Davis 01 2008 Edge Sample Ch2
User Manual: 2008 Edge
Open the PDF directly: View PDF
.
Page Count: 22

Operations Strategy
Defining how firms compete
2
Chapter Objectives
•Introduce the concept of operations strategy and its various
components, and show how it relates to the overall business
strategy of the firm.
•Illustrate how operations strategy pertains to adding value for the
customer.
•Identify the different ways in which operations strategy can provide
an organization with a competitive advantage.
•Introduce the concept of trade-offs between different strategies
and the need for a firm to align its operations strategy to meet the
needs of the particular markets it is serving.
•Explain the difference between order-qualifiers and order-winners
as they pertain to operations strategy.
•Describe how firms are integrating manufacturing and services to
provide an overall “bundle of benefits” to their customers.

29
STEELMAKER DOFASCO DOES
A TURNAROUND THROUGH
STRATEGIC REFOCUSING
It is no secret that Canadian steelmakers are
under pressure. The industry is increasingly
facing competition from steelmakers in devel-
oping countries such as Brazil, China, and
India where labour costs are low. While some
other Canadian steel makers struggle, Hamilton-
based Dofasco, in business since 1912, has
turned around its losses from a decade ago
through a revised strategy. The company also
owns or has partial ownership in facilities in the
United States and Mexico.
Until the late 1980s, the company com-
peted on price by producing as much steel as
possible at the lowest possible prices. How-
ever by the early 1990s increased competition
resulted in Dofasco not being able to compete
profitably. As a result, by 1992 it found itself in debt and losing money.
Realizing that the current “competing on cost” strategy (cost leadership) was untenable,
Dofasco refocused its strategy to developing new and innovative products, and to providing
its customers with solutions for high-quality and specialized applications (product differentia-
tion). The business strategy was called Solutions in Steel and focused on operational excel-
lence, technology and innovation, and intimate customer relationships. By 1999 it was the
most profitable steel producer in North America. In 2000 it was ranked first in North America
among thirty steel suppliers in an independent customer satisfaction survey and was rated
one of the best Canadian companies to work for by Report on Business Magazine.
What did it take to effect a successful transition from the old strategy to the new? Of course,
this transformation did not come without effort, resources, or pain. Its workforce was reduced
from about 13 000 to 7000. It spends considerable sums on research and development and
facility upgrades. Dofasco recognized that employees would be critical to success in such a strat-
egy. Thus employees were provided a variety of training and development opportunities. In addi-
tion, the company invested in the health, safety, and wellness in the workplace such that in 2002,
the National Quality Institute awarded Dofasco a Canadian Award for Excellence Healthy Work-
place Trophy. Studies have shown that investing in health, safety, and wellness can improve pro-
ductivity and lower costs. Quality at Dofasco has meant paying attention to environmental
concerns also. In 2002, Dofasco’s Hamilton facilities achieved ISO 14001 certification. This
means that the company’s Environmental Management Systems comply with an international set
of environmental standards (Chapter 6 discusses quality awards and ISO standards in detail).
This vignette provides an excellent example of the importance of formulating a success-
ful business strategy and implementing supporting operations strategy decisions to ensure
long term survival.
Sources:
Priya Ramu, “Report on Canada’s Steel Industry,” World at Six, CBC Radio, August 6, 2003.
Gordon DiGiacomo, Case Study: Dofasco’s Healthy Lifestyles Program (Canadian Labour and Business
Centre, 2002), www.clbc.ca.
Dofasco Inc., www.dofasco.com.
National Quality Institute, www.nqi.com.
29

Operations Strategy—An Overview
What Is Operations Strategy?
Operations strategy is the development of a long-term plan for using the major resources
of the firm for a high degree of compatibility between these resources and the firm’s long-
term corporate strategy. Operations strategy addresses very broad questions about how
these major resources should be configured to achieve the desired corporate objectives.
Some of the major long-term issues addressed in operations strategy include
•How large do we make our facilities?
•What type of process(es) do we install to make the products or provide services?
•What will our supply chain look like?
•What will be the nature of our workforce?
•How do we ensure quality?
Each of these issues is addressed in greater detail in subsequent chapters. In this chapter
we want to take a macroscopic perspective to better understand how these issues are inter-
related. Exhibit 2.1 shows an overall picture of the operations strategy process and its rela-
tionship to other strategic processes in the organization.
The Operations Management Strategy Development Process
Today, many corporations, both large, global conglomerates such as General Electric and
small ones such as Mississauga, Ontario-based Cara, consist of several stand-alone busi-
nesses that focus on different industries. The conglomerate may have a vision and a
mission. For example the vision of Cara (a company founded in 1883, making it older than
some provinces) is “To be Canada’s leading integrated restaurant company.” Its mission
is “Enhancing stakeholder value and building leading businesses, by maximizing our
resources and living our values and principles.”1Within this context, corporate strategy
defines the specific businesses in which the firm will compete and the way in which
resources are acquired and allocated among these various businesses.
The stand-alone businesses within these conglomerates often are referred to as
strategic business units (SBUs). SBUs at Cara include, among others, Harvey’s and
Swiss Chalet in the fast food business, Kelsey’s in the restaurant business, Second Cup in
30
An organization’s operations strategy provides an overarch-
ing framework for determining how it prioritizes and utilizes
its resources to gain a competitive advantage in the market-
place. Today’s operations managers face many new chal-
lenges with respect to strategy issues, from developing effective
strategies to properly implementing them throughout the
organization.
As we shall see, there are several external factors that
affect operations strategy decisions, including an increase in
competition that has resulted from the globalization of business
and advances in technology. Consequently, operations man-
agers, in many instances, are now being asked to do more with
less: more, in terms of faster delivery times, more variety, and
higher quality; less, in terms of lower material costs, lower
labour costs, and less available time.
At the same time, managers know all too well that com-
petitors can copy successful strategies and can usually imple-
ment them quickly, thereby neutralizing, to some degree, their
advantage. As a result, these same managers, from a strategic
perspective, must keep a watchful eye to the future, constantly
looking for the next strategy that will separate their firms from
those of competitors.
Managerial Issues
vision
A statement that
provides long-term
direction and
motivation for the
organization.
mission
A statement about
the organization’s
business scope and
methods of competing.
corporate strategy
Overall strategy
adopted by the parent
corporation.
strategic business
unit (SBU)
Stand-alone business
within a conglomerate
that operates like an
independent company.
1Cara Operations Limited, www.cara.com.

Operations Strategy 31
specialty coffee, Cara in airline food catering, and Summit in food service distribution.
The individual strategy adopted by each SBU, which is referred to as its business strategy,
defines the scope and boundaries of the SBU, in terms of how it addresses the specific
markets that it serves and the products that it provides.
The business strategy depends on the market requirements (such as customer desires
and success criteria in the market), the environment (such as competition, technological
advances, and government regulations) and the organizational competencies (such as its
core capabilities, its culture, and strengths and weaknesses). Each SBU may also have its
own vision and mission.
To not only survive but also to prosper in today’s fiercely competitive marketplace, an
SBU needs to have a successful strategy. In this type of situation, Michael Porter, a profes-
sor at the Harvard Business School and perhaps today’s leading authority on competitive
strategy, believes that there are three generic strategies for succeeding in an industry: cost
leadership, differentiation, and market segmentation.2Cost leadership implies that the
firm has the ability to successfully underprice its competition. Differentiation refers to
ways in which an organization distinguishes its products and services from its competition.
For example a company could offer higher quality products or services than its competi-
tors. Market segmentation refers to the focus of the product or service offering on a seg-
ment in the market. An example of focus in the hotel industry would be Toronto-based
Four Seasons Hotels, which focuses on the luxury end of the lodging business. Porter
believes that to be successful, firms have to trade off among the three. In other words, a
company “cannot be all things to all people.” Other experts on strategy, such as Henry
Mintzberg of McGill University, include cost leadership as a form of differentiation.3
Exhibit 2.1
The Operations
Strategy Process
Mission
Business
Strategy Organization
competencies
Strategies of
other functions
Environment
Market
Competitive priorities
Order qualifiers
and winners
Operations
strategy decisions
Linked
Operations
Strategy
business strategy
How a strategic
business unit (SBU)
addresses the specific
markets it serves and
products it provides.
cost leadership
Producing the lowest-
cost products.
differentiation
Offering products that
differ significantly
from the competition.
market
segmentation
Satisfying the needs
of a particular market
niche.
2Michael Porter, Competitive Advantage: Creating and Sustaining Superior Performance (New York: The
Free Press, 1985).
3Henry Mintzberg and J. B. Quinn, The Strategy Process: Concepts and Contexts (Englewood Cliffs, New
Jersey: Prentice Hall, 1992)

32 Chapter 2
Functional strategies (for example, operations, marketing, human resources) are
developed to support or align with the established business strategy. For example, Ethan
Allen, a retailer who follows a business strategy of providing high quality furniture, cannot
pursue an operations strategy of achieving low cost by procuring leather that is not of high
quality, nor a human resource strategy of not providing training.
A company or SBU’s competitiveness refers to its relative position in the market in
terms of how it competes with the other firms in its industry. Operations strategy refers to
how the operations management function contributes to a firm’s ability to achieve compet-
itive advantage in that marketplace.
Operations strategies are developed from the competitive priorities of an organi-
zation, which include (a) low cost, (b) high quality, (c) fast delivery, (d) flexibility, and
(e) service. Operations strategies also depend on order qualifiers and winners, which relate
to requirements for success in the market place.
Core capabilities are the means by which competitive priorities are achieved. Conse-
quently, core capabilities must align directly with competitive priorities. For example a
core capability may relate to research and innovation, such as the ability to design and
bring products quickly to market as in the case of Intel, Nortel, or Sony, or effective supply
chain management as in the case of Wal-Mart.
Operations strategy decisions can be divided into two major categories: structural ele-
ments consisting of facility location, capacity, vertical integration, and choice of process (all
are considered to be long term or “strategic” in nature) and infrastructural elements consist-
ing of the workforce (in terms of size and skills), quality issues, procurement, the new-
product development process, planning and control, and organizational structure (all of
which are often viewed as “tactical” because they can be changed in a relatively short time).
The opening vignette on Dofasco highlighted some of these issues. These decisions have to
be consistent with strategic decisions of the other functions as in the Ethan Allen example.
In developing an operations strategy, management also needs to take other factors into
consideration. These include (a) the level of technology that is or will be available, (b) the
required skill levels of the workers, and (c) the degree of vertical integration, in terms of
the extent to which outside suppliers are used.
As shown in Exhibit 2.2, operations strategy supports the long-range strategy devel-
oped at the SBU level. One might say that decisions at the SBU level focus on being
effective, that is, “on doing the right things.” These decisions are sometimes referred to
as strategic planning. Strategic decisions impact intermediate-range decisions, often
referred to as tactical planning, which focus on being efficient, that is, “doing things
right.” Here the emphasis is on when material should be delivered, when products should
be made to best meet demand, and what size the workforce should be. Finally, we have
planning and control, which deals with the day-to-day procedures for doing work,
including scheduling, inventory management, and process management.
Business and operations strategies can, of course, change over time. With Wal-Mart
now also stocking groceries in its stores, Canada’s second largest grocery chain, Sobeys, is
Exhibit 2.2
Hierarchy of
Operational
Decision-Making
Type of Planning Time Frame Typical Issues
Strategic Long range Plant size, location, type of process
Tactical Intermediate range Workforce size, material requirements
Planning and control Short range Daily scheduling of workers, jobs, and equipment;
process management; inventory management
functional strategy
Strategy developed
by a function within
an organization to
support the business
strategy.
competitiveness
Company’s position in
the marketplace relative
to its competition.
operations strategy
How the operations
function contributes to
competitive advantage.
competitive
priorities
How the operations
function provides a
firm with a specific
competitive advantage.
strategic planning
Long-range planning
such as plant size,
location, and type of
process to be used.
tactical planning
Focuses on producing
goods and services
as efficiently as
possible within the
strategic plan.
planning and
control
Scheduling of daily
tasks to determine
which operator is
assigned to work on
which job and machine.

Operations Strategy 33
planning to move up-market to leave cost leadership in the industry to organizations such
as industry leader Loblaw and the new entrant, Wal-Mart.4
A Short History of Operations Strategy
In the period following World War II, corporate strategy in North America was usually
developed by the marketing and finance functions within a company. With the high
demand for consumer products that had built up during the war years, companies could sell
virtually everything they made at comparatively high prices. In addition, there was very
little international competition. They could not even satisfy their own markets, let alone
export globally. The main industrial competition to North America at that time, Europe,
was devastated by the war.
Within the business environment that existed at that time, the manufacturing or opera-
tions function was assigned the responsibility of producing large quantities of standard
products at minimum costs, regardless of the overall goals of the firm. To accomplish this,
the operations function focused on obtaining low-cost, unskilled labour and installing
highly automated assembly-line-type facilities.
With no global competition and continued high demand, the role of operations man-
agement (that is, to minimize costs) remained virtually unchanged throughout the 1950s
and early 1960s. By the late 1960s, however, Wick Skinner of the Harvard Business
School, who is often referred to as the grandfather of operations strategy, recognized this
weakness among U.S. manufacturers. He suggested that companies develop an operations
strategy that would complement the existing marketing and finance strategies. In one of
his early articles on the subject, Skinner referred to manufacturing as the missing link in
corporate strategy.5
Subsequent work in this area by researchers at the Harvard Business School, including
Abernathy, Clark, Hayes, and Wheelwright, continued to emphasize the importance of
using the strengths of a firm’s manufacturing facilities and people as a competitive weapon
in the marketplace, as well as taking a longer-term view of how to deploy them.
Operations Strategy Means Adding
Value for the Customer
How often have we heard the expression “customers want their money’s worth”? Unfortu-
nately, from a manager’s point of view, it’s not that easy. Customers want more than their
money’s worth, and the more they receive for their money, the more value they see in the
goods and services they are purchasing.
In determining the value of a product, be it a good or a service, customers take into
consideration all of the benefits derived from the product and compare it with all of the
costs of that product. If, in the opinion of the customer, the benefits exceed the costs, then
customers perceive value in the product. The more the benefits exceed the costs, the more
value the product provides.
In other words,
Perceived customer value =Total benefits
Total costs (2.1)
4M. Anderson, “Case Study: Sobeys Inc.,” National Post Business (September 2003): 30–36.
5C. W. Skinner, “Manufacturing—The Missing Link in Corporate Strategy,” Harvard Business Review 47,
no. 3 (May–June 1969): 136–145.

When this ratio is >1, customers perceive value; the greater the number, the more
value. When this ratio is <1, customers feel they have overpaid for the product, that they
have been “ripped off,” and are highly unlikely to buy that product again in the future.
Another way of looking at this is
Perceived customer value =Total benefits −Total costs (2.2)
When the difference between the benefits and costs is positive, customers perceive value;
when it is negative, they believe they have overpaid for the product.
One of the goals in the development of an operations strategy, therefore, should be to
maximize the value added to the goods and services that are provided by the firm, as sug-
gested in Exhibit 2.3.
Adding customer value during the transformation process can take many forms and
translate into different things to different customers. As seen in Equations 2.1 and 2.2, one
way to add value is to reduce the cost of the product, as when you buy books at Indigo.ca.
Added value to the customer can also mean that the product is more readily available, such
as when you order groceries online or buy a camera over the Internet. Added value can be
seen as receiving faster service, as when you use the fast lane on the highway to pay a toll
automatically, or it may take the form of information, as when Indigo.ca tells you what
other books have been purchased by buyers who have purchased the same book you
bought, or when Destina.ca provides you with a list of different airlines going to a particu-
34 Chapter 2
Shopping online has
gained in popularity
due to both the
increasing number
of sites offering
products and services
and the convenience
of shopping any time,
any place.
Exhibit 2.3
Maximizing
Value Added
in Operations
Maximize value added
Transformation
process
Inputs
(customers and/or
materials)
Outputs
(goods and services)

lar city and a comparison of their air fares. Added value can also take the form of a more
customized product, be it personal computer from Dell or more personalized service, as
when you check into a hotel and they know that you have stayed there before and have cer-
tain preferences.
The key element in developing a successful operations strategy is for a firm to provide
its customers with additional benefits at an increase in cost that is perceived to be less than
those benefits.
Trends Affecting Operations Strategy Decisions
Two major trends that have significantly impacted the role of operations strategy within an
organization are an increasing trend towards the globalization of business and advances in
technology, especially information technology.
Globalization
As we saw in the first chapter, the world is quickly becoming a global village, caused in
large part by technology. As a result, competition in most industries has intensified signifi-
cantly in recent years, and this trend towards hyper-competition is expected to continue. At
the same time, globalization provides new opportunities for companies in the form of new,
previously untapped markets, for their products as well as new sources for raw materials
and components at significantly lower costs.
This movement towards a single world economy has occurred for several reasons,
including (a) continued advances in information technology that facilitate the rapid trans-
fer of data across vast distances, (b) the growing trend to lower trade barriers as evidenced
by NAFTA and the formation of the European Union, (c) the trend toward lower trans-
portation costs, and (d) the emergence of high-growth markets with associated high profit
margins in newly industrialized countries (NIC).6These new markets can be compared
to the saturated markets and shrinking profit margins that are being experienced in the
more highly developed countries. For example, Jack Smith, the former chairman of Gen-
eral Motors, expects the growing Asian market, especially China, to be key to the com-
pany’s future. China had a passenger vehicle growth rate of 56 percent in 2002.7New
vehicle sales in Canada in 2002, in comparison, increased by 8.5 percent.8
As a result of this globalization of business, managers must extend their vision beyond
their own national borders when developing operations strategies. This includes the loca-
tion of manufacturing plants in Southeast Asia because of low labour rates, or the estab-
lishment of call centres in Ireland because of a combination of inexpensive labour, an
educated workforce, and the necessary technology infrastructure that exists.
In addition to structural strategy decisions, such as where to locate a new plant, infra-
structural issues also must be evaluated when looking to expand a company’s operations
strategy globally. Here the education level of the workforce, the language, and the impact
of local laws and customs must be taken into consideration. For example, a major attrac-
tion for locating in Ireland is its highly educated workforce. As an another illustration,
employees in Germany can work up to 70 hours in some weeks without being paid over-
time, and then work as little as 30 hours or less in other weeks, as long as the total hours
worked over a given time period (such as 6 or 12 months) meets an agreed-upon amount.
Operations Strategy 35
6John Naisbitt and P. Aburdene, Megatrends 2000 (New York: William Morrow and Co., 1990).
7Dave Guilford, “GM’s Smith Says Asia Is Key to Future,” Automotive News (March 31, 2003): 26.
8Bob English, “Canada Sales Set Record in ‘02,” Automotive News (January 20, 2003): 42.
newly
industrialized
countries (NIC)
Emerging countries
that compete in
global markets
with their goods and
have populations
with a high standard
of living.

Technology
Stan Davis and Chris Meyer, in their book entitled Blur, identify three factors that are
significantly affecting the way in which business is being conducted: (a) connectivity,
(b) speed, and (c) intangibility. They suggest that the combination of all three is causing
changes to occur in business at such a rate that managers can only view business today as
a blur, hence the title of the book.9
All three factors are directly related to advances in technology. Connectivity refers to
the fact that virtually everyone is now connected electronically, be it through e-mail, the
Internet, the telephone, or the fax. At the same time, firms with these connected networks,
in many cases, provide services that are now available 24/7 (24 hours a day, seven days a
week) in place of the more traditional hours of nine to five, Monday through Friday. Exam-
ples here include banking services, stock exchange transactions, and airline and hotel
reservations. As a result of this connectivity, information is transmitted in a matter of sec-
onds or minutes, instead of hours or days (or even weeks), which was the previous norm.
The combination of connectivity and speed suggests that firms are now focusing on the
intangible aspects of their business to gain a competitive advantage in the marketplace,
which translates into providing better and more innovative services.
As we shall see shortly, technology has also dramatically affected one of the basic
concepts in operations strategy: that of making trade-offs between priorities. With advances
in technology, managers no longer have to make pure trade-offs between competitive pri-
orities as they once did. Instead, today’s technology allows firms to compete on several
priorities simultaneously, resulting in shifts to superior performance curves (which are
described later in the chapter).
Competitive Priorities
The key to developing an effective operations strategy lies in understanding how to create
or add value for customers. Specifically, value is added through the competitive priority or
priorities that are selected to support a given strategy.
Skinner and others initially identified four basic competitive priorities. These were
cost, quality, delivery, and flexibility. These four priorities translate directly into charac-
teristics that are used to describe various processes by which a company can add value to
the products it provides. There now exists a fifth competitive priority—service—and it
was the primary way in which companies began to differentiate themselves in the 1990s.
Cost
Within every industry, there is usually a segment of the market that buys strictly on the
basis of low cost. To successfully compete in this niche, a firm must necessarily, therefore,
be the low-cost producer. But, as noted earlier, even doing this doesn’t always guarantee
profitability and success.
Products sold strictly on the basis of cost are typically commodity-like. (Examples of
commodities include flour, petroleum, and sugar.) In other words, customers cannot easily
distinguish the products made by one firm from those of another. As a result, customers use
cost as the primary determinant in making a purchase.
However, this segment of the market is frequently very large and many companies are
lured by the potential for significant profits, which are associated with large unit volumes
36 Chapter 2
competitive
priorities
cost
Providing low-cost
products.
quality
Providing high-
quality products.
delivery
Providing products
quickly.
flexibility
Providing a wide
variety of products.
service
How products
are delivered and
supported.
9Stan Davis and Christopher Meyer, Blur: The Speed of Change in the Connected Economy (New York: Ernst
& Young Center for Business Innovation, Warner Books, 1998).

of product. As a consequence, the competition in this segment is exceedingly fierce—and
so is the failure rate. After all, there can only be one low-cost producer, and that firm usu-
ally establishes the selling price in the market. As an example, Zellers, a unit of Hudson’s
Bay Company, has found itself under increasing pressure since Wal-Mart entered Canada
in 1994. It is estimated that on a sales per square metre basis (a key measure of retail
efficiency), Zellers lags well behind Wal-Mart. Thus Zellers will have to improve its effi-
ciency or differentiate itself from Wal-Mart to survive.10
Quality
Quality can be divided into two categories: product quality and process quality. The level
of quality in a product’s design will vary as to the particular market that it is aimed to
serve. Obviously, a child’s first two-wheel bicycle is of significantly different quality than
the bicycle of a world-class cyclist. The use of thicker sheetmetal and the application of
extra coats of paint are some of the product quality characteristics that differentiate a Mer-
cedes-Benz from a Hyundai. One advantage of offering higher-quality products is that they
command higher prices in the marketplace.
The goal in establishing the “proper level” of product quality is to focus on the
requirements of the customer. Overdesigned products with too much quality will be
viewed as being prohibitively expensive. Underdesigned products, on the other hand, will
lose customers to products that cost a little more but are perceived by the customers as
offering much greater benefits.
Process quality is critical in every market segment. Regardless of whether the product
is a child’s first two-wheeler or a bicycle for an international cyclist, or whether it is a
Mercedes-Benz or a Hyundai, customers want products without defects. Thus, the goal of
process quality is to produce error-free products.
Delivery
Another market niche considers speed of delivery to be an important determinant in its
purchasing decision. Here, the ability of a firm to provide consistent and fast delivery
allows it to charge a premium price for its products. George Stalk Jr., of the Boston Con-
sulting Group, has demonstrated that both profits and market share are directly linked to
the speed with which a company can deliver its products relative to its competition.11 In
addition to fast delivery, the reliability of the delivery is also important. In other words,
products should be delivered to customers with minimum variance in delivery times.
Flexibility
From a strategic perspective, in terms of how a company competes, flexibility consists of
two dimensions, both of which relate directly to how the firm’s processes are designed.
One element of flexibility is the firm’s ability to offer its customers a wide variety of prod-
ucts. The greatest flexibility along this dimension is achieved when every product is cus-
tomized to meet the specific requirements of each individual customer. This is often
referred to as mass customization. Examples of firms that have achieved this level of flex-
ibility include Dell Computers and the National Bicycle Industrial Company in Japan. (See
OM in Practice box.)
Operations Strategy 37
10“Zellers Is Stretched in Apparel-Rack War. Analysts Suggest Strategies for Battling Wal-Mart,” Winnipeg
Free Press, August 19, 2002, B6.
11George Stalk Jr., “Time and Innovation,” Canadian Business Review 20, no. 3 (Autumn 1993): 15–18.
mass
customization
Providing high
volume products
that are individually
customized to meet
the specific needs of
each customer.

The other dimension of flexibility is how fast a company can change its production
facilities to produce a new line of products. This dimension is growing in importance, as
product life cycles become shorter and shorter. Sony provides a good example here with its
ability to quickly produce new models of its Walkman. Because it has this high degree of
changeover flexibility, Sony is able to easily substitute new Walkman models for those
models that do not sell well.
Service
With product life cycles becoming shorter and shorter, the actual products themselves tend
to quickly resemble those of other companies. As a consequence, these products are often
viewed as commodities in which price is the primary determinant in deciding which one to
buy. A good example of this is the personal computer (PC) industry. Today, the differences
in the products offered among the different PC manufacturers are relatively insignificant,
so price is the prime selection criterion.
To obtain an advantage in such a competitive environment, firms are now providing
“value-added” service. This is true for firms that provide goods and services. The reason is
simple. As Sandra Vandermerwe puts it, “The market power is in the services, because the
value is in the results.” (Specific examples of how manufacturers are using services as a
competitive advantage are presented later in this chapter.)
For example, Fairmont Hotels and Resorts, a hotel chain that owns luxury hotels and
resorts across Canada from St. John’s, Newfoundland to Victoria, British Columbia, has
operators answering its toll free reservation numbers. While a menu-driven voicemail system
is more cost efficient, management knows that its high-income customers prefer a human
operator. The Fairmont Vancouver Airport hotel even has an Air Canada boarding pass kiosk
in its lobby. Passengers flying to North American destinations without check-in baggage can
obtain boarding passes from these kiosks, thus avoiding a wait in line at the airport.
38 Chapter 2
38
Operations Management in Practice
ZARA EXCELS ON PRICE, SPEED,
AND FLEXIBILITY
Zara, a retail chain of high-fashion boutique clothing stores, has
grown rapidly since Amancio Ortega opened his first store in
Spain in 1975. Headquartered in northern Spain, Zara, with
more than 400 retail stores in 25 countries, now generates sales
of more than $3 billion annually, primarily in Europe, but is now
beginning to penetrate the Canadian market with nine stores,
including stores in Toronto, Vancouver, Montreal, and Calgary.
The reasons for its success are attributed to several factors
including low prices, speed of delivery, and flexibility. Merchan-
dise is delivered to each Zara retail location twice a week. (Mer-
chandise is air-freighted to its stores in Canada.) This fast and
almost continuous replenishment concept reduces the need for
significant in-store inventories and the possibility of clothes
going out of fashion.
A major factor in Zara’s ability to react quickly to changes
in the customer buying behaviour is its use of information and
technology. Salespeople in each retail location use handheld
computers to record buyer preferences and trends. This infor-
mation along with actual sales data are transmitted daily
through the Internet to Zara’s headquarters in Spain.
In addition, unlike its major competitors, which outsource
manufacturing, Zara produces most of its merchandise in its state-
of-the-art factory in Spain. Products are designed, produced, and
delivered to its stores in as little as two weeks after they have
appeared for the first time in a fashion show. (In contrast, competi-
tors like the GAP and H&M require between five weeks and five
months lead time to fill orders from its retail operations.)
Sources:
William Echikson, “The Mark of Zara,” Business Week (May 29,
2000): 98–100.
Jane M. Folpe, “Zara Has a Made-to-Order Plan for Success,”
Fortune (September 4, 2000): 80.
Stryker McGuire, “Fast Fashion; How a Secretive Spanish
Tycoon Has Defied the Postwar Tide of Globalization, Bringing
Factory Jobs from Latin America and Asia back to Europe,”
Newsweek, International Edition, September 17, 2001, p. 36.
Richard Heller, “Galician Beauty,” Forbes (May 28, 2001): 98.
Laurent Marchal, “In Their Own Words,” Space (Winter 2003): 4.

Many of Canada’s banks are embracing the Internet to provide customers with value-
added services. For example, it is quite simple to pay a credit card bill post dated using the
bank’s website. This helps customers avoid forgetting to pay the bill by the due date as
well as saving a trip to the mailbox or waiting in line at a branch.
The Next Sources of Competitive Advantage?
Managers are always looking for new ways in which to distinguish their firms from the
competition. Currently, two new trends in business appear to be offering firms such an
advantage: (a) the use of environmentally friendly processes and environmentally friendly
products and (b) the use of information.
Environmentally Friendly Processes and Products As consumers become more
aware of the fragility of the environment, they are increasingly turning towards products
that are safe for the environment. Ford now advertises an environmentally friendly auto-
mobile. The Body Shop, an international retail chain headquartered in England, sells vari-
ous cosmetics and skin lotions that are made without harming the environment.
Sun-Rype Products of Kelowna, British Columbia, a producer of fruit juices and
snacks, conducts annual audits to “ensure that appropriate management policies towards
waste management, recycling, and reuse of products are maintained.” The company also
promotes a healthy lifestyle for its customers. Calgary-based Suncor has moved from
being at the bottom of the oil and gas sector to one of the best in terms of environmental
performance.12 Fishery Products International, a St. John’s, Newfoundland and Labrador-
based producer of seafood, was recognized in 2000 by the National Fisheries Institute of
the United States for its responsible fishing practices. The Globe and Mail even gives
annual awards to companies that are environmentally friendly. Chapter 1 discussed other
examples of Canadian companies that have become environmentally proactive.
Corporate Responsibility in Supply Chains Consumers, nongovernmental organiza-
tions (NGOs), charities, and other similar organizations have been active in promoting fair
trade practices. As a result, companies are also recognizing the importance of corporate
responsibility, not only within their own organizations, but also in their supply chains. This
helps ensure that companies in the supply chain, especially in developing countries, follow
environmentally conscious practices, offer acceptable working conditions, and respect
human rights in issues such as child labour.
The Use of Information
Although the term “Information Age” was initially used when
the first mass-produced computers were introduced, it wasn’t until recently that we actually
did enter the information age. This is due in large part to advances in information technology
that now allow large quantities of data to be transmitted and stored accurately, and, equally
important, inexpensively. As a result, companies are looking to use information in different
ways to obtain a competitive advantage in the marketplace. For example, GE Medical Sys-
tems sells high-performance products with built-in systems that automatically “call home”
when failures occur, or even potential failures are anticipated. Many times these problems or
anticipated problems are repaired remotely, with little or no interruption in product perfor-
mance. Feedback on existing products can also take the form of the “voice of the customer,”
as explained in the next chapter. In some instances this information is collected automati-
cally, or through service guarantees, which are explained in detail in Chapter 6.
Operations Strategy 39
12A. Nikiforuk, “Saint or Sinner,” Canadian Business (May 13, 2002).

Developing an Operations Strategy
from Competitive Priorities
Factory Focus and Trade-Offs
The notion of factory focus and trade-offs was central to the concept of operations strategy
during the late 1960s and early 1970s. The underlying logic was that a factory could not
excel simultaneously on all four competitive priorities. Consequently, management had to
decide which priorities were critical to the firm’s success, and then concentrate or focus the
resources of the firm on those particular characteristics. For firms with very large manu-
facturing facilities, Skinner suggested the creation of a plant-within-a-plant (PWP) con-
cept, in which different locations within the facility would be allocated to different product
lines, each with their own competitive priority. Even the workers, under the PWP concept,
would be separated to minimize the confusion associated with shifting from one type of
priority to another.13
For example, if a company wanted to focus on speed of delivery, then it could not be
very flexible in terms of its ability to offer a wide range of products. As an example,
McDonald’s provides very fast service but offers a very limited menu of highly standard-
ized products; in contrast, Wendy’s makes your request to order but takes longer to deliver.
Similarly, a low-cost priority was not seen to be compatible with either speed of delivery
or flexibility. High quality also was viewed as a trade-off to low cost.
The need for focus has been recognized in other service operations as well. Hotel
chains such as Marriott and Holiday Inn have segmented the hotel industry and now offer
a wide variety of products, each focused on a different market segment. For example,
within the Marriott group there are Fairfield Inns for economy-minded customers; Marriott
Hotels and Resorts for conferences and for customers wanting full-service hotels; Resi-
dence Inns for customers wanting more than just a hotel room; and Marriott Courtyards for
those wanting certain hotel conveniences such as meals, but who are still concerned about
price. Canadian examples of focused operations include Air Canada’s Tango brand, which
focuses on discount airline travel. This “airline within an airline,” is not unlike Skinner’s
plant-within-a-plant concept. As well, Fortis focuses on managing small-scale electricity
generation plants (see the OM in Practice Box in Chapter 1), W.C. Woods focuses primar-
ily on the refrigeration part of the appliance market, and Shouldice Hospital in Toronto,
Canada, performs only one type of hernia operation. The benefits of a focused operation can
be readily demonstrated at Shouldice Hospital, whose very unusual product is a “hernia
vacation.” Patients are admitted to a mansionlike hospital in a beautiful setting outside
Toronto. Every detail of the hospital’s operations is focused on providing high-quality hernia
care and a congenial, restful atmosphere. Patients mingle, mix, and generally relax, enjoying
the experience so much that the annual reunion dinner is oversubscribed. This highly
focused care permits Shouldice to keep operating costs low while maintaining high quality,
both in terms of medical care and patient service. However, by becoming a specialist facil-
ity, Shouldice does not have the capabilities to perform other types of medical treatments.
Questioning the Trade-Offs
With the world becoming a single global village, there has emerged a group of companies
that have adopted an international perspective toward both manufacturing and marketing.
40 Chapter 2
13C. W. Skinner, “The Focused Factory,” Harvard Business Review 52, no. 3 (May–June 1974): 113–122.

Within this global arena, competition is significantly more intense, due to both the greater
number of “players” and the tremendous profit opportunities that exist.
Those companies that have excelled on this global level often have been referred to as
world-class operations. Events in the world marketplace during the 1970s and 1980s, in
terms of the growing intensity in competition, forced these companies to reexamine the
concept of operations strategy, especially in terms of the so-called necessary trade-offs.
Managers began to realize that they didn’t have to make trade-offs to the same extent that
they had previously thought. What emerged instead was a realization of the need to estab-
lish a hierarchy among the different priorities, as dictated by the marketplace. Exhibit 2.4
presents the sequence in which these priorities were introduced over time.
Specifically, in the late 1960s and early 1970s, cost was the primary concern, a hold-
over from the philosophy of the 1950s that manufacturing’s only objective was to mini-
mize production costs. However, as more and more companies began to produce low-cost
products, companies needed to develop other ways to differentiate themselves from their
competitors. The priority thus shifted to quality. A clear example is the change in the North
American automobile industry due to Japanese entrants. Companies at this time obtained a
competitive advantage by producing high-quality products, which allowed them to charge
more—although price still was a factor in the consumer’s buying decision. However, com-
petition again soon caught up, and everyone was offering high-quality products that were
reasonably priced.
Companies, in looking to obtain another competitive advantage in the marketplace,
turned to speed and reliability of delivery as a means of differentiating themselves from the
rest of the pack. Now the ante into the “game” was high-quality products that were reason-
ably priced and that could be delivered quickly and reliably to the customer.
In the 1980s, George Stalk Jr., a leading management “guru,” identified speed of
delivery as a major factor in determining the success of a company.14 Companies therefore
concentrated their resources on reducing product lead times with very dramatic results.
Products that once took weeks or months to deliver were now being shipped within hours
or days of the receipt of an order.
Operations Strategy 41
Exhibit 2.4
Timeline for
Operations
Strategies
OM
paradigm:
Source of
competitive
advantage:
Cost
minimization Value
maximization
Manufacturing-based
technology Information-based
technology
Cost
Quality
Delivery
Flexibility
Service
2000s
Competitive priority
1950s 1960s 1970s 1980s 1990sTimeline:
?
14George Stalk Jr., “Time and Innovation,” Canadian Business Review 20, no. 3 (Autumn 1993): 15–18.

Eventually, the competition again caught up and the more aggressive firms looked for
still another means to obtain a competitive advantage. This time flexibility was selected, as
measured in terms of the firm’s ability to produce customized products. Now the market-
place dictated that for firms to be successful, they had to produce reasonably priced, cus-
tomized products of high quality that could be quickly delivered to the customer.
A good example of a firm that has accomplished this is the National Bicycle Indus-
trial Company in Japan.15 (See the OM in Practice box on Japan’s Personalized Bike
Production.)
As the “rules” for operations strategy shifted from that of primarily reducing costs to
that of including quality, speed of delivery, flexibility, and service, the strategy for the
operations management function also has shifted. The strategy of minimizing production
costs has been replaced with that of maximizing the value added.
This emphasis on being competitive on more than one dimension might lead to the
conclusion that there are no longer any trade-offs. This is not the case. As Wickham
Skinner said at a breakfast meeting of the Boston P/OM Pancake Society in April 1995,
“There will always be trade-offs.” Today, however, those trade-offs occur on what can be
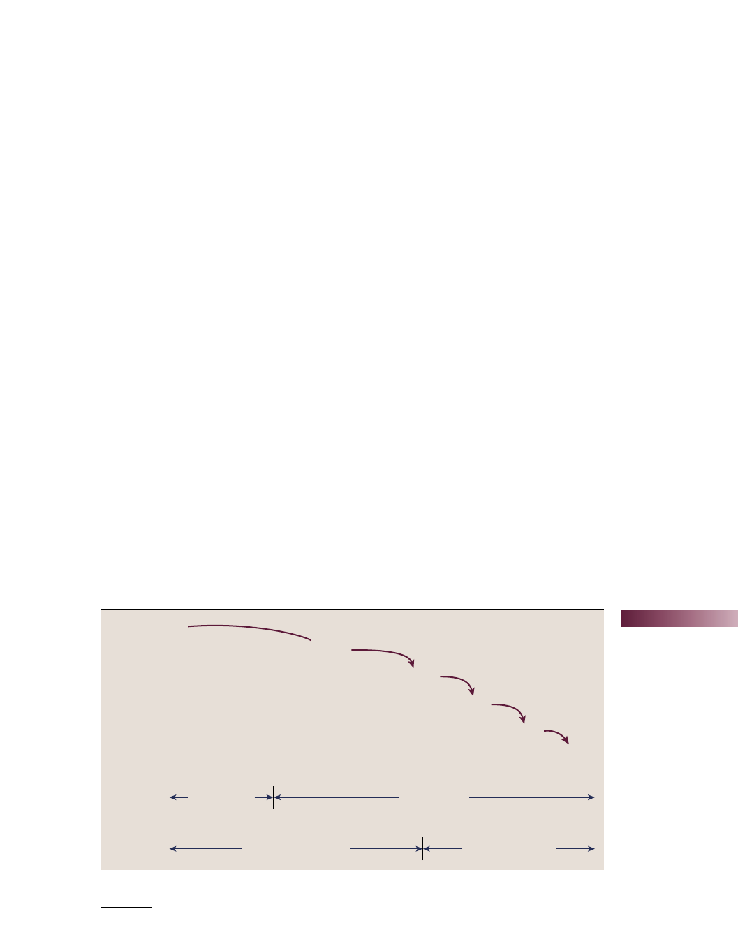
described as a superior performance curve, as shown in Exhibit 2.5.
In moving to a higher performance curve, managers are no longer only concerned
with trade-offs, which take place when one moves along an established curve such as
going from point A1to point A2on curve A in Exhibit 2.5. Instead, the same speed of deliv-
ery can be provided, but at a lower cost, as shown in going from point A2to point B2.
Another approach is to improve the speed of delivery while maintaining the same cost, as
seen in going from point A1to point B1. A third alternative is to both improve the speed of
delivery and reduce cost, as seen in going from point A3to point B3. The important issue
here is that in all three examples, the value to the customer is increased significantly, which
is the primary purpose for moving to the superior performance curve.
Order-Qualifiers and Order-Winners
Terry Hill of the London Business School has developed the strategic concept of order-
qualifiers and order-winners.16 Order-qualifiers can be defined as the minimum elements
or characteristics that a firm or its products must have to even be considered as a potential
42 Chapter 2
15Susan Moffat, “Japan’s New Personalized Production,” Fortune (October 22, 1990): 132–135.
16T. Hill, Manufacturing Strategy: Text and Cases, 3rd ed. (Burr Ridge, IL: Irwin/McGraw-Hill, 2000).
Exhibit 2.5
Example of
Trade-Offs
on Superior
Performance
Curves
Short
Speed of delivery
Long
High
Low
Costs
B1
B3
B2
A2
A3
A1
Old performance
curve A
New “superior”
performance curve B
order-qualifiers
Minimum
characteristics of a
firm or its products
to be considered as a
source of purchase.
order-winners
Characteristics of a
firm that distinguish it
from its competition
so that it is selected as
the source of purchase.

supplier or source. In Europe, for example, the vast majority of companies today require
that their vendors be ISO-9000 certified. (This certification ensures that a firm has docu-
mented all of its processes.) Thus, ISO-9000 certification is an order-qualifier in Europe. In
contrast, most companies in Canada at this time are not ISO-9000 certified. As a conse-
quence, ISO-9000-certified companies in Canada use their certification as an order-winner
(that is, ISO-9000 certification distinguishes them as being better than their competition).
Operations Strategy 43
43
Operations Management in Practice
JAPAN’S PERSONALIZED BIKE
PRODUCTION
Does your bike fit you to a “t”? Would you like one that does? If
you are willing to pay 20 to 30 percent more than you would pay
for a mass-produced bike, you can get a Panasonic bike manu-
factured to exactly match your size, weight, and colour prefer-
ence. You can even get your bike within three weeks of your
order (only two weeks if you visit Japan). This is accomplished
by a process called the Panasonic Individual Customer System
(PICS), which skillfully employs computers, robots, and a small
factory workforce to make one-of-a-kind models at the National
Bicycle Industrial Company factory in Kokubu, Japan.
The National Bicycle Industrial Company (NBIC), a sub-
sidiary of electronics giant Matsushita, began making the bikes
under the Panasonic brand in 1987. With the introduction of
its personalized order system (POS) for the Japanese market
(PICS was developed for overseas sales), the firm gained inter-
national attention as a classic example of mass customization—
producing products to order in lot sizes of one.
The factory itself has 21 employees and a computer-aided
design (CAD) system, and is capable of producing any of 8 mil-
lion variations on 18 models of racing, road, and mountain bikes
in 199 colour patterns for virtually any size person.
The PIC system works in the following way. A customer
visits a local Panasonic bicycle store and is measured on a spe-
cial frame. The storeowner then faxes the specifications to the
master control room at the factory. There an operator punches
the specs into a minicomputer, which automatically creates a
unique blueprint and produces a bar code. (The CAD blueprint
takes about three minutes as opposed to three hours required
by company draftspeople prior to computerization.) The bar
code is then attached to metal tubes and gears that ultimately
become the customer’s personal bike. At various stages in the
process, line workers access the customer’s requirement using
the bar code label and a scanner. This information, displayed on
a CRT terminal at each station, is fed directly to the computer-
controlled machines that are part of a local area computer net-
work. At each step of production, a computer reading the code
knows that each part belongs to a specific bike, and tells a
robot where to weld or tells a painter which pattern to follow.
Despite the use of computers and robots, the process is
not highly automated. Gears are hand-wired, assembly is man-
ual, and the customer’s name is silk-screened by hand with the
touch of an artisan. The entire manufacturing and assembly time
required to complete a single bike is 150 minutes, and the fac-
tory can make about 60 a day. NBIC’s mass-production factory
(which makes 90 percent of its annual production) can make a
standard model in 90 minutes. One might ask why a customer
must wait two to three weeks given that it takes less than three
hours to make a custom model. According to the general man-
ager of sales, “We could have made the time shorter, but we
want people to feel excited about waiting for something special.”
To provide a more personal touch to mass customization,
the factory is given the responsibility to communicate directly
with the customer. Immediately after the factory receives the
customer’s order, a personalized computer-generated drawing
of the bicycle is mailed with a note thanking the customer for
choosing the bike. This is followed up with a second personal
note, three months later, inquiring about the customer’s satis-
faction with the bicycle. Finally, a “bicycle birthday card” is sent
to commemorate the first anniversary of the bicycle.
NBIC is now contemplating extending the Panasonic sys-
tem to all of its bicycle production, while Matsushita is consider-
ing applying the concept to industrial machinery.
Sources: Surech Kotha, “The National Bicycle Industrial
Company: Implementing a Strategy of Mass-Customization,”
case study from the International University of Japan, 1993;
and Susan Moffat. “Japan’s New Personalized Production,”
Fortune (October 22, 1990): 132–135.
Customers are custom-fitted in the retail
store with options for 11 231 862 possible
variations.

Basically, when very few firms offer a specific characteristic, such as high quality,
customization, or outstanding service, that characteristic can be defined as an order-winner.
However, over time, as more and more firms begin to offer that same enhancement, the
order-winner becomes an order-qualifier. In other words, it becomes the minimum accept-
able level for all competitors. As a result, the customer uses some other new enhancement
or characteristic to make the final purchase. The shift of a product characteristic from
being an order-winner to an order-qualifier is shown in Exhibit 2.6. We have arbitrarily
selected 50 percent to represent the point at which an order-winner becomes an order-
qualifier, as that is when the majority of firms provide a particular enhancement.
Focusing on Core Capabilities
To successfully implement an operations strategy, be it within a manufacturing firm or
within a service, certain core capabilities must be identified. These core capabilities allow
the firm to establish its competitive priorities in the marketplace. Core capabilities can thus
be defined as that skill or set of skills that the operations management function has devel-
oped that allows the firm to differentiate itself from its competitors. Similar core capabili-
ties need to be identified in the other functional areas too, and each of these functional
capabilities should be aligned to meet the overall goals of the firm.
To focus on these core capabilities, firms, both in manufacturing and services, have
begun to divest themselves of those activities that are not considered to be critical to their
success. In manufacturing, more and more components and subassemblies that were previ-
ously built in-house are now being subcontracted or outsourced to suppliers. As a result,
the material cost in most manufacturing companies, as a percentage of total manufacturing
costs, has substantially increased in recent years. On the other hand, the labour cost, as a
percentage, has been drastically reduced, often to less than 5 percent of total costs.
This focus on core capabilities also has impacted services. More and more service
operations are now subcontracting out ancillary support services that were previously
provided in-house. Again, this strategy has allowed these services to concentrate on
improving their core capabilities. For example, some universities subcontract bookstore
operations to retailers such as Indigo. Many Canadian companies have outsourced the
44 Chapter 2
Exhibit 2.6
Distinguishing Between Order-Qualifiers and Order-Winners
Speed Time
Quality
Cost and quality
Customization Service
Cost, quality,
and speed
Cost, quality,
speed, and
customization
Cost
Cost
100%
50%
Percent competitors
offering enhancement
Order-winner:
Order-qualifier(s):
Cost Quality Speed
Customization
Service
core capabilities
Specific strengths that
allow a company to
achieve its competitive
priorities.

maintenance of their employee uniforms to Cintas Corp., which has locations in British
Columbia, Alberta, Ontario, and Quebec. High tech companies such as Cisco Systems,
IBM, and NEC have outsourced their manufacturing to contractors such as Toronto-based
Celestica, preferring to concentrate or product design and development.
In many instances, the companies that have subcontracted these support services have
discovered that the subcontractors can perform them better and at a lower cost than when
they were done internally. This focus on core capabilities further supports the concept of a
value chain. Here each company focuses on its core capabilities, thereby allowing it to
maximize its value contribution to the end product that is provided to the customer. (A word
of caution, however. Casually subcontracting a function that is not viewed as a core compe-
tency may result in losing knowledgeable people who know how the broader system oper-
ates and who can deal with unexpected emergencies that might shut down a core activity.)
Integration of Manufacturing and Services
Many firms are now looking to integrated and user-friendly service as a means of obtain-
ing a competitive advantage in the marketplace. In so doing they are recognizing the need
to align and integrate the products that are being offered. This is true for both manufactur-
ing and service operations.
Xerox Canada, traditionally a manufacturer of copiers and printers, now calls itself the
“document company.” To improve their competitiveness, they have moved from providing
only hardware to offering solutions that can improve the customer’s processing of informa-
tion, which involves a considerable value-added service aspect. As another illustration, SKF
in Sweden no longer produces only ball bearings for its after-market or replacement business.
It also provides advice to customers on spare parts management, training, and installation,
and suggests good preventative maintenance practices that will extend the life of the bearings.
These services can range from activities in the pre-purchase to purchase and post-
purchase phases17 and even activities downstream from production such as distribution.18
Hendrix Voeders, traditionally a feed supplier to pig farmers in Holland, now provides a
wide range of services including consulting on pig breeding, nutritional management, and
logistics. Coca-Cola has taken over some of the bottling and distribution of Coke products,
downstream activities that were previously done by independent bottlers.
Some manufacturers provide extensive customer training to accompany the purchase of
products. Customers become familiar with the products and learn to use them optimally. In
addition this training can act as a competitive barrier. The Foxboro Company uses training to
distance itself from the competition. Before its process control products are delivered, cus-
tomers are invited to Foxboro’s manufacturing facility, where their equipment is set up and
they learn how to use it under the guidance of Foxboro instructors. This is one of the reasons
Foxboro experiences a very high percentage of repeat business from existing customers.
By integrating goods and services into a total package, or a “bundle of benefits,” com-
panies are better able to address the overall needs of their customers. The opening
vignettes of this chapter and of Chapter 4, where Dofasco and EllisDon no longer just
make goods, but try to provide complete solutions for their customer needs through vari-
ous allied services, reemphasizes the importance of providing a total package to be suc-
cessful in the twenty-first century.
Operations Strategy 45
17Sandra Vandermerwe, From Tin Soldiers to Russian Dolls: Creating Added Value Through Services
(Oxford, England: Butterworth-Heinemann, 1993).
18Richard Wise and Peter Baumgartner, “Go Downstream: The New Profit Imperative in Manufacturing,”
Harvard Business Review 77, no. 5 (September–October 1999): 133–141.

Key Terms
The concept of operations strategy plays an important role in determining the overall long-
term success of an organization. Developing an operations strategy means looking to new
ways to add value for the customer in the goods and services that the firm produces and
delivers. Value can have many meanings. Managers must therefore align the operations
strategy of their firm with the strategies of other functional areas and with the firm’s over-
all business strategy.
The combination of the globalization of business coupled with advances in technol-
ogy has created a hyper-competitive environment in which managers must constantly be
looking for new and innovative strategies to stay ahead of the competition. To properly
implement these strategies, managers need to clearly understand the core capabilities of
their firm and focus their resources on maintaining and improving these capabilities.
Successful firms today are looking to develop strategies that integrate goods and ser-
vices into a single product offering or “bundle of benefits,” which attempts to solve prob-
lems for customers rather than just selling them products.
Conclusion
business strategy p. 31
competitive priorities p. 32
cost p. 36
delivery p. 36
flexibility p. 36
quality p. 36
service p. 36
competitiveness p. 32
core capabilities p. 44
corporate strategy p. 30
cost leadership p. 31
differentiation p. 31
functional strategy p. 32
market segmentation p. 31
mass customization p. 37
mission p. 30
newly industrialized
countries (NIC) p. 35
operations strategy p. 32
order-qualifiers p. 42
order-winners p. 42
planning and control p. 32
strategic business unit
(SBU) p. 30
strategic planning p. 32
tactical planning p. 32
vision p. 30
www.mcgrawhill.ca/college/davis
46 Chapter 2
Review and
Discussion
Questions
1. What is meant by competitiveness?
2. Identify the different types of competi-
tive priorities. How has their relation-
ship to each other changed over the
years?
3. For each of the different competitive
priorities, describe the unique charac-
teristics of the market niche with which
it is most compatible.
4. Describe the difference between order-
qualifiers and order-winners. What is
the relationship between the two over
time?
5. Explain the concept of the core capa-
bilities within an organization.
6. In your opinion, do business schools
have competitive priorities?
7. Why does the “proper” operations
strategy keep changing for companies
that are world-class competitors?
8. What is meant by the expression “man-
ufacturing is entering the information
age”?
9. What kind of information do you think
would add value to the following goods
and services?
a. Used car
b. Hotel in a foreign city
c. Cruise ship
d. College
10. Describe the type of service that would
make the following items more attrac-
tive to purchase.
a. Suit of clothes
b. Used car
c. Personal computer
d. Fruits and vegetables
11. For each of the following, what, in
your opinion are the order-qualifiers
and order-winners?

Operations Strategy 47
Internet
Exercise
Go to the McGraw-Hill homepage at www.mcgrawhill.ca/college/davis and take several
company tours for the purpose of describing some of their competitive priorities. For each
tour identify the company, the product it makes, and its competitive priorities.
a. Selecting an airline to fly on
b. Deciding which supermarket to buy
groceries
c. Buying an automobile
d. Picking a restaurant for Saturday
night
Case 1
At its peak in late 2000, Lasik Vision Corpora-
tion had over 30 clinics operating in North
America, second only to TLC Laser Eye Centers
in Toronto, Ontario, which had 62 clinics. Dr.
Hugo Sutton, an eye surgeon and a clinical asso-
ciate professor at the University of British
Columbia, and Michael Henderson founded
Lasik Vision in 1997. Since 1978, Sutton had
been operating his own eye clinic initially spe-
cializing in cataract surgery. In the intervening
years, technological advances such as the
excimer laser had transformed refractive surgery
(the process of correcting myopia, hyperopia,
or astigmatism by altering the contours of the
cornea) from a low-tech risky procedure using
lathes and sutures into a viable proposition for
patients who could spend $5000. After the
surgery, they could discard their glasses or con-
tacts. The efficient new procedure allowed sur-
geons to eventually reduce the fees for this
service, thus making it even more attractive for
patients. In 1991, in partnership with two other
surgeons, Dr. Sutton set up his own refractive
surgery clinic. By 1996, the Lasik technique,
sparing patients the months of healing that came
with older procedures, became the vogue.
It was at that time that Michael Henderson, a
business executive and husband to one of Sutton’s
patients, approached him. Sutton remembers that
“Henderson felt that this was a very powerful
technology, a technology that he could take much
further. He thought that we were rather pedestrian,
slow, and old fashioned.” As Sutton was tiring of
doing all the surgeries with little help, the pro-
posal sounded very appealing. So in June 1997,
Michael Henderson joined Sutton’s company,
TMX Laser Vision Canada Inc., as vice president.
Soon it was clear that Henderson was on an
efficiency drive. He felt that the way to fortune
was to reengineer the traditional model of the
refractive surgery process. He let a few employ-
ees go, increasing the workload for the remain-
der. To improve efficiency, he tried not to use
expensive equipment. For example, he opposed
installing an ultrasound scanner to measure the
individual layers of each cornea. This scanner
improves the Lasik technique’s success ratio.
Dr. Sutton overruled him on this idea, but many
of Henderson’s ideas were implemented.
The traditional model involved acquiring
patients through optometrist referrals. These
optometrists also provided the postoperative care
and received a portion of the $4000 to $5000 fee.
In the reengineered model, the optometrists were
cut out of the loop. Also every step in the care
delivery system was standardized. Patients were
attracted directly with aggressive advertising and
a price well below competitors, initially $2995.
Henderson’s vision of mass volume with low
margins was launched in February 1998. Tradi-
tionally other competitors such as TLC ran
higher-priced, lower-volume operations (TLC
has continued with its model of including the
optometrists).
Lasik Vision Corp.
www.mcgrawhill.ca/college/davis

48 Chapter 2
Case 1
48 www.mcgrawhill.ca/college/davis
At the same time, Sutton also believed in
aggressive treatment. According to one of his col-
leagues, Dr. Dan Reinstein, “Hugo’s nature is pio-
neering. And so by definition, he is more likely to
have less conservative, uh, outcomes.” Unfortu-
nately, many patients were not properly informed
that they were less-than-ideal candidates for the
surgery. In a competitive medical environment,
patients emerging from surgery with odd results
led to lawsuits. As a result in August 1998, a rare
public statement from the B.C. College of Physi-
cians and Surgeons said that Sutton “has agreed to
a modification of his practice and he has voluntar-
ily agreed not to perform these surgical proce-
dures on patients in the higher risk categories.”
In light of Sutton’s troubles, Henderson
became president and CEO in April 1999 and
began pushing the company into massive expan-
sion and a public offering. This expansion actually
started in Toronto in September 1998, followed by
Calgary two months later. Henderson continued
expansion until eight more sites had been added in
September 1999. Henderson insisted that pricing
was the key. In TV advertisements, Henderson
personally extolled the Lasik Vision message—
Why pay more?—standing next to a large graphic
proclaiming “$1475 per eye.” By early 1999, the
pricing was dropped to $1598 for both eyes, but
Henderson preferred to see it even lower. One
advertisement he initiated proclaimed a cost of
$999 with an asterisk listing another $599 in addi-
tional fees in fine print. This prompted Advertising
Standards Canada to demand a change.
In December 1999, Henderson announced
his intention to step up the pace of expansion.
Beginning March 2000, Lasik Vision would start
expanding at the pace of one new site per week to
open about 20 clinics in the United States. The
whole delivery process would be standardized
right from the décor of the waiting rooms to the
approach in which patients were counselled and
corneas were lasered. This was the only way large
volumes of patients could be treated with a high
level of care. The medical doctors responded to
the challenge by devising a hiring and training
system that Sutton and the other doctors felt
would enable reliable quality across the country.
All this development and expansion was tak-
ing place while trouble was brewing between the
doctors and Henderson over financial and man-
agerial improprieties. Henderson was aggressively
skimming profits off the company for himself. The
last straw came in the spring in 2000 when Price-
WaterhouseCoopers grew concerned about Hen-
derson’s “unfettered” activities while auditing
Lasik’s financial statements. Thus, in June 2000,
Henderson was fired from the company.
Epilogue
Henderson subsequently sued Lasik Vision and
Sutton for negligence during an eye surgery per-
formed on his eyes in March 1998, which he
claims damaged his vision. Reinstein admits that
Henderson had a complication. Henderson’s
problem, Reinstein insists, is that he does not
understand the difference between complication
and negligence. “Well, maybe you shouldn’t
expect him to,” he sniffs, “he is not a doctor.”
Still you have to hand it to him, says Reinstein,
“He is an amazing guy. I did learn a lot about
doing business from him.”
By 2001 the industry was mired in the ugly
price war initiated by Lasik Vision, in addition to
an advertising war with many companies spending
10 to 13 percent of revenue on advertising (TLC
has even signed professional golfer Tiger Woods
to a multiyear contract to endorse his surgery at
TLC). Lasik’s stock slid from $6 in April 1999 to
about a tenth of that by December 2000. As a
result of all this, a consolidation spree ensued.
The January 31, 2001, edition of the Globe
and Mail reported that Lasik Vision had been
acquired by another discounter, Icon Laser Eye
Centers. At that time Lasik called itself the Dell
Computer of laser vision correction—“we offer a
high-quality product direct to customers and we
cut distribution costs without compromising
patient care.” However, TLC disagreed, “Clearly
it’s the utter failure of both their business and
clinical models that has forced them into such
dire financial circumstances and their marriage of
desperation in the first place.” At about the same
time Aris Vision of Los Angeles acquired control
of Gimbel Vision International of Calgary.
The August 28, 2001, issue of the Globe and
Mail reported that the two leading laser eye
surgery companies, TLC Laser Centers and St.
Louis-based Laser Vision Centers Inc., were
merging. It also mentioned that these two com-
panies had refused to participate in the price war
initiated by Lasik Vision, which had ironically
resulted in both Lasik Vision and its acquirer,
Icon, going bankrupt.

Operations Strategy 49
Case 1
www.mcgrawhill.ca/college/davis 49
Questions
1.
What was Lasik Vision’s competitive priority?
2. Is it an appropriate approach in this
industry? What repercussions, actual or
perceived, might occur with this priority?
3. What might be some of the external
influences on strategy formulation?
4. Given that a company has chosen this
priority, what would it have to do to
achieve success?
5. What are the order qualifiers and order
winners in this business?
Source: This case was adapted by Jaydeep Balakrishnan
from an article written by Trevor Cole in ROB Magazine,
January 2001, and is for discussion purposes only. It is not
intended to illustrate the proper or improper management
of a situation. Richard B. Chase, F. Robert Jacobs, and
Nicholas J. Aquilano, Operations Management for
Competitive Advantage, 10th ed. (New York: Irwin
McGraw Hill, 2004).
Case 2
Motorola’s Plantation, Florida, Factory
Motorola strives to measure every task per-
formed by every one of its 120 000 employees,
and calculates that it saved $1.5 billion by reduc-
ing defects and simplifying processes last year.
While that figure is hard to verify, here’s one
that isn’t: Since 1986, productivity (sales per
employee) has increased 126 percent, even
though Motorola has expanded its workforce.
What does the company do with all the
money it saves? Some goes into R&D, some
goes to workers as bonuses keyed to return on
net assets, and some goes straight to the bottom
line. But mostly, says corporate quality director
Richard Buetow, “we’ve been giving it away at
the marketplace.” Motorola cut the price of cel-
lular telephones 25 percent last year yet still
raised its net profit margins.
At some Motorola factories quality is so high
that they’ve stopped counting defects per million
and started working on defects per billion. Over-
all, the company aims to reduce its error rate ten-
fold every two years and to increase the speed of
its processes—cut its cycle time—tenfold every
five years. At those levels, says Buetow, “you are
hitting the limits of the capabilities of many of
your machines.” And those of your people as well.
Jerry Mysliwiec, manufacturing director at
the Land Mobile Products factory in Plantation,
Florida, begins each morning meeting of his fac-
tory supervisors with a singular request: “Okay,
guys, tell me what records you broke, because if
you didn’t break records, you didn’t improve.”
Four years ago the Plantation factory wasn’t
breaking much of anying except the patience of
its managers. It took Motorola as long as 10 days
to turn out a finished radio. To decide which
models to make, analysts crunched out elaborate
forecasts of consumer demand, which were
rarely on target. The company began building
the radios at a “feeder plant” in Malaysia, where
labour costs were low, then shipped them to
Plantation for final assembly.
These days Plantation’s Jedi line (named
after the good guys in Star Wars) can make a
specific radio—any one of more than 500 vari-
ations—for a specific customer in just two
hours. They no longer rely on a forecast or a
feeder plant. As the radios zip around the
U-shaped assembly line, pallets marked with
binary codes tell the robots, and the casually clad
workers who monitor them, what to do. Plan-
tation’s most useful innovation: inventing a
computer-controlled soldering process that elim-
inates the need for costly and time-consuming
tool changes. Motorola is now converting the
two-way radio plant in Malaysia, along with its
other major operation in Ireland, into clones of
Plantation’s “focused flexible factory.”
As part of its quality drive, Motorola has
given new meaning to the phrase “team spirit.”
At the cellular equipment plant in Arlington
Heights, Illinois, self-directed teams hire and fire
their coworkers, help select their supervisors,
and schedule their own work (in consultation
with other teams). Last year, the factory’s 1003
workers also mustered into no fewer than 168
special teams dedicated to improving quality,
cutting costs, and reducing cycle time.
Question
1. What operations capabilities is Motorola
using to compete?
Source: Ronald Henkoff, “Keeping Motorola on a Roll,”
Fortune (April 18, 1994). © 1994 Time Inc. All rights
reserved.