PDF United States Army Fm 22 100 31 August 1999 Part06
united_states_army_fm_22-100 - 31_august_1999 - part06 united_states_army_fm_22-100 - 31_august_1999 - part06
united_states_army_fm_22-100 - 31_august_1999 - part06 The Eye | File Listing
User Manual: PDF T E X T F I L E S
Open the PDF directly: View PDF
.
Page Count: 45

Appendix C
Developmental Counseling
C-l. Subordinate leadership development is
one of the most important responsibilities of
every Army leader. Developing the leaders who
will come after you should be one of your high-
est priorities. Your legacy and the Army's fu-
ture rests on the shoulders of those you prepare
for greater responsibility.
C-2. Leadership development reviews are a
means to focus the growing of tomorrow's lead-
ers. Think of them as AARs with a focus of mak-
ing leaders more effective every day. These
important reviews are not necessarily limited
to internal counseling sessions; leadership feed-
back mechanisms also apply in operational set-
tings such as the CTCs.
C-3. Just as training includes AARs and train-
ing strategies to fIx shortcomings, leadership
development includes performance reviews.
These reviews result in agreements between
leader and subordinate on a development strat-
egy or plan of action that builds on the subordi-
nate's strengths and establishes goals to
improve on weaknesses. Leaders conduct per-
formance reviews and create plans of action
during developmental counseling.
C-4. Leadership development reviews are a
component of the broader concept of develop-
mental counseling. Developmental counseling
is subordinate-centered communication that
produces a plan outlining actions that subordi-
nates must take to achieve individual and or-
ganizational goals. During developmental
counseling, subordinates are not merely pas-
sive listeners; they're actively involved in the
process. The Developmental Counseling Form
(DA Form 4856- E, which is discussed at the end
of this appendix) provides a useful framework
to prepare for almost any type of counseling.
Use it to help you mentally organize issues and
isolate important, relevant items to cover dur-
ing counseling sessions.
C-5. Developmental counseling is a shared ef-
fort. As a leader, you assist your subordinates in
identifying strengths and weaknesses and cre-
ating plans of action. Then you support them
throughout the plan implementation and as-
sessment. However, to achieve success, your
subordinates must be forthright in their com-
mitment to improve and candid in their own as-
sessment and goal setting.
THE LEADER'S RESPONSIBILITIES
C-6. Organizational readiness and mission ac-
complishment depend on every member's abil-
ity to perform to established standards.
Supervisors must mentor their subordinates
through teaching, coaching, and counseling.
Leaders coach subordinates the same way
sports coaches improve their teams: by identify-
ing weaknesses, setting goals, developing and
implementing plans of action, and providing
oversight and motivation throughout the pro-
cess. To be effective coaches, leaders must thor-
oughly understand the strengths, weaknesses,
and professional goals of their subordinates.
(Chapter 5 discusses coaching.)
Army
Leadership
C-7. Army leaders evaluate DA civilians using
procedures prescribed under the Total Army
Performance Evaluation System (TAPES). Al-
though TAPES doesn't address developmental
counseling, you can use DA Form 4856- E to
counsel DA civilians concerning professional
growth and career goals. DA Form 4856-E is
not appropriate for documenting counseling
concerning DA civilian misconduct or poor per-
formance. The servicing civilian personnel of-
fice can provide guidance for such situations.
C-8. Soldiers and DA civilians often perceive
counseling as an adverse action. Effective leaders
C-1

Appendix C
who counsel properly can change that perception.
Anny leaders conduct counseling to help subordi-
nates become better members of the team, main-
tain or improve performance, and prepare for the
future. Just as no easy answers exist for exactly
what to do in all leadership situations, no easy
answers exist for exactly what to do in all counsel-
ing situations. However, to conduct effective
counseling, you should develop a counseling style
with the characteristics listed in Figure C-l.
.Purpose: Clearly define the purpose of the counseling.
.Flexibility: Fit the counseling style to the character of each subordinate and to the relation-
ship desired.
.Respect: View subordinates as unique, complex individuals, each with a distinct set of values,
beliefs, and attitudes.
.Communication: Establish open, two-way communication with subordinates using spoken
language, nonverbal actions, gestures, and body language. Effective counselors listen more
than they speak.
.Support: Encourage subordinates through actions while guiding them through their prob-
lems.
Figure C-1. Characteristics of Effective Counseling
THE LEADER AS A COUNSELOR
C-9. Army leaders must demonstrate certain
qualities to be effective counselors. These quali-
ties include respect for subordinates, self-
awareness and cultural awareness, empathy,
and credibility.
RESPECT FOR SUBORDINATES
C-IO. As an Army leader, you show respect for
subordinates when you allow them to take re-
sponsibility for their own ideas and actions. Re-
specting subordinates helps create mutual
respect in the leader-subordinate relationship.
Mutual respect improves the chances of chang-
ing (or maintaining) behavior and achieving
goals.
SELF AWARENESS AND CULTURAL
AWARENESS
C-l1. As an Army leader, you must be fully
aware of your own values, needs, and biases
C-2
prior to counseling subordinates. Self-aware
leaders are less likely to project their biases
onto subordinates. Also, aware leaders are
more likely to act consistently with their own
values and actions.
C-12. Cultural awareness, as discussed in
Chapter 2, is a mental attribute. As an Army
leader, you need to be aware of the similarities
and differences between individuals of different
cultural backgrounds and how these factors
may influence values, perspectives, and actions.
Don't let unfamiliarity with cultural back-
grounds hinder you in addressing cultural is-
sues, especially if they generate concerns
within the organization or hinder team-
building. Cultural awareness enhances your
ability to display empathy.
FM 22-100

Developmental Counseling
EMPATHY
C-13. Empathy is the action of being
understanding of and sensitive to the feelings,
thoughts, and experiences of another person to
the point that you can almost feel or experience
them yourself. Leaders with empathy can put
themselves in their subordinate's shoes; they
can see a situation from the other person's per-
spective. By understanding the subordinate's
position, you can help a subordinate develop a
plan of action that fits the subordinate's per-
sonality and needs, one that works for the sub-
ordinate. If you don't fully comprehend a
situation from your subordinate's point of view,
you have less credibility and influence and your
subordinate is less likely to commit to the
agreed upon plan of action.
CREDmILITY
C-14. Leaders achieve credibility by being hon-
est and consistent in their statements and ac-
tions. To be credible, use a straightforward
style with your subordinates. Behave in a man-
ner that your subordinates respect and trust.
You can earn credibility by repeatedly demon-
strating your willingness to assist a subordi-
nate and being consistent in what you say and
do. If you lack credibility with your subordi-
nates you'll find it difficult to influence them.
LEADER COUNSELING SKILLS
C-15. One challenging aspect of counseling is
selecting the proper approach to a specific
situation. To counsel effectively, the technique
you use must fit the situation, your capabilities,
and your subordinate's expectations. In some
cases, you may only need to give information or
listen. A subordinate's improvement may call
for just a brief word of praise. Other situations
may require structured counseling followed by
definite actions.
C-16. All leaders should seek to develop and
improve their own counseling abilities. You can
improve your counseling techniques by study-
ing human behavior, learning the kinds ofprob-
lems that affect your subordinates, and
developing your interpersonal skills. The tech-
niques needed to provide effective counseling
will vary from person to person and session to
session. However, general skills that you'll
need in almost every situation include active
listening, responding, and questioning.
ACTIVE LISTENING
C-l 7. During counseling, you must actively lis-
ten to your subordinate. When you're actively
listening, you communicate verbally and non-
verbally that you've received the subordinate's
message. To fully understand a subordinate's
message, you must listen to the words and ob-
serve the subordinate's manners. Elements of
active listening you should consider include-
Army Leadership
.Eye contact. Maintaining eye contact
without staring helps show sincere interest.
Occasional breaks of contact are normal and
acceptable. Subordinates may perceive
excessive breaks of eye contact, paper shuf-
fling, and clock-watching as a lack of inter-
est or concern. These are guidelines only.
Based on cultural background, participants
in a particular counseling session may have
different ideas about what proper eye
contact is.
Body posture. Being relaxed and com-
fortable will help put the subordinate at
ease. However, a too-relaxed position or
slouching may be interpreted as a lack of in-
terest.
Head nods. Occasionally nodding your
head shows you're paying attention and
encourages the subordinate to continue.
Facial expressions. Keep your facial
expressions natural and relaxed. A blank
look or fixed expression may disturb the
subordinate. Smiling too much or frowning
may discourage the subordinate from
continuing.
Verbal expressions. Refrain from talking
too much and avoid interrupting. Let the
subordinate do the talking while keeping
the discussion on the counseling subject.
Speaking only when necessary reinforces
the importance of what the subordinate is
saying and encourages the subordinate to
.
.
.
.
C-3

Appendix C
continue. Silence can also do this, but be
careful. Occasional silence may indicate to
the subordinate that it's okay to continue
talking, but a long silence can sometimes be
distracting and make the subordinate feel
uncomfortable.
C-18. Active listening also means listening
thoughtfully and deliberately to the way a sub-
ordinate says things. Stay alert for common
themes. A subordinate's opening and closing
statements as well as recurring references may
indicate the subordinate's priorities. Inconsis-
tencies and gaps may indicate a subordinate's
avoidance of the real issue. This confusion and
uncertainty may suggest additional questions.
C-19. While listening, pay attention to the sub-
ordinate's gestures. These actions complete the
total message. By watching the subordinate's
actions, you can "see" the feelings behind the
words. Not all actions are proof of a subordi-
nate's feelings, but they should be taken into
consideration. Note differences between what
the subordinate says and does. Nonverbal indi-
cators of a subordinate's attitude include-
.Boredom. Drumming on the table,
doodling, clicking a ball-point pen, or rest-
ing the head in the palm of the hand.
.Self-confidence. Standing tall, leaning
back with hands behind the head, and
maintaining steady eye contact.
.Defensiveness. Pushing deeply into a
chair, glaring at the leader, and making
sarcastic comments as well as crossing or
folding arms in front of the chest.
.Frustration. Rubbing eyes, pulling on an
ear, taking short breaths, wringing the
hands, or frequently changing total body po-
sition.
.Interest, friendliness, and openness.
Moving toward the leader while sitting.
.Openness or anxiety. Sitting on the edge
of the chair with arms uncrossed and hands
open.
C-20. Consider these indicators carefully. Al-
though each indicator may show something
about the subordinate, don't assume a particu-
lar behavior absolutely means something. Ask
the subordinate about the indicator so you can
C-4
better understand the behavior and allow the
subordinate to take responsibility for it.
RESPONDING
C-21. Responding skills follow-up on active lis-
tening skills. A leader responds to communicate
that the leader understands the subordinate.
From time to time, check your understanding:
clarify and confirm what has been said. Respond
to subordinates both verbally and nonverbally.
Verbal responses consist of summarizing, inter-
preting, and clarifying the subordinate's mes-
sage. Nonverbal responses include eye contact
and occasional gestures such as a head nod.
QUESTIONING
C-22. Although questioning is a necessary skill,
you must use it with caution. Too many ques-
tions can aggravate the power differential be-
tween a leader and a subordinate and place the
subordinate in a passive mode. The subordinate
may also react to excessive questioning as an in-
trusion of privacy and become defensive. Dur-
ing a leadership development review, ask
questions to obtain information or to get the
subordinate to think about a particular situa-
tion. Generally, the questions should be open-
ended so as to evoke more than a yes or no an-
swer. Well-posed questions may help to verify
understanding, encourage further explanation,
or help the subordinate move through the
stages of the counseling session.
COUNSELING ERRORS
C-23. Effective leaders avoid common
counseling mistakes. Dominating the counsel-
ing by talking too much, giving unnecessary or
inappropriate "advice," not truly listening, and
projecting personal likes, dislikes, biases, and
prejudices all interfere with effective
counseling. You should also avoid other com-
mon mistakes such as rash judgments, stereo-
types, loss of emotional control, inflexible
methods of counseling and improper follow-up.
To improve your counseling skills, follow the
guidelines in Figure C-2.
FM 22-100

Developmental Counseling
.Determine the subordinate's role in the situation and what the subordinate has done to resolve
the problem or improve performance.
Draw conclusions based on more than the subordinate's statement.
.
.Try to understand what the subordinate says and feels; listen to what the subordinate says and
how the subordinate says it.
.Show empathy when discussing the problem.
.When asking questions, be sure that you need the information.
.Keep the conversation open-ended; avoid interrupting.
.Give the subordinate your full attention.
.Be receptive to the subordinate's feelings without feeling responsible to save the subordinate
from hurting.
.Encourage the subordinate to take the initiative and to say what the subordinate wants to say.
.Avoid interrogating.
.Keep your personal experiences out of the counseling session unless you believe your experi-
ences will really help.
Listen more; talk less.
Remain objective.
.
.
.Avoid confirming a subordinate's prejudices.
.Help the subordinate help himself.
Know what information to keep confidential and what to present to the chain of command.
.
Figure C-2. Guidelines to Improve Counseling
THE LEADER'S LIMITATIONS
C-24. Army leaders can't help everyone in every
situation. Even professional counselors can't
provide all the help that a person might need.
You must recognize your limitations and, when
the situation calls for it, refer a subordinate to a
person or agency more qualified to help.
C-25. These agencies Figure C-3 lists can help
you and your people resolve problems. Although
it's generally in an individual's best interest to
seek help first from their first-line leaders, lead-
ers must always respect an individual's right to
contact most of these agencies on their own.
Army Leadership C-5

Activity DescriDtion
Adjutant General Provides personnel and administrative services support such as orders,
ID cards, retirement assistance, deferments, and in- and out-processing.
American Red Cross Provides communications support between soldiers and families and
assistance during or after emergency or compassionate situations.
Army Community Service Assists military families through their information and referral services,
budget and indebtedness counseling, household item loan closet,
information on other military posts, and welcome packets for new arrivals.
Army Substance Abuse Program Provides alcohol and drug abuse prevention and control programs for DA
civilians.
Better Opportunities for Single Serves as a liaison between upper levels of command on the installation
Soldiers (BOSS) and single soldiers.
Army Education Center Provides services for continuing education and individual learning
services support.
Army Emergency Relief Provides financial assistance and personal budget counselin~;
coordinates student loans through Army Emergency Relief e ucation loan
programs.
Career Counselor Explains reenlistment options and provides current information on
prerequisites for reenlistment and selective reenlistment bonuses.
Chaplain Provides spiritual and humanitarian counseling to soldiers and DA
civilians.
Claims Section, SJA Handles claims for and against the government, most often those for the
loss and damage of household goods.
Legal Assistance Office Provides legal information or assistance on matters of contracts,
citizenship, adoption, marital problems, taxes, wills, and powers of
attorney.
Community Counseling Center Provides alcohol and drug abuse prevention and control programs for
soldiers.
Community Health Nurse Provides preventive health care services.
Community Mental Health Provides assistance and counseling for mental health problems.
Service
Employee Assistance Program Provides health nurse, mental health service, and social work services for
DA civilians.
Equal Opportunity Staff Office Provides assistance for matters involving discrimination in race, color,
and Equal Employment national origin, gender, and religion. Provides, information on procedures
Opportunity Office for initiating complaints and resolving complaints informally.
Family Advocacy Officer Coordinates programs supporting children and families including abuse
and neglect investigation, counseling, and educational programs.
Finance and Accounting Office Handles inquiries for pay, allowances, and allotments.
Housing Referral Office Provides assistance with housing on and off post.
Inspector General Renders assistance to soldiers and DA civilians. Corrects injustices
affecting individuals and eliminates conditions determined to be
detrimental to the efficiency, economrr' morale, and reputation of the
Army. Investigates matters involving raud, waste, and abuse.
Social Work Office Provides services dealing with social problems to include crisis
intervention, family therapy, marital counseling, and parent or child
management assistance.
Transition Office Provides assistance and information on separation from the Army.
Appendix C
Figure C-3. Support Activities
C-G FM 22-100

Developmental Counseling
TYPES OF DEVELOPMENTAL COUNSELING
C-26. You can often categorize developmental
counseling based on the topic of the session. The
two major categories of counseling are event-
oriented and performance/professional growth.
EVENT-ORIENTED COUNSELING
C-27. Event-oriented counseling involves a
specific event or situation. It may precede
events, such as going to a promotion board or
attending a school; or it may follow events, such
as a noteworthy duty performance, a problem
with performance or mission accomplishment,
or a personal problem. Examples of event-
oriented counseling include, but are not limited
to-
Specific instances of superior or substan-
dard performance.
Reception and integration counseling.
Crisis counseling.
Referral counseling.
Promotion counseling.
Separation counseling.
Counseling for Specific Instances
C-28. Sometimes counseling is tied to specific
instances of superior or substandard duty per-
formance. You tell your subordinate whether or
not the performance met the standard and what
the subordinate did right or wrong. The key to
successful counseling for specific performance
is to conduct it as close to the event as possible.
.
.
.
.
.
.
C-29. Many leaders focus counseling for spe-
cific instances on poor performance and miss,
or at least fail to acknowledge, excellent per-
formance. You should counsel subordinates for
specific examples of superior as well as substan-
dard duty performance. To measure your own
performance and counseling emphasis, you can
note how often you document counseling for su-
perior versus substandard performance.
C-30. You should counsel subordinates who
don't meet the standard. If the subordinate's
performance is unsatisfactory because of a lack
of knowledge or ability, you and the subordi-
nate should develop a plan to improve the sub-
ordinate's skills. Corrective training may be
required at times to ensure the subordinate
Army
Leadership
knows and achieves the standard. Once the sub-
ordinate can achieve the standard, you should
end the corrective training.
C-31. When counseling a subordinate for a spe-
cific performance, take the following actions:
.Tell the subordinate the purpose of the
counseling, what was expected, and how the
subordinate failed to meet the standard.
.Address the specific unacceptable behavior
or action, not the person's character.
.Tell the subordinate the effect of the behav-
ior, action, or performance on the rest of the
organization.
.Actively listen to the subordinate's re-
sponse.
.Remain unemotional.
.Teach the subordinate how to meet the
standard.
.Be prepared to do some personal counseling,
since a failure to meet the standard may be
related to or the result of an unresolved per-
sonal problem.
.Explain to the subordinate what will be
done to improve performance (plan of ac-
tion). Identify your responsibilities in im-
plementing the plan of action; continue to
assess and follow up on the subordinate's
progress. Adjust plan of action as necessary.
Reception and Integration Counseling
C-32. As the leader, you must counsel new
team members when they arrive at your organi-
zation. This reception and integration counsel-
ing serves two purposes. First, it identifies and
helps fix any problems or concerns that new
members may have, especially any issues re-
sulting from the new duty assignment. Second,
it lets them know the organizational standards
and how they fit into the team. It clarifies job ti-
tles and sends the message that the chain of
command cares. Reception and integration
counseling should begin immediately upon arri-
val so new team members can quickly become
integrated into the organization. (Figure C-4
gives some possible discussion points.)
C-7

Appendix C
Organizational standards.
Chain of command.
NCO support channel (who and how used).
On-and-off duty conduct.
Personnel/personal affairs/initial clothing issue.
Organizational history, organization, and mission.
Soldier programs within the organization, such as soldier of the month/quarter/year and Audie
Murphy.
Off limits and danger areas.
Functions and locations of support activities (see Figure C-3).
On- and off-post recreational, educational, cultural, and historical opportunities.
Foreign nation or host nation orientation.
Other areas the individual should be aware of, as determined by the leader.
.
.
.
.
.
.
.
.
.
.
.
.
Figure C-4. Reception and Integration Counseling Points
Crisis Counseling
C-33. You may conduct crisis counseling to get
a subordinate through the initial shock after re-
ceiving negative news, such as notification of
the death of a loved one. You may assist the sub-
ordinate by listening and, as appropriate, pro-
viding assistance. Assistance may include
referring the subordinate to a support activity
or coordinating external agency support. Crisis
counseling focuses on the subordinate's imme-
diate, short-term needs.
Referral Counseling
C-34. Referral counseling helps subordinates
work through a personal situation and mayor
may not follow crisis counseling. Referral coun-
seling may also act as preventative counseling
before the situation becomes a problem. Usu-
ally, the leader assists the subordinate in iden-
tifying the problem and refers the subordinate
to the appropriate resource, such as Army Com-
munity Services, a chaplain, or an alcohol and
drug counselor. (Figure C-3 lists support activi-
ties.)
Promotion Counseling
C-35. Leaders must conduct promotion coun-
seling for all specialists and sergeants who are
eligible for advancement without waivers but
not recommended for promotion to the next
higher grade. Army regulations require that
C-B
soldiers within this category receive initial
(event-oriented) counseling when they attain
full eligibility and then periodic (perform-
ance/personal growth) counseling thereafter.
Adverse Separation Counseling
C-36. Adverse separation counseling may in-
volve informing the soldier of the administra-
tive actions available to the commander in the
event substandard performance continues and
of the consequences associated with those ad-
ministrative actions (see AR 635-200).
C-3 7. Developmental counseling may not apply
when an individual has engaged in more serious
acts of misconduct. In those situations, you
should refer the matter to the commander and
the servicing staff judge advocate. When the
leader's rehabilitative efforts fail, counseling
with a view towards separation fills an adminis-
trative prerequisite to many administrative dis-
charges and serves as a final warning to the
soldier to improve performance or face dis-
charge. In many situations, it may be beneficial
to involve the chain of command as soon as you
determine that adverse separation counseling
might be required. A unit first sergeant or com-
mander should be the person who informs the
soldier of the notification requirements out-
lined in AR 635-200.
FM 22-100

Developmental Counseling
PERFORMANCE AND PROFESSIONAL
GROWTH COUNSELING
Performance Counseling
C-38. During performance counseling, you con-
duct a review of a subordinate's duty perfor-
mance during a certain period. You and the
subordinate jointly establish performance ob-
jectives and standards for the next period.
Rather than dwelling on the past, you should fo-
cus the session on the subordinate's strengths,
areas needing improvement, and potential.
C-39. Performance counseling is required un-
der the officer, NCO, and DA civilian evaluation
reporting systems. The OER process requires
periodic performance counseling as part of the
OER Support Form requirements. Mandatory,
face-to-face performance counseling between
the rater and the rated NCO is required under
the NCOERS. TAPES includes a combination
of both of these requirements.
C-40. Counseling at the beginning of and dur-
ing the evaluation period facilitates a subordi-
nate's involvement in the evaluation process.
Performance counseling communicates stan-
dards and is an opportunity for leaders to estab-
lish and clarify the expected values, attributes,
skills, and actions. Part !Vb (Leader Attrib-
utes/Skills/Actions) of the OER Support Form
(DA Form 67-9-1) serves as an excellent tool for
leaders doing performance counseling. For
lieutenants and warrant officers one, the major
performance objectives on the OER Support
Form are used as the basis for determining the
developmental tasks on the Junior Officer De-
velopmental Support Form (DA Form 67-9-1a).
Quarterly face-to-face performance and devel-
opmental counseling is required for these junior
officers as outlined in AR 623-105.
C-41. As an Army leader, you must ensure
you've tied your expectations to performance
objectives and appropriate standards. You must
establish standards that your subordinates can
work towards and must teach them how to
achieve the standards if they are to develop.
Professional Growth Counseling
C-42. Professional growth counseling includes
planning for the accomplishment of individual
Army Leadership
and professional goals. You conduct this
counseling to assist subordinates in achieving
organizational and individual goals. During the
counseling, you and your subordinate conduct a
review to identify and discuss the subordinate's
strengths and weaknesses and create a plan of
action to build upon strengths and overcome
weaknesses. This counseling isn't normally
event-driven.
C-43. As part of professional growth
counseling, you may choose to discuss and de-
velop a "pathway to success" with the subordi-
nate. This future-oriented counseling
establishes short- and long-term goals and ob-
jectives. The discussion may include opportuni-
ties for civilian or military schooling, future
duty assignments, special programs, and reen-
listment options. Every person's needs are dif-
ferent, and leaders must apply specific courses
of action tailored to each individual.
C-44. Career field counseling is required for
lieutenants and captains before they're
considered for promotion to major. Raters
and senior raters, in conjunction with the
rated officer, need to determine where the of-
ficer's skills best fit the needs of the Army.
During career field counseling, consideration
must be given to the rated officer's prefer-
ence and his abilities (both performance and
academic). The rater and senior rater should
discuss career field designation with the offi-
cer prior to making a recommendation on the
rated officer's OER.
C-45. While these categories can help you or-
ganize and focus counseling sessions, they
should not be viewed as separate, distinct, or
exhaustive. For example, a counseling ses-
sion that focuses on resolving a problem may
also address improving duty performance. A
session focused on performance may also in-
clude a discussion on opportunities for pro-
fessional growth. Regardless of the topic of
the counseling session, leaders should follow
the same basic format to prepare for and
conduct it.
C-g

Appendix C
APPROACHES TO COUNSELING
C-46. An effective leader approaches each sub-
ordinate as an individual. Different people and
different situations require different counsel-
ing approaches. Three approaches to counsel-
ing include nondirective, directive, and
combined. These approaches differ in the tech-
niques used, but they all fit the definition of
counseling and contribute to its overall pur-
pose. The major difference between the ap-
proaches is the degree to which the subordinate
participates and interacts during a counseling
session. Figure C-5 summarizes the advantages
and disadvantages of each approach.
NONDIRECTIVE
C-47. The nondirective approach is preferred
for most counseling sessions. Leaders use their
experienced insight and judgment to assist sub-
ordinates in developing solutions. You should
partially structure this type of counseling by
telling the subordinate about the counseling
process and explaining what you expect.
C-48. During the counseling session, listen
rather than make decisions or give advice. Clar-
ify what's said. Cause the subordinate to bring
out important points, so as to better under-
stand the situation. When appropriate, summa-
rize the discussion. Avoid providing solutions or
rendering opinions; instead, maintain a focus
on individual and organizational goals and ob-
jectives. Ensure the subordinate's plan of ac-
tion supports those goals and objectives.
DIRECTIVE
C-49. The directive approach works best to cor-
rect simple problems, make on-the-spot correc-
tions, and correct aspects of duty performance.
The leader using the directive style does most of
the talking and tells the subordinate what to do
and when to do it. In contrast to the nondirec-
tive approach, the leader directs a course of ac-
tion for the subordinate.
C-50. Choose this approach when time is short,
when you alone know what to do, or if a subor-
dinate has limited problem-solving skills. It's
also appropriate when a subordinate needs
guidance, is immature, or is insecure.
COMBINED
C-51. In the combined approach, the leader
uses techniques from both the directive and
nondirective approaches, adjusting them to ar-
ticulate what's best for the subordinate. The
combined approach emphasizes the sub-
ordinate's planning and decision-making
responsibilities.
C-52. With your assistance, the subordinate
develops the subordinate's own plan of action.
You should listen, suggest possible courses, and
help analyze each possible solution to deter-
mine its good and bad points. You should then
help the subordinate fully understand all as-
pects of the situation and encourage the subor-
dinate to decide which solution is best.
C-10 FM 22-100

Advantages Disadvantages
Nondirective .Encourages maturity. .More time-consuming.
.Encourages open communication. .Requires greatest counselor skill.
.Develops personal responsibility.
Directive .Quickest method. .Doesn't encourage subordinates to be
.Good for people who need clear, part of the solution.
concise direction. .Tends to treat symptoms, not problems.
.Allows counselors to actively use their .Tends to discourage subordinates from
experience. talking freely.
.Solution is the counselor's, not the
subordinate's.
Combined .Moderately quick. .May take too much time for some
.Encourages maturity. situations.
.Encourages open communication.
.Allows counselors to actively use their
experience.
Developmental Counseling
Figure C-5. Counseling Approach Summary Chart
COUNSELING TECHNIQUES
C-53. As an Army leader, you may select from a
variety of techniques when counseling subordi-
nates. These counseling techniques, when ap-
propriately used, cause subordinates to do
things or improve upon their performance. You
can use these methods during scheduled coun-
seling sessions or while simply coaching a sub-
ordinate. Counseling techniques you can use
during the nondirective or combined ap-
proachesinclude--
.Suggesting alternatives. Discuss al-
ternative actions that the subordinate may
take, but both you and the subordinate de-
cide which course of action is most appropri-
ate.
.Recommending. Recommend one course
of action, but leave the decision to accept
the recommended action to the subordinate.
Persuading. Persuade the subordinate
that a given course of action is best, but
.
leave the decision to the subordinate. Suc-
cessful persuasion depends on the leader's
credibility, the subordinate's willingness to
listen, and their mutual trust.
.Advising. Advise the subordinate that a
given course of action is best. This is the
strongest form of influence not involving a
command.
C-54. Some techniques you can use during the
directive approach to counseling include--
.Corrective training. Teach and assist the
subordinate in attaining and maintaining
the standards. The subordinate completes
corrective training when the subordinate
attains the standard.
Commanding. Order the subordinate to
take a given course of action in clear, exact
words. The subordinate understands that
he has been given a command and will face
the consequences for failing to carry it out.
.
Army Leadership C-11

Appendix C
THE COUNSELING PROCESS
C-55. Effective leaders use the counseling pro-
cess. It consists of four stages:
.Identify the need for counseling.
.Prepare for counseling.
.Conduct counseling.
.Follow up.
IDENTIFY THE NEED FOR
COUNSELING
C-56. Quite often organizational policies, such
as counseling associated with an evaluation or
counseling required by the command, focus a
counseling session. However, you may conduct
developmental counseling whenever the need
arises for focused, two-way communication
aimed at subordinate development. Developing
subordinates consists of observing the subordi-
nate's performance, comparing it to the stan-
dard, and then providing feedback to the
subordinate in the form of counseling.
PREPARE FOR COUNSELING
C-57. Successful counseling requires prepara-
tion. To prepare for counseling, do the
following:
.Select a suitable place.
.Schedule the time.
.Notify the subordinate well in advance.
.Organize information.
.Outline the counseling session components.
.Plan your counseling strategy.
.Establish the right atmosphere.
Select a Suitable Place
C-58. Schedule counseling in an environment
that minimizes interruptions and is free from
distracting sights and sounds.
Schedule the Time
C-59. When possible, counsel a subordinate
during the duty day. Counseling after duty
hours may be rushed or perceived as un-
favorable. The length of time required for
counseling depends on the complexity of the is-
sue. Generally a counseling session should last
less than an hour. If you need more time,
C-12
schedule a second session. Additionally, select a
time free from competition with other activities
and consider what has been planned after the
counseling session. Important events can
distract a subordinate from concentrating on
the counseling.
Notify the Subordinate Well in Advance
C-60. For a counseling session to be a
subordinate-centered, two-person effort, the
subordinate must have time to prepare for it.
The subordinate should know why, where, and
when the counseling will take place. Counseling
following a specific event should happen as
close to the event as possible. However, for per-
formance or professional development counsel-
ing, subordinates may need a week or more to
prepare or review specific products, such as
support forms or counseling records.
Organize Information
C-61. Solid preparation is essential to
effective counseling. Review all pertinent in-
formation. This includes the purpose of the
counseling, facts and observations about the
subordinate, identification of possible prob-
lems, main points of discussion, and the de-
velopment of a plan of action. Focus on
specific and objective behaviors that the sub-
ordinate must maintain or improve as well as
a plan of action with clear, obtainable goals.
Outline the Components of the
Counseling Session
C-62. Using the information obtained, deter-
mine what to discuss during the counseling ses-
sion. Note what prompted the counseling,
what you aim to achieve, and what your role as
a counselor is. Identify possible comments or
questions to help you keep the counseling ses-
sion subordinate-centered and help the subor-
dinate progress through its stages. Although
you never know what a subordinate will say or
do during counseling, a written outline helps
organize the session and enhances the chance
of positive results. (Figure C-6 is one example
of a counseling outline prepared by a platoon
leader about to conduct an initial NCOER
counseling session with a platoon sergeant.)
FM 22-100

Developmental Counseling
Type of counseling: Initial NCOER counseling for SFC Taylor, a recently promoted new arrival to
the unit.
Place and time: The platoon office, 1500 hours, 9 October.
Time to notify the subordinate: Notify SFC Taylor one week in advance of the scheduled
counseling session.
Subordinate preparation: Have SFC Taylor put together a list of goals and objectives he would
like to complete over the next 90 to 180 days. Review the values, attributes, skills, and actions
from FM 22-100.
Counselor preparation:
.Review the NCO Counseling Checklist/Record (DA Form 2166-8-1).
.Update or review SFC Taylor's duty description and fill out the rating chain and duty description
on the working copy of the NCOER (DA Form 2166-8, Parts II and III).
.Review each of the values and responsibilities in Part IV of the NCOER and the values, attributes,
skills and actions in FM 22-100. Think of how each applies to SFC Taylor and the platoon ser-
geant position.
.Review the actions you consider necessary for a success or excellence in each value and re-
sponsibility.
.Make notes in blank spaces in Part IV of the NCOER to assist when counseling.
Role as counselor: Help SFC Taylor to understand the expectations and standards associated
with the platoon sergeant position. Assist SFC Taylor in developing the values, attributes, skills,
and actions that will enable him to achieve his performance objectives, consistent with those of the
platoon and company. Resolve any aspects of the job that aren't clearly understood.
Session outline: Complete an outline following the counseling session components in Figure C-?
and based on the draft duty description on the NCOER, ideally at least two to three days prior to
the actual counseling session.
Figure C-G. Example of a Counseling Outline
Plan Counseling Strategy
C-63. As many approaches to counseling exist
as there are leaders. The directive, nondirec-
tive, and combined approaches to counseling
were addressed earlier. Use a strategy that
suits your subordinates and the situation.
Establish the Right Atmosphere
C-64. The right atmosphere promotes two-way
communication between a leader and subordi-
nate. To establish a relaxed atmosphere, you
may offer the subordinate a seat or a cup of cof-
fee. You may want to sit in a chair facing the
subordinate since a desk can act as a barrier.
C-65. Some situations make an informal
atmosphere inappropriate. For example, during
counseling to correct substandard per-
formance, you may direct the subordinate to
remain standing while you remain seated
behind a desk. This formal atmosphere,
Army Leadership
normally used to give specific guidance,
reinforces the leader's rank, position in the
chain of command, and authority.
CONDUCT THE COUNSELING
SESSION
C-66. Be flexible when conducting a counseling
session. Often counseling for a specific incident
occurs spontaneously as leaders encounter sub-
ordinates in their daily activities. Such counsel-
ing can occur in the field, motor pool,
barracks-wherever subordinates perform
their duties. Good leaders take advantage of
naturally occurring events to provide subordi-
nates with feedback.
C-67. Even when you haven't prepared for for-
mal counseling, you should address the four ba-
sic components of a counseling session. Their
purpose is to guide effective counseling rather
C-13

Appendix C
than mandate a series of rigid steps. Counseling
sessions consist of-
.Opening the session.
.Discussing the issues.
.Developing the plan of action.
.Recording and closing the session.
Ideally, a counseling session results in a subor-
dinate's commitment to a plan of action. As-
sessment of the plan of action (discussed below)
becomes the starting point for follow-up
counseling. (Figure C-7 is an example of a coun-
seling session.)
Open the Session
C-68. In the session opening, state the purpose
of the session and establish a subordinate-
centered setting. Establish the preferred setting
early in the session by inviting the subordinate
to speak. The best way to open a counseling ses-
sion is to clearly state its purpose. For example,
an appropriate purpose statement might be:
"The purpose of this counseling is to discuss
your duty performance over the past month and
to create a plan to enhance performance and at-
tain performance goals." If applicable, start the
counseling session by reviewing the status of
the previous plan of action.
C-69. You and the subordinate should attempt
to develop a mutual understanding of the
issues. You can best develop this by letting the
subordinate do most of the talking. Use active
listening; respond, and question without
dominating the conversation. Aim to help the
subordinate better understand the subject of
the counseling, for example, duty performance,
a problem situation and its impact, or potential
areas for growth.
C-70. Both you and the subordinate should
provide examples or cite specific observations
to reduce the perception that either is unneces-
sarily biased or judgmental. However, when the
issue is substandard performance, you should
make clear how the performance didn't meet
the standard. The conversation, which should
be two-way, then addresses what the subordi-
nate needs to do to meet the standard. It's im-
portant that you define the issue as
substandard performance and don't allow the
C-14
subordinate to define the issue as an
unreasonable standard-unless you consider
the standard negotiable or are willing to alter
the conditions under which the subordinate
must meet the standard.
Develop a Plan of Action
C-71. A plan of action identifies a method for
achieving a desired result. It specifies what the
subordinate must do to reach the goals set dur-
ing the counseling session. The plan of action
must be specific: it should show the subordinate
how to modify or maintain his behavior. It
should avoid vague intentions such as "Next
month I want you to improve your land naviga-
tion skills." The plan must use concrete and di-
rect terms. For example, you might say: "Next
week you'll attend the map reading class with
1st Platoon. Mter the class, SGT Dixon will
coach you through the land navigation course.
He will help you develop your skill with the
compass. I will observe you going through the
course with SGT Dixon, and then I will talk to
you again and determine where and if you still
need additional training." A specific and achiev-
able plan of action sets the stage for successful
development.
Record and Close the Session
C-72. Although requirements to record coun-
seling sessions vary, a leader always benefits by
documenting the main points of a counseling
session. Documentation serves as a reference to
the agreed upon plan of action and the subordi-
nate's accomplishments, improvements, per-
sonal preferences, or problems. A complete
record of counseling aids in making recommen-
dations for professional development, schools,
promotions, and evaluation reports.
C-73. Additionally, Army regulations require
written records of counseling for certain per-
sonnel actions, such as a barring a soldier from
reenlisting, processing a soldier for administra-
tive separation, or placing a soldier in the over-
weight program. When a soldier faces
involuntary separation, the leader must take
special care to maintain accurate counseling
records. Documentation of substandard actions
conveys a strong corrective message to
subordinates.
FM 22-100

Developmental Counseling
C-74. To close the session, summarize its key
points and ask if the subordinate understands
the plan of action. Invite the subordinate to re-
view the plan of action and what's expected of
you, the leader. With the subordinate, establish
any follow-up measures necessary to support
the successful implementation of the plan of ac-
tion. These may include providing the subordi-
nate with resources and time, periodically
assessing the plan, and following through on re-
ferrals. Schedule any future meetings, at least
tentatively, before dismissing the subordinate.
FOLLOW UP
Leader's Responsibilities
C-75. The counseling process doesn't end with
the counseling session. It continues through
implementation of the plan of action and
evaluation of results. Mter counseling, you
must support subordinates as they implement
their plans of action. Support may include
teaching, coaching, or providing time and re-
sources. You must observe and assess this pro-
cess and possibly modify the plan to meet its
goals. Appropriate measures after counseling
include follow-up counseling, making referrals,
informing the chain of command, and taking
corrective measures.
Assess the Plan of Action
C-76. The purpose of counseling is to develop
subordinates who are better able to achieve per-
sonal, professional, and organizational goals.
During the assessment, review the plan of ac-
tion with the subordinate to determine if the
desired results were achieved. You and the sub-
ordinate should determine the date for this as-
sessment during the initial counseling session.
The assessment of the plan of action provides
useful information for future follow-up counsel-
ing sessions.
Open the Session
.Establish a relaxed environment. Explain to SFC Taylor that the more one discusses and under-
stands Army values and leader attributes, skills, and actions, the easier it is to develop and incor-
porate them into an individual leadership style.
.State the purpose of the counseling session. Explain that the initial counseling is based on leader
actions (what SFC Taylor needs to do to be a successful platoon sergeant) and not on profes-
sional developmental needs (what SFC Taylor needs to do to develop further as an NCO).
.Come to an agreement on the duty description, the meaning of each value and responsibility, and
the standards for success and excellence for each value and responsibility. Explain that subse-
quent counseling will focus on SFC Taylor's developmental needs as well as how well SFC Taylor
is meeting the jointly agreed upon performance objectives. Instruct SFC Taylor to perform a self-
assessment during the next quarter to identify his developmental needs.
.Ensure SFC Taylor knows the rating chain. Resolve any questions that SFC Taylor has about the
job. Discuss the team relationship that exists between a platoon leader and a platoon sergeant
and the importance of two-way communication between them.
Discuss the Issue
.Jointly review the duty description on the NCOER, including the maintenance, training, and taking
care of soldiers responsibilities. Mention that the duty description can be revised as necessary.
Highlight areas of special emphasis and appointed duties.
.Discuss the meaning of each value and responsibility on the NCOER. Discuss the values, attrib-
utes, skills, and actions outlined in FM 22-100. Ask open-ended questions to see if SFC Taylor
can relate these items to his role as a platoon sergeant.
Figure C-7. Example of a Counseling Session
Army Leadership C-15

Appendix C
.Explain that even though the developmental tasks focus on developing leader actions, character de-I
velopment forms the basis for leadership development. Character and actions can't be viewed as
separate; they're closely linked. In formulating the plan of action to accomplish major performancel
objectives, the proper values, attributes, and skills form the basis for the plan. As such, character de.!
velopment must be incorporated into the plan of action.
Assist in DevelopinQ a Plan of Action (DurinQ the CounselinQ Session)
.Ask SFC Taylor to identify actions that will facilitate the accomplishment of the major performance
objectives. Categorize each action into one of the values or responsibilities listed on the NCOER.
.Discuss how each value and responsibility applies to the platoon sergeant position. Discuss spe-
cific examples of success and excellence in each value and responsibility block. Ask SFC Taylor
for suggestions to make the goals more objective, specific, and measurable.
.Ensure that SFC Taylor has at least one example of a success or excellence bullet listed under
each value and responsibility.
.Discuss SFC Taylor's promotion goals and ask him what he considers to be his strengths and
weakness. Obtain copies of the last two master sergeant selection board results and match his
goals and objectives to these.
Close the Session
.Check SFC Taylor's understanding of the duty description and performance objectives.
.Stress the importance of teamwork and two-way communication.
.Ensure SFC Taylor understands that you expect him to assist in your development as a platoon
leader. This means that both of you have the role of teacher and coach.
.Remind SFC Taylor to perform a self-assessment during the next quarter.
.Set a tentative date during the next quarter for the routinely scheduled follow-up counseling.
Notes on Strategy
.Facilitate answering any questions SFC Taylor may have.
.Expect SFC Taylor to be uncomfortable with the terms and the developmental process; respond
in a way that encourages participation throughout the session.
Figure C-7. Example of a Counseling Session (continued)
SUMMARY
C-77. This appendix has discussed develop-
mental counseling. Developmental counseling
is subordinate-centered communication that
outlines actions necessary for subordinates to
achieve individual and organizational goals and
objectives. It can be either event-oriented or fo-
cused on personal and professional develop-
ment. Figure C-8 summarizes the major aspects
of developmental counseling and the counseling
process.
C-16 FM 22-100

Developmental Counseling
Leaders must demonstrate these quali-
ties to counsel effectively:
.Respect for subordinates.
.Self and cultural awareness.
.Credibility.
.Empathy.
Leaders must possess these counseling
skills: .Active listening.
.Responding.
.Questioning.
Effective leaders avoid common counsel-
ing mistakes. Leaders should avoid the
influence of-
.Personal bias.
.Rash judgments.
.Stereotyping.
.Losing emotional control.
.Inflexible counseling methods.
.Improper follow up.
The Counseling Process
1. Identify the need for counseling.
2. Prepare for counseling.
.Select a suitable place.
.Schedule the time.
.Notify the subordinate well in
advance.
.Organize information.
.Outline the components of the
counseling session.
.Plan counseling strategy.
.Establish the right atmosphere.
3. Conduct the counseling session.
.Open the session.
.Discuss the issue.
.Develop a plan of action (to in-
clude the leader's responsibili-
ties).
.Record and close the session.
4. Follow up.
.Support plan of action
mentation
.Assess the plan of action.
imple-
Figure C-8. A Summary of Developmental Counseling
THE DEVELOPMENTAL COUNSELING FORM
C-78. The Developmental Counseling Form
(DA Form 4856-E) is designed to help Army
leaders conduct and record counseling sessions.
Figure C-9 shows a completed DA Form 4856- E
documenting the counseling of a young soldier
with financial problems. While this is an exam-
ple of a derogatory counseling, you can see that
it is still developmental. Leaders must decide
when counseling, additional training,
rehabilitation, reassignment, or other develop-
mental options have been exhausted. If the pur-
pose of a counseling session is not
developmental, refer to paragraphs C-36 and
C-37. Figure C-I0 shows a routine perform-
ance/professional growth counseling for a unit
first sergeant. Figure C-ll shows a blank form
with instructions on how to complete each
block.
Army Leadership C-17

DEVELOPMENTAL COUNSELING FORM
Foruse of this form see FM 22-100
DATA REQUIRED BY THE PRIVACY ACT OF 1974
AUTHORITY: 5 USC 301, Departmental Regulations; 10 USC 3013, Secretary of the Army and E.O. 9397 (SSN)
PRINCIPAL PURPOSE: To assist leaders in conducting and recording counseling data pertaining to subordinates.
ROUTINE USES: For subordinate leader development lAW FM 22-100. Leaders should use this form as necessary.
DISCLOSURE: Disclosure is voluntary.
PART I -ADMINISTRATIVE DATA
Name (Last, First, MI)
I
Rank / Grade Social Security No.
I
Date of Counseling
Lloyd, Andrew PFC 123-45-6789 28 March 1997
Organization Name and Title of Counselor
2"dPlatoon, B Battery, 1 - 1 ADA Bn SGT Mark Levy, Squad Leader
PART II -BACKGROUND INFORMATION
Purpose of Counseling: (Leader states the reason for the counseling, e.g. performance/professional or event-
oriented counseling and includes the leader's facts and observations prior to the counseling):
The purpose of this counseling is to inform PFC Lloyd of his responsibility to manage his financial affairs and the
potential consequences of poorly managingfinances and to help PFC Lloyd develop a plan of action to resolve his
financial problems.
Facts: The battery commander received notice of delinquent payment on PFC Lloyd's Deferred Payment Plan (DPP).
A payment of$86.00 is 45 days delinquent
PART III -SUMMARY OF COUNSELING
Complete this section during or immediately subsequent to counseling.
Key Points of Discussion:
PFC Lloyd, late payments on a DPP account reflect a lack of responsibility and poor managing of finances. You should
know that the letter of lateness has been brought to the attention of the battery commander, the first sergeant, and the
platoon sergeant. They're all questioning your ability to manage your personal affairs. I also remind you that promotions
and awards are based more than on just performing MaS-related duties; soldiers must act professionally and responsibly
in all areas. Per conversation with PFC Lloyd, the following information was obtained:
He didn't make the DPP payment due to a lack of funds in his checking account. His most recent long distance phone bill
was over $220 due to calling his house concerning his grandmother's failing health. PFC Lloyd stated that he wanted to
pay for the phone calls himselfin order not to burden his parents with the expense of collect calls. He also stated that his
calling had tapered down considerably and he expects this month's phone bill to be approximately $50. We made an
appointment at A CS and A CS came up with the following information:
PFC Lloyd's monthly obligations: Car payment: $330
Car insurance: $138
Rent including utilities: $400
Other credit cards: $0
Total monthly obligations: $868.00
Monthly take-home pay: $1232.63
We discussed that with approximately $364 available for monthly living expenses, a phone bill in excess of $200 will
severely affect PFC Lloyd's financial stability and can't continue. We discussed the need for PFC Lloyd to establish a
savings account to help cover emergency expenses. PFC Lloyd agreed that his expensive phone bill and his inability to
make the DPP payment is not responsible behavior. He confirmed that he wants to get his finances back on track and
begin building a savings account.
OTHER INSTRUCTIONS
This form will be destroyed upon: reassignment (other than rehabilitative transfers), separation at ETS, or retirement. For
separation requirements and notification of loss of benefits/consequences, see local directives and AR 635-200.
Appendix C
DA FORM 4856-E, JUN 99 EDITION OF JUN 85 IS OBSOLETE
Figure C-9. Example of a Developmental Counseling Form-Event Counseling
C-18 FM 22-100

Developmental Counseling
Plan of Action: (Outlines actions that the subordinate will do after the counseling session to reach the agreed upon goals(s)
The actions must be specific enough to modify or maintain the subordinate's behavior and include a specific time line for
implementation and assessment (part IV below)).
Based on our discussion, PFC Lloyd will be able to resume normal payment on his DPP account next month (assuming that
his phone bill is approximately $50). PFC Lloyd agreed to contact the DPP office and provide a partial payment of$20
immediately. He agreed to exercise self-restraint and not make long distance calls asfrequently. He decided that his goal
is to make one ten-minute phone call every two weeks. He will write letters to express concern over his grandmother's
condition and ask his parents to do the same to keep him informed. His long-term goal is to establish a savings account
with a goal of contributing $50 a month.
PFC Lloyd also agreed to attend the check cashing class at ACS on 2, 9, and 16 April.
Assessment date: 27 June
Session Closing: (The leader summarizes the key points of the session and checks if the subordinate understands the plan
of action. The subordinate agrees/disagrees and provides remarks if appropriate).
Individual counseled: I agree/ cli31lgt'ee with the information above
Individual counseled remarks:
Signature ofIndividual Counseled: Andrew Llovd Date: 28 March 1997
Leader Responsibilities: (Leader's responsibilities in implementing the plan of action).
PFC Lloyd will visit the DPP office to make an immediate partial payment of$20 and will give me a copy of the receipt as
soon as the payment is made. PFC Lloyd will also provide me with a copy of the next month's phone bill and DPP payment
receipt.
PFC Lloyd's finances will be a key topic of discussion at his next monthly counseling session.
Signature of Counselor: Mark Levv Date: 28 March 1997
PART IV -ASSESSMENT OF THE PLAN OF ACTION
Assessment (Did the plan of action achieve the desired results? This section is completed by both the leader and the
individual counseled and provides useful information for follow-up counseling):
Counselor: Individual Counseled: Date of Assessment:
Note: Both the counselor and the individual counseled should retain a record ofthe counseling.
DA FORM 4856-E (Reverse)
Figure C-9 (continued). Example of a Developmental Counseling Form-Event Counseling
Army Leadership C-19

DEVELOPMENTAL COUNSELING FORM
Foruse of this form see FM 22-100
DATA REQUIRED BY THE PRIVACY ACT OF 1974
AUTHORITY: 5 USC 301, Departmental Regulations; 10 USC 3013, Secretary of the Army and E.O. 9397 (SSN)
PRINCIPAL PURPOSE: To assist leaders in conducting and recording counseling data pertaining to subordinates.
ROUTINE USES: For subordinate leader development lAW FM 22-100. Leaders should use this form as necessary.
DISCLOSURE: Disclosure is voluntary.
PART I -ADMINISTRATIVE DATA
Name (Last, First, MI)
I
Rank / Grade Social Security No.
I
Date of Counseling
McDonald, Stephen 1SG 333-33-3333 13 March 1998
Organization Name and Title of Counselor
D Company, 3-95" IN CPT Peterson, Company Commander
PART II -BACKGROUND INFORMATION
Purpose of Counseling: (Leader states the reason for the counseling, e.g. performance/professional or event-
oriented counseling and includes the leader's facts and observations prior to the counseling):
.Todiscuss dutyperformance for theperiod 19 Dec 97 to 11March 1998.
.To discuss short-range professional growth goalslplan for next year.
.Talk about long-range professional growth (2-5 years) goals.
PARTIII - SUMMARYOF COUNSELING
Complete this section during or immediately subsequent to counseling.
Key Points of Discussion:
.Performance (sustain):
.Emphasized safety and knowledge of demolition, tacticalproficiency on the Platoon Live Fire Exercises.
.Tookcharge of company defense during the last majorfield training exercise; outstanding integration and use of
engineer,heavy weapons, and air defense artillery assets. Superb execution of defensepreparations and execution.
.No dropped white cycle taskings.
.Goodjob coordinating with battalion adjutant on legal andpersonnel issues.
.Continue to take care of soldiers, keep the commander abreast of problems.
.Focused on subordinate NCO development; right manfor the rightjob.
Imvrove:
.Get NCODPs on the calendar.
.Hold NCOs to standard on sergeants time training.
OTHER INSTRUCTIONS
This form will be destroyed upon: reassignment (other than rehabilitative transfers), separation at ETS, or upon retirement. For
separation requirements and notification ofloss of benefits/consequences see local directives and AR 635-200.
Appendix C
DA FORM 4856-E, JUN 99 EDITION OF JUN 85 IS OBSOLETE
Figure C-10. Example of a Developmental Counseling Form-
Performance/Professional Growth Counseling
C-20 FM 22-100

Developmental Counseling
Plan of Action: (Outlines actions that the subordinate will do after the counseling session to reach the agreed upon goals(s)
The actions must be specific enough to modify or maintain the subordinate's behavior and include a specific time line for
implementation and assessment (part IV below)).
.Develovmental Plan (next vear):
.Develop a yearlong plan for NCODPs; coordinate to place on the calendar and training schedules.
.Resume civilian education; correspondence courses.
.Develop a company soldier of the month competition.
.Assist the company XO in modularizing the supply room for quick, efficient load-outs.
.Put in place a program to develop Ranger School candidates.
Lone-ranee eoals (2 to 5vears):
.Earn bachelor's degree.
.Attend and graduate the Sergeant Majors Academy.
Session Closing: (The leader summarizes the key points of the session and checks if the subordinate understands the plan
of action. The subordinate agrees/disagrees and provides remarks if appropriate).
Individual counseled: I agree/ cli31lgt'ee with the information above
Individual counseled remarks:
Signature ofIndividual Counseled: lSG McDonald Date: 13 March 1998
Leader Responsibilities: (Leader's responsibilities in implementing the plan of action).
.Coordinate with the 1SG on scheduling of NCODPs and soldier of the month boards.
.Have the XO meet with the 1SG on developing a plan for modularizing and improving the supply room.
.Provide time for Ranger candidate program.
Signature of Counselor: Mark Levv Date: 28 March 1997
PART IV -ASSESSMENT OF THE PLAN OF ACTION
Assessment (Did the plan of action achieve the desired results? This section is completed by both the leader and the
individual counseled and provides useful information for follow-up counseling):
1SG McDonald has enrolled in an associates degree program at the University of Kentucky. The supply room received all
green evaluations during the last command inspection. Five of seven Ranger applicants successfully completed Ranger
School, exceeding the overall course completion rate of39%. Monthly soldier of the month boards proved to be impractical
because of the OPTEMPO; however, the company does now hold quarterly boards during the white cycle. Brigade command
sergeant major commented favorably on the last company NCODP he attended and gave the instructor a brigade coin.
Counselor: CPT Peterson Individual Counseled: 1SG McDonald Date of Assessment: 1 Aue 98
Note: Both the counselor and the individual counseled should retain a record ofthe counseling.
DA FORM 4856-E (Reverse)
Figure C-10 (continued). Example of a Developmental Counseling Form-
Performance/Professional Growth Counseling
Army Leadership C-21

DEVELOPMENTAL COUNSELING FORM
Foruse of this form see FM 22-100
DATA REQUIRED BY THE PRIVACY ACT OF 1974
AUTHORITY: 5 USC 301, Departmental Regulations; 10 USC 3013, Secretary of the Army and E.O. 9397 (SSN)
PRINCIPAL PURPOSE: To assist leaders in conducting and recording counseling data pertaining to subordinates.
ROUTINE USES: For subordinate leader development lAW FM 22-100. Leaders should use this form as necessary.
DISCLOSURE: Disclosure is voluntary.
PART I -ADMINISTRATIVE DATA
Name (Last, First, MI)
I
Rank / Grade Social Security No.
I
Date of Counseling
Organization Name and Title of Counselor
PART II -BACKGROUND INFORMATION
Purpose of Counseling: (Leader states the reason for the counseling, e.g. performance/professional or event-
oriented counseling and includes the leader's facts and observations prior to the counseling):
See paragraph C-68, Open the Session
The leader should annotate pertinent, specific, and objective facts and observations made. If applicable, the leader
and subordinate start the counseling session by reviewing the status of the previous plan of action.
PART III - SUMMARY OF COUNSELING
Complete this section during or immediately subsequent to counseling.
Key Points of Discussion:
See paragraphs C-69 and C-70, Discuss the Issues.
The leader and subordinate should attempt to develop a mutual understanding of the issues. Both the leader and the
subordinate should provide examples or cite specific observations to reduce the perception that either is unnecessarily
biased or judgmental.
OTHER INSTRUCTIONS
This form will be destroyed upon: reassignment (other than rehabilitative transfers), separation at ETS, or upon retirement. For
separation requirements and notification of loss of benefits/consequences see local directives and AR 635-200.
Appendix C
DA FORM 4856-E, JUN 99 EDITION OF JUN 85 IS OBSOLETE
Figure C-11. Guidelines on Completing a Developmental Counseling Form
C-22 FM 22-100

Developmental Counseling
Plan of Action: (Outlines actions that the subordinate will do after the counseling session to reach the agreed upon goals(s)
The actions must be specific enough to modify or maintain the subordinate's behavior and include a specific time line for
implementation and assessment (part IV below)).
See paragraph C-71, Develop a Plan of Action
The plan of action specifies what the subordinate must do to reach the goals set during the counseling session. The plan of
action must be specific and should contain the outline, guideline(s), and time line that the subordinate follows. A specific
and achievable plan of action sets the stage for successful subordinate development.
Remember, event-oriented counseling with corrective training as part of the plan of action can't be tied to a specified time
frame. Corrective training is complete once the subordinate attains the standard.
Session Closing: (The leader summarizes the key points of the session and checks if the subordinate understands the plan
of action. The subordinate agrees/disagrees and provides remarks if appropriate).
Individual counseled: I agree/ disagree with the information above
Individual counseled remarks:
See paragraph C-72 through C-74, Close the Session
Signature ofIndividual Counseled: Date:
Leader Responsibilities: (Leader's responsibilities in implementing the plan of action).
See paragraph C76, Leader's Responsibilities
To accomplish the plan of action, the leader must list the resources necessary and commit to providing them to the soldier.
Signature of Counselor: Date:
PART IV -ASSESSMENT OF THE PLAN OF ACTION
Assessment (Did the plan of action achieve the desired results? This section is completed by both the leader and the
individual counseled and provides useful information for follow-up counseling):
The assessment of the plan of action provides useful information for future follow-up counseling. This block should be
completed prior to the start of afollow-up counseling session. During an event-oriented counseling session, the counseling
session is not complete until this block is completed.
During performancelprofessional growth counseling, this block serves as the starting point for future counseling sessions.
Leaders must remember to conduct this assessment based on resolution of the situation or the established time line
discussed in the plan of action block above.
Counselor: Individual Counseled: Date of Assessment:
Note: Both the counselor and the individual counseled should retain a record ofthe counseling.
DA FORM 4856-E (Reverse)
Figure C-11 (continued). Guidelines on Completing a Developmental Counseling Form
Army Leadership C-23

Appendix D
A Leader Plan of Action and the ECAS
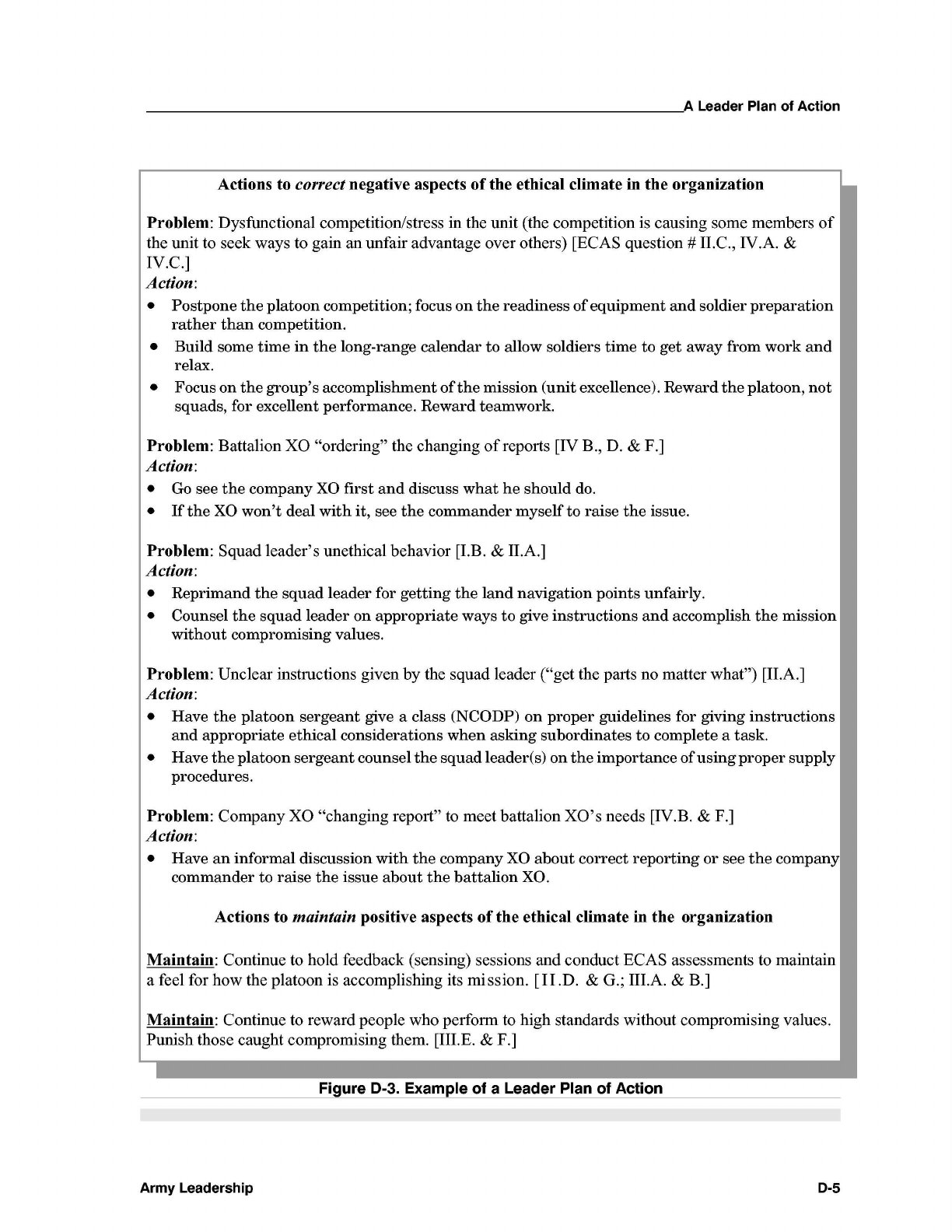
D-l. By completing a set of tasks (shown in Fig-
ure D-1), leaders can improve, sustain, or rein-
force a standard of performance within their
organizations. Leaders may complete some or
all of the sub-tasks shown in Figure D-1, de-
pending on the situation.
D-2. A leader plan of action (developed in step
3) identifies specific leader actions necessary to
achieve improvement. It is similar to the indi-
vidual plan of action that Appendix C discusses.
2 41
B
.
Observe
.
Interact
.
Gather
subordinate
input
.
Obtain
peer
input
3
Analyze Develop Plan of Action
(improve/maintain) Execute Plan
of Action
. . .
+- Reassess +-
Figure D-1. The Leader Plan of Action Development Process
Identify Problems .Develop
COAs
- Gather information
- Limitations/risk
- Resources
-Key personnel
- Facts/assumptions
.Predictoutcomes
.Select COAs
+
D-3. Begin your plan of action by assessing
your unit (Step 1). Observe, interact, and
gather feedback from others; or conduct formal
assessments of the workplace. Then analyze
the information you gathered to identify what
needs improvement (Step 2). Once you have
identified what needs improvement, begin to
develop courses of action to make the
improvements.
D-4. In Step 3, you develop your plan of action.
First, develop and consider several possible
courses of action to correct the weaknesses you
identified. Gather important information, as-
sess the limitations and risks associated with
the various courses, identify available key per-
sonnel and resources, and verify facts and as-
sumptions. Attempt to predict the outcome for
each possible course of action. Based on your
predictions, select several leader actions to deal
with the problems.
Army Leadership
.
Educate/Counsel
Subordinates
.Institute
Procedures
.Reward/Punish
Improve/Maintain
+
D-5. Execute your plan of action (Step 4) by
educating, training, or counseling your subordi-
nates; instituting new policies or procedures;
and revising or enforcing proper systems of re-
wards and punishment. Your organization
moves towards excellence by improving sub-
standard or weak areas and maintaining condi-
tions that meet or exceed the standard. Finally,
periodically reassesses your unit to identify new
matters of concern or to evaluate the effective-
ness of the leader actions.
D-6. You can use this process for many areas of
interest within your organization. A case study
demonstrating how to use an ECAS to prepare
a leader plan of action follows. It includes a de-
scription of how one leader gathered informa-
tion to complete the survey. (You can obtain the
form used to conduct an ECAS through Train-
ing Support Centers by ordering GTA 22-6-1.)
D-1

Appendix D
PREPARATION OF AN ECAS
D-7. 2LT Christina Ortega has been a military
police platoon leader for almost eight months.
When she first came to the platoon, it was a
well-trained, cohesive group. Within two
months of her taking charge, she and her
platoon deployed on a six-month rotation to
support operations in Bosnia. The unit per-
formed well, and she quickly earned a reputa-
tion as a leader with high standards for herself
and her unit. Now redeployed, she must have
her platoon ready in two months for a rotation
at the Combat Maneuver Training Center
(CMTC). She realizes that within that time she
must get the unit's equipment ready for deploy-
ment, train her soldiers on different missions
they will encounter at the CMTC, and provide
them some much needed and deserved time off.
D-8. As 2L T Ortega reflects on her first eight
months of leadership, she remembers how she
took charge of the platoon. She spoke individu-
ally with the leaders in the platoon about her
expectations and gathered information about
her subordinates. She stayed up all night com-
pleting the leadership philosophy memoran-
dum that she gave to every member of her
platoon. Mter getting her feet on the ground
and getting to know her soldiers, she assessed
the platoon's ethical climate using the ECAS.
Her unit's overall ECAS score was very good.
She committed herself to maintaining that
positive ethical climate by continuing the estab-
lished policies and by monitoring the climate
periodically.
D-9. Having completed a major deployment
and received a recent influx of some new
soldiers, 2LT Ortega decides to complete an-
other ECAS. She heads to the unit motor pool to
observe her soldiers preparing for the next
day's training exercise. The platoon is deploy-
ing to the local training area for the "best
squad" competition prior to the ARTEP evalua-
tion at the CMTC. "The best squad competition
has really become a big deal in the company,"
she thinks. "Squad rivalry is fierce, and the
squad leaders seem to be looking for an edge so
they can come out on top and win the weekend
pass that goes to the winning squad."
D-2
D-IO. She talks to as many of her soldiers as
she can, paying particular attention to the new-
est members of the unit. One new soldier, a ve-
hicle driver for SSG Smith, the 2nd Squad
Leader, appears very nervous and anxious.
During her conversation with the soldier, 2LT
Ortega discovers some disturbing information.
D-l1. The new soldier, PFC O'Brien, worries
about his vehicle's maintenance and readiness
for the next day. His squad leader has told him
to "get the parts no matter what." PFC O'Brien
says that he admires SSG Smith because he re-
alizes that SSG Smith just wants to perform
well and keep up the high standards of his pre-
vious driver. He recounts that SSG Smith has
vowed to win the next day's land navigation
competition. "SSG Smith even went so far as to
say that he knows we'll win because he already
knows the location of the points for the course.
He saw them on the XO's desk last night and
wrote them on his map."
D-12. 2LT Ortega thanks the soldier for talk-
ing honestly with her and immediately sets him
straight on the proper and improper way to get
repair parts. By the time she leaves, PFC
O'Brien knows that 2LT Ortega has high stan-
dards and will not tolerate improper means of
meeting them. Meanwhile, 2LT Ortega heads
back toward the company headquarters to find
the XO.
D-13. She finds the XO busily scribbling num-
bers and dates on pieces of paper. He is obvi-
ously involved and frantic. He looks up at her
and manages a quick "Hi, Christina," before re-
turning to his task. The battalion XO appar-
ently did not like the way the unit status report
(USR) portrayed the status of the maintenance
in the battalion and refused to send that report
forward. Not completely familiar with the USR,
2L T Ortega goes to the battalion motor officer
to get some more information. Mter talking to a
few more people in her platoon, 2L T Ortega
completes the ECAS shown in Figure D-2.
FM 22-100

A Leader Plan of Action
GTA 22-6-1
i\tOnl1\ental Flff:
«;~-I tAlssiOIJ 10".. E
./, ".og.1 No"o ~ thi cal
Deadlines vO ~:f'"2 "Zero Defeeb"
~~ °11\ C
$"limate
Action.oC 4ETHICAL
+=-=
UnitsIWorkpla..
UnitLead.n ~CLIMATE ;Polici...ndProe.dures Assessment
~'" 4
~
~~C",,, is"",~
#' ~
Limited TCompetition
""'0.""," l1ual Ch8' Survey
Stre..
An ethical climate is one in which our stated Army values are routinely
articulated, supported, practiced and respected. The Ethical Climate of an
organization is determined by a variety of factors, including the individual
character of unit members, the policies and practices within the
organization, the actions of unit leaders, and environmental and mission
factors. Leaders should periodically assess their unit's ethical climate and
take appropriate actions to maintain the high ethical standards expected of
all Army organizations. This survey will assist you in making these
assessments and in identifying the actions necessary to accomplish this
vital leader function. FM 22-100, Army Leadership, provides specific
leader actions necessary to sustain or improve your ethical climate, as
necessary.
DISTRIBUTION RESTRICTION STATEMENT:
Approved for public release: distribution is unlimited
References: FM 22-100
DISTRIBUTION: U.S. Army Training Support Centers (TSCs)
HEADQUARTERS, DEPARTMENT OF THE ARMY
OCTOBER 1997
E. We maintain an organizational creed, motto, and/or philosophy that
is consistent with Army values.
F. We submit unit reports that reflect accurate information.
G We ensure unit members are aware of, and are comfortable using, the
various channels available to report unethical behavior.
H. We treat fairly those individnals in our unit who report unethical
behavior.
I. We hold accountable (Le., report and/or punish) members of our
organization who behave unethically.
Section II Total
*Use the following scale for questions in Section III.
Ne;,:,
----~i:V~- - - _s~m~~~
---~os~~~~ ---~7YS
I
III. Unit Leader Actions -"What do I do?" This section focuses on
what you do as the leader of your organization to encourage an ethical climate.
A. I discuss Army values in orientation programs when I welcome new
members to my organization.
B. I routinely assess the ethical climate of my unit (i.e., sensing sessions,
climate surveys, etc.).
C. I communicate my expectations regarding ethical behavior in my unit,
and require subordinates to perform tasks in an ethical manner.
D. I encourage discussions of ethical issues in After Action Reviews,
training meetings, seminars, and workshops.
E. I encourage unit members to raise ethical questions and concerns to the
chain of command or other individnals, if needed (i.e., chaplain, 14 etc.). 2
F. I consider ethical behavior in performance evaluations, award and 4
promotion recommendations, and adverse personnel actions.
G I include maintaining a strong ethical climate as one of my unit's goals
and objectives.
Section III Total
INSTRUCTIONS
Answer the questions in this survey according to how you currently perceive your
unit and your own leader actions, NOT according to how you would prefer them to
be or how you think they should be. This information is for your use, (not your
chain of command's) to determine if you need to take action to improve the Ethical
Climate in your organization. Use the following scale for all questions in Sections I
and II.
Strongly Neither Agree Strongly
Disagree Disagree nor Disagree Agree Agree
1'2 3 4 5
I. Individual Character -"Who are we?" This section focuses on your
organization's members' commitment to Army values. Please answer the following
questions based on your observations of the ethical commitment in your unit.
(This means your immediate unit. If you are a squad leader, it means you and your
squad. If you are a civilian supervisor, it means you and your section.)
A. In general, the members of my unit demonstrate a commitment to
Army values (honor, selfless service, integrity, loyalty, courage, duty
and respect).
B. The members of my unit typically accomplish a mission by "doing the
right thing" rather than compromising Army values.
C. I understand, and I am committed to, the Army's values as outlined in
FM 22-100, Armv LeadershiD.
4
Section I Total
2
5
11
II. Unit/Workplace Policies & Practices -"What do we do?"
This section focuses on what you, and the leaders wbo report to you, do to
maintain an ethical climate in your workplace. (This does not mean your superiors.
Their actions will be addressed in Section IV).
A. We provide clear instructions which help prevent unethical behavior.
B. We promote an environment in which subordinates can leam ftom their
mistakes.
C. We maintain appropriate, not dysfunctional, levels of stress and
competition in our unit.
D. We discuss ethical behavior and issues during regular counseling
sessions. ~
4
-1.
4
IV, Environmental/Mission Factors -"What surrounds us?"
This section focuses on the external environment SUITOunding your organization.
Answer the following questions to assess the impact of these factors on the ethical
behavior in your organization.
Use the following scale for all questions in Section IV. ***Note: the scale is
reversed for this section (Strongly Agree is scored as a "I", not a "5") ***
2
4
31
Strongly Neither Agree Strongly
Agree Agree nor Disagree Disagree Disagree
1 2 3 4 5
A. My unit is currently under an excessive amount of stress (i.e., inspections,
limited resources, ftequent deployments, training events, deadlines, etc.).
B. My higher unit leaders foster a 'zero defects' outlook on performance,
such that they do not tolerate mistakes.
C. My higher unit leaders over-emphasize competition between units.
D. My higher unit leaders appear to be unconcerned with unethical behavior
as long as the mission is accomplished.
E. I do not feel comfortable bringing up ethical issues with my supervisors.
F. My peers in my unit do not seem to take ethical behavior very seriously.
Section IV Total
2
5
"'1
11
1
1
5
..Q
2Place the Total Score from each section in the spaces below:
(A score of 1 or 2 on any question requires some immediate leader action.)
Section I -Individual Character Total Score ~
l.L
32
:r=r-
-1. Section II -Leader Action Total Score
Section III -Unit Policies and Procedures Total Score
Section IV -Environmental/Mission Factors Total Score
~
32
IECAS Total Socre (I + II + III + IV) ~
25 -75
Take Immediate Action to
Improve Ethical Climate
76-100
Take Actions to Improve
Ethical Climate
101 -125
Maintain a Healthy
Ethical Climate
Figure D-2. Example of an Ethical Climate Assessment Survey
Army Leadership D-3

Appendix D
PREPARATION OF A LEADER PLAN OF ACTION
D-14. 2LT Ortega looks at her ECAS score and
determines that she needs to take action to im-
prove the ethical climate in her platoon. To help
determine where she should begin, 2L T Ortega
looks at the scores for each question. She knows
that any question receiving a" 1" or "2" must be
addressed immediately in her plan of action. As
2L T Ortega reviews the rest of the scores for
her unit, she identifies additional problems to
correct. Furthermore, she decides to look at a
few actions in which her unit excels and to de-
scribe ways to sustain the performance. As she
continues to develop the leader plan of action,
she looks at each subject she has identified. She
next develops the plan shown in Figure D-3 to
correct the deficiencies. At the bottom of the
form, she lists at least two actions she plans to
take to maintain the positive aspects of her pla-
toon's ethical climate.
D-15. 2LT Ortega has already completed the
first three steps (assess, analyze, and develop a
plan of action) specified in Figure D-l. When she
takes action to implement the plan she will have
completed the process. She must then follow up
to ensure her actions have the effects she
intended.
D-4 FM 22-100

A Leader Plan of Action
Actions to correct negative aspects of the ethical climate in the organization
Problem: Dysfunctional competition/stress in the unit (the competition is causing some members of
the unit to seek ways to gain an unfair advantage over others) [ECAS question # II.C., IV.A. &
IV.C.]
Action:
.Postpone the platoon competition; focus on the readiness of equipment and soldier preparation
rather than competition.
.Build some time in the long-range calendar to allow soldiers time to get away from work and
relax.
.Focus on the group's accomplishment of the mission (unit excellence). Reward the platoon, not
squads, for excellent performance. Reward teamwork.
Problem: Battalion XO "ordering" the changing of reports [IV B., D. & F.]
Action:
.Go see the company XO first and discuss what he should do.
.If the XO won't deal with it, see the commander myself to raise the issue.
Problem: Squad leader's unethical behavior [I.B. & II.A.]
Action:
.Reprimand the squad leader for getting the land navigation points unfairly.
.Counsel the squad leader on appropriate ways to give instructions and accomplish the mission
without compromising values.
Problem: Unclear instructions given by the squad leader ("get the parts no matter what") [II.A.]
Action:
.Have the platoon sergeant give a class (NCODP) on proper guidelines for giving instructions
and appropriate ethical considerations when asking subordinates to complete a task.
.Have the platoon sergeant counsel the squad leader(s) on the importance of using proper supply
procedures.
Problem: Company XO "changing report" to meet battalion XO's needs [IV.B. & F.]
Action:
.Have an informal discussion with the company XO about correct reporting or see the company
commander to raise the issue about the battalion XO.
Actions to maintain positive aspects of the ethical climate in the organization
Maintain: Continue to hold feedback (sensing) sessions and conduct ECAS assessments to maintain
a feel for how the platoon is accomplishing its mission. [II.D. & G.; III.A. & B.]
Maintain: Continue to reward people who perform to high standards without compromising values.
Punish those caught compromising them. [III.E. & F.]
Figure D-3. Example of a Leader Plan of Action
Army Leadership D-5

Appendix E
Character Development
E-l. Everyone who becomes part of America's
Army, soldier or DA civilian, has character. On
the day a person joins the Army, leaders begin
building on that character. Army values em-
phasize the relationship between character
and competence. Although competence is a
fundamental attribute of Army leaders,
character is even more critical. This appendix
discusses the actions Army leaders take to de-
velop their subordinates' character.
E-2. Army leaders are responsible for refining
the character of soldiers and DA civilians. How
does the Army as an institution ensure proper
character development? What should leaders
do to inculcate Army values in their
subordinates?
E-3. Leaders teach Army values to every new
member of the Army. Together with the leader
attributes described in Chapter 2, Army values
establish the foundation ofleaders of character.
Once members learn these values, their leaders
ensure adherence. Adhering to the principles
Army values embody is essential, for the Army
cannot tolerate unethical behavior. Unethical
behavior destroys morale and cohesion; it
undermines the trust and confidence essential
to teamwork and mission accomplishment.
E-4. Ethical conduct must reflect beliefs and
convictions, not just fear of punishment. Over
time, soldiers and DA civilians adhere to Army
values because they want to live ethically and
profess the values because they know it's right
to do so. Once people believe and demonstrate
Army values, they are persons of character. Ul-
timately, Army leaders are charged with the
with the essential role of developing character
in others. Figure E-l shows the leader actions
that support character development.
Shaping the organization's /
ethical climate) Internalization::>
/Believe
Reinforcing Army Values and r--
LdDlLeader Attributes) Reinforcement >
ea ers eve op I..
Character by ... '==- Comply
Education >Learn
Subordinates
Teaching Army Values)
and Demonstrating Attributes
Figure E-1. Character Development
Army Leadership E-1

Appendix E
LEADERS TEACH VALUES;
SUBORDINATES LEARN THE
CULTURE
E-5. Army leaders must teach their sub-
ordinates moral principles, ethical theory,
Army values, and leadership attributes.
Through their leaders' programs, soldiers and
DA civilians develop character through educa-
tion, experience, and reflection. By educating
their subordinates and setting the example,
Army leaders enable their subordinates to
make ethical decisions that in turn contribute
to excellence. Subordinates gain deeper
understanding from experiencing, observing,
and reflecting on the aspects of Army leader-
ship under the guidance of their leaders.
E-6. Inculcating Army values doesn't end with
basic training. All Army leaders should seek to
deepen subordinates' understanding of the
ethical aspects of character through classes, in-
formal discussions, one-on-one coaching, and
formal developmental counseling. Army lead-
ers can also improve their own understanding
through study, reflection, and discussions with
peers and superiors.
LEADERS REINFORCE VALUES;
SUBORDINATES COMPLY
E-7. Leaders reinforce and discipline behavior
to guide subordinates' development. To help
subordinates live according to Army values,
leaders enforce rules, policies, and regulations.
Still, soldiers and DA civilians of character do
more than merely comply with established in-
stitutional rules. Acting correctly but without
complete understanding or sound motivation is
not good enough in America's values-based
Army. People of character behave correctly
through correct understanding and personal
desire. Understanding comes from training and
self-development. Personal desire comes from a
person's realization that Army values are
worth adopting and living by and from that per-
son's decision to do just that.
E-8. Character stems from a thorough
understanding of Army values; however, this
understanding must go beyond knowing the
one-line definitions. Individuals must also
E-2
know why Army values are important and how
to apply them to everyday Army life. Leaders
can promote Army values by setting the exam-
ple themselves and pointing out other examples
of Army values in both normal and exceptional
activities. Army leaders can use unit histories
and traditions, prominent individuals, and re-
cent events to bring Army values to life and ex-
plain why adhering to them is important.
LEADERS SHAPE THE ETHICAL
CLIMATE; SUBORDINATES
INTERNALIZE ARMY VALUES
E-9. Doing the right thing is good. Doing the
right thing for the right reason and with the
right intention is better. People of character
must possess the desire to act ethically in all
situations. One of the Army leader's primary
responsibilities is to maintain an ethical
climate that supports development of such a
character. When an organization's ethical
climate nurtures ethical behavior, over time,
people think, feel, and act ethically-they inter-
nalize the aspects of sound character.
E-IO. Leaders should influence others'
character development and foster correct ac-
tions through role modeling, teaching, and
coaching. Army leaders seek to build a climate
in which subordinates and organizations can
reach their full potential. Together, these
actions promote organizational excellence.
E-l1. Army leaders can use the ECAS to assess
ethical aspects of their own character and ac-
tions, the workplace, and the external environ-
ment. Once they have done their assessment,
leaders prepare and carry out a plan of action.
The plan of action focuses on solving ethical
problems within the leaders' span of influence;
leaders pass ethical problems they cannot
change to higher headquarters. E-12. Becoming
a person of character and a leader of character
is a career-long process involving both self-
development and developmental counseling.
While individuals are responsible for their own
character development, leaders are responsible
for encouraging, supporting, and assessing the
efforts of their subordinates. Leaders of charac-
ter can develop only through continual study,
reflection, experience, and feedback.
FM 22-100

Appendix F
The Constitution of the United States
As a member of the Army, you have taken an oath to "support and defend the Constitution of the United
States against all enemies, foreign and domestic [and to] bear true faith and allegiance to the same." But
what is this document that you have sworn to protect? In essence, the Constitution is a blueprint
establishing the powers and responsibilities of the three branches of the United States government as
well as the rights of American citizens. Especially important for the Army are those provisions in the
Constitution that place fundamental military authority in Congress and the president. As part of that
authority, Congress has the power to "provide for the common Defense," which includes the power to
"raise and support Armies," and the president is the commander in chief of the armed forces. So the
Constitution establishes the critical principle that America's military leaders are subordinate to the
nation's civilian authorities. Given the importance of that concept to our system of government, this
appendix contains a copy of the US Constitution. As you read it, you will see that, although the
Constitution was written over 200 years ago, it remains relevant today for Army leaders and all
Americans.
THE PREAMBLE
We the People of the United States, in Or-
der to form a more perfect Union, establish Jus-
tice, insure domestic Tranquility, provide for
the common defence, promote the general
Welfare, and secure the Blessings of Liberty to
ourselves and our Posterity, do ordain and es-
tablish this Constitution for the United States
of America.
THE CONSTITUTION
ARTICLE I
Section 1
All legislative Powers herein granted shall
be vested in a Congress of the United States,
which shall consist of a Senate and House of
Representatives.
Section 2
The House of Representatives shall be com-
posed of Members chosen every second Year by
the People of the several States, and the Elec-
tors in each State shall have the Qualifications
requisite for Electors of the most numerous
Branch of the State Legislature.
No Person shall be a Representative who shall
not have attained to the Age of twenty five
Years, and been seven Years a Citizen of the
United States, and who shall not, when elected,
Army Leadership
be an Inhabitant of that State in which he shall
be chosen.
Representatives and direct Taxes shall be
apportioned among the several States which
may be included within this Union, according to
their respective Numbers, which shall be deter-
mined by adding to the whole Number of free
Persons, including those bound to Service for a
Term of Years, and excluding Indians not
taxed, three fifths of all other Persons. The ac-
tual Enumeration shall be made within three
Years after the first Meeting of the Congress of
the United States, and within every subsequent
Term of ten Years, in such Manner as they shall
by Law direct. The Number of Representatives
shall not exceed one for every thirty Thousand,
but each State shall have at Least one Repre-
sentative; and until such enumeration shall be
made, the State of New Hampshire shall be
F-1

Appendix F
entitled to chuse three, Massachusetts eight,
Rhode- Island and Providence Plantations one,
Connecticut five, New-York six, New Jersey
four, Pennsylvania eight, Delaware one, Mary-
land six, Virginia ten, North Carolina five,
South Carolina five, and Georgia three.
When vacancies happen in the Representation
from any State, the Executive Authority thereof
shall issue Writs of Election to fill such Vacancies.
The House of Representatives shall chuse
their Speaker and other Officers; and shall have
the sole Power of Impeachment.
Section 3
The Senate of the United States shall be
composed of two Senators from each State, cho-
sen by the Legislature thereof, for six Years;
and each Senator shall have one Vote.
Immediately after they shall be assembled
in Consequence of the first Election, they shall
be divided as equally as may be into three
Classes. The Seats of the Senators of the first
Class shall be vacated at the Expiration of the
second Year, of the second Class at the Expira-
tion of the fourth Year, and of the third Class at
the Expiration of the sixth Year, so that one
third may be chosen every second Year; and if
Vacancies happen by Resignation, or otherwise,
during the Recess of the Legislature of any
State, the Executive thereof may make tempo-
rary Appointments until the next Meeting of
the Legislature, which shall then fill such Va-
canCIes.
No Person shall be a Senator who shall not
have attained to the Age of thirty Years, and
been nine Years a Citizen of the United States,
and who shall not, when elected, be an Inhabi-
tant of that State for which he shall be chosen.
The Vice President of the United States
shall be President of the Senate, but shall have
no Vote, unless they be equally divided.
The Senate shall chuse their other Officers,
and also a President pro tempore, in the Ab-
sence of the Vice President, or when he shall ex-
ercise the Office of President of the United
States.
The Senate shall have the sole Power to try
all Impeachments. When sitting for that Pur-
pose, they shall be on Oath or Affirmation.
When the President of the United States is
tried, the Chief Justice shall preside: And no
Person shall be convicted without the Concur-
rence of two thirds of the Members present.
Judgment in Cases of Impeachment shall
not extend further than to removal from Office,
and disqualification to hold and enjoy any Of-
fice of honor, Trust or Profit under the United
States: but the Party convicted shall neverthe-
less be liable and subject to Indictment, Trial,
Judgment and Punishment, according to Law.
Section 4
The Times, Places and Manner of holding
Elections for Senators and Representatives,
shall be prescribed in each State by the Legisla-
ture thereof; but the Congress may at any time
by Law make or alter such Regulations, except
as to the Places of chusing Senators.
The Congress shall assemble at least once
in every Year, and such Meeting shall be on the
first Monday in December, unless they shall by
Law appoint a different Day.
Section 5
Each House shall be the Judge of the Elec-
tions, Returns and Qualifications of its own
Members, and a Majority of each shall consti-
tute a Quorum to do Business; but a smaller
Number may adjourn from day to day, and may
be authorized to compel the Attendance of ab-
sent Members, in such Manner, and under such
Penalties as each House may provide.
Each House may determine the Rules of its
Proceedings, punish its Members for disorderly
Behaviour, and, with the Concurrence of two
thirds, expel a Member.
Each House shall keep a Journal of its Pro-
ceedings, and from time to time publish the
same, excepting such Parts as may in their
Judgment require Secrecy; and the Yeas and
Nays of the Members of either House on any
question shall, at the Desire of one fifth of those
Present, be entered on the Journal.
F-2 FM 22-100

The Constitution of the United States
Neither House, during the Session of Con-
gress, shall, without the Consent of the other,
adjourn for more than three days, nor to any
other Place than that in which the two Houses
shall be sitting.
Section 6
The Senators and Representatives shall re-
ceive a Compensation for their Services, to be
ascertained by Law, and paid out of the Treas-
ury of the United States. They shall in all
Cases, except Treason, Felony and Breach of
the Peace, be privileged from Arrest during
their Attendance at the Session of their respec-
tive Houses, and in going to and returning from
the same; and for any Speech or Debate in ei-
ther House, they shall not be questioned in any
other Place.
No Senator or Representative shall, during
the Time for which he was elected, be appointed
to any civil Office under the Authority of the
United States, which shall have been created,
or the Emoluments whereof shall have been en-
creased during such time; and no Person hold-
ing any Office under the United States, shall be
a Member of either House during his Continu-
ance in Office.
Section 7
All Bills for raising Revenue shall originate
in the House of Representatives; but the Senate
may propose or concur with Amendments as on
other Bills.
Every Bill which shall have passed the
House of Representatives and the Senate, shall,
before it become a Law, be presented to the
President of the United States; Ifhe approve he
shall sign it, but if not he shall return it, with
his Objections to that House in which it shall
have originated, who shall enter the Objections
at large on their Journal, and proceed to recon-
sider it. If after such Reconsideration two
thirds of that House shall agree to pass the Bill,
it shall be sent, together with the Objections, to
the other House, by which it shall likewise be
reconsidered, and if approved by two thirds of
that House, it shall become a Law. But in all
such Cases the Votes of both Houses shall be de-
termined by Yeas and Nays, and the Names of
the Persons voting for and against the Bill shall
Army Leadership
be entered on the Journal of each House respec-
tively. If any Bill shall not be returned by the
President within ten Days (Sundays excepted)
after it shall have been presented to him, the
Same shall be a Law, in like Manner as if he had
signed it, unless the Congress by their Adjourn-
ment prevent its Return, in which Case it shall
not be a Law.
Every Order, Resolution, or Vote to which
the Concurrence of the Senate and House of
Representatives may be necessary (except on a
question of Adjournment) shall be presented to
the President of the United States; and before
the Same shall take Effect, shall be approved by
him, or being disapproved by him, shall be re-
passed by two thirds of the Senate and House of
Representatives, according to the Rules and
Limitations prescribed in the Case of a Bill.
Section 8
The Congress shall have Power To lay and
collect Taxes, Duties, Imposts and Excises, to
pay the Debts and provide for the common De-
fence and general Welfare of the United States;
but all Duties, Imposts and Excises shall be uni-
form throughout the United States;
To borrow Money on the credit of the
United States;
To regulate Commerce with foreign N a-
tions, and among the several States, and with
the Indian Tribes;
To establish an uniform Rule of Naturaliza-
tion, and uniform Laws on the subject of Bank-
ruptcies throughout the United States;
To coin Money, regulate the Value thereof,
and of foreign Coin, and fix the Standard of
Weights and Measures;
To provide for the Punishment of counter-
feiting the Securities and current Coin of the
United States;
To establish Post Offices and post Roads;
To promote the Progress of Science and
useful Arts, by securing for limited Times to
Authors and Inventors the exclusive Right to
their respective Writings and Discoveries;
F-3

Appendix F
To constitute Tribunals inferior to the su-
preme Court;
To define and punish Piracies and Felonies
committed on the high Seas, and Offences
against the Law of Nations;
To declare War, grant Letters of Marque
and Reprisal, and make Rules concerning Cap-
tures on Land and Water;
To raise and support Armies, but no Appro-
priation of Money to that Use shall be for a
longer Term than two Years;
To provide and maintain a Navy;
To make Rules for the Government and
Regulation of the land and naval Forces;
To provide for calling forth the Militia to
execute the Laws of the Union, suppress Insur-
rections and repel Invasions;
To provide for organizing, arming, and dis-
ciplining, the Militia, and for governing such
Part of them as may be employed in the Service
of the United States, reserving to the States re-
spectively, the Appointment of the Officers, and
the Authority of training the Militia according
to the discipline prescribed by Congress;
To exercise exclusive Legislation in all
Cases whatsoever, over such District (not ex-
ceeding ten Miles square) as may, by Cession of
particular States, and the Acceptance of Con-
gress, become the Seat of the Government of
the United States, and to exercise like Author-
ity over all Places purchased by the Consent of
the Legislature of the State in which the Same
shall be, for the Erection of Forts, Magazines,
Arsenals, dock-Yards, and other needful Build-
ings;-And
To make all Laws which shall be necessary
and proper for carrying into Execution the
foregoing Powers, and all other Powers vested
by this Constitution in the Government of the
United States, or in any Department or Officer
thereof.
Section 9
The Migration or Importation of such Per-
sons as any of the States now existing shall
think proper to admit, shall not be prohibited
F-4
by the Congress prior to the Year one thousand
eight hundred and eight, but a Tax or duty may
be imposed on such Importation, not exceeding
ten dollars for each Person.
The Privilege of the Writ of Habeas Corpus
shall not be suspended, unless when in Cases of
Rebellion or Invasion the public Safety may re-
quire it.
NoBill of Attainder or ex post facto Law
shall be passed.
No Capitation, or other direct, Tax shall be
laid, unless in Proportion to the Census or Enu-
meration herein before directed to be taken.
No Tax or Duty shall be laid on Articles ex-
ported from any State.
No Preference shall be given by any Regula-
tion of Commerce or Revenue to the Ports of
one State over those of another: nor shall Ves-
sels bound to, or from, one State, be obliged to
enter, clear, or pay Duties in another.
No Money shall be drawn from the Treas-
ury, but in Consequence of Appropriations
made by Law; and a regular Statement and Ac-
count of the Receipts and Expenditures of all
public Money shall be published from time to
time.
No Title of Nobility shall be granted by the
United States: And no Person holding any Of-
fice of Profit or Trust under them, shall, with-
out the Consent of the Congress, accept of any
present, Emolument, Office, or Title, of any
kind whatever, from any King, Prince, or for-
eign State.
Section 10
No State shall enter into any Treaty, Alli-
ance, or Confederation; grant Letters of
Marque and Reprisal; coin Money; emit Bills of
Credit; make any Thing but gold and silver
Coin a Tender in Payment of Debts; pass any
Bill of Attainder, ex post facto Law, or Law im-
pairing the Obligation of Contracts, or grant
any Title of Nobility.
No State shall, without the Consent of the
Congress, lay any Imposts or Duties on Imports
or Exports, except what may be absolutely nec-
essary for executing its inspection Laws: and
FM 22-100

The Constitution of the United States
the net Produce of all Duties and Imposts, laid
by any State on Imports or Exports, shall be for
the Use of the Treasury of the United States;
and all such Laws shall be subject to the Revi-
sion and Controul of the Congress.
No State shall, without the Consent of Con-
gress, lay any Duty of Tonnage, keep Troops, or
Ships of War in time of Peace, enter into any
Agreement or Compact with another State, or
with a foreign Power, or engage in War, unless
actually invaded, or in such imminent Danger
as will not admit of delay.
ARTICLE II
Section 1
The executive Power shall be vested in a
President of the United States of America. He
shall hold his Office during the Term of four
Years, and, together with the Vice President,
chosen for the same Term, be elected, as fol-
lows:
Each State shall appoint, in such Manner
as the Legislature thereof may direct, a
Number of Electors, equal to the whole
Number of Senators and Representatives to
which the State may be entitled in the
Congress: but no Senator or Representative, or
Person holding an Office of Trust or Profit
under the United States, shall be appointed an
Elector.
The Electors shall meet in their respective
States, and vote by Ballot for two Persons, of
whom one at least shall not be an Inhabitant of
the same State with themselves. And they shall
make a List of all the Persons voted for, and of
the Number of Votes for each; which List they
shall sign and certify, and transmit sealed to
the Seat of the Government of the United
States, directed to the President of the Senate.
The President of the Senate shall, in the Pres-
ence of the Senate and House of Representa-
tives, open all the Certificates, and the Votes
shall then be counted. The Person having the
greatest Number of Votes shall be the Presi-
dent, if such Number be a Majority of the whole
Number of Electors appointed; and if there be
more than one who have such Majority, and
have an equal Number of Votes, then the House
Army Leadership
of Representatives shall immediately chuse by
Ballot one of them for President; and if no Per-
son have a Majority, then from the five highest
on the List the said House shall in like Manner
chuse the President. But in chusing the Presi-
dent, the Votes shall be taken by States, the
Representation from each State having one
Vote; A quorum for this Purpose shall consist of
a Member or Members from two thirds of the
States, and a Majority of all the States shall be
necessary to a Choice. In every Case, after the
Choice of the President, the Person having the
greatest Number of Votes of the Electors shall
be the Vice President. But if there should re-
main two or more who have equal Votes, the
Senate shall chuse from them by Ballot the Vice
President.
The Congress may determine the Time of
chusing the Electors, and the Day on which
they shall give their Votes; which Day shall be
the same throughout the United States.
No Person except a natural born Citizen, or
a Citizen of the United States, at the time of the
Adoption of this Constitution, shall be eligible
to the Office of President; neither shall any Per-
son be eligible to that Office who shall not have
attained to the Age of thirty five Years, and
been fourteen Years a Resident within the
United States.
In Case of the Removal of the President
from Office, or of his Death, Resignation, or In-
ability to discharge the Powers and Duties of
the said Office, the Same shall devolve on the
Vice President, and the Congress may by Law
provide for the Case of Removal, Death, Resig-
nation or Inability, both of the President and
Vice President, declaring what Officer shall
then act as President, and such Officer shall act
accordingly, until the Disability be removed, or
a President shall be elected.
The President shall, at stated Times, re-
ceive for his Services, a Compensation, which
shall neither be encreased nor diminished dur-
ing the Period for which he shall have been
elected, and he shall not receive within that Pe-
riod any other Emolument from the United
States, or any of them.
F-5

Appendix F
Before he enter on the Execution of his Of-
fice, he shall take the following Oath or Af-
firmation:-"I do solemnly swear (or affirm)
that I will faithfully execute the Office of Pres i-
dent of the United States, and will to the best of
my Ability, preserve, protect and defend the
Constitution of the United States."
Section 2
The President shall be Commander in
Chief of the Army and Navy of the United
States, and of the Militia of the several States,
when called into the actual Service of the
United States; he may require the Opinion, in
writing, of the principal Officer in each of the
executive Departments, upon any Subject relat-
ing to the Duties of their respective Offices, and
he shall have Power to grant Reprieves and
Pardons for Offences against the United States,
except in Cases of Impeachment.
He shall have Power, by and with the Ad-
vice and Consent of the Senate, to make Trea-
ties, provided two thirds of the Senators
present concur; and he shall nominate, and by
and with the Advice and Consent of the Senate,
shall appoint Ambassadors, other public Minis-
ters and Consuls, Judges of the supreme Court,
and all other Officers of the United States,
whose Appointments are not herein otherwise
provided for, and which shall be established by
Law: but the Congress may by Law vest the Ap-
pointment of such inferior Officers, as they
think proper, in the President alone, in the
Courts of Law, or in the Heads of Departments.
The President shall have Power to fill up all
Vacancies that may happen during the Recess
of the Senate, by granting Commissions which
shall expire at the End of their next Session.
Section 3
He shall from time to time give to the Con-
gress Information of the State of the Union, and
recommend to their Consideration such Meas-
ures as he shall judge necessary and expedient;
he may, on extraordinary Occasions, convene
both Houses, or either of them, and in Case of
Disagreement between them, with Respect to
the Time of Adjournment, he may adjourn
them to such Time as he shall think proper; he
shall receive Ambassadors and other public
F-6
Ministers; he shall take Care that the Laws be
faithfully executed, and shall Commission all
the Officers of the United States.
Section 4
The President, Vice President and all civil
Officers of the United States, shall be removed
from Office on Impeachment for, and Convic-
tion of, Treason, Bribery, or other high Crimes
and Misdemeanors.
ARTICLE III
Section 1
The judicial Power of the United States,
shall be vested in one supreme Court, and in
such inferior Courts as the Congress may from
time to time ordain and establish. The Judges,
both of the supreme and inferior Courts, shall
hold their Offices during good Behaviour, and
shall, at stated Times, receive for their Services,
a Compensation, which shall not be diminished
during their Continuance in Office.
Section 2
The judicial Power shall extend to all Cases,
in Law and Equity, arising under this Constitu-
tion, the Laws of the United States, and Trea-
ties made, or which shall be made, under their
Authority;-to all Cases affecting Ambassa-
dors, other public Ministers and Consuls;-to
all Cases of admiralty and maritime Jurisdic-
tion;-to Controversies to which the United
States shall be a Party;-to Controversies be-
tween two or more States;-between a State
and Citizens of another State;-between Citi-
zens of different States, -between Citizens of
the same State claiming Lands under Grants of
different States, and between a State, or the
Citizens thereof, and foreign States, Citizens or
Subjects.
In all Cases affecting Ambassadors, other
public Ministers and Consuls, and those in
which a State shall be Party, the supreme Court
shall have original Jurisdiction. In all the other
Cases before mentioned, the supreme Court
shall have appellate Jurisdiction, both as to
Law and Fact, with such Exceptions, and under
such Regulations as the Congress shall make.
FM 22-100

The Constitution of the United States
The Trial of all Crimes, except in Cases of
Impeachment, shall be by Jury; and such Trial
shall be held in the State where the said Crimes
shall have been committed; but when not com-
mitted within any State, the Trial shall be at
such Place or Places as the Congress may by
Law have directed.
Section 3
Treason against the United States, shall
consist only in levying War against them, or in
adhering to their Enemies, giving them Aid and
Comfort. No Person shall be convicted of Trea-
son unless on the Testimony of two Witnesses
to the same overt Act, or on Confession in open
Court.
The Congress shall have Power to declare
the Punishment of Treason, but no Attainder of
Treason shall work Corruption of Blood, or For-
feiture except during the Life of the Person at-
tainted.
ARTICLE IV
Section 1
Full Faith and Credit shall be given in each
State to the public Acts, Records, and judicial
Proceedings of every other State. And the Con-
gress may by general Laws prescribe the Man-
ner in which such Acts, Records and
Proceedings shall be proved, and the Effect
thereof.
Section 2
The Citizens of each State shall be entitled
to all Privileges and Immunities of Citizens in
the several States.
A Person charged in any State with Trea-
son, Felony, or other Crime, who shall flee from
Justice, and be found in another State, shall on
Demand of the executive Authority of the State
from which he fled, be delivered up, to be re-
moved to the State having Jurisdiction of the
Crime.
No Person held to Service or Labour in one
State, under the Laws thereof, escaping into an-
other, shall, in Consequence of any Law or
Regulation therein, be discharged from such
Service or Labour, but shall be delivered up on
Army Leadership
Claim of the Party to whom such Service or La-
bour may be due.
Section 3
New States may be admitted by the Con-
gress into this Union; but no new State shall be
formed or erected within the Jurisdiction of any
other State; nor any State be formed by the
Junction of two or more States, or Parts of
States, without the Consent of the Legislatures
of the States concerned as well as of the Con-
gress.
The Congress shall have Power to dispose
of and make all needful Rules and Regulations
respecting the Territory or other Property be-
longing to the United States; and nothing in
this Constitution shall be so construed as to
Prejudice any Claims of the United States, or of
any particular State.
Section 4
The United States shall guarantee to every
State in this Union a Republican Form of Gov-
ernment, and shall protect each of them against
Invasion; and on Application of the Legislature,
or of the Executive (when the Legislature can-
not be convened) against domestic Violence.
ARTICLE V
The Congress, whenever two thirds of both
Houses shall deem it necessary, shall propose
Amendments to this Constitution, or, on the
Application of the Legislatures of two thirds of
the several States, shall call a Convention for
proposing Amendments, which, in either Case,
shall be valid to all Intents and Purposes, as
Part of this Constitution, when ratified by the
Legislatures of three fourths of the several
States, or by Conventions in three fourths
thereof, as the one or the other Mode of Ratifi-
cation may be proposed by the Congress; Pro-
vided that no Amendment which may be made
prior to the Year One thousand eight hundred
and eight shall in any Manner affect the first
and fourth Clauses in the Ninth Section of the
first Article; and that no State, without its Con-
sent, shall be deprived of its equal Suffrage in
the Senate.
F-7

Appendix F
ARTICLE VI
All Debts contracted and Engagements en-
tered into, before the Adoption of this Constitu-
tion, shall be as valid against the United States
under this Constitution, as under the Confed-
eration.
This Constitution, and the Laws of the
United States which shall be made in Pursu-
ance thereof; and all Treaties made, or which
shall be made, under the Authority of the
United States, shall be the supreme Law of the
Land; and the Judges in every State shall be
bound thereby, any Thing in the Constitution
or Laws of any State to the Contrary notwith-
standing.
The Senators and Representatives before
mentioned, and the Members of the several
State Legislatures, and all executive and judicial
Officers, both of the United States and of the
several States, shall be bound by Oath or M-
firmation, to support this Constitution; but no
religious Test shall ever be required as a Quali-
fication to any Office or public Trust under the
United States.
ARTICLE VII
The Ratification of the Conventions of nine
States, shall be sufficient for the Establishment
of this Constitution between the States so rati-
fying the same.
Done in Convention by the Unanimous Consent of the States present the Seventeenth Day of
September in the Year of our Lord one thousand seven hundred and Eighty seven and of the
Independence of the United States of America the Twelfth. In witness whereof We have hereunto
subscribed our Names,
G. WASHINGTON-President. And deputy from Virginia
Delaware
Geo: Read
Gunning Bedford jun
John Dickinson
Richard Bassett
Jaco: Broom
South Carolina
J. Rutledge
Charles Cotesworth
Pinckney
Charles Pinckney
Pierce Butler
Georgia
William Few
Abr Baldwin
New Hampshire
John Langdon
Nicholas
Massachusetts
Nathaniel Gorham
Rufus King
Connecticut
Wm: Saml. Johnson
Roger Sherman
Maryland
James McHenry
Dan of St Thos. Jenifer
Danl Carroll.
Virginia
John Blair---
James Madison Jf.
New York
Alexander Hamilton
New Jersy
Wil: Livingston
David Brearley
Wm. Paterson
Jona: Dayton
Pennsylvania
B Franklin
Thomas Mifflin
Robt Morris
Geo. Clymer
Thos. FitzSimons
Jared Ingersoll
James Wilson
Gouv Morris
North Carolina
Wm. Blount
Richd. Dobbs Spaight
Hu Williamson
Attest William Jackson
Secretary
F-8 FM 22-100

The Constitution of the United States
THE PREAMBLE TO THE BILL OF RIGHTS
Congress of the United States begun and held
at the City of New York, on Wednesday the
fourth of March, one thousand seven hundred
and eighty-nine.
The Conventions of a number of the States,
having at the time of their adopting the Consti-
tution expressed a desire in order to prevent
misconstruction or abuse of its powers, that
further declaratory and restrictive clauses
should be added: And as extending the ground
of public confidence in the Government will
best ensure the beneficent ends of its
institution.
Resolved by the Senate and House of Represen-
tatives of the United States of America in
Congress assembled, two thirds of both Houses
concurring that the following Articles be pro-
posed to the Legislatures of the several states as
Amendments to the Constitution of the United
States, all or any of which articles, when rati-
fied by three fourths of the said Legislatures to
be valid to all intents and purposes as part of
the said Constitution. viz.
Articles in addition to, and Amendment of the
Constitution of the United States of America,
proposed by Congress and Ratified by the Legis-
latures of the several States, pursuant to the
fifth Article of the original Constitution.
AMENDMENT I
THE BILL OF RIGHTS
Congress shall make no law respecting an
establishment of religion, or prohibiting the
free exercise thereof; or abridging the freedom
of speech, or of the press; or the right of the peo-
ple peaceably to assemble, and to petition the
Government for a redress of grievances.
AMENDMENT II
A well regulated Militia being necessary to
the security of a free State, the right of the peo-
ple to keep and bear Arms, shall not be in-
fringed.
AMENDMENT III
No Soldier shall, in time of peace be quar-
tered in any house, without the consent of the
Owner, nor in time of war, but in a manner to
be prescribed by law.
AMENDMENT IV
The right of the people to be secure in their
persons, houses, papers, and effects, against
unreasonable searches and seizures, shall not
be violated, and no Warrants shall issue, but
upon probable cause, supported by Oath or af-
firmation, and particularly describing the place
to be searched, and the persons or things to be
seized.
Army Leadership
AMENDMENT V
No person shall be held to answer for a capi-
tal, or otherwise infamous crime, unless on a
presentment or indictment of a Grand Jury, ex-
cept in cases arising in the land or naval forces,
or in the Militia, when in actual service in time
of War or public danger; nor shall any person be
subject for the same offence to be twice put in
jeopardy of life or limb; nor shall be compelled
in any criminal case to be a witness against
himself, nor be deprived of life, liberty, or prop-
erty, without due process of law; nor shall pri-
vate property be taken for public use, without
just compensation.
AMENDMENT VI
In all criminal prosecutions, the accused
shall enjoy the right to a speedy and public trial,
by an impartial jury of the State and district
wherein the crime shall have been committed,
which district shall have been previously ascer-
tained by law, and to be informed of the nature
and cause of the accusation; to be confronted
with the witnesses against him; to have com-
pulsory process for obtaining witnesses in his
favor, and to have the Assistance of Counsel for
his defence.
F-9

Appendix F
AMENDMENT VII
In suits at common law, where the value in
controversy shall exceed twenty dollars, the
right of trial by jury shall be preserved, and no
fact tried by a jury, shall be otherwise reexam-
ined in any Court of the United States, than ac-
cording to the rules of the common law.
AMENDMENT VIII
Excessive bail shall not be required, nor ex-
cessive fines imposed, nor cruel and unusual
punishments inflicted.
AMENDMENT IX
The enumeration in the Constitution, of
certain rights, shall not be construed to deny or
disparage others retained by the people.
AMENDMENT X
The powers not delegated to the United
States by the Constitution, nor prohibited by it
to the States, are reserved to the States respec-
tively, or to the people.
AMENDMENTS 11THROUGH 27
AMENDMENT XI
Passed by Congress March 4, 1794. Ratified
February 7, 1795.
The Judicial power of the United States
shall not be construed to extend to any suit in
law or equity, commenced or prosecuted
against one of the United States by Citizens of
another State, or by Citizens or Subjects of any
Foreign State.
Note: Article III, section 2, of the Constitution
was modified by amendment 11.
AMENDMENT XII
Passed by Congress December 9, 1803. Ratified
June 15, 1804.
The Electors shall meet in their respective
states and vote by ballot for President and
Vice-President, one of whom, at least, shall not
be an inhabitant of the same state with them-
selves; they shall name in their ballots the per-
son voted for as President, and in distinct
ballots the person voted for as Vice-President,
and they shall make distinct lists of all persons
voted for as President, and of all persons voted
for as Vice-President, and of the number of
votes for each, which lists they shall sign and
certify, and transmit sealed to the seat of the
government of the United States, directed to
the President of the Senate; the President of
the Senate shall, in the presence of the Senate
and House of Representatives, open all the cer-
tificates and the votes shall then be counted;
F-10
The person having the greatest number of votes
for President, shall be the President, if such
number be a majority of the whole number of
Electors appointed; and if no person have such
majority, then from the persons having the
highest numbers not exceeding three on the list
of those voted for as President, the House of
Representatives shall choose immediately, by
ballot, the President. But in choosing the Presi-
dent, the votes shall be taken by states, the rep-
resentation from each state having one vote; a
quorum for this purpose shall consist of a mem-
ber or members from two-thirds of the states,
and a majority of all the states shall be neces-
sary to a choice. [And if the House of Represen-
tatives shall not choose a President whenever
the right of choice shall devolve upon them, be-
fore the fourth day of March next following,
then the Vice-President shall act as President,
as in case of the death or other constitutional
disability of the President. ]* The person hav-
ing the greatest number of votes as Vice-
President, shall be the Vice-President, if such
number be a majority of the whole number of
Electors appointed, and if no person have a ma-
jority, then from the two highest numbers on
the list, the Senate shall choose the Vice-
President; a quorum for the purpose shall con-
sist of two-thirds of the whole number of Sena-
tors, and a majority of the whole number shall
be necessary to a choice. But no person consti-
tutionally ineligible to the office of President
shall be eligible to that of Vice-President of the
United States.
FM 22-100

The Constitution of the United States
*Superseded by section 3of the 20th
amendment.
Note: A portion of Article II, section 1of the
Constitution was superseded by the 12th
amendment.
AMENDMENT XIII
Passed by Congress January 31, 1865. Ratified
December 6,1865.
Section 1
Neither slavery nor involuntary servitude,
except as a punishment for crime whereof the
party shall have been duly convicted, shall exist
within the United States, or any place subject to
their jurisdiction.
Section 2
Congress shall have power to enforce this
article by appropriate legislation.
Note: A portion of Article IV, section 2, of the
Constitution was superseded by the 13th
amendment.
AMENDMENT XIV
Passed by Congress June 13, 1866. Ratified
July 9,1868.
Section 1
All persons born or naturalized in the
United States, and subject to the jurisdiction
thereof, are citizens of the United States and of
the State wherein they reside. No State shall
make or enforce any law which shall abridge
the privileges or immunities of citizens of the
United States; nor shall any State deprive any
person of life, liberty, or property, without due
process oflaw; nor deny to any person within its
jurisdiction the equal protection of the laws.
Section 2
Representatives shall be apportioned
among the several States according to their re-
spective numbers, counting the whole number
of persons in each State, excluding Indians not
taxed. But when the right to vote at any election
for the choice of electors for President and
Vice-President of the United States, Represen-
tatives in Congress, the Executive and Judicial
Army Leadership
officers of a State, or the members of the
Legislature thereof, is denied to any of the male
inhabitants of such State, being twenty-one
years of age, *and citizens of the United States,
or in any way abridged, except for participation
in rebellion, or other crime, the basis of repre-
sentation therein shall be reduced in the pro-
portion which the number of such male citizens
shall bear to the whole number of male citizens
twenty-one years of age in such State.
Section 3
No person shall be a Senator or Rep-
resentative in Congress, or elector of President
and Vice-President, or hold any office, civil or
military, under the United States, or under any
State, who, having previously taken an oath, as
a member of Congress, or as an officer of the
United States, or as a member of any State leg-
islature, or as an executive or judicial officer of
any State, to support the Constitution of the
United States, shall have engaged in insurrec-
tion or rebellion against the same, or given aid
or comfort to the enemies thereof. But Con-
gress may by a vote of two-thirds of each House,
remove such disability.
Section 4
The validity of the public debt of the United
States, authorized by law, including debts in-
curred for payment of pensions and bounties
for services in suppressing insurrection or re-
bellion, shall not be questioned. But neither the
United States nor any State shall assume or pay
any debt or obligation incurred in aid of insur-
rection or rebellion against the United States,
or any claim for the loss or emancipation of any
slave; but all such debts, obligations and claims
shall be held illegal and void.
Section 5
The Congress shall have the power to en-
force, by appropriate legislation, the provisions
of this article.
*Changed by section 1of the 26th amendment.
Note: Article I, section 2, of the Constitution
was modified by section 2of the 14th
amendment.
F-11

Appendix F
AMENDMENT XV
Passed by Congress February 26, 1869. Ratified
February 3, 1870.
Section 1
The right of citizens of the United States to
vote shall not be denied or abridged by the
United States or by any State on account of
race, color, or previous condition of servitude.
Section 2
The Congress shall have the power
to enforce this article by appropriate legisla-
tion.
AMENDMENT XVI
Passed by Congress July 2, 1909. Ratified
February 3, 1913.
The Congress shall have power to
lay and collect taxes on incomes, from whatever
source derived, without apportionment among
the several States, and without regard to any
census or enumeration.
Note: Article I, section 9, of the Constitution
was modified by amendment 16.
AMENDMENT XVII
Passed by Congress May 13, 1912. Ratified
April 8, 1913.
The Senate of the United States shall be
composed of two Senators from each State,
elected by the people thereof, for six years; and
each Senator shall have one vote. The electors
in each State shall have the qualifications req-
uisite for electors of the most numerous branch
of the State legislatures.
When vacancies happen in the representa-
tion of any State in the Senate, the executive
authority of such State shall issue writs of elec-
tion to fill such vacancies: Provided, That the
legislature of any State may empower the ex-
ecutive thereof to make temporary appoint-
ments until the people fill the vacancies by
election as the legislature may direct.
This amendment shall not be so construed
as to affect the election or term of any Senator
F-12
chosen before it becomes valid as part of the
Constitution.
Note: Article I, section 3, of the Constitution
was modified by the 17th amendment.
AMENDMENT XVIII
Passed by Congress December 18, 1917. Ratified
January 16,1919. Repealed by amendment 21.
Section 1
After one year from the ratification of this
article the manufacture, sale, or transportation
of intoxicating liquors within, the importation
thereof into, or the exportation thereof from
the United States and all territory subject to
the jurisdiction thereof for beverage purposes is
hereby prohibited.
Section 2
The Congress and the several States shall
have concurrent power to enforce this article by
appropriate legislation.
Section 3
This article shall be inoperative un-
less it shall have been ratified as an amendment
to the Constitution by the legislatures of the
several States, as provided in the Constitution,
within seven years from the date of the submis-
sion hereof to the States by the Congress.
AMENDMENT XIX
Passed by Congress June 4, 1919. Ratified
August 18, 1920.
The right of citizens of the United States to
vote shall not be denied or abridged by the
United States or by any State on account of sex.
Congress shall have power to enforce this
article by appropriate legislation.
AMENDMENT XX
Passed by Congress March 2, 1932. Ratified
January 23,1933.
FM 22-100

The Constitution of the United States
Section 1
The terms of the President and the Vice
President shall end at noon on the 20th day of
January, and the terms of Senators and Repre-
sentatives at noon on the 3d day of January, of
the years in which such terms would have
ended if this article had not been ratified; and
the terms of their successors shall then begin.
Section 2
The Congress shall assemble at least once
in every year, and such meeting shall begin at
noon on the 3d day of January, unless they shall
by law appoint a different day.
Section 3
If, at the time fixed for the beginning of the
term of the President, the President elect shall
have died, the Vice President elect shall become
President. If a President shall not have been
chosen before the time fIXed for the beginning
of his term, or if the President elect shall have
failed to qualify, then the Vice President elect
shall act as President until a President shall
have qualified; and the Congress may by law
provide for the case wherein neither a Presi-
dent elect nor a Vice President shall have quali-
fied, declaring who shall then act as President,
or the manner in which one who is to act shall
be selected, and such person shall act accord-
ingly until a President or Vice President shall
have qualified.
Section 4
The Congress may by law provide for the
case of the death of any of the persons from
whom the House of Representatives may
choose a President whenever the right of choice
shall have devolved upon them, and for the case
of the death of any of the persons from whom
the Senate may choose a Vice President when-
ever the right of choice shall have devolved
upon them.
Section 5
Sections 1 and 2 shall take effect on
the 15th day of October following the ratifica-
tion of this article.
Army Leadership
Section 6
This article shall be inoperative unless it
shall have been ratified as an amendment to the
Constitution by the legislatures of three-
fourths of the several States within seven years
from the date of its submission.
Note: Article I, section 4, of the Constitution
was modified by section 2of this amendment. In
addition, a portion of the 12th amendment was
superseded by section 3.
AMENDMENT XXI
Passed by Congress February 20,1933. Ratified
December 5,1933.
Section 1
The eighteenth article of amendment to the
Constitution of the United States is hereby re-
pealed.
Section 2
The transportation or importation into any
State, Territory, or Possession of the United
States for delivery or use therein of intoxicating
liquors, in violation of the laws thereof, is
hereby prohibited.
Section 3
This article shall be inoperative unless it
shall have been ratified as an amendment to the
Constitution by conventions in the several
States, as provided in the Constitution, within
seven years from the date of the submission
hereof to the States by the Congress.
AMENDMENT XXII
Passed by Congress March 21, 1947. Ratified
February 27, 1951.
Section 1
No person shall be elected to the office of
the President more than twice, and no person
who has held the office of President, or acted as
President, for more than two years of a term to
which some other person was elected President
shall be elected to the office of President more
than once. But this Article shall not apply to
any person holding the office of President when
this Article was proposed by Congress, and
F-13

Appendix F
shall not prevent any person who may be hold-
ing the office of President, or acting as Presi-
dent, during the term within which this Article
becomes operative from holding the office of
President or acting as President during the re-
mainder of such term.
Section 2
This article shall be inoperative unless it
shall have been ratified as an amendment to the
Constitution by the legislatures of three-
fourths of the several States within seven years
from the date of its submission to the States by
the Congress.
AMENDMENT XXIII
Passed by Congress June 16, 1960. Ratified
March 29,1961.
Section 1
The District constituting the seat of Gov-
ernment of the United States shall appoint in
such manner as Congress may direct:
A number of electors of President and Vice
President equal to the whole number of Sena-
tors and Representatives in Congress to which
the District would be entitled if it were a State,
but in no event more than the least populous
State; they shall be in addition to those ap-
pointed by the States, but they shall be consid-
ered, for the purposes of the election of
President and Vice President, to be electors ap-
pointed by a State; and they shall meet in the
District and perform such duties as provided by
the twelfth article of amendment.
Section 2
The Congress shall have power to
enforce this article by appropriate legislation.
AMENDMENT XXIV
Passed by Congress August 27, 1962. Ratified
January 23, 1964.
Section 1
The right of citizens of the United
States to vote in any primary or other election
for President or Vice President, for electors for
President or Vice President, or for Senator or
Representative in Congress, shall not be denied
F-14
or abridged by the United States or any State by
reason of failure to pay poll tax or other tax.
Section 2
The Congress shall have power to enforce
this article by appropriate legislation.
AMENDMENT XXV
Passed by Congress July 6, 1965. Ratified
February 10,1967.
Section 1
In case of the removal of the President from
office or of his death or resignation, the Vice
President shall become President.
Section 2
Whenever there is a vacancy in the office of
the Vice President, the President shall nomi-
nate a Vice President who shall take office upon
confirmation by a majority vote of both Houses
of Congress.
Section 3
Whenever the President transmits to the
President pro tempore of the Senate and the
Speaker of the House of Representatives his
written declaration that he is unable to dis-
charge the powers and duties of his office, and
until he transmits to them a written declara-
tion to the contrary, such powers and duties
shall be discharged by the Vice President as
Acting President.
Section 4
Whenever the Vice President and a major-
ity of either the principal officers of the execu-
tive departments or of such other body as
Congress may by law provide, transmit to the
President pro tempore of the Senate and the
Speaker of the House of Representatives their
written declaration that the President is unable
to discharge the powers and duties of his office,
the Vice President shall immediately assume
the powers and duties of the office as Acting
President.
Thereafter, when the President
transmits to the President pro tempore of the
Senate and the Speaker of the House of Repre-
sentatives his written declaration that no in-
FM 22-100

The Constitution of the United States
ability exists, he shall resume the powers and
duties of his office unless the Vice President
and a majority of either the principal officers of
the executive department or of such other body
as Congress may by law provide, transmit
within four days to the President pro tempore
of the Senate and the Speaker of the House of
Representatives their written declaration that
the President is unable to discharge the powers
and duties of his office. Thereupon Congress
shall decide the issue, assembling within forty-
eight hours for that purpose if not in session. If
the Congress, within twenty-one days after re-
ceipt of the latter written declaration, or, if
Congress is not in session, within twenty-one
days after Congress is required to assemble, de-
termines by two-thirds vote of both Houses that
the President is unable to discharge the powers
and duties of his office, the Vice President shall
continue to discharge the same as Acting Presi-
dent; otherwise, the President shall resume the
powers and duties of his office.
Note: Article II, section 1, of the Constitution
was affected by the 25th amendment.
AMENDMENT XXVI
Passed by Congress March 23, 1971. Ratified
July 1, 1971.
Section 1
The right of citizens of the United States,
who are eighteen years of age or older, to vote
shall not be denied or abridged by the United
States or by any State on account of age.
Section 2
The Congress shall have power to enforce
this article by appropriate legislation.
Note: Amendment 14, section 2, of the
Constitution was modified by section 1of the
26th amendment.
AMENDMENT XXVII
Originally proposed Sept. 25, 1789. Ratified
May 7, 1992.
No law, varying the compensation for the
services of the Senators and Representatives,
shall take effect, until an election of represent a-
tives shall have intervened.
Army Leadership F-15