Emerson Liebert Icom Users Manual
2015-03-30
: Emerson Emerson-Liebert-Icom-Users-Manual-680441 emerson-liebert-icom-users-manual-680441 emerson pdf
Open the PDF directly: View PDF
.
Page Count: 196 [warning: Documents this large are best viewed by clicking the View PDF Link!]
- 1.0 Introduction
- 2.0 Liebert iCOM Display Components and Functions
- Figure 2 Liebert iCOM display components
- Table 1 Keyboard icons and functions
- 2.1 Control Interface—Large Display
- 2.2 System Screen
- 2.3 Unit View with Rack Sensors
- 2.4 Navigating Through the Liebert iCOM Menus
- 2.5 Display Setup
- 3.0 Operation
- 3.1 Single Unit Functions
- 3.1.1 Unit/Fan Control
- 3.1.2 Back-Draft Fan Damper—Units with EC Fans
- 3.1.3 Back-Draft Fan Damper—Units with Centrifugal Fans
- 3.1.4 Power Monitoring
- 3.1.5 General Compressor Operation
- 3.1.6 Compressor Timing—Short-Cycle Protection
- 3.1.7 Compressor Sequencing on Two-Compressor Units
- 3.1.8 Motorized Ball Valve in Water-Cooled Units
- 3.1.9 MBV Operation After Compressor is Turned Off
- 3.1.10 Service Offset—Changing System Pressure Settings
- 3.2 General Chilled Water Operation
- 3.3 Temperature Control
- Figure 25 Temperature proportional band
- 3.3.1 Setting Up PI Control
- 3.3.2 Compressor Control
- Compressor Proportional Bands
- Figure 26 One single-step compressor without unloaders
- Figure 27 Two single-step compressors without unloaders or one compressor with an unloader (two-step)
- Figure 28 Two compressors with unloaders (four-step)
- Figure 29 Digital scroll capacity modulation, 10-100% variable
- Figure 30 Single and dual digital scroll compressor activation points
- Compressor Proportional Bands
- 3.3.3 Chilled Water Control
- 3.4 Liebert Fluid Economizer
- 3.5 Liebert Air Economizer™ Operation
- 3.6 Temperature Control—Reheat
- 3.7 Humidity Control
- 3.8 Supply Control
- 3.9 Liebert Optimized Aisle Control
- 3.9.1 Operation
- Inlet Rack Temperature Control
- Additional Details of Rack Temperature Operation
- Temperature Compensation
- Figure 49 Return Compensation Setpoint in Service Menu
- Figure 50 Return Compensation in Unit View
- Figure 51 Return Compensation control band
- Figure 52 Return Compensation setpoint deviation
- Figure 53 Supply compensation
- Figure 54 Supply Compensation in Unit View
- Figure 55 Supply compensation
- Figure 56 Temperature/humidity/static pressure control sensors in Optimized Aisle
- 3.9.2 Static Pressure Control
- 3.9.1 Operation
- 3.10 Event Types and Properties
- 3.11 Wellness—Next Maintenance Calculation
- 3.1 Single Unit Functions
- 4.0 Teamwork
- 4.1 Compatibility With Previous Liebert iCOM Controls
- 4.2 Teamwork Modes
- 4.3 Liebert Optimized Aisle Rack Sensor Installation
- Figure 68 2T sensor
- Figure 69 Setting DIP switches for 2T sensors
- 4.3.1 Tools Required for Installation
- 4.3.2 DIP Switch Settings
- 4.3.3 Terminate the Final Sensor on the CANbus Link
- 4.3.4 Install 2T Sensors on Racks to be Monitored
- 4.3.5 Install CANbus Cable Between 2T Sensors
- 4.3.6 Connecting the CANbus cable at the Unit and Securing the CANbus Cable to Ground
- 4.3.7 Software Setup
- 4.3.8 Standby—Rotation
- 5.0 Installing a Liebert iCOM Unit-to-Unit Network
- 5.1 Placement of Cooling Units
- 5.2 U2U Hardware: Cables and Network Switch
- 5.3 Wiring for Unit-to-Unit Communications—U2U
- 6.0 External Communication—Building Management Systems, Liebert SiteScan®
- 7.0 User Menu Parameters
- Figure 84 User menu icons
- 7.1 User-Setpoints Screens
- 7.2 User-Graphic Menu Screens
- 7.3 User-Set Alarms Menu Screens
- 7.4 User-Sensor Data Menu Screens
- 7.5 User-Display Setup Menu Screen
- 7.6 User-Total Run Hours Menu Screens
- 7.7 User-Sleep Mode Menu Screens
- 7.8 User-Condenser Timer Menu Screens
- 7.9 User-Expansion View Menu Screens
- 8.0 Service Menu Parameters
- Figure 105 Service Menu Main Screen
- 8.1 Service-Setpoints Menu Screens
- Figure 106 Setpoints screen, page 1 of 10
- Figure 107 Setpoints screen, page 2 of 10
- Figure 108 Setpoints screen, page 3 of 10
- Figure 109 Setpoints screen, page 4 of 10
- Figure 110 Setpoints screen, page 5 of 10
- Figure 111 Setpoints screen, page 6 of 10
- Figure 112 Setpoints screen, page 7 of 10
- Figure 113 Setpoints screen, page 8 of 10
- Figure 114 Setpoints screen, page 9 of 10
- Figure 115 Setpoints screen, page 10 of 10
- Service—Unit Diary Menu Screens (Large Display Only)
- 8.2 Service—Standby Settings / Lead Lag Menu Screen
- 8.3 Service-Maintenance / Wellness Menu Screens
- Figure 118 Wellness—Basic settings screen, page 1 of 9
- Figure 119 Wellness—Motor settings screen, page 2 of 9
- Figure 120 Wellness—Compressor 1 settings screen, page 3 of 9
- Figure 121 Wellness—Compressor 2 settings screen, page 4 of 9
- Figure 122 Wellness—Electric heater 1 settings screen, page 5 of 9
- Figure 123 Wellness—Electric heater 2 settings screen, page 6 of 9
- Figure 124 Wellness—Electric heater 3 settings screen, page 7 of 9
- Figure 125 Wellness—Humidifier settings screen, page 8 of 9
- Figure 126 Wellness—Economizer settings screen, page 9 of 9
- 8.4 Service-Diagnostics / Service Mode Screens
- Figure 127 Diagnostics/service mode screen, page 1 of 8
- Figure 128 Diagnostics/service mode screen, page 2 of 8
- Figure 129 Diagnostics/service mode screen, page 3 of 8
- Figure 130 Diagnostics/service mode screen, page 4 of 8
- Figure 131 Diagnostics/service mode screen, page 5 of 8
- Figure 132 Diagnostics/service mode screen, page 6 of 8
- Figure 133 Diagnostics/service mode screen, page 7 of 8
- Figure 134 Diagnostics/service mode screen, page 8 of 8
- 8.5 Service-Set Alarms Menu Screens
- Figure 135 Set alarms screen, page 1 of 11
- Figure 136 Set alarms screen, page 2 of 11
- Figure 137 Set alarms screen, page 3 of 11
- Set Alarm Screens, Pages 4-11
- Figure 138 Set alarms screen, page 4 of 11
- Figure 139 Set alarms screen, page 5 of 11
- Figure 140 Set alarms screen, page 6 of 11
- Figure 141 Set alarms screen, page 7 of 11
- Figure 142 Set alarms screen, page 8 of 11
- Figure 143 Set alarms screen, page 9 of 11
- Figure 144 Set alarms screen, page 10 of 11
- Figure 145 Set alarms screen, page 11 of 11
- 8.6 Service-iCOM-DO Setup Menu Screens
- 8.7 Service-Sensor Calibration Menu Screens
- Figure 149 Sensor calibration setup screen, page 1 of 12
- Figure 150 Sensor calibration/setup screen, page 2 of 12
- Figure 151 Sensor calibration/setup screen, page 3 of 12
- Figure 152 Sensor calibration/setup screen, page 4 of 12
- Figure 153 Sensor calibration/setup screen, page 5 of 12
- Figure 154 Sensor calibration/setup screen, page 6 of 12
- Figure 155 Sensor calibration/setup screen, pages 7 and 8 of 12
- Figure 156 Sensor calibration/setup screen, page 9 of 12
- Figure 157 Sensor calibration/setup screen, page 10 of 12
- Figure 158 Sensor calibration/setup screen, page 11 of 12
- Figure 159 Sensor calibration/setup screen, page 12 of 12
- 8.8 Service-Economizer Menu Screens
- 8.9 Service-System/Network Setup Menu Screens
- 8.10 Service-System/Network Unit-Level Setup Menu Screens
- 8.11 Service-Options Setup Menu Screens
- 8.12 Service-Service Contact Info Menu Screens
- 8.13 Service-Remote Sensors Menu Screens
- 8.14 Service-Expansion Device Setup Menu Screens

Liebert® iCOM®
User Manual -Intelligent Communications & Monitoring for Liebert Challenger 3000™,
Liebert CW™ and Liebert DS™ with Software Version PA2.01.48R

i
TABLE OF CONTENTS
1.0 INTRODUCTION . . . . . . . . . . . . . . . . . . . . . . . . . . . . . . . . . . . . . . . . . . . . . . . . . . . . . . . . . .1
1.1 Features . . . . . . . . . . . . . . . . . . . . . . . . . . . . . . . . . . . . . . . . . . . . . . . . . . . . . . . . . . . . . . . . . . . 1
2.0 LIEBERT ICOM DISPLAY COMPONENTS AND FUNCTIONS . . . . . . . . . . . . . . . . . . . . . . . . . . .2
2.1 Control Interface—Large Display . . . . . . . . . . . . . . . . . . . . . . . . . . . . . . . . . . . . . . . . . . . . . . . 4
2.1.1 Navigating to Various Views in the Liebert iCOM. . . . . . . . . . . . . . . . . . . . . . . . . . . . . . . . . . . 5
2.2 System Screen. . . . . . . . . . . . . . . . . . . . . . . . . . . . . . . . . . . . . . . . . . . . . . . . . . . . . . . . . . . . . . . 6
2.3 Unit View with Rack Sensors . . . . . . . . . . . . . . . . . . . . . . . . . . . . . . . . . . . . . . . . . . . . . . . . . . 8
2.4 Navigating Through the Liebert iCOM Menus . . . . . . . . . . . . . . . . . . . . . . . . . . . . . . . . . . . . 8
2.4.1 Accessing Submenus on Large Displays . . . . . . . . . . . . . . . . . . . . . . . . . . . . . . . . . . . . . . . . . . . 9
2.4.2 Accessing Submenus on Small Displays . . . . . . . . . . . . . . . . . . . . . . . . . . . . . . . . . . . . . . . . . . 11
2.5 Display Setup . . . . . . . . . . . . . . . . . . . . . . . . . . . . . . . . . . . . . . . . . . . . . . . . . . . . . . . . . . . . . . 12
2.5.1 Entering a Password . . . . . . . . . . . . . . . . . . . . . . . . . . . . . . . . . . . . . . . . . . . . . . . . . . . . . . . . . 12
2.5.2 Viewing Multiple Units with a Networked Large Display. . . . . . . . . . . . . . . . . . . . . . . . . . . . 13
3.0 OPERATION . . . . . . . . . . . . . . . . . . . . . . . . . . . . . . . . . . . . . . . . . . . . . . . . . . . . . . . . . . .18
3.1 Single Unit Functions . . . . . . . . . . . . . . . . . . . . . . . . . . . . . . . . . . . . . . . . . . . . . . . . . . . . . . . 18
3.1.1 Unit/Fan Control . . . . . . . . . . . . . . . . . . . . . . . . . . . . . . . . . . . . . . . . . . . . . . . . . . . . . . . . . . . . 18
3.1.2 Back-Draft Fan Damper—Units with EC Fans . . . . . . . . . . . . . . . . . . . . . . . . . . . . . . . . . . . . 22
3.1.3 Back-Draft Fan Damper—Units with Centrifugal Fans . . . . . . . . . . . . . . . . . . . . . . . . . . . . . 23
3.1.4 Power Monitoring . . . . . . . . . . . . . . . . . . . . . . . . . . . . . . . . . . . . . . . . . . . . . . . . . . . . . . . . . . . . 23
3.1.5 General Compressor Operation . . . . . . . . . . . . . . . . . . . . . . . . . . . . . . . . . . . . . . . . . . . . . . . . . 23
3.1.6 Compressor Timing—Short-Cycle Protection . . . . . . . . . . . . . . . . . . . . . . . . . . . . . . . . . . . . . . 25
3.1.7 Compressor Sequencing on Two-Compressor Units . . . . . . . . . . . . . . . . . . . . . . . . . . . . . . . . . 26
3.1.8 Motorized Ball Valve in Water-Cooled Units . . . . . . . . . . . . . . . . . . . . . . . . . . . . . . . . . . . . . . 26
3.1.9 MBV Operation After Compressor is Turned Off . . . . . . . . . . . . . . . . . . . . . . . . . . . . . . . . . . . 26
3.1.10 Service Offset—Changing System Pressure Settings . . . . . . . . . . . . . . . . . . . . . . . . . . . . . . . 27
3.2 General Chilled Water Operation . . . . . . . . . . . . . . . . . . . . . . . . . . . . . . . . . . . . . . . . . . . . . . 27
3.2.1 Chilled Water Quick Start . . . . . . . . . . . . . . . . . . . . . . . . . . . . . . . . . . . . . . . . . . . . . . . . . . . . . 27
3.2.2 Improved Valve Response . . . . . . . . . . . . . . . . . . . . . . . . . . . . . . . . . . . . . . . . . . . . . . . . . . . . . 27
3.2.3 Custom Dual Chilled Water Valve Staging . . . . . . . . . . . . . . . . . . . . . . . . . . . . . . . . . . . . . . . 28
3.2.4 Fluid Temperature Monitoring . . . . . . . . . . . . . . . . . . . . . . . . . . . . . . . . . . . . . . . . . . . . . . . . . 29
3.2.5 Fluid Flow Monitoring . . . . . . . . . . . . . . . . . . . . . . . . . . . . . . . . . . . . . . . . . . . . . . . . . . . . . . . . 29
3.3 Temperature Control . . . . . . . . . . . . . . . . . . . . . . . . . . . . . . . . . . . . . . . . . . . . . . . . . . . . . . . . 29
3.3.1 Setting Up PI Control. . . . . . . . . . . . . . . . . . . . . . . . . . . . . . . . . . . . . . . . . . . . . . . . . . . . . . . . . 31
3.3.2 Compressor Control . . . . . . . . . . . . . . . . . . . . . . . . . . . . . . . . . . . . . . . . . . . . . . . . . . . . . . . . . . 32
3.3.3 Chilled Water Control . . . . . . . . . . . . . . . . . . . . . . . . . . . . . . . . . . . . . . . . . . . . . . . . . . . . . . . . 35
3.4 Liebert Fluid Economizer. . . . . . . . . . . . . . . . . . . . . . . . . . . . . . . . . . . . . . . . . . . . . . . . . . . . . 35
3.4.1 Differential Temperatures / Controls (Comparator Circuit) . . . . . . . . . . . . . . . . . . . . . . . . . . 36
3.4.2 Liebert Air Economizer™. . . . . . . . . . . . . . . . . . . . . . . . . . . . . . . . . . . . . . . . . . . . . . . . . . . . . . 38
3.5 Liebert Air Economizer™ Operation . . . . . . . . . . . . . . . . . . . . . . . . . . . . . . . . . . . . . . . . . . . . 41
3.5.1 Liebert Air Economizer™ System Overview . . . . . . . . . . . . . . . . . . . . . . . . . . . . . . . . . . . . . . . 42
3.5.2 Liebert Air Economizer Control Settings . . . . . . . . . . . . . . . . . . . . . . . . . . . . . . . . . . . . . . . . . 44
3.5.3 Disable the Liebert Air Economizer . . . . . . . . . . . . . . . . . . . . . . . . . . . . . . . . . . . . . . . . . . . . . 47
3.5.4 Adjust the Restricted Airflow Switch on the Liebert Air Economizer. . . . . . . . . . . . . . . . . . . 48

ii
3.6 Temperature Control—Reheat . . . . . . . . . . . . . . . . . . . . . . . . . . . . . . . . . . . . . . . . . . . . . . . . 48
3.6.1 Electric, Hot Gas and Hot Water Reheat . . . . . . . . . . . . . . . . . . . . . . . . . . . . . . . . . . . . . . . . . 49
3.6.2 SCR Reheat . . . . . . . . . . . . . . . . . . . . . . . . . . . . . . . . . . . . . . . . . . . . . . . . . . . . . . . . . . . . . . . . . 50
3.7 Humidity Control . . . . . . . . . . . . . . . . . . . . . . . . . . . . . . . . . . . . . . . . . . . . . . . . . . . . . . . . . . . 51
3.7.1 Humidification . . . . . . . . . . . . . . . . . . . . . . . . . . . . . . . . . . . . . . . . . . . . . . . . . . . . . . . . . . . . . . 54
3.7.2 Dehumidification . . . . . . . . . . . . . . . . . . . . . . . . . . . . . . . . . . . . . . . . . . . . . . . . . . . . . . . . . . . . 54
3.8 Supply Control . . . . . . . . . . . . . . . . . . . . . . . . . . . . . . . . . . . . . . . . . . . . . . . . . . . . . . . . . . . . . 58
3.9 Liebert Optimized Aisle Control . . . . . . . . . . . . . . . . . . . . . . . . . . . . . . . . . . . . . . . . . . . . . . . 59
3.9.1 Operation . . . . . . . . . . . . . . . . . . . . . . . . . . . . . . . . . . . . . . . . . . . . . . . . . . . . . . . . . . . . . . . . . . 60
3.9.2 Static Pressure Control . . . . . . . . . . . . . . . . . . . . . . . . . . . . . . . . . . . . . . . . . . . . . . . . . . . . . . . 65
3.10 Event Types and Properties. . . . . . . . . . . . . . . . . . . . . . . . . . . . . . . . . . . . . . . . . . . . . . . . . . . 68
3.10.1 High- and Low-Temperature and Humidity Events . . . . . . . . . . . . . . . . . . . . . . . . . . . . . . . . 70
3.10.2 User Inputs . . . . . . . . . . . . . . . . . . . . . . . . . . . . . . . . . . . . . . . . . . . . . . . . . . . . . . . . . . . . . . . . . 71
3.10.3 Analog Inputs . . . . . . . . . . . . . . . . . . . . . . . . . . . . . . . . . . . . . . . . . . . . . . . . . . . . . . . . . . . . . . . 72
3.10.4 Liebert iCOM-DO™ . . . . . . . . . . . . . . . . . . . . . . . . . . . . . . . . . . . . . . . . . . . . . . . . . . . . . . . . . . 73
3.10.5 Possible Event Notifications . . . . . . . . . . . . . . . . . . . . . . . . . . . . . . . . . . . . . . . . . . . . . . . . . . . 74
3.11 Wellness—Next Maintenance Calculation . . . . . . . . . . . . . . . . . . . . . . . . . . . . . . . . . . . . . . . 75
3.11.1 Calculating Next Maintenance and Diagnostics . . . . . . . . . . . . . . . . . . . . . . . . . . . . . . . . . . . 75
4.0 TEAMWORK . . . . . . . . . . . . . . . . . . . . . . . . . . . . . . . . . . . . . . . . . . . . . . . . . . . . . . . . . . .77
4.1 Compatibility With Previous Liebert iCOM Controls . . . . . . . . . . . . . . . . . . . . . . . . . . . . . . 77
4.2 Teamwork Modes . . . . . . . . . . . . . . . . . . . . . . . . . . . . . . . . . . . . . . . . . . . . . . . . . . . . . . . . . . . 77
4.2.1 Application of Teamwork Modes . . . . . . . . . . . . . . . . . . . . . . . . . . . . . . . . . . . . . . . . . . . . . . . . 78
4.2.2 No Teamwork . . . . . . . . . . . . . . . . . . . . . . . . . . . . . . . . . . . . . . . . . . . . . . . . . . . . . . . . . . . . . . . 78
4.2.3 Teamwork Mode 1 . . . . . . . . . . . . . . . . . . . . . . . . . . . . . . . . . . . . . . . . . . . . . . . . . . . . . . . . . . . 78
4.2.4 Teamwork Mode 2 . . . . . . . . . . . . . . . . . . . . . . . . . . . . . . . . . . . . . . . . . . . . . . . . . . . . . . . . . . . 79
4.2.5 Teamwork Mode 3 (Optimized Aisle) . . . . . . . . . . . . . . . . . . . . . . . . . . . . . . . . . . . . . . . . . . . . 80
4.2.6 Hardware Setup . . . . . . . . . . . . . . . . . . . . . . . . . . . . . . . . . . . . . . . . . . . . . . . . . . . . . . . . . . . . . 83
4.3 Liebert Optimized Aisle Rack Sensor Installation . . . . . . . . . . . . . . . . . . . . . . . . . . . . . . . . . 83
4.3.1 Tools Required for Installation . . . . . . . . . . . . . . . . . . . . . . . . . . . . . . . . . . . . . . . . . . . . . . . . . 84
4.3.2 DIP Switch Settings . . . . . . . . . . . . . . . . . . . . . . . . . . . . . . . . . . . . . . . . . . . . . . . . . . . . . . . . . . 84
4.3.3 Terminate the Final Sensor on the CANbus Link . . . . . . . . . . . . . . . . . . . . . . . . . . . . . . . . . . 85
4.3.4 Install 2T Sensors on Racks to be Monitored . . . . . . . . . . . . . . . . . . . . . . . . . . . . . . . . . . . . . . 86
4.3.5 Install CANbus Cable Between 2T Sensors . . . . . . . . . . . . . . . . . . . . . . . . . . . . . . . . . . . . . . . 87
4.3.6 Connecting the CANbus cable at the Unit and Securing the CANbus Cable to Ground . . . . 88
4.3.7 Software Setup . . . . . . . . . . . . . . . . . . . . . . . . . . . . . . . . . . . . . . . . . . . . . . . . . . . . . . . . . . . . . . 89
4.3.8 Standby—Rotation . . . . . . . . . . . . . . . . . . . . . . . . . . . . . . . . . . . . . . . . . . . . . . . . . . . . . . . . . . . 89
5.0 INSTALLING A LIEBERT ICOM UNIT-TO-UNIT NETWORK . . . . . . . . . . . . . . . . . . . . . . . . . . .91
5.1 Placement of Cooling Units . . . . . . . . . . . . . . . . . . . . . . . . . . . . . . . . . . . . . . . . . . . . . . . . . . . 91
5.1.1 Balancing Operating and Standby Units . . . . . . . . . . . . . . . . . . . . . . . . . . . . . . . . . . . . . . . . . 91
5.2 U2U Hardware: Cables and Network Switch . . . . . . . . . . . . . . . . . . . . . . . . . . . . . . . . . . . . . 92
5.3 Wiring for Unit-to-Unit Communications—U2U . . . . . . . . . . . . . . . . . . . . . . . . . . . . . . . . . . 92
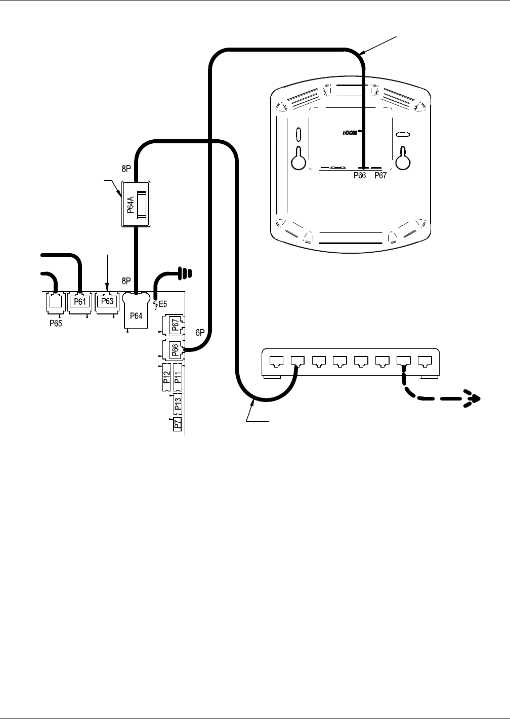
5.3.1 Wiring a Liebert iCOM U2U Network . . . . . . . . . . . . . . . . . . . . . . . . . . . . . . . . . . . . . . . . . . . 93
6.0 EXTERNAL COMMUNICATION—BUILDING MANAGEMENT SYSTEMS, LIEBERT
SITESCAN® . . . . . . . . . . . . . . . . . . . . . . . . . . . . . . . . . . . . . . . . . . . . . . . . . . . . . . . . . . .99
6.1 Building Management Failover Features . . . . . . . . . . . . . . . . . . . . . . . . . . . . . . . . . . . . . . . . 99

iii
6.2 Monitoring Points. . . . . . . . . . . . . . . . . . . . . . . . . . . . . . . . . . . . . . . . . . . . . . . . . . . . . . . . . . 100
7.0 USER MENU PARAMETERS . . . . . . . . . . . . . . . . . . . . . . . . . . . . . . . . . . . . . . . . . . . . . . .101
7.1 User-Setpoints Screens . . . . . . . . . . . . . . . . . . . . . . . . . . . . . . . . . . . . . . . . . . . . . . . . . . . . . 101
7.2 User-Graphic Menu Screens . . . . . . . . . . . . . . . . . . . . . . . . . . . . . . . . . . . . . . . . . . . . . . . . . 104
7.3 User-Set Alarms Menu Screens. . . . . . . . . . . . . . . . . . . . . . . . . . . . . . . . . . . . . . . . . . . . . . . 106
7.4 User-Sensor Data Menu Screens. . . . . . . . . . . . . . . . . . . . . . . . . . . . . . . . . . . . . . . . . . . . . . 109
7.5 User-Display Setup Menu Screen . . . . . . . . . . . . . . . . . . . . . . . . . . . . . . . . . . . . . . . . . . . . . 114
7.6 User-Total Run Hours Menu Screens . . . . . . . . . . . . . . . . . . . . . . . . . . . . . . . . . . . . . . . . . . 116
7.7 User-Sleep Mode Menu Screens . . . . . . . . . . . . . . . . . . . . . . . . . . . . . . . . . . . . . . . . . . . . . . 117
7.8 User-Condenser Timer Menu Screens . . . . . . . . . . . . . . . . . . . . . . . . . . . . . . . . . . . . . . . . . 118
7.9 User-Expansion View Menu Screens . . . . . . . . . . . . . . . . . . . . . . . . . . . . . . . . . . . . . . . . . . 120
8.0 SERVICE MENU PARAMETERS. . . . . . . . . . . . . . . . . . . . . . . . . . . . . . . . . . . . . . . . . . . . .121
8.1 Service-Setpoints Menu Screens . . . . . . . . . . . . . . . . . . . . . . . . . . . . . . . . . . . . . . . . . . . . . . 122
8.2 Service—Standby Settings / Lead Lag Menu Screen . . . . . . . . . . . . . . . . . . . . . . . . . . . . . . 134
8.3 Service-Maintenance / Wellness Menu Screens . . . . . . . . . . . . . . . . . . . . . . . . . . . . . . . . . . 136
8.4 Service-Diagnostics / Service Mode Screens . . . . . . . . . . . . . . . . . . . . . . . . . . . . . . . . . . . . . 141
8.5 Service-Set Alarms Menu Screens. . . . . . . . . . . . . . . . . . . . . . . . . . . . . . . . . . . . . . . . . . . . . 147
8.6 Service-iCOM-DO Setup Menu Screens . . . . . . . . . . . . . . . . . . . . . . . . . . . . . . . . . . . . . . . . 155
8.7 Service-Sensor Calibration Menu Screens . . . . . . . . . . . . . . . . . . . . . . . . . . . . . . . . . . . . . . 157
8.8 Service-Economizer Menu Screens . . . . . . . . . . . . . . . . . . . . . . . . . . . . . . . . . . . . . . . . . . . . 166
8.9 Service-System/Network Setup Menu Screens. . . . . . . . . . . . . . . . . . . . . . . . . . . . . . . . . . . 169
8.10 Service-System/Network Unit-Level Setup Menu Screens . . . . . . . . . . . . . . . . . . . . . . . . . 170
8.11 Service-Options Setup Menu Screens . . . . . . . . . . . . . . . . . . . . . . . . . . . . . . . . . . . . . . . . . . 173
8.12 Service-Service Contact Info Menu Screens . . . . . . . . . . . . . . . . . . . . . . . . . . . . . . . . . . . . . 179
8.13 Service-Remote Sensors Menu Screens. . . . . . . . . . . . . . . . . . . . . . . . . . . . . . . . . . . . . . . . . 180
8.14 Service-Expansion Device Setup Menu Screens. . . . . . . . . . . . . . . . . . . . . . . . . . . . . . . . . . 182

iv
FIGURES
Figure 1 Liebert iCOM components . . . . . . . . . . . . . . . . . . . . . . . . . . . . . . . . . . . . . . . . . . . . . . . . . . . . . . . . 1
Figure 2 Liebert iCOM display components . . . . . . . . . . . . . . . . . . . . . . . . . . . . . . . . . . . . . . . . . . . . . . . . . 2
Figure 3 Unit view status menu . . . . . . . . . . . . . . . . . . . . . . . . . . . . . . . . . . . . . . . . . . . . . . . . . . . . . . . . . . . 4
Figure 4 Liebert iCOM default screen symbols . . . . . . . . . . . . . . . . . . . . . . . . . . . . . . . . . . . . . . . . . . . . . . . 4
Figure 5 Use arrow keys to navigate among screens . . . . . . . . . . . . . . . . . . . . . . . . . . . . . . . . . . . . . . . . . . 5
Figure 6 Unit status menu, large display, graphical comma view . . . . . . . . . . . . . . . . . . . . . . . . . . . . . . . . 6
Figure 7 System screen with rack view of sensors . . . . . . . . . . . . . . . . . . . . . . . . . . . . . . . . . . . . . . . . . . . . 7
Figure 8 System screen . . . . . . . . . . . . . . . . . . . . . . . . . . . . . . . . . . . . . . . . . . . . . . . . . . . . . . . . . . . . . . . . . . 7
Figure 9 Unit view with rack sensor temperatures. . . . . . . . . . . . . . . . . . . . . . . . . . . . . . . . . . . . . . . . . . . . 8
Figure 10 Menu tree—Large display, stand-alone . . . . . . . . . . . . . . . . . . . . . . . . . . . . . . . . . . . . . . . . . . . . . 9
Figure 11 Navigation with a large display—single unit view. . . . . . . . . . . . . . . . . . . . . . . . . . . . . . . . . . . . 10
Figure 12 Navigation with a large display—Network view . . . . . . . . . . . . . . . . . . . . . . . . . . . . . . . . . . . . . 11
Figure 13 Menu tree—Small display, stand-alone or networked . . . . . . . . . . . . . . . . . . . . . . . . . . . . . . . . . 11
Figure 14 Entering a password. . . . . . . . . . . . . . . . . . . . . . . . . . . . . . . . . . . . . . . . . . . . . . . . . . . . . . . . . . . . 13
Figure 15 Menu tree—Large display, networked . . . . . . . . . . . . . . . . . . . . . . . . . . . . . . . . . . . . . . . . . . . . . 13
Figure 16 User menu icons . . . . . . . . . . . . . . . . . . . . . . . . . . . . . . . . . . . . . . . . . . . . . . . . . . . . . . . . . . . . . . . 14
Figure 17 Service menu icons . . . . . . . . . . . . . . . . . . . . . . . . . . . . . . . . . . . . . . . . . . . . . . . . . . . . . . . . . . . . . 16
Figure 18 Start-stop priority switches . . . . . . . . . . . . . . . . . . . . . . . . . . . . . . . . . . . . . . . . . . . . . . . . . . . . . . 19
Figure 19 Setting manual fan control and changing the setpoint . . . . . . . . . . . . . . . . . . . . . . . . . . . . . . . . 20
Figure 20 Energy efficiency—Air bypass through unit, no mechanical damper . . . . . . . . . . . . . . . . . . . . . 22
Figure 21 Energy efficiency—No bypass air, EC fan damper. . . . . . . . . . . . . . . . . . . . . . . . . . . . . . . . . . . . 22
Figure 22 Diagnostics/service mode screen, page 1 of 8 . . . . . . . . . . . . . . . . . . . . . . . . . . . . . . . . . . . . . . . . 24
Figure 23 DIP switch and jumper locations on Liebert iCOM control board. . . . . . . . . . . . . . . . . . . . . . . . 28
Figure 24 DIP switches in 2T sensors . . . . . . . . . . . . . . . . . . . . . . . . . . . . . . . . . . . . . . . . . . . . . . . . . . . . . . 29
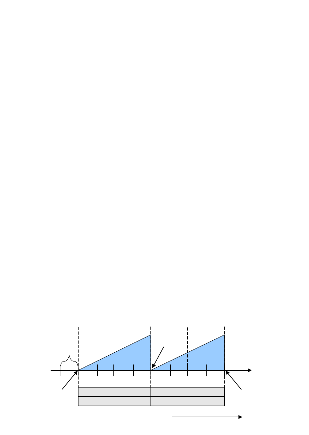
Figure 25 Temperature proportional band . . . . . . . . . . . . . . . . . . . . . . . . . . . . . . . . . . . . . . . . . . . . . . . . . . 30
Figure 26 One single-step compressor without unloaders . . . . . . . . . . . . . . . . . . . . . . . . . . . . . . . . . . . . . . 32
Figure 27 Two single-step compressors without unloaders or one compressor with an unloader
(two-step). . . . . . . . . . . . . . . . . . . . . . . . . . . . . . . . . . . . . . . . . . . . . . . . . . . . . . . . . . . . . . . . . . . . . 33
Figure 28 Two compressors with unloaders (four-step) . . . . . . . . . . . . . . . . . . . . . . . . . . . . . . . . . . . . . . . . 33
Figure 29 Digital scroll capacity modulation, 10-100% variable . . . . . . . . . . . . . . . . . . . . . . . . . . . . . . . . . 34
Figure 30 Single and dual digital scroll compressor activation points. . . . . . . . . . . . . . . . . . . . . . . . . . . . . 34
Figure 31 Chilled water valve control (example: cooling) . . . . . . . . . . . . . . . . . . . . . . . . . . . . . . . . . . . . . . . 35
Figure 32 Second cooling source and two-step compressorized cooling . . . . . . . . . . . . . . . . . . . . . . . . . . . . 36
Figure 33 Free-cooling and compressorized operation . . . . . . . . . . . . . . . . . . . . . . . . . . . . . . . . . . . . . . . . . 38
Figure 34 Temperature and humidity sensor connections—Liebert DS and Liebert CW . . . . . . . . . . . . . 39
Figure 35 Supply limit thermistor wiring and restricted airflow switch location . . . . . . . . . . . . . . . . . . . . 40
Figure 36 Air flow pattern of a Liebert Air Economizer system-regular ceiling . . . . . . . . . . . . . . . . . . . . . 42
Figure 37 Air flow pattern of a Liebert Air Economizer system-dropped ceiling . . . . . . . . . . . . . . . . . . . . 43
Figure 38 Operational ranges for chilled water systems and compressor systems . . . . . . . . . . . . . . . . . . . 45
Figure 39 Service/Economizer, page 1 of 3. . . . . . . . . . . . . . . . . . . . . . . . . . . . . . . . . . . . . . . . . . . . . . . . . . . 45
Figure 40 Setpoints screen, page 4 of 10 . . . . . . . . . . . . . . . . . . . . . . . . . . . . . . . . . . . . . . . . . . . . . . . . . . . . 46
Figure 41 Deactivation switch . . . . . . . . . . . . . . . . . . . . . . . . . . . . . . . . . . . . . . . . . . . . . . . . . . . . . . . . . . . . 47
Figure 42 Three-stage heating . . . . . . . . . . . . . . . . . . . . . . . . . . . . . . . . . . . . . . . . . . . . . . . . . . . . . . . . . . . . 49
Figure 43 Two single-step compressors with SCR reheat set to Tight mode. . . . . . . . . . . . . . . . . . . . . . . . 50
Figure 44 Two single-step compressors with SCR reheat set to Standard mode . . . . . . . . . . . . . . . . . . . . 51
Figure 45 Humidity proportional band . . . . . . . . . . . . . . . . . . . . . . . . . . . . . . . . . . . . . . . . . . . . . . . . . . . . . 52
Figure 46 Setpoints screen, page 3 of 9 . . . . . . . . . . . . . . . . . . . . . . . . . . . . . . . . . . . . . . . . . . . . . . . . . . . . . 55
Figure 47 Dehumidification and reheat control bands . . . . . . . . . . . . . . . . . . . . . . . . . . . . . . . . . . . . . . . . . 57
Figure 48 Placing the supply air temperature sensor . . . . . . . . . . . . . . . . . . . . . . . . . . . . . . . . . . . . . . . . . . 58

v
Figure 49 Return Compensation Setpoint in Service Menu . . . . . . . . . . . . . . . . . . . . . . . . . . . . . . . . . . . . . 61
Figure 50 Return Compensation in Unit View . . . . . . . . . . . . . . . . . . . . . . . . . . . . . . . . . . . . . . . . . . . . . . . 61
Figure 51 Return Compensation control band. . . . . . . . . . . . . . . . . . . . . . . . . . . . . . . . . . . . . . . . . . . . . . . . 62
Figure 52 Return Compensation setpoint deviation . . . . . . . . . . . . . . . . . . . . . . . . . . . . . . . . . . . . . . . . . . . 62
Figure 53 Supply compensation . . . . . . . . . . . . . . . . . . . . . . . . . . . . . . . . . . . . . . . . . . . . . . . . . . . . . . . . . . . 63
Figure 54 Supply Compensation in Unit View . . . . . . . . . . . . . . . . . . . . . . . . . . . . . . . . . . . . . . . . . . . . . . . 63
Figure 55 Supply compensation . . . . . . . . . . . . . . . . . . . . . . . . . . . . . . . . . . . . . . . . . . . . . . . . . . . . . . . . . . . 64
Figure 56 Temperature/humidity/static pressure control sensors in Optimized Aisle . . . . . . . . . . . . . . . . 64
Figure 57 Senor placement . . . . . . . . . . . . . . . . . . . . . . . . . . . . . . . . . . . . . . . . . . . . . . . . . . . . . . . . . . . . . . . 65
Figure 58 Single static pressure sensor Liebert iCOM installation . . . . . . . . . . . . . . . . . . . . . . . . . . . . . . . 66
Figure 59 Static pressure sensor placement . . . . . . . . . . . . . . . . . . . . . . . . . . . . . . . . . . . . . . . . . . . . . . . . . 66
Figure 60 S190 Limit. . . . . . . . . . . . . . . . . . . . . . . . . . . . . . . . . . . . . . . . . . . . . . . . . . . . . . . . . . . . . . . . . . . . 67
Figure 61 S190 Control . . . . . . . . . . . . . . . . . . . . . . . . . . . . . . . . . . . . . . . . . . . . . . . . . . . . . . . . . . . . . . . . . . 67
Figure 62 Analog connection control board switch . . . . . . . . . . . . . . . . . . . . . . . . . . . . . . . . . . . . . . . . . . . . 72
Figure 63 Wellness—Basic settings screen, page 1 of 9 . . . . . . . . . . . . . . . . . . . . . . . . . . . . . . . . . . . . . . . . 75
Figure 64 Teamwork Mode 1, serial staging . . . . . . . . . . . . . . . . . . . . . . . . . . . . . . . . . . . . . . . . . . . . . . . . . 79
Figure 65 Teamwork Mode 3—Fixed speed vs. variable speed . . . . . . . . . . . . . . . . . . . . . . . . . . . . . . . . . . 80
Figure 66 Remote sensors . . . . . . . . . . . . . . . . . . . . . . . . . . . . . . . . . . . . . . . . . . . . . . . . . . . . . . . . . . . . . . . . 82
Figure 67 Sensor positioning . . . . . . . . . . . . . . . . . . . . . . . . . . . . . . . . . . . . . . . . . . . . . . . . . . . . . . . . . . . . . 82
Figure 68 2T sensor . . . . . . . . . . . . . . . . . . . . . . . . . . . . . . . . . . . . . . . . . . . . . . . . . . . . . . . . . . . . . . . . . . . . . 83
Figure 69 Setting DIP switches for 2T sensors . . . . . . . . . . . . . . . . . . . . . . . . . . . . . . . . . . . . . . . . . . . . . . . 83
Figure 70 DIP switches in 2T sensors . . . . . . . . . . . . . . . . . . . . . . . . . . . . . . . . . . . . . . . . . . . . . . . . . . . . . . 84
Figure 71 Setting 2T Sensor DIP Switches . . . . . . . . . . . . . . . . . . . . . . . . . . . . . . . . . . . . . . . . . . . . . . . . . . 85
Figure 72 2T sensor arrangement and termination . . . . . . . . . . . . . . . . . . . . . . . . . . . . . . . . . . . . . . . . . . . 85
Figure 73 Termination jumper setting. . . . . . . . . . . . . . . . . . . . . . . . . . . . . . . . . . . . . . . . . . . . . . . . . . . . . . 86
Figure 74 Connect CANbus cable . . . . . . . . . . . . . . . . . . . . . . . . . . . . . . . . . . . . . . . . . . . . . . . . . . . . . . . . . . 87
Figure 75 Install grounding ring connector . . . . . . . . . . . . . . . . . . . . . . . . . . . . . . . . . . . . . . . . . . . . . . . . . . 88
Figure 76 Standby unit layout example—10 cooling units in room . . . . . . . . . . . . . . . . . . . . . . . . . . . . . . . 91
Figure 77 Connecting two cooling units, each with a small display, using a crossover Ethernet
cable. . . . . . . . . . . . . . . . . . . . . . . . . . . . . . . . . . . . . . . . . . . . . . . . . . . . . . . . . . . . . . . . . . . . . . . . . 93
Figure 78 U2U network setup diagram . . . . . . . . . . . . . . . . . . . . . . . . . . . . . . . . . . . . . . . . . . . . . . . . . . . . . 94
Figure 79 Wiring a small display for stand-alone operation. . . . . . . . . . . . . . . . . . . . . . . . . . . . . . . . . . . . . 95
Figure 80 Wiring a small display for U2U network operation . . . . . . . . . . . . . . . . . . . . . . . . . . . . . . . . . . . 96
Figure 81 Wiring a large display for U2U network operation . . . . . . . . . . . . . . . . . . . . . . . . . . . . . . . . . . . 97
Figure 82 Liebert vNSA with optional remote large display . . . . . . . . . . . . . . . . . . . . . . . . . . . . . . . . . . . . 98
Figure 83 Liebert Monitoring Points Generator interface . . . . . . . . . . . . . . . . . . . . . . . . . . . . . . . . . . . . . 100
Figure 84 User menu icons . . . . . . . . . . . . . . . . . . . . . . . . . . . . . . . . . . . . . . . . . . . . . . . . . . . . . . . . . . . . . . 101
Figure 85 Setpoints screen, page 1 . . . . . . . . . . . . . . . . . . . . . . . . . . . . . . . . . . . . . . . . . . . . . . . . . . . . . . . . 101
Figure 86 Setpoints screen, page 2 . . . . . . . . . . . . . . . . . . . . . . . . . . . . . . . . . . . . . . . . . . . . . . . . . . . . . . . . 103
Figure 87 Graphs, page 1 . . . . . . . . . . . . . . . . . . . . . . . . . . . . . . . . . . . . . . . . . . . . . . . . . . . . . . . . . . . . . . . 104
Figure 88 Graphs, page 2 . . . . . . . . . . . . . . . . . . . . . . . . . . . . . . . . . . . . . . . . . . . . . . . . . . . . . . . . . . . . . . . 104
Figure 89 Set alarms screen, page 1. . . . . . . . . . . . . . . . . . . . . . . . . . . . . . . . . . . . . . . . . . . . . . . . . . . . . . . 106
Figure 90 Set alarms screen, page 2. . . . . . . . . . . . . . . . . . . . . . . . . . . . . . . . . . . . . . . . . . . . . . . . . . . . . . . 107
Figure 91 Set alarms screen, page 3. . . . . . . . . . . . . . . . . . . . . . . . . . . . . . . . . . . . . . . . . . . . . . . . . . . . . . . 108
Figure 92 Set alarms screen, page 4. . . . . . . . . . . . . . . . . . . . . . . . . . . . . . . . . . . . . . . . . . . . . . . . . . . . . . . 108
Figure 93 Sensor data screen, page 1. . . . . . . . . . . . . . . . . . . . . . . . . . . . . . . . . . . . . . . . . . . . . . . . . . . . . . 109
Figure 94 Sensor data screen, page 2 (return only). . . . . . . . . . . . . . . . . . . . . . . . . . . . . . . . . . . . . . . . . . . 111
Figure 95 Sensor data screen, page 3. . . . . . . . . . . . . . . . . . . . . . . . . . . . . . . . . . . . . . . . . . . . . . . . . . . . . . 112
Figure 96 Sensor data screen, page 4. . . . . . . . . . . . . . . . . . . . . . . . . . . . . . . . . . . . . . . . . . . . . . . . . . . . . . 113
Figure 97 Sensor data screen, page 5. . . . . . . . . . . . . . . . . . . . . . . . . . . . . . . . . . . . . . . . . . . . . . . . . . . . . . 114
Figure 98 Display setup screen, page 1 . . . . . . . . . . . . . . . . . . . . . . . . . . . . . . . . . . . . . . . . . . . . . . . . . . . . 114

vi
Figure 99 Display setup screen, page 2 . . . . . . . . . . . . . . . . . . . . . . . . . . . . . . . . . . . . . . . . . . . . . . . . . . . . 116
Figure 100 Total run hours screen . . . . . . . . . . . . . . . . . . . . . . . . . . . . . . . . . . . . . . . . . . . . . . . . . . . . . . . . . 116
Figure 101 Sleep mode screen . . . . . . . . . . . . . . . . . . . . . . . . . . . . . . . . . . . . . . . . . . . . . . . . . . . . . . . . . . . . 117
Figure 102 Condenser timer screen—page 1 . . . . . . . . . . . . . . . . . . . . . . . . . . . . . . . . . . . . . . . . . . . . . . . . . 118
Figure 103 Condenser timer screen—page 2 . . . . . . . . . . . . . . . . . . . . . . . . . . . . . . . . . . . . . . . . . . . . . . . . . 119
Figure 104 Expansion Device View, page 1 . . . . . . . . . . . . . . . . . . . . . . . . . . . . . . . . . . . . . . . . . . . . . . . . . . 120
Figure 105 Service Menu Main Screen . . . . . . . . . . . . . . . . . . . . . . . . . . . . . . . . . . . . . . . . . . . . . . . . . . . . . 121
Figure 106 Setpoints screen, page 1 of 10 . . . . . . . . . . . . . . . . . . . . . . . . . . . . . . . . . . . . . . . . . . . . . . . . . . . 122
Figure 107 Setpoints screen, page 2 of 10 . . . . . . . . . . . . . . . . . . . . . . . . . . . . . . . . . . . . . . . . . . . . . . . . . . . 123
Figure 108 Setpoints screen, page 3 of 10 . . . . . . . . . . . . . . . . . . . . . . . . . . . . . . . . . . . . . . . . . . . . . . . . . . . 124
Figure 109 Setpoints screen, page 4 of 10 . . . . . . . . . . . . . . . . . . . . . . . . . . . . . . . . . . . . . . . . . . . . . . . . . . . 126
Figure 110 Setpoints screen, page 5 of 10 . . . . . . . . . . . . . . . . . . . . . . . . . . . . . . . . . . . . . . . . . . . . . . . . . . . 127
Figure 111 Setpoints screen, page 6 of 10 . . . . . . . . . . . . . . . . . . . . . . . . . . . . . . . . . . . . . . . . . . . . . . . . . . . 128
Figure 112 Setpoints screen, page 7 of 10 . . . . . . . . . . . . . . . . . . . . . . . . . . . . . . . . . . . . . . . . . . . . . . . . . . . 130
Figure 113 Setpoints screen, page 8 of 10 . . . . . . . . . . . . . . . . . . . . . . . . . . . . . . . . . . . . . . . . . . . . . . . . . . . 131
Figure 114 Setpoints screen, page 9 of 10 . . . . . . . . . . . . . . . . . . . . . . . . . . . . . . . . . . . . . . . . . . . . . . . . . . . 132
Figure 115 Setpoints screen, page 10 of 10 . . . . . . . . . . . . . . . . . . . . . . . . . . . . . . . . . . . . . . . . . . . . . . . . . . 133
Figure 116 Standby settings / lead-lag screen, page 1 . . . . . . . . . . . . . . . . . . . . . . . . . . . . . . . . . . . . . . . . . 134
Figure 117 Standby settings / lead-lag screen, page 2 . . . . . . . . . . . . . . . . . . . . . . . . . . . . . . . . . . . . . . . . . 135
Figure 118 Wellness—Basic settings screen, page 1 of 9 . . . . . . . . . . . . . . . . . . . . . . . . . . . . . . . . . . . . . . . 136
Figure 119 Wellness—Motor settings screen, page 2 of 9. . . . . . . . . . . . . . . . . . . . . . . . . . . . . . . . . . . . . . . 137
Figure 120 Wellness—Compressor 1 settings screen, page 3 of 9 . . . . . . . . . . . . . . . . . . . . . . . . . . . . . . . . 137
Figure 121 Wellness—Compressor 2 settings screen, page 4 of 9 . . . . . . . . . . . . . . . . . . . . . . . . . . . . . . . . 138
Figure 122 Wellness—Electric heater 1 settings screen, page 5 of 9 . . . . . . . . . . . . . . . . . . . . . . . . . . . . . . 138
Figure 123 Wellness—Electric heater 2 settings screen, page 6 of 9 . . . . . . . . . . . . . . . . . . . . . . . . . . . . . . 139
Figure 124 Wellness—Electric heater 3 settings screen, page 7 of 9 . . . . . . . . . . . . . . . . . . . . . . . . . . . . . . 139
Figure 125 Wellness—Humidifier settings screen, page 8 of 9 . . . . . . . . . . . . . . . . . . . . . . . . . . . . . . . . . . 140
Figure 126 Wellness—Economizer settings screen, page 9 of 9 . . . . . . . . . . . . . . . . . . . . . . . . . . . . . . . . . . 140
Figure 127 Diagnostics/service mode screen, page 1 of 8 . . . . . . . . . . . . . . . . . . . . . . . . . . . . . . . . . . . . . . . 141
Figure 128 Diagnostics/service mode screen, page 2 of 8 . . . . . . . . . . . . . . . . . . . . . . . . . . . . . . . . . . . . . . . 142
Figure 129 Diagnostics/service mode screen, page 3 of 8 . . . . . . . . . . . . . . . . . . . . . . . . . . . . . . . . . . . . . . . 143
Figure 130 Diagnostics/service mode screen, page 4 of 8 . . . . . . . . . . . . . . . . . . . . . . . . . . . . . . . . . . . . . . . 144
Figure 131 Diagnostics/service mode screen, page 5 of 8 . . . . . . . . . . . . . . . . . . . . . . . . . . . . . . . . . . . . . . . 145
Figure 132 Diagnostics/service mode screen, page 6 of 8 . . . . . . . . . . . . . . . . . . . . . . . . . . . . . . . . . . . . . . . 146
Figure 133 Diagnostics/service mode screen, page 7 of 8 . . . . . . . . . . . . . . . . . . . . . . . . . . . . . . . . . . . . . . . 146
Figure 134 Diagnostics/service mode screen, page 8 of 8 . . . . . . . . . . . . . . . . . . . . . . . . . . . . . . . . . . . . . . . 147
Figure 135 Set alarms screen, page 1 of 11 . . . . . . . . . . . . . . . . . . . . . . . . . . . . . . . . . . . . . . . . . . . . . . . . . . 148
Figure 136 Set alarms screen, page 2 of 11 . . . . . . . . . . . . . . . . . . . . . . . . . . . . . . . . . . . . . . . . . . . . . . . . . . 149
Figure 137 Set alarms screen, page 3 of 11 . . . . . . . . . . . . . . . . . . . . . . . . . . . . . . . . . . . . . . . . . . . . . . . . . . 150
Figure 138 Set alarms screen, page 4 of 11 . . . . . . . . . . . . . . . . . . . . . . . . . . . . . . . . . . . . . . . . . . . . . . . . . . 151
Figure 139 Set alarms screen, page 5 of 11 . . . . . . . . . . . . . . . . . . . . . . . . . . . . . . . . . . . . . . . . . . . . . . . . . . 151
Figure 140 Set alarms screen, page 6 of 11 . . . . . . . . . . . . . . . . . . . . . . . . . . . . . . . . . . . . . . . . . . . . . . . . . . 152
Figure 141 Set alarms screen, page 7 of 11 . . . . . . . . . . . . . . . . . . . . . . . . . . . . . . . . . . . . . . . . . . . . . . . . . . 152
Figure 142 Set alarms screen, page 8 of 11 . . . . . . . . . . . . . . . . . . . . . . . . . . . . . . . . . . . . . . . . . . . . . . . . . . 153
Figure 143 Set alarms screen, page 9 of 11 . . . . . . . . . . . . . . . . . . . . . . . . . . . . . . . . . . . . . . . . . . . . . . . . . . 153
Figure 144 Set alarms screen, page 10 of 11 . . . . . . . . . . . . . . . . . . . . . . . . . . . . . . . . . . . . . . . . . . . . . . . . . 154
Figure 145 Set alarms screen, page 11 of 11 . . . . . . . . . . . . . . . . . . . . . . . . . . . . . . . . . . . . . . . . . . . . . . . . . 154
Figure 146 iCOM-DO overview and override screen, page 1 of 3 . . . . . . . . . . . . . . . . . . . . . . . . . . . . . . . . . 155
Figure 147 iCOM-DO events setup screen, page 2 of 3 . . . . . . . . . . . . . . . . . . . . . . . . . . . . . . . . . . . . . . . . . 156
Figure 148 Liebert iCOM-DO events setup screen, page 3 of 3 . . . . . . . . . . . . . . . . . . . . . . . . . . . . . . . . . . 156

vii
Figure 149 Sensor calibration setup screen, page 1 of 12 . . . . . . . . . . . . . . . . . . . . . . . . . . . . . . . . . . . . . . . 157
Figure 150 Sensor calibration/setup screen, page 2 of 12 . . . . . . . . . . . . . . . . . . . . . . . . . . . . . . . . . . . . . . . 158
Figure 151 Sensor calibration/setup screen, page 3 of 12 . . . . . . . . . . . . . . . . . . . . . . . . . . . . . . . . . . . . . . . 158
Figure 152 Sensor calibration/setup screen, page 4 of 12 . . . . . . . . . . . . . . . . . . . . . . . . . . . . . . . . . . . . . . . 159
Figure 153 Sensor calibration/setup screen, page 5 of 12 . . . . . . . . . . . . . . . . . . . . . . . . . . . . . . . . . . . . . . . 160
Figure 154 Sensor calibration/setup screen, page 6 of 12 . . . . . . . . . . . . . . . . . . . . . . . . . . . . . . . . . . . . . . . 160
Figure 155 Sensor calibration/setup screen, pages 7 and 8 of 12 . . . . . . . . . . . . . . . . . . . . . . . . . . . . . . . . . 161
Figure 156 Sensor calibration/setup screen, page 9 of 12 . . . . . . . . . . . . . . . . . . . . . . . . . . . . . . . . . . . . . . . 162
Figure 157 Sensor calibration/setup screen, page 10 of 12 . . . . . . . . . . . . . . . . . . . . . . . . . . . . . . . . . . . . . . 163
Figure 158 Sensor calibration/setup screen, page 11 of 12 . . . . . . . . . . . . . . . . . . . . . . . . . . . . . . . . . . . . . . 164
Figure 159 Sensor calibration/setup screen, page 12 of 12 . . . . . . . . . . . . . . . . . . . . . . . . . . . . . . . . . . . . . . 165
Figure 160 Economizer, page 1 of 3 . . . . . . . . . . . . . . . . . . . . . . . . . . . . . . . . . . . . . . . . . . . . . . . . . . . . . . . . 166
Figure 161 Economizer, page 2 of 3 . . . . . . . . . . . . . . . . . . . . . . . . . . . . . . . . . . . . . . . . . . . . . . . . . . . . . . . . 167
Figure 162 Economizer, page 3 of 3 . . . . . . . . . . . . . . . . . . . . . . . . . . . . . . . . . . . . . . . . . . . . . . . . . . . . . . . . 168
Figure 163 System/network setup screen—System, page 1 of 2 (large display only) . . . . . . . . . . . . . . . . . 169
Figure 164 System/network setup screen—System, page 2 of 2 (large display only) . . . . . . . . . . . . . . . . . 170
Figure 165 System/network setup screen—Unit, page 1 of 2 . . . . . . . . . . . . . . . . . . . . . . . . . . . . . . . . . . . . 170
Figure 166 System/network setup screen—Unit, page 2 of 2 . . . . . . . . . . . . . . . . . . . . . . . . . . . . . . . . . . . . 172
Figure 167 Options setup, page 1 of 6 . . . . . . . . . . . . . . . . . . . . . . . . . . . . . . . . . . . . . . . . . . . . . . . . . . . . . . 173
Figure 168 Options setup, page 2 of 6 . . . . . . . . . . . . . . . . . . . . . . . . . . . . . . . . . . . . . . . . . . . . . . . . . . . . . . 174
Figure 169 Options setup, page 3 of 6 . . . . . . . . . . . . . . . . . . . . . . . . . . . . . . . . . . . . . . . . . . . . . . . . . . . . . . 175
Figure 170 Options setup, page 4 of 6 . . . . . . . . . . . . . . . . . . . . . . . . . . . . . . . . . . . . . . . . . . . . . . . . . . . . . . 176
Figure 171 Options setup, page 5 of 6 . . . . . . . . . . . . . . . . . . . . . . . . . . . . . . . . . . . . . . . . . . . . . . . . . . . . . . 177
Figure 172 Options setup, page 6 of 6 . . . . . . . . . . . . . . . . . . . . . . . . . . . . . . . . . . . . . . . . . . . . . . . . . . . . . . 178
Figure 173 Remote sensors, page 1 of 2 . . . . . . . . . . . . . . . . . . . . . . . . . . . . . . . . . . . . . . . . . . . . . . . . . . . . . 180
Figure 174 Remote sensors, page 2 of 2 . . . . . . . . . . . . . . . . . . . . . . . . . . . . . . . . . . . . . . . . . . . . . . . . . . . . . 181
Figure 175 Expansion device, page 1 of 3 . . . . . . . . . . . . . . . . . . . . . . . . . . . . . . . . . . . . . . . . . . . . . . . . . . . 182
Figure 176 Expansion device, pages 2 and 3 . . . . . . . . . . . . . . . . . . . . . . . . . . . . . . . . . . . . . . . . . . . . . . . . . 183

viii
TABLES
Table 1 Keyboard icons and functions. . . . . . . . . . . . . . . . . . . . . . . . . . . . . . . . . . . . . . . . . . . . . . . . . . . . . . . 3
Table 2 User menu icons . . . . . . . . . . . . . . . . . . . . . . . . . . . . . . . . . . . . . . . . . . . . . . . . . . . . . . . . . . . . . . . . 14
Table 3 Service menu icons . . . . . . . . . . . . . . . . . . . . . . . . . . . . . . . . . . . . . . . . . . . . . . . . . . . . . . . . . . . . . . 16
Table 4 Controlling sensor settings. . . . . . . . . . . . . . . . . . . . . . . . . . . . . . . . . . . . . . . . . . . . . . . . . . . . . . . . 20
Table 5 DIP switches in 2T sensors. . . . . . . . . . . . . . . . . . . . . . . . . . . . . . . . . . . . . . . . . . . . . . . . . . . . . . . . 29
Table 6 PI control troubleshooting . . . . . . . . . . . . . . . . . . . . . . . . . . . . . . . . . . . . . . . . . . . . . . . . . . . . . . . . 31
Table 7 Reheat configuration types. . . . . . . . . . . . . . . . . . . . . . . . . . . . . . . . . . . . . . . . . . . . . . . . . . . . . . . . 49
Table 8 Parameters for infrared humidifier control. . . . . . . . . . . . . . . . . . . . . . . . . . . . . . . . . . . . . . . . . . . 54
Table 9 Dehumidification With Comp settings. . . . . . . . . . . . . . . . . . . . . . . . . . . . . . . . . . . . . . . . . . . . . . . 56
Table 10 DIP switches in 2T sensors. . . . . . . . . . . . . . . . . . . . . . . . . . . . . . . . . . . . . . . . . . . . . . . . . . . . . . . . 58
Table 11 Possible event settings—some events not available in all units . . . . . . . . . . . . . . . . . . . . . . . . . . 69
Table 12 Customer inputs . . . . . . . . . . . . . . . . . . . . . . . . . . . . . . . . . . . . . . . . . . . . . . . . . . . . . . . . . . . . . . . . 71
Table 13 Number of analog inputs . . . . . . . . . . . . . . . . . . . . . . . . . . . . . . . . . . . . . . . . . . . . . . . . . . . . . . . . . 72
Table 14 Alarm mapping . . . . . . . . . . . . . . . . . . . . . . . . . . . . . . . . . . . . . . . . . . . . . . . . . . . . . . . . . . . . . . . . . 73
Table 15 Analog connection control board switch position . . . . . . . . . . . . . . . . . . . . . . . . . . . . . . . . . . . . . . 73
Table 16 Event notifications—large or small display . . . . . . . . . . . . . . . . . . . . . . . . . . . . . . . . . . . . . . . . . . 74
Table 17 DIP switch settings for remote sensor applications . . . . . . . . . . . . . . . . . . . . . . . . . . . . . . . . . . . . 84
Table 18 Sample Liebert iCOM network configurations . . . . . . . . . . . . . . . . . . . . . . . . . . . . . . . . . . . . . . . . 92
Table 19 Ports available for connecting Liebert iCOMs . . . . . . . . . . . . . . . . . . . . . . . . . . . . . . . . . . . . . . . . 98
Table 20 Service contact information parameters . . . . . . . . . . . . . . . . . . . . . . . . . . . . . . . . . . . . . . . . . . . . 179

Introduction
1Liebert
® iCOM®
1.0 INTRODUCTION
The Liebert iCOM offers the highest capabilities in unit control, communication and monitoring of
Liebert mission-critical cooling units.
Liebert iCOM may be used to combine multiple cooling units into a team that operates as a single
entity, enhancing the already-high performance and efficiency of Liebert’s units.
Liebert iCOM is available as a factory-installed assembly or may be retrofitted on existing products
with SM, AM or AG controls. Large graphic display wall-mount versions of the control are available
for remote operation and monitoring of cooling units.
1.1 Features
Large and Small Displays
The Liebert iCOM is available with either a large or small liquid crystal display.
•The Liebert iCOM with small display has a 128 x 64 dot matrix screen that simultaneously
shows two menu icons, along with descriptive text. This display is capable of controlling only the
unit it is directly connected to. The Liebert iCOM small display is not available on the Liebert
DSE™.
•The Liebert iCOM with large display has a 320 x 240 dot matrix screen that shows up to 16
menu icons at a time, as well as descriptive text. This display can be used to control a single
cooling unit or any cooling unit on a network, regardless of how it is connected—either integrated
into a cooling unit or simply connected to the network and mounted remotely.
Liebert iCOM’s menu-driven display is used for all programming functions on each connected cooling
unit. The Status menu shows the status of the conditioned space, such as room temperature and
humidity, temperature and humidity setpoints, alarm status and settings, event histories and the
current time.
Figure 1 Liebert iCOM components
Wall Mount Large Display
Direct Panel Mount
Small Display and Bezel
Direct Panel Mount Large Display and Bezel
Liebert iCOM Input/Output Board

Liebert iCOM Display Components and Functions
Liebert® iCOM®2
2.0 LIEBERT ICOM DISPLAY COMPONENTS AND FUNCTIONS
The small and the large display have a common key layout, as shown in Figure 2.
Figure 2 Liebert iCOM display components
NOTICE
Risk of inadvertent system shutdown. Can cause loss of cooling and equipment damage.
Pressing the On/Off key on a Liebert iCOM large display while the system screen is shown
permits shutting down all units on the network.
Large Liebert iCOM displays can view and control other units on the network when they are
in the same group. When turning a unit Off or On with the large display, make sure that the
unit to be shut down or started up is shown on the screen. If the system screen is shown and
the On/Off key is pressed, the Liebert iCOM shows a notification that pressing the On/Off key
again will turn Off all units on the network. See 7.5 - User-Display Setup Menu Screen to
disable this function.
NOTE
The Help key may be pressed at any time for a brief explanation of what is being viewed.
ESC
?
Liquid Crystal Display
Keypad
Large Liebert iCOM Display
shown - Keypad and LEDs are
identical on all displays.
LED Status Indicators
(top LED is red or
flashing red; bottom
LED is green or amber)
ESC
?
On/Off Key
Escape Key Down Arrow Key
Up Arrow Key
Left Arrow Key Right Arrow KeyEnter Key
Alarm Key
Help Key

Liebert iCOM Display Components and Functions
3Liebert
® iCOM®
Table 1 Keyboard icons and functions
Icon Key Name Function
On/Off Key Begins Shutdown or Startup.
Alarm Key Silences/Resets an alarm.
Help Key Accesses integrated help menus.
ESCape Key Returns to the previous display view.
Enter Key Confirms all selections and selects icons or text.
Increase Key
(Up Arrow) Moves upward in a menu or increases the value of a selected parameter.
Decrease Key
(Down Arrow) Moves downward in a menu or reduces the value of a selected parameter.
Left and Right
Arrow Keys Navigates through text and sections of the display.
Upper LED
Blinking Red—Active, unacknowledged alarm exists
Solid Red—Active, acknowledged alarm exists
Lower LED
Amber—Power is available to the unit, unit is NOT operating
Green—Power is available to the unit, unit is operating
Lower LED Green and Amber LEDs will flash alternately when the unit is in Standby
?
ESC

Liebert iCOM Display Components and Functions
Liebert® iCOM®4
2.1 Control Interface—Large Display
The Liebert iCOM automatically opens to the Unit View Status Menu when the cooling unit is
started. This view will display “Unit 1” in the upper right corner of the screen.
Figure 3 Unit view status menu
When no button on the Liebert iCOM control has been pressed for a short period, the display
backlight turns Off. Pressing any key will reactivate the screen and display the status menu of the
last cooling unit viewed.
The status menu will show the cooling unit’s operational mode, including information such as return
air temperature and humidity readings, temperature and humidity setpoints and any active alarms.
Symbols on the Liebert iCOM screens, shown in Figure 4, denote the operating modes.
Figure 4 Liebert iCOM default screen symbols
Liebert iCOM
Navigation
Guide
Immediately
Preceding
Status
Current
Status
Current Fan
Speed
Percentage
Current
Cooling
Next Scheduled
Maintenance
Date
Unit
Identification
Setpoints
(Return Temperature, Humidity
and Supply Temperature)
Actual
Return
Temperature,
Humidity and
Supply
Temperature
Freecooling
Hot Water
Fan Cooling Maintenance
Electric Heat Dehumidification Humidification

Liebert iCOM Display Components and Functions
5Liebert
® iCOM®
A Liebert iCOM will show only icons for functions available on the unit it is connected to. For
instance, a Liebert iCOM on a unit that does not perform humidification or dehumidification will not
display icons for those functions.
Cooling systems may also disable functions temporarily for protective reasons. Icons for disabled
functions will be displayed with a large X over them. The X will disappear when the function becomes
available.
2.1.1 Navigating to Various Views in the Liebert iCOM
Pressing any of the Liebert iCOM’s arrow keys in the Unit View Status Menu brings screens with
different information.
The bottom of the screen serves as a navigation guide, illustrating what buttons do in various Liebert
iCOM screens; see Figure 5).
Figure 5 Use arrow keys to navigate among screens
Use the Liebert
iCOM arrow keys to
move from one
screen to another.
SYSTEM VIEW
Rack View of Sensors
UNIT VIEW
Rack Sensor Temperatures
SYSTEM VIEW
(No Teamwork) UNIT VIEW

Liebert iCOM Display Components and Functions
Liebert® iCOM®6
Figure 6 Unit status menu, large display, graphical comma view
Figure 6 shows all icons and status bars for illustration only. Not all icons and status bars will be
displayed on a particular unit. The Liebert iCOM will display icons and status only for functions
available on the unit it is attached to. Some icons may, at times, be shown with an X over them,
indicating that the function is temporarily disabled. The X will disappear when the component or
function is re-enabled.
2.2 System Screen
The System Screen with Rack View of Sensors will display the average, maximum and minimum of
all connected sensors for the supply, return and remote sensors.
This screen may display the total airflow of the connected units within the group, static pressure
control point and temperatures reported by the wireless sensor(s) when the applicable devices are
installed.
Evaporator
Fan Speed
Return Air
Temperature
Setpoint
Return Air
Humidity
Setpoint Return Air
Humidity
Supply Air
Temperature
(optional)
Percent Hot Water
Heating
Most Recent Log
Events (Date,
Time, Unit,
Description)
System or
Unit # view
Percent Cooling
Free-Cooling
Percentage
Date and Time
Return Air
Temperature
Percent Humidifying
Percent Electric
Heating
Percent Dehumidifying
Next Maintenance
Unit Status
Static Pressure
Cooling Capacity
Liebert iCOM
Navigation
Guide
Supply Air
Setpoint)
Unit Name
Air Flow
Fluid
Flow
Rate

Liebert iCOM Display Components and Functions
7Liebert
® iCOM®
Figure 7 System screen with rack view of sensors
System Screen will indicate if Teamwork is turned On and which teamwork mode is currently set
within the control.
This system screen displays the unit operation by displaying the average of all active components
from each unit within the system.
Figure 8 System screen
Cooling Control
Type (System or
Local)
Fan Control
Type (System,
BMS or Local)
Fan Control
Sensor
Total System
Airflow
Calculated Next
Maintenance
Teamwork Mode
System
Percent Fan
System Percent
Cooling
Wireless Sensor
Non-Weighted
Value
Wireless
Sensor
Weighted Value
System
Status
Navigation
Guide
Date and Time
Most Recent
System Events
(Date, Time, Unit,
Description)

Liebert iCOM Display Components and Functions
Liebert® iCOM®8
2.3 Unit View with Rack Sensors
This screen is shown when rack sensors have been configured for control or reference. The
temperatures at the top of the main unit screen are based on which sensors are used for controlling
airflow, cooling capacity and humidification.
The data at the upper left of the screen can be either average or maximum rack temperature,
depending on the selection in the Remote Sensors Mode. The data at the upper middle of the screen
can be either dew point or relative humidity, depending on humidity control type.
Each unit can display individual remote rack sensor readings. The readings will be either an average
or maximum reading between the two sensors connected at each 2T sensor module.
The bar graph’s upper limit is set at 77°F (25.0°C). The lower limit is set at 68°F (20°C), the rack inlet
temperature range recommended by ASHRAE. When a rack temperature is at or above the upper
limit, the bar graph will be all black. When a rack temperature is at or below the lower limit, the bar
graph will be all white.
Figure 9 Unit view with rack sensor temperatures
2.4 Navigating Through the Liebert iCOM Menus
Liebert iCOM shows icons and text for monitoring and controlling your Liebert cooling units or
network of cooling units. The number of icons and amount of text shown depends on the display size.
The Liebert iCOM has three main menus; User, Service and Advanced.
The User menu contains the most frequently used features, settings and status information. The
Service menu contains settings and features used to set up unit communications and for unit
maintenance. The Advanced menu contains settings used to set up the unit at the factory. Do not
attempt to make any changes in the Advanced menu without consulting the factory first.
NOTE
Menu settings may be viewed without a password, but changing settings requires a password.
The password for the User menu is 1490. The password for Service menu is 5010. For details
on entering a password, see Entering a Password on page 12
Can be either
average
temperature
or maximum
temperature
Can be either dew point
or relative humidity
Arrow will be
shown when
compensation is
being performed

Liebert iCOM Display Components and Functions
9Liebert
® iCOM®
2.4.1 Accessing Submenus on Large Displays
While the display is at unit status screen, press either the Enter or Down arrow key to display the
User menu. To access the Service menu, press the Right arrow key. Pressing the Right arrow key
again will display the Advanced menu.
Pressing the Enter key again will display the menu items. Use the arrow keys to navigate through the
icons. When the desired icon highlighted, press the Enter key to enter that submenu. Once in a
Submenu, a list of parameters will be displayed.
The Up and Down arrow keys may be used to scroll through the parameters page-by-page if the
submenu has multiple pages. To scroll item-by-item, press the Enter key and then use the Up and
Down arrow keys. Using the Right or Left arrow keys on large displays attached to a network will
change the unit being viewed. Pressing the ESC key will go back a level. Figures 10 and 15 show the
Liebert iCOM menus for a stand-alone large display and for a networked large display, respectively.
Figure 10 Menu tree—Large display, stand-alone
NOTE
Settings are readable without a password.t Changing settings requires a password.
Status Menu—System View
User Menu
Unit #
Password
Setpoints
Spare Part List
Event Log
Graphics
View Network
Set Alarms
Sensor Data
Active Alarms
Display Setup
Total Run Hours
Sleep Mode
Service Contact Info
Remote Sensors
Condenser Timer
Service Menu
Unit #
Password
Setpoints
Unit Diary
Standby Settings/Lead-Lag
Maintenance/Wellness Settings
Diagnostics / Service Mode
Set Alarms
iCOM-DO
Sensor Calibration/Setup
Economizer
System/Network Setup
Options Setup
Service Contact Info
Remote Sensors
Expansion Device Setup
Advanced Menu
Unit #
Password
Factory Settings
Expert Settings
Compressor Info
Expansion Device View
MBV Settings
Change Passwords
Runtime Monitoring
Control Override
Global Condenser Parameters
Status Menu
Unit 1 View
The unit name and U2U address will be
displayed in the top right corner of the
screen by default. The U2U address
may be hidden, depending on settings
in User Menu>Display Setup.

Liebert iCOM Display Components and Functions
Liebert® iCOM®10
Figure 11 Navigation with a large display—single unit view
ESC
EVENT
LOG
°C / °F
% RH
SET
SET
12
39
6
SET
ALARMS
!
ACTIVE
ALARMS
USER MENUS
1234
h
12
39 6
MOD
BUS
E.D.

Liebert iCOM Display Components and Functions
11 Liebert® iCOM®
Figure 12 Navigation with a large display—Network view
2.4.2 Accessing Submenus on Small Displays
While the display is at the main menu (User, Service or Advanced), use the Up and Down arrow keys
to scroll through the icons a page at a time. To scroll through the icons one-by-one, press the Enter
key and use the Up and Down arrow keys. Select the desired icon, press the Enter key to view that
submenu’s contents.
Press the Enter key and use the Up and Down arrow keys to navigate through the parameters one by one.
Pressing the ESC key will go back a level. Figure 13shows the Liebert iCOM menus for a small
display.
Figure 13 Menu tree—Small display, stand-alone or networked
ESC ESC
EVENT
LOG
°C / °F
% RH
SET
SET
12
39
6
SET
ALARMS
!
ACTIVE
ALARMS
USER MENUS
1234
h
1239 6
MOD
BUS
E.D.
Status Menu
Unit 1 View
User Menu
Password
Setpoints
Event Log
Graphics
Set Alarms
Sensor Data
Active Alarms
Display Setup
Total Run Hours
Sleep Mode
Service Info
Service Menu
Unit 1
Password
Setpoints
Standby Settings/Lead-Lag
Maintenance/Wellness Settings
Diagnostics / Service Mode
Set Alarms
Sensor Calibration/Setup
Economizer
System/Network Setup
Options Setup
Service Contact Info
Remote Sensors
Advanced Menu
Password
Factory Settings

Liebert iCOM Display Components and Functions
Liebert® iCOM®12
2.5 Display Setup
The Liebert iCOM can be programmed to display information based on user preferences in the
User Menu> Display Setup icon. Here the user can set things such as display Language, units of
measure, set screen contrast and hide/show certain display readouts.
A display filtering feature located within the Display setup menu allows the user to display
information of a single unit in the network on the large display. This allows each cooling unit to have
a large display that acts as a local display.
A system On/Off enable feature allows the user to enable and disable the I/O button from the System
view. This helps to protect against accidental system shut downs.
The user may also hide and show the U2U network number to the right of the unit name to allow for
more flexible unit naming.
The Liebert iCOM supports multiple unit and system screen layouts. These screen layouts are
configured on line U408 of the user menus, Display Setup icon.
U408 Screen selections include:
• Simple (factory default)
• Graphical
• Simple comma
• Graphical comma
The graphical settings allow the user to view a graphical representation of the iCOM operations.
The simple setting shows the operating status only of components currently operating. If a component
is not in use, the Liebert iCOM automatically hides that component’s icon.
Both graphical comma and simple comma allow the user to see temperature and humidity reading to
a tenth of a degree or percent.
2.5.1 Entering a Password
The password must be entered before any value of the menu item parameter can be changed. There
are three levels of password for preventing unauthorized changes.
1. User menu password allows the operator the ability to change the parameters in the User menu.
The User menu password is 1490.
2. Service menu password enables the operator to changes parameters in both Service and User.
The Service menu password is 5010.
3. Advanced menu password allows the changes to be made in all parameters.
To enter a password:
1. Navigate to the menu that contains the parameter to be changed.
2. Select Password in the submenu by pressing the Enter key.
3. Press the Enter key to move your cursor to the right side of the screen to select the question
marks.
4. Use the arrow keys to enter the numeral for the password’s first digit (the Up arrow key moves
from 1 to the next digit).
5. Use the Right arrow key to move to the next question mark and repeat Step 4 to enter all digits
in the password.
6. After entering the password, press enter.
If the password is correct, the Actual Level shown to the right of Password will change
from 0 to 1 or 2. The menu will remain locked if the password was incorrect.
NOTE
Entering the Service menu password permits access to both the User and Service menus.
NOTE
Returning to the Status menu will require re-entering a password to make changes.

Liebert iCOM Display Components and Functions
13 Liebert® iCOM®
Figure 14 Entering a password
2.5.2 Viewing Multiple Units with a Networked Large Display
When you first wake up the control, press the Esc key to return to the System view Status menu. This
view shows an average of all the units on the network and any alarms present. To view a specific unit
on the network, press either the Enter key or Down arrow key. When you do this, you will see the
word System in the top left of the screen change to a unit number. Use the Left and Right arrow keys
to can toggle through the various units on the network. To go back to the System view, or back one
level from any menu in the control, press the Esc key.
Figure 15 Menu tree—Large display, networked
Status Menu—System View
(Networked Large Display Only)
User Menu
Unit #
Password
Setpoints
Spare Part List
Event Log
Graphics
View Network
Set Alarms
Sensor Data
Active Alarms
Display Setup
Total Run Hours
Sleep Mode
Service Contact Info
Remote Sensors
Condenser Timer
Service Menu
Unit #
Password
Setpoints
Unit Diary
Standby Settings/Lead-Lag
Maintenance/Wellness Settings
Diagnostics / Service Mode
Set Alarms
iCOM-DO
Sensor Calibration/Setup
Economizer
System/Network Setup
Options Setup
Service Contact Info
Remote Sensors
Advanced Menu
Unit #
Password
Factory Settings
Expert Settings
Compressor Info
MBV Settings
Change Passwords
Runtime Monitoring
Control Override
Global Condenser
Condenser Control
Status Menu
Unit 1 View
Status Menu
Unit 2, 3, 4 ...
The unit name and U2U
address will be displayed in
the top right corner of the
screen by default. The U2U
address may be hidden
based settings in User
Menu>Display Setup.

Liebert iCOM Display Components and Functions
Liebert® iCOM®14
Figure 16 User menu icons
Table 2 User menu icons
Icon Name Description
Available
On Display
Setpoints View and change temperature and humidity setpoints Small & Large
Spare Part List Displays the various part numbers of the
components/parts in the cooling unit Large
Event Log Contains last 400 events Small & Large
Graphics Displays temperature and humidity graphs Small & Large
View Network Shows status of all connected units Large
Set Alarms Allows enable, disable and settings for alarms Small & Large
Sensor Data Shows readings of standard and optional sensors Small & Large
Active Alarms Allows the user to view all current active alarms Small & Large
Display Setup Change settings for display: language, time, simple or
graphic view Small & Large
EVENT
LOG
°C / °F
% RH
SET
SET
12
39
6
SET
ALARMS
!
ACTIVE
ALARMS
USER MENUS
1234
h
1239 6
MOD
BUS
E.D.
User Menu
password: 1490
°C / °F
% RH
SET
EVENT
LOG
SET
ALARMS
!
ACTIVE
ALARMS
1 2
39
6
SET

Liebert iCOM Display Components and Functions
15 Liebert® iCOM®
Total Run Hours Records the run time of all components and allows
setting of limits on run time Small & Large
Sleep Mode Allows setback settings for non-peak operation Small & Large
Service Contact Info Contains key contact information for local service,
including names and phone numbers Small & Large
Condenser Timer Displays the timer settings for the Liebert MC™
(microchannel condenser) Large
Expansion Device Displays readings of Modbus devices Large
Table 2 User menu icons (continued)
Icon Name Description
Available
On Display
1234h
1 2
39
6
MOD
BUS
E.D.

Liebert iCOM Display Components and Functions
Liebert® iCOM®16
Figure 17 Service menu icons
Table 3 Service menu icons
Icon Name Description
Available On
Display
Setpoints To view and change temperature and humidity setpoints Small & large
Unit Diary Shows all entered program changes and maintenance
performed on the unit Large
Standby Settings/
Lead-Lag Allows lead/lag setup when multiple units are connected Small & large
Maintenance/
Wellness Settings
Allows setting maintenance interval reminder,
maintenance message, number of unit starts and stops,
and time since last maintenance
Small & large
Diagnostics/
Service Mode
Allows troubleshooting, manual mode, read analog and
digital inputs Small & large
Set Alarms Allows enable, disable and settings for alarms Small & large
Sensor
Calibration/Setup Allows calibration of sensors Small & large
System/Network
Setup Allows setup and U2U communication for multiple units Small & large
Options Setup Allows setup of component operation Small & large
+
WELLNESS
SET
ALARMS
SERVICE
+/-
NETWORK SET
UP
DO
°C / °F
% RH
SET
MOD
BUS
E.D.
REM
SENSORS
ECON
Service Menu
password: 5010
°C / °F
% RH
SET
WELLNESS
SERVICE
SET
ALARMS
+ / -
NETWORK

Liebert iCOM Display Components and Functions
17 Liebert® iCOM®
Service Contact
Info
Contains key contact information for local service,
including names and phone numbers Small & large
Liebert iCOM-DO™Change settings for Liebert iCOM Discrete Output card Large
Remote Sensors Change settings for Remote Sensors Large
Expansion Device Displays readings of Modbus devices Large
Table 3 Service menu icons (continued)
Icon Name Description
Available On
Display
DO
REM
SENSORS
MOD
BUS
E.D.

Operation
Liebert® iCOM®18
3.0 OPERATION
The Liebert iCOM display provides viewing, trending and configuration capability for Liebert cooling
units. All unit settings and parameters can be viewed and adjusted through three menus: User,
Service and Advanced. All active alarms are displayed on the LCD and annunciated.
The control is shipped from the factory with default selections for all necessary settings. Adjustments
can be made if the defaults do not meet your requirements.
References to menu items in this manual are followed by the main menu and the submenu where they
can be found.
For example:
•Temperature Setpoint (User Menu, Setpoints) - The Temperature Setpoint parameter is
located in the User menu under the Setpoints submenu.
•High Return Humidity (Service Menu, Set Alarms) - The High Return Humidity alarm is
located in the Service menu under the Set Alarms submenu.
3.1 Single Unit Functions
3.1.1 Unit/Fan Control
Start - Stop
The unit may be switched On and Off by pressing the On/Off button, through a remote device or by
internal safety device(s). In all cases, the fan output is first activated when the unit is switched On
and will remain On as long as the unit is running. Each time a unit is turned On or Off, the unit
status is updated to reflect the current operating mode and an event is added to the Event Log. Unit
statuses displayed include:
• ALARM OFF—The unit has an alarm that has forced the unit to turn Off.
• MANUAL—Unit is being controlled by a service technician using the Service Diagnostics Manual
Mode.
• LOCAL OFF—When a unit is turned Off from the Unit Status Screen or small display,
LOCAL OFF is shown for unit status.
• DISPLAY OFF—When a unit is turned Off from the System Screen of a large display, Display
OFF is shown for unit status.
• ALARM STANDBY—The unit has been rotated into standby because an active alarm on the unit
is present.
• STANDBY—The unit is in standby based on the Lead / Lag settings in the Service Menu.
• TIMER OFF—The unit has been set to Sleep and is waiting for the next start interval. See
User / Sleep Mode Menu.
• UNIT ON—The unit is operating normally without alarm or warning.
• WARNING ON—The unit has an active warning but is still operating. See User / Active alarms
for details.
• ALARM ON—The unit has an active alarm but is still operating. See User / Active alarms for
details.
• TIMER—The unit is configured on a timer to only operate at certain times. See User / Sleep Mode
Menu.
• REMOTE OFF—Remote shutdown terminals will turn Off the connected unit and the front
display shows REMOTE OFF as the status. This command is invoked when a normally closed set
of dry contacts opens. The remote On/Off and display On/Off switches are in series. A cooling unit
will start only if both switches are On. If one of these switches is Off, the unit will stop. See
Figure 18 for more information.
• MONITORNG OFF—In this case, an override to the monitoring is possible: Pressing the On-Off
button of the display will change the state to Unit Off; pressing again may start the unit in Unit
On. If the unit does not turn On, check the remote monitoring device or call 800-543-2778 for
assistance.
• BACK-DRAFT—The unit is in a non-operational mode, but is operating the EC fan as a
back-draft damper.

Operation
19 Liebert® iCOM®
Pressing the On/Off key on a small display will affect only the cooling unit it is mounted on,
regardless of whether the cooling unit is a stand-alone unit or part of a network. The small Liebert
iCOM display does not have access to the Unit-to-Unit network.
The effect of pressing the On/Off key on a large display connected to a network depends on the view:
System or Unit.
• In System view, pressing the On/Off key shows a warning asking for confirmation to shut down
the entire system.
• In Unit view, pressing the On/Off key affects only the unit being viewed, without a confirmation
request.
Each time a unit is powered On or Off, an event is added to the Event Log in the User menu.
Figure 18 Start-stop priority switches
Autorestart
When input power returns after a power failure, the unit will return to its previous operating status:
On if it was On before the power failure, Off if it was Off.
When power returns, the autorestart time—time-selectable: Single Unit Auto Restart (Service Menu,
Options Setup)—will determine how quickly the unit restarts.
Loss of Power Alarm
A Loss of Power Alarm is activated when power is restored after an interruption. If acknowledged, the
alarm resets automatically after 30 minutes. This alarm can be set to different event types (Message,
Alarm or Warning) and can be disabled under menu item Loss of Power (Service Menu, Set Alarms).
Fan Alarm / Fan Protection Settings
The fan operation is protected by two digital devices: motor protection (optional on VFD centrifugal
and standard centrifugal drives) and a differential pressure switch. The motor protection monitors for
main fan overload (Main Fan Overload alarm) or EC fan fault and the differential pressure switch
detects a loss of airflow. If either protection device is activated after an adjustable time delay, an
audible alarm occurs, an alarm relay activates and an event is recorded in the event log (Main Fan
Overload or EC fan fault and Loss of Airflow in Service Menu > Set Alarms).
The fan delay at the unit start is always five seconds shorter than the control delay (to avoid short-
cycling components when the fan is not working).
When a main fan overload occurs, the main fan, cooling, heating, humidification and dehumidification
are disabled to prevent equipment damage; the unit status will show “Alarm Off.” The unit will
automatically resume operation once the overload condition has cleared.
When an EC fan fault occurs, the unit will continue to operate normally unless a loss of airflow alarm
occurs.
When a loss of airflow occurs, the fan(s) will continue to operate to keep the unit on line until the
problem is corrected. Cooling, heating, dehumidification and humidification are disabled.
NOTE
Pressing the On/Off key on a large display of a stand-alone cooling unit will control
only that unit.
NOTE
If Remote On/Off is not used, a jumper is inserted to bypass the switch.
Remote On / Off Display On / Off

Operation
Liebert® iCOM®20
Variable Speed Fans—EC or Variable Frequency Drives
The Liebert iCOM control can adjust airflow manually through a BMS or dynamically using locally
installed temperature sensors. Parameters related to VSD fan speed setting can be found in the
Service Menu > Setpoints submenu on page 5 of 8. This menu allows the cooling unit's fan motor
speed to be configured and adjusted for a variety of applications by selecting which sensor controls the
fan speed.
Four fan control modes are available: Manual, Supply, Return and Remote. All units ship from the
factory with the temperature control and fan speed control sensor set to the Return Air Sensor.
•Manual Control: When set to Manual, the speed of the fan motor can be wrote using a hard
wired analog input or remotely through an optional Liebert IntelliSlot® card. Hard wired analog
input signal types include 4-20mA, 0-10 VDC or 0-5VDC. See 6.0 - External Communication—
Building Management Systems, Liebert SiteScan® for more information regarding Liebert
iCOM intellislot monitoring options.
Before the building management system can control the fan speed, two parameters in the control
must be set. S146 “Fan Control Sensor” must read Manual and line S164 “Allow BMS to change
Fanspeed” must be changed to YES at the Liebert iCOM. Both parameters are found in Service
Menus > Service Setpoints.
Figure 19 Setting manual fan control and changing the setpoint
Fan speed may be written through the building management system to line S152. The user can
change this locally. However, if the speed is set by the BMS, it will override the local setting.
•Supply, Return and Remote Control: These selections allow fan modulation using an
equipped return, supply or remote sensor; see Table 4 for applicable control sensor combinations.
If the fan control and the temperature control sensor have the same sensor selected, the control is
considered coupled. If different sensors are selected, the control is considered decoupled. When
operating the fan in coupled mode, the fan speed follows the call for cooling to reach the
temperature setpoint. When the fans are operating in decoupled mode, the fans are ramped
following the fan control band to achieve the fan setpoint.
Table 4 Controlling sensor settings
S103 Temperature Control Sensor
Supply Remote Sensor Return
S125 Fan
Control Sensor
Supply Factory Default
(Coupled) N/A N/A
Remote Sensor Recommended
(Decoupled) (Coupled) N/A
Return (Decoupled) (Decoupled) (Coupled)
These commands
permit setting manual
fan control and
changing the setpoint.
Options for this are
Return, Remote,
Supply and Manual.

Operation
21 Liebert® iCOM®
Minimum Fan Speed
Depending on the product control design, there may be an internal minimum speed, as defined by
that specific product operation. Minimum fan speeds are defined below.
• Direct expansion units with pressure transducers 70%
• Chilled water units 60% (available option to 25%)
• Direct expansion units with low-pressure switches limited to 80%.
• Direct expansion units with standard scroll or 2-step semi-hermetic compressor(s) limited to
100%.
Contact your local Emerson dealer for more information if fan speed minimum settings must be
lowered from the values above.
Additional fan speed configuration parameters include a fan speed filter and fan speed reposition
delay timer. These parameters allow fine tuning the fan speed control and, except for setting to
Manual, are applicable to any other operation mode set in the VSD fan speed setting.
• The fan speed filter allows the fan to respond at a different rate depending on the location of the
control point within the proportional band.
Example: When the controlled temperature is near the setpoint or at conditions where the
proportional band output is decreasing and approaching 0%, the fan speed change rates are
proportionally decreased to avoid overshooting the controlled temperature. However, when the
temperature rises above the setpoint or at conditions where the proportional band output is
increasing, the fan speed change rates are proportionally increased.
• The fan speed reposition delay timer setting in the Liebert iCOM menu may be changed to
improve the fan operation stability if it is oscillating. The delay timer holds back the fan output
change until each delay period is reached if fan speed is decreasing. If fan speed is increasing,
then the delay timer has no effect.
Fluid or Air Economizer with Variable Fan Speed Fans
An option in Service Menus > Setpoints > FC / AirEco Ramp Up w/CFC, allows the fan to ramp with
the economizer. The default value is No, allowing the fan ramp independently of free-cooling. When
set to Yes, the control will compare the call for fan to the free-cooling request. This will provide the
most capacity from the Liebert Air Economizer and will help in holding off the mechanical cooling
(second stage). When the economizer is not available, the fan will ramp based on the fan control
sensor deviation from setpoint.
NOTE
• The fan speed lower and upper limit settings are set at the factory.
• The standard fan speed control will be overridden during a call for Dehumidification if the
function is enabled. When there is a call for dehumidification, the fan speed will change to
the VSD Setpoint Dehum parameter found in the Service Menu>Setpoints. This routine may
be disabled in Service Menus>Options setup line S419.
• The standard fan speed control will be overridden during a call for humidification or reheat.
During a call for humidification or reheat, the fan speed will change to a higher speed,
which is set at the factory to eliminate the possibility of condensation or damage to the unit.
NOTE
This feature is overridden in Manual fan control. Fan control must be in a decoupled mode.

Operation
Liebert® iCOM®22
3.1.2 Back-Draft Fan Damper—Units with EC Fans
The Liebert iCOM controller has the ability to operate EC fans at very low speed to effectively act as
a back-draft damper. The power used to prevent air flow from entering a standby unit from the raised
floor by spinning the fans at a low speed is much less expensive than the additional static that
conventional mechanical dampers introduce while the unit is in operation.
Mechanical Fan Dampers
• No damper = Waste of efficiency, mixture of discharge and return
• Increase pressure drop during unit operation
• Up-front cost of mechanical dampers
• Increases unit height or adds complexity under floor
EC Fan Dampers
• Fans rotate at low speed to prevent air flow through unit
• Adjustable, based on application
• No pressure drop during unit operation
• No up-front cost as with mechanical dampers
Figure 20 Energy efficiency—Air bypass through unit, no mechanical damper
Figure 21 Energy efficiency—No bypass air, EC fan damper

Operation
23 Liebert® iCOM®
3.1.3 Back-Draft Fan Damper—Units with Centrifugal Fans
The Liebert iCOM can operate mechanical dampers using digital outputs on the main control board to
prevent airflow from entering a standby unit. Dampers can be controlled with or without a damper
end switch. If a damper end switch is used, the Liebert iCOM will monitor damper operation and
annunciate a Damper Failure event if the damper is not able to open. Damper opening and closing
will be displayed in the unit status portion of the unit view screen.
The integral relay on the control board is rated up to 27VAC and 2A. An additional contactor or
control relay with power supply will be required if the application exceeds this limit.
3.1.4 Power Monitoring
The user can connect h up to six power meters per unit. Power meters are factory-programmed to
monitor power characteristics for either individual component or total units. These meters allow the
user to monitor connection status, input undervoltage, input RMS voltage leg-to-leg and leg-to-
ground, input current for each phase, energy consumption in kilowatt hours and instantaneous power
in watts. The intelligent meters allow the user to monitor power consumption before and after making
changes to the Liebert iCOM. This allows the user to determine the most efficient control setup for
their data center.
3.1.5 General Compressor Operation
Low-Pressure Time Delay
When the compressor starts, the low-pressure input is ignored for a selected period of time based on
the setting of the Low Pressure Alarm Delay (Service Menu, Options Setup). This time is usually set
to 3 minutes on air-cooled units, and to 0 or 1 minute on water cooled units. When this time is
expired, a second timer starts to operate if the low-pressure input is active. This second timer is active
during normal compressor operation to avoid compressor trips due to bubbles in the refrigerant or
other influences creating short trips of the low-pressure device. The low-pressure device input is
ignored if the compressor is not operating. Exception: Pump Down (see Pump Down).
Advanced DX Freeze Protection
The advanced low-pressure routine is automatically used when a unit is equipped with the Liebert
iCOM, unloading compressors (Tandem Scroll, Digital Scroll, and 4-Step), low-pressure transducers,
and variable fan speed (VFD or EC fans). The low-pressure routine monitors the low-pressure
transducers and interacts with the fan and compressor to prevent the unit’s coil from freezing.
Applying fan speed to direct expansion systems generates the issue of how to avoid freezing
condensate on the coil when the unit operates below 100% fan speed. Liebert iCOM's advanced freeze
protection provides the ability to predict freeze conditions and correct this condition automatically by
adjusting the fan speed and compressor capacity.
Compressor Type Support
• Digital scroll (all sizes)
• Tandem scroll
• Four-step (all sizes)
• No standard scroll support
Freeze Protection
• Fan and compressor will override sensors when freezing is detected
• Fan ramps up first, then compressor unloads
NOTE
Low-pressure condition could be read through contacts or through pressure transducers with
threshold setting.
NOTE
Pressure transducers have been installed in all Liebert DS™, Liebert PDX™, Liebert DSE™ and
Liebert Challenger 3000™ units. Some older systems may have low-pressure switches that
cannot utilize the advanced freeze protection routine described above. Units equipped with
such low-pressure switches have a higher minimum fan speed setting due to this limitation.
Pressure transducers can be installed in older equipment in the field if lower fan speed settings
are desired. Contact your local Emerson distributor for more information.

Operation
Liebert® iCOM®24
Pump Down
Pump down is applicable to compressorized systems that are equipped for pump-down operation,
which is set at the factory. This operation prevents the compressor oil from being diluted with liquid
refrigerant to ensure that the compressor is properly lubricated for the next startup. Systems
equipped with crankcase heaters and discharge line check valves may be set for pump down, however
it is not required.
The pump down operation operates in the following manner:
Whenever the control determines that no more cooling is required and a compressor should be shut
Off, the liquid line solenoid valve (LLSV) is closed (de-energized). The compressor will continue to
operate until the low suction pressure device (LPS or LPT) opens, which shuts Off the compressor. If
the LP device does not open within a specified time, the LLSV is turned On, then back Off (the
assumption is that the LLSV is stuck). If, after three times, the LP device does not open, the
compressor and LLSV are locked Off and an alarm “Pump Down not completed” will appear.
There is a re-pump down if the LP device opens again after the compressor has been already
stopped—a maximum of six re-pump-down cycles per hour are allowed. At the seventh request of
re-pump down, the alarm “Comp 1 Pumpdown Fail” or “Comp 2 Pumpdown Fail” will appear and the
compressor will be locked out.
Pump down is always performed loaded (for compressors with unloaders: unloaders Off, digital scroll:
control solenoid valve disabled).
For digital scroll only: when pump down has finished successfully (LP device opened), pump down will
be continued for another half-second with the control solenoid valve energized.
High-Pressure Alarm
When the compressor is initially activated, the system will be monitored for a high-pressure situation.
When high-pressure is detected during the first 10 minutes of operation, the unit will attempt to
correct the problem several times without notification. If the unit is unsuccessful in correcting the
problem, an alarm will occur and the affected compressor will be locked Off. If high head pressure
alarm trips three times in a rolling 12 hour period, the affected compressor will be locked Off.
After the compressor has been running for 10 minutes, if a high head pressure situation is detected,
an alarm will occur and the affected compressor will be immediately locked Off without the unit
trying to correct the problem.
Once the compressor is locked Off, it will not come back On until main power is reset or until the
HP Alarm Counters (Service Menu, Diagnostics) are reset to 0.
Figure 22 Diagnostics/service mode screen, page 1 of 8
NOTE
The pump down function is not available on all units. Emerson removed pump down control
from Thermal Management products in 2011. Units shipped in 2011 and before may have
pump down enabled.
HP Alarm Counters

Operation
25 Liebert® iCOM®
Setting the counter to 0 will reset the alarm without the need of pressing the reset button on the
display. Even if the pressure in the system drops below the alarm point, the compressor will remain
Off until the system is reset.
Advanced DX High-Pressure Protection
Advanced high-pressure protection routines are intended to prevent high-pressure lockouts. Liebert
iCOM does this by constantly monitoring the condensing pressure. If the control finds that pressure is
not maintained, the compressor capacity will automatically adjust to help lower the operating
pressure. This built-in intelligence operates the compressor at a slightly reduced capacity, reducing
the chance of a total loss of cooling created by a high-pressure lockout.
This feature is standard on units equipped with liquid line transducers and these compressor types:
•4-Step
• Digital Scroll
• Tandem Digital
Digital Scroll High Temperature
A protective maximum operating compressor temperature limit is imposed on units with digital scroll
compressor(s) with thermistor. If the digital scroll temperature reaches the maximum temperature
threshold, the compressor will be locked out for at least 30 minutes and an alarm will be annunciated.
If after 30 minutes the temperature has cooled to a safe operating temperature, the compressor will
resume operation.
Each time a high-temperature alarm occurs, HT 1 Alarm Counter (Service Menu, Diagnostics) or
HT 2 Alarm Counter (Service Menu, Diagnostics) is increased by one. Once these counters reach five
occurrences in a rolling four-hour period, the compressor will be locked out. The alarm can be reset
once the temperature returns to a safe level by:
1. Setting the counter back to 0 from the display and pressing the alarm reset button.
2. Shutting Off power to the control board by turning the cooling unit's main power disconnect
switch Off and On.
3.1.6 Compressor Timing—Short-Cycle Protection
To help maximize the life of your compressor(s), there is a start-to-next start delay for each single
compressor.
NOTE
If the unit is equipped with manual reset high head pressure switches, or if the auto reset high
head pressure switches don’t reset, the compressor will not be turned back on, but there will be
a 30-second delay from when the high head pressure situation occurs and when the alarm is
annunciated.
NOTE
Advanced DX high-pressure protection is not supported on standard scroll compressors.
NOTE
This delay may cause a short cycle if there is a very light room load. A short cycle means that
the compressor has cycled On and Off 10 times in the past hour. This is typically caused by a
lack of load or control settings set too tight (see 3.3.2 - Compressor Control for more
information on the control adjustment). Should short cycling still occur after the control has
been adjusted, contact technical support at 800-543-2778 to adjust the minimum compressor
Off delay.

Operation
Liebert® iCOM®26
3.1.7 Compressor Sequencing on Two-Compressor Units
Compressor Sequencing parameter (Service Menu, Options Setup) is intended to maintain equal run
times between compressors. This setting has three selection possibilities:
• Always use Compressor 1 as lead compressor.
• Always use Compressor 2 as lead compressor.
•Auto:
• First priority: if the safety timings are acceptable for only one compressor, then it is the next
to be started/stopped.
• If both compressors are Off: the one with fewer working hours is the next to start.
• If both compressors are in operation: the one that has been operating longer since the last
start is the next to be stopped.
3.1.8 Motorized Ball Valve in Water-Cooled Units
On water/glycol-cooled units with digital scroll compressors), pressure changes during each digital
cycle during unloaded operation. This rapid pressure change would cause a conventional water
regulating valve to open and close an excessive number of times.
Excessive valve cycling is avoided on units with digital scroll compressors) by monitoring a liquid line
transducer and regulating heat exchanger fluid flow with a motorized ball valve (MBV). The control
algorithm for the motorized ball valve uses an intelligent sampling rate and adjustable pressure
threshold (S427 Ball Valve Setpoint Offset in Figure 169) to reduce the number of times the valve
opens and closes. System reliability and performance is enhanced using a brass valve, linkage and
actuator.
Each compressor has one motorized ball valve that is driven by the analog output of the Liebert iCOM
based on discharge pressure. If there is a call for cooling, the compressor start is delayed by a
30-second timer. During this delay, the motorized ball valve is set to 50% open to allow fluid flow
through the unit condenser. The compressor will start after the 30-second timer elapses.
Motorized Ball Valve Manual Mode: (Service/Service, Figure 130) Manual operation can be
selected to allow service personnel to control the motorized ball valve from the Liebert iCOM.
When Auto BV Control is selected, the motorized ball valve functions as it would be during normal
system operation.
When Manual BV Control is selected, the user must be careful in setting the MBV position because
the ball valves will remain in the position set in the Service menu until the control is switched back to
Auto or until a technician changes the valves to another manual position (the motorized ball valve in
manual mode can be set in 1% increments from fully closed to fully open). Low or high discharge
pressure may occur during this mode, depending on environmental conditions and the position of the
motorized ball valve.
The motorized ball valve is driven by a 2-10VDC proportional control signal: the valve is closed at
2VDC, 50% open at 6VDC and fully open at 10 VDC.
3.1.9 MBV Operation After Compressor is Turned Off
Once a compressor has stopped, the MBV control will continue to change the MBV position to
maintain system pressures for a maximum time of 10 minutes by following the Auto BV control
algorithm. When the 10-minute delay has expired or the discharge pressure is below its minimum
threshold, the motorized ball valve will close until the next compressor activation.
NOTE
The Auto setting attempts to maintain equal run times between compressors. However,
the control will not turn Off a compressor to equalize run time when it is needed to
control the space.
NOTE
Compressor operation will be delayed 30 seconds to allow the motorized ball valve to position
itself for initial startup.

Operation
27 Liebert® iCOM®
3.1.10 Service Offset—Changing System Pressure Settings
The MBV control is set to maintain a system pressure specific to the particular type of cooling unit. A
properly trained and qualified technician can increase or decrease the pressure through the Ball
Valve Setpoint Offset found in the Service/Options Setup menu. The range is 0 to 50 PSI; the default
is 30 PSI.
3.2 General Chilled Water Operation
3.2.1 Chilled Water Quick Start
This standard Liebert iCOM feature cuts unit restart time to 15 seconds without adding additional
power capacitors or battery backup. The quick start allows unit to start fan and modulate the chilled
water valve open to predefined points while the Liebert iCOM is booting up. Once the control boots,
Liebert iCOM holds the chilled water valve and fan at these predefined points% until the call for
cooling and fan is established and then releases the valve and fan control to normal operation. Chilled
water quick start is available on all chilled water actuator types. Contact your local Emerson
representative or technical support for more information on enabling this feature.
3.2.2 Improved Valve Response
The actuator response time and actuator positioning can be improved by implementing valve
feedback. Enabling the feedback signal will eliminate the need for floating point actuators to drive the
valve closed after a loss of power or Unit Off command, decreasing the unit's restart time. Feedback
provides analog and floating point actuators provides with enhanced actuator failure detection. Valve
feedback is available only on Liebert single and dual valve CW models; feedback is not compatible on
units with fluid economizer.
Valve feedback allows the control determine the valve position by timing how long the open or closed
signals have been active based on the valve travel time set in the Service menu / Setup submenu. To
determine the initial position of the valve, the unit must perform a 3P Reset. The 3P Reset closes the
valve for a time of 110% of the 3P Actuator run time. This calibrates the valve with the controller and
ensures that it is closed. A 3P Reset is also performed if the fan is switched Off for any reason (timer
Off, unit Off, etc.).
Special wiring is required for implementing valve feedback on analog actuators. Signal floating point
actuators are factory-wired (P22) to accommodate feedback. Authorized Emerson personnel should
use the following steps to enable the feedback signal:
1. Turn unit Off at the display.
2. The Feedback Signal Connects To Analog input 1 on signal circuit units. The second circuit on
dual circuit models connects to Analog Input 2. Nothing can be connected P11 Pins 1 through 4 on
signal circuit units and P11 Pins 1 through 8 on dual circuit units.
3. Control board DIP switch SW2 Switch 1 must be On, 2 must be Off, 3 must be On and 4 must be
Off.
NOTE
Adjusting this parameter will increase or decrease the operating compressor discharge
pressure by changing the targeted range of control. The discharge pressure is the peak pressure
of the digital cycle.

Operation
Liebert® iCOM®28
Figure 23 DIP switch and jumper locations on Liebert iCOM control board
4. P68 must have a jumper placed between the top and bottom two pins on the left side and one
placed between the top and bottom pins on the right side, the two middle pins should be left
unconnected.
5. Go to Service>Diagnostics Service Menu and find S379. Set this option to Feedback and note that
S380 will go to Yes and S381 will go to Ongoing. If Feedback is already selected, then go to line
S380 and manually select Yes. This means that the Liebert iCOM is calibrating the valve using
the feedback available through the potentiometer. When for S381 says Idle, the process is
complete.
6. Turn the unit On at the Liebert iCOM.
3.2.3 Custom Dual Chilled Water Valve Staging
Special staging may be set to on units with dual chilled water valves. Chilled water valves may be
staged in Parallel, Cascade or alternate lead operation.
Parallel control allows both chilled water valves to operate at the same time, following the same
open/close command as the room condition deviates from setpoint.
Cascade control allows the valves to operate in stages. This means only one circuit will be operated to
maintain the conditioned space temperature. If the room condition is not held with one circuit in
operation, the Liebert iCOM will automatically stage a second valve on to maintain room conditions.
An automatic timer may be used to alternate the lead valve to keep equal component run time.
Alternate operation allows one circuit to work as lead and the second circuit to act as backup. The
lead valve will rotate based on valve run time, or the user can alternate the lead valve using a
customer input connection.
DIP Switches
1, 2, 3 and4

Operation
29 Liebert® iCOM®
3.2.4 Fluid Temperature Monitoring
Two supply and two return chilled water temperature sensors may be added per unit for local and
remote monitoring of water temperature differential temperature. Temperature is monitored with 2T
sensors (two sensors on dual circuit units).
The first step in setting up the additional supply sensors is to program the DIP switches using
Table 5 below. The DIP switches may be access by removing the rear housing or through the precut
hole in the housing. See Figure 69 for additional information.
Figure 24 DIP switches in 2T sensors
After setting the DIP switches, see 4.3.3 - Terminate the Final Sensor on the CANbus Link to
complete the sensor installation.
Once the sensors have been connected, go to Service Menus> Sensor Calibration/Setup (Figure 149).
Locate the line that reads Chilled Water Sensor Type. Change the right hand parameter to 2T or Dual
2T. Verify the fluid inlet and outlet temperature readings with a field-supplied temperature sensor.
Compare the values measured with the meter and calibrate the temperatures as needed. Use the CW
Temp Sensor C1 / C2 Placement feature to swap the inlet and outlet temperatures shown in the
Liebert iCOM if the sensor probes are reading backward when measured with a field-supplied meter.
(Supply in the Liebert iCOM represents the actual return or vise versa).
3.2.5 Fluid Flow Monitoring
Fluid flow meters are available for monitoring fluid flow in
gallons per minute or liters per minute. When the flow meter is
coupled with fluid temperature sensors, Liebert iCOM will
calculate real time cooling capacity in kW or kBTU/Hr. Unit flow
rate and capacity may be hidden or shown from the unit view and
monitored through the Liebert IntelliSlot Unity Card. Contact
your local Emerson representative to obtain a flow meter.
3.3 Temperature Control
The temperature control parameters are in Service > Setpoints. The Temperature Setpoint parameter
is in both the User Menu and Service Menu under Setpoints.
The Liebert iCOM has two temperature control types:
• Proportional
•PI
• Intelligent (chilled water models only)
Each control type affects the timing and intensity of the cooling/heating operations. The Control Type
parameter is in Service>Setpoints.
Table 5 DIP switches in 2T sensors
CANbus
Node ID
DIP switch Position
12345678
Fluid Circuit 1 30 Off On On On On Off Off Off
Fluid Circuit 2 31 On On On On On Off Off Off
Circuit 1 and 2 fluid sensors are dual purpose CANbus ID’s in software. These sensors also may be used for supply temperature
monitoring of the conditioned space. Before considering installing fluid sensors, verify that the 2T supply sensors are not being
used. See the Service Menus, Sensor calibration, page 11 of 12 for more information. Adding duplicate sensors will result in
sensor communication loss.
Switch Up = ON
Switch Down = OFF

Operation
Liebert® iCOM®30
Proportional—If Proportional control is selected, the percent cooling/heating requirement is
determined by the difference between the air temperature sensor reading and the temperature
setpoint. The Temperature Proportional Band is a user-defined range that is divided into two equal
parts for cooling and heating. Figure 25 illustrates how the temperature proportional band is evenly
divided on either side of the temperature setpoint.
Figure 25 Temperature proportional band
The Temperature Setpoint is between these two equal parts. As the air temperature rises above the
temperature setpoint, the percent cooling required increases proportionally (from 0 to 100%) over half
the programmable temperature proportional band.
The percent heating requirement (0 to -100%) is determined the same way when the air temperature
falls below the setpoint. The humidifying/dehumidifying operations are controlled in the same
manner as the cooling/heating operations; however, the humidity sensors, setpoints and proportional
bands are utilized.
When the air temperature reaches the end of the proportional band, either 100% or -100%, full cooling
or full heating capacity is provided. No operation is performed when a 0% call is calculated or the
temperature is within the deadband. The control varies the call for cooling and heating in 1%
increments as the air temperature moves through the proportional band halves.
PI—PI Control functions with all type of compressors and valves. If PI Control is selected, the percent
cooling/heating requirement is calculated by combining two methods, proportional and integral. The
proportional term is calculated similar to the previously described Proportional control. The integral
term (sometimes called “reset action”) is calculated by measuring how much and how long the air
temperature/humidity has been above or below the setpoint. If the actual air temperature/humidity is
above the setpoint, the percent requirement is slowly but continuously increased until the total is
sufficient to bring the return room air back to the setpoint. The control helps to ensure temperature
setpoint is achieved while efficiently operating the equipment. The Proportional and Integral
concepts work together to prevent excessive valve oscillation, compressor short cycle and temperature
fluctuations. From an idle state (compressor[s] Off, chilled water valve closed, etc.), the call for cooling
is based on proportional temperature increase from setpoint. As temperature deviates further from or
closer to setpoint, the call for cooling is increased or decreased, respectively. The amount of cooling
staged depends on how far the actual temperature has deviated from the setpoint on the proportional
(P) band.
Example: Temperature Setpoint= 70°F (21°C)
Temperature Proportional Band= 20°F (11.11 K; see Note below)
Room Temperature= 75°F (24°C)
Because cooling accounts for half of the proportional band, the call for cooling in this example is 50%.
If the room temperature increases to 80°F, the call for cooling would be 100%. Proportional only
control will not function satisfactorily in some applications as shown in this example, because the
room temperature would increase 10°F (5.5 k) above the setpoint before cooling is staged to 100%.
0%
Setpoint
0%
Cooling + Temp
+ 100%
Cooling
½ Proportional Band
Dead-
band
-Temp Heating
-100%
Heating
½ Proportional Band
CoolingHeating
-Temp + Temp
0%
Setpoint
+ 100%
Cooling
-100%
Heating
½ Proportional Band½ Proportional Band
With Deadband
Without Deadband

Operation
31 Liebert® iCOM®
Proportional Control requires a much tighter proportional band to hold the unit closer to the setpoint,
which often results in compressor(s) short cycling or valve hunting.
The integration (I) time works with the proportional band in PI Control to stage call for cooling before
the actual temperature increases far above the temperature setpoint. The “I” portion does this by
doubling the current “P” deviation for every time the “I” has elapsed.
Example: If the “P” deviation is 50% within the “I” time (e.g., 5 min), the call for cooling will be
doubled, giving 100% in 5 minutes.
While this happens, the real temperature “P” deviation will decrease. If the “P” deviation drops to
40% and the previously calculated “I” was already on 55%, it will shift back to 45% following “P.”
From this point the “I” will continue to calculate the call for cooling, but will do so more slowly
because the room temperature has dropped. Opening the valves or staging compressor(s) to 62% may
decrease the temperature from 40% to 20%, which would drive the “I” down from 62% to 42%. At this
point, “P” is 20% and “I” is 42% (call for cooling, valve opening, compressor[s] stage). This continues
until “P” is 0—on the setpoint or within the deadband.
3.3.1 Setting Up PI Control
Three to 5 minutes integration time is adequate for most applications. The proportional band setting
will vary depending on the heat load and compressor/chilled water valve type. Some additional tuning
of the PI loop in Service > Setpoints after the unit has been started up may be required. Factors such
as room heat load, chilled water temperature and external heat gains may affect PI control loop
performance. Use Table 6 as a guide for the PI control settings.
Intelligent—If Intelligent Control is selected, the air temperature/humidity is controlled at or near
the setpoint. The percent temperature/humidity adjustment required is calculated based on logic that
is programmed into the control. This logic simulates the actions that a human would take if manually
controlling the system. This control type is used only on chilled water units.
NOTE
k is the unit of measure used when U404‚ Temperature Indication, is set to degrees Celsius.
K is the conversion from degrees Fahrenheit to degrees Celsius without the -32°F offset. If the
proportional band is 20°F, then (20/1.8) = 11.1K
Table 6 PI control troubleshooting
Problem Solution
Unit is too slow to activate
cooling. Decrease the proportional band slightly and monitor operation.
Compressor short cycle alarm.
Increase the proportional band slightly and adjust the integration time to 3-5 min.
Monitor compressor run time. Run must be higher than 3 minutes to avoid short
cycle from occurring.
Excessive valve oscillation or
hunting.
Widen the temperature proportional band and/or consider increasing the
integration time.

Operation
Liebert® iCOM®32
Temperature Deadband
The deadband range is used to widen the setpoint and prevents small temperature changes from
activating compressors and valves. When the air temperature falls within the deadband, the control
operates the same as if the temperature equaled the setpoint exactly. This setting helps maximize
component life by preventing excessive component cycling. Figure 25 illustrates how the
temperature proportional band and deadband is evenly divided on either side of the temperature
setpoint.
The parameter AutoSet Enable, found in Service Menu, Setpoints, automatically sets the
proportional bands for temperature and humidity, and both the integration time factors according to
the type of unit (chilled water, single or dual compressor).
3.3.2 Compressor Control
Depending on its type, a Liebert cooling unit may have one or two compressors with or without
unloaders or variable capacity.
Compressor Proportional Bands
One Single-Step Compressor Without Unloaders—One-Step
One single-step compressor, Cool 1, is started at 100% call for cooling from the temperature
proportional band and stopped at 0% (see Figure 26).
Figure 26 One single-step compressor without unloaders
Two Single-Step Compressors Without Unloaders—Two-Step
First single-step compressor, Cool 1, is started at 50% calculated output from the temperature
proportional band, and stopped at 0%. The second compressor, Cool 2, starts at 100% and stops at
50% (see Figure 27).
One Compressor With an Unloader—Two-Step
The two-step compressor is started unloaded at 50%, Cool 1, calculated output from the temperature
proportional band and stopped at 0%. At 100% the compressor starts fully loaded, Cool 2, and returns
to unload operation at 50% (see Figure 27).
NOTE
Before the proportional or integral setpoints can be changed, the Auto Set Enable must be
changed to NO.
Temp Setpoint : 70°F
Proportional Band : 8°F
Deadband : 2°F
75
½ Proportional Band
0%
Cooling
+ 100 %
Cooling
71 72 73 7470
½ Dead-
band
Cool 1
Off
Cool 1
On
Increasing Temperature

Operation
33 Liebert® iCOM®
Figure 27 Two single-step compressors without unloaders or one compressor with an unloader (two-step)
Two Compressors With Unloaders—Four-Step
The first two-step compressor is started unloaded at 33% calculated output from the temperature
proportional band and stopped at 17%. At 80%, Compressor 1 will be loaded, at 70% unloaded.
The second compressor starts unloaded at 63% and stops at 47%. At 100%, Compressor 2 will be
loaded, at 90% unloaded (see Figure 28).
The four stages of cooling are accomplished in the following manner:
• 1 stage: One compressor, unloaded - Cool 1
• 2 stages: Both compressors, unloaded - Cool 2
• 3 stages: One compressor, loaded and one compressor, unloaded - Cool 3
• 4 stages: Both compressors, loaded - Cool 4
Figure 28 Two compressors with unloaders (four-step)
Temp Setpoint : 70°F
Proportional Band: 8°F
Deadband : 2°F
75
1/2 Proportional Band
0%
Cooling
+ 100%
Cooling
71 72 73 7470
1/2 Dead-
band
Cool 1
On
Cool 2
On
Increasing Temperature
Cool 2
Off
Cool 1
Off
Cool 2
On
Temp Setpoint : 70°F
Proportional Band: 8°F
Deadband: 2°F
½ Dead-
band
Increasing Temperature
½ Proportional Band
757473727170
0%
Cooling
+ 100 %
Cooling
Cool 4
Off
Cool 2
Off
Cool 1
Off
Cool 4
On
Cool 3
On
Cool 1
On
Cool 3
Off

Operation
Liebert® iCOM®34
Digital Scroll Compressors
A digital scroll compressor can modulate its capacity anywhere between 10-100%. This variable
capacity modulation allows cooling units to control an environment more precisely.
Digital scroll capacity modulation is achieved by energizing and de-energizing a solenoid valve on the
compressor. When the solenoid valve is de-energized, the compressor capacity is 100%. When the
solenoid valve is energized, the compressor capacity is zero. Therefore, the capacity of the compressor
depends on how long the solenoid is de-energized for. If the solenoid is de-energized for 10-seconds,
then energized for 5 seconds during a 15-second cycle, the resulting capacity will be 66% as shown in
Figure 29.
Figure 29 Digital scroll capacity modulation, 10-100% variable
On single and dual digital scroll compressor systems, the first compressor is started at 25% calculated
output from the temperature proportional band and stopped at 10%. On dual digital scroll compressor
systems, the second compressor is started at 35% and stopped at 20%, see Figure 30. When a
compressor is started, the solenoid is energized longer than it is de-energized to match the call for
cooling. When the call for cooling increases to 100%, the solenoid is de-energized for the entire 15
second cycle.
Figure 30 Single and dual digital scroll compressor activation points
Call for Cooling: 66%
100% Loaded
0% Loaded
Solenoid
De-energized
Solenoid
De-energized
Solenoid
Energized
0 5 10 15 20 25 30
Solenoid
Energized
15-Second Capacity
Modulation Cycle
15-Second Capacity
Modulation Cycle
Temp Setpoint: 70°F
Proportional Band : 8°F
Deadband: 2°F
½ Dead-
band
Increasing Temperature
Comp 1
Off
½ Proportional Band
757473727170
0%
Cooling
+ 100 %
Cooling
Comp 2
Off
Comp 1 On Partially
Loaded
Comp 2 On Partially
Loaded
Comp 1 & 2 On
Fully Loaded

Operation
35 Liebert® iCOM®
3.3.3 Chilled Water Control
A variety of chilled water valves and actuators are offered depending on application requirements.
Floating point and analog actuators are common to most applications.
Floating point actuators are driven through two digital outputs: Open and Close. As default, Liebert
iCOM determines the valve position by timing how long the open or closed signals have been active
based on the valve travel time set in the Service menu / Setup submenu. The valve response may be
improved by implementing a valve feedback signal. See 3.2 - General Chilled Water Operation for
more information.
Analog driven actuators commonly work off a direct or indirect 0-10 or 2-10 VDC signal. Liebert
CW181 models and larger units may contain two analog valves; as default, both valves will be
controlled in parallel for cooling. Other valve staging options are available. See 3.2.3 - Custom Dual
Chilled Water Valve Staging for more information.
In all applications, the valves open and close according to a call for cooling as shown in Figure 31.
The chilled water control valve is adjusted proportionally as the temperature control varies the
requirement for cooling from 0% to 100%.
Figure 31 Chilled water valve control (example: cooling)
3.4 Liebert Fluid Economizer
Two types of fluid economizers are offered, GLYCOOL and Dual-Cool. GLYCOOL models are two-pipe
systems. This means that two pipes enter the unit and feed the chilled water/free-cooling coil as well
as the compressor(s) and heat exchanger (eg., Liebert Paradenser™, tube-in-tube condenser or brazed
plate heat exchanger). Dual-Cool units can be either two-pipe or four-pipe systems. A two-pipe unit
has two fluid lines dedicated to the secondary cooling source, and the compressor(s) heat rejection is
an air-cooled condenser. Four-pipe Dual-Cool models have two fluid pipes dedicated to chilled
water/free-cooling and two pipes for the compressor(s) heat exchanger. Each model offers a primary
DX source and a secondary chilled water or free-cooling coil.
+ 100%
Cooling
Cooling
½ Proportional Band
0% - Closed
Requested Position
100% Fully Open
0%
Setpoint
+ Temp

Operation
Liebert® iCOM®36
3.4.1 Differential Temperatures / Controls (Comparator Circuit)
Delta T (Temperature Difference) Between Room and Fluid
The comparator circuit determines if the glycol / chilled water temperature of the second cooling
source is low enough to provide at least partial cooling capacity. Free-Cooling Fluid Temperature is
controlled in the User - Sensor Data menu, Figure 93. The comparator circuit has four settings
(DT Between Room / FC Type, [Service Menu, Setpoints]):
• Disabled
•Contact
•Value
•Set
The Disabled setting is for standard compressorized and chilled water units that do not have a second
cooling source. The Disabled setting can also be used to disable the second source of cooling.
The Contact setting is used when an external input is being used to determine when the second
cooling source is to be activated. The external control communicates to the Liebert unit via contact
closure.
• Closed = activate second cooling source control
• Open = deactivate second cooling source control
The Temp setting is the factory default (12°F [-11.1°C]) on free-cooling and dual cooling units. If the
temperature difference between the second source cooling fluid parameter, Free-cooling Fluid
Temperature (User Menu, Sensor Data) and room air is equal to or greater than the adjustable DT
Between Room / FC Fluid (Service Menu, Setpoints) value, then the second source cooling fluid will be
used to provide at least partial cooling.
The Set option allows free-cooling whenever the fluid temperature sensed (User Menu > Sensor Data)
is colder than the temperature setpoint. The difference required between the temperature setpoint
and the fluid temperature is adjusted on the following line DT2 Room / FC Fluid value (Service Menu,
Setpoints). The second source cooling fluid will be used to provide cooling if the temperature
difference between the second source cooling fluid parameter, Free-cooling Fluid Temperature and
room air is equal to or greater than the adjustable DT Between Room / FC Fluid value.
Sensors used for this delta T are: room/local sensor or the return air sensor; and the glycol sensor.
If this delta T is true, the Free-cooling Status indication will show “On” instead of “Off”. The status is
found in the User- Sensor Data menu, Figure 93. The primary and secondary source of cooling will
stage accordingly. See the next sections for more information.
Figure 32 Second cooling source and two-step compressorized cooling
7571 72 73 7470
Increasing Temperature
Cool 2
On
Cool 1
On
+ 100%
Cooling
Valve 100%
Open
Valve
Closed
½ Dead-
band
76 77 78 79
+ 200%
Cooling
0%
Cooling
2nd
Source Comp
½ Proportional Band ½ Proportional Band
Band 1: 2
nd
Source Band 2: Compressors
Temp Setpoint: 70°F
Proportional Band: 8°F
Deadband: 2°F

Operation
37 Liebert® iCOM®
Minimum Chilled Water Temperature—This feature allows the user to select a minimum chilled
water temperature to prevent simultaneous operation of the chilled water (free-cooling) and
compressor(s) on units factory-programmed to operate both sources simultaneously. This feature is
enabled in Service>Setpoints, parameter Minimum CW Temp.
If the fluid temperature sensed is below the Minimum CW Temp Value, (Service Menu, Setpoints),
and the Delta T (Temperature Difference) Between Room and Glycol (see 3.4.1 - Differential
Temperatures / Controls (Comparator Circuit) is satisfied, the control will operate ONLY the
chilled water for cooling. The compressor(s) is locked out. If cooling does not operate, (i.e., loss of
chilled water flow), the control will override this setting and activate a compressor(s). When this
happens, free-cooling will be locked out for one hour.
If the fluid temperature is above the minimum CW value, the control will operate the chilled water
(free-cooling) and compressor(s) simultaneously if needed. If the Minimum CW Temp is disabled, the
control may operate both sources as load requires.
GLYCOOL™ Cooling—Free-Cooling
GLYCOOL units may be programmed to stage cooling components in either of two ways:
• Operate free-cooling or compressor(s) to maintain temperature (factory default)
• Operate free-cooling and compressor(s) simultaneously
Caution must be taken when operating free-cooling and the compressor simultaneously on GLYCOOL
units. Adequate flow must be provided to the unit to prevent high pressure when 100% free-cooling is
required in addition to DX cooling. Running too cold of fluid temperature and compressor(s)
simultaneously may cause refrigerant pressure to drop. Contact technical support at 800-543-2778 for
more information on simultaneous operation setup.
When the unit is configured to operate free-cooling or compressors(s), free-cooling eligibility is based
on the comparator circuit discussed in 3.4.1 - Differential Temperatures / Controls (Comparator
Circuit). If the circuit determines free-cooling will condition the space, the valve will open and close
as temperature deviates from the setpoint. If the comparator circuit determines that free-cooling is
not capable of conditioning the space, control is automatically replaced by compressor(s).
During either free-cooling or compressor operation, the control uses the temperature proportional
band to determine which operation to perform (cooling/heating) and how much capacity to provide.
The Temperature Proportional Band is a user-defined range that is divided into two equal parts for
cooling and heating. The Temperature Setpoint is between these two equal parts. An optional
temperature and heating deadband range can be defined, which is equally divided on either side of
the setpoint and separates the two halves of the proportional band.
When the unit is configured to operate free-cooling and compressor(s) simultaneously, the comparator
circuit determines free-cooling eligibility. Free-cooling and compressor(s) are staged based on
temperature deviation from setpoint. The cooling proportional band is divided into two parts for
simultaneous operation, the first portion is used for free-cooling and the second for DX operation.
Figure 32 illustrates how the cooling proportional band is broken out on a free-cooling unit with two
step compressors.
Cooling Control Band for Simultaneous Operation = (Temperature Proportional Band/2) / 2 +
(Temperature Deadband/2)
If the comparator circuit determines that free-cooling is ineligible for use, the compressor band will
shift to the left.

Operation
Liebert® iCOM®38
Figure 33 Free-cooling and compressorized operation
Dual-Cooling Source
Dual-cooling systems operate in the same manner as a GLYCOOL system, except they are
factory-configured to operate free-cooling and compressor simultaneously. If simultaneous operation
is not desired, contact technical support at 800-543-2778 for assistance.
3.4.2 Liebert Air Economizer™
The Liebert Air Economizer is an option for Liebert downflow units. The Liebert Air Economizer uses
cool outdoor air in mild climates to condition indoor spaces. It is functional only on cooling units with
a Liebert iCOM that has been wired and configured to accommodate the Liebert Air Economizer.
The Liebert Air Economizer ships with sensors to determine the temperature and humidity of return
air and outdoor air. The sensors and wiring to connect them are shipped inside the Liebert Air
Economizer:
• Outdoor air sensor
• Return air sensor
• Supply air thermistor
These must be installed and connected to the primary cooling unit. The outdoor air sensor and return
air sensor connections for the Liebert DS™ and Liebert CW™ are shown in Figure 34. Connect the
supply air thermistor as shown in Figure 35 (it must be routed from the cooling unit and secured).
The illustration shows connections for the Liebert DS and Liebert CW.
NOTICE
Risk of improper wiring procedure. Can cause unit damage.
Turn Off all power to the indoor cooling unit before connecting cables or wires. Failure to do so
may damage the equipment.

Operation
39 Liebert® iCOM®
Figure 34 Temperature and humidity sensor connections—Liebert DS and Liebert CW
B
C
D
DETAIL CDETAIL B
Both Sensors and Cables
are Shipped in Boxes
Inside the Liebert
Air Economizer
Outdoor Air T/H
Sensor
(identified with
outdoor label)
Return Air
T/H Sensor
DETAIL D
Connect P67 on the
Control Board to P66 on the
Return Air T/H Sensor
Using Cable Provided
Secure Ring Terminal
(for Sensor Cable Shield)
Into the Back of the Electric Box
(Earth Ground)
Mount Return Air
T/H Sensor Indoors,
Above Unit Return
Connect P67 on the
Return Air T/H Sensor
to P66 on the Outdoor
Air T/H Sensor Using
Cable Provided
Connect P66 on the
Return Air T/H Sensor
to P67 on the Control Board
Using Cable Provided
Mount Outdoor
Air Sensor Inside
Outdoor Air Plenum
Secure Ring Terminal
(for Sensor Cable Shield)
Into Metal Duct
(Earth Ground)
Connect P66 on the
Outdoor Air T/H Sensor
to P67 on the Return
Air T/H Sensor
Using Cable Provided
Route Cable Through
Customer-Created Hole
In Plenum, Then Seal
Outdoor Air
T/H Sensor
Return Air
T/H Sensor
FRONT VIEW
Both Possible Low-Voltage
Compartments Shown.
Identify Which Applies.
DPN001449
Pg. 4, Rev. 2

Operation
Liebert® iCOM®40
Figure 35 Supply limit thermistor wiring and restricted airflow switch location
E
FRONT VIEW
120" Frame, Chilled Water
Restricted Airflow
Switch Location
Liebert DS + CW026-CW084
Restricted Airflow
Switch Location
P13
Secure Supply Air Thermistor
In Airflow (120" Frame, Chilled
Water Location)
Secure Supply Air Thermistor
in Airflow (Liebert DS and
CW026-CW084 unit location)
P13
DETAIL E
Restricted Airflow Switch
DPN001449
Pg. 05, Rev. 02
Restricted Airflow
Switch Alarm
Setpoint Knob
Uncoil and
Extend Cable
Through Holes
Provided in
Bottom of Unit
Uncoil and
Extend Cable
Through Holes
Provided in
Bottom of Unit
Both possible low-voltage
compartments shown.
Determine which applies.
Locations for Liebert DS™
and Liebert CW™ units
shown. Note location for
your unit.

Operation
41 Liebert® iCOM®
3.5 Liebert Air Economizer™ Operation
Liebert cooling units control the Liebert Air Economizer with the analog outputs of the Liebert iCOM
control. The Liebert iCOM can be used with a Liebert Air Economizer or with a air economizer
supplied by others if equipped with 0-10VDC or 2-10VDC dampers. The Liebert iCOM is capable of
driving two independent damper motors or can be set up through the software to output a single
signal where the dampers are inversely driven.
The primary cooling unit responds to sensors that monitor the temperature and humidity of the
outdoor air, return air and supply air. If outdoor conditions are within the tolerances set, the primary
cooling unit opens the Liebert Air Economizer’s dampers varying amounts to use outdoor air for
cooling. When outdoor conditions are too warm or humid for cooling, the primary cooling unit closes
the Liebert Air Economizer’s dampers, taking it out of the cooling process. Humidification and
dehumidification are disabled when the Liebert Air Economizer is operating.
NOTICE
Risk of high or low humidity. Can cause environmental conditions that are outside equipment
requirements.
While the Liebert Air Economizer is operating, the primary cooling unit’s humidification and
dehumidification are inhibited. If humidity level is important to operational requirements, it
must be controlled by other methods during operation of the Liebert Air Economizer. While
the primary cooling unit is cooling without the Liebert Air Economizer, the primary cooling
unit will control humidity levels according to its setpoints.
NOTICE
Risk of freezing temperatures. Can cause equipment and property damage.
Low outdoor temperatures can produce freezing conditions that adversely affect cooling
systems employing water, particularly when the water is not moving through the pipes. When
cooling system water is not moving, frozen waterlines, burst coils and water damage are
possible. The outside damper must be set so that it is fully closed when freezing temperatures
are possible and the cooling system is not operating (see 3.5.3 - Disable the Liebert Air
Economizer). This can be achieved by either connecting a freeze stat that interrupts the
economizer signal or by wiring a freeze stat directly into the Liebert iCOM’s customer input.
The risk of freezing is increased unless the proper amount of glycol is added to the chilled
water unit loops.
NOTICE
Risk of infiltration of odors, smoke and particulates from outside air. Can cause
environmental conditions that are outside equipment requirements.
The Liebert Air Economizer does not remove odors, smoke, gases or particulates from the
outside air used for cooling. These must be controlled by other methods.
When the Liebert Air Economizer is being used for cooling, both the outside air damper and the room
return air damper are active in an opposing relationship. The cooling requirement and temperature of
the outdoor air will determine the position of the outside air damper. It will range from fully closed to
fully open. As the outside air damper moves toward fully open, the return air damper will close to a
minimum of 15%. The 15% minimum is to make sure that air remains circulating near the return air
sensor. If the return air sensor is moved to another position where there is constant circulation of air
in both outdoor and indoor modes, then the minimum 15% indoor damper position can be removed.
NOTICE
Risk of improper operation. Can cause degraded cooling and ventilation operation because of
improper building air pressure.
The incoming air from the outside damper requires expelling an equal volume of air through a
field-provided powered relief air vent. The volume that must be expelled will vary from 0 to
80% of the total airflow for all Liebert Air Economizer™ units. The powered relief system
should be sized for 80% of the total airflow for all Liebert Air Economizer units in the
conditioned space and to maintain minimal building air pressure.

Operation
Liebert® iCOM®42
3.5.1 Liebert Air Economizer™ System Overview
The objective of the Liebert Air Economizer is to expel warm air from the conditioned space and bring
in cooler air through the Liebert Air Economizer. This function is monitored continuously by the
Liebert iCOM.
Figure 36 shows an example of the air flow pattern of a Liebert Air Economizer system. The indoor
sensor must be positioned where there is airflow when the system is in full economizer operation and
when the system is operating in non-economizer mode.
If the indoor damper position has been changed to 0% from the factory default of 15%, then the indoor
sensor must be moved, preferably to the hot aisle.
Figure 36 Air flow pattern of a Liebert Air Economizer system-regular ceiling
Mixing
Box
Outdoor
Temperature /Humidity
Sensor
Outdoor
Damper
Indoor
Temperature/Humidity
Sensor
Roof
CRAC
Supply Sensor
5-15ft. (1.5 to 4.5m)
from cooling unit
Pressure Relief
Vent
(Not by Emerson )
Return
Room Air
Equipment
Rack
Cold
Aisle Hot
Aisle
Hot
Aisle
Front
of Unit
Liebert Air
Economizer
Equipment
Rack
Liebert iCOM
Indoor
Damper
Outside Air
Duct

Operation
43 Liebert® iCOM®
Figure 37 Air flow pattern of a Liebert Air Economizer system-dropped ceiling
Mixing
Box
Outdoor
Damper
Roof
Indoor
Damper
CRAC
Ceiling
Return
Room Air
Equipment
Rack
Cold
Aisle
Equipment
Rack
Hot
Aisle
Hot
Aisle
Front
of Unit
Outside Air
Duct
Liebert Air
Economizer
Liebert iCOM
Supply Sensor
5-15ft. (1.5 to 4.5m)
from cooling unit
Pressure
Relief Vent
(Not by
Emerson)
Outdoor
Temperature /Humidity
Sensor
Indoor
Temperature/Humidity
Sensor

Operation
Liebert® iCOM®44
Not in Operation
When the Liebert Air Economizer™ is not operating, the outside air damper is closed, the return air
damper is open and the relief air vent fan is shut down. This permits air from the conditioned space to
be drawn into the primary cooling unit, cooled and expelled into the conditioned space. The relief air
vent is not required while the Liebert Air Economizer is not in service because no air volume is being
brought into the conditioned space.
Startup Configurations
When a non-Liebert mixing box and damper motors are used, make sure that the following
configurations are verified before a unit is placed into service.
• Verify that spring-closed return dampers are installed and operating properly. Without a spring
return motor, the dampers will remain in the position they were in when power was present.
• While the Liebert Air Economizer is not operating, which could be due to the outdoor air
conditions, a manual lockout through the Liebert iCOM or a Unit Off state will result in 2VDC
(3.5VDC on 2-10V actuators) being present on the associated indoor and outdoor analog outputs.
The 2VDC (3.5VDC on 2-10V actuators) signal must result in the outdoor damper being closed
and return damper opened.
• During full Liebert Air Economizer operation, the Liebert iCOM will send 10VDC to the return
and outdoor damper that must open the outdoor damper and close the return damper to its
minimum position of 15%.
NOTICE
Risk of improper operation. Could cause frozen coils, resulting in degraded operation, water
leaks, equipment damage and building damage.
Failure to verify that the indoor and outdoor damper operation is correct could freeze the
chilled water coils, cause condensation within the data center or overload the main fan.
3.5.2 Liebert Air Economizer Control Settings
The Liebert Air Economizer control uses an outdoor temperature humidity sensor to detect when
outdoor conditions are within the operating range. The outdoor sensor can be monitored from the
Service/Economizer data menu on page 2 of 3 (see Figure 161).
The Liebert iCOM control is equipped with a series of setup parameters to allow adjustment and
monitoring of the Liebert Air Economizer’s dampers and sensor. To access these parameters from the
main unit screen:
1. Press the Down arrow key until User Menu is displayed.
2. From the User Menu screen, press the Right arrow key to enter the Service Menu.
3. Press the Enter key once in the Service Menu and use the arrows to navigate to the ECO icon on
the bottom row.
4. Select this icon and press Enter.
The parameters for the Liebert Air Economizer are now viewable.
Parameters SA03 through SA06 of the Liebert Air Economizer screen are used to determine if outside
air is eligible for use. Outside air requirements will vary slightly depending on if the Liebert Air
Economizer is connected to a chilled water or direct expansion system. See Figure 38 for more
information.

Operation
45 Liebert® iCOM®
Figure 38 Operational ranges for chilled water systems and compressor systems
If the Liebert iCOM determines that the outside air is unacceptable for use, one or more of the status
parameters on SA04 through SA06 will indicate ‘No’ and SA08—Economizer Mode will show Off. The
Liebert Air Economizer will be activated if:
• All temperatures and ratios are within the outdoor sensor range
• The outdoor air is cooler than the indoor return air temperature
Figure 39 Service/Economizer, page 1 of 3
SA04 and SA05 (DX systems only) Min and Max parameters can be fine tuned to fit the special
applications. Refer to a psychrometric chart before adjusting humidity ratios.
The status column for SA06 Outdoor Temp, is based on S135 and S136 of the
Service Menus > Setpoints.
Operation range is based on ASHRAE 90.1

Operation
Liebert® iCOM®46
S135 DT1 (Room / Outdoor) Type sets the activation point of the ambient dry bulb outdoor
temperature as it relates either to an indoor actual temperature or to the temperature setpoint
programmed on line S136. If S135 is set to “Temp,” the outdoor dry bulb temperature is compared to
the return temperature actual value. If set to “Set,” the outdoor dry bulb temperature is compared to
the return temperature setpoint. If set to “Disable,” the outdoor temperature will not be compared to
the return sensor value for activation. When set to “Temp” or “Set,” the outdoor temperature must be
lower than the room temperature setpoint or the actual return temperature sensor reading.
In most applications, this parameter will be set to “Temp” because the outdoor air temperature will
reduce cooling costs as long as the outdoor air is below the return air temperature to the primary
cooling unit. This remains true even when the outdoor temperature is higher than the supply control
setpoint. The following examples assume that the unit is set for supply air control and that the
moisture content of the outdoor air is within the allowable range.
Example 1
• Return Temperature: 90°F (32°C)
• Outdoor Temperature: 80°F (27°C)
• Supply Air Temperature: 60°F (16°C)
The conditions in this example would result in a reduction of 10°F entering the unit and would extend
the operating range of the Liebert Air Economizer™. The outdoor damper would be 100% open and the
mechanical cooling would be utilized to achieve the 60°F (16°C) supply temperature setpoint.
Example 2
• Return Temperature: 75°F (24°C)
• Outdoor Temperature: 80°F (27°C)
• Supply Air Temperature Setpoint: 60°F (16°C)
In this example, the cooling unit would not use outdoor air because it is warmer than the actual
return temperature to the CRAC.
Example 3
• Return Temperature: 75°F (24°C)
• Outdoor Temperature: 40°F (4°C)
• Supply Air Temperature: 60°F (16°C)
In this example, the cooling unit would open the outdoor damper based on the amount of cooling
needed to satisfy the supply air temperature setpoint. The unit should be able to satisfy the supply air
setpoint with Liebert Air Economizer operation only.
If SA04 through SA06 status indicate OK, but the room temperature is not maintained, SA07 Stop
ECO at Setpoint + will disable the Liebert Air Economizer and activate the next cooling source.
Figure 40 Setpoints screen, page 4 of 10

Operation
47 Liebert® iCOM®
Outdoor Sensor Sharing
When multiple cooling units with Liebert iCOM and Liebert Air Economizer are networked, the
control can be set up to share the outside air sensors of all the units connected in the U2U group.
Outdoor air sensor sharing is enabled on SA16. When set to Shared, all the outdoor temperature and
humidity readings are averaged among all connected units. The average calculation is used to
determine air economizer eligibility on lines SA04 through SA06.
Upon startup after a loss of power to the Liebert iCOM control board, the main fan will operate at
100% for 5 minutes. After the fan has run at 100% for 5 minutes, the standard fan control will be able
to modulate the fan. For other control modes, refer to Variable Speed Fans—EC or Variable
Frequency Drives on page 20.
3.5.3 Disable the Liebert Air Economizer
The Liebert Air Economizer can be disabled using a hard-wired deactivation switch, through the
iCOM display, or through a remote monitoring system using a Liebert IntelliSlot® card.
A field-installed and wired normally closed deactivation switch may be connected to Terminals 24 and
51 in place of the factory-supplied jumper. Removing a factory-installed jumper will deactivate the
unit’s air economizer function (see Figure 41) and produces an FC Lockout warning. A normally open
deactivation switch may also be used. Line S227 of the Service Menu > Set Alarms must be changed
from Opened to Closed.
The Liebert Air Economizer may be disabled by changing SA02 Enable Economizer to No.
The Liebert Air Economizer may be disabled through a remote monitoring system by writing a
disable command to data label Air Economizer Control. When disabled, SA02 status will read No. The
building management system may override SA04 through SA07 by writing an enable command.
When the enable command is written, SA02 will read Remote. Refer to the Liebert IntelliSlot®
Modbus 485, Modbus IP and BACnet IP Reference Guide, SL-28170, for additional information. The
manual is available at the Liebert Web site: www.liebert.com
Deactivating the Liebert Air Economizer will transfer all cooling to the secondary source.
Air Economizer Remote Status Indication
The K11 relay can be activated when the Liebert iCOM determines that the conditions are acceptable
for the Liebert Air Economizer™ to operate. This relay will remain active during a BMS remote
deactivation of the Liebert Air Economizer.
Figure 41 Deactivation switch
NOTE
Lines S137 through S141 are not applicable to the Liebert Air Economizer.
24 51
Liebert Air Economizer
Deactivation Switch
Terminals 24 and 51 Factory-Installed Jumper
Customer must remove jumper
and connect normally closed
contact to Terminals 24 and 51.
Open the contact to deactivate
the Liebert Air Economizer
functionality.
Main unit will continue to run without
the Liebert Air Economizer feature.
DPN001449
Pg. 6, Rev. 2

Operation
Liebert® iCOM®48
Air Economizer Emergency Override
The Liebert Air Economizer can be configured to override SA04 through SA07 in the event the facility
gets too hot. This override becomes active if the room temperature exceeds an adjustable high
temperature high return temperature threshold set on line SA10. The emergency override will open
the outdoor air damper and close the indoor air damper. The override function can be delayed after a
fan start on line SA11, allowing airflow to pass over the room sensor to get an accurate reading before
any emergency modes are activated. When the economizer is operating in emergency mode, an Eco
Emergency Override event will be triggered.
3.5.4 Adjust the Restricted Airflow Switch on the Liebert Air Economizer
The restricted airflow switch inside the cooling unit must be adjusted for the Liebert Air Economizer
to operate properly and efficiently. To adjust the switch:
1. Inspect all connections, restore power to operate the unit’s blower.
2. Go to the Service Menus, Diagnostic / Service Mode.
3. Enter the Service Menu password 5010.
4. Enable manual mode on line S313. The unit will shut Off.
5. Go to line S314 Motors and change the value displayed from No to Yes. This will allow the
evaporator fan to run with the outside air damper at minimum position.
6. Confirm the fan is running at minimum speed. This is shown on line S343 “Analog Out 3” of the
Diagnostics / Service Mode.
7. Confirm the outside air damper has moved to the minimum position by visually checking damper
position.
8. Find the restricted airflow switch in the cooling unit (Figure 35 shows the switch location in both
the Liebert CW™ and Liebert DS™).
9. Turn the restricted airflow switch alarm setpoint knob clockwise until it trips. The cooling unit
will also alarm.
a. Place a voltmeter on Terminal 56 and on the chassis ground.
b. Turn the airflow sensor counterclockwise until the voltmeter indicates 0VAC.
c. Turn the airflow sensor adjustment screw clockwise until the voltmeter indicates 24VAC.
d. When the voltmeter shows 24VAC, turn the screw counterclockwise one full turn.
Once the airflow switch has been calibrated, go to the Service Menus, Diagnostics / Service Mode.
Using the Service Menus password 5010, disable manual mode on line S313.
Cycle power Off to the unit using the I/O button, then turn the unit Off at the disconnect. Cycle power
back On to the disconnect, then press the I/O button once the control has finished booting up. Verify
unit operation as the fan starts and outside damper opens. If a 'Reduced Eco Airflow' alarm occurs
during when the unit starts, the alarm time delay located in Service, Set Alarms may need to be
adjusted higher.
The reduced airflow alarm is latched in the control for 90 minutes after calibration. Acknowledge this
alarm and allow it to clear by pressing the horn button on the control once. The alarm may also be
cleared by shutting Off power to the Liebert iCOM and cycling power to the cooling unit. The unit will
now resume normal operation.
3.6 Temperature Control—Reheat
If the room air temperature becomes too cold, the control will call for heating. Heating mode is
controlled by the Temperature Proportional Band, explained in 3.3 - Temperature Control.
NOTE
Electric Reheat is not allowed during dehumidification. Staged Reheat is used when normal
reheat control is selected, the reheats are turned On at the normal control points of 33%, 66%
and 100% without influence if or how the compressors are in operation.
Delayed Reheat is permitted only when one compressor is it operation. As soon as both
compressors are working, the electric reheats are turned Off.

Operation
49 Liebert® iCOM®
3.6.1 Electric, Hot Gas and Hot Water Reheat
Different types of cooling units feature different types of standard electrical heating. Not all types
offer hot gas or hot water reheat. The number of electrical heating stages also varies—some types of
cooling units have single-stage electrical heating as standard and offer two-stage electrical heating as
an option. Other types feature three-stage heating as standard.
The Reheat Proportional Band is divided into three equal parts, each representing one reheat stage.
As the Temperature Proportional Band increases the call for heating from 0% to -100%, stages 1
through 3 are switched On, as shown in Figure 42. Your unit will have one of the nine reheat
configuration types shown in Table 7.
Figure 42 Three-stage heating
Table 7 Reheat configuration types
Type A B C D E F G H I
Stage 1 Electric 1 Electric 1 Electric 1 Hot Gas Hot Gas Hot Gas Hot Water Hot Water Hot Water
Stage 2 - Electric 2 Electric 2 - Electric 1 Electric 1 - Electric 1 Electric 1
Stage 3 - - Electric 3 - - Electric 2 - - Electric 2
NOTE
1. Hot gas / hot water are not influenced by the setting of electric reheat during
dehumidification.
2. Hot gas output will be set only if the selected compressor is in operation.
0%
Heating
65 70
Heat 3
On
½ Dead-
band
66 67 68 69
Heat 2
On Heat 1
On
Heat 3
Off
Heat 2
Off
Heat 1
Off
-100 %
Heating
½ Proportional Band
Decreasing Temperature
Temp Setpoint: 70°F
Proportional Band: 8°F
Deadband : 2°F

Operation
Liebert® iCOM®50
3.6.2 SCR Reheat
SCR reheat is a type of electric reheat that provides tighter temperature control than staged electric
reheat. SCR reheat capacity modulation is achieved by pulsing the reheat On and Off. Full capacity is
achieved by constantly energizing the reheat. Units equipped with SCR reheat can operate in Tight or
Standard mode. By default, cooling units with SCR reheat are factory-set to operate in Tight mode.
The mode of operation can be set by adjusting the SCR Control Type parameter (Service Menu,
Setpoints).
Tight Mode
In Tight mode, the compressors and reheats are operated at the same time to provide maximum
temperature control. The temperature deadband is set to zero at the factory. In a cooling unit with
SCR reheat and two single-step compressors, the first single-step compressor is started and full
reheat capacity is provided at 0% calculated output from the Temperature Proportional Band. As the
call for cooling increases from 0% to 100%, the reheat capacity is slowly reduced by pulsing the
reheat. At 100% call for cooling, the reheat is deactivated and the second single-step compressor is
started. As the call for cooling is reduced, the reheat capacity is slowly increased. When the call for
cooling returns to 0%, the second single-step compressor is deactivated.
If the Temperature Proportional Band calculates a call for heating from 0% to -200%, the first
single-step compressor remains activated and full reheat capacity is provided. Based on the factory
defaults, the first single-step compressor is deactivated when the control reaches -200% call for
heating. The compressor remains deactivated until the control calls for 0% heating. The compressor
activation and deactivation points can be adjusted in the Service menu under Setpoints. Figure 43
illustrates how a cooling unit with two single-step compressors and SCR reheat operates when the
SCR Control Type is set to Tight mode.
Figure 43 Two single-step compressors with SCR reheat set to Tight mode
NOTE
Tight Mode is not available on chilled water units, units with variable speed fans or units with
digital scroll compressors.
NOTE
Some cooling units are not suited for a strict NO LOAD application. These cooling units
require a minimal load in the space. Consult factory for verification.
Temp Setpoint: 70°F
Proportional Band: 8°F
Deadband: 0°F
Cool 1
Off
-100 %
Heating
Cool 2
On
SCR On
Cool 1 On
Cool 2
Off
SCR
Off
-200%
Heating
100%
Cooling
0%
½ Proportional Band ½ Proportional Band ½ Proportional Band
7465 7066 67 68 69 71 72 73646362
Cooling 2 On
Cooling 1 On
SCR Reheat On

Operation
51 Liebert® iCOM®
Standard Mode
In Standard mode, the SCR reheat operates only when the Temperature Proportional Band calls for
heating. SCR reheat output is adjusted proportionally as the Temperature Proportional Band varies
the requirement for heating from 0% to -100%. Compressors operate only when there is a call for
cooling as described in 3.3.2 - Compressor Control.
Figure 44 illustrates how SCR reheat operates when SCR Control Type is set to Standard mode.
Figure 44 Two single-step compressors with SCR reheat set to Standard mode
3.7 Humidity Control
There are a variety of humidifier options depending on model unit and application requirements. In
all humidifier applications, operation is limited to 80°F (26°C) return air temperature. If the return
air temperature reaches 80°F (26°C) or higher during operation, the humidifier will be disabled. After
reaching the lockout threshold, the temperature must fall to 75°F (24°C) or below 80°F (26.7°C) for 20
minutes before the humidifier is permitted to operate.
This safety routine does not apply to externally mounted humidifiers.
Contact technical support need assistance adjusting the humidifier lockout and/or reset point or if
there are humidification problems as a result of this routine.
The Liebert iCOM has four humidity sensor control types: Dew Point, Relative, Compensated and
Predictive. The humidity sensor adjusts how the Temperature and Humidity Control determines the
percent requirement for humidification/dehumidification. The humidity sensor control type
parameter, Humidity Control Type, is in both the User and Service menus under Setpoints.
Dew Point—The actual return temperature and humidity measured by Liebert iCOM is used
internally to determine the dew point. When dew point control is selected, the user will set the
humidity setpoint in degrees dew point and will also adjust the proportional band in degrees dew
point.
Relative—The actual return air humidity sensor reading is sent to the Temperature and Humidity
Control to determine whether and how much humidification/dehumidification is required. The actual
return air humidity reading is displayed on the Status menu. Unnecessary dehumidification can
result when overcooling occurs during a dehumidification cycle. This is because a higher than normal
relative humidity (RH) reading is caused by overcooling the room. This extends the dehumidification
cycle. Later, when the dehumidification ends and the return air temperature rises to the setpoint, the
RH reading falls. The final RH reading will then be lower than desired. If significant overcooling
occurred, the RH could be low enough to activate the humidifier.
NOTE
Using SCR in Standard mode in conjunction with variable cooling capacity (e.g., chilled water
valve or digital compressor) provides ultimate capacity control and energy-efficiency gains.
Temp Setpoint: 70°F
Proportional Band : 8°F
Deadband : 0°F
Cool 2
On
Cool 1
On
Cool 2
Off
Cool 1 Off
SCR Off
SCR
On
0% 100 %
Cooling
-100%
Heating
7471 72 7366 67 68 69 70
½ Proportional Band
Cooling 1 On
Cooling 2 On
½ Proportional Band
SCR On

Operation
Liebert® iCOM®52
Compensated—The actual return air humidity sensor reading is sent to the Temperature and
Humidity Control where the Humidity Setpoint is adjusted based on how much the return room air
temperature deviates from the temperature setpoint. The adjusted humidity setpoint is used for
humidification percent requirement determination. For every 1°C deviation from the temperature
setpoint, the humidity setpoint is changed by 3% RH, inversely proportionally: if the temperature
increases, the humidity setpoint is decreased, and vice versa. The recalculated humidity setpoint is
shown as the Actual Humidity Setpoint (User Menu, Sensor Data). As the humidity setpoint is
automatically adjusted, the high and low humidity setpoints (User Menu, Set Alarms) are adjusted
accordingly. The unadjusted humidity sensor reading is displayed on the Status menu.
Predictive—The actual return air humidity sensor reading is adjusted before it is sent to the
Temperature and Humidity Control. The humidity sensor reading is adjusted based on how much the
return room air temperature deviates from the desired temperature setpoint. For every 1°C deviation
from the temperature setpoint, the humidity sensor reading is changed by 3% RH, directly
proportionally: if the temperature increases, the humidity reading is increased and vice versa. The
adjusted humidity sensor reading is displayed in the Status menu. Predictive humidity control is set
at the factory as the default.
If Compensated or Predictive humidity sensor control is selected, overdehumidification is avoided.
When overcooling occurs, causing an increase in the relative humidity sensor reading, the humidity
control program predicts what the RH will be when the dehumidification cycle ends and return air
temperature returns to the setpoint. This allows the dehumidification cycle to end at the proper time.
The Compensated and Predictive humidity sensor control can reduce energy consumption by
minimizing compressor and reheat operation, and eliminating unnecessary humidifier operation.
Humidity Control Types
The Liebert iCOM has two Humidity Control Types:
• Proportional
•PI
Proportional—The control uses the humidity proportional band to determine whether to humidify
or to dehumidify and how much capacity to provide. The Humidity Proportional Band is a
user-defined range divided into two equal parts for humidifying and dehumidifying. The Humidity
Setpoint is located between these two equal parts. An optional Humidity Deadband range can be
defined, which is equally divided on either side of the setpoint and separates the two halves of the
proportional band. Figure 45 illustrates how the humidity proportional band is evenly divided on
either side of the humidity setpoint, with and without a deadband.
Figure 45 Humidity proportional band
NOTE
The historical humidity sensor graphs will display the real (unadjusted) sensor readings, no
matter which Humidity Control Sensor Type is selected. The graphical sensor data is in the
User menu under Graphics.
0%
Setpoint
0% + 100%
Dehumidification
Dead-
band
Humidification
-Hum + Hum
0%
Setpoint
½ Proportional Band
Dehumidification
- 100%
Humidification
-100%
humidification
Without Deadband
With Deadband
Humidification
-Hum
+ 100%
Dehumidification
+ Hum
Dehumidification
½ Proportional Band
½ Proportional Band ½ Proportional Band

Operation
53 Liebert® iCOM®
When the return air humidity deviates from the setpoint, either humidification or dehumidification is
activated. If the return air humidity increases, the control calls for 0% (none) to 100% (full)
dehumidifying capacity, based on how far the humidity penetrates the dehumidification portion of the
proportional band. If the return air humidity decreases, the control calls for 0% (none) to -100% (full)
humidifying capacity based on how far the humidity penetrates the humidification portion of the
proportional band.
When the return air humidity reaches the end of the proportional band, either 100% or -100%, full
humidification or full dehumidification capacity is provided. No operation is performed when a 0%
call is calculated. The control varies the call for dehumidifying and humidifying in 1% increments as
the return air humidity moves through the proportional band halves. The deadband range is used to
widen the setpoint. When the return air humidity falls within the deadband, the control operates the
same as if the humidity equaled the setpoint exactly. This setting helps maximize component life by
preventing excessive component cycling. The Humidity Proportional Band and Humidity Deadband
parameters are in the Service menu under the Setpoints submenu. The Humidity Setpoint parameter
is in both the User menu and Service menu under Setpoints.
PI—If PI Control is selected, the percent humidification/heating requirement is calculated by
combining two methods, proportional and integral. The proportional term is calculated in a manner
similar to the previously described Proportional control.
The integral term (sometimes called “reset action”) is calculated by measuring how much and how
long the air humidity has been above or below the setpoint. If the actual air humidity has deviated
from setpoint, the percent requirement is slowly and continuously increased until the total is
sufficient to bring the return room air back to the setpoint. The control helps to ensure humidity
setpoint is achieved while efficiently operating the equipment.
From an idle state (compressor[s] Off, chilled water valve closed, etc.), the call for
humidification/dehumidification is based on proportional humidity deviation from setpoint. As
humidity deviates further from or closer to the setpoint, the call for humidification/dehumidification
is increased or decreased, respectively. The amount of humidification or dehumidification applied
depends on how far the actual temperature has deviated from the setpoint on the proportional (P)
band.
The integration (I) time works with the proportional band in PI Control to stage call for components
before the room humidity deviates far from the setpoint. The “I” portion does this by doubling the
current “P” deviation for every time the “I” has elapsed.

Operation
Liebert® iCOM®54
3.7.1 Humidification
Infrared Humidifier
There are two types of infrared humidifiers: small pan (IFS) and large pan (IFL). The operating mode
of each is similar, however, some of the variables or timings differ because of the size of the pan.
Infrared humidifiers are started at 100% humidification request and stopped at 0%. Infrared
humidifiers cannot be driven in proportional mode.
An autoflush system automatically controls a water makeup valve to maintain proper levels in the
infrared humidifier water pan during humidifier operation. If humidification is needed and 15 hours
have elapsed since the last time the humidifier was on, then the humidifier is not turned On until the
valve completes an initial fill of the humidifier pan. This pre-fill is about 30 seconds for a small pan
and 60 seconds for a large pan. The valve continues to fill and flush the pan for about 4-1/2 minutes
for a small pan or 7-1/2 minutes for a large pan. Pan size is selected based on unit specifications and
the time is factory-set.
During humidifier operation, with the flush rate set at the default of 150%, the valve is opened
periodically to add water to the pan (for a small pan, it opens about 45 seconds for every 7 minutes of
humidifier operation; for a large pan it opens about 80 seconds for every 10 minutes of operation).
This adds enough water to the pan to cause about a third of the total water used to be flushed out of
the overflow standpipe in the humidifier pan. This helps to remove solids from the pan. The flush rate
is adjustable from 110% to 500% in 10% increments. Default is 150%. If the water quality is poor, it
may be desirable to increase the water flushing action above the normal 150% rate. Also, if the supply
water pressure is low, the flush rate adjustment can be increased so that a sufficient water level is
maintained during humidification. The flush rate parameter, Infrared Flush Rate (Service Menu,
Options Setup), is adjustable from 110%-500% because the fill valve is controlled by time. It uses a
factory-installed integral float to prevent overfilling if the humidifier drain or condensate pump fails.
External Humidifier Control—Optional
A factory-supplied option may be provided to allow a start-stop command to be sent to the control of a
remote-mounted humidifier.
Steam Generating Canister Humidifier
The Steam Generating Humidifier has its own separate control board that manages the canister and
steam rate. Liebert iCOM sends an On-Off command to relay a call for humidification.
3.7.2 Dehumidification
The Dehumidification Enable parameter (Service Menu, Options Setup) allows for enabling/disabling
the dehumidification function.
A call for dehumidification is calculated in the same way as a cooling request. The components
(valves, compressors) will follow this dehumidification request as soon as it is higher than the request
for cooling the hot gas bypass (if equipped) will disengage on the Liebert Challenger 3000™.
Table 8 Parameters for infrared humidifier control
Parameter IFS Default IFL Default
Liebert
Challenger
Humidity in Last xx Hours 15 hours 15 hours 15 hours
Fill Time 33 seconds 56 seconds 27 seconds
Humidifier On Time 440 seconds 576 seconds 568 seconds
Flush Rate 150% 150% 150%

Operation
55 Liebert® iCOM®
Dehumidification Low Limit
Figure 46 Setpoints screen, page 3 of 9
Low Limit 1 and Low Limit 2 are used to avoid overcooling a room during dehumidification. When a
low limit is reached, a compressor or the liquid cooling source that is used for dehumidification is
disabled. It is re-enabled when the air temperature rises. The Low Limit 1 and 2 settings are in the
Service menu under Setpoints.
Low Limit 1: Low Limit 1 will disable one of two compressors for dehumidification. If only one
compressor is set for dehumidification, or if the dehumidification source is chilled water, this limit
will not be visible and will be inactive.
Low Limit 2: Low Limit 2 will disable both compressors for dehumidification. This limit will also
stop dehumidification in single compressor units and in chilled water units.
The limits become active when the air temperature drops below a temperature value equal to the sum
of the dehumidification reheat setpoint plus the value set on Low Limit 1 and 2 (the Low Limit
settings are negative values).The air temperature used for low limit is the same sensor used for
controlling reheat during dehumidification (left hand value on line S132).
A dehumidification source is deactivated if the return air temperature drops below the Deactivation
Temperature, as in this example:
Dehumidification will not reactivate until:
• the air temperature is above S132 Dehumidification Reheat Setpoint
OR
• at least one compressor is in a call for cooling, at least 10 minutes has elapsed since
dehumidification was stopped and the Low Limit Sensor (S132) is greater than the Low Limit 2
(LL2) border.
NOTE
When the unit is in relative humidity control, only the right side of the menu is displayed and
dew point will display the left side of the menu.
S132 Dehumidification
Temperature Setpoint: 70°F (21.1°C)
Low Limit Value: -7°F (-3.8°C)
Deactivation Temperature: 63°F (17.2°C)
NOTE
If a cooling unit is equipped with SCR reheat and the SCR Control Type parameter is set to
Tight mode, then Low Limit 2 will be ignored, see 3.6 - Temperature Control—Reheat.

Operation
Liebert® iCOM®56
To avoid the dehumidification lockout:
• Increase the heat load for efficient operation
• Decrease S133 LL settings slightly
• Where applicable, decrease the reheat proportional band. This will allow the reheats to activate
sooner, helping to prevent the low return condition.
Dehumidification Compressor Quantity
Under Factory Settings in the Advanced menu there is an item called Dehumidification With Comp.
This will be set to either 1, 2, 1 or 2, or BOTH. This setting determines which compressors are used
for dehumidification. It also determines if Low Limit 1 will be available and impacts how the reheats
will operate during dehumidification. The Dehumidification With Comp field is set when the cooling
unit is built and should not be adjusted without first consulting the factory. Table 9 outlines which
Low Limit settings will be available, based on the Dehumidification With Comp selection.
Low Limit 1 and 2 will be available only on cooling units with two compressors when
Dehumidification With Comp is set to BOTH.
Low Limit defines the sensor and the setpoint used to determine the low limit thresholds for all
cooling and dehumidification modes.
The value of the selected sensor is compared with the setpoint set in S132 + the LL1 / LL2 settings
(S133).
Possible selections are:
• 0 = Supply Sensor (selectable only when S102 Temperature Control Sensor is set to “Supply”)
• 1 = Remote Sensor (selectable only when S102 Temperature Control Sensor is set to either
“Remote” or “Supply”)
Falls back to “Supply” when all Remote Sensors are set to “Disabled”
• 2 = Return Sensor - Default for all configurations, and the only allowable setting when S102
Temperature Control Sensor is set to “Return.”
Defaults: Any time the S132 sensor setting changes (away from the default “Return” or back to
“Return”), the setpoint will take the same value of what is set in S103 Temperature Setpoint.
Reheat During Dehumidification
The parameter Electric Reheat Operation in Service Menus>Options Setup defines how the heaters
react if the temperature decreases during dehumidification. This parameter does not affect SCR
reheat operation. The Electric Reheat Operation parameter is in the Advanced and should not be
changed without factory approval.
No—No electric reheat allowed during dehumidification process.
Delayed—This setting applies only to two-compressor units with BOTH compressors selected for
dehumidification. The electric reheats are prevented from turning On until Low Limit 1 is reached. At
this condition, one stage of dehumidification is disabled and the reheats are activated. At
Low Limit 2, both stages of dehumidification are disabled. When Delayed is selected on units with a
single compressor selected for dehumidification (Dehumidification With Comp Setting: 1, 2, and 1 or
2), the reheats will operate the same as they do for Staged as described below. Delayed is the default
setting for Liebert DS units.
Staged—This setting applies to one or two compressor units. Electric heaters will stage as illustrated
in Figure 47. Staged is the default setting for Liebert Challenger 3000 units. On two-compressor
units with Staged reheat selected and Dehumidification With Comp set to BOTH, the control allows
operating two compressors and reheats simultaneously. The electrical service to the unit must be
sized and wired for this option if selected.
Table 9 Dehumidification With Comp settings
Available to Set Value Dehumidification With Comp Setting Default Setting On
Low Limit 2 only [blank] (units without compressors) All Chilled Water Units
1 or 2 (Compressor 1 and 2 alternate) Liebert DS™
Low Limit 1 & 2 Both (both compressors dehumidify) —

Operation
57 Liebert® iCOM®
Figure 47 Dehumidification and reheat control bands
The call for heating is based on the deviation between the dehumidification reheat setpoint
(S132 right hand value) value of the selected sensor (S132 left hand value).
Return Sensor is the default for all configurations and the only allowable setting when S102
Temperature Control Sensor is set to “Return”. Supply Sensor is selectable only when S102
Temperature Control Sensor is set to “Supply.” Remote Sensor is selectable only when S102
Temperature Control Sensor is set to either “Remote” or “Supply.” The reheat activation points are
based on the dehumidification temperature control band. Dehumidification temperature control band
is established using these parameters:
• S132 (right hand value)
• S111 Heater Deadband
• + 1/2 (S13A-Dehum Reheat Prop Band)
• Dehumidification Temperature Control Band
Hot gas reheat or hot water reheat will start as shown in Figure 47, when the temperature decreases
during the dehumidification process. Reheats operate only as proportional control. As the room
temperature deviates further from setpoint on the dehumidification control band, the more reheats
are activated.
Dehum Reheat Prop Band
-100%
-Temp
33% 33% 33%
Step 3 Step 2
Step 3 on
Step 3 off
Step 2 on
Step 2 off
Step 1 on
Step 1 off
0%
Dehum / Reheat
Setpoint
0%
Heater
Deadband
Step 1
Dehum Reheat Prop Band 0%
Dehum / Reheat
Setpoint
-100 %
-Temp
33% 33% 33%
Step 3 Step 2
Step 3 on
Step 3 off
Step 2 on
Step 2 off
Step 1 on
Step 1 off
Step 1

Operation
Liebert® iCOM®58
3.8 Supply Control
Up to 11 supply air sensors thermistors may be connected per unit, used as control or reference of the
discharge air temperature of the cooling unit. The supply temperature sensors should be installed in
an area that is influenced only by the unit it is connected to. The supply sensor should be 5-15 ft.
(1.5-4.5m) from the cooling unit to provide an accurate reading for the control. Two sensor types are
available for purchase. The sensor types can be used together based on user reference.
The standard supply air thermistor connects to P13 Pins 1 and 2. A 50 ft. (15m) extension cable is
available from Emerson if the sensor must be more than 15 ft. (4.5m) from the Liebert iCOM. The
sensors require no configuration, just connection to the Liebert iCOM. Connectivity can be confirmed
through the unit view or sensor data.
Figure 48 Placing the supply air temperature sensor
For systems with larger supply air plenums, optional 2T supply air sensors may be connected via
CANbus to obtain a precise supply air temperature. Each 2T sensor reports two temperature values
to the Liebert iCOM. Up to five 2T sensors may be connected in addition to the standard supply air
thermistor. The Liebert iCOM will aggregate the readings and convert them into a user-defined
average or maximum sensor value for control purposes.
The first step in setting up the additional supply sensors is to program the dip switches using
Table 10. The DIP switches may be accessed by removing the rear housing or through hole in the
housing. See Figure 71 for additional information.
After setting the DIP switches, follow the directions in 4.3.3 - Terminate the Final Sensor on the
CANbus Link to complete the sensor installation.
Once the sensors have been connected, go to Service Menus> Sensor Calibration/Setup (Figure 149).
Locate the line that reads Supply Sensor Aggregation. Change the right hand parameter to Enabled.
Table 10 DIP switches in 2T sensors
Supply Sensor #
CANbus
Node ID
DIP switch Position
12348678
Sensor A 17 On Off Off Off On Off Off Off
Sensor B 18 Off On Off Off On Off Off Off
Sensor C 19 On On Off Off On Off Off Off
Sensor D 30 Off On On On On Off Off Off
Sensor E 31 OnOnOnOnOnOffOffOff
Sensors A through E are dual purpose CANbus ID’s in software. Sensors A-C (IDs 17-18) may alternatively be used for
temperature and humidity monitoring of the space. Sensors D and E (ID’s 30 and 31) may be used for fluid inlet and outlet
temperature monitoring. Verify application setup before installing additional supply air sensors. Adding duplicate sensors will
result in sensor communication loss.
Temperature
Sensor
5 to 15feet
(1.5 to 4.5m)
Internal Temperature
and Humidity Sensor
Return
Air
Supply Air
Liebert
Cooling Unit

Operation
59 Liebert® iCOM®
Enable the corresponding sensors to be included in the aggregate temperature measurement. Set the
aggregation method to average or maximum. The aggregated temperature will be displayed at the
bottom of the screen.
•Supply Control: When the supply sensor is set to Control, the unit will control the amount of
cooling / heating being provided based on maintaining the discharge air temperature. The return
air sensor may still be used to control fan, humidity or as temperature/humidity reference of the
room.
•Supply Limit: The supply limit can be enabled only when the unit’s temperature control sensor
is set to either Remote Sensor or Return Sensor. The unit may be set up with the supply air
sensor to maintain a minimum air temperature under a raised floor to help prevent condensation.
To avoid supply temperatures that are too low, the supply limit can influence the opening of
three-point or analog actuators, or compressor capacity. The control compares the deviation from
the return air setpoint and the supply limit setpoint and calculates the output to the actuator
from the smaller deviation.
When the supply air sensor is set for Temperature control, additional Supply Air configuration
parameters (valve pulse, cooling filters and return compensation) can be used to enhance the
supply air control.
•Valve Pulse and Cooling Filter Timer: The valve pulse and cooling filter timer can be
adjusted to prevent oscillation around the supply setpoint and still allow for rapid cooling capacity
adjustments to compensate for heat load changes. Contact your local Emerson Network Power
Liebert Services personnel for adjustments.
3.9 Liebert Optimized Aisle Control
The Liebert iCOM Optimized Aisle Control has been developed to take advantage of the variable fan
speed (EC or VFD Fans) and variable capacity (Chilled Water, 4-Step and Digital Scroll) components
that are available on some units. This new control scheme uses this variable capacity technology and
applies it to ensure that the inlet air temperature to the server is maintained while providing the
greatest amount of energy savings. Maintaining the rack inlet air temperature ensures that the IT
equipment operates trouble free and keeps the server fans from ramping up from their minimum
speed.
Each Liebert cooling unit is equipped with a Liebert iCOM controller that has the ability to collect
and control a supply (Discharge) air temperature sensor, a return temperature and humidity sensor
and up to 20 rack temperature sensors. The Liebert iCOM Optimized Aisle control utilizes each of
these sensors to determine how to adjust the cooling, heating, humidification and dehumidification
capacity of the unit.
All floor mount cooling units equipped with Liebert iCOM can communicate with each other through
standard Ethernet connectivity. This communication between the units allows coordination of cooling
capacity, zoned air flow distribution, fail over protection and different modes of standby operation. To
reach the full benefit of the Liebert iCOM Optimized Aisle Control, the units must have this network
connected.
Upgrades are available for most Liebert cooling units that are not equipped with the Liebert iCOM or
with a variable speed fan. Contact local Emerson representative for additional information.
NOTE
On units equipped with a 3P actuator type valve, response can be improved by using the
feedback signal. Feedback is not required for supply air control and is not available on units
with fluid economizer. See 3.3.3 - Chilled Water Control.
NOTE
Supply control and limit are calculated on each unit, independent of the other sensor readings
on the network.

Operation
Liebert® iCOM®60
3.9.1 Operation
Inlet Rack Temperature Control
The Liebert iCOM Optimized Aisle control monitors the inlet temperature to the racks using up to 20
rack temperature sensors that are connected to a Liebert iCOM control. These inlet rack temperature
sensors are used to control the air flow (fan speed) of each unit. The air flow is increased when the
inlet rack sensors detect a temperature higher than the setpoint and will decrease air flow when the
head load decreases or changes to the application are modified (eg., Containment).
Additional Details of Rack Temperature Operation
Refer to Application and Configuration of Rack Sensors on page 81 for rack sensor setup
details.
• The cooling unit’s fan speed is determined based on the amount of deviation from temperature
setpoint (Proportional) and the length of time the actual temperature has deviated from
temperature setpoint (Integral)
• The fan speed control takes into account the actual temperature as it compares to the
temperature setpoint and will modify how fast the fans can change speed to avoid overshooting
the setpoint.
In addition to the speed filters, the fan speed also has programmed independent acceleration and
deceleration rates
These control tuning parameters allow the fans to speed up quickly to match rapid heat load
changes and react to containment doors being opened and closed while still providing stable
control when the application returns to steady state operation.
Temperature Compensation
Temperature compensation links between the cold aisle temperatures, cooling capacity and air flow.
Changes that could invoke temperature compensation would be the removal of floor tiles in non-cold
aisle areas, incorrect supply temperature setpoint, unit failure in another zone or heat load changes
greater than expected heat load changes in rack equipment. As a further protection, the temperature
compensation routine also ties into the cascade /standby operation when Teamwork Mode 3 is
selected.
There are three selectable compensation routines to choose from: Return, Supply or Return + Supply.
Return Compensation: This temperature compensation monitors the return air condition and
automatically adjusts the supply air setpoint if return temperatures become too cold. Return
compensation can be enabled in all fan and temperature control sensor configurations, with the
exception of fan and cooling set for return air control (Enable Return Compensation falls back to No).
With return air compensation enabled, S103 “Temperature Setpoint” remains unchanged as long as
the air temperature is above S114 “Return Compensation Setpoint.”
If the return air temperature falls below S114 “Return Compensation Setpoint,” S103 “Temperature
Setpoint” will be increased. The calculated compensation setpoint is displayed as the left hand value
(Act) of line S103 (see Figure 49). Return compensation is also indicated from the unit view as shown
in Figure 50.

Operation
61 Liebert® iCOM®
Figure 49 Return Compensation Setpoint in Service Menu
Figure 50 Return Compensation in Unit View
Calculated Return
Compensation
Setpoint
Return
Compensation
in Unit View

Operation
Liebert® iCOM®62
Figure 51 Return Compensation control band
The return compensation setpoint will proportionally increase as the return temperature deviates
below S114 “Return Compensation Setpoint.” The compensation proportional band is set on line S115.
The compensating proportional band defines the maximum value the air temperature setpoint will
increase during return compensation. See Figure 51.
Figure 52 Return Compensation setpoint deviation
Supply Compensation: Supply temperature compensation allows units to automatically adjust the
supply air temperature setpoint when the unit has reached its maximum airflow of 100% and the cold
aisle temperature remains above the cold aisle setpoint. In this situation, the temperature
compensation feature will proportionally decrease the supply air setpoint until the Inlet rack
temperature reaches the setpoint.
-100%
S115 Return
Compensation Band
S114 Return
Compensation Setpoint
S115 Return Compensation Value Temperature Setpoint
(Sensor set to either Supply Sensor
or Remote Sensor )
New air temperature
setpoint modified by
compensation
Return
Compensation
Proportional
Band
Return
Compensation
Maximum
Value

Operation
63 Liebert® iCOM®
Figure 53 Supply compensation
When supply air compensation has been invoked, it will be indicated on the unit view by a small
downward-pointing arrow. See Figure 54.
Figure 54 Supply Compensation in Unit View
During normal operation, as the rack temperature increases above the fan temperature setpoint, the
fan speed will increase until it reaches 100% speed. 100% fan speed is achieved once the controlling
temperature reaches a value equal to 100% of the fan control band, or S116 Fan Setpoint + 1/2(S150
Fan Deadband) + 1/2(S149 Fan Temp Prop Band).
Fan
Speed
100%
Lower Supply
Supply
Compensation
in Unit View

Operation
Liebert® iCOM®64
How many degrees the supply temperature will be lowered while supply compensation is invoked
depends on how many degrees the fan controlling temperature has exceeded the control band
compared to S116 Supply Compensation Value.
Example: With a Fan Setpoint of 70ºF and Proportional band of 10ºF, 0ºF deadband, the fan
speed is 100% when the rack temperature is 75ºF. If S116 Supply Compensation value = 10ºF, the
supply air temperature will lower one degree for every degree the rack temperature increases
outside the fan control band. This means if the air temperature setpoint is 65ºF, and the rack
temperature increase to 77ºF, the supply air temperature will lower to 63ºF.
Return + Supply Compensation: This selection provides the ability to enable both supply and
return compensation settings as described above.
Figure 55 Supply compensation
Figure 56 Temperature/humidity/static pressure control sensors in Optimized Aisle
76 78
74
7372
100%
Compensation
50%
Compensation
Blower at 100%
of Capacity
Blower Proportional Band
Fan Speed Proportional
Band 8°F (4°C)
Supply Temperature Setpoint
will be decreased by the Supply
Compensation band when the
fan speed proportional band
has doubled
After the blower reaches 100
percent and the temperature
continues to increase, the
supply temperature setpoint will
be decreased proportionally
Supply
Compensation
Band 8°F (4°C)
Return
Temperature/
Humidity
Sensor
Supply Temperature
Sensor
Inlet Rack Sensor
Static Pressure

Operation
65 Liebert® iCOM®
3.9.2 Static Pressure Control
Static pressure control normally refers to the control of a variable air flow device that will maintain a
differential static pressure between two points. The two points of measurement are typically a
point(s) below the raised floor in comparison to a point(s) above the raised floor, also known as ESP
(External Static Pressure). There are other static pressure points within the data center that have
also been used for control like the pressure differential between the inlet of a server rack as it
compares to the outlet of a server rack in a containment application. No matter where the differential
pressure is measured for control, the objective behind the control is to achieve the same result. Since
static pressure measures the potential to flow air from the area of a higher pressure to a lower
pressure, the result static pressure is trying to achieve is air flow.
The control method of static pressure is to define a setpoint in either inches of water column or in
Pascal’s that a controller will use to compare the actual differential pressure reading from either a
single pressure sensor or multiple pressure sensors. The actual reading from the sensor is then
compared to the static pressure setpoint and the fan speed is adjusted to keep the actual pressure
reading at setpoint. The static pressure setpoint is selected by determining the amount of pressure it
takes to produce air flow across a specific component. The components in a data center are normally a
perforated floor tile or a contained hot / cold aisle.
Figure 57 Senor placement
Static pressure control in a data center has been derived from the building air management systems
with the promises of a consist CFM or air flow from perforated floor tiles as they are added or removed
from the white space. Using static pressure to control fan speed within an air handler with VAV
(Variable Air Volume) systems has been applied successfully for many years. The key component that
allows the system to work so well within an air handler system is the VAV box. In this type of system
the VAV box controls the flow of air by adjusting a damper based on the local temperature that the
VAV box serves. As the VAV box opens and closes to maintain its zone temperature a secondary
control speeds up and slows down the supply fan to maintain a specific supply duct static pressure. As
the zone heats up, the damper opens which lowers the static in the duct and the fan speeds up. Keep
in mind that the zones are still controlled by temperature while the static pressure is only providing
the potential to flow air by keeping a higher pressure in the duct than the area being conditioned.
For a data center to be as effective using static pressure control to maintain fan speed each perforated
floor tile would need to act as a VAV damper box. Unfortunately, many of the data centers operating
today do not have automatically adjusting dampers that adjust the air flow from each perforated tile.
Without the VAV part of the system, a raised floor data center application becomes a manual process
to fine tune perforated tile locations based on server CFM demand. Static pressure control is also very
dependent on the sensor position under the floor as floor obstructions like piping and cables can affect
static pressure readings. In addition CRAH unit location and perforated tile placement can cause
vortexes under the floor that would also affect the static pressure readings.
Understanding the limitations for static pressure to automatically adjust the fan speed based on the
IT equipment demand should prompt an initial CFD (Computational Fluid Dynamics) evaluation of
the site to determine high and low pressure areas under the floor. In addition CFD’s should be
performed when the floor tile arrangement changes or the IT equipment demand changes. The under
floor environment will also change based on the floor tile arrangement changes and may not relate to
above floor air flow expectations. The SixSigma® and Tile Flow® simulations in the next sections will
illustrate under floor airflow in relation to tile flow and how the two variables change based on a unit
being turned Off or in standby.
Racks with Equipment CRAHCRAH

Operation
Liebert® iCOM®66
Contact your local Emerson representative for more information or to order the static pressure kit.
The Liebert iCOM control can accept up to four static pressure sensors connected to available analog
inputs to modulate the fan speed as part of Optimized Aisle Control. The user can aggregate multiple
sensor readings to control server airflow based on an average, maximum or minimum reading of the
connected sensors.
Figure 58 Single static pressure sensor Liebert iCOM installation
Figure 59 Static pressure sensor placement
Two modes of control can be selected when using static pressure to modulate EC and VFS fans with
Optimized Aisle Control: limit and control. This choice can be made at S190 in the Service Setpoints
Menu. The limit control method modulates the fan to ensure that the static pressure never falls below
the static pressure setpoint, S191. If the static pressure is above the setpoint the fan will not be
ramped down. The control method modulates the fan to ensure the static pressure setpoint is
maintained. It will increase and decrease the fan speed to maintain the static pressure setpoint.
To help protect rack equipment, the Liebert iCOM may be programmed to override static pressure
control if the return or remote temperature gets too warm. This feature will provide additional airflow
to hot spots in the conditioned area if the static pressure setpoint is no longer suitable to maintain the
required temperature.

Operation
67 Liebert® iCOM®
Figure 60 S190 Limit
Figure 61 S190 Control
SP Deadband
SP Fanspeed P-Band
Static Pressure
Range
SP
Lower Range
SP
Upper Range
Fastest fanspeed
increase rate
Slowest fanspeed
increase rate
SP
Setpoint
SP Deadband
SP Fanspeed P -Band
Static Pressure
Range
SP
Lower Range
SP
Upper Range
Fastest fanspeed
increase rate
Slowest fanspeed
increase rate
SP
Setpoint
Fastest fanspeed
increase rate
SP Fanspeed P -Band

Operation
Liebert® iCOM®68
3.10 Event Types and Properties
Liebert iCOM events are used to inform the user of cooling unit operational status. All events are
recorded in the Event Log, which is in the User Menu. The user can change the type (alarm, warn,
message) and time delay of some events and can also enable or disable some events. These event
settings are in the Service Menu under Set Alarms, pages 3 to 10. If an event has a safety function
(high pressure, low pressure, main fan overload, etc.), the safety function will be executed in any case,
independent of the selected event type or if enabled or disabled. The timing will function as set.
Event Types
•Message: If this event occurs, it will only be entered into the event log.
•Warning: If this event occurs, a warning will be generated and entered into the event log. The
common alarm relay will be activated only if parameter Warning Activates Alarm Relay located
in the Service menu under Alarm Setup is set to Yes. The factory default is Yes.
•Alarm: When an alarm is received, a red light on the Liebert iCOM will blink and an alarm will
sound, unless turned Off in the User Display Setup Menu. Pressing the alarm button will
acknowledge the alarm but not clear it. The alarm will not be cleared until the issue has been
corrected, reset internally by the control or reset manually by the user. For instance, alarms such
as High Pressure can be cleared by changing the alarm counter to 0. If this event occurs, an alarm
will be generated and entered into the event log. An alarm does not necessarily switch Off the
whole cooling unit; that depends on which alarm occurs. If a standby unit is set, any alarm will
stop the faulty unit and start the standby unit. Standby activation functions only on alarms;
messages or warnings will not start a standby unit. For more on standby units, see 4.0 -
Teamwork.
Time Delay
Delays the event reaction once it is triggered. The time delay applies to safety functions and is
entered in seconds.
Enable or Disable
Disabled events do not show up in the event log, on the display or on monitoring devices. Also, the
common alarm relay will not be activated if a disabled alarm occurs. Safety functions, such as lockout
compressor in case of high pressure are still performed.
NOTE
Not all critical event properties can be adjusted.
NOTE
Once an event, either Warn or Alarm type, has been set to Disable, the associated alarm
condition will not be annunciated. Disabled events may be reset only through the menu item
Reset Disabled Alarms.
NOTE
The value of the external delay includes the internal delay if it is greater than the internal
delay.
The minimum setting of the external delay is the value of the internal delay. This is valid only
for values marked with *.

Operation
69 Liebert® iCOM®
Table 11 Possible event settings—some events not available in all units
Event
Internal Delay
(Before Action Occurs)
Default Delay / Selectable
(Before Action Occurs)
Type
(default)
MAIN FAN OVERLOAD 2 seconds 5 seconds / 0 – 9999 * ALM
LOSS OF AIRFLOW 3 seconds 3 seconds / 0 – 9999 * ALM
CLOGGED FILTERS 2 seconds 2 seconds / 0 – 9999 * WRN
HIGH ROOM TEMP 1 Min After Fan On 30 seconds / 0 – 9999 Fixed to WRN
LOW ROOM TEMP 1 Min After Fan On 30 seconds / 0 – 9999 Fixed to WRN
HIGH ROOM HUM 1 Min After Fan On 30 seconds / 0 – 9999 Fixed to WRN
LOW ROOM HUM 1 Min After Fan On 30 seconds / 0 – 9999 Fixed to WRN
HIGH TEMP SENSOR A 1 Min After Fan On 30 seconds / 0 – 9999 Fixed to WRN
LOW TEMP SENSOR A 1 Min After Fan On 30 seconds / 0 – 9999 Fixed to WRN
HIGH HUM SENSOR A 1 Min After Fan On 30 seconds / 0 – 9999 Fixed to WRN
LOW HUM SENSOR A 1 Min After Fan On 30 seconds / 0 – 9999 Fixed to WRN
COMP 1 OVERLOAD Internal Calc. no ALM
COMP 2 OVERLOAD Internal Calc. no ALM
COMP 1 HIGH PRESSURE Internal Calc. no ALM
COMP 2 HIGH PRESSURE Internal Calc. no ALM
COMP 1 LOW PRESSURE Internal Calc. no ALM
COMP 2 LOW PRESSURE Internal Calc. no ALM
COMP 1 PUMPDOWN FAIL Internal Calc. no ALM
COMP 2 PUMPDOWN FAIL Internal Calc. no ALM
DIG SCROLL1 HIGH TEMP Internal Calc. no ALM
DIG SCROLL2 HIGH TEMP Internal Calc. no ALM
EL HEAT HIGH TEMP 5 Sec 0 sec / 0 – 9999 WRN
WORKING HRS EXCEEDED 0 Sec 0 sec / 0 – 9999 Fixed to WRN
SMOKE DETECTED 2 Sec 2 sec / 0 – 9999 * ALM
WATER UNDER FLOOR 2 Sec 2 sec / 0 – 9999 * ALM
COND PUMP-HIGH WATER 2 Sec 2 sec / 0 – 9999 * ALM
LOSS OF FLOW 5 Sec
Reset Delay: 10 Sec 2 sec / 0 – 9999 * ALM
STBY GLYCOL PUMP ON 2 Sec 2 sec / 0 – 9999 * ALM
STANDBY UNIT ON 2 Sec 2 sec / 0 – 9999 * ALM
HUMIDIFIER PROBLEM 2 Sec 2 sec / 0 – 9999 * ALM
NO CONNECTION w/Unit1 Internal Calc. - WRN
UNIT X DISCONNECTED Internal Calc. - WRN
LOSS OF POWER 0 Sec No ALM
CUSTOMER INPUT 1 2 Sec 2 sec / 0 – 9999 * ALM
CUSTOMER INPUT 2 2 Sec 2 sec / 0 – 9999 * ALM
CUSTOMER INPUT 3 2 Sec 2 sec / 0 – 9999 * ALM
CUSTOMER INPUT 4 2 Sec 2 sec / 0 – 9999 * ALM
CALL SERVICE 2 Sec 2 sec / 0 – 9999 * MSG
HIGH TEMPERATURE 2 Sec 2 sec / 0 – 9999 * MSG
LOSS OF AIR BLOWER 1 2 Sec 2 sec / 0 – 9999 * ALM
REHEAT LOCKOUT 2 Sec 2 sec / 0 – 9999 * WRN
HUMIDIFIER LOCKOUT 2 Sec 2 sec / 0 – 9999 * WRN

Operation
Liebert® iCOM®70
3.10.1 High- and Low-Temperature and Humidity Events
High- and low-temperature and humidity alarms can be set for both the internal and optional
external sensors. If a sensor reading exceeds a preset threshold, a warning will appear. These
warnings are ignored after unit startup for a minimum of 1 minute. To increase the delay to warn, see
3.10 - Event Types and Properties. The threshold settings are located in both the User and Service
menus under Set Alarms.
To apply threshold limits on the internal cooling unit sensors, the Return Sensor Alarms must be
enabled. The high and low temperature and humidity internal sensor thresholds can then be set. To
apply threshold limits on the optional external sensors, the Sensor A alarms must be enabled. The
high and low temperature and humidity external sensor thresholds can then be set. If no external
sensors are connected to the unit, it is recommended that the Sensor A Alarms be disabled.
FC LOCKOUT 2 Sec 2 sec / 0 – 9999 * WRN
COMPRESSOR(S) LOCKOUT 2 Sec 2 sec / 0 – 9999 * WRN
COMP 1 SHORT CYCLE 0 Sec 0 - 9999 MSG
COMP 2 SHORT CYCLE 0 Sec 0 - 9999 MSG
No Power 0 0 seconds / 0-9999 WRN
Condensate 1 Failure 0 5 seconds / 0-9999 WRN
Condensate 2 Failure 0 5 seconds / 0-9999 WRN
EC Fan Fault 0 10 seconds / 0-9999 ALM
HIGH SUP TEMP 0 30 seconds / 0-9999 WRN
LOW SUP TEMP 0 30 seconds / 0-9999 ALM
REDUCED ECO AIRFLOW 0 3 seconds / 0-9999 WRN
ECO HI TEMP OVERRIDE 0 10 seconds / 0-9999 WRN
TEMP CTRL SENSOR FAIL 0 3 seconds / 0-9999 ALM
HIGH DEW POINT 0 30 seconds / 0-9999 WRN
LOW DEW POINT 0 30 seconds / 0-9999 WRN
HI DEW POINT SENSOR A 0 30 seconds / 0-9999 WRN
LOW DEW POINT SENSOR A 0 30 seconds / 0-9999 WRN
HIGH REMOTE SENSOR 0 30 seconds / 0-9999 WRN
POWER “A” FAILURE 0 10 seconds / 0-9999 ALM
POWER “B” FAILURE 0 10 seconds / 0-9999 ALM
AIRFLOW SENSOR FAILURE 0 10 seconds / 0-9999 WRN
HUM CTRL SENSOR FAIL 0 30 seconds / 0-9999 WRN
LOSS OF FLOW 0 5 seconds / 0-9999 ALM
STAT PRES SENSOR FAIL 0 120 seconds / 0-9999 ALM
LOW STATIC PRESSURE 0 120 seconds / 0-9999 WRN
HIGH STATIC PRESSURE 0 120 seconds / 0-9999 WRN
STATPRES OUT OF RANGE 0 150 seconds / 0-9999 WRN
DAMPER FAILURE 0 10 seconds / 0-9999 ALM
BMS DISCONNECTED 0 ENABLED / DIS - ENAB WRN
NOTE
The event messages will automatically reset if the temperature/humidity stays 1.8°F
(1°C)/ 2% RH below or above the threshold for one minute.
Table 11 Possible event settings—some events not available in all units (continued)
Event
Internal Delay
(Before Action Occurs)
Default Delay / Selectable
(Before Action Occurs)
Type
(default)

Operation
71 Liebert® iCOM®
3.10.2 User Inputs
The user can connect and specify up to four custom alarm inputs, also known as remote alarm devices
(RAD), depending on unit configuration. Two optional customer inputs are available on some cooling
units. The optional inputs are not available on units equipped with low-pressure switches on Liebert
DX equipment. Low-pressure transducers may be field-installed in lieu of low pressure switches if
additional customer inputs are desired.
Each input can be programmed to provide information about an event associated with the unit or
space.
Each standard inputs is wired to Terminal 24 through a dry contact to locations 50, 51, 55 and 56,
respectively, for Alarms 1 through 4 (see the unit’s electric schematic and installation manual
terminal location).
The customer input configuration settings are in the Service menu under Set Alarms, Screen 3 of 11.
The choices for the customer inputs are shown in Table 12 along with their associated reaction. The
customer inputs can be programmed as normally open or normally closed to alarm.
NOTE
To enabled/disabled, delay activation and set event type (alarm, warn, message) see Event
Types on page 68.
Table 12 Customer inputs
Setting Reaction
Smoke Event Only
Water Alarm Event Only
C PMP Alarm Event Only
Flow Alarm Event Only
Stdby G Pmp Event Only
Stdby Unit Event Only
C-Input 1 Event Only
C-Input 2 Event Only
C-Input 3 Event Only
C-Input 4 Event Only
Rht Lockout Event + Electrical Heaters Disabled
Hum Lockout Event + Humidifier Disabled
Rht+Hum Lock Event + Electrical Heaters and Humidifier Disabled
Comp Lockout Event + Compressor(s) Disabled w/o Pump Down
Call Service Event Only
High Temp Event Only
Air Loss Event Only
FC Lockout Event + Free-Cooling Disabled
Heater Alarm Event + Heaters Off
Flow AL SD Event + Shut Down the Unit
Flow AL LC Event + Lockout Compressors, No Pump Down (enabled only if at
least one compressor is On; auto-reset depends on input status)
Comp Lock PD Event + Compressor(s) Disabled w/ Pump Down
Enable FC Forces Free-Cooling to On
HTRJ VFD Activates the HEAT REJ VFD ALARM; no other function
HTRJ SPD Activates the HEAT REJ SPD ALARM; no other function
FIRE ALARM Event + Shuts the Unit Down
2ND SETPOINT No Event But Switches To The Second Setpoint
NO POWER Event + Disables Unit
LSI Event + Activates Humidifier Problem Alarm and Stop Filling
Bottle When Full

Operation
Liebert® iCOM®72
3.10.3 Analog Inputs
The Liebert iCOM allows an external sensor or analog device to be connected, scaled and viewed on the
Liebert iCOM large display. These external devices require optional analog input connections that can be
installed on new units at the factory or added to existing units in the field. The option provides the electrical
connection from the Liebert iCOM control board to the required factory-supplied plug, harness and terminal
strip. For parts, contact Liebert Services at (800) 800-543-2778. If a unit is equipped with this option, then a
0-10VDC, 0-5VDC, 4-20mA, or a device such as a sensor or a damper can be connected to terminals 41 and 42,
43 and 44, 45 and 46 or 47 and 48. See Table 13 for analog input availability.
Follow the settings in Figure 62 and Table 14 to set the input type based on the sensor output used.
The default analog input is 0-5VDC. Only properly trained and qualified service technicians should
change the analog input type.
Figure 62 Analog connection control board switch
COND 1 FAIL Event Only
COND 2 FAIL Event Only
D-SCROLL RED Event + Reduces the Requested Compressor Capacity by 20%
SWAP VALVE No Event -Active X Valve Closes and Y Opens / Inactive Y Closes
and X Opens
EC FAN FAULT Event + Sets Analog Output to 10V
ECO AIRFLOW Event + Reduces Liebert Air Economizer Airflow
DAMPERSWITCH Damper + End Switch
POWER A Event Only
POWER B Event Only
Table 13 Number of analog inputs
Unit Type Number of Analog Inputs
Liebert CW™ with MBV 4; 2 may be used for valve feedback
Liebert CW with 3P (Floating Point Actuator) 4; 2 may be used for valve feedback
Liebert DS™ Air-Cooled 2; 2 used for low-pressure transducers
Liebert DS Water/Glycol Cooling 0; models without high-pressure transducers may have two
Liebert Challenger 3000™ Air-Cooled 3; one used for low-pressure transducers
Liebert Challenger 3000 Water/Glycol Cooled 2; one used for a low pressure transducer and a second
potentially for a high-pressure transducer
NOTE
The analog inputs must be configured with the large display. The small display
can only view them.
Table 12 Customer inputs (continued)
Setting Reaction
On
Off
Switch Position Switches #9 and #10 not
applicable to Liebert CW
or to Liebert DS

Operation
73 Liebert® iCOM®
3.10.4 Liebert iCOM-DO™
The Liebert iCOM-DO is an optional discrete output relay card that can be connected to a Liebert
iCOM for providing dry alarm contact outputs for monitoring systems. The Liebert iCOM-DO is a
direct replacement of the Liebert ENV-DO™ card that was supported on previous Liebert control
systems. The Liebert iCOM-DO allows simultaneous use of the Liebert IntelliSlot® cards as the
Liebert iCOM-DO communicates over the CANbus network instead of the IGMnet or Velocity
interface.
Liebert iCOM-DO card provides up to 15 configurable alarms through relay outputs. For the ratings
and additional data, refer to the Liebert iCOM-DO manual, SL-28096. Each alarm output has three
terminals: N/C, N/O and common. The Liebert iCOM-DO setup can be found in the Service, Liebert
iCOM-DO menu (large display only). The Liebert iCOM-DO is pre-configured and its present is
automatically detected by the Liebert iCOM once it is connected to the CANbus line. The default
alarm configuration matches the original Liebert ENV-DO card alarm mapping.
For information on setting up this relay card, refer to the Liebert iCOM-DO manual, SL-28096,
available at the Liebert Web site: www.liebert.com
Table 14 Analog connection control board switch position
Analog Input # Input #1 Input #2 Input #3 Input #4
Control Board Switch Number 1 2 3 4 5 6 7 8
Analog Input Device Value
0 to 10VDC Off Off Off Off Off Off Off Off
0 to 5VDC On Off On Off On Off On Off
4 to 20mA On On On On On On On On
Switches #9 and #10 not applicable; 4 to 20mA settings supported only for manual fan control.
Table 15 Alarm mapping
#Alarm Notes
01 Cooling Status The output is active when cooling is on.
02 Heating Status The output is active when heating is on.
03 Humidifying Status The output is active when humidification is on.
04 Dehumidifying Status The output is active when dehumidification is on.
05 High Temperature The output is active when high temperature alarm is active.
06 High Humidity The output is active when the high humidity alarm is active.
07 Low Temperature The output is active when the low temperature alarm is active.
08 Low Humidity The output is active when the low humidity alarm is active.
09a High Head Pressure C1 The output is active when the compressor 1 high head pressure alarm is active.
09b High Head Pressure C2 The output is active when the compressor 2 high head pressure alarm is active.
10 Loss of Airflow The output is active when a loss of air flow alarm is active.
11 Change Filters The output is active when a change filter alarm is active.
12 Water Alarm The output is active when a water alarm is active.
13 Condensing Pump Alarm The output is active when the condensing pump alarm is active.
14 Glycool Status The output is active when is free-cooling active.
15 Unit On The output is active the unit is turned On.
An event is active as long as it is not acknowledged. Once acknowledged, an alarm remains active until the event
situation is not true anymore and the event is reset by the board, which switches Off the red LED and the general
alarm relay.

Operation
Liebert® iCOM®74
3.10.5 Possible Event Notifications
Table 16 lists examples of alarms and warnings that can be configured for a cooling unit. When any
of these occur, they will appear on the Liebert iCOM Status menu and will be recorded in the Liebert
iCOM Event log.
Table 16 Event notifications—large or small display
Event Type
COMP 1 HRS EXCEEDED WRN
COMP 2 HRS EXCEEDED WRN
EL HEAT1 HRS EXCEEDED WRN
EL HEAT2 HRS EXCEEDED WRN
EL HEAT3 HRS EXCEEDED WRN
FC HRS EXCEEDED WRN
GENERAL ALARM ALM
GLYCOL TEMP SENSOR WRN
HIGH CW TEMP WRN
HUM HRS EXCEEDED WRN
HUMIDIFIER PROBLEM —
HW/HG HRS EXCEEDED WRN
LOSS OF CW FLOW ALM
NETWORK FAILURE WRN
ON-OFF KEY DISABLED WRN
POWER ON MSG
POWER OFF MSG
ROOM SENSOR FAILURE ALM
UNIT DISABLED MSG
UNIT HRS EXCEEDED WRN
UNIT ON MSG
UNIT OFF MSG
UNIT DISABLED MSG
UNIT SHUTDOWN MSG
UNIT SYNCHRONIZATION MSG
SENSOR A FAILURE WRN
SLEEP MODE MSG
STANDBY MODE MSG
SUPPLY SENSOR FAILURE WRN

Operation
75 Liebert® iCOM®
3.11 Wellness—Next Maintenance Calculation
The next maintenance calculation, as well as the diagnostics feature, will help keep the cooling unit
running at peak performance to ensure minimum component stress and maximum reliability. The
diagnostics will help the service engineer evaluate the unit’s operation since the last maintenance.
3.11.1 Calculating Next Maintenance and Diagnostics
If the unit includes any of the following components, they are included in the calculation:
•Fan(s)
• Compressor 1
• Compressor 2
• Electric Heaters
• Humidifier
For each component, the next maintenance will be calculated from the following parameters:
• Standard service interval (1, 2 or 4 times a year) (to be set)
• Working hours (counted)
• Number of starts (counted)
• Average running time (calculated)
• Optimum number of starts per hour (to be set)
• Maximum number of starts per hour (to be set)
• Maximum bonus to enlarge time to next maintenance (to be set)
• Maximum penalty to reduce time to next maintenance (to be set)
Calculating Unit Wellness
Figure 63 Wellness—Basic settings screen, page 1 of 9
To confirm that preventive maintenance has been performed:
1. Go to line Service>Wellness>Basic settings>S007 and select YES.
2. Press the enter button. This will confirm the preventive maintenance. Line S005 will change to
the date of the preventive maintenance was performed. Line S008 will update to show the next
calculated maintenance date.
Liebert iCOM keeps tabs on the condition of a cooling unit, determining its wellness and projecting
when service will be needed, for the entire unit as well as for individual components. This assists in
scheduling maintenance calls and helps pinpoint components likely to require service.
Change to YES
to confirm that
preventive
maintenance
has been
performed.

Operation
Liebert® iCOM®76
Liebert iCOM displays a graphic for needed maintenance. It begins with the standard maintenance
interval—12 months, six months or three months—and adjusts that based on its calculation of
components’ wellness.
To calculate wellness, Liebert iCOM keeps a running total of component working hours and the
number of times it has been started. Liebert iCOM relates that data to the optimum/maximum starts
per hour. Accordingly, Liebert iCOM will increase or decrease the time before the next service call.
The more frequently a component starts, the sooner it is likely to need maintenance. If, for example, a
unit’s fan runs continuously, but it’s compressor starts and stops often, Liebert iCOM records that
and calls for maintenance based on the compressor’s wellness factor.
Alarms and warnings, such as clogged filters or high or low pressure, reduce the time till the next
maintenance to zero. If the alarm is cleared and reset, Liebert iCOM recalculates wellness. It begins
with the pre-alarm maintenance time and factors in the alarm.
Parameters for Next Maintenance Calculation
General Maintenance Settings
•Maintenance Frequency—can be set as one to 12 months or to zero, which disables
maintenance calculation
•Max. Bonus—increases the time to next maintenance with the set value, if all components run
optimally (number of starts, average running time)
•Max. Penalty value—decreases the time to next maintenance with the set value, if some
components run in non-optimum way (number of starts, average running time)
•Last Maintenance—date can be set from service-engineer; informational
•Service-Engineer—name of the service engineer; editable
•Reset—puts all counters of all components, such as (motor, compressors, heaters and humidifier),
at zero and starts a new maintenance calculation (reset to be done after maintenance)
Fans / Heaters / Humidifier Settings and Diagnostics
• Number of starts and Working hours are counted separately since the last maintenance. Total
working hours can be read in the standard working hours window (customer window).
• Average Working Hours is the calculation, resulting from starts and working hours.
• Starts per Day Optimum is the number of starts considered as optimum.
• Starts per Day Worst is the number of starts considered as hunting (worst case).
• Number of Alarms counts the alarms, happened between two service intervals.
• Actual Bonus is calculated from number of starts and average working time. Can be positive
(bonus) or negative (penalty). This value influences the time remaining to the next maintenance.
Compressor 1 / 2 Settings and Diagnostics
• Number of starts and Working hours are individually counted since the last maintenance. Total
working hours can be read in the standard working hours window (customer window).
• Average Working Hours is the calculation, resulting from starts and working hours.
• Starts per Day Optimum is the number of starts considered as optimum.
• Starts per Day Worst is the number of starts considered as hunting (worst case).
• Number of HP Alarms counts the high-pressure alarms, happened between two service intervals.
• Number of LP Alarms counts the low-pressure alarms, happened between two service intervals.
• Number of TH Alarms counts the thermal protection alarms, happened between two service
intervals.
• Actual Bonus is calculated from number of starts and average working time. Can be positive
(bonus) or negative (penalty). This value influences the time remaining to the next maintenance.

Teamwork
77 Liebert® iCOM®
4.0 TEAMWORK
Unit-2-Unit (U2U) communications via a private network will allow the following functions to be
placed into operation when the requirement exists. The user must install the correct hardware
(see 5.0 - Installing a Liebert iCOM Unit-to-Unit Network) and properly program the units for
the selected functionality.
The Liebert iCOM network can perform the following functions:
The Teamwork Mode functions allow for multiple stages of cooling/heating and
humidification/dehumidification. Teamwork Mode can be used to prevent environmental units from
“fighting,” where one environmental unit might be cooling while another unit is heating.
The Standby (Lead/Lag) function allows one or more units to be set as “Running” and “Standby” for
activation in case of an alarm. This function also allows the units to be programmed in a rotation to
help ensure “Standby” unit operation.
The Cascade Operation function allows additional units to be staged-on based on the temperature
or humidity requirement.
The Virtual Master function provides smooth control operation if the group’s communication is
compromised. When the lead unit, which is in charge of component staging in teamwork, unit staging
and standby rotation, becomes disconnected from the network, the Liebert iCOM automatically
assigns a virtual master. The virtual master assumes the same responsibilities as the master until
communication is restored.
4.1 Compatibility With Previous Liebert iCOM Controls
Extensive upgrades to the Unit-to-Unit communication software prevent Liebert iCOM controls with
PA2.01.48R software from being compatible with Liebert iCOM controls that have earlier versions of
Liebert iCOM software. Liebert iCOM controls with PA2.01.48R software will not communicate with
Liebert iCOM controls with PA1.XX.XXXSTD software.
Customers who have Liebert iCOM controls with the PA1.XX.XXXSTD software and who need
additional Liebert iCOM units can:
• Purchase new units with the previous software installed at the factory
• Purchase new units with the PA2.01.48R software and have a properly trained and qualified
technician downgrade the units to PA1.04.043.STD
• Have a properly trained and qualified technician upgrade the older unit(s) with PA2.01.48R
For further information, contact your local Emerson representative.
4.2 Teamwork Modes
Groups of cooling units connected to a network can be set up to work together in any of these
teamwork modes:
•No Teamwork
• Teamwork Mode 1
• Teamwork Mode 2
• Teamwork Mode 3 (software Rev. PA2.00.05R or higher required)
All Liebert iCOM-controlled cooling units on a network must be set to run in the same teamwork
mode.
NOTE
All connected units in the group must have iCOM software PA2.01.48R or later for the Virtual
Master feature to function.

Teamwork
Liebert® iCOM®78
4.2.1 Application of Teamwork Modes
All units in a network will run in the same Teamwork Mode.
•No Teamwork: Multiple zones in one room
•Teamwork Mode 1: Balanced load (small groups of units inside the same environment)
•Teamwork Mode 2: Unbalanced load (large rooms, not all units will have the same load) (work
well for most applications)
•Teamwork Mode 3: Allows the cooling capacity (Supply Sensor) to operate as a local control by
removing only the amount of load required to maintain the discharge air temperature at each
unit. This allows for an unbalanced room load while maintaining a consistent discharge air
temperature. The fan speed is controlled by the remote rack sensors (return, supply, under floor
static pressure) of all units, providing a controlled delivery method of the air to the cold aisle. In
raised floor applications, Liebert iCOM units will share sensor information to achieve even
under-floor air distribution. This distribution is achieved by operating all fans in parallel, which
will also yield the greatest energy efficiency.
4.2.2 No Teamwork
All cooling units work independently, responding to their own sensors. Standby function and unit
rotation are possible, but cascading is not (see Standby and Cascade on page 90). Autoset will not
adjust the proportional band in this mode.
4.2.3 Teamwork Mode 1
Teamwork Mode 1 works best in small rooms with balanced heat loads. The return temperature and
humidity sensor readings of all units in operation (fan on) are averaged by the master unit, Unit #1,
and used for control. The master unit will send the operating requirements to all operating units
according to unit numbers, rotated by one unit every 24 hours.
In this teamwork mode, most of the parameters are shared; if set in any one of the units, all other
units will follow with the same settings. AutoSet will adjust the proportional band in Teamwork
Mode 1, see 3.3 - Temperature Control.
The master unit evenly divides the system proportional band among the number of available units.
Each unit will receive instruction on how to operate from the master unit based on how far the system
deviates from the setpoints.
The number of available units is calculated like:
• In non-standby configuration: all units with fan on
• In typical standby function (no cascade): all units with fan on
• In cascade mode: all units that could operate (no alarm, which forces the unit to switch Off, unit
not switched Off, etc.)
Figure 64 shows how two cooling units work together in Teamwork Mode 1,staging compressors
serially. Since Unit 1 and Unit 2 are available to operate, the master unit, Unit 1, collects the average
or maximum (based on S804 “Teamwork is based on” programming) temperature and humidity
sensor readings from each unit. Settings in S804 “Teamwork is based on” programming determines
whether the unit uses the average or maximum temperature and humidity sensor.
NOTE
1. Proportional actuators (chilled water valves and free-cooling valves) are driven in parallel.
2. Dual-cool and free-cooling units cannot be set in Teamwork 1 if compressors and
free-cooling valves are set for simultaneous operation.
3. On free-cooling or dual-cool units where simultaneous operation is set to No, chilled water
valves ramp in parallel. If free-cooling is not possible for one unit, the group will switch to
compressor operation. Compressor staging may work serially or in parallel depending on
compressor type. See below for compressor ramping.
• The compressors will ramp in parallel if all units in the group are digital scroll.
• Compressor staging will be done serially if all the units in the group are four-step, two-
step semi-hermetic or standard scroll.
• Compressor staging will be done in parallel if there is a mix of digital scroll compressors
with four-step, two-step semi-hermetic or standard scroll.
4. Low limit and dehumidification are managed from each unit independently.

Teamwork
79 Liebert® iCOM®
The master unit determines that a 60% call for cooling is required for the system. Since there are two
available cooling units, each unit makes up half of the system proportional band; Unit 1 handles
0-50% system call for cooling and Unit 2 handles 51-100%. For every 1% system call for cooling, each
unit provides 2% of its total cooling capacity.
The 60% system call for cooling exceeds the 50% Unit 1 can provide, so Unit 1 operates at full
capacity. The remaining 10% system call for cooling (60% - 50% = 10%) is handled by Unit 2. Unit 2
responds by operating at 20% cooling capacity (50% - 10% = 40%).
Figure 64 Teamwork Mode 1, serial staging
4.2.4 Teamwork Mode 2
Teamwork Mode 2 is designed to prevent units within a group from working in opposing modes, some
cooling and some heating. It is best applied in large rooms with unbalanced heat loads. In Teamwork
Mode 2, all temperature and humidity parameters are shared. Unit #1 monitors all of the available
unit sensor readings on the network to determine the greatest demand, whether it be for cooling,
heating, dehumidification or humidification.
For example, if most of the units connected in the group have a cooling request and a smaller number
have a call for heating, the units requesting cooling are released to start cooling. The units with a call
for reheat will not reheat, but will operate only their evaporator fans.
Teamwork Mode 2 does not rotate; unevenly distributed working hours are to be expected. Autoset
will not adjust the proportional band in this mode.
NOTE
In Teamwork Mode 2, all units must have the same setpoints. The units’ proportional band,
deadband and related settings may differ.
C1 C2
cooling
+100 %
0% 1 /2 Pr opor tional Band
+tem p.
Unit 2 Deviation : 20 %
Setpoint
C1 C2
cooling
+100%
0% 1/2 Proportional Band
+temp.
Setpoint
0%
Setpoint
- tem p.
-100 %
+tem p .
1 /2 Proporti onal Band +100%
1 /2 Pr oportional Band
heati ng
100 %
60 %
0%
System Deviation : 60 %
System pr opor tional band
Unit 1 Deviation : 100 %

Teamwork
Liebert® iCOM®80
4.2.5 Teamwork Mode 3 (Optimized Aisle)
Teamwork Mode 3 can be selected when the units are set to operate in Optimized Aisle Control mode
and have been connected in a unit-to-unit network. Teamwork provides coordination between the
units that will prevent “fighting” by not allowing units to operate in conflicting modes of operation at
the same time by selecting which mode to operate within based on the average of the collective unit
sensors (Cooling vs. Heating and Humidifying vs. Dehumidifying). For additional details, see 3.9 -
Liebert Optimized Aisle Control.
Teamwork Mode 3 allows the cooling capacity (Supply Sensor) to operate as a local control by
removing only the amount of load required to maintain the discharge air temperature at each unit.
This allows for an unbalanced room load while maintaining a consistent discharge air temperature.
The fan speed is controlled by the remote rack sensors of all units, providing a controlled delivery
method of the air to the cold aisle. In raised floor applications, Liebert iCOM units will share sensor
information to achieve even under-floor air distribution. This distribution is achieved by operating all
fans in parallel, which will also yield the greatest energy efficiency.
Figure 65 shows the difference in both under-floor air distribution and energy consumption when
Variable Fan speed and Teamwork Mode 3 are applied to the Liebert cooling units. The example on
the left is using the standard standby configuration; the example on the right is utilizing Teamwork
Mode 3. The units below are assuming that the fan power consumed at each unit is 8.1kW when
operating at 100%.
Figure 65 Teamwork Mode 3—Fixed speed vs. variable speed
Cascade
When data center environments require the cooling equipment to modulate from very low loads to the
full design load, iCOM can coordinate unit capacity and unit activation in accordance with the
Teamwork Mode 3 operation described above. The Liebert iCOM optimized aisle controlled units that
are placed into Standby mode will activate as the room environment demands more cooling capacity.
iCOM will monitor the rack sensors and current operating state of each unit to determine when to
activate a standby unit.
To provide the most efficient operation from a system perspective, the Liebert iCOM will first ramp
the operating units fans and chilled water valve to compensate for the increased heat load. Once the
operating units have reached a set fan speed, the supply compensation (see Figure 107) may be
activated to determine if a lower supply temperature can compensate for the load increase. Once the
supply compensation routine has reached its threshold then the Liebert iCOM will activate a standby
unit within the group.
C
R
A
C
Fixed Speed Variable Speed
C
R
A
C
C
R
A
C
C
R
A
C
C
R
A
C
C
R
A
C
C
R
A
C
C
R
A
C
Area within dotted lines is
being cooled by CRAC units
controlled by Liebert iCOM
Three Units On—One Unit in Standby
Fans must operate at 100% to meet demand
3 Units x 8.1kWh = 24.3kW per hour
Four Units Operating Together
Fans can operate at 75% to meet demand
4 Units x 3.43kWh = 13.72kW per hour

Teamwork
81 Liebert® iCOM®
Lead / Lag - Failure Scenarios
When redundancy configurations are required, the Liebert iCOM unit-to-unit network has built in
fail-over conditions that require no building management interaction. The first and possibly most
common failure scenario is a single unit or component failure. In this situation, the Liebert iCOM will
automatically activate a standby unit in the place of the failed unit.
Unit-to-Unit and sensor failure scenarios have also been programmed into the Liebert iCOM
controller. For example if the remote sensors fail at the unit level, the unit will continue to operate
using the other unit's remote sensor values. If all remote sensors fail, then the fan speed will begin to
operate from the supply sensor. If the supply air sensor fails, then the unit will default to 100% fan
and cooling capacity. In the event of a unit to unit network switch failure, each unit will operate from
its sensor network.
If one unit becomes disconnected from the network, the disconnected unit will run independently
according to the local sensor readings. If U2U address No. 1 becomes disconnected from the group,
each unit will run independently according to the local sensor readings.
Application and Configuration of Rack Sensors
The inlet rack temperature sensors should be placed on a rack that is within the area of influence of
the connected cooling unit. The following floor plan shows how the sensors should be placed. The
sensors and units are color matched to show the location of each unit's sensors. This particular floor
plan shows how the sensors can be interlaced with one another to provide redundancy of the different
unit's sensors. Remember that the sensor data from each unit is shared at the teamwork level so
placement of the sensors is flexible with your specific application. So even when one unit fails the
other units are still able to react based on the failed units sensors.
Each unit can connect up to 10 sensor modules with each module allowing for two temperature probes
for a total of 20 temperature readings per cooling unit. Each of the two probes allows for 6 feet of
distance between the temperature probe and the module. This provides the flexibility to either place
both temperature sensor probes at the top of two different racks or to place one sensor probe in the
middle of the rack and one at the upper two thirds of the rack. Sensors can be placed in other
locations like the hot aisle but should be set as a reference sensor and not a controlling sensor. This
will allow the sensor to be monitored by the Liebert iCOM display and building management system
but will not affect unit operation.
The rack sensors that are set to control have the flexibility to be set in different averaging schemes.
There are three different levels of sensor calculations; at the sensor level, at the unit level and at the
system level (unit to unit network). At the sensor level, the two probes on each rack sensor can be set
to average or take the maximum value of the two sensors. The setting at the unit level allows the
operator to select how many of the controlling sensors are averaged. If the unit has 10 rack sensors
connected for control, the operator can elect to average 1 through 10 of the sensors. For example,
selecting 3 sensors to average would use the 3 highest sensor readings out of the 10 possible sensors.
Even though only three sensors are being used for the average, all 10 are being dynamically
monitored with Liebert iCOM’s rack sensor scanning routine. This means that the three highest
sensors today might not be the three highest sensors tomorrow.
The system level calculation provides the same level of flexibility as described above for the unit level
sensor configuration. All remote sensor values, including values from sensors connected to standby
units, are shared among units in the group. Providing this level of configuration at the unit and
system level coupled with the rack sensor scanning allows the units and system to be setup for a
variety of applications, including no containment, end containment and total containment. In
addition it also allows Liebert iCOM to adjust airflow and cooling capacity as the environment
changes or if the heat load shifts, increases or decreases.

Teamwork
Liebert® iCOM®82
Figure 66 Remote sensors
Figure 67 Sensor positioning
Supply
(Discharge)
Temperature
Sensor
Inlet Rack
Temperature
Sensors
(sensors in
each row)

Teamwork
83 Liebert® iCOM®
4.2.6 Hardware Setup
The Liebert Optimized Aisle Control requires:
• A temperature/humidity sensor in the cold aisle and connected to the Liebert iCOM via CANbus.
This can be done by:
• Moving the return temperature sensor from the cooling unit to the cold aisle with a longer
CANbus cable
—OR BY—
• Obtaining a remote temperature sensor and addressing it to operate as the return
temperature sensor.
• An additional supply temperature sensor placed under the raised floor.
4.3 Liebert Optimized Aisle Rack Sensor Installation
Each 2T sensor has two wires leaving the housing with temperature sensors on the end of each wire;
see Figure 68.
Figure 68 2T sensor
To install the Optimized Aisle Control 2T Sensor Array:
1. Set the DIP switch settings for the 2T sensors.
2. Terminate the final sensor on the CANbus link.
3. Install the 2T sensors on racks to be monitored.
4. Install the CANbus cable between 2T sensors.
5. Install the CANbus cable at the unit.
Figure 69 Setting DIP switches for 2T sensors
Sensors shown may
differ depending on
equipment installed
2T Sensor Housing
(back)
Terminating
Jumper
2T Sensor Housing
(inside back)
Screws,
typically 3
DIP
switches

Teamwork
Liebert® iCOM®84
4.3.1 Tools Required for Installation
• Small, non-conductive tool for setting control DIP switches
• Medium flat-head screw driver for opening electric panel protective dead-front.
• Cutting tool to trim cable ties
• Small Phillips-head screwdriver to open 2T housing
4.3.2 DIP Switch Settings
The individual 2T sensor must be given a unique address on the CANbus cable run to the associated
Liebert unit. DIP switches are used to give the 2T sensor its unique address. It is important to
confirm that the DIP switches have been set correctly using Table 17. Although it is not required, it
is recommended that the DIP switch sensor number settings correspond to the number of 2T sensors
on the CANbus run. For example, if there are only four 2T sensors used for a particular Liebert CW
unit then the individual DIP switch settings should correspond to address #1, #2, #3 and #4. If the
DIP switches are not set correctly, the control will not operate properly.
Figure 70 DIP switches in 2T sensors
Table 17 DIP switch settings for remote sensor applications
2T Sensor #
DIP switch Position
12345678
1 Off Off On Off On Off Off Off
2 On Off On Off On Off Off Off
3 Off On On Off On Off Off Off
4 On On On Off On Off Off Off
5 Off Off Off On On Off Off Off
6 On Off Off On On Off Off Off
7 Off On Off On On Off Off Off
8 On On Off On On Off Off Off
9 Off Off On On On Off Off Off
10 On Off On On On Off Off Off
Switch Up = ON
Switch Down = OFF

Teamwork
85 Liebert® iCOM®
Set 2T Sensor Identities - DIP Switch Settings
1. Confirm that the DIP switches are set correctly for all 2T sensors.
2. Apply numbered stickers to the sensor housings, corresponding to sensor chain position.
3. Based on the sensor number, use the included DIP switch tool to set the DIP switches according to
Table 17. If the settings are difficult to make through the opening in the housing or if the hole is
not present, open the case by removing the three Phillips-head screws. Reassemble housing once
the settings are made.
Figure 71 Setting 2T Sensor DIP Switches
4.3.3 Terminate the Final Sensor on the CANbus Link
2T Sensors do not need to be addressed in numerical order. For example, if four sensors are
purchased, they can be connected as shown in Figure 72.
Figure 72 2T sensor arrangement and termination
In the above example, if additional sensors are added to extend the existing sensor network, Sensor
#4 must be unterminated. The additional sensors can be connected. The last sensor in the extended
network must be terminated.
NOTE
Use included DIP switch tool (or similar tool). DO NOT insert any metal object
into the sensor case.
Non-conductive
DIP switch tool
2T sensor housing DIP switch hole
2T sensor housing case opened
Liebert iCOM Terminated Sensor #4Sensor #2 Sensor #3 Sensor #1
The key is to have the last sensor in the chain terminated.
CANbus
Communication Link Terminated
Sensor
2T
#4
2T
#2
2T
#3
2T
#1

Teamwork
Liebert® iCOM®86
Terminating Last 2T Sensor
The last 2T sensor on the network, which can be identified by only having one CAN cable plugged into
it, must be terminated. All other 2T sensors on the network must remain unterminated. The following
pictures show the location of the jumper that determines if the 2T sensor is terminated.
To terminate a 2T sensor:
1. Open the sensor’s case by removing the three screws that hold it together.
2. Pull the black jumper off the circuit board from Pins 1 and 2 (see Figure 73).
3. Install the jumper on Pins 2 and 3.
4. Reassemble the sensor housing.
Figure 73 Termination jumper setting
4.3.4 Install 2T Sensors on Racks to be Monitored
Both temperature sensors attached to a 2T sensor housing are to be installed on the same rack. The
sensor can be attached to the inside or outside of the rack's front door.
• One temperature sensor is to be attached near the top of the rack's front door by using a cable tie
to secure the wire to the perforation (approx. 12 inches [305mm] from the top). Do not wrap a
cable tie around the actual sensor on the end of the wire. This sensor will monitor for hot air
wrapping over the top of the rack from the hot aisle.
• The other temperature sensor is to be attached to the rack’s front door, centered in front of the
heat-generating equipment that will be drawing in air.
• If the rack is completely filled with equipment, attach the sensor to the middle of the door as
determined by both width and height.
• If the rack is partially filled with equipment, locate the sensor in the center of the equipment on
the front door.
•Do not:
• Install a sensor in the hot aisle.
• Leave a sensor coiled on top of or inside the rack.
• With the temperature sensors in place, neatly route the wires up the rack door and into the rack
using the supplied cable ties. Be sure to leave an appropriate amount of slack in the cable to allow
the rack door to open and close without binding or pinching the wires.
• Affix the 2T sensor housing to the rack using the supplied hook-and-loop fastener. It is
recommended that the housing be installed in an easily accessible space with the sensor number
label visible in case the housing needs accessed at a later time.
Repeat this process until all sensors have been installed.
Unterminated Terminated
321 321
Termination Jumper
in the Terminated Position
Circuit board inside display housing
Circuit board inside 2T sensor housing

Teamwork
87 Liebert® iCOM®
4.3.5 Install CANbus Cable Between 2T Sensors
No special considerations are required for cable up to 150 ft. (45m) long. A CANbus isolator is
required for cables between 150 ft. and 300 ft. (45m and 91m). Contact the factory if using CANbus
cables longer than 300ft (91m).
The CANbus cable network requires a ground wire. The grounds are connected at each 2T sensor and
must be terminated to a field-installed ground ring in the low-voltage electrical panel. Figure 74
shows the connected grounds on a 2T sensor.
Figure 74 Connect CANbus cable
Follow these guidelines when routing CANbus cable to ensure reliable communication.
• Use approved hangers, such as telephone wire/RG-6 coaxial wired hangers; do not secure cables
with any method that might damage them.
• Limit bends to less than four times the diameter of the cable.
• Avoid deforming cables when securing in bundles and when hanging them.
• Keep cables away from devices that may introduce interference, such as high-voltage wires,
machines, fluorescent lights, and electronics. High-voltage sources must be at least 12 inches
(305mm) from CAN wires.
• Avoid stretching cables.
• Ensure that cables have the correct pin-outs. Mismatching wire pins at the RJ12 connection will
damage the CAN device.
Cables may be purchased from your local Emerson distributor.

Teamwork
Liebert® iCOM®88
4.3.6 Connecting the CANbus cable at the Unit and Securing the CANbus Cable to Ground
The grounding wire on the CANbus cable must be used to ensure reliable communication. Connect
the ground wire to the metal frame of the unit. The CANbus cable ground wire must be connected to
an unpainted metal area of the unit chassis.
Connecting the CANbus sensors may require working in the high voltage electrical compartment of
the cooling unit.
Figure 75 Install grounding ring connector
!
WARNING
Risk of electrical shock. Can cause injury and death.
Disconnect local and remote power supplies before working within.
Before proceeding with installation, read all instructions, verify that all the parts are included
and check the name® microprocessor does not isolate power from the unit, even in the Unit
Off mode.
Some internal components require and receive power even during the Unit Off mode of the
Liebert iCOM control.
The factory-supplied optional disconnect switch is inside the unit. The line side of this switch
contains live high voltage.
The only way to ensure that there is NO voltage inside the unit is to install and open a remote
disconnect switch. Refer to the unit electrical schematic.
Follow all local codes.
Existing grounding
screw location to be
reused for CANbus
cable grounding ring.

Teamwork
89 Liebert® iCOM®
4.3.7 Software Setup
Cooling units to be set up for Teamwork Mode 3 (Liebert Optimized Aisle Control) must be connected
in a Liebert iCOM U2U network and must have:
• Digital scroll compressors, tandem compressors chilled water valves or four-step compressors.
(Two-step semi-hermetic compressors and standard scroll units cannot be configured for
Teamwork 3.)
• Variable speed fans
• Supply air sensors connected for temperature control.
1. Go to the Service Menu > Remote Sensors and verify that all the connected 2T sensor readings are
shown.
2. Set the corresponding sensors’ nodes to either control or reference. These settings are based on
rack setup or customer preference.
3. Determine the appropriate setting for SB03 Unit Remote Sensor Mode/AVG incl. The values set
here will determine how the Liebert iCOM monitors inlet rack temperature to control the fans.
Max: controls fan(s) based on the maximum rack temperature.
Average: controls fan(s) based on an average rack temperature. The number of sensors to be used
to calculate the average is determined to the far right. If the number of sensors to be used to
calculate the average is less than the number of rack sensors programmed for control, the Liebert
iCOM will average only the highest sensor readings.
4. Set Service Menus > Setpoints S103 Temperature Control Sensor to Supply. This parameter must
be set at each unit.
5. Go to Service Menu > System/Network Setup S803 Teamwork Mode. Change the value to the
right to 3 Optimized Aisle.
6. Go to Service Menu > Setpoints S146 Fan Control Sensor and set this to Remote. This parameter
only needs to be set for one unit. The other connected units in the group will auto-set themselves.
7. Adjust the rack temperature Setpoint at S147 to the desired value. This is typically set to 75, but
is customer preference.
8. Adjust S103 Temperature Setpoint to the desired value. This will must be set on a unit-to-unit
basis depending on the unit’s area of influence.
9. Monitor operation and adjust corresponding setpoints and control bands as needed.
4.3.8 Standby—Rotation
Typical Standby (Lead/Lag) Function
This function can be performed in any teamwork mode, including NO Teamwork.
One or more units can be defined to be Standby; the normal status of standby units is Standby Off
(fan Off).
In case one regular unit has an alarm that is defined (to be defined in the alarm configuration), to
switch On a standby unit, the faulty unit will switch Off and the standby unit will switch On.
If the next unit has an alarm, the next standby unit will be started. If no more standby units are
available, the unit with a non-critical alarm that permits unit operation will be switched On again
(water detection, fan alarm, fire alarm etc. will not permit unit restarting).
The standby function can be rotated daily (setting the time), weekly (setting the day of the week and
time) or monthly (setting the first weekday of the month and time).
The rotation is performed with a selectable number of units: if 1 is selected, to standby rotates from
1-2 to 2-3 in a 4 units configuration with two standby units, and rotates from 1-2 to 3-4 in the same
configuration, when the rotation parameter is set to 2.
NOTE
Before entering standby mode, units may operate the fan only for 3 minutes if previously
calling for heat or humidification to cool components and remove steam from the unit.

Teamwork
Liebert® iCOM®90
Standby and Cascade
Cascade is possible in Teamwork Mode 1 and 3 only.
Line S508 Cascade Units has the options of Yes, Cool / Heat, Cooling, Fan
Yes—Based on a call for heating, cooling, humidification or dehumidification. TW1
Cool / Heat—Based on a call for heating or cooling. Teamwork Mode 1
Cooling—Based on a call for cooling. Teamwork Mode 1
Fan—The only selection available for Teamwork Mode 3; not available in Teamwork Mode 1. Uses
fan control deviation to stage on standby unit fans / cooling. Fans stage serially according to the
system fan control band and temperature control is based on the local supply deviation. (Fan
proportional band / number of connected units)
The standby unit will remain On for the time set in the parameter. The default is 30 minutes; range is
from 2 to 360 minutes.
Standby units will start if an alarm occurs in one of the operational units. If the standby units are
cascaded or in Teamwork Mode 3, they will also start and work with the regular operational units if
the temperature or humidity cannot be controlled by the operational units; before a high or low
temperature / humidity condition occurs. Cascaded units are switched Off again as soon as the
temperature / humidity returns back to normal.
The master unit defines its proportional band according to the number of available units (see 4.2.3 -
Teamwork Mode 1).
When a standby unit receives a request for full heating or cooling from the master unit (see 3.3 -
Temperature Control), it will respond to the request after its control delay.
NOTE
Cascaded units are not included in the calculation of the average temperature / humidity.

Installing a Liebert iCOM Unit-to-Unit Network
91 Liebert® iCOM®
5.0 INSTALLING A LIEBERT ICOM UNIT-TO-UNIT NETWORK
Connecting multiple Liebert iCOM-controlled cooling units in an Ethernet Unit-to-Unit (U2U)
network enables the units to work together to achieve efficient cooling and humidity control of the
conditioned space. Networking enables setting up the cooling units to exchange data for various
modes of operation:
• Teamwork
• Lead/Lag-Standby
• Rotation
• Cascade
However the cooling units are set up, a large display may be used to control and view the operational
status of individual units or of the entire system.
5.1 Placement of Cooling Units
Refer to the cooling unit product manuals for details on installation. Also consider these factors when
planning for installation of cooling units with Liebert iCOM controls:
• heat load in the conditioned space
• cooling air distribution
• number of operating units versus number of standby cooling units
• location of the network switch—An Ethernet cable cannot exceed 328 feet (100m)
5.1.1 Balancing Operating and Standby Units
Assign identification to the units in a manner that balances the operating units and standby units
according to room layout and heat-load requirements. For example, identify the operating units with
numbers 1 through 5 and the standby units 6 through 10. Refer to Figure 76.
Figure 76 Standby unit layout example—10 cooling units in room
NOTE
The maximum number of cooling units that may be interconnected is 32.
Cooling units 1 through 5 are on Teamwork Rotation #1
Cooling units 6 through 10 are on Teamwork Rotation #2
Communication Cables , Teamwork Rotation #1
Communication Cables , Teamwork Rotation #2
81
2736
59410

Installing a Liebert iCOM Unit-to-Unit Network
Liebert® iCOM®92
5.2 U2U Hardware: Cables and Network Switch
Plan wiring runs for U2U communication when designing the layout of your conditioned space. In
addition to general good wiring practices, take into account:
• Ethernet CAT5 or greater cable is required for interconnecting the units.
• Maximum distance must not exceed 328 feet (100m).
• A device to boost the Ethernet signal may be used to exceed the 328 feet (100m) length limitation.
• Ethernet network should be private—set up only for management and control of the cooling units.
• Keep control and communication cables away from power cables to prevent electromagnetic
interference.
• Do not bend cables to less than four times the diameter of the cable.
• Do not deform cables when securing in bundles or when hanging them.
• Keep cables away from devices that can introduce noise into them, such as machines, fluorescent
lights, and electronics.
• Avoid stretching Ethernet cables—tension when pulling cables should not exceed 25 pounds
(11kg).
• Do not secure Ethernet cables with any method that might damage them; use approved hangers,
such as telephone wire/RG-6 coaxial wire hangers, available at most hardware stores.
Minimum Network Switch Requirements
• IEEE 802.3; IEEE 802.3u
• 10/100 Mbps speed
• Multiple 10/100 RJ-45 ports—one shared; RJ-45 Uplink port
The Liebert vNSA™ is an approved powered network switch designed to support Liebert iCOM U2U
networks. See Liebert vNSA™on page 98 for details.
5.3 Wiring for Unit-to-Unit Communications—U2U
Cooling units come from the factory-wired for stand-alone operation.
Liebert iCOM U2U Ethernet Network
The Liebert iCOM U2U network must be isolated from other network traffic. The network switch(es)
that connect Liebert iCOMs need to be dedicated to supporting only Liebert iCOM communication.
The U2U network cannot be connected to the building or IT network. If network communication is
ever lost (failed network switch, etc.), all Liebert iCOM-controlled cooling units will continue to
operate as independent units.
The Liebert iCOM can support up to 64 nodes on one network. An input/output board, large display,
and large wall-mount display are each considered one node. Of the 64 nodes that may be connected,
no more than 32 may be input/output boards (32 cooling units). A small display is not considered a
node. Small displays connect directly to input/output boards that do not have large displays attached
to them. Table 18 illustrates how a network can be configured.
Table 18 Sample Liebert iCOM network configurations
Sample
Configuration
Input/Output
Boards
Large
Displays
Small
Displays
Wall Mount
Large
Displays
Private
Switch
Required
12020No
22021Yes
33030Yes
42110Yes
58441Yes
6323200Yes
7322755Yes
8 32 0 32 32 Yes

Installing a Liebert iCOM Unit-to-Unit Network
93 Liebert® iCOM®
Network communication can be configured during system startup by a Liebert-trained technician. For
technical issues contact:
Emerson Technical Service
1050 Dearborn Drive
Columbus, Ohio 43235
Telephone: 1-800-LIEBSRV (800-543-2778)
E-Mail: technicalservice@emersonnetworkpower.com
5.3.1 Wiring a Liebert iCOM U2U Network
Small Displays
Two cooling units, each with a small display: To network two cooling units, each with a small
display, connect a crossover CAT5 cable between the P64 connectors on each cooling unit’s Liebert
iCOM input/output board. A network switch is not needed (see Figure 77).
Figure 77 Connecting two cooling units, each with a small display, using a crossover Ethernet cable
Three or more units with small displays: To network three or more cooling units, each equipped
with a small display. Figure 80 shows that one plug of the CAT5 cable is connected to P64A
connector and the other to the network switch. The P64A, which is connected to port P64 on the
control board, is located near it on each cooling unit’s Liebert iCOM input/output board to a common
network switch. The P64A connector is a crossover coupler that on DS, CW and Challenger units.
NOTE
If P64A is not available on a unit, connect directly to the Liebert iCOM board on P64.

Installing a Liebert iCOM Unit-to-Unit Network
Liebert® iCOM®94
Large Displays
A network switch is required to enable Ethernet communication on one or more cooling units with
large displays. Each cooling unit with a large display requires two straight-through Ethernet cables
from a network switch. One cable connects to port P64 on the Liebert iCOM input/output board and
the other straight-through cable connects to the female-female coupler, if the female-to-female
coupler is provided with the unit. Connect the red crossover cable, which is provided with the cooling
unit, between the coupler and the P64 port on the back of the large display (see Figure 81). If the
female-to-female coupler is not provided, connect the straight-through cable to Port P64 on the large
display.
Figure 78 U2U network setup diagram
NOTE
A female-to-female coupler is factory-supplied on some cooling units equipped with a large
display.
NOTE
The first three octets of the units’ IP addresses must match for proper communication. In the
illustration above, these are the matching octets: 192.168.254
Network
Switch
Liebert Cooling Unit
with Small Liebert
iCOM Display
Liebert Cooling Unit
with Small Liebert
iCOM Display
Liebert Cooling Unit
with Large Liebert
iCOM Display
Display Service/Network
Liebert iCom Display Menu
IP Address: 192.168.254.001
U2U Address: 33
Group #: 1
---------------------------------------
Display Service/Network
Liebert Cooling Unit
Control Board Menu
IP Address: 192.168.001.002
U2U Address: 1
Group #: 1
Display Service/Network
Liebert Cooling Unit
Control Board Menu
IP Address: 192.168.254.003
U2U Address: 2
Group #: 1
Display Service/Network
Liebert Cooling Unit
Control Board Menu
IP Address: 192.168.254.004
U2U Address: 3
Group #: 1

Installing a Liebert iCOM Unit-to-Unit Network
95 Liebert® iCOM®
Wall-Mount Large Display
Only large displays can be used for remotely monitoring and controlling cooling units connected on
the same network. Each wall-mount large display requires 120VAC or 230VAC input power;
Emerson® provides an AC adapter wall plug. A straight-through Ethernet cable must be connected
between the network switch and the P64 port on the back of the display. This will enable control and
monitoring capabilities to any cooling unit connected to the network.
Combining Large and Small Displays on a U2U Network
Setting up a network of cooling units equipped with large and small displays requires a network
switch. The controls are to be connected to the switch as described above.
Figure 79 Wiring a small display for stand-alone operation
Small Graphics Display
CANbus Cable
P66 P67
CAN CAN
Liebert iCOM
Control Board
E1 E3
P4
P22 P38 P39 P53 P52
P54
P51
TB1
E2 E4
P43
Unit Electronics Compartment
P40
P8
P32
P34
P33
P35
P36
E5
P18 P65
P61 P63
P64
P66
P7 P13
P12
P11 P67

Installing a Liebert iCOM Unit-to-Unit Network
Liebert® iCOM®96
Figure 80 Wiring a small display for U2U network operation
Standard Small
Graphics Display
(Rear View)
Liebert iCOM
I/O Board
Straight-Through
Ethernet Cable
(If the coupler is not
provided in the unit,
connect the other end plug
straight into Port P64 of the
Liebert iCOM I/O board)
To / From Other
Networked Units
CAN
Cable
U2U Networking Switch
(Field-Supplied)
Not
Used
P64A Connection
(if provided)
Near I/O Board

Installing a Liebert iCOM Unit-to-Unit Network
97 Liebert® iCOM®
Figure 81 Wiring a large display for U2U network operation
Crossover
Coupler
(if provided)
Ethernet Cable
Liebert iCOM
I/O Board
Straight-Through
Ethernet Cables
(If coupler is not provided, connect
one end plug to P64 of large graphics
display and the other end to the
Liebert iCOM I/O board)
CAN
Cable
See Note 4
Optional Large
Graphics Display
(Rear View)
To / From Other
Networked Units
U2U Networking Switch
(Field-Supplied)
Not
Used
Customer Connection Point
(if provided)
P64A Connection
(if provided)
Near I/O Board

Installing a Liebert iCOM Unit-to-Unit Network
Liebert® iCOM®98
Liebert vNSA™
The Liebert vNSA is designed to connect multiple Liebert iCOMs. The Liebert vNSA contains either
one or two powered industrial rail switches. An optional remote large display can be attached to the
front door as well. All models have a power supply that requires connection to a single phase 120VAC
or 230VAC power source. The enclosure features a key lock for security.
The Liebert vNSA supports autonegotiation, autopolarity and autocrossing, allowing for the use of
standard network cables for connection to each port, rather than special crossover cables. The switch
detects and makes adjustments for the network's speed and transmission mode, polarity and
transmit-and-receive pins. See the Liebert vNSA user manual, SL-18840, for more details.
The number of ports available for connecting Liebert iCOMs varies by model as shown in Table 19.
Models with a remote large display attached to the front door utilize one of the available Ethernet
ports in the Liebert vNSA. Models with two switches utilize two ports to connect the switches.
Figure 82 Liebert vNSA with optional remote large display
Table 19 Ports available for connecting Liebert iCOMs
Model
Liebert
vNSA With
Remote
Large
Display
Total Number
of Ports
Number of Ports
Used to Connect
Remote Large
Display
Number of Ports
Used to
Interconnect
Switches
Number of Ports
Available to
Connect Liebert iCOM
Control Devices
Liebert vNSA8-Liebert iCOM Yes 81 - 7
Liebert vNSA16-Liebert iCOM 16 1 2 13
Liebert vNSA8 No 8- - 8
Liebert vNSA16 16 - 2 14
3.298"
(84mm)
12"
(305mm)
14.25"
(362mm)
DPN001136
Rev. 0

External Communication—Building Management Systems, Liebert SiteScan®
99 Liebert® iCOM®
6.0 EXTERNAL COMMUNICATION—BUILDING MANAGEMENT SYSTEMS, LIEBERT
SITESCAN®
Liebert iCOM is capable of communicating with external monitoring systems, such as Building
Management Systems (BMS), Network Monitoring Systems (NMS), Liebert's SiteScan® Web and
others.
Each Liebert iCOM-controlled cooling unit is equipped with Liebert IntelliSlot® plug-in slots for use
with optional communication cards. Two hot-swappable cards are available to provide remote
communication to the Liebert iCOM.
The Liebert IntelliSlot™ IS-UNITY-DP communication card monitors and manages a range of
operating parameters, alarms and notifications. Unity cards deliver:
• Emerson Protocol for Trellis™, Liebert SiteScan™ and Liebert Nform®
• Embedded LIFE™ Technology for Remote Service Delivery
• SNMP (v1/v2c/v3) for Network Management Systems
• HTTP/HTTPS for Web page viewing
• SMTP for e-mail
• SMS for mobile messaging
• Modbus RTU-Modbus Remote Terminal Unit (RTU) communication protocol for Building
Management Systems over a RS-485 serial network (also called Modbus RTU RS-485)
• Modbus TCP-Modbus Transmission Control Protocol for Building Management Systems over an
Internet or LAN
• BACnet IP—BACnet over Internet Protocol for Building Management Systems over the Internet
or a LAN
• BACnet MSTP—BACnet Master-Slave/Token-Passing (MSTP) communication protocol for
Building Management Systems over an RS-485 serial network (also called BACnet MSTP RS-485)
The Liebert IntelliSlot Unity platform supports communication with up to two third-party protocols
simultaneously. Velocity V4 monitoring protocol is required to ensure monitoring connectivity with
the Liebert IntelliSlot IS-UNITY-DP. Velocity V4 protocol is standard in Liebert iCOM software
version PA1.04.033 and later.
Another communication option is the Liebert IntelliSlot SiteLink-E® CARD (IS-485EXI), which
provides ground fault isolated connection to a Liebert SiteLink-E for monitoring and management.
The IS-485EXI is compatible with all Liebert iCOM software versions. See the Liebert Web site for
the latest supported protocols, monitoring reference information and SNMP MIBs:
www.liebert.com
6.1 Building Management Failover Features
A Monitoring Timeout/Handshake can be used with a building management system to verify
communication between the Liebert iCOM and the BMS. The handshake or communication test is
performed through a timer in the Liebert iCOM. If communication is OK, the BMS will update the
timer periodically. If the BMS fails to perform a handshake within the specified period (e.g.,
monitoring panel failed) the Liebert iCOM will generate a BMS TIMEOUT event.

External Communication—Building Management Systems, Liebert SiteScan®
Liebert® iCOM®100
The user can define fail-safe sequences if communication with the BMS is lost. These sequences help
ensure that the conditioned space is not compromised if communication between the BMS and the
Liebert iCOM is lost. These fail-safe modes include:
• BMS Backup Temp Setpoint—Allows the unit to operate off a predefined temperature setpoint.
• BMS Backup Fan Operation—Sets the default operation for the fan speed control when a BMS
time-out occurs. Four options are available:
• Disabled: The fan will continue controlling to the last value written by the BMS. This could be
either the last fan temperature setpoint if controlling the fan by locally installed sensors or it
could be the last value written fanspeed command (0-100%) hen fan control is set to manual.
• BMS Backup Spd: Allows the user to program a fixed fan speed percentage setpoint. When
the
• BMS disconnect occurs, the fan speed will lock to this point. This setting is available when the
fan control sensor is set to Manual.
• Coupled: Allows the fan speed to be controlled by the air temperature setpoint. The fan speed
will follow the call for cooling as described in 3.1.1 - Unit/Fan Control.
• Backup Set: Allows the user to program an alternate fan setpoint that takes the place of S147
Fan Setpoint and is used to establish a new fan control band.
• Restart at BMS Off and Disconnected—Allows the cooling unit to automatically turn On if the
BMS has shut the unit Off and the BMS loses communication.
6.2 Monitoring Points
The Liebert Monitoring Points Generator assists in locating the exact monitoring points needed for a
specific unit communicating using the Liebert IntelliSlot® IS-UNITY-DP. Contact your local Emerson
representative to have this run for your unit. Once this generation is run, it can be saved in various
formats—.pdf, .xls or .csv—to be provided with the submittals, price quotations and to the BMS
commissioning agent for point mapping.
The Monitoring Points Generator will not provide points for units connected to the Liebert SiteLink®.
Each Liebert Site-Link panel is programmed based on specific job requirements so points may vary
site to site. The Liebert SiteLink technician will provide a BMS points list after the panel has been
setup. Contact the Customer Resolution Center at 1-800 LIEBERT (543-2378) with your site ID or tag
number to obtain a points list or for assistance with Liebert SiteLink.
Figure 83 Liebert Monitoring Points Generator interface

User Menu Parameters
101 Liebert® iCOM®
7.0 USER MENU PARAMETERS
User menus report general cooling unit operations and status. The user menu password is 1490.
The User menu parameter tables in this manual may differ from the display on your cooling unit. The
Liebert iCOM functions with several Liebert Precision Cooling units, each with its own set of control
commands. In addition, the Liebert iCOM firmware is being updated constantly. As a result, the User
menu parameter tables in this manual may differ from the display on your cooling unit. Check
www.liebert.com for the latest Liebert iCOM user manual updates.
Figure 84 User menu icons
7.1 User-Setpoints Screens
Setpoints allows the user to view, change and set the most important setpoints (temperature,
humidity, etc.) in a central location.
Figure 85 Setpoints screen, page 1
User Menu
password: 1490

User Menu Parameters
Liebert® iCOM®102
U102 Temperature Setpoint—Selects a temperature that the cooling unit will maintain by
applying cooling and or reheats. There are two values in this field. The Temp Set value is the
temperature that has been set by the user to control the temperature. The Temp Act value is a read
only value that indicates if another routine, like supply compensation has internally modified the
Temp controlling value. If compensation has not been activated, then ACT and SET will always
match. This parameter is adjustable from 41-104°F (5-40°C). The factory default value for Supply is
64°F. The factory default value for Return & Remote=73°F.
U103 Temperature Control Sensor—Selects the sensor that will control the cooling capacity.
Cooling capacity is either the Chilled Water Valve, Compressor, FreeCooling Valve or Air
Economizer. Unloading type compressors can be set to any sensor type, however fixed style
compressors can only be set to Return or Remote control type l. This parameter can only be changed
in the service menu. The range should be Supply, Return or Remote Sensor. The factory default is
Return.
U104 Humidity Setpoint—Selects a humidity that the cooling unit will maintain by removing or
adding moisture to the air. The humidity setpoint will either be set in percent RH or as a Dew Point
Value depending on what the humidity control type is set for. This parameter is adjustable from 20-
80%. The factory default is 50%.
U105 Humidity Control Sensor—Defines which humidity value the humidity setpoint is compared
with. The return sensor is equipped with a Temp / Hum sensor and can calculate the dew point based
on Liebert iCOM's internal lookup table. If a sensor other than the return sensor is selected, then
iCOM will calculate the correct RH% based on the sensor selected and its actual temperature. The
range is Remote or Return Sensor. The factory default is Return Sensor.
U106 Humidity Control Type—Selects the humidity control calculation. Setting this parameter to
“Relative” will control the humidity without considering any temperature deviations. “Predictive” and
“Absolute” control consider the temperature deviation from temperature setpoint so that a constant
level of moisture is kept in the area based on the humidity sensor reading and the temperature
deviation from setpoint.
Dew Point allows Liebert iCOM to calculate the actual dew point of the room and to control the
humidity based on a user-entered dew point temperature. The range is Relative, Absolute, Predictive
and Dew Point. The factory default is Predictive.
U107 Fan Setpoint—Needed anytime the fan operates from a different sensor than the temperature
setpoint. Example: The temperature setpoint is set to Supply Air and the fan control is set to Remote
Sensor.
This is considered “Optimized Aisle” control, which decouples the fan and cooling capacity
modulation. In the above example, this value would set the remote sensor setpoint to control the fan
speed. This parameter is adjustable from 41-104°F (5-40°C). The factory default is 73°F.
U108 Fan Control Sensor—Determines the sensor which will control the speed of the fan. This
parameter works in conjunction with the Fan Control Setpoint.
The Liebert iCOM control also has the ability to control the fan speed manually. This means that the
fan control can be set through the local Liebert iCOM display or via a building management system
through one of the various Liebert IntelliSlot® monitoring cards. The range is Supply, Return, Remote
or Manual. The factory default is Return Sensor.
U110 Optimized Aisle Enabled—This read-only value indicates if the Liebert iCOM controller is
setup in a Optimized Aisle configuration.
To enable optimized aisle within Liebert iCOM, the Supply Air sensor must be set to control the
cooling capacity and the remote sensor must be set to control the fan speed. This allows the cooling
unit to maintain inlet rack temperatures while still maintaining an even under-floor air temperature
when controlling unbalanced rooms.
Optimized Aisle will automatically adjust based on the application (None, End or Full Containment).

User Menu Parameters
103 Liebert® iCOM®
Figure 86 Setpoints screen, page 2
U113 2nd Temperature Setpoint—Provides a way to program an alternate temperature setpoint
that is activated by a dry contact through the customer inputs connections. When a customer input
connection is set to “2nd Setpoint” and the input is wired to that input is active, then the value set in
this parameter sets the active temperature setpoint. This parameter is adjustable from 41°F to 81°F
(5 to 27.2°C). The factory default is 41°F (5°C).
This temperature may affect fan speed if the control is setup to operate in a coupled mode during
normal operation (see Table 4).
U114 Supply Temp Limit Setpoint—Selects the minimum discharge air temperature. When the
actual sensor reading approaches this parameter, the cooling capacity will be limited to avoid going
below the Supply Limit Temperature value. This parameter must be enabled in the Service /
Setpoints menu prior to setting a supply limit setpoint. This parameter is adjustable from 41°F to
81°F (5 to 27.2°C). The factory default is 41°F (5°C)
U116 BMS Backup Temp Setpoint—Selects a temperature setpoint that will be active in the event
of a BMS time-out. The BMS timer must be configured for this parameter to activate. If the unit is
operating in “Coupled” mode, located in Service Menus>Setpoint, S163, then this setpoint will affect
the fan control setpoint. This temperature may affect fan speed if the control is setup to operate in a
coupled mode during normal operation (see Table 4). This parameter is adjustable from 41-104°F
(5-40°C). The factory default is 73°F (23°C).
U117 BMS Backup Fan Setpoint—Selects a temperature setpoint that will be active in the event of
a BMS time-out. The BMS timer and S163 must be configured to “Backup Set” for this parameter to
activate. This parameter is adjustable from 41-104°F (5-40°C). The factory default is 73°F (23°C).
U117 BMS Backup Fanspeed—Selects a fixed fan speed percentage that will be active in the event
of a BMS time-out. The BMS timer and S163 must be configured to “BMS Backup Spd” for this
parameter to be visible. This parameter is adjustable based units preconfigured low and high limit
fan speed thresholds. The factory default is 100%.
U119 Return Compensation Setpoint—Allows the return air sensor to be used even when in
Supply or Remote temperature control mode. Return Compensation modifies the temperature
setpoint to ensure that the return air temperature is kept above a specific temperature. If the return
compensation value is set to 80°F and the actual return temp falls to 75°F, then the controlling
temperature setpoint will be increased and will reflect in the Control Temp Act.” This parameter is
adjustable from 41-104°F (5-40°C). The factory default is 73°F (23°C).

User Menu Parameters
Liebert® iCOM®104
7.2 User-Graphic Menu Screens
Graphic screens allow the user to view temperature and humidity graphs. Nine flexible time scales
with ranges up to 16 days are available.
Figure 87 Graphs, page 1
There are two line trend graphs in Liebert iCOM. The upper graph displays temperature data and the
lower graph displays humidity data. Each graph can be customized by changing the span of time and
the range of the sensor readings.
Each unit has its own temperature and humidity graphs as well as a system graph which displays an
average of all connected sensors in the network of units.
Figure 88 Graphs, page 2
Spare Part List
Spare Parts—The spare parts lists contains a detailed description and part number that can be used
to order parts for the unit. These part numbers are specific to each model and option installed on the
unit.

User Menu Parameters
105 Liebert® iCOM®
Event Log
Event Log—The event log displays all events and actions generated by the unit. When multiple
units are networked the event log shows results for the whole system. Each event shows the unit that
generated the alarm, time and date stamp, a description and the event type.
The event log contains the last 400 events generated by the unit. Events include such occurrences as
unit On/Off commands, alarms, warnings and messages. The event log has two views: system view
and unit view. When the event log is first entered, the system view is displayed. The system view lists
events that have occurred at the unit and other units, if configured in a U2U network. Pressing the
Right arrow while viewing the event log for the system view allows the user to see unit-specific
events. The unit name and number will appear in the upper right corner for the unit selected. Each
event shows the unit that generated the alarm, time and date stamp, a description and the event
type. As new events are stored in the log, older events are pushed further down the list.
Once the event log reaches 400 events, the oldest events are erased as new events are stored.
View Network
View Network—The view network screen provides an overview of the Liebert iCOM network and a
status of each unit. This screen will provide the unique unit name given to the unit. If no name is
given, then only the unit number will be displayed.

User Menu Parameters
Liebert® iCOM®106
7.3 User-Set Alarms Menu Screens
Set Alarms allow the user to view and modify basic temperature and humidity alarms and thresholds
Figure 89 Set alarms screen, page 1
U202 Return Sensor Alarms—Enables or disables the return sensor alarms. When enabled, the
return temperature and humidity values will be compared to a high and low setting.
U203 High Return Temperature—Allows a user to adjust the point at which the actual return
temperature activates a High Temperature Alarm. This parameter is adjustable from 34°F to 210°F.
The factory default is 80°F.
U204 Low Return Temperature—Allows a user to adjust the point at which the actual return
temperature activates a Low Temperature Alarm. This parameter is adjustable from 34°F to 210°F.
The factory default is 65°F.
U205 High Return Humidity—Allows a user to adjust the point at which the actual return
humidity activates a High Humidity Alarm. This parameter is adjustable from 1% to 99%. The factory
default is 60%F.
U206 Low Return Humidity—Allows a user to adjust the point at which the actual return
humidity activates a Low Humidity Alarm. This parameter is adjustable from 1% to 99%. The factory
default is 40%F.
U207 Sensor A Alarms—Enables or disables the alarms for reference Sensor A. When enabled, the
Sensor A temperature and humidity values will be compared to a high and low setting.
U208 High Temperature Sensor A—Allows a user to adjust the point at which the actual Sensor A
temperature activates a High Temperature Alarm. This parameter is adjustable from 34°F to 210°F.
The factory default is 80°F.
U209 Low Temperature Sensor A—Allows a user to adjust the point at which the actual Sensor A
temperature activates a Low Temperature Alarm. This parameter is adjustable from 34°F to 210°F.
The factory default is 65°F.
U210 High Humidity Sensor A—Allows a user to adjust the point at which the actual Sensor A
humidity activates a High Humidity Alarm. This parameter is adjustable from 1% to 99%. The factory
default is 60%F.
U211 Low Humidity Sensor A—Allows a user to adjust the point at which the actual Sensor A
humidity activates a Low Humidity Alarm. This parameter is adjustable from 1% to 99%. The factory
default is 40%F.

User Menu Parameters
107 Liebert® iCOM®
Figure 90 Set alarms screen, page 2
U213 Supply Sensor Alarms—Enables or disables the supply sensor alarms. When enabled, the
supply temperature and humidity values will be compared to a high and low setting.
U214 High Supply Temperature—Sets the temperature at which the High Supply Temperature
Alarm is activated. This parameter is adjustable from 34°F to 210°F. The factory default is 75°F.
U215 Low Supply Temperature—Sets the temperature at which the Low Supply Temperature
Alarm is U21activated. This parameter is adjustable from 34°F to 210°F. The factory default is 50°F.
U219 Remote Sensor Alarms—Enables or disables the Remote sensor alarms. When enabled, the
Remote temperature values will be compared to a high and low setting.
U220 High/Low Remote Temperature—Enables or disables remote air alarm. When enabled, the
high and low temperature alarm will allow a user to adjust the point at which the actual remote
temperature activates a Low Remote Temperature Alarm. This parameter is used when common
alarm points will be shared by all sensors. Otherwise, the remote sensors can be set individually on
page 3. This parameter is adjustable from 34°F to 210°F. The factory default 50°F.
U221 Separate thresholds are on page 3—Informational

User Menu Parameters
Liebert® iCOM®108
Figure 91 Set alarms screen, page 3
U224-U233 High/Low Remote 01 - 10— Sets the High and Low remote temperature sensor alarm
points individually for each sensor when the parameter separate thresholds is set to disabled. The
range for both parameters is 34°F to 210°F. The default setting for low alarm is 55°F. The default
setting for high alarm is 90°F.
Figure 92 Set alarms screen, page 4
U235 Static Pressure Messages—Enables or disables the static pressure alarms.
U236 High Static Pressure—Sets the pressure at which the High Static Pressure Alarm is
activated. This parameter is adjustable from 0.000 - 1.405 inWC. The factory default is 1.284 inWC.
U237 Low Static Pressure—Sets the pressure at which the Low Static Pressure Alarm. This
parameter is adjustable from 0.000 - 1.395 inWC. The factory default is 0.000 inWC.
U238 SP Messages During Unit Off—Enables or disables the static pressure alarms when the unit
is OFF.
U239 SP Messages on Fan Adjust—Enables or disables the static pressure alarms when the fan
has been adjusted due to special events. These events include an adjustment for heating,
humidification, dehumidification, motor overload / EC fan fault or loss of airflow.

User Menu Parameters
109 Liebert® iCOM®
U240 SP Transducer High Range—Sets the pressure range at which the High Static Pressure Out
of Range Alarm is activated. This parameter range is adjustable from 0.000 - 1.405 inWC. The factory
default is 1.284 inWC.
U241 SP Transducer Low Range—Sets the pressure range at which the Low Static Pressure Out
of Range Alarm is activated. This parameter range is adjustable from 0.000 - 1.395 inWC. The factory
default is 0.000 inWC.
7.4 User-Sensor Data Menu Screens
Sensor Data shows the readings and status of standard and optional sensors.
Figure 93 Sensor data screen, page 1
U301 Sensor A: T / H—Shows the calibrated Sensor A temperature (left hand value) and humidity
(right hand value) if the optional reference sensor is connected to the Liebert iCOM controller area
network (CAN) bus. A reference sensor can be connected to any type of Liebert iCOM unit. Sensor A is
selected by setting the DIP switches on the temperature and humidity board. Refer to 4.3.2 - DIP
Switch Settings.
U302 Sensor B: T1 / T2 / H—Shows the calibrated Sensor B temperature (left hand value), second
temperature reading in the if sensor B is a 2T, and humidity (right hand value) if sensor B is a T/H
sensor. Sensor B is an optional reference sensor connected to the Liebert iCOM controller area
network (CAN) bus. A reference sensor can be connected to any type of Liebert iCOM unit. Sensor B is
selected by setting the DIP switches on the temperature and humidity board. Refer to 4.3.2 - DIP
Switch Settings.
U303 Sensor C: T1 / T2 / H—Shows the calibrated Sensor C temperature (left hand value), a second
temperature reading if sensor C is a 2T (middle), and humidity (right hand value) if sensor C is a T/H
sensor. Sensor C is an optional reference sensor connected to the Liebert iCOM controller area
network (CAN) bus. Sensor C is selected by setting the DIP switches on the temperature and
humidity board. Refer to 4.3.2 - DIP Switch Settings. A reference sensor 'C' can be connected to any
type of Liebert iCOM unit unless the unit is equipped with an air side economizer. When the unit has
an air side economizer, this parameter represents the outside air temperature and humidity. See the
description below for more details.
U303 Outdoor Temp / Hum—Reads the calibrated outdoor temperature (left hand value) and
humidity (right hand value) for air side economizer units. These readings are used to determine air
side economizer eligibility. It is determined by comparing the temp between the room and outdoor air
temperature.
U304 FC Fluid Temperature—Displays the calibrated temperature of the incoming water on units
equipped with a free-cooling coil.

User Menu Parameters
Liebert® iCOM®110
U305 FC Status / Amb Temp—Displays the operating status of air side economizer (left hand value)
and displays the current outside air temperature (right hand value). The operating status values
include: Off, Start and On.
U305 Freecooling Status—Displays the operating status of free cool or dual cool economizer (left
hand value) and displays the current outside air temperature (right hand value). The operating
status values include: Off, Start and On.
U306 CW Temp In / Out—Displays the calibrated chilled water inlet (left hand value) and outlet
(right hand value) temperature. If two chilled water inlet/outlet sensors are connected, the
description will change to 'CW Temp C1 In / Out.'
U307 CW Flow Circuit 1—Displays the calibrated fluid flow through the unit in gallons per minute
or liters per minute. The description show will change depending on the unit type installed. Single
Circuit chilled water units will read 'CW Flow', Dual Chilled water circuit units will read 'CW Flow
Circuit 1', Free cooling or dual cool unit will display 'FC Fluid Flow' and DX units with water/glycol
cooled heat exchangers will read “Glycol Flow.”
U308 CW Temp C2 In / Out—Displays the calibrated chilled water inlet (left hand value) and outlet
(right hand value) temperature of the second circuit on a dual chilled water unit.
U309 CW Flow Circuit 2—Displays the calibrated fluid flow through the unit in gallons per minute
or liters per minute.
U310 Total Cooling Load kW—Displays the calculated chilled water cooling load based on the
temperature difference from supply to return and the fluid flow rate. If the display is set to read
KBtuH, the line description will update to “Total Cooling Load KBtuH.”
U311 Static Pressure inWC / Pa—Displays the calibrated static pressure in inWC (left hand value)
and Pa (right hand value).
U312 SYS Static Pressure inWC / Pa—Displays the calibrated static pressure inWC (left hand
value) and Pa (right hand value) where multiple static pressure sensor are shared across the iCOM
U2U network. The reading displayed will be an average or minimum pressure of all connected units
based on S197 SP Teamwork / Network mode setting.
U31A Calculated Airflow—Shows the calculated airflow based on an installed differential pressure
transducer.

User Menu Parameters
111 Liebert® iCOM®
Figure 94 Sensor data screen, page 2 (return only)
U313 Daily High Temperature—The highest recorded temperature from the temperature
controlling sensor between the hours of 12:00 a.m. to 11:59 p.m.
U314 Daily Low Temperature—The lowest recorded temperature from the temperature
controlling sensor between the hours of 12:00 a.m. to 11:59 p.m.
U315 Daily High Humidity—The highest recorded humidity from the temperature controlling
sensor between the hours of 12:00 a.m. to 11:59 p.m.
U316 Daily Low Humidity—The lowest recorded humidity from the temperature controlling sensor
between the hours of 12:00 a.m. to 11:59 p.m.
U317 Daily High Dew Point—The highest recorded dew point from the temperature controlling
sensor between the hours of 12:00 a.m. to 11:59 p.m.
U318 Daily Low Dew Point—The lowest recorded dew point from the temperature controlling
sensor between the hours of 12:00 a.m. to 11:59 p.m.
U320 Return THB T/H/DP—Displays the actual temperature relative humidity and calculated dew
point at the return of the unit.
U321 Sensor A T/H/DP—Displays the actual temperature relative humidity and calculated dew
point at the sensor A location.

User Menu Parameters
Liebert® iCOM®112
Figure 95 Sensor data screen, page 3
U325 Remote / Auxiliary Sensors - Unit Information—read only text describing screen features.
U326 REM Sensors set to Control—Read-only parameter that shows the number of sensor set to
control (left hand value) and the sensor control type used (right hand value). If the sensors are used
for reference only, the right hand value will display None. Otherwise the right hand value will display
the sensor control mode such as Cool, Fan or Cool + Fan.
U327 Unit Aggregation Method—Read=only parameter that describes the sensor level control or
aggregation method used for control. The left hand value will display Maximum or Average of based
on the Service Menus>Remote SB03 programming. If set to Average, a number will appear to the
right. This number represents the highest number of remote sensors used for calculating the average
temperature. This number is also based on the programming in Service Menus>Remote SB0.3.
U328 Remote Sensor 1/2—Displays the actual remote sensor reading for each remote sensor. The
actual value reported here depends on how the sensor is set up. If the sensor is set to Average, then an
average of the two temperature readings per sensor will be shown. If the sensor is set to Maximum,
then the maximum value will be shown.
U329 Remote Sensor 3/4—Same as Remote Sensor 1/2
U330 Remote Sensor 5/6—Same as Remote Sensor 1/2
U331 Remote Sensor 7/8—Same as Remote Sensor 1/2
U332 Remote Sensor 9/10—Same as Remote Sensor 1/2
U333 Remote Sensor Unit Average—Displays the average remote sensor temperature taken from
the total number of remote sensor readings above.
U334 Remote Sensor Unit Maximum—Displays the maximum remote sensor temperature taken
from the remote sensor readings above.
U336 Unit Aggregated Ctrl Temperature—Displays the remote sensor temperature control
temperature when cooling or fans are set to control based off remote temperature.

User Menu Parameters
113 Liebert® iCOM®
Figure 96 Sensor data screen, page 4
U337 Remote / Auxiliary Sensors - System Information—Read-only text describing screen
features.
U338 Teamwork Mode—Read-only parameter describes what U2U teamwork mode the unit is
operating in.
U339 Teamwork Aggregation Method—Read-only parameter is viewable only in Teamwork 1 and
3 with temperature or fan control sensor set to Remote. This parameter describes if the teamwork
control is based on the average or maximum sensor readings in the group. If programmed to Average,
the parameter will also display how many units are calculated in the average. Only the highest sensor
readings will be used for the averaging.
U341 System Remote Sensor Average—Read-only parameter is viewable only in Teamwork 1 and
3 with temperature or fan control sensor set to Remote. This parameter displays the average remote
sensor reading of all connected sensors.
U342 System Remote Sensor Maximum—Read-only parameter is viewable only in Teamwork 1
and 3 with temperature or fan control sensor set to Remote. This parameter displays the average
remote sensor reading.
U344 Aux Air Weight / Temp—Read-only parameter is viewable only when the unit is connected to
wireless sensors, the unit is in Teamwork 1 or 3, temperature or fan control sensor set to Remote to
view this parameter and teamwork is based on Average control. This parameter displays the weight
applied to the wireless control (left hand value) and actual wireless sensor reading (right hand value).
The left hand value represents the amount of influence the actual wireless sensor reading (right hand
value) has relative other remote sensors for controlling component operation. The actual wireless
sensor reading (right hand value) is the maximum or average wireless sensor reading transmitted
from the auxiliary proxy or Liebert SiteLink®.
U345 Aux Air Mode / Temp—Read-only parameter is viewable only when the unit is connected to
wireless sensors, the unit is in Teamwork 1 or 3, temperature or the fan control sensor set to
Remote
and teamwork is based on Maximum. This parameter describes how the wireless sensors are used in
the teamwork calculation (left hand value) and what the actual wireless sensor reading (right hand
value). Three possible statuses may be shown as the left hand value: EXCL, INCL and ONLY. EXCL
indicates that the wireless sensor value is not used for determining the unit fan or cooling operation.
INCL indicates the wireless sensor value is considered for controlling fan or cooling operation. ONLY
indicates the wireless sensor value is used for determining fan or cooling operation. The actual
wireless sensor reading (right hand value) is the maximum or average wireless sensor reading
transmitted from the auxiliary proxy or Liebert SiteLink.
U348 System Aggregated Ctrl Temperature—Read-only parameter is control temperature for
cooling or fan when the unit is in Teamwork 1 or 3.

User Menu Parameters
Liebert® iCOM®114
Figure 97 Sensor data screen, page 5
These parameters show the analog input configured device and the value from the device that is
connected to the Liebert iCOM control. Refer to the Figure 167 through 172 for a list of analog input
devices. The analog input device is setup in the Service menu and could consist of: Air Pressure,
Pressure, Temperature or Percent.
Active Alarms
Active Alarms—Permits viewing all current, active alarms.
7.5 User-Display Setup Menu Screen
Display Setup is where items such as date, time, screen type and temperature indication may be set
according to user preference.
Figure 98 Display setup screen, page 1
U401 Language—Sets the language on the display. Changing this parameter changes all menu
parameters to the selected language.Currently, the supported languages for this version of software is
English, Chinese, Japanese and Spanish.

User Menu Parameters
115 Liebert® iCOM®
U402 Date—Sets the internal date of the unit. If this unit is connected to other units with the unit to
unit network connection, all units will reflect the last date set.
U403 Time—Sets the internal time of the unit. If this unit is connected to other units with the unit to
unit network connection, all units will reflect the last time set. The control tracks time using a
24-hour clock.
U404 Temperature Indication—Selects the actual and set point temperature indication. Selecting
C will set the unit to display in Celsius and F will set the unit to display in Fahrenheit. When the
temperature indication is set to display Celsius, proportional bands are displayed as K. This is a
calculated value that converts Fahrenheit to Celsius without the -32°F offset.
Example: If the proportional band is 20°F, then (20/1.8) = 11.1K
U405 Display Contrast—Changes the contrast of the display to adjust for different viewing angles,
low light and bright light conditions. As the display ages, the contrast may need to be adjusted. The
factory default is 50.
U406 Buzzer Frequency—Changes the audible noise frequency of the built in buzzer. When
adjusting the buzzer frequency, the buzzer will sound allowing selection of a frequency that is easily
detected when an alarm occurs. The factory default is 50.
U407 Backlite Off After X Hours—Controls the length of time that the back-light remains active
when the display is unused. When the buttons on the front display have not been pressed for the time
selected in this parameter, the back-light will turn Off, extending the life of the display and saving
energy.
U408 Screen—Determines the display mode: Graphical comma, Simple comma, Graphical and
Simple
U409 Display Shows Data of Unit—Selects the layout of the main display. Selects if the main
display shows the temperature and humidity actual values only, setpoint values only or both actual
and setpoint. Selecting graphical and graphical comma will show a bar graph for each component
regardless if the component is active. Simple and simple comma only show device icons that are active
without a bar graph and hides components that are inactive. Selecting comma in either simple or
graphical changes the resolution of the displayed values. The factory default is Graphical.
U410 Display Colors—Selects the background color. Inverted sets the display to show white font
with blue background; Normal sets a white background with blue font.
U411 Date Format—Changes the month, day, and year arrangement shown on the front display
and event time stamps.
Default: MM/DD/YYYY
Other selections: DD.MM.YYYY and YYYY-MM-DD

User Menu Parameters
Liebert® iCOM®116
Figure 99 Display setup screen, page 2
U414 Additional Readouts—Selects whether fluid flow is displayed in the unit view.
U415 Show Supply Temp @ Unit Off—Hides or shows the supply air temperature when the unit is
in monitoring Off, display Off, in remote shutdown or in standby mode. This feature is typically used
by BMS integrators to prevent nuisance high supply temperature alarms while the unit is not cooling.
U416 Show U2U Numbers—Hides or shows the U2U number to the right of the unit name.
7.6 User-Total Run Hours Menu Screens
Total Run Hours displays the cumulative hours a particular component has been operating and the
limit placed on the hours the component may operate.
Each main component of the unit has its own run hours counter and a threshold. The actual run
hours can be reset to 0 by selecting the counter by pressing Enter, and then pressing the Down arrow
key. The thresholds can be set the same way.
Figure 100 Total run hours screen
NOTE
The password needs to be entered in any other screen because this screen does not contain a
password entry line.

User Menu Parameters
117 Liebert® iCOM®
7.7 User-Sleep Mode Menu Screens
The Sleep Mode menu contains parameters to set back or allow unit to turn Off during non-peak
hours. Sleep Mode may be interrupted if the temperature rises above threshold set in the Set Alarms
menu.
Figure 101 Sleep mode screen
U609 Timer Reset—Defines when the unit changes back to Sleep Mode after having crossed the
high or low temp threshold (Deadband setting on line U611). These values are available:
• NO: The user can use this setting to temporary interrupt a sleep mode interval while sleep
mode is active. If the parameter is left at No, sleep mode will not resume until the next sleep
mode interval occurs or the user sets the parameter back to Yes or Auto.
• YES: If the unit is brought out of sleep mode by a hi or low temperature event, the unit
continue to operate and will go to Sleep Mode again at the next coming Interval.
• Auto: The unit will automatically return to sleep mode if interrupted by a high- or
low-temperature event. The temperature must be within 50% of the temperature dead band
before the unit will resume sleep mode.
U610 Timer Mode Type—Defines what will happen when sleep mode is active. Two options are
available:
• System Off: the unit remains Off, no fans cooling etc. High- and low-temperature events will
not bring the unit out of sleep mode.
• Deadband: Provides the user with a selectable deadband range to bring a unit out of sleep
mode if the temperature in the space gets too high or low. The deadband is defined on line
U611.This setting also allows the unit to come out of sleep mode if a high- or low-temperature
alarm occurs. Temperature alarm thresholds are (internally) shifted lower / higher by the half
value U611.
U611 Dead Band—Defines when a unit will come out of sleep mode when U610 is set for Dead
Band. This deadband is added to the temperature dead band in Service Menu, Setpoints. Once the
control temperature increases above Temperature Setpoint + (1/2 [Temperature Dead Band]) +
U611, the unit will turn On. The unit will remain operating until the temperature is within 1/2
(Temperature Dead Band).

User Menu Parameters
Liebert® iCOM®118
7.8 User-Condenser Timer Menu Screens
The Condenser Timer menu applies to Liebert units coupled to a Liebert MC™ outdoor condenser
connected through CANbus communication.
Figure 102 Condenser timer screen—page 1
U802 Low Noise Timer Enabled—Sets the low noise operations of the condenser fan. When the
parameter is set to YES the low noise operation is selected. When set to NO, the low noise will be
disabled even if a schedule is set below. Low noise may be overridden by calculated gain sequence at
the global condenser to prevent a high-pressure situation.
U803 Noise Reduction On—Lists the day(s) that low noise feature can be scheduled if U802 is set
to YES.
U804 Whole Days—Selects the whole day(s) low noise operations will be available for the condenser
fan. When the parameter is set to YES the low noise operation is selected for the whole day. When set
to NO the low noise will be disabled.
U805 Interval Days—Selects the interval day(s) low noise operations will be available for the
condenser fan. When the parameter is set to YES the low noise operation is selected. When set to NO
the low noise will be disabled even if an interval time is set below.
U806 Interval From—Selects the time of day that the low noise feature will be enabled between
00:00 and 24:00.
U807 Operating Mode (0=LN, 100=HE)—The first value represents the fan speed during low noise
operation. The second value represents the fan speed during normal or high efficiency operation. The
first value is linked to U818 and the second to U819.

User Menu Parameters
119 Liebert® iCOM®
Figure 103 Condenser timer screen—page 2
U813 Select Condenser #— # represents the alternate condenser connected. Toggles between
Condenser 1 and 2. When Select Condenser 2 is shown, the parameters U814 through U820 apply to
Condenser 1. When Select Condenser 1 is shown, parameters U814 through U820 apply to
Condenser 2.
U814 Fan Reversal Every x Days— Sets the numbers of days between fan reversals; adjustable
from 1-100 days. The default value is 0 days = OFF. Fan reversal can be performed only with both
compressors off. Fan reversal interval should be performed during standby periods. If the compressor
is operating, the control will skip the scheduled reversal and retry the next interval day. If the
scheduled fan reversal is missed, the control will look for the next available time to do a fan reversal
where the compressor’s calls are met and initiate the reversal. If one or both of the compressor(s) is
operating and/or the fan is in low noise operation, the request to reverse the fans will be ignored.
U815 Reverse Fan At:—Sets the time the fan reversal will be performed. The fan reversal time is
set using a 24-hour clock.
U816 Reversal Duration—Sets how long the fan(s) will be operated in reverse; adjustable from
0-999 seconds. The default is 60 seconds.
U817 Reverse Fans Now—Performs a rotation when set to YES. When set to YES, the parameter
will automatically change to NO when the timer, U816, elapses. If one or both of the compressor(s) is
operating and/or the fan is in a low noise operation, the request to reverse the fans will be ignored.
U818 Max Speed at OpMode 0 (LN)—Linked to U807 0=LN column and defines the maximum
speed during Low Noise operation.
U819 Max Speed at OpMode 100 (HE)—Linked to U807 100=HE column and defines the
maximum speed during normal or High Efficiency operation.
U820 Current Max Speed—Parameter show the status of the actual maximum fan speed.

User Menu Parameters
Liebert® iCOM®120
Configuring Low Noise Operation
First, determine the days and time of day low noise is required. This will be set U806 through U808
respectively. Second, determine the maximum fan speed setting during low noise operation.
In this example, the user does not want fan speed to exceed 35% max speed from 10 pm to 8 am
weekdays.
1. Set U805 Mon-Fri columns to yes.
2. Set U806 interval time from 22:00 to 8:00
3. U807 = 0% / 100%
4. U818 = 35% (Max fan speed low noise)
5. U819 = 100% (Max fan speed during normal operation)
The settings above result in a 35% maximum speed when the timer is active (i.e., at night) and will
operate the fan between 0 and 100% maximum speed of when the timer is inactive (normal operation,
during daytime).
7.9 User-Expansion View Menu Screens
The Expansion View menu applies to Liebert Thermal management units with Modbus Power Meter.
This menu allows the user to see the connection status, voltage, operating current and power for up to
six devices per unit.
Figure 104 Expansion Device View, page 1
Device Name
Device
Connection
State
Phase
Current
Total Power Used in
kWh by All
Connected Devices
Total Watts
Measured by All
Connected Devices
Voltage L1-N, L2-N
and L3-N
Power Consumed
in kWh
Total Watts
Voltage L1-L2, L2-L3
and L3-L1
Incoming Voltage
Type

Service Menu Parameters
121 Liebert® iCOM®
8.0 SERVICE MENU PARAMETERS
Service menus allow customized settings for site operations. The password for service menu
parameters is 5010.
The Liebert iCOM firmware is being updated constantly. As a result, the Service menu parameter
tables shown in this manual may be slightly different than what is shown on your cooling unit's
display. Please check www.liebert.com for the latest Liebert iCOM User manual updates.
Figure 105 Service Menu Main Screen

Service Menu Parameters
Liebert® iCOM®122
8.1 Service-Setpoints Menu Screens
Setpoints allow the user to view, change and set all temperature- and humidity-related parameters.
Figure 106 Setpoints screen, page 1 of 10
S102 Temperature Control Sensor—Selects which sensor will be controlling the cooling capacity.
Cooling capacity is either the Chilled Water Valve, Compressor, FreeCooling Valve or Air
Economizer. Unloading type compressors can be set to any sensor type, however fixed style
compressors can only be set to Return or Remote control type l. This parameter can only be changed
in the service menu. The range is Supply, Return or Remote Sensor. The factory default is Return.
S103 Temperature Setpoint Act/Set—Selects a return temperature that the cooling unit will
maintain by applying cooling and or reheats. This is adjustable from 41-104°F (5-40°C). The factory
default is 73°F (22.7°C).
There are two values in this field. The Temp Set value is the temperature that has been set by the
user to control the temp. The Temp Act value is a read only value that indicates if another routine,
like supply compensation has internally modified the Temp controlling value. If compensation has not
been activated, then the ACT and SET will always match. This parameter is adjustable from
41-104°F (5-40°C). The default set value for Supply is 64°F. The default set value for Return and
Remote is 73°F.
S104 Temperature Control Type—Sets the type of control to be followed Proportional, PI or
Intelligent.
S106 Temperature Proportional /Integral—The left hand value adjusts the activation points of
compressors or rate of change based on the actual sensor values deviation from setpoint. The smaller
this number the faster the compressors and valve(s) will increase capacity. Too small of a number
may cause the unit to short cycle the compressors or excessively reposition the valve. The right hand
value adjusts the capacity of the unit based on time away from setpoint so that accurate temperature
control can be maintained. The proportional and integral work together to maintain setpoint. Large
P-Band with Small I-Time is typical when controlling to supply air.
S108 AutoSet Enable—Sets the temperature and humidity proportional bands automatically based
on the type of unit when this parameter is set to YES and if teamwork modes are selected. To change
the proportional bands, this parameter must be set to NO. If supply or remote sensors are used, then
this value is always set to NO.
S109 Temperature Deadband—Avoids overshooting or undershooting the setpoint and cycling
between the reheats and cooling. The value entered in this field will be split in half by the
temperature setpoint. Example: If the temperature setpoint is 70°F (21.1°C) and a 4°F (2.2°C)
deadband is set, then no cooling will be activated until 72°F (22.2°C) and no heating will be activated
until 68°F (20°C) is reached.

Service Menu Parameters
123 Liebert® iCOM®
S110 Supply Limit Enabled/Setpoint—Chilled water units may be set up with the supply air
sensor to maintain a minimum air temperature under a raised floor to help prevent condensation. In
order to avoid supply temperatures that are too low, the Supply Limit can influence the opening of
three-point or analog actuators or the output of analog valves. The control compares the deviation
from the return air setpoint and the supply limit setpoint, and calculates the output to the actuator
from the smaller deviation.
S111 Heater Deadband—Changes the amount of deviation below the temperature setpoint that the
heaters will cycle On and Off. This value is added to the heating side of the normal temperature
deadband.
Figure 107 Setpoints screen, page 2 of 10
S113 Enable Temp Compensation—Temperature compensation allows for a second or third sensor
to be used that will influence the unit’s cooling or heating. Three selectable values are available:
Return, Supply, and Ret + Sup (Return + Supply). See Temperature Compensation on page 60
for more information on temperature compensation.
S114 Return Compensation Setpoint—The temperature setpoint where compensation begins to
operate by increasing the supply air setpoint.
S115 Return Compensation Band/Value—The return compensation band / value will determine
how quickly the cooling capacity is adjusted as the return temperature drops below the return
compensation setpoint.
S116 Supply Compensation Value—The Supply Compensation value determines how much the
supply temperature setpoint will be reduced when the units fan speed is at 100% and the cold aisle is
not able to maintain temperature setpoint.
Any modifications to the supply temperature setpoint will be shown at the temperature setpoint on
parameter S103 as the actual active control point.
S118 Comp Cap Filter at 0-100%—Controls the rate of change during comp load changes to avoid
overshoots. The filter value depends on the current control deviation from the setpoint.
On the setpoint (at 0%), it’s typically set lower (slow), and at the end of the P-band (at 100%) it’s
typically set higher (faster). The value is given in % control output change per second.
S119 Capacity Transition Filter—This parameter should only be adjusted by a factory-service
trained technician. The transition capacity filter controls how quickly the capacity changes between
different modes of operation.
This filter helps with the transition to avoid overshoot.

Service Menu Parameters
Liebert® iCOM®124
S120 CW Cap Filter at 0 - 100%— The CW Filter at 0% / 100% Controls the rate of change during a
valve position adjustment to avoid overshoots. The filter value depends on the current control
deviation from the setpoint. On the setpoint (at 0%), it’s typically set lower (slow), and at the end of
the P-band (at 100%) it’s typically set higher (faster). The value is given in % control output change
per second.
S121 BMS Backup Temp Setpoint—Selects a temperature setpoint that will be activated in the
event of a BMS time-out. The BMS timer must be configured for this parameter to activate. If the unit
is operating in Coupled mode, located in Service Menus>Setpoint, S163, then this setpoint will affect
the fan control setpoint. This temperature may affect fan speed if the control is setup to operate in
Coupled mode during normal operation (see Table 4). This parameter is adjustable from 41-104°F
(5-40°C). The default setting is 73°F (23°C).
S122 2nd Temperature Setpoint—Provides a way to program an alternate temperature setpoint
that is activated by a dry contact through the customer inputs connections. When a customer input
connection is set to “2nd Setpoint” and the input wired to that input is active, then the value set in
this parameter sets the active temperature setpoint. This parameter is adjustable from 41°F to 81°F
(5 to 27.2°C). The factory default is 41°F (5°C).
This temperature may affect fan speed if the control is setup to operate in a coupled mode during
normal operation (see Table 4).
Figure 108 Setpoints screen, page 3 of 10
S124 Humidity Control Sensor—Determines which sensor is used to calculate the relative
humidity. The humidity control type must be set to relative for the parameter to be active. The range
is Remote or Return Sensor; the factory default is Return Sensor.
The right hand value allows choosing an alternate temperature control sensor for use during
dehumidification. This sensor will replace the setting on line S102 while dehumidification is active.
When the temperature control sensor (S102) is set to Remote, the default selection is Remote and the
alternate selection is Return. When the temperature control sensor (S102) is set to Supply, the default
selection is Supply and the alternate selection is Return.
S125 Humidity Setpoint—Selects a humidity that the cooling unit will maintain by removing or
adding moisture to the air. The humidity setpoint will either be set in percent RH or as a Dew Point
Value depending on what the humidity control type is set for. This parameter is adjustable from 20-
80%. The factory default is 50%.
NOTE
When the unit is in relative humidity control, only the right side of the menu is displayed and
dew point will display the left side of the menu.

Service Menu Parameters
125 Liebert® iCOM®
S126 Humidity Control Type—The left hand value selects the humidity control calculation.
Setting this parameter to Relative will control the humidity without considering any temperature
deviations. Predictive and Absolute control consider the temperature deviation from temperature
setpoint so that a constant level of moisture is kept in the area based on the humidity sensor reading
and the temperature deviation from setpoint. The factory default is Predictive (see 3.7 - Humidity
Control). The right hand value provides two options for controlling components during
dehumidification if S102 Temperature Control Sensor is set to Supply or Remote. If the S102 is set for
either of these values, the right hand value will be shown and can be selected as Supply or Return. If
S102 is not set to Supply or Remote, both humidification and dehumidification will operate using the
sensor assigned on S124.
S127 Humidity Proportional Band—Adjusts the activation points of the humidifier and
compressors or cooling valves for dehumidification based on the actual sensor values deviation from
setpoint. The smaller this number, the faster the compressors, cooling valves and humidifier will
increase capacity. Too small of a number may cause the unit to short cycle or overshoot or undershoot
the setpoint.
S128 Humidity Integration Time—Adjusts the capacity of the unit based on time away from
setpoint so that accurate humidity control can be maintained. If the integration time is set to 0, the
humidity control operates as a “proportional only” control. When an integration time is set, the
control mode changes to “PI” control.
S129 Humidity Deadband—Prevents overshooting or undershooting the setpoint and cycling
between humidification and dehumidification. This value will be split in half by the humidity
setpoint.
S130 Dehum Temp Act/Set—Lowers the temperature control sensor reading to a predefined value
during the call for dehumidification. The unit must be in supply air or remote humidity control. This
should be set below the accepted dew point threshold of the conditioned space.
S131 Dehum Setpoint Adjust/Filter—Sets the amount that the Dehum Temp Setpoint is adjusted
when the reheats activate. Example: If the unit is equipped with a reheat device, this parameter will
increase the dehumidification temperature as the call for reheats are increased until the reheat call is
at 100%. When the reheats are at 100%, the full Dehum Setpoint Adjustment will be applied.
S132 Dehum Reheat/LL Sensor/Set—The left hand value sets the temperature control sensor used
for activating reheat during dehumidification and low limits in and out of dehumidification. To
prevent the unit’s heating and cooling modes from activating simultaneously, Return Sensor is the
only allowable setting when S102 Temperature Control Sensor is set to Return. Supply Sensor is
selectable only when S102 Temperature Control Sensor is set to Supply and Remote Sensor is
selectable only when S102 Temperature Control Sensor is set to either Remote or Supply.
The right hand value is the user-programmed temperature setpoint used to activate reheat during
dehumidification and low limits.
S133 Dehum Low Limit 1 LL1/LL2—Low limit 1 (left hand value) will disable one of the two
compressors used for dehumidification in dual compressor dehumidification applications. If the
humidity control sensor is set to Supply or Remote (S126 right hand value) or the unit is configured
for single compressor or chilled water dehumidification, the LL1 value will not be visible and will be
inactive.
Low Limit 2 will disable both compressors for dehumidification on units configured for dual
compressor dehumidification. This parameter will disable the chilled water valve or compressor on
units configured for single compressor dehumidification.
See 3.7.2 - Dehumidification for more information on Low limit interaction.
S135 Estimated Aisle Temp—Sets an estimated cold aisle temperature when humidity control
sensor is set to remote and no remote temp sensors are installed at the unit. This estimated
temperature will be used to determine the humidity versus using an actual temperature in the cold
aisle that may fluctuate during modes of dehumidification or load changes of the IT equipment. This
provides a stable control point to reference the actual measured dew point from the return sensor.

Service Menu Parameters
Liebert® iCOM®126
Figure 109 Setpoints screen, page 4 of 10
S135 DT1 (Room/Outdoor) Type—Sets the activation point of the ambient dry bulb outdoor
temperature as it relates to either an indoor actual temperature or temperature setpoint. See 3.5.2 -
Liebert Air Economizer Control Settings for more information.
S136 DT1 (Room/Outdoor) Value—Field-adjustable setpoint or temperature. Type (setpoint or
temperature) is based on the setting on S135.
S137 DT2 (Room/FC Fluid) Type—Determines the method to activate the water circuit on
Dual-Cool and free-cool units. It may be set to CONTACT, TEMP or SET. CONTACT which uses a
dry contact to activate the free-cooling circuit. TEMP uses a sensor reading that can then be
compared to the return temp to see whether free-cooling is possible. SET compares the temperature
SET to the free-cooling sensor to determine free-cooling availability.
S138 DT2 (Room/FC Fluid) Value—Sets the delta between the actual temperature and fluid
temperature that must be met before free-cooling will occur.
Example: Actual Temperature = 75°F
Free-cooling Temperature = 70°F
DT2 Value = 4
Since the difference between the free-cooling fluid and the actual temperature is 5°F and the DT2
value is set to 4°F, then free-cooling would be utilized.
S139 Minimum CW Temp—Enables the temperature at which free-cooling can operate
independently without assistance of the compressor circuit(s).
S140 Minimum CW Temp Value—Sets the water temperature at which 100% free-cooling can be
provided to handle the full room load. When the fluid temperature is below this setting, then the
compressors will no longer turn On until the water temperature is above the minimum CW Temp.
S141 Lockout FC at FC Fluid below—Prevents frost from building up on the free-cooling pipes
when the outdoor ambient is extremely low by turning Off the free-cooling circuit when the water
temperature is too low.

Service Menu Parameters
127 Liebert® iCOM®
Figure 110 Setpoints screen, page 5 of 10
S146 Fan Control Sensor—Controls the fan speed for modulation. Options for this setting are
Supply, Return, Remote, and Manual Mode.
If manual mode is selected, then the fan speed can be controlled from the local display or through a
building management system.
S147 Fan Setpoint—Activated when a temperature sensor is being used to control the fan speed. If
the same sensor is used for temperature control and fan speed control, then this value will reflect the
same setpoint as the temperature control setpoint. Manual mode uses the Fan Speed STD for control.
S148 Fan Temp Control Type—Sets the type of control the unit will use to control fan speed.
PI controls gain is set in the Temp Prop / Integral parameter.
PI control will operate the fan speed so that the actual temperature of the fan control sensor is
equal to the fan temp setpoint. If proportional only is selected, the fan will change “ONLY” based
on the deviation from setpoint which will allow the actual temp to settle higher than setpoint.
S149 Fan Temp Prop/Integral—Adjusts the fan speeds rate of change based on the actual sensor
values deviation from setpoint. The smaller this number, the faster the fans will increase speed.
Entering a number that is too small may cause the fans to increase and overshoot setpoint.
Temperature Integration Time—Adjusts the fans of the unit based on time away from setpoint so
that accurate temperature control can be maintained. The proportional and integral work
together to maintain setpoint. Large P-Band with Small I-Time is typical to achieve a stable
control.
S150 Fan Deadband—Avoids overshooting and undershooting the setpoint. The value in this field
will be split in half by the fan speed setpoint.
S151 Airflow Calibration—Defines the maximum voltage output at 100% fan speed. The default
value is 10.0V. The value is commonly used when the unit airflow is tested and balanced. If the
airflow is too high, the value displayed can be lowered to match design. This value cannot be set above
the Analog Output High Limit or below the Analog Low Limit for the fan set in the Advanced Menu.
Caution must be taken when lowering the airflow calibration value. Setting it too low may cause
excessive condensation, coil freezing and other problems. Contact your local Emerson distributor with
any questions.
S152 Fanspeed Min/STD—Sets the range for the variable fans. Min sets the minimum speed that
the fan will operate at. Fan speed is modulated between the MIN and STD based on which sensor is
set to control, setpoint and the PI settings. If the controlling sensor is set to manual, then the STD
setting will control the current fan speed and the Min value is hidden. This parameter is also
adjustable through the BMS.

Service Menu Parameters
Liebert® iCOM®128
S153 Fanspeed Dehum/No Power—Sets the fan speed when a call for dehumidification is active.
This allows the unit’s fan speed to be reduced to help with any overcooling due to dehumidification.
This also allows the coil to remove additional moisture faster.
S154 Allow Fan Modulation on Comp—Permits setting the fan to fixed speed if the unit is
equipped with compressors. Two options are available: No, Yes (factory default).
• No: Sets the fans speed to S152 STD speed during compressor operation. Once this parameter is
set at the local display, it must be removed at the local display before fan speed control can be
re-engaged.
• Yes: Allows the fan speed to modulate during compressor operation according to the programmed
fan control settings.
S155 High Return Limit Enable—Sets a control point that will increase the fan speed if the return
temperature exceeds the limit set in the High Return Temperature Limit parameter. Three options
are available:
• Disabled: The high return limit is disabled.
• Local: This setting uses the unit’s factory-installed return air temperature sensor for applying the
limit.
• Team: Applied in U2U networks only. Allows the high return limit to be applied to all units in the
group based on the highest return temperature sensed by all connected and operating units.
Values are hidden when the fan control sensor is set for return.
S15A High Return Temperature Limit—Sets the temperature limit that will increase the fan
speed to decrease the return temperature. Some compressors may require this limit to prevent
extremely high return temperatures that could degrade the compressor oil, which could decrease the
compressor life expectancy.
S15B Return Limit P-Band—Sets the rate of fan speed increase as the actual return temperature
approaches the limit set in the High Return Temperature Limit parameter.
Figure 111 Setpoints screen, page 6 of 10
S158 Fanspeed Filter at 0-100%—This parameter should be adjusted only by a factory-trained
service technician. Fan Cap Filter at 0% / 100% controls the rate of change during fan speed changes
to avoid overshoots. The filter value depends on the current control deviation from the setpoint. On
the setpoint (at 0%), it’s typically set lower (slow), and at the end of the P-band (at 100%) it’s typically
set higher (faster). The value is given in % control output change per second. This parameter sets the
rate of change based on where actual temp is when compared to setpoint.
S159 Fanspeed Transition Filter—This parameter should only be adjusted by a factory-trained
service technician. The transition fan speed filter controls how quickly the fan speed changes between

Service Menu Parameters
129 Liebert® iCOM®
different modes of operation. For example, if the fans are operating based on a call for reheat which is
normally 100% fan speed and the reheats are turned Off or no longer needed then the fan speed would
instantly change if this filter is not applied, which may cause instability in the fan speed control. This
filter helps with the transition to avoid overshoot.
S160 Fanspeed Reposition Mode/Delay Decel/—This parameter should be adjusted only by a
factory-trained service trained technician. The fan speed reposition mode / delay is a one-time delay
as the fan speed is requested to change direction. This delay will be applied only when the fan speed is
commanded from an increasing to decreasing state or a decreasing to increasing state. This allows the
fan to hold its current position while the temperature stabilizes.
S161 Max Deceleration Rate—This parameter should be adjusted only by a factory-trained service
technician. Only slows the decreasing of the variable fan speed. The control will use the slower of this
parameter and the fan speed filter.
S162 BMS Backup Fan Setpoint—Selects a temperature setpoint that will be activated in the
event of a BMS time-out. The BMS timer and S163 must be configured to Backup Set for this
parameter to activate. This parameter is adjustable from 41-104°F (5-40°C). The factory default is
73°F (23°C).
S162 BMS Backup Fanspeed—Selects a fixed fan speed percentage that will be activated in the
event of a BMS time-out. The BMS timer and S163 must be configured to BMS Backup Spd for this
parameter to be active. This is adjustable based the unit’s preconfigured low and high limit fan speed
thresholds. The default is 100%.
S163 BMS Backup Fan Operation—Sets the default operation for the fan speed control when a
BMS time-out occurs. Four options are available:
• Disabled (factory default): The fan will continue controlling to the last value written. This could
be either the last Fan Setpoint if controlling the fan by locally installed sensors or it could be the
last value written to Fanspeed STD when fan control is set to manual.
• BMS Backup Spd: Allows the user to program a fixed fan speed percentage setpoint. When the
BMS disconnect occurs, the fan speed will lock to this point. This setting is available when the fan
control sensor is set to Manual.
• Coupled: Allows the fan speed to be controlled by the air temperature setpoint. The fan speed will
follow the call for cooling as described in 3.1.1 - Unit/Fan Control.
• Backup Set: Allows the user to program an alternate fan setpoint for the unit to use when a BMS
disconnect occurs. The setpoint is programmed on S163 or U117 Backup Fan Setpoint. When
active, this setpoint takes the place of S147 Fan Setpoint and is used to establish a new fan
control band.
S164 Allow BMS to change Fanspeed—Enables or disables BMS fan speed control. When this
parameter is disabled, the BMS will not have write capability to this point. The fan control type must
be set to manual before value displayed on this line can be changed to Yes.
S165 BMS is connected to—Sets the BMS fan speed control signal. Two options are available:
•Velocity—Used when fan speed is controlled using a Liebert IntelliSlot® UNITY-DP™ and legacy
L-Cards (IPBML & 485L).
•Ana In 1 - 4—This setting is used when the fan speed command is provided using a hard-wired
connection into one of the control boards available analog inputs. After the user has selected an
available input, a new right hand parameter will populate allowing the user to select the analog
input signal type. Input signal selections include 0-5 VDC, 0-10VDC and 4-20mA.
S166 High Temp Limit Approach—Sets the sensor to be used to increase the fanspeed value above
the fanspeed setpoint STD to the value set in the Analog Out high limit. This parameter is selectable
from Disabled, Supply and Return. The default is Return.
S16A High Temp Limit Approach At—Sets the temperature differential below the high supply
and high return temperature limit where the fan speed would increase from fanspeed setpoint STD to
fanspeed MAX. This parameter is selectable from 0 - 10°F. The default is 2°F.
S16B FC / AirEco Ramp Up w/CFC—Sets the selection to decouple the fan output from the call for
cooling. This parameter is selectable from No or Yes. The factory default is No.

Service Menu Parameters
Liebert® iCOM®130
Figure 112 Setpoints screen, page 7 of 10
S168 Fan Back Draft Control—Enables or disables the Back Draft fan control. This feature allows
EC fans (only) to operate at very low speeds to prevent airflow from cycling through the unit due to a
higher under-floor static pressure than the above-floor static pressure. VFD’s cannot be used with
this feature because motor and or bearing degradation may occur at the low fan speeds required.
S169 VSD Setpoint BACK DRAFT—The variable speed device setpoint is set as a voltage
reference. The lower the voltage, the slower the fans will spin. This parameter is set based on the
application. Higher under-floor static pressure may require a higher setting to prevent air flow
through the unit.
S171 Not Selectable Zone 1—The Not Selectable Zone 1 and 2 are zones that the EC fans cannot
operate within due to vibration harmonics that the fans may introduce to the unit. These parameters
will be set from the factory based on model type and should not need adjusted in the field.
S172 Not Selectable Zone 2—The not selectable zone 1 and 2 are zones that the EC fans cannot
operate within because of vibration harmonics the fans may apply to the unit’s frame. These
parameters will be set at the factory based on model type and should not need adjusted in the field.
S173 Stop BDR when System is Off—The above is true when S173 Stop BDR when System is Off
is set to Yes. If S173 is set to No, the BDR mode will not be interrupted, unless BDR is disabled or the
unit is restarted.
!
WARNING
Risk of electrical shock. Can cause injury and death.
Never use any of these functions—Display Off, BMS Off, LOC Off—in place of lockout/tagout
procedures.
Some internal components of Liebert cooling units require and receive power even during the
Unit Off mode of the Liebert iCOM.
The factory-supplied optional disconnect switch is inside the Liebert cooling unit. The line
side of this switch contains live high voltage.
The only way to ensure that there is NO voltage inside the unit is to install and open a remote
disconnect switch. Refer to the unit electrical schematic.
Follow all local codes.

Service Menu Parameters
131 Liebert® iCOM®
S175 Display Off and BDR—When the back draft damper is enabled, different modes can activate
this feature. Remote Off, Display Off, BMS Off and Local Off can all be set to activate the back draft
damper operation. This is done pressing the I/O key at the unit to put the unit in a display Off
condition.
S176 BMS Off and BDR—When the back draft damper is enabled, different modes can activate this
feature. Remote Off, Display Off, BMS Off and Local Off can all be set to activate the back draft
damper operation. This is done by sending a remote Off signal from the BMS to the unit to be
remotely Off.
S177 LOC Off and BDR—When the back-draft damper is enabled, different modes can activate this
feature. Remote Off, Display Off, BMS Off and Local Off can all be set to activate the back draft
damper operation. This is done by sending a local Off signal from the unit by pressing I/O key.
Figure 113 Setpoints screen, page 8 of 10
S179 SCR Control Type—Sets the control type for the SCR reheats. If set to “Standard,” then the
reheats will modulate when the temperature is below setpoint based on the control settings. If this
parameter is set to “Tight” control, then one compressor will be locked on and the reheats will
modulate to offset the cooling capacity. To prevent component fighting, Tight control cannot be used
with modulated components such as chilled water valves and digital scroll compressors.
S180 Start 1st Compressor At—Sets the activation point of the compressor. This parameter can be
used when set to “Tight” control.
S181 Stop 1st Compressor At—Sets the deactivation point of the compressor. This parameter can
be used when set to “Tight” control.
S182 1st Compressor Stop Delay—Sets the delay when the stop compressor setpoint for the first
compressor is met.
S183 Start 2nd Compressor At—Sets the activation point of the second compressor. This
parameter can be used when set to “Tight” control.
S184 Stop 2nd Compressor At—Sets the deactivation point of the second compressor. This
parameter can be used when set to “Tight” control.
S185 2nd Compressor Stop Delay—Sets the delay when the stop compressor setpoint for the
second compressor is met.
S186 Cycle Time—Set at the factory and should be changed only by an authorized Emerson
representative.
S187 SCR Factor—Set at the factory and should be changed only by an authorized Emerson
representative.
S188 Actual SCR Request—Displays the actual SCR reheat being requested.

Service Menu Parameters
Liebert® iCOM®132
Figure 114 Setpoints screen, page 9 of 10
S190 Static Pressure Fan Control—Enables or disables the use of static pressure control for fan
modulation. This parameter is selectable between Disabled and Enabled. The default is Disabled.
S191 SP Setpoint—Sets the static pressure setpoint to be used by the control to modulate fan
control. This parameter is selectable from 0.010 - 1.003 inWC. The default is 0.020 inWC.
S192 SP Deadband—Sets the static pressure deadband. This parameter is selectable from 0.010 -
1.003 inWC. The default is 0.020 in WC.
S193 SP Min / Max Pause—Sets the minimum and maximum pause times when the static pressure
crosses into the deadband border. The fanspeed will stop increasing or decreasing based on the time
set in these parameters. This parameter are selectable from 0-180 sec for SP Min and the default is 30
sec and parameter SP Max is selectable from 2-180 sec and the default is 60 sec.
S194 SP Pulse inside DB—Sets the pulse time that the speed filter, S158, will be performed to the
fan analog output. This parameter is 2-15 seconds; the default is 3 seconds.
S195 SP Fanspeed P-Band—Sets the proportional band for which the fanspeed modulation output
calculation is based upon in relation to the difference between the pressure reading and the SP
Setpoint. This parameter is selectable from 0.010 - 1.003 in WC. The default is 0.020 inWC.
S196 SP During Dehum—Sets the use of static pressure control if dehumidification becomes active.
If set to Disabled, then the static pressure routines will become inactive and the fan will be allowed to
ramp to the dehumidification speed set on line S153. If set to Enabled, then the static pressure
routines shall remain active during the call for dehumidification. The default is Disabled.
S197 SP Teamwork Mode—There are modes available for static pressure teamwork functionality:
Average and Minimum. When selecting the Average Mode: the average of the lowest static pressure
readings in the system will be averaged to generate a shared static pressure value for all units in the
team. The number of static pressure sensors to be averaged is set on line S198. When this number is set to
a value lower than the number of units in the team, the lowest static pressure readings will be averaged.
When selecting the Minimum Mode: the lowest static pressure reading in the team will be applied to
the entire team. This parameter may be set to Average or Minimum. The default is Average.
S198 SP Sensors in Avg for TW—Sets the number of sensors used when averaging sensors in the
team work. This parameter is selectable from 1-32. The default is 2.
S199 - Operation @ Sensor Failure—This parameter determines what action to take if the static
pressure sensor fails (non-teamwork). There are two options to use when handling a static pressure
sensor failure, they are SP OFF = static pressure control Off, where the control will use S146 to
control the fan when the sensor is lost or Freeze Speed = keep the fanspeed unchanged based on the
last reading to Liebert iCOM. Functions that need to override fanspeed, such as freeze protection, can
still change the fanspeed.

Service Menu Parameters
133 Liebert® iCOM®
S1A1 SP Upper Range—The control calculates the Upper Range by using S191 SP Setpoint and
S192 SP Deadband, the results on lines show both values, in WC and Pa.
S1A2 SP Lower Range—The control calculates the Lower Range by using S191 SP Setpoint and
S192 SP Deadband, the results on lines show both values, in WC and Pa.
Figure 115 Setpoints screen, page 10 of 10
S1A4 SP Control Override Sensor—Programs override static pressure control the room
temperature gets too warm. Three selections are available:
• None: Override capability is disabled
• Return: Allows the unit to monitor return air conditions. If the return air becomes warmer than
the value set at SP Requested Speed up to, the evaporator fan speed will increase to help lower the
air temperature.
• Remote: Allows the unit to monitor remote air conditions. If the remote temperature becomes
warmer than the value set at SP Requested Speed up to, the evaporator fan speed will increase to
help lower the air temperature.
In No Teamwork and Teamwork 2 applications, fan override control is based on selected sensor
value. In Teamwork 1 and 3 applications, the master collects all sensor values for the selected
override sensors in the group and builds a maximum or average value (based on S804 Teamwork
is based on) and uses this temperature for the static pressure control override.
S1A5 SP Requested Speed up to—Sets temperature at which static pressure fan control will be
overridden from the current fan speed. This parameter establishes the beginning point of the fan
override control band.
S1A6 STD Speed at—Sets the temperature at which the fan will operate at 100% if room
temperature continues to increase. This parameter establishes the end point of the fan override
control band.
S1A7 Override Integration Time—Adjusts the fan speed of the unit based on time above SP
Requested Speed up to so that accurate temperature control can be maintained. The SP Requested
Speed up to and integration time work together to stabilize room temperature above SP Requested
Speed up to. The smaller the integration time, the quicker the unit will react to temperature increase.
S1A8 Control Slew Rate Filter—Controls the rate of fan speed change while the override is active
to avoid fan hunting. The filter value depends on the current control deviation from the setpoint. On
the setpoint (at 0%), it’s typically set lower (slow), and at the end of the P-band (at 100%) it’s typically
set higher (faster). The value is given in percent control output change per second. This parameter
sets the rate of change based on where actual temp is when compared to setpoint.
S1A9 Current Override Temperature—Shows the current temperature of the selected override
sensor.
S1B1 Current Override Value—Shows the calculated fan override PI request.

Service Menu Parameters
Liebert® iCOM®134
Service—Unit Diary Menu Screens (Large Display Only)
Unit Diary—Shows all entered program changes and maintenance performed on the unit. The Unit
Diary serves as a note pad, where information can be added through the Liebert iCOM Service Tool.
8.2 Service—Standby Settings / Lead Lag Menu Screen
Standby Settings / Lead Lag allows the user program lead-lag setup when units are connected in a
Liebert iCOM U2U network.
Figure 116 Standby settings / lead-lag screen, page 1
S502 Number of Standby Units—Selects the number of units that will be in Standby mode. When
a unit is in Standby mode, the fan will be Off and no cooling will be provided.
S503 Rotation Frequency—Controls when a rotation will occur between the standby units and the
operating units within a network.
S504 Rotate at—Sets the hour and minute of the rotation.
S505 Rotate by—Determines the number of positions to rotate by. Example: If there are six units in
a unit-to-unit network and Units 1, 3 and 5 are in standby and this parameter is set to 1, then at the
next rotation Units 2, 4 and 6 will be placed in standby and Units 1, 3 and 5 will become operational.
S506 Rotate Every—Selects 12- or 24-hour rotations when the Rotation Frequency is set to Daily.
S507 Perform one Rotation—Setting this to YES will perform one rotation without waiting on the
rotation timer to expire.
S512 Stdby Fan Timer at Reheat/Hum—Sets the time that the fan will operate after a unit enters
standby or sleep if the reheat or humidifier was operating when commanded to turn Off. The default
is 1 minute; the range is 0 to 5 minutes.
S513 Start all Standby Units by HT—Activates all units to cool when a High Temperature Alarm
occurs.

Service Menu Parameters
135 Liebert® iCOM®
Figure 117 Standby settings / lead-lag screen, page 2
S515 Cascade Units—Allows units to activate in Standby mode if the room temperature cannot be
maintained by the active units. If Yes is selected, the cascaded units can perform all functions when
activated from standby. This parameter can also be set for Cooling Only or Cool / Heat / Fan
(available in Teamwork 3 only).
S516 Cascaded Units Delay—Sets the delay time to stage on each unit as they are staged on during
increased demand. When the first unit is started and the cooling request is high enough to start, the
timer is started; once the timer has expired the next unit will start. The range is 0-30 minutes. The
default is 5 minutes.
S517 Cascaded Units Quick Start—Sets a delay to the staging on each unit after a power cycle of
the master unit. This is used to get the units to start faster after a power cycle and use this parameter
instead of S516. When the master unit is started and the cooling request is high enough to start, the
timer is started; once the timer has expired next unit will start. The control will not revert to S516
until all required units have been restarted in Cascade. The range is 0-30 minutes. The default is
2 minutes.
S518 Cascaded Units Control Delay
Teamwork Mode 1: Mode C: Once the unit was started, the fanspeed control will start
immediately, but the cooling / humidity control will be delayed by the value set in S518 Cascaded
Units Control Delay. Mode B: the S518 timer is ignored; a cascaded unit starts control w/ no
delay.
Teamwork Mode 3: All Modes: When the cascaded standby unit was started, the normal unit
control is delayed by the value set in S518 Cascaded Units Control Delay. During this delay, the
fanspeed control and the cooling control use the shared system values (based on AVG or MAX);
heat, hum and dehumidification is disabled. When the S518 timer has elapsed, the unit
transitions to normal unit control, which is depending on the operating mode. The range is 0-30
minutes. The factory default is 5 minutes.

Service Menu Parameters
Liebert® iCOM®136
8.3 Service-Maintenance / Wellness Menu Screens
Maintenance / Wellness Settings allow the user to set maintenance interval, maintenance message,
read the number of starts / stops, and run hours since the last maintenance.
See below and 3.11.1 - Calculating Next Maintenance and Diagnostics for additional details on
these menu screens.
Figure 118 Wellness—Basic settings screen, page 1 of 9
S002 Maintenance Frequency Per year—Sets the number of expected maintenance visits in a one
year time span.
S003 Max Bonus—Increases the time to the next maintenance cycle. Service personnel should
assign a bonus when a service visit finds that all components are working optimally.
S004 Max Penalty—Decreases the time to the next maintenance cycle. Service personnel should
assign a penalty when a service visit finds excessive wear on components.
S005 Last Maintenance—Indicates to service personnel the date of the last visit. This parameter is
set during the service call.
S006 Service Engineer—Provides a label for the service representative to list either the company
name or representative’s name.
S007 Confirm PM—Confirms that the service representative has completed the preventive
maintenance and resets the next maintenance date.
S008 Calculated Next Maintenance—Sets the date for the next expected maintenance based on
the last confirmed maintenance, component starts, run hours and the penalty or bonus set in the
Liebert iCOM.

Service Menu Parameters
137 Liebert® iCOM®
Figure 119 Wellness—Motor settings screen, page 2 of 9
Figure 120 Wellness—Compressor 1 settings screen, page 3 of 9

Service Menu Parameters
Liebert® iCOM®138
Figure 121 Wellness—Compressor 2 settings screen, page 4 of 9
Figure 122 Wellness—Electric heater 1 settings screen, page 5 of 9

Service Menu Parameters
139 Liebert® iCOM®
Figure 123 Wellness—Electric heater 2 settings screen, page 6 of 9
Figure 124 Wellness—Electric heater 3 settings screen, page 7 of 9

Service Menu Parameters
Liebert® iCOM®140
Figure 125 Wellness—Humidifier settings screen, page 8 of 9
Figure 126 Wellness—Economizer settings screen, page 9 of 9

Service Menu Parameters
141 Liebert® iCOM®
8.4 Service-Diagnostics / Service Mode Screens
Service-Diagnostics / Service Mode provides troubleshooting tools including alarm counters, manual
mode, readable analog and digital inputs/outputs and other diagnostic features.
Figure 127 Diagnostics/service mode screen, page 1 of 8
S302 HP Alarm Code C1/C2—Compressor 1 high-pressure alarm code is the left hand parameter
and Compressor 2 is the right hand parameter: 0 = no alarm; 2 = high-pressure alarm active.
S303 HT 1 Alarm Counter—Compressor 1 high temperature event alarm counter. If more than five
events occur in a rolling 4 hour period, then the compressor will be locked out.
S304 HT 2 Alarm Counter—Compressor 2 high temperature event alarm counter. If more than five
events occur in a rolling 4 hour period, then the compressor will be locked out.
S305 LP Alarm Code C1/C2—Compressor 1 low-pressure alarm code is the left hand parameter and
Compressor 2 is the right hand parameter: 0 = no alarm; 2 = low-pressure alarm active.
S306 Discharge Temp. C1—Current compressor discharge temperature reading (available only on
compressors equipped with discharge temperature thermistors).
S307 Discharge Temp. C2—Current compressor discharge temperature reading (available only on
compressors equipped with discharge temperature thermistors).
S308 Actual LP1 /LP2 Pressure—Current low side refrigerant pressure reading in gauge for
Compressor 1 on the left hand side and Compressor 2 on the right.
S309 Actual HP1/HP2 Pressure—Current liquid line refrigerant pressure reading in gauge for
Compressor 1 on the left hand side and Compressor 2 on the right (available only on water-cooled or
glycol units equipped with motorized ball valves).

Service Menu Parameters
Liebert® iCOM®142
Figure 128 Diagnostics/service mode screen, page 2 of 8
S313 Manual Mode—Places the Liebert iCOM in manual mode. This is the initial setting necessary
to activate any of the following items.
Manual Mode is used a diagnostic tool to test components and operation of the unit. This is useful
when testing components such as fans, LLSV, compressors and actuators to validate operation and
performance. To use manual mode, enter the Level 2 password, 5010, and select YES on line S313.
With the exception of compressor evacuate mode, Manual Mode will time out after 30 minutes of
inactivity. When finished running components in manual mode, change line S313 back to No. All the
corresponding components changed with Manual Mode enabled will go back to normal. The unit will
resume operation as it was before Manual Mode was enabled. Safety routines, such as overload
alarms, high-pressure lockout, etc., will prevent some features from being used. If an alarm has been
disabled but is active, some Manual Mode functions will not work.
S314 Motor(s)—Starts the unit’s main fan. The main fan must be On before any of the following
overrides can be activated. Compressor evacuate mode does not require motor(s).
S315 Compressor 1—Turns on Compressor 1 and selects the mode of compressor operation. The
choices are RUN, EVACUATE and CHARGE. To access each mode, press the Enter key while
highlighted on S315. Press the Right arrow key to advance to the left. The compressor mode may be
changed by pressing the Up or Down arrow key. Once the desired mode is shown, press the Enter key.
The compressor state to the far right must be placed to On if run or charge modes have been selected.
No further action is required for evacuate mode.
• Run: This function allows the compressor to run at any given capacity. The compressor capacity
can be adjusted on line S317.
• Evacuate: This function allows all solenoid valves in the refrigerant circuit to open while the
compressor remains in Off. This mode is can be used for either leak checking or evacuation. This
mode does not have a timeout period.
• Charge Mode: This function allows the compressor to run at 100% loaded capacity for 30 minutes
at a time. The suction pressure must be at least 15 psi or the compressor will be stopped.
S316 Compressor 1 Capacity—Enables Compressor 1 Cycle Ramp.
S317 Compressor 1 Cycle Ramp—Selects the capacity the compressor should run at. The range is
20 to 100%.
S318 Compressor 1 LLSV—Shows the status of the liquid line solenoid valve for Compressor 1.
S319 Compressor 2—Turns on Compressor 2 and selects the mode of compressor operation. The
choices are RUN, EVACUATE and CHARGE.
S320 Compressor 2 Capacity—Enables Compressor 2 Cycle Ramp.
S321 Compressor 2 Cycle Ramp—Selects the capacity the compressor should run at. The range is
20 to 100%.
S322 Compressor 2 LLSV—Shows the status of the liquid line solenoid valve for Compressor 2.

Service Menu Parameters
143 Liebert® iCOM®
Figure 129 Diagnostics/service mode screen, page 3 of 8
S324 Electric Heat 1 (or HG/HW)—Activates Stage 1 of the unit’s reheat system.
S325 Electric Heat 2 (or HG/HW)—Activates Stage 2 of the unit’s reheat system.
S326 Electric Heat 3 (or HG/HW)—Activates Stage 3 of the unit’s reheat system.
S327 SCR Heat—Specifies the pulse width the heating system should run at on units using silicon
controlled rectifier type reheat.
S328 Dehumidification Output—(Read Only) On/Off status of dehumidification.
S329 Humidifier Fill—Activates the humidifier water source solenoid valve, which fills the
humidifier pan or canister with water.
S330 Humidifier—Activates the entire humidifier system.
S331 and S332—Not applicable to Liebert North America units.
S333 Q15 Output State—Read-only; On/Off status of Q15.

Service Menu Parameters
Liebert® iCOM®144
Figure 130 Diagnostics/service mode screen, page 4 of 8
S335 Alarm Relay—Activates the Liebert iCOM’s common alarm relay output.
S336 K11 Relay—Activates the Liebert iCOM’s free-cooling relay output.
S337 3P 1/2 Actuator Open—Energizes the open circuit of the 3P type chilled or free-cooling control
valve. The 3P valve is easily identified because it will be controlled from P22 of the main board. Both
values must be programmed On for the valve to modulate open. In addition, both values must be set
to Off on 3P 1/2 Actuator Close before the Open command will take effect.
S338 3P 1/2 Actuator Close—Energizes the close circuit of the 3P type chilled or free-cooling control
valve. The 3P valve is easily identified because it will be controlled from P22 of the main board. Both
values must be programmed On for the valve to modulate closed. In addition, both values must be set
to Off on 3P 1/2 Actuator Open before the close command will take effect.
S339 BV Control—Activates the following two items allowing the motorized ball valve to be
manually opened or shut.
S340 MBV Position—Specifies the percentage that Valve 1 should be open. The range is 0 to 100%.
S341-344 Analog Out 1, 2, 3 & 4—Specifies the analog output percentage subsequently controlling
the device connected to that output. The range is 0 to 100%, but also depends on the output’s
assignment in factory settings.
An Analog Output will may be used for internal purposes or for signaling values for the customer. The
control for the Analog Output can be found in the Advanced>Factory Setting starting on page 7. Only
factory-trained personnel may make changes in the Advanced Menu.
NOTE
When the ball valve control is set to Auto, the motorized ball valve position will be adjusted to
the set value, but the pressure control algorithm will immediately begin adjusting the valve to
control the condenser pressure. When the ball valve control is set to Manual, the motorized ball
valve position will be maintained as set. Emerson recommends against manually setting the
motorized ball valve’s during compressor operation because it might cause the compressor to
trip on its high- or low-pressure protection controls.

Service Menu Parameters
145 Liebert® iCOM®
Figure 131 Diagnostics/service mode screen, page 5 of 8
Status Remote Shutdown—Shows the status of the unit’s remote shutdown input.
S346 Status Airflow Loss—Shows the status of the unit’s air proof switch.
S347 Status Motor Overload / EC Fan Fault—Shows the status of the unit’s main fan overload or
EC fan fault input.
S348 Status Filter—Shows the status of the unit’s filter clog switch input.
S349-352 Status Customer Input 1, 2, 3 & 4—Shows the status of the unit’s customer inputs.
S353 through S355—Not applicable to Liebert North America units.

Service Menu Parameters
Liebert® iCOM®146
Figure 132 Diagnostics/service mode screen, page 6 of 8
S356 Status HP1—Shows the status of the unit’s Compressor 1 high-pressure switch input.
S357 Status LP1—Shows the status of the unit’s Compressor 1 low-pressure switch input.
S358 Status C1 OL—Shows the status of the unit’s Compressor 1 overload input.
S359 Status HP2—Shows the status of the unit’s Compressor 2 high-pressure switch input.
S360 Status LP2—Shows the status of the unit’s Compressor 2 low-pressure switch input.
S361 Status C2 OL—Shows the status of the unit’s Compressor 2 overload input.
Figure 133 Diagnostics/service mode screen, page 7 of 8
S367 Status Humidifier Problem—Shows the status of the high water level indicator on an
infrared humidifier.
S368 Status DT1 (Outdoor/Glycol)—Indicates if the delta T between outdoor air ambient
temperature and glycol fluid temperature has been met.
S369 Status DT2 (Glycol/Room)—Indicates if the delta T between glycol and room return air
temperature has been met.

Service Menu Parameters
147 Liebert® iCOM®
S370 Status DT3 (Room/Setpoint)—Indicates if the delta T between room return air temperature
and unit air temperature setpoint has been met.
S371 Status DT4—Indicates the status of the Economizers ability to operate when looking at
outdoor air, humidity and wet bulb. (Wet bulb applicable only on DX units).
S372 Status Min CW—Indicates if the free-cooling or chilled water temperature is below the
minimum chilled water setpoint.
S373 through S376—Not applicable to Liebert North America units.
Figure 134 Diagnostics/service mode screen, page 8 of 8
S379 Valve Control—Controls the 3P valve(s). Control can be by either of two methods:
• A time-driven signal that uses a 3P valve’s travel time and the time that an open or closed output
is provided to a 3P valve to estimate its current position.
• A feedback signal from the valve that is required for Supply Air Control. The feedback signal
constantly provides the Liebert iCOM with the valve’s position, eliminating the need to reset the
valve(s) on a loss of power and provides a valve failure detection.
S380 Start Valve Calibration—Changing this value to YES starts the valve calibration procedure
of the 3P Actuator. The unit must be powered down on the I/O key before calibration can be
preformed. During this procedure, the valve is positioned to a fully closed and fully opened state while
the feedback signal is monitored. The control then automatically saves the feedback signal voltage at
the two end points as its calibration reference during normal operation.
S381 Calibration Status—Shows whether the calibration has been started: idle indicates
calibration has not begun; ongoing indicates calibration has begun. When calibration has been
completed, the status will return to idle.
S382 V1: 0% open = —Feedback voltage recorded when the valve is positioned at 0% during the
calibration.
S383 V1: 100% open = —Feedback voltage recorded when the valve is positioned at 100% during the
calibration.
S384 Current V1 Feedback—The valve’s current feedback voltage. This value changes as the valve
strokes to different open positions.
S385 V2: 0% open = —For an optional secondary valve; operates the same as the V1.
S386 V2: 100% open = —For an optional secondary valve; operates the same as the V1.
S387 Current V2 Feedback—For an optional secondary valve; operates the same as the V1.
8.5 Service-Set Alarms Menu Screens
Set Alarms allows the user to view and modify critical alarm thresholds, time delays, enable/disable
alarms, modify event types and program custom alarm inputs.

Service Menu Parameters
Liebert® iCOM®148
Figure 135 Set alarms screen, page 1 of 11
S202 Return Sensor Alarms—Enables and disables the return temperature and humidity sensor
alarms. Factory default is set to enable.
S203 High Return Temperature—Sets the threshold temperature when a return high
temperature alarm will occur.
S204 Low Return Temperature—Sets the threshold temperature when a return low temperature
alarm will occur.
S205 High Return Humidity—Sets the threshold humidity when a return high humidity alarm
will occur.
S206 Low Return Humidity—Sets the threshold humidity when a return low humidity alarm will
occur.
S207 Sensor A Alarms—Enables or disables the alarms associated with Sensor A if the unit is
equipped with the optional temperature / humidity sensor.
S208 High Temperature Sensor A—Sets the threshold temperature when a Sensor A high
temperature alarm will occur.
S209 Low Temperature Sensor A—Sets the threshold temperature when a Sensor A low
temperature alarm will occur.
S210 High Humidity Sensor A—Sets the threshold humidity when a Sensor A humidity alarm will
occur.
S211 Low Humidity Sensor A—Sets the threshold humidity when a Sensor A low humidity alarm
will occur.
S21A Loss of Flow Compressor Timer—Allows setting a maximum pumpdown time during a loss
of flow condition to prevent causing a high-pressure alarm due to pumpdown with no water/glycol
flow to the condenser; hidden unless pumpdown is enabled; applies only to water-cooled systems.
S21B Loss of Flow CFC Threshold—Sets the threshold for CFC loss of flow.

Service Menu Parameters
149 Liebert® iCOM®
Figure 136 Set alarms screen, page 2 of 11
S213 SUP Sensor Alarms/Init Delay—The parameter to the left enables or disables the supply
sensor alarms. If the unit is not equipped with a supply temperature sensor, then this parameter will
show Disabled. The parameter to the right sets the alarm activation delay for when a supply alarm
will become active after either the high or low threshold has been exceeded.
S214 High/Low Supply Temperature—Sets the high and low supply temperature threshold that
will trigger a High/Low Supply Temperature alarm.
S215 Dew Point Alarms/ Init Delay—The parameter to the left enables or disables the return air
dew point alarms. Dew point alarms can be enabled with any humidity control type. Dew point
alarms may be used with or without humidification and dehumidification options selected. The
parameter to the right sets the alarm activation delay for when a dew point alarm will become active
after either the high or low threshold has been exceeded.
S216 High/Low Dew Point—Sets the high and low dew point threshold that will trigger a
High/Low Dew Point alarm.
S217 Dew Point A Alarms/Init Delay—The parameter to the left enables or disables the optional
Sensor A dew point alarms. Dew point alarms can be enabled with any humidity control type. Dew
point alarms may be used with or without humidification and dehumidification options selected. The
parameter to the right sets the alarm activation delay for when a dew point alarm will become active
after either the high or low threshold has been exceeded.
S218 High/Low Dew Point Sensor A—Sets the high and low dew point alarm thresholds for
Sensor A.
S219 REM Sensor Alarms/ Init Delay—Three selectable options are available for the parameter
displayed on the left: Disabled, Com Set and Sep Set. Disabled prevents remote temperature
sensor alarms from occurring. Com Set or common setting, allows remote alarm activation based on a
common alarm setting located on line S220. Sep Set, or Separate Setting, allows the user to program
unique temperature alarm settings. These setting are located in the User Menu> Set Alarms, page 3.
The parameter to the far right (Init Delay) is the alarm activation delay for both Com Set and Sep Set.
The default setting is 180 seconds with an adjustable range of 0-9999 seconds.
S220 High/Low Remote Temperature—The high and low temperature limits can be set here when
the remote sensors all share common high and low temperature thresholds.
S221 Separate thresholds: User/Set Alarms—Read-only informational parameter that is hidden
when S219 Rem Sensor Alarms are set for Com Set. When S219 is programmed for Sep Set, the S221
is visible. This indicates separate remote sensor alarm thresholds may be set in User Menus> Set
Alarms, page 3

Service Menu Parameters
Liebert® iCOM®150
S222 Warning Activates Alarm Relay—Sets the alarm relay (K3) to activate when a warning
occurs.
S22A Water Alarm Shuts Unit Down—Turns the unit Off if a water alarm occurs.
S22B Operation on Sensor Failure—Selects function to occur if the temperature control sensor
fails. This parameter allows the user to default the unit to Full Cooling mode or Unit Off when a
sensor fails.
Figure 137 Set alarms screen, page 3 of 11
S224, S226, S228, S230, S232 & S23A Customer Input 1, 2, 3, 4, 5 & 6—Selects the device and
operation of the customer inputs. Each event reflects a different alarm and possible action to the unit.
Refer to Table 11 for a description of selectable options.
S225, S227, S229, S231, S233 & S23B Customer Input 1, 2, 3, 4, 5 & 6 active when—Selects
whether the input is normally closed or normally open. If the parameter name reads Factory Std., this
indicates the input is factory-configured and is not configurable in the field.
Set Alarm Screens, Pages 4-11
The Set Alarm Screens, pages 4 through 10 (Figures 138 through 144) permit setting the operation
of an active alarm. Each event can be enabled or disabled and can be set to operate as an alarm,
warning or message. The delay is the time the control waits before reporting the event.
Alarm: Annunciates the buzzer, triggers a monitoring event, triggers the alarm relay and flashes
the red LED on the display.
Warning: Annunciates the buzzer, triggers a monitoring event, shows the event in the event
viewer / front display and flashes the red LED on the display.
Message: Shows the event in the event viewer and on the front display.
Delay—The delay selection for each alarm.
EN-DIS—The enable / disable selection for each alarm provides the ability to individually select the
alarms that will or will not activate when the alarm condition occurs.
Type—Sets the type of action for each event listed. There are three different types of events: Alarm,
Warning and Message. When an event is triggered and the type is set to “Alarm,” then the light and
buzzer on the display will activate, an event will be written to the event log and the (K3) alarm relay
will close. If the type is set to “Warning,” then the light and buzzer on the display will activate, an
event will be written to the event log and the (K3) alarm relay can be configured to close or provide no
reaction. If the type is set to “Message,” then the event is only written to the event log.

Service Menu Parameters
151 Liebert® iCOM®
Figure 138 Set alarms screen, page 4 of 11
Figure 139 Set alarms screen, page 5 of 11

Service Menu Parameters
Liebert® iCOM®152
Figure 140 Set alarms screen, page 6 of 11
Figure 141 Set alarms screen, page 7 of 11

Service Menu Parameters
153 Liebert® iCOM®
Figure 142 Set alarms screen, page 8 of 11
Figure 143 Set alarms screen, page 9 of 11

Service Menu Parameters
Liebert® iCOM®154
Figure 144 Set alarms screen, page 10 of 11
Figure 145 Set alarms screen, page 11 of 11

Service Menu Parameters
155 Liebert® iCOM®
8.6 Service-iCOM-DO Setup Menu Screens
The iCOM-DO Setup menu is used to configure the Liebert iCOM-DO.
Figure 146 iCOM-DO overview and override screen, page 1 of 3
S721 Liebert iCOM-DO™—Shows the connection status of a Liebert iCOM-DO card. It displays
“connected” when a Liebert iCOM-DO card has been set up and connected to the Liebert iCOM via the
controller area network (CAN) bus.
S725 Override—Permits manual testing the Liebert iCOM-DO by activating each output on the
following screen.

Service Menu Parameters
Liebert® iCOM®156
Figure 147 iCOM-DO events setup screen, page 2 of 3
S733-740, S744-S751—The lines are divided into four columns.
•Event Description—Read-only parameter that describes the event type that may activate an
output on the Liebert iCOM-DO™. Each event description may reflect a status or alarm,
depending on the line.
•ID—Displays the number of the Liebert iCOM-DO. Currently only one Liebert iCOM-DO card is
supported. The ID must match the S721 to function.
•Output #—Shows which output is tied to a particular alarm. The default values are set to be the
same output as the Liebert ENV-DO™ card, the predecessor to the Liebert iCOM-DO. The ID’s are
linked to S725.
•Status—Read-only value that shows the state of the output.
Figure 148 Liebert iCOM-DO events setup screen, page 3 of 3

Service Menu Parameters
157 Liebert® iCOM®
8.7 Service-Sensor Calibration Menu Screens
Sensor Calibration allows the user to view readings of connected sensors and calibrate values as
needed.
Figure 149 Sensor calibration setup screen, page 1 of 12
S602 Return Temperature—Adjusts the return temperature reading from the actual sensor to
compensate for any error of the sensor or to match other sensors in the room.
S603 Calibrated Return Temperature—Shows the adjusted temperature value of the return
sensor. This value is the actual sensor reading (+ or -) the offset “Return Temperature”.
S604 Return Humidity—Adjusts the return humidity reading from the actual sensor to compensate
for any error of the sensor or to match other sensors in the room.
S605 Calibrated Return Humidity—Shows the adjusted humidity value of the return sensor. This
value is the actual sensor reading (+ or -) the offset “Return Humidity”.
S606 DigiScroll 1 NTC—Adjusts the digital scroll 1 NTC reading from the actual sensor to
compensate for any error or drift of the sensor.
S607 Calibrated Digiscroll 1 NTC—Shows the adjusted Digital Scroll 1 NTC sensor value. This
value is the actual sensor reading (+ or -) the offset “Digital Scroll 1 NTC”.
S608 Digiscroll 2 NTC—Adjusts the digital scroll 1 NTC reading from the actual sensor to
compensate for any error or drift of the sensor.
S609 Calibrated Digiscroll 2 NTC—Shows the adjusted Digital Scroll 1 NTC sensor value. This
value is the actual sensor reading (+ or -) the offset “Digital Scroll 1 NTC.”
S610 Outdoor Sensor—Adjusts the outdoor temperature reading from the actual sensor to
compensate for any error of the sensor or to match other sensors in the room.
S611 Calibrated Outdoor Sensor—Shows the adjusted temperature value of the outdoor sensor.
This value is the actual sensor reading (+ or -) the offset “Outdoor Sensor.”

Service Menu Parameters
Liebert® iCOM®158
Figure 150 Sensor calibration/setup screen, page 2 of 12
Optional Sensor A and B—Adjusts the reading from the actual sensor to compensate for any error
of the sensor or to match other sensors in the room.
Calibrated Optional Sensor A and B—Shows the adjusted value of the sensor. This value is the
actual sensor reading (+ or -) the offset.
Optional Sensor B & C Type—Read-only parameter, Liebert iCOM automatically detects the type
of sensor connected and displays the sensor type here.
Figure 151 Sensor calibration/setup screen, page 3 of 12
S624 Freecool Sensor PTC or NTC—Currently supports only the NTC selection.
S625 Freecool Sensor—Adjusts the free-cooling temperature reading from the actual sensor to
compensate for any sensor error or to match other sensors in the room.
S626 Calibrated Freecool Sensor—Shows the adjusted temperature value of the free-cooling
sensor. This value is the actual sensor reading (+ or -) the offset Freecool Sensor.
S627 Supply/Return Sensor PTC or NTC—Supports only the NTC selection.

Service Menu Parameters
159 Liebert® iCOM®
S628 Supply/Return Sensor—Applies to both supply and return sensors; adjusts the supply
temperature reading from the actual sensor to compensate for any sensor error or to match other
sensors in the room.
S629 Calibrated Supply/Return Sensor—Applies to both supply and return sensors. Liebert
iCOM will automatically detect the sensor connected and update the parameter name to reflect the
sensor location; shows the adjusted temperature value of the supply sensor. This value is the actual
sensor reading (+ or -) the offset Supply/Return Sensor.
S630 Offset Outdoor Temperature/Offset Optional Sensor C1T—Applies to both outdoor sensor
and optional Sensor C. Liebert iCOM will automatically detect the sensor connected and update the
parameter name to reflect the sensor location. Adjusts the outdoor temperature reading or sensor C
from the actual sensor reading to compensate for any sensor error or to match other sensors.
S631 Calibrated Outdoor Temperature/Calibrated Optional Sensor C1T—Applies to both
outdoor sensor and optional Sensor C. The Liebert iCOM will automatically detect the sensor
connected and update the parameter name to reflect the sensor location; shows the adjusted
temperature value of the outdoor temperature or sensor C1T. This value is the actual sensor reading
(+ or -) the “Offset Outdoor Temperature”.
S632 Offset Outdoor Humidity/ Offset Optional Sensor C2H—Applies to both outdoor sensor
and optional Sensor C. The Liebert iCOM will automatically detect the sensor connected and update
the parameter name to reflect the sensor location; adjusts the outdoor or sensor C2H humidity
reading from the actual sensor reading to compensate for any sensor error or to match other sensors.
S633 Calibrated Outdoor Humidity/ Calibrated Optional Sensor C2H—Applies to both
outdoor sensor and optional Sensor C. The Liebert iCOM will automatically detect the sensor
connected and update the parameter name to reflect the sensor location; shows the adjusted humidity
value of the outdoor or C2H humidity sensor. This value is the actual sensor reading (+ or -) the
“Offset Outdoor Humidity” or “Offset Optional Sensor C1T” or “Offset Optional Sensor C2H.”
S63A Optional Sensor C2T—Shows the adjusted temperature value of the sensor C. This value is
the actual sensor reading (+ or -) the “Calibrated Optional Sensor C2T”.
S63B Calibrated Optional Sensor C2T—Adjusts the optional sensor C2T reading from the actual
sensor reading to compensate for any sensor error or to match other sensors.
Figure 152 Sensor calibration/setup screen, page 4 of 12

Service Menu Parameters
Liebert® iCOM®160
Figure 153 Sensor calibration/setup screen, page 5 of 12
Each unit can be equipped with a total of 20 rack sensor readings or ten 2T temperature sensor
modules. These menus permit temperature sensor calibration by entering a negative or positive
offset.
The calibrated reading is displayed in the far right column. If a value does not appear in the far right
column, then the sensor is either not set up correctly or is not connected.
Figure 154 Sensor calibration/setup screen, page 6 of 12
S657 DP Transducer is Connected to—Sets the analog input that will be used for the differential
pressure transducer. This parameter is selectable from None, Ana In 1, Ana In 2, Ana In 3 and
Ana In 4. The factory default is none.
S658 DP Transducer is Setup in—Sets the unit of measure that will be used for the differential
pressure transducer. This parameter is selectable in inWC or PA. The factory default is PA.
S659 DP Transducer Low—Sets the unit of measure that will be used for the low differential
pressure transducer. This parameter is selectable from 0-9.999 inWC. The factory default is 0.000
inWC.
S660 DP Transducer High—Sets the unit of measure that will be used for the high differential
pressure transducer. This parameter is selectable from 0-9.999 inWC. The factory default is 2.005
inWC.

Service Menu Parameters
161 Liebert® iCOM®
S661 Number of EC Fans—Sets the unit of number of EC fans. This parameter is selectable
between 1 and 5. The factory default is 3.
S662 Inlet Ring K-Value—Sets the inlet ring K-Value. This parameter is selectable between 1 and
999. The factory default is 480.
S664 Results:—Read-only string that describes S665 through S668.
S665 DP Transducer Low—Shows the status of the low differential pressure transducer in both
inWC and Pa after it’s setup at S659.
S666 DP Transducer High—Shows the status of the high differential pressure transducer in both
inWC and Pa after it's setup at S660.
S667 Actual DP Signal—Shows the actual differential pressure transducer percentage.
S668 Calculated Airflow—Shows the calculated airflow based on the low, high, number of EC fans
and the Inlet Ring K-Value settings.
Figure 155 Sensor calibration/setup screen, pages 7 and 8 of 12
Up to four static pressure transducers may be programmed on Screens 7 and 8. Four static pressure
transducers are shows in Figure 155 for simplicity. Transducer information will be hidden if a device
has not been configured on SP# Reading from.
SP# Reading from—Sets the analog input that will be used for the static pressure transducer. This
parameter is selectable from None, Ana In 1, Ana In 2, Ana In 3 and Ana In 4. The user may also
choose to select Network. This setting allows the unit to operate based on a shared static pressure
value across the U2U network. This setting does not required a static pressure transducer connection
at the unit. The default is none.
SP# Unit of Measurement—Sets the unit of measure that will be used for the static pressure
transducer. This parameter is selectable in inWC or PA. The default is PA.
SP# Transducer Low—Calibrates the static pressure transducer; sets the value displayed at the
starting point of the analog input signal. This parameter is selectable from 0-9.999 inWC or
0.0-2491.0 Pa. The default is 0.000 inWC or 0.0 Pa.
SP# Transducer High—Calibrates the static pressure transducer; sets the maximum value
displayed, or end point, of the analog input. This parameter is selectable from 0-9.999 inWC or
0.0-2491.0 Pa. The default is 2.005 inWC or 500.0 Pa.
Actual SP# Signal—Shows the current static pressure based on low and high settings.
Aggregation Method—Up to four different analog inputs can be configured for static pressure. The
aggregation method defines if the resulting pressure is the Average, Maximum or the Minimum of all
connected sensors.
Aggr. Unit Static—Displays the unit static pressure based on the Aggregation Method setting.
Network Static Pressure—Displays the maximum or average U2U network static pressure of all
devices connected in the group. The maximum or average reading is based on the value programmed
in Service Menus>System / Setpoints, S197 SP Teamwork / Network Mode.

Service Menu Parameters
Liebert® iCOM®162
Figure 156 Sensor calibration/setup screen, page 9 of 12
S696 FL1 Transducer is Connected to—Sets the analog input and the input range that will be
used with the flow meter. This parameter is selectable from None, Ana In 1, Ana In 2, Ana In 3 and
Ana In 4. The factory default is None. The input range options are 0-5VDC, 0-10VDC, and 4-20mA.
S697 FL2 Transducer is Connected to—Sets the analog input and the input range that will be
used with the flow meter. This parameter is selectable from None, Ana In 1, Ana In 2, Ana In 3 and
Ana In 4. The factory default is None. The selectable input range options are 0-5VDC, 0-10VDC, and
4-20mA.
S698 FL Transducer Setup in—Sets the unit of measure for the flow readout. Two options are
available, m/s (meter per second) and f/s (feet per second). The factory default is m/s.
S699 FL Transducer Low—Used for calibrating the flow meter. Sets the value displayed at the
starting point of the analog input signal. This parameter is selectable from 0.00 - 9.99 m/s or
0.00 - 32.48 f/s. The factory default is 0.98 f/s or 0.30 m/s.
S6A1 FL Transducer High—Used to calibrate the flow meter. Sets the maximum value displayed,
or end point of the analog input. This parameter is selectable from 0.00 - 9.99 m/s or 0.00 - 32.48 f/s.
The factory default is 16.40 f/s or 5.00 m/s.
S6A2 Internal Pipe Diameter—Sets the inside pipe diameter of pipe where the flow meter is
installed. Units of measure include inches and millimeters. This parameter is selectable from
0.39-39.36 in or 10.0-999.9 mm. The factory default is 1.00 in or 25.4 mm.
S6A3 Set Reading to 0 @ Lower—Used to prevent false flow readings when the regulating valve is
closed or open to a very small percentage. The programmed here is compared to the valve call. If the
valve call is less than the value programmed, the Liebert iCOM will register 0.00 m/s or 0.00 f/s. This
parameter is selectable from 0-50%. The factory default is 5%.
S6A4 Fluid Type / Percent—Sets the fluid type used in the system as a correction factor for
calculating cooling capacity. Three options are available: Water, EGlycol (ethylene glycol), and
PGlycol (propylene glycol). When EGlycol or PGlycol are selected, the percent concentration can be set
in the field to the far right. The factory default fluid type is Water and percent concentration is 0%.
S6A5 Actual FL 1 Signal—Displays the fluid flow rate for flow meter 1 in m/s or ft/s.
S6A6 Actual FL 2 Signal—Displays the fluid flow rate for flow meter 2 in m/s or ft/s.
S6A7 Current Water Flow 1—This parameter displays the fluid flow rate for flow meter 1 in GPM
(gallons per minute) or l/m (liters per minute).
S6A8 Current Water Flow 2—This parameter displays the fluid flow rate for flow meter 2 in GPM
(gallons per minute) or l/m (liters per minute).

Service Menu Parameters
163 Liebert® iCOM®
Figure 157 Sensor calibration/setup screen, page 10 of 12
S6B1 Chilled Water Sensor Type—Used for selecting the type and number of fluid sensors
installed. Two options are available: 2T and Dual 2T. The 2T option is used on units equipped with
one flow meter and Dual 2T is used for units with two flow meters.
S6B2 CW Temp Sensor Placement (CW T Sensor C1 / C2 Placement w/Dual 2T)—Allows
swapping the chilled water sensor readout in the display. In the event the 2T sensor probe is installed
backward, this allows the user to correct the readout in the software. On dual-sensor applications, a
parameter will be available for each sensor. Two options are available: Norm and Rev. The factory
default is Norm.
S6B3 CW Circuit 1 Offset Sns In/Out—Adjusts the fluid temperature value of the fluid
temperature inlet and outlet probes. This value is the actual sensor reading (+ or -) the offset “CW
Circuit 1 Calibrated In/Out.”
S6B4 CW Circuit 1 Calibrated In/Out—Shows the adjusted fluid temperature value of the fluid
temperature inlet and outlet probes. This value is the actual sensor reading (+ or -) the offset “CW
Circuit 1 Calibrated In/Out.”
S6B5 CW Circuit 2 Offset Sns In/Out—Adjusts the fluid temperature value of the fluid
temperature inlet and outlet probes. This value is the actual sensor reading (+ or -) the offset “CW
Circuit 2 Calibrated In/Out.”
S6B6 CW Circuit 2 Calibrated In/Out—Shows the adjusted fluid temperature value of the fluid
temperature inlet and outlet probes. This value is the actual sensor reading (+ or -) the offset “CW
Circuit 2 Calibrated In/Out.”
S6B7 Cooling Load Calc. Enabled—Allows enabling or disabling the cooling load calculation. Two
options are available: No and Yes. If Yes is selected, a cooling load output field will populate. Cooling
load output options include kW and kBtuh. The factory default for the cooling load calculation is No.
S6B8 Cooling Load Filter Time—Cooling load is based on an average calculation of input
temperature and flow. This parameter sets duration of the average used for the cooling output
reading. This parameter is adjustable from 30 to 300 sec. The factory default is 60 sec.
S6B9 Show CoolLoad on Main Screen—Allows selecting whether the cooling load calculation is
displayed in the Unit View>Main Screen. The options are: No and Yes. The factory default is No.
S6C1 Disable CoolLoad @ Unit On for—Delays the cooling load calculation start point after a unit
has turned On. During delay time programmed, cooling capacity will not be shown through the local
display or through monitoring. The range is 0-10 minutes with a factory default of 5 minutes. To show
cooling load as soon as the unit powers up, set the parameter to 0.
S6C2 Cooling Load (Cooling Load C1 + C2 w/Dual 2T & flow meters)—Displays the total
calculated cooling load in kW or kBtu/h. C1 and C2 are added together and displayed here on
applicable models.
S6C3 Cooling Load C2 / C1—Displays the calculated cooling load in kW or kBtu/h by circuit on
applicable models.

Service Menu Parameters
Liebert® iCOM®164
Figure 158 Sensor calibration/setup screen, page 11 of 12
S6C5 Supply Sensor Aggregation—Five additional supply air sensors (2T sensors) may be
connected for control purposes. This parameter enables and disables the additional supply air sensors
for control purposes.
S6C6 Supply NTC—Allows including or excluding the sensor reading from the Maximum or Average
Aggregation Method.
S6C7 Sensor A (CAN ID 17)—Allows the include or exclude the sensor reading from the Maximum
or Average Aggregation Method.
S6C8 Sensor B (CAN ID 18)—Allows including or excluding the sensor reading from the Maximum
or Average Aggregation Method.
S6C9 Sensor C (CAN ID 19)—Allows including or excluding the sensor reading from the Maximum
or Average Aggregation Method.
S6D1 Sensor D (CAN ID 30)—Allows including or excluding the sensor reading from the Maximum
or Average Aggregation Method.
S6D2 Sensor E (CAN ID 31)—Allows including or excluding the sensor reading from the Maximum
or Average Aggregation Method.
S6D3 Aggregation Method—Allows including or excluding the sensor reading from the Maximum
or Average Aggregation Method.
S6D4 Current Aggregation Supply Temp—Displays the maximum or average temperature based
on Aggregation Method programming in degrees Celsius or degrees Fahrenheit.

Service Menu Parameters
165 Liebert® iCOM®
Figure 159 Sensor calibration/setup screen, page 12 of 12
S6D9 Supply Sensor NTC or PTC—Supports only the NTC selection.
S6E1 Supply NTC Offset / Read—The left hand parameter adjusts the supply temperature reading
from the actual sensor to compensate for any sensor error or to match other sensors in the conditioned
space. The right hand parameter shows the calibrated value in degrees Celsius or degrees
Fahrenheit.
S6E2 Sensor_A L Offset / Read—The left hand parameter adjusts the thermistor temperature
leaving the left side of supply Sensor A to compensate for any sensor error or to match other sensors
in the conditioned space. The right hand parameter shows the calibrated value in degrees Celsius or
degrees Fahrenheit.
S6E3 Sensor_A R Offset / Read—The left hand parameter adjusts the thermistor temperature
leaving the right side of supply Sensor A to compensate for any sensor error or to match other sensors
in the conditioned space. The right hand parameter shows the calibrated value in degrees Celsius or
degrees Fahrenheit.
S6E4 Sensor_B L Offset / Read—The left hand parameter adjusts the thermistor temperature
leaving the left side of supply Sensor B to compensate for any sensor error or to match other sensors
in the conditioned space. The right hand parameter shows the calibrated value in degrees Celsius or
degrees Fahrenheit.
S6E5 Sensor_B R Offset / Read—The left hand parameter adjusts the thermistor temperature
leaving the right side of supply Sensor B to compensate for any sensor error or to match other sensors
in the conditioned space. The right hand parameter shows the calibrated value in degrees Celsius or
degrees Fahrenheit.
S6E6 Sensor_C L Offset / Read—The left hand parameter adjusts the thermistor temperature
leaving the left side of supply Sensor C to compensate for any sensor error or to match other sensors
in the conditioned space. The right hand parameter shows the calibrated value in degrees Celsius or
degrees Fahrenheit.
S6E7 Sensor_C R Offset / Read—The left hand parameter adjusts the thermistor temperature
leaving the right side of supply Sensor C to compensate for any sensor error or to match other sensors
in the conditioned space. The right hand parameter shows the calibrated value in degrees Celsius or
degrees Fahrenheit.
S6E8 Sensor_D L Offset / Read—The left hand parameter adjusts the thermistor temperature
leaving the left side of supply Sensor D to compensate for any sensor error or to match other sensors
in the conditioned space. The right hand parameter shows the calibrated value in degrees Celsius or
degrees Fahrenheit.

Service Menu Parameters
Liebert® iCOM®166
S6E9 Sensor_D R Offset / Read—The left hand parameter adjusts the thermistor temperature
leaving the right side of supply Sensor D to compensate for any sensor error or to match other sensors
in the conditioned space. The right hand parameter shows the calibrated value in degrees Celsius or
degrees Fahrenheit.
S6F1 Sensor_E L Offset / Read—The left hand parameter adjusts the thermistor temperature
leaving the left side of supply Sensor E to compensate for any sensor error or to match other sensors
in the conditioned space. The right hand parameter shows the calibrated value in degrees Celsius or
degrees Fahrenheit.
S6F2 Sensor_E R Offset / Read—The left hand parameter adjusts the thermistor temperature
leaving the right side of supply Sensor E to compensate for any sensor error or to match other sensors
in the conditioned space. The right hand parameter shows the calibrated value in degrees Celsius or
degrees Fahrenheit.
8.8 Service-Economizer Menu Screens
Economizer provides advanced air side Economizer monitoring and parameter adjustment
Figure 160 Economizer, page 1 of 3
SA02 Enable Economizer—Sets the Liebert Air Economizer™ operation to one of the following
modes. These selections only determine if the Liebert Air Economizer is available for use; they do not
determine or override damper position. Damper position is always controlled by the sensor set to
control temperature (i.e., Return / Supply Sensor)
•Yes: This parameter will operate the Liebert Air Economizer based on the outdoor sensor reading
and will allow the Liebert iCOM to determine if the conditions are within the acceptable range of
operation.
•NO: This parameter will disable the Liebert Air Economizer and will not allow Liebert Air
Economizer to operate even if the outdoor conditions are acceptable.
•Remote: This parameter will enable the Liebert Air Economizer and ignore the outdoor Liebert
iCOM sensor even if the conditions are outside the range of operation.
SA04 Humidity Ratio—Sets the minimum and maximum limits of outdoor air based on the amount
of moisture content. The humidity ratio is set based on pounds of moisture per pound of dry air. This
is equivalent to the dew point temperatures.
SA05 Wet Bulb Temp—Read-only value that displays the outdoor wet bulb temperature. (This
reading will be in metric values.)
SA06 Outdoor Temp—Displays the actual outdoor temperature based on the Temperature
Humidity sensor (Sensor C). When this parameter shows OK, the outdoor temperature requirements
have been met to use economization. When NOK is shown, the outdoor temperature is outside the
operating range set in the Liebert iCOM control.

Service Menu Parameters
167 Liebert® iCOM®
SA07 Stop ECO at Setpoint + —Sets the temperature when the Liebert Air Economizer will be
disabled due to an increasing outdoor air temperature. This parameter is added to the return air
sensor setpoint and then compared to the outdoor temperature reading. If the outdoor temperature
reading exceeds the return air temperature setpoint plus this parameter, the Liebert Air Economizer
will be disabled. This is factory-set at 20°F (-6.7°C).
SA08 Economizer Mode—Displayed when the Liebert Air Economizer is available for use.
SA09 Dew Point (calculated)—Displays the actual outdoor dew point based on the outdoor sensor.
SA10 Economizer Override At—Sets the indoor temperature when the Liebert Air Economizer™
will be locked out. Even when all other parameters are satisfied, the Liebert Air Economizer will be
locked out when the return air temperature sensor reads this value.
SA11 Delay After Fan Start—Sets the delay from the time the unit has been started until the
ECO EMERGENCY OVERRIDE can be triggered. This allows airflow to pass over the sensors to get
an accurate reading before any emergency modes are activated.
Figure 161 Economizer, page 2 of 3
SA13 Local Outdoor Air Temperature—Actual outdoor temperature from the sensor connected to
the unit.
SA14 Local Outdoor Air Humidity—Actual outdoor humidity from the sensor connected to the
unit.
SA15 Outdoor Sensor C Connected—The default selection for units without air economizer is No.
The default selection for unit with air economizer is Yes. When set to Yes, the unit uses the locally
installed outdoor air temperature and humidity sensor to help determine air economizer eligibility.
Setting the parameter to No on air economizer units will prevent the locally installed air economizer
sensor from being used in the eligibility calculation when SA16 Outside Air Sensor is set to Shared.
SA16 must be set to Shared before changing the parameter to No.
SA16 Outdoor Sensor Operation—The parameter may be set to Local or Shared. The factory
default is Shared. When set to Shared, outdoor temperature and humidity readings are averaged
among all connected units. The average is used to determine air economizer eligibility. When set to
Local, the sensor installed at the unit determines air economizer eligibility without influence from
other units connected in the group.
SA17 Shared Outdoor Air Temperature—Read-only parameter displays the shared outside air
temperature when Outdoor Sensor Operation is set to Shared.
SA18 Shared Outdoor Air Humidity—Read-only parameter displays the shared outside air
humidity when Outdoor Sensor Operation is set to Shared.

Service Menu Parameters
Liebert® iCOM®168
Figure 162 Economizer, page 3 of 3
SA24 - Return Damper Open—Sets the open voltage. This parameter may be set from 0V to 10.0V.
The factory default is 2.0V.
SA25 - Return Damper Closed—Sets the closed voltage. This parameter may be set from 0V to
10.0V. The factory default is 10.0V.
SA26 - Return Damper Minimum Limit At—Sets the minimum damper position limit for
recirculating return air with the outdoor air. This parameter may be set from 0-100%. The factory
default is 15%.
SA27 - Outdoor Damper Open—Sets the open voltage. This parameter may be set from 0.V to
10.0V. The factory default is 2.0V.
SA28 - Outdoor Damper Closed—Sets the closed voltage. This parameter may be set from 0V to
10.0V. The factory default is 10.0V.
SA29 - Outdoor Damper Position—Shows the actual outdoor damper position; read-only.
SA30 - Return Damper Position—Shows the actual return damper position; read-only.
SA31 - Enable Digital Outputs—Enables Liebert Air Economizer digital output signal. This
parameter may be set to Yes or No. The factory default is No.
SA32 - Damper Runtime—Sets the runtime for a damper. This parameter may be set from 30 to
500 seconds. The factory default is 165 seconds.
SA33 - Pause Time—Sets the time for a damper to open before the fan starts. This parameter may
be set from 1-120 seconds. The factory default is 5 seconds.
SA34 - Stop AirEco On Clogged Filter—Sets the control to stop using the Air Economizer when a
clogged filter event is active. This parameter may be set to Yes or No. The factory default is No.

Service Menu Parameters
169 Liebert® iCOM®
8.9 Service-System/Network Setup Menu Screens
System Network Setup allows setting up a unit-to-unit (U2U) network for multiple cooling units
controlled by Liebert iCOM.
Figure 163 System/network setup screen—System, page 1 of 2 (large display only)
S802 Number of Connected Units—Reflects the number of units connected that to the Liebert
iCOM large display. If multiple units are connected in a unit-to-unit network, then the number will be
greater than one.
S803 Teamwork Mode—Selects which teamwork mode to use within a selected group. Teamwork
modes are described in 4.0 - Teamwork.
S804 Teamwork is based on—Choices are Average or Maximum
Average: The temperature/humidity is controlled to an average reading of the controlling
sensors.
Maximum: The temperature/humidity is controlled to the highest controlling sensor reading.
S805 Qty Units Included in Average—Defines the number of units to include in the average
calculation. If the Qty setting is higher than the number of units, use all teamworked units in the
group for the calculation. Available only if Teamwork Mode Based On is set to Average.
S806 Virtual Master—Enables or disables the virtual master feature. Enabling virtual master
allows the control to automatically switch the U2U network duties from the current master to
another unit in the group if the master gets disconnected from the network. If the setting is Disabled,
all units operate independently based off their own sensor inputs and setpoints.
S808 Lock for Upgrade—Used to save and update files for Liebert iCOM service tool updates.
Service tool updates are performed by specially trained and certified HVAC technicians.
S809 Configuration Safe—Saves or loads configuration settings for the display that have been
modified from the factory defaults to an internal file that can be downloaded / uploaded using the
Liebert iCOM Service Tool. Selecting “Save” will write the settings to the internal storage file and
selecting “Load” will write the settings from the internal storage file to the application software. The
internal file is updated every 12 hours automatically.
S810 Network Safe—Saves or loads network settings for the display that have been modified from
the factory defaults to an internal file that can be downloaded/uploaded using the Liebert iCOM
Service Tool. Selecting “Save” will write the settings to the internal storage file. Selecting “Load” will
write the settings from the internal storage file to the application software.
S811 SW Version—Contains the application software version loaded onto the Liebert iCOM display.

Service Menu Parameters
Liebert® iCOM®170
Figure 164 System/network setup screen—System, page 2 of 2 (large display only)
S813 IP Address—Contains the network address of the display. This address must be unique on the
network.
S814 Netmask— Netmask is used to divide IP addresses in subnet and specify the network available
to hosts.
S815 Gateway—Routes data and act as a proxy server or a fire wall when setting up networks.
S816 MAC—Unique hardware identifier of the Ethernet device. READ ONLY
S817 U2U Protocol—Always set to GBP.
S818 U2U Address—Unique identifier for each unit on the network. Display addresses range from
33 to 64. Each display on the U2U network must have a different U2U address.
S819 U2U Group—Used to create zones or groups within a U2U network. Once a group number is
selected the display will see only devices with the same group number. The group number can be
changed to view other devices in different groups.
S821 Bootloader Variables—Indicates if there has been a change to the bootloader since it was last
loaded, such as monitoring protocol, IP subnet setting, group or U2U number. This parameter should
only be activated by an authorized service person.
8.10 Service-System/Network Unit-Level Setup Menu Screens
Figure 165 System/network setup screen—Unit, page 1 of 2

Service Menu Parameters
171 Liebert® iCOM®
S824 Monitoring Address—Sets the address used by the Liebert IntelliSlot® cards. This is set to 3
at the factory and should not be changed.
S825 Monitoring Timeout/Handshake—Can be used with a building management system to
verify communication has not been lost between the Liebert iCOM control and the BMS. If the time
specified in this parameter elapses before the BMS writes a new value, then an alarm will occur
“BMS TIMEOUT” and the temperature setpoint will revert to the backup setpoint and the fan speed
“if equipped” will change to 100%. To disable this feature, write a zero to this parameter when it is
active.
S827 Unit Name—A six-digit label to identify the unit from the local or remote display. This label
will show at the top right of every screen that has monitoring or configuration of that unit.
S830 Lock for Upgrade—Locks the Liebert iCOM functions to permit upgrading firmware.
S831 Configuration Safe—Saves or loads configuration settings for the control board that have
been modified from the factory default to an internal file that can be downloaded / uploaded using the
Liebert iCOM Service Tool. Selecting Save will write the settings to the internal storage file and
selecting Load will write the settings from the internal storage file to the application software. The
internal file is updated automatically every 12 hours.
S832 Network Safe—Saves or loads network settings for the control board that have been modified
from the factory defaults to an internal file that can be downloaded / uploaded using the Liebert
iCOM Service Tool. Selecting Save will write the settings to the internal storage file and selecting
Load will write the settings from the internal storage file to the application software.
S833 SW Version—Contains the application software version loaded onto the Liebert iCOM control
board.

Service Menu Parameters
Liebert® iCOM®172
Figure 166 System/network setup screen—Unit, page 2 of 2
S835 Monitoring Protocol—Selects the monitoring protocol. Velocity V4 is the factory default that
will provide communication to the Liebert IntelliSlot® housing. IGMNet will activate the legacy
Liebert SiteLink™ protocol for communication to the Liebert SiteLink™(-E). Liebert Hironet™ is used
only on Liebert HPM™ units.
S836 IP Address—Contains the network address of the display. This address must be unique on the
network.
S837 Netmask—Netmask is used to divide IP addresses in subnet and specify the network available
to hosts.
S838 Gateway—Routes data and act as a proxy server or a firewall when setting up networks.
S839 MAC—Unique hardware identifier of the Ethernet device; read-only.
S840 U2U Protocol—This parameter is always set to GBP.
S841 U2U Address—Unique identifier for each unit on the network. Display addresses range from
33 to 64. Each display on the U2U network must have a different U2U address.
S842 U2U Group—Creates zones or groups within a U2U network. Once a group number is selected,
the display will see only devices with the same group number. The group number can be changed to
view other devices in different groups.
S843 Bootloader Variables—Indicates if there has been a change to the boot loader since it was
last loaded. This parameter should only be activated by an authorized service person.
S844 Static RAM—Static RAM shows the status of changes made and whether they have been saved
to the Static Memory on the board. The ranges of this parameter are, 0=Not Available, 1=Invalid,
2=OK, 3=Changed, 4=Updating and 5=Locked. The right hand parameter will allow the user to do
two options, 0=nothing or 1=Clear+Reboot. This clears all the settings in the Static RAM.

Service Menu Parameters
173 Liebert® iCOM®
8.11 Service-Options Setup Menu Screens
Options Setup contains component configuration, such as enable/disable humidifier, reheat, etc.
Figure 167 Options setup, page 1 of 6
S402 Compressor Sequence—Changes the lead compressor when cooling is activated. This
parameter can also be set to “AUTO” mode, which will activate the compressor with the lowest run
hours first.
S403 Low-Pressure Alarm Delay—Sets how long the unit will ignore a low-pressure condition
during compressor startup. This parameter has previously been referred to as a Winter Start Time.
This parameter can be set between 0 to 5 minutes.
S404 Electric Stages—Shows the number of electric stages that can be activated during a call for
reheat. This parameter is set at the factory based on the unit’s model number.
S405 Hot Water Heat On/Off—Selectable between “Yes and No”. If YES is selected, the unit is
equipped with a hot water heater.
S406 Total Heat Stages—Shows the number of heat stages that can be activated during a call for
reheat. This parameter is set at the factory based on the unit’s model number.
S407 LWD Connected—This parameter is set to YES if a liquid detection device is connected to the
Liebert iCOM.
S408 Valve Type—Displays the type of valve actuator installed, either chilled water or free-cooling.
This parameter is factory-set and read-only.
S409 Valve Control—Selects between two different methods to keep track of valve position when a
stem/3P valve is installed in the unit. This setting does not affect motorized ball valves. If “Time” is
selected, then the valve position is tracked by an internal timer in the control to determine the
position or opening of the valve. If “Feedback” is selected, then analog input #1 interprets the signal
from the valve to determine its position. Using the “Feedback” setting requires the setup procedure in
3.3.3 - Chilled Water Control.
S41 3P Actuator Runtime—Sets the runtime at which the actuator will run.This parameter is
adjustable from 30 - 500 seconds. Factory-set by unit code and should not be changed without
contacting factory.
S411 3P Actuator Direction—Selects if the valve is a “Direct” or “Reverse” acting valve. Factory-set
by unit code and should not be changed without contacting factory

Service Menu Parameters
Liebert® iCOM®174
S41A Minimum Valve Pulse—Sets the minimum valve pulse % when a movement is requested.
This parameter is adjustable from 0 - 10%. The factory default is 5%.
S41B CW Valve Delay / Power Off Time—Sets the delay time of the CW valve movement when
power is lost. If power is lost, the valve will not move for the time entered into this parameter so the
unit has time to come back online from a power loss. This parameter is adjustable from 0 - 60
minutes. The factory default is 5 minutes. Sets the Power Off time; if power has been lost for the time
entered into this parameter, the CW delay will be ignored. This parameter is adjustable from 0 - 300
minutes. The factory default is 30 minutes.
Figure 168 Options setup, page 2 of 6
S413 Humidification Enabled—Enables or disables humidification.
S414 Infrared Flush Rate—Shows the amount of makeup water supplied to an infrared humidifier
as a percentage of the humidifier capacity. This value can be set from 110-500% (default is 150%).
Higher flush rates reduce mineral deposit buildup in the humidifier pan.
S415 through S418—Not applicable to Liebert North America units.
S419 Dehum Enabled/Dehum Fan Ctrl—Selects whether the compressor and / or valve will be
used to dehumidify when the humidity is above setpoint.
S420 Auto Restart Enabled—Restarts the unit after a power cycle when set to Yes. When this
parameter is set to “No,” the unit will not restart (Turn On) after a power cycle.
S421 Single Unit Auto Restart—Sets a time delay for the unit to restart when the Auto Restart
Enabled is set to YES. The delay begins once the boot process has completed. This parameter allows
units to be staggered On to reduce the amount of simultaneous power consumption after a loss of
power.
S422 On-Off Enabled—Sets the Liebert iCOM control to ignore the On/Off command from the
display On/Off button when set to NO. This parameter is a local setting in the control board.
S42A Fan Shutdown Delay Timer—Sets the fan shutdown delay timer to allow the fan to continue
to operate after the unit has been shut down. This parameter is adjustable from 0 - 999 seconds. The
factory default is 0 seconds.
S42B Restart @ BMS Off and Disconnected—Yes allows the unit turn On if in a monitoring off
state when a BMS Disconnect alarm occurs. Remote Off, Display Off, System Off, Alarm Off and U2U
Standby will take priority over this feature when a disconnect occurs. No allows the unit to remain in
a monitoring off state if a BMS disconnect occurs.

Service Menu Parameters
175 Liebert® iCOM®
Figure 169 Options setup, page 3 of 6
S424 CW Flush—Selects the number of hours between each chill water coil flush cycle. The default is
every 24 hours. Reducing this number will increase the number of coil flushes.
S425 Freecooling Flush—Selects how many hours between each free-cooling coil flush cycle. The
default is every 24 hours. Reducing this number will increase the number of coil flushes.
S426 Hot Water Flush—Selects how many hours between each hot water coil flush cycle. The
default is every 24 hours. Reducing this number will increase the number of coil flushes.
S427 Ball Valve Setpoint Offset—Adjusts the operating compressor discharge pressure by
changing the targeted range of control for units with motorized ball valves. The psi added here
increases valve sensitivity. The higher the number, the more the ball valve will open at a given
pressure.
S428—Not applicable to Liebert North America units.
S429 CW Valve Control—Allows the valves to be set to operate in parallel, alternate or cascade for
units equipped with dual motorized ball valves controlling flow to the chilled water coil. Parallel is the
default selection and operates the valves at the same opening based on the call for cooling.
S430 Main Valve—Selects which valve is the lead valve if CW Valve Control is set for “Alternate or
Cascade.”
S431 Auto Valve Rotation—Allows the valves to be rotated based on the Valve Rotation Hour if CW
Valve Control is set for “Alternate or Cascade.”
S432 Valve Rotation Hour—Determines the time between the valve rotations if Auto Valve
Rotation is enabled.
S433 Dehum Operation—Selects the dehumidification operation of the valves for units equipped
with dual motorized ball valves controlling flow to the chilled water coil.
S43B EEV Alarmboard (Liebert DSE only)—Sets the EEV Alarmboard events sent to the board as a
normally open or normally closed set of contacts. The choices are NO and NC; the default is NC.

Service Menu Parameters
Liebert® iCOM®176
Figure 170 Options setup, page 4 of 6
S435 Measure Type—Determines the measurement units and range for each analog input.
Factory Std measurement type means the input is being used by the factory-configured device
for unit control and cannot be set to any other measurement type.
Not Config measurement type means the input is available for custom sensor use, but has not
been configured. After unit code execution, all analog inputs that are available will be set to “Not
Config,” and can then be set to any of the following choices by the user:
• Air Pres 1, 2, 3 or 4
• Pressure 1, 2, 3 or 4
• Temp 1, 2, 3 or 4
• Percent 1, 2, 3 or 4
It is not necessary to match a measurement type number to the analog input number (i.e., “Air
Pres 2” does not have to be connected to Analog Input 2). The numeric designation on each
measurement type is just to allow the user to differentiate between readouts if multiple
measurements of the same type are required.
Precision—Parameters in the Precision column must match the DIP switch settings for each analog
input being used. There are two choices for these parameters: 0-5V and 0-10V. This setting will also
regulate the range of an analog input’s linear characteristic on Page 5 of the Options Setup screen of
the Service Menu (see Figure 171).
S441 Units system for Custom Inputs—Determines the unit type (English or SI) that will be used
for the setup and readout of custom sensors. This parameter affects only analog inputs. All lines in
other menus involving pressures or temperatures will have their readout type determined by line
U404 of the User - Selection menu. The table below shows the English and SI units for each
measurement type.
When the unit type is changed on line S441, the linear characteristics for all of the inputs on Page 5 of
the Options Setup screen of the Service Menu will be converted to match the new units system, and
the readout in the Sensor Data in the User Menu will also change to reflect the new units.
Measurement
Type
Units
English SI
Air Pres inWC Pa
Pressure PSI Bar
Temp °F °C
Percent % %

Service Menu Parameters
177 Liebert® iCOM®
Figure 171 Options setup, page 5 of 6
Only characteristics for analog inputs used for custom sensors are visible in this menu.
Start Points (S446, S448, S450 and S452)—Represent the starting point of each analog input’s
linear characteristic. The column on the left indicates the desired readout at the lowest allowable
sensor voltage, and the column on the right indicates the lowest sensor voltage.
End Points (S447, S449, S451 and S453)—Represent the finish point of each analog input’s linear
characteristic. The column on the left indicates the desired readout at the highest allowable sensor
voltage, and the column on the right indicates the highest sensor voltage.
The range of allowable voltages is dictated by the Precision selection for that analog output on Page 4
of the Options Setup screen of the Service Menu (see Figure 170). If the precision of Analog Input 1
is set to 0-5V on line S436, the voltage selection on line S447 will not be allowed to go above 5.0V.
The range of the readout start/finish points is dictated by the units system selection on line S441. The
range for each is shown in the table below.
Measurement
Type
Units
English SI
Air Pres -1.25 to 1.25 inWC -320.00 to 320.00 Pa
Pressure -320.00 to 320.00 PSI -22.00 to 22.00 Bar
Temp -320.00 to 320.00 °F -160.00 to 160.00 °C
Percent -320.00 to 320.00% -320.00 to 320.00%

Service Menu Parameters
Liebert® iCOM®178
Figure 172 Options setup, page 6 of 6
S457 Q15 Output Function—Sets the output function for Q15. This parameter is selectable for 0 =
None, 1 = Dehum On, 2 = Cooling On, 3 = Reheat On, 4 = Comp On, 5 = Comp 1 On, 6 = Comp 2 On, 7
= Humi On, 8 = Fan On, 9 = FreeCool On, 10 = Damper, 11 = High Temp, 12 = Low Temp, 13 = Loss
Power and 14 = Power Source The factory default is none. NOTE: Unit Code 16 can set the output for
this parameter. The Q15 output is rated up to 27VAC and 2A. An additional contactor or control relay
with power supply will be required if the application exceeds this limit.
S458 Q15 output direction—Sets the Q15 output direction. This parameter is adjustable from
direct or reverse. The factory default is direct.
S459 Fan delay for damper—Sets the delay for the damper to open before the fan starts. This
parameter is adjustable from 0 to 120 seconds.
S460 Damper switch feedback damper—Sets the timer for the damper when using Q15. This
parameter is adjustable from 0 to 120 seconds. The factory default is 30 seconds.
S461 Q15 Temp output sensor—This parameter is adjustable from 0 = Return, 1 = Supply,
2 = Rem Max, 3 = Rem Low and 4 = Rem Avg. The factory default is Return.
S462 Q15 Temp output threshold—Sets the output threshold for the temperature using Q15. This
parameter is adjustable from 32°F to 150°F. The factory default is 80°F.
S463 Q15 temp actual—Shows the status of the temperature in Celsius or Fahrenheit for Q15.
S465 Medium board: Q15 map to K11—Shows the status of Q15 being mapped to K11 on the
medium board. This parameter will be shown as No or Yes. On the medium board, Q15 is mapped to
K11 and is selectable. If this has been selected, this parameter will show the status of K11.
S466 Q15 output state—Shows the status of the Q15 output state. This parameter will be shown as
Off or On.

Service Menu Parameters
179 Liebert® iCOM®
8.12 Service-Service Contact Info Menu Screens
Service Contact Info contains the service contact phone number, e-mail address, pager number and
Web site to be entered in this screen.
Table 20 Service contact information parameters
Function Range
Imperial (metric)
Large Display Small Display
Page 1 of 1
Password PASSWORD -
Country Country
None
Austria
Switzerland D
Switzerland F
Benelux D
Benelux FL
Germany
France
UK
Hungary
Italy
Poland
Spain
United States
Australia
New Zealand
Indonesia
Malaysia
Singapore
Address line 1 Address line 1 text-string
Address line 2 Address line 2 text-string
Address line 3 Address line 3 text-string
Address line 4 Address line 4 text-string

Service Menu Parameters
Liebert® iCOM®180
8.13 Service-Remote Sensors Menu Screens
Remote Sensors provides remote sensor setup and readings.
Figure 173 Remote sensors, page 1 of 2
SB02 Individual Sensors Mode—Each sensor node has two temperature sensors connected. This
line determines how each node or set of sensor readings will be displayed and used for control. Two
selections are available: Maximum or Average. When set to Maximum, all connected sensor nodes will
display the maximum reading of the of the two thermistors. When set to Average, all connected sensor
nodes will display the average reading of the two thermistors.
SB03 Unit Remote Sensors Mode/AVG—Compares the average or maximum reading from all
connected sensors depending on whether line SB02 is set to Maximum or Average. When Average is
selected, the user may select a smaller number of sensors to be calculated in the sensor average. If the
number selected is smaller than the number of sensor set for Control, only the highest sensor
readings will be used for the average calculation.
SB04 - SB13Remote Sensor Node #—Defines the remote sensor programming and setup. Each line
consists of four parts: sensor node, name, sensor reading and sensor setup.
Sensor Node—Up to 10 wired 2T sensors can be connected to each unit.
Name—Each node or sensor can be identified with a name (chosen and entered by user) to help
identify sensors mounted in the facility. Sensor names can be up to four alphanumeric characters
long, uppercase or lowercase, and special characters are permissible: & * / . + - : @ \
The factory default is blank.
Sensor Reading: Two temperature thermistors are attached to each 2T sensor. This portion of
the line displays the maximum or average sensor value of the two readings measured. SB02
programming determines whether the reading shows the maximum or average calculation. If a
sensor is connected but no reading is available, verify that the CANbus cables are properly
inserted and that the DIP switches and sensor termination are correct.
Sensor Setup: Defines what the sensor is used for. Three options are available: Disabled,
Reference and Control. Disabled, the factory default, is used when a sensor is not connected.
Reference is for remote sensors used for remote monitoring. Control is for sensors used for
controlling fan or cooling output.
Node
Setup
Individual Sensor Reading
SB02 programming determines
the temperature displayed.
Sensor
Name
Sensor
Node
Number of sensors
used to calculate
average; hidden
when Maximum is
selected

Service Menu Parameters
181 Liebert® iCOM®
Figure 174 Remote sensors, page 2 of 2
SB15 Auxiliary Air Temperature- enables or disables the wireless sensor connection.
SB16 Auxiliary Proxy Status—displays the proxy server communication status. Status's include
'initializing', 'active', 'inactive or lost.
• Initializing: Displayed immediately after the start of the Liebert iCOM process responsible for
tracking the communication state, or immediately after the Auxiliary Air Temperature value is
enabled.
• Active: Displayed during normal operation.
• Inactive: Displayed when iCOM becomes disconnected from the proxy.
• Lost: Displayed when the Liebert iCOM is disconnected from the proxy and the Heartbeat Event
Timer has elapsed.
SB17 AP Heartbeat / Event Timer—the left parameter is a timer that resets every time iCOM
receives an information packet is from the proxy. If iCOM does not receive a packet within the time
specified, the Auxiliary Proxy Status will show lost and the Event timer (right hand value) will start
counting down. If iCOM does not receive a packet before the event timer has reached zero, an AUX
SENSOR DISCONNECT event will become active.
SB18 Raw Auxiliary Air Temperature—The air temperature reading reported by the wireless
proxy in degrees Fahrenheit or degrees Celsius.
SB19 Act Auxiliary Air Temperature—The remote temperature reading after wireless sensors is
weighted with hard-wired sensors. The parameter reports in either degrees Fahrenheit or degrees
Celsius.
SB20 Auxiliary Weighting in TW AVG—Represents the weight applied to the Actual Auxiliary Air
Temperature, relative to the wired sensor value from each unit reported to the master. The range is 0
to 100% with a default of 0. The parameter will be hidden unless Teamwork is based on is set to
Average.

Service Menu Parameters
Liebert® iCOM®182
Example:
X = Auxiliary Weighting in TW AVG
T0= The temperature reported by the master
n= number of units in the group
T1 through Tn = the wired sensors connected to each unit in the U2U group. The temperature
reported by each unit is based on the Individual Remote Sensor Mode and Unit Remote Sensor
Mode/AVG incl.
The aggregate average value will be:
(X/100)(Actual Auxiliary Air Temperature) + [(100-X)/100/(n+1)](T0 + T1 + … Tn)
SB21 Auxiliary Use in TW Max—Determines how the Raw Auxiliary Air Temperature is used in
teamwork. This menu item has three possible values:
Exclude (default)—the Actual Auxiliary Air Temperature value will not be included in the
maximum calculation.
Include— the Actual Auxiliary Air Temperature value will be included with values from the
master and all other units in the teamwork group in order to calculate the maximum value.
Only—the Actual Auxiliary Air Temperature maximum value will be the AAT value, i.e. values
from the master and all other units in the teamwork group will be ignored.
The parameter will be hidden unless Teamwork is based on is set to Maximum.
SB22 AAT Fallback Timer—Serves as a fail-safe mode if the wireless proxy fails to communicate
with the Liebert iCOM. The user-adjustable timer begins when communication is lost. Once it reaches
zero, the control will revert to wired sensor control. The default setting is 60 seconds with an
adjustable range of 0-999 seconds.
8.14 Service-Expansion Device Setup Menu Screens
The Expansion Device Setup menu is used to set up auxiliary modbus devices, such as power meters.
This menu is not used for establishing communication with the BMS.
Figure 175 Expansion device, page 1 of 3
SC03 Modbus Baud Rate / Parity—Configures the baud rate and the parity for communication
with connected devices. The baud rate may be set to 1200, 2400, 4800, 9600 or 19200. The parity may
be None, Even or Odd.
SC04 Modbus Mode / Requested State—The left hand parameter configures the Modbus Mode.
The right hand parameter is a user-adjustable value to enable or disable communication. The mode
may be ASCII or RTU.
SC05 Actual Modbus State—Read-only value displays the device connection state.

Service Menu Parameters
183 Liebert® iCOM®
Figure 176 Expansion device, pages 2 and 3
SC16-SC21, SC31-SC35—Displays device names (read only), permits enabling or disabling each
device, and displays the Modbus address, device type (read only), user description and device status
(read only).

Service Menu Parameters
Liebert® iCOM®184

While every precaution has been taken to ensure the accuracy
and completeness of this literature, Liebert Corporation assumes no
responsibility and disclaims all liability for damages resulting from use of
this information or for any errors or omissions.
© 2013 Liebert Corporation
All rights reserved throughout the world. Specifications subject to change
without notice.
® Liebert is a registered trademark of Liebert Corporation.
All names referred to are trademarks
or registered trademarks of their respective owners.
Technical Support / Service
Web Site
www.liebert.com
Monitoring
liebert.monitoring@emerson.com
800-222-5877
Outside North America: +00800 1155 4499
Single-Phase UPS & Server Cabinets
liebert.upstech@emerson.com
800-222-5877
Outside North America: +00800 1155 4499
Three-Phase UPS & Power Systems
800-543-2378
Outside North America: 614-841-6598
Environmental Systems
800-543-2778
Outside the United States: 614-888-0246
Locations
United States
1050 Dearborn Drive
P.O. Box 29186
Columbus, OH 43229
Europe
Via Leonardo Da Vinci 8
Zona Industriale Tognana
35028 Piove Di Sacco (PD) Italy
+39 049 9719 111
Fax: +39 049 5841 257
Asia
29/F, The Orient Square Building
F. Ortigas Jr. Road, Ortigas Center
Pasig City 1605
Philippines
+63 2 687 6615
Fax: +63 2 730 9572
Emerson Network Power
Division: Liebert
Web: www.emerson.com
www.EmersonNetworkPower.com
SL-18835_REV10_10-14