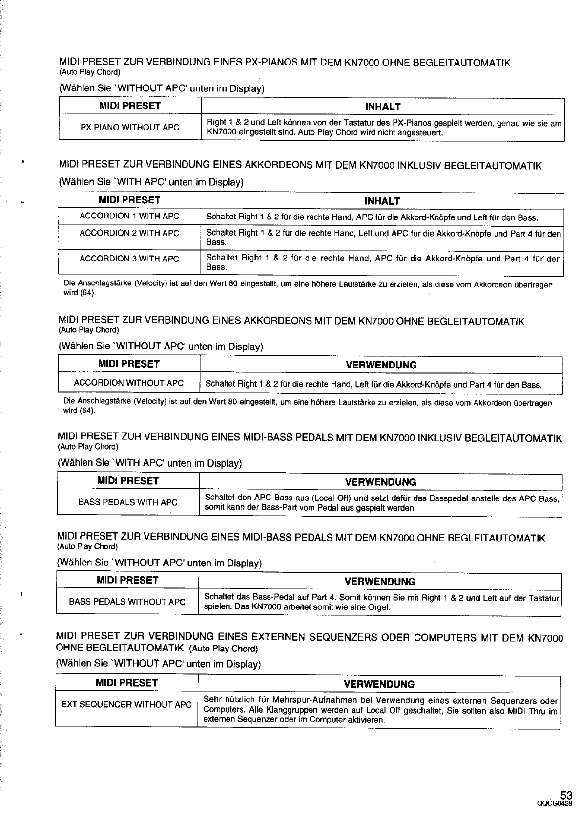
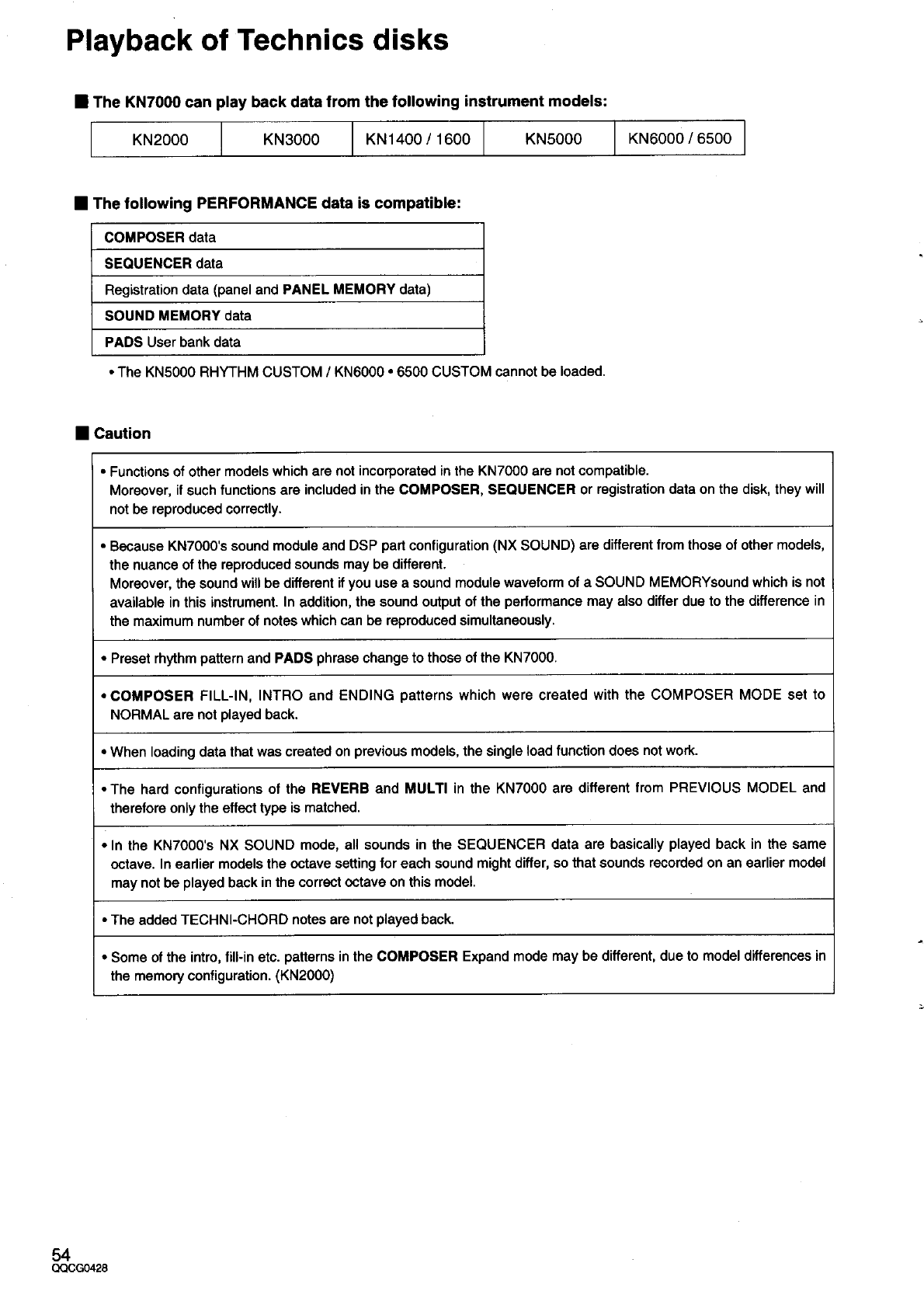
Technics SX KN7000 Reference Guide
Technics SX-KN7000 Reference Guide technics-kn7000-reference-guide Technics - SX-KN7000 - Reference Guide
User Manual: Technics SX-KN7000 Reference Guide Technics - SX-KN7000 - Reference Guide
Open the PDF directly: View PDF
.
Page Count: 56























































