTER.......................................................................286
FIGURE 5-52: PCI EXPRESS POWER BUDGETING CAPABILITY STRUCTURE ....................287
FIGURE 5-53: POWER BUDGETING ENHANCED CAPABILITY HEADER .............................287
FIGURE 5-54: POWER BUDGETING DATA REGISTER........................................................289
FIGURE 5-55: POWER BUDGET CAPABILITY REGISTER ...................................................291
FIGURE 6-1: LINK POWER MANAGEMENT STATE TRANSITIONS......................................297
FIGURE 6-2: ENTRY INTO L1 LINK STATE.......................................................................303
FIGURE 6-3: EXIT FROM L1 LINK STATE INITIATED BY UPSTREAM COMPONENT............306
FIGURE 6-4: A CONCEPTUAL PME CONTROL STATE MACHINE .....................................313
FIGURE 6-5: L1 TRANSITION SEQUENCE ENDINGWITHAREJECTION .............................324
FIGURE 6-6: L1 SUCCESSFUL TRANSITION SEQUENCE....................................................324
FIGURE 6-7: EXAMPLE OF L1 EXIT LATENCY COMPUTATION .........................................326
FIGURE 6-8: EXAMPLE OF PME MESSAGE ADDRESSING IN A PCI EXPRESS-TO-PCI
BRIDGE ....................................................................................................................334
FIGURE 7-1: ERROR CLASSIFICATION..............................................................................339
FIGURE 7-2: ANEXAMPLE OF SYMMETRICAL TC TO VC MAPPING................................349
FIGURE 7-3: ANEXAMPLE OF ASYMMETRICAL TC TO VC MAPPING .............................350
FIGURE 7-4: ANEXAMPLE OF TRAFFIC FLOW ILLUSTRATING INGRESS AND EGRESS.......351
FIGURE 7-5: ANEXAMPLE OF DIFFERENTIATED TRAFFIC FLOW THROUGH A SWITCH....351
FIGURE 7-6: SWITCH ARBITRATION STRUCTURE.............................................................352
FIGURE 7-7: VC ID AND PRIORITY ORDER –ANEXAMPLE............................................354
FIGURE 7-8: HOT PLUG LOGIC ........................................................................................378
FIGURE A-1: ANEXAMPLE SHOWING ENDPOINT-TO-ROOT-COMPLEX AND PEER-TO-PEER
COMMUNICATION MODELS ......................................................................................384
FIGURE A-2: TWO BASIC BANDWIDTH RESOURCING PROBLEMS:OVER-SUBSCRIPTION
AND CONGESTION ....................................................................................................385
FIGURE A-3: A SIMPLIFIED EXAMPLE ILLUSTRATING PCI EXPRESS ISOCHRONOUS
PARAMETERS ...........................................................................................................389
FIGURE A-4: ANEXAMPLE OF PCI EXPRESS TOPOLOGY SUPPORTING ISOCHRONOUS
APPLICATIONS..........................................................................................................392
FIGURE C-1: SCRAMBLING SPECTRUM FOR DATA VALUE OF 0.......................................415
PCI EXPRESS BASE SPECIFICATION, REV 1.0
13
Tables
TABLE 2-1: TRANSACTION TYPES FOR DIFFERENT ADDRESS SPACES...............................44
TABLE 2-2: ORDERING ATTRIBUTES .................................................................................51
TABLE 2-3: CACHE COHERENCY MANAGEMENT ATTRIBUTE ...........................................51
TABLE 2-4 DEFINITION OF TC FIELD ENCODINGS .............................................................52
TABLE 2-5: ORDERING RULES SUMMARY TABLE .............................................................53
TABLE 2-6: TC TO VC MAPPING EXAMPLE ......................................................................59
TABLE 2-7: TD AND EP FIELD VALUES............................................................................63
TABLE 2-8: FMT[1:0] AND TYPE[4:0] FIELD ENCODINGS .................................................63
TABLE 2-9: MESSAGE ROUTING........................................................................................65
TABLE 2-10: MSG CODES..................................................................................................73
TABLE 2-11: MSGDCODES ..............................................................................................76
TABLE 2-12: SWITCH MAPPING FOR INTX........................................................................91
TABLE 2-13: POWER MANAGEMENT SYSTEM MESSAGES .................................................93
TABLE 2-14: ERROR MESSAGES........................................................................................94
TABLE 2-15: HOT PLUG SIGNALING MESSAGES................................................................97
TABLE 2-16: FLOW CONTROL CREDIT TYPES .................................................................100
TABLE 2-17: TLP FLOW CONTROL CREDIT CONSUMPTION ............................................101
TABLE 2-18: MINIMUM FLOW CONTROL ADVERTISEMENTS...........................................102
TABLE 2-19: UPDATEFC TRANSMISSION LATENCY GUIDELINES BY LINK WIDTH AND
MAX PAYLOAD (SYMBOL TIMES) ............................................................................108
TABLE 2-20: MAPPING OF BITS INTO ECRC FIELD.........................................................110
TABLE 3-1: DLLP TYPE ENCODINGS.............................................................................125
TABLE 3-2: MAPPING OF BITS INTO CRC FIELD .............................................................129
TABLE 3-3: MAPPING OF BITS INTO LCRC FIELD...........................................................133
TABLE 3-4: REPLAY_TIMER LIMITS BY LINK WIDTH AND MAX_PAYLOAD_SIZE
(SYMBOL TIMES)TOLERANCE: -0% / +100%..........................................................136
TABLE 3-5: ACK TRANSMISSION LATENCY LIMIT AND ACKFACTOR BY LINK WIDTH AND
MAX PAYLOAD (SYMBOL TIMES) ............................................................................147
TABLE 4-1: SPECIAL SYMBOLS .......................................................................................152
TABLE 4-2: TS1 ORDERED-SET ......................................................................................159
TABLE 4-3: TS2 ORDERED-SET ......................................................................................160
TABLE 4-4: DIFFERENTIAL TRANSMITTER (TX)OUTPUT SPECIFICATIONS......................206
TABLE 4-5: DIFFERENTIAL RECEIVER (RX)INPUT SPECIFICATIONS.................................211
TABLE 5-1: CONFIGURATION ADDRESS MAPPING...........................................................218
TABLE 5-2: REGISTER (AND REGISTER BIT-FIELD)TYPES ..............................................221
TABLE 5-3: COMMAND REGISTER ...................................................................................224
TABLE 5-4: STATUS REGISTER ........................................................................................225
TABLE 5-5: SECONDARY STATUS REGISTER ...................................................................230
TABLE 5-6: BRIDGE CONTROL REGISTER........................................................................231
TABLE 5-7: POWER MANAGEMENT CAPABILITIES ..........................................................232
TABLE 5-8: POWER MANAGEMENT STATUS/CONTROL ...................................................233
TABLE 5-9: PCI EXPRESS CAPABILITY LIST REGISTER ...................................................235
TABLE 5-10: PCI EXPRESS CAPABILITIES REGISTER ......................................................236
PCI EXPRESS BASE SPECIFICATION, REV 1.0
14
TABLE 5-11: DEVICE CAPABILITIES REGISTER................................................................237
TABLE 5-12: DEVICE CONTROL REGISTER......................................................................241
TABLE 5-13: DEVICE STATUS REGISTER .........................................................................245
TABLE 5-14: LINK CAPABILITIES REGISTER....................................................................246
TABLE 5-15: LINK CONTROL REGISTER ..........................................................................248
TABLE 5-16: LINK STATUS REGISTER .............................................................................250
TABLE 5-17: SLOT CAPABILITIES REGISTER ...................................................................251
TABLE 5-18: SLOT CONTROL REGISTER..........................................................................253
TABLE 5-19: SLOT STATUS REGISTER.............................................................................255
TABLE 5-20: ROOT CONTROL REGISTER .........................................................................257
TABLE 5-21: ROOT STATUS REGISTER ............................................................................258
TABLE 5-22: PCI EXPRESS ENHANCED CAPABILITY HEADER ........................................259
TABLE 5-23: ADVANCED ERROR REPORTING ENHANCED CAPABILITY HEADER ............261
TABLE 5-24: UNCORRECTABLE ERROR STATUS REGISTER .............................................262
TABLE 5-25: UNCORRECTABLE ERROR MASK REGISTER................................................263
TABLE 5-26: UNCORRECTABLE ERROR SEVERITY REGISTER ..........................................264
TABLE 5-27: CORRECTABLE ERROR STATUS REGISTER..................................................265
TABLE 5-28: CORRECTABLE ERROR MASK REGISTER ....................................................266
TABLE 5-29: ADVANCED ERROR CAPABILITIES REGISTER..............................................266
TABLE 5-30: HEADER LOG REGISTER .............................................................................267
TABLE 5-31: ROOT ERROR COMMAND REGISTER ...........................................................268
TABLE 5-32: ROOT ERROR STATUS REGISTER ................................................................269
TABLE 5-33: ERROR SOURCE IDENTIFICATION REGISTER ...............................................270
TABLE 5-34: VIRTUAL CHANNEL ENHANCED CAPABILITY HEADER...............................272
TABLE 5-35: PORT VC CAPABILITY REGISTER 1 ............................................................273
TABLE 5-36: PORT VC CAPABILITY REGISTER 2.............................................................275
TABLE 5-37: PORT VC CONTROL REGISTER ...................................................................276
TABLE 5-38: PORT VC STATUS REGISTER ......................................................................277
TABLE 5-39: VC RESOURCE CAPABILITY REGISTER.......................................................278
TABLE 5-40: VC RESOURCE CONTROL REGISTER ..........................................................279
TABLE 5-41: VC RESOURCE STATUS REGISTER .............................................................282
TABLE 5-42: DEFINITION OF THE 4-BIT ENTRIES IN THE VC ARBITRATION TABLE .........283
TABLE 5-43 LENGTH OF THE VC ARBITRATION TABLE...................................................283
TABLE 5-44: LENGTH OF PORT ARBITRATION TABLE .....................................................284
TABLE 5-45: DEVICE SERIAL NUMBER ENHANCED CAPABILITY HEADER ......................285
TABLE 5-46: SERIAL NUMBER REGISTER........................................................................286
TABLE 5-47: POWER BUDGETING ENHANCED CAPABILITY HEADER ..............................288
TABLE 5-48: POWER BUDGETING DATA REGISTER.........................................................289
TABLE 5-49: POWER BUDGET CAPABILITY REGISTER ....................................................291
TABLE 6-1: SUMMARY OF PCI EXPRESS LINK POWER MANAGEMENT STATES...............298
TABLE 6-2: RELATION BETWEEN POWER MANAGEMENT STATES OF LINK AND
COMPONENTS...........................................................................................................302
TABLE 6-3: ENCODING OF THE ACTIVE STATE LINK PM SUPPORT FIELD.......................327
TABLE 6-4: DESCRIPTION OF THE SLOT CLOCK CONFIGURATION FIELD .........................327
TABLE 6-5: DESCRIPTION OF THE COMMON CLOCK CONFIGURATION FIELD ..................328
TABLE 6-6: ENCODING OF THE L0SEXIT LATENCY FIELD ..............................................328
PCI EXPRESS BASE SPECIFICATION, REV 1.0
15
TABLE 6-7: ENCODING OF THE L1 EXIT LATENCY FIELD................................................329
TABLE 6-8: ENCODING OF THE ENDPOINT L0SACCEPTABLE LATENCY FIELD................329
TABLE 6-9: ENCODING OF THE ENDPOINT L1 ACCEPTABLE LATENCY FIELD .................330
TABLE 6-10: ENCODING OF THE ACTIVE STATE LINK PM CONTROL FIELD....................330
TABLE 6-11: POWER MANAGEMENT SYSTEM MESSAGES AND DLLPS...........................333
TABLE 7-1: ERROR MESSAGES........................................................................................341
TABLE 7-2: PHYSICAL LAYER ERROR LIST .....................................................................344
TABLE 7-3: DATA LINK LAYER ERROR LIST ...................................................................344
TABLE 7-4: TRANSACTION LAYER ERROR LIST ..............................................................345
TABLE 7-5: ELEMENTS OF THE STANDARD USAGE MODEL.............................................367
TABLE 7-6: ATTENTION INDICATOR STATES ...................................................................368
TABLE 7-7: POWER INDICATOR STATES ..........................................................................369
TABLE 7-8: EVENT BEHAVIOR ........................................................................................371
TABLE A-1: ISOCHRONOUS BANDWIDTH RANGES AND GRANULARITIES ........................387
TABLE A-2: MAXIMUM NUMBER OF VIRTUAL TIMESLOTS ALLOWED FOR DIFFERENT PCI
EXPRESS LINKS AT 2.5 GHZ.....................................................................................393
TABLE B-1: 8B/10BDATA SYMBOL CODES.....................................................................399
TABLE B-2: 8B/10BSPECIAL CHARACTER SYMBOL CODES ............................................407
PCI EXPRESS BASE SPECIFICATION, REV 1.0
16
PCI EXPRESS BASE SPECIFICATION, REV. 1.0
17
Preface
Traditional multi-drop, parallel bus technology is approaching its practical performance
limits. It is clear that balancing system performance requires I/O bandwidth to scale with
processing and application demands. There is an industry mandate to re-engineer I/O
connectivity within cost constraints. PCI Express comprehends the many I/O requirements
presented across the spectrum of computing and communications platforms, and rolls them
into a common scalable and extensible I/O industry specification. Alongside these
increasing performance demands, the enterprise server and communications markets have
the need for improved reliability, security, and quality of service guarantees. This
specification will therefore be applicable to multiple market segments.
Technology advances in high-speed, point-to-point interconnects enable us to break away
from the bandwidth limitations of multi-drop, parallel buses. The PCI Express basic
physical layer consists of a differential transmit pair and a differential receive pair. Dual
simplex data on these point-to-point connections is self-clocked and its bandwidth increases
linearly with interconnect width and frequency. PCI Express takes an additional step of
including a message space within its bus protocol that is used to implement legacy “side-
band” signals. This further reduction of signal pins produces a very low pin count
connection for components and adapters. The PCI Express Transaction, Data Link, and
Physical Layers are optimized for chip-to-chip and board-to-board interconnect applications.
An inherent limitation of today’s PCI-based platforms is the lack of support for isochronous
data delivery, an attribute that is especially important to streaming media applications. To
enable these emerging applications, PCI Express adds a virtual channel mechanism. In
addition to use for support of isochronous traffic, the virtual channel mechanism provides
an infrastructure for future extensions in supporting new applications. By adhering to the
PCI Software Model, today’s applications are easily migrated even as emerging applications
are enabled.
Key PCI Express architectural attributes include:
• Continuation of the PCI Software Model
• Serial, differential, low-voltage signaling
• Layered architecture enabling physical layer attachment to copper, optical, or
emerging physical signaling media
• Predictable, low latency suitable for applications requiring isochronous data delivery
• Robust data integrity and error handling in support of highly reliable systems
• Embedded clocking scheme using 8 bit/10 bit encoding
• High bandwidth per pin
• Bandwidth scalability through Lane width and frequency
• Hot attach and detach capability
• Aggressive power management capabilities
PCI EXPRESS BASE SPECIFICATION, REV. 1.0
18
Objective of the Specification
This specification describes the PCI Express architecture, interconnect attributes, bus
management, and the programming interface required to design and build systems and
peripherals that are compliant with the PCI Express specification.
The goal is to enable such devices from different vendors to inter-operate in an open
architecture. The specification is intended as an enhancement to the PCI architecture
spanning multiple market segments; Clients (Desktops and Mobile), Servers (Standard and
Enterprise), Embedded and Communication devices. The specification allows system OEMs
and peripheral developers adequate room for product versatility and market differentiation
without the burden of carrying obsolete interfaces or losing compatibility.
Document Organization
The PCI Express specification is organized as a Base Specification and a set of companion
documents. At this time, the PCI Express Base Specification and the PCI Express Card
Electromechanical Specification are being published. As the PCI Express definition evolves,
other companion documents will be published.
The PCI Express Base Specification contains the technical details of the architecture,
protocol, Link layer, physical layer, and software interface. The PCI Express Base
Specification is applicable to all.
The PCI Express Card Electromechanical Specification focuses on information necessary to
implementing an evolutionary strategy with the current PCI desktop/server mechanicals as
well as electricals. The mechanical chapters of the specification contains definition of
evolutionary PCI Express card edge connectors while the electrical chapters cover auxiliary
signals, power delivery, and add-in card interconnect electrical budget.
PCI EXPRESS BASE SPECIFICATION, REV. 1.0
19
Documentation Conventions
Capitalization
Some terms are capitalized to distinguish their definition in the context of this document
from their common English meaning. Words not capitalized have their common English
meaning. When terms such as “memory write” or “memory read” appear completely in
lower case, they include all transactions of that type.
Register names and the names of fields and bits in registers and headers are presented with
the first letter capitalized and the remainder in lower case.
Numbers and Number Bases
Hexadecimal numbers are written with a lower case “h” suffix, e.g., 0FFFFh and 80h.
Hexadecimal numbers larger than four digits are represented with a space dividing each
group of four digits, as in 1E FFFF FFFFh. Binary numbers are written with a lower case
“b” suffix, e.g., 1001b and 10b. Binary numbers larger than four digits are written with a
space dividing each group of four digits, as in 1000 0101 0010b.
All other numbers are decimal.
Reference Information
Reference information is provided in various places to assist the reader and does not
represent a requirement of this document. Such references are indicated by the abbreviation
“(ref).” For example, in some places, a clock that is specified to have a minimum period of
400 ps also includes the reference information maximum clock frequency of “2.5 GHz
(ref).” Requirements of other specifications also appear in various places throughout this
document and are marked as reference information. Every effort has been made to
guarantee that this information accurately reflects the referenced document; however, in case
of a discrepancy, the original document takes precedence.
Implementation Notes
Implementation Notes should not be considered to be part of this specification. They are
included for clarification and illustration only. Implementation Notes within this document
are enclosed in a box and set apart from other text.

PCI EXPRESS BASE SPECIFICATION, REV. 1.0
20
Terms and Abbreviations
8b/10b The data encoding scheme1used in the PCI Express Physical Layer.
Advertise (Credits) The term Advertise is used in the context of Flow Control to refer to the
act of a Receiver sending information regarding its Flow Control Credit
availability by using a Flow Control Update Message.
asserted The active logical state of a conceptual or actual signal.
attribute Transaction handling preferences indicated by specified Packet header
bits and fields (for example, non-snoop).
core features A set of required features that must be supported by a device for it to be
considered compliant to the PCI Express Specification.
Beacon 30 kHz–500 MHz signal used to exit L2.
Bridge A device which virtually or actually connects a PCI/PCI-X segment or
PCI Express Port with an internal component interconnect or another
PCI/PCI-X segment or PCI Express Port. A Bridge must include a
software configuration interface as described in this document.
x8 Refers to a Link or Port with eight Physical Lanes.
x1 Refers to a Link or Port with one Physical Lane.
xN Refers to a Link with “N” Physical Lanes.
Character An 8 bit quantity treated as an atomic entity; a Byte.
cold reset A “Power Good Reset” following the application of power.
Completer The logical device addressed by a Request.
Completer ID The combination of a Completer's Bus Number, Device Number, and
Function Number which uniquely identifies the Completer of the Request.
Completion A Packet used to terminate, or to partially terminate, a Sequence is
referred to as a Completion.ACompletion always corresponds to a
preceding Request,and in some cases includes data.
Configuration Space One of the four address spaces within the PCI Express architecture.
Packets with a Configuration Space address are used to configure a
device.
conventional PCI Protocol conforming to the PCI Local Bus Specification, Rev. 2.3.
component A physical device (a single package).
Data Link Layer The intermediate layer of the PCI Express architecture that sits between
the Transaction Layer and the Physical Layer.
DLLP or
Data Link Layer Packet Packet generated in the Data Link Layer to support Link management
functions.
1IBM Journal of Research and Development, Vol 27, #5, Sept 1983 “A DC-Balanced, Partitioned-Block
8B/10B Transmission Code” by Widmer and Franaszek.
PCI EXPRESS BASE SPECIFICATION, REV. 1.0
21
Data Payload Some Packets include information following the header that is destined
for consumption by the logical device receiving the Packet (for example,
Write Requests or Read Completions). This information is called a Data
Payload.
deasserted The term deasserted refers to the inactive logical state of a conceptual or
actual signal.
device A logical device, corresponding to a PCI device configuration space.
May be used to refer to either a single or multi-function device.
Downstream Downstream refers either to the relative position of an
interconnect/system element (Link/device) as something that is farther
from the Root Complex, or to a direction of information flow, i.e., when
information is flowing away from the Root Complex. The Ports on a
Switch which are not the Upstream Port are Downstream Ports. All Ports
on a Root Complex are Downstream Ports. The Downstream
component on a Link is the component farther from the Root Complex.
DFT Acronym for Design for Testability.
DWORD, DW Four bytes of data on a naturally aligned four-byte boundary (i.e., the
least significant two bits of the address are 00b).
egress Refers to direction. Means outgoing, i.e., transmitting direction.
Egress Port Transmitting port, i.e., the port that sends outgoing traffic. Typically used
as a reference to the role that port of the Switch has in the context of a
transaction or more broadly in the context of traffic flow.
Electrical Idle State of the output driver where both lines, D+ and D-, are driven to the
DC common mode voltage.
Electrical Idle Exit When a receiver currently in Electrical Idle detects a signal at its input
port.
Endpoint A PCI Express device with a Type 00h Configuration Space header.
Error Recovery,
Error Detection Refers to the mechanisms for ensuring integrity of data transfer,
including the management of the transmit side retry buffer(s).
Flow Control A method for communicating receive buffer information from a Receiver
to a Transmitter to prevent receive buffer overflow and allow Transmitter
compliance with ordering rules.
FCP or
Flow Control Packet DLLP used to send Flow Control information from the Transaction Layer
in one component to the Transaction Layer in another component.
function A logical function corresponding to a PCI function configuration space.
May be used to refer to one function of a multi-function device, or to the
only function in a single-function device.
header A set of fields that appear at the front of a Packet that contain the
information required to determine the characteristics and purpose of the
Packet.
Hierarchy The Hierarchy defines the I/O interconnect topology supported by the
PCI Express Architecture.
PCI EXPRESS BASE SPECIFICATION, REV. 1.0
22
Hierarchy Domain A PCI Express Hierarchy is segmented into multiple fragments by the
Root Complex that sources more than one PCI Express interface. These
sub-hierarchies are called Hierarchy Domains.
Host Bridge A Host Bridge is a part of a Root Complex which connects a host CPU or
CPUs to a PCI Express Hierarchy.
hot reset A reset propagated in-band across a Link using a Physical Layer
Mechanism.
ingress Refers to direction. Means incoming, i.e., receiving direction.
Ingress Port Receiving port, i.e., the port that accepts incoming traffic. Typically used
as a reference to the role that port of the Switch has in the context of a
transaction or more broadly in the context of traffic flow.
I/O Space One of the four address spaces of the PCI Express architecture.
Identical to the I/O space defined in PCI.
isochronous Refers to data associated with time-sensitive applications, such as audio
or video applications.
invariant An invariant field of a TLP Header contains a value which cannot legally
be modified as the TLP flows through the PCI Express fabric.
Lane A set of differential signal pairs, one pair for transmission and one pair
for reception. A by-N Link is composed of N Lanes.
Layer Unit of distinction applied to the PCI Express Specification to clarify the
behavior of key elements of the interface. The use of the term Layer is
not intended to imply a specific implementation.
Link A dual-simplex communications path between two components. The
collection of two Ports and their interconnecting Lanes.
LinkUp Status from the Physical layer to the Link layer indicating both ends of
the Link are connected.
Logical Bus The logical connection among a collection of devices that have the same
bus number in Configuration Space.
logical device An element of a PCI Express system that responds to a unique device
number in Configuration Space. As for physical devices in PCI 2.3,
logical devices either include a single function or are multi-function
devices. Furthermore, the term “logical device” is often used when
describing requirements that apply individually to all functions within the
logical device. Unless otherwise specified, logical device requirements
in this specification apply to single function logical devices and to each
function individually of a multi-function logical device.
Logical Idle A period of one or more symbol times when no information: TLPs,
DLLPs, or any special symbol is being transmitted or received. Unlike
electrical idle, during logical idle the idle character is being transmitted
and received.
Malformed Packet A TLP which violates TLP formation rules.
Memory Space One of the four address spaces of the PCI Express architecture.
Identical to the memory space defined in PCI.
Message A Packet with a Message Space type.
PCI EXPRESS BASE SPECIFICATION, REV. 1.0
23
Message Signaled
Interrupt, MSI An optional feature that enables a device to request service by writing a
system-specified DW of data to a system-specified address using a
Memory Write semantic Request.
Message Space One of the four address spaces of the PCI Express architecture.
naturally aligned Used in reference to a data payload which is some power of two in
length (L), indicates that the starting address of the data payload equals
an integer multiple of L.
Packet A fundamental unit of information transfer consisting of a header that, in
some cases, is followed by a Data Payload.
PCI bus The PCI Local Bus, as specified in the PCI 2.3 and PCI-X 1.0a
specifications.
PCI Software Model The software model necessary to initialize, discover, configure, and use
PCI device, as specified in PCI 2.3, PCI-X 1.0a, and PCI BIOS
specifications.
Phantom Function
Number, PFN An unclaimed function number that may be used to expand the number
of outstanding transaction identifiers by logically combining the PFN with
the Tag identifier to create a unique transaction identification tuple.
Physical Lane See Lane.
Physical Layer The layer of the PCI Express architecture that directly interacts with the
communication medium between the two components.
Port In a logical sense, an interface associated with a component, between
that component and a PCI Express Link. In physical terms, a group of
transmitters and receivers physically located on the same chip that
define a Link.
PPM Parts per Million – Applied to frequency, this is the difference, in
millionths of a Hertz, between some stated ideal frequency, and the
measured long-term average of a frequency.
QWORD, QW Sixty-four bits (eight bytes) of data on a naturally aligned eight-byte
boundary (i.e., the least significant three bits of the address are 000b).
Receiver The component receiving Packet information across a Link.
Receiving Port A Port on which a Packet is received.
reserved The contents, states, or information are not defined at this time. Using
any reserved area (for example, packet header bit-fields, configuration
register bits) in the PCI Express Specification is not permitted. Any use
of the reserved areas of the PCI Express Specification will result in a
product that is not PCI Express-compliant. The functionality of any such
product cannot be guaranteed in this or any future revision of the PCI
Express Specification.
Request A Packet used to initiate a Sequence is referred to as a Request.A
Request includes some operation code, and, in some cases, it includes
address and length, data, or other information.
Requester A logical device that first introduces a Sequence into the PCI Express
domain.
PCI EXPRESS BASE SPECIFICATION, REV. 1.0
24
Requester ID The combination of a Requester's Bus Number, Device Number, and
Function Number that uniquely identifies the Requester. In most cases,
a PCI Express bridge or Switch forwards Requests from one interface to
another without modifying the Requester ID. A bridge from a bus other
than PCI Express (including a PCI bus operating in conventional mode)
must store the Requester ID for use when creating a Completion for the
Request.
Root Complex An entity that includes a Host Bridge and one or more Root Ports.
Root Port A PCI Express Port, on a Root Complex, that maps a portion of the PCI
Express interconnect Hierarchy through an associated virtual PCI-PCI
Bridge.
Sequence A single Request and zero or more Completions associated with carrying
out a single logical transfer by a Requester.
Standard Hot-Plug
Controller (SHPC) A PCI hot-plug controller compliant with SHPC 1.0.
Split Transaction A single logical transfer containing an initial transaction (the Split
Request) that the target (the completer or a bridge) terminates with Split
Response, followed by one or more transactions (the Split Completions)
initiated by the completer (or bridge) to send the read data (if a read) or a
completion message back to the requester.
Switch A Switch connects two or more Ports to allow Packets to be routed from
one Port to another. To configuration software, a Switch presents the
appearance of an assemblage of PCI-to-PCI Bridges.
Symbol A 10 bit quantity produced as the result of 8b/10b encoding.
Symbol Time The period of time required to place a Symbol on a Lane (ten times the
Unit Interval).
Tag A number assigned to a given Non-posted Request to distinguish
Completions for that Request from other Requests.
TBD To be defined by PCI-SIG.
Transaction Descriptor An element of a Packet header that, in addition to Address, Length, and
Type, describes the properties of the Transaction.
TLP or
Transaction Layer Packet
A Packet generated in the Transaction Layer to convey a Request or
Completion.
Transaction Layer The outermost layer of the PCI Express architecture that operates at the
level of transactions (for example, read, write).
Transceiver The physical transmitter and receiver pair on a single chip.
Transmitter The component sending Packet information across a Link is the
Transmitter.
Unsupported Request,
UR A Request Packet that specifies some action or access to some space
that is not supported by the Target.
PCI EXPRESS BASE SPECIFICATION, REV. 1.0
25
Unit Interval, UI Given a data stream of 1010… pattern, the Unit Interval is the value
measured by averaging the time interval between voltage transitions,
over a time interval long enough to make all intentional frequency
modulation of the source clock negligible.
Upstream Upstream refers either to the relative position of an interconnect/system
element (Link/device) as something that is closer to the Root Complex,
or to a direction of information flow, i.e., when information is flowing
towards the Root Complex. The Port on a Switch which is closest
topologically to the Root Complex is the Upstream Port. The Port on an
Endpoint or Bridge component is an Upstream Port. The Upstream
component on a Link is the component closer to the Root Complex.
variant A variant field of a TLP Header contains a value which is subject to
possible modification according to the rules of this specification as the
TLP flows through the PCI Express fabric.
warm reset A reset caused by driving “Power Good” inactive and then active, but
without cycling the supplied power.
Reference Documents
PCI Express Card Electromechanical Specification, Rev. 1.0
PCI Local Bus Specification, Rev. 2.3
PCI-X Addendum to the PCI Local Bus Specification, Rev. 1.0a
PCI Hot-Plug Specification, Rev. 1.1
PCI Standard Hot-Plug Controller and Subsystem Specification, Rev. 1.0
PCI-to-PCI Bridge Architecture Specification, Rev. 1.1
PCI Power Management Interface Specification, Rev. 1.1
Advanced Configuration and Power Interface Specification, Rev. 2.0
Guidelines for 64-bit Global Identifier (EUI-64) Registration Authority
PCI EXPRESS BASE SPECIFICATION, REV. 1.0
26

PCI EXPRESS BASE SPECIFICATION, REV. 1.0
27
1. Introduction
This chapter presents an overview of the PCI Express architecture and key concepts. PCI
Express is a high performance, general purpose I/O Interconnect defined for a wide variety
of future computing and communication platforms. Key PCI attributes, such as its usage
model, load-store architecture, and software interfaces, are maintained, whereas its
bandwidth-limiting, parallel bus implementation is replaced by a highly scalable, fully serial
interface. PCI Express takes advantage of recent advances in point-to-point interconnects,
Switch-based technology, and packetized protocol to deliver new levels of performance and
features. Power Management, Quality Of Service(QoS), Hot Plug/Hot Swap support, Data
Integrity, and Error Handling are among some of the advanced features supported by PCI
Express.
1.1. A Third Generation I/O Interconnect
The high-level requirements for this third generation I/O interconnect are as follows:
• Supports multiple market segments and emerging applications:
• Unifying I/O architecture for desktop, mobile, workstation, server,
communications platforms, and embedded devices
• Ability to deliver low cost, high volume solutions:
• Cost at or below PCI cost structure at the system level
• Support multiple platform interconnect usages:
• Chip-to-chip, board-to-board via connector or cabling
• New mechanical form factors:
• Mobile, PCI-like form factor and modular, cartridge form factor
• PCI compatible software model:
• Ability to enumerate and configure PCI Express hardware using PCI system
firmware implementations with no modifications
• Ability to boot existing operating systems with no modifications
• Ability to support existing I/O device drivers with no modifications
• Ability to configure/enable new PCI Express functionality by adopting the PCI
configuration paradigm
1
PCI EXPRESS BASE SPECIFICATION, REV. 1.0
28
• Performance:
• Low-overhead, low-latency communications to maximize application payload
bandwidth and Link efficiency
• High-bandwidth per pin to minimize pin count per device and connector
interface
• Scalable performance via aggregated Lanes and signaling frequency
• Advanced features:
• Comprehend different data types and ordering rules
• Power management and budgeting
• Ability to identify power management capabilities of a given function
• Ability to transition a function into a specific power state
• Ability to receive notification of the current power state of a function
• Ability to propagate an event to wake the system
• Ability to sequence device power-up to allow graceful platform policy in
power budgeting.
• Ability to support differentiated services, i.e. different qualities of service (QoS)
• Ability to create end-to-end isochronous (time-based, injection rate control)
solutions
• Ability to have dedicated Link resources per QoS data flow to improve fabric
efficiency / effective performance in the face of head-of-line blocking
• Ability to configure fabric QoS arbitration policies within every component
• Ability to tag end-to-end QoS with each packet
• Hot Plug and Hot Swap support
• Ability to support existing PCI hot-plug and hot-swap solutions
• Ability to support native hot-plug and hot-swap solutions (no side-band
signals required)
• Ability to support a unified software model for all form factors
• Multi-hierarchy and advanced peer-to-peer communications
• Ability to support vendor-specific and PCI Express-standard peer-to-peer
communications messaging
• Ability to Cross Link multiple hierarchies to support peer-to-peer
communications across large fabric topologies

PCI EXPRESS BASE SPECIFICATION, REV. 1.0
29
• Data Integrity
• Ability to support Link-level data integrity for all types of transaction and
Data Link packets
• Ability to support end-to-end data integrity for high availability solutions
• Error Handling
• Ability to support PCI error handling
• Ability to support advanced error reporting and handling to improve fault
isolation and recovery solutions
• Process Technology Independence
• Ability to support different DC common mode voltages at transmitter and
receiver
• Ease of Testing
• Ability to test electrical compliance via simple connection to test equipment
1.2. PCI Express Link
A Link represents a dual-simplex communications channel between two components. The
fundamental PCI Express Link consists of two, low-voltage, differentially driven signal pairs:
a transmit pair and a receive pair as shown in Figure 1-1.
OM13750
Component A Component B
Packet
Packet
Figure 1-1: PCI Express Link
The primary Link attributes are:
• The basic Link – PCI Express Link consists of dual unidirectional differential Links,
implemented as a transmit pair and a receive pair. A data clock is embedded using
the 8b/10b-encoding scheme to achieve very high data rates.
PCI EXPRESS BASE SPECIFICATION, REV. 1.0
30
• Signaling rate – Once initialized, each Link must only operate at one of the
supported signaling levels. For this version of the specification, there is only one
signaling rate, which provides an effective 2.5 Gigabits/second/Lane/direction
of raw bandwidth. The data rate is expected to increase with the technology
advances in future.
• Lanes – A Link must support at least one Lane – each Lane represents a set of
differential signal pairs (one pair for transmission, one pair for reception). To
scale bandwidth, a Link may aggregate multiple Lanes denoted by xN where N
may be any of the supported Link widths. For example, an x8 Link represents an
aggregate bandwidth of 20 Gigabits / second of raw bandwidth in each direction.
This version of the Physical Layer supports x1, x2, x4, x8, x12, x16, and x32
Lane widths.
• Initialization - During hardware initialization, each PCI Express Link is set up
following a negotiation of Lane widths and frequency of operation by the two
agents at each end of the Link. No firmware or operating system software is
involved.
• Symmetry – Each Link must support a symmetric number of Lanes in each
direction, i.e., an x16 Link indicates there are 16 differential signal pairs in each
direction.
1.3. PCI Express Fabric Topology
A fabric is composed of point-to-point Links that interconnect a set of components – an
example fabric topology is shown in Figure 1-2. This figure illustrates a single fabric
instance called a hierarchy – composed of a Root Complex (RC), multiple Endpoints (I/O
devices), a Switch, and PCI Express-PCI Bridge all interconnected via PCI Express Links.
Each of the components of the topology are mapped in a single flat address space and can
be addressed by PCI-like load store accesses.

PCI EXPRESS BASE SPECIFICATION, REV. 1.0
31
PCI/PCI-X
OM13751
Switch
Memory
PCI Express
Endpoint
CPU
Root
Complex
PCI Express
PCI Express
PCI Express
PCI
Express PCI
Express
PCI
Express
PCI
Express
Legacy
Endpoint PCI Express
Endpoint PCI Express
Endpoint
Legacy
Endpoint
PCI Express-PCI
Bridge
Figure 1-2: Example Topology
1.3.1. Root Complex
• A Root Complex (RC) denotes the root of an I/O hierarchy that connects the
CPU/memory subsystem to the I/O.
• As illustrated in the previous figure, a Root Complex may support one or more PCI
Express Ports. Each interface defines a separate I/O hierarchy domain. Each
hierarchy domain may be composed of a single I/O Endpoint or a sub-hierarchy
containing one or more Switch components and I/O Endpoints.
• The capability to route peer-to-peer transactions between hierarchy domains through
a Root Complex is optional and implementation dependent. For example, an
implementation may incorporate a real or virtual switch internally within the Root
Complex to enable full peer-to-peer support in a software transparent way.
• A Root Complex must support generation of configuration requests as a Requester.
• A Root Complex is permitted to support the generation of I/O requests as a
Requester.
• A Root Complex must not support Lock semantics as a Completer.
• A Root Complex is permitted to support generation of Locked Requests as a
Requester.
PCI EXPRESS BASE SPECIFICATION, REV. 1.0
32
1.3.2. Endpoints
“Endpoint” refers to a type of device that can be the Requester or Completer of a PCI
Express transaction either on its own behalf or on behalf of a distinct non-PCI Express
device (other than a PCI device or Host CPU), e.g., a PCI Express attached graphics
controller or a PCI Express-USB interface. Endpoints are classified as either legacy or PCI
Express Endpoints. The specific rules for each are described in Sections 1.3.2.1 and 1.3.2.2.
1.3.2.1. Legacy Endpoint Rules
• A Legacy Endpoint must be a device with a Type 00h Configuration Space header.
• A Legacy Endpoint must support Configuration Requests as a Completer
• A Legacy Endpoint may support I/O Requests as a Completer.
• A Legacy Endpoint may generate I/O Requests.
• A Legacy Endpoint may support Lock memory semantics as a Completer if that is
required by the device’s legacy software support requirements.
• A Legacy Endpoint must not issue a Locked Request.
1.3.2.2. PCI Express Endpoint Rules
• A PCI Express Endpoint must be a device with a Type 00h Configuration Space
header.
• A PCI Express Endpoint must support Configuration Requests as a Completer
• A PCI Express Endpoint must not require I/O resources claimed through BAR(s).
• A PCI Express Endpoint must not generate I/O Requests.
• A PCI Express Endpoint must not support Locked Requests as a Completer or
generate them as a Requestor. PCI Express-compliant software drivers and
applications must be written to prevent the use of lock semantics when accessing a
PCI Express Endpoint.

PCI EXPRESS BASE SPECIFICATION, REV. 1.0
33
1.3.3. Switch
A Switch is defined as a logical assembly of multiple “virtual” PCI-to-PCI bridge devices as
illustrated in Figure 1-3. All Switches are governed by the following base rules (advanced
Switch components will support additional capabilities beyond those described below).
OM13752
Virtual
PCI-PCI
Bridge PCI Express Link
Downstream Port
Upstream Port
Legend
Switch
Virtual
PCI-PCI
Bridge
Virtual
PCI-PCI
Bridge
Virtual
PCI-PCI
Bridge
Figure 1-3: Logical Block Diagram of a Switch
• Switches appear to configuration software as two or more logical PCI-to-PCI
Bridges.
• A Switch forwards transactions using PCI bridge mechanisms, e.g. address based
routing.
• A Switch may only forward peer-to-peer transactions between two downstream
ports.
• Except as noted in this document, a Switch must forward all types of TLPs
(Transaction Layer Packets) between any set of ports.
• Locked Requests must be supported as specified in Section 7.2. Switches are not
required to support downstream Ports as initiating ports for Locked requests.
• Each enabled Switch Port must comply with the flow control specification within
this document.
• Each Switch must comply with the Link-level data integrity specification within this
document.
PCI EXPRESS BASE SPECIFICATION, REV. 1.0
34
• A Switch is not allowed to split a packet into smaller packets, e.g. a single packet with
a 256-byte payload must not be divided into two packets each of 128 bytes payload.
• Arbitration between Ingress Ports (inbound Link) of a Switch may be implemented
using round robin or weighted round robin when contention occurs on the same
Virtual Channel. This is described in more detail later within the specification.
1.3.4. PCI Express-PCI Bridge
• A PCI Express to PCI/PCI-X Bridge has one PCI Express Port, and one or multiple
PCI/PCI-X bus interfaces.
• A PCI Express to PCI/PCI-X Bridge must support all required PCI and/or PCI-X
transactions on its PCI interface.
• Locked Requests must be supported as specified in Chapter 7. PCI Express-PCI
Bridges must not generate (propagate) Locked Requests from PCI to PCI Express,
but are required for deadlock prevention to support Locked Requests from PCI
Express to PCI.
• The PCI Express Port of PCI Express-PCI Bridge must comply with the flow
control specification within this document.
• The PCI Express Port of PCI Express-PCI Bridge must comply with the Link-level
data integrity specification within this document.
1.4. PCI Express Fabric Topology Configuration
The PCI Express Configuration model supports two mechanisms:
• PCI compatible configuration mechanism: The PCI compatible mechanism
supports 100% binary compatibility with PCI 2.3 or later aware operating systems
and their corresponding bus enumeration and configuration software.
• PCI Express enhanced configuration mechanism: The enhanced mechanism is
provided to increase the size of available configuration space and to optimize access
mechanisms.
Each PCI Express Link is mapped through PCI-to-PCI Bridge structure and has a
logical PCI bus associated with it. A PCI Express Link is represented using a PCI-to-
PCI Bridge structure and may either be a PCI Express Root Complex port, a Switch
upstream port, or a Switch downstream port. The Root Port is a PCI-to-PCI bridge
structure that originates a PCI Express Hierarchy domain from a PCI Express Root
Complex. Logical devices are mapped into configuration space such that each will
respond to a particular device number.

PCI EXPRESS BASE SPECIFICATION, REV. 1.0
35
1.5. PCI Express Layering Overview
This document specifies the architecture in terms of three discrete logical layers: the
Transaction Layer, the Data Link Layer, and the Physical Layer. Each of these layers is
divided into two sections: one that processes outbound (to be transmitted) information
and one that processes inbound (received) information, as shown in Figure 1-4.
The fundamental goal of this layering definition is to facilitate the reader’s understanding
of the specification. Note that this layering does not imply a particular PCI Express
implementation.
OM13753
Data Link Data Link
RX TX
Logical Sub-block
Electrical Sub-block
Physical
RX TX
Logical Sub-block
Electrical Sub-block
Physical
Transaction Transaction
Figure 1-4: High-Level Layering Diagram
PCI Express uses packets to communicate information between components. Packets are
formed in the Transaction and Data Link Layers to carry the information from the
transmitting component to the receiving component. As the transmitted packets flow
through the other layers, they are extended with additional information necessary to handle
packets at those layers. At the receiving side the reverse process occurs and packets get
transformed from their Physical Layer representation to the Data Link Layer representation
and finally (for Transaction Layer Packets) to the form that can be processed by the
Transaction Layer of the receiving device. Figure 1-5 shows the conceptual flow of
transaction level packet information through the layers.

PCI EXPRESS BASE SPECIFICATION, REV. 1.0
36
OM13754
Framing Sequence
Number Header Data CRC Framing
Transaction Layer
Data Link Layer
Physical Layer
Figure 1-5: Packet Flow Through the Layers
Note that a simpler form of packet communication is supported between two Data Link
Layers (connected to the same Link) for the purpose of Link management.
1.5.1. Transaction Layer
The upper layer of the architecture is the Transaction Layer. The Transaction Layer’s
primary responsibility is the assembly and disassembly of Transaction Layer Packets (TLP).
TLP are used to communicate transactions, such as read and write, as well as certain types of
events. The Transaction Layer is also responsible for managing credit-based flow control
for TLP.
Every request packet requiring a response packet is implemented as a split transaction. Each
packet has a unique identifier that enables response packets to be directed to the correct
originator. The packet format supports different forms (memory, I/O, configuration, and
message) of addressing depending on the type of the transaction. The Packets may also have
attributes such as “no-snoop,” and “relaxed-ordering” which may be used to optimally route
these packets through the system.
The transaction layer supports four address spaces: it includes the three PCI address spaces
(memory, I/O, and configuration) and adds a Message Space. This specification uses the
Message Signaled Interrupt concept as a primary method for interrupt processing and uses
Message Space to support all prior side-band signals, such as interrupts, power-management
requests, and so on, as in-band Message transactions. You could think of PCI Express
Message transactions as “virtual wires” since their effect is to eliminate the wide array of
sideband signals currently used in a platform implementation.
1.5.2. Data Link Layer
The middle layer in the stack, the Data Link Layer, serves as an intermediate stage between
the Transaction Layer and the Physical Layer. Responsibilities of Data Link Layer include
Link management, error detection, and error correction.
The transmission side of the Data Link Layer accepts TLP assembled by the Transaction
Layer, calculates and applies data protection code and TLP sequence number, and submits
them to Physical Layer for transmission across the Link. The receiving Data Link Layer is
responsible for checking the integrity of received TLP and for submitting them to the
Transaction Layer for further processing. On detection of TLP error(s), this layer is
PCI EXPRESS BASE SPECIFICATION, REV. 1.0
37
responsible for requesting retransmission of TLP until information is correctly received, or
the Link is determined to have failed.
The Data Link Layer also generates and consumes packets that are used for Link
management functions. To differentiate these packets from those used by the Transaction
Layer (TLP), the term Data Link Layer Packet (DLLP) will be used when referring to
packets that are generated and consumed at the Data Link Layer.
1.5.3. Physical Layer
The Physical Layer includes all circuitry for interface operation, including driver and input
buffers, parallel-to-serial and serial-to-parallel conversion, PLL(s), and impedance matching
circuitry. It includes also logical functions related to interface initialization and maintenance.
The Physical Layer exchanges information with the Data Link Layer in an implementation-
specific format. This layer is responsible for converting information received from Data
Link Layer in to an appropriate serialized format and transmitting it across the PCI Express
Link at a frequency and width compatible with the remote device.
The PCI Express architecture has “hooks” to support future performance enhancements via
speed upgrades and advanced encoding techniques. The future speeds, encoding techniques
or media may only impact the physical layer definition.
1.5.4. Layer Functions and Services
1.5.4.1. Transaction Layer Services
The Transaction Layer, in the process of generating and receiving TLP, exchanges Flow
Control information with its complementary Transaction Layer on the other side of the
Link. It is also responsible for supporting both software and hardware-initiated power
management.
Initialization and configuration functions require the Transaction Layer to:
• Store Link configuration information generated by the processor or management device
• Store Link capabilities generated by Physical Layer hardware negotiation of width
A Transaction Layer’s Packet generation and processing services require it to:
• Generate TLP from device core Requests
• Convert received Request TLP into Requests for the device core
• Convert received Completion Packets into a payload, or status information, deliverable
to the core
• Capability to generate “no-snoop required” transactions
• Detect unsupported TLP and invoke appropriate mechanisms for handling them
• Transaction level support for the switching and advanced communication applications
PCI EXPRESS BASE SPECIFICATION, REV. 1.0
38
• If end-to-end data integrity is supported, generate the end-to-end data integrity CRC and
update the TLP header accordingly.
Flow control services:
• The Transaction Layer tracks flow control credits for TLP across the Link.
• Transaction credit status is periodically transmitted to the remote Transaction Layer
using transport services of the Data Link Layer.
• Remote Flow Control information is used to throttle TLP transmission.
Ordering rules:
• PCI/PCI-X compliant producer consumer ordering model
• Extensions to support relaxed ordering
Power management services:
• ACPI/PCI power management, as dictated by system software.
• Hardware-controlled autonomous power management minimizes power during full-on
power states.
Virtual Channels and Traffic Class:
• The combination of Virtual Channel mechanism and Traffic Class identification
is provided to support differentiated services and QoS support for certain class
of applications.
• Virtual Channels: Virtual Channels provide a means to support multiple
independent logical data flows over a given common physical resources of the
Link. Conceptually this involves multiplexing different data flows onto a single
physical Link.
• Traffic Class: The Traffic Class is a Transaction Layer Packet label that is
transmitted unmodified end-to-end through the fabric. At every service point
(e.g. Switch) within the fabric, Traffic Class labels are used to apply appropriate
servicing policies. Packets with different labels do not have ordering
requirements among each other and that allows independent traffic flows that are
not subject of global blocking conditions.
PCI EXPRESS BASE SPECIFICATION, REV. 1.0
39
1.5.4.2. Data Link Layer Services
The Data Link Layer is responsible for reliably exchanging information with its counterpart
on the opposite side of the Link.
Initialization and power management services:
• Accept power state Requests from Transaction Layer and convey to the Physical
Layer
• Convey active/reset/disconnected/power managed state to the Transaction Layer
Data protection, error checking, and retry services:
• CRC generation
• Transmitted TLP storage for Data Link level retry
• Error checking
• TLP acknowledgment and retry messages
• Error indication for error reporting and logging
• Link ACK timeout mechanism
1.5.4.3. Physical Layer Services
Interface initialization, maintenance control, and status tracking:
• Reset/Hot Plug control/status
• Interconnect power management
• Width and Lane mapping negotiation
• Polarity reversal
Symbol and special ordered-set generation:
• 8-bit/10-bit encoding/decoding.
• Embedded clock tuning and alignment
Symbol transmission and alignment:
• Transmission circuits
• Reception circuits
• Elastic buffer at receiving side
• Multi-Lane de-skew (for widths > x1) at receiving side
PCI EXPRESS BASE SPECIFICATION, REV. 1.0
40
System DFT mechanism(s):
• Loop-back mode
1.5.4.4. Inter-Layer Interfaces
1.5.4.4.1. Transaction/Data Link Interface
The Transaction to Data Link interface provides:
• Byte or multi-byte data to be sent across the Link
oLocal TLP-transfer handshake mechanism
oTLP boundary information
• Requested power state for the Link
The Data Link to Transaction interface provides:
• Byte or multi-byte data received from the PCI Express Link
• TLP framing information for the received byte
• Actual power state for the Link
• Link status information
1.5.4.4.2. Data Link/Physical Interface
The Data Link to Physical interface provides:
• Byte or multi-byte wide data to be sent across the Link
oData transfer handshake mechanism
oTLP and DLLP boundary information for bytes
• Requested power state for the Link
The Physical to Data Link interface provides:
• Byte or multi-byte wide data received from the PCI Express Link
• TLP and DLLP framing information for data
• Indication of errors detected by the Physical Layer
• Actual power state for the Link
• Connection status information

PCI EXPRESS BASE SPECIFICATION, REV. 1.0
41
1.6. Advanced Peer-to-Peer Communication
Overview
Advanced peer-to-peer communication is an optional functionality used to support peer-to-
peer communications across one or more hierarchies that constitute a single fabric instance.
Figure 1-6 shows an example of a fabric with multiple hierarchies.
Advanced
Switch
N
PCI Express-
PCI Bridge
CPU
OM13755
Switch
1
Endpoint 1
Endpoint 2
CPU
Root Complex
Switch
2
Endpoint 3
Host A
CPUCPU
Root Complex
Host B
Endpoint 4
Endpoint m
Switch
J
Advanced
Switch
1
Endpoint m-1
Cross-Link
Endpoint 1
Endpoint 2 Endpoint k
Endpoint k-1
Figure 1-6: Advanced Peer-to-Peer Communication
The primary attributes/requirements are:
• Push-only communications paradigm – Endpoints use a “mailbox” approach to
exchange control and data packets.
• Optional support for multicast packet replication within advanced Switch components.
Multicast allows an Endpoint to inject a single packet into the fabric targeted at a
multicast group identifier and have the advanced Switch components replicate this
packet to all participating Endpoints. This eliminates the need for the injecting
Endpoint having to know all of the participating Endpoints within the multicast group.
• Uses a 16-bit global address space extender to uniquely identify an Endpoint port or a
multicast group within an I/O fabric. A global address is referred to as a Route
Identifier.
• Each hierarchy defines an individual partition within the fabric.
oAt any given time, one Root Complex (RC) controls a partition.
oMultiple partitions may be collapsed into a single partition by assigning ownership of
the partition to one of the active RC. For example, dual-redundant fabrics that are
inter-linked such that either RC may take over for the other should one RC fail.
PCI EXPRESS BASE SPECIFICATION, REV. 1.0
42
• Cross-Link devices are used to facilitate non-tree enumeration and peer-to-peer
communications. Software, using Cross-Link devices connected between Switches,
establishes peer-to-peer connections between PCI Express agents residing either within
the same hierarchy, or between agents that reside within different PCI Express
hierarchies.
• Communication between two hierarchies is not allowed until both the hierarchies are
initialized and configured. At this point, communications software can configure the
Links between the hierarchies (contained within advanced Switch components). During
this step, RIDs are assigned.
• RC, Switches, and Endpoints that support advanced peer-to-peer communication must
support all mandatory PCI Express functionality to ensure interoperability with base RC,
Switches, and Endpoints.
• A Switch that supports advanced peer-to-peer communication must translate RID
forwarded packets to address-based routed packets if the attached RC or Endpoint does
not support advanced peer-to-peer communication.
The scope of the information provided in this base specification is limited to providing
definition of basic primitives required to support advanced PCI Express packet switching
applications. Detailed description of typical usage models, and operation of the capabilities
enabled by these optional features are beyond the scope of this document and will be
described in a separate document, called Advanced PCI Express Packet Switching Specification, a
companion specification to the PCI Express Base Specification.

PCI EXPRESS BASE SPECIFICATION, REV. 1.0
43
2. Transaction Layer Specification
2.1. Transaction Layer Overview
OM14295
Data Link Data Link
RX TX
Logical Sub-block
Electrical Sub-block
Physical
RX TX
Logical Sub-block
Electrical Sub-block
Physical
Transaction Transaction
Figure 2-1: Layering Diagram Highlighting the Transaction Layer
One of the primary goals of the PCI Express Architecture is to maximize the efficiency of
communication between devices. To this end, the Transaction Layer implements:
• A pipelined full split-transaction protocol
• Mechanisms for differentiating the ordering and processing requirements of
Transaction Layer Packets (TLPs)
• Credit-based flow control which eliminates wasted Link bandwidth due to retries
• Optional support for data poisoning and end-to-end data integrity detection.
2

PCI EXPRESS BASE SPECIFICATION, REV. 1.0
44
The Transaction Layer comprehends the following:
• TLP construction and processing
• Association of PCI Express transaction-level mechanisms with device resources
including:
oFlow Control
oVirtual Channel management
• Rules for ordering and management of TLPs
oIncluding Traffic Class differentiation
This chapter specifies the behaviors associated with the Transaction Layer.
2.2. Address Spaces, Transaction Types, and Usage
Transactions form the basis for information transfer between a Requester and Completer.
Four address spaces are defined within the PCI Express architecture, and different
Transaction types are defined, each with its own unique intended usage, within each address
space as shown in Table 2-1.
Table 2-1: Transaction Types for Different Address Spaces
Address Space Transaction Types Basic Usage
Memory Read
Write
Transfer data to/from a memory-mapped
location.
I/O Read
Write
Transfer data to/from an I/O-mapped location
Configuration Read
Write
Device configuration/setup
Message Baseline
Vendor–defined
Advanced Switching
From event signaling mechanism to general
purpose messaging
2.2.1. Memory Transactions
Memory Transactions include the following types:
• Read Request/Completion
• Write Request
Memory Transactions use two different address formats:
• Short Address Format: 32-bit address
• Long Address Format: 64-bit address
PCI EXPRESS BASE SPECIFICATION, REV. 1.0
45
Details about the rules associated with usage of these two address formats and the associated
Transaction Layer Packet (TLP) formats are outlined in Section 2.7.
2.2.2. I/O Transactions
PCI Express supports I/O Space for compatability with legacy devices which require their
use. Future revisions of this specification are expected to depreciate the use of I/O Space.
I/O Transactions include the following types:
• Read Request/Completion
• Write Request/Completion
I/O Transactions use a single address format:
• Short Address Format: 32-bit address
Details about the rules associated with I/O address, and the associated TLP formats are
outlined in Section 2.7.
2.2.3. Configuration Transactions
Configuration Transactions are used to access configuration registers of PCI Express
devices. Mechanisms for generating these Transactions are platform specific.
Configuration Transactions include the following types:
• Read Request/Completion
• Write Request/Completion
Details about the rules associated with configuration address and the associated Packet
formats are outlined in Section 2.7.
2.2.4. Message Transactions
The Message Transactions, or simply Messages, support two primary usage models:
• In-band communication of events between PCI Express devices
• Peer-to-peer communication between PCI Express devices
These two usage models map to two different groups of Messages in PCI Express. The first
group supports the first usage model. The second group, which is associated with Advanced
Switching support supports the second usage model.
PCI EXPRESS BASE SPECIFICATION, REV. 1.0
46
In the terms of how Message Requests are routed, this specification differentiates between
the following two routing mechanisms:
• Implied Routing – without specific address/routing information contained within
Message packet header
• Destination is the other component on the Link or
• Destination is the Root Complex.
• Message is broadcast from the Root Complex to all downstream devices.
• Explicit Routing – with specific address/routing information contained within
Message packet header
• Destination is another device within local PCI Express hierarchy or
• Destination is a device within a different PCI Express hierachy
Note that the explicit routing mechanism is used by the Messages that are defined
for support of advanced switching applications.
PCI Express provides support for vendor-defined messages using specific reserved codes
given in this document. The definition of specific vendor-defined messages is outside the
scope of this document.
2.2.4.1. Types of Messages
Messages defined within the PCI Express specification include the following types of
Messages:
• System Management Message Group
oInterrupt Signaling
oError Signaling
oPower Management
oLocked Transaction Support
oPayload Defined
oVendor Specific Messages
oHot Plug Signaling
• Advanced Switching Support Message Group
oData Packet Messages
oSignal Packet Messages

PCI EXPRESS BASE SPECIFICATION, REV. 1.0
47
2.2.4.2. Vendor-defined Messages
This specification establishes a standard framework within which vendors can specify their
own Vendor-defined Messages tailored to fit the specific requirements of their platforms
(see Sections 2.8.1.5 and 2.8.1.7).
Note that these Vendor-defined messages are not guaranteed to be interoperable with
components from different vendors.
2.3. Packet Format Overview
Transactions consist of Requests and Completions, which are communicated using packets.
Figure 2-2 shows a high level view of a Transaction Layer Packet, consisting of a header, for
some types of packets, a data payload, and an optional TLP digest. The following sections
of this chapter will define the detailed structure of packet headers.
OM13756
Header
TLP Digest (optional)
Data
(included when applicable)
Data Byte 0
Byte 0 >
Byte J >
Byte K >
Byte K+4 >
Data Byte K+3
Figure 2-2: Generic Transaction Layer Packet Format
Depending on the type of a packet, the header for that packet will include some of the
following types of fields:
• Format of the packet
• Type of the packet
• Length for any associated data
• Transaction Descriptor, including:
oTransaction ID
oAttributes
oTraffic Class
• Address/routing information
• Byte enables
• Message encoding
• Completion status

PCI EXPRESS BASE SPECIFICATION, REV. 1.0
48
2.4. Transaction Descriptor
2.4.1. Overview
The Transaction Descriptor is a mechanism for carrying Transaction information between
the Requester and the Completer. Transaction Descriptors are composed of three fields:
• Transaction ID – identifies outstanding Transactions
• Attributes field – specifies characteristics of the Transaction
• Traffic Class (TC) field – associates Transaction with type of required service
Figure 2-3 shows the fields of the Transaction Descriptor. Note that these fields are shown
together to highlight their relationship as parts of a single logical entity. The fields are not
contiguous in the packet header.
OM13757
Requester ID Tag Attributes Traffic
Class
15:0 7:0 1:0 2:0
Transaction ID
Figure 2-3: Transaction Descriptor
2.4.2. Transaction Descriptor –Transaction ID Field
The Transaction ID Field consists of two major sub-fields: Requester ID and Tag as shown
in Figure 2-4.
OM13758
Bus Number Device
Number
7:0
Function
Number
7:02:04:0
Requester ID Tag
Figure 2-4: Transaction ID
PCI EXPRESS BASE SPECIFICATION, REV. 1.0
49
• Tag[7:0] is a 8-bit field generated by each Requestor, and it must be unique for all
outstanding Requests that require a Completion for that Requester
oBy default, the maximum number of outstanding Requests per
device/function shall be limited to 32, and only the lower 5 bits of the Tag
field are used with the remaining 3 required to be all 0’s
oIf the Extended Tag Field Enable bit (see Section 5.8.4) is set, the maximum
is increased to 256, and the entire Tag field is used
oReceiver/Completer behavior is undefined if multiple Requests are issued
non-unique Tag values
• For Requests which do not require Completion (Posted Requests), the value in the
Tag[7:0] field is undefined and may contain any value
oFor Posted Requests, the value in the Tag[7:0] field must not affect Receiver
processing of the Request
• Requester ID and Tag combined form a global identifier for each Transaction within
a Hierarchy.
• Transaction ID is included with all Requests and Completions.
• The Requester ID field is a 16-bit value that is unique for every PCI Express
function.
• Functions must capture the Bus and Device Numbers supplied with all
Configuration Requests (Type 0) completed by the function and supply these
numbers in the Bus and Device Number fields of the Requester ID for all Requests
initiated by the device/function.
oNote that the Bus Number and Device Number may be changed at run time,
and so it is necessary to re-capture this information with each and every
Configuration Request.
oException: The assignment of bus numbers to the logical devices within a
Root Complex may be done in an implementation specific way.
Example: When a device (or function of a multi-function device) receives a Type 0
Configuration Read or Write Request, the device comprehends that it is the intended
recipient of the Request because it is a Type 0 Request. The routing information
fields of the Request include the recipient’s Bus Number and Device Number values
(Figure 2-12). These values are captured by the device and used to generate the
Requester ID field.
• Prior to the initial Configuration Write to a device, the device is not permitted to
initiate Requests.
oException: Logical devices within a Root Complex are permitted to initiate
Requests prior to software initiated configuration for accesses to system boot
device(s).
oNote that this rule and the exception are consistent with the existing PCI
model for system initialization and configuration.

PCI EXPRESS BASE SPECIFICATION, REV. 1.0
50
• Each function associated with a logical device must be designed to respond to a
unique Function Number for Configuration Requests addressing that logical device.
Note: Each logical device may contain up to eight logical functions.
• A Switch must forward Requests without modifying the Transaction ID
• A PCI Express-PCI-X Bridge operating in conventional PCI mode as well as a PCI
Express-PCI Bridge must forward Requests initiated on PCI using the Bus Number,
Device Number, and Function Number associated with the Bridge to form the
Requester ID.
Implementation Note: Increasing Outstanding Requests
To increase the maximum possible number of outstanding Requests requiring Completion
beyond 256, a single function device may, if the Phantom Function Number Enable bit is set
(see Section 5.8.4), use Function Numbers 1-7 to logically extend the Tag identifier, allowing
up to a 8-fold increase in the maximum number of outstanding Requests
Unclaimed function numbers are termed “Phantom Function Numbers (PFN).”
2.4.3. Transaction Descriptor – Attributes Field
The Attributes Field is used to provide additional information that allows modification of
the default handling of Transactions. These modifications apply to different aspects of
handling the Transactions within the system, such as:
• Ordering
• Hardware coherency management (snoop)
Note that attributes are hints that allow for optimizations in the handling of traffic. Level of
support is dependent on target applications of particular PCI Express peripherals and
platform building blocks.
OM13759
Attributes
Snoop
Not
Required
Relaxed
Ordering
Figure 2-5: Attributes Field of Transaction Descriptor

PCI EXPRESS BASE SPECIFICATION, REV. 1.0
51
2.4.3.1. Relaxed Ordering Attribute
Table 2-2 defines the states of the Relaxed Ordering attribute field. This Attribute is
discussed in Section 2.5.
Table 2-2: Ordering Attributes
Ordering
Attribute Ordering Type Ordering Model
0 Default Ordering PCI Producer/Consumer-based Ordering Model
1 Relaxed Ordering PCI-X Relaxed Ordering Model
2.4.3.2. “Snoop Not Required” Attribute
Table 2-3 defines the states of the “Snoop Not Required” attribute field. Note that the
“Snoop Not Required” attribute does not alter Transaction ordering.
Table 2-3: Cache Coherency Management Attribute
Snoop Not Required
Attribute Cache Coherency
Management Type Coherency Model
0 Default Hardware enforced cache coherency
expected
1 Snoop Not Required Hardware enforced cache coherency
not expected
2.4.4. Transaction Descriptor – Traffic Class Field
The Traffic Class (TC) is a 3-bit field that allows differentiation of transactions into eight
traffic classes.
Together with the PCI Express Virtual Channel support, the TC mechanism is a
fundamental element for enabling differentiated traffic servicing. Every PCI Express
Transaction Layer Packet uses TC information as an invariant label that is carried end to end
within the PCI Express fabric. As the packet traverses across the fabric, this information is
used at every Link and within each Switch element to make decisions with regards to proper
servicing of the traffic. A key aspect of servicing is the routing of the packets based on their
TC labels through corresponding Virtual Channels. (Section 2.6 covers the details of the VC
mechanism.)

PCI EXPRESS BASE SPECIFICATION, REV. 1.0
52
Table 2-4 defines the TC encodings:
Table 2-4 Definition of TC Field Encodings
TC Field Value Definition
000 TC0: Best Effort service class (General Purpose I/O)
(Default TC –must be supported by every PCI Express device)
001 –111 TC1-TC7: Differentiated service classes
(Differentiation based on Weighted-Round-Robin and/or Priority)
It is up to the system software to determine TC labeling and TC/VC mapping in order to
provide differentiated services that meet target platform requirements. For example, for a
platform that supports isochronous data traffic, TC7 is reserved for isochronous
transactions and TC7 must be mapped to the VC with the highest weight/priority. See
Section 7.3.4 for details on isochronous support.
The concept of Traffic Class applies only within the PCI Express interconnect fabric.
Specific requirements of how PCI Express TC service policies are translated into policies on
non-PCI Express interconnects or within Root Complex or Endpoints is outside of the
scope of this specification.
2.5. Transaction Ordering
Table 2-5 defines the ordering requirements for PCI Express Transactions. The rules
defined in this table apply uniformly to all types of Transactions on PCI Express including
Memory, I/O, Configuration, and Messages. The ordering rules defined in this table apply
within a single Traffic Class (TC). There is no ordering among transactions within different
TCs. Note that this also implies that there is no ordering required between traffic that flows
through different Virtual Channels since transactions with the same TC label are not allowed
to be mapped to multiple VCs on any PCI Express Link.
For Table 2-5, the columns represent a first issued Transaction, and the rows represent a
subsequently issued Transaction. The table entry indicates the ordering relationship between
the two Transactions. The table entries are defined as follows:
• Yes–the second Transaction must be allowed to pass the first to avoid deadlock.
(When blocking occurs, the second Transaction is required to pass the first
Transaction. Fairness must be comprehended to prevent starvation.)
• Y/N–there are no requirements. The second Transaction may optionally pass the
first Transaction or be blocked by it.
• No–the second Transaction must not be allowed to pass the first Transaction. This
is required to support Producer-Consumer strong ordering model.

PCI EXPRESS BASE SPECIFICATION, REV. 1.0
53
Table 2-5: Ordering Rules Summary Table
Posted Request Non-Posted Request Completion
Row Pass Column? Memory Write or
Message Request
(Col 2)
Read
Request
(Col 3)
I/O or
Configuration
Write Request
(Col 4)
Read
Completion
(Col 5)
I/O or
Configuration
Write
Completion
(Col 6)
Posted
Request
Memory Write
or Message
Request
(Row A)
a) No
b) Y/N
Yes Yes a) Y/N
b) Yes
a) Y/N
b) Yes
Read Request
(Row B) No Y/N Y/N Y/N Y/N
Non-Posted
Request
I/O or
Configuration
Write Request
(Row C)
No Y/N Y/N Y/N Y/N
Read
Completion
(Row D)
a) No
b)Y/N
Yes Yes a) Y/N
b) No
Y/N
Completion
I/O or
Configuration
Write
Completion
(Row E)
Y/N Yes Yes Y/N Y/N
Explanation of entries in Table 2-5:
A2 a A Memory Write or Message Request with the Relaxed Ordering Attribute bit
clear (‘0’) must not pass any other Memory Write or Message Request.
A2 b A Memory Write or Message Request with the Relaxed Ordering Attribute bit
set (‘1’) is permitted to pass any other Memory Write or Message Request.
A3, A4 A Memory Write or Message Request must be allowed to pass Read Requests
and I/O or Configuration Write Requests to avoid deadlocks.
A5, A6 a Endpoints, Switches, and Root Complex may allow Memory Write and
Message Requests to pass Completions or be blocked by Completions.
A5, A6 b PCI Express to PCI Bridges and PCI Express to PCI-X Bridges, when
operating PCI segment in conventional mode, must allow Memory Write and
Message Requests to pass Completions traveling in the PCI Express to PCI
direction (Primary side of Bridge to Secondary side of Bridge) to avoid
deadlock.
B2, C2 These Requests cannot pass a Memory Write or Message Request. This
preserves strong write ordering required to support Producer/Consumer usage
model.
PCI EXPRESS BASE SPECIFICATION, REV. 1.0
54
B3, B4,
C3, C4
Read Requests and I/O or Configuration Write Requests are permitted to be
blocked by or to pass other Read Requests and I/O or Configuration Write
Requests.
B5, B6,
C5, C6
These Requests are permitted to be blocked by or to pass Completions.
D2 a If the Relaxed Ordering attribute bit is not set, then a Read Completion cannot
pass a previously enqueued Memory Write or Message Request.
D2 b If the Relaxed Ordering attribute bit is set, then a Read Completion is
permitted to pass a previously enqueued Memory Write or Message Request.
D3, D4,
E3, E4
Completions must be allowed to pass Read and I/O or Configuration Write
Requests to avoid deadlocks.
D5 a Read Completions associated with different Read Requests are allowed to be
blocked by or to pass each other.
D5 b Read Completions for one Request (will have the same Transaction ID) must
return in address order.
D6 Read Completions are permitted to be blocked by or to pass I/O or
Configuration Write Completions.
E2 I/O or Configuration Write Completions are permitted to be blocked by or to
pass Memory Write and Message Requests. Such Transactions are actually
moving in the opposite direction and, therefore, have no ordering relationship.
E5, E6 I/O or Configuration Write Completions are permitted to be blocked by or to
pass Read Completions and other I/O or Configuration Write Completions.
Additional Rules:
• PCI Express Switches are permitted to allow a Memory Write or Message Request
with the Relaxed Ordering bit to set pass any previously posted Memory Write or
Message Request moving in the same direction. Switches must forward the Relaxed
Ordering attribute unmodified. The Root Complex is also permitted to allow data
bytes within the Request to be written to system memory in any order. (The bytes
must be written to the correct system memory locations. Only the order in which
they are written is unspecified). PCI Express-PCI-X Bridge devices must forward
the Relaxed Ordering attribute unmodified but must treat all transactions as if the
Relaxed Ordering attribute bit is not set.
Note: This maintains compatibility with PCI-X relaxed ordering usage models and
corresponding rules. For more details, refer to the PCI-X Addendum to the PCI Local
Bus Specification, Rev 1.0a.

PCI EXPRESS BASE SPECIFICATION, REV. 1.0
55
• For Root Complex and Switch, Memory Write combining (as defined in the PCI
Specification) is prohibited.
Note: This is required so that devices can be permitted to optimize their receive
buffer and control logic for Memory Write sizes matching their natural expected
sizes, rather than being required to support the maximum possible Memory Write
payload size.
• Combining of Memory Read Requests, and/or Completions for different Requests is
prohibited.
• The “Snoop Not Required” bit does not affect the required ordering behavior.
Note: Main memory writes from the CPU accepted by the Root Complex are
architecturally part of the system memory image; the Root Complex must ensure
coherency for subsequent device reads from main memory.
Implementation Note: Large Memory Reads vs. Multiple Smaller Memory Reads
Note that the rule associated with entry D5b in Table 2-5 ensures that for a single Memory
Read Request serviced with multiple Completions, the Completions will be returned in
address order. However, the rule associated with entry D5a permits that different
Completions associated with distinct Memory Read Requests may be returned in a different
order than the issue order for the Requests. For example, if a device issues a single Memory
Read Request for 256B from location 1000h, and the Request is returned using two
Completions (see Section 2.7.6.2.1) of 128B each, it is guaranteed that the two Completions
will return in the following order:
1st Completion returned: Data from 1000h to 107Fh.
2nd Completion returned: Data from 1080h to 10FFh.
However, if the device issues two Memory Read Requests for 128B each, first to location
1000h, then to location 1080h, the two Completions may return in either order:
1st Completion returned: Data from 1000h to 107Fh.
2nd Completion returned: Data from 1080h to 10FFh.
– or –
1st Completion returned: Data from 1080h to 10FFh.
2nd Completion returned: Data from 1000h to 107Fh.
PCI EXPRESS BASE SPECIFICATION, REV. 1.0
56
2.6. Virtual Channel (VC) Mechanism
The PCI Express Virtual Channel (VC) mechanism provides support for carrying
throughout the PCI Express fabric traffic that is differentiated using TC labels. The
foundation of VCs are independent fabric resources (queues/buffers and associated control
logic). These resources are used to move information across PCI Express Links with fully
independent flow-control between different VCs. This is key to solving the problem of
flow-control induced blocking where a single traffic flow may create a bottleneck for all
traffic within the system.
Traffic is associated with VCs by mapping packets with particular TC labels to their
corresponding VCs. The PCI Express VC mechanism allows flexible mapping of TCs onto
the VCs. In the simplest form, TCs can be mapped to VCs on a 1:1 basis. To allow
performance/cost tradeoffs, PCI Express provides the capability of mapping multiple TCs
onto a single VC. Section 2.6.3 covers details of TC to VC mapping.
A Virtual Channel is established when one or multiple TCs are associated with physical VC
resource designated by VC ID. This process is controlled by the PCI Express configuration
software as described in Sections 5.11 and 7.3.
Support for TCs and VCs beyond default TC0/VC0 pair is optional. The association of
TC0 with VC0 is fixed, i.e. “hardwired”, and must be supported by all PCI Express
components. Therefore the baseline TC/VC setup does not require any VC-specific
hardware or software configuration. In order to ensure interoperability, PCI Express
components that do not implement the optional PCI Express Virtual Channel Capability
Structure must obey the following rules:
• A Requester must only generate requests with TC0 label. (Note that if it initiates
requests with a TC label other than TC0, the requests may be treated as illegal by the
component on the other side of the Link that implements the extended VC
capability and applies TC filtering.)
• A Completer must accept requests with TC label other than TC0, and must preserve
the TC label, i.e., any completion that it generates must have the same TC label as
the label of the request.
• A Switch must map all TCs to VC0 and must forward all transactions regardless of
the TC label.
A PCI Express Endpoint or Root Complex that intends to be a Requester to issue requests
with TC label other than TC0 must implement the PCI Express Virtual Channel Capability
Structure, even if it only supports the default VC. This is required in order to enable
mapping of TCs beyond the default configuration. It must follow the TC/VC mapping
rules according to the software programming of the VC Capability Structure.
Figure 2-6 illustrates the concept of Virtual Channel. The enlarged area shows VC resources
in one direction (Switch to RC). Conceptually, traffic that flows through VCs is muxed onto
a common physical Link resource on the transmit side and de-muxed into separate VC paths
on the receive side.

PCI EXPRESS BASE SPECIFICATION, REV. 1.0
57
OM13760
Component
CComponent
DComponent
EComponent
AComponent
B
Switch
Default VC (VC0)
Another VC
Root Complex
single Link
with 2 VC's
Packets
Packets
VC0 VCn
VC0 VCn
Link
VC0 VCn
VC0 VCn
Figure 2-6: Virtual Channel Concept – An Illustration
Internal to the Switch every Virtual Channel requires dedicated physical resources
(queues/buffers and control logic) that support independent traffic flows inside the Switch.
Figure 2-7 shows conceptually the VC resources within the Switch (shown in Figure 2-6)
that are required to support traffic flow in the upstream direction.
OM13761
VC #0
VC #0
VC #0
VC #1
VC #1
Upstream
Port
Downstream
Ports
Switch
Figure 2-7: Virtual Channel Concept – Switch Internals (Upstream Flow)
PCI EXPRESS BASE SPECIFICATION, REV. 1.0
58
2.6.1. Virtual Channel Identification (VC ID)
A PCI Express Port can support up to eight Virtual Channels. These VCs are uniquely
identified using the Virtual Channel Identification (VC ID) mechanism.
Note that TLPs do not include VC ID information. The association of TLPs with VC ID
for the purpose of Flow Control accounting is done at each Port of the Link using TC to VC
mapping as discussed in Section 2.6.3.
All PCI Express Ports that support more than VC0 must provide the VC Capability
Structure according to the definition in Section 5.11. Providing this extended structure is
optional for Ports that support only the default TC0/VC0 configuration. PCI Express
configuration software is responsible for configuring Ports on both sides of the Link for a
matching number of VCs. This is accomplished by scanning the PCI Express hierarchy and
using VC Capability registers associated with ports (that support more than default VC0) to
establish number of VCs for the Link. Rules for assigning VC ID for VC hardware
resources are as follows:
• VC ID assignment must be unique per PCI Express Port – Same VC ID cannot be
assigned to different VC hardware resources within the same Port.
• VC ID assignment must be the same (matching in the terms of numbers of VCs and
their IDs) for the two PCI Express Ports on both sides of a PCI Express Link.
• VC ID 0 is assigned and fixed to the default VC.
• For a PCI Express Port that supports the VC Capability Structure, the first VC hardware
resource must be the default VC.
• VC ID assignment must be in increasing order (but not necessarily contiguous) for a PCI
Express Port that supports multiple VCs.
2.6.2. VC Support Options
To simplify the interoperability when configuring number of supported VCs per Link, the
PCI Express specification limits the set of valid VC configuration options to: 1, 2, 4, and 8.
Other VC configurations such as 3, 5, 6, and 7 are not allowed.

PCI EXPRESS BASE SPECIFICATION, REV. 1.0
59
2.6.3. TC to VC Mapping
Every Traffic Class that is supported must be mapped to one of the Virtual Channels. The
mapping of TC0 to VC0 is fixed.
The mapping of TCs other than TC0 is system software specific. However, the mapping
algorithm must obey the following rules:
• One or multiple TCs can be mapped to a VC
• One TC must not be mapped to multiple VCs in any PCI Express Port.
• TC/VC mapping must be identical for PCI Express Ports on both sides of a PCI
Express Link.
•
•
For any two TCs (TCb > TCa), TCb must be mapped to the same VC as TCa or be
mapped to a VC with higher VC ID. It is not allowed to map TCb on a VC with a lower
VC ID than the one TCa is mapped to.
Table 2-6 provides an example of TC to VC mapping.
Table 2-6: TC to VC Mapping Example
Supported VC Configurations TC/VC Mapping Options
VC0 TC(0-7)/VC0
VC0, VC1 TC(0-6)/VC0, TC7/VC1
VC0-VC3 TC(0-1)/VC0, TC(2-4)/VC1, TC(5-6)/VC2,
TC7/VC3
VC0-VC7 TC[0:7]/VC[0:7]
Notes on conventions:
• TCn/VCk = TCn mapped to VCk
• TC(n-m)/VCk = all TCs in the range n-m mapped to VCk (i.e., to the same VC)
• TC[n:m]/VC[n:m] = TCn/VCn, TCn+1/ VCn+1, ..., TCm/VCm
Figure 2-8 provides a graphical illustration of TC to VC mapping in several different Link
configurations. For additional considerations on TC/VC mapping including symmetrical
and asymmetrical mapping within PCI Express Switches, refer to Section 7.3.

PCI EXPRESS BASE SPECIFICATION, REV. 1.0
60
OM13762
VC0
VC1
VC2
VC3
TC[0:1]
TC[2:4]
TC[5:6]
TC7
TC[0:1]
TC[2:4]
TC[5:6]
TC7
Endpoint
Endpoint
Link
VC0TC[0:7] TC[0:7]
Link
Switch
Switch
VC0
VC1
VC2
VC3
TC[0:1]
TC[2:4]
TC[5:6]
TC7
TC[0:1]
TC[2:4]
TC[5:6]
TC7
Endpoint Link
VC0
VC1
VC2
VC3
TC[0:1]
TC[2:4]
TC[5:6]
TC7
TC[0:1]
TC[2:4]
TC[5:6]
TC7
Link
VC0
VC1
TC[0:6]
TC7
TC[0:6]
TC7
Link
Mapping
Root
Complex
Mapping
Figure 2-8: An Example of TC/VC Configurations
2.6.4. VC and TC Rules
Here is a summary of key rules associated with the TC/VC mechanism:
• All PCI Express devices must support general purpose I/O Traffic Class, i.e., TC0
and must implement the default VC0.
• Each Virtual Channel (VC) has independent Flow Control.
• There are no ordering relationships required between different TCs
• There are no ordering relationships required between different VCs
• A Switch’s peer-to-peer capability applies to all Virtual Channels supported by the
Switch.
• Transactions with TC that is not mapped to any enabled VC in a PCI Express
Ingress Port are treated as malformed transaction by the receiving device.
• For Switches, transactions with TC that is not mapped to any of enabled VCs in the
target Egress Port are treated as illegal transaction.
PCI EXPRESS BASE SPECIFICATION, REV. 1.0
61
• For a Root Port, transactions with a TC that is not mapped to any of enabled VCs in
the target RCRB are treated as illegal transaction.
• Switches must support independent TC/VC mapping configuration for each port.
• Root Complex must support independent TC/VC mapping configuration for each
RCRB and the associated Root Ports.
For more details on the VC and TC mechanisms, including configuration, mapping, and
arbitration, refer to Chapter 7.3.
2.7. Transaction Layer Protocol - Packet Definition
and Handling
PCI Express uses a packet based protocol to exchange information between the Transaction
Layers of the two components communicating with each other over the Link. PCI Express
supports the following basic transaction types: Memory, I/O, Configuration, and Messages.
Two addressing formats for Memory Requests are supported: 32 bit and 64 bit.
Transactions are carried using Requests and Completions. Completions are used only where
required, for example, to return read data, or to acknowledge Completion of I/O and
Configuration Write Transactions. Completions are associated with their corresponding
Requests by the value in the Requester ID field of the Packet header.
2.7.1. Transaction Layer Packet Definition Rules
• All Transaction Layer Packets (TLPs) must start with one of the headers defined in
this section.
oSome TLPs include data following the header as determined by the Fmt[1:0]
field specified in the TLP header.
• TLP data must be four-byte naturally aligned and in increments of four-Byte Double
Words (DW).
• All TLP headers include the following fields:
oFmt[1:0] – Specifies global Format of TLP:
00 - 3DW header, no data
01 - 4DW header, no data
10 - 3DW header, with data
11 - 4DW header, with data
PCI EXPRESS BASE SPECIFICATION, REV. 1.0
62
oType[4:0] – See Table 2-8 for type encodings
Both Fmt[1:0] and Type[4:0] must be decoded to determine specifics
of TLP format.
oLength[9:0] – Length of data payload in DW
00 0000 0001 = 1DW
00 0000 0010 = 2DW
…..
11 1111 1111 = 1023DW
00 0000 0000 = 1024DW
oPermitted Fmt[1:0] and Type[4:0] field values are shown in Table 2-8.
All other encodings are reserved.
oTD - '1' indicates presence of TLP “digest” in the form of a single DW at the
end of the TLP (see Figure 2-2)
oEP -
If TD=’1’, EP ='0' means TLP digest is used for data poisoning;
EP='1' means TLP digest is used for and end-to-end CRC (ECRC)
field
If TD=’0’, EP='0' means TLP is not poisoned, EP='1' means TLP is
poisoned
Thus, the combination of TD and EP is interpreted as shown in
Table 2-7

PCI EXPRESS BASE SPECIFICATION, REV. 1.0
63
Table 2-7: TD and EP Field Values
TD EP TLPD Digest End-to-End
Data Integrity Error
Forwarding Digest Value Comments
0 0 Not present No No N/A
0 1 Not present No Yes N/A
Poisoned data
See
Section 2.11
FFFFFFFFh Poisoned data
1 0 Present No Yes Otherwise Not poisoned
data
Valid ECRC
See
Section 2.10
No errors
FFFFFFFFh2Poisoned data
1 1 Present Yes Yes
Otherwise ECRC error
Different types of TLPs are discussed in more detail in the following sections.
Table 2-8: Fmt[1:0] and Type[4:0] Field Encodings
TLP Type Fmt
[1:0]3
Type
[4:0]
Description
MRd 00
01
0 0000 Memory Read Request
MRdLk 00
01
0 0001 Memory Read Request–Locked
MWr 10
11
0 0000 Memory Write Request
IORd 00 0 0010 I/O Read Request
IOWr 10 0 0010 I/O Write Request
CfgRd0 00 0 0100 Configuration Read Type 0
CfgWr0 10 0 0100 Configuration Write Type 0
CfgRd1 00 0 0101 Configuration Read Type 1
CfgWr1 10 0 0101 Configuration Write Type 1
2Note that FFFFFFFFh cannot occur as a valid ECRC value.
3Requests with two Fmt[1:0] values shown can use either 32b (the first value) or 64b (the second value)
Addressing Packet formats.

PCI EXPRESS BASE SPECIFICATION, REV. 1.0
64
TLP Type Fmt
[1:0]3
Type
[4:0]
Description
Msg 01 1 0r2r1r0Message Request –The sub-field r[2:0]
specifies Message routing mechanism –
See Table 2-9
MsgD 11 1 0r2r1r0Message Request with data payload –The
sub-field r[2:0] specifies Message routing
mechanism –SeeTable2-9
MsgAS 01 1 1n2n1n0Message for Advanced Switching –The sub-
field n[2:0] specifies the message type:
1n2n1n0–Signaling Packet Messages
A detailed description of message types
and message headers will be presented in a
separate document entitled Advanced PCI
Express Packet Switching Specification.
This is a companion specification to the PCI
Express Base Specification.
MsgASD 11 1 1c2c1c0Message for Advanced Switching –The
sub-field c[2:0] specifies the message type:
1c2c1c0–Data Packet Messages
A detailed description of message types
and message headers will be presented in a
separate document entitled Advanced PCI
Express Packet Switching Specification.
This is a companion specification to the PCI
Express Base Specification.
Cpl 00 0 1010 Completion without Data –used for I/O and
Configuration Write Completions, and
Memory Read Completions with Completion
Status other than Successful Completion”
CplD 10 0 1010 Completion with Data –used for Memory,
I/O, and Configuration Read Completions
CplLk 00 0 1011 Completion for Locked Memory Read
without Data –used only in error case
CplDLk 10 0 1011 Completion for Locked Memory Read –
otherwise like CplD
All encodings not shown above are
Reserved

PCI EXPRESS BASE SPECIFICATION, REV. 1.0
65
Table 2-9: Message Routing
r[2:0] Description
000 Routed to Root Complex
001 Routed by Address
010 Routed by ID4
011 Broadcast from Root Complex
100 Local - Terminate at Receiver
101-111 Reserved - Terminate at Receiver
2.7.2. TLP Digest Rules
• For any TLP, a value of ‘1’ in the TD field indicates the presence of the TLP Digest
field at the end of the TLP
oThe presence or absence of the TLP Digest field must be checked for all
TLPs
oA TLP with a ‘1’ in the TD field but without a TLP Digest, or a TLP with a
TLP Digest but without a ‘1’ in the TD field, is a Malformed TLP
This is a reported error associated with the Receiving Port (see
Section 7.2)
• For any TLP with a TLP Digest field, a value of ‘1’ in the EP field indicates that the
TLP Digest field is used for an end-to-end CRC (ECRC)
oThe presence or absence of the ECRC must be checked for all TLPs
• If the device at the ultimate destination of the TLP-
osupports neither data poisoning nor ECRC checking, the device must ignore
the TLP Digest
osupports data poisoning but not ECRC checking, the device interprets the
value in the TLP Digest field according to Section 2.11
osupports ECRC checking, the device interprets the value in the TLP Digest
field as an ECRC value, according to the rules in Section 2.10.2
4Similar to a Completion or a Configuration Request.
PCI EXPRESS BASE SPECIFICATION, REV. 1.0
66
2.7.3. TLPs with Data Payloads - Rules
• Length is specified as a number of naturally aligned DW
• Length[9:0] is reserved for all Messages except those which explicitly refer to a Data
Length
oSee Message Code table in Section 2.7.4.4.
• The data payload of a TLP must not exceed the length specified by the value in the
Max_Payload_Size field of the Link Command Register (see Section 5.8.7).
oNote: Max_Payload_Size applies only to TLPs with data payloads; Memory
Read Requests are not restricted in length by Max_Payload_Size. The size of
the Memory Read Request is controlled by the Length field
oReceivers must check for violations of this rule. If a Receiver determines that
a TLP violates this rule, the TLP is a Malformed TLP
This is a reported error associated with the Receiving Port (see
Section 7.2)
• For TLPs, that include data, the value in the Length field and the actual amount of
data included in the TLP must be equal.
oReceivers must check for violations of this rule. If a Receiver determines that
a TLP violates this rule, the TLP is a Malformed TLP
This is a reported error associated with the Receiving Port (see
Section 7.2)
• Requests must not specify an Address/Length combination which causes a Memory
Space access to cross a 4K boundary.
oReceivers may optionally check for violations of this rule. If a Receiver
implementing this check determines that a TLP violates this rule, the TLP is
a Malformed TLP
If checked, this is a reported error associated with the Receiving Port
(see Section 7.2)
• Note: The Length specified in the Length field applies only to data – the
Transaction Digest is not included in the Length
• When a data payload is included in a TLP, the first Byte of data following the header
corresponds to the Byte address closest to zero and the succeeding Bytes are in
increasing Byte address sequence.
oExample: For a 16B write to location 100h, the first byte following the
header would be the byte to be written to location 100h, and the second byte
would be written to location 101h, and so on, with the final byte written to
location 10Fh.

PCI EXPRESS BASE SPECIFICATION, REV. 1.0
67
Implementation Note: Maintaining Alignment in Data Payloads
Section 2.7.6.2.1 discusses rules for forming Read Completions respecting certain natural
address boundaries. Memory Write performance can be significantly improved by respecting
similar address boundaries in the formation of the Write Request. Specifically, forming
Write Requests such that natural address boundaries of 64 or 128 Bytes are respected will
help to improve system performance.
2.7.4. Requests
Requests include a Request header which for some types of Requests will be followed by
some number of DW of data. The rules for each of the fields of the Request header are
defined in the following sections.
2.7.4.1. Address Field Rules
Two Address formats are specified, a 32b format and a 64b format. Figure 2-9 shows the
Request header format for 32b Addressing and Figure 2-10 shows the Request header
format for 64b Addressing.
• Memory Read Requests and Memory Write Requests can use either format.
oFor Addresses below 4 GB, Requesters must use the 32b format.
• I/O Read Requests and I/O Write Requests use the format shown in Figure 2-11.
• Configuration Read Requests and Configuration Write Requests use the format
shown in Figure 2-12.
• Msg and MsgD Requests use the format shown in Figure 2-13
• MsgAS and MsgASD Requests use the format shown in Figure 2-15
• All PCI Express Agents must decode all address bits in the header - address aliasing
is not allowed.
Implementation Note: Prevention of Address Aliasing
For correct software operation, full address decoding is required even in systems where it
may be known to the system hardware architect/designer that fewer than 64 bits of address
are actually meaningful in the system.

PCI EXPRESS BASE SPECIFICATION, REV. 1.0
68
OM13763
765
x0
43210765432107654321076543210
Reserved Attr RType
Fmt T
DE
P
RTCR
Requester ID
Address[31:2]
Tag Last DW
BE 1st DW
BE
Length
+0 +1 +2 +3
Byte 0 >
Byte 4 >
Byte 8 >R
Figure 2-9: Request Header Format for 32b Addressing of Memory
OM13764
765
x1
43210765432107654321076543210
Reserved Attr
T
DE
PR
R
Type
Fmt
RTCR
Requester ID
Address[31:2]
Address[63:32]
Tag Last DW
BE 1st DW
BE
Length
+0 +1 +2 +3
Byte 0 >
Byte 4 >
Byte 8 >
Byte 12 >
Figure 2-10: Request Header Format for 64b Addressing of Memory
OM13765
765
x0
432107654
000 00
32107654321076543210
000000
0000
0001
Reserved Attr
T
DE
PRType
Fmt
RTC
R
Requester ID
Address[31:2]
Tag Last DW BE 1st DW
BE
Length
+0 +1 +2 +3
Byte 0 >
Byte 4 >
Byte 8 >R
Figure 2-11: Request Header Format for I/O Transactions
OM13766
76543210765432107654321076543210
T
DE
PRTypeR R Reserved
Requester ID
Bus Number Reserved
Device
Number Ext. Reg.
Address Register
Address
Function
Number R
Tag 1st DW
BE
Length
+0 +1 +2 +3
Byte 0 >
Byte 4 >
Byte 8 >
x0 000 00 000000
0000
0001
Attr
Fmt TC
Last DW BE
Figure 2-12: Request Header Format for Configuration Transactions

PCI EXPRESS BASE SPECIFICATION, REV. 1.0
69
OM13767
765
01
43210765432107654
00
321076543210
0000000000
Reserved T
DE
PAttr RType
Fmt
RTCR
Requester ID
Address[31:2]/Reserved
Address[63:32]/Reserved
R
Tag Message Code
Length - Reserved
+0 +1 +2 +3
Byte 0 >
Byte 4 >
Byte 8 >
Byte 12 >
Figure 2-13: Request Header Format for Msg Request
OM14296
765
11
43210765432107654
00
321076543210
Reserved T
DE
PAttr R LengthType
Fmt
RTCR
Requester ID
Address[31:2]/Reserved
Address[63:32]/Reserved
R
Tag Message Code
+0 +1 +2 +3
Byte 0 >
Byte 4 >
Byte 8 >
Byte 12 >
Figure 2-14: Request Header Format for MsgD Request
OM13768
765
01
43210765432107654321076543210
0000000000
Reserved Attr
Fmt R
T
DE
P
TypeRTCR
(A detailed description of message types and message headers
will be included in a separate document, called the
Advanced PCI Express Packet Switching Specification, a
companion specification to the PCI Express Base Specification.)
Reserved for MsgAS
Length– Reserved
+0 +1 +2 +3
Byte 0
>
Byte 4
>
Byte 8
>
Byte 12
>
Figure 2-15: Request Header Format for MsgAS Request
OM14298
765
11
43210765432107654321076543210
Reserved Attr
Fmt R
T
DE
P
TypeRTCR
(A detailed description of message types and message headers
will be included in a separate document, called the
Advanced PCI Express Packet Switching Specification, a
companion specification to the PCI Express Base Specification.)
Reserved for MsgASD
Length
+0 +1 +2 +3
Byte 0
>
Byte 4
>
Byte 8
>
Byte 12
>
Figure 2-16: Request Header Format for MsgASD Request

PCI EXPRESS BASE SPECIFICATION, REV. 1.0
70
2.7.4.2. First/Last DW Byte Enable Rules
• The first DW Byte Enables[3:0] Field contains byte enables for the first DW of any
Memory Read or Write Request, and for the only DW of an I/O or Configuration
Request.
oIf there is only one DW for a Memory Request, this byte enable field is used.
oIf the Length field for a Request indicates a length of greater than 1DW, this
field must not be inactive (must not equal 0000b)
• The Last DW Byte Enables[3:0] Field contains byte enables for the last DW of any
Memory Read or Write Request.
oIf the Length field for a Request indicates a length of 1DW, this field must
be inactive (must equal 0000b).
oIf the Length field for a Request indicates a length of greater than 1DW, this
field must not be inactive (must not equal 0000b).
• These fields are never used with Msg, MsgD, MsgAS, or MsgASD Requests
oNote that these fields overlap the Message Code/Dest RID[7:0] fields
• For each bit of the Byte Enables Fields:
oa value of ‘0’ indicates that the corresponding Byte of Data must not be
written or, if non-prefetchable, must not be read at the Completer.
oa value of ‘1’ indicates that the corresponding Byte of Data must be written
or read at the Completer.
• If a Read Request of 1 DW specifies that no Bytes are enabled to be read (1st DW
Byte Enables[3:0] field = b’0000), the corresponding Completion must specify a
Length of 1 DW, and include a data payload of 1 DW
oThe contents of the data payload are unspecified and may be any value
• Receiver/Completer behavior is undefined for a TLP violating the Byte Enables
rules specified in this section.
• Receivers may optionally check for violations of the Byte Enables rules specified in
this section. If a Receiver implementing such checks determines that a TLP violates
one or more Byte Enable rules, the TLP is a Malformed TLP
oIf Byte Enable rules are checked, a violation is a reported error associated
with the Receiving Port (see Section 7.2)
Implementation Note: Zero Length Read
A Memory Read Request of 1 DW with no Bytes enabled, or “zero length Read,” may be
used by devices as a type of “flush” Request. For a Requester, the “flush” semantic allows a
device to ensure that previously issued Posted Writes have been completed at their PCI
Express destination.
PCI EXPRESS BASE SPECIFICATION, REV. 1.0
71
The “flush” semantic has wide application, and all Completers must implement the
functionality associated with this semantic. Because a Requester may use the “flush”
semantic without comprehending the characteristics of the Completer, Completers must
ensure that zero length reads do not have side-effects. This is really just a specific case of
the rule that in a non-prefetchable space, non-enabled Bytes must not be read at the
Completer. Note that the “flush” applies only to traffic in the same Traffic Class as the zero
length Read.
• Of the first DW Byte Enables[3:0] Field:
oBit 0 corresponds to Byte 0 of the first DW of data.
oBit 1 corresponds to Byte 1 of the first DW of data.
oBit 2 corresponds to Byte 2 of the first DW of data.
oBit 3 corresponds to Byte 3 of the first DW of data.
• Of the last DW Byte Enables[3:0] Field:
oBit 0 corresponds to Byte 0 of the last DW of data.
oBit 1 corresponds to Byte 1 of the last DW of data.
oBit 2 corresponds to Byte 2 of the last DW of data.
oBit 3 corresponds to Byte 3 of the last DW of data.
Figure 2-9, Figure 2-10, Figure 2-11, and Figure 2-12 show the Byte Enable fields for
Memory, I/O, and Configuration Requests.
2.7.4.3. Rules for Tag, Requester ID, Traffic Class, and Attribute
Fields
• The Tag[7:0] field contains the Tag as described in Section 2.4.2.
• The Requester ID[15:0] field contains the Requester ID as described in Section 2.4.2.
• The TC[2:0] field contains the Traffic Class identification as described in
Section 2.4.4.
• The Attr[1:0] field contains the Transaction Descriptor attribute as described in
Section 2.4.3.
Figure 2-9, Figure 2-10, Figure 2-11, Figure 2-12, Figure 2-13, and Figure 2-15 show these
fields.
PCI EXPRESS BASE SPECIFICATION, REV. 1.0
72
2.7.4.4. Message Space Rules
• Message codes and support requirements are defined in Table 2-10
• All devices must fully decode all Messages to distinguish supported Messages from
unsupported Messages (aliasing is not permitted).
• Message Requests are posted and do not require Completion.
• Message Requests follow the same ordering rules as Memory Write Requests.
• Except as noted, the Address field is Reserved
• Except as noted, the Attr(Attribute) field is set to 00b
• Except as noted, Messages use Traffic Class = 0
oReceivers must check for violations of this rule. If a Receiver determines that
a TLP violates this rule, the TLP is a Malformed TLP
This is a reported error associated with the Receiving Port (see
Section 7.2)
• Message Codes in the range 10000000 – 11111111 are reserved for Vendor Specific
use
• Receipt of an unsupported Message is an Unsupported Request
oAn Unsupported Request is a reported error associated with the Receiving
device/function (see Section 7.2)
oNote that many Messages are specified to be simply discarded by the
Receiver without effect – such Messages are not considered Unsupported
Requests, and are, therefore, not errors
Example: A PCI Express Endpoint receiving an Unlock Message.

PCI EXPRESS BASE SPECIFICATION, REV. 1.0
73
Table 2-10: Msg Codes
Support5
Name Code[7:0] Routing
r[2:0] R
CE
pS
wB
r
Req
ID6Description/Comments
Unlock 0000 0000 011 t r r BD Unlock Completer
ERR_COR 0011 0000 000 r t t B
BD
BDF
Signal detection of a
correctable error
ERR_NONFATAL 0011 0001 000 r t t B
BD
BDF
Signal detection of an
uncorrectable error
ERR_FATAL 0011 0011 000 r t t B
BD
BDF
Signal detection of a fatal
error
PM_Active_State_Nak 0001 0100 100 t rtr rB Power Management
related –see Chapter 6
If PME
supported:
PM_PME 0001 1000 000
t
BDF Power Management
related –see Chapter 6
PME_Turn_Off 0001 1001 011 t r r BDF Power Management
related –see Chapter 6
5Abbreviations:
RC = Root Complex
Sw=Switch(onlyusedwith“Link”routing)
Ep = Endpoint
Br = PCI Express/PCI Bridge
r = Supports as Receiver
t = Supports as Transmitter
Note that Switches must support passing Messages on all legal routing paths. Only Messages specifying
Local (0100b) routing or a reserved field value are terminated locally at the Receiving Port on a Switch.
6The Requester ID includes sub-fields for Bus Number, Device Number and Function Number. Some
Messages are not associated with specific Devices or Functions in a component, and for such Messages
these fields are Reserved; this is shown in this column using a code. Some messages can be used in more
than one context, and therefore more than one code may be listed. The codes in this column are:
B = Bus Number included; Device Number and Function Number are Reserved
BD = Bus Number and Device Number included; Function Number is Reserved
BDF = Bus Number, Device Number, and Function Number are included

PCI EXPRESS BASE SPECIFICATION, REV. 1.0
74
SupportName Code[7:0] Routing
r[2:0] R
CE
pS
wB
r
Req
ID Description/Comments
r t tPME_TO_Ack 0001 1011 000
(Note: Switch
handling is
special)
BDF Power Management
related –see Chapter 6
All:
r
As Required:
Assert_INTA 0010 0000 100
t t
B Assert INTA virtual signal
Note: These Messages
areusedforPCI2.3
compatible INTx
emulation
All:
r
As Required:
Assert_INTB 0010 0001 100
t t
B Assert INTB virtual signal
All:
r
As Required:
Assert_INTC 0010 0010 100
t t
B Assert INTC virtual signal
All:
r
As Required:
Assert_INTD 0010 0011 100
t t
B Assert INTD virtual signal
All:
r
As Required:
Deassert_INTA 0010 0100 100
t t
B De-assert INTA virtual
signal
All:
r
As Required:
Deassert_INTB 0010 0101 100
t t
B De-assert INTB virtual
signal
All:
r
As Required:
Deassert_INTC 0010 0110 100
t t
B De-assert INTC virtual
signal
All:
r
As Required:
Deassert_INTD 0010 0111 100
t t
B De-assert INTD virtual
signal

PCI EXPRESS BASE SPECIFICATION, REV. 1.0
75
SupportName Code[7:0] Routing
r[2:0] R
CE
pS
wB
r
Req
ID Description/Comments
t r tr rAttention_Indicator_On 0100 0001 100
Required for
Hot Plug
Support
BDF Attention Indicator On
t r tr rAttention_Indicator_Blink 0100 0011 100
Required for
Hot Plug
Support
BDF Attention Indicator Blink
t r tr rAttention_Indicator_Off 0100 0000 100
Required for
Hot Plug
Support
BDF Attention Indicator Off
t r tr rPower_Indicator_On 0100 0101 100
Required for
Hot Plug
Support
BDF Power Indicator On
t r tr rPower_Indicator_Blink 0100 0111 100
Required for
Hot Plug
Support
BDF Power Indicator Blink
t r tr rPower_Indicator_Off 0100 0100 100
Required for
Hot Plug
Support
BDF Power Indicator Off
r t r tAttention_Button_Pressed 0100 1000 100
Required for
Hot Plug
Support
BDF Attention Button Pressed
Vendor Specific 1000 0000
to
1111 1111
000 to
1007See note. See
note. Codes in this range are
reserved for vendor
definition.
Note: Implementation specific.
7Any value in this range is permitted.

PCI EXPRESS BASE SPECIFICATION, REV. 1.0
76
Table 2-11: MsgD Codes
SupportName Code[7:0] Routing
r[2:0] R
CE
pS
wB
r
Req ID Description/Comments
t r tr rSet_Slot Power_Limit 0101 0000 100 BDF Set Slot Power Limit in
Upstream Port
Payload_Defined 0111 1111 000 to
100 See note. See
note. See Section 2.8.1.5
Vendor Specific 1000 0000
to
1111 1111
000 to
100 See note. See
note. Codes in this range are
reserved for vendor
definition.
Note: Implementation specific.
2.7.5. Completions
All Read Requests and Non-Posted Write Requests require Completion. Completions
include a Completion header that, for some types of Completions, will be followed by some
number of DW of data. The rules for each of the fields of the Completion header are
defined in the following sections.
Figure 2-17 shows the format of a Completion header.
OM13769
765
x0
43210765432107654321076543210
Reserved T
DE
PAttr RType
Fmt
RTCR
Completer ID
Requester ID Tag Reserved R
Reserved Reserved Compl.
Status
Length
+0 +1 +2 +3
Byte 0 >
Byte 4 >
Byte 8 >
Figure 2-17: Completion Header Format
2.7.5.1. Rules for Completers
• The Completion Status[2:0] field indicates the status for a Completion:
o000b – Successful Completion (SC)
o001b – Unsupported Request (UR)
o010b – Configuration Request Retry Status (CRS)
o100b – Completer Abort (CA)
oAll others Reserved

PCI EXPRESS BASE SPECIFICATION, REV. 1.0
77
• Rules for determining the value in the Completion Status[2:0] field are in
Section 2.7.6.2
• The Completer ID[15:0] field is a 16-bit value that is unique for every PCI Express
function (see Figure 2-18)
• Functions must capture the Bus and Device Numbers supplied with all
Configuration Requests (Type 0) completed by the function, and supply these
numbers in the Bus and Device Number fields of the Completer ID for all
Completions generated by the device/function.
oIf a function must generate a Completion prior to the initial device
Configuration Request, 0’s must be entered into the Bus Number and Device
Number fields
oNote that Bus Number and Device Number may be changed at run time,
and so it is necessary to re-capture this information with each and every
Configuration Request.
oException: The assignment of bus numbers to the logical devices within a
Root Complex may be done in an implementation specific way.
• In some cases, a Completion with the UR status may be generated by a
multi-function device without associating the Completion with a specific function
within the device – in this case, the Function Number field is Reserved, and is set to
all ‘0’s
oExample: A multi-function device receives a Read Request which does not
target any resource associated with any of the functions of the device – the
device generates a Completion with UR status and sets a value of all ‘0’s in
the Function Number field of the Completer ID
OM13770
Bus Number Device
Number
7:0
Function
Number
2:04:0
Completer ID
Figure 2-18: Completer ID
• Completion headers must supply the same values for the Requester ID, Tag, Attribute
and Traffic Class as were supplied in the header of the corresponding Request.
Note: Prior to system initialization, Requester ID values may not be established. It is
required that all Requests made prior to system initialization be initiated by the Root
Complex, as all Completions will be routed to the Root Complex.
• The Completion ID field is not meaningful prior to the software initialization and
configuration of the completing device (using at least one Configuration Write Request),
and the Requestor must ignore the value returned in the Completer ID field.
PCI EXPRESS BASE SPECIFICATION, REV. 1.0
78
• A Completion including data must specify the actual amount of data returned in that
Completion, and must include the amount of data specified.
oIt is a TLP formation error to include more or less data than specified in the
Length field, and the resulting TLP is a malformed TLP.
Note: This is simply a specific case of the general rule requiring TLP data payload
length match the value in the Length field.
2.7.6. Handling of Received TLPs
2.7.6.1. Handling of Received TLPs – Rules
This section describes how all Received TLPs are handled when they are delivered to the
Receive Transaction Layer from the Receive Data Link Layer, after the Data Link Layer has
validated the integrity of the received TLP. The rules are diagramed in the flowchart shown
in Figure 2-19.
• Values in Reserved fields must be ignored by the Receiver.
• All Received TLPs which fail the required (and implemented optional) checks of TLP
formation rules described in this section, or which use undefined Type field values, are
Malformed TLPs (MP) and must be discarded without updating Receiver Flow Control
information
oThis is a reported error associated with the Receiving Port (see Section 7.2)
• If the value in the Type field is a defined value, update Receiver Flow Control tracking
information (see Section 2.9)
• If the value in the Type field indicates the TLP is a Request, handle according to Request
Handling Rules, otherwise, the TLP is a Completion – handle according to Completion
Handling Rules (following sections)

PCI EXPRESS BASE SPECIFICATION, REV. 1.0
79
Is value in
Type field
Defined?
Is TLP a Request?
Start
*TLP Header fields which are marked Reserved are not checked at the Receiver
Ignoring
Reserved Fields*, Does
TLP follow formation
rules?
TLP is a Request-
See rules for Request Handling
TLP is a Completion-
See rules for
Completion Handling
Update Flow
Control tracking
Yes
Yes
Yes
No
No
End
No
TLP is Malformed:
Discard TLP
Report Malformed Packet
OM13771
Figure 2-19: Flowchart for Handling of Received TLPs
Switches must process both TLPs which address resources within the Switch as well as TLPs
which address resources residing outside the Switch. Switches handle all TLPs which address
internal resources of the Switch according to the rules above. TLPs which pass through the
Switch, or which address the Switch as well as passing through it, are handled according to
the following rules (see Figure 2-20):
• If the value in the Type field indicates the TLP is not a Msg or MsgD Request, the TLP
must be routed according to the Switch routing rules
• Switches route Completions using the information in the Requester ID field of the
Completion.
• If the value in the Type field indicates the TLP is a Msg or MsgD Request, route the
Request according to the routing mechanism indicated in the r[2:0] sub-field of the Type
field
oIf the value in r[2:0] indicates the Msg/MsgD terminates at the Receiver, or if the
Message Code field value is defined and corresponds to a Message which must
be comprehended by the Switch, the Switch must process the message according
to the Message processing rules

PCI EXPRESS BASE SPECIFICATION, REV. 1.0
80
Is Message (also)
directed to Receiving
Port of Switch?
Is value in
Message Code
field defined?
Start
Is TLP a
Msg or MsgD
Request?
Route TLP to egress Port
according to routing rules
Process Message according to
Message handling rules
No
Yes
Yes
No
No
End
Propagate to egress Port(s)
according to r[2:0] sub-field
of Type field End
End
Unsupported Request End
OM13772
Yes
Figure 2-20: Flowchart for Switch Handling of TLPs
2.7.6.2. Request Handling Rules
This section describes how Received Requests are handled, following the initial processing
done with all TLPs. The rules are diagramed in the flowchart shown in Figure 2-21.
• If the Request Type is not supported by the device, the Request is an Unsupported
Request, and is reported according to Section 7.2
oIf the Request requires Completion, a Completion Status of UR is returned (see
Section 2.7.5)
• If the Request is a Message, and the Message Code specifies an undefined or
unsupported value, the Request is an Unsupported Request, and is reported according to
Section 7.2
oIf the Message Code is a supported value, process the Message according to the
corresponding Message processing rules
If the Request is not a Message, and is a supported Type, specific implementations may be
optimized based on a defined programming model which ensures that certain types of

PCI EXPRESS BASE SPECIFICATION, REV. 1.0
81
(otherwise legal) Requests will never occur. Such implementations may take advantage of
the following rule:
• If the Request violates the programming model of the device, the device may optionally
treat the Request as a Completer Abort, instead of handling the Request normally
oIf the Request is treated as a Completer Abort, this is a reported error associated
with the device/function (see Section 7.2)
oIf the Request requires Completion, a Completion Status of CA is returned (see
Section 2.7.5)
Implementation Note: Optimizations Based on Restricted Programming Model
When a device’s programming model restricts (vs. what is otherwise permitted in PCI
Express) the characteristics of a Request, that device is permitted to “Completer Abort” any
Requests which violate the programming model. Examples include unaligned or wrong-size
access to a register block and unsupported size of request to a memory space.
Generally, devices are able to assume a restricted programming model when all
communication will be between the device’s driver software and the device itself. Devices
which may be accessed directly by operating system software or by applications which may
not comprehend the restricted programming model of the device (typically devices which
implement “legacy” capabilities) should be designed to support all types of Requests which
are possible in the existing usage model for the device. If this is not done, the device may
fail to operate with existing software.
• Otherwise (supported Request Type, not a Message), process the Request
oIf the Completer is permanently unable to process the Request due to a device-
specific error condition the Completer must, if possible, handle the Request as a
Completer Abort
oThis is a reported error associated with the Receiving device/function, if
the error can be isolated to a specific device/function in the component,
or to the Receiving Port if the error cannot be isolated (see Section 7.2)
oFor Configuration Requests only, following reset it is possible for a device to
indicate that it is temporarily unable to process the Request – in this case, the
Configuration Request Retry Status Completion Status is used (see Section 7.6)
oIn the process of servicing the Request, the Completer may determine that the
(otherwise acceptable) Request must be handled as an error, in which case the
Request is handled according to the type of the error
oExample: A PCI Express/PCI Bridge may initially accept a Request
because it specifies a memory range mapped to the secondary side of the
Bridge, but the Request may Master Abort or Target Abort on the PCI
side of the Bridge. From the PCI Express perspective, the status of the
Request in this case is UR (for Master Abort) or CA (for Target Abort).
If the Request requires Completion on PCI Express, the corresponding
Completion Status is returned.

PCI EXPRESS BASE SPECIFICATION, REV. 1.0
82
• If the Request is a type which requires a Completion to be returned, generate a
Completion according to the rules for Completion Formation (see Section 2.7.5)
oThe Completion Status is determined by the result of handling the Request
OM13773
Does Request require
a Completion?
Start
Is Request Type
Supported?
Request Type = Msg?
Yes
Yes
Yes
Yes
Does Request violate
Device programming
model?
No
Optional
No
No
End
End
Unsupported
Request
Send Completion:
Completion Status = UR
No
Does Request
require a
Completion?
Yes End
End
Send Completion:
Completion Status = CA
No
Process Request according to
Request handling rules
(determine Completion Status,
if applicable)
Does Request require
a Completion?
Yes End
End
Send Completion
No
EndEnd
Process Message
according to Message
Handling Rules
Unsupported
Request
No Is value in
Message Code
field defined?
Yes
Figure 2-21: Flowchart for Handling of Received Request

PCI EXPRESS BASE SPECIFICATION, REV. 1.0
83
Implementation Note: Configuration Retry Status
Some devices require a lengthy self-initialization sequence complete before they are able to
service Configuration Requests (common with intelligent I/O solutions on PCI). PCI/PCI-
X architecture has specified a 225 (PCI) or 226 (PCI-X) clock “recovery time” following reset
to provide the required self-initialization time for such devices. PCI Express “softens” the
need for this time based recovery period by implementing a Configuration Request Retry
Completion Status. A device in receipt of a Configuration Request may respond with a
Configuration Request Retry Completion Status to effectively stall the Configuration
Request until such time that the subsystem has completed local initialization and is ready to
communicate with the host. Note that is only legal to respond with a configuration retry
completion status in response to a Configuration Request. Sending this Completion Status
in response to any other Request type will result in the generation of an error condition
(Malformed TLP – see Section 7.2).
A Root Complex in receipt of a Configuration Request Retry Completion Status in response
to its Configuration Request may choose to re-issue the Configuration Request as a new
Request on PCI Express or complete the Request to the host as a failed transaction. Root
Complex implementations may further choose to only allow a fixed number of
Configuration Request/Retry Completion Status loops before determining that something is
wrong with the target of the Request and taking appropriate action. When used in systems
including PCI Express to PCI/PCI-X bridges, the Root Complex must comprehend the
limit Trhfa for PCI/PCI-X agents.
The net result is that existing enumeration and configuration code will not see the lower
level retry protocol semantics that are kept at the hardware level. The CPU will only see
latency associated with the initial Configuration Request. See Section 7.6 for more
information on reset.
2.7.6.2.1. Data Return for Read Requests
• Individual Completions for Memory Read Requests may provide less than the full
amount of data Requested so long as all Completions for a given Request when
combined return exactly the amount of data Requested in the Read Request.
oCompletions for different Requests cannot be combined.
oI/O and Configuration Reads must be completed with exactly one Completion.
oThe Completion Status for a sub-Completion corresponds only to the status
associated with the data returned with that sub-Completion
A sub-Completion with status other than Successful Completion, or for a
Configuration Read only, Configuration Retry Status, terminates the
Completions for a single Read Request
• In this case, the value in the Length field is undefined, and must
be ignored by the Receiver
PCI EXPRESS BASE SPECIFICATION, REV. 1.0
84
• Completions must not include more data than permitted by the Max_Payload_Size
parameter, calculated as a naturally aligned boundary.
oReceivers must check for violations of this rule – TLPs in violation are
Malformed TLPs
oThis is a reported error associated with the Receiving Port (see Section 7.2)
Note: This is simply a special case of the rules which apply to all TLPs with data
payloads
• Read Requests may be completed with one, or in some cases, multiple Completions
• There is a parameter, R, which determines the naturally aligned address boundaries on
which a Read Request may be serviced with multiple Completions
oFor a Root Complex, R is 64B or 128B
This value is reported through a configuration register (see Section 5.8)
Note: Bridges and Endpoints may implement a corresponding command bit
which may be set by system software to indicate the R value for the Root
Complex, allowing the Bridge/Endpoint to optimize its behavior when the
Root Complex’s R is 128B.
oFor all other system elements, R is 128B
• Completions for Requests which do not cross the naturally aligned address boundaries at
integer multiples of R Bytes must include all data specified in the Request
• Requests which do cross the address boundaries at integer multiples of R Bytes may be
completed using more than one Completion, but the data must not be fragmented
except along the address boundaries.
oThe first Completion must start with the address specified in the Request, and
must end at one of the following:
the address specified in the Request plus the length specified by the
Request (i.e. the entire Request)
an address boundary between the start and end of the Request at an
integer multiple of R Bytes
oThe final Completion must end with the address specified in the Request plus
the length specified by the Request
oAll Completions between, but not including, the first and final Completions must
be an integer multiple of R Bytes in length
• Receivers may optionally check for violations of R. If a Receiver implementing this
check determines that a Completion violates this rule, it must handle the Completion
as a Malformed TLP
oThis is a reported error associated with the Receiving Port (see Section 7.2)
• Multiple Memory Read Completions for a single Read Request must return data in
increasing address order.
PCI EXPRESS BASE SPECIFICATION, REV. 1.0
85
• When a Read Completion is generated with a Completion Status other than “Successful
Completion”:
oNo data is included with the Completion
The Cpl (or CplLk) encoding is used instead of CplD (or CplDLk)
oThis Completion is the final Completion for the Request.
The Completer must not transmit additional Completions for this
Request.
• Example: Completer split the Request into four parts for
servicing; the second Completion had a Completer Abort
Completion Status; the Completer terminated servicing for the
Request, and did not Transmit the remaining two Completions.

PCI EXPRESS BASE SPECIFICATION, REV. 1.0
86
Implementation Note: Restricted Programming Model
When a device’s programming model restricts (vs. what is otherwise permitted in PCI Express)
the size and/or alignment of Read Requests directed to the device, that device is permitted to
use a Completer Abort Completion Status for Read Requests which violate the programming
model. An implication of this is that such devices, generally devices where all communication
will be between the device’s driver software and the device itself, need not necessarily implement
the buffering required to generate Completions of length R. However, in all cases, the
boundaries specified by R must be respected for all reads which the device will Complete with
Successful Completion status.
Examples:
1: Memory Read Request with Address of 1 0000h and Length of C0h Bytes (192 decimal)
could be completed by a Root Complex with an R value of 64 Bytes with one of the following
combinations of Completions (Bytes):
192 –or–
128, 64 –or–
64, 128 –or–
64, 64, 64
2: Memory Read Request with Address of 10000h and Length of C0h Bytes (192 decimal) could
be completed by a Root Complex with an R value of 128 Bytes in one of the following
combinations of Completions (Bytes):
192 –or–
128, 64
3: Memory Read Request with Address of 10020h and Length of 100h Bytes (256 decimal)
could be completed by a Root Complex with an R value of 64 Bytes in one of the following
combinations of Completions (Bytes):
256 –or–
32, 224 –or–
32, 64, 160 –or–
32, 64, 64, 96 –or–
32, 64, 64, 64, 32 –or–
32, 64, 128, 32 –or–
32, 128, 96 –or–
32, 128, 64, 32 –or–
96, 160 –or–
96, 128, 32 –or–
96, 64, 96 –or–
96, 64, 64, 32 –or–
160, 96 –or–
160, 64, 32 –or–
224, 32
4: Memory Read Request with Address of 10020h and Length of 100h Bytes (256 decimal)
could be completed by an Endpoint in one of the following combinations of Completions
(Bytes):
256 –or–
96, 160 –or–
96, 128, 32 –or–
224, 32
PCI EXPRESS BASE SPECIFICATION, REV. 1.0
87
2.7.6.3. Completion Handling Rules
• When a device receives Completion which does not correspond to any of outstanding
Requests issued by that device, the Completion is called an “Unexpected Completion.”
• Receipt of an Unexpected Completion is an error and must be handled according to the
following rules:
oThe Agent receiving an Unexpected Completion must discard the Completion.
oAn Unexpected Completion is a reported error associated with the Receiving
Port (see Section 7.2)
Note: Unexpected Completions are assumed to occur mainly due to Switch
misrouting of the Completion. The Requester of the Request may not receive a
Completion for its Request in this case, and the Requester’s Completion Timeout
mechanism (see Section 2.12) will terminate the Request.
• Completions with a Completion Status other than Successful Completion, or
Configuration Request Retry Status (in response to Configuration Request only) must
cause the Requester to:
oFree any Flow Control credits and other resources associated with the Request.
oReport the error according to the rules in Section 7.2.
• Completions with a Configuration Request Retry Status in response to a Request other
than a Configuration Request are Malformed TLPs
oThis is a reported error associated with the Receiving Port (see Section 7.2)
• Completions with a Reserved Completion Status value are treated as if the Completion
Status was Unsupported Request (UR)
oThis is a reported error associated with the Receiving device/function,
normally the same as the Requestor (see Section 7.2)
• When a Read Completion is received with a Completion Status other than “Successful
Completion”:
oNo data is included with the Completion
The Cpl (or CplLk) encoding is used instead of CplD (CplDLk)
oThis Completion is the final Completion for the Request.
The Requester must consider the Request terminated, and not expect
additional Completions.
• Handling of partial Completions Received earlier is
implementation specific.
Example: The Requester received 32B of Read data for a 128B Read Request it
had issued, then a Completion with the Completer Abort Completion Status.
The Requester then must free the internal resources which had been allocated for
that particular Read Request.

PCI EXPRESS BASE SPECIFICATION, REV. 1.0
88
Implementation Note: Read Data Values with UR Completion Status
Some system configuration software depends on reading a data value of all ‘1’s when a
Configuration Read Request is terminated as an Unsupported Request, particularly when
probing to determine the existence of a device in the system. A Root Complex intended for
use with software that depends on a read-data value of all ‘1’s must synthesize this value
when UR Completion Status is returned for a Configuration Read Request.
2.8. Messages
The PCI Express specification defines the following Messages:
• Baseline Message Group
oInterrupt Signaling
oPower Management
oError Signaling
oLocked Transaction Support
oSlot Power Limit Support
oPayload Defined
oVendor Specific Messages
oHot Plug Signaling
• Advanced Switching Support Message Group
oData Packet Messages
oSignal Packet Messages
2.8.1. Baseline Messages
2.8.1.1. Interrupt Signaling - Rules
• MSIs follow the rules defined for PCI.
• MSIs are expressed as Memory Writes, and follow rules for Packet formation,
Flow Control, and Data Integrity in the same way as Memory Writes
• MSIs enforce data consistency by pushing ahead of them any previously posted
write data using the same TC (as required by the ordering rules in Section 2.5).
• When MSIs are not enabled, interrupts are signaled using the Assert_INTx and
Deassert_INTx messages

PCI EXPRESS BASE SPECIFICATION, REV. 1.0
89
• Assert_INTx/Deassert_INTx messages are only issued Upstream (towards the
Root Complex)
oReceivers may optionally check for violations of this rule. If a Receiver
implementing this check determines that an
Assert_INTx/Deassert_INTx violates this rule, it must handle the TLP
as a Malformed TLP
This is a reported error associated with the Receiving Port (see
Section 7.2)
• The following have no effect, but are not errors:
oFor a particular ‘x’ (A, B, C or D), receipt of an Assert_INTx message
following an earlier Assert_INTx without a Deasssert_INTx message
between
oFor a particular ‘x’ (A, B, C or D), receipt of a Deassert_INTx message
following an earlier Deassert_INTx without an Asssert_INTx message
between
• All Assert_INTx and Deassert_INTx interrupt messages must use the default
Traffic Class designator (TC0) Receivers must check for violations of this rule. If
a Receiver determines that a TLP violates this rule, it must handle the TLP as a
Malformed TLP
oThis is a reported error associated with the Receiving Port (see
Section 7.2)
Implementation Note: Synchronization of Data Traffic and Interrupts
All Assert_INTx and Deassert_INTx interrupts Requests must use TC0, which ensures that
the classic ordering behavior expected in legacy hardware is maintained. MSIs may use the
TC that is most appropriate for the device's programming model. This is generally the same
TC as is used to transfer data; for legacy I/O, TC0 is used.
If a device uses more than one TC, it must explicitly ensure that proper synchronization is
maintained between data traffic and interrupt message(s) not using the same TC. Methods
for ensuring this synchronization are implementation specific. One option is for a device to
issue a zero length Read (as described in Section 2.7.4.2) using each additional TC used for
data traffic prior to issuing the MSI. Other methods are also possible. Note, however, that
platform software (e.g., a device driver) is generally only capable of issuing transactions using
TC0.
The Assert_INTx/Deassert_INTx message pairs constitute four “virtual wires” for each of
the legacy PCI interrupts designated A, B, C, and D. The above rules for INTx messaging
apply to all PCI Express compliant components, and facilitate the logical emulation of level-
sensitive interrupt lines. A set of four virtual INTx wires is associated with each and every
PCI Express Link in a hierarchy, and the components at both ends of each Link must track
their logical state. Further rules apply to Switches, Bridges and Root Complexes to enable
proper emulation of level-sensitive PCI interrupts.
PCI EXPRESS BASE SPECIFICATION, REV. 1.0
90
Rules for Assert_INTx/Deassert_INTx specific to Switches and Bridges:
• Components providing multiple Downstream Links must track the state of the
four “virtual wires” embodied in the Assert_INTx/Deassert_INTx pairs
independently for each of its Downstream Links, and present a “collapsed” set
of Assert_INTx/Deassert_INTx pairs on its Upstream Link following the rules
outlined above
oCollapsing of Downstream virtual wire state onto Upstream virtual wire
state must follow the mapping rules provided below.
• In the event that a Downstream Link goes to the DL_Down status (due to
surprise removal, hardware failure, software-initiated reset, etc.), the “virtual
wires” embodied in the Assert_INTx/Deassert_INTx pairs associated with that
Link must be de-asserted. If that results in de-assertion of any Upstream
Assert_INTx/Deassert_INTx “virtual wires,” then the appropriate
Deassert_INTx message(s) must be sent Upstream.
Rules for Assert_INTx/Deassert_INTx specific to the Root Complex:
• The Root Complex must track the state of the four “virtual wires” embodied in
the Assert_INTx/Deassert_INTx pairs independently for each of its
Downstream Links, and map these virtual signals to system interrupt resources.
oDetails of mapping to system interrupt resources are beyond the scope of
this specification
• In the event that a Link attached to the Root Complex goes to the DL_Down
status, the “virtual wires” embodied in the Assert_INTx/Deassert_INTx pairs
associated with that Link must be de-asserted, and any associated system
interrupt resource request must also be discarded.
Within a Switch or below a Bridge, there are typically multiple devices (the virtual PCI
bridges for each Downstream Port in the case of a Switch) which must have their associated
INTx states mapped to the Upstream Port. The following rules describe how this mapping
must be done.
• Switches must collapse the INTx “virtual wires” from each of their Downstream
PCI Express Links according to Table 2-12.
oThe mapping is based on the device number (irrespective of the function
number) of the PCI to PCI bridge structure representing the
Downstream Port of the Switch.

PCI EXPRESS BASE SPECIFICATION, REV. 1.0
91
Table 2-12: Switch Mapping for INTx
Dev # of P2P Representing
Switch Downstream Port
INTx Message from
Downstream PCI Express
Link
Mapping to INTx
Message on Upstream
PCI Express Link
INTA INTA
INTB INTB
INTC INTC
0,4,8,12,16,20,24,28
INTD INTD
INTA INTB
INTB INTC
INTC INTD
1,5,9,13,17,21,25,29
INTD INTA
INTA INTC
INTB INTD
INTC INTA
2,6,10,14,18,22,26,30
INTD INTB
INTA INTD
INTB INTA
INTC INTB
3,7,11,15,19,23,27,31
INTD INTC
• PCI Express-PCI/X Bridges must collapse the INTA-INTD pins from each of their
Downstream PCI/X buses into just four INTx “virtual wires” on their Upstream Port.
oThe mapping between the INTx pin on PCI/X bus and the corresponding INTx
messages on PCI Express is based on the device number of the PCI/X device
requesting the interrupt. The mapping is essentially the same as for switches
(shown in Table 2-12) except that the “device numbers” column represents the
PCI/X device numbers.
oMulti-headed PCI Express-PCI/X bridges will collapse the interrupts across the
multiple PCI/X buses following the same rules as described for switches. For
example, a dual-headed PCI Express-PCI-X bridge would collapse the INTA
pins from its two Downstream PCI/X buses as shown in Figure 2-22.

PCI EXPRESS BASE SPECIFICATION, REV. 1.0
92
OM13774
PCI Express-PCI(-X) Bridge
PCI Bus A
INTA# Pin
PCI Bus A PCI Bus B
PCI Bus B
INTA# Pin
Assert_INTA/
Deassert_INTA PCI Express
OR
Figure 2-22: INTx Collapsing in a Dual-Headed Bridge
• All internal devices integrated within a Switch or Bridge follow the same mapping rules
for interrupt collapsing as described for Switches above.
oMapping is based on the device number of the integrated device and is shown in
Table 2-12, with the modification that the device number represents the device
number of the integrated device.
oThe Bridge/Switch consolidates interrupts from their Downstream Ports/Links
and the internal integrated devices following all of the rules stated above and
creates just four INTx “virtual wires” for its Upstream Port
Note that the Requester ID of an Assert_INTx/Deassert_INTx Message will correspond to
the Transmitter of the message on that Link, and not necessarily to the original source of the
interrupt.
Implementation Note: System Interrupt Mapping
Note that system software (including BIOS and operating system) needs to comprehend the
remapping of legacy interrupts (INTx mechanism) in the entire topology of the system
(including hierarchically connected Switches and subordinate PCI Express/PCI Bridges) to
establish proper correlation between PCI Express device interrupt and associated interrupt
resources in the system interrupt controller. The remapping described by Table 2-12 is
applied hierarchically at every Switch. In addition, PCI Express/PCI and PCI/PCI Bridges
perform a similar mapping function.

PCI EXPRESS BASE SPECIFICATION, REV. 1.0
93
2.8.1.2. Power Management Group
This Message group is used to support PCI Express power management. Table 2-13
summarizes the list of Messages that belong to this group.
Table 2-13: Power Management System Messages
Message Parameters Comments
PM_Active_State_Nak None Terminate at Receiver
PM_PME None Sent Upstream by PME-requesting
component. Propagates
Upstream.
PME_Turn_Off None Broadcast Downstream
PME_TO_Ack None Sent Upstream by Endpoint. Sent
Upstream by Switch when received
on all Downstream Ports.
Notes:
• Address field for all these messages is reserved.
• The Length Field is reserved for all Power Management Messages.
• All power management system messages must use the default Traffic Class
designator (TC0).
For more details on the usage of Power Management Messages, refer to Chapter 6.
2.8.1.3. Error Signaling/Logging Group
Error Messages are used to signal errors that occur on specific transactions and errors that
are not necessarily associated with a particular transaction (e.g., Link training fails). These
Messages are initiated by the agent that detected an error.
All Error Messages must use the default Traffic Class Designator (TC0).

PCI EXPRESS BASE SPECIFICATION, REV. 1.0
94
Table 2-14: Error Messages
Error Message Description
ERR_COR This Message is issued when the component or device detects a
correctable error on the PCI Express interface. The Root
Complex is the ultimate recipient for this Message.
ERR_NONFATAL This Message is issued when the component or device detects a
non-fatal, uncorrectable error on the PCI Express interface. The
Root Complex is the ultimate recipient for this Message.
ERR_FATAL This Message is issued when the component or device detects a
fatal, uncorrectable error on the PCI Express interface. The Root
Complex is the ultimate recipient for this Message.
The initiator of the message is identified with the Requester ID of the message header. The
Root Complex translates these error messages into platform level events. Refer to
Section 7.2 for details on uses for these messages.
2.8.1.4. Messages for Support of Locked Transactions
The PCI Express specification defines the Unlock Message to support Lock Transaction
sequences. The following rules apply to Unlock Message:
• The Unlock Message must use the default Traffic Class designator (TC0)
See Section 7.5 for details on implementing support for Lock Transaction sequences.
2.8.1.5. Slot Power Limit Support
The Set_Slot_Power_Limit message includes a one DW data payload. This message is used
to convey a slot power limitation value from a Downstream Port (of a Root Complex or a
Switch) to an Upstream Port of component (Endpoint, Switch or a PCI Express-PCI
Bridge) attached to the same Link. The data payload is copied from the Slot Capabilities
Register of the Downstream Port and is written into the Device Capabilities Register of the
Upstream Port on the other side of the Link. Bits 9:8 of the data payload map to the Slot
Power Limit Scale field and Bits 7:0 map to the Slot Power Limit Value field. This message is
sent automatically by the Downstream Port (of a Root Complex or a Switch) when one of
the following events occurs:
oOn a Configuration Write to the Slot Capabilities Register (see Section 5.8.9) when the
Data Link Layer reports DL_Up status.
oAnytime when Link transitions from a non-DL_Up status to a DL_Up status (see
Section 2.14).
The component on the other side of the Link (Endpoint, Switch or PCI Express-PCI
Bridge) that receives Set_Slot_Power_Limit message must copy the values in the data
payload into the Device Capabilities Register associated with the component’s Upstream
Port. PCI Express components that are targeted exclusively for integration on the system
planar (e.g. motherboard) as well as components that are targeted for integration on a
card/module where power consumption of the entire card/module is below the lowest
PCI EXPRESS BASE SPECIFICATION, REV. 1.0
95
power limit specified for the card/module form-factor (as defined in the corresponding
electromechanical specification) are permitted to hardwire the value “0” in the Slot Power
Limit Scale and Slot Power Limit Value fields of the Device Capabilities Register, and are
not required to copy the Set_Slot_Power limit payload into that register.
For more details on Power Limit control mechanism see Section 7.9.
2.8.1.6. Payload_Defined Message
The Payload_Defined Message allows expansion of PCI Express messaging capabilities,
either as a general extension to the PCI Express specification or a vendor-specific extension.
Such extensions are not covered specifically in this document. This section defines the rules
associated with this Message generically.
• The Payload_Defined Message includes at least 1 DW of data (see Figure 2-23)
oThe DW of data immediately following the Header includes two 16 bit fields:
• Vendor ID (same value as used in Configuration Space Header – see
Section 5.5)
• the value 0000h is reserved for non-vendor-specific
extensions
• Message Sub-Type
oThere may be additional data following this 1 DW
oThe value in the Length field must correspond to the size of the entire data
payload associated with the TLP, including the required DW and any
additional data payload
• Receivers silently discard Payload_Defined Messages which they are not designed to
receive – this is not an error condition.

PCI EXPRESS BASE SPECIFICATION, REV. 1.0
96
OM13775
765
11
43210765432107654
00
321076543210
Reserved T
DE
PAttr RType
Fmt
RTCR
Requester ID
Vendor ID Message Sub-Type
Address[31:2]/Reserved
Address[63:32]/Reserved
R
Tag Message Code–
Payload_Defined
Length
+0 +1 +2 +3
Byte 0 >
Byte 4 >
Byte 8 >
Byte 12 >
Figure 2-23: Payload_Defined Message
2.8.1.7. Vendor Specific Message
Vendor specific Messages use the Code values 128 to 255.
• Receivers silently discard Payload_Defined Messages which they are not designed to
receive – this is not an error condition.
2.8.1.8. Hot Plug Signaling Messages
The Hot plug Signaling Messages are virtual signals between Switches/Root Ports that
support Hot plug Event signaling and devices on cards that support Removal Request
functionality (doorbell mechanism) on the card. The Messages are defined to replicate the
events and registers defined for doorbell mechanisms wired directly to the Switch/Root
Port. For more information see Section 7.7.
Note that only devices on cards that support Remove request functionality (doorbell
mechanism) on the card and the switch ports/root ports that support such cards are
required to implement the hot plug signaling messages.

PCI EXPRESS BASE SPECIFICATION, REV. 1.0
97
Table 2-15: Hot Plug Signaling Messages
Message Description
Attention_Indicator_On This message is issued by the Switch/Root Port when the
Attention Indicator Control is set to 01b. The end device
receiving the message will terminate the message and initiate
appropriate action for to cause the Attention Indicator located
on the card to turn on. If no indicators are present on the card,
the message is discarded. For more implementation
information see Section 7.7.
Attention_Indicator_Blink This message is issued by the Switch/Root Port when the
Attention Indicator Control is set to 10b. The end device
receiving the message will terminate the message and initiate
appropriate action for to cause the Attention Indicator located
on the card to blink. If no indicators are present on the card, the
message is discarded. For more implementation information
see Section 7.7.
Attention_Indicator_Off This message is issued by the Switch/Root Port when the
Attention Indicator Control is set to 11b. The end device
receiving the message will terminate the message and initiate
appropriate action for to cause the Attention Indicator located
on the card to turn off. If no indicators are present on the card,
the message is discarded. For more implementation
information see Section 7.7.
Power_Indicator_On This message is issued by the Switch/Root Port when the
Power Indicator Command is set to 01b. The end device
receiving the message will terminate the message and initiate
appropriate action for to cause the Power Indicator located on
the card to turn on. If no indicators are present on the card, the
message is discarded. For more implementation information
see Section 7.7.
Power_Indicator_Blink This message is issued by the Switch/Root Port when the
Power Indicator Control is set to 10b. The end device receiving
the message will terminate the message and initiate appropriate
action for to cause the Power Indicator located on the card to
blink. If no indicators are present on the card, the message is
discarded. For more implementation information see
Section 7.7.
Power_Indicator_Off This message is issued by the Switch/Root Port when the
Power Indicator Command is set to 11b. The end device
receiving the message will terminate the message and initiate
appropriate action for to cause the Power Indicator located on
the card to turn off. If no indicators are present on the card, the
message is discarded. For more implementation information
see Section 7.7.

PCI EXPRESS BASE SPECIFICATION, REV. 1.0
98
Message Description
Attention_Button_Pressed This message is issued by a device in a slot that implements an
Attention Button on the card to signal the Switch/Root Port to
generate the Attention Button Pressed Event. The Switch
Switch/Root Port terminates the message and sets the Attention
Button Pressed register to 1b which may result in an interrupt
being generated. For more implementation information see
Section 7.7.
All Endpoint devices must be able to handle the Attention and Power Indicator messages
even if the device does not implement the indicators. All down stream ports of switches and
root ports must be able to handle the Attention_Button_Pressed message.
2.8.2. Advanced Switching Support Message Group
The Messages that belong to this group can be divided into the following two types:
• Data Packet Messages:
oUnicast, Data Packet
oMulticast, Data Packet
• Signaling Packet Messages:
oSignaling Packet, without interrupt
oNull signaling Packet, interrupt to Host in the destination Hierarchy
oNull signaling Packet, interrupt to destination device
oSignaling Packet, with interrupt to Host in the destination Hierarchy
oSignaling Packet, with interrupt to destination device
A detailed description of message types and message headers will be presented in a separate
document entitled Advanced PCI Express Packet Switching Specification. This is a companion
specification to the PCI Express Base Specification.

PCI EXPRESS BASE SPECIFICATION, REV. 1.0
99
2.9. Ordering and Receive Buffer Flow Control
2.9.1. Overview and Definitions
Flow Control (FC) is used to prevent overflow of receiver buffers and to enable compliance
with the ordering rules defined in Section 2.5. Note that the Flow Control mechanism is
used by the Requester to track the queue/buffer space available in the Agent across the Link
as shown in Figure 2-24. That is, Flow Control is point-to-point (across a Link) and not
end-to-end. Flow Control does not imply that a Request has reached its ultimate Completer.
OM13776
Link Link
Requester Intermediate
Component(s) Ultimate
Completer
Figure 2-24: Relationship between Requester and Ultimate Completer
Flow Control is orthogonal to the data integrity mechanisms used to implement reliable
information exchange between Transmitter and Receiver. Flow Control can treat the flow
of TLP information from Transmitter to Receiver as perfect, since the data integrity
mechanisms ensure that corrupted and lost TLPs are corrected through retransmission (see
Section 3.5).
Each Virtual Channel maintains an independent Flow Control credit pool. The FC
information is conveyed between two sides of the Link using DLLP packets. The VC ID
field of the DLLP is used to carry the Virtual Channel Identification that is required for
proper flow-control credit accounting.
Flow Control is handled by the Transaction Layer in cooperation with the Data Link Layer.
The Transaction Layer performs Flow Control accounting functions for Received TLPs and
“gates” TLP Transmissions based on available credits for transmission.
Note: Flow Control is a function of the Transaction Layer and therefore the following types
of information transmitted on the interface are not associated with Flow Control Credits:
LCRC, Packet Framing Symbols, other Special Symbols, and Data Link Layer to Data Link
Layer inter-communication packets. An implication of this fact is that these types of
information must be processed by the receiver at the rate they arrive (except as explicitly
noted in this specification).
Also, any TLPs transferred from the Transaction Layer to the Data Link and Physical Layers
must have first passed the Flow Control “gate.” Thus, both Transmit and Receive Flow
Control mechanisms are unaware if the Data Link Layer transmits a TLP repeatedly due to
errors on the Link.

PCI EXPRESS BASE SPECIFICATION, REV. 1.0
100
2.9.2. Flow Control Rules
In this and other sections of this specification, rules are described using conceptual
“registers” that a PCI Express device could use in order to implement a PCI Express
compliant design. This description does not imply or require a particular implementation
and is used only to clarify the requirements.
• Flow Control information is transferred using Flow Control Packets (FCPs), which
are a type of DLLP (see Section 3.4)
• The unit of Flow Control credit is 16 Bytes for Data
• For headers, the unit of Flow Control credit is one header
• Each Virtual Channel has independent Flow Control
• Flow Control distinguishes three types of TLPs (note relationship to ordering rules –
see Section 2.5):
oPosted Requests (P) – Messages and Memory Writes
oNon-Posted Requests (NP) – All Reads, I/O, and Configuration Writes
oCompletions (CPL) – Associated with corresponding NP Requests
• In addition, Flow Control distinguishes the following types of TLP information
within each of the three types:
oHeaders (H)
oData (D)
• Thus, there are six types of information tracked by Flow Control for each Virtual
Channel, as shown in Table 2-16.
Table 2-16: Flow Control Credit Types
Credit Type AppliestoThisTypeofTLPInformation
PH Posted Request Headers
PD Posted Request Data payload
NPH Non-Posted Request Headers
NPD Non-Posted Request Data payload
CPLH Completion Headers
CPLD Completion Data payload
• TLPs consume Flow Control credits as shown in Table 2-17.

PCI EXPRESS BASE SPECIFICATION, REV. 1.0
101
Table 2-17: TLP Flow Control Credit Consumption
TLP Credit Consumed8
Memory, I/O, Configuration Read Request 1 NPH unit
Memory Write Request 1PH+nPDunits
9
I/O, Configuration Write Request 1 NPH + 1 NPD
Note: size of data written is never more than
one (aligned) DW
Message Requests without data 1 PH unit
Message Requests with data 1 PH + n PD units
Memory Read Completion 1 CPLH + n CPLD units
I/O, Configuration Read Completions 1 CPLH unit + 1 CPLD unit
I/O, Configuration Write Completions 1 CPLH unit
• Components must implement independent Flow Control for all Virtual Channels
that are supported by that component.
• Flow Control is initialized autonomously by hardware only for the default Virtual
Channel (VC0)
oVC0 is initialized when the Data Link Layer is in the DL_Init state following
reset (see Sections 3.2 and 3.3)
• When other Virtual Channels are enabled by software, each newly enabled VC will
follow the Flow Control initialization protocol (see Section 3.3)
oSoftware enables a Virtual Channel by setting the VC Enable bits for that
Virtual Channel in both components on a Link (see Section 5.11)
For a multi-function device, a given VC is enabled when the VC
Enable bit is set for any function; enabling the same VC in additional
functions enables those functions to use the VC, but the VC is
initialized only once
Note: It is possible for multiple VCs to be following the Flow Control
initialization protocol simultaneously – each follows the initialization protocol as
an independent process
• Software disables a Virtual Channel by clearing the VC Enable bits for that Virtual
Channel in both components on a Link
oFor a multi-function device, the VC Enable bit must be clear for all functions
oDisabling a Virtual Channel for a component resets the Flow Control
tracking mechanisms for that Virtual Channel in that component
8Each Header credit implies the ability to accept a TLP Digest along with the corresponding TLP.
9For all cases where “n” appears, n = Roundup(DataLen/FC unit size).

PCI EXPRESS BASE SPECIFICATION, REV. 1.0
102
• InitFC1 and InitFC2 FCPs are used only for Flow Control initialization (see
Section 3.3)
• An InitFC1, InitFC2, or UpdateFC FCP which specifies a Virtual Channel which is
not enabled is discarded without effect
• During FC initialization for any Virtual Channel, including the default VC initialized
as a part of Link initialization, Receivers must initially advertise VC credit values
equal to or greater than those shown in Table 2-18.
oComponents may optionally check for violations of this rule. If a component
implementing this check determines a violation of this rule, the violation is a
Flow Control Protocol Error (FCPE)
If checked, this is a reported error associated with the Receiving Port
(see Section 7.2)
Table 2-18: Minimum Flow Control Advertisements
Credit Type Minimum Advertisement
PH 1 unit –credit value of 01h
PD Largest possible setting of the Max_Payload_Size for the
component divided by FC Unit Size.
Example: If the largest Max_Payload_Size value supported
is 1024B, the smallest permitted initial credit value would
be 040h.
NPH 1 unit –credit value of 01h
NPD 1 unit –credit value of 01h
CPLH Switch and PCI Express to PCI-X Bridge (PCI-X mode
only): 1 FC unit –credit value of 01h
Root Complex, Endpoint, and PCI Express to PCI Bridge:
“infinite”FC units –initial credit value of all ‘0’s10
CPLD Switch and PCI Express to PCI-X Bridge (PCI-X mode
only): Largest possible setting of the Max_Payload_Size for
the component divided by FC Unit Size, or the size of the
largest Read Request the component will ever generate,
whichever is smaller.
Root Complex, Endpoint, and PCI Express to PCI Bridge:
“infinite”FC units –initial credit value of all ‘0’s
• If an “infinite” credit advertisement has been made for CPL during initialization, no
Flow Control updates (UpdateFC) are sent for CPL following initialization
oComponents may optionally check for violations of this rule. If a component
implementing this check determines a violation of this rule, the violation is a
Flow Control Protocol Error (FCPE)
10 This value is interpreted as infinite by the Transmitter, which will, therefore, never throttle.
PCI EXPRESS BASE SPECIFICATION, REV. 1.0
103
If checked, this is a reported error associated with the Receiving Port
(see Section 7.2)
• A TLP using an uninitialized VC is a Malformed TLP
oThis is a reported error associated with the Receiving Port (see Section 7.2)
• For each type of information tracked, there are two quantities tracked for Flow
Control TLP Transmission gating:
oCREDITS_CONSUMED
Count of the total number of FC units consumed by TLP
Transmissions made since Flow Control initialization.
Set to all ‘0’s at Interface Initialization
Incremented for each TLP the Transaction Layer allows to pass the
Flow Control gate for Transmission
• Size of increment corresponds to the number of credits
consumed by the information committed to be sent
• Incremented as shown:
CREDITS_CONSUMED :=
(CREDITS_CONSUMED + Increment) mod 2[Field Size]
Where Increment is the size in FC credits of the
corresponding part of the TLP sent, and [Field Size] is 8 for
PH, NPH, and CPLH and 12 for PD, NPD and CPLD
oCREDIT_LIMIT
The limit for total number of FC units which have been advertised by
the Receiver since Flow Control initialization
Undefined at Interface Initialization
Set to the value indicated during Flow Control initialization
PCI EXPRESS BASE SPECIFICATION, REV. 1.0
104
For each FC update received,
• if CREDIT_LIMIT is not equal to the update value, set
CREDIT_LIMIT to update value
• Optionally, check the update value validity by evaluating the
equation:
(update value - CREDIT_LIMIT) mod 2[Field Size]
> 2[Field Size]/2,
If the equation evaluates as true, the violation is a Flow
Control Protocol Error
oIf checked, this is a reported error associated with the
Receiving Port (see Section 7.2)
Note: In accordance with this rule, the largest permitted initial value,
change in value, or advertised total for any PH, NPH or CPLH credit
value is 128. The largest permitted initial value, change in value, or
advertised total for any PD, NPD or CPLD credit value is 2048.
• The Transmitter gating function must determine if sufficient credits have been
advertised to permit the transmission of a given TLP. If the Transmitter does not
have enough credits to transmit the TLP, it must block the transmission of the TLP,
possibly stalling other TLPs that are using the same Virtual Channel. The
Transmitter must follow the ordering and deadlock avoidance rules specified in
Section 2.5, which require that certain types of TLPs must bypass other specific
types of TLPs when the latter are blocked. Note that TLPs using different Virtual
Channels have no ordering relationship, and must not block each other.
• The Transmitter gating function test is performed as follows:
oFor each required type of credit, the number of credits required is calculated
as:
CREDITS_REQUIRED =
(CREDITS_CONSUMED + <credit units required>)) mod 2[Field Size]
oUnless CREDIT_LIMIT was specified as “infinite” during Flow Control
initialization, the Transmitter is permitted to Transmit a TLP if, for each type
of information in the TLP, the following equation is satisfied:
(CREDIT_LIMIT - CREDITS_REQUIRED) mod 2[Field Size]
<= 2[Field Size] / 2
If CREDIT_LIMIT was specified as “infinite” during Flow Control
initialization, then the gating function is unconditionally satisfied for that
type of credit.
Note that some types of Transactions require more than one type of credit.
(For example, Memory Write requests require PH and PD credits.)
PCI EXPRESS BASE SPECIFICATION, REV. 1.0
105
• When accounting for credit use and return, information from different TLPs is never
mixed within one credit.
• When some TLP is blocked from Transmission by a lack of FC Credit, Transmitters
must follow the ordering rules specified in Section 2.5 when determining what types
of TLPs must be permitted to bypass the stalled TLP.
• The return of FC credits for a Transaction must not be interpreted to mean that the
Transaction has completed or achieved system visibility.
oFlow Control credit return is used for receive buffer management only, and
Agents must not make any judgment about the Completion status or system
visibility of a Transaction based on the return or lack of return of Flow
Control information.
• When a Transmitter sends a nullified TLP (with inverted LCRC and using EDB as
the end Symbol), the Transmitter does not modify CREDITS_CONSUMED for
that TLP (see Section 3.5.2.1)
• For each type of information tracked, the following quantities are tracked for Flow
Control TLP Receiver accounting:
oCREDITS_ALLOCATED
Count of the total number of credits granted to the Transmitter since
Initialization
Initially set according to the buffer size and allocation policies of the
Receiver
This value is included in the InitFC and UpdateFC DLLPs (see
Section 3.4)
Incremented as the Receiver Transaction Layer makes additional
receive buffer space available by processing Received TLPs
• Increment size corresponds to the size of the space made
available
• Incremented as shown:
CREDITS_ALLOCATED :=
(CREDITS_ALLOCATED + Increment) mod 2[Field Size]
Where [Field Size] is 8 for PH, NPH and CPLH and 12 for
PD, NPD, and CPLD
PCI EXPRESS BASE SPECIFICATION, REV. 1.0
106
oCREDITS_RECEIVED (Optional – for optional error check described
below)
Count of the total number of FC units consumed by valid TLPs
Received since Flow Control initialization
Set to all ‘0’s at Interface Initialization
Incremented for each Received TLP according to the number of FC
units of the given type consumed by the Received TLP, provided that
TLP:
• passes the Data Link Layer integrity checks
• is not malformed
• does not consume more credits than have been allocated (see
following rule)
• If a Receiver implements the CREDITS_RECEIVED counter, then when a nullified
TLP (with inverted LCRC and using EDB as the end Symbol) is received, the
Receiver does not modify CREDITS_RECEIVED for that TLP (see Section 3.5.2.1)
• A Receiver may optionally check for Receiver Overflow errors (TLPs exceeding
CREDITS_ALLOCATED), by checking the following equation:
(CREDITS_ALLOCATED - CREDITS_RECEIVED) mod 2[Field Size]
>= 2[Field Size] /2
If the check is implemented and this equation evaluates as true, the Receiver must:
odiscard the TLP(s) without modifying the CREDITS_RECEIVED
ode-allocate any resources which it had allocated for the TLP(s)
If checked, this is a reported error associated with the Receiving Port (see
Section 7.2)
Note: Following a Receiver Overflow error, Receiver behavior is undefined, but it is
encouraged that the Receiver continues to operate, processing Flow Control updates
and accepting any TLPs which do not exceed allocated credits.
PCI EXPRESS BASE SPECIFICATION, REV. 1.0
107
• For NPH, NPD, PH and, if non-infinite, CPLH types, an UpdateFC FCP must be
scheduled for Transmission each time the following sequence of events occurs:
oall advertised FC units for a particular type of credit are consumed by TLPs
received
oone or more units of that type are made available by TLPs processed
• For PD and, if non-infinite, CPLD types, when the number of available credits is less
than Max_Payload_Size, an UpdateFC FCP must be scheduled for Transmission
each time one or more units of that type are made available by TLPs processed
• UpdateFC FCPs may be scheduled for Transmission more frequently than is
required
• When the Link is Active, Update FCPs for each enabled type of FC credit must be
scheduled for transmission at least once every 10 µs

PCI EXPRESS BASE SPECIFICATION, REV. 1.0
108
Implementation Note: Flow Control Update Frequency
For components subject to receiving streams of TLPs, it is desirable to implement receive
buffers larger than the minimum size required to prevent Transmitter throttling due to lack
of available credits. Likewise, UpdateFC FCPs must be returned such that the time required
to send, receive and process the UpdateFC is sufficient. Table 2-19 shows recommended
values for the frequency of transmission based on Link Width and Max_Payload_Size values.
The values are calculated as a function of the largest TLP payload size and Link width. The
values are measured at the Port of the TLP Receiver, starting with the time the last Symbol
of a TLP in received to the first Symbol of the UpdateFC DLLP being transmitted. The
values are calculated using the formula:
()
layInternalDe
LinkWidth
FactorUpdatedTLPOverheaSizePayloadMax +
+*__
where
Max_Payload_Size The value in the Max_Payload_Size field of the Link
Command Register
TLP Overhead Represents the additional TLP components which consume
Link bandwidth (Header, LCRC, framing Symbols) and is
treated here as a constant value of 24 Symbols
UpdateFactor Used to balance Link bandwidth efficiency and receive
buffer sizes – the value varies according to
Max_Payload_Size and Link width, and is included in
Table 2-19
LinkWidth The operating width of the Link
InternalDelay Represents the internal processing delays for received TLPs
and transmitted DLLPs, and is treated here as a constant
value of 11 Symbol Times
Table 2-19: UpdateFC Transmission Latency Guidelines by Link Width and Max
Payload (Symbol Times)
Link Operating Width
x1 x2 x4 x8 x12 x16 x32
128B 223
UF = 1.4 117
UF = 1.4 64
UF = 1.4 58
UF = 2.5 49
UF = 3.0 39
UF = 3.0 25
UF = 3.0
256B 403
UF = 1.4 207
UF = 1.4 109
UF = 1.4 98
UF = 2.5 81
UF = 3.0 63
UF = 3.0 37
UF = 3.0
512B 547
UF = 1.0 279
UF = 1.0 145
UF = 1.0 78
UF = 1.0 100
UF = 2.0 78
UF = 2.0 44
UF = 2.0
1024B 1059
UF = 1.0 535
UF = 1.0 273
UF = 1.0 142
UF = 1.0 185
UF = 2.0 142
UF = 2.0 76
UF = 2.0
2048B 2083
UF = 1.0 1047
UF = 1.0 529
UF = 1.0 270
UF = 1.0 356
UF = 2.0 270
UF = 2.0 140
UF = 2.0
Max_Payload_Size
4096B 4131
UF = 1.0 2071
UF = 1.0 1041
UF = 1.0 526
UF = 1.0 697
UF = 2.0 526
UF = 2.0 268
UF = 2.0
PCI EXPRESS BASE SPECIFICATION, REV. 1.0
109
2.10. Data Integrity
2.10.1. Introduction
The basic data reliability in PCI Express is achieved within the Link Layer, which uses a 32-
bit CRC (LCRC) code to detect errors in TLPs on a Link-by-Link basis, and applies a Link-
by-Link retransmit mechanism for error recovery. A TLP is a unit of data and transaction
control that is created by a data-source at the “edge” of the PCI Express domain (such as an
Endpoint or Root Complex), potentially routed through intermediate components (i.e.,
Switches) and consumed by the ultimate PCI Express recipient. As a TLP passes through a
Switch, the Switch may need to change some control fields without modifying other fields
that should not change as the packet traverses the path. Therefore, the LCRC is regenerated
by Switches. Data corruption may occur internally to the Switch, and the regeneration of a
good LCRC for corrupted data masks the existence of errors. To ensure end-to-end data
integrity detection in systems that require high data reliability, a Transaction Layer end-to-
end 32-bit CRC (ECRC) can be placed in the TLP Digest field at the end of a TLP. The
ECRC covers all fields that do not change as the TLP traverses the path (invariant fields).
The ECRC is generated by the Transaction Layer in the source component, and checked in
the destination component. A Switch that supports ECRC checking checks ECRC on TLPs
that are destined to a destination within the Switch itself. On all other TLPs a Switch must
preserve the ECRC (forward it untouched) as an integral part of the TLP.
2.10.2. ECRC Rules
The capability to generate and check ECRC is reported to software, and the ability to do so
is enabled by software (see Section 5.8.3).
• If a device is enabled to generate ECRC, it must calculate and apply ECRC for all
TLPs originated by the device
• Switches must pass TLPs with ECRC unchanged from the Ingress Port to the
Egress Port
• If a device reports the capability to check ECRC, it must support Advanced Error
Reporting (see Section 7.2)
• If a device is enabled to check ECRC, it must do so for all TLPs received by the
device including ECRC
oNote that it is still possible for the device to receive TLPs without ECRC,
and these are processed normally – this is not an error
Note that a Switch may perform ECRC checking on TLPs passing through the Switch.
ECRC Errors detected by the Switch are reported in the same way any other device would
report them, but do not alter the TLPs passage through the Switch.

PCI EXPRESS BASE SPECIFICATION, REV. 1.0
110
A 32b ECRC is calculated for the entire TLP (header and data payload) using the following
algorithm and appended to the end of the TLP (see Figure 2-2):
• The ECRC value is calculated using the following algorithm (see Figure 2-25).
• The polynomial used has coefficients expressed as 04C1 1DB7h
• The seed value (initial value for ECRC storage registers) is FFFF FFFFh
• All invariant fields of the TLP header and the entire data payload (if present) are
included in the ECRC calculation, all bits in variant fields must be set to ‘1’ for
ECRC calculations.
oBit 0 of the Type field is variant
oThe EP field is variant
oall other fields are invariant
• ECRC calculation starts with bit 0 of Byte 0 and proceeds from bit 0 to bit 7 of each
Byte of the TLP
• The result of the ECRC calculation is complemented, and the complemented result
bits are mapped into the 32b TLP Digest field as shown in Table 2-20.
Table 2-20: Mapping of Bits into ECRC Field
ECRC Result Bit Corresponding Bit Position in the
32b TLP Digest Field
0 7
1 6
2 5
3 4
4 3
5 2
6 1
7 0
815
914
10 13
11 12
12 11
13 10
14 9
15 8
16 23
17 22
18 21

PCI EXPRESS BASE SPECIFICATION, REV. 1.0
111
ECRC Result Bit Corresponding Bit Position in the
32b TLP Digest Field
19 20
20 19
21 18
22 17
23 16
24 31
25 30
26 29
27 28
28 27
29 26
30 25
31 24
• The 32b ECRC value is placed in the TLP Digest field at the end of the TLP (see
Figure 2-2)
• For TLPs including a TLP Digest field used for an ECRC value, receivers which
support end-to-end data integrity checking, check the ECRC value in the TLP Digest
field by:
oapplying the same algorithm used for ECRC calculation (above) to the
received TLP, not including the 32b TLP Digest field of the received TLP
ocomparing the calculated result with the value in the TLP Digest field of the
received TLP
How the Receiver makes use of the end-to-end data integrity check provided through
the ECRC is beyond the scope of this document.

PCI EXPRESS BASE SPECIFICATION, REV. 1.0
112
OM13777
FFFF FFFF FFFF FF
Input
bit
order
Byte order
TLP Byte 2
TLP Byte 1
TLP Byte 0
FFFFFF FFFFFFFF FFFF
0123
4
56
7
89101112131415
FFFF FFFF FFFF FFFFFFFF FFFFFFFF FFFF
1617
181920212223
2425262728293031
0123
4
56
7
89101112131415
16
TLP 32b ECRC
17
181920212223
2425262728293031
04C11DB7
01234567
Figure 2-25: Calculation of 32b ECRC for TLP End to End Data Integrity Protection

PCI EXPRESS BASE SPECIFICATION, REV. 1.0
113
Implementation Note: Protection of TD Bit Inside Switches
It is of utmost importance that Switches insure and maintain the integrity of the TD bit in
TLPs that they receive and forward (i.e., by applying a special internal protection
mechanism), since corruption of the TD bit will cause a tandem device to misinterpret the
presence or absence of the TLP digest field.
Similarly, it is highly recommended that Switches provide internal protection to other variant
fields in TLPs that they receive and forward, as the end-to-end integrity of variant fields is
not sustained by the ECRC.
Implementation Note: Data Link Layer Does Not Have Internal TLP Visibility
Since the Data Link Layer does not process the TLP header (it determines the start and end
of the TLP based on indications from the Physical Layer), it is not aware of the existence of
the TLP Digest field, and simply passes it to the Transaction Layer as a part of the TLP.
2.11. Error Forwarding
Error Forwarding (also known as data poisoning), is enabled in PCI Express by either
modifying the value placed in the TLP Digest field or by setting the proper value in the TD
and EP fields. The rules for doing this are specified below Here are some examples of cases
where Error Forwarding might be used:
• Example #1: A read from main memory encounters uncorrectable error
• Example #2: Parity error on a PCI write to main memory
• Example #3: Data integrity error on an internal data buffer or cache.
2.11.1. Error Forwarding Usage Model
• Error Forwarding is only used for Read Completion Data or Write Data, never for
the cases when the error is in the “header” (request phase, address/command, etc.).
Requests/Completions with header errors cannot be forwarded in general since true
destination cannot be positively known and, therefore, forwarding may cause direct
or side effects such as data corruption, system failures, etc.
• Used for controlled propagation of error through the system, system diagnostics, etc.
• Does not cause Link Layer Retry – Poisoned TLPs will be retried only if there are
transmission errors on PCI Express as determined by the TLP error detection
mechanisms in the Data Link Layer. The Poisoned TLP may ultimately cause the
originator of the request to re-issue it (at the Transaction Layer of above) in the case
of read operation or to take some other action. Such use of Error Forwarding
information is beyond the scope of this specification.
PCI EXPRESS BASE SPECIFICATION, REV. 1.0
114
2.11.2. Rules For Use of Data Poisoning
• Support for TLP poisoning in a Transmitter is optional.
• Data Poisoning applies only to the data within a Write Request (Posted or Non-
Posted) or a Read Completion.
• Poisoning of a TLP is indicated using one of the following two mechanisms:
oTD field = ‘1’: The value used for the TLP Digest field is the “stomp code”
of all ‘1’s
oTD field = ‘0’ and EP field = ‘1’
• If a Transmitter supports data poisoning , TLPs that are known to the Transmitter
to include bad data must use one of the two poisoning mechanism defined above.
The Receiver must consider all the information within a poisoned TLP to be affected
oIf applying Error Forwarding, the Receiver must cause all data from the
indicated TLP to be tagged as bad (“poisoned”).
• Receipt of a poisoned TLP is a reported error associated with the Receiving
device/function (see Section 7.2)
Note: For some applications it may be desirable for the Receiver to use data marked
corrupt – such use is not forbidden. How the Receiver makes use of the information that a
TLP is poisoned is beyond the scope of this document.
2.12. Completion Timeout Mechanism
In any split transaction protocol, there is a risk associated with the failure of a Requester to
receive an expected Completion. To allow Requesters to attempt recovery from this
situation in a standard manner, the Completion Timeout mechanism is defined. This
mechanism is intended to be activated only when there is no reasonable expectation that the
Completion will be returned, and should never occur under normal operating conditions.
Note that the values specified here do not reflect expected service latencies, and must not be
used to estimate typical response times.
The PCI Express elements that are capable of initiating Requests that invoke Completions
must implement Completion Timeout mechanism. An exception is made for Configuration
Requests (see below). This mechanism is activated for each Request which requires
Completion when the Request is transmitted. Since PCI Express Switches do not
autonomously initiate Requests (that need Completion), the requirement for Completion
Timeout support is limited only to Root Complex, PCI Express-PCI Bridges, and Endpoint
devices.
The PCI Express Specification defines the following range for the min/max acceptable
timer values for the Completion Timeout mechanism:
• The Completion Timeout timer must not expire (i.e., cause timeout event) in less than
10 ms.
• The Completion Timeout timer must expire if a Request is not completed in 50 ms.
PCI EXPRESS BASE SPECIFICATION, REV. 1.0
115
A Completion Timeout is a reported error associated with the Requestor device/function
(see Section 7.2).
Note: A Memory Read Request for which there are multiple Completions must be
considered “completed” only when all Completions have been received by the Requester. If
some, but not all, requested data is returned before the Completion Timeout timer expires,
the Requestor is permitted to keep or to discard the data which was returned prior to timer
expiration.
Configuration Requests have special requirements (see Sections 2.7.6.2 and 7.6). Because of
these special requirements, the support and timer values for a Completion Timeout for
Configuration Requests are implementation specific.
2.13. Transaction Layer Behavior in DL_Down Status
DL_Down status indicates that there is no connection with another component on the Link,
or that the connection with the other component has been lost and is not recoverable by the
Physical or Data Link Layers. This section specifies the Transaction Layer’s behavior when
the Data Link Layer reports DL_Down status to the Transaction Layer, indicating that the
Link is non-operational.
For a Root Complex, or any Port on a Switch other than the one closest to the Root
Complex, DL_Down status is handled by:
• returning all internal logic to the state specified for Link initialization
• forming completions for any Requests submitted by the device core for Transmission,
returning “Unsupported Request” Completion Status, then discarding the Requests
oThis is a reported error associated with the device/function for the (virtual)
Bridge associated with the Port (see Section 7.2)
oRequests already being processed by the Transaction Layer, for which it may not
be practical to return Completions, are discarded
Note: This is equivalent to the case where the Request had been Transmitted
but not yet Completed before the Link status became DL_Down
These cases are handled by the Requester using the Completion
Timeout mechanism
Note: The point at which a Request becomes “uncompletable” is implementation
specific
• discarding all Completions submitted by the device core for Transmission
For a Port on an Endpoint, and the Port on a Switch or Bridge which is closest to the Root
Complex, DL_Down status is handled as a Link reset by:
• returning all internal logic to the state specified for Link initialization
• discarding all TLPs being processed
• (for Switch and Bridge) propagating Link Reset to all other Ports
PCI EXPRESS BASE SPECIFICATION, REV. 1.0
116
2.14. Transaction Layer Behavior in DL_Up Status
DL_Up status indicates that a connection has been established with another component on
the associated Link. This section specifies the Transaction Layer’s behavior when the Data
Link Layer reports entry to the DL_Up status to the Transaction Layer, indicating that the
Link is operational. These behaviors relate to Slot Power Limit support.
For a Downstream Port on a Root Complex or a Switch:
• When transitioning from a non-DL_Up Status to a DL_Up Status, the Port must initiate
the transmission of a Set_Slot_Power_Limit message to the other component on the
Link to convey the value programmed in the Slot Power Limit Scale and Value fields of
the Slot Capabilities register.

PCI EXPRESS BASE SPECIFICATION, REV. 1.0
117
3. Data Link Layer Specification
The Data Link Layer acts as an intermediate stage between the Transaction Layer and the
Physical Layer. Its primary responsibility is providing a reliable mechanism for exchanging
Transaction Layer Packets (TLPs) between the two components on a Link.
3.1. Data Link Layer Overview
14 32
1 Described in Text
OM13778
Data Link Data Link
RX TX
Logical Sub-block
Electrical Sub-block
Physical
RX TX
Logical Sub-block
Electrical Sub-block
Physical
Transaction Transaction
Figure 3-1: Layering Diagram Highlighting the Data Link Layer
The Data Link Layer is responsible for reliably conveying Transaction Layer Packets (TLPs)
supplied by the Transaction Layer across a PCI Express Link to the other component’s
Transaction Layer. Services provided by the Data Link Layer include:
Data Exchange:
• Accept TLPs for transmission from the Transmit Transaction Layer and convey
them to the Transmit Physical Layer
• Accept TLPs received over the Link from the Physical Layer and convey them to the
Receive Transaction Layer
3
PCI EXPRESS BASE SPECIFICATION, REV. 1.0
118
Error Detection and Retry:
• TLP Sequence Number and LCRC generation
• Transmitted TLP storage for Data Link Layer Retry
• Data integrity checking for TLPs and Data Link Layer Packets (DLLPs)
• Acknowledgement and Retry DLLPs
• Error indications for error reporting and logging mechanisms
• Link Acknowledgement Timeout replay mechanism
Initialization and power management services:
• Track Link state and convey active/reset/disconnected state to Transaction Layer
Data Link Layer Packets (DLLPs) are:
• used for Link Management functions including TLP acknowledgement, power
management, and conveyance of Flow Control information.
• transferred between Data Link Layers of the two directly connected components on
a Link
DLLPs are sent point-to-point, between the two components on one Link. TLPs are routed
from one component to another, potentially through one or more intermediate components.
Data Integrity checking for DLLPs and TLPs is done using a CRC included with each packet
sent across the Link. DLLPs use a 16b CRC and TLPs (which can be much longer) use a
32b LCRC. TLPs additionally include a sequence number, which is used to detect cases
where one or more entire TLPs have been lost.
Received DLLPs which fail the CRC check are discarded. The mechanisms which use
DLLPs may suffer a performance penalty from this loss of information, but are self-
repairing such that a successive DLLP will supercede any information lost.
TLPs which fail the data integrity checks (LCRC and sequence number), or which are lost in
transmission from one component to another, are re-sent by the transmitter. The
transmitter stores a copy of all TLPs sent, re-sending these copies when required, and purges
the copies only when it receives a positive acknowledgement of error-free receipt from the
other component. If a positive acknowledgement has not been received within a specified
time period, the transmitter will automatically start re-transmission. The receiver can request
an immediate re-transmission using a negative acknowledgement.
The Data Link Layer appears as an information conduit with varying latency to the
Transaction Layer. On any given individual Link all TLPs fed into the Transmit Data Link
Layer (1 and 3) will appear at the output of the Receive Data Link Layer (2 and 4) in the
same order at a later time, as illustrated in Figure 3-1. The latency will depend on a number
of factors, including pipeline latencies, width and operational frequency of the Link,
transmission of electrical signals across the Link, and delays caused by Data Link Layer
Retry. Because of these delays, the Transmit Data Link Layer (1 and 3) can apply
backpressure to the Transmit Transaction Layer, and the Receive Data Link Layer (2 and 4)

PCI EXPRESS BASE SPECIFICATION, REV. 1.0
119
communicates the presence or absence of valid information to the Receive Transaction
Layer.
3.2. Data Link Control and Management State
Machine
The Data Link Layer tracks the state of the Link. It communicates Link status with the
Transaction and Physical Layers, and performs Link Management through the Physical
Layer. The Data Link Layer contains a Link Control and Management State Machine to
perform these tasks. The states for this machine are described below, and are shown in
Figure 3-2.
States:
• DL_Down – Physical Layer reporting Link is non-operational or Port is not
connected
• DL_Init – Physical Layer reporting Link is operational, initialize Flow Control for
the default Virtual Channel
• DL_Active – Normal operation mode
OM13779
DL_Down
Reset
DL_Active
DL_Init
Figure 3-2: Data Link Control and Management State Machine
PCI EXPRESS BASE SPECIFICATION, REV. 1.0
120
3.2.1. Data Link Control and Management State Machine
Rules
Rules per state:
• DL_Inactive
oInitial state following PCI Express hot, warm, or cold reset (see
Section 7.6)
oUpon entry to DL_Inactive
Reset all Data Link Layer state information to default values
Discard the contents of the Data Link Layer Retry Buffer (refer
Section 3.5)
oWhile in DL_Inactive:
Report DL_Down status to the Transaction Layer as well as to the
rest of the Data Link Layer
Note: This will cause the Transaction Layer to discard any
outstanding transactions and to terminate internally any attempts to
transmit a TLP. For a Port on a Root Complex or at the “bottom” of
a Switch, this is equivalent to a “hot remove.” For Port on an
Endpoint or at the “top” of a Switch, having the Link go down is
equivalent to a hot reset (see Section 2.13).
Discard TLP information from the Transaction and Physical Layers
Do not generate or accept DLLPs
oExit to DL_Init if:
Indication from the Transaction Layer that the Link is not disabled by
software and the Physical Layer reports Physical LinkUp = 1
• DL_Init
oWhile in DL_Init:
Initialize Flow Control for the default Virtual Channel, VC0, following
the Flow Control initialization protocol described in Section 3.3
Report DL_Down status while in state FC_INIT1; DL_Up status in
state FC_INIT2
oExit to DL_Active if:
Flow Control initialization completes successfully, and the Physical Layer
continues to report Physical LinkUp = 1
oTerminate attempt to initialize Flow Control for VC0 and Exit to
DL_Inactive if:
Physical Layer reports Physical LinkUp = 0
PCI EXPRESS BASE SPECIFICATION, REV. 1.0
121
• DL_Active
oDL_Active is referred to as the normal operating state
oWhile in DL_Active:
Accept and transfer TLP information with the Transaction and Physical
Layers as specified in this chapter
Generate and accept DLLPs as specified in this chapter
Report DL_Up status to the Transaction and Data Link Layers
oExit to DL_Inactive if:
Physical Layer reports Physical LinkUp = 0
3.3. Flow Control Initialization Protocol
Before starting normal operation following power-up or interconnect Reset, it is necessary to
initialize Flow Control for the default Virtual Channel, VC0 (see Section 7.6). In addition,
when additional Virtual Channels (VCs) are enabled, the Flow Control initialization process
must be completed for each newly enabled VC before it can be used (see Section 2.6). This
section describes the initialization process which is used for all VCs. Note that since VC0 is
enabled before all other VCs, no TLP traffic of any kind will be active prior to initialization
of VC0. However, when additional VCs are being initialized there will typically be TLP
traffic flowing on other, already enabled, VCs. Such traffic has no direct effect on the
initialization process for the additional VC(s).
There are two states in the VC initialization process. These states are:
• FC_INIT1
• FC_INIT2
The rules for this process are given in the following section. Figure 3-3 shows a flowchart of
the process.

PCI EXPRESS BASE SPECIFICATION, REV. 1.0
122
OM13780
No
Yes
Flags set
for all types
(P, NP and Cpl)
Timer roll-over?
Received
InitFC1 or InitFC2
DLLP for VCx
Yes
Yes
No
Transmit InitFC1-Cpl for VCx
Transmit InitFC1-NP for VCx
Transmit InitFC1-P for VCx
Start
No
No Flag set?
Timer roll-over?
Received
any InitFC2 DLLP,
UpdateFC DLLP or
any TLP for VCx?
Yes
Yes
Yes
No
Transmit InitFC2-Cpl for VCx
Transmit InitFC2-NP for VCx
Transmit InitFC2-P for VCx
No
End
Record indicated
FC unit value for
VCx and set Flag
according to type:
P, NP or Cpl
Start resend timer
Once started, continues to run
while process is active
Set Flag
State: FC_INIT1
State: FC_INIT2
Start resend timer
Once started, continues to run
while process is active
Figure 3-3: Flowchart Diagram of Flow Control Initialization Protocol
PCI EXPRESS BASE SPECIFICATION, REV. 1.0
123
3.3.1. Flow Control Initialization State Machine Rules
• Rules for state FC_INIT1:
oEntered when initialization of a VC (VCx) is required
Entrance to DL_Init state
When a VC is enabled by software (see Section 5.11)
oWhile in FC_INIT1:
Transaction Layer must block transmission of TLPs using VCx
Transmit the following uninterrupted sequence of three successive
InitFC1 DLLPs for VCx in the following pattern:
• InitFC1 – P (first)
• InitFC1 – NP (second)
• InitFC1 – Cpl (third)
Repeat this InitFC1 DLLP transmission sequence as follows:
• For VC0, transmit continuously at the maximum rate possible
on the Link (resend timer value is 0)
• For VCs other than VC0, repeat the sequence when no other
TLPs or DLLPs are available for Transmission, but no less
frequently than at an interval of 8 µs (-0% / +100%),
measured from the start of transmission of the preceding
sequence
Process received InitFC1 and InitFC2 DLLPs:
• Record the indicated FC unit values
• Set Flag FI1 once FC unit values have been recorded for each
of P, NP and Cpl
oExit to FC_INIT2 if:
Flag FI1 has been set indicating that FC unit values have been
recorded for each of P, NP and Cpl or VCx
PCI EXPRESS BASE SPECIFICATION, REV. 1.0
124
• Rules for state FC_INIT2:
oWhile in FC_INIT2:
Transmission of TLPs using VCx by the Transaction Layer is
permitted
Transmit the following uninterrupted sequence of three successive
InitFC2 DLLPs for VCx in the following pattern:
• InitFC2 – P (first)
• InitFC2 – NP (second)
• InitFC2 – Cpl (third)
Repeat this InitFC2 DLLP transmission sequence as follows:
• For VC0, transmit continuously at the maximum rate possible
on the Link (resend timer value is 0)
• For VCs other than VC0, repeat the sequence when no other
TLPs or DLLPs are available for Transmission, but no less
frequently than at an interval of 8 µs (-0% / +100%),
measured from the start of transmission of the preceding
sequence
Process received InitFC1 and InitFC2 DLLPs:
• Ignore the indicated FC unit values
• Set flag FI2 on receipt of any InitFC2 DLLP or VCx
Set flag FI2 on receipt of any TLP on VCx, or any UpdateFC DLLP
for VCx
oSignal completion and exit if:
Flag FI2 has been set
• Violations of Flow Control initialization protocol are Data Link Layer Protocol
Errors (DLLPE). Checking for such errors in FC initialization protocol is optional.
If checking is implemented, any detected error is a reported error associated with the
Port (see Section 7.2)

PCI EXPRESS BASE SPECIFICATION, REV. 1.0
125
3.4. Data Link Layer Packets (DLLPs)
The following DLLPs are used to support Link data integrity mechanisms:
• Ack DLLP: TLP Sequence number acknowledgement; used to indicate successful
receipt of some number of TLPs
• Nak DLLP: TLP Sequence number negative acknowledgement; used to initiate a
Data Link Layer Retry
• InitFC1, InitFC2 and UpdateFC DLLPs: For Flow Control
• Plus additional DLLPs used for Power Management
3.4.1. Data Link Layer Packet Rules
All DLLPs include the following fields:
• DLLP Type - Specifies the type of DLLP. The defined encodings are shown in
Table 3-1.
• 16b CRC
See Figure 3-4.
Table 3-1: DLLP Type Encodings
Encodings DLLP Type
0000 0000 Ack
0001 0000 Nak
0010 0000 PM_Enter_L1
0010 0001 PM_Enter_L23
0010 0010 PM_Active_State_Request_L0s
0010 0011 PM_Active_State_Request_L1
0010 0100 PM_Request_Ack
0011 0000 Vendor Specific –Not used in normal operation
0100 0v2v1v0InitFC1-P (v[2:0] specifies Virtual Channel)
0101 0v2v1v0InitFC1-NP
0110 0v2v1v0InitFC1-Cpl
1100 0v2v1v0InitFC2-P
1101 0v2v1v0InitFC2-NP
1110 0v2v1v0InitFC2-Cpl
1000 0v2v1v0UpdateFC-P
1001 0v2v1v0UpdateFC-NP
1010 0v2v1v0UpdateFC-Cpl
All other encodings Reserved

PCI EXPRESS BASE SPECIFICATION, REV. 1.0
126
• For Ack and Nak DLLPs (see Figure 3-5):
oThe AckNak_Seq_Num field is used to indicate what TLPs are affected
oTransmission and Reception is handled by the Data Link Layer according to
the rules elsewhere in this chapter.
• For InitFC1, InitFC2, and UpdateFC DLLPs:
oThe HdrFC field contains the credit value for Headers of the indicated type
(P, NP, or Cpl)
oThe DataFC field contains the credit value for payload Data of the indicated
type (P, NP, or Cpl)
oThe packet formats are shown in Figure 3-6, Figure 3-7, and Figure 3-8
oTransmission is triggered by the Data Link Layer when initializing Flow
Control for a Virtual Channel (see Section 3.3), and following Flow Control
initialization by the Transaction Layer according to the rules in Section 2.9
oChecked for integrity on reception by the Data Link Layer, then the
information content of the DLLP is passed to the Transaction Layer
Note: InitFC1 and InitFC2 DLLPs are used only for VC initialization
• Power Management (PM) DLLPs (see Figure 3-9):
oTransmission is triggered by the component’s power management logic
according to the rules in Chapter 6
oChecked for integrity on reception by the Data Link Layer, then passed to
the component’s power management logic
• Vendor Specific (see Figure 3-10)
OM14303
76543210765432107654321076543210
DLLP Type
16b CRC
+0 +1 +2 +3
Byte 0
>
Byte 4
>
Figure 3-4: DLLP Type and CRC Fields

PCI EXPRESS BASE SPECIFICATION, REV. 1.0
127
OM13781
76543210765432107654321076543210
Reserved
16b CRC
0000 0000 - Ack
0001 0000 - Nak AckNak_Seq_Num
+0 +1 +2 +3
Byte 0 >
Byte 4 >
Figure 3-5: Data Link Layer Packet Format for Ack and Nak
OM13782
76543210765432107654321076543210
R HdrFC
v[2:0]
-VC ID
0
16b CRC
0100 - P
0101 - NP
0110 - Cpl
R DataFC
+0 +1 +2 +3
Byte 0 >
Byte 4 >
Figure 3-6: Data Link Layer Packet Format for InitFC1
OM13783
76543210765432107654321076543210
R HdrFC
v[2:0]
-VC ID
0
16b CRC
1100 - P
1101 - NP
1110 - Cpl
R DataFC
+0 +1 +2 +3
Byte 0 >
Byte 4 >
Figure 3-7: Data Link Layer Packet Format for InitFC2
OM13784
76543210765432107654321076543210
R HdrFC
v[2:0]
-VC ID
0
16b CRC
1000 - P
1001 - NP
1010 - Cpl
R DataFC
+0 +1 +2 +3
Byte 0 >
Byte 4 >
Figure 3-8: Data Link Layer Packet Format for UpdateFC
OM14304
76543210
00100xxx
765432107654321076543210
16b CRC
Reserved
+0 +1 +2 +3
Byte 0 >
Byte 4 >
Figure 3-9: PM Data Link Layer Packet Format

PCI EXPRESS BASE SPECIFICATION, REV. 1.0
128
OM14305
76543210
00110000
765432107654321076543210
16b CRC
{defined by vendor}
+0 +1 +2 +3
Byte 0 >
Byte 4 >
Figure 3-10: Vendor Specific Data Link Layer Packet Format
The following are the characteristics and rules associated with Data Link Layer Packets
(DLLPs):
• DLLPs are differentiated from TLPs when they are presented to, or received from,
the Physical Layer.
• DLLP data integrity is protected using a 16b CRC
• The CRC value is calculated using the following rules (see Figure 3-11):
oThe polynomial used for CRC calculation has coefficients expressed as
100Bh
oThe seed value (initial value for CRC storage registers) is FFFFh
oCRC calculation starts with bit 0 of Byte 0 and proceeds from bit 0 to bit 7
of each Byte
oNote that CRC calculation uses all bits of the DLLP, regardless of field type,
including reserved fields. The result of the calculation is complemented, then
placed into the 16b CRC field of the DLLP as shown in Table 3-2.

PCI EXPRESS BASE SPECIFICATION, REV. 1.0
129
Table 3-2: Mapping of Bits into CRC Field
CRC Result Bit Corresponding Bit Position in the
16b CRC Field
0 7
1 6
2 5
3 4
4 3
5 2
6 1
7 0
815
914
10 13
11 12
12 11
13 10
14 9
15 8
OM13785
FFFF FFFF FFFF FF
Input
bit
order
Byte order
FFFFFF FFFFFFFF FFFF
0123
4
56
7
89101112131415
0123
4
56
7
89101112131415
100B
DLLP Byte 2
DLLP Byte 1
DLLP Byte 0
01234567
Figure 3-11: Diagram of CRC Calculation for DLLPs

PCI EXPRESS BASE SPECIFICATION, REV. 1.0
130
3.5. Data Integrity
3.5.1. Introduction
The Transaction Layer provides TLP boundary information to Data Link Layer. This allows
the Data Link Layer to apply a Sequence Number and Link CRC (LCRC)error detection to
the TLP. The Receive Data Link Layer validates received TLPs by checking the Sequence
Number, LCRC code and any error indications from the Receive Physical Layer. In case of
error in a TLP, Data Link Layer Retry is used for recovery.
The format of a TLP with the Sequence Number and LCRC code applied is shown in
Figure 3-12.
OM13786
7654321076543210765432107654321
TLP Sequence NumberReserved {TLP Header}
+0 +1 +2 +3
7610 543210765432107654321076543210
31 0
LCRC
+(N-3) +(N-2) +(N-1) +N
Figure 3-12: TLP with LCRC and Sequence Number Applied
3.5.2. LCRC, Sequence Number, and Retry Management
(TLP Transmitter)
The TLP transmission path through the Data Link Layer (paths labeled 1 and 3 in
Figure 3-1) prepares each TLP for transmission by applying a sequence number, then
calculating and appending a Link CRC (LCRC) which is used to ensure the integrity of TLPs
during transmission across a Link from one component to another. TLPs are stored in a
retry buffer, and are re-sent unless a positive acknowledgement of receipt is received from
the other component. If repeated attempts to transmit a TLP are unsuccessful, the
transmitter will determine that the Link is not operating correctly, and instruct the Physical
Layer to retrain the Link. If Link retraining fails, the Physical Layer will indicate that the
Link is no longer up, causing the DLCMSM to move to the DL_Inactive state.
The mechanisms used to determine the TLP LCRC and the Sequence Number and to
support Data Link Layer Retry are described in terms of conceptual “counters” and “flags”.
This description does not imply nor require a particular implementation and is used only to
clarify the requirements.
PCI EXPRESS BASE SPECIFICATION, REV. 1.0
131
3.5.2.1. LCRC and Sequence Number Rules (TLP Transmitter)
The following counters and timer are used to explain the remaining rules in this section:
• The following 12 bit counters are used:
oNEXT_TRANSMIT_SEQ – Stores the packet sequence number applied to
TLPs
• Set to all ‘0’s in DL_Inactive state
oACKD_SEQ – Stores the sequence number acknowledged in the most
recently received Ack or Nak DLLP.
• Set to all ‘1’s in DL_Inactive state
• The following 2 bit counter is used:
oREPLAY_NUM – Counts the number of times the Retry Buffer has been
re-transmitted
Set to all ‘0’s in DL_Inactive state
• The following timer is used:
oREPLAY_TIMER - Counts time since last Ack or Nak DLLP received
Started at the start of any TLP transmission or retransmission, if not
already running
Restarts for each Ack/Nak DLLP received while there are
unacknowledged TLPs outstanding, if, and only if, the received Ack
or Nak DLLP acknowledges some TLP in the retry buffer
• Note: This ensures that REPLAY_TIMER is reset only when
forward progress is being made
Resets and holds when there are no outstanding unacknowledged
TLPs
The following rules describe how a TLP is prepared for transmission before being passed to
the Physical Layer:
• The Transaction Layer indicates the start and end of the TLP to the Data Link Layer
while transferring the TLP
oThe Data Link Layer treats the TLP as a “black box” and does not process
or modify the contents of the TLP

PCI EXPRESS BASE SPECIFICATION, REV. 1.0
132
• Each TLP is assigned a 12 bit sequence number when it is accepted from the
Transmit side of Transaction Layer
oUpon acceptance of the TLP from the Transaction Layer, the packet
sequence number is applied to the TLP by:
prepending the 12 bit value in NEXT_TRANSMIT_SEQ to the TLP
prepending four Reserved bits to the TLP, preceding the sequence
number (see Figure 3-12)
oIf the equation:
(NEXT_TRANSMIT_SEQ – ACKD_SEQ) mod 4096 >= 2048
is true, the Transmitter must cease accepting TLPs from the Transaction Layer
until the equation is no longer true
oFollowing the application of NEXT_TRANSMIT_SEQ to a TLP accepted
from the Transmit side of Transaction Layer, NXT_TRANSMIT_SEQ is
incremented:
NEXT_TRANSMIT_SEQ := (NEXT_TRANSMIT_SEQ + 1) mod 4096
OM13787
7654321076543210765432107654321
TLP Sequence NumberReserved [TLP Header]
+0 +1 +2 +3
Figure 3-13: TLP Following Application of Sequence Number and Reserved Bits
• TLP data integrity is protected during transfer between Data Link Layers using a 32b
LCRC
• The LCRC value is calculated using the following algorithm (see Figure 3-14)
oThe polynomial used has coefficients expressed as 04C1 1DB7h
oThe seed value (initial value for LCRC storage registers) is FFFF FFFFh
oThe LCRC is calculated using the TLP following sequence number
application (see Figure 3-13)
oLCRC calculation starts with bit 0 of Byte 0 (bit 8 of the TLP sequence
number) and proceeds from bit 0 to bit 7 of each successive Byte.
Note that LCRC calculation uses all bits of the TLP, regardless of
field type, including reserved fields
oThe result of the LCRC calculation is complemented, and the complemented
result bits are mapped into the 32b LCRC field as shown in Table 3-3.

PCI EXPRESS BASE SPECIFICATION, REV. 1.0
133
Table 3-3: Mapping of Bits into LCRC Field
LCRC Result Bit Corresponding Bit Position in the
32b LCRC Field
0 7
1 6
2 5
3 4
4 3
5 2
6 1
7 0
815
914
10 13
11 12
12 11
13 10
14 9
15 8
16 23
17 22
18 21
19 20
20 19
21 18
22 17
23 16
24 31
25 30
26 29
27 28
28 27
29 26
30 25
31 24
oThe 32b LCRC field is appended to the TLP following the bytes received
from the Transaction Layer (see Figure 3-12)

PCI EXPRESS BASE SPECIFICATION, REV. 1.0
134
OM13788
TLP Byte 0
Sequence Num.
Res. Seq.#
FFFF FFFF FFFF FF
Input
bit
order
Byte order
FF
FFFF FFFFFFFF FFFF
0123
4
56
7
89101112131415
FFFF FFFF FFFF FFFFFFFF FFFFFFFF FFFF
1617
181920212223
2425262728293031
0123
4
56
7
89101112131415
16
TLP 32b LCRC
17
181920212223
2425262728293031
04C11DB7
01234567
Figure 3-14: Calculation of LCRC
PCI EXPRESS BASE SPECIFICATION, REV. 1.0
135
To support cut-through routing of TLPs, a Transmitter is permitted to modify a transmitted
TLP to indicate that the receiver must ignore that TLP (“nullify” the TLP).
• A Transmitter is permitted to nullify a TLP being transmitted; to do this in a way
which will robustly prevent misinterpretation or corruption, the Transmitter must do
both of the following:
ouse the remainder of the calculated LCRC value without inversion
oindicate to the Transmit Physical Layer that the final framing Symbol must
be EDB instead of END
• When this is done, the Transmitter does not increment NEXT_TRANSMIT_SEQ
The following rules describe the operation of the Data Link Layer Retry Buffer, from which
TLPs are re-transmitted when necessary:
• Copies of Transmitted TLPs must be stored in the Data Link Layer Retry Buffer
• If the Transmit Retry Buffer contains TLPs for which no Ack or Nak DLLP has
been received, and (as indicated by REPLAY_TIMER) no Ack or Nak DLLP has
been received for a period exceeding the time indicated in Table 3-4, the Transmitter:
oblocks acceptance of new TLPs from the Transmit Transaction Layer
ocompletes transmission of the TLP currently being transmitted, if any
ostarts re-transmitting TLPs from the Retry Buffer, starting with the oldest
TLP in the buffer and continuing in original transmission order
ostops re-transmission from the Retry Buffer and increments
REPLAY_NUM, if all entries in the Retry Buffer have been re-transmitted
oRe-enables acceptance of new TLPs from the Transmit Transaction Layer
This is a reported error associated with the Port (see Section 7.2).
• If REPLAY_NUM rolls over from “11” to “00” (indicating the Retry Buffer has
been re-transmitted four times without receiving an Ack or Nak), the Transmitter
signals the Physical Layer to retrain the Link. This is a reported error associated with
the Port (see Section 7.2).
oNote that Data Link Layer state, including the contents of the Retry Buffer,
are not reset by this action unless the Physical Layer reports Physical LinkUp
= 0 (causing the Data Link Control and Management State Machine to
transition to the DL_Inactive state)

PCI EXPRESS BASE SPECIFICATION, REV. 1.0
136
Table 3-4 defines the threshold values for the REPLAY_TIMER timer. The values are
specified according to the largest TLP payload size and Link width.
The values are measured at the Port of the TLP Transmitter, from last Symbol of TLP to
First Symbol of TLP retransmission. The values are calculated using the formula (note – this
is simply three times the Ack Latency value – see Section 3.5.3.1):
()
3*
*__
+
+layInternalDe
LinkWidth
FactorAckdTLPOverheaSizePayloadMax
where
Max_Payload_Size is the value in the Max_Payload_Size field of the Link
Command Register
TLP Overhead represents the additional TLP components which consume
Link bandwidth (Header, LCRC, framing Symbols) and is
treated here as a constant value of 24 Symbols
AckFactor is used to balance Link bandwidth efficiency and retry
buffer size – the value varies according to
Max_Payload_Size and Link width, and is included in
Table 3-5
LinkWidth is the operating width of the Link
InternalDelay represents the internal processing delays for received TLPs
and transmitted DLLPs, and is treated here as a constant
value of 11 Symbol Times
Table 3-4: REPLAY_TIMER Limits by Link Width and Max_Payload_Size (Symbol
Times) Tolerance: -0% / +100%
Link Operating Width
x1 x2 x4 x8 x12 x16 x32
128B 669 351 192 174 147 117 75
256B 1209 621 327 294 243 189 111
512B 1641 837 435 234 300 234 132
1024B 3177 1605 819 426 555 426 228
2048B 6249 3141 1587 810 1068 810 420
Max_Payload_Size
4096B 12393 6213 3123 1578 2091 1578 804

PCI EXPRESS BASE SPECIFICATION, REV. 1.0
137
Implementation Note: Recommended Priority of Scheduled Transmissions
When multiple DLLPs of the same type are scheduled for transmission but have not yet
been transmitted, it is possible in many cases to “collapse” them into a single DLLP. For
example, if a scheduled Ack DLLP transmission is stalled waiting for another transmission
to complete, and during this time another Ack is scheduled for transmission, it is only
necessary to transmit the second Ack, since the information it provides will supercede the
information in the first Ack.
In addition to any TLP from the Transaction Layer (or the Retry Buffer, if a retry is in
progress), Multiple DLLPs of different types may be scheduled for transmission at the same
time, and must be prioritized for transmission. The following list shows the preferred
priority order for selecting information for transmission. Note that the priority of the
vendor specific DLLP is not listed, as this is completely implementation specific, and there is
no recommended priority. Note that this priority order is a guideline, and that in all cases it
is a fairness mechanism is highly recommended to ensure that no type of traffic is blocked
for an extended or indefinite period of time by any other type of traffic. Note that the Ack
Latency value and REPLAY_TIMER limit specify requirements measured at the Port of the
component, and the internal arbitration policy of the component must ensure that these
externally measured requirements are met.
1) completion of any transmission (TLP or DLLP) currently in progress (highest priority)
2) Nak DLLP transmissions
3) Ack DLLP transmissions scheduled for transmission as soon as possible due to
receipt of a duplicate TLP –OR–
expiration of the Ack latency timer (see Section 3.5.3.1)
4) FC DLLP transmissions required to satisfy Section 2.9
5) Retry Buffer re-transmissions
6) TLPs from the Transaction Layer
7) FC DLLP transmissions other than those required to satisfy Section 2.9
8) All other DLLP transmissions (lowest priority)
PCI EXPRESS BASE SPECIFICATION, REV. 1.0
138
Since Ack/Nak and Flow Control DLLPs affect TLPs flowing in the opposite direction
across the Link, the TLP transmission mechanisms in the Data Link Layer are also
responsible for Ack/Nak and Flow Control DLLPs received from the other component on
the Link. These DLLPs are processed according to the following rules (see Figure 3-15):
• If the Physical Layer indicates a Receiver Error, discard any DLLP currently being
received and free any storage allocated for the DLLP. Note that reporting such
errors to software is done by the Physical Layer (and so are not reported by the Data
Link Layer).
• For all received DLLPs, the CRC value is checked by:
oapplying the same algorithm used for calculation (above) to the received
DLLP, not including the 16b CRC field of the received DLLP
ocomparing the calculated result with the value in the CRC field of the
received DLLP
if not equal, the DLLP is corrupt
oA corrupt received DLLP is discarded, and is a reported error associated with
the Port (see Section 7.2).
• A received DLLP which is not corrupt, but which uses unsupported DLLP Type
encodings is discarded without further action. This is not considered an error.
• Non-zero values in Reserved fields are ignored.
• Receivers must process all DLLPs received at the rate they are received

PCI EXPRESS BASE SPECIFICATION, REV. 1.0
139
OM13789
Did
Physical Layer
indicate any receive errors
for this DLLP
Calculated CRC
equal to received value?
Start
Calculate CRC using
received DLLP,
not including CRC field Discard DLLP
No
Yes
Yes
End
No
End
Error: Bad DLLP;
Discard DLLP
Process DLLP
Figure 3-15: Received DLLP Error Check Flowchart
• Received FC DLLPs are passed to the Transaction Layer
• Received PM DLLPs are passed to the component’s power management control
logic
• For Ack and Nak DLLPs, the following steps are followed (see Figure 3-16):
oIf the AckNak_Seq_Num does not specify the Sequence Number of an
unacknowledged TLP, or of the most recently acknowledged TLP, the DLLP
is discarded
If the DLLP is an Ack DLLP, this is a DL Layer Protocol Error
which is a reported error associated with the Port (see Section 7.2).

PCI EXPRESS BASE SPECIFICATION, REV. 1.0
140
oIf the AckNak_Seq_Num does not specify the Sequence Number of the
most recently acknowledged TLP, then the DLLP acknowledges some TLPs
in the retry buffer:
Purge from the retry buffer all TLPs from the oldest to the one
corresponding to the AckNak_Seq_Num
Load ACKD_SEQ with the value in the AckNak_Seq_Num field
Reset REPLAY_NUM and REPLAY_TIMER
oIf the DLLP is a Nak, initiate a replay (see below)
oIf REPLAY_TIMER expires due to a failure to make progress on
unacknowledged TLPs, initiate a replay. This is a reported error associated
with the Port (see Section 7.2).
OM13790
End
End
Initiate Replay of all
unacknowledged TLPs
from the retry buffer
Error: DL
Layer Protocol
Discard DLLP
TLPs are acknowledged:
Purge retry buffer of TLP matching AckNak_Seq_Num,
and all older TLPs in the retry buffer.
Load AckD_SEQ with AckNak_Seq_Num
Reset REPLAY_NUM and REPLAY_TIMER to 0
Is DLLP an Ack?
AckNak_Seq_Num =
ACKD_SEQ?
(AckNak_Seq_Num -
ACKD_SEQ) mod 4096
< 2048?
No [Nak]
No
No
(NEXT_TRANSMIT_SEQ -
AckNak_Seq_Num) mod
4096 <= 2048?
Is DLLP an Ack?
NoYes
Yes
Yes
Yes
Start
No
Yes
Figure 3-16: Ack/Nak DLLP Processing Flowchart
PCI EXPRESS BASE SPECIFICATION, REV. 1.0
141
The following rules describe the operation of the Data Link Layer Retry Buffer, from which
TLPs are re-transmitted when necessary:
• Copies of Transmitted TLPs must be stored in the Data Link Layer Retry Buffer
When a replay is initiated, either due to reception of a Nak or due to REPLAY_TIMER
expiration, the following rules must be followed:
• If all TLPs transmitted have been acknowledged, terminate replay, otherwise
continue
• Increment REPLAY_NUM
• Complete transmission of any TLP currently being transmitted
• Retransmit unacknowledged TLPs, starting with the oldest unacknowledged TLP
and continuing in original transmission order
oOnce all unacknowledged TLPs have been re-transmitted, return to normal
operation
oIf any Ack or Nak DLLPs are received during a replay, the transmitter is
permitted to complete the replay without regard to the Ack or Nak DLLP(s),
or to skip retransmission of any newly acknowledged TLPs
Once the transmitter has started to resend a TLP, it must complete
transmission of that TLP in all cases
oAck and Nak DLLPs received during a replay must be processed, and may be
collapsed
Example: If multiple Acks are received, only the one specifying the
latest Sequence Number value must be considered – Acks specifying
earlier Sequence Number values are effectively “collapsed” into this
one
Example: During a replay, Nak is received, followed by an Ack
specifying a later Sequence Number – the Ack supercedes the Nak,
and the Nak is ignored
oNote: Since all entries in the Retry Buffer have already been allocated space
in the Receiver by the Transmitter’s Flow Control gating logic, no further
flow control synchronization is necessary.
PCI EXPRESS BASE SPECIFICATION, REV. 1.0
142
3.5.3. LCRC and Sequence Number (TLP Receiver)
The TLP receive path through the Data Link Layer (paths labeled 2 and 4 in Figure 3-1)
processes TLPs received by the Physical Layer by checking the LCRC and sequence number,
passing the TLP to the receive Transaction Layer if OK and requesting a retry if corrupted.
The mechanisms used to check the TLP LCRC and the Sequence Number and to support
Data Link Layer Retry are described in terms of conceptual “counters” and “flags”. This
description does not imply or require a particular implementation and is used only to clarify
the requirements.
3.5.3.1. LCRC and Sequence Number Rules (TLP Receiver)
The following counter, flag, and timer are used to explain the remaining rules in this section:
• The following 12 bit counter is used:
oNEXT_RCV_SEQ – Stores the expected Sequence Number for the next TLP
Set to all ‘0’s in DL_Inactive state
• The following flag is used:
oNAK_SCHEDULED
Cleared when in DL_Inactive state
• The following timer is used:
oAckNak_LATENCY_TIMER – Counts time since an Ack or Nak DLLP was
scheduled for transmission
Set to 0 in DL_Inactive state
Restart from 0 each time an Ack or Nak DLLP is scheduled for
transmission; Reset to 0 when all TLPs received have been
acknowledged with an Ack DLLP
If there are initially no unacknowledged TLPs and a TLP is then
received, the AckNak_LATENCY_TIMER starts counting only
when the TLP has been forwarded to the Receive Transaction Layer
PCI EXPRESS BASE SPECIFICATION, REV. 1.0
143
The following rules are applied in sequence to describe how received TLPs are processed,
and what events trigger the transmission of Ack and Nak DLLPs (see Figure 3-17):
• If the Physical Layer indicates a Receiver Error, discard any TLP currently being
received and free any storage allocated for the TLP. Note that reporting such errors
to software is done by the Physical Layer (and so are not reported by the Data Link
Layer).
oIf a TLP was being received at the time the receive error was indicated and
the NAK_SCHEDULED flag is clear,
schedule a Nak DLLP for transmission
set the NAK_SCHEDULED flag
• If the Physical Layer reports that the received TLP end framing Symbol was EDB,
and the LCRC is the logical NOT of the calculated value, discard the TLP and free
any storage allocated for the TLP. This is not considered an error.
• The LCRC value is checked by:
oapplying the same algorithm used for calculation (above) to the received
TLP, not including the 32b LCRC field of the received TLP
ocomparing the calculated result with the value in the LCRC field of the
received TLP
if not equal, the TLP is corrupt - discard the TLP and free any
storage allocated for the TLP
• If the NAK_SCHEDULED flag is clear,
oschedule a Nak DLLP for transmission
oset the NAK_SCHEDULED flag
This is a reported error associated with the Port (see Section 7.2).
• If the TLP Sequence Number is not equal to the expected value, stored in
NEXT_RCV_SEQ:
odiscard the TLP and free any storage allocated for the TLP
oIf the TLP Sequence Number satisfies the following equation:
(NEXT_RCV_SEQ - TLP Sequence Number) mod 4096 <= 2048
the TLP is a duplicate, and an Ack DLLP is scheduled for transmission (per
transmission priority rules)
PCI EXPRESS BASE SPECIFICATION, REV. 1.0
144
oOtherwise, the TLP is out of sequence (indicating one or more lost TLPs):
if the NAK_SCHEDULED flag is clear,
• schedule a Nak DLLP for transmission
• set the NAK_SCHEDULED flag
• report TLP missing
This is a reported error associated with the Port (see Section 7.2).
• If the TLP Sequence Number is equal to the expected value stored in
NEXT_RCV_SEQ:
oThe Reserved bits, Sequence Number, and LCRC are removed and the
remainder of the TLP is forwarded to the Receive Transaction Layer
The Data Link Layer indicates the start and end of the TLP to the
Transaction Layer while transferring the TLP
• The Data Link Layer treats the TLP as a “black box” and
does not process or modify the contents of the TLP
Note that the Receiver Flow Control mechanisms do not account for
any received TLPs until the TLP(s) are forwarded to the Receive
Transaction Layer
oNEXT_RCV_SEQ is incremented
oIf set, the NAK_SCHEDULED flag is cleared

PCI EXPRESS BASE SPECIFICATION, REV. 1.0
145
No
OM13791
End
Calculate CRC using
received TLP,
not including CRC field
Schedule Ack DLLP
for Transmission
Send Nak DLLP
TLP is good:
Strip reserved Byte, Sequence Number
and CRC and forward remainder
to Receive Transaction layer
Increment NEXT_RCV_SEQ
Sequence Number =
NEXT_RCV_SEQ?
(NEXT_RCV_SEQ -
Sequence Number) mod
4096 <= 2048?
Calculated CRC
equal to received value? No
No
No
Yes [Duplicate]
Yes
Did Physical Layer
indicate any receive
errors for this TLP?
TLP end framing
Symbol END?
Yes
No [EDB]
Yes
No
Yes
Start
Yes
Discard TLP:
Free any allocated storage End
Discard TLP:
Free any allocated storage
Error: Bad TLP
Calculated CRC
equal to logical NOT of
received value?
Figure 3-17: Receive Data Link Layer Handling of TLPs

PCI EXPRESS BASE SPECIFICATION, REV. 1.0
146
• In addition to the other requirements for sending Ack DLLPs, an Ack or Nak
DLLP must be transmitted when all of the following conditions are true:
oThe Data Link Control and Management State Machine is in the DL_Active
state
oTLPs have been accepted, but not yet acknowledged by sending an
Acknowledgement DLLP
oThe AckNak_LATENCY_TIMER reaches or exceeds the value specified in
Table 3-5
• Data Link Layer Acknowledgement DLLPs may be Transmitted more frequently
than required
• Data Link Layer Ack and Nak DLLPs specify the value (NEXT_RCV_SEQ - 1) in
the AckNak_Seq_Num field
Table 3-5 defines the threshold values for the AckNak_LATENCY_TIMER timer, which
for any specific case is called the Ack Latency. The values are specified according to the
largest TLP payload size and Link width. The values are measured at the Port of the TLP
Receiver, starting with the time the last Symbol of a TLP is received to the first Symbol of
the Ack/Nak DLLP being transmitted. The values are calculated using the formula:
()
layInternalDe
LinkWidth
FactorAckdTLPOverheaSizePayloadMax +
+*__
where
Max_Payload_Size is the value in the Max_Payload_Size field of the Link
Command Register
TLP Overhead represents the additional TLP components which consume
Link bandwidth (Header, LCRC, framing Symbols) and is
treated here as a constant value of 24 Symbols
AckFactor is used to balance Link bandwidth efficiency and retry
buffer size – the value varies according to
Max_Payload_Size and Link width, and is defined in
Table 3-5
LinkWidth is the operating width of the Link
InternalDelay represents the internal processing delays for received TLPs
and transmitted DLLPs, and is treated here as a constant
value of 11 Symbol Times

PCI EXPRESS BASE SPECIFICATION, REV. 1.0
147
Table 3-5: Ack Transmission Latency Limit and AckFactor by Link Width and Max
Payload (Symbol Times)
Link Operating Width
x1 x2 x4 x8 x12 x16 x32
128B 223
AF = 1.4
117
AF = 1.4
64
AF = 1.4
58
AF = 2.5
49
AF = 3.0
39
AF = 3.0
25
AF = 3.0
256B 403
AF = 1.4
207
AF = 1.4
109
AF = 1.4
98
AF = 2.5
81
AF = 3.0
63
AF = 3.0
37
AF = 3.0
512B 547
AF = 1.0
279
AF = 1.0
145
AF = 1.0
78
AF = 1.0
100
AF = 2.0
78
AF = 2.0
44
AF = 2.0
1024B 1059
AF = 1.0
535
AF = 1.0
273
AF = 1.0
142
AF = 1.0
185
AF = 2.0
142
AF = 2.0
76
AF = 2.0
2048B 2083
AF = 1.0
1047
AF = 1.0
529
AF = 1.0
270
AF = 1.0
356
AF = 2.0
270
AF = 2.0
140
AF = 2.0
Max_Payload_Size
4096B 4131
AF = 1.0
2071
AF = 1.0
1041
AF = 1.0
526
AF = 1.0
697
AF = 2.0
526
AF = 2.0
268
AF = 2.0
Implementation Note: Retry Buffer Sizing
The Retry Buffer should be large enough to ensure that under normal operating conditions,
transmission is never throttled because the retry buffer is full. In determining the optimal
buffer size, one must consider the Ack Latency value (Table 3-5), any differences between
the actual implementation and the internal processing delay used to generate these values,
and the delays caused by the physical Link interconnect.
Note that the Ack Latency values specified ensure that the range of permitted outstanding
Sequence Numbers will never be the limiting factor causing transmission stalls.
PCI EXPRESS BASE SPECIFICATION, REV. 1.0
148

PCI EXPRESS BASE SPECIFICATION, REV. 1.0
149
4. Physical Layer Specification
4.1. Introduction
The Physical Layer isolates the Transaction and Data Link Layers from the signaling
technology used for Link data interchange. The Physical Layer is divided into the Logical
and Electrical functional sub-blocks (see Figure 4-1).
OM13792
Data Link Data Link
RX TX
Logical Sub-block
Electrical Sub-block
Physical
RX TX
Logical Sub-block
Electrical Sub-block
Physical
Transaction Transaction
Figure 4-1: High Level Layering Diagram Highlighting Physical Layer
4.2. LOGICAL SUB-BLOCK
The Logical sub-block has two main sections: a Transmit section that prepares outgoing
information passed from the Data Link Layer for transmission by the Electrical sub-block,
and a Receiver section that identifies and prepares received information before passing it to
the Data Link Layer.
The Logical sub-block and Electrical sub-block coordinate the state of each transceiver
through a status and control register interface or functional equivalent. The Logical sub-
block directs control and management functions of the Physical Layer.
Receivers may optionally check for violations of the rules associated with Receiver functions
such as Symbol decoding and the like. If such checking is implemented, violations cause the
4

PCI EXPRESS BASE SPECIFICATION, REV. 1.0
150
indication of a Receiver Error to the Data Link Layer. A Receiver Error is a reported error
associated with the Port (see Section 7.2).
4.2.1. Symbol Encoding
PCI Express uses an 8b/10b transmission code. The definition of this transmission code is
identical to that specified in ANSI X3.230-1994, clause 11 (and also IEEE 802.3z, 36.2.4).
Using this scheme, eight bit Characters and one control bit are treated as three bits and five
bits mapped onto a four-bit code group and a six bit code group, respectivley. The control
bit in conjunction with the data character is used to identify when to encode one of the 12
special symbols included in the 8b/10b transmission code. These code groups are
concatenated to form a ten-bit Symbol. As shown in Figure 4-2, ABCDE maps to abcdei
and FGH maps to fghj.
OM13793
9
MSB LSB
87
j,h,g,f,l,e,d,c,b,a
10 bits
MSB LSB
TX<7:0>, Control <Z>
Transmit
H,G,F,E,D,C,B,A,Z
8 bits + Control
6543210
76543210 Z
8bEncode10b
9
MSB LSB
87
j,h,g,f,l,e,d,c,b,a
10 bits
MSB LSB
TX<7:0>, Control <Z>
Receive
H,G,F,E,D,C,B,A,Z
8 bits + Control
6543210
76543210 Z
10bDecode8b
Figure 4-2: Character to Symbol Mapping

PCI EXPRESS BASE SPECIFICATION, REV. 1.0
151
4.2.1.1. Serialization and De-serialization of Data
The bits of a Symbol are placed on a Lane starting with bit ‘a’ and ending with bit ‘j’.
Examples are shown in Figure 4-3 and Figure 4-4.
OM13808
abcdeifghjabcdeifghjabcdeifghjabcdeifghjabcdeifghj
Symbol for
Byte 0 Symbol for
Byte 1 Symbol for
Byte 2 Symbol for
Byte 3 Symbol for
Byte 4
time = 0 time =
1x Symbol Time time =
2x Symbol Time time =
3x Symbol Time time =
5x Symbol Time
time =
4x Symbol Time
Figure 4-3: Bit Transmission Order on Physical Lanes - x1 Example
OM13809
Lane 0
abcdei fghjabcdei fghj
Symbol for: Symbol for:
Byte 0 Byte 4
time = 0 time =
1x Symbol Time time =
2x Symbol Time
Lane 1
abcdei fghjabcdei fghj
Byte 1 Byte 5
Lane 2
abcdei fghjabcdei fghj
Byte 2 Byte 6
Lane 3
abcdei fghjabcdei fghj
Byte 3 Byte 7
Figure 4-4: Bit Transmission Order on Physical Lanes - x4 Example

PCI EXPRESS BASE SPECIFICATION, REV. 1.0
152
4.2.1.2. Special Symbols for Framing and Link Management (K
codes)
The 8b/10b encoding scheme used by PCI Express provides Special Symbols that are
distinct from the Data Symbols used to represent Characters. These Special Symbols are
used for various Link Management mechanisms described later in this chapter. Special
Symbols are also used to frame DLLPs and TLPs, using distinct Special Symbols to allow
these two types of Packets to be quickly and easily distinguished.
Table 4-1 shows the Special Symbols used for PCI Express and provides a brief description
for the use of each. The use of these Symbols will be discussed in greater detail in following
sections.
Table 4-1: Special Symbols
Encoding Symbol Name Description
K28.5 COM Comma Used for Lane and Link initialization
and management
K27.7 STP Start TLP Marks the start of a Transaction
Layer Packet
K28.2 SDP Start DLLP Marks the start of a Data Link Layer
Packet
K29.7 END End Marks the end of a Transaction Layer
Packet or a Data Link Layer Packet
K30.7 EDB EnD Bad Marks the end of a nullified TLP
K23.7 PAD Pad Used in Framing and Link Width and
Lane ordering negotiations
K28.0 SKP Skip Used for compensating for different
bit rates for two communicating ports
K28.1 FTS Fast Training Sequence Used within an ordered-set to exit
from L0s to L0
K28.7 Reserved
K28.3 IDL Idle Electrical Idle symbol used in the
electrical idle ordered-set
K28.4 Reserved
K28.6 Reserved
K28.7 Reserved
PCI EXPRESS BASE SPECIFICATION, REV. 1.0
153
4.2.2. Framing and Application of Symbols to Lanes
The Framing mechanism uses Special Symbol K28.2 “SDP” to start a DLLP and Special
Symbol K27.7 “STP” to start a TLP. The Special Symbol K29.7 “END” is used to mark the
end of either a TLP or a DLLP.
The conceptual stream of Symbols must be mapped from its internal representation, which
is implementation dependent, onto the external Lanes. The Symbols are mapped onto the
Lanes such that the first Symbol (representing Character 0) is placed onto Lane 0, the second
is placed onto Lane 1, etc. The x1 Link represents a degenerate case, and the mapping is
trivial, with all Symbols placed onto the single Lane in order.
When no packet information or special ordered-sets are being transmitted, the Transmitter is
in the Logical Idle state. During this time idle data must be transmitted. The idle data must
consist of the data byte 0 (00 Hexadecimal), scrambled according to the rules of
Section 4.2.3 and 8b/10b encoded according to the rules of Section 4.2.1, in the same way
that TLP and DLLP data characters are scrambled and encoded. Likewise, when the
Receiver is not receiving any packet information or special ordered-sets, the Receiver is in
Logical Idle and shall receive idle data as described above. During transmission of the idle
data, the skip ordered-set must continue to be transmitted as specified in Section 4.2.7.
4.2.2.1. Framing and Application of Symbols to Lanes – Rules
In this section, “placed” is defined to mean a requirement on the transmitter to put the
symbol into the proper Lane of a Link.
• TLPs must be framed by placing an STP Symbol at the start of the TLP and an END
Symbol or EDB Symbol at the end of the TLP (see Figure 4-5).
• DLLPs must be framed by placing an SDP Symbol at the start of the DLLP and an
END Symbol at the end of the DLLP.
• Logical Idle is defined to be a period of one or more Symbol times when no
information: TLPs, DLLPs or any type of Special Symbol is being
Transmitted/Received. Unlike Electrical Idle, during Logical Idle the Idle character
(00h) is being transmitted and received.
oWhen the Transmitter is in Logical Idle, the Idle data character (00h) shall be
transmitted on all Lanes. This is scrambled according to the rules in
Section 4.2.3.
oReceivers must ignore incoming Logical data, and must not have any dependency
other than scramble sequencing on any specific data patterns.
• For Links wider than x1, the STP Symbol (representing the start of a TLP) must be
placed in Lane 0 when starting Transmission of a TLP from a Logical Idle Link
condition.
• For Links wider than x1, the SDP Symbol (representing the start of a DLLP) must be
placed in Lane 0 when starting Transmission of an DLLP from a Logical Idle Link
condition.

PCI EXPRESS BASE SPECIFICATION, REV. 1.0
154
• The STP Symbol must not be placed on the Link more frequently than once per Symbol
Time.
• The SDP Symbol must not be placed on the Link more frequently than once per Symbol
Time.
• As long as the above rules are satisfied, TLP and DLLP Transmissions are permitted to
follow each other successively.
• One STP symbol and one SDP symbol may be placed on the Link in the same symbol
time.
Note: For x8 and wider Links, this means that STP and SDP Symbols can be placed in Lane
4*N, where N is a positive integer. For example, for x8, STP and SDP Symbols can be
placed in Lanes 0 and 4; and for x16, STP and SDP Symbols can be placed in Lanes 0, 4, 8,
or 12.
• For xN Links where N is 8 or more, if an END Symbol is placed in a Lane K, where K
does not equal N-1, and is not followed by a STP or SDP Symbol in Lane K+1 (i.e.,
there is no TLP or DLLP immediately following), then PAD Symbols must be placed in
Lanes K+1 to Lane N-1.
oExample: on a x8, if END is placed in Lane 3, PAD must be placed in Lanes 4
to 7, when not followed by STP or SDP.
• The EDB symbol is used to mark the end of a nullified TLP. Refer to Section 3.5.2.1 for
information on the usage of EDB.
• Receivers may optionally check for violations of the rules of this section. If such
checking is implemented, violations cause the indication of a Receiver Error to the Data
Link Layer. A Receiver Error is a reported error associated with the Port (see
Section 7.2).
OM13794
STP Reserved Packet Sequence Number
Symbol 0 Symbol 1 Symbol 2
LCRC Value
Symbol (N-3) Symbol (N-2) Symbol (N-1)
END
Figure 4-5: TLP with Framing Symbols Applied

PCI EXPRESS BASE SPECIFICATION, REV. 1.0
155
OM13795
+0 +1 +2 +3
Byte 0 >
Byte 4 >
Symbol 0 Symbol 1 Symbol 2 Symbol 3 Symbol 4 Symbol 5 Symbol 6 Symbol 7
SDP END
Figure 4-6: DLLP with Framing Symbols Applied
OM13796
TLP generated by
Transaction Layer
STP Framing Symbol
added by Physical Layer
END Framing Symbol
added by Physical Layer
LCRC added by
Data Link Layer
Reserved bits and
Sequence Number
added by
Data Link Layer
Figure 4-7: Framed TLP on a x1 Link

PCI EXPRESS BASE SPECIFICATION, REV. 1.0
156
OM13797
STP/END Framing Symbols-
Physical Layer
Sequence Number/LCRC-
Data Link Layer
TLP - Transaction Layer
Lane 0 Lane 1
Figure 4-8: Framed TLP on a x2 Link
OM13798
STP/END Framing Symbols-
Physical Layer
Sequence Number/LCRC-
Data Link Layer
TLP - Transaction Layer
Lane 2 Lane 3
Lane 0 Lane 1
Figure 4-9: Framed TLP on a x4 Link
4.2.3. Data Scrambling
The scrambling function can be implemented with one or many Linear Feedback Shift
Register’s (LFSR’s) on a multi-Lane Link. When there is more than one transmit LFSR per
Link, these must operate in concert, maintaining the same simultaneous (see Table 4-4) value
in each LFSR. When there is more than one receive LFSR per Link, these must operate in
concert, maintaining the same simultaneous (see Table 4-5) value in each LFSR. Regardless
of how it’s implemented, the LFSRs must interact with data on a Lane-by-Lane basis as if
there was a separate LFSR as described here for each Lane within that Link. On the transmit
side, scrambling is applied to characters prior to the 8b/10b encoding. On the receive side
de-scrambling is applied to characters after 8b/10b decoding.
The LFSR is graphically represented in Figure 4-10. Scrambling or unscrambling is
performed by serially XORing the 8-bit (D0-D7) character with the 16-bit (S0-S15) output
of the LFSR. An output of the LFSR, S15, is XORed with D0 of the data to be processed.
The LFSR and data register are then serially advanced and the output processing is repeated

PCI EXPRESS BASE SPECIFICATION, REV. 1.0
157
for D1 through D7. The LFSR is advanced after the data is XORed. The LFSR implements
the polynomial:
G(X)=X16+X15+X13+X4+1
Data scrambling rules:
• The COM character initializes the LFSR.
• The LFSR value is advanced eight serial shifts for each character except the SKP.
• All data characters (D codes) except those within a Training Sequence Ordered-sets
(TS1, TS2) and the Compliance Pattern are scrambled.
• All special characters (K codes) are not scrambled.
The initialized value of an LFSR seed (S0-S15) is 0FFFFh. Immediately after a COM exits
the transmit LFSR, the LFSR on the transmit side is initialized. Every time a COM enters the
receive LFSR on any Lane of that Link, the LFSR on the receive side is initialized.
Scrambling is enabled by default. It can be disabled for diagnostic purposes by setting bit 3
in symbol 5 of the training sequence ordered-sets. If a training sequence ordered-set \is
received with this bit set in all Lanes, scrambling must be disabled until the next reset occurs.
See Table 4-2 and Table 4-3.
For more information on scrambling, see Appendix C.
OM13799
S3S0
>
DQ
Q
>
DQ
Q
>
DQ
Q
>
DQ
Q
>
DQ
Q
>
DQ
Q
>
DQ
Q
>
DQ
Q
>
DQ
Q
>
DQ
Q
>
DQ
Q
>
DQ
Q
>
DQ
Q
>
DQ
Q
>
DQ
Q
>
DQ
Q
>
DQ
Q
S4 S5 S11 S12 S13 S14 S15
D7 D6 D5 D4 D3 D2 D1 D0
Data OutData In
Figure 4-10: LFSR with Scrambling Polynomial
4.2.4. Link Initialization and Training
This section defines the Physical Layer control process that configures and initializes each
Link for normal operation. This section covers following functions:
• Configuring and initializing the Link.
• Supporting normal packet transfers.
• Supported state transitions when recovering from Link errors.
• Restarting a Port from low power states.

PCI EXPRESS BASE SPECIFICATION, REV. 1.0
158
The following are discovered and determined during the training process:
• Link width.
• Link data rate11.
• Lane reversal.
• Polarity inversion.
Training does:
• Link data rate12 negotiation.
• Bit synchronization per Lane.
• Lane polarity.
• Symbol synchronization per Lane.
• Lane ordering within a Link.
• Link width negotiation.
• Lane-to-Lane de-skew within a multi-Lane Link.
Receivers may optionally check for violations of the Link Initialization and Training
Protocols. If such checking is implemented, any violation is a Training Error. A Training
Error is a reported error associated with the Port (see Section 7.2). A Training Error is
considered fatal to the Link.
4.2.4.1. Training Sequence Ordered-sets
Training sequences are composed of ordered-sets used for bit alignment, symbol alignment
and to exchange physical layer parameters. Training sequence ordered-sets are never
scrambled but are always 8b/10b encoded. SKP ordered-sets may be transmitted during
training sequences but never interrupt a TS1 or TS2 ordered-set.
Any reference in the state machine section indicating that 16 ordered-sets are to be
transmitted after receiving “n” number of ordered-sets means to send at least 16 additional
ordered-sets after the reception of at least “n” ordered-sets. This is in addition to the
ordered-sets sent while waiting for “n” ordered-sets to be received.
In order for N_FTS to be valid two or more TSx ordered-sets must be received with the
same value.
Anytime two consecutive TS1 or TS2 ordered-sets are received in any state with the reset bit
set the Link Control Reset state must be entered directly.
Anytime two consecutive TS1 or TS2 ordered-sets are received in any state with the
Loopback Bit set, the Loopback state must be entered directly.
11 This specification only defines one data rate. Future revisions will define additional rates.
12 This specification defines the mechanism for negotiating the Link operational bit rate to the highest
supported operational data rate.

PCI EXPRESS BASE SPECIFICATION, REV. 1.0
159
Anytime two consecutive TS1 or TS2 ordered-sets are received in any state with the Disable
Bit set, the Disable state must be entered directly.
When desired, Scrambling Disable bit must be set for all TS1 and TS2 sequences to ensure
that scrambling will be disabled. If TS1 and TS2 are received with the Scrambling Disable bit
set, scrambling is disabled for that entire Lane (both directions). Scrambling remains
disabled until the Link is reset.
Skip ordered-sets may be sent between consecutive TS1 or TS2 ordered-sets. Idle data is not
allowed between consecutive TS1 or TS2 ordered-sets.
The Link control bits for Scrambling Disable, Reset, Link Disable, and Loopback Enable are
mutually exclusive, only one of these bits may be set at a time. If more than one of the
Scrambling Disable, Reset, Link Disable or Loopback Enable bits are set the behavior is
undefined.
Table 4-2: TS1 Ordered-Set
Symbol
Number Allowed Values Encoded Values Description
0 K28.5 COMMA code group for symbol alignment
1 0-255 D0.0 - D31.7,
K23.7 Link Number within component
2 0-31 D0.0 - D31.0,
K23.7 Lane Number within Port
30–255 D0.0 - D31.7 N_FTS. This is the number of fast training
ordered-sets required by the receiver to
obtain reliable bit and symbol lock.
4 1 D1.0 Data Rate Identifier
Bit 0 –Reserved, set to 0
Bit 1 = 1, generation 1 (2.5 Gb/s) data rate
supported
Bit 2:7 –Reserved, set to 0
5Bit0=0,1
Bit1=0,1
Bit2=0,1
Bit3=0,1
Bit 4:7 = 0
D0.0, D1.0, D2.0,
D4.0,
D8.0
Link Control
Bit 0 = 0, De-assert Reset
Bit 0 = 1, Assert Reset
Bit1=0,EnableLink
Bit 1 = 1, Disable Link
Bit 2 = 0, No Loopback
Bit 2 = 1, Enable Loopback
Bit3=0,EnableScrambling
Bit 3 = 1, Disable Scrambling
Bit4:7,Reserved
6-15 D10.2 TS1 Identifier

PCI EXPRESS BASE SPECIFICATION, REV. 1.0
160
Table 4-3: TS2 Ordered-Set
Symbol
Number Allowed Values Encoded Values Description
0 K28.5 COMMA code group for symbol alignment
1 0-255 D0.0 - D31.7,
K23.7 Link Number within component
2 0-31 D0.0 - D31.0,
K23.7 Lane Number within Port
30–255 D0.0 - D31.7 N_FTS. This is the number of fast training
ordered-sets required by the receiver to
obtain reliable bit and symbol lock.
4 1 D1.0 Data Rate Identifier
Bit 0 –Reserved, set to 0
Bit 1 = 1, generation 1 (2.5 Gb/s) data rate
supported
Bit 2:7 –Reserved, set to 0
5Bit0=0,1
Bit1=0,1
Bit2=0,1
Bit3=0,1
Bit 4:7 = 0
D0.0, D1.0, D2.0,
D4.0,
D8.0
Link Control
Bit 0 = 0, De-assert Reset
Bit 0 = 1, Assert Reset
Bit1=0,EnableLink
Bit 1 = 1, Disable Link
Bit 2 = 0, No Loopback
Bit 2 = 1, Enable Loopback
Bit3=0,EnableScrambling
Bit 3 = 1, Disable Scrambling
Bit4:7,Reserved
6-15 D5.2 TS2 Identifier
4.2.4.2. Lane Polarity Inversion
During the training sequence, the receiver looks at symbols 6-15 of TS1 and TS2 as the
indicator of Lane polarity inversion (D+ and D- are swapped). If Lane polarity inversion
occurs, the TS1 symbols 6-15 received will be D21.5 as opposed to the expected D10.2.
Similarly, if Lane polarity occurs, symbols 6-15 of the TS2 ordered-set will be D26.5 as
opposed to the expected D5.2. This provides the clear indication of Lane polarity inversion.
If polarity inversion is detected the receiver must invert the received data. The transmitter
must never invert the transmitted data. Support for Lane Polarity Inversion is required on
all PCI Express Lanes.
PCI EXPRESS BASE SPECIFICATION, REV. 1.0
161
4.2.4.3. Fast Training Sequence (FTS)
FTS is the mechanism that is used for bit and symbol synchronization when transitioning
from L0s to L0. The FTS is used by the receiver to detect the exit from Electrical Idle and
align the receiver’s bit/symbol receive circuitry to the incoming data. See Section 4.2.5 for a
description of L0 and L0s.
A single FTS training sequence is an ordered-set composed of one K28.5 (COM) symbol
and three K28.1 symbols. The maximum number of FTS ordered-sets (N_FTS) is 255,
providing a bit time synchronization of 4 * 255 * 10 * UI.
After initial power up, the N_FTS value is exchanged in the TS1/TS2 training sequence.
N_FTS defines the number of FTS ordered-set that must be transmitted when transitioning
from L0s to L0. For the data rate in this specification, this corresponds to a bit lock time of
16 ns to 4 µs.
When transitioning from L0s to L0, the receiver shall observe the period of time from
Electrical Idle Exit to the time that the receiver obtains bit and symbol alignment. If the
N_FTS period of time expires prior to the receiver obtaining alignment on all lanes of a
Link, the receiver must transition to the Recovery state in order to recover the Link
alignment. This sequence is detailed in the LTSSM in Section 4.2.5.
4.2.4.4. Link Error Recovery
At any time the Physical Layer can be directed to enter the Recovery state, as described in
Section 3.5. Refer to Section 7.2 for more information on behavior when the physical layer
reports errors.
4.2.4.5. Link Reset
There are two types of reset, one at the physical layer that is platform specific (“Power Good
Reset” or cold/warm reset) and one that is passed in the Link Control Register (bit number
0 of symbol 5) in the TS1 and TS2 ordered-sets. This reset is called the Link Control Reset
or hot reset.
PCI EXPRESS BASE SPECIFICATION, REV. 1.0
162
4.2.4.5.1. Physical Layer Reset (“Power Good”
A Physical Layer Reset is provided by the system to the logical sub-block and is used to
properly initialize the port. This Physical Layer Reset must be asserted when the power to
the device does not meet the device specifications. This Physical Layer Reset may also be
asserted by other control agents in the device (for instance the Link Layer, the Transaction
Layer or a software mechanism) to assert reset to the Physical Layer. The following must be
met when this reset is asserted:
• The receiver terminations are disabled.
• The transmitter must hold a constant DC common mode voltage on the differential
pair using a high impedance driver. For the definition of high impedance in this
context, see Table 4-4.
4.2.4.5.2. Link Control Reset (Hot Reset)
In addition to Physical Layer Reset, a Protocol Reset is defined. This Link Control Reset
uses a reset indicator bit defined in the Link Control Register (Table 4-2, Table 4-3) that is
sent during the training sequence. An upstream device sets this bit to force a reset of all of
the downstream devices and links. Optionally a downstream device may use this reset to
reset other logic within the device. The method and mechanisms to do this is
implementation specific.
When a bridge receives a training sequence with the reset bit asserted, it must propagate that
reset onto all downstream links by transmitting the TS1 ordered-sets with the reset bit
asserted. Link Control Reset shall not propagate upstream. All other physical layer
information exchanged in those ordered-sets must be accurate and correct.
All Lanes within a multi-Lane Link transmit the TS1, TS2 ordered-sets during Link Control
Reset. When Link Control Reset is removed, each transmitter and receiver must enter
Detect.
Unless otherwise specified the terms “reset” and “power-on/reset” in this chapter refer to
the Physical Layer Reset.
4.2.4.6. Link Disable
A Link can be disabled if directed. When directed to this state the following behavior
occurs:
• The Port drives its transmitters to high impedance.
• The receiver terminations must be disabled.
• There should be no response to any received data.
When directed to disable a Link, all Lanes within a multi-Lane Link transmit a minimum of 4
and a maximum of 16 TS1 ordered-sets with the Disable Link bit set. The Link remains
disabled until directed or a physical reset occurs.
PCI EXPRESS BASE SPECIFICATION, REV. 1.0
163
After a physical reset or after being directed out of Link disable, the next state is Detect.
4.2.4.7. Link Data Rate Negotiation
All devices are required to initialize and configure with generation 1 data rate on each Lane.
During initialization, a field is passed in the training sequence (see Section 4.2.4) to indicate
the maximum capable data rate for the Lane. This document specifies the data rate of
2.5 Gb/s in each direction on each Lane.
4.2.4.8. Link Width and Lane Sequence Negotiation
PCI Express Links must consist of 1, 2, 4, 8, 12, 16, or 32 Lanes in parallel, referred to as x1,
x2, x4, x8, x12, x16, and x32 links respectively. All Lanes within a Link shall transmit data
based on the exact same frequency.
The negotiation process is described as a sequence of steps. The negotiation establishes
values for Link Number and Lane Number for each Lane that is part of a valid Link; each
Lane that is not part of a valid Link exits the negotiation with values of K23.7 (PAD-out of
range) for Link Number and Lane number.
During Link width and Lane sequence negotiation, the two communicating ports must
accommodate the maximum allowed Lane-Lane skew as specified by LRX-SKEW in Table 4-5.
Optional behaviors are described to comprehend fixed configuration components and
components to be used in the implementation of advanced switching cross-links
(Section 1.6). Annex specifications to this specification may impose other rules and
restrictions that must be comprehended by components compliant to those annex
specifications; it is the intent of this specification to comprehend interoperability for a broad
range of component capabilities.
4.2.4.8.1. Required/Optional Port Behavior
The ability for a set of transceivers to become one port and form one Link or become
multiple ports and form multiple links is optional.
A xN port must be capable of forming a xN Link as well as a x1 Link (where N can be 32,
16, 12, 8, 4, 2, and 1). All other widths between N and 1 are optional.
Support for Lane reversal at any and all ports is optional.

PCI EXPRESS BASE SPECIFICATION, REV. 1.0
164
4.2.4.8.2. Steps to Negotiate the Width and Lane Ordering of Links
While in the configuration state, for Lanes that have successfully completed the bit
synchronization, polarity inversion and symbol synchronization training, components
negotiate the Link width and sequence of the Lanes within each Link via the steps of:
Step 1:
The upstream component initializes Link numbers:
An upstream component (downstream port) assigns unique Link numbers to groups of
Lanes capable of being unique links13. Indivisible groups of Lanes (those that can only
be configured as a Lane within one Link) must connect to at most one downstream
component (upstream port). The initial Link numbers are presented on each Lane to the
downstream component(s). Until indicated (step 3), Lane numbers are presented as
K23.7 (PAD-out of range). Upstream ports present their Link numbers and Lane
numbers as K23.7 (PAD-out of range).
Mechanism: The upstream component shall send out the TS1 ordered-sets with the
assigned Link numbers inserted into the Link number field (symbol 1) on the groups of
Lanes capable of being unique Links and the Lane number field (symbol 2) set to K23.7.
Example of a set of eight lanes on an upstream component capable of negotiating to
become on x8 port when connected to one downstream component or two x4 ports
when connected to two different downstream components: The upstream component
(downstream port(s)) sends out TS1 ordered-sets with the Link number set to N on four
lanes and Link number set to N+1 on the other four lanes. The Lane numbers are all set
to K23.7. The resultant number of links that are formed as well as their width(s) is
dependant upon the system configuration as well as the capabilities of the downstream
components.
Note: From this point on the rules are written to describe how each individual Link is
configured. Regardless of the number of links a component supports, each Link is
negotiated with the same rules that follow. Lanes within unique (only capable of being
configured into one Link) and aggregated (capable of being configured into more than
one) links must comply with timing rules in (Section 4.2.4.9). Independent, unique links
have independent timing and control of negotiation. Unique and aggregated links are
mapped with one and only one PCI-to-PCI bridge structure (Section 1.4).
13 The most flexible case being all Lanes could be separate x1 Links. The most restrictive case being all
Lanes as part of one Link.

PCI EXPRESS BASE SPECIFICATION, REV. 1.0
165
Step 2:
The upstream port (downstream component) responds with Link number
assignments:
A downstream component (upstream port) assigns the Link number (label) by
assigning a common Link number to each of its lanes connected to the upstream
component (downstream port), where the assigned Link number is selected from
one of the Link numbers the downstream component received from the upstream
component. If the downstream component is restricted as to its placement of Lane
number 014, it must select the Link number received on that Lane. If the
downstream component is restricted to Link widths other than what is presented, it
must only transition the Link number of the subset of lanes that it can support
within the Link.
Mechanism: The upstream port (downstream component) shall send out the TS1
ordered-set with the assigned common Link number inserted into the Link number
field (symbol 1) and the Lane number field (symbol 2) set to K23.7 for all lanes
within the widths supported by the port. Lanes which cannot be included due to
supported width restrictions shall continue sending TS1 ordered-sets with the Link
number and Lane number fields both set to K23.7.
Example 1: a x8 port: The upstream port (downstream component) sends out TS1
ordered-sets with the Link number set to one of the Link numbers presented from
the upstream component and the Lane number set to K23.7 on all 8 lanes. Per the
example under step 1 above, it must choose between N and N+1. If the upstream
port (downstream component) did not support Lane reversal, it must choose the
Lane number presented on its Lane 0.
Example 2: a x16 port which is not capable of becoming a x8 Link, but is capable of
being a x 4 Link: The upstream port (downstream component) sends out TS1
ordered-sets with the Link number set to the Link number presented from the
downstream port (upstream component) on the four lanes it can support within the
Link; the Lane numbers remain set to K23.7 on those for lanes. It shall send out
TS1 ordered-sets with the Link numbers and Lane numbers set to K23.7 on the
twelve remaining lanes.
Note per Step 2: There may be times when a upstream port (downstream
component) may be connected to another upstream port (downstream
component)(cross-link). The rule below defines the behavior in this situation.
Support for this behavior is optional.
Upstream port (downstream component) connected to upstream port (downstream
component):
14 A simple example of this is the port does not support Lane reversal.
PCI EXPRESS BASE SPECIFICATION, REV. 1.0
166
If after a minimum of 16 TS1 ordered-sets have been received on each Lane within
the perspective Link, the upstream port (downstream component) has not received a
Data Symbol for its Link number; the port may optionally assume the role of an
downstream port and transition this port to Step 1. If this feature is not supported,
it must maintain the values of K23.7 for Link and Lane number fields and exit the
negotiation.
Step 3:
The downstream port (upstream component) initializes Lane numbers:
The downstream port (upstream component) must acknowledge the assigned Link
number received from the upstream port (downstream component) by transitioning
the Link number to the assigned Link number on each Lane to the upstream port
(downstream component) as well as transitioning the Lane number fields to its
preferred Lane numbers, while maintaining Link widths consistent with the width
restrictions above. The preferred Lane numbers must be consecutive and one Lane
number must be assigned to 0. If the downstream port (upstream component) has
not received a Data Symbol for its Link number after receiving an additional 16 (or
greater) TS1 ordered-sets on all lanes in the perspective Link, all lanes of the Link
must maintain values of K23.7 for Link and Lane number fields and exit the
negotiation. If the assigned Link number does not match any of its initial Link
numbers, see note below.
Mechanism: The downstream port (upstream component) shall send out the TS1
ordered-set with Link number field (symbol 1) set to the assigned Link number and
the Lane number field (symbol 2) set to its preferred number on all lanes which
received a Link number from the upstream port (downstream component) that can
be accommodated within the Link widths that port can support. It must transition
the Link numbers and Lane numbers to K23.7 on the lanes that were previously
rejected by the upstream port (downstream component) and any additional lanes the
downstream port (upstream component) cannot accommodate within its supported
Link widths.
Note per Step 3: There may be times when a downstream port may be connected to
a downstream port. The rules below define the behavior in this situation. Support
for this behavior is optional.
Downstream port (upstream component) connected to downstream port (upstream
component):
If the downstream port (upstream component) receives an assigned Link number
that does not match any of its initial Link numbers, it may optionally compare the
received Link number to its initial Link number. If the received Link number is less,
it must transition these lanes to Step 2, assuming the role of an upstream port of a
downstream component. A downstream port (upstream component) must remain
in Step 3 if its assigned Link number was greater than the received Link number or it
does not support this feature. If after a minimum of 16 TS1 ordered-sets have been
received on each Lane within the perspective Link, the downstream port (upstream
PCI EXPRESS BASE SPECIFICATION, REV. 1.0
167
component) has not received a Link number that matches any of its initial Link
numbers, it must maintain the values of K23.7 for Link and Lane number fields and
exit the negotiation.
Step 4:
The upstream port (downstream component) responds with Lane number
assignments:
The upstream port (downstream component) must accommodate Link width and
Lane numbers presented by the downstream port (upstream component) if it is
possible to do so (see system designer rules below in this section). If the upstream
port (downstream component) can accept the Link width presented but not the Lane
numbers, it must acknowledge with its preferred ordering of Lane numbers at this
time. The preferred Lane numbers must be consecutive and one Lane number must
be assigned to 0. If the upstream port (downstream component) is restricted to Link
widths other than what is presented, it must only transition the Lane numbers on the
subset of lanes that can be accommodated within the Link widths that port can
support. It must transition the Link numbers and Lane numbers to K23.7 on the
lanes that cannot be accommodated within the widths that port supports.
Mechanism: If the upstream port (downstream component) has not received Data
Symbols for its Lane numbers after receiving an additional 16 or more TS1 ordered-
sets, all perspective lanes of the Link must maintain values of K23.7 for Link and
Lane number fields and exit the negotiation. If the upstream port (downstream
component) can accommodate the Lane numbers received from the downstream
port (upstream component), it shall send out the TS1 ordered-sets with Link number
field (symbol 1) set to the assigned Link number and the Lane number field (symbol
2) set to the Lane numbers assigned by the downstream port (upstream component).
Otherwise, it shall insert its preferred numbers on all lanes with Lane numbers
currently assigned by the downstream port (upstream component) that it can
accommodate within the Link widths that port can support. It must transition the
Link numbers and Lane numbers to K23.7 on the lanes that were previously rejected
by the downstream port (upstream component) and any additional lanes the
upstream port (downstream component) cannot accommodate in the Link width.
Step 5:
The downstream port (upstream component) confirms Link number and Lane
assignments:
The downstream port (upstream component) must accommodate any Lane numbers
which are consistent with all system and component rules that do not match its
preferred ordering, completing the Link width and numbering negotiation (see
system designer rules below in this section). If the upstream port (downstream
component) has assigned Lane numbers to a number of lanes resulting in Link width
that port can not support, the downstream port (upstream component) must
accommodate upstream port’s (downstream component’s) Lane 0, establishing a
Link of width 1.

PCI EXPRESS BASE SPECIFICATION, REV. 1.0
168
Mechanism: If the downstream port (upstream component) has not received Data
Symbols for its Lane numbers after receiving an additional 16 or more TS1 ordered-
sets, all lanes of the Link must maintain values of K23.7 for Link and Lane number
fields and exit the negotiation. If the downstream port (upstream component) is to
further reduce the width requested by the upstream port (downstream component)
to a width greater than x1, the downstream port (upstream component) must return
to step 315. Otherwise, the downstream port (upstream component) shall transition
to sending the TS2 ordered-sets with the Link number fields (symbol 1) and Lane
number fields (symbol 2) set to negotiated values. It must transition the Link
numbers and Lane numbers to K23.7 on the lanes that were previously rejected by
the upstream port (downstream component) and any additional lanes the
downstream port (upstream component) cannot accommodate in the Link width.
Step 6:
The upstream port (downstream component) confirms Link number and Lane
assignments:
Mechanism: After receiving at least one TS2 ordered-set, the upstream port
(downstream component) shall transition to sending the TS2 ordered-sets with the
Link number fields (symbol 1) and Lane number fields (symbol 2) set to negotiated
values. It must transition the Link numbers and Lane numbers to K23.7 on the
lanes that were previously rejected by the downstream port (upstream component).
Step 7:
The downstream and upstream ports (upstream and downstream components,
respectively) settle on Link number and Lane assignments:
Both ports continue sending TS2 ordered-sets. If after completing the negotiation
(steps 1 – 6), either port again transitions the Lane numbers (should only occur if
this Link is an advanced switching cross-link (refer to Section 1.6) where both ports
have been implemented as downstream ports of upstream components), the port
may optionally silently accept the received Lane numbers as the correct labeling of
the other port’s transmitters and therefore its own receivers; otherwise, all lanes of
the Link must maintain values of K23.7 for Link and Lane number fields and exit the
negotiation. No further changes to Link number and Lane number are allowed at
this point without a complete re-training and re-configuration of the ports and
associated Link(s). Label numbers are to be retained, skipping the Link width and
Lane sequence negotiation steps unless transitioned to Link state Polling.Quiet.
When these steps are skipped, the previously negotiated Link and Lane numbers are
retained and inserted into the appropriate fields of the TS1 and TS2 ordered-sets.
15 It is only possible to return to step 3 one time due to the limited number of Link widths allowed (x1, x2, x4,
x8, x12, x16, x32). The longest sequence of width negotiation consists of an upstream component
(downstream port), which supports x16, x8, x2, x1 connected to a downstream component (upstream port),
which supports x32, x12, x4, x1. Step 1 would attempt to create a x16 Link, step 2 a x12 Link, step 3 (first
pass) a x8 Link, step 4 (first pass) a x4 Link, step 3 (second pass) a x2 Link, step 4 (second pass) a x1 Link.
PCI EXPRESS BASE SPECIFICATION, REV. 1.0
169
Mechanism: At least 16 TS2 ordered-sets are sent after receiving one TS2 ordered-
set. If the received TS2 ordered-sets have Lane numbers that do not match those
transmitted in the transmitted TS2 ordered-set, the port may internally disassociate
the transmitter and receiver from the same Lane number label, associating the
receiver with the Lane number received. The transmitter association to Lane
number must not change once TS2 ordered-sets have been sent. If the receiver
cannot be associated with the Lane number received, all lanes of the Link must
maintain values of K23.7 for Link and Lane number fields and exit the negotiation.
The port returns to Config.Idle after at least 8 TS2 ordered-sets are received.
All lanes that are connected to the other port but not included in the negotiated Link
must maintain values of K23.7 for Link and Lane number fields assigned by
upstream and downstream ports.
Any lanes that fail to establish Data Symbol values for Link and Lane number fields are
inactive, and will not exchange information with the Data Link Layer. All data and control
to the Data Link Layer from active lanes shall be consistent with the agreed Lane
numbering. When negotiating Link width and Lane sequence; each downstream port
(upstream component) must transition between steps in unison across all of its lanes and
each upstream port (downstream component) must transition between steps in unison
across all of its lanes.
The following graphical flow diagrams demonstrate interoperability of components with
simplified negotiation machines. Components/ports with complex negotiation machines are
added to facilitate clarity.

PCI EXPRESS BASE SPECIFICATION, REV. 1.0
170
Entry from Polling with
all lanes of the potential
link in bit, polarity and
symbol alignment.
Lane number and Link
number initially PAD
Start for Downstream
component
Insert one of the link
numbers received into TS1
and transmit on all lanes of
the link.
See the text "Step 2"
Does the received training
sequences have a link number
other than PAD?
2 ms timeout
No
No
Does the received training
sequences have lane numbers
other than PAD?
2 ms timeout
No
Yes
Yes
Yes
No
Error Exit
Downstream
Part 2
Figure 4-11: Width Negotiation, Simplified State Machine, Downstream Component
(Part 1)

PCI EXPRESS BASE SPECIFICATION, REV. 1.0
171
Switch to sending TS2
At least 8 TS2 must be sent
after receiving one TS2
Insert the lane numbers for
this link into TS1 and
transmit on all lanes of the
link.
See the text "step 4"
8TS2orderedsets
received? 2 ms timeout
No
Yes
Does the received width match
the desired width?
Are the lane numbers
acceptable?
No Lower the
link width
Next lower
link width
No lower
width
Error Exit
Exit to Config.Idle
Yes
Yes
No
Downstream
Part 2
Figure 4-12: Width Negotiation, Simplified State Machine, Downstream Component
(Part 2)

PCI EXPRESS BASE SPECIFICATION, REV. 1.0
172
Entry from Polling with
all lanes of the potential
link in bit, polarity and
symbol alignment .
Lane number initially
PAD.
Initialize the unique link
numbers, set lane number to
PAD and transmit TS1.
See the text "Step 1"
Does the received training
sequences have a link number
other than PAD? 2 ms timeout
No
No
Start for upstream
component
Yes
Yes
Error Exit
Upstream
Part 2
Figure 4-13: Width Negotiation, Simplified State Machine, Upstream Component
(Part 1)

PCI EXPRESS BASE SPECIFICATION, REV. 1.0
173
Set the lane numbers to the
desired lane numbers on all
lanes of the link and
transmit TS1
See the text "Step 3"
Switch to sending TS2
Exit to Config.Idle
8TS2
received? 2 ms timeout
No
Yes
No
Does the received training
sequences have a lane number
other than PAD? 2 ms timeout
No
No
Yes
Yes
Does the received width match
the desired width?
Are the lane numbers
acceptable?
No Lower the
link width
No
lower
width
Next lower
link width
Yes Error Exit
Upstream
Part 2
Figure 4-14: Width Negotiation, Simplified State Machine, Upstream Component
(Part 2)

PCI EXPRESS BASE SPECIFICATION, REV. 1.0
174
System Designer Rules:
System designers must connect Lanes within a Link interconnected through a connector or
other suitable reference such that components are capable of labeling Lanes consistent with
consecutive Lanes of the reference, inclusive of reference Lane 0. Components with fixed
Lane ordering will interoperate with other compliant components flexible enough to also
support other labelings. A simple example of increased flexibility would be to accommodate
Lanes connected in reverse order. It is straightforward for a component to reverse Lane
order upon receiving a Lane number of 0 on its most significant Lane or failure to detect an
active in-bound Lane on its own Lane 0.
Example of Simple, Compliant Components:
Illustrated in Figure 4-15 are the transitions in the training exchange of Link and Lane
numbers between an upstream component’s 5th downstream Port that supports Link widths
of x32, x12, x4, or x1 only and a downstream component’s upstream Port that supports Link
widths of x16, x8, x2, or x1 only. This is a worst-case scenario, with negotiation occurring at
each step and the only common width is x1; at each step, the next largest Link width
supported is implicit in the next exchange in the sequence. Link number is first (above), and
Lane number second (below), with K representing the K23.7 symbol; transitions trigger the
next step in the negotiation. The upstream component’s (downstream port’s) Lane
transitions are shown in white and downstream component’s (upstream port’s) Lane
transitions are shown in gray. Only the 16 Lanes that have successfully completed the bit
synchronization, polarity reversal and symbol synchronization training are shown.
Port Lanes
t1514131211109876543210
0K
KK
KK
KK
KK
KK
KK
KK
KK
KK
KK
KK
KK
KK
KK
KK
K
15
K5
K5
K5
K5
K5
K5
K5
K5
K5
K5
K5
K
2K
KK
KK
KK
KK
KK
KK
KK
K5
K5
K5
K5
K5
K5
K5
K5
K
3K
KK
KK
KK
KK
KK
KK
KK
K5
35
25
15
0
4K
KK
KK
KK
KK
KK
KK
KK
KK
KK
KK
KK
KK
KK
K5
15
0
5K
KK
KK
KK
KK
KK
KK
KK
KK
KK
KK
K5
0
Figure 4-15: Width Negotiation Example
PCI EXPRESS BASE SPECIFICATION, REV. 1.0
175
4.2.4.8.3. Port to Port Width Negotiation Example
The following text and diagrams show additional examples of two ports negotiating the
width and Lane ordering of a Link.
Configuring groups of Lanes to form single logical links is done via a negotiation process
that modifies the values of TS1 and TS2 symbols representing Link number and Lane
number for each Lane. The process can be viewed as presentation of proposals and
counter-proposals in the form of transitioning symbol values in discrete steps. Ordered-sets
are symbol synchronized across Lanes that potentially make up a single logical Link, allowing
the transitions of symbol values across Lanes to be examined together. The ordered-sets
containing each proposal are repeated until a new counter-proposal is detected via the
receipt of appropriate symbol transitions. The association of a Lane to a particular logical
Link is indicated by its final Link number symbol and its position (ordering) within the Link
is indicated by its final Lane number symbol. Lanes that have not been included in any
logical Link will have final symbol values identical to the pre-negotiation value of PAD.
Steps 1 and 2 establish the number of links an upstream component (downstream port(s)) is
attached to.
Steps 1 and 2 also begin (but not necessarily) complete establishing the width of the resultant
Link(s).

PCI EXPRESS BASE SPECIFICATION, REV. 1.0
176
Entry
Config.RcvCfg
Step 1
Link Configuration
Steps 1, 2
Upstream Comp
Downstream Port(s) Downstream Comp
Upstream Port
Entry
Config.RcvCfg
Step 2
Config.RcvCfg
Config.RcvCfg
Step 3
TS1<Link #(s), Pad> TS1<Pad, Pad>
TS1<Link #, Pad>
Step 1
Step 2
Figure 4-16: Link Width Negotiation; Steps 1,2
In order to enter the configuration state, Lanes within a perspective Link have already
exchanged TS1 ordered-sets and completed the bit synchronization, polarity inversion (if
needed) and symbol synchronization functions. Prior to entering the configuration state, the
Link number and Lane number fields have been set to PAD (K23.7) and TS1 ordered-sets
are sent repeatedly.
Step 1:
Upon entering Config.RcvrCfg, the downstream port(s) starts the Link width and Lane
ordering negotiations by sending out the TS1 ordered-set with a unique Link number on
sets of Lanes, which that component could support as unique links; the Lane numbers
continue to be set to PAD.
Step 2:
Upon receipt of the TS1 ordered-set with Link numbers (non-PADs) present in the Link
number field, the upstream port shall respond by choosing one of the Link numbers it
received. This step of returning the one Link number determines the downstream
port(s) the number of links that are to be negotiated.
The upstream port responds with a Link number only on the Lanes in which it received
a Link number and Lanes that it can support in one Link. A simple example: a port may

PCI EXPRESS BASE SPECIFICATION, REV. 1.0
177
be designed to support a x32 Link. Only 16 of those Lanes may have been attached, and
therefore TS1s received only on 16 Lanes. The port may not support a x16 Link, but
may support a x12 Link. In that case, the upstream port returns TS1 ordered-sets with a
Link number only on the 12 Lanes that it is capable of supporting in a x12, and with the
Link number set to PAD on the 4 remaining Lanes. This is the first counter-proposal
towards establishing the final Link width.
Additional notes on steps 1 and 2:
One method to create a cross-link Section 1.6 is to connect a downstream port to
another downstream port. One of two scenarios can occur; a.) The two ports choose
different Link numbers to begin negotiations, or b.) The two ports choose the same Link
number to begin negotiation. If a.) occurs, the rules are described as part of step 3. If
b.) occurs, the two ports will not yet be able to differentiate the Step 1 behavior of a
cross-link condition from the Step 2 behavior of a normal upstream port.
Note: If a system designer connects two (or more) downstream ports on one upstream
component that is capable of being aggregated into one Link (Link aggregation) in a
cross-link to two downstream ports on a different upstream component, the
configuration results are undefined.
Entry From Step 2
Config.RcvCfg
Step 3
Configuration
Steps 3, 4
Upstream Comp
Downstream Port(s) Downstream Comp
Upstream Port
Config.RcvCfg
Step 4
Config.Wait
Step 5
TS1<Link #, Lane #s>
See Note 1
TS1<Link #, Lane #s>
See Note 2
Step 3
Step 4
TS1<Link #, Lane #s>
See Note 3
Return to Step 2
SeeNote4
Figure 4-17: Link Width Negotiation; Steps 3, 4
Steps 3 and 4 establish Lane ordering within each Link established in Steps 1 and 2. To find
a supported Link width common to both components, Steps 3 and 4 continue to reduce the
Link width by removing select Lanes from the negotiation; Lanes never join a Link
negotiation through these steps. Returning a Lane’s Link number to the value of PAD
indicates removal; otherwise Link numbers persist with the value assigned in Step 2.
PCI EXPRESS BASE SPECIFICATION, REV. 1.0
178
Step 3:
Upon receipt of TS1 ordered-sets with a Link number inserted in that field on each
Lane, the downstream port transitions to Step 3, making its first proposal for Lane
numbers within each group of Lanes with common received Link numbers.
Note 1 (Figure 4-17): In the event that a set of ports were connected to a single
upstream port, those ports would all see the same Link number returned. This is the
mechanism that allows those ports to be aggregated into one Link. If those ports are not
capable of being aggregated into one Link, the upstream component must continue
negotiation with only one of those ports and transition the Link number to PAD on
Lanes of the remaining ports, removing them from the negotiation process.
Note 2 (Figure 4-17): Components in a cross-link as described in scenario a.) above
,start negotiations by presenting different Link numbers to each other. Components
designed to comprehend the cross-link condition implement the optional compare of the
two Link numbers. The component that receives a Link number smaller than the Link
number it presented on its port assumes the role of an upstream port and transitions to
Step 2. The other component receives a Link number greater than the Link number
presented on its port remains in Step 3 to await a further Link number transition
matching its own.
Step 4:
Upon receipt of the TS1 ordered-set with Lane numbers presented in the Lane number
fields and a common Link number present in the Link number fields, the upstream port
transitions to Step 4, asserting an appropriate set of Lane numbers. The upstream port
should only counter-propose Lane numbers if it has a fixed ordering of its Lanes and the
downstream port is connected in a reversed Lane fashion; otherwise, Step 4
acknowledges the downstream port proposal.

PCI EXPRESS BASE SPECIFICATION, REV. 1.0
179
Entry From Step 4
Config.Wait
Step 5
Configuration
Steps 5,6
Upstream Comp
Downstream Port(s) Downstream Comp
Upstream Port
Config.Wait
Step 5
Config.Idle
Step 6
TS2<Link #, Lane #s>
Step 6
Step 5 TS2<Link #, Lane #s>
Config.Idle
Step 6
Exit to L0 Exit to L0
TS2<Link #, Lane #s>
Figure 4-18: Link Width Negotiation; Steps 5, 6
Steps 5 and 6 acknowledge the completed Link width and Lane sequence negotiation.
Step 5:
The downstream port transitions to sending TS2 ordered-sets with the Link number and
the Lane numbers inserted in the defined fields. At this time, the downstream port also
removes Lanes that have been removed from the negotiation by the upstream port.
Note 3 (Figure 4-18): If additional Lanes are removed from the negotiation as may occur
in the extreme mismatch of supported Link widths described in Step 4 of the rules, the
downstream port can only transition to TS2 if a x1 Link is to be formed. Fewer
additional Lanes removed resulting in a x2 Link require the downstream port to return to
Step 3, remaining in TS1.
Step 6:
The upstream port transitions to sending TS2 ordered-sets when it receives TS2 ordered-
sets with the agreed upon Link number and the Lane ordering it last presented to the
downstream port. At least Lane 0 is retained in this step; the upstream port removes
Lanes that have been removed from the negotiation by the downstream port.
Step 7: (not shown in Figure 4-18)
As noted earlier, there is a case where two downstream ports have been negotiating with
each other and not realizing it until this step. This can occur in a cross-link when the
two downstream ports both choose the same Link number to begin negotiation; both
PCI EXPRESS BASE SPECIFICATION, REV. 1.0
180
ports present their Link number in their Step 1, receiving that same Link number in Step
3. In Step 3, they both presented their preferred Lane numbers; if connected such that
these align, Step 5 will not modify Lane numbers and simply transition to sending TS2
ordered-sets. However, if one component is connected in reverse Lane fashion and
both ports support Lane reversal, Step 5 will cause both to accommodate the other. The
mechanism to observe this is when a TS2 ordered-sets arrives with Lane numbers that
do not match the Lane numbers being transmitted. The optional behavior to resolve
this conflict is to continue sending TS2 ordered-set with the agreed upon Link number
and conflicting Lane numbers. However, the Lane numbers now represent the
transmitter Lane number. The port must then disassociate its transmitter with a receiver
and reverse the ordering of the receivers to match the Lane ordering of the other port.
4.2.4.9. Lane-to-Lane De-skew
Lane-to-Lane de-skew shall be done across all Lanes within multi-Lane links. An
unambiguous de-skew mechanism is the COM symbol transmitted during training sequence
or skip ordered-sets across all Lanes within the Link (at what the transmitter believes is)
simultaneously. Other de-skew mechanisms may also be employed. The receiver must
compensate for the allowable skew between Lanes within a multi-Lane Link before
delivering the data and control to the Data Link Layer.
4.2.4.10. Lane vs. Link Training
The initialization Link training process builds unassociated Lanes on a device into associated
Lanes that form a Link. This occurs during the first state of the configuration state machine
Config.RcvrCfg where the links are configured (e.g. width negotiation and optional Lane
reversal). State machines prior to the Config.RcvrCfg operate on a per Lane basis, after
Config.RcvrCfg the operations are on a Link basis.
For example, transmitted data prior to Config.RcvrCfg sends the specified data on all Lanes
of the device; after the Config.RcvrCfg state the transmitter sends the specified data on all
Lanes of the configured Link.
4.2.5. Link Training and Status State Machine (LTSSM)
All timeout values specified in the Link training and status state machine (LTSSM) timeout
values are minus 0 seconds and plus 50% unless explicitly stated otherwise. All timeout
values must be set to the specified values after power-on/reset. All counter values must be
set to the specified values after power-on/reset.
The LTSSM states are illustrated in Figure 4-19. These states are described in following
sections.
4.2.5.1. Detect
The purpose of this state is to detect when a far end receiver is powered on in order to avoid
transferring common mode between the transmitter and receiver.
PCI EXPRESS BASE SPECIFICATION, REV. 1.0
181
4.2.5.2. Polling
The Port transmits training ordered-sets and responds to the received training ordered-sets.
In this state bit lock and symbol lock are established, Lane polarity is configured, and Lane
data rate is established.
4.2.5.3. Configuration
In Configuration both the transmitter and receiver are sending and receiving data at the
negotiated data rate. The Link configures width and Lane reversal and manages Lane-to-
Lane skew within the Link.
4.2.5.4. Recovery
In Recovery both the transmitter and receiver are sending and receiving data at the
previously negotiated data rate. The Port transmits training ordered-sets and responds to the
received training ordered-sets. In this state bit lock and symbol lock are re-established.
4.2.5.5. L0
L0 the normal operational state where data and control packets can be transmitted and
received.
4.2.5.6. L0s
L0s is intended as a power savings state.
L0s allows a Link to quickly enter and recover from a power conservation state without
going through the Configuration or Recovery states.
The entry to L0s occurs after receiving an Electrical Idle ordered-set.
A transmitter and receiver Lane pair on a Port are not required to both be in L0s
simultaneously.
4.2.5.7. L1
L1 is intended as a power savings state.
The L1 state allows an additional power savings over L0s at the cost of additional resume
latency.
The receiver must be able to recover from this state within 64 µs, including reacquiring bit
and symbol synchronization.
The entry to L1 occurs after being directed by the Data Link Layer and receiving an
Electrical Idle ordered-set.

PCI EXPRESS BASE SPECIFICATION, REV. 1.0
182
4.2.5.8. L2
Power can be aggressively conserved in L2. Most of the Transmitter and Receiver may be
disabled16. Main power and clocks are not guaranteed, but aux17 power is available.
An upstream port must be able to send and a downstream port must be able to receive a
wakeup signal referred to as a Beacon.18
The entry to L2 occurs after being directed by the Data Link Layer and receiving an
Electrical Idle ordered-set.
4.2.5.9. External Loopback
Loopback is intended strictly for testing and validation purposes. When a Link is in
loopback, the symbols received are “looped back” to the transmitter on the same Lane.
A Loopback master is the component requesting loopback.
A Loopback slave is the component looping back the data.
Loopback is entered whenever two consecutive TS1 or TS2 ordered-sets are received with
the loopback bit set.
Loopback is exited by the sending of an Electrical Idle ordered-set followed by Electrical
Idle.
4.2.5.10. Disabled
In Disabled the receiver terminators must remain enabled and the transmitter is in a high
impedance Electrical Idle.
The Receiver Detection sequence (see Section 4.3.1.8) is allowed while in the disabled state if
desired.
Disabled is entered when directed by the Data Link Layer.
4.2.5.11. Link Control Reset
Link Control Reset is entered when directed or when two consecutive TS1 or TS2 ordered-
sets are received with the Reset bit set.
16 The exception is the receiver termination, which must remain in a low impedance state.
17 In this context, “aux”power means a power source which can be used to drive the Beacon and Receiver
Detection circuitry.
18 A device generates beacons in order to wake a system that is in D3cold. See Section 4.3.2.4 for
information on the electrical requirements of the beacon. Refer to Chapter 6 for more information on how a
device may use the beacon as the wake mechanism.

PCI EXPRESS BASE SPECIFICATION, REV. 1.0
183
4.2.6. Link Training and Status State Descriptions
External
Loopback
Disabled
L2
L1
Detect
Configuration
L0
Initial State
or
Directed by
Data Link
Layer
From any
State
L0s
Recovery
P olling
Link Control
Reset
Figure 4-19: Main State Diagram for Link Training and Status State Machine
4.2.6.1. Detect
4.2.6.1.1. Detect.Quiet
• Transmitter is in a high impedance Electrical Idle state.
• Lane number and Link Number are initialized to K23.7.
• Generation 1 data rate is selected.
• LinkUp = 0 (status is cleared).
• Next state is Detect.Active after a 64 ms timeout.

PCI EXPRESS BASE SPECIFICATION, REV. 1.0
184
4.2.6.1.2. Detect.Active
• The transmitter performs a high impedance Receiver Detection sequence(see
Section 4.3.1.8 for more information).
• Next state is Detect.Charge if a receiver is detected.
• Next state is Detect.Quiet if a receiver is not detected.
4.2.6.1.3. Detect.Charge
• Transmitter is in a high impedance Electrical Idle state.
• Next state is Polling after 64 ms timeout or when the operating DC common mode
voltage is stable and within specification.19
Entry
No Detect
64 ms timeout
Detect.Quiet Detect.Active
Detect
Exit to Polling
Detect.Charge
64 ms Charge
Receiver
Detected
Figure 4-20: Detect Sub-State Machine
19 The common mode being driven must meet the Absolute Delta Between DC Common Mode During L0
and Electrical Idle (VTX-CM-DC-ACTIVE-IDLE-DELTA) specification (see Table 4-4).
PCI EXPRESS BASE SPECIFICATION, REV. 1.0
185
4.2.6.2. Polling
4.2.6.2.1. Polling.Quiet
• Transmitter is in Electrical Idle.
• A Receiver Detection sequence (see Section 4.3.1.8 for more information) is
performed.
oIf no receiver is present, next state is Detect
• LinkUp = 0 (status is cleared).
• Next state is Polling.Configuration if a single TS1 or TS2 ordered-set or their
complement is received.
• Next state is Polling.Active after a minimum of 64 ms.
4.2.6.2.2. Polling.Active
• Transmitter sends a minimum of 1024 consecutive TS1 ordered-sets on all Lanes.
oNote: This guarantees a minimum of 64 µs for the bit lock time at
generation 1 data rates.
• Next state is Polling.Configuration if a single TS1 or TS2 ordered-set or their
complement is received.
• Next state is Polling.Compliance if the transmitter has entered Polling.Active 32
consecutive times without receiving a single TS1 or TS2 ordered set and the receiver
has never detected an exit from Electrical Idle after the first time entering Polling.
oNote: The compliance mode is entered only if no signal was detected at any
receiver on a Link since the time of reset.
• Next state is Polling.Quiet if the transmitter sends 1024 TS1 ordered-sets without
receiving a single TS1 or TS2 ordered-set.
4.2.6.2.3. Polling.Compliance
• 8b/10b encoder is set to positive disparity
• Transmitter sends out the compliance pattern (see Section 4.2.8)
• Next state is Polling.Active if Electrical Idle is no longer detected at the receiver.

PCI EXPRESS BASE SPECIFICATION, REV. 1.0
186
4.2.6.2.4. Polling.Configuration
• Receiver inverts polarity if necessary (see Section 4.2.4.2).
• Transmitter sends TS1 ordered-sets on the Port. At least 16 TS1 ordered-sets are
sent after receiving one TS1 or TS2 ordered-set.
• Next state is Configuration if eight consecutive TS1 or TS2 ordered-sets are received
and no higher data rate is supported
oOtherwise, next state is Polling.Speed if eight consecutive TS1 or TS2
ordered-sets are received.
• Otherwise, next state is Polling.Active after a 2 ms timeout.
4.2.6.2.5. Polling.Speed
• The transmitter enters Electrical Idle for a minimum of TTX-IDLE-MIN (see Table 4-4).
• Data rate is changed to highest common data rate supported in the training sequence
(see Section 4.2.4.1).
• Transmitter sends a minimum of 1024 consecutive TS1 ordered-sets on all lanes.
oNote: This guarantees a minimum bit lock time.
• Next state is Configuration.
TSx
received
Entry
1024 TS1 sets
64 ms timeout
Exit to
Configuration
Polling.Quiet Polling.Active
Polling.Configuration Polling.Speed
TSx
received
Polling
Polling.Compliance
2 ms timeout
No Detect
TSx
received
Figure 4-21: Polling Sub-State Machine
PCI EXPRESS BASE SPECIFICATION, REV. 1.0
187
4.2.6.3. Configuration
4.2.6.3.1. Config.RcvrCfg
• Transmitter sends TS1 ordered-sets on the Lanes. At least 16 TS1 ordered-sets are
sent after receiving one TS1 or TS2 ordered-set.
oNote: All lanes must have achieved bit and symbol lock by this state as
ensured by Polling.
• Link width and Lane reversal is performed as described in Section 4.2.4.8.
• Note: If some Lanes do not configure successfully they may be disabled or may be
returned to Polling.
oNote: Disabled Lanes should be re-enabled if any active Lanes within the
same Link enter Detect.
oNote: All Lanes on a configured Link must operate at the same data rate.
• Next state is Config.Idle if a receiver negotiates a valid configuration and receives
eight consecutive TS1 or TS2 ordered-sets on all configured Lanes.
Otherwise, the data rate that the Port indicates it supports is dropped down to the next
lower data rate and the next state is Polling. See Section 4.2.4.7 for information on data rate
negotiation.
4.2.6.3.2. Config.Idle
• Transmitter sends Idle data symbols on all configured Lanes. At least 16 idle data
symbols are sent after receiving one Idle data symbol.
• Receiver waits for Idle data.
• LinkUp = 1 (status is set true).
• Next state is L0 if eight consecutive symbol times of Idle data received on all
configured Lanes.
• Otherwise, after a minimum 2 ms timeout the data rate that the Port indicates it
supports is dropped down to the next lower data rate and the next state is Polling.
See Section 4.2.4.7 for information on data rate negotiation.

PCI EXPRESS BASE SPECIFICATION, REV. 1.0
188
Exit to Polling
Entry
Link
Error
Exit to L0
Config.RcvrCfg
Configuration
8idle
symbols
Config.Idle
2ms
timeout
Link
Configured
Figure 4-22: Configuration Sub-State Machine
4.2.6.4. Recovery
4.2.6.4.1. Recovery.RcvrCfg
• Transmitter sends TS2 ordered-sets on all configured Lanes. At least 16 TS2
ordered-sets are sent after receiving one TS2 ordered-set.
• Next state is Recovery.Idle if 8 consecutive TS2 ordered-sets are received on all
configured Lanes.
• Otherwise, after 2 ms an error is reported to the Data Link Layer and the next state
is Polling.
4.2.6.4.2. Recovery.Idle
• Transmitter sends Idle data (minimum of 16 symbol times) on configured Lanes.
• Receiver waits for Idle data.
• Next state is L0 if eight consecutive symbol times of Idle data received on all
configured Lanes
• Otherwise, after 2 ms, an error is reported to the Data Link Layer and the next state
is Polling.

PCI EXPRESS BASE SPECIFICATION, REV. 1.0
189
Exit to Polling
Entry
2ms
timeout
8 consecutive
TS2 received
Exit to L0
8idle
symbols
Recovery.RcvrCfg Recovery.Idle
Recovery
2ms
timeout
Figure 4-23: Recovery Sub-State Machine
4.2.6.5. L0
This is the normal operational state.
• Transmitter and receiver are enabled in a low impedance state.
• Next state is Recovery if TS1 or TS2 received.
• Next state is Recovery if directed to this state.
• Next state is Polling if directed to this state.
• Next state is Detect if directed to this state.
• Next state is L0s if receiver detects Electrical Idle ordered-set.
• Next state of transmitter is L0s if directed to this state.
• Next state is L1 if receiver detects Electrical Idle ordered-set and is directed to this
state.
• Next state is L2 if receiver detects Electrical Idle ordered-set and is directed to this
state.
• Next state is Link Control Reset if directed to this state.
• Next state is the Disabled if directed to this state.
• Next state is External Loopback if directed to this state.
PCI EXPRESS BASE SPECIFICATION, REV. 1.0
190
4.2.6.6. L0s
4.2.6.6.1. Receiver L0s
4.2.6.6.1.1. Rx_L0s.Entry
• Next state is Rx_L0s.Idle after a TTX-IDLE-MIN (Table 4-4) timeout
4.2.6.6.1.2. Rx_L0s.Idle
• Next state is Rx_L0s.FTS if receiver detects an exit from Electrical Idle
4.2.6.6.1.3. Rx_L0s.FTS
• Receiver locks to incoming bit stream and acquires symbol alignment.
• Next state is Recovery if the receiver does not detect bit and symbol alignment
within the N_FTS duration on all Lanes of the Link.
• Otherwise, if bit and symbol lock is obtained the next state is L0.
4.2.6.6.2. Transmitter L0s
4.2.6.6.2.1. Tx_L0s.Entry
• Transmitter is in Electrical Idle.
• Next state is Tx_L0s.Idle after a TTX-IDLE-MIN (Table 4-4) timeout.
4.2.6.6.2.2. Tx_L0s.Idle
• Next state is Tx_L0s.FTS if directed.
4.2.6.6.2.3. Tx_L0s.FTS
• Transmitter sends N_FTS Fast Training Sequences.
• Transmitter sends a single SKP ordered set on all configured Lanes.
• Next state is L0.

PCI EXPRESS BASE SPECIFICATION, REV. 1.0
191
Electrical Idle
Exit
Exit to L0
L0s: Reciever
Entry
Tx_L0s.Entry 20 ns
Electrical Idle
Exit
Exit to L0
Tx_L0s.FTS
L0s: Transmitter
Entry
Tx_L0s.Idle
N_FTS
timeout
Recovery
Rx_L0s.FTS
Rx_L0s.Entry Rx_L0s.Idle
TTX-IDLE-SET-TO-IDLE
Figure 4-24: L0s Sub-State Machine

PCI EXPRESS BASE SPECIFICATION, REV. 1.0
192
4.2.6.7. L1
4.2.6.7.1. L1.Entry
• Transmitter is in Electrical Idle.
• Receiver waits for at least Electrical Idle TTX-IDLE-SET-TO-IDLE time given in Table 4-4.
• The next state is L1.Idle after a TTX-IDLE-MIN (Table 4-4) timeout.
• Next state is L1.Quiet.
4.2.6.7.2. L1.Idle
• Transmitter is in Electrical Idle.
• Next state is Recovery if directed or if the receiver detects exit from Electrical Idle.
Command
or Electrical
Idle Exit
Exit to Recovery
L1
Entry
L1.Idle
L1.Entry
TTX-IDLE-SET-TO-IDLE
Figure 4-25: L1 Sub-State Machine

PCI EXPRESS BASE SPECIFICATION, REV. 1.0
193
4.2.6.8. L2
4.2.6.8.1. L2.Idle
• Transmitter is in a high impedance Electrical Idle state for a minimum of 64 ms.
• Next state is Polling if detection of a Beacon occurs on Lane 0.
• Next state is L2.Detect if directed to transmit a Beacon.
4.2.6.8.2. L2.Detect
• Transmitter is in a high impedance Electrical Idle state for a minimum of 64 ms. .
• A high impedance Receiver Detection sequence is performed (see Section 4.3.1.8 for
more information)
• Next state is L2.TransmitWake if a receiver is detected.
• Next state is Detect if a receiver is not detected.
4.2.6.8.3. L2.TransmitWake
• Transmitter is in a high impedance Electrical Idle state for a minimum of 64 ms.
• The transmitter transmits the Beacon on at least Lane 0 of the Link (Refer to
Section 4.3.2.4).
• Next state is Polling if Electrical Idle is exited on any incoming receiver Lane.
Entry
Exit to Polling
Directed
L2
L2.Detect
No Detect
Transition
Detected
L2.TransmitWake
Exit to Detect
Detected
Exit to Polling
Transition
Detected
L2.Idle
Figure 4-26: L2 Sub-State Machine
PCI EXPRESS BASE SPECIFICATION, REV. 1.0
194
4.2.6.9. Disabled
• Entrance to and exit from this state only when directed.
• Transmitter sends between 4 and 16 TS1 ordered-sets with the Disable bit set.
• Transmitter then goes into a high impedance Electrical Idle state.
• Next state is Detect when directed.
4.2.6.10. Loopback
This mode is intended for test and fault isolation use only, and is not a normal operational
mode. Only the entry and exit behavior is specified. All other details are implementation
specific.
4.2.6.10.1. Loopback.Active
• The Loopback Slave must receive valid 8b/10b data. If SKP ordered-sets are
received they are also looped back to the Loopback Master. SKP symbols may be
added or removed by the Loopback Slave as needed.
• The Loopback Slave re-transmitter is sending the 10 bit data as received. If the
received data was not 8b/10b valid, the transmitter sends back the special symbol
EDB control character in place of the invalid character.
oNote: The Loopback Slave must transmit the data with the same disparity as
was received.
• Next state is Loopback.Exit when an Electrical Idle ordered-set is received by the
Loopback Slave after the Electical.Idle ordered-set is transmitted back to the
Loopback Master.
• ·Next state is Loopback.Exit if an Electrical Idle is detected continuously for a
minimum of 1 UI at the Loopback Slave receiver.
4.2.6.10.2. Loopback.Exit
• Transmitter is in Electrical Idle
• Next state is Detect

PCI EXPRESS BASE SPECIFICATION, REV. 1.0
195
Entry
Loopback.Active
Exit to
Detect
Loopback.Exit
Electrical Idle
Detected
20 ns
timeout
Figure 4-27: Loopback State Machine
4.2.6.11. Link Control Reset
4.2.6.11.1. Link Control Reset Active
• Link enters reset state and transmits a minimum of 1024 TS1 ordered-sets with the
reset bit set on all downstream ports.
• All transmitters on upstream ports transmit one Electrical Idle ordered-set, then
enter Electrical Idle.
• Next state is Polling.
4.2.7. Clock Tolerance Compensation
Skip ordered-sets (defined below) are used to compensate for differences in frequencies
between bit rates at two ends of a Link. The Receiver Physical Layer Logical sub-block must
include elastic buffering which performs this compensation. The interval between skip
ordered-set transmissions is derived from the absolute value of the Transmit and Receive
clock frequency difference specified in Table 4-4. Having worse case clock frequencies at the
limits of the tolerance specified will result in a 600 ppm difference between the transmit and
receive clocks of a Link. As a result, the transmit and receive clocks can shift one clock
every 1666 clocks.
PCI EXPRESS BASE SPECIFICATION, REV. 1.0
196
Rules for Transmitters
• All Lanes shall transmit Symbols at the same frequency (the difference between bit rates
is 0 ppm within all multi-Lane links).
• When transmitted, the skip ordered-set shall be transmitted simultaneously on all Lanes
of a multi-Lane Link (See Section 4.2.4.9 and Table 4-4 for the definition of
simultaneous in this context).
• The transmitted skip ordered-set is: one COM Symbol followed by three consecutive
SKP Symbols
• The skip ordered-set shall be scheduled for insertion at an interval between 1180 and
1538 Symbol Times.
• Scheduled SKIP ordered-sets shall be transmitted if a packet or ordered-set is not already
in progress, otherwise they are accumulated and then inserted consecutively at the next
packet or ordered-set boundary.
Rules for Receivers
• Receivers shall recognize received skip ordered-set consisting of one COM Symbol
followed consecutively by one to five SKP Symbols.
• Receivers shall be tolerant to receive and process SKIP ordered-sets at an average
interval between 1180 to 1538 symbol times.
• Receivers shall be tolerant to receive and process consecutive SKIP ordered-sets.
• Receivers shall be tolerant to receive and process SKIP ordered-sets separated from
each other at most 5664 symbol times – measured as the distance between the
leading COM symbols.

PCI EXPRESS BASE SPECIFICATION, REV. 1.0
197
4.2.8. Compliance Pattern
During polling the compliance substate of the polling state machine may be entered (see
Section 4.2.5.3). The compliance pattern consists of the sequence of 8b/10b symbols K28.5,
D21.5, K28.5, and D10.2 repeating. Current running disparity must be set to negative before
sending the first symbol.
The compliance pattern is not entered if the receiver has previously detected an exit from
Electrical Idle.
The compliance sequence is:
Symbol K28.5 D21.5 K28.5 D10.2
Current Disparity 0110
Pattern 0011111010 1010101010 1100000101 0101010101
For any given device that has multiple lanes, every fourth Lane is delayed by a total of 4
symbols. A 2 symbol delay occurs at both the beginning and end of the 4 symbol sequence,
for a total of 8 symbols.
This delay sequence on every fourth Lane is then:
Symbol: D D K28.5 D21.5 K28.5 D10.2 D D
Where D is 2 symbols that are the same such that disparity is preserved after sending the 2
D symbols. Example D symbols are the K28.5 and the D10.2.
After the 8 symbols are sent, the delay symbols are advanced to the next Lane and the
process is repeated. This looks like:
Lane 0 D D K28.5- D21.5 K28.5+ D10.2 D D K28.5- D21.5 K28.5+ D10.2
Lane 1 K28.5- D21.5 K28.5+ D10.2 K28.5- D21.5 K28.5+ D10.2 D D K28.5- D21.5
Lane 2 K28.5- D21.5 K28.5+ D10.2 K28.5- D21.5 K28.5+ D10.2 K28.5- D21.5 K28.5+ D10.2
Lane 3 K28.5- D21.5 K28.5+ D10.2 K28.5- D21.5 K28.5+ D10.2 K28.5- D21.5 K28.5+ D10.2
Lane 4 D D K28.5- D21.5 K28.5+ D10.2 D D K28.5- D21.5 K28.5+ D10.2
Lane 5 K28.5- D21.5 K28.5+ D10.2 K28.5- D21.5 K28.5+ D10.2 D D K28.5- D21.5
Key:
K28.5- Comma when disparity is negative, specifically: “0011111010”
K28.5+
D21.5
Comma when disparity is positive, specifically: “1100000101”
Out of phase data character, specifically: “1010101010”
D10.2 Out of phase data character, specifically: “0101010101”
D Delay Character
This sequence of delays ensures that the maximum possible interference effects of adjacent
lanes occur for when measuring the compliance pattern.
The compliance pattern is only exited if an Electrical Idle Exit condition is detected at the
receiver or if a physical reset occurs.
PCI EXPRESS BASE SPECIFICATION, REV. 1.0
198
4.3. Electrical Sub-Block
The Electrical sub-block contains Transmitter and a Receiver. The Transmitter is supplied
by the Logical sub-block with Symbols which it serializes and transmits onto a Lane. The
Receiver is supplied with serialized Symbols from the Lane. It transforms the electrical
signals into a bit stream which is de-serialized and supplied to the Logical sub-block along
with a Link clock recovered from the incoming serial stream.
4.3.1. Electrical Sub-Block Requirements
4.3.1.1. Clocking Dependencies
The ports on the two ends of a Link must transmit data at a rate that is within 600 parts per
million (ppm) of each other at all times. This is specified to allow bit rate clock sources with
a +/- 300 ppm tolerance.
4.3.1.1.1. Spread Spectrum Clock (SSC) Sources
The data rate can be modulated from +0% to -0.5% of the nominal data rate frequency, at a
modulation rate in the range not exceeding 30 kHz – 33 kHz. The +/- 300 ppm
requirement still holds, which requires the two communicating ports be modulated such that
they never exceed a total of 600 ppm difference. For most implementations this places the
requirement that both ports require the same bit rate clock source when the data is
modulated with an SSC.
4.3.1.2. AC Coupling
Each Lane of a Link must be AC coupled. The minimum and maximum value for the
capacitance is given in Table 4-4. The requirement for the inclusion of AC coupling
capacitors on the interconnect media is associated with the transmitter.
4.3.1.3. Interconnect
In the context of this spec, the interconnect consists of everything between the pins at a
transmitter package and the pins of a receiver package. Often, this will consist of traces on a
printed circuit board of other suitable medium, AC coupling capacitors and perhaps
connectors. Regardless of what physically makes up the interconnect, the total capacitance
of the interconnect seen by the receiver detection circuit (see Section 4.3.1.8) may not exceed
3 nF.
4.3.1.4. Termination
Low and high impedance states are defined for both the transmitter and the receiver and are
listed in Table 4-4 and Table 4-5.

PCI EXPRESS BASE SPECIFICATION, REV. 1.0
199
The only time the transmitter high impedance state is required is to initialize and maintain
Electrical Idle during times when a hot plug/removal or asynchronous power up event could
occur.20
The transmitter low impedance state is required any time differential data is to be sent.
The only time the receiver must be in a high impedance state is when the receiver does not
have power. Otherwise, the receiver must always be in a low impedance state.
4.3.1.5. DC Common Mode
The receiver DC common mode is always 0 V during all states.
The transmitter DC common mode is initially established during Detect and is held at the
same value during all subsequent states.
4.3.1.6. ESD
All signal and power pins must withstand (2000 V) of ESD using the human body model
and 800 V using the charged device model without damage. Class 2 per JEDEC JESE22-
A114-A.
This ESD protection mechanism also protects the powered down receiver from potential
common mode transients during some possible reset or surprise insertion situations.
4.3.1.7. Short Circuit Requirements
All Transmitters and Receivers must support surprise hot insertion/removal without damage
to the component. The transmitter and receiver must be capable of withstanding sustained
short circuit to ground of D+ and D-.
4.3.1.8. Receiver Detection
The receiver detection sequence is used to avoid unwanted common mode transfers
between the receiver and transmitter.
The receiver detection can be performed in either a low or high impedance state unless
explicitly specified.
20 Any time high impedance is required it is explicitly stated in the Link Training and Status State Machine
(LTSSM).

PCI EXPRESS BASE SPECIFICATION, REV. 1.0
200
The behavior of the receiver detection sequence is described below.
Step 1. Transmitter is in a stable Electrical Idle state.
Step 2. The transmitter changes the common mode voltage on both D+ and D-
lines21 to a different value.
a. A receiver is detected based on the rate22 that the lines change to the new
voltage.
i. The receiver is not present if the voltage at the transmitter charges at
a rate dictated by the transmitter impedance and capacitance of the
interconnect.
ii. The receiver is present if the voltage at the transmitter charges at a
rate dictated by the transmitter impedance, the series capacitor, the
interconnect capacitance, and the receiver termination.
The AC capacitance of the worst-case transmission line must not exceed 3 nF total. The
minimum and maximum AC capacitance for the AC coupling capacitors is given in
Table 4-4.
4.3.1.9. Disable/Surprise Removal Detection
Two separate events may signal that one end of a Link has either been disabled or
disconnected.
1. During L0 if Electrical Idle is detected without receiving the Electrical Idle ordered-set.
The Link immediately enters Detect.
2. During Electrical Idle and certain specified times the transmitter must poll for the
presence of a powered receiver as described in Section 4.3.1.8. If a receiver is no longer
present, the Link immediately enters Detect.
4.3.1.10. Electrical Idle
Electrical idle is a steady state condition where the Transmitter and Receive voltages are held
constant. Electrical idle is primarily used in power saving and common mode initialization.
Before a transmitter enters Electrical Idle, it must send the Electrical Idle ordered-set, a
K28.5 (COM) followed by three K28.3 (IDL)(see Table 4-4). After sending the last symbol
of the Electrical Idle ordered-set the transmitter must be in a valid Electrical Idle state as
specified by TTX-IDLE-SET-TO-IDLE (see Table 4-4). The receiver shall use this ordered-set to enter
electrical idle.
The Receiver terminations must remain enabled in Electrical Idle. The transmitter must
meet the DC common mode specification while transitioning into and out of Electrical Idle,
which can be done in a low or high impedance state unless specifically specified.
21 The maximum change in common mode voltage can be no more than VTX-CM-RCV-DETECT in Table 4-4.
22 The rate of change should be at least 40x different between a receiver present and not present.
PCI EXPRESS BASE SPECIFICATION, REV. 1.0
201
Any time a transmitter enters Electrical Idle it must remain in electrical idle for a minimum
of TTX-IDLE-MIN(see Table 4-4). The receiver should expect the Electrical Idle ordered-set
followed by a minimum amount of time in Electrical Idle (TTX-IDLE-SET-TO-IDLE) to arm its
Electrical Idle Exit detector.
See Section 4.3.1.9 for additional notes related to Electrical Idle.
4.3.2. Electrical Signal Specifications
A Differential Signal is defined by taking the voltage difference between two conductors. In
this specification, a differential signal or differential pair is comprised of a voltage on a
positive conductor, VD+, and a negative conductor, VD-. The differential voltage (VDIFF) is
defined as the difference of the positive conductor voltage and the negative conductor
voltage (VDIFF = VD+ - VD-). The Common Mode Voltage (VCM) is defined as the average or
mean voltage present on the same differential pair (VCM = [VD+ + VD-]/2). This document’s
electrical specifications often refer to peak-to-peak measurements or peak measurements,
which are defined by the following equations.
• VDIFFp-p = (2*max|VD+ - VD-|) (This applies to a symmetric differential swing)
• VDIFFp-p = (max|VD+ - VD-| {VD+ > VD-} + max|VD+ - VD-| {VD+ < VD-}) (This
applies to an asymmetric differential swing.)
• VDIFFp = (max|VD+ - VD-|) (This applies to a symmetric differential swing)
• VDIFFp-p = (max|VD+ - VD-| {VD+ > VD-}) or (max|VD+ - VD-| {VD+ < VD-}) which
ever is greater (This applies to an asymmetric differential swing.)
• VCMp = (max|VD+ + VD-|/2)
Note: The maximum value is calculated on a per unit interval evaluation. The maximum
function as described is implicit for all peak-to-peak and peak equations throughout the rest
of this chapter, and thus a max function will not appear in any following representations of
these equations.
In this section, DC is defined as all frequency components below Fdc = 30 kHz. AC is
defined as all frequency components above Fdc = 30 kHz. These definitions pertain to all
voltage and current specifications.
An example waveform is shown in Figure 4-28. In this waveform the differential peak-peak
signal is approximately 0.6 V, the differential peak signal is approximately 0.3 V and the
common mode is approximately 0.25 V.

PCI EXPRESS BASE SPECIFICATION, REV. 1.0
202
Sample UI
0.0000
0.0500
0.1000
0.1500
0.2000
0.2500
0.3000
0.3500
0.4000
0.4500
0.5000
1.8 1.9 2 2.1 2.2 2.3 2.4
Time in ns
Volts
D+
D-
Figure 4-28: Sample Differential Signal
4.3.2.1. Loss
Loss (attenuation of the differential voltage swing) in this system is a critical parameter that
must be properly considered and managed in order to ensure proper system functioning.
Failure to do so may result in a differential signal swing arriving at the Receiver that does not
meet specifications. The interconnect loss is specified in terms of the amount of attenuation
or loss it can tolerate between the Transmitter (Tx) and Receiver (Rx). The Tx is responsible
for producing the specified differential eye height at the pins of its package. Together, the
Tx and the interconnect are responsible for producing the specified differential eye height at
the Rx pins (see Figure 4-34).
The worst-case operational loss budget is calculated by taking the minimum output voltage
(VTX-DIFFp-p = 800 mV) divided by the minimum input voltage to the receiver (VRX-DIFFp-p =
175 mV), which results in 13.2 dB. Additional headroom in loss budget can be achieved by
driving a larger differential output voltage at the transmitter.
4.3.2.2. Jitter
The jitter budget is derived assuming a maximum bit error rate (BER) of 10-12. The allocation
anticipates both data dependent and random jitter contributions. The total jitter budget is
the sum of the deterministic jitter and 14 times the standard deviation RMS value of the
random jitter distribution. Total jitter is the combined peak-to-peak measured jitter from all
sources.

PCI EXPRESS BASE SPECIFICATION, REV. 1.0
203
4.3.2.3. De-emphasis
De-emphasis is included to minimize Inter-symbol interference (ISI) due to delta in loss
versus the primary fundamental transient frequencies (i.e., Generation 1 fundamental band =
250 MHz to 1.25 GHz).
De-emphasis must be implemented when multiple bits of the same polarity are output in
succession. Subsequent bits are driven at a differential voltage level 3.5 dB (+/-.5 dB) below
the first bit. Individual bits are always driven at the full voltage level.
The only exception pertains to transmitting the Beacon (see Section 4.3.2.4).
Note: The specified amount of de-emphasis was chosen to optimize maximum inter-
operability while minimizing complexity of managing configurable de-emphasis values.
Thus, the de-emphasis was targeted to work for the worst-case loss budget of 11-13.2 dB,
which tends to make it less optimal for the lower loss systems. The fact that is less optimal
for lower loss systems is more than offset by the fact that there is inherently more voltage
margin in lower loss systems.
4.3.2.3.1. De-emphasis Example
An example waveform representing the 10-bit symbol 243H is shown in Figure 4-29.
Sample Data Pattern
0.2000
0.3000
0.4000
0.5000
0.6000
0.7000
0.8000
0 0.4 0.8 1.2 1.6 2 2.4 2.8 3.2 3.6 4
Time in nanoseconds
Volts
D+
D-
Figure 4-29: Sample Transmitted Waveform Showing -3.5 dB De-emphasis Around a
0.5 V Common Mode

PCI EXPRESS BASE SPECIFICATION, REV. 1.0
204
4.3.2.4. Beacon
All transmitter electrical specifications must be met while sending a Beacon with the
following exceptions and clarifications.
• The period of the Beacon must be no greater than 33.333 µs maximum.
• All Beacons must be transmitted on at least Lane 0 of multi-lane links23.
• The Beacon signal must contain pulses that are 2 ns minimum.
• The Beacon must be DC Balanced (i.e., any Beacon must contain an equal number
of 1’s and 0’s).
• The output Beacon voltage level must be at a -6 dB de-emphasis level for Beacon
pulses with a width greater than 500 ns.
• The output Beacon voltage level can range between the pre-emphasized and
corresponding -3.5 dB de-emphasized voltage levels for Beacon pulses smaller than
500 ns.
• The output Beacon voltage level must be at the de-emphasis level for Beacon pulses
with a width greater than 500 ns. Otherwise, the Beacon output voltage can range
between the pre-emphasized and corresponding de-emphasized voltage levels.
• A Receiver Detection sequence (Section 4.3.1.8) must occur every 100 ms, and if no
receiver is found then the Link returns to Detect.
• The Lane-to-Lane Output Skew and Skip Symbol Output specifications do not
apply.
When any bridge and/or switch receives a Beacon, that component must propagate a
Beacon upstream.
4.3.2.4.1. Beacon Example
An example receiver waveform driven at the -6 dB level for a 30 kHz Beacon is shown in
Figure 4-30. An example receiver waveform using the COM character at full speed signaling
is shown in Figure 4-31 It should be noted that other waveforms and signaling are possible
other than the two examples shown below (i.e., Polling is another valid Beacon signal).
23 Lane 0 as defined after Link Width and Lane reversal negotiations are complete.

PCI EXPRESS BASE SPECIFICATION, REV. 1.0
205
S
ample Data Pattern
-0.2000
-0.1500
-0.1000
-0.0500
0.0000
0.0500
0.1000
0.1500
0.2000
32.9 33.1 33.3 33.5 33.7
Time in microseconds
Volts
D+
D-
Figure 4-30: A 30 kHz BEACON Signaling Through a 75 nF Capacitor
S
ample Data Pattern
-0.2500
-0.2000
-0.1500
-0.1000
-0.0500
0.0000
0.0500
0.1000
0.1500
0.2000
0.2500
012345678
Time in nanoseconds
Volts
D+
D-
Figure 4-31: BEACON, Which Includes a 2 ns Pulse Through a 75 nF Capacitor

PCI EXPRESS BASE SPECIFICATION, REV. 1.0
206
4.3.3. Differential Transmitter (Tx) Output Specifications
The following table defines the specification of parameters for the differential output at all
Transmitters (Txs). The parameters are specified at the component pins.
Table 4-4: Differential Transmitter (Tx) Output Specifications
Symbol Parameter Min Nom Max Units Comments
UI Unit Interval 399.88 400 400.12 ps
Each UI is 400 ps
+/-300 ppm. UI does not
account for SSC dictated
variations.
SeeNote1.
VTX-DIFFp-p
Differential Peak
to Peak
Output Voltage
0.800 1.2 V
VTX-DIFFp-p =2*|V
TX-D+ - VTX-D-|
Measured at the package
pins of the transmitter.
SeeNote2.
VTX-DE-Ratio
De-Emphasized
Differential
Output Voltage
(Ratio)
-3.0 -3.5 -4.0 dB
This is the ratio of the V tx-Diffp-p
of the second and following
bits after a transition divided
by the V tx-Diffp-pof the first bit
after a transition.
SeeNote2.
TTX-EYE Minimum TX
Eye Width 0.70 UI
Minimum transmitter eye
widthmeasuredinrelationto
a fixed UI at the package pins
of the transmitter.
The maximum transmitter
jitter can be derived as TTX-
MAX-JITTER =1-T
TX-EYE=.3UI
See Notes 2 and 3.
TTX-EYE-
MEDIAN-to-MAX-
JITTER
Maximum time
between the
jitter median and
maximum
deviation from
the median.
<0.15 UI
Jitter is defined as the
measurement variation of the
crossing points (VTX-DIFFp-p. =
0 V) in relation to an ideal TX
UI. Median jitter and the
maximum jitter deviation from
the median are measured at
the package pins of the
transmitter.
ees Note 2 and 3.
TTX-RISE,
TTX-FALL
D+/D- TX Output
Rise/Fall Time 0.125 0.4 UI See Notes 2 and 5.
VTX-CM-Acp
AC Peak
Common Mode
Output Voltage 20 mV
VTX-CM-AC=|V
TX-D+ +V
TX-D-|/2 –
VTX-CM-DC
VTX-CM-DC = DC(avg) of |VTX-D+ +
VTX-D-|/2 during L0
SeeNote2.

PCI EXPRESS BASE SPECIFICATION, REV. 1.0
207
Symbol Parameter Min Nom Max Units Comments
VTX-CM-DC-
ACTIVE-IDLE-
DELTA
Absolute Delta
Between DC
Common Mode
During L0 and
Electrical Idle.
0 100 mV
|VTX-CM-DC [during L0] –VTX-CM-Idle-
DC[During Electrical Idle.]|<=100mV
VTX-CM-DC = DC(avg) of |VTX-D+ +
VTX-D-|/2 [L0]
VTX-CM-Idle-DC= DC(avg) of |VTX-D+
+V
TX-D-|/2 [electrical idle]
SeeNote2.
VTX-CM-DC-
LINE-DELTA
Absolute Delta
Between DC
Common Mode
between D+ and
D-.
025mV
|VTX-CM-DC-D+ [during L0] –VTX-CM-DC-
D- [During L0.]|<=25mV
VTX-CM-DC-D+ = DC(avg) of |VTX-D+|
[during L0]
VTX-CM-DC-D- = DC(avg) of |VTX-D-|
[during L0]
SeeNote2.
VTX-IDLE-DIFFp
Electrical Idle
Differential Peak
Output Voltage 020mV
VTX-Idle-DIFFp =|V
TX-Idle-D+ -V
Tx-
Idle-D-|<=20mV
SeeNote2.
VTX-CM-RCV-
DETECT
The amount of
common mode
voltage change
allowed during
Receiver
Detection.
600 mV
The total amount of common
mode voltage change that a
transmitter can apply to
sense whether a low
impedance receiver is
present.
See Section 4.3.1.8.
TTX-IDLE-MIN
Minimum time
spent in
Electrical Idle 50 UI Minimum time a transmitter
must be in electrical idle after
exiting.
TTX-IDLE-SET-
TO-IDLE
Maximum time
to transition to a
valid Electrical
Idle after
sending an
Electrical Idle
ordered-set
20 UI
After sending an electrical
idle ordered-set, the
transmitter must meet all
electrical idle specifications
within this time.
TTX-IDLE-RCV-
DETECT-MAX
Maximum time
spent in
Electrical Idle
before initiating
a receiver detect
sequence.
100 ms
Maximum time spent in
Electrical Idle before initiating
a receiver detect sequence.
See Section 4.3.1.8
RLTX-DIFF Differential
Return Loss 12 dB
Measured over 50 MHz to
1.25 GHz
SeeNote4.

PCI EXPRESS BASE SPECIFICATION, REV. 1.0
208
Symbol Parameter Min Nom Max Units Comments
RLTX-CM Common Mode
Return Loss 6dB
Measured over 50 MHz to
1.25 GHz
SeeNote4.
ZTX-DIFF-DC DC Differential
TX Impedance 90 100 110 ΩTX DC Differential Mode Low
impedance
ZTX-Match-DC
D+/D- TX
Impedance
Matching -5 +5 Ω
TX DC impedance matching
between D+ and D- on a
given Lane.
ZTX-COM-High-
IMP-DC
Transmitter
Common Mode
High Impedance
State (DC)
5k 20k ΩTx DC High Impedance.
LTX-SKEW Lane-to-Lane
Output Skew 500 ps Between any two Lanes
within a single Transmitter.
CTX AC Coupling
Capacitor 75 500 nF All transmitters shall be AC
coupled to the media.
Notes:
1. No test load is necessarily associated with this value.
2. Specified at the package pins into a timing and voltage compliance test load as
shown in Figure 4-33 and measured over at least 250 Tx UIs. (also refer to the
Transmitter Compliance Eye Diagram as shown in Figure 4-32).
3. A TTX-EYE = 0.70 UI provides for a total sum of deterministic and random jitter
budget of TTX-JITTER-MAX = 0.30 UI for the transmitter collected over at least
250 TX UIs. The TTX-EYE-MEDIAN-to-MAX-JITTER specification ensures a jitter
distribution in which the median and the maximum deviation from the median is
less than half of the total TX jitter budget collected over at least 250 TX UIs. It
should be noted that the median is not the same as the mean. The jitter median
describes the point in time where the number of jitter points on either side is
approximately equal as opposed to the averaged time value.
4. The transmitter input impedance shall result in a differential return loss greater
than or equal to 12 dB and a common mode return loss greater than or equal to
6 dB over a frequency range of 50 MHz to 1.25 GHz. This input impedance
requirement applies to all valid input levels. The reference impedance for return
loss measurements for is 50 ohms to ground for both the D+ and D- line (i.e., as
measured by a Vector Network Analyzer with 50 ohm probes - see Figure 4-33).
Note: that the series capacitors CTX is optional for the return loss measurement.
5. Measured between 20-80% at Transmitter package pins into a test load as shown
in Figure 4-33 for both VTX-D+ and VTX-D-. The maximum rise/fall time of the
D+ and D- signals in Table 4-4 is considered relative bounds in that absolute
boundaries for the maximum rise/fall time is dictated by the Transmitter
Compliance Eye Diagram as shown in Figure 4-32.

PCI EXPRESS BASE SPECIFICATION, REV. 1.0
209
4.3.3.1. Transmitter Compliance Eye Diagram
OM13816
[Transition Bit]
VTX-DIFFp-p-MIN = 800 mV
[De-emphasized Bit]
566 mV (3 dB) >= VTX-DIFFp-p-MIN >= 505 mV (4 dB)
[Transition Bit]
VTX-DIFFp-p-MIN = 800 mV
VTX-DIFF = 0 mV
(D+ D– Crossing Point) VTX-DIFF = 0 mV
(D+ D– Crossing Point)
.07 UI = UI – 0.3 UI(JTX-TOTAL-MAX)
Figure 4-32: Minimum Transmitter Timing and Voltage Output Compliance
Specification
There are two eye diagrams that must be met for the transmitter. Both eye diagrams must
aligned in time and meet the minimum 0.7 UI requirement. The different eye diagrams will
differ in voltage depending whether it is a transition bit or a de-emphasized bit. The eye
diagram must be valid for at least 250 UIs. The Tx UI must be used as a trigger for the eye
diagram.

PCI EXPRESS BASE SPECIFICATION, REV. 1.0
210
4.3.3.2. Compliance Test and Measurement Load
The AC timing and voltage parameters should be verified at the package pins into a
test/measurement load shown in Figure 4-33.
C=C
TX
C=C
TX
R=50 ohms R=50 ohmsD- Package
Pin
D+ Package
Pin
Specifications
for Test/
Measurement
Load
Figure 4-33: Compliance Test/Measurement Load
The test load is shown at the transmitter package reference plane, but the same
Test/Measurement load is applicable to the receiver package reference plane.
Return Loss measurements do not require that CTX be part of the measurement test load.

PCI EXPRESS BASE SPECIFICATION, REV. 1.0
211
4.3.4. Differential Receiver (Rx) Input Specifications
The following table defines the specification of parameters for all differential
Receivers (Rxs). The parameters are specified at the component pins.
Table 4-5: Differential Receiver (Rx) Input Specifications
Symbol Parameter Min Nom Max Units Comments
UI Unit Interval 399.88 400 400.12 ps
The UI is 400 ps +/-300
ppm. UI does not account
for SSC dictated variations.
SeeNote6.
VRX-DIFFp-p
Differential
Input Peak to
Peak
Voltage
0.175 1.200 V
VRX-DIFFp-p =2*|V
RX-D+ - VRX-D-|
Measured at the package
pins of the Receiver.
SeeNote7.
TRX-EYE
Minimum
Receiver Eye
Width 0.4 UI
Minimum receiver eye
widthmeasuredinrelation
to a fixed UI at the package
pins of the receiver. The
maximum transmitter jitter
can be derived as TRX-MAX-
JITTER =1-T
RX-EYE =.6 UI
See Notes 7 and 8.
TRX-EYE-MEDIAN-to-
MAX-JITTER
Maximum time
between the
jitter median
and maximum
deviation from
the median.
<0.3 UI
Jitter is defined as the
measurement variation of
the crossing points (VRX-
DIFFp-p. = 0 V) in relation to
an ideal TX UI. Median
jitter and the maximum
jitter deviation from the
median are measured at
the package pins of the
transmitter.
See Notes 7 and 8.
VRX-CM-ACp
AC Peak
Common Mode
Input Voltage 100 mV
VRX-CM-AC=|V
RX-D+ +V
RX-D-|/2
– VRX-CM-DC
VRX-CM-DC = DC(avg) of |VRX-D+
+V
RX-D-|/2 during L0
SeeNote7,
RLRX-DIFF Differential
Return Loss 15 dB
Measured over 50 MHz to
1.25 GHz
SeeNote9
RLRX-CM Common Mode
Return Loss 6dB
Measured over 50 MHz to
1.25 GHz
SeeNote9
ZRX-DIFF-DC
DC Differential
Input
Impedance 90 100 110 ΩRX DC Differential Mode
impedance. See Note 10

PCI EXPRESS BASE SPECIFICATION, REV. 1.0
212
Symbol Parameter Min Nom Max Units Comments
ZRX-COM-DC
DC Input
Common Mode
Input
Impedance
45 50 55 Ω
RX DC Common Mode
impedance 50 Ω+/-10%
tolerance. See Note 10.
SeeNote7.
ZRX-Match-DC
Differential Pair
Impedance
Match -5 +5 Ω
RX DC impedance
matching between D+ and
D- on a given Lane.
SeeNote10
ZRX-COM-Inital-DC
Initial DC Input
Common Mode
Input
Impedance
55055 Ω
RX DC Common Mode
impedance allowed when
the receiver terminations
are first power on.
SeeNote11.
ZRX-COM-HIGH-IMP-
DC
Powered Down
DC Input
Common Mode
Input
Impedance
200 k Ω
RX DC Common Mode
impedance when the
receiver terminations are
not powered (i.e. no
power). See Note 12
VRX-IDLE-DET-DIFFp-
p
Electrical Idle
Detect
Threshold 65 175 mV
VRX-IDLE-DET-DIFFp-p =2*|V
RX-D+
-VRX-D-|
Measured at the package
pins of the Receiver.
TRX-IDLE-DET-DIFF-
ENTERTIME
Unexpected
Electrical Idle
Enter Detect
Threshold
Integration
Time
10 ms
VRX-DIFFp-p <V
RX-IDLE-DET-DIFFp-
pmust be recognized no
longer than VRX-IDLE-DET-DIFF-
ENTERTIME to signal an
unexpected idle condition.
SeeNote13.
LRX-SKEW Total Skew 20 ns
Across all Lanes on a port.
This includes variation in
the length of a skip
ordered-set (e.g., COM
and 1 to 5 SKP symbols) at
the rx as well as any delay
differences arising from the
interconnect itself.
Notes:
6. No test load is necessarily associated with this value.
7. Specified at the interface to the RX package pins and measured over at least
250 UIs. The test load in Figure 4-33 should be used as the RX device when
taking measurements (also refer to the Receiver Compliance Eye Diagram as
shown in Figure 4-34). If the clocks to the RX and TX are not derived from
the same clock chip the TX UI must be used as a trigger for the eye diagram.
8. A TRX-EYE = 0.40 UI provides for a total sum of 0.60 UI deterministic and
random jitter budget for the transmitter and interconnect collected over at
least 250 TX UIs. The TRX-EYE-MEDIAN-to-MAX-JITTER specification ensures a jitter
distribution in which the median and the maximum deviation from the
median is less than half of the total .6 UI jitter budget collected over at least
PCI EXPRESS BASE SPECIFICATION, REV. 1.0
213
250 TX UIs. It should be noted that the median is not the same as the mean.
The jitter median describes the point in time where the number of jitter
points on either side is approximately equal as opposed to the averaged time
value.
9. The receiver input impedance shall result in a differential return loss greater
than or equal to 15 dB and a common mode return loss greater than or equal
to 6 dB over a frequency range of 50 MHz to 1.25 GHz. This input
impedance requirement applies to all valid input levels. The reference
impedance for return loss measurements for is 50 ohms to ground for both
the D+ and D- line (i.e., as measured by a Vector Network Analyzer with 50
ohm probes - see Figure 4-33). Note: that the series capacitors CTX is
optional for the return loss measurement.
10. Impedance during all operating conditions except when in disable.
11. The Rx DC common mode impedance that must be present when the
receiver terminations are first enabled to ensure that the Receiver Detect
occurs properly. Compensation of this impedance can start immediately and
the (ZRX-COM-DC) Rx DC Common Mode Impedance must be with in the 45
ohms to 55 ohms range by the time Detect is entered.
12. The Rx DC common mode impedance that exists when the receiver
terminations are disabled or when no power is present. This helps ensure
that the Receiver Detect circuit will not falsely assume a receiver is enabled
when it is not.
13. If a receiver is not in Electrical Idle or directed to go into Electrical Idle, and
a peak-to-peak differential signal remains below the Electrical Idle threshold
for VRX-IDLE-DET-DIFF-ENTERTIME, a surprise removal or disable has occurred.

PCI EXPRESS BASE SPECIFICATION, REV. 1.0
214
4.3.4.1. Receiver Compliance Eye Diagram
OM13818
V
RX-DIFF
= 0 mV
(D+ D– Crossing Point) V
RX-DIFF
= 0 mV
(D+ D– Crossing Point)
0.4 UI = T
RX-EYE-MIN
V
RX-DIFFp-p-MIN > 175 mV
Figure 4-34: Minimum Receiver Eye Timing and Voltage Compliance Specification

PCI EXPRESS BASE SPECIFICATION, REV. 1.0
215
5. Software Initialization and Configuration
The PCI Express Configuration model supports two configuration space access
mechanisms:
• PCI compatible configuration mechanism
• PCI Express enhanced configuration mechanism
The PCI compatible mechanism supports 100% binary compatibility with PCI 2.3 or later
aware operating systems and their corresponding bus enumeration and configuration
software.
The enhanced mechanism is provided to increase the size of available configuration space
and to optimize access mechanisms.
5.1. Configuration Topology
To maintain compatibility with PCI software configuration mechanisms, all PCI Express
elements have a PCI-compatible configuration space representation. Each PCI Express
Link originates from a logical PCI-PCI Bridge and is mapped into configuration space as the
secondary bus of this bridge. The Root Port is a PCI-PCI Bridge structure that originates a
PCI Express Link from a PCI Express Root Complex.
A PCI Express Switch is represented by multiple PCI-PCI Bridge structures connecting PCI
Express Links to an internal logical PCI bus. The Switch Upstream Port is a PCI-PCI
Bridge; the secondary bus of this bridge represents the switch’s internal routing logic.
Switch Downstream Ports are PCI-PCI Bridges bridging from the internal bus to buses
representing the downstream PCI Express Links from a PCI Express Switch.
A PCI Express endpoint is mapped into configuration space as a single logical device
(Device 0) with one or more logical functions.
5

PCI EXPRESS BASE SPECIFICATION, REV. 1.0
216
OM14299
PCI Express Root Complex
Root Complex
Register Block PCI Compatible
Host Bridge Device
PCI-PCI Bridge
representing Root
PCI Express Port
PCI Express Link
Figure 5-1: PCI Express Root Complex Device Mapping
OM14300
PCI Express Switch PCI-PCI Bridge
representing
Downstream
PCI Express Port
PCI-PCI Bridge
representing
Upstream PCI
Express Port
PCI Express Link
Figure 5-2: PCI Express Switch Device Mapping 24
5.2. PCI Express Configuration Mechanisms
PCI Express extends the configuration space to 4096 bytes per device function as compared
to 256 bytes allowed by PCI Specification Revision 2.3. PCI Express configuration space is
divided into a PCI 2.3 compatible region, which consists of the first 256 bytes of a logical
device’s configuration space and an extended PCI Express configuration space region which
consists of the remaining configuration space. The PCI 2.3 compatible region can be
accessed using either the mechanism defined in the PCI 2.3 specification or the enhanced
PCI Express configuration access mechanism described later in this section. All changes
24 Future PCI Express Switches may be implemented as a single Switch Device component (without the
PCI-PCI bridges) that is not limited by legacy compatibility requirements imposed by existing PCI software.

PCI EXPRESS BASE SPECIFICATION, REV. 1.0
217
made using either access mechanism are equivalent; however, software is not allowed to
simultaneously use (interleave) both PCI Express and PCI access mechanisms to access the
configuration registers of devices. The extended PCI Express region can only be accessed
using the enhanced PCI Express configuration access mechanism.25
OM14301
FFFh
FFh
3Fh
0
PCI Express
Extended
Configuration
Space
(Not available on
legacy operating
systems)
PCI Configuration
Space
(Available on legacy
operating systems
through legacy
PCI mechanisms)
Extended
configuration
space for PCI
Express parameters
and capabilities
(Not available on
legacy operating
systems)
PCI 2.3 Compatible
Configuration Space
Header
PCI Express
Capability Structure
Capability needed by BIOS
or by driver software on non
PCI Express aware operating
systems
Figure 5-3: PCI Express Configuration Space Layout
5.2.1. PCI 2.3 Compatible Configuration Mechanism
The PCI 2.3 compatible PCI Express configuration mechanism supports the PCI
configuration space programming model defined in the PCI Local Bus Specification, Rev. 2.3.
By adhering to this model, systems incorporating PCI Express interfaces remain compliant
with conventional PCI bus enumeration and configuration software.
In the same manner as PCI 2.3 devices, PCI Express devices are required to provide a
configuration register space for software-driven initialization and configuration. Except for
the differences described in this chapter, the PCI Express configuration header space
registers are organized to correspond with the format and behavior defined in the PCI 2.3
Specification (Section 6.1).
The PCI 2.3 compatible configuration access mechanism uses the same Request format as
the enhanced PCI Express mechanism. For PCI compatible Configuration Requests, the
Extended Register Address field must be all zeros.
25 Accesses strictly to PCI Express extended configuration space using the enhanced PCI Express
configuration access mechanism are allowed to be interleaved with PCI 2.3 configuration access
mechanism accesses.

PCI EXPRESS BASE SPECIFICATION, REV. 1.0
218
5.2.2. PCI Express Enhanced Configuration Mechanism
The enhanced PCI Express configuration access mechanism utilizes a flat memory-mapped
address space to access device configuration registers. In this case, the memory address
determines the configuration register accessed and the memory data returns the contents of
the addressed register. The mapping from memory address A[27:0] to PCI Express
configuration space address is defined in Table 5-1. The base address A[63:28] is allocated
in an implementation specific manner and reported by the system firmware to the operating
system.
Table 5-1: Configuration Address Mapping
Memory Address PCI Express Configuration Space
A[27:20] Bus[7:0]
A[19:15] Device[4:0]
A[14:12] Function[2:0]
A[11:8] Extended Register [3:0]
A[7:0] Register[7:0]
5.2.2.1. Host Bridge Requirements
The PCI Express Host Bridge is required to translate the memory-mapped PCI Express
configuration space accesses from the host processor to PCI Express configuration
transactions. The use of Host Bridge PCI class code is reserved for backwards compatibility;
host bridge configuration space is opaque to standard PCI Express software and may be
implemented in an implementation specific manner that is compatible with PCI Host Bridge
Type 0 configuration space.
5.2.2.2. PCI Express Device Requirements
Devices must support an additional 4 bits for decoding configuration register access i.e. they
must decode the Extended Register Address[3:0] field of the Configuration Request header.
5.2.3. Root Complex Register Block
Each root port is associated with a 4096 byte block of memory mapped registers referred to
as the Root Complex Register Block (RCRB). These registers are used in a manner similar
to configuration space and can include PCI Express extended capabilities and other
implementation specific registers that apply to the root complex. The structure of the RCRB
is described in Section 5.9.2.
System firmware communicates the base address of the RCRB for each Root Port to the
operating system. Multiple Root Ports may be associated with the same RCRB. The RCRB
memory-mapped registers must not reside in the same address space as the memory-mapped
configuration space.

PCI EXPRESS BASE SPECIFICATION, REV. 1.0
219
5.3. Configuration Transaction Rules
5.3.1. Device Number
As in conventional PCI and PCI-X, all PCI Express components are restricted to
implementing a single device number on their primary interface (Upstream Port), but may
implement up to eight independent functions within that device number. Each internal
function is selected based on decoded address information that is provided as part of the
address portion of Configuration Request packets.
Switches and Root Complexes must associate only Device 0 on the logical bus from a
Downstream Port or a Root Port. Configuration Requests targeting the Bus Number
associated with a Port specifying Device Number 0 are delivered to that Port; Configuration
Requests specifying all other Device Numbers (1-31) must be terminated with an
Unsupported Request Completion Status (equivalent to Master Abort in PCI).26
Switches, and components wishing to incorporate more than eight functions at their
upstream Port, may implement one or more Type 1 (PCI-to-PCI Bridge) configuration space
headers. This allows them to introduce an “internal bus” on which all the device numbers
may be utilized, but in this case all address information fields (bus, device and function
numbers) must be completely decoded to access the correct register. Any configuration
access targeting an unimplemented bus, device or function must return a Completion with
Unsupported Request Completion Status.
The following section provides details of the Configuration Space addressing mechanism.
5.3.2. Configuration Transaction Addressing
PCI Express Configuration Requests use the following addressing fields:
• Bus Number – PCI Express maps logical PCI Bus Numbers onto PCI Express Links
such that PCI 2.3 compatible configuration software views the configuration space
of a PCI Express Hierarchy as a PCI Hierarchy including multiple bus segments.
• Device Number – Device Number association is discussed in Section 5.3.1.
• Function Number – PCI Express also supports multi-function devices using the
same discovery mechanism as PCI 2.3.
• Extended Register Number and Register Number – Specify the configuration space
address of the register being accessed.
26 Future switch components that are implemented as a single switch device (without the PCI-PCI Bridges)
that is not limited by legacy compatibility requirements may not have this restriction. To accommodate such
future implementations, devices may not assume that device 0 is associated with their upstream port.
PCI EXPRESS BASE SPECIFICATION, REV. 1.0
220
5.3.3. Configuration Request Routing Rules
For PCI Express Endpoint devices, the following rules apply:
• If Configuration Request Type is 1,
oFollow the rules for handling Unsupported Requests
• If Configuration Request Type is 0,
oDetermine if the Request addresses a valid local configuration space
If so, process the Request
If not, follow rules for handling Unsupported Requests
For Switches and PCI Express-PCI Bridges, the following rules apply:
• Propagation of Configuration Requests from Downstream to Upstream as well as peer-
to-peer are not supported
oConfiguration Requests are initiated only by the Host Bridge
• If Configuration Request Type is 0,
oDetermine if the Request addresses a valid local configuration space
If so, process the Request
If not, follow rules for handling Unsupported Requests
• If Configuration Request Type is 1, apply the following tests, in sequence, to the Bus
Number field:
oIf in the case of a PCI Express-PCI Bridge, equal to the bus number assigned to
secondary PCI bus or, in the case of a Switch or Root Complex, equal to the bus
number and decoded device numbers assigned to one of the Root (Root
Complex) or Downstream Ports (Switch),
Transform the Request to Type 0
Forward the Request to that Downstream Port (or PCI bus, in the case
of a PCI Express-PCI Bridge)
oIf not equal to the bus number of any of Downstream Ports or secondary PCI
bus, but in the range of bus numbers assigned to one of a Downstream Port or
secondary PCI bus,
Forward the Request to that Downstream Port interface without
modification
oElse (none of the above) –
The Request is invalid - follow the rules for handling Unsupported
Requests

PCI EXPRESS BASE SPECIFICATION, REV. 1.0
221
• PCI Express-PCI Bridges must terminate as Unsupported Requests any Configuration
Requests directed towards the PCI bus for which the Extended Register Address field is
non-zero
Note: This type of access is a consequence of a programming error.
For Root Complexes:
• Configuration Requests addressing Bus 0 are processed by the Root Complex.
• Configuration Requests addressing other buses are processed according to the rules for
Switches (above)
For all types of devices:
All other configuration space addressing fields are decoded according to the PCI Local Bus
Specification.
5.3.4. Generating PCI Special Cycles using PCI
Configuration Mechanism #1
Generating PCI Special Cycles using PCI Configuration Mechanism Number One (see the
PCI Local Bus Specification, Rev. 2.3 for details), and handling of such Requests, is not required.
5.4. Configuration Register Types
Configuration register fields are assigned one of the attributes described in Table 5-2.
Table 5-2: Register (and Register Bit-Field) Types
Register
Attribute Description
RO Read-only register: Register bits are read-only and cannot
be altered by software.
RW Read-Write register: Register bits are read-write and may be
either set or cleared by software to the desired state.
RW1C
Read-only status, Write-1-to-clear status register: Register
bits indicate status when read, a set bit indicating a status
event may be cleared by writing a 1. Writing a 0 to RW1C
bits has no effect.
ROS
Sticky bit - Read-only register: Register bits are read-only
and cannot be altered by software. Bits are not cleared by
reset and can only be reset with “Power Good Reset”(see
Section 7.6). Devices that consume AUX power are not
allowed to reset sticky bits on “Power Good Reset”when
AUX power consumption (either via AUX power or PME
Enable) is enabled.

PCI EXPRESS BASE SPECIFICATION, REV. 1.0
222
Register
Attribute Description
RWS
Sticky bit - Read-Write register: Register bits are read-write
and may be either set or cleared by software to the desired
state. Bits are not cleared by reset and can only be reset
with “Power Good Reset”(see Section 7.6). Devices that
consume AUX power are not allowed to reset sticky bits on
“Power Good Reset”when AUX power consumption (either
via AUX power or PME Enable) is enabled.
RW1CS
Sticky bit - Read-only status, Write-1-to-clear status register:
Register bits indicate status when read, a set bit indicating a
status event may be cleared by writing a 1. Writing a 0 to
RW1CS bits has no effect. Bits are not cleared by reset and
canonlyberesetwith“Power Good Reset”(see
Section 7.6). Devices that consume AUX power are not
allowed to reset sticky bits on “Power Good Reset”when
AUX power consumption (either via AUX power or PME
Enable) is enabled.
HwInit
Hardware Initialized: Register bits are initialized by firmware
or hardware mechanisms such as pin strapping or serial
EEPROM. Bits are read-only after initialization and can only
be reset (for write-once by firmware) with “Power Good
Reset”(see Section 7.6).
RsvdP
Reserved and Preserved: Reserved for future RW
implementations; software must preserve value read for
writes to bits.
RsvdZ Reserved and Zero: Reserved for future RW1C
implementations; software must use 0 for writes to bits.
5.5. PCI-Compatible Configuration Registers
The first 256 bytes of the PCI Express configuration space form the PCI 2.3 compatibility
region. This region completely aliases the PCI 2.3 configuration space of the
device/function. Legacy PCI devices may also be accessed via enhanced PCI Express
configuration access mechanism without requiring any modifications to the device hardware
or device driver software. This section establishes the mapping between PCI 2.3 and PCI
Express for format and behavior of PCI 2.3 compatible registers.
All registers and fields not described in this section are assumed to have the exact same
definition as in PCI 2.3.

PCI EXPRESS BASE SPECIFICATION, REV. 1.0
223
5.5.1. Type 0/1 Common Configuration Space
Figure 5-4 details allocation for common register fields of PCI 2.3 Type 0 and Type 1
Configuration Space Headers for PCI Express devices.
Byte
Offset
Vendor ID 00hDevice ID
0Ch
04hCommandStatus
08hRevision IDClass Code
CacheLineSize
Master Latency
Timer
10h
14h
1Ch
24h
20h
Header Type Specific
28h
0
31
2Ch
3Ch
38h
34h
30h
Capabilities Pointer
Interrupt LineInterrupt Pin
Header TypeBIST
18h
Figure 5-4: Common Configuration Space Header
These registers are defined for both Type 0 and Type 1 Configuration Space Headers. The
PCI Express-specific interpretation of these registers is defined in this section.

PCI EXPRESS BASE SPECIFICATION, REV. 1.0
224
5.5.1.1. Command Register (Offset 04h)
Table 5-3 establishes the mapping between PCI 2.3 and PCI Express for PCI 2.3
configuration space Command register.
Table 5-3: Command Register
Bit Location Register Description Attributes
2Bus Master Enable –Controls the ability of a PCI Express
agent to issue memory and I/O read/write requests. Disabling
this bit prevents a PCI Express agent from issuing any memory
or I/O read/write requests. Note that as MSI interrupt messages
are in-band memory writes, disabling the bus master enable bit
disables MSI interrupt messages as well.
Default value of this field is 0.
RW
3Special Cycle Enable –Does not apply to PCI Express. Must
be hardwired to 0. RO
4Memory Write and Invalidate – Does n
o
t apply to PCI Express.
Must be hardwired to 0. RO
5VGA Palette Snoop – Does not apply to PCI Express. Must be
hardwired to 0. RO
6Parity Error Enable – See Section 5.5.1.7.
Default value of this field is 0.
RW
7IDSEL Stepping / Wait Cycle Control – Does not apply to PCI
Express. Must be hardwired to 0. RO
8SERR Enable – See Section 5.5.1.7.
This bit when set enables reporting of non-fatal and fatal errors
to the Root Complex. Note that PCI Express-specific error
register bits take precedence over this bit.
Default value of this field is 0.
RW
9Fast Back-to-Back Transactions Enable – Does not apply to
PCI Express. Must be hardwired to 0. RO
10 Interrupt Disable - Controls the ability of a PCI Express device
to generate INTx interrupt messages. When set, devices are
prevented from generating INTx interrupt messages.
Any INTx emulation interrupts already asserted must be
deasserted when this bit is set.
Default value of this field is 0.
RW

PCI EXPRESS BASE SPECIFICATION, REV. 1.0
225
5.5.1.2. Status Register (Offset 06h)
Table 5-4 establishes the mapping between PCI 2.3 and PCI Express for PCI 2.3
configuration space Status register.
Table 5-4: Status Register
Bit Location Register Description Attributes
3Interrupt Status - Indicates that an INTx interrupt message is
pending internally to the device.
Default value of this field is 0.
RO
4Capabilities List –Indicates the presence of an extended
capability list item. Since all PCI Express devices are required
to implement the PCI Express capability structure, this bit must
be set to 1.
RO
566 MHz Capable – Does not apply to PCI Express. Must be
hardwired to 0. RO
7Fast Back-to-Back Transactions Capable – Does not apply to
PCI Express. Must be hardwired to 0. RO
8Master Data Parity Error – See Section 5.5.1.7.
This bit is set by Requestor (Primary Side for Type 1
Configuration Space Header Device) if its Parity Error Enable bit
is set and either of the following two conditions occurs:
•Requestor receives a Completion marked poisoned
•Requestor poisons a write Request
If the Parity Error Enable bit is cleared, this bit is never set.
Default value of this field is 0.
RW1C
10:9 DEVSEL Timing – Does not apply to PCI Express. Must be
hardwired to 0. RO
11 Signaled Target Abort – See Section 5.5.1.7.
This bit is set when a device (Primary Side for Type 1
Configuration Space Header device for requests completed by
the Type 1 Header device itself) completes a Request using
Completer Abort Completion Status.
Default value of this field is 0.
RW1C
12 Received Target Abort – See Section 5.5.1.7.
This bit is set when a Requestor (Primary Side for Type 1
Configuration Space Header device for requests initiated by the
Type 1 Header device itself) receives a Completion with
Completer Abort Completion Status.
Default value of this field is 0.
RW1C

PCI EXPRESS BASE SPECIFICATION, REV. 1.0
226
Bit Location Register Description Attributes
13 Received Master Abort – See Section 5.5.1.7.
This bit is set when a Requestor (Primary Side for Type 1
Header Configuration Space Header device for requests
initiated by the Type 1 Header device itself) receives a
Completion with Unsupported Request Completion Status.
Default value of this field is 0.
RW1C
14 Signaled System Error – See Section 5.5.1.7.
This bit is set when a device sends a ERR_FATAL or
ERR_NONFATAL message.
Default value of this field is 0.
RW1C
15 Detected Parity Error – See Section 5.5.1.7.
This bit is set by a device (Primary Side for Type 1 Configuration
Space Header device) whenever it receives a poisoned TLP,
regardless of the state the Parity Error Enable bit.
Default value of this field is 0.
RW1C
5.5.1.3. Cache Line Size Register (Offset 0Ch)
The cache line size register is set by the system firmware and the operating system to system
cache line size. However, note that legacy PCI 2.3 software may not always be able to
program this field correctly especially in case of hot-plug devices. This field is implemented
by PCI Express devices as a read-write field for legacy compatibility purposes but has no
impact on any PCI Express device functionality.
5.5.1.4. Master Latency Timer Register (Offset 0Dh)
This register is also referred to as primary latency timer for Type 1 Configuration Space
Header devices. The primary/master latency timer does not apply to PCI Express. This
register must be hardwired to 0.
5.5.1.5. Interrupt Line Register (Offset 3Ch)
As in PCI 2.3, the Interrupt Line register communicates interrupt line routing information.
The register is read/write and must be implemented by any device (or device function) that
uses an interrupt pin (see following description). Values in this register are programmed by
system software and are system architecture specific. The device itself does not use this
value; rather the value in this register is used by device drivers and operating systems.
5.5.1.6. Interrupt Pin Register (Offset 3Dh)
The Interrupt Pin is a read-only register that identifies the legacy interrupt message(s) the
device (or device function) uses; refer to Section 7.1 for further details. Valid values are 1, 2,
PCI EXPRESS BASE SPECIFICATION, REV. 1.0
227
3, and 4 that map to legacy interrupt messages for INTA, INTB, INTC, and INTD
respectively; a value of 0 indicates that the device uses no legacy interrupt message(s).
5.5.1.7. Error Registers
The error control/status register bits in the Command and Status registers (see
Section 5.5.1.1 and Section 5.5.1.2 respectively) control PCI compatible error reporting for
both PCI and PCI Express devices. Mapping of PCI Express errors onto PCI errors is also
discussed in Section 7.2.5.1. In addition to the PCI compatible error control and status, PCI
Express error reporting may be controlled separately from PCI devices through the PCI
Express Capability Structure described in Section 5.8. The PCI compatible error control and
status register fields do not have any effect on PCI Express error reporting enabled through
the PCI Express Capability Structure. PCI Express devices may also implement optional
advanced error reporting as described in Section 5.10.

PCI EXPRESS BASE SPECIFICATION, REV. 1.0
228
5.5.2. Type 0 Configuration Space Header
Figure 5-5 details allocation for register fields of PCI 2.3 Type 0 Configuration Space Header
for PCI Express devices.
Byte
Offset
Vendor ID 00hDevice ID
0Ch
04hCommandStatus
08hRevision IDClass Code
CacheLineSize
Master Latency
Timer
10h
14h
1Ch
24h
20h
Base Address Registers
28hCardbus CIS Pointer
0
31
2Ch
3Ch
38h
34h
30h
Subsystem Vendor IDSubsystem ID
Expansion ROM Base Address
Capabilities PointerReserved
Reserved
Interrupt LineInterrupt PinMin_GntMax_Lat
Header TypeBIST
18h
Figure 5-5: Type 0 Configuration Space Header
Section 5.5.1 details the PCI Express-specific registers that are valid for all Configuration
Space Header types. The PCI Express-specific interpretation of registers specific to Type 0
PCI 2.3 Configuration Space Header is defined in this section.
5.5.2.1. Min_Gnt/Max_Lat Registers (Offset 3Eh/3Fh)
These registers do not apply to PCI Express. They must be read-only and hardwired to 0.

PCI EXPRESS BASE SPECIFICATION, REV. 1.0
229
5.5.3. Type 1 Configuration Space Header
Figure 5-6 details allocation for register fields of PCI 2.3 Type 1 Configuration Space Header
for PCI Express devices.
Byte
Offset
Vendor ID 00hDevice ID
0Ch
04hCommandStatus
08hRevision IDClass Code
CacheLineSize
Primary Latency
Timer
10h
14h
1Ch
18h
24h
20h
Base Address Register 0
28hPrefetchable Base Upper 32 Bits
031
2Ch
3Ch
38h
34h
30h
Prefetchable Limit Upper 32 Bits
Capability PointerReserved
Expansion ROM Base Address
Interrupt LineInterrupt PinBridge Control
Base Address Register 1
Primary Bus
Number
Secondary Bus
Number
Subordinate Bus
Number
Secondary Latency
Timer
I/O BaseI/O LimitSecondary Status
Memory BaseMemory Limit
Prefetchable Memory BasePrefetchable Memory Limit
I/O Base Upper 16 BitsI/O Limit Upper 16 Bits
Header TypeBIST
Figure 5-6: Type 1 Configuration Space Header
Section 5.5.1 details the PCI Express-specific registers that are valid for all Configuration
Space Header types. The PCI Express-specific interpretation of registers specific to Type 1
PCI 2.3 Configuration Space Header is defined in this section.
5.5.3.1. Secondary Latency Timer (Offset 1Bh)
This register does not apply to PCI Express. It must be read-only and hardwired to 0.

PCI EXPRESS BASE SPECIFICATION, REV. 1.0
230
5.5.3.2. Secondary Status Register (Offset 1Eh)
Table 5-5 establishes the mapping between PCI 2.3 and PCI Express for PCI 2.3
configuration space Secondary Status register.
Table 5-5: Secondary Status Register
Bit Location Register Description Attributes
566 MHz Capable – Does not apply to PCI Express. Must be
hardwired to 0. RO
7Fast Back-to-Back Transactions Capable – Does not apply to
PCI Express. Must be hardwired to 0. RO
8Master Data Parity Error – See Section 5.5.1.7.
This bit is set by the Secondary side Requestor if the
Parity Error Response bit is set and either of the following two
conditions occurs:
•Requestor receives Completion marked poisoned
•Requestor poisons a write Request
If the Parity Error Response bit is cleared, this bit is never set.
Default value of this field is 0.
RW1C
10:9 DEVSEL Timing – Does not apply to PCI Express. Must be
hardwired to 0. RO
11 Signaled Target Abort – See Section 5.5.1.7.
This bit is set when the Secondary Side for Type 1 Configuration
Space Header device (for requests completed by the Type 1
Header device itself) completes a Request using Completer
Abort Completion Status.
Default value of this field is 0.
RW1C
12 Received Target Abort – See Section 5.5.1.7.
This bit is set when the Secondary Side for Type 1 Configuration
Space Header device (for requests initiated by the Type 1
Header device itself) receives a Completion with Completer
Abort Completion Status.
Default value of this field is 0.
RW1C
13 Received Master Abort – See Section 5.5.1.7.
This bit is set when the Secondary Side for Type 1 Configuration
Space Header device (for requests initiated by the Type 1
Header device itself) receives a Completion with Unsupported
Request Completion Status.
Default value of this field is 0.
RW1C

PCI EXPRESS BASE SPECIFICATION, REV. 1.0
231
Bit Location Register Description Attributes
14 Received System Error – See Section 5.5.1.7.
This bit is sent when a device sends a ERR_FATAL or
ERR_NONFATAL message.
Default value of this field is 0.
RW1C
15 Detected Parity Error – See Section 5.5.1.7.
This bit is set by the Secondary Side for a Type 1 Configuration
Space Header device whenever it receives a poisoned TLP,
regardless of the state the Parity Error Response bit.
Default value of this field is 0.
RW1C
5.5.3.3. Bridge Control Register (Offset 3Eh)
Table 5-6 establishes the mapping between PCI 2.3 and PCI Express for PCI 2.3
configuration space Bridge Control register.
Table 5-6: Bridge Control Register
Bit Location Register Description Attributes
0Parity Error Response Enable –See Section 5.5.1.7.
This bit controls the response to poisoned TLPs.
Default value of this field is 0.
RW
1SERR Enable –See Section 5.5.1.7.
This bit controls forwarding of ERR_COR, ERR_NONFATAL
and ERR_FATAL from secondary to primary.
Default value of this field is 0.
RW
5Master Abort Mode –Does not apply to PCI Express. Must be
hardwired to 0. RO
6Secondary Bus Reset –Setting this bit triggers a warm reset on
the corresponding PCI Express Port and the PCI Express
hierarchy domain subordinate to the Port.
Default value of this field is 0.
RW
7Fast Back-to-Back Transactions Enable – Does not apply to
PCI Express. Must be hardwired to 0. RO
8Primary Discard Timer –Does not apply to PCI Express. Must
be hardwired to 0. RO
9Secondary Discard Timer –Does not apply to PCI Express.
Must be hardwired to 0. RO
10 Discard Timer Status – Does not apply to PCI Express. Must
be hardwired to 0. RO
11 Discard Timer SERR Enable – Does not apply to PCI Express.
Must be hardwired to 0. RO

PCI EXPRESS BASE SPECIFICATION, REV. 1.0
232
5.6. PCI Power Management Capability Structure
This structure is required for all PCI Express devices. Figure 5-7 details allocation of the
PCI PM Capability Structure register fields in a PCI Express Context. PCI Express devices
are required to support D0 and D3 device states (refer to Section 6.1.1); PCI-PCI bridge
structures representing PCI Express ports as described in Section 5.1 are required to indicate
PME wake capability due to the in-band nature of PME messaging for PCI Express.
The PME status bit for the PCI-PCI bridge structure representing PCI Express ports,
however, is only set when the PCI-PCI bridge function is itself generating a PME. The
PME status bit is not set when the bridge is propagating a PME but the PCI-PCI bridge
function itself is not internally asserting PME.
Byte
Offset
Capability ID 00hNext PTR
04hPower Management Status and Control
031
PM Control/Status
Bridge Extensions
Data
Power Management Capabilities
Figure 5-7: PCI Power Management Capability Structure
PME Support
D2 Support
D1 Support
AUX Current
2125 22 1520 19
Version
PME Clock
RsvdP
Device Specific Initialization (DSI)
182431 26
Cap ID
Next PTR
16 07827
Figure 5-8: Power Management Capabilities
Figure 5-8 details allocation of register fields for Power Management Capabilities register;
Table 5-7 establishes the mapping between PCI 2.3 and PCI Express for this register.
Table 5-7: Power Management Capabilities
Bit Location Register Description Attributes
7:0 Capability ID – Must be set to 01h RO
15:8 Next Capability Pointer RO
18:16 Version – Set to 02h for this version of the specification. RO
19 PME Clock – Does not apply to PCI Express. Must be
hardwired to 0. RO
21 Device Specific Initialization RO
24:22 AUX Current RO

PCI EXPRESS BASE SPECIFICATION, REV. 1.0
233
Bit Location Register Description Attributes
25 D1 Support RO
26 D2 Support RO
31:27 PME Support – Must be set for PCI-PCI bridge structures
representing ports on root complexes/switches. RO
Power State
PME Enable
Data Select
Data Scale
PME Status
714 8 012915 12
RsvdP
13162231
RsvdP
Bus Power/Clock
Control Enable
B2/B3 Support
23 21
Data
24
Figure 5-9: Power Management Status/Control
Figure 5-9 details allocation of register fields for Power Management Status and Control
register; Table 5-8 establishes the mapping between PCI 2.3 and PCI Express for this
register.
Table 5-8: Power Management Status/Control
Bit Location Register Description Attributes
1:0 Power State RW
8PME Enable RWS
12:9 Data Select RW
14:13 Data Scale RO
15 PME Status RW1CS
22 B2/B3 Support – Does not apply to PCI Express. Must be
hardwired to 0. RO
23 Bus Power/Clock Control Enable – Does not apply to PCI
Express. Must be hardwired to 0. RO
31:24 Data RO

PCI EXPRESS BASE SPECIFICATION, REV. 1.0
234
5.7. MSI Capability Structure
This structure is required for all PCI Express devices that are capable of generating
interrupts. Definition of register structure associated with MSI is compatible with PCI 2.3
specification.
5.8. PCI Express Capability Structure
PCI Express defines a capability structure in PCI 2.3 compatible configuration space (first
256 bytes) as shown in Figure 5-3 for identification of a PCI Express device and indicates
support for new PCI Express features. The PCI Express Capability Structure is required for
PCI Express devices. The capability structure is a mechanism for enabling PCI software
transparent features requiring support on legacy operating systems. In addition to
identifying a PCI Express device, the PCI Express Capability Structure is used to provide
access to PCI Express specific Control/Status registers and related Power Management
enhancements.
Figure 5-10 details allocation of register fields in the PCI Express Capability Structure. The
PCI Express Capabilities, Device Capabilities, Device Status/Control, Link Capabilities and
Link Status/Control registers are required for all PCI Express devices. Endpoints are not
required to implement registers other than those listed above and terminate the capability
structure.
Slot Capabilities and Slot Status/Control registers are required for Switch Downstream and
Root Ports if a slot is implemented on the port. Root Control/Status registers are required
for root ports. Root ports must implement the entire PCI Express Capability Structure.
Byte
Offset
All
Devices
00h3GIO Capabilities Register
0Ch
04h
Device Control
Device Status 08h
10h
14h
1Ch
20h
Device Capabilities
031
Link ControlLink Status
Slot Capabilities
Root Status
Link Capabilities
18h
Next Cap Pointer 3GIO Cap ID
Slot ControlSlot Status
Root ControlRsvdP
71523
Ports
with
Slots
Root
Ports
Figure 5-10: PCI Express Capability Structure

PCI EXPRESS BASE SPECIFICATION, REV. 1.0
235
5.8.1. PCI Express Capability List Register (Offset 00h)
The PCI Express Capability List register enumerates the PCI Express Capability Structure in
the PCI 2.3 configuration space capability list. Figure 5-11 details allocation of register fields
in the PCI Express Capability List register; Table 5-9 provides the respective bit definitions.
Next Capability Pointer
15 078
Capability ID
Figure 5-11: PCI Express Capability List Register
Table 5-9: PCI Express Capability List Register
Bit Location Register Description Attributes
7:0 Capability ID –Indicates PCI Express Capability Structure.
This field must return a Capability ID of (value to be assigned by
PCI-SIG) indicating that this is a PCI Express Capability
Structure.
RO
15:8 Next Capability Pointer –The offset to the next PCI capability
structure or 00h if no other items exist in the linked list of
capabilities.
RO
5.8.2. PCI Express Capabilities Register (Offset 02h)
The PCI Express Capabilities register identifies PCI Express device type and associated
capabilities. Figure 5-12 details allocation of register fields in the PCI Express Capabilities
register; Table 5-10 provides the respective bit definitions.
Interrupt Message
Number
15 078
Capability
Version
43
Device/Port Type
Slot Implemented
9
1314
RsvdP
Figure 5-12: PCI Express Capabilities Register

PCI EXPRESS BASE SPECIFICATION, REV. 1.0
236
Table 5-10: PCI Express Capabilities Register
Bit Location Register Description Attributes
3:0 Capability Version –Indicates PCI-SIG defined PCI Express
capability structure version number.
Must be 1h for this specification.
RO
7:4 Device/Port Type –Indicates the type of PCI Express device.
Defined encodings are:
0000b PCI Express Endpoint device
0001b Legacy PCI Express Endpoint device
0100b Root Port of PCI Express Root Complex*
0101b Upstream Port of PCI Express Switch*
0110b Downstream Port of PCI Express Switch*
0111b PCI Express-to-PCI/PCI-X Bridge*
All other encodings are reserved.
*This value is only valid for devices/functions that implement a
Type 01h PCI Configuration Space Header.
Native PCI Express Endpoint devices that do not require I/O
resources for correct operation indicate a device Type of 0000b;
such devices may request I/O resources (through BARs) for
legacy boot support but system software is allowed to close
requested I/O resources once appropriate services are made
available to device specific software for access to device
specific resources claimed through memory BARs.
Legacy PCI Express Endpoint devices that require I/O resources
claimed through BARs for correct operation indicate a Device
Type of 0001b.
RO
8Slot Implemented –This bit when set indicates that the PCI
Express Link associated with this port is connected to a slot (as
compared to being connected to an integrated component or
being disabled).
This field is valid for the following PCI Express device/Port
Types:
0100b Root Port of PCI Express Root Complex
0110b Downstream Port of PCI Express Switch
HwInit
13:9 Interrupt Message Number –If this function is allocated more
than one MSI interrupt number, this register is required to
contain the offset between the base Message Data and the MSI
Message that is generated when any of status bits in either the
Slot Status register or the Root Port Status register of this
capability structure are set.
Hardware is required to update this field so that it is correct if the
number of MSI Messages assigned to the device changes.
RO

PCI EXPRESS BASE SPECIFICATION, REV. 1.0
237
5.8.3. Device Capabilities Register (Offset 04h)
The Device Capabilities register identifies PCI Express device specific capabilities.
Figure 5-13 details allocation of register fields in the Device Capabilities register; Table 5-11
provides the respective bit definitions.
Slot Power Scale
Slot Power Value
Max Read Request Size Supported
Power Indicator Present On Device
Attention Indicator Present On Device
Attention Button Present On Device
RsvdP
912 280465
Max Payload Size Supported
Phantom Functions Supported
Extended Tag Field Supported
Endpoints L0s Acceptable Latency
Endpoint L1 Acceptable Latency
1114131531 318 1725262728
Figure 5-13: Device Capabilities Register
Table 5-11: Device Capabilities Register
Bit Location Register Description Attributes
2:0 Max_Payload_Size Supported –This field indicates the
maximum payload size that the device can support for TLPs.
Defined encodings are:
000b 128B max payload size
001b 256B max payload size
010b 512B max payload size
011b 1024B max payload size
100b 2048B max payload size
101b 4096B max payload size
110b Reserved
111b Reserved
RO

PCI EXPRESS BASE SPECIFICATION, REV. 1.0
238
Bit Location Register Description Attributes
4:3 Phantom Functions Supported –This field indicates the
support for use of unclaimed function numbers to extend the
number of outstanding transactions allowed by logically
combining unclaimed function numbers (called Phantom
Functions) with the Tag identifier. See Section 2.4.2 for
description of Tag Extensions.
This field indicates the number of most significant bits of the
function number portion of Requester ID that are logically
combined with the Tag identifier. Defined encodings are:
00b No function number bits used for Phantom Functions;
device may implement all function numbers.
01b First most significant bit of function number in
Requestor ID used for Phantom Functions; device may
implement functions 0-3. Functions 0, 1, 2, and 3 may
claim functions 4, 5, 6, and 7 as Phantom Functions
respectively.
10b First two most significant bits of function number in
Requestor ID used for Phantom Functions; device may
implement functions 0-1. Function 0 may claim
functions 2, 4, and 6 as Phantom Functions, function 1
may claim functions 3, 5, and 7 as Phantom Functions.
11b All three bits of function number in Requestor ID used
for Phantom Functions; device must be a single
function 0 device that may claim all other functions as
Phantom Functions.
Note that Phantom Function support for the Device must be
enabled by the corresponding control field in the Device Control
register.
A Root Port must always return 0b in this field.
RO
5Extended Tag Field Supported –This field indicates the
maximum supported size of the Tag field. Defined encodings
are:
0b 5-bit Tag field supported
1b 8-bit Tag field supported
Note that 8-bit Tag field support must be enabled by the
corresponding control field in the Device Control register.
A Root Port must always return 0b in this field.
RO

PCI EXPRESS BASE SPECIFICATION, REV. 1.0
239
Bit Location Register Description Attributes
8:6 Endpoint L0s Acceptable Latency –This field indicates the
acceptable latency that an Endpoint can withstand due to the
transition from L0s state to the L0 state. It is essentially an
indirect measure of the Endpoint’s internal buffering.
Power management software uses the reported L0s Acceptable
Latency number to compare against the L0s exit latencies
reported by all components comprising the data path from this
Endpoint to the Root Complex Root Port to determine whether
Active State Link PM L0s entry can be used with no loss of
performance. Defined encodings are:
000b Less than 64 ns
001b 64 ns-128 ns
010b 128 ns-256 ns
011b 256 ns-512 ns
100b 512 ns-1 µs
101b 1 µs-2 µs
110b 2 µs-4 µs
111b More than 4 µs
RO
11:9 Endpoint L1 Acceptable Latency – This field indicates the
acceptable latency that an Endpoint can withstand due to the
transition from L1 state to the L0 state. It is essentially an
indirect measure of the Endpoint’s internal buffering.
Power management software uses the reported L1 Acceptable
Latency number to compare against the L1 Exit Latencies
reported (see below) by all components comprising the data
path from this Endpoint to the Root Complex Root Port to
determine whether Active State Link PM L1 entry can be used
with no loss of performance. Defined encodings are:
000b Less than 1µs
001b 1 µs-2 µs
010b 2 µs-4 µs
011b 4 µs-8 µs
100b 8 µs-16 µs
101b 16 µs-32 µs
110b 32 µs-64 µs
111b More than 64 µs
RO
12 Attention Button Present –This bit when set indicates that an
Attention Button is implemented on the card or module.
This bit is valid for the following PCI Express device Types:
0000b PCI Express Endpoint device
0001b Legacy PCI Express Endpoint device
RO

PCI EXPRESS BASE SPECIFICATION, REV. 1.0
240
Bit Location Register Description Attributes
13 Attention Indicator Present –This bit when set indicates that
an Attention Indicator is implemented on the card or module.
This bit is valid for the following PCI Express device Types:
0000b PCI Express Endpoint device
0001b Legacy PCI Express Endpoint device
RO
14 Power Indicator Present –This bit indicates when set indicates
that a Power Indicator is implemented on the card or module.
This bit is valid for the following PCI Express device Types:
0000b PCI Express Endpoint device
0001b Legacy PCI Express Endpoint device
RO
17:15 Max_Read_Request_Size Supported (Root Complex only) -
This field indicates the maximum Read Request size for the
Device as a Completer. Defined encodings are:
000b Reserved
001b Reserved
010b 512B max read request size
011b 1024B max read request size
100b 2048B max read request size
101b 4096B max read request size
110b Reserved
111b Reserved
RO
25:18 Slot Power Limit Value (Upstream Ports only) –In combination
with the Slot Power Limit Scale value, specifies the upper limit
on power supplied by slot.
Power limit (in Watts) calculated by multiplying the value in this
field by the value in the Slot Power Limit Scale field.
This value is set by the Set_Slot_Power_Limit message or
hardwired to 0000 0000b (see Section 7.9). The default value is
0000 0000b.
RO
27:26 Slot Power Limit Scale (Upstream Ports only) –Specifies the
scale used for the Slot Power Limit Value.
Range of Values
00b = 1.0x (25.5-255)
01b = 0.1x (2.55-25.5)
10b = 0.01x (0.255-2.55)
11b = 0.001x (0.0-0.255)
This value is set by the •Set_Slot_Power_Limit message or
hardwired to 00b (see Section 7.9). The default value is all 00b.
RO

PCI EXPRESS BASE SPECIFICATION, REV. 1.0
241
5.8.4. Device Control Register (Offset 08h)
The Device Control register controls PCI Express device specific parameters. Figure 5-14
details allocation of register fields in the Device Control register; Table 5-12 provides the
respective bit definitions.
RsvdP
Max Read Request Size
Stop
Aux Power PM Enable
Phantom Functions Enable
Extended Tag Field Enable
10 270351
Correctable Error Reporting Enable
Non-Fatal Error Reporting Enable
Fatal Error Reporting Enable
Unsupported Request Reporting Enable
Unsupported Request Severity
Max Payload Size
815 111214 49
Figure 5-14: Device Control Register
Table 5-12: Device Control Register
Bit Location Register Description Attributes
0Correctable Error Reporting Enable –This bit controls
reporting of correctable errors. Refer to Section 7.2 for further
details. For a multi-function device, this bit controls error
reporting for each function from point-of-view of the respective
function.
For a Root Port, the reporting of correctable errors is internal to
the root. No external ERR_CORR message is generated.
Default value of this field is 0.
RW
1Non-Fatal Error Reporting Enable - This bit controls reporting
of non-fatal errors. Refer to Section 7.2 for further details. For a
multi-function device, this bit controls error reporting for each
function from point-of-view of the respective function.
For a Root Port, the reporting of non-fatal errors is internal to the
root. No external ERR_NONFATAL message is generated.
Default value of this field is 0.
RW
2Fatal Error Reporting Enable - This bit controls reporting of
fatal errors. Refer to Section 7.2 for further details. For a multi-
function device, this bit controls error reporting for each function
from point-of-view of the respective function.
For a Root Port, the reporting of fatal errors is internal to the
root. No external ERR_FATAL message is generated.
Default value of this field is 0.
RW

PCI EXPRESS BASE SPECIFICATION, REV. 1.0
242
Bit Location Register Description Attributes
3Unsupported Request Reporting Enable – This bit enables
reporting of Unsupported Requests when set. Refer to
Section 7.2 for further details. For a multi-function device, this
bit controls error reporting for each function from point-of-view of
the respective function. Note that the reporting of error
messages (ERR_CORR, ERR_NONFATAL, ERR_FATAL)
received by Root Port is controlled exclusively by Root Port
Command Register described in Section 5.8.12.
Default value of this field is 0.
RW
4Unsupported Request Severity –This bit controls whether
ERR_NONFATAL (0) or ERR_FATAL (1) is used for reporting
Unsupported Request errors.
Default value of this field is 0.
RW
7:5 Max_Payload_Size - This field sets maximum TLP payload size
for the device. As a receiver, the device must handle TLPs as
large as the set value; as transmitter, the device must not
generate TLPs exceeding the set value. Permissible values that
can be programmed are indicated by the Max_Payload_Size
Supported in the Device Capabilities register (refer to
Section 5.8.3). Defined encodings for this field are:
000b 128B max payload size
001b 256B max payload size
010b 512B max payload size
011b 1024B max payload size
100b 2048B max payload size
101b 4096B max payload size
110b Reserved
111b Reserved
Default value of this field is 001b.
RW
8Extended Tag Field Enable –When set, this bit enables a
device to use an 8-bit Tag field as a requester. If the bit is
cleared, the device is restricted to a 5-bit Tag field. See
Section 2.4.2 for description of Tag extensions.
Default value of this field is 0.
A Root Port does not implement this field.
RW
9Phantom Functions Enable – When set, this bit enables a
device to use unclaimed functions as Phantom Functions to
extend the number of outstanding transaction identifiers. If the
bit is cleared, the device is not allowed to use Phantom
Functions. See Section 2.4.2 for description of Tag extensions.
Default value of this field is 0.
A Root Port does not implement this field.
RW

PCI EXPRESS BASE SPECIFICATION, REV. 1.0
243
Bit Location Register Description Attributes
10 Auxiliary (AUX) Power PM Enable - This bit when set enables
a device to draw AUX power independent of PME AUX power.
devices that require AUX power on legacy operating systems
should continue to indicate PME AUX power requirements.
AUX power is allocated as requested in the AUX_Current field of
the Power Management Capabilities Register (PMC),
independent of the PME_En bit in the Power Management
Control/Status Register (PMCSR) (see Chapter 6). For multi-
function devices, a component is allowed to draw AUX power if
at least one of the functions has this bit set.
Default value of this field is 0.
RW
11 Stop –Writing 1 to this bit signals the device to complete
pending transactions. Refer to Section 7.4 for device/function
stop synchronization mechanism.
This bit always returns 0 when read.
RW
14:12 Max_Read_Request_Size - This field sets maximum Read
Request size for the Device as a Requester. The Device must
not generate read requests with size exceeding the set value.
Permissible values that can be programmed are indicated by the
Max_Read_Request_Size Supported in the Device Capabilities
register (refer to Section 5.8.3). Defined encodings for this field
are:
000b 128B max read request size
001b 256B max read request size
010b 512B max read request size
011b 1024B max read request size
100b 2048B max read request size
101b 4096B max read request size
110b Reserved
111b Reserved
Default value of this field is 010b.
RW

PCI EXPRESS BASE SPECIFICATION, REV. 1.0
244
Implementation Note: Use of Max_Read_Request_Size
The Max_Read_Request_Size mechanism allows improved control of bandwidth allocation
in systems where quality of service (QoS) is important for the target applications. For
example, an arbitration scheme based on counting requests (and not the sizes of those
requests) provides poor bandwidth allocation when some Requesters use much larger sizes
than others. The Max_Read_Request_Size mechanism can be used to force more uniform
allocation of bandwidth, by restricting the upper size of read requests.
The mechanism provides a way to simplify a Root Complex implementation by limiting the
size of the read requests which the Root Complex, as a Completer must handle.
PCI Express aware operating systems may use the Max_Read_Request_Size mechanism to
help enable correct operation of a device whose Max_Payload_Size capability is smaller than
the Max_Payload_Size configured for other devices within the same Hierarchy Domain. For
such a device, its Max_Read_Request_Size can be configured to equal its Max_Payload_Size.
Thus, read completion packets destined for that device are guaranteed never to exceed its
Max_Payload_Size even when the Completer's Max_Payload_Size is configured to a higher
value. Otherwise, the Max_Payload_Size of the other devices would have to be reduced to
the “lowest common denominator” of the devices they send read completions to.
Use of the Max_Read_Request_Size mechanism as described above does not address the
issue of devices sending large posted writes to a device whose Max_Payload_Size capability
is smaller than their configured Max_Payload_Size. However, for many devices, their
programming model doesn't require them to receive posted writes of a size exceeding their
Max_Payload_Size capability anyway, making the posted writes issue irrelevant.
5.8.5. Device Status Register (Offset 0Ah)
The Device Status register provides information about PCI Express device specific
parameters. Figure 5-15 details allocation of register fields in the Device Status register;
Table 5-13 provides the respective bit definitions.
RsvdZ
201
Transactions Pending
AUX Power Detected
Unsupported Request Detected
Fatal Error Detected
Non-Fatal Error Detected
Correctable Error Detected
15 3456
RsvdZ
201
Transactions Pending
AUX Power Detected
Unsupported Request Detected
Fatal Error Detected
Non-Fatal Error Detected
Correctable Error Detected
15 3456
Figure 5-15: Device Status Register

PCI EXPRESS BASE SPECIFICATION, REV. 1.0
245
Table 5-13: Device Status Register
Bit Location Register Description Attributes
0Correctable Error Detected –This bit indicates status of
correctable errors detected. Errors are logged in this register
regardless of whether error reporting is enabled or not in the
Device Control register. For a multi-function device, each
function indicates status of errors as perceived by the respective
function.
Default value of this field is 0.
RW1C
1Non-Fatal Error Detected –This bit indicates status of non-
fatal errors detected. Errors are logged in this register
regardless of whether error reporting is enabled or not in the
Device Control register. For a multi-function device, each
function indicates status of errors as perceived by the respective
function.
Default value of this field is 0.
RW1C
2Fatal Error Detected - This bit indicates status of fatal errors
detected. Errors are logged in this register regardless of
whether error reporting is enabled or not in the Device Control
register. For a multi-function device, each function indicates
status of errors as perceived by the respective function.
Default value of this field is 0.
RW1C
3Unsupported Request Detected – This bit indicates that the
device received an Unsupported Request. Errors are logged in
this register regardless of whether error reporting is enabled or
not in the Device Control Register. For a multi-function device,
each function indicates status of errors as perceived by the
respective function.
Default value of this field is 0.
RW1C
4AUX Power Detected - Devices that require AUX power report
this bit as set if AUX power is detected by the device. RO
5Transactions Pending –Indicates whether a device has any
transactions pending. A device indicates that transactions are
pending (including completions for any outstanding non-posted
requests for all used Traffic Classes) by reporting this bit as set.
A device may report this bit cleared only when all pending
transactions (including completions for any outstanding non-
posted requests on any used virtual channel) have been
completed. Refer to Section 7.4 for device/function stop
synchronization mechanism.
This bit must be set by hardware when a 1 is written to the Stop
bit in the Device Control register and subsequently cleared (by
hardware) when all pending transactions have been completed.
RO

PCI EXPRESS BASE SPECIFICATION, REV. 1.0
246
5.8.6. Link Capabilities Register (Offset 0Ch)
The Link Capabilities register identifies PCI Express Link specific capabilities. Figure 5-16
details allocation of register fields in the Link Capabilities register; Table 5-14 provides the
respective bit definitions.
L1 Exit Latency
L0s Exit Latency
Active State Link PM Support
RsvdP
911 0315 4
Maximum Link Speed
Maximum Link Width
101214
31 1718
2324
Port #
Figure 5-16: Link Capabilities Register
Table 5-14: Link Capabilities Register
Bit Location Register Description Attributes
3:0 Maximum Link Speed –This field indicates the maximum Link
speed of the given PCI Express Link. Defined encodings are:
0001b 2.5 Gb/s Link
All other encodings are reserved.
RO
9:4 Maximum Link Width - This field indicates the maximum width
of the given PCI Express Link. Defined encodings are:
000000b Reserved
000001b x1
000010b x2
000100b x4
001000b x8
001100b x12
010000b x16
100000b x32
RO
11:10 Active State Link PM Support –This field indicates the level of
active state power management supported on the given PCI
Express Link. Defined encodings are:
00b Reserved
01b L0s Entry Supported
10b Reserved
11b L0s and L1 Supported
RO

PCI EXPRESS BASE SPECIFICATION, REV. 1.0
247
Bit Location Register Description Attributes
14:12 L0s Exit Latency –This field indicates the L0s exit latency for
the given PCI Express Link. The value reported indicates the
length of time this Port requires to complete transition from L0s
to L0. Defined encodings are:
000b Less than 64 ns
001b 64 ns-128 ns
010b 128 ns-256 ns
011b 256 ns-512 ns
100b 512 ns-1 µs
101b 1 µs-2 µs
110b 2 µs-4 µs
111b Reserved
Note that exit latencies may be influenced by PCI Express
reference clock configuration depending upon whether a
component uses a common or separate reference clock.
RO
17:15 L1 Exit Latency –This field indicates the L1 exit latency for the
given PCI Express Link. The value reported indicates the length
of time this Port requires to complete transition from L1 to L0.
Defined encodings are:
000b Less than 1µs
001b 1 µs-2 µs
010b 2 µs-4 µs
011b 4 µs-8 µs
100b 8 µs-16 µs
101b 16 µs-32 µs
110b 32 µs-64 µs
111b L1 transition not supported
Note that exit latencies may be influenced by PCI Express
reference clock configuration depending upon whether a
component uses a common or separate reference clock.
RO
31:24 Port Number –This field indicates the PCI Express port number
for the given PCI Express Link. HwInit

PCI EXPRESS BASE SPECIFICATION, REV. 1.0
248
5.8.7. Link Control Register (Offset 10h)
The Link Control register controls PCI Express Link specific parameters. Figure 5-17
details allocation of register fields in the Link Control register; Table 5-15 provides the
respective bit definitions.
RsvdP
201
Common Clock Configuration
Retrain Link
Link Disable
Read Request Return Parameter ‘R” Control
Link Loop Back Mode
Active State PM Control
15 3
54
76
Figure 5-17: Link Control Register
Table 5-15: Link Control Register
Bit Location Register Description Attributes
1:0 ActiveStateLinkPMControl–This field controls the level of
active state PM supported on the given PCI Express Link.
Defined encodings are:
00b Disabled
01b L0s Entry Supported
10b Reserved
11b L0s and L1 Entry Supported
Default value for this field is 0.
RW
2Link Loop Back Mode –This bit puts a Link in loop-back mode
for debug/diagnostic purposes. For multi-function devices, a
Link is put in loop-back mode if all functions of component have
this bit set.
Default value of this field is 0.
RW

PCI EXPRESS BASE SPECIFICATION, REV. 1.0
249
Bit Location Register Description Attributes
3Read Request Return Parameter “R” Control – Refer to
Section 2.7.6.2.1 for the definition of Read Request Return
Parameter.
Defined encodings are for “R” capabilities are:
0b 64 byte
1b 128 byte
PCI Express Endpoints and Switches that do not implement this
feature must hardwire the field to 0b.
This field is hardwired for a Root Port and returns its “R” support
capabilities.
RW
4Link Disable –This bit disables the Link when set; this field is
not applicable and reserved for endpoint devices and Upstream
Ports of a Switch.
Default value of this field is 0.
RW
5Retrain Link –This bit initiates Link retraining when set; this
field is not applicable and reserved for endpoint devices and
Upstream Ports of a Switch.
This bit always returns 0 when read.
RW
6Common Clock Configuration – This bit when set indicates
that this component and the component at the opposite end of
this Link are operating with a distributed common reference
clock.
A value of 0 indicates that this component and the component at
the opposite end of this Link are operating with asynchronous
reference clock.
Components utilize this common clock configuration information
to report the correct L0s and L1 Exit Latencies.
Default value of this field is 0.
RW

PCI EXPRESS BASE SPECIFICATION, REV. 1.0
250
5.8.8. Link Status Register (Offset 12h)
The Link Status register provides information about PCI Express Link specific parameters.
Figure 5-18 details allocation of register fields in the Link Status register; Table 5-16 provides
the respective bit definitions.
RsvdZ
90
4
Slot Clock
Configuration
Link Training
Link Training Error
15 310
Link SpeedNegotiated Link Width
1113 12
Figure 5-18: Link Status Register
Table 5-16: Link Status Register
Bit Location Register Description Attributes
3:0 Link Speed –This field indicates the negotiated Link speed of
the given PCI Express Link. Defined encodings are:
0001b 2.5 Gb/s PCI Express Link
All other encodings are reserved.
RO
9:4 Negotiated Link Width –This field indicates the negotiated
width of the given PCI Express Link. Defined encodings are:
000001b X1
000010b X2
000100b X4
001000b X8
001100b X12
010000b X16
100000b X32
All other encodings are reserved.
RO
10 Link Training Error –This read-only bit indicates that a Link
training error occurred. RO
11 Link Training – This read-only bit indicates that Link training is
in progress; hardware clears this bit once Link training is
complete.
RO

PCI EXPRESS BASE SPECIFICATION, REV. 1.0
251
Bit Location Register Description Attributes
12 Slot Clock Configuration – This bit indicates that the
component uses the same physical reference clock that the
platform provides on the connector. If the device uses an
independent clock irrespective of the presence of a reference on
the connector, this bit must be clear.
RO
5.8.9. Slot Capabilities Register (Offset 14h)
The Slot Capabilities register identifies PCI Express Slot specific capabilities. Figure 5-19
details allocation of register fields in the Slot Capabilities register; Table 5-17 provides the
respective bit definitions.
Slot Power Scale
Slot Power Value
Hot-Plug Capable
Hot-Plug Surprise
Power Indicator Present
Attention Indicator Present
MRL Sensor Present
Power Controller Present
Attention Button Present
RsvdP
6270354 12122
31
Physical Slot Number
14151617
Figure 5-19: Slot Capabilities Register
Table 5-17: Slot Capabilities Register
Bit Location Register Description Attributes
0Attention Button Present –This bit when set indicates that an
Attention Button is implemented on the chassis for this slot. HwInit
1Power Controller Present –This bit when set indicates that a
Power Controller is implemented for this slot. HwInit
2MRL Sensor Present –This bit when set indicates that an MRL
Sensor is implemented on the chassis for this slot. HwInit
3Attention Indicator Present –This bit when set indicates that
an Attention Indicator is implemented on the chassis for this slot. HwInit
4Power Indicator Present –This bit when set indicates that a
Power Indicator is implemented on the chassis for this slot. HwInit
5Hot-plug Surprise –This bit when set indicates that a device
present in this slot might be removed from the system without
any prior notification.
HwInit

PCI EXPRESS BASE SPECIFICATION, REV. 1.0
252
6Hot-plug Capable –This bit when set indicates that this slot is
capable of supporting Hot-plug operations. HwInit
14:7 Slot Power Limit Value –In combination with the Slot Power
Limit Scale value, specifies the upper limit on power supplied by
slot.
Power limit (in Watts) calculated by multiplying the value in this
field by the value in the Slot Power Limit Scale field.
This register must be implemented if the Slot Implemented bit is
set.
The default value is 0000 0000b.
HwInit
16:15 Slot Power Limit Scale – Specifies the scale used for the Slot
Power Limit Value.
Range of Values
00b = 1.0x (25.5-255)
01b = 0.1x (2.55-25.5)
10b = 0.01x (0.255-2.55)
11b = 0.001x (0.0-0.255)
This register must be implemented if the Slot Implemented bit is
set.
The default value is all 00b.
HwInit
31:22 Physical Slot Number –This hardware initialized field indicates
the physical slot number attached to this Port. This field must be
hardware initialized to a value that assigns a slot number that is
globally unique within the chassis. These registers should be
initialized to 0 for ports connected to devices that are either
integrated on the motherboard or integrated within the same
silicon as the Switch device or Root Port.
HwInit

PCI EXPRESS BASE SPECIFICATION, REV. 1.0
253
5.8.10. Slot Control Register (Offset 18h)
The Slot Control register controls PCI Express Slot specific parameters. Figure 5-20 details
allocation of register fields in the Slot Control register; Table 5-18 provides the respective bit
definitions.
Power Controller Control
Power Indicator Control
Attention Indicator Control
Hot-plug Interrupt Enable
Command Completed Interrupt Enable
RsvdP
6 270351
Attention Button Pressed Enable
Power Fault Detected Enable
MRL Sensor Changed Enable
Presence Detect Changed Enable
4
15 810 9
11
Figure 5-20: Slot Control Register
Table 5-18: Slot Control Register
Bit Location Register Description Attributes
0Attention Button Pressed Enable – This bit when set enables
the generation of hot plug interrupt or wake message on an
attention button pressed event.
Default value of this field is 0.
RW
1Power Fault Detected Enable – This bit when set enables the
generation of hot plug interrupt or wake message on a power
fault event.
Default value of this field is 0.
RW
2MRL Sensor Changed Enable – This bit when set enables the
generation of hot plug interrupt or wake message on a MRL
sensor changed event.
Default value of this field is 0.
RW
3Presence Detect Changed Enable – This bit when set enables
the generation of hot plug interrupt or wake message on a
presence detect changed event.
Default value of this field is 0.
RW
4Command Completed Interrupt Enable – This bit when set
enables the generation of hot plug interrupt when a command is
completed by the Hot plug controller.
Default value of this field is 0.
RW
5Hot plug Interrupt Enable – This bit when set enables
generation of hot plug interrupt on enabled hot plug events.
Default value of this field is 0.
RW

PCI EXPRESS BASE SPECIFICATION, REV. 1.0
254
Bit Location Register Description Attributes
7:6 Attention Indicator Control –Reads to this register return the
current state of the Attention Indicator; writes to this register set
the Attention Indicator. Defined encodings are:
00b Reserved
01b On
10b Blink
11b Off
Write to this register causes the Port to send the appropriate
ATTENTION_INDICATOR_* messages.
RW
9:8 Power Indicator Control –Reads to this register return the
current state of the Power Indicator; writes to this register set the
Power Indicator. Defined encodings are:
00b Reserved
01b On
10b Blink
11b Off
Writes to this register causes the Port to send the appropriate
POWER_INDICATOR_* messages.
RW
10 Power Controller Control –When read this register returns the
current state of the Power applied to the slot; when written sets
the power state of the slot per the defined encodings.
0b Power On
1b Power Off
RW

PCI EXPRESS BASE SPECIFICATION, REV. 1.0
255
5.8.11. Slot Status Register (Offset 1Ah)
The Slot Status register provides information about PCI Express Slot specific parameters.
Figure 5-21 details allocation of register fields in the Slot Status register; Table 5-19 provides
the respective bit definitions.
Presence Detect State
MRL Sensor State
Command Completed
Presence Detect Changed
MRL Sensor Changed
Power Fault Detected
AttentionButtonPressed
RsvdZ
6203514
15 7
Figure 5-21: Slot Status Register
Table 5-19: Slot Status Register
Bit Location Register Description Attributes
0Attention Button Pressed–This bit is set when the attention
button is pressed.
Default value of this field is 0.
RW1C
1Power Fault Detected –This bit is set when the Power
Controller detects a power fault at this slot.
Default value of this field is 0.
RW1C
2MRL Sensor Changed –This bit is set when a MRL Sensor
state change is detected.
Default value of this field is 0.
RW1C
3Presence Detect Changed –This bit is set when a Presence
Detect change is detected.
Default value of this field is 0.
RW1C
4Command Completed – This bit is set when the hot plug
controller completes an issued command.
Default value of this field is 0.
RW1C
5MRL Sensor State – This register reports the status of the MRL
sensor if it is implemented. Defined encodings are:
0b MRL Closed
1b MRL Open
RO

PCI EXPRESS BASE SPECIFICATION, REV. 1.0
256
Bit Location Register Description Attributes
6Presence Detect State –This bit indicates the presence of a
card in the slot. This bit reflects the status of the Presence
Detect pin as defined in the PCI Express Card
Electromechanical Specification. Defined encodings are:
0b Slot Empty
1b Card Present in slot
This register is required to be implemented on all Switch
Downstream Ports and Root Ports. The Presence Detect State
field for Switch Downstream Ports or Root Ports not connected
to any slots should be hardwired to 1. This register is required if
a slot is implemented.
RO
5.8.12. Root Control Register (Offset 1Ch)
The Root Control register controls PCI Express Root Complex specific parameters.
Figure 5-22 details allocation of register fields in the Root Control register; Table 5-20
provides the respective bit definitions.
PME Interrupt Enable
System Error on Fatal Error Enable
System Error on Non-Fatal Error Enable
System Error on Correctable Error Enable
RsvdP
203 14
15
Figure 5-22: Root Control Register

PCI EXPRESS BASE SPECIFICATION, REV. 1.0
257
Table 5-20: Root Control Register
Bit Location Register Description Attributes
0System Error on Correctable Error Enable –This bit controls
the Root Complex’s response to correctable errors. If set it
indicates that a System Error should be generated if a
correctable error is reported by any of the devices in the
hierarchy associated with this Root Port.
RW
1System Error on Non-Fatal Error Enable –This bit controls
the Root Complex’s response to non-fatal errors. If set it
indicates that a System Error should be generated if a non-fatal
error is reported by any of the devices in the hierarchy
associated with this Root Port.
RW
2System Error on Fatal Error Enable –This bit controls the
Root Complex’s response to fatal errors. If set it indicates that a
System Error should be generated if a fatal error is reported by
any of the devices in the hierarchy associated with this Root
Port.
RW
3PME Interrupt Enable –This bit when set enables interrupt
generation upon receipt of a PME message as reflected in the
PME Status register bit (see Table 5-21). A PME interrupt is
also generated if the PME Status register bit is set when this bit
is set from a cleared state.
Default value of this field is 0.
RW
5.8.13. Root Status Register (Offset 20h)
The Root Status register provides information about PCI Express device specific
parameters. Figure 5-23 details allocation of register fields in the Root Status register; Table
5-21 provides the respective bit definitions.
PME Pending
PME Status
RsvdZ
01617 15
31
PME Requestor ID
Figure 5-23: Root Status Register

PCI EXPRESS BASE SPECIFICATION, REV. 1.0
258
Table 5-21: Root Status Register
Bit Location Register Description Attributes
15:0 PME Requestor ID –This field indicates the PCI requestor ID of
the last PME requestor. RO
16 PME Status –This bit indicates that PME was asserted by the
requestor ID indicated in the PME Requestor ID field.
Subsequent PMEs are kept pending until the status register is
cleared by software by writing a 1.
RW1C
17 PME Pending –This read-only bit indicates that another PME is
pending when the PME Status bit is set. When the PME Status
bit is cleared by software; the PME is delivered by hardware by
setting the PME Status bit again and updating the Requestor ID
appropriately. The PME pending bit is cleared by hardware if no
more PMEs are pending.
RO
5.9. PCI Express Extended Capabilities
PCI Express Extended Capability registers are located in device configuration space at
offsets 256 or greater as shown in Figure 5-24 or in the Root Complex Register Block
(RCRB). These registers when located in the device configuration space are accessible using
only the PCI Express extended configuration space flat memory-mapped access mechanism.
PCI Express Extended Capability structures are allocated using a linked list of optional or
required PCI Express Extended Capabilities following a format resembling PCI capability
structures. The first DWORD of the capability structure identifies the capability/version
and points to the next capability as shown in Figure 5-24.
OM14302
FFFh
FFh
0
PCI Express extended capabilities start
at base of extended configuration region
PCI Express Extended Capability
PCI Express Extended
Configuration Space
PCI Configuration
Space
PCI Express
Capability ID
Capability
Data
15:0 Capability ID
19:16 Capability Version Number
31:20 Next Capability Offset (0x0 based)
Length implied by CAP ID/Version Number
Figure 5-24: PCI Express Extended Configuration Space Layout

PCI EXPRESS BASE SPECIFICATION, REV. 1.0
259
5.9.1. Extended Capabilities in Configuration Space
Extended Capabilities in device configuration space always begin at offset 100h with a PCI
Express Enhanced Capability Header (Section 5.9.3). Absence of any Extended Capabilities
is required to be indicated by an Enhanced Capability Header with a Capability ID of FFFFh
and a Next Capability Offset of 0h.
5.9.2. Extended Capabilities in the Root Complex Register
Block
Extended Capabilities in a Root Complex Register Block always begin at offset 0h with a
PCI Express Enhanced Capability Header (Section 5.9.3). Absence of any Extended
Capabilities is required to be indicated by an Enhanced Capability Header with a Capability
ID of FFFFh and a Next Capability Offset of 0h.
5.9.3. PCI Express Enhanced Capability Header
All PCI Express extended capabilities must begin with a PCI Express Enhanced Capability
Header.
Capability Version
31
Next Capability Offset
15 0161920
3GIO Extended Capability ID
Figure 5-25: PCI Express Enhanced Capability Header
Table 5-22: PCI Express Enhanced Capability Header
Bit
Location Description Register
Attribute
15:0 PCI Express Extended Capability ID –This field is
a PCI-SIG defined ID number that indicates the
nature and format of the extended capability.
RO
19:16 Capability Version –This field is a PCI-SIG
defined version number that indicates the version of
the capability structure present.
RO
31:20 Next Capability Offset –This field contains the
offset to the next PCI Express capability structure or
000h if no other items exist in the linked list of
capabilities.
For Extended Capabilities implemented in device
configuration space, this offset is relative to the
beginning of PCI compatible configuration space
and thus must always be either 000h (for
terminating list of capabilities) or greater than 0FFh.
RO

PCI EXPRESS BASE SPECIFICATION, REV. 1.0
260
5.10. Advanced Error Reporting Capability
The PCI Express Advanced Error Reporting capability is an optional extended capability
that may be implemented by PCI Express devices supporting advanced error control and
reporting. The Advanced Error Reporting capability structure definition has additional
interpretation for Root Ports; software must interpret the PCI Express device/Port Type
field (Section 5.8.1) in the PCI Express Capability Structure to determine the availability of
additional registers for Root Ports.
Figure 5-26 shows the PCI Express Advanced Error Reporting Capability Structure.
Note that if an error reporting bit field is marked as optional in the error registers, the bits
must be implemented or not implemented as a group across the Status, Mask and Severity
registers. In other words, a device is required to implement the same error bit fields in
corresponding Status, Mask and Severity registers. Bits corresponding to bit fields that are
not implemented must be hardwired to 0.
3GIO Enhanced Capability Header
Uncorrectable Error Status Register
Uncorrectable Error Mask Register
Uncorrectable Error Severity Register
Correctable Error Status Register
Correctable Error Mask Register
Advanced Error Capabilities Register
Header Log Register
Root Error Command
Root Error Status
Error Source
Identification Register
031
Byte
Offset
00h
04h
08h
0Ch
10h
14h
18h
1Ch
2Ch
30h
34h
Correctable Error Source
Identification Register
Only
Valid for
Root
Ports
Figure 5-26: PCI Express Advanced Error Reporting Extended Capability Structure

PCI EXPRESS BASE SPECIFICATION, REV. 1.0
261
5.10.1. Advanced Error Reporting Enhanced Capability
Header (Offset 00h)
See Section 5.9.3 for a description of the PCI Express Enhanced Capability Header. The
Extended Capability ID for the Advanced Error Reporting Capability is 0001h.
Capability Version
31
Next Capability Offset
15 0161920
3GIO Extended Capability ID
Figure 5-27: Advanced Error Reporting Enhanced Capability Header
Table 5-23: Advanced Error Reporting Enhanced Capability Header
Bit
Location Description Register
Attribute
15:0 PCI Express Extended Capability ID –This field is
a PCI-SIG defined ID number that indicates the
nature and format of the extended capability.
Extended Capability ID for the Advanced Error
Reporting Capability is 0001h.
RO
19:16 Capability Version –This field is a PCI-SIG
defined version number that indicates the version of
the capability structure present.
Must be 1h for this version of the specification.
RO
31:20 Next Capability Offset –This field contains the
offset to the next PCI Express capability structure or
000h if no other items exist in the linked list of
capabilities.
For Extended Capabilities implemented in device
configuration space, this offset is relative to the
beginning of PCI compatible configuration space
and thus must always be either 000h (for
terminating list of capabilities) or greater than 0FFh.
RO

PCI EXPRESS BASE SPECIFICATION, REV. 1.0
262
5.10.2. Uncorrectable Error Status Register (Offset 04h)
19 ECRC Error Status
18 Malformed TLP Status
17 Received Overflow Status
16 Unexpected Completion Status
15 Completer Abort Status
14 Completion Timeout Status
13 Flow Control Protocol Error Status
12 Poisoned TLP Status
31
RsvdZ
141516 117 13 0418 1211
0 Training Error Status
4DataLinkProtocolError
Status
3
RsvdZ
19
RsvdZ
520
Figure 5-28: Uncorrectable Error Status Register
The Uncorrectable Error Status register reports error status of individual error sources on a
PCI Express device. An individual error status bit that is set indicates that a particular error
occurred; software may clear an error status by writing a 1 to the respective bit. Refer to
Section 7.2 for further details.
Table 5-24: Uncorrectable Error Status Register
Bit
Location Description Register
Attribute Default
Value
0Training Error Status (Optional) RW1CS 0
4Data Link Protocol Error Status RW1CS 0
12 Poisoned TLP Status RW1CS 0
13 Flow Control Protocol Error Status (Optional) RW1CS 0
14 Completion Timeout Status RW1CS 0
15 Completer Abort Status (Optional) RW1CS 0
16 Unexpected Completion Status RW1CS 0
17 Receiver Overflow Status (Optional) RW1CS 0
18 Malformed TLP Status RW1CS 0
19 ECRC Error Status (Optional) RW1CS 0

PCI EXPRESS BASE SPECIFICATION, REV. 1.0
263
5.10.3. Uncorrectable Error Mask Register (Offset 08h)
19 ECRC Error Mask
18 Malformed TLP Mask
17 Received Overflow Mask
16 Unexpected Completion Mask
15 Completer Abort Mask
14 Completion Timeout Mask
13 Flow Control Protocol Error Mask
12 Poisoned TLP Mask
31
RsvdP
141516 117 13 0418 1211
0 Training Error Mask
4 Data Link Protocol Error Mask
3
RsvdP
19
RsvdP
520
Figure 5-29: Uncorrectable Error Mask Register
The Uncorrectable Error Mask register controls reporting of individual errors by device to
the PCI Express Root Complex via a PCI Express error message. A masked error
(respective bit set in mask register) is not reported to the PCI Express Root Complex by an
individual device. Refer to Section 7.2 for further details. There is a mask bit per bit of the
Uncorrectable Error Status register.
Table 5-25: Uncorrectable Error Mask Register
Bit
Location Description Register
Attribute Default
Value
0Training Error Mask (Optional) RWS 0
4Data Link Protocol Error Mask RWS 0
12 Poisoned TLP Mask RWS 0
13 Flow Control Protocol Error Mask (Optional) RWS 0
14 Completion Timeout Mask RWS 0
15 Completer Abort Mask (Optional) RWS 0
16 Unexpected Completion Mask RWS 0
17 Receiver Overflow Mask (Optional) RWS 0
18 Malformed TLP Mask RWS 0
19 ECRC Error Mask (Optional) RWS 0

PCI EXPRESS BASE SPECIFICATION, REV. 1.0
264
5.10.4. Uncorrectable Error Severity Register (Offset 0Ch)
19 ECRC Error Severity
18 Malformed TLP Severity
17 Received Overflow Severity
16 Unexpected Completion Severity
15 Completer Abort Severity
14 Completion Timeout Severity
13 Flow Control Protocol Error Severity
12 Poisoned TLP Severity
31
RsvdP
141516 117 13 0418 12 11
0 Training Error Severity
4 Data Link Protocol Error
Severity
3
RsvdP
19
RsvdP
520
Figure 5-30: Uncorrectable Error Severity Register
The Uncorrectable Error Severity register controls whether an individual error is reported as
a non-fatal or fatal error. An error is reported as fatal when the corresponding error bit in
the severity register is set. If the bit is cleared, the corresponding error is considered non-
fatal. Refer to Section 7.2 for further details.
Table 5-26: Uncorrectable Error Severity Register
Bit
Location Description Register
Attribute Default
Value
0Training Error Severity (Optional) RWS 1
4Data Link Protocol Error Severity RWS 1
12 Poisoned TLP Severity RWS 0
13 Flow Control Protocol Error Severity (Optional) RWS 0
14 Completion Timeout Error Severity RWS 0
15 Completer Abort Error Severity (Optional) RWS 0
16 Unexpected Completion Error Severity RWS 0
17 Receiver Overflow Error Severity (Optional) RWS 1
18 Malformed TLP Severity RWS 1
19 ECRC Error Severity (Optional) RWS 0

PCI EXPRESS BASE SPECIFICATION, REV. 1.0
265
5.10.5. Correctable Error Status Register (Offset 10h)
12 Replay Timer Timeout Status
9:11 RsvdZ
8 REPLAY_NUM Rollover Status
7 Bad DLLPStatus
31
RsvdZ
912 180576
0 Receiver Error Status
6 Bad TLP Status
RsvdZ
11
Figure 5-31: Correctable Error Status Register
The Correctable Error Status register reports error status of individual correctable error
sources on a PCI Express device. When an individual error status bit is set, it indicates that
a particular error occurred; software may clear an error status by writing a 1 to the respective
bit. Refer to Section 7.2 for further details.
Table 5-27: Correctable Error Status Register
Bit
Location Description Register
Attribute Default
Value
0Receiver Error Status (Optional) RW1CS 0
6Bad TLP Status RW1CS 0
7Bad DLLP Status RW1CS 0
8REPLAY_NUM Rollover Status RW1CS 0
12 Replay Timer Timeout Status RW1CS 0
5.10.6. Correctable Error Mask (Offset 14h)
12 Replay Timer Timeout Mask
9:11 RsvdZ
8 REPLAY_NUM Rollover Mask
7 Bad DLLPMask
31
RsvdP
912 180576
0 Receiver Error Mask
6 Bad TLP Mask
RsvdP
11
Figure 5-32: Correctable Error Mask Register
The Correctable Error Mask register controls reporting of individual correctable errors by
device to the PCI Express Root Complex via a PCI Express error message. A masked error
(respective bit set in mask register) is not reported to the PCI Express Root Complex by an

PCI EXPRESS BASE SPECIFICATION, REV. 1.0
266
individual device. Refer to Section 7.2 for further details. There is a mask bit per bit in the
Correctable Error Status register.
Table 5-28: Correctable Error Mask Register
Bit
Location Description Register
Attribute Default
Value
0Receiver Error Mask (Optional) RWS 0
6Bad TLP Mask RWS 0
7Bad DLLP Mask RWS 0
8REPLAY_NUM Rollover Mask RWS 0
12 Replay Timer Timeout Mask RWS 0
5.10.7. Advanced Error Capabilities and Control Register
(Offset 18h)
RsvdP
031
First Error
Pointer
45
ECRC Check Enable
ECRC Check Capable
ECRC Generation Enable
ECRC Generation Capable
6789
Figure 5-33: Advanced Error Capabilities and Control Register
Figure 5-33 details allocation of register fields in the Advanced Error Capabilities and
Control register; Table 5-29 provides the respective bit definitions. Handling of multiple
errors is discussed in Section 7.2.4.2.
Table 5-29: Advanced Error Capabilities Register
Bit
Location Description Register
Attribute
4:0 First Error Pointer - The First Error Pointer is a
read-only register that identifies the bit position of
the first error reported in the Uncorrectable Error
Status register. Refer to Section 7.2 for further
details
ROS
5ECRC Generation Capable – This bit indicates that
the device is capable of generating ECRC (see
Section 2.10).
RO
6ECRC Generation Enable – This bit when set
enables ECRC generation (see Section 2.10). RWS

PCI EXPRESS BASE SPECIFICATION, REV. 1.0
267
Bit
Location Description Register
Attribute
Default value of this field is 0.
7ECRC Check Capable – This bit indicates that the
device is capable of checking ECRC (see
Section 2.10).
RO
8ECRC Check Enable – This bit when set enables
ECRC checking (see Section 2.10).
Default value of this field is 0.
RWS
5.10.8. Header Log Register (Offset 1Ch)
The header log register captures the header for the transaction that generated an error; refer
to Section 7.2 for further details. Section 7.2 also enumerates the conditions where the
packet header is logged. This register is 16 bytes and adheres to the format of the headers
defined throughout this specification.
Header Log Register
0127
Figure 5-34: Header Log Register
Table 5-30: Header Log Register
Bit
Location Description Register
Attribute Default
Value
127:0 Header of TLP associated with error ROS 0

PCI EXPRESS BASE SPECIFICATION, REV. 1.0
268
5.10.9. Root Error Command Register (Offset 2Ch)
2 Fatal Error Reporting Enable
1 Non-Fatal Error Reporting Enable
0 Correctable Error Reporting Enable
31
RsvdP
1023
Figure 5-35: Root Error Command Register
The Root Error Command register allows finer control of root complex response to
Correctable, Non-Fatal and Fatal error messages than the basic root complex capability to
generate system errors in response to error messages. Bit fields enable/disable generation of
interrupts (claimed by the Root Port) in addition to system error messages according to the
definitions in Table 5-31.
Table 5-31: Root Error Command Register
Bit
Location Description Register
Attribute Default
Value
0Correctable Error Reporting Enable –When set
this bit enables the generation of an interrupt when
a correctable error is reported by any of the devices
in the hierarchy associated with this Root Port.
Refer to Section 7.2 for further details.
RW 0
1Non-Fatal Error Reporting Enable –When set this
bit enables the generation of an interrupt when a
non-fatal error is reported by any of the devices in
the hierarchy associated with this Root Port. Refer
to Section 7.2 for further details.
RW 0
2Fatal Error Reporting Enable –When set this bit
enables the generation of an interrupt when a fatal
error is reported by any of the devices in the
hierarchy associated with this Root Port. Refer to
Section 7.2 for further details.
RW 0
System error generation in response to PCI Express error messages may be turned off by
system software using the PCI Express Capability Structure described in Section 5.8 when
advanced error reporting via interrupts is enabled. Refer to Section 7.2 for further details.

PCI EXPRESS BASE SPECIFICATION, REV. 1.0
269
5.10.10. Root Error Status Register (Offset 30h)
3 Next Uncorrectable Error Detected
2 First Uncorrectable Error Detected
1 Next Correctable Error Detected
0 First Correctable Error Detected
31
RsvdZ
10234
MSI #
27 26
Figure 5-36: Root Error Status Register
The Root Error Status register reports status of errors received by the root complex. Each
correctable and uncorrectable (non-fatal and fatal) error source has a first error bit and a
next error bit associated with it respectively. When an error is received by a root complex,
the respective first error bit is set and the Requestor ID is logged in the Error Source
Identification register. A set individual error status bit indicates that a particular error
occurred; software may clear an error status by writing a 1 to the respective bit. If software
does not clear the first reported error before another error message is received, the next
error status bit will be set but the Requestor ID of the subsequent error message is
discarded. The next error status bits may be cleared by software by writing a 1 to the
respective bit as well. Refer to Section 7.2 for further details.
Table 5-32: Root Error Status Register
Bit
Location Description Register
Attribute
0First Correctable Error Detected –Set when a
correctable error is received and First Correctable
Error Detected is not already set.
Default value of this field is 0.
RW1CS
1Next Correctable Error Detected –Set when a
correctable error is received and First Correctable
Error Detected is already set. This indicates that
one or more error message requestor IDs were lost.
Default value of this field is 0.
RW1CS
2First Uncorrectable Error Detected –Set when
either a fatal or a non-fatal error is received and
First Uncorrectable Error Detected is not already
set.
Default value of this field is 0.
RW1CS

PCI EXPRESS BASE SPECIFICATION, REV. 1.0
270
Bit
Location Description Register
Attribute
3Next Uncorrectable Error Detected –Set when
either a fatal or a non-fatal error is received and
First Uncorrectable Error Detected is already set.
This indicates that one or more error message
requestor IDs were lost.
Default value of this field is 0.
RW1CS
31:27 Advanced Error Interrupt Message Number – If
this function is allocated more than one MSI
interrupt number, this register is required to contain
the offset between the base Message Data and the
MSI Message that is generated when any of status
bits of this capability are set.
Hardware is required to update this field so that it is
correct if the number of MSI Messages assigned to
the device changes.
RO
5.10.11. Error Source Identification Register (Offset 34h)
Uncorrectable Error Source
Identification Register
031
Correctable Error Source
Identification Register
16 15
Figure 5-37: Error Source Identification Register
The Error Source identification register identifies the source (Requestor ID) of first
correctable and non-fatal/fatal errors reported in the Root Error Status register. Refer to
Section 7.2 for further details.
Table 5-33: Error Source Identification Register
Bit
Location Description Register
Attribute
15:0 Correctable Error Source Identification –Set with
the Requestor ID of the source when a correctable
error is received and First Correctable Error
Detected is not already set.
Default value of this field is 0.
ROS
31:16 Uncorrectable Error Source Identification –Set
with the Requestor ID of the source when a non-
fatal/fatal error is received and the First
Uncorrectable Error Detected is not already set.
Default value of this field is 0.
ROS

PCI EXPRESS BASE SPECIFICATION, REV. 1.0
271
5.11. Virtual Channel Capability
The PCI Express Virtual Channel capability is an optional extended capability that is
required to be implemented by PCI Express ports of devices that support PCI Express
functionality beyond the general purpose IO traffic, i.e. the default Traffic Class 0 (TC0)
over the default Virtual Channel 0 (VC0). This may apply to devices with only one VC that
support TC filtering or to devices that support multiple VCs. Note that a PCI Express
device that supports only TC0 over VC0 does not require VC extended capability and
associated registers. Figure 5-38 provides a high level view of the PCI Express Virtual
Channel Capability Structure for all devices. This structure controls Virtual Channel
assignment for PCI Express links and may be present in Endpoint devices, Switch ports
(Upstream and Downstream), Root Ports and RCRB. Some registers/fields in the PCI
Express Virtual Channel Capability Structure may have different interpretation for Endpoint
devices, Switch ports, Root Ports and RCRB. Software must interpret the PCI Express
device/Port Type field (Section 5.8.1) in the PCI Express Capability Structure to determine
the availability and meaning of these registers/fields.
The PCI Express Virtual Channel Capability Structure can be present in the Extended
Configuration Space of all devices or in RCRB with the restriction that it is only present in
the Extended Configuration Space of Function 0 for devices at their Upstream Ports.
31 16 15 0
Port VC Capability Register 1
Port VC Capability Register 2
Port VC Status Register Port VC Control Register
VC Resource Capability Register (0)
VC Resource Status Register (0) RsvdP
VC Resource Control Register (0)
VC Resource Capability Register(n)
VC Resource Status Register (n) RsvdP
VC Resource Control Register (n)
VC Arbitration Table
Port Arbitration Table (0)
Port Arbitration Table (n)
...
n*
(2:0)
VC Arb Table Offset
(31:24)
Port Arb Table Offset
(31:24)
Port Arb Table Offset
(31:24)
Byte Offset
00h
04h
08h
0Ch
10h
14h
18h
10h + n * 0Ch
14h + n * 0Ch
18h + n * 0Ch
VAT_Offset * 04h
PAT_Offset(0) *
04h
PAT_Offset(n) *
04h
3GIO Enhanced Capability Header
* n = Extended VC Count
Switch
ports,
Root
Ports
and
RCRB
All
Devices
Figure 5-38: PCI Express Virtual Channel Capability Structure

PCI EXPRESS BASE SPECIFICATION, REV. 1.0
272
The following registers/fields are defined for PCI Express Virtual Channel Capability
Structure.
5.11.1. Virtual Channel Enhanced Capability Header
See Section 5.9.3 for a description of the PCI Express Enhanced Capability Header. The
Extended Capability ID for the Virtual Channel Capability is 0002h.
Capability Version
31
Next Capability Offset
15 0161920
3GIO Extended Capability ID
Figure 5-39: Virtual Channel Enhanced Capability Header
Table 5-34: Virtual Channel Enhanced Capability Header
Bit
Location Description Register
Attribute
15:0 PCI Express Extended Capability ID –This field is
a PCI-SIG defined ID number that indicates the
nature and format of the extended capability.
Extended Capability ID for the Virtual Channel
Capability is 0002h.
RO
19:16 Capability Version –This field is a PCI-SIG
defined version number that indicates the version of
the capability structure present.
Must be 1h for this version of the specification.
RO
31:20 Next Capability Offset –This field contains the
offset to the next PCI Express capability structure or
000h if no other items exist in the linked list of
capabilities.
For Extended Capabilities implemented in device
configuration space, this offset is relative to the
beginning of PCI compatible configuration space
and thus must always be either 000h (for
terminating list of capabilities) or greater than 0FFh.
RO

PCI EXPRESS BASE SPECIFICATION, REV. 1.0
273
5.11.2. Port VC Capability Register 1
The Port VC Capability Register 1 describes the configuration of the Virtual Channels
associated with a PCI Express port. Figure 5-40 details allocation of register fields in the
Port VC Capability Register 1; Table 5-35 provides the respective bit definitions.
Port Arbitration Table Entry Size
Reference Clock
RsvdP
Low Priority Extended VC Count
RsvdP
Extended VC Count
09876 43 2101131 12
RsvdP
Figure 5-40: Port VC Capability Register 1
Table 5-35: Port VC Capability Register 1
Bit Location Description Attribute
2:0 Extended VC Count –Indicates the number of (extended) Virtual
Channels in addition to the default VC supported by the device. This
field is valid for all devices.
The minimum value of this field is 0 (for devices that only support the
default VC). The maximum value is 7.
RO
6:4 Low Priority Extended VC Count –Indicates the number of (extended)
Virtual Channels in addition to the default VC belonging to the low-
priority VC (LPVC) group that has the lowest priority with respect to
other VC resources in a strict-priority VC Arbitration. This field is valid
for all devices.
The minimum value of this field is 0 and the maximum value is
Extended VC Count.
RO

PCI EXPRESS BASE SPECIFICATION, REV. 1.0
274
Bit Location Description Attribute
9:8 Reference Clock –Indicates the reference clock for Virtual Channels
that support time-based WRR Port Arbitration. This field is valid only
for RCRB and Switch Upstream Ports. This field is not valid and must
be set to 0 for Endpoint devices, Root Ports or Switch Downstream
Ports. Defined encodings are:
00b 100 ns reference clock
01b –11b Reserved
Note: Time-based WRR Port Arbitration can be supported by multiple
Switch ports when they serve as egress for peer-to-peer traffic.
However, only the Upstream Port of a Switch contains valid
Reference Clock.
RO
11:10 Port Arbitration Table Entry Size –Indicates the size (in bits) of Port
Arbitration table entry in the device. This field is valid only for RCRB
and Switch Upstream Ports. It is not valid and must be set to 0 for
Endpoint devices, Root Ports or Switch Downstream Ports. Defined
encodings are:
00b The size of Port Arbitration table entry is 1 bit
01b The size of Port Arbitration table entry is 2 bits
10b The size of Port Arbitration table entry is 4 bits
11b The size of Port Arbitration table entry is 8 bits
RO

PCI EXPRESS BASE SPECIFICATION, REV. 1.0
275
5.11.3. Port VC Capability Register 2
The Port VC Capability Register 2 provides further information about the configuration of
the Virtual Channels associated with a PCI Express port. Figure 5-41 details allocation of
register fields in the Port VC Capability Register 2; Table 5-36 provides the respective bit
definitions.
08731 23
RsvdP
24
VC Arbitration
Capability
VC Arbitration
Table Offset
Figure 5-41: Port VC Capability Register 2
Table 5-36: Port VC Capability Register 2
Bit
Location Description Attribute
7:0 VC Arbitration Capability – Indicates the types of VC Arbitration
supported by the device for the LPVC group. This field is valid
for all devices that report a Low Priority Extended VC Count
greater than 0.
Each bit location within this field corresponds to a VC Arbitration
capability defined below. When more than one bit in this field is
set, it indicates that the port can be configured to provide different
VC arbitration services. Defined bit positions are:
Bit 0 Hardware fixed Round-Robin (RR) or RR-
like arbitration scheme
Bit 1 Weighted Round Robin (WRR) arbitration
with 32 phases
Bit 2 WRR arbitration with 64 phases
Bit 3 WRR arbitration with 128 phases
Bits 4-7 Reserved
RO
31:24 VC Arbitration Table Offset –Indicates the location of the VC
Arbitration Table. This field is valid for all devices.
This field contains the zero-based offset of the table in
DQWORDS (16 bytes) from the base address of the Virtual
Channel Capability Structure. A value of 0 indicates that the
table is not present.
RO

PCI EXPRESS BASE SPECIFICATION, REV. 1.0
276
5.11.4. Port VC Control Register
Figure 5-42 details allocation of register fields in the Port VC Control Register; Table 5-37
provides the respective bit definitions.
0115
VC Arbitration Select
Load VC Arbitration Table
RsvdP
43
Figure 5-42: Port VC Control Register
Table 5-37: Port VC Control Register
Bit
Location Description Attribute
0Load VC Arbitration Table –Used for software to update the
VC Arbitration Table. This field is valid for all devices when the
VC Arbitration Table is used by the selected VC Arbitration.
Software sets this bit to request hardware to apply new values
programmed into VC Arbitration Table; clearing this bit has no
effect. Software checks the VC Arbitration Table Status field to
confirm that new values stored in the VC Arbitration Table are
latched by the VC arbitration logic.
This bit always returns 0 when read.
RW
3:1 VC Arbitration Select –Used for software to configure the VC
arbitration by selecting one of the supported VC Arbitration
schemes indicated by the VC Arbitration Capability field in the
Port VC Capability Register 2. This field is valid for all devices.
The value of this field is the number corresponding to one of the
asserted bits in the VC Arbitration Capability field.
This field can not be modified when more than one VC in the
LPVC group is enabled.
RW

PCI EXPRESS BASE SPECIFICATION, REV. 1.0
277
5.11.5. Port VC Status Register
The Port VC Status Register provides status of the configuration of Virtual Channels
associated with a port. Figure 5-43 details allocation of register fields in the Port VC Status
Register; Table 5-38 provides the respective bit definitions.
0115
VC Arbitration Table Status
RsvdZ
Figure 5-43: Port VC Status Register
Table 5-38: Port VC Status Register
Bit
Location Description Attribute
0VC Arbitration Table Status –Indicates the coherency status
of the VC Arbitration Table. This field is valid for all devices
when the VC Arbitration Table is used by the selected VC
Arbitration.
This bit is set by hardware when any entry of the VC Arbitration
Table is written by software. This bit is cleared by hardware
when hardware finishes loading values stored in the VC
Arbitration Table after software sets the Load VC Arbitration
Table field in the Port VC Control Register.
Default value of this field is 0.
RO
5.11.6. VC Resource Capability Register
The VC Resource Capability Register describes the capabilities and configuration of a
particular Virtual Channel resource. Figure 5-44 details allocation of register fields in the VC
Resource Capability Register; Table 5-39 provides the respective bit definitions.
0872331 1524
RsvdP
16
Port Arbitration
Capability
Port Arbitration
Table Offset Maximum Time
Slots
RsvdP
Snoop Transaction Permitted
1422
Figure 5-44: VC Resource Capability Register

PCI EXPRESS BASE SPECIFICATION, REV. 1.0
278
Table 5-39: VC Resource Capability Register
Bit
Location Description Attribute
7:0 Port Arbitration Capability –Indicates types of Port Arbitration
supported by the VC resource. This field is valid for all Switch
ports and RCRB, but not for PCI Express Endpoint devices or
Root Ports.
Each bit location within this field corresponds to a Port
Arbitration capability defined below. When more than one bit in
this field is set, it indicates that the VC resource can be
configured to provide different arbitration services.
Software selects among these capabilities by writing to the Port
Arbitration Select field (see below). Defined bit positions are:
Bit 0 Hardware fixed Round-Robin (RR) or RR-
like arbitration scheme
Bit 1 Weighted Round Robin (WRR) arbitration
with 32 phases
Bit 2 WRR arbitration with 64 phases
Bit 3 WRR arbitration with 128 phases
Bit 4 Time-based WRR with 128 phases
Bits 5-7 Reserved
RO
15 Snoop Transaction Permitted –Indicates if snoop transaction
is permitted over the VC resource. This field is valid only for
RCRB, but not for PCI Express Endpoint devices, Switch ports
or Root Ports.
When this field is set, it indicates that the Root Complex is able
to honor the "Snoop Not Required" Attribute field in the TLP
header and ensure cache coherency for the transactions over
the VC resource. When this field is set to 0, it indicates that the
Root Complex ignores the "Snoop Not Required" Attribute field
in the TLP header and does not perform Snoop operation for
transactions over the VC resource.
HwInit
22:16 Maximum Time Slots –Indicates the maximum number of time
slots (minus one) that the VC resource is capable of supporting
when it is configured for time-based WRR Port Arbitration. For
example, a value 0 in this field indicates the supported
maximum number of time slots is 1 and a value of 127 indicates
the supported maximum number of time slot is 128. This field is
valid for all Switch ports, Root Ports and RCRB, but not for PCI
Express Endpoint devices. In addition, this field is valid only
when Port Arbitration Capability indicates that the VC resource
supports time-based WRR Port Arbitration.
HwIniit

PCI EXPRESS BASE SPECIFICATION, REV. 1.0
279
31:24 Port Arbitration Table Offset –Indicates the location of the
Port Arbitration Table associated with the VC resource. This
field is valid for all Switch ports and RCRB, but not for PCI
Express Endpoint devices or Root Ports.
This field contains the zero-based offset of the table in
DQWORDS (16 bytes) from the base address of the Virtual
Channel Capability Structure. A value of 0 indicates that the
table is not present.
RO
5.11.7. VC Resource Control Register
Figure 5-45 details allocation of register fields in the VC Resource Control Register;
Table 5-40 provides the respective bit definitions.
Load Port Arbitration Table
Port Arbitration Select
VC ID
VC Enable
019 8 72030 27 26 232431 1517
RsvdP
16
TC/VC MapRsvdPRsvdP
Figure 5-45: VC Resource Control Register
Table 5-40: VC Resource Control Register
Bit
Location Description Attribute
7:0 TC/VC Map –This field indicates the TCs that are mapped to
the VC resource. This field is valid for all devices.
Bit locations within this field correspond to TC values. For
example, when bit 7 is set in this field, TC7 is mapped to this VC
resource. When more than one bit in this field is set, it indicates
that multiple TCs are mapped to the VC resource.
In order to remove one or more TCs from the TC/VC Map of an
enabled VC, software must ensure that no new or outstanding
transactions with the TC labels are targeted at the given Link.
Default value of this field is FFh for the first VC resource and is
00h for other VC resources.
Note:
Bit 0 of this field is read-only. It must be set by hardware ('hard-
wired') for the first VC resource (default VC) and cleared for
other VC resources when present.
RW
(see the note
for
exceptions)

PCI EXPRESS BASE SPECIFICATION, REV. 1.0
280
Bit
Location Description Attribute
16 Load Port Arbitration Table – This bit, when set, updates the
Port Arbitration logic from the Port Arbitration Table for the VC
resource. This field is valid for all Switch ports and RCRB, but
not for PCI Express Endpoint devices or Root Ports. In addition,
this field is only valid when the Port Arbitration Table is used by
the selected Port Arbitration scheme (that is indicated by a set
bit in the Port Arbitration Capability field selected by Port
Arbitration Select).
Software sets this bit to signal hardware to update Port
Arbitration logic with new values stored in Port Arbitration Table;
clearing this bit has no effect. Software uses the Port Arbitration
Table Status bit to confirm whether the new values of Port
Arbitration Table are completely latched by the arbitration logic.
This bit always returns 0 when read.
Default value of this field is 0.
RW
19:17 Port Arbitration Select – This field configures the VC resource
to provide a particular Port Arbitration service. This field is valid
only for RCRB, but not for PCI Express Endpoint devices,
Switch Ports or Root Ports.
Permissible value of this field is a number corresponding to one
of the asserted bits in the Port Arbitration Capability field of the
VC resource.
This field can not be modified when the VC is already enabled.
RW
26:24 VC ID –This field assigns a VC ID to the VC resource (see note
for exceptions). This field is valid for all devices.
This field can not be modified when the VC is already enabled.
Note:
For the first VC resource (default VC), this field is a read-only
field that must be set to 0 ('hard-wired').
RW

PCI EXPRESS BASE SPECIFICATION, REV. 1.0
281
Bit
Location Description Attribute
31 VC Enable – This field, when set, enables a Virtual Channel
(see note 1 for exceptions). The Virtual Channel is disabled
when this field is cleared. This field is valid for all devices.
Software must use the VC Negotiation Pending bit to check
whether the VC negotiation is complete. When VC Negotiation
Pending bit is cleared, a 1 read from this VC Enable bit indicates
that the VC is enabled (Flow Control Initialization is completed
for the PCI Express port); a 0 read from this bit indicates that the
Virtual Channel is currently disabled.
Default value of this field is 1 for the first VC resource and is 0
for other VC resource(s).
Notes
1. This bit is hardwired to 1 for the default VC (VC0), i.e.,
writing to this field has no effect for VC0.
2. To enable a Virtual Channel, the VC Enable bits for that
Virtual Channel must be set in both components on a Link.
3. To disable a Virtual Channel, the VC Enable bits for that
Virtual Channel must be cleared in both components on a
Link.
4. Software must ensure that no traffic is using a Virtual
Channel at the time it is disabled.
5. Software must fully disable a Virtual Channel in both
components on a Link before re-enabling the Virtual
Channel.
RW
5.11.8. VC Resource Status Register
Figure 5-46 details allocation of register fields in the VC Resource Status Register;
Table 5-41 provides the respective bit definitions.
0115
VC Negotiation Pending
rt Arbitration Table Status
RsvdZ
2
Figure 5-46: VC Resource Status Register

PCI EXPRESS BASE SPECIFICATION, REV. 1.0
282
Table 5-41: VC Resource Status Register
Bit
Location Description Attribute
0Port Arbitration Table Status –This bit indicates the
coherency status of the Port Arbitration Table associated with
the VC resource. This field is valid for RCRB, but not for PCI
Express Endpoint devices, Switch Ports or Root Ports. In
addition, this field is valid only when the Port Arbitration Table is
used by the selected Port Arbitration for the VC resource.
This bit is set by hardware when any entry of the Port Arbitration
Table is written to by software. This bit is cleared by hardware
when hardware finishes loading values stored in the Port
Arbitration Table after software sets the Load Port Arbitration
Table field.
Default value of this field is 0.
RO
1VC Negotiation Pending –This bit indicates whether the Virtual
Channel negotiation (initialization or disabling) is in pending
state. This field is valid for all devices.
When this bit is set by hardware, it indicates that the VC
resource is still in the process of negotiation. This bit is cleared
by hardware after the VC negotiation is complete. For a non-
default Virtual Channel, software may use this bit when enabling
or disabling the VC. For the default VC, this bit indicates the
status of the process of Flow Control initialization.
Before using a Virtual Channel, software must check whether
the VC Negotiation Pending fields for that Virtual Channel are
cleared in both components on a Link.
RO
5.11.9. VC Arbitration Table
The VC Arbitration Table is a read-write register array that is used to store the arbitration
table for VC Arbitration. This field is valid for all devices when a WRR table is used by the
selected VC Arbitration. If it exists, the VC Arbitration Table is located by the VC
Arbitration Table Offset field.
The VC Arbitration Table is a register array with fixed-size entries of 4 bits. Figure 5-47
depicts the table structure of an example VC Arbitration Table with 32-phases. Each 4-bit
table entry corresponds to a phase within a WRR arbitration period. The definition of table
entry is depicted in Table 5-42. The lower three bits (bit 0 to bit 2) contain the VC ID value,
indicating that the corresponding phase within the WRR arbitration period is assigned to the
Virtual Channel indicated by the VC ID.
A phase containing a VC ID that does not correspond to any enabled VCs is simply skipped
in the WRR arbitration.
The highest bit (bit 3) of the table entry is reserved. The length of the table depends on the
selected VC Arbitration as shown in Table 5-43.

PCI EXPRESS BASE SPECIFICATION, REV. 1.0
283
When the VC Arbitration Table is used by the default VC Arbitration method, the default
values of the table entries must be all zero to ensure forward progress for the default VC
(with VC ID of 0).
31 28 7 4 3 0 Byte Location
Phase[7] …………… Phase[1] Phase[0] 00h
Phase[15] …………… Phase[9] Phase[8] 04h
Phase[23] …………… Phase[17] Phase[16] 08h
Phase[31] ……
…
……
P
hase[25]
P
hase[24] 0Ch
Figure 5-47: Structure of an Example VC Arbitration Table with 32-Phases.
Table 5-42: Definition of the 4-bit Entries in the VC Arbitration Table
Bit
Location Description Attribute
2:0 VC ID RW
3 Reserved RW
Table 5-43 Length of the VC Arbitration Table
VC Arbitration Select VC Arbitration Table Length (in # of Entries)
001b 32
010b 64
011b 128
5.11.10. Port Arbitration Table
The Port Arbitration Table register is a read-write register array that is used to store the
WRR arbitration table for Port Arbitration for the VC resource. This register array is valid
for all Switch ports and RCRB, but not for Endpoint devices or Root Ports. It is only
present when one or more asserted bits in the Port Arbitration Capability field indicate that
the device supports a Port Arbitration scheme that uses a programmable arbitration table.
Furthermore, it is only valid when one of the above mentioned bits in the Port Arbitration
Capability field is selected by the Port Arbitration Select field.
The Port Arbitration Table represents one port arbitration period. Figure 5-48 shows the
structure of an example Port Arbitration Table with 128 phases and 2-bit table entries. Each
table entry containing a Port Number corresponds to a phase within a port arbitration
period. For example, a table with 2-bit entries can be used by a Switch component with up
to 4 ports. A Port Number written to a table entry indicates that the phase within the Port
Arbitration period is assigned to the selected PCI Express port.
• When the WRR Port Arbitration is used for a VC of any given port (as an Egress Port
for the traffic flow over the VC), a phase containing that port's Port Number is simply
skipped by the Port Arbiter.

PCI EXPRESS BASE SPECIFICATION, REV. 1.0
284
• When the Time-based WRR Port Arbitration is used for a VC of any given port, a phase
containing that port's Port Number indicates an 'idle' time-slot for the Port Arbiter.
The table entry size is determined by the Port Arbitration Table Entry Size field in the VC
Resource Capability Register 1. The length of the table is determined by the Port Arbitration
Select field as shown in Table 5-44.
When the Port Arbitration Table is used by the default Port Arbitration for the default VC,
the default values for the table entries must contain at least one entry for each of other PCI
Express ports of the device to ensure forward progress for the default VC for each port. The
table may contain RR or RR-like fair Port Arbitration for the default VC.
31 30 5 4 3 2 1 0
B
yte Location
Phase[15] …………… Phase[1] Phase[0] 00h
Phase[31] …………… Phase[17] Phase[16] 04h
08h
0Ch
10h
14h
Phase[111] …………… Phase[97] Phase[96] 18h
Phase[127] ………
…
…
P
hase[113] Phase[112] 1Ch
Figure 5-48: Example Port Arbitration Table with 128 Phases and 2-bit Table Entries
Table 5-44: Length of Port Arbitration Table
Port Arbitration Select Port Arbitration Table Length (in # of Entries)
001b 32
010b 64
011b 128
100b 128

PCI EXPRESS BASE SPECIFICATION, REV. 1.0
285
5.12. Device Serial Number Capability
The PCI Express Device Serial Number capability is an optional extended capability that
may be implemented by any PCI Express device. The Device Serial Number is a read-only
64-bit value that is unique for a given PCI Express device.
All multi-function devices that implement this capability must implement it for function 0;
other functions that implement this capability must return the same Device Serial Number
value as that reported by function 0.
A PCI Express multi-device component such as a PCI Express Switch that implements this
capability must return the same Device Serial Number for each device.
3GIO Enhanced Capability Header
Serial Number Register
031
Byte
Offset
00h
04h
08h
Figure 5-49: PCI Express Device Serial Number Capability Structure
5.12.1. Device Serial Number Enhanced Capability Header
(Offset 00h)
See Section 5.9.3 for a description of the PCI Express Enhanced Capability Header. The
Extended Capability ID for the Device Serial Number Capability is 0003h.
Capability Version
31
Next Capability Offset
15 0161920
3GIO Extended Capability ID
Figure 5-50: Device Serial Number Enhanced Capability Header
Table 5-45: Device Serial Number Enhanced Capability Header
Bit
Location Description Register
Attribute
15:0 PCI Express Extended Capability ID –This field is
a PCI-SIG defined ID number that indicates the
nature and format of the extended capability.
Extended Capability ID for the Device Serial
Number Capability is 0003h.
RO
19:16 Capability Version –This field is a PCI-SIG
defined version number that indicates the version of RO

PCI EXPRESS BASE SPECIFICATION, REV. 1.0
286
Bit
Location Description Register
Attribute
the capability structure present.
Must be 1h for this version of the specification.
31:20 Next Capability Offset –This field contains the
offset to the next PCI Express capability structure or
000h if no other items exist in the linked list of
capabilities.
For Extended Capabilities implemented in device
configuration space, this offset is relative to the
beginning of PCI compatible configuration space
and thus must always be either 000h (for
terminating list of capabilities) or greater than 0FFh.
RO
5.12.2. Serial Number Register (Offset 04h)
The Serial Number register is a 64-bit field that contains the IEEE defined 64-bit extended
unique identifier (EUI-64™).
Serial Number Register
063
Figure 5-51: Serial Number Register
Table 5-46: Serial Number Register
Bit
Location Description Register
Attribute
63:0 PCI Express Device Serial Number – This field
contains the IEEE defined 64-bit extended unique
identifier (EUI-64™). This identifier includes a 24-bit
company id value assigned by IEEE registration
authority and a 40-bit extension identifier assigned
by the manufacturer.
RO

PCI EXPRESS BASE SPECIFICATION, REV. 1.0
287
5.13. Power Budgeting Capability
The PCI Express Power Budgeting Capability allows the system to properly allocate power
to devices that are added to the system at runtime. Through this capability, a device can
report the power it consumes on a variety of power rails, in a variety of device power
management states, in a variety of operating conditions. The system uses this information to
ensure that the system is capable of providing the proper power and cooling levels to the
device. Failure to properly indicate device power consumption may risk device or system
failure.
This capability is required for all devices that are implemented as PCI Express Modules.
Implementation of this capability is optional for PCI Express devices that are implemented
either as a PCI Express Card or are integrated on the motherboard. Devices that may be
implemented either as a PCI Express Module or a PCI Express Card are required to
implement this capability.
Byte
Offset
031
00h
0Ch
08h
04h
3GIO Enhanced Capability Header
Data Select Register
RsvdP
Data Register
Power Budget
Capability Register
RsvdP
Figure 5-52: PCI Express Power Budgeting Capability Structure
5.13.1. Power Budgeting Enhanced Capability Header (Offset
00h)
See Section 5.9.3 for a description of the PCI Express Enhanced Capability Header. The
Extended Capability ID for the Power Budgeting Capability is 0004h.
Capability Version
31
Next Capability Offset
15 0161920
3GIO Extended Capability ID
Figure 5-53: Power Budgeting Enhanced Capability Header

PCI EXPRESS BASE SPECIFICATION, REV. 1.0
288
Table 5-47: Power Budgeting Enhanced Capability Header
Bit
Location Description Register
Attribute
15:0 PCI Express Extended Capability ID –This field is
a PCI-SIG defined ID number that indicates the
nature and format of the extended capability.
Extended Capability ID for the Power Budgeting
Capability is 0004h.
RO
19:16 Capability Version –This field is a PCI-SIG
defined version number that indicates the version of
the capability structure present.
Must be 1h for this version of the specification.
RO
31:20 Next Capability Offset –This field contains the
offset to the next PCI Express capability structure or
000h if no other items exist in the linked list of
capabilities.
For Extended Capabilities implemented in device
configuration space, this offset is relative to the
beginning of PCI compatible configuration space
and thus must always be either 000h (for
terminating list of capabilities) or greater than 0FFh.
RO
5.13.2. Data Select Register (Offset 04h)
This read-write register indexes the Power Budgeting Data reported through the Data
register and selects the DWORD of Power Budgeting Data that should appear in the Data
Register. Index values for this register start at 0 to select the first DWORD of Power
Budgeting Data; subsequent DWORDs of Power Budgeting Data are selected by increasing
index values.

PCI EXPRESS BASE SPECIFICATION, REV. 1.0
289
5.13.3. Data Register (Offset 08h)
This read-only register returns the DWORD of Power Budgeting Data selected by the Data
Select Register. Each DWORD of the Power Budgeting Data describes the power usage of
the device in a particular operating condition. Power Budgeting Data for different operating
conditions is not required to be returned in any particular order, as long as incrementing the
Data Select Register causes information for a different operating condition to be returned.
If the Data Select Register contains a value greater than or equal to the number of operating
conditions for which the device provides power information, this register should return all
zeros.
1220 1731 14 0
79
Base Power
RsvdP
Data Scale
PM State
Type
Power Rail
PM Sub State
81113151821
Figure 5-54: Power Budgeting Data Register
The Base Power and Data Scale registers describe the power usage of the device; the Power
Rail, Type, PM State, and PM Sub State registers describe the conditions under which the
device has this power usage.
Table 5-48: Power Budgeting Data Register
Bit Location Register Description Attributes
7:0 Base Power –Specifies in Watts the base power value in the
given operating condition. This value must be multiplied by the
data scale to produce the actual power consumption value.
RO
9:8 Data Scale –Specifies the scale to apply to the Base Power
value. The power consumption of the device is determined by
multiplying the contents of the Base Power register field with the
value corresponding to the encoding returned by this field.
Defined encodings are:
00b 1.0x
01b 0.1x
10b 0.01x
11b 0.001x
RO

PCI EXPRESS BASE SPECIFICATION, REV. 1.0
290
Bit Location Register Description Attributes
12:10 PM Sub State –Specifies the power management sub state of
the operating condition being described. Defined encodings are:
000b Default Sub State
001b –111b Device Specific Sub State
RO
14:13 PM State –Specifies the power management state of the
operating condition being described. Defined encodings are:
00b D0
01b D1
10b D2
11b D3
A device returns 11b in this field and Aux or PME Aux in the
Type register to specify the D3-Cold PM State. An encoding of
11b along with any other Type register value specifies the D3-
Hot state.
RO
17:15 Type –Specifies the type of the operating condition being
described. Defined encodings are:
000b PME Aux
001b Auxiliary
010b Idle
011b Sustained
111b Maximum
All other encodings are reserved.
RO
19:18 Power Rail –Specifies the power rail of the operating condition
being described. Defined encodings are:
000b Power (12V)
001b Power (3.3V)
010b Power (1.8V)
111b Thermal
All other encodings are reserved.
RO
A device that implements the Power Budgeting Capability is required to provide data values
for the D0 Max and D0 Sustained PM State/Type combinations for every power rail from
which it consumes power; data for the D0 Max Thermal and D0 Sustained Thermal
combinations must also be provided if these values are different from the values reported
for D0 Max and D0 Sustained on the power rails.
Devices that support auxiliary power or PME from auxiliary power must provide data for
the appropriate power type (Aux or PME Aux).

PCI EXPRESS BASE SPECIFICATION, REV. 1.0
291
5.13.4. Power Budget Capability Register (Offset 0Ch)
This register indicates the power budgeting capabilities of a device.
RsvdP
System Allocated
071
Figure 5-55: Power Budget Capability Register
Table 5-49: Power Budget Capability Register
Bit Location Register Description Attributes
0System Allocated –This bit when set indicates that the power
budget for the device is included within the system power
budget. Reported Power Budgeting Data for this device should
be ignored by software for power budgeting decisions if this bit
is set.
HwInit
PCI EXPRESS BASE SPECIFICATION, REV. 1.0
292

PCI EXPRESS BASE SPECIFICATION, REV. 1.0
293
6. Power Management
This chapter describes PCI Express power management (PCI Express-PM) capabilities and
protocols.
6.1. Overview
PCI Express-PM provides the following services:
• A mechanism to identify power management capabilities of a given function
• The ability to transition a function into a certain power management state
• Notification of the current power management state of a function
• The option to wake the system on a specific event
PCI Express-PM is compatible with the PCI Bus Power Management Interface Specification,
Revision 1.1 (PCI-PM), and the Advanced Configuration and Power Interface Specification, Revision 2.0
(ACPI). This chapter also defines PCI Express native power management extensions.
These provide additional power management capabilities beyond the scope of the PCI Power
Management Interface Specification.
PCI Express-PM defines Link power management states, states that a PCI Express physical
Link is permitted to enter in response to either software driven D-state transitions or Active
State Link PM activities (Active State Link PM is described later). PCI Express Links states
are not visible directly to legacy bus driver software, but are derived from the power
management state of the components residing on those Links. Defined Link states are L0,
L0s, L1, L2, and L3. The power savings increase as the Link state transitions from L0
through L3.
PCI Express components are permitted to wake the system from any supported power
management state through the request of a power management event (PME). PCI Express
systems may provide the optional auxiliary power supply (Vaux) needed for PME operation
from the “off” system states. PCI Express-PM extends beyond its PCI-PM predecessor in
this regard as PCI Express PME “messages” include the geographical location (Requestor
ID) within the Hierarchy of the requesting agent. These PME messages are in-band TLPs
routed from the requesting device to a Root Complex.
Another distinction of the PCI Express-PM PME mechanism is in its separation of the
following two tasks that are associated with PME:
• Reactivation (wake) of the I/O Hierarchy (i.e., re-establishing reference clocks and
main power rails to the PCI Express components)
• Sending the actual PME Message (vector) to the Root Complex
6
PCI EXPRESS BASE SPECIFICATION, REV. 1.0
294
An autonomous, hardware based active-state mechanism (Active State Link PM) enables
power savings even when the connected components are in the D0 state. After a period of
idle Link time the Active State Link PM mechanism engages in a physical layer protocol that
places the idle Link into a lower power state. Once in the lower power state transitions to
the fully operative L0 state are triggered by traffic appearing on either side of the Link.
Endpoints initiate entry into a low power Link state. This feature may be disabled by
software.
Throughout this document the term Upstream component, or Upstream device, is used to
refer to the PCI Express component that is on the end of the PCI Express Link that is
hierarchically closer to the root of the PCI Express tree hierarchy. The term Downstream
component, or Downstream device, is used to refer to the PCI Express component that is
on the end of the Link that is hierarchically further from the root of the PCI Express tree
hierarchy.
6.1.1. Statement of Requirements
All PCI Express components, with exception of the Root Complex, are required to meet or
exceed the minimum requirements defined by the PCI-PM Software compatible PCI
Express-PM features. Root Complexes are required to participate in Link power
management DLLP protocols initiated by a downstream device, when all functions of a
downstream component enter a PCI-PM Software compatible low power state. For further
detail, refer to Section 6.3.2.
The Active State Link PM feature is a required feature (L0s entry at minimum) for all
components including Root Complexes, and is configured separately via the native PCI
Express configuration mechanisms.
6.2. Link State Power Management
PCI Express defines Link power management states, replacing the bus power management
states that were defined by the PCI-PM specification. Link states are not visible to PCI-PM
legacy compatible software, and are either derived from the power management D-states of
the corresponding components connected to that Link or by Active State power
management protocols (Refer to Section 6.4.1).
Note that the PCI Express Physical Layer may define additional intermediate states. See
Chapter 4 for more detail on each state and how the Physical Layer handles transitions
between states.
PCI Express-PM defines the following Link power management states:
• L0 – Active state.
All PCI Express transactions and other operations are enabled.
L0 support is required for both Active State Link power management and PCI-
PM compatible power management
• L0s – A low resume latency, energy saving “standby” state.

PCI EXPRESS BASE SPECIFICATION, REV. 1.0
295
L0s support is required for Active State Link power management. It is not
applicable to PCI-PM compatible power management.
All main power supplies, component reference clocks, and components’ internal
PLLs must be active at all times during L0s. TLP and DLLP communication
over a Link that is in L0s is prohibited. The L0s state is used exclusively for
active-state power management.
The PCI Express physical layer provides mechanisms for quick transitions from
this state to the L0 state. When common (distributed) reference clocks are used
on both sides of a given Link, the transition time from L0s to L0 is typically less
than 100 symbol times.
• L1 – Higher latency, lower power “standby” state.
L1 support is required for PCI-PM compatible power management. L1 is
optional for Active State Link power management.
All platform provided main power supplies and component reference clocks
must remain active at all times during L1. The downstream component’s
internal PLLs may be shut off during L1, enabling greater energy savings at a
cost of increased exit latency27.
The L1 state is entered whenever all functions of a downstream component on
a given PCI Express Link are either programmed to a D-state other than D0, or
if the downstream component requests L1 entry (Active State Link PM) and
receives positive acknowledgement for the request.
Exit from L1 is initiated by an upstream initiated transaction targeting the
downstream component, or by the downstream component’s desire to initiate a
transaction heading upstream. Transition from L1 to L0 is typically a few
microseconds.
TLP and DLLP communication over a Link that is in L1 is prohibited.
• L2/L3 Ready – Staging point for removal of main power
L2/L3 Ready transition protocol support is required
The L2/L3 Ready state is not directly related to either PCI-PM D-state
transitions or to Active State Link power management. L2/L3 Ready is the
state that a given Link enters into when the platform is preparing to enter its
system sleep state. Following the completion of the L2/L3 Ready state
transition protocol for that Link, the Link is then ready for either L2 or L3, but
not actually in either of those states until main power has been removed.
Depending upon the platform’s implementation choices with respect to
providing a Vaux supply, after main power has been removed the Link will
either settle into L2 (i.e., Vaux is provided), or it will settle into a zero power
“off”state (see L3).
27 For example, disabling the internal PLL may be something that is desirable when in D3hot, but not so
when in D1 or D2.
PCI EXPRESS BASE SPECIFICATION, REV. 1.0
296
The L2/L3 Ready state entry transition process must begin as soon as possible
following the acknowledgment of a PM_TURN_OFF message, (i.e., the
injection of a PM_TO_Ack TLP). The downstream component initiates L2/L3
Ready entry by injecting a PM_Enter_L23 DLLP onto its transmit Port. Refer
to Section 6.6 for further detail on power management system messages.
TLP and DLLP communication over a Link that is in L2/L3 Ready is
prohibited.
Exit from L2/L3 Ready back to L0 may only be initiated by an upstream
initiated transaction targeting the downstream component in the same manner
that an upstream initiated transaction would trigger the transition from L1 back
to L0. The case where an upstream initiated exit from L2/L3 Ready would
occur corresponds to the scenario where, sometime following the transition of
the Link to L2/L3 Ready but before main power is removed, the platform
power manager decides not to enter the system sleep state.
A Link’s transition into the L2/L3 Ready state is one of the final stages
involving PCI Express protocol leading up to the platform entering into in a
system sleep state wherein main power has been shut off (e.g., ACPI S3 or S4
sleep state).
• L2 – Auxiliary powered Link deep energy saving state.
L2 support is optional, and dependent upon platform support of Vaux.
L2 – The downstream component’s main power supply inputs and reference
clock inputs are shut off.
• When in L2, all PME detection logic, Link reactivation “Beacon” logic,
PME context, and any other “keep alive” logic is powered by Vaux.
TLP and DLLP communication over a Link that is in L2 is prohibited.
Exiting the L2 state is accomplished by reestablishing main power and reference
clocks to all components within the domain of the power manager, followed by
full Link training and initialization. Once a given Link has completed Link
training and initialization it is then in the L0 state and may begin sending and
receiving TLPs and DLLPs.
• L3 – Link Off state.
Zero power state.
Refer to Section 4.2 for further detail relating to entering and exiting each of the PCI
Express L-states.
Figure 6-1 highlights the legitimate L-state transitions that may occur during the course of
Link operation.

PCI EXPRESS BASE SPECIFICATION, REV. 1.0
297
OM13819
L0
See note in text
L0s
L2 L3
L1 L2/L3
Ready
Figure 6-1: Link Power Management State Transitions
The arc noted in Figure 6-1 indicates the case where the platform does not provide Vaux. In
this case, the L2/L3 Ready state transition protocol results in a state of readiness for loss of
main power, and once removed the Link settles into the L3 state.
Link PM Transitions from any L-state to any other L-state must pass through the L0 state
during the transition process with the exception of the L2/L3 Ready to L2 or L3 transitions.
In this case, the Link transitions from L2/L3 Ready directly to either L2 or L3 when main
power to the component is removed. (This follows along with a corresponding
component’s D-state transition from D3hot to D3cold)
The following sequence, leading up to entering a system sleep state, illustrates the multi-step
Link state transition process:
1. System Software directs all functions of a downstream component to D3hot.
2. The downstream component then initiates the transition of the Link to L1 as
required.
3. System Software then causes the Root Complex to broadcast the PM_Turn_Off
message in preparation for removing the main power source.
4. This message causes the subject Link to transition back to L0 in order to send it, and
to enable the downstream component to respond with PM_TO_Ack.
5. After the PM_TO_Ack is sent, the downstream component then initiates the L2/L3
Ready transition protocol.
L0 --> L1 --> L0 --> L2/L3 Ready
Table 6-1 summarizes each L-state, describing when they are used, and the PCI Express
platform, and PCI Express component behaviors that correspond to each of them.
A “Yes” entry indicates that support is required (unless otherwise noted). “On” and “Off”
entries indicate the required clocking and power delivery. “On/Off” indicates an optional
design choice.

PCI EXPRESS BASE SPECIFICATION, REV. 1.0
298
Table 6-1: Summary of PCI Express Link Power Management States
L-State
Description
Used by
SW
Directed
PM
Used by
Active
State
Link PM
Platform
Reference
Clocks
Platform
Main
Power
Component
Internal PLL Platform
Vaux
L0 Fully active
Link Yes (D0) Yes (D0) On On On On/Off
L0s Standby State No Yes 1
(D0) On On On On/Off
L1 Lower Power
Standby Yes
(D1-D3hot)
Yes2
(opt., D0)
On On On/Off3On/Off
L2/L3
Ready
Staging point
for power
removal
Yes 4No On On On/Off On/Off
L2 Low Power
Sleep State
(all clks, main
power off)
Yes 5No Off Off Off On 6
L3 Off (zero power) n/a n/a Off Off Off Off
Notes:
1. L0s exit latency will be greatest in Link configurations characterized by independent
reference clock inputs for components connected to opposite ends of a given Link.
(vs. a common, distributed reference clock)
2. L1 entry may be requested within Active State Link PM protocol, however its
support is optional.
3. L1 exit latency will be greatest for components that internally shut off their PLLs
during this state
4. L2/L3 Ready entry sequence is initiated at the completion of the
PM_Turn_Off/PM_TO_Ack protocol handshake . It is not directly affiliated with a
D-State transition, or a transition in accordance with Active State Link PM policies
and procedures.
5. Depending upon the platform implementation, the system’s sleep state may utilize
the L2 state or transition to being fully off (L3). L2/L3 Ready state transition
protocol is initiated by the downstream component following reception and TLP
acknowledgement of the PM_Turn_Off TLP Message. While platform support for
an L2 sleep state configuration is optional (i.e., support for Vaux delivery), PCI
Express component protocol support for transitioning the Link to the L2/L3 Ready
state is required.
6. L2 is distinguished from the L3 state only by the presence of Vaux. After the
completion of the L2/L3 Ready state transition protocol and before main power has
been removed the Link has indicated its readiness main power removal.
PCI EXPRESS BASE SPECIFICATION, REV. 1.0
299
6.3. PCI-PM Software Compatible Mechanisms
6.3.1. Device Power Management States (D-States) of a
Function
PCI Express supports all PCI-PM device power management states. All functions must
support the D0 and D3 states (both D3hot and D3cold). The D1 and D2 states are optional.
Refer to the PCI Bus Power Management Interface Specification for further detail relating to the
PCI-PM compatible features described in this specification. Note that where this
specification defines detail that departs from the PCI Bus Power Management Interface
Specification, this specification takes precedence for PCI Express components and Link
hierarchies.
6.3.1.1. D0 State
All PCI Express functions must support the D0 state. D0 is divided into two distinct sub-
states, the “un-initialized” sub-state and the “active” sub-state. When a PCI Express
component initially has its power applied, it defaults to the D0uninitialized state. Components
that are in this state will be enumerated and configured by the PCI Express Hierarchy
enumeration process. Following the completion of the enumeration and configuration
process the function enters the D0active state, the fully operational state for a PCI Express
function. A function enters the D0active state whenever any single or combination of the
function’s Memory Space Enable, I/O Space Enable, or Bus Master Enable bits have been
enabled by system software
6.3.1.2. D1 State
D1 support is optional. While in the D1 state, a function must not initiate any TLPs on the
Link with the exception of a PME Message as defined in Section 6.3.3. Configuration
requests are the only TLP accepted (as target) by a function that is currently in the D1 state.
All other received Requests must be handled as Unsupported Requests.
Note that a function’s software driver participates in the process of transitioning the
function from D0 to D1. It contributes to the process by saving any functional state (if
necessary), and otherwise preparing the function for the transition to D1. As part of this
quiescence process the function’s software driver must ensure that any mid-transaction TLPs
(i.e., Requests with outstanding Completions), are terminated prior to handing control to the
system configuration software that would then complete the transition to D1.
6.3.1.3. D2 State
D2 support is optional. While in the D2 state, a function must not initiate any TLPs on the
Link with the exception of a PME Message as defined in Section 6.3.3. Configuration
requests are the only TLP accepted (as target) by a function that is currently in the D2 state.
All other received TLPs must be handled as unsupported packets.
PCI EXPRESS BASE SPECIFICATION, REV. 1.0
300
Note that a function’s software driver participates in the process of transitioning the
function from D0 to D2. It contributes to the process by saving any functional state (if
necessary), and otherwise preparing the function for the transition to D2. As part of this
quiescence process the function’s software driver must ensure that any mid-transaction TLPs
(i.e., Requests with outstanding Completions), are terminated prior to handing control to the
system configuration software that would then complete the transition to D2.
6.3.1.4. D3 State
D3 support is required, (both the D3cold and the D3hot states). Functions supporting PME
generation from D3 must support it for both D3cold and the D3hot states.
Functional context does not need to be maintained by functions in the D3 state. Software is
required to re- initialize the function following a D3 → D0 transition.
The minimum recovery time following a D3hot → D0 transition is 10 ms. This recovery
time may be used by the D3hot → D0 transitioning component to bootstrap any of its
component interfaces (e.g., from serial ROM) prior to being accessible. Attempts to target
the function during the recovery time (including configuration request packets) will result in
undefined behavior.
6.3.1.4.1. D3hot State
When a function is in D3hot, it must respond to configuration accesses targeting it. They
must also participate in the PM_Turn_Off/PM_TO_Ack protocol. Refer to Section 6.3.3
details. Once in D3hot the function can later be transitioned into D3cold (by removing power
from its host component).
Transitions into the D3hot state are used to establish a standard process for graceful saving of
functional state immediately prior to entering a deeper power savings state where power is
removed.
Note that a function’s software driver participates in the process of transitioning the
function from D0 to D3hot. It contributes to the process by saving any functional state that
would otherwise be lost with removal of main power, and otherwise preparing the function
for the transition to D3hot. As part of this quiescence process the function’s software driver
must ensure that any outstanding transactions (i.e., Requests with outstanding Completions),
are terminated prior to handing control to the system configuration software that would then
complete the transition to D3hot.
Note that D3hot is also a useful state for reducing power consumption by idle components in
an otherwise running system.

PCI EXPRESS BASE SPECIFICATION, REV. 1.0
301
6.3.1.4.2. D3cold State
A function transitions to the D3cold state when its power is removed. A power-on sequence
transitions a function from the D3cold state to the D0Uninititialized state. At this point software
must perform a full initialization of the function in order to re-establish all functional
context, completing the restoration of the function to its D0active state.
Functions that support PME assertion from D3cold must maintain their PME context for
inspection by PME service routine software during the course of the resume process.
Functions may only generate PME messages from D3cold if the platform supplies them with a
Vaux supply or if they have an independent source of power.28 PME context consists of all
information relating to the function’s assertion of PME.
Implementation Note: PME Context
Examples of PME context include, but are not limited to, a function’s PME_Status bit, the
requesting agent’s Requester ID, Caller ID if supported by a modem, IP information for IP
directed network packets that trigger a resume event, SHPC extended context, etc.
A function’s PME assertion is acknowledged when system software performs a “write 1 to
clear” configuration write to the asserting function’s PME_Status bit of its PCI-PM
compatible PMCSR register.
An auxiliary power source must be used to support PME event detection, Link reactivation,
and to preserve PME context from within D3cold. Note that once the I/O Hierarchy has
been brought back to a fully communicating state, as a result of the Link reactivation, the
waking agent then propagates a PME message to the root of the Hierarchy indicating the
source of the PME event. Refer to Section 6.3.3 for further PME specific detail. Exit from
D3cold is accomplished with assertion of PWRGOOD, (either provided as an auxiliary signal
or internally generated by the component), followed by the Link training sequence.
28 Note that when a component reports support for PME generation from D3hot and D3cold (PMC register)
this does not constitute a guarantee that the platform will support the generation of PMEs from D3cold.Tobe
certain of this, software must poll the components’PCI Express capability structures to ensure that the
components report that Vaux is being provided to them by the platform (refer to Chapter 5 for details).

PCI EXPRESS BASE SPECIFICATION, REV. 1.0
302
6.3.2. PM Software Control of the Link Power Management
State
The power management state of a Link is determined by the D-state of its Downstream
component.
Table 6-2 depicts the relationships between the power state of a component (Endpoint,
Switch) and its Upstream Link.
Table 6-2: Relation Between Power Management States of Link and Components
Downstream
Component D-State Permissible Upstream
Component D-State Permissible
Interconnect State
D0 D0 L0, L0s, L1 (1)
D1 D0-D1 L1
D2 D0-D2 L1
D3hot D0-D3hot L1, L2/L3 Ready(2)
D3cold D0-D3cold L2 (3),L3
Notes:
1. All PCI Express components are required to support Active-State Link Power
Management with L0s entry during idle at a minimum. The use of L1 within D0
is optional.
2. When all functions within a downstream component are programmed to D3hot
the downstream component must request the transition of its Link to the L1
state using the PM_ENTER_L1 DLLP. Once in D3hot, following the execution
of a PM_TURN_OFF / PM_TO_Ack handshake sequence, the downstream
component must then request a Link transition to L2/3 Ready using the
PM_ENTER_L23 DLLP. Following the L2/L3 Ready entry transition protocol
the downstream component must be ready for loss of main power and reference
clock.
3. If Vaux is provided by the platform, the Link sleeps in L2. In the absence of
Vaux, the L-state is L3
The conditions governing Link state transition in the software directed PCI-PM compatible
power management scheme are defined as:
• A Switch or single function Endpoint device must initiate a Link state transition
of its Upstream Port (Switch), or Port (endpoint), to L1 based solely upon that
Port being programmed to D1, D2, or D3hot. In the case of the Switch, system
software bears the responsibility of ensuring that any D-state programming of a
Switch’s Upstream Port is done in a compliant manner with respect to PCI
Express hierarchy-wide PM policies (i.e., the Upstream Port cannot be
programmed to a D-state that is any less active that the most active downstream
Port and downstream connected component/function(s)).

PCI EXPRESS BASE SPECIFICATION, REV. 1.0
303
• Multi-function Endpoints must not initiate a Link state transition to L1 until all
of their functions have been programmed to a non-D0 D-state.
6.3.2.1. Entry into the L1 State
Figure 6-2 depicts the process by which a Link is transitioned into the L1 state as a direct
result of power management software programming the downstream connected component
into a lower power state, (either D1, D2, or D3hot state). This figure and the subsequent
description outline the transition process for a single function downstream component that
is being programmed to a non-D0 state.
OM13820
TDPPDT
1Upstream component sends
configuration write request
Upstream Component Downstream Component
5Upstream component blocks
scheduling of new TLPs
6Upstream component receives
acknowledgment for last TLP
7
Upstream component sends
PM_Request_Ack DLLP
continuously until it sees
electrical idle
Upstream component completes
L1 transition: disables Data
Link Layer, brings Physical
Layer to electrical idle
Downstream component sees
PM_Request_Ack DLLP,
disables Data Link Layer,
and brings Physical Layer
to electrical idle
Downstream component
begins L1 transition process
Downstream component
blocks scheduling of new TLPs
Downstream component waits
to receive Ack for last TLP
PM_Enter_L1 DLLP
sent upstream
time
9
3
2
4
8
Downstream component waits
for PM_Request_Ack DLLP,
acknowledging the
PM_Enter_L1 DLLP
T - Transaction
D - Data Link
P - Physical
Active
Inactive
Legend:
Figure 6-2: Entry into L1 Link State

PCI EXPRESS BASE SPECIFICATION, REV. 1.0
304
The following text provides additional detail for the Link state transition process pictured
above.
PM Software Request:
1. PM Software (upstream component) sends a TLP configuration request packet to
change the downstream function’s D-state (D1 for example).
Downstream Component Link State Transition Initiation Process:
2. The downstream component schedules the completion response corresponding to
the configuration write to its PMCSR PowerState field. All new TLP scheduling is
suspended.
3. The downstream component then waits until it receives a Link layer
acknowledgement for the PMCSR write completion, and any other TLPs it had
previously sent. The component may retransmit a TLP out of its Link Layer Retry
buffer if required to do so by Link layer rules.
4. Once all of the downstream component’s TLPs have been acknowledged the
downstream component transmits a PM_Enter_L1 DLLP onto its upstream-
directed (transmit) Port. The downstream component sends this DLLP
continuously until it receives a response from the upstream component29
(PM_Request_Ack). While waiting for all of its TLPs to be acknowledged the
downstream component must not initiate any new TLPs. The downstream
component must still however continue to accept TLPs and DLLPs from the
upstream component, and it must also continue to respond with DLLPs as needed
per Link Layer protocol. Refer to the Electrical chapter for more details on the
physical layer behavior.
Upstream Component Link State Transition Process:
5. Upon receiving the PM_Enter_L1 DLLP the upstream component blocks the
scheduling of any future TLPs.
6. The upstream component then must wait until it receives a Link layer
acknowledgement for the last TLP it had previously sent. The upstream component
may retransmit a TLP from its Link layer retry buffer if required to do so by the Link
layer rules.
7. Once all of the upstream component’s TLPs have been acknowledged the upstream
component sends a PM_Request_Ack DLLP downstream. The upstream
component sends this DLLP continuously until it observes its receive Lanes enter
29 If at this point the Downstream component needs to initiate a transfer on the Link, it must first complete
the transition to L1 regardless. Once in L1 it is then permitted to initiate an exit L1 to handle the transfer.
This corner case represents an event requiring a PME message occurring during the component’stransition
to L1.

PCI EXPRESS BASE SPECIFICATION, REV. 1.0
305
into the electrical idle state. See Chapter 4 for more details on the Physical Layer
behavior.30
Completing the L1 Link State Transition:
8. Once the downstream component has captured the PM_Request_Ack DLLP on its
receive Lanes (signaling that the upstream component acknowledged the transition
to L1 request), it then disables its Link layer and brings the upstream directed
physical Link into the electrical idle state.
9. When the upstream component observes its receive Lanes enter the electrical idle
state, it then stops sending PM_Request_Ack DLLPs, disables its Link layer and
brings its transmit Lanes to electrical idle completing the transition of the Link to L1.
When two components’ interconnecting Link is in L1 as a result of the downstream
component being programmed to a non-D0 state, both components suspend the
operation of their Flow Control Update, DLLP ACK/NAK Latency, and TLP
Completion Timeout counter mechanisms31. Refer to the Electrical chapter for
more detail on the physical layer behavior.
Components on either end of a Link in L1 may optionally disable their internal PLLs in
order to conserve more energy. Note however that platform supplied main power, and
reference clocks must always be supplied to components on both ends of an L1 Link.
6.3.2.2. Exit from L1 State
L1 exit can be initiated by the component on either end of a PCI Express Link. A
downstream component would initiate an L1 exit transition in order to bring the Link to L0
such that it may then inject a PME message.
The upstream component initiates L1 exit to re-establish normal TLP and DLLP
communications on the Link.
In either case the physical mechanism for transitioning a Link from L1 to L0 is the same and
are described in detail within the Electrical Chapter.
Figure 6-3 outlines a sequence that would trigger an Upstream component to initiate
transition of the Link to the L0 state.
30 If, at this point, the Upstream component for any reason needs to initiate a transfer on the Link, it must
first complete the transition to L1 regardless. Once in L1 it is then permitted to initiate an exit from L1 to
handle the transfer.
31 This is the required behavior regardless of whether the L1 state was the result of software driven PM
protocol, or the result of Active State Link PM protocol.

PCI EXPRESS BASE SPECIFICATION, REV. 1.0
306
Upstream
State
Downstream
State
Link
State
D0
D0
D0
D0
PM Configuration
L0
D1
D0
PM Configuration
D1
D0
Upstream
Component
State
Downstream
State
Link
State
D1
D0
L1 to L0
Transition
Complete
D0
D0
PM Configuration
Request
Delivered
L0
D1
D0
Standby
State PM Configuration
Request triggers
L1 to L0 Transition
D1
D0
L1L1 L0L0
Component
Figure 6-3: Exit from L1 Link State Initiated by Upstream Component
Sequence of events:
1. Power management software initiates a configuration cycle targeting a PM
configuration register (the PowerState field of the PMCSR in this example) within a
function that resides in the Downstream component (e.g., to bring the function back
to the D0 state).
2. The Upstream component detects that a configuration cycle is intended for a Link
that is currently in a low power state, and as a result, initiates a transition of that Link
into the L0 state.
3. In accordance with the Chapter 4 definition, both directions of the Link enter into
Link training, resulting in the transition of the Link to the L0 state. The L1 L0
transition is discussed in detail in Chapter 4.
4. Once both directions of the Link are back to the active L0 state, the Upstream Port
sends the configuration Packet Downstream.
6.3.2.3. Entry into the L2/L3 Ready State
Transition to the L2/L3 Ready state follows a process that is similar to the L1 entry process.
There are some minor differences between the two that are spelled out below.
• L2/L3 Ready entry transition protocol does not immediately result in an L2 or L3
Link state. The transition to L2/L3 Ready is effectively a handshake to establish the
downstream component’s readiness for power removal. L2 or L3 is ultimately
achieved when the platform removes the components’ power and reference clock.

PCI EXPRESS BASE SPECIFICATION, REV. 1.0
307
• The time for L2/L3 Ready entry transition is indicated by the completion of the
PM_Turn_Off / PM_TO_Ack handshake sequence. Any actions on the part of the
downstream component necessary to ready itself for loss of power must be
completed prior to initiating the transition to L2/L3 Ready. Once all preparations
for loss of power and clock are completed L2/L3 Ready entry is initiated by the
downstream component by sending the PM_Enter_L23 DLLP upstream.
In contrast, the time for L1 entry transition is indicated by programming all of the
downstream component’s function(s) to non-D0 states, or by Active State Link PM
policies. There are no preparations necessary before initiating a transition to L1.
• The downstream component must be in D3hot prior to being transitioned into the
L2/L3 Ready state, i.e., a PM_Turn_Off message must never be sent unless all
functions downstream of its point of origin are currently in D3hot.
In contrast, a downstream component initiating a transition to L1 would have always
initially been in D0, and had just be reprogrammed to D1, D2, or D3hot.
• L2/L3 Ready entry transition protocol uses the PM_Enter_L23 DLLP.
The L1 entry protocol uses the PM_Enter_L1.DLLP.
In either case, the PM_Enter_Lx DLLP is sent repeatedly until the downstream
component observes electrical idle on its receive Port.
6.3.3. Power Management Event Mechanisms
6.3.3.1. Motivation
The PCI Express PME mechanism is software compatible with the PME mechanism
defined by the PCI-PM specification. Power Management Events are generated by PCI
Express functions as a means of requesting a PM state change. Power Management Events
are typically utilized to revive the system or an individual function from a low power state.
Power management software may transition a PCI Express Hierarchy into a low power state,
and transition the upstream links of these devices into the non-communicating L2 state32.
The PCI Express PME generation mechanism is therefore broken into two components:
• Waking a non-communicating Hierarchy. This step is required only if the upstream Link
of the device originating the PME is in the non-communicating L2 state, since in that
state the device cannot send a PM_PME message upstream.
• Sending a PM_PME message to the root of the PCI Express Hierarchy
PME indications are propagated to the Root Complex in the form of TLP messages.
PM_PME messages include the logical location of the requesting agent within the Hierarchy
(in the form of the Requester ID of the PME message header). Explicit identification within
32 The L2 state is defined as “non-communicating”since component reference clock and main power supply
are removed in that state.
PCI EXPRESS BASE SPECIFICATION, REV. 1.0
308
the PM_PME message is intended to facilitate quicker PME service routine response, and
hence shorter resume time.
6.3.3.2. Link Reactivation
The Link reactivation mechanism provides a means of signaling the platform to re-establish
power and reference clocks to the components within its domain. Refer to Section 4.2 for
details on the in-band mechanism for Link reactivation. Refer to the PCI Express Card
Electromechanical Specification for details on the out-of-band mechanism for Link reactivation.
Systems that allow PME generation from D3cold state must provide auxiliary power to
support Link reactivation when the main system power rails are off.
The reactivation period ends when the upstream-directed Link of a device enters the
initialization phase as a result of Link transition from the L2 state to the L0 state–a power-
on sequence transitions the device from the D3cold state to the D0uninitialized state.
The downstream device shall cease requesting Link reactivation (either in-band or auxiliary
out-of-band) once it has entered the D0uninitialized state.
Once the Link has been re-activated and trained, the requesting agent then propagates a
PM_PME message upstream to the Root Complex.
6.3.3.2.1. PME Fence
PCI Express devices need to be notified before their reference clock and main power may
be removed so that they can prepare for that eventuality. PCI Express-PM introduces a
fence mechanism that serves to initiate the power removal sequence while also coordinating
the behavior of the platform’s power management controller and PME handling by PCI
Express agents.
There exist race conditions where a downstream agent, if not somehow coordinated with the
platform’s power manager, could potentially initiate a PM_PME message while the power
manager was in the process of turning off the main power source to the Link Hierarchy.
The net result of hitting this corner condition would be loss of the PME indication. The
fence mechanism ensures this does not happen.
PME_Turn_Off Broadcast Message
Before main component power and reference clocks are turned off the Root Complex or
Hot Plug controller within a Switch Downstream Port, must issue a broadcast message that
instructs all agents downstream of that point within the hierarchy to cease initiation of any
subsequent PM_PME messages, effective immediately upon receipt of the PME_Turn_Off
message.
Each PCI Express agent is required to respond with a TLP “acknowledgement” Packet,
PME_TO_ACK that is, as in the case of a PME Message, always routed upstream. In all

PCI EXPRESS BASE SPECIFICATION, REV. 1.0
309
cases, the PM_TO_Ack message must terminate at the PM_Turn_Off message’s point of
origin.33
Note that PM_PME and PME_TO_Ack, like all other PCI Express message packets, are
handled as posted transactions. It is their posted transaction nature that ensures that any
previously injected PM_PME messages will be pushed ahead of the fence acknowledgement
assuring full in-order delivery of any previously initiated PM_PME messages before the
“Turn off” acknowledgement ever reaches the initiator of the PM_Turn_Off message.
For the case where a PM_Turn_Off message is initiated upstream of a PCI Express Switch,
the PCI Express Switch’s Upstream Port must report an “aggregate” acknowledgement only
after having received PME_TO_ACK packets from each of their downstream ports
individually. Once a PM_TO_Ack Packet has arrived on all downstream ports, the Switch
then sends a PM_TO_Ack packet on its upstream Port.
All PCI Express components must accept34 and acknowledge the PME_Turn_Off Packet
from within the D3hot State. Once an Endpoint has sent a PME_TO_Ack Packet on its
transmit Link, it must then prepare for removal of its power and reference clocks by
initiating a transition to the L2/L3 Ready state.
A Switch must also transition its upstream Link to the L2/L3 Ready state in the same
manner as described in the previous paragraph for Endpoints. However, the Switch initiates
this transition only after all of its downstream ports have entered L2/L3 Ready state.
The Links attached to the originator of the PME_Turn_Off message are the last to assume
the L2/L3 Ready state. This serves as an indication to the power delivery manager35 that all
Links within that portion of the PCI Express hierarchy have:
• Successfully retired all in flight PME messages to the point of PME_Turn_Off
message origin
• Performed any necessary local conditioning in preparation for power removal
The power delivery manager must wait a minimum of 100 ns after observing all links
corresponding to the point of origin of the PME_Turn_Off message enter L2/L3 Ready
before removing the components’ reference clock and main power.
33 Point of origin for the PM_Turn_Off message could be all of the Root Ports for a given Root Complex (full
platform sleep state transition), an individual hot plug capable Root Port, or a hot plug capable Switch
Downstream Port.
34 FC credits permitting.
35 Power delivery control within this context relates to control over the entire PCI Express Link hierarchy, or
over a subset of PCI Express links ranging down to a single PCI Express Link for sub hierarchies residing
downstream of a Hot Plug controller managed interconnect.

PCI EXPRESS BASE SPECIFICATION, REV. 1.0
310
Implementation Note: PM_TO_Ack Message Proxy by Switch Devices
One of the PM_Turn_off / PM_TO_Ack handshake's key roles is to ensure that all in flight
PME messages are flushed from the PCI Express fabric prior to sleep state power removal.
This is guaranteed to occur because PME messages and the PM_TO_Ack messages both
use the posted request queue within VC0 and so all previously injected PME messages will
be made visible to the system before the PM_TO_Ack is received at the Root Complex.
Once all downstream ports of the Root Complex receive a PM_TO_Ack message the Root
Complex can then signal the power manager that it is safe to remove power without loss of
any PME messages.
Switches create points of hierarchical expansion and so therefore must wait for all of their
connected downstream ports to receive a PM_TO_Ack message before it can send a
PM_TO_Ack message upstream on behalf of the sub-hierarchy that it has created
downstream. This can be accomplished very simply using common score boarding
techniques. For example, once a PM_Turn_Off broadcast message has been broadcast
downstream of the switch, the switch simply checks off each downstream port having
received a PM_TO_Ack. Once the last of its active downstream ports receives a
PM_TO_Ack the switch will then send a single PM_TO_Ack message upstream as a proxy
on behalf of the entire sub-hierarchy downstream of it. Note that once a downstream port
receives a PM_TO_Ack message and the switch has scored its arrival, the port is then free to
drop the packet from its internal queues and free up the corresponding posted request queue
FC credits.
Implementation Note: PME_TO_Ack Deadlock Avoidance
As specified earlier, any device that detects a PME_Turn_Off message must reply with a
PME_TO_Ack message. However, system behavior must not depend on the correct
behavior of any single device. In order to avoid deadlock in the case that one or more
devices do not respond with a PME_TO_Ack message, the power manager must not
depend on the acceptance of a PME_TO_Ack message. For example, the power manager
may timeout after waiting for the PME_TO_Ack message for a given time, after which it
proceeds as if the message was accepted.
PCI EXPRESS BASE SPECIFICATION, REV. 1.0
311
6.3.3.3. PM_PME Messages
PM_PME messages are posted Transaction Layer Packets (TLPs) that inform the power
management software which agent within the PCI Express Hierarchy requests a PM state
change. PM_PME messages, like all other Power Management system messages must use
the general purpose Transfer Class, TC #0.
PM_PME messages are always routed in the direction of the Root Complex. To send a
PM_PME message on its upstream Link, a device must transition the Link to the L0 state (if
the Link was not is that state already). Unless otherwise noted, the device will keep the Link
in the L0 state following the transmission of a PM_PME message.
6.3.3.3.1. PM_PME “Backpressure” Deadlock Avoidance
A PCI Express Root Complex is typically implemented with local buffering to temporarily
store a finite number of PM_PME messages that could potentially be simultaneously
propagating through the PCI Express Hierarchy at any given time. Given a limited number
of PM_PME messages that can be stored within the Root Complex, there can be
backpressure applied to the upstream directed posted queue in the event that the capacity of
this temporary PM_PME message buffer is exceeded.
Deadlock can occur according to the following example scenario:
• Incoming PM_PME messages fill the Root Complex’s temporary storage to its full
capacity while there are additional PM_PME messages still in the Hierarchy making
their way upstream.
• Root Complex, on behalf of system software, issues split configuration read request
targeting one of the PME requester’s PMCSR (e.g., reading its PME_Status bit).
• The corresponding split completion Packet is required, as per producer/consumer
ordering rules, to push all previously posted PM_PME messages out ahead of it,
which in this case are PM_PME messages that have no place to go.
• PME service routine cannot make progress, PM_PME message storage situation
does not improve.
• Deadlock occurs.
Precluding potential deadlocks requires the Root Complex to always enable forward progress
under these circumstances. This must be done by accepting any PM_PME messages that
posted queue flow control credits allow for, and discarding any PM_PME messages that
create an overflow condition. This required behavior ensures that no deadlock will occur in
these cases, however PM_PME messages will be discarded and hence lost in the process.
To ensure that no PM_PME messages are lost permanently, all agents that are capable of
generating PM_PME must implement a PME Service Timeout mechanism to ensure that
their PME requests are serviced in a reasonable amount of time.
If after 100 ms (+ 50% / - 5%), the PME_Status bit of a requesting agent has not yet been
cleared, the PME Service Timeout mechanism expires triggering the PME requesting agent
PCI EXPRESS BASE SPECIFICATION, REV. 1.0
312
to re-send the temporarily lost PM_PME message. If at this time the Link is in a non-
communicating state, then prior to re-sending the PM_PME message the agent must
reactivate the Link as defined in Section 6.3.3.2.
6.3.3.4. PME Rules
• All PCI Express components supporting PCI Express-PM must implement the PCI-
PM PMC and PMCSR registers in accordance with the PCI-PM specification. These
registers reside in the PCI-PM compliant PCI Capability List format.
• PME capable functions must implement the PME_Status bit, and underlying
functional behavior, in their PMCSR configuration register.
• When a function initiates Link reactivation, or issues a PM_PME Message, it
must set its PME_Status bit.
• Switches must route a PM_PME received on any Downstream Port to their
Upstream Port
• PME capable agents must comply with PME_Turn_Off and PME_TO_Ack fence
protocols
• Before a Link or a portion of Hierarchy is transferred into a non-communicating
state (i.e., a state they cannot issue a PM_PME Message from), a PME_Turn_Off
Message must be broadcast Downstream.
6.3.3.5. PM_PME Delivery State Machine
The following diagram conceptually outlines the PM_PME delivery control state machine.
This state machine determines ability of a Link to service PME events by issuing PM_PME
immediately vs. requiring initial Link reactivation.

PCI EXPRESS BASE SPECIFICATION, REV. 1.0
313
Commun-
icating
Non
Commun-
icating
PME Sent Link
Reactivation
PME_Turn_Off
PME_TO_ACK
Power Good
Power Good
Clear wake signaling
PM_PME Message
PME_Status set
PM_PME Message
PME_Status cleared
(SW handler)
Power-up
Timeout
PM_PME message
PME_Turn_Off
PME_TO_ACK
Init iate wake signaling
PME_Status set
Init iate wake signaling
(in-band or out-of-band)
Figure 6-4: A Conceptual PME Control State Machine
Communicating State:
At initial power-up, the Upstream Link the enters “Communicating” state
• If PME_Status is asserted (assuming PME delivery is enabled), a PM_PME Message will
be issued Upstream, terminating at the root of the PCI Express Hierarchy. The next
state is the “PME Sent” state
• If a PME_Turn_Off Message is received, the Link enters the “Non-Communicating”
state following its acknowledgment of the message and subsequent entry into the L2/L3
Ready state.
Non-communicating State:
• If a Power Good signal transitions from inactive to active state (an indication that power
and clock have been restored), the next state is the “Communicating” state.
• If PME_Status is asserted, the Link will transition to “Link Reactivation” state, and
activate the wake mechanism.
PCI EXPRESS BASE SPECIFICATION, REV. 1.0
314
PME Sent State
• If PME_Status is cleared, the function becomes PME Capable again. Next state is the
“Communicating” state.
• If the PME_Status bit is not cleared by the time the PME service timeout expires, a
PM_PME message is re-sent upstream. See Section 6.3.3.3.1 for an explanation of the
timeout mechanism.
• If a PME message has been issued but the PME_Status has not been cleared by software
when the Link is about to be transitioned into a messaging incapable state (a
PME_Turn_Off Message is received), the Link transitions into “Link Reactivation” state
after sending a PM_TO_ACK message. The device also activates the wake mechanism.
Link Reactivation State
• If a Power Good signal transitions from inactive to active state, the Link resumes a
transaction-capable state. The device clears the wake signaling, issues a PM_PME
Upstream and transitions into the “PME Sent” state.

PCI EXPRESS BASE SPECIFICATION, REV. 1.0
315
Implementation Note: PCI Express-to-PCI Bridge PME Considerations
PCI Express-to-PCI Bridges must “bridge” power management events from the original
PME# wire’or signal connections to the PCI Express in-band PME messaging scheme. PCI
Express-to-PCI Bridges are required to identify all PME messages that they issue on behalf
of downstream legacy PCI functions as coming from the PCI bus segment where the PME#
originated.
A design consideration that must be comprehended is the potential for lost PME
indications. This particular issue is unique to PCI Express-to-PCI Bridges where the level
sensitive PME# signal is transformed into what is effectively an edge triggered PME
messaging scheme and manifests itself in a race condition. The corner case corresponds to
the situation where one of the legacy PCI components asserts PME# (which now must be
input into the bridge, and not routed around it as in PCI-PM PME# routing). Following
this the PCI Express-to-PCI bridge injects a PME message on behalf of the legacy agent. If
another Legacy PME# assertion occurs (on the same PME# input to the bridge) before the
original PME# service routing has cleared the PME_Status bit of the original PME#
initiator, then given the wire’or nature of the PCI-PM PME#, PME# input at the bridge will
remain asserted following the clearing of the first agent’s PME_Status bit.
The net result is that the first PM_PME was serviced successfully, (single PM_PME message
propagated upstream facilitated this), however the second PM_PME was lost. In order to
avoid loss of PM_PMEs in the conversion of the level-triggered PCI PME to the edge
triggered PCI Express PM_PME message, the PCI PME signal must be periodically polled
and a PCI Express PM_PME message must be generated if the PCI PME is sensed asserted.
While the above scheme introduces the possibility of spurious PM_PMEs, these are deemed
benign and would be ignored by the operating system.
It is the responsibility of the PCI Express-to-PCI Bridge to engage in the PME fence
protocol on behalf of its downstream PCI devices. The PME_Turn_Off message will
terminate at the PCI Express-to-PCI Bridge, and will not be communicated to the
downstream PCI devices. The PCI Express-to-PCI Bridge will not issue a PM_PME
message on behalf of a downstream PCI device while its upstream Link is in the L2 non-
communicating state.
PCI EXPRESS BASE SPECIFICATION, REV. 1.0
316
6.4. Native PCI Express Power Management
Mechanisms
The following sections define power management features that require new software. While
the presence of these features in new PCI Express designs will not break legacy software
compatibility, taking the full advantage of them requires new code to manage them.
These features are enumerated and configured using PCI Express native configuration
mechanisms as described in Chapter 5 of this specification. Refer to Chapter 5 for specific
register locations, bit assignments, and access mechanisms associated with these PCI
Express-PM features.
6.4.1. Active-State Power Management
All PCI Express components are required to support the minimum requirements defined
herein for Active State Link PM. This feature must be treated as being orthogonal to the
PCI-PM Software compatible features from a minimum requirements perspective. For
example, the Root Complex is exempt from the PCI-PM Software compatible features
requirements, however they must implement Active State Link PM’s minimum requirements.
Components in the D0 state (i.e., fully active state) normally keep their Upstream Link in the
active L0 state, as defined in Section 6.3.2. Active-state Link power management defines a
protocol for components in the D0 state to reduce Link power by placing their Upstream
Links into a low power state and instructing the other end of the Link to do likewise. This
capability allows hardware-autonomous, dynamic Link power reduction beyond what is
achievable by software-only controlled (i.e., PCI-PM Software driven) power management.
Two low power “standby” Link states are defined for Active State Link Power Management.
The L0s low power Link state is optimized for short entry and exit latencies, while providing
substantial power savings. If the L0s state is enabled in a device, it is required to bring any
transmit Link into L0s state whenever that Link is not in use (refer to Section 6.4.1.1.1 for
details relating to the L0s invocation policy). All PCI Express components must support the
L0s Link state from within the D0 device state.
The L1 Link state is optimized for maximum power savings at a cost of longer entry and exit
latencies. L1 reduces Link power beyond the L0s state for cases where very low power is
required and longer transition times are acceptable. Active State Link PM support for the L1
Link state is optional.
Each PCI Express component must report its level of support for Active State Link Power
Management in the Active State Link PM Support configuration field.
Each PCI Express component shall also report its L0s and L1 exit latency (the time that they
require to transition from the L0s or L1 state to the L0 state). Endpoints must also report
the worst-case latency that they can withstand before risking, for example, internal fifo
overruns due to the transition latency from L0s or L1 to the L0 state. Power management
software can use the provided information to then enable the appropriate level of Active
State Link Power Management.

PCI EXPRESS BASE SPECIFICATION, REV. 1.0
317
The L0s exit latency may differ significantly if the reference clock for opposing sides of a
given Link is provided from the same source, or delivered to each component from a
different source. PCI Express-PM software informs each PCI Express device of its clock
configuration via the “common clock configuration” bit in their PCI Express Capability
Structure’s Link Control Register. This bit serves as the determining factor in the L0s exit
latency value reported by the device. All PCI Express devices power on with Active State
Link Power Management turned off by default. Software can enable active state Link power
management using a process described in Section 6.4.1.3.1.
Power management software enables (or disables) Active State Link Power Management in
each Port of a component by programming the Active State Link PM Control field. Note
that new BIOS code can effectively enable or disable Active State Link PM functionality
even when running with a legacy operating system.
Implementation Note: Isochronous Traffic and Active State Link Power
Management
Isochronous traffic requires bounded service latency. Active State Link Power Management
may add latency to isochronous transactions beyond expected limits. A possible solution
would be to disable Active State Link Power Management for devices that are configured
with an Isochronous Virtual Channel.
Multi-function endpoints may be programmed with different values in their respective
Active_PM_En registers of each function. The policy for such a component will be dictated
by the most active common denominator among all D0 functions according to the following
rules:
• Functions in non-D0 state (D1 and deeper) are ignored in determining the Active State
Link Power Management policy
• If any of the D0 functions has its Active State Power Link Management disabled, (Active
State Link PM Control field = 00b), then Active State Link Power Management is
disabled for the entire component.
• Else, if at least one of the D0 functions is enabled for L0s only (Active State Link PM
Control field = 01b), then Active State Link Power Management is enabled for L0s only
• Else, Active State Link Power Management is enabled for both L0s and L1 states
Note that the components must be capable of changing their behavior during runtime as
devices enter and exit low power device states. For example, if one function within a multi-
function component is programmed to disable Active State Link Power Management, then
Active State Link Power Management will be disabled for that component while that
function is in the D0 state. Once the function transitions to a non-D0 state, Active State
Power Management will be enabled to at least the L0s state if all other functions are enabled
for Active State Link PM.

PCI EXPRESS BASE SPECIFICATION, REV. 1.0
318
6.4.1.1. L0s Active State Link Power Management State
All PCI Express devices must support the L0s low power Link state. All components power
up to a default state where Active State Link PM is disabled.
Transaction Layer and Link Layer timers are not affected by a transition to the L0s state (i.e.,
they must follow the rules as defined in their respective chapters).
Implementation Note: Minimizing L0s Exit Latency
L0s exit latency depends mainly on the ability of the receiver to quickly acquire bit and
symbol synchronization. Different approaches exist for high-frequency clocking solution
which may differ significantly in their L0s exit latency, and therefore in the efficiency of
Active State Link Power Management. To achieve maximum power savings efficiency with
Active State Power Link Management, L0s exit latency should be kept low by proper
selection of the clocking solution.
6.4.1.1.1. Entry to L0s State
Entry into the L0s state is managed separately for each direction of the Link. It is the
responsibility of each device at either end of the Link to initiate an entry into the L0s state
on its transmitting Lanes.
A Port that is disabled for the L0s state must not transition its transmitting Lanes to the L0s
state. It must still however be able to tolerate having its receiver Port Lanes entering L0s, (as
a result of the device at the other end bringing its transmitting Lanes into L0s state), and
then later returning to the L0 state.
L0s Invocation Policy
PCI Express ports that are enabled for L0s entry must transition their transmit Lanes to the
L0s state if the defined idle conditions are met for a specified period of time. The port may
choose this period of time to be anywhere within the range of:
(port’s reported L0s exit latency)/4 ≤ t ≤ port’s reported L0s exit latency
Defining the invocation time as a range enables the tuning of ASPM behavior, balancing
power savings with performance.
Definition of Idle
The definition of “idle” varies with device category
An Endpoint Port or Root Complex Root Port is determined to be idle if the following
conditions are met:
• No TLP is pending to transmit over the Link, or no FC credits are available to
transmit anything
• No ACK, NAK, or ACK Timeout DLLPs are pending for transmission
PCI EXPRESS BASE SPECIFICATION, REV. 1.0
319
A Switch’s upstream Port is determined to be idle if the following conditions are met:
• All of the Switch’s Downstream Port receive Lanes are in the L0s state
• No pending TLPs to transmit, or no FC credits are available to transmit anything
• No ACK, NAK, or ACK Timeout DLLPs are pending for transmission
A Switch’s downstream Port is determined to be idle if the following conditions are met:
• The Switch’s upstream Port’s receive Lanes are in the L0s state
• No pending TLPs to transmit on this Link, or no FC credits are available
• No ACK, NAK, or ACK Timeout DLLPs are pending for transmission
See Section 4.2 for details on L0s entry by the Physical Layer.
6.4.1.1.2. Exit from L0s State
Components from either end of a PCI Express Link may initiate an exit from the L0s low
power Link state.
Note that a transition from the L0s Link state should never depend on the status (or
availability) of FC credits. The Link must be able to reach the Link Active state, and to
exchange FC credits across the Link. For example, if all credits of some type were
consumed when the Link entered L0s, then any component on either side of the Link must
still be able to transition the Link to the L0 state where new credits can be sent across the
Link.
Downstream Initiated Exit
An Endpoint or Switch is permitted to initiate an exit from the L0s low power state on its
transmit Link, (Upstream Port transmit Lanes in the case of a downstream Switch), if it
needs to communicate through the Link. The component initiates a transition to the L0
state on Lanes in the upstream direction as described in Section 4.2.
If the Upstream component is a Switch (i.e., it is not the Root Complex), then it must initiate
a transition on its Upstream Port transmit Lanes (if the Upstream Port’s transmit Lanes are
in a low power state) as soon as it detects an exit from L0s on any of its downstream ports.
Upstream Initiated Exit
The Root Complex or Switch (Downstream Port) is permitted to initiate an exit from L0s
low power state on any of its transmit Links if it needs to communicate through the Link.
The component initiates a transition to the L0 state on Lanes in the downstream direction as
described in Chapter 4.
If the Downstream component is a Switch (i.e., it is not an Endpoint), it must initiate a
transition on all of its Downstream Port transmit Lanes that are in L0s at that time as soon
as it detects an exit from L0s on its Upstream Port. Links that are already in the L0 state do
not participate in the exit transition. Links whose downstream component is in a low power
state (i.e., D1-D3hot states) are also not affected by the exit transitions.

PCI EXPRESS BASE SPECIFICATION, REV. 1.0
320
For example, consider a Switch with an upstream Port in L0s and a downstream device in a
D1 state. A configuration request packet travels downstream to the Switch, intending to
ultimately reprogram the downstream device from D1 to D0. The Switch’s upstream Port
Link will transition to the L0 state to allow the packet to reach the Switch. The downstream
Link connecting to the device in D1 state will not transition to the L0 state yet; it will remain
in the L1 state. The captured packet is checked and routed to the downstream Port that
shares a Link with the downstream device that is in D1. As described in Section 4.2, the
Switch now transitions the downstream Link to the L0 state. Note that the transition to the
L0 state was triggered by the packet being routed to that particular downstream L1 Link, and
not by the transition of the upstream Port’s Link into the L0 state. If the packet’s
destination was targeting a different downstream Link, then that particular downstream Link
would have remained in the L1 state.
6.4.1.2. L1 Active State Link Power Management State
A component may optionally support the Active State Link PM L1 state; a state that
provides greater power savings at the expense of longer exit latency. L1 exit latency is visible
to software, and reported via the configuration status register defined in Section 5.6.
When supported, L1 entry is disabled by default in the Active State Link PM Control
configuration field.
6.4.1.2.1. Entry to L1 State
An Endpoint enabled for L1 Active State Link PM entry may initiate entry into the L1 Link
state.
Implementation Note: Initiating L1
This specification does not dictate when an Endpoint must initiate a transition to the L1
state on its transmit Lanes. The interoperable mechanisms for transitioning into and out of
L1 are defined within this specification, however the specific Active State Link PM policy
governing when to transition into L1 is left to the implementer.
One possible approach would be for the downstream device to initiate a transition to the L1
state once the Link has been in the L0s state for a set amount of time.

PCI EXPRESS BASE SPECIFICATION, REV. 1.0
321
Three power management messages provide support for Active State Link Power
Management of the L1 state:
• PM_ Active_State_Request_L1 (DLLP)
• PM_ Request_ACK (DLLP)
• PM_Active_State_Nak (TLP)
Endpoints that have their Active State Link PM L1 entry enabled negotiate for the resultant
L-state with the component on the upstream end of the Link. If the endpoint receives a
negative acknowledgement in response to its issuance of a PM_ Active_State_Request_L1
DLLP, then the endpoint must enter the L0s state as soon as possible36. Note that the
component on the upstream side of the Link may not support L1 Active State Link PM, or it
may be disabled and so could legitimately respond to the L1 entry request with a negative
acknowledgement.
A Root Complex Root Port, or Switch Downstream Port must accept a request to enter a
low power L1 state if all of the following conditions are true:
• The Port supports Active State Link PM L1 entry, and Active State Link PM L1
entry is enabled.
• No TLP is scheduled for transmission
• No Ack or Nak DLLP is scheduled for transmission
A Switch Upstream Port may request L1 entry on its Link provided all of the following
conditions are true for an implementation specific set amount of time:
• The Upstream Port supports Active State Link PM L1 entry and it is enabled
• All of the Switch’s Downstream Port Links are in the L1 state (or deeper)
• No pending TLPs to transmit
• No pending ACK, NAK, or ACK Timeout DLLPs to transmit
• The Upstream Port’s receive Lanes are idle
If the Switch’s upstream Port receives a negative acknowledgement in response to its
issuance of a PM_Active_State_Request_L1 DLLP, then the Switch’s upstream Port
transmit Lanes must instead transition to the L0s state as soon as possible37.
Note that it is legitimate for a Switch to be enabled for the Active State Link PM L1 Link
state on any of its downstream ports and to be disabled or not even supportive of Active
State Link PM L1 on its upstream Port. In that case, downstream ports may enter the L1
Link state, but the Switch will never initiate an Active State Link PM L1 entry transition on
its upstream Port.
36 Assuming that the conditions for L0s entry are met.
37 Assuming that the conditions for L0s entry are met.
PCI EXPRESS BASE SPECIFICATION, REV. 1.0
322
Active State Link PM L1 Negotiation Rules (see Figure 6-5 and Figure 6-6)
• Upon deciding to enter a low power Link state, the downstream component must block
scheduling of any TLPs (including completion packets).
• The downstream component must wait until it receives a Link layer acknowledgement
for the last TLP it had previously sent. The component may retransmit a TLP if
required by the Link layer rules.
• The downstream component must also wait until it accumulates at least the minimum
number of credits required to send the largest possible packet for any FC type. Note that
this is required so that the component can immediately issue a TLP after it exists the L1
state.
• The downstream component then initiates Active State Link PM negotiation by sending
a PM_Active_State_Request_L1 DLLP onto its transmit Lanes. The downstream
component sends this DLLP continuously until it receives a response from the upstream
device (see below). The downstream component remains in this loop waiting for a
response from the Upstream Agent.
oDuring this waiting period, the downstream component must not initiate any
Transaction Layer transfers. It must still accept TLPs and DLLPs from the
upstream component. It also responds with DLLPs as needed by the Link layer
protocol.
oIf the Downstream component for any reason needs to initiate a transfer on the
Link, it must first complete the transition to the low power Link state. Once in a
lower power Link state, the downstream component is then permitted to exit the
low power Link state to handle the transfer.
• The Upstream component must immediately respond to the request with either an
acceptance or a rejection of the request.
Rules in case of rejection:
• In the case of a rejection, the upstream component must schedule, as soon as possible, a
rejection (NAK) by sending the PM_Active_State_Nak Message to the downstream
requesting agent. Once the PM_Active_State_Nak Message is sent, the upstream
component is permitted to initiate any TLP or DLLP transfers.
• If the request was rejected, the downstream component must immediately transition its
transmit Lanes into the L0s state, provided that conditions for L0s entry are met.
Rules in case of acceptance:
• If the upstream agent is ready to accept the request, it must block scheduling of any
TLPs.
• The upstream component then must wait until it receives a Link layer acknowledgement
for the last TLP it had previously sent. The upstream component may retransmit a TLP
if required by the Link layer rules.
PCI EXPRESS BASE SPECIFICATION, REV. 1.0
323
• The upstream component must also wait until it accumulates at least the minimum
number of credits required to send the largest possible packet for any FC type. Note
that this is required so that the component can immediately issue a TLP after it exists the
L1 state.
• Once all TLPs have been acknowledged and enough FC credits accumulated, the
upstream component sends a PM_Request_Ack DLLP downstream. The upstream
component sends this DLLP continuously until it observes its receive Lanes enter into
the electrical idle state. See Chapter 4 for more details on the physical layer behavior.
• If the Upstream component needs, for any reason, to initiate a transfer on the Link after
it sends a PM_Request_Ack DLLP, it must first complete the transition to the low
power state. It is then permitted to exit the low power state to handle the transfer once
the Link is back to L0.
• When the downstream component detects a PM_Request_Ack DLLP on its receive
Lanes (signaling that the upstream device acknowledged the transition to L1 request), the
downstream component then ceases sending the PM_Active_State_Request_L1 DLLP,
disables its Link layer and brings its transmit Lanes into the electrical idle state.
• When the upstream component detects an electrical idle on its receive Lanes (signaling
that the downstream component has entered the L1 state), it then ceases to send the
PM_Request_Ack DLLP, disables its Link layer and brings the downstream direction of
the Link into the electrical idle state.
Notes:
1. The transaction layer Completion Timeout mechanism is not affected by transition to
the L1 state (i.e., it must keep counting).
2. Flow Control Update timers are frozen while the Link is in L1 state to prevent a timer
expiration that will unnecessarily transition the Link back to the L0 state.

PCI EXPRESS BASE SPECIFICATION, REV. 1.0
324
OM13823
TDPPDT
Upstream component
in active state
5PM_Active_State_NAK
reject Message
Enters L0s state
Downstream component
wishes to enter L1 state
Downstream component blocks
scheduling of new TLPs
Downstream component received
acknowledgment for last TLP
PM_Active_State_Request_L1
DLLP
time
3
2
1
4
6
T - Transaction
D - Data Link
P - Physical
Active
Inactive
Legend:
Upstream Component Downstream Component
Figure 6-5: L1 Transition Sequence Ending with a Rejection
OM13824
TDPPDT
Upstream component
layers in active state
5Upstream component blocks
scheduling of new TLPs
6Upstream component receives
acknowledgment for last TLP
7Upstream component sends
PM_Request_Ack DLLPs
Upstream component
transitions downstream
to electrical idle
Downstream component
transitions upstream
direction to electrical idle
Downstream component
wishes to enter L1 state
Downstream component
blocks scheduling of new TLPs
Downstream component receives
acknowledgment for last TLP
PM_Active_State_Request_L1
DLLPs
time
9
3
2
1
4
8
T - Transaction
D - Data Link
P - Physical
Active
Inactive
Legend:
Upstream Component Downstream Component
Figure 6-6: L1 Successful Transition Sequence
PCI EXPRESS BASE SPECIFICATION, REV. 1.0
325
6.4.1.2.2. Exit from L1 State
Components on either end of a PCI Express Link may initiate an exit from the L1 Link
state. Unlike the L1 entry protocol, where both ends negotiate for the resultant Link state,
L1 exit does not require any negotiation.
Downstream Initiated Exit
An Endpoint or Switch Upstream Port is permitted to initiate an exit from L1 on its transmit
Lanes if it needs to communicate through the Link. The component initiates a transition to
the L0 state as described in Chapter 4. The Upstream component must respond by initiating
a similar transition of its transmit Lanes.
If the Upstream component is a Switch Downstream Port, (i.e., it is not a Root Complex
Root Port), the Switch must initiate an L1 exit transition on its Upstream Port’s transmit
Lanes, (if the Upstream Port’s Link is in the L1 state), as soon as it detects the L1 exit
process on any of its downstream Port links. Since L1 exit latencies are relatively long, a
Switch must not wait until its Downstream Port Link has fully exited to L0 before initiating
an L1 exit transition on its Upstream Port Link. Waiting until the downstream Link has
completed the L0 transition will cause a message traveling though several PCI Express
switches to experience accumulating latency as it traversed each Switch.
A Switch is required to initiate an L1 exit transition on its Upstream Port Link after no more
than 1 µs from the beginning of an L1 exit transition on any of its downstream Port links.
Refer to Section 4.2 for details of the Physical Layer signaling during L1 exit.
Consider the example in Figure 6-7. The numbers attached to each Port represent the
corresponding Port’s reported transmit Lanes L1 exit latency in units of microseconds.
Links 1, 2, and 3 are all in the L1 state, and Endpoint C initiates a transition to the L0 state
at time T. Since Switch B takes 32 µs to exit L1 on its ports, Link 3 will transition to the L0
state at T+32 (longest time considering T+8 for the Endpoint C, and T+32 for Switch B).
Switch B is required to initiate a transition from L1 state on its Upstream Port Link (Link 2)
after no more than 1 µs from the beginning of the transition from L1 state on Link 3.
Therefore, transition to the L0 state will begin on Link 2 at T+1. Similarly, Link 1 will start
its transition to L0 state at time T+2.
Following along as above, Link 2 will complete its transition to the L0 state at time T+33
(since Switch B takes longer to transition and it started at time T+1). Link 1 will complete
its transition to the L0 state at time T+34 (since the Root Complex takes 32 µs to transition
and it started at time T+2).
Therefore, between Links 1, 2, and 3, the Link to complete the transition to L0 state last is
Link 1 with a 34 µs delay. This is the delay experienced by the packet that initiated the
transition in Endpoint C.

PCI EXPRESS BASE SPECIFICATION, REV. 1.0
326
8
8
8
8
32
32
32
32
32
8
Root
Switch A
Switch B
E
ndpoint C
L1 Exit latency
for this port is
8
µ
sLink 1
Link 2
Link 3
Figure 6-7: Example of L1 Exit Latency Computation
Switches are not required to initiate an L1 exit transition on other of its Downstream Port
Links.
Upstream Initiated Exit
A Root Complex, or a Switch is permitted to initiate an exit from L1 on any of its Root
Ports, or Downstream Port Links if it needs to communicate through that Link. The
component initiates a transition to the L0 state as described in Chapter 4. The Downstream
component must respond by initiating a similar transition on its transmit Lanes.
If the Downstream component is a Switch (i.e., it is not an Endpoint), it must initiate a
transition on all of its Downstream Links (assuming the Downstream Link is in an Active
State Link Power Management L1 state) as soon as it detects an exit from L1 state on its
upstream Port Link. Since L1 exit latencies are relatively long, a Switch must not wait until
its Upstream Port Link had fully exited to L0 before initiating an L1 exit transition on its
Downstream Port Links. If that were the case, a message traveling though multiple PCI
Express switches would experience accumulating latency as it traverses each Switch.
A Switch is required to initiate a transition from L1 state on all of its Downstream Port
Links that are currently in L1 after no more than 1 µs from the beginning of a transition
from L1 state on its Upstream Port. Refer to Section 4.2 for details of the Physical Layer
signaling during L1 exit. Downstream Port Links that are already in the L0 state do not
participate in the exit transition. Downstream Port Links whose downstream component is

PCI EXPRESS BASE SPECIFICATION, REV. 1.0
327
in a low power D-state (D1-D3hot) are also not affected by the L1 exit transitions (i.e., such
Links must not be transitioned to the L0 state).
6.4.1.3. Active State Link PM Configuration
All PCI Express functions must implement the following configuration bits in support of
Active State Link PM. Refer to Chapter 5 for configuration register assignment and access
mechanisms.
Each PCI Express component reports its level of support for Active State Link Power
Management in the Active State Link PM Support configuration field below. All PCI
Express components must support transition to the L0s Link state. Support for transition to
the L1 Link state while in D0active state is optional.
Table 6-3: Encoding of the Active State Link PM Support Field
Field Read/
Write Default
Value Description
Active State Link PM
Support RO must be
01b
or
11b
00b –Reserved
01b –L0s supported
10b –Reserved
11b –L0s and L1 supported
Each PCI Express component reports the source of its reference clock in its “Slot Clock
Configuration bit” located in its PCI Express Capability Structure’s Link Status Register.
Table 6-4: Description of the Slot Clock Configuration Field
Field Read/
Write Default
Value Description
Slot Clock
Configuration RO HWInit This bit indicates that the component
uses the same physical reference clock
that the platform provides on the
connector. If the device uses an
independent clock irrespective of the
presence of a reference on the
connector, this bit must be clear. For
root and switch downstream ports, this
bit when set, indicates that the
downstream port is using the same
reference clock as the downstream
device or the slot. For switch and bridge
upstream ports, this bit when set,
indicates that the upstream port is using
the same reference clock that the
platform provides. Otherwise it is clear.
Each PCI Express component must support the Common Clock Configuration bit in their
PCI Express Capability Structure’s Link Command Register. Software writes to this register

PCI EXPRESS BASE SPECIFICATION, REV. 1.0
328
bit to indicate to the device whether it is sharing the same clock source as the device on the
other end of the Link.
Table 6-5: Description of the Common Clock Configuration Field
Field Read/
Write Default
Value Description
Common Clock
Configuration RW 0 This bit when set indicates that this
component and the component at the
opposite end of the Link are operating
withacommonclocksource. Avalueof
0 indicates that this component and the
component at the opposite end of the
Link are operating with separate
reference clock sources. Default value
of this field is 0. Components utilize this
common clock configuration information
to report the correct L0s and L1 Exit
Latencies.
Each PCI Express component reports the L0s and L1 exit latency (the time that they require
to transition their transmit Lanes from the L0s or L1 state to the L0 state) in the L0s Exit
Latency and the L1 Exit Latency configuration fields, respectively.
Table 6-6: Encoding of the L0s Exit Latency Field
Field Read/
Write Default
Value Description
L0s Exit Latency RO N/A 000b –Less than 64 ns
001b –64 ns-128 ns
010b –128 ns-256 ns
011b –256 ns-512 ns
100b –512 ns-1 µs
101b – 1 µs-2 µs
110b – 2 µs-4 µs
111b –Reserved

PCI EXPRESS BASE SPECIFICATION, REV. 1.0
329
Table 6-7: Encoding of the L1 Exit Latency Field
Field Read/
Write Default
Value Description
L1 Exit Latency RO N/A 000b –Less than 1 µs
001b – 1 µs-2 µs
010b – 2 µs-4 µs
011b – 4 µs-8 µs
100b – 8 µs-16 µs
101b –16 µs-32 µs
110b –32 µs-64 µs
111b –L1 transition not supported
Endpoints also report the additional latency that they can absorb due to the transition from
L0s state or L1 state to the L0 state. This is reported in the Endpoint L0s Acceptable
Latency and Endpoint L1 Acceptable Latency fields, respectively.
Power management software, using the latency information reported by all components in
the PCI Express Hierarchy, can enable the appropriate level of Active State Link Power
Management by comparing exit latency for each given path from root to Endpoint against
the acceptable latency that each corresponding Endpoint can withstand.
Table 6-8: Encoding of the Endpoint L0s Acceptable Latency Field
Field Read/
Write Default
Value Description
Endpoint L0s
Acceptable Latency RO N/A 000b –Less than 64 ns
001b –64 ns-128 ns
010b –128 ns-256 ns
011b –256 ns-512 ns
100b –512 ns-1 µs
101b – 1 µs-2 µs
110b – 2 µs-4 µs
111b –More than 4 µs

PCI EXPRESS BASE SPECIFICATION, REV. 1.0
330
Table 6-9: Encoding of the Endpoint L1 Acceptable Latency Field
Field Read/
Write Default
Value Description
Endpoint L1
Acceptable Latency RO N/A 000b –Less than 1 µs
001b – 1 µs-2 µs
010b – 2 µs-4 µs
011b – 4 µs-8 µs
100b – 8 µs-16 µs
101b –16 µs-32 µs
110b –32 µs-64 µs
111b –More than 64 µs
Power management software enables (or disables) Active State Link Power Management in
each component by programming the Active State Link PM Control field.
Table 6-10: Encoding of the Active State Link PM Control Field
Field Read/
Write Default
Value Description
Active State Link PM
Control R/W 00b 00b –Disabled
01b –L0s Entry Enabled
10b –Reserved
11b –L0s and L1 Entry enabled
Active State Link PM Control = 00
Port must not bring a Link into L0s state.
Ports connected to the Downstream end of the Link must not issue a
PM_Active_State_Request_L1 DLLP on its Upstream Link.
Ports connected to the Upstream end of the Link receiving L1 request must respond with
negative acknowledgement.
Active State Link PM Control = 01
Port must bring a Link into L0s state if all conditions are met.
Ports connected to the Downstream end of the Link must not issue a
PM_Active_State_Request_L1 DLLP on its Upstream Link.
Ports connected to the Upstream end of the Link receiving L1 request must respond with
negative acknowledgement.
PCI EXPRESS BASE SPECIFICATION, REV. 1.0
331
Active State Link PM Control = 11
Port must bring a Link into L0s state if all conditions are met.
Ports connected to the Downstream end of the Link may issue
PM_Active_State_Request_L1 DLLPs.
Ports connected to the Upstream end of the Link must respond with positive
acknowledgement to L1 request and transition into L1 if conditions for Root Complex Root
Port or Switch downstream Port in Section 6.4.1.2.1 are met.
6.4.1.3.1. Software Flow for Enabling Active State Link Power
Management
Following is an example software algorithm that highlights how to enable active state Link
power management in a PCI Express component.
• PCI Express components power up with active state Link power management disabled
• PCI Express components power up with an appropriate value in their “Slot Clock
Configuration” bit. The method by which they initialize this bit is device-specific
• PCI Express system software scans the “Slot Clock Configuration” bit in the
components on both ends of each Link to determine if both are using the same
reference clock source or reference clocks from separate sources. If the “Slot Clock
Configuration” bits in both devices are set, then they are both using the same reference
clock source, otherwise not
• PCI Express software updates the “Common Clock Configuration” bits in the
components on both ends of each Link to indicate if those devices share the same
reference clock
• Devices must reflect the appropriate L0s/L1 exit latency in their “L0s/L1 exit latency
register bits,” per the setting of the "Common Clock Configuration" bit
• PCI Express system software then reads and adds up the L0s/L1 exit latency numbers
from all components on a given PCI Express hierarchy reaching up to each endpoint
component
• For each endpoint component, PCI Express system software examines the “Endpoint
L0s/L1 Acceptable Latency,” as reported by the endpoint component in their Link
Capabilities register, and enables (or leaves disabled) L0s/L1 entry (via the Active State
Lin PM Control bits in the Link Control register) accordingly in some or all of the
intervening device ports on that hierarchy
PCI EXPRESS BASE SPECIFICATION, REV. 1.0
332
6.5. Auxiliary Power Support
6.5.1. Auxiliary Power Enabling
The PCI-PM specification requires that a function must support PME generation in order to
consume the maximum allowance of auxiliary current (375 mA vs. 20 mA). However, there
are instances where functions need to consume power even if they are "PME Disabled," or
PME incapable by design. One example is a component with its system management mode
active during a system low power state.
PCI Express PM provides a new control bit, “Aux_En,” that provides the means for
enabling a function to draw the maximum allowance of auxiliary current independent of its
level of support for PME generation.
A PCI Express function requests aux power allocation by specifying a non-zero value in the
Aux_Current field of the Power Management Capabilities Register (PMC). Refer to
Chapter 5 for the Aux_En register bit assignment, and access mechanism.
Legacy PCI-PM software is unaware of this new bit and will only be able to enable aux
current to a given function based on the function’s reported PME support, the Aux_Current
field value and the function’s PME_Enable bit.
Allocation of aux power using Aux_En is determined as follows:
Aux_En=1b:
Aux power is allocated as requested in the Aux_Current field of the Power Management
Capabilities Register (PMC), independent of the PME_En bit in the Power Management
Control/Status Register (PMCSR). The PME_En bit still controls the ability to master
PME.
Aux_En = 0b:
Aux power allocation is controlled by the PME_En bit as defined in the PCI-PM
specification.
The Aux_En bit is sticky meaning that its state is not affected by transitions from the D3cold
to the D0Uninitilaized state.

PCI EXPRESS BASE SPECIFICATION, REV. 1.0
333
6.6. Power Management System Messages and
DLLPs
Table 6-11 defines the location of each PM packet in the PCI Express stack.
Table 6-11: Power Management System Messages and DLLPs
Packet Type
PM_Enter_L1 DLLP
PM_Enter_L23 DLLP
PM_Active_State_Request_L1 DLLP
PM_Request_Ack DLLP
PM_Active_State_Nak Transaction Layer message
PM_PME Transaction Layer message
PME_Turn_Off Transaction Layer message
PME_TO_Ack Transaction Layer message
6.6.1. Power Management System Messages
Power management messages follow the general rules for PCI Express system messages.
Message fields follow the following rules:
• Length Field is reserved.
• Attribute Field must be set to the default values (all 0’s).
• Address Filed is reserved.
• Requester ID
oPM_PME message
Endpoints report their upstream Link bus number and the device and
function number where the PME originated.
PCI Express to PCI Bridges - When the PME comes from a legacy agent
on a PCI bus downstream, then the PM_PME Message requester ID
reports the legacy bus number where the PME originated from, and the
device and function number reported must both be zero. When the PCI
Express-PCI bridge initiates an internal PME message (e.g., at time when
hot plug event comes in and the SHPC is in non-D0 state), the requester
ID is the bus number associated with that function. The device # and
function # are whatever internal function needs to be awakened, e.g., the
SHPC function in this example. In the example depicted in Figure 6-8, a
PME is generated by the SHPC function. The requester ID in the
PM_PME message contains bus = 7, device = 1, function = 1.

PCI EXPRESS BASE SPECIFICATION, REV. 1.0
334
oAll other messages report their upstream Link bus number, and device and
function number must both be zero.
• Virtual Channel Field must use the default virtual channel (VC0)
P2P
bridge
3GIO-PCI
Legacy Bridge
Bus 6
Bus 7
Bus 8 Bus 9
Function 0: p2p bridge
(downstream port)
Function 1: SHPC
P2P
bridge
P2P
bridge
Function 0: p2p bridge
(upstream port)
Function 0: p2p bridge
(downstream port)
Dev(0)
Dev(1)
Dev(0)
Bus8 Wire’or
PME#
signal
Bus9 Wire’or
PME#
signal
Figure 6-8: Example of PME Message Addressing in a PCI Express-to-PCI Bridge
6.6.2. Power Management DLLPs
For information on the structure of the power management DLLPs, refer to Section 3.4.

PCI EXPRESS BASE SPECIFICATION, REV. 1.0
335
7. PCI Express System Architecture
This chapter addresses various aspects of PCI Express interconnect architecture in a
platform context. It covers the details of interrupt support, error signaling and logging, VCs,
isochronous support, Hot Plug, and Lock.
7.1. Interrupt Support
The PCI Express interrupt model supports two mechanisms:
• INTx emulation
• Message Signaled Interrupt (MSI) Support.
For legacy compatibility, PCI Express provides a PCI INTx emulation mechanism to signal
interrupts to the system interrupt controller (typically part of the system core-logic). This
mechanism is compatible with existing PCI software, and provides the same level and type
of service as corresponding PCI interrupt signaling mechanism and is independent of system
interrupt controller specifics. This legacy compatibility mechanism allows boot device
support without requiring complex BIOS-level interrupt configuration/control service
stacks. It virtualizes PCI physical interrupt signals by using an in-band signaling mechanism.
In addition to PCI INTx compatible interrupt emulation, PCI Express requires support of
Message Signaled Interrupt (MSI) mechanism. The PCI Express MSI mechanism is
compatible with the MSI capability defined in the PCI 2.3 Specification.
7.1.1. Rationale for PCI Express Interrupt Model
PCI Express takes an evolutionary approach from PCI with respect to interrupt support.
As required for PCI/PCI-X interrupt mechanisms, each device is required to differentiate
between INTx (legacy) and MSI (native) modes of operation. The PCI Express device
complexity required to support both schemes is no different than that for PCI/PCI-X
devices today. The advantages of this approach include:
• Compatibility with existing PCI software models
• Direct support for boot devices
• Easier End of Life (EOL) for INTx legacy mechanisms.
Existing software model is used to differentiate legacy (INTx) vs. MSI modes of operation;
thus, no special software support is required for PCI Express.
7
PCI EXPRESS BASE SPECIFICATION, REV. 1.0
336
7.1.2. PCI Compatible INTx Emulation
PCI Express supports the PCI interrupts as defined in the PCI Specification, rev. 2.3
including the Interrupt Pin and Interrupt Line registers of the PCI configuration space for
PCI devices. PCI Express devices support these registers for backwards compatibility;
however, interrupts are asserted using in-band messages in the form of Transaction Layer
Packets (TLPs) rather than asserting physical pins.
PCI Express defines two message Transactions, Assert_INTx and Deassert_INTx, for
emulation of PCI INTx signaling, where x is A, B, C, and D for respective PCI interrupt
signals. These messages are routed to the Root Complex where the Requester ID
information (included in all requestor packets) enables flexibility in mapping device
interrupts to the system interrupt controller. PCI Express devices must use assert/de-assert
messages in pairs to emulate PCI interrupt level-triggered signaling. Actual mapping of PCI
Express INTx emulation to system interrupts is implementation specific as is mapping of
physical interrupt signals in PCI today.
The legacy INTx emulation mechanism may be depreciated in a future version of this
specification.
7.1.3. INTx Emulation Software Model
The software model for legacy INTx emulation matches that of PCI. The system BIOS
reporting of chipset/platform interrupt mapping and the association of a device’s interrupt
with PCI interrupt lines is handled in exactly the same manner as with previous PCI systems.
Legacy software reads from the device’s Interrupt Pin register to determine if the device is
interrupt driven. A value between 01 and 04 indicates that the device uses interrupt pin to
generate an interrupt.
Note that similarly to physical interrupt signals, the INTx emulation mechanism may
potentially cause spurious interrupts that must be handled by the system software.
7.1.4. Message Signaled Interrupt (MSI) Support
The Message Signaled Interrupt (MSI) capability is defined in the PCI 2.3 Specification.
MSI interrupt support, which is optional for PCI 2.3 devices, is required for PCI Express
devices. MSI-capable devices deliver interrupts by performing memory write transactions.
MSI is an edge-triggered interrupt; interrupt sharing is prohibited when using MSI.
Neither the PCI 2.3 Specification nor this specification support level-triggered MSI
interrupts.
Note that, unlike INTx emulation messages, MSIs are not restricted to TC0.
PCI EXPRESS BASE SPECIFICATION, REV. 1.0
337
7.1.5. MSI Software Model
It is the system software’s responsibility to ensure that multiple MSI-capable devices cannot
generate the same interrupt message.
It is implementation specific whether an interrupt message is accepted or potentially lost
when an interrupt with the same interrupt message vector is already in service. Additional
interrupt messages with same vector may be potentially lost depending on the specifics of
the core-logic (i.e., chipset) and system interrupt controller implementation.
MSI-capable devices that require servicing of every interrupt message must not generate
multiple outstanding interrupt messages with the same vector. These devices must not
generate another interrupt message until the device driver indicates that the previous
interrupt message of the same vector was serviced. The device driver might indicate that an
interrupt is serviced by reading the device’s interrupt status register.
For particular usage model it might be acceptable to generate a new MSI message without
requiring the device driver to acknowledge the previous interrupt message. A common
example occurs with timers (e.g., timer interrupts). There is no guarantee that all the
interrupt messages from such a device will be serviced. If all interrupt events must be
recognized in a deterministic manner, devices that are source of interrupts must not generate
successive MSIs without having an explicit acknowledgement that each MSI has been
detected and serviced. This explicit acknowledgement is typically supported by interrupt
handler software reading or writing to a particular internal status or control register of
interrupting device. Details of this “handshake” mechanism such as using either a read or
write synchronizing operation and the location and type of address space (Memory, I/O, or
Configuration space) of a control/status register, are implementation specific. Note,
however, that for the purpose of supporting synchronization between hardware (interrupt
source) and software (interrupt handler), it is recommended to use memory-mapped register
locations.
Certain PCI devices and their drivers rely on INTx-type level-triggered interrupt behavior
(addressed by the PCI Express legacy INTx emulation mechanism). These devices and their
drivers must be redesigned to take advantage of the MSI capability and edge-triggered
interrupt semantics.
7.1.6. PME Support
PCI Express supports power management events from native PCI Express devices as well as
PME-capable PCI devices.
PME signaling is accomplished using an in-band transaction layer PME message (PM_PME)
as described in Chapter 6.
PCI EXPRESS BASE SPECIFICATION, REV. 1.0
338
7.1.7. PME Software Model
From a software standpoint, PME behaves like an edge-triggered interrupt. This is different
from the level-triggered PME mechanism used for PCI. However, this does not impact
operating system software compatibility as PME reporting to the operating system is
abstracted by the ACPI BIOS. Current ACPI-compatible operating systems support both
edge-triggered and level-triggered modes for PME.
To signal PME, a PCI Express device generates a PME message on the PCI Express Link.
System power management logic that is typically part of the core-logic (chipset), receives this
PME message and asserts a ACPI General Purpose Event (GPE) corresponding to the PME
message. ACPI ASL code may utilize the PCI Express Requestor ID in the PM_PME to
inform the operating system which device caused the wake.
Note that PCI Express architecture guarantees that the PME message is delivered reliably
since PCI Express Messages are communicated using TLPs. For more details on PME
signaling, see Chapter 6 (Power Management) of this specification.
7.1.8. PME Routing Between PCI Express and PCI
Hierarchies
PME-capable PCI devices assert the PME# pin to signal a power management event. The
physical PME signal from PCI devices may either be converted to PCI Express a in-band
PME message by a PCI Express-PCI bridge or routed directly to a GPE pin on the core
logic chipset. Delivery of PME signaling from PCI devices is implementation specific as it is
in PCI-based systems today. When converting from PCI level-triggered PME signaling to
edge-triggered PCI Express PME messages, care must be taken not to lose any PMEs from
PCI devices. Such a conversion mechanism may also result in spurious PMEs being
generated.
7.2. Error Signaling and Logging
In this document, errors which must be checked and errors which may optionally be
checked are identified. Each such error is associated either with the Port or with a specific
device (or function in a multi-function device), and this association is given along with the
description of the error. This section will discuss how errors are classified and reported.
7.2.1. Scope
This section explains the error signaling and logging requirements for PCI Express
components. This includes errors which occur on the PCI Express interface itself and those
errors which occur on behalf of transactions initiated on PCI Express. This section does not
focus on errors which occur within the component that are unrelated to a particular PCI
Express transaction. This type of error signaling is better handled through proprietary
methods employing device-specific interrupts.

PCI EXPRESS BASE SPECIFICATION, REV. 1.0
339
PCI Express defines two error reporting paradigms: the baseline capability and the
Advanced Error Reporting capability. The baseline error reporting capabilities are required
of all PCI Express devices and define the minimum error reporting requirements. The
Advanced Error Reporting capability is defined for more robust error reporting and is
implemented with a specific PCI Express capability structure (refer to Chapter 5 for a
definition of this optional capability). This section explicitly calls out all error handling
differences between the baseline and the Advanced Error Reporting capability.
All PCI Express devices support existing, non-PCI Express-aware, software for error
handling by mapping PCI Express errors to existing PCI reporting mechanisms, in addition
to the PCI Express-specific mechanisms.
7.2.2. Error Classification
PCI Express errors can be classified as two types: Uncorrectable errors and Correctable
errors. This classification separates those errors resulting in functional failure from those
errors resulting in degraded performance. Uncorrectable errors can further be classified as
Fatal or Non-Fatal.
DLNK TXN
Correctable Errors Uncorrectable Errors
DLNK TXN
PHY PHY
ERR_COR
ERR_UNC
ERR_FATAL
Figure 7-1: Error Classification
Classification of error severity as Fatal, Uncorrectable, and Correctable provides the
platform with mechanisms for mapping the error to a suitable handling mechanism. For
example, the platform might choose to respond to correctable errors with low priority,
performance monitoring software. Such software could count the frequency of correctable
errors and provide Link integrity information. On the other hand, a platform designer might
choose to map fatal errors to a system-wide reset. It is the decision of the platform designer
to map these PCI Express severity levels onto platform level severities.
PCI EXPRESS BASE SPECIFICATION, REV. 1.0
340
7.2.2.1. Correctable Errors
Correctable errors include those error conditions where the PCI Express protocol can
recover without any loss of information. Hardware corrects these errors and software
intervention is not required. For example, an LCRC error in a TLP which is corrected by
Data Link Level Retry is considered a correctable error. Logging the frequency of
correctable errors may be helpful for profiling the integrity of a Link.
7.2.2.2. Uncorrectable Errors
Uncorrectable errors are those error conditions that impact functionality of the interface.
There is no PCI Express mechanism defined in this specification to correct these errors.
For more robust error handling by the system, PCI Express further classifies uncorrectable
errors as Fatal and Non-fatal.
7.2.2.2.1. Fatal Errors
Fatal errors are uncorrectable error conditions which render the particular PCI Express Link
and related hardware unreliable. For fatal errors, a reset of the Link may be required to
return to reliable operation. Platform handling of fatal errors, and any efforts to limit the
effects of these errors, is platform implementation specific.
Comparing with PCI/PCI-X, reporting a fatal error is somewhat analogous to asserting
SERR#.
7.2.2.2.2. Non-Fatal Errors
Non-fatal errors are uncorrectable errors which cause a particular transaction to be
unreliable but the Link is otherwise fully functional. Isolating non-fatal from fatal errors
provides system management software the opportunity to recover from the error without
resetting the Link(s) and disturbing other transactions in progress. Devices not associated
with the transaction in error are not impacted by the error.
7.2.3. Error Signaling
There are two complementary mechanisms in PCI Express which allow the agent detecting
an error to alert the system or the initiating device that an error has occurred. The first
mechanism is through a Completion Status and the second method is with in-band error
messages.
Note that it is the responsibility of the agent detecting the error to signal the error
appropriately.
Section 7.2.5 enumerates all the errors and how the hardware is required to respond when
the error is detected.

PCI EXPRESS BASE SPECIFICATION, REV. 1.0
341
7.2.3.1. Completion Status
The Completion Status field in the Completion header indicates when the associated
Request failed (refer to Section 2.7.5). This is the only method of error reporting in PCI
Express which enables the Requestor to associate an error with a specific Request. In other
words, since Non-Posted Requests are not considered complete until after the Completion
returns, the Completion Status field gives the initiator an opportunity to “fix” the problem at
some higher level protocol (outside the scope of this specification). For example, if a Read
is issued to prefetchable memory space and the Completion returns with a Unsupported
Request Completion Status, perhaps due to a temporary condition, the initiator may choose
to reissue the Read Request without side effects. Note that from a PCI Express point of
view, the reissued Read Request is a distinct Request, and there is no relationship (on PCI
Express) between the first Request and the reissued Request.
7.2.3.2. Error Messages
Error messages are sent to the Root Complex for reporting the detection of errors according
to the severity of the error.
When multiple errors of the same severity are detected, the corresponding error messages
may be merged for different errors of the same severity. At least one error message must be
sent for detected errors of each severity level.
Table 7-1: Error Messages
Error Message Description
ERR_COR This Message is issued when the component or device detects a
correctable error on the PCI Express interface. Refer to
Section 7.2.2.1 for the definition of a correctable error.
ERR_NONFATAL This Message is issued when the component or device detects a
non-fatal, uncorrectable error on the PCI Express interface. Refer to
Section 7.2.2.2.2 for the definition of a non-fatal, uncorrectable error.
ERR_FATAL This Message is issued when the component or device detects a
fatal, uncorrectable error on the PCI Express interface. Refer to
Section 7.2.2.2.1 for the definition of a fatal, uncorrectable error.
For these Messages, the Root Complex identifies the initiator of the Message by the
Requester ID of the Message Header. The Root Complex translates these error Messages
into platform level events.
7.2.3.2.1. Uncorrectable Error Severity Programming (Advanced Error
Reporting)
For devices implementing the Advanced Error Reporting capability, the Uncorrectable
Errors Severity register allows each uncorrectable error to be programmed to Fatal or Non-
Fatal. Uncorrectable errors are not recoverable using defined PCI Express mechanisms.
However, some platforms or devices might consider a particular error fatal to a Link or
device while another platform considers that error non-fatal. The default value of the
PCI EXPRESS BASE SPECIFICATION, REV. 1.0
342
Uncorrectable Errors Severity register serves as a starting point for this specification but the
register can be reprogrammed if the device driver or platform software requires more robust
error handling.
Baseline error handling does not support severity programming.
7.2.3.2.2. Masking Error Messages
Section 7.2.5 lists all the errors governed by this specification and enumerates when each of
the above error messages are issued. For devices implementing the Advanced Error
Reporting capability, each of the errors are captured in the Uncorrectable Error Status
register or Correctable Error Status register. The Uncorrectable Errors Mask register and
Correctable Errors Mask register allows each error condition to be masked independently.
For devices that do not implement the Advanced Error Reporting capability, errors are
reported with the Error Status field of the Link Status register and masked with the Error
Control field of the Link Command register (see Section 5.6).
When an error is masked, it is still logged but the error reporting Message is not sent to the
Root Complex. Errors masked with the Link Command register are masked independent of
the bit settings in the Uncorrectable Errors Mask register and Correctable Errors Mask
register.
7.2.3.2.3. Error Pollution
Error pollution can occur if error conditions for a given transaction are not isolated to the
error’s first occurrence. For example, assume the Physical Layer detects a Receiver Error.
This error is detected at the Physical Layer and an error is reported to the Root Complex.
To avoid having this error propagate and cause subsequent errors at upper layers (for
example, a TLP error at the Data Link Layer), making it more difficult to determine the root
cause of the error, subsequent errors which occur for the same packet will not be signaled at
the Data Link or Transaction layers. Similarly, when the Data Link layer detects an error,
subsequent errors which occur for the same packet will not be signaled at the Transaction
layer. This behavior applies only to errors which are associated with a particular packet –
other errors are reported for each occurrence.
PCI EXPRESS BASE SPECIFICATION, REV. 1.0
343
7.2.4. Error Logging
Section 7.2.5 lists all the errors governed by this specification and for each error, the logging
requirements are specified. devices that do not support the Advanced Error Reporting
capability log only the Link Status register bits indicating that a Correctable, Uncorrectable-
Non-fatal, or Uncorrectable-Fatal error has occurred. Note that some errors are also
reported using the reporting mechanisms in the PCI compatible (Type 00h and 01h)
configuration registers. Section 5.5 describes how these register bits are affected by the
different types of error conditions described in this section.
For devices supporting the Advanced Error Reporting capability, each of the errors in
Table 7-2, Table 7-3: and Table 7-4 corresponds to a particular bit in the Uncorrectable
Error Status register or Correctable Error Status register, except for Unsupported Request,
which is covered in the PCI Express device registers directly (see Section 5.8). These
registers are used by software to determine more precisely which error and what severity
occurred. For many of the Transaction Layer errors the associated TLP Header is logged in
the Header Log register. This helps system software to isolate errors to a particular
application, and is useful for robust error handling by allowing system software to keep the
remainder of the platform running normally.
7.2.4.1. Root Complex Considerations (Advanced Error
Reporting)
In addition to the above logging, a Root Complex that supports the Advanced Error
Reporting capability is required to implement the Error Source Identification register, which
records the Requester ID of the first ERR_NONFATAL/ERR_FATAL (uncorrectable
errors) and ERR_COR (correctable errors) messages received by the Root Complex. System
software written to support Advanced Error Reporting can use the Root Port Error Status
register to determine which fields hold valid information.
7.2.4.2. Multiple Error Handling (Advanced Error Reporting
Capability)
For the Advanced Error Reporting capability, the Uncorrectable Error Status register and
Correctable Error Status register accumulate the collection of errors which occur on that
particular PCI Express interface. The bits remain set until explicitly cleared by software or
reset. Since multiple bits might be set in the Uncorrectable Error Status register, the First
Error Pointer register points to the uncorrectable error that occurred first, except in the case
where a non-fatal uncorrectable error is followed by a fatal error, in which case the
information for the first fatal error is stored. Likewise, the TLP Header Log register stores
the Header for the first occurrence of a particular severity error, but is replaced when a
higher severity error is detected. For example: The TLP Header Log register is loaded due
to a correctable error, a subsequent correctable error leaves the TLP Header Log register
unmodified, but a following uncorrectable error causes the replacement of the original
contents of the TLP Header Log register.

PCI EXPRESS BASE SPECIFICATION, REV. 1.0
344
7.2.5. Error Listing and Rules
The tables below list all of the PCI Express errors which are defined by this specification.
Each error is listed with a short-hand name, how the error is detected in hardware, the
default severity of the error, and the expected action taken by the agent which detects the
error. These actions form the rules for PCI Express error reporting and logging.
The Default Severity column specifies the default severity for the error without any software
reprogramming. For devices supporting the Advanced Error Reporting capability, the
uncorrectable errors are programmable to Fatal or Non-fatal with the Error Severity register.
Devices without Advanced Error Reporting capability use the default associations and are
not reprogrammable.
Table 7-2: Physical Layer Error List
Error Name Default
Severity Detecting Agent Action
Receiver Error Correctable Receiver (if checking):
Send ERR_CORR to Root Complex unless
masked.
Training Error Uncorrectable
(Fatal) If checking, send ERR_FATAL/ERR_NONFATAL
to Root Complex38 unless masked
Table 7-3: Data Link Layer Error List
Error Name Severity Detecting Agent Action
Bad TLP Receiver:
Send ERR_CORR to Root Complex unless
masked.
If the detecting agent supports the Advanced
Error Reporting Capability, log the header of the
TLP that encountered the error. Note that the
header may be unreliable.
Bad DLLP Receiver:
Send ERR_CORR to Root Complex unless
masked.
Replay Timeout Transmitter:
Send ERR_CORR to Root Complex unless
masked.
REPLAY NUM
Rollover
Correctable
Transmitter:
Send ERR_CORR to Root Complex unless
masked.
38 Only the component closer to the Root Complex is typically capable of sending the error Message.

PCI EXPRESS BASE SPECIFICATION, REV. 1.0
345
Error Name Severity Detecting Agent Action
Data Link Layer
Protocol Error Uncorrectable
(Fatal) If checking, send ERR_FATAL/ERR_NONFATAL
to Root Complex unless masked.
Table 7-4: Transaction Layer Error List
Error Name Severity Detecting Agent Action
Poisoned TLP
Received Receiver (if data poisoning is supported):
Send ERR_NONFATAL/ ERR_FATAL to Root
Complex unless masked.
If the detecting agent supports the Advanced
Error Reporting Capability, log the header of the
poisoned TLP.
ECRC Check Receiver:
Send ERR_NONFATAL/ ERR_FATAL to Root
Complex unless masked.
If the detecting agent supports the Advanced
Error Reporting Capability, log the header of the
TLP that encounter the ECRC error.
Unsupported
Request (UR) Request Receiver:
Send ERR_NONFATAL/ ERR_FATAL to Root
Complex unless masked.
If the detecting agent supports the Advanced
Error Reporting Capability, log the header of the
transaction that encountered the error.
Completion
Timeout Requester:
Send ERR_NONFATAL/ERR_FATAL to Root
Complex.
Completer
Abort Completer (if device generates Completer Abort
status):
Send ERR_NONFATAL/ERR_FATAL to Root
Complex.
Unexpected
Completion
Uncorrectable
(Non-Fatal)
Receiver:
Send ERR_NONFATAL/ERR_FATAL to Root
Complex.
If the detecting agent supports the Advanced
Error Reporting Capability, log the header of the
Completion that encountered the error.
Note that if Unexpected Completion is a result of
misrouting, the Completion Timeout mechanism
will be triggered at the original Requester.
Receiver
Overflow Uncorrectable
(Fatal) Receiver (if checking):
Send ERR_FATAL/ERR_NONFATAL to Root
Complex.

PCI EXPRESS BASE SPECIFICATION, REV. 1.0
346
Error Name Severity Detecting Agent Action
Flow Control
Protocol Error Receiver (if checking):
Send ERR_FATAL/ERR_NONFATAL to Root
Complex.
Malformed TLP Receiver:
Send ERR_FATAL/ERR_NONFATAL to Root
Complex.
If the detecting agent supports the Advanced
Error Reporting Capability, log the header of the
TLP that encountered the error.
7.2.5.1. PCI Mapping
In order to support PCI driver and software compatibility, PCI Express error conditions,
where appropriate, must be mapped onto the PCI Status register bits for error reporting.
In other words, when certain PCI Express errors are detected, the appropriate PCI Status
register bit is set alerting the error to legacy PCI software. While the PCI Express error
results in setting the PCI Status register, clearing the PCI Status register will not result in
clearing bits in the Uncorrectable Error Status register and Correctable Error Status register.
Similarly, clearing bits in the Uncorrectable Error Status register and Correctable Error
Status register will not result in clearing the PCI Status register.
The PCI command register has bits which control PCI error reporting. However, the PCI
Command Register does not affect the setting of the PCI Express error register bits.
7.2.6. Real and Virtual PCI Bridge Error Handling
Virtual PCI Bridge configuration headers are associated with each PCI Express Port in a
Root Complex or a Switch. Naturally, PCI/PCI-X Bridges also implement PCI Bridge
configuration headers. For all of these cases, PCI Express error concepts require
appropriate mapping to the PCI error reporting structures. This section addresses the cases
related to the virtual PCI Bridge associated with PCI Express Ports in Root Complex and
Switch cases. The mapping for PCI/PCI-X Bridges is similar, and is covered in detail
elsewhere.
PCI EXPRESS BASE SPECIFICATION, REV. 1.0
347
7.2.6.1. Error Forwarding and PCI Mapping for Bridge - Rules
In general, a TLP is either passed from one side of the Virtual PCI Bridge to the other, or is
handled at the ingress side of the Bridge according to the same rules which apply to the
ultimate recipient of a TLP. The following rules cover PCI Express specific error related
cases:
• If a Request does not address a space mapped to the egress side of the Bridge, the
Request is terminated at the ingress side as an Unsupported Request
• Poisoned TLPs are forwarded according to the same rules as non-poisoned TLPs
oWhen forwarding a poisoned TLP:
the Receiving side must set the Detected Parity Error bit in the
(Secondary) Status register
the Transmitting side must set the Master Data Parity Error bit in the
Secondary Status register if the Parity Error Response bit in the
Bridge Control register is set
• ERR_COR, ERR_NONFATAL and ERR_FATAL are forwarded from the
secondary interface to primary interface, if the SERR# Enable bit in the Command
and Bridge Control register is set
7.3. Virtual Channel Support
7.3.1. Introduction and Scope
Virtual Channel mechanism provides a foundation for supporting differentiated services
within the PCI Express fabric. It enables deployment of independent physical resources that
together with traffic labeling are required for optimized handling of differentiated traffic.
Traffic labeling is supported using Transaction Class TLP-level labels. Exact policy for
traffic differentiation is determined by the TC/VC mapping and by the VC-based
arbitration. The TC/VC mapping depends on the platform application requirements. These
requirements drive the choice of VC arbitration algorithm and
configurability/programmability of arbiters allows detailed tuning of the traffic servicing
policy.
Basic definition of Virtual Channel mechanism and associated Traffic Class labeling
mechanism is covered in Chapter 2 of this specification. VC configuration/programming
model is defined in Section 5.11 of this document.
PCI EXPRESS BASE SPECIFICATION, REV. 1.0
348
The remaining sections of this chapter cover VC mechanisms from the system perspective.
They address the next level details on:
• Supported TC/VC configurations
• VC-based arbitration – algorithms and rules
• Traffic ordering considerations
• Isochronous support as a specific usage model
7.3.2. Supported TC/VC Configurations
A Virtual Channel is established when one or multiple TCs are associated with a physical VC
resource designated by the VC ID. Every Traffic Class that is supported must be mapped to
one of the Virtual Channels. The baseline PCI Express configuration requires support for
the default TC0/VC0 pair that is “hardwired” i.e., not configurable. Any support above that
level is optional. The TC/VC configuration process is controlled by system software using
programming model described in Section 5.11.
To simplify for interoperability when configuring multiple VCs over a PCI Express Link,
this specification provides restricting rules to limit the set of valid VC configurations that
can be found in Section 2.6. In general, mapping of TCs to VCs other than TC0/VC0 is up
to system software. Two basic TC/VC configurations are described here as examples:
• Symmetrical TC to VC Mapping
• TC to VC Re-mapping
Note that multi-port components (Switches and Root Complex) are required to support
independent TC/VC mapping for each PCI Express port, therefore they must support both
configurations.
7.3.2.1. Symmetrical TC to VC Mapping
Differentiated servicing of transactions with different TC labels can be realized through
proper mapping of TCs to VCs that provide certain service disciplines. In many
applications, same service discipline is applied to transactions with the same TC label
regardless of the source of the transaction. Therefore, within a PCI Express fabric
component such as a Switch, the setting of TC to VC mapping is selected such that it is the
same for all ports of the Switch. This is called symmetrical TC to VC mapping.
Figure 7-2 shows a symmetrical TC to VC mapping example, where the Switch has two
downstream ports and one upstream Port and supports four Virtual Channels at each Port.
After VC configuration is established, the upstream Port and the downstream Port
connecting to Endpoint B have four VCs enabled with VC ID of 0, 1, 2, 3, respectively and
have the following TC to VC mapping: TC(0-1)/VC0, TC(2-4)/VC1, TC(5-6)/VC2,
TC7/VC3. The connection to Endpoint A only has two VCs enabled with the following TC
to VC mapping: TC(0-1)/VC0, TC7/VC3. In this example, the second VC (at the Link that
connects Endpoint A and Switch) is assigned a VC ID of 3. In this configuration, all
enabled VCs of Switch ports have the same set of associated TCs.

PCI EXPRESS BASE SPECIFICATION, REV. 1.0
349
Note that TC[2:6] are not mapped to the Link that connects Endpoint A and Switch, which
means that traffic labeled with TC[2:6] is not allowed between the Switch and Endpoint A.
Traffic labeled with a TC number that is not in the list of TCs enabled for a PCI Express
Port is treated as an illegal transaction. Corresponding packets will be dropped at the
receiving Port. This mechanism is referred to as TC filtering.
Mapping
Root Complex
Switch
VC0
TC[0:1]
VC1
TC[2:4]
TC[0:1]
TC[2:4]
Endpoint B
VC0
TC[0:1]
VC1
TC7
TC[0:1]
TC7
Endpoint
VC0
VC3
TC7 TC7
Endpoint A
VC2
TC[5:6]
VC3
TC7
TC[5:6]
TC7
VC0
TC[0:1]
VC1
TC[2:4]
TC[0:1]
TC[2:4]
VC2
TC[5:6]
VC3
TC7
TC[5:6]
TC7
Link
Link
Link
Figure 7-2: An Example of Symmetrical TC to VC Mapping
7.3.2.2. TC to VC Re-mapping
For some systems where PCI Express components with different capability are connected in
a PCI Express fabric, an improved traffic differentiation can be achieved using TC to VC re-
mapping. TC to VC re-mapping refers to the configuration of a multi-port PCI Express
component whereas for traffic flowing from an Ingress Port to an Egress Port of the
component, the TC to VC mapping of the two ports are different.
Figure 7-3 shows an example of TC to VC re-mapping. A simple Switch with one
downstream Port and one upstream Port connects an Endpoint to a Root Complex. At the
upstream Port, two VCs (VC0 and VC1) are enabled with the following mapping: TC(0-
6)/VC0, TC7/VC1. At the downstream Port, only the default VC (VC0) is enabled and all
TCs are mapped to VC0. In this example while TC7 is mapped to VC0 at the downstream
Port, it is re-mapped to VC1 at the upstream Port. Although the Endpoint device only
supports the default VC, when it labels transactions with different TCs, transactions with
TC7 label from/to the Endpoint device can take advantage of the two Virtual Channels
enabled between the Switch and the Root Complex.

PCI EXPRESS BASE SPECIFICATION, REV. 1.0
350
VC0
TC[0:7] TC[0:7] VC0
TC[0:6]
VC1
TC7
Endpoint
Mapping
TC[0:6]
TC7
Root Complex
Switch
Link Link
Figure 7-3: An Example of Asymmetrical TC to VC Mapping
Implementation Note: Multiple TCs Over a Single VC
A single VC implementation may benefit from using multiple TC labels. TC labels provide
ordering domains that may be used to differentiate traffic within the endpoint or the RC
independent of the number of VCs supported.
In a simple configuration there might be only a default VC supported. Within this platform
the traffic differentiation may not be supported in an optimum manner since the different
traffic classes cannot be physically segregated. However, the benefits of carrying multiple
TC labels can still be exploited particularly in the small and “shallow” topologies where
Endpoints are connected directly to RC rather then through cascaded switches. In these
topologies traffic that is targeting RC only needs to traverse a single Link, and an optimized
scheduling of packets on both sides (Endpoint and RC) based on TC labels may accomplish
significant improvement over the case when a single TC label is used. Still, inability to route
differentiated traffic through separate resources with fully independent flow-control and
independent ordering exposes all of the traffic to the potential blocking head-of-line
conditions. Optimizing Endpoint internal architecture to minimize the exposure to the
blocking conditions can reduce those risks.
7.3.3. VC Arbitration
Arbitration is one of the key aspects of Virtual Channel mechanism and it is defined in a
manner that fully enables configurability to the specific application. In general, definition of
PCI Express VC-based arbitration mechanism is driven by the following objectives:
• To provide data flow forward progress required to avoid false transaction timeouts.
• To provide differentiated services between data flows within the fabric.
•
•
To provide guaranteed bandwidth with deterministic (and reasonably small) end-to-
end latency between components.
As PCI Express Links are bidirectional, each PCI Express port can be an ingress or an
Egress Port depending on the direction of traffic flow. This is illustrated by the example of
a 3-port Switch in Figure 7-4, where traffic flows between Switch ports are highlighted with
different types of lines. In the following sections, PCI Express VC Arbitration is defined

PCI EXPRESS BASE SPECIFICATION, REV. 1.0
351
using a Switch arbitration model since Switch is the PCI Express element that represents a
functional superset from the arbitration perspective.
In addition, one-directional data flows are used in the description.
A 3-Port Switch 3GIO
Link
TX
TX
RX
3GIO
Link
RX
RX
TX
Ingress
Egress
Egress
Egress
Ingress
Ingress
3GIO
Link
Figure 7-4: An Example of Traffic Flow Illustrating Ingress and Egress
7.3.3.1. Traffic Flow and Switch Arbitration Model
The following set of figures (Figure 7-5 and Figure 7-6) illustrates traffic flow through the
Switch and summarizes the key aspects of the arbitration.
0
1
2
3
Ingress
Ports Egress
Ports
2.0a
3.02.0
2.0b
3.12.1a
3.1a3.1b
2.1b
2.0a
2.1a
2.0b2.0
3.13.1a
3.1b
3.0
3.0
Priority
Order
Egress Port # Ingress Port #
2.1b
Figure 7-5: An Example of Differentiated Traffic Flow Through a Switch

PCI EXPRESS BASE SPECIFICATION, REV. 1.0
352
At each Ingress Port an incoming traffic stream is represented in Figure 7-5 by small boxes.
These boxes represent packets that are carried within different VCs that are distinguished
using different levels of gray. Each of the boxes that represents a packet belonging to
different VC includes designation of ingress and Egress Ports to indicate where the packet is
coming from and where it is going. For example, designation “3.0” means that this packet is
arriving at Port #0 (ingress) and it is destined to Port #3 (egress). Within the Switch packets
are routed and serviced based on Switch internal arbitration mechanisms.
Switch arbitration model defines a required arbitration infrastructure and functionality within
a Switch. This functionality is needed to support a set of arbitration policies that control
traffic contention for an Egress Port from multiple Ingress Ports.
Figure 7-6 shows a conceptual model of a Switch highlighting resources and associated
functionality in ingress to egress direction. Note that each Port in the Switch can have a role
of an ingress or Egress Port. Therefore, this figure only shows one particular scenario where
the 4-Port Switch in this example has ingress traffic on Port #0 and Port #1, that targets
Port #2 as an Egress Port. A different example may show different flow of traffic implying
different roles of ports on the Switch. PCI Express architecture enables peer-to-peer
communication through the Switch and, therefore, possible scenarios using the same
example may include multiple separate and simultaneous ingress to egress flows (e.g., Port 0
to Port 2 and Port 1 to Port 3).
0
1
2
Port Arbitration
within a VC in Egress port VC Arbitration
for an Egress port
ARB
VC 1
VC 0
ARB
ARB
These structures replicate
for each egress port
TC/VC
Mapping
of the
Egress
Port
TC/VC
Mapping
of the
Egress
Port
3
Ingress
Ports Egress
Ports
Figure 7-6: Switch Arbitration Structure
Routing of traffic received by the Switch on Port 0 and Port 1 and destined to Port 2 can be
conceptually described by the following two steps. First, the target Egress Port is determined
based on address/routing information in the TLP header. Secondly, the target VC of the
Egress Port is determined based on the TC/VC map of the Egress Port. Transactions that
target the same VC in the Egress Port but are from different Ingress Ports must be
arbitrated before they can be forwarded to the corresponding resource in Egress Port. This
arbitration is referred to as the Port Arbitration.

PCI EXPRESS BASE SPECIFICATION, REV. 1.0
353
Once traffic reaches corresponding destination VC resource in the Egress Port, it is subject
of arbitration for the shared Link. From the Egress Port point of view this arbitration can
be conceptually defined as a simple form of multiplexing where the multiplexing control is
based on arbitration policies that are either fixed or configurable/programmable. This stage
of arbitration between different VCs at an Egress Port is called the VC Arbitration of the
Egress Port.
Independent of VC arbitration policy, a management/control logic associated with each VC
must observe transaction ordering and flow control rules before it can make pending traffic
visible to the arbitration mechanism.
Implementation Note: VC Control Logic Requirements at Egress Port
Part of the VC control logic resources at every Port includes:
• VC Flow Control logic
• VC Ordering Control logic
Flow control credits are exchanged between two ports connected to the same Link.
Availability of flow-control credits is one of the qualifiers that VC control logic must use to
decide when a VC is allowed to compete for the shared Link resource (i.e., DLL
transmit/retry buffer). If a candidate packet cannot be submitted due to the lack of an
adequate number of flow control credits, VC control logic MUST mask presence of pending
packet to prevent blockage of traffic from other VCs. Note that since each VC includes
buffering resources for Posted, Non-Posted Requests and Completion packets, the VC
control logic must also take into account availability of flow control credits for the particular
candidate packet. In addition, VC control logic must observe ordering rules (see Section 2.5
for more details) for Posted/Non-Posted/Completion transactions to prevent deadlocks and
violation of producer-consumer ordering model.
Implementation Note: Arbitration for Multi-Function Endpoints
The arbitration of data flows from different functions of a multi-function Endpoint is
beyond the scope of this specification. Mapping of different data flows (within multi-
function Endpoint) to different TCs and VCs is implementation specific. Multi-function
Endpoints, however, should support PCI Express VC-based arbitration control mechanism
if multiple VCs are implemented for the PCI Express Link.
When a common VC on the PCI Express Link is shared by multiple functions, the
aggregated traffic over the VC is subject to the bandwidth and latency regulations for that
VC on the PCI Express Link. The multi-function Endpoints should implement proper
arbitration for data flows from different functions in order to share the Link resources and
achieve desired end to end services.

PCI EXPRESS BASE SPECIFICATION, REV. 1.0
354
7.3.3.2. VC Arbitration
−
−−
−
Arbitration Between VCs
The VC Identification (VC ID) provides an inherent, i.e., default “prioritization” of VCs.
Therefore, all VC resources are arranged in ascending order of relative priority in the PCI
Express Virtual Channel Capability Structure. As shown in an example in Figure 7-7 where 8
VCs are supported by a PCI Express Port, the VCs are associated with default priority levels
where VC0 is a lowest priority and VC7 is the highest priority.
VC 7
VC 6
Priority Order
High
Low
Strict Priority
For isochronous traffic
For other low latency usage
(such as over-subscribable real
time streams, or low latency
messaging)
Default VC (3GIO/PCI)
For QoS usage
VC 5
VC 4
VC 3
VC 2
VC 1
VC 0
VC Relative
Resource VC ID Priority VC Arbitration Usage Example
Low Priority Extended VC Count = 3
Extended VC Count = 7
8th VC
7th VC
6th VC
5th VC
4th VC
3rd VC
2nd VC
1st VC
Governed by
VC Arbitration
Capability field
(e.g.WRR)
Figure 7-7: VC ID and Priority Order – An Example
However, this inherent prioritization does not imply restrictions in terms of algorithms that
can be deployed for handling VC arbitration. Before VCs above the default VC0 can be
enabled, they must be configured for the appropriate arbitration policy. PCI Express
architecture defines the following arbitration methods:
• Strict Priority – Based on inherent prioritization, i.e., VC0=lowest, VC7=highest
• Round Robin (RR) – Simplest form of arbitration where all VCs have equal priority
• Weighted RR – Programmable weight factor determines the level of service
The PCI Express VC Capability programming model allows mixing of different arbitration
methods by grouping VCs into the two groups, the lower group (VC0 to VC3) and the
upper group (VC4 to VC7) as shown by the example in Figure 7-7. The upper group
operates using strict priority scheme and the lower group as a whole is treated as the lowest
priority member in the strict priority arbitration stack. The arbitration within the lower group
can be configured to one of the supported arbitration methods. The size of this group is
indicated by the Low Priority Extended VC Count field in the Port VC Capability Register 1.
The arbitration methods are listed in the VC Arbitration Capability field in the Port VC
Capability Register 2. See Section 5.11 for details. When the Low Priority Extended VC

PCI EXPRESS BASE SPECIFICATION, REV. 1.0
355
Count field is set to zero, all VCs are governed by the strict-priority VC arbitration; when the
field is equal to the Extended VC Count, all VCs are governed by the VC arbitration
indicated by the VC Arbitration Capability field.
7.3.3.2.1. Strict Priority Arbitration Model
Strict priority provides minimal latency for high priority transactions. However, it may
create a potential starvation for a low priority traffic if it is not applied correctly. Using strict
priority scheme implies that traffic at every priority level (except at the lowest) is regulated in
terms of both maximum peak bandwidth and duration of the peak bandwidth usage. This
regulation must be provided at the sources of the traffic or at the ports where traffic enters
the PCI Express fabric. It is assumed that lowest priority will be provided with an adequate
leftover of bandwidth to allow reasonable forward progress and to prevent application
timeouts. For example, isochronous traffic requires to be served as the highest priority by
each PCI Express component. As detailed in Section 7.3.4, regulation of isochronous
resource usage is managed by software and is enforced by PCI Express fabric components
such as Switches and Root Complex in the manner that over-subscription is prevented.
7.3.3.2.2. Round Robin Arbitration Model
Round Robin model is used to provide simple arbitration that allows at transaction-level
equal39 opportunities to all traffic. Note that this scheme is used where different unordered
streams need to be serviced with the same priority.
In the case where differentiation is required, a Weighted Round Robin scheme can be used.
The WRR scheme is commonly used in the case where bandwidth regulation is not enforced
by the sources of traffic and therefore it is not possible to use the priority scheme without
risking starvation of lower priority traffic. The key is that this scheme provides fairness
during traffic contention by allowing at least one arbitration win per arbitration loop.
Assigned weight regulates both minimum allowed bandwidth and maximum burstiness for
each VC during the contention. This means that it bounds the arbitration latency for traffic
from different VCs. Note that latencies are also dependent on the maximum packet sizes
allowed for traffic that is mapped onto those VCs.
One of the key usage models for WRR scheme is support for QoS policy where different
QoS levels can be provided using different weights.
Although weight can be fixed (by hardware implementation) for certain applications, to
provide more generic support for different applications PCI Express components that
support WRR scheme are recommended to make it programmable. Programming of WRR
is controlled using software interface defined in Section 5.11.
39 Note that this does not imply equivalence and fairness in the terms of bandwidth usage.
PCI EXPRESS BASE SPECIFICATION, REV. 1.0
356
7.3.3.3. Port Arbitration
−
−−
−
Arbitration Within VC
Arbitration within VC refers to the arbitration between the traffic that is mapped onto the
same VC but is coming from different Ingress Ports. Inherent prioritization scheme that
makes sense when talking about arbitration among VCs in this context is not applicable
since it would imply strict arbitration priority for different ports. Traffic from different
ports can be arbitrated using the following supported schemes:
• Hardware-fixed Round Robin or RR-like arbitration scheme
• Programmable WRR arbitration scheme
• Programmable Time-based WRR arbitration scheme
Hardware-fixed RR or RR-like scheme is the simplest to implement since it does not require
any programmability. It makes all ports equal priority, which is acceptable for applications
where no software-managed differentiation or per-port-based bandwidth budgeting is
required.
Programmable WRR allows flexibility that it can operate as flat RR or if differentiation is
required, different weights can be applied to traffic coming from different ports in the
similar manner as described in Section 7.3.3.2. This scheme is used where different
allocation of bandwidth needs to be provided for different ports.
A Time-based WRR is used for applications where not only different allocation of
bandwidth is required but also a tight control of usage of that bandwidth. This scheme
allows control on the amount of traffic that can be injected from different ports within
certain fixed period of time. This is required for certain applications such as isochronous
where traffic needs to meet a strict deadline requirement. Section 7.3.4 provides basic rules
to support isochronous applications. For more details on time-based arbitration and on the
isochronous as a usage model for this arbitration scheme refer to Appendix A.
7.3.4. Isochronous Support
Servicing isochronous data transfer requires a system to provide not only guaranteed data
bandwidth but also deterministic service latency. The isochronous support mechanisms in
PCI Express are defined to ensure that isochronous traffic receives its allocated bandwidth
over a relevant period of time while also preventing starvation of the other traffic in the
system. Isochronous support mechanisms apply to communication between Endpoint and
Root Complex as well as to peer-to-peer communication with the following restrictions:
• In the Endpoint to Root Complex communication model, isochronous traffic
consists of read and write requests to the Root Complex and read completions from
the Root Complex.
• In the Peer-to-Peer model, isochronous traffic is limited to unicast push-only
transactions (memory writes or messages). The push-only transactions can be within
a single host domain or across multiple host domains.
PCI EXPRESS BASE SPECIFICATION, REV. 1.0
357
Isochronous service is realized through proper use of PCI Express mechanisms such as
Traffic Class (TC) transaction labeling, Virtual Channel (VC) data-transfer protocol, and TC
to VC mapping. End to end isochronous service requires software to set up proper
configuration along the path between the Requester to Completer. This section describes
the rules for software configuration and the rules hardware components must follow to
provide end to end isochronous services. More information and background material
regarding isochronous applications and isochronous design guide can be found in
Appendix A..
7.3.4.1. Rules for Software Configuration
System software MUST obey the following rules to configure PCI Express fabric for
isochronous transactions:
• Within a PCI Express hierarchy domain or within multiple PCI Express hierarchy
domains spawned from Root Ports that have a common Root Complex Register
Block (RCRB), software must designate one or more TCs for isochronous
transactions. In the rest of this section, a TC designated for isochronous transactions
is referred to as an Isochronous TC.
• The setting of the Attribute fields of all isochronous requests targeting the same
Completer must be fixed and identical.
• On any PCI Express Link, software must assign all Isochronous TCs to the VC with
the highest VC ID. In the rest of this section, this VC is referred to as the
Isochronous VC.
• On any PCI Express port, software must configure the Isochronous VC so that it is
served with the highest priority in VC arbitration. This is accomplished by either
enabling strict priority VC arbitration (where the Isochronous VC having the highest
VC ID would be served with the highest priority) or by configuring other VC
arbitration mechanism to achieve equivalent effect.
• For Switch ports and RCRB, the Isochronous VC must support and be configured
with a time-based Port Arbitration.
• Software must not assign other TCs to the Isochronous VC.
• Software must not assign Isochronous TC to any other VC.
• Software must not assign the number of isochronous transactions to a PCI Express
port or RCRB that exceeds the Maximum Time Slots capability reported by the PCI
Express port or RCRB. Software must not assign all PCI Express Link capacity to
isochronous traffic in order to ensure forward progress of other transactions.
• Software must limit the Max_Payload_Size for each PCI Express hierarchy domain
to meet the isochronous latency requirements.
PCI EXPRESS BASE SPECIFICATION, REV. 1.0
358
7.3.4.2. Rules for Requesters
A Requester requiring isochronous services must obey the following rules:
• The value in the Length field of read requests must never exceed Max_Payload_Size.
• All read and write requests must never cross naturally aligned address boundaries.
• When system software indicates to the device driver of the Requester that snoop
transaction is not allowed by the Completer, the Requester must set the "Snoop Not
Required" Attribute bit.
• MSI must not be mapped to any TC used for isochronous traffic.
Note: An isochronous Requester that uses MSI mechanism must select a different TC (other
than the one used for isochronous traffic) to transmit MSI packets. Before MSI can be
generated, the Requester is required to perform synchronization (for example "flushing"
using Memory Read of zero length).
7.3.4.3. Rules for Completers
A Completer providing isochronous services must obey the following rules:
• A Completer must not apply backpressure (due to the flow control) to isochronous
requests injected uniformly to the PCI Express Link.
• A Completer must report its isochronous bandwidth capability in the Max Time Slots
field in the VC Resource Capability Register intended for isochronous use. Note that a
Completer must account for partial writes.
• A Completer must observe the maximum isochronous transaction latency.
• A Root Complex as a Completer must implement RCRB and support time-based
Port Arbitration mechanism for the Isochronous VC. Note that the time-based Port
Arbitration only applies to request transactions.
7.3.4.4. Rules for Switch Components
A Switch component providing isochronous services must obey the following rules:
• A Switch port must not apply backpressure (due to flow control) to isochronous
requests injected uniformly to the PCI Express Link.
• A Switch component must observe the maximum isochronous transaction latency.
• A Switch component must return isochronous read completions in strictly the same
order as the corresponding isochronous read requests.
• A Switch component must serve and forward isochronous write requests in strictly
the same order.

PCI EXPRESS BASE SPECIFICATION, REV. 1.0
359
• A Switch component must support time-based Port Arbitration mechanism for the
Isochronous VC. Note that the time-based Port Arbitration only applies to request
transactions but not to completion transactions.
• A Switch component must allow isochronous write requests (peer to peer) to pass
isochronous read completions (Root Complex to Endpoint).
7.4. Device Synchronization STOP Mechanism
Renumbering bus numbers by system software during system operation may cause requestor
ID (based upon bus numbers) for a given device to change; as a result, any requests or
completions for that device still in flight may be rendered invalid due to the change in the
requester ID. It is also desirable to be able to ensure that there are no outstanding
transactions during a hot-plug orderly removal. A device synchronization stop mechanism is
provided to allow system software to ensure that no transactions are in flight with respect to
a particular endpoint device before performing a bus renumbering operation that causes the
bus number (and requestor ID) to change for a given device.
The device synchronization stop mechanism for endpoint devices is implemented via the
Stop mechanism and the associated Stop and Transactions Pending bits (see Section 5.8).
System software signals a device to stop by setting the Stop bit in the Device Command
register of the device. The Stop operation is assumed to have completed by software if a
device signals that no more transactions are pending by clearing the Transactions Pending
status bit in the Device Status register; a device is not permitted to issue any new requests
after the Stop bit is set.
Prior to clearing the Transaction Pending bit, an endpoint must ensure that:
• Completions for outstanding non-posted requests for all used Traffic Classes have
been received by the corresponding Requestors.
• All requests with completions initiated by this device have returned completions.
• All posted requests of all Traffic Classes have been “flushed” (i.e., have been
received by intended targets) in all directions including between endpoint and host,
and between peer-to-peer endpoints.
Implementation Note: Flush Mechanisms
In a simple case such as that of an endpoint device communicating only with host memory,
“flush” can be implemented using a directed memory read. A memory read needs to be
performed on all TCs that the device is using. If a device has pending peer-to-peer
transactions (including pending completions), then it must use a non-posted transaction such
as a directed memory read targeted to specific peer destination to perform the “flush.” The
specific mechanism used is implementation specific but must be performed by hardware
without software assistance.
PCI EXPRESS BASE SPECIFICATION, REV. 1.0
360
7.5. Locked Transactions
7.5.1. Introduction
Locked Transaction support is required to prevent deadlock in systems that use legacy
software which causes the accesses to I/O devices. Note that some CPUs may generate
locked accesses as a result of executing instructions that implicitly trigger lock. Some legacy
software misuses these transactions and generates locked sequences even when exclusive
access is not required. Because locked accesses to I/O devices introduce potential deadlocks
apart from those mentioned above, as well as serious performance degradation, PCI Express
Endpoints are prohibited from supporting locked accesses, and new software must not use
instructions which will cause locked accesses to I/O devices. Legacy Endpoints support
locked accesses only for compatibility with existing software.
Only the Root Complex is allowed to initiate Locked Requests on PCI Express. Locked
Requests initiated by Endpoints and Bridges are not supported. This is consistent with
limitations for locked transaction use outlined in the PCI Local Bus Specification, Rev 2.3
(Appendix F- Exclusive Accesses).
This section specifies the rules associated with supporting locked accesses from the Host
CPU to Legacy Endpoints, including the propagation of those transactions through Switches
and PCI Express/PCI Bridges.
7.5.2. Initiation and Propagation of Locked Transactions -
Rules
Locked sequences are generated by the Host CPU(s) as one or more reads followed by an
equal number of writes to the same location(s). When a lock is established, all other traffic is
blocked from using the path between the Root Complex and the locked Legacy Endpoint or
Bridge.
• Lock is initiated on PCI Express using the “lock”–type Read Request/Completion
(MRdLk/CplDLk) and terminated with the Unlock Message
oMRdLk, CplDLk and Unlock semantics are allowed only for the default
Traffic Class (TC0)
• The Unlock Message is broadcast from the Root Complex to all Endpoints and
Bridges
oAny device which is not involved in the locked sequence must ignore this
Message
The initiation and propagation of a locked transaction sequence through PCI Express is
performed as follows:
• A locked transaction sequence is started with a MRdLk Request
oAny successive reads for the locked transaction also use MRdLk Requests
oThe Completions for any MRdLk Request use the CplDLk Completion type
PCI EXPRESS BASE SPECIFICATION, REV. 1.0
361
• All writes for the locked sequence use MWr Requests
• The Unlock Message is used to indicate the end of a locked sequence
oA Switch must propagate Unlock Messages to all Ports other than the Ingress
Port, regardless of the state of the Switch or PCI Express/PCI Bridge with
respect to lock
oA PCI Express/PCI Bridge may propagate Unlock by deasserting LOCK#
on its PCI interface
• Upon receiving an Unlock Message, a Legacy Endpoint or Bridge must unlock itself
if it is in a locked state
oIf not locked, or if the Receiver is a PCI Express Endpoint or Bridge which
does not support lock, the Unlock Message is ignored and discarded
7.5.3. Switches and Lock - Rules
Switches must distinguish transactions associated with locked sequences from other
transactions to prevent other transactions from interfering with the lock and potentially
causing deadlock. The following rules cover how this is done. Note that locked accesses are
limited to TC0, which is always mapped to VC0.
• When a Switch propagates a MRdLk Request from the Ingress Port (closest to the
Root Complex) to the Egress Port, it must block all Requests which map to the
default Virtual Channel (VC0) from being propagated to the Egress Port
oIf the Egress Port is enabled to use one or more non-default VCs (VCs other
than VC0), and if a Request specifies a Traffic Class which maps to a non-
default VC on the Egress Port, then the Request must not be blocked
oIf a subsequent MRdLk Request is Received at this Ingress Port addressing a
different Egress Port, the behavior of the Switch is undefined
Note: This sort of split-lock access is not supported by PCI Express and
software must not cause such a locked access. System deadlock may result
from such accesses.
• When the CplDLk for the first MRdLk Request is returned, the Switch must block
all Requests from all other Ports from being propagated to either of the Ports
involved in the locked access, except for Requests which map to non-default VCs on
the Egress Port
PCI EXPRESS BASE SPECIFICATION, REV. 1.0
362
• The two Ports involved in the locked sequence must remain blocked as described
above until the Switch receives the Unlock Message (at the Ingress Port for the initial
MRdLk Request)
oThe Unlock Message must broadcast to all other Ports
oThe Ingress Port is unblocked once the Unlock Message arrives, and the
Egress Port(s) which were blocked are unblocked following the Transmission
of the Unlock Message out of the Egress Ports
Ports which were not involved in the locked access are unaffected by
the Unlock Message
7.5.4. PCI Express/PCI Bridges and Lock - Rules
The requirements for PCI Express/PCI Bridges are similar to those for Switches, except
that, because PCI Express/PCI Bridges use only the default Virtual Channel and Traffic
Class, all other traffic is blocked during the locked access. The requirements on the PCI bus
side of the PCI Express/PCI Bridge match the requirements for a PCI/PCI Bridge (see
PCI-to-PCI Bridge Architecture Specification 1.1).
• When a PCI Express/PCI Bridge propagates a Locked Read Request through the
Bridge, it must block all Requests not associated with the locked access from being
propagated through the Bridge in the same direction as the Locked Read Request
• When the Locked Completion for the first Locked Read Request is returned, the
Bridge must block all Requests not associated with the locked access from flowing
through the Bridge in either direction
• The Bridge must remain blocked as described above until the Bridge is unlocked
from the side which initiated the locked access
oThe Bridge unlocks itself and propagates the unlock to the other side of the
Bridge
7.5.5. Root Complex and Lock - Rules
A Root Complex is permitted to support locked transactions as a Requestor. If locked
transactions are supported, a Root Complex must follow the sequence described in
Section 7.5.2 to perform a locked access. The mechanisms used by the Root Complex to
interface PCI Express to the Host CPU(s) are outside the scope of this document.
PCI EXPRESS BASE SPECIFICATION, REV. 1.0
363
7.5.6. Legacy Endpoints
Legacy Endpoints are permitted to support locked accesses, although their use is
discouraged. If locked accesses are supported, Legacy Endpoints must handle them as
follows:
• The Legacy Endpoint becomes locked when it Transmits the first Completion for
the first Read Request of the locked access
oOnce locked, the Legacy Endpoint must remain locked until it receives the
Unlock Message
• While locked, a Legacy Endpoint must not issue any Requests using Traffic Classes
which map to the default Virtual Channel (VC0)
Note that this requirement applies to all possible sources of Requests within the
Endpoint, in the case where there is more than one possible source of Requests.
oRequests may be issued using Traffic Classes which map to VCs other than
the default Virtual Channel
7.5.7. PCI Express Endpoints
PCI Express Endpoints do not support lock. A PCI Express Endpoint must treat a MRdLk
Request as an Unsupported Request (see Chapter 2).
7.6. PCI Express Reset -Rules
This section specifies the behavior of PCI Express Link reset. The reset can be generated by
the platform or on the component, but any relationship between the PCI Express Link reset
and component or platform reset is component or platform specific (respectively).
• There must be a hardware mechanism for setting or returning all Port state to the
initial conditions specified in this document – this mechanism is called “Power Good
Reset”
oA “Power Good Reset” will occur following the application of power to the
component. This is called a “cold” reset
oIn some cases, it may be possible for the “Power Good Reset” mechanism to
be triggered by hardware without the removal and re-application of power to
the component. This is called a “warm” reset
oNote that there is also an in-band mechanism for propagating reset across a
Link. This is called a “hot” reset and is described in Section 4.2.4.5.
oNote also that entering the DL_Inactive state is in some ways identical to a
“hot” reset – see Section 2.13.
• On exit from any type of reset (cold, warm, or hot), all Port registers and state
machines must be set to their initialization values as specified in this document
PCI EXPRESS BASE SPECIFICATION, REV. 1.0
364
• On exit from a “Power Good Reset”, the Physical Layer will attempt to bring up the
Link (see Section 4.2.5). Once both components on a Link have entered the initial
Link Training state, they will proceed through Link initialization for the Physical
Layer and then through Flow Control initialization for VC0, making the Data Link
and Transaction Layers ready to use the Link
oFollowing Flow Control initialization for VC0, it is possible for TLPs and
DLLPs to be transferred across the Link
Following a reset, some devices may require additional time before they are able to respond
to Requests they receive. Particularly for Configuration Requests it is necessary that
components and devices behave in a deterministic way, which the following rules address.
The first set of rules address requirements for components and devices:
• A component must enter the initial active Link Training state within 80 ms of the
end of “Power Good Reset” (Link Training is described in Section 4.2.5)
oNote: In some systems, it is possible that the two components on a Link may
exit “Power Good Reset” at different times. Each component must observe
the requirement to enter the initial active Link Training state within 80 ms of
the end of “Power Good Reset” from its own point of view.
• On the completion of Link Training (entering the DL_Active state, see Section 3.2),
a component must be able to receive and process TLPs and DLLPs
The second set of rules address requirements placed on the system:
• To allow components to perform internal initialization, system software must wait
for at least 100 ms from the end of a reset (cold/warm/hot) before it is permitted to
issue Configuration Requests to PCI Express devices
oA system must guarantee that all components intended to be software visible
at boot time are ready to receive Configuration Requests within 100 ms of
the end of “Power Good Reset” – how this is done is beyond the scope of
this specification
• The Root Complex and/or system software must allow 1.0s (+50% / -0%) after a
reset (hot/warm/cold), before it may determine that a device which fails to return a
Successful Completion status for a valid Configuration Request is a broken device
oi.e.: if the Root Complex repeats Configuration Requests terminated with
Configuration Request Retry Status, then it must continue repeating the
Request(s) until 1s after T0RC, at which point it is permitted to terminate the
Request as a UR
oNote: This delay is analogous to the Trhfa parameter specified for PCI/PCI-X,
and is intended to allow an adequate amount of time for devices which
require self initialization.
• When attempting a Configuration access to devices on a PCI or PCI-X segment
behind a PCI Express/PCI(-X) Bridge, the timing parameter Trhfa must be respected
PCI EXPRESS BASE SPECIFICATION, REV. 1.0
365
When a Link is in normal operation, the following rules apply:
• If, for whatever reason, a normally operating Link goes down, the Transaction and
Data Link Layers will enter the DL_Inactive state (see Sections 2.13 and 3.2.1)
• For any virtual or actual PCI Bridge, any of the following must cause a reset of the
secondary side of the Bridge using the Physical Layer mechanism for communicating
Link Reset (see Section 4.2.4.5):
oSetting the Secondary Bus Reset bit of the Bridge Control register
oEntering DL_Inactive on the primary side of the Bridge
oLink reset using the Physical Layer mechanism for communicating Link
Reset
Certain aspects of “Power Good Reset” are specified in this document and others are
specific to a platform, form factor and/or implementation. Specific platforms, form factors
or application spaces may require the additional specification of the timing and/or
sequencing relationships between the components of the system for “Power Good Reset”.
For example, it might be required that all PCI Express components within a chassis observe
the assertion and deassertion of “Power Good Reset” at the same time (to within some
tolerance). In a multi-chassis environment, it might be necessary to specify that the chassis
containing the Root Complex be the last to exit “Power Good Reset.”
In all cases where power is supplied, the following parameters must be defined:
• Tpvpgl – “Power Good” must remain inactive at least this long after power becomes
valid
• Tpwrgd – When deasserted, “Power Good” must remain deasserted at least this long
• Tfail – When power becomes invalid, “Power Good” must be deasserted within this
time
Additional parameters may be specified.
In all cases where a reference clock is supplied, the following parameter must be defined:
• Tpwrgd-clk – “Power Good” must remain inactive at least this long after any supplied
reference clock stable
Additional parameters may be specified.

PCI EXPRESS BASE SPECIFICATION, REV. 1.0
366
7.7. PCI Express Native Hot Plug Support
The PCI Express architecture is designed to natively support both hot plug and hot remove
of devices. This section defines the standard usage model defined for all PCI Express form
factors supporting Hot plug and hot removal of devices. This usage model provides the
foundation for how indicators and push-buttons should behave if implemented in a system.
The definitions of indicators and push-buttons apply to all PCI Express Hot-Plug models.
7.7.1. PCI Express Hot Plug Usage Model
7.7.1.1. Why Specify a Usage Model?
A standard usage model is beneficial to customers who buy systems with hot-plug slots
because many customers utilize hardware and software from different vendors. A standard
usage model allows customers to use the hot-plug slots on all of their systems without
having to retrain operators. The PCI Express Hot-Plug standard usage model is derived
from the standard usage model defined in the PCI Standard Hot-Plug Controller and Subsystem
Specification, Rev 1.0 and is identical from the user perspective. Note that only slight changes
were made in register definitions and conformance to the standard usage model is required
by all PCI Express form factors that implement hot-plug and use indicators and buttons.
Implementation Note: All PCI Express Form Factors that Support Hot-
Plug/Remove Should Not Deviate from the Standard Usage Model
Deviating from the Standard Usage Model causes the solution to be non-PCI Express
complaint and will create issues that would not exist otherwise, such as:
• User confusion
• More extensive hardware testing
• Functional incompatibilities with system software
• Encountering untested paths in system software

PCI EXPRESS BASE SPECIFICATION, REV. 1.0
367
7.7.1.2. Elements of the Standard Usage Model
Table 7-5: Elements of the Standard Usage Model
Element Purpose
Indicators Shows the power and attention state of
the slot
Manually-operated Retention Latch (MRL) Holds add-in cards in place
MRL Sensor Allows the port and system software to
detect the MRL being opened
Electromechanical Interlock Prevents removal of add-in cards while
slot is powered
Attention Button Allows user to request hot-plug
operations
Software User Interface Allows user to request hot-plug
operations
Slot Numbering Provides visual identification of slots
7.7.1.2.1. Indicators
The Standard Usage Model defines two indicators; the Power Indicator and the Attention
indicator. The Platform can provide the two indicators per slot or module bay and the
indicators can be can be implemented on the chassis or the module, see form factor hot plug
requirements for implementation details. Each indicator is in one of three states: on, off, or
blinking. Hot-plug system software has exclusive control of the indicator states by writing
the command status registers associated with the indicator.
The Hot-Plug capable port controls blink frequency, duty cycle, and phase. Blinking
indicators operate at a frequency of 1 to 2 Hz and 50% (+/- 5%) duty cycle. Blinking
indicators are not required to be synchronous and in-phase between ports.
Indicators must be placed in close proximity to their associated hot-plug slot if indicators are
implemented on the chassis so that the association between the indicators and the hot-plug
slot is clear.
Both indicators are completely under the control of system software. The Switch device or
Root Port never changes the state of an indicator in response to an event such as a power
fault or unexpected MRL opening unless commanded to do so by software. An exception is
granted to Platforms capable of detecting stuck-on power faults. In the specific case of a
stuck-on power fault, the Platform is permitted to override the Switch device or Root Port
and force the Power Indicator to be on (as an indication that the add-in card should not be
removed). In all cases, the ports internal state for the Power Indicator must match the
software selected state. The handling by system software of stuck-on faults is optional and
not described elsewhere. Therefore, the Platform vendor must ensure that this optional
feature of the Standard Usage Model is addressed via other software, Platform
documentation, or by other means.

PCI EXPRESS BASE SPECIFICATION, REV. 1.0
368
7.7.1.2.1.1 Attention Indicator
The Attention Indicator is yellow or amber in color and is used to indicate that an
operational problem exists or that the hot-plug slot is being identified so that a human
operator can locate it easily.
Table 7-6: Attention Indicator States
Indicator Appearance Meaning
Off Normal - Normal operation
On Attention - Operational problem at this slot
Blinking Locate - Slot is being identified at the user’s request
Attention Indicator Off
When the Attention Indicator is off, it means that neither the add-in card (if one is present)
nor the hot-plug slot requires attention.
Attention Indicator On
When the Attention Indicator is on, it means an operational problem exists at the card or
slot.
An operational problem is a condition that prevents continued operation of an add-in card.
The operating system or other system software determines whether a specific condition
prevents continued operation of an add-in card and whether lighting the Attention Indicator
is appropriate. Examples of operational problems include problems related to external
cabling, add-in cards, software drivers, and power faults. In general, when the Attention
Indicator is on, it means that an operation was attempted and failed or that an unexpected
event occurred.
The Attention Indicator is not used to report problems detected while validating the request
for a hot-plug operation. Validation is a term applied to any check that system software
performs to assure that the requested operation is viable, permitted, and will not cause
problems. Examples of validation failures include denial of permission to perform a hot-
plug operation, insufficient power budget, and other conditions that may be detected before
an operation begins.
Attention Indicator Blinking
When the Attention Indicator is blinking, it means that system software is identifying this
slot for a human operator to find. This behavior is controlled by a user (for example, from a
software user interface or management tool).

PCI EXPRESS BASE SPECIFICATION, REV. 1.0
369
7.7.1.2.1.2 Power Indicator
The Power Indicator is green in color and is used to indicate the power state of the slot.
Table 7-7: Power Indicator States
Indicator Appearance Meaning
Off Power Off - Insertion or removal of add-in cards is
permitted. All supply voltages (except Vaux) have
been removed from the slot if required for add-in
card removal. Note that Vaux is removed when the
MRL is open.
On Power On - The slot is powered on. Insertion or
removal of add-in cards is not permitted.
Blinking Power Transition - The slot is in the process of
powering up or down. Insertion or removal of add-in
cards is not permitted.
Power Indicator Off
When the Power Indicator is off, it means that insertion or removal of an add-in card is
permitted. Main power to the slot is off if required by the form factor, example of main
power removal is the PCI Express card form factor. If the Platform provides Vaux to hot-
plug slots and the MRL is closed, any signals switched by the MRL are connected to the slot
even when the Power Indicator is off. Signals switched by the MRL are disconnected when
the MRL is opened. System software must cause a slot’s Power Indicator to be turned off
when the slot is not powered and/or it is permissible to insert or remove add-in cards. See
the appropriate electromechanical specifications for form factor details.
Power Indicator On
When the Power Indicator is on, it means that main power to the slot is on and that
insertion or removal of an add-in card is not permitted.
Power Indicator Blinking
When the Power Indicator is blinking, it means that the slot is powering up or powering
down and that insertion or removal of an add-in card is not permitted. A blinking Power
Indicator also provides visual feedback to the human operator when the Attention Button is
pressed.
7.7.1.2.2. Manually-operated Retention Latch (MRL)
An MRL is a manually-operated retention mechanism that holds an add-in card in the slot
and prevents the user from removing the card. The MRL rigidly holds the card in the slot so
that cables may be attached without the risk of creating intermittent contact. MRLs that
hold down two or more add-in cards simultaneously are permitted in Platforms that do not
provide MRL Sensors.
PCI EXPRESS BASE SPECIFICATION, REV. 1.0
370
7.7.1.2.3. MRL Sensor
The MRL Sensor is a Switch, optical device, or other type of sensor that reports the position
of a slot’s MRL to the port. The MRL Sensor reports closed when the MRL is fully closed
and open at all other times (that is, fully open and intermediate positions).
If Vaux is wired to hot-plug slots, the signals switched by the MRL must be automatically
removed from the slot when the MRL Sensor indicates that the MRL is open and must be
restored to the slot when the MRL Sensor indicates that MRL has closed again.
The MRL Sensor allows the port to monitor the position of the MRL and therefore allows
the port to detect unexpected openings of the MRL. When an unexpected opening of the
MRL associated with a slot is detected, the port changes the state of that slot to disabled and
notifies system software. The port does not autonomously change the state of either the
Power Indicator or Attention Indicator.
7.7.1.2.4. Electromechanical Interlock
An electromechanical interlock is a mechanism for physically locking the add-in card or
MRL in place until the system software and port release it. Implementation of the interlock
is optional. There is no mechanism in the programming interface for explicit control of
electromechanical interlocks. The Standard Usage Model assumes that if electromechanical
interlocks are implemented, they are controlled by the same port output signal that enables
main power to the slot. Systems may optionally expand control of interlocks to provide
physical security of the add-in cards.
7.7.1.2.5. Attention Button
An Attention Button is a momentary-contact push-button, located adjacent to each hot-plug
slot or on a module that is pressed by the user to initiate a hot-insertion or a hot-removal at
that slot.
The Power Indicator provides visual feedback to the human operator (if the system software
accepts the request initiated by the Attention Button) by blinking. Once the Power Indicator
begins blinking, a 5-second abort interval exists during which a second depression of the
Attention Button cancels the operation.
If an operation initiated by an Attention Button fails for any reason, it is recommended that
system software present a message explaining the failure via a software user interface or add
the message to a system log.
7.7.1.2.6. Software User Interface
System software provides a user interface that allows hot-insertions and hot-removals to be
initiated and that allows occupied slots to be monitored. A detailed discussion of hot-plug
user interfaces is operating system specific and is therefore beyond the scope of this
document.
On systems with multiple hot-plug slots, the system software must allow the user to initiate
operations at each slot independent of the states of all other slots. Therefore, the user is

PCI EXPRESS BASE SPECIFICATION, REV. 1.0
371
permitted to initiate a hot-plug operation on one slot using either the software user interface
or the Attention Button while a hot-plug operation on another slot is in process, regardless
of which interface was used to start the first operation.
7.7.1.2.7. Slot Numbering
A Physical Slot Identifier (as defined in PCI HP 1.1, Section 1.5) consists of an optional
chassis number and the physical slot number of the hot-plug slot. System software
determines the physical slot number from registers in the port. The chassis number is 0 for
the main chassis. The chassis number for other chassis must be a non-zero value obtained
from a PCI-to-PCI bridge’s Chassis Number register (see PCI Bridge 1.1, Section 13.4).
The Standard Usage Model also requires that each physical slot number is globally unique
within a chassis.
7.7.2. Event Behavior
Depending on the power state of the Switch device or Root Port, it may be programmed to
generate a system interrupt or PME (see Table 7-8).
Table 7-8: Event Behavior
Event Register Bit Set
When Detected Cleared by
Port Optionally
Generates the
Following When
Event is Detected:
Presence
Detect
Change
Presence Detect
Event Status Writing a 1 to the
detected bit System Interrupt, PME
Attention
Button
Pressed
Attention Button
Pressed Event Writing a 1 to the
detected bit System Interrupt, PME
MRL
Sensor
Changed
MRL Sensor
Change Detected
Event
Writing a 1 to the
detected bit System Interrupt, PME
Power
Fault Power Fault
Detected Event Writing a 1 to the
detected bit. System Interrupt, PME
7.7.3. Registers Grouped by Device Association
The registers listed below are grouped by device to convey all registers associated with
implementing each device in ports. These registers are unique to each Switch device or Root
Port implementing hot plug slots.

PCI EXPRESS BASE SPECIFICATION, REV. 1.0
372
7.7.3.1. Attention Button Registers
Description Register Attribute Default Value
Attention Button Present –This bit indicates if
an Attention Button is implemented on the
chassis or card.
HwInit N/A
Attention Button Pressed –This bit is set
when the Attention Button is pressed. This
register is set by the debounced output of an
Attention Button. This bit is also set by the port
receiving the Attention_Button_Pressed
message from the end device.
RW1C 0
Attention Button Pressed Enable –This bit
when set enables the generation of the hot plug
interrupt or a wake signal on an Attention Button
Pressed event.
RW 0
7.7.3.2. Attention Indicator Registers
Description Register Attribute Default Value
Attention Indicator Present –This bit indicates
if an Attention Indicator is implemented on the
chassis or card.
HwInit N/A
Attention Indicator Control –When read this
register returns the current state of the Attention
Indicator; when written the Attention Indicator is
set to this state. If an Attention Indicator is
implemented on the card, when written, the port
will send the appropriate Attention Indicator
message (determined by the decoding) to the
device on the card. Defined encodings are:
00b Reserved
01b On
10b Blink
11b Off
RW N/A

PCI EXPRESS BASE SPECIFICATION, REV. 1.0
373
7.7.3.3. Power Indicator Registers
Description Register Attribute Default Value
Power Indicator Present –This bit indicates if
a Power Indicator is implemented on the chassis
or card.
HwInit N/A
Power Indicator Control –When read this
register returns the current state of the Power
Indicator; when written the Power Indicator is set
to this state. If a Power Indicator is
implemented on the card, when written, the port
will send the appropriate Power Indicator
message (determined by the decoding) to the
device on the card. Defined encodings are:
00b Reserved
01b On
10b Blink
11b Off
RW N/A
7.7.3.4. Power Controller Registers
Description Register Attribute Default Value
Power Controller Present –This bit indicates if
a Power Controller is implemented for this slot. HwInit N/A
Power Controller Control –When read, this
register returns the current state of the Power
applied to the slot; when written, the Power
Controller turns on or off power to slot. Defined
encodings are:
0b Power On
1b Power Off
RW N/A
Power Fault Detected –This bit is set when the
Power Controller detects a power fault at this
slot.
RW1C 0
Power Fault Detected Enable –This bit when
set enables the generation of the hot plug
interrupt or a wake signal on a power fault
event.
RW 0

PCI EXPRESS BASE SPECIFICATION, REV. 1.0
374
7.7.3.5. Presence Detect Registers
Description Register Attribute Default Value
Presence Detect State –This bit indicates the
presence of a card. in the slot. The bit will
reflect the status of the Presence Detect pin as
defined in the PCI Express Card
Electromechanical Specification. Defined
encodings are:
0b Slot Empty
1b Card Present in slot
This register is required to be implemented on
all Switch devices and Root Ports. The
presence detect pin for Switch devices or Root
Ports not connected to slots should be
hardwired to 1.
RO N/A
Presence Detect Changed Event –This bit is
set when the value of Presence Detect State
changes.
RW1C 0
7.7.3.6. MRL Sensor Registers
Description Register Attribute Default Value
MRL Sensor Present –This bit indicates if an
MRL Sensor is implemented on the chassis. HwInit N/A
MRL Sensor Changed –This bit is set when
the value of the MRL Sensor State changed. RW1C 0
Presence Detect Changed Enable –This bit
when set enables the generation of the hot plug
interrupt or a wake signal on a presence detect
changed event.
RW 0
MRL Sensor State –This register reports the
status of the MRL sensor if it is implemented.
Defined encodings are:
0b MRL Closed
1b MRL Open
RO N/A

PCI EXPRESS BASE SPECIFICATION, REV. 1.0
375
7.7.3.7. Port Capabilities and Slot Information Registers
Description Register Attribute Default Value
Slot Implemented –This bit when set indicates
that the Link associated with this downstream
port is connected to a slot, as oppose to being
connected to an integrated device or being
disabled.
HwInit N/A
Physical Slot Number –This hardware
initialized field indicates the physical slot number
attached to the port. This field must be
hardware initialized to a value that assigns a slot
number that is globally unique within the
chassis. These registers should be initialized to
0 for ports connected to integrated devices on
the motherboard or integrated within the same
silicon as the Switch device or Root Port.
HwInit N/A
Hot-Plug capable –This bit when set indicates
this slot is capable of supporting Hot-Plug. HwInit N/A
Hot-Plug Surprise –This bit when set indicates
that the device might be removed from the
system without any prior notification.
HwInit N/A
7.7.3.8. Hot Plug Interrupt Control Registers
Description Register Attribute Default Value
Hot Plug Interrupt enable –This bit when set
enables generation of the hot plug interrupt on
enabled hot plug events.
RW 0
Command Completed Interrupt Enable –This
bit when set enables the generation of hot plug
interrupt when a command is completed by the
hot plug control logic.
RW 0
PCI EXPRESS BASE SPECIFICATION, REV. 1.0
376
7.7.4. Messages
The messages defined here allow for cards to implement indicators and buttons on the card
without having to connect signals directly to the port. Detailed explanation of each message
is located in Chapter 2.
7.7.4.1. Messages for Attention Indicator
This series of messages allows the Attention Indicator be implemented on the card as
opposed to the chassis. These messages are sent by the downstream port to the device and
instruct the device to set its Attention Indicator to the indicated state. The following
messages are used:
ATTENTION_INDICATOR_ON
ATTENTION_INDICATOR_BLINK
ATTENTION_INDICATOR_OFF
All Endpoint devices are required to handle the Attention Indicator messages even if the
device does not implement the indicators.
7.7.4.2. Messages for Power Indicator
This series of messages allows the Power Indicator be implemented on the card as opposed
to the chassis. These messages are sent by the downstream port to the device and instruct
the device to set its Power Indicator to the indicated state. The following messages are used:
POWER_INDICATOR_ON
POWER_INDICATOR_BLINK
POWER_INDICATOR_OFF
All Endpoint devices are required to handle the Power Indicator messages even if the device
does not implement the indicators.
7.7.4.3. Messages for Attention Button
ATTENTION_BUTTON_PRESSED - This message allows the attention button to be
implemented on the card and informs the port that the attention button has been pressed.
Upon receipt of this message the port terminates the message and sets the Attention Button
Pressed bit in the Hot-plug Event Register.
All down stream ports of switches and root ports are required to handle the
Attention_Button_Pressed message.
PCI EXPRESS BASE SPECIFICATION, REV. 1.0
377
7.7.5. PCI Express Hot Plug Interrupt/Wake Signal Logic
A port with hot plug compatibilities supports generation of hot plug interrupts on the
following hot plug events:
• Attention Button Pressed
• Power Fault Detected
• MRL Sensor Changed
• Presence Detect Changed
When the system is in a sleep state or if the hot plug capable port is in a device state D1, D2,
or D3hot, the enabled hot plug controller events generate a wake message (using PME
mechanism) instead of a hot plug interrupt.
A hot plug capable port also supports generation of hot plug interrupt when the hot plug
control logic completes an issued command. However, if the system is in a sleep state or if
the hot plug capable port is in a device state D1, D2, or D3hot, a wake event will not be
generated.
Figure 7-8 shows the logical connection between the hot plug event logic and the system
interrupt/wake generation logic.

PCI EXPRESS BASE SPECIFICATION, REV. 1.0
378
X
X
X
C
X
Attention
Button Pressed
Enable
Attention
Button
Pressed
Power Fault
Detected
MRL Sensor
Changed
Presence
Detect
Changed
Power Fault
Detected
Enable
Presence
Detect
Changed
Enable
MRL Sensor
Changed
Enable
X
Command
Completed
Interrupt Enable
Command
Completed
X
Hot-plug
Interrupt Enable
C
X
REGISTER BIT -
READ/WRITE
Slot Status
Register Slot Control
Register
Wakeup
Signal
PME_En Bit
(or host bridge
equivalent)
X
C
C
C
C
REGISTER BIT -
RW1C
SHPC Interrupt
Message
INTx#
X
MSI
generation
logic
MSI Enable
Figure 7-8: Hot Plug Logic

PCI EXPRESS BASE SPECIFICATION, REV. 1.0
379
7.7.6. The Operating System Hot Plug Method
Some systems that include hot plug capable root ports and switches that are released before
ACPI-compliant operating systems with native hot plug support are available, can use ACPI
firmware for propagating hot plug events. Firmware control of the hot plug registers must
be disabled if an operating system with native support is used. Platforms that provide ACPI
firmware to propagate hot plug events must also provide a control method to transfer
control to the operating system. This method is called Operating System Hot Plug (OSHP)
and is provided for each port that is hot plug capable and being controlled by ACPI
firmware.
Operating systems with native hot plug support must execute the OSHP method, if present,
for each hot plug capable port before accessing the hot plug registers and when returning
from a hibernated state. If a port’s OSHP method is executed multiple times, and the switch
to operating system control has already been achieved, the method must return successfully
without doing anything. After the OSHP method is executed, the firmware must not access
the ports hot plug registers. If any signals such as the System Interrupt or PME# have been
redirected for servicing by the firmware, they must be restored appropriately for operating
system control.
The following is an example of a namespace entry for an SHPC that is managed by
firmware.
Device(PPB1){
...
Method(OSHP, 0) {
// Disable firmware access to SHPC and restore
// the normal System Interrupt and Wakeup Signal
// connection.
}
...
}
Implementation Note: Controlling Hot Plug by Using ACPI
When using ACPI to control the hot plug events, the following should be considered:
Firmware should redirect the System Interrupt to a GPE so that APCI can service the
interrupts instead of the operating system. An appropriate _Exx GPE handler should be
provided. When an operating system with native hot plug support executes the OSHP
method, the firmware restores the normal System Interrupt so the interrupts can be serviced
by the operating system.
PCI EXPRESS BASE SPECIFICATION, REV. 1.0
380
7.8. Power Budgeting Capability
With the addition of a hot plug capability for add-in cards, the need arises for the system to
be capable of properly allocating power to any new devices added to the system. This
capability is a separate and distinct function from power management and a basic level of
support is required to ensure proper operation of the system. The power budgeting concept
puts in place the building blocks that allow devices to interact with system to achieve these
goals. There are many ways in which the system can implement the actual power
management capabilities, and as such, they are beyond the scope of this specification.
Devices that will be present on hot pluggable add-in cards are required to implement the
power budgeting capabilities. Devices that are implemented for use on add-in cards or on
the motherboard have the option of supporting the power budgeting capability. Devices
that are designed for both add-in cards and modules must implement power budgeting. The
devices and/or add-in cards are required by PCI Express to remain under the configuration
power limit specified in the corresponding electromechanical specification until they have
been configured and enabled by the system. The system should guarantee that power has
been properly budgeted prior to enabling an add-in card.
7.8.1. System Power Budgeting Process Recommendations
It is recommended that system firmware provide the power budget management agent the
following information:
• Total system power budget (power supply information).
• Total power allocated by system firmware (motherboard devices).
• Total number of slots and the types of slots.
System firmware is responsible for allocating power for all devices on the motherboard that
do not have power budgeting capabilities. The firmware may or may not include standard
PCI Express devices that are connected to the standard power rails. When the firmware
allocates the power for a device then it must set the SYSTEM_ALLOC bit to “1” to indicate
that it has been properly allocated. The power budget manager is responsible for allocating
all PCI Express devices including motherboard devices that have the power budgeting
capability and have not been marked allocated. The power budget manager is responsible
for determining if hot plugged devices can be budgeted and enabled in the system.
There are alternate methods which may provide the same functionality, and it is not required
that the Power Budgeting Process be implemented in this manner.
PCI EXPRESS BASE SPECIFICATION, REV. 1.0
381
7.9. Slot Power Limit Control
PCI Express provides a mechanism for software controlled limiting of the maximum power
per slot that PCI Express card/module (associated with that slot) can consume. The key
elements of this mechanism are the:
• Slot Power Limit Value and Scale fields of the Slot Capability register implemented
in the Downstream Ports of a Root Complex and a Switch
• Slot Power Limit Value and Scale fields of the Device Capability register
implemented in the Upstream Ports of a Endpoint, Switch and PCI Express-PCI
Bridge
• Set_Slot_Power_Limit message that conveys the content of the Slot Power Limit
Value and Scale fields of the Slot Capability register of the Downstream Port (of a
Root Complex or a Switch) to the corresponding Slot Power Limit Value and Scale
fields of the Device Capability register in the Upstream Port of the component
connected to the same Link
Power limits on the platform are typically controlled by the software (for example, platform
firmware) that comprehends the specifics of the platform such as:
• partitioning of the platform, including slots for IO expansion using add-in
cards/modules
• power delivery capabilities
• thermal capabilities
This software is responsible for correctly programming the Slot Power Limit Value and Scale
fields of the Slot Capability registers of the Downstream Ports connected to IO expansion
slots. After the value has been written into the register within the Downstream Port, it is
conveyed to the other component connected to that port using the Set_Slot_Power_Limit
message (see Section 2.8.1.5. The receipient of the message must use the value in the
message data payload to limit usage of the power for the entire card/module, unless the
card/module will never exceed the lowest value specified in the correspondnig
electromechanical specification. It is assumed that device driver software associated with
card/module will be able (by reading the values of the Slot Power Limit Value and Scale
fields of the Device Capability register) to configure hardware of the card/module to
guarantee that the card/module will not exceed imposed limit. In the case where the
platform imposes a limit that is below minimum needed for adequate operation, the device
driver will be able to communicate this discreprency to higher level configuration software.
The following rules cover the Slot Power Limit control mechanism:
For Cards/Modules:
• Until and unless a Set_Slot_Power_Limit message is received indicating a Slot Power
Limit value greater than the lowest value specified in the electromechanical
specification for the card/module's form factor, the card/module must not consume
more than the lowest value specified.

PCI EXPRESS BASE SPECIFICATION, REV. 1.0
382
• A card/module must never consume more power than what was specified in the
most recently received Set_Slot_Power_Limit message.
• Endpoint, Switch and PCI Express-PCI Bridge components that are targeted for
integration on a card/module where total consumed power is below lowest limit
defined for the targeted form factor are permitted to ignore Set_Slot_Power_Limit
messages, and to return a value of 0 in the Slot Power Limit Value and Scale fields of
the Device Capability register
• Such components still must be able to receive the Set_Slot_Power_Limit message
correctly but simply discard the message
For Root Complex and Switches which source slots:
• A Downstream Port must not transmit a Set_Slot_Power_Limit message which
indicates a limit that is lower than the lowest value specified in the electromechanical
specification for the slot's form factor.
Implementation Note: Slot Power Limit Control Registers
Typically Slot Power Limit registers within Downstream Ports of Root Complex or a Switch
Device will be programmed by platform-specific software. Some implementations may use a
hardware method for initializing the values of these registers and therefore not require
software support.
Endpoint, Switch and PCI Express-PCI Bridge components that are targeted for integration
on the card/module where total consumed power is below lowest limit defined for that form
factor are allowed to ignore Set_Slot_Power_Limit messages. Note that PCI Express
components that take this implementation approach may not be compatible with potential
future defined form factors. Such form factors may impose a lower power limit which is
below the minimum required by a new card/module based on the existing component.

PCI EXPRESS BASE SPECIFICATION, REV. 1.0
383
A. Isochronous Applications and Support
A.1. Introduction
Data traffic in PCI Express environment can be generally classified in two categories: bulk-
data traffic and real-time traffic.
While a PCI Express Endpoint device with bulk data transfer generally requires high
throughput and low latency to achieve good performance, it can tolerate occasional data
transfers that complete with arbitrarily long delays. The normal semantics for general-
purpose I/O transactions, as defined for PCI Express default Traffic Class (TC0), are
supported by the default PCI Express Virtual Channel (VC0). VC0 supports bulk data
transfer by providing “best-effort” class of service. This means, since there is no traffic
regulation for the VC0, during any given time period, any device may issue more transactions
than PCI Express Links can support and may saturate the physical PCI Express Links.
Therefore, there is no guaranteed bandwidth or deterministic latency provided to the device
by the VC0. This is why the default general purpose I/O Traffic Class is referred to as the
"best-effort" Traffic Class.
On the other hand, a PCI Express Endpoint device with real-time data transfer
requirements, such as audio and video data streaming, would continuously/periodically
generate PCI Express transactions. The amount of bandwidth that device can consume will
depend on device’s requirements and may be subject of limitation that can be imposed by
the PCI Express platform software and hardware. Isochronous data transfer protocol in
PCI Express is designed to provide not only guaranteed data bandwidth but also
deterministic service latency. The design goal of isochronous mechanisms in PCI Express is
to ensure that isochronous traffic receives its allocated bandwidth over a relevant time
period while also preventing starvation of other non-isochronous traffic.
Furthermore, there may exist data traffic that requires level of service falling in between what
are required for bulk data traffic and isochronous data traffic. These types of transactions
can be supported in general by using Traffic Classes (TC1 to TC7) associated with
differentiated services. However, details of service policies for these Traffic Classes are not
addressed in this section.
Two paradigms of PCI Express communication are supported by the PCI Express
isochronous mechanisms: Endpoint-to-Root-Complex communication model and Peer-to-
Peer (Endpoint-to-Endpoint) communication model. In the Endpoint-to-Root-Complex
communication model, the primary isochronous traffic is memory read and write requests to
the Root Complex and read completions from the Root Complex. In the Peer-to-Peer
model, isochronous traffic is limited to unicast push-only transactions (memory writes or
messages). The push-only transactions can be within a single host domain or across multiple
A

PCI EXPRESS BASE SPECIFICATION, REV. 1.0
384
host domains. Figure A-1 shows an example of a simple system with both communication
models. In the figure, devices A, B, called Requesters, are PCI Express Endpoint devices
capable of issuing isochronous request transactions, while device C and Root Complex,
called Completers, are capable of being the targets of isochronous request transactions. An
Endpoint-to-Root-Complex communication is established between device A and the Root
Complex, and a Peer-to-Peer communication is established between device B and device C.
In the rest of this section, Requester and Completer will be used to make reference to PCI
Express elements involved in transactions. The specific aspects of each communication
model will be called out explicitly.
Switch
Root Complex
(Completer)
Device B
(Requester)Device C
(Completer)
Device A
(Requester)
Read/Write
Requests
Read
Completions
Write
Requests
Write
Requests
Isochronous traffic flow
Figure A-1: An Example Showing Endpoint-to-Root-Complex and Peer-to-Peer
Communication Models
• Guaranteed bandwidth and deterministic latency requires end to end isochronous
service. If the Isochronous TC is ever mixed with other Traffic Classes in the same
Virtual Channel on a PCI Express Link, then head of line blocking caused by traffic
interaction and flow control may compromise the Quality of Service (QoS) for
isochronous transactions. Although some level of QoS may be provided if this traffic
mixing occurs only on a small portion of the data path, it may not be quantifiable.
Therefore, for the rest of this Section, we assume that dedicated Virtual Channels are
provided for the Isochronous TC on each PCI Express Link to provide end to end
isochronous service and all PCI Express components along the path between the
Requester and the Completer meet the requirements described in this Section. The
dedicated Virtual Channel for the Isochronous TC can also be called Isochronous VC.
Specifically, system software must obey the rules described in Section 2.6.4.

PCI EXPRESS BASE SPECIFICATION, REV. 1.0
385
A.2. Isochronous Contract and Contract Parameters
In order to support isochronous data transfer with guaranteed bandwidth and deterministic
latency, an isochronous contract must be established between a Requester/Completer pair
and the PCI Express fabric. This contract must enforce both resource reservation and
traffic regulation. Without such contract, two basic problems, over-subscription and
congestion, may occur as illustrated in Figure A-2. When interconnect bandwidth resources
are over-subscribed, the increased latency may cause failure of isochronous service and
starvation of non-isochronous services. Traffic congestion occurs when too many
isochronous requests are issued in a short time window. This potentially causes excessive
service latencies for both isochronous traffic and non-isochronous traffic.
Isochronous
Requests:
Time
Congestion
Isochronous
Requests:
Over-subscription
Time
Figure A-2: Two Basic Bandwidth Resourcing Problems: Over-Subscription and
Congestion
The isochronous transfer mechanism in this specification addresses these problems with
traffic regulation including admission control and service discipline. Under a software
managed admission control, a Requester must not issue isochronous transactions unless the
required isochronous bandwidth and resource have been allocated. Specifically, the
isochronous bandwidth is given by the following formula:
T
YN
BW ⋅
=.
The formula defines allocated bandwidth (BW) as a function of specified number (N) of
transactions of a specified payload size (Y) within a specified time period (T). Another
important parameter in the isochronous contract is latency. Based on the contract,
isochronous transactions are completed within a specified latency (L). Once a
Requester/Completer pair is admitted for isochronous communication, the bandwidth and
latency are guaranteed to the Requester (A PCI Express Endpoint device) by the Completer
(Root Complex for Endpoint-to-Root-Complex communication and another PCI Express
Endpoint device for Peer-to-Peer communication) and by the PCI Express fabric
components (Switches). Specific service disciplines must be implemented by isochronous-
capable PCI Express components. The service disciplines are imposed to PCI Express
Switches and Completers in such a manner that the service of isochronous requests is
subject to a specific service interval (t). This mechanism is used to provide the method of
PCI EXPRESS BASE SPECIFICATION, REV. 1.0
386
controlling when an isochronous packet injected by a Requester is serviced. Consequently,
isochronous traffic is policed in such manner that only packets that can be injected into the
fabric in compliance with the isochronous contract are allowed to make immediate progress
and start being serviced by the PCI Express fabric. A non-compliant Requester that tries to
inject more isochronous transactions than what was being allowed by the contract is
prevented from doing so by the flow-control mechanism. In this way the isochronous
service to other well-behaved (compliant) Requesters will not be affected by the non-
compliant device.
In the Endpoint-to-Root-Complex model, since the aggregated isochronous traffic is
eventually limited by the host memory subsystem's bandwidth capabilities, isochronous read
requests, write requests (and messages) are budgeted together. A Requester may divide the
isochronous bandwidth between read requests and write requests as appropriate.
In the (push-only) Peer-to-Peer model, isochronous bandwidth only applies to request
transactions.
A.2.1. Isochronous Time Period and Isochronous Virtual
Timeslot
The PCI Express isochronous time period (T) is uniformly divided into units of virtual
timeslots (t). Up to one isochronous request is allowed within one virtual timeslot. The
virtual timeslot supported by a PCI Express component is reported through the Reference
Clock field in the PCI Express Virtual Channel Capability Structure defined in Section 5.11.
When Reference Clock = 00b, duration of a virtual timeslot t is 100 ns. Duration of
isochronous time period T depends on the number of phases of the supported time-based
WRR port arbitration table size. When the time-based WRR Port Arbitration Table size
equals to 128, there are 128 virtual timeslots (t) in an isochronous time period, i.e.
T = 12.8 ms.
Note that isochronous period T as well as virtual timeslots t do not need to be aligned and
synchronized among different PCI Express isochronous devices, i.e., notion of {T, t} is local
to each individual isochronous device.
A.2.2. Isochronous Payload Size
The payload size (Y) for isochronous transactions must not exceed Max Payload Size (see
Section 5.8.4). After configuration, Max Payload Size is fixed within a PCI Express
hierarchy domain. The fixed Max Payload Size value is used for isochronous bandwidth
budgeting regardless of the actual size of data payload associated with isochronous
transactions. For isochronous bandwidth budgeting, we have
d_SizeMax_Payloa=Y.
In order for Completers to meet isochronous contract, Requesters must ensure that any
isochronous request contains a naturally aligned data block. A transaction with partial write
is treated as a normally accounted transaction. A Completer must account for partial writes
as part of bandwidth assignment (for worst case servicing time).

PCI EXPRESS BASE SPECIFICATION, REV. 1.0
387
A.2.3. Isochronous Bandwidth Allocation
Given T, t and Y, the maximum virtual timeslots within a time period is
t
T
N=
max ,
and the maximum specifiable isochronous bandwidth is
t
Y
BW =
max .
The granularity with which isochronous bandwidth can be allocated is defined as:
T
Y
BW ygranularit =.
Given T and t at 12.8 ms and 100 ns, respectively, Nmax is 128. As shown in Table A-1,
BWmax and BWgranularity are functions of the isochronous payload size Y.
Table A-1: Isochronous Bandwidth Ranges and Granularities
Y(bytes) 128 256 512 1024
BW max (MB/s) 1280 2560 5120 10240
BW granularity (MB/s) 10 20 40 80
Assigning isochronous bandwidth BWlink to a PCI Express Link is equivalent to assigning
Nlink virtual timeslots per isochronous period, where Nlink is given by
ygranularit
link
link BW
BW
N=.
For a Switch port serving as an Egress Port (or a RCRB serving as a 'virtual' Egress Port) for
an isochronous traffic, the Nmax virtual timeslots within T are represented by the time-based
WRR Port Arbitration Table in the PCI Express Virtual Channel Capability Structure
detailed in Section 5.11. The table consists of Nmax entries. An entry in the table represents
one virtual timeslot in the isochronous time period. When a table entry is given a value of
PN, it means that that timeslot is assigned to an ingress port (in respect to the isochronous
traffic targeting the Egress Port) designated by a Port Number of PN. Therefore, Nlink
virtual timeslots are assigned to the ingress port when there are Nlink entries in the table are
given value of PN. The Egress Port may admit one isochronous request transaction from
the ingress port for further service only when the table entry reached by the Egress Port's
isochronous time ticker (that increments by 1 every t time and wraps around when reaching
T) is set to PN. Even if there are outstanding isochronous requests ready in the ingress port,
they will not be served until next round of time-based WRR arbitration. In this manner, the
time-based Port Arbitration Table serves for both isochronous bandwidth assignment and
isochronous traffic regulation.
For a PCI Express Endpoint device serving as a Requester or a Completer, isochronous
bandwidth allocation is accomplished through negotiation between system software and
device driver, which is outside of the scope of this specification.
PCI EXPRESS BASE SPECIFICATION, REV. 1.0
388
A.2.4. Isochronous Transaction Latency
Transaction latency is composed of the latency through the PCI Express fabric and the
latency contributed by the rest of the system. For memory transactions, transaction latency
is the accumulated delay across the PCI Express fabric plus the service delay of the
Completer. Isochronous transaction latency is defined for each transaction and measured in
units of virtual timeslot t.
• For a Requester in the Endpoint-to-Root-Complex model, the read latency is defined as
the round-trip latency. This is the delay from the time when the device submits a
memory read request packet to its Transaction Layer (transmit side) to the time when the
corresponding read completion arrives at the device's Transaction Layer (receive side).
• For a Requester in both Endpoint-to-Root-Complex and Peer-to-Peer models, the write
latency is defined as the delay from the time when the Requester posts a memory write
request to its PCI Express Transaction Layer (transmit side) to the time when the data
write becomes globally visible within the memory subsystem of the Completer. A write
to memory reaches the point of global visibility when all agents accessing that memory
address get the updated data.
As part of the isochronous contract, the upper bound and the lower bound of isochronous
transaction latency are provided. The size of isochronous data buffers in a Requester can be
determined using the minimum and maximum isochronous transaction latencies. As shown
later, for most of common platforms, the minimum isochronous transaction latency is much
smaller than the maximum isochronous transaction latency. As a conservative measure, we
set the minimum isochronous transaction latency to zero and only provide guidelines on
measuring the maximum isochronous transaction latency.
For a Requester, the maximum isochronous (read or write) transaction latency (L) can be
accounted as the following:
CompleterFabric LLL += ,
where LFabric is the maximum latency of the PCI Express fabric and LCompleter is the maximum
latency of the Completer.
Transaction latency for a PCI Express Link or a PCI Express fabric, LFabric, is defined as the
delay from the time a transaction is posted at the transmission end to the time it is available
at the receiving end. This applies to both read and write transactions. (Note that read
transactions traverse PCI Express fabric twice, first time during the request phase and
second time during the completion phase.) LFabric depends on the topology, latency due to
each PCI Express Link and arbitration point in the path from the Requester to the
Completer. The latency on a PCI Express Link depends on pipeline delays, width and
operational frequency of the Link, transmission of electrical signals across the medium, wake
up latency from low power states, and delays caused by Data Link Layer Retry.
As specified later, a restriction on the PCI Express topology is imposed for each targeted
platform in order to provide a practically meaningful guideline for LFabric. The values of LFabric
provided in the guideline should be reasonable and serve as practical upper limits under
normal operating conditions.

PCI EXPRESS BASE SPECIFICATION, REV. 1.0
389
The value of LCompleter depends on the memory technology and specific memory configuration
settings and the arbitration policies in the Completer that comprehend PCI Express
isochronous traffic. The target value for LCompleter should provide enough headroom to allow
for implementation tradeoffs.
Definitions of read and write transaction latencies for a Completer are different:
• Read transaction latency for the Completer is defined as the delay from the time a
memory read transaction is available at the receiver end of a PCI Express Port in the
Completer to the time the corresponding read completion transaction is posted to the
transmission end of the PCI Express Port.
• Write transaction latency is defined as the delay from the time a memory write
transaction is available at the receiver end of a PCI Express Port in the Completer to the
time that the transmitted data is globally visible.
All of the isochronous transaction latencies defined above are based on the assumption that
the Requester injects isochronous transactions uniformly. According to an isochronous
contract of {N, T, t}, the uniform traffic injection is defined such that up to N transactions
are evenly distributed over the isochronous period T based on a ticker granularity of virtual
timeslot t. For a Requester with non-uniform isochronous transaction injection, the
Requester is responsible of accounting for any additional delay due to the deviation of its
injection pattern from a uniform injection pattern.
A.2.5. An Example Illustrating Isochronous Parameters
Figure A-3 illustrates the key isochronous parameters using a simplified example with
T = 20t and L = 22t. A Requester has reserved isochronous bandwidth of four transactions
per T. The device shares the allocated isochronous bandwidths for both read requests and
write requests. As shown, during one isochronous time period, two read requests and two
write requests are issued by the Requester. All requests are completed within the designated
transaction latency L. Also shown in the figure, there is no time dependency between the
service time of write requests and the arrival time of read completions.
Tt
Requests
Completions
L
R1W1R
2
W2
W2
W1R1R
2
Figure A-3: A Simplified Example Illustrating PCI Express Isochronous Parameters
PCI EXPRESS BASE SPECIFICATION, REV. 1.0
390
A.3. Isochronous Transaction Rules
Isochronous transactions follow the same rules as described in Chapter 2. In order to assist
the Completer to meet latency requirements, the following additional rules further illustrate
and clarify the proper behavior of isochronous transactions:
• The value in the Length field of read requests must never exceed Max Payload Size.
• All read and write requests must never cross naturally aligned address boundaries.
A.4. Transaction Ordering
In general, isochronous transactions follow the same ordering rules as described in Section
2.5. The following ordering rules further illustrate and clarify the proper behavior of
isochronous transactions:
• There is no ordering between isochronous transactions and other PCI Express
transactions, since on each PCI Express Link isochronous transactions are mapped to a
dedicated Virtual Channel and are not mixed with transactions of other Traffic Classes.
• Isochronous write requests are served on any PCI Express Link in strictly the same
order as isochronous write requests are posted.
• Switches must allow isochronous write requests to pass isochronous read completions.
A.5. Isochronous Data Coherency
Cache coherency for isochronous transactions is not an I/O interconnect issue but rather an
operating system software and Root Complex hardware issue. This specification provides
the necessary mechanism to control Root Complex behavior in terms of enforcing hardware
cache coherency on a transaction basis.
For platforms where snoop latency in a Root Complex is either unbounded or can be
excessively large, in order to meet tight maximum isochronous transaction latency LCompleter, or
more precisely LRoot_Complex, all isochronous transactions must have the “Snoop Not Required”
Attribute bit set.
Root Complex must report the Root Complex's capability to the system software by setting
the Snoop Transaction Permitted field in the VC Resource Capability Register (for the VC
resource intended for isochronous traffic) in RCRB. Based on whether or not a Root
Complex is capable of providing hardware enforced cache coherency for isochronous traffic
while still meeting isochronous latency target, system software can then inform device drive
of Endpoint devices to set or unset the “Snoop Not Required” Attribute bit for isochronous
transactions.
Note that cache coherency considerations for isochronous traffic do not apply to Peer-to-
Peer communication.
PCI EXPRESS BASE SPECIFICATION, REV. 1.0
391
A.6. Flow Control
Completers (PCI Express Endpoint device or Root Complex) and PCI Express fabric
components should implement proper sizing of buffers such that under normal operating
conditions, no back-pressure due to flow control should be applied to isochronous traffic
injected uniformly by a Requester. For Requesters that are compliant to the isochronous
contract, but have bursty injection behavior, Switches and Completers may apply flow
control back-pressure as long as the admitted isochronous traffic is uniform and compliant
to the isochronous contract. Under abnormal conditions when isochronous traffic jitter
becomes significant or when isochronous traffic is oversubscribed either due to excessive
Data Link Layer Retry, flow control provides a natural mechanism to ensure functional
correctness.
A.7. Topology Restrictions
Total service latency for a Requester depends on the position of that device within a
particular PCI Express topology. In order to provide a realistic upper bound of such
latency, it is necessary to establish topology restrictions for target platforms.
For desktop, volume workstation and mobile platforms, the worst case topology is 3-level
deep as shown in Figure A-4. In other words, for Endpoint-to-Root-Complex
communication, a PCI Express Endpoint device with isochronous service request needs to
be able to work on a platform with two levels of Switches between it and the Root Complex.
Peer-to-Peer communication should also work for the same 3-level deep PCI Express
topology for two PCI Express Endpoint devices that support Peer-to-Peer communication.
For server, high-end workstation and embedded communication platforms, the worst case
topology can go beyond 3-level deep. In these platforms, a PCI Express Endpoint device
with isochronous service request may connect to a Root Complex or other peer Endpoint
devices through cascaded Switches.

PCI EXPRESS BASE SPECIFICATION, REV. 1.0
392
Root Complex
End
Point Switch
End
Point
Switch
End
Point
Figure A-4: An Example of PCI Express Topology Supporting Isochronous
Applications
A.8. Transfer Reliability
Same as for non-isochronous traffic, reliable transfer is provided for isochronous traffic by
PCI Express interconnect and Completer's memory subsystem. In other words, once an
isochronous request is accepted in the PCI Express fabric, it will not be dropped by any PCI
Express component. When the request requires completion, corresponding completion
packet(s) will be returned to the requester. Requesters are responsible for shaping and
conditioning isochronous traffic. With resource reservation and traffic regulation
mechanism described above, guaranteed isochronous service is provided under normal
operating conditions. When such conditions are not met, errors due to retry and flow
control manifest in excessive latencies for isochronous transactions. In order to resolve the
congestion caused by excessive retries and flow control (for example, one retry per
isochronous period per Link may be budgeted in isochronous resource reservation managed
by system software), a Requester may delay or drop non-committed isochronous requests. It
may also drop late-received completions. For late-received data packets in the Completer's
memory subsystem, it is up to the application and/or driver software to determine if data
should be discarded.

PCI EXPRESS BASE SPECIFICATION, REV. 1.0
393
A.9. Considerations for Bandwidth Allocation
A.9.1. Isochronous Bandwidth of PCI Express Links
Isochronous bandwidth budgeting for PCI Express Links can be derived based on Link
parameters such as isochronous payload size, the speed, and the width of the Link.
Isochronous bandwidth allocation for a PCI Express Link is limited to certain percentage of
the maximum effective Link bandwidth in order to leave sufficient bandwidth for non-
isochronous traffic and to account for temporary Link bandwidth reduction due to retries.
Link utilization is counted based on the actual cycles consumed on the physical PCI Express
Link. The maximum number of virtual timeslots allowed per Link (Nlink) depends on the
isochronous packet payload size and also the speed and width of the Link. Table A-2: shows
Nlink and Link utilization as functions of isochronous payload size and PCI Express Link
width when the Link runs at 2.5 GHz and isochronous Link utilization limited to 50%. For
low to medium PCI Express Links width (with number of Lanes between 1 and 8), the
relatively slow Link bandwidth limits the isochronous resource (virtual timeslot) allocation.
However, for wider PCI Express Links (with 12 or 16 Lanes), the relatively large virtual
timeslot (at 100 n) limits the isochronous resource allocation.
Table A-2: Maximum Number of Virtual Timeslots Allowed for Different PCI
Express Links at 2.5 GHz
# Lanes
Y(Bytes) Nlink %Util Nlink %Util Nlink %Util Nlink %Util Nlink %Util Nlink %Util
128 11 50% 22 50% 44 50% 88 50% 128 48% 128 36%
256 5 43% 11 47% 23 49% 46 49% 70 50% 93 50%
512 3 50%
6
50% 12 50%
2
4
5
0% 36 50% 48 50%
81216124
As isochronous bandwidth allocation on a PCI Express Link is based on number of
transactions Nlink per isochronous period. There is no distinction between read requests and
write requests in budgeting isochronous bandwidth on a PCI Express Link. In other words,
even though a read request packet (without payload) can be much smaller than a write
request packet (with payload), their Link utilization is accounted as the same according to the
larger one (a write request). This is because for each read request in one direction of a PCI
Express Link there will be one or more read completions with payload on the other
direction of the PCI Express Link. Without differentiating between read and write request
transactions, the allocated isochronous bandwidth for a PCI Express Link in the Endpoint-
to-Root-Complex model is assumed to consume bandwidth in both directions. For the
push-only Peer-to-Peer model, software may take advantage of the unidirectional
isochronous traffic pattern in budgeting PCI Express Link resource.
PCI EXPRESS BASE SPECIFICATION, REV. 1.0
394
A.9.2. Isochronous Bandwidth of Endpoint Devices
For Peer-to-Peer communication, when a PCI Express Endpoint device serves as the
Completer of isochronous traffic, its device driver is responsible for reporting to the
operating system-level PCI Express isochronous configuration software if the device is
capable of being a Completer for isochronous transactions. In addition, the device driver
must report if there is enough bandwidth to service the requests within the Completer’s
memory subsystem. The specifics of the reporting mechanism are outside of the scope of
this specification.
A.9.3. Isochronous Bandwidth of Switches
Allocation of isochronous bandwidth for a Switch must consider the capacity and utilization
of PCI Express Links associated with the ingress Port and the Egress Port of the Switch that
connect the Requester and the Completer, respectively. The lowest common denominator
of the two determines if a requested isochronous bandwidth can be supported.
A.9.4. Isochronous Bandwidth of Root Complex
Isochronous bandwidth of Root Complex is reported to the software through RCRB
Structure. Specifically, the Maximum Time Slots field of the VC Resource Capability Register
in VC Capability Structure indicate the total isochronous bandwidth shared by the Root
Ports associated with the RCRB. Details of the platform budgeting for available isochronous
bandwidth within a Root Complex are outside of the scope of this specification.
A.10. Considerations for PCI Express Components
A.10.1. A PCI Express Endpoint Device as a Requester
Before a PCI Express Endpoint device as a Requester can start issuing isochronous request
transactions, the following configuration steps must be performed by software:
• Configuration of an Isochronous Virtual Channel that Isochronous Traffic Class is
mapped to.
• Enabling of the Isochronous VC.
According to the rules stated in Chapter 2, an Endpoint Requester must issue isochronous
transactions using Flow Control credits available for the corresponding Isochronous VC.
When isochronous transactions (requests) are injected uniformly, the receive Port, being a
Switch Port or a Root Port, will issue Flow Control credit back promptly such that no back-
pressure is applied to the Isochronous VC. Therefore, the Endpoint Requester can size its
buffer based on the PCI Express fabric latency LFabric plus the completer's latency LCompleter.
When isochronous transactions are injected non-uniformly, either some transactions
experience longer PCI Express fabric delay or the Endpoint Requester gets back-pressured
PCI EXPRESS BASE SPECIFICATION, REV. 1.0
395
on the Isochronous VC. This kind of Requester must size its buffer to account for the
deviation of its injection pattern from uniformity.
A.10.2. A PCI Express Endpoint Device as a Completer
A PCI Express Endpoint device may serve as a Completer for isochronous Peer-to-Peer
communication. Before a PCI Express Endpoint device starts serving isochronous
transactions, its PCI Express Port must be configured by operating system-level
configuration software to enable an Isochronous VC.
An Endpoint Completer must observe the maximum isochronous transaction latency
(LCompleter). How an Endpoint Completer schedules memory cycles for PCI Express
isochronous transactions and other memory transactions is outside of the scope of this
specification as long as LCompleter is met for PCI Express isochronous transactions.
An Endpoint Completer communicates with a Requester through PCI Express fabric
components such as Switches. Since isochronous requests injected to an Endpoint
Completer have already been regulated by Switches to conform to the isochronous contract,
the Endpoint Completer does not have to regulate isochronous request traffic. However, an
Endpoint Completer must size its internal buffer such that no back-pressure is applied to the
Isochronous VC.
Since Switches do not check for the additional isochronous transactions rules stated in
Section A.3, an Endpoint Completer may perform the following operations for invalid
isochronous transactions:
• Return partial completions for read requests with the value in the Length field exceeding
Max Payload Size.
• Return partial completions for read requests that cross naturally aligned address
boundaries.
• Write partial data for write requests that cross naturally aligned address boundaries.
PCI EXPRESS BASE SPECIFICATION, REV. 1.0
396
A.10.3. Switches
A Switch may have multiple ports capable of supporting isochronous transactions. Before a
Switch starts serving isochronous transactions for a port, the following configuration steps
must be performed by the software:
• Configuration of an Isochronous Virtual Channel that Isochronous Traffic Class is
mapped to.
• Configuration of the port as an ingress port:
o Configuration (or reconfiguration if the Egress Port Isochronous VC is already
enabled) of the time-based WRR Port Arbitration Table of the targeting Egress
Port to include Nlink entries set to the ingress port's Port Number. Here Nlink is
the isochronous allocation for the ingress port.
o Enabling the targeting Egress Port to load newly programmed Port Arbitration
Table.
• Configuration of the port as an Egress Port:
o Configuration of the Isochronous VC's Port Arbitration Table with number of
entries set according to the assigned isochronous bandwidth for all ingress ports
with isochronous traffic targeting the Egress Port.
o Select proper VC Arbitration such as strict-priority based VC Arbitration.
o If required, configuration of the port's VC Arbitration Table with large weights
assigned to the Isochronous VC.
• Enabling of the Isochronous VC for the port.
The Isochronous VC needs to be served as the highest priority in arbitrating for the shared
PCI Express Link resource at an Egress Port. This is comprehended by a Switch's internal
arbitration scheme. As the Isochronous VC is assigned with highest VC ID, for Switch port
that supports priority-based VC arbitration, the Isochronous VC is served with the highest
arbitration priority. For Switch port that supports WRR-based VC arbitration, software
must program the weights for the Isochronous VC to be large enough so that the service is
equivalent to a highest priority one.
In addition, a Switch port may use “just in time” scheduling mechanism to reduce VC
arbitration latency. Instead of pipelining non-isochronous Transport Layer packets to the
Data Link Layer of the Egress Port in a manner that Data Link Layer transmit buffer
becomes saturated, the Switch port may hold off scheduling of a new non-isochronous
packet to the Data Link Layer as long as it is possible without incurring unnecessary Link
idle time.
When an Isochronous VC is enabled for a Switch port (ingress) that is connected to a
Requester, the Switch must enforce proper traffic regulation to ensure that isochronous
traffic from the ingress port conforms to this specification (Nlink transactions per
isochronous period programmed in the target Switch Egress Port's Port Arbitration Table).
With a such enforcement, normal isochronous transactions from compliant Requesters will
not be impacted by ill behavior of any incompliant Requester.
PCI EXPRESS BASE SPECIFICATION, REV. 1.0
397
Isochronous traffic regulation from any ingress port is implemented as part of the Port
Arbitration of the target Egress Port. Specifically, a time-based WRR Port Arbitration is
used to schedule isochronous read and/or write request transactions. The Nmax virtual
timeslots (t) within the isochronous time period (T) are represented by the time-based WRR
Table in the PCI Express Virtual Channel Capability Structure detailed in Section 5.11. The
table consists of Nmax entries. A table entry represents one virtual timeslot. An ingress Port
is assigned with Nlink virtual timeslots when Nlink entries in the target Egress Port's time-based
WRR Port Table are set to the ingress port's Port Number.
The above isochronous traffic regulation mechanism only applies to request transactions but
not to completion transactions. As read completion transactions only come from upstream
port and go to downstream ports, no Port Arbitration is needed. When Endpoint-to-Root-
Complex and Peer-to-Peer communications co-exist in a Switch, a downstream (egress) port
may mix isochronous write requests and read completions in the same direction. In the case
of contention, the Egress Port must allow write requests to pass read completions to ensure
the Switch meet latency requirement for isochronous requests.
A.10.4. Root Complex
A Root Complex may have multiple Root Ports capable of supporting isochronous
transactions. Before a Root Complex starts serving isochronous transactions for a Root Port,
the port must be configured by the operating system-level PCI Express configuration
software to enable an Isochronous VC using the following configuration steps:
• Configuration of an Isochronous Virtual Channel that Isochronous Traffic Class is
mapped to.
• Configuration of the Root Port as an Ingress Port:
o Configuration (or reconfiguration if the Isochronous VC in RCRB is already
enabled) of the time-based WRR Port Arbitration Table of the targeting RCRB
to include Nlink entries set to the ingress port's Port Number. Here Nlink is the
isochronous allocation for the ingress port.
o Enabling the targeting RCRB to load newly programmed Port Arbitration
Table.
• Configuration of the Root Port as an Egress Port:
o If supported, configuration of the Root Port's VC Arbitration Table with large
weights assigned to the Isochronous VC.
• Enabling of the Isochronous VC for the Root Port.
A Root Complex must observe the maximum isochronous transaction latency (LCompleter or
more precisely LRoot_Complex) that applies to all the Root Ports in the Root Complex. How a
Root Complex schedules memory cycles for PCI Express isochronous transactions and
other memory transactions is outside of the scope of this specification as long as LRoot_Complex is
met for PCI Express isochronous transactions.
When an Isochronous VC is enabled for a Root Port, the Root Complex must enforce
proper traffic regulation to ensure that isochronous traffic from the Root Port confirms to
PCI EXPRESS BASE SPECIFICATION, REV. 1.0
398
this specification (Nlink transactions per isochronous period). With such enforcement,
normal isochronous transactions from compliant Requesters will not be impacted by ill
behavior of any incompliant Requesters. Isochronous traffic regulation is implemented
using the time-based Port Arbitration Table in RCRB.
As Switches do not check for the additional isochronous transaction rules stated in
Section A.3, Root Complex may perform the following operations for invalid isochronous
transactions:
• Return partial completions for read requests with the value in the Length field exceeding
Max Payload Size.
• Return partial completions for read requests that cross naturally aligned address
boundaries.
• Write partial data for write requests that cross naturally aligned address boundaries.

PCI EXPRESS BASE SPECIFICATION, REV. 1.0
399
B. Symbol Encoding
Table B-1 shows the Byte to Symbol encodings for data characters. Table B-2 shows the
Symbol encodings for the Special Symbols used for TLP/DLLP Framing and for interface
management. RD- and RD+ refer to the Running Disparity of the Symbol sequence on a
per-Lane basis.
Table B-1: 8b/10b Data Symbol Codes
Data Byte
Name Data Byte
Value Bits HGF EDCBA Current RD -
abcdei fghj Current RD +
abcdei fghj
D0.0 00 000 00000 100111 0100 011000 1011
D1.0 01 000 00001 011101 0100 100010 1011
D2.0 02 000 00010 101101 0100 010010 1011
D3.0 03 000 00011 110001 1011 110001 0100
D4.0 04 000 00100 110101 0100 001010 1011
D5.0 05 000 00101 101001 1011 101001 0100
D6.0 06 000 00110 011001 1011 011001 0100
D7.0 07 000 00111 111000 1011 000111 0100
D8.0 08 000 01000 111001 0100 000110 1011
D9.0 09 000 01001 100101 1011 100101 0100
D10.0 0A 000 01010 010101 1011 010101 0100
D11.0 0B 000 01011 110100 1011 110100 0100
D12.0 0C 000 01100 001101 1011 001101 0100
D13.0 0D 000 01101 101100 1011 101100 0100
D14.0 0E 000 01110 011100 1011 011100 0100
D15.0 0F 000 01111 010111 0100 101000 1011
D16.0 10 000 10000 011011 0100 100100 1011
D17.0 11 000 10001 100011 1011 100011 0100
D18.0 12 000 10010 010011 1011 010011 0100
D19.0 13 000 10011 110010 1011 110010 0100
D20.0 14 000 10100 001011 1011 001011 0100
D21.0 15 000 10101 101010 1011 101010 0100
D22.0 16 000 10110 011010 1011 011010 0100
B

PCI EXPRESS BASE SPECIFICATION, REV. 1.0
400
Data Byte
Name Data Byte
Value Bits HGF EDCBA Current RD -
abcdei fghj Current RD +
abcdei fghj
D23.0 17 000 10111 111010 0100 000101 1011
D24.0 18 000 11000 110011 0100 001100 1011
D25.0 19 000 11001 100110 1011 100110 0100
D26.0 1A 000 11010 010110 1011 010110 0100
D27.0 1B 000 11011 110110 0100 001001 1011
D28.0 1C 000 11100 001110 1011 001110 0100
D29.0 1D 000 11101 101110 0100 010001 1011
D30.0 1E 000 11110 011110 0100 100001 1011
D31.0 1F 000 11111 101011 0100 010100 1011
D0.1 20 001 00000 100111 1001 011000 1001
D1.1 21 001 00001 011101 1001 100010 1001
D2.1 22 001 00010 101101 1001 010010 1001
D3.1 23 001 00011 110001 1001 110001 1001
D4.1 24 001 00100 110101 1001 001010 1001
D5.1 25 001 00101 101001 1001 101001 1001
D6.1 26 001 00110 011001 1001 011001 1001
D7.1 27 001 00111 111000 1001 000111 1001
D8.1 28 001 01000 111001 1001 000110 1001
D9.1 29 001 01001 100101 1001 100101 1001
D10.1 2A 001 01010 010101 1001 010101 1001
D11.1 2B 001 01011 110100 1001 110100 1001
D12.1 2C 001 01100 001101 1001 001101 1001
D13.1 2D 001 01101 101100 1001 101100 1001
D14.1 2E 001 01110 011100 1001 011100 1001
D15.1 2F 001 01111 010111 1001 101000 1001
D16.1 30 001 10000 011011 1001 100100 1001
D17.1 31 001 10001 100011 1001 100011 1001
D18.1 32 001 10010 010011 1001 010011 1001
D19.1 33 001 10011 110010 1001 110010 1001
D20.1 34 001 10100 001011 1001 001011 1001
D21.1 35 001 10101 101010 1001 101010 1001
D22.1 36 001 10110 011010 1001 011010 1001
D23.1 37 001 10111 111010 1001 000101 1001
D24.1 38 001 11000 110011 1001 001100 1001

PCI EXPRESS BASE SPECIFICATION, REV. 1.0
401
Data Byte
Name Data Byte
Value Bits HGF EDCBA Current RD -
abcdei fghj Current RD +
abcdei fghj
D25.1 39 001 11001 100110 1001 100110 1001
D26.1 3A 001 11010 010110 1001 010110 1001
D27.1 3B 001 11011 110110 1001 001001 1001
D28.1 3C 001 11100 001110 1001 001110 1001
D29.1 3D 001 11101 101110 1001 010001 1001
D30.1 3E 001 11110 011110 1001 100001 1001
D31.1 3F 001 11111 101011 1001 010100 1001
D0.2 40 010 00000 100111 0101 011000 0101
D1.2 41 010 00001 011101 0101 100010 0101
D2.2 42 010 00010 101101 0101 010010 0101
D3.2 43 010 00011 110001 0101 110001 0101
D4.2 44 010 00100 110101 0101 001010 0101
D5.2 45 010 00101 101001 0101 101001 0101
D6.2 46 010 00110 011001 0101 011001 0101
D7.2 47 010 00111 111000 0101 000111 0101
D8.2 48 010 01000 111001 0101 000110 0101
D9.2 49 010 01001 100101 0101 100101 0101
D10.2 4A 010 01010 010101 0101 010101 0101
D11.2 4B 010 01011 110100 0101 110100 0101
D12.2 4C 010 01100 001101 0101 001101 0101
D13.2 4D 010 01101 101100 0101 101100 0101
D14.2 4E 010 01110 011100 0101 011100 0101
D15.2 4F 010 01111 010111 0101 101000 0101
D16.2 50 010 10000 011011 0101 100100 0101
D17.2 51 010 10001 100011 0101 100011 0101
D18.2 52 010 10010 010011 0101 010011 0101
D19.2 53 010 10011 110010 0101 110010 0101
D20.2 54 010 10100 001011 0101 001011 0101
D21.2 55 010 10101 101010 0101 101010 0101
D22.2 56 010 10110 011010 0101 011010 0101
D23.2 57 010 10111 111010 0101 000101 0101
D24.2 58 010 11000 110011 0101 001100 0101
D25.2 59 010 11001 100110 0101 100110 0101
D26.2 5A 010 11010 010110 0101 010110 0101

PCI EXPRESS BASE SPECIFICATION, REV. 1.0
402
Data Byte
Name Data Byte
Value Bits HGF EDCBA Current RD -
abcdei fghj Current RD +
abcdei fghj
D27.2 5B 010 11011 110110 0101 001001 0101
D28.2 5C 010 11100 001110 0101 001110 0101
D29.2 5D 010 11101 101110 0101 010001 0101
D30.2 5E 010 11110 011110 0101 100001 0101
D31.2 5F 010 11111 101011 0101 010100 0101
D0.3 60 011 00000 100111 0011 011000 1100
D1.3 61 011 00001 011101 0011 100010 1100
D2.3 62 011 00010 101101 0011 010010 1100
D3.3 63 011 00011 110001 1100 110001 0011
D4.3 64 011 00100 110101 0011 001010 1100
D5.3 65 011 00101 101001 1100 101001 0011
D6.3 66 011 00110 011001 1100 011001 0011
D7.3 67 011 00111 111000 1100 000111 0011
D8.3 68 011 01000 111001 0011 000110 1100
D9.3 69 011 01001 100101 1100 100101 0011
D10.3 6A 011 01010 010101 1100 010101 0011
D11.3 6B 011 01011 110100 1100 110100 0011
D12.3 6C 011 01100 001101 1100 001101 0011
D13.3 6D 011 01101 101100 1100 101100 0011
D14.3 6E 011 01110 011100 1100 011100 0011
D15.3 6F 011 01111 010111 0011 101000 1100
D16.3 70 011 10000 011011 0011 100100 1100
D17.3 71 011 10001 100011 1100 100011 0011
D18.3 72 011 10010 010011 1100 010011 0011
D19.3 73 011 10011 110010 1100 110010 0011
D20.3 74 011 10100 001011 1100 001011 0011
D21.3 75 011 10101 101010 1100 101010 0011
D22.3 76 011 10110 011010 1100 011010 0011
D23.3 77 011 10111 111010 0011 000101 1100
D24.3 78 011 11000 110011 0011 001100 1100
D25.3 79 011 11001 100110 1100 100110 0011
D26.3 7A 011 11010 010110 1100 010110 0011
D27.3 7B 011 11011 110110 0011 001001 1100
D28.3 7C 011 11100 001110 1100 001110 0011

PCI EXPRESS BASE SPECIFICATION, REV. 1.0
403
Data Byte
Name Data Byte
Value Bits HGF EDCBA Current RD -
abcdei fghj Current RD +
abcdei fghj
D29.3 7D 011 11101 101110 0011 010001 1100
D30.3 7E 011 11110 011110 0011 100001 1100
D31.3 7F 011 11111 101011 0011 010100 1100
D0.4 80 100 00000 100111 0010 011000 1101
D1.4 81 100 00001 011101 0010 100010 1101
D2.4 82 100 00010 101101 0010 010010 1101
D3.4 83 100 00011 110001 1101 110001 0010
D4.4 84 100 00100 110101 0010 001010 1101
D5.4 85 100 00101 101001 1101 101001 0010
D6.4 86 100 00110 011001 1101 011001 0010
D7.4 87 100 00111 111000 1101 000111 0010
D8.4 88 100 01000 111001 0010 000110 1101
D9.4 89 100 01001 100101 1101 100101 0010
D10.4 8A 100 01010 010101 1101 010101 0010
D11.4 8B 100 01011 110100 1101 110100 0010
D12.4 8C 100 01100 001101 1101 001101 0010
D13.4 8D 100 01101 101100 1101 101100 0010
D14.4 8E 100 01110 011100 1101 011100 0010
D15.4 8F 100 01111 010111 0010 101000 1101
D16.4 90 100 10000 011011 0010 100100 1101
D17.4 91 100 10001 100011 1101 100011 0010
D18.4 92 100 10010 010011 1101 010011 0010
D19.4 93 100 10011 110010 1101 110010 0010
D20.4 94 100 10100 001011 1101 001011 0010
D21.4 95 100 10101 101010 1101 101010 0010
D22.4 96 100 10110 011010 1101 011010 0010
D23.4 97 100 10111 111010 0010 000101 1101
D24.4 98 100 11000 110011 0010 001100 1101
D25.4 99 100 11001 100110 1101 100110 0010
D26.4 9A 100 11010 010110 1101 010110 0010
D27.4 9B 100 11011 110110 0010 001001 1101
D28.4 9C 100 11100 001110 1101 001110 0010
D29.4 9D 100 11101 101110 0010 010001 1101
D30.4 9E 100 11110 011110 0010 100001 1101

PCI EXPRESS BASE SPECIFICATION, REV. 1.0
404
Data Byte
Name Data Byte
Value Bits HGF EDCBA Current RD -
abcdei fghj Current RD +
abcdei fghj
D31.4 9F 100 11111 101011 0010 010100 1101
D0.5 A0 101 00000 100111 1010 011000 1010
D1.5 A1 101 00001 011101 1010 100010 1010
D2.5 A2 101 00010 101101 1010 010010 1010
D3.5 A3 101 00011 110001 1010 110001 1010
D4.5 A4 101 00100 110101 1010 001010 1010
D5.5 A5 101 00101 101001 1010 101001 1010
D6.5 A6 101 00110 011001 1010 011001 1010
D7.5 A7 101 00111 111000 1010 000111 1010
D8.5 A8 101 01000 111001 1010 000110 1010
D9.5 A9 101 01001 100101 1010 100101 1010
D10.5 AA 101 01010 010101 1010 010101 1010
D11.5 AB 101 01011 110100 1010 110100 1010
D12.5 AC 101 01100 001101 1010 001101 1010
D13.5 AD 101 01101 101100 1010 101100 1010
D14.5 AE 101 01110 011100 1010 011100 1010
D15.5 AF 101 01111 010111 1010 101000 1010
D16.5 B0 101 10000 011011 1010 100100 1010
D17.5 B1 101 10001 100011 1010 100011 1010
D18.5 B2 101 10010 010011 1010 010011 1010
D19.5 B3 101 10011 110010 1010 110010 1010
D20.5 B4 101 10100 001011 1010 001011 1010
D21.5 B5 101 10101 101010 1010 101010 1010
D22.5 B6 101 10110 011010 1010 011010 1010
D23.5 B7 101 10111 111010 1010 000101 1010
D24.5 B8 101 11000 110011 1010 001100 1010
D25.5 B9 101 11001 100110 1010 100110 1010
D26.5 BA 101 11010 010110 1010 010110 1010
D27.5 BB 101 11011 110110 1010 001001 1010
D28.5 BC 101 11100 001110 1010 001110 1010
D29.5 BD 101 11101 101110 1010 010001 1010
D30.5 BE 101 11110 011110 1010 100001 1010
D31.5 BF 101 11111 101011 1010 010100 1010
D0.6 C0 110 00000 100111 0110 011000 0110

PCI EXPRESS BASE SPECIFICATION, REV. 1.0
405
Data Byte
Name Data Byte
Value Bits HGF EDCBA Current RD -
abcdei fghj Current RD +
abcdei fghj
D1.6 C1 110 00001 011101 0110 100010 0110
D2.6 C2 110 00010 101101 0110 010010 0110
D3.6 C3 110 00011 110001 0110 110001 0110
D4.6 C4 110 00100 110101 0110 001010 0110
D5.6 C5 110 00101 101001 0110 101001 0110
D6.6 C6 110 00110 011001 0110 011001 0110
D7.6 C7 110 00111 111000 0110 000111 0110
D8.6 C8 110 01000 111001 0110 000110 0110
D9.6 C9 110 01001 100101 0110 100101 0110
D10.6 CA 110 01010 010101 0110 010101 0110
D11.6 CB 110 01011 110100 0110 110100 0110
D12.6 CC 110 01100 001101 0110 001101 0110
D13.6 CD 110 01101 101100 0110 101100 0110
D14.6 CE 110 01110 011100 0110 011100 0110
D15.6 CF 110 01111 010111 0110 101000 0110
D16.6 D0 110 10000 011011 0110 100100 0110
D17.6 D1 110 10001 100011 0110 100011 0110
D18.6 D2 110 10010 010011 0110 010011 0110
D19.6 D3 110 10011 110010 0110 110010 0110
D20.6 D4 110 10100 001011 0110 001011 0110
D21.6 D5 110 10101 101010 0110 101010 0110
D22.6 D6 110 10110 011010 0110 011010 0110
D23.6 D7 110 10111 111010 0110 000101 0110
D24.6 D8 110 11000 110011 0110 001100 0110
D25.6 D9 110 11001 100110 0110 100110 0110
D26.6 DA 110 11010 010110 0110 010110 0110
D27.6 DB 110 11011 110110 0110 001001 0110
D28.6 DC 110 11100 001110 0110 001110 0110
D29.6 DD 110 11101 101110 0110 010001 0110
D30.6 DE 110 11110 011110 0110 100001 0110
D31.6 DF 110 11111 101011 0110 010100 0110
D0.7 E0 111 00000 100111 0001 011000 1110
D1.7 E1 111 00001 011101 0001 100010 1110
D2.7 E2 111 00010 101101 0001 010010 1110

PCI EXPRESS BASE SPECIFICATION, REV. 1.0
406
Data Byte
Name Data Byte
Value Bits HGF EDCBA Current RD -
abcdei fghj Current RD +
abcdei fghj
D3.7 E3 111 00011 110001 1110 110001 0001
D4.7 E4 111 00100 110101 0001 001010 1110
D5.7 E5 111 00101 101001 1110 101001 0001
D6.7 E6 111 00110 011001 1110 011001 0001
D7.7 E7 111 00111 111000 1110 000111 0001
D8.7 E8 111 01000 111001 0001 000110 1110
D9.7 E9 111 01001 100101 1110 100101 0001
D10.7 EA 111 01010 010101 1110 010101 0001
D11.7 EB 111 01011 110100 1110 110100 1000
D12.7 EC 111 01100 001101 1110 001101 0001
D13.7 ED 111 01101 101100 1110 101100 1000
D14.7 EE 111 01110 011100 1110 011100 1000
D15.7 EF 111 01111 010111 0001 101000 1110
D16.7 F0 111 10000 011011 0001 100100 1110
D17.7 F1 111 10001 100011 0111 100011 0001
D18.7 F2 111 10010 010011 0111 010011 0001
D19.7 F3 111 10011 110010 1110 110010 0001
D20.7 F4 111 10100 001011 0111 001011 0001
D21.7 F5 111 10101 101010 1110 101010 0001
D22.7 F6 111 10110 011010 1110 011010 0001
D23.7 F7 111 10111 111010 0001 000101 1110
D24.7 F8 111 11000 110011 0001 001100 1110
D25.7 F9 111 11001 100110 1110 100110 0001
D26.7 FA 111 11010 010110 1110 010110 0001
D27.7 FB 111 11011 110110 0001 001001 1110
D28.7 FC 111 11100 001110 1110 001110 0001
D29.7 FD 111 11101 101110 0001 010001 1110
D30.7 FE 111 11110 011110 0001 100001 1110
D31.7 FF 111 11111 101011 0001 010100 1110

PCI EXPRESS BASE SPECIFICATION, REV. 1.0
407
Table B-2: 8b/10b Special Character Symbol Codes
Data Byte
Name Data Byte
Value Bits HGF EDCBA Current RD -
abcdei fghj Current RD +
abcdei fghj
K28.0 1C 000 11100 001111 0100 110000 1011
K28.1 3C 001 11100 001111 1001 110000 0110
K28.2 5C 010 11100 001111 0101 110000 1010
K28.3 7C 011 11100 001111 0011 110000 1100
K28.4 9C 100 11100 001111 0010 110000 1101
K28.5 BC 101 11100 001111 1010 110000 0101
K28.6 DC 110 11100 001111 0110 110000 1001
K28.7 FC 111 11100 001111 1000 110000 0111
K23.7 F7 111 10111 111010 1000 000101 0111
K27.7 FB 111 11011 110110 1000 001001 0111
K29.7 FD 111 11101 101110 1000 010001 0111
K30.7 FE 111 11110 011110 1000 100001 0111
PCI EXPRESS BASE SPECIFICATION, REV. 1.0
408

PCI EXPRESS BASE SPECIFICATION, REV. 1.0
409
C. Physical Layer Appendix
C.1. Data Scrambling
The following subroutines encode and decode an eight-bit value contained in “inbyte” with
the LFSR. This is presented as one example only; there are many ways to obtain the proper
output. This example demonstrates how to advance the LFSR eight times in one operation
and how to XOR the data in one operation. Many other implementations are possible but
they must all produce the same output as that shown here.
The following algorithm uses the “C” programming language conventions, where “<<” and
“>>” represent the shift left and shift right operators, “>” is the compare greater than
operator, and “ ^ ” is the exclusive or operator, and & is the logical “AND” operator.
/*
this routine implements the serial descrambling algorithm in parallel form
this advances the lfsr 8 bits every time it is called
this fewer than 36 xor gates to implement (with a static register)
The XOR required to advance 8 bits / clock is:
bit0123456789101112131415
89101189101101234567
9 10 11 12 9 10 11 12 12 13 14 15 8 9 8
10 11 12 13 10 11 12 13 13 14 15 9 10 9
12 13 14 15 13 14 15 14 15 10 11 11
15 14 15 12 13 14
15 15 15
*/
C
PCI EXPRESS BASE SPECIFICATION, REV. 1.0
410
/* XOR required for creating the serial data is
bi01234567
15 14 13 12 11 10 9 8
15 14 13 12 11 10 9
15 14 13 12 11 10
15 14 13 12
15
*/
int scramble_byte(int inbyte)
{
static int scrambit[16];
static int bit[16];
static int bit_out[16];
static unsigned short lfsr = 0xffff; // 16 bit short for polynomial
int i, outbyte;
if (inbyte == COMMA) // if this is a comma
{
lfsr = 0xffff; // reset the LFSR
return (COMMA); // and return the same data
}
if (inbyte == SKIP) // don't advance or encode on skip
return (SKIP);
for (i=0; i<16;i++) // convert LFSR to bit array for legibility
bit[i] = (lfsr >> i) & 1;
for (i=0; i<8; i++) // convert byte to be scrambled for legibility
scrambit[i] = (inbyte >> i) & 1;
// apply the xor to the data
if (! (inbyte && 0x100) && // if not a KCODE, scramble the data
! (TrainingSequence == TRUE)) // and if not in the middle of a
training sequence
{
scrambit[0] ^= bit[15];
scrambit[1] ^= bit[14] ^ bit[15];
scrambit[2] ^= bit[13] ^ bit[14] ^ bit[15];
scrambit[3] ^= bit[12] ^ bit[13] ^ bit[14];
scrambit[4] ^= bit[11] ^ bit[12] ^ bit[13] ^ bit[15];
scrambit[5] ^= bit[10] ^ bit[11] ^ bit[12] ^ bit[14];
scrambit[6] ^= bit[9] ^ bit[10] ^ bit[11] ^ bit[13];
scrambit[7] ^= bit[8] ^ bit[9] ^ bit[10] ^ bit[12] ^ bit[15];
}
PCI EXPRESS BASE SPECIFICATION, REV. 1.0
411
outbyte = 0;
for (i= 0; i<8; i++) // convert data back to an integer
outbyte += (scrambit[i] << i);
// Now advance the LFSR 8 serial clocks
bit_out[0] = bit[8] ^ bit[9] ^ bit[10] ^ bit[12] ^ bit[15] ;
bit_out[1] = bit[9] ^ bit[10] ^ bit[11] ^ bit[13];
bit_out[2] = bit[10] ^ bit[11] ^ bit[12] ^ bit[14];
bit_out[3] = bit[11] ^ bit[12] ^ bit[13] ^ bit[15];
bit_out[4] = bit[8] ^ bit[9] ^ bit[10]^ bit[13] ^ bit[14] ^ bit[15] ;
bit_out[5] = bit[9] ^ bit[10] ^ bit[11] ^ bit[14] ^ bit[15] ;
bit_out[6] = bit[10] ^ bit[11] ^ bit[12] ^ bit[15] ;
bit_out[7] = bit[11] ^ bit[12] ^ bit[13];
bit_out[8] = bit[0] ^ bit[12] ^ bit[13] ^ bit[14] ;
bit_out[9] = bit[1] ^ bit[13] ^ bit[14] ^ bit[15] ;
bit_out[10] = bit[2] ^ bit[14] ^ bit[15];
bit_out[11] = bit[3] ^ bit[15];
bit_out[12] = bit[4] ;
bit_out[13] = bit[5] ^ bit[8] ^ bit[9] ^ bit[10] ^ bit[12] ^ bit[15] ;
bit_out[14] = bit[6] ^ bit[9] ^ bit[10] ^ bit[11] ^ bit[13] ;
bit_out[15] = bit[7] ^ bit[8] ^ bit[9] ^ bit[11] ^ bit[14] ^ bit[15] ;
lfsr = 0;
for (i=0; i <16; i++) // the LFSR back to an integer
lfsr += (bit_out[i] << i);
return outbyte;
}
/*
this routine implements the serial descrambling algorithm in parallel form
this advances the lfsr 8 bits every time it is called
this fewer than 36 xor gates to implement (with a static register)
The XOR tree is the same as the scrambling routine
*/
int unscramble_byte(int inbyte)
{
static int descrambit[8];
static int bit[16];
static int bit_out[16];
static unsigned short lfsr = 0xffff; // 16 bit short for polynomial
int outbyte, i;
PCI EXPRESS BASE SPECIFICATION, REV. 1.0
412
if (inbyte == COMMA) // if this is a comma
{
lfsr = 0xffff; // reset the LFSR
return (COMMA); // and return the same data
}
if (inbyte == SKIP) // don't advance or encode on skip
return (SKIP);
for (i=0; i<16;i++) // convert the LFSR to bit array for legibility
bit[i] = (lfsr >> i) & 1;
for (i=0; i<8; i++) // convert byte to be de-scrambled for l
legibility
descrambit[i] = (inbyte >> i) & 1;
// apply the xor to the data
if (! (inbyte && 0x100) && // if not a KCODE, scramble the data
! (TrainingSequence == TRUE)) // and if not in the middle of a
training sequence
{
descrambit[0] ^= bit[15];
descrambit[1] ^= bit[14] ^ bit[15];
descrambit[2] ^= bit[13] ^ bit[14] ^ bit[15];
descrambit[3] ^= bit[12] ^ bit[13] ^ bit[14];
descrambit[4] ^= bit[11] ^ bit[12] ^ bit[13] ^ bit[15];
descrambit[5] ^= bit[10] ^ bit[11] ^ bit[12] ^ bit[14];
descrambit[6] ^= bit[9] ^ bit[10] ^ bit[11] ^ bit[13];
descrambit[7] ^= bit[8] ^ bit[9] ^ bit[10] ^ bit[12] ^ bit[15];
}
outbyte = 0;
for (i= 0; i<8; i++) // convert output back to int
outbyte += (descrambit[i] << i);
// now step the LFSR 8 serial clocks

PCI EXPRESS BASE SPECIFICATION, REV. 1.0
413
bit_out[0] = bit[8] ^ bit[9] ^ bit[10] ^ bit[12] ^ bit[15] ;
bit_out[1] = bit[9] ^ bit[10] ^ bit[11] ^ bit[13];
bit_out[2] = bit[10] ^ bit[11] ^ bit[12] ^ bit[14];
bit_out[3] = bit[11] ^ bit[12] ^ bit[13] ^ bit[15];
bit_out[4] = bit[8] ^ bit[9] ^ bit[10]^ bit[13] ^ bit[14] ^ bit[15] ;
bit_out[5] = bit[9] ^ bit[10] ^ bit[11] ^ bit[14] ^ bit[15] ;
bit_out[6] = bit[10] ^ bit[11] ^ bit[12] ^ bit[15] ;
bit_out[7] = bit[11] ^ bit[12] ^ bit[13];
bit_out[8] = bit[0] ^ bit[12] ^ bit[13] ^ bit[14] ;
bit_out[9] = bit[1] ^ bit[13] ^ bit[14] ^ bit[15] ;
bit_out[10] = bit[2] ^ bit[14] ^ bit[15];
bit_out[11] = bit[3] ^ bit[15];
bit_out[12] = bit[4] ;
bit_out[13] = bit[5] ^ bit[8] ^ bit[9] ^ bit[10] ^ bit[12] ^ bit[15] ;
bit_out[14] = bit[6] ^ bit[9] ^ bit[10] ^ bit[11] ^ bit[13] ;
bit_out[15] = bit[7] ^ bit[8] ^ bit[9] ^ bit[11] ^ bit[14] ^ bit[15] ;
lfsr = 0;
for (i=0; i <16; i++) // convert the LFSR back to integer
lfsr += (bit_out[i] << i);
return outbyte;
}
The initial 16 bit values of the LFSR for the first 128 LFSR advances following a reset are
listed below:
0,8 1,9 2,A 3,B 4,C 5,D 6,E 7,F
00 FFFF 5FEF BFDE DFAD 1F4B 3E96 7D2C FA58
08 54A1 A942 F295 453B 8A76 B4FD C9EB 33C7
10 678E CF1C 3E29 7C52 F8A4 5159 A2B2 E575
18 6AFB D5F6 0BFD 17FA 2FF4 5FE8 BFD0 DFB1
20 1F73 3EE6 7DCC FB98 5721 AE42 FC95 593B
28 B276 C4FD 29EB 53D6 A7AC EF49 7E83 FD06
30 5A1D B43A C865 30DB 61B6 C36C 26C9 4D92
38 9B24 9659 8CA3 B957 D2BF 056F 0ADE 15BC
40 2B78 56F0 ADE0 FBD1 57B3 AF66 FEDD 5DAB
48 BB56 D6BD 0D6B 1AD6 35AC 6B58 D6B0 0D71
50 1AE2 35C4 6B88 D710 0E31 1C62 38C4 7188
58 E310 6631 CC62 38D5 71AA E354 66B9 CD72
60 3AF5 75EA EBD4 77B9 EF72 7EF5 FDEA 5BC5

PCI EXPRESS BASE SPECIFICATION, REV. 1.0
414
0,8 1,9 2,A 3,B 4,C 5,D 6,E 7,F
68 B78A CF05 3E1B 7C36 F86C 50C9 A192 E335
70 667B CCF6 39FD 73FA E7F4 6FF9 DFF2 1FF5
78 3FEA 7FD4 FFA8 5F41 BE82 DD15 1A3B 3476
An 8 bit value of 0 repeatedly encoded with the LFSR after reset produces the following
consecutive 8 bit values:
00 01 02 03 04 05 06 07 08 09 0A 0B 0C 0D 0E 0F
00 8D 76 D2 C2 68 B3 26 1F 6C 43 08 A5 54 D3 52 34
10 02 95 55 8A 1B BE 1A BB 3D B7 56 FA 1B 0B F6 53
20 41 9C 80 F0 4A C3 7F 74 91 52 86 BE B6 A7 6F 7A
30 D6 E6 63 31 0C FE 36 F0 29 EA F3 1E 94 26 34 EB
40 17 3B 85 53 4D DC 4A E9 88 0E 20 5D D0 ED 01 69
50 DE 38 9E FA 07 4B DB 68 7B 43 0A 45 08 D7 0D 96
60 98 E6 35 3F A5 98 76 FE 15 F7 0E C8 AF 90 60 66
70 CB D5 F0 FA 9F 00 82 2B 91 74 31 0E 1E 6A F4 76
80 48 69 6D F4 93 8A CD 7B 7E AD 13 15 EE FE 72 1E
90 3B AA 14 A0 E7 D4 AA 23 67 9E DC B0 FB 73 A5 E0
A0 4F 94 CA 06 12 92 E2 63 6D 62 78 45 93 0C 26 53
B0 02 22 59 3E 63 CA 6E 2B 1F 1F 6A 63 ED A9 B5 35
C0 FD A0 A2 4A 96 E1 AF 71 62 7B D5 E1 8A 56 A0 55
D0 68 89 D1 82 FF B4 4C 23 7F 1E 48 83 7F E8 1A B2
E0 CD EA C5 A9 C3 AC 01 62 CE 39 09 F6 7D 76 5F 39
B0 41 58 A5 2F 7A 4A 6D 83 7A 58 8D 38 5C FF 3D 77
C0 B3 9C 23 3C A0 91 4D 56 E1 0B ED 43 A7 29 74 98
D0 A2 DB 2D E5 7F C8 8D E7 69 C6 B8 0A C9 83 D0 64
F0 3A F9 3D 05 EA D9 E9 EE 97 3B BD 44 8C 4B E2 0F
Scrambling produces the power spectrum shown in Figure C-1.

PCI EXPRESS BASE SPECIFICATION, REV. 1.0
415
3GIO Scrambled '0'
-140
-130
-120
-110
-100
-90
-80
0 1000 2000 3000 4000 5000 6000 7000 8000 9000 10000
Frequency (MHz)
Power (dBm / Hz)
Figure C-1: Scrambling Spectrum for Data Value of 0
PCI EXPRESS BASE SPECIFICATION, REV. 1.0
416