947947_ISS10 V 9947a
User Manual: v-9947a
Open the PDF directly: View PDF
.
Page Count: 5

Issue 10
1947947
V-9947A
LINE POWERED LOUD RINGER/HORN
INTRODUCTION
The V-9947A, is a Line Powered Loud
Ringer/Horn which provides amplified electronic
tones for signaling in large or noisy areas. This
instruction contains the specifications and
information necessary to install, operate and
maintain the
V-9947A.
SPECIFICATIONS
Design
The V-9947A is a ringer/horn containing circuitry
to generate incoming call indication via a warble
or single tone when activated by 70-120VAC ring
voltage (Ringer Equivalency Number 2.7A).
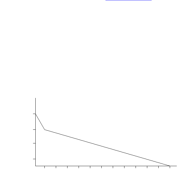
To plan a system utilizing the V-9947A, refer to
the Ringer Distance Chart to determine
approximate distances covered. The number
given (ft) is the side to side distance for mounting
the speakers. It is also the distance in front of
the speaker that a good quality signal can be
heard.
Application
• PABX station ringer
Features
• Omni-directional mounting bracket.
• Self-contained tone generator, amplifier,
volume control and horn speaker.
• Single or warble tone output.
• Activated by 70-120VAC ring voltage.
• Tones continuous for duration of ring cycle.
• Weatherproof.
• Units may be multipled for simultaneous
access.
• Separate power supply not required.
Dimensions/Weight
• 6.5"H x 8.2"W x 10.4"D, plus mounting
bracket.
• (16.51cm H x 20.83cm W x 26.42cm D)
• 3.3 lbs. (1.5 kg)
Power Requirements
• 20-30Hz, 35mA maximum.
Environment
• Temperature: -20 to +55° C
• Humidity: 0-95% non-precipitating

2
INSTALLATION
Lead Connections
Connect the tip (green) and ring (red) leads of the
ringer to the PBX Analog station port.
• To produce a warble tone, the black and white
leads remain unconnected.
• To produce a single tone, connect the black
and white leads to each other (See Figure 3).
The V-9947A is not intended for direct or indirect
connection to the public telephone network or any
telephone line providing dial tone. When used with
a customer premise telephone system such as a
key system or PABX system, these units are
interfaced to the system via a fully protected page
port or system central office port, which is a fully
protected interface device. Also, the host system
must be configured to disallow central office trunk
conferencing in order to prevent indirect
connection to the public network.
Connecting Speaker to Base
The speaker may be attached to the base before
or after the base is mounted.
• Loosen position adjustment knob.
• Insert the ball of the base into the socket of the
speaker.
• Tighten the position adjustment knob.
Mounting
The V-9947A should be mounted 12' to 25' high to
obtain optimum results. This ringer may be used
for either interior or exterior signaling applications.
• Mount the base to a wall using the two holes
provided. Knockout holes are provided for
punch out should additional holes be desired.
• A "C" clamp is provided with the ringer to allow
mounting to a beam. Place the bolt through
the hole in the bottom of the base to secure
the "C" clamp to the beam. (See Figure 1). It
is suggested that the horn be mounted to the
underside of the "I" beam so as to provide the
maximum of positioning adjustments.
• Connection to an electrical backbox is
accomplished by channeling wire through the
ball of the base and making appropriate
connections. The base has holes punched for
a double-gang square box, but by punching
out additional knockout holes, the base can be
mounted to a single-gang or octagon box.
(See Figure 2).
The V-9947A may be rotated or moved up and
down to obtain the desired position by loosening
the position adjustment knob at the bottom of the
unit (See Figures 1 and 2) approximately 1 turn.
Make required adjustment and re-tighten the knob.
TECHNICAL ASSISTANCE
When trouble is reported, verify there are no
broken connections between the telephone and
the ringer. Ascertain volume control is turned
up.
Assistance in troubleshooting is available from
the factory. When calling, you should have a
VOM and a test set available and call from the
job site. Call (540) 563-2000 and press 1 for
Technical Support or visit our website at
www.Valcom.com.
Valcom equipment is not field repairable.
Valcom, Inc. maintains service facilities in
Roanoke, VA. Should repairs be necessary,
attach a tag to the unit clearly stating company
name, address, phone number, contact person,
and the nature of the problem. Send the unit to:
Valcom, Inc.
Repair and Return Dept.
5614 Hollins Road
Roanoke, VA 24019-5056
dB
100
90
80
70
10 20 30 40 50 60 70 80 90 100 110 120 ft.
Distance
(
S
p
acin
g)
in Feet
Ambient
Noise
Level
(dB)
RINGER DISTANCE CHART

3
I-Beam
"C" Clamp
Speaker Base
Position
A
djustment
Knob
Figure 1 - Mounting to a Beam with a "C" Clamp
Electrical
Backbox
Position
A
djustment
Knob
Wire
Speaker
Base
Fi
g
ure 2 - Mountin
g
to an Electrical Backbo
x

4
VALCOM LIMITED WARRANTY
Valcom, Inc. warrants its products to be free from defects in materials and workmanship under conditions of normal use and service for
a period of one year from the date of shipment. The obligation under this warranty shall be limited to the replacement, repair or refund
of any such defective device within the warranty period, provided that:
1. inspection by Valcom, Inc. indicates the validity of the claim,
2. the defect is not the result of damage, misuse, or negligence after the original shipment,
3. the product has not been altered in any way or repaired by others and that factory sealed units are unopened
(A service charge plus parts and labor will be applied to units defaced or physically damaged),
4. freight charges for the return of products to Valcom are prepaid,
5. all units 'out of warranty' are subject to a service charge. The service charge will cover minor repairs
(Major repairs will be subject to additional charges for parts and labor).
This warranty is in lieu of and excludes all other warranties, expressed or implied, and in no event shall Valcom, Inc. be liable
for any anticipated profits, consequential damages, loss of time or other losses incurred by the buyer in connection with the
purchase, operation or use of the product.
This warranty specifically excludes damage incurred in shipment. In the event a product is received in damaged condition, the carrier
should be notified immediately. Claims for such damage should be filed with the carrier involved in accordance with the F.O.B. point.
Headquarters:
Valcom, Inc.
5414 Hollins Road
Roanoke, VA 24019
Phone: (540) 563-2000
FAX: (540) 362-9800
In Canada:
CMX Corporation
35 Van Kirk Drive #11 and 12
Brampton, Ontario L7A 1A5
Phone: (905) 456-1072
FAX: (905) 456-2269
Ti
Ring
Gree
Red
White
Black
V- 9947A
Analog
Station Port
Connect together to
Produce sin
g
le tone
Warble tone is produced
when not connected.
--
--
FIGURE 3
5