Emerson File
User Manual: Emerson s - Owner's Manuals | Emerson Radio
Open the PDF directly: View PDF
.
Page Count: 23

Mw gtolw#

IMPORTANT SAFETY INSTRUCTIONS
When using electrical appliances, basic safety precautions should be followed, including the following:
WARITIING-To reduce the risk of bums, electric shock, fire, injury to persons or exposure to excessive
microwave energy:
I Read all instructions before using the appliance.
) Bead and follow the specific '?RECAUTIONS
1- TO AVOID POSSIBLE EXPOSURE TO
EXCESSIVE MICROWAVE EhIERGY''
found on page 1.
3 This appliance must be grounded. connect only
v to properly grounded outlet.
see "GROUI{DING INSTRUCTIONS" found
on page 4.
A Install or locate this appliance only in
r accordance with the provided installation
instructions.
5 Some. producs such as whole eggs and sealed
v containers - for example, closed[lasr jars-may
explode and should not be heated in this oven.
6 use this appliance only for its intended use as
v described in this manual.
7 As with any appliance, close supervision is
t necessary when used by childre;.
R Do not operate this appliance if it has a
v damaged cord 91nluS, if it is not working
properly, or if it has been damaged or dr6pped.
I This. appliance should be serviced only by
' qualified service personnel.
contact nearest authorrzed service facility for
examination, repair or adjustment.
1 0 Do not cover or block any openings on the
appliance.
I I Do not use ourdoors.
Do not immerse cord or plug in water.
Keep cord away from heated surfaces.
Do not let cord hang over edge of table or
counter.
when cleaning surfaces of door and oven that
co.nes together on closing the door, use only
mild, non-abrasive soapsbr detergents applied
with a sponge or soft cloth.
To reduce the risk of fire in the oven cavity:
a) Do not overcook food. Carefully attend
appliance if paper, plastic, or other com-
bustible materials are placed inside the oven
to facilitate cooking.
b) Remove wire twist-ties from paper or plastic
. _b-aSs before placing bag in ovbn.
c) If materials inside ihe oven should ignite,
\9.p oven door closed, turn oven ofl and
disconnect the power cord, or shut off power
at the fuse or circuit breaker panel.
17 Do not use this microwave oven to heat
t I corrosive chemicals (for example, sulfides and
chlorides). vapors from such corrosive
chemicals may interact with the contact, and
springs of the safety interlock switches thereby
rendering them inoperable.
12
13
14
r5
16
l- -- - . 1,*'-.e!,ftS1f;,,?1,,.!i| p;!i,;lr*:P. = ..F !l-- - - l ,? ,T:r?;?t!. - ,E = .F F, r.,,r,,F r- r .- e , -
I CAUIIION: {lways mt stnrt "UA"g tr*s ard ctreck t}p food ftequentlv. ff m recumnrnoea *** ,-
I utrEs ae exffi he food' especially oil m fat, will be spqilqd atd in exheme circo,nrtu#r, i
SAYE TTIESE NSTRUCTIOI\S
ill u riDl \uh

SAFETY PRECAUTIONS
1 DO NOT attempt to tamper with or make any adjust-
I *.ns ot repain to dooi, control panel or any gther
part of ttre bven. DO NOT remove outer case from
bu.n. Repairs should only be done by a qualified
service person.
DO NOT operate the oven empty. The microwave
energy will ieflect continuously _throyshout the oven
if no-food or water is present to absorb energy'
If a fire occurs in the oven, touch the STOP/CLEAR
pad and LEAVE Tfm DOOR CLOSED.
bir.o*tct the power cord, or shut off power at the
fuse or circuit breaker Panel.
A DO NOT attempt to dry clothes, newspaper or other
I materials in oven. They may catch on fire'
tr DO NOT use recycled paper products as -*tty may
U contain impuritiei which may cause sparks and/or
fires when used.
A DO NOT hit or strike control panel, damage to
\., conffols may occur.
-7 AVOID inserting nails, wire, etc. through any holes
I in the unit whilJ operating the oven. Never insert a
wire, nail or any other metal object through the holes
on the cavity oi any other holes or gaps -bequse such
objects may cause electric shock and microwave
leakage.
METAL CONTAINERS or dishes with metallic
rims should not be used. fucing may occur.
METAL TWIST-TIES must not be used in the
microwave oven.
DO NOT USE SEALED JARS OT NARROW NECK
bottles for cooking or reheating. They may shaffer.
DO NOT use CONVENTIONAL THERMOME-
TERS in the microwave oven. They may cause arc-
ing.
tr Remove PLASTIC STORE WRAPS before cooking
U or defrosting in the oven.
L For FURTFIER INFORMATION on proper cooking
() utensils, refer to the Introduction in the Microwave
cooking guide.
2
3
1 Never use your microwave oven for HOME
I CANNING. -The oven is not designed to permit
proper canning. Improperly canned food may spoil
and be dangerous to consume.
O COOKING TIMES given in the cooking guide are
Z APPROXIMATE. Factors that may affect cooking
are: starting temperatute, altitude, volume, size and
shape of foods and utensils used. 4l you become
famitiar with the oven, you will be able to adjust for
these factors.
E It is better to UNDERCOOK RATHER THAN
\) OVERCOOK foods. If food is undercooke4 it can
always be returned to the oven for furttrer cooking. If
food is overcooked, nothing can be done. Always
start with minimum cooking times.
A SMALL QUANTITIES of food or foods with LOW
tl UOISTURE content can burn, dry out or catch on
fire if cooked too long.
tr DO NOT boil eggs in their shel|. Pressure may build
*,i' up and the eggs will explode.
A Potatoes, apples, egg yolks, whole acom squash and
(J sausage'ari^e^amfiFi of food with NONPOROUS
SKINS. These must be pierced before cooking to
prevent bursting.
-1 POPCORN must be popped in a microwave corn
I popper. Microwave popped cory produces a lower
yietd than conventiolal popping. Do not pop popcorn
unless popped in a microwave a,pproved popcorn
utensilbiunless it's commercially packaged and
recommended especially for microwave ovens. Do
not use oil unless specifed by the manufacturer.
2
3
4
B
9
DO NOT attempt to deep fat fry in your oven.
tmATED LIQUIDS can ERUPT if not mixed with
air. Do not heat tiquids in your microwave oven
without fimt stining.
f
,
t
!
,
lr
1
t

FEDERAL COMMT]I\ICATIONS COMMISSION
RADIO FREQT]ENCY NTERFERENCE
STNTEMEI\T(U.S.A. ONLY)
WARITIING:
This,qquipment Ser&ratps and uses ISM frequency energy and if not installed and used properly,
that isin strict accordance with the manufacturer's instuctioris, lnay cause interference to radio
and television reception.
It,has ,h,,,p9,iertd and found to comply with limits for an iSM Eg{pm-q4 pursuant to par-t 18
ofFCC,Rulss, *hich are designed to provide reasonable pmtectipg against such in ,tn
Howe:6q, tlrere is no guarantee that interference will not occur in a prticldar,iq$talla{fum; ',11,,; .
f&i*g$ripmentdoescauseinterferencetoradioortelerrisip,arecgptio{twiichcan,be,ri. '
Oeki ty tuming the equipment off and on the usex is encoumged to try to goleqt
the intg-rfsrence by one or more of the followiags:
' . Reorient the receiving antenna of radio or television.
..Relocate the Microwave oven with respectto the receiver.
. Move the microwave oven away from-the receiver.
,, ' . Plug ttre microwave oven into a different outlet so drat microilavebven ,
and receiver are on different branch circuis.
nlgtueNurncnnm. is not responsible forany radio orTV interference causedby
LJNAUTI{ORZED MODIFICAION to this micrcwave oven. It is the responsibility of
the user to correct such interfererrce. J
L
GROUNDING NSTRUCTIONS
This appliance must be grounded. In the event of an electrical short circuit, the grounding plug reduces
the risk of elecric shock by providing an escape wire for electric current. This appliance is equipped
with a cord having a grounding wire with a grounding plug. The plug must be plugged into an outlet
that is properly installed and grounded.
l----r!----F- ---
WARNING:krregigofthegroundingcanresultinariskofelectrieshoclt.',,',,r "','',
6oltsultiar{ualified elecuician or servieeman if the grounding instrtlcdon$ axe no!',,"
cor4pletely undentood, or if doubt exists as to wlrther *re appliance is prcpedy ,
grounded, and either:
IU If it is necessary to use an extension cond, use ordy a 3-wirc extension cogl Srat has a
3-blade grounding plug, and a 3-slot receptacle that will acc@ ttre plug on the appliance.
ttre mart<eO rating bf ttt" extension cord strall be equal to or greater than the electrical rating
ofthe appliance. or
(2) Do not irse an extension cord; if the power supply cor,il is too short" have a qualified
elecfician m servieman install an outlet near the appliance.

NSTALLATION
Steady, flat location
This microwave oven should be set on a steady, flat surface.
O Ventilation
Z ;;;ffi;;k air vents. If ttrey are blocked during operation, the ovel pay overheat and eventually cause a failure'
F- pnop". u"ntifution, nop 1 in tt t of tp*" bJn"i"n ou"n's top, sides, rear and area where the unit is to be
installed.
2 Away fr,om radio and TV sets
J ;;;l""trt"" r.""po* and radio interference may result if the oven is located close to a TV, Radio, antenna feed'
erc. Place ttre oven as fm from them as possible'
/ Away from heating appliances and water taps
4 'i;;ilrr;;;;*";d; h"t air, steam or splashing liquids when choosing a place to position it, otlrcrwise *rc
insrilation might beadversely affected and breakdowns may occur'
f. PowersupPlY
U . Check your local Power source'
This microwav" ou"n t"qGt a current of approximately 15 amper€s, 120 Volts, 60Hz gounded outlet'
. power supply cord is about 1.0 meters long. . , , __--:__ ^..e^-^r^r :- ^_ + .
1. A short pow".-ruppty "ora is provided Io reduce the risks resulting from becoming entangled in or tipping over a
longer cord.
Z.'rttig*-""td sets orextension cords are avalpble qdT*.vbe.ut:d T"*"t::1T:1t:9.i1".1-T:
1ilii?,"*"""ri;;#ffi;;ffi;;r"a,iri*,, -rr"o "]*r"" ry"c "f ft? ""'d::l:.:11'li,':1::1:T*l*
;i,#.##;il;;i;;J'"d"s;itft apgliange,(2)theextension"o.9*o't,Tl{"TgTiJT,::,":
.iil]# f?itrr" r";il"".d J""rJu" *ung"b so that will not drape over the countertop or tabletop where it
can be pulled on by .hildr.n or tripped over unintentionally.
When using'grounding adaptor, make sure:th€
receptacle box is fullY groundd
Grounding
Lead
Grounding Receptacle
Adaptor ,
Examine the oven after unpacking for any damage such as:
Dents, a misaligned door, broken door, a dent in the cavity'
If any or the uU-ou. are visible, DO NOT INSTALL and notify dealer immediately'
When using $-Pronged Plug
HeCeptacle
A-
l/n'n\l I
[t u^u fl
t\7il
l_lt
| ('] ll
S-prong
Receptacle
Box cover
3-prong Plug
6
\

6
I
2
CARE OF YOURMICROWAVE OVEN
Turn the oven off before cleaning.
Keep the inside of the oven clean. When food
spatters or spilled liquids adhere to oven walls, wipe
with a damp cloth. Mild detergent may be used if
the oven gets very difiy. The use of harsh detergent
or abrasives is not recommended.
The outside oven surface should be cleaned with
soap and water, rinsed and dried with a soft cloth.
To prevent damage to the operating parts inside the
oven, water should not be allowed to seep into the
ventilation openings.
If the Control Panel becomes we! clean with a soft,
dry cloth. Do not use harsh detergents or abrasives
on Control Panel.
If steam accumulates inside or around the outside of
the oven door, wipe with a soft cloth. This may
occur when the microwave oven is operated under
high humidity conditions and in no way indicates
malfunction of the unit.
It is occasionally necessary to remove the glass tray
for cleaning. wash the tray in warm sudsy water or
in a dishwaiher.
The roller guide and oven cavity floor should be
cleaned regularly to avoid excessive noise.
Simply wipe the bottom surface of the oven with
mild detergent water or window cleaner and dry.
The roller guide may be washed in mild sudsy water.
Glass Tray Roller Guide
3
,T
7
4
5
2
The ROLLER GUIDE and oven floor should
be cleaned frequently to prevent excessive
noise.
The ROLLER GUIDE MUST ALWAYS be
used for cooking together with the Glass Tray.
,,,.,;,.'i.'..'i. .' i...l'....,i.t..i..',...,'... .ffi...#.m**,i .,.,''"=t''=fil
DO NOT operate the oven wittrout the Glass
Tray in place.
3:J"T use any other Glass Tray with this
If Glass Tray is hot, ALLOW IT TO COOL
before cleaning or placing it in water.
DO NOT cook directly on the Glass Tray.
i
i
I
I
t
l
T2
3
4

HOW TO USE YOUR MICROWAVE OVEN SAFELY
Although your oven is provided with safety features. it is important to observe the following:
a) It is important not to defeat or tamper with safety interlocks.
b) Do not place any object benreen the front face and the door or allow residue to accymulate on sealing surfaces.
Wipe the sealing area fuquently with a mild detergent, rinse and wipe dry. Never use abrasive powden or pads.
c) When opene4 the door must not be subjected to strain, for example, a child hanging on an opened door or any load
could cause the oven to fall forward to cause injury and also damage the door. Do not operate the oven if it is damaged,
until it has been repaired by a qualified service engineer. It is particularly important that the oven door closes properly
and that there is no damage to the:
i) Door (ben|
ii) Hinges and Latches (broken or loosened)
iii) Door seals and Sealing surfaces
d) The oven should not be adjusted or repaired by anyone except properly qualified service personnel.
NOIT: ft ia qui& n foi stearn to be emitted around fte door during the cooking cycle.
ft door iC not intended to seal the oven cavity completely, but its special desigr conttibutes tol&e
safety of trre appliance.
T
Err
CAUTION:
i'il nniurL*ptto operatethe oven whileempty as this will cause damage.
2. As an exhaust is located in the rear ofthe oven, install the oven so as not to block the outlet.
-T
I
I
J

I
OMNI W COOKING SYSTEVTM
The Omni Wave Cooking SystemN is a new technology from Emerson aimed at cooking food evenly and quickly.
What is the Omni Wave Cooking SystemrM? The Omni Wave Cooking Systemru concentrates the waves
equally on all areas of the food item. The dual wave system distributes waves evenly into the cavity from
two points, one above the item and one below.
Minimized Vertical T"gp""atu*J""iationt The Omni Wave Cooking Systemr" emits microwaves on to
,resultinginevencooking.Nomorehotorcoldspots!
Minimized Horizontal Temperature Variation: The Omni Wave Cooking SystemrM minimizes
discrepancy in the temperature of each cooking area by emitting microwaves on the entire tray.
Minimized Cooking Time:
Time
(Sec.)
Omni Wave Cooking Systemru
Emerson Current Model
A Company
B Company
[Cooking test on a 3.5o2 (99g) bag of popcorn]
The Omni Wave Cooking SystemrM achieves quick cooking by emitting microwaves to all sides of the food.

FEATURESDIAGRAM
e
O n-r htch - When the door is closed it will
automatically lock shut. If the door is opened
while the oven is operating, the magnetron
will automatically shut off.
@ noor seal - The door seal maintains the
microwave within the oven cavity and
prevents microwave leakage.
@ Oven cavity
@ Sputter shield - Protects the microwave
outlet from splashes of cooking foods.
@ Safety interlock system - Prevents the oven
from operating while the door is opened.
@ n*r release button - Pushing this button
stops oven operation and opens the door.
@ Ctass cooking tray - Made of specical heat
resistant glass. The tray must always be in
proper position before operating. Do not
cook food directly on the tray.
@ noner guide - Supports the glass cooking
tray.
@ n-r screen - Allows viewing of food.
The screen is designed so that light can pass
through, but not the microwaves.

FEATURESDIAGRAM
@ Nornber pads - Used to set the cooking time
and the present time.
@ nisptay - Cooking time, power level, indicators
and present time are displayed.
@ q"ick Cook - Touch ro set the desired reheat
time.
@ One touch - Used to cook or reheat specific
quantities of food. See pages 15-17.
@ Vtore - Used to add time to one touch cooking.
@
@
@
@
@
@
@
@ I.,ess - Used to remove time from one touch
cooking.
@ Auto defrost - Used to defrost foods.
@ nower - Used to set power level.
@ ctock/A.start (Auto start) - Used to set clock
and also used to set a delayed auto start.
@ stop/clear - used to stop the oven operation or
to delete the cooking data.
@ Sturt - Used to start the oven.
/ffiffi
vywry
r STAGET TDEFBOST] AUTO
I 2 WEIGHT TIME START
o@@

OPERATION PROCEDURE
This section includes useful information about oven operation.
1. Plug power supply cord into a standard 3-pronged 15 Amp, 1?0V Aq 60Hz power outlet.
2. Aft6r placing lfie iood in a suitable container, open the oven door and put it on the glass tray.
The giass tray and roller guide must alwayg be in place during cooking'
3. Shuithe door. Make sure that it is firmly closed.
I 1'n" oven light is on only when the microwave oven / When the Stop/Clear pad is pressed during the oven
I i, op"rutingl oqeratiol, the oven stops cooking and all
information retained.
2 *"oven door can be opened at any time durino To erase all information (except the present time)'
operauon Dy pressmg G door release button orithe ry:t,*i^t:p/clear pad once more' If the oven
"6.t or p*4. rrr" oi"o*itt automaticallv th* #: fl?"H#fiffiS* oven operation' all
? Each time a pad is touched, a BEEP will sound to
\" acknowledge the touch.
A The oven automatically cooks on full power unless
'+ set to a lower Power level.
6 The display will show " : 0" when the oven is
\'r' plugged in.
A Time clock returns to the present time when the
rv' cooking time ends.
R If the Start pad is touched and the oven does not
v operate, check the area between the door and door
seal for obstructions and make sure the door is
closed securely.
The oven will not start cooking until the door is
completely closed or the program has been reset.
r - r r r r r r - - r - r r - - r r - -l
I Make sure the oven is properly insElled and I
I du8ged into the electrrcal optlql'
L--rrrr rr-- ;;'il. ;;-;! J
WATTAGE OUTPUT CHART
. The power-level is set by pressing the POWER pad. The chart shows the display, the power level and the percentage of power
TouchPIOWERpad
Once the Touch Power level (Display) Approximate Percentage of Power
POWER P-HI lNTo
9P-90 90%o
8P-80 807o
1P-70 l07o
6P-60 607o
5P-50 507o
4P-40 4O7o
3P-30 307o
2P-20 20Vo
IP-10 l07o
0P-00 }Vo
11

HOW TO SET TIIE OVEN CONTROLS
SETTING THE CLOCK
When the oven is first plugged in. the display will flash ":0" and a tone will sound. If the AC power
ever goes off, the display shows " : 0" when the power comes back on.
1. Press Clock/A.Start pad.
This is a 12 hour clock system.
2. Press Clock/A.Start pad once
more.
r - r - r - - I- - - - ?. - - - - rI
3. Enter the correct time of day by touchitrg the numbers
in sequence.
4. Touch ClocklA.Start pad.
--,--.-----------
*l*YAJ99
I{OTE : This oven has rnultiple clock
systems. If you want 12 hour
clock system, omit this step.
(step 2) I
I N I I I I I I
-
I I I I T
-
J
The display stops blinking, and the colon start
blinking. If you selected 12 hour clock system, this
digital clock allows you to set from I :00 to 12:59.
If you selected Z4hour clock system, this digital
clock allows you to set from 0:00 to 23:59.
L
tI
(
;
i
ri
I
t
1
I
t- l-::': -- -
t N0{Ut tr ydu'attempt to enter an incorrect time; flre tifrrg- viill not be sef and a error si$alririne will i
| ' :,l:, scntrtd;:,hexs the Clock/A. Start pad and re:enter the tirne;.,,, - l
t-
E-ri--t---rr --- --- --;---J
WEIGHT DEFROSTING
WEIGHT DEFROST lets you easily defrost food by eliminating guesswork in determining defrosting time.
The minimum weight for WEIGHT DEFROST is 0.5 pounds. The maximum weight for WEIGHT
DEFROST is 6.5 pounds. Follow the steps below for easy defrosting.
1. Press Auto Def. pad. The WEIGHT DEFROST indicator lights and
"0.0" is displayed and the lb indicator starts
blinking.
The display will show the numbers you pressed
in the order you touched.
WEIGHT DEFROSTING begins.
The defrosting time is automatically determined by the weight entered.
The lb indicator goes off and the weight defrost indicator blinks and the defrosting time counts down in *re display
window. If the weight of food is more than 0.6 pounds (time defrost from 4: 16) in weight defros! the oven beeps
during the defrosting cycle to signal that the food needs to be tumed or rearranged. When the defrosting time ends,
you will hear 3 beeps.
2. hess numhr pads for the desired defrosting weight.
3. Press Start pad.
12

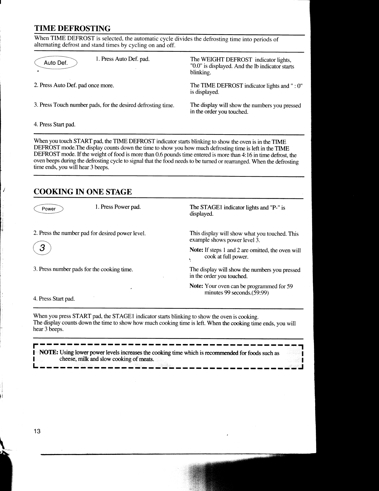
TIME DEFROSTING
When TIME DEFROST is selected, the automatic cycle divides the defrosting time into periods of
alternating defrost and stand times by cycling on and off.
l. Press Auto Def. pad.
2. Press Auto Def. pad once more.
3. Press Touch numbr pads, for the desired defrosting time.
4. Press Start pad.
When you touch START pad, the TIME DEFROST indicator starts blinking to show the oven is in the TIME
DEFROST mode.The display counts down the time to show you how much defrosting time is left in ttre TIME
DEFROST mode. If tlre weight of food is more than 0.6 pounds time entered is more than 4: 16 in time defrost, the
oven beeps duringthe defrosting cycle to signal that the food needs to be turned or rearranged. When the defrosting
time ends, you will hear 3 beeps.
COOKING IN ONE STAGE
The WEIGHT DEFROST indicaror lighrs,
"0.0" is displayed. And the lb indicator starts
blinking.
The TIME DEFROST indicator lights and " : 0"
is displayed.
The display will show the numbers you pressed
in the order you touched.
2. Press
@
l. Press Power pad. The STAGE1 indicator lights and "P-" is
displayed.
This display will show what you touched. This
example shows power level 3.
Note: If steps 1 and 2 are omitted, the oven will
.. cook at full power.
The display will show the numbers you pressed
in the order you touched.
Note: Your oven can be programmed for 59
minutes 99 seconds.(59:99)
the number pad for desired power level.
3. Press numbr pads for the cooking time.
4. Press Start pad.
When you press START pad, the STAGE1 indicator starts blinking to show the oven is cooking.
The display counts down the time to show how much cooking time is left. When the cooking time ends, you will
hear 3 beeps.
J- - - - -.- - - r - - - - - - - - -: - -: - - - - - - r - - -:,F: lI
I',I|OTE: Us$:ltr*rer power levels inereoses t}re eoc&ing timp.which is recunnrendod fm foods such as i
cheese, nUIk and slow cooking of meats. I
[,_
n
13

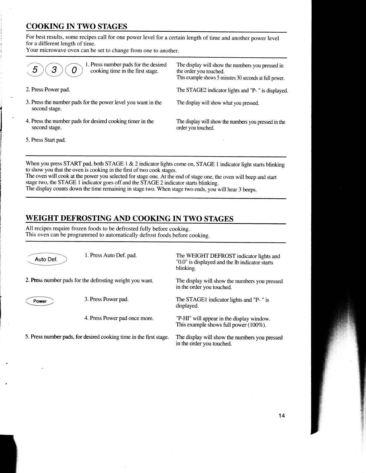
COOKING IN TWO STAGES
For best results, some recipes call for one power level for a certain length of time and another power level
for a different length of time.
Your microwave oven can be set to change from one to another.
€) @ @ 1 Press,U?Hfl*'ff f;ffi"".
2. Press Power pad.
3. Press the number pads for the power level you want in the
second stage.
4. Press the number pads for desired cooking timer in the
second stage.
5. Press Start pad.
The display will show the numbers you pressed in
the order you touched.
This example shows 5 minutes 30 seconds at full power.
The STAGEZ rndrcator lights and 'rP- I' is displayed.
The display will show what you pressed.
The display will show the numbers you pressed in the
order you touched.
Whgn you pryss START pad, both STAGE I & 2 indicator lights come on, STAGE I indicator light starts blinking
to show you that the oven is cooking in the fint offivo cook stages.
The oven will cook at the power you selected for stage one. At the end of stage one, the oven will beep and start
stage two, the STAGE I indicator goes off and the STAGE 2 indicator starts blinking
The display counts down the time remaining in stage two. When stage two ends, you will hear 3 beeps.
WEIGHT DEFROSTING AND COOKING IN TWO STAGES
All recipes require frozen foods to be defrosted fully before cooking.
This oven can be programmed to automatically defrost foods before cooking.
Auto Def. 1. Press Auto Def. pad.
2. Press numbr pads for the defrosting weight you want.
3. Press Power pad.
4. Press Power pad once more.
5. Press numbr pads, for desired cooking time in the first stage.
The WEIGHT DEFROST indicator lights and
"0.0" is displayed and the lb indicator starts
blinking.
The display will show the numbers you pressed
in the order you touched.
The STAGEI indicator lights and "P- " is
displayed.
"P-HI" will appear in the display window.
This example shows full power (lNVo).
The display will show the numbers you pressed
in the order you touched.
14

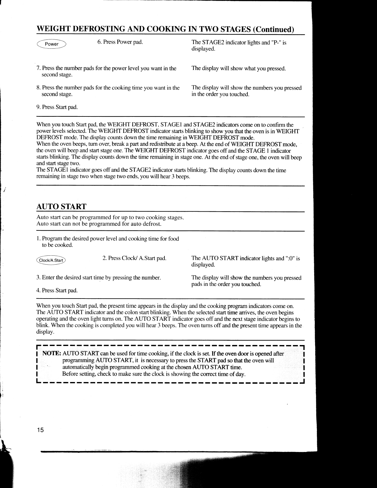
WEIGHT DEFROSTING AND COOKING IN TWO STAGES (Continued)
6. Press Power pad.
7. Press the number pads for the power level you want in the
second stage.
8. Press the number pads for the cooking time you want in the
second stage.
9. Press Start pad.
The STAGE2 indicator lights and "P-" is
displayed.
The display will show what you pressed.
The display will show the numbers you pressed
in the order you touched.
When you touch Start pad, the WEIGHT DEFROST. STAGEI and STAGE2 indicators mme on to confirm the
power levels selected. The WEIGHT DEFROST indicator starts blinking to show you that the oven is in WEIGHT
DEFROST mode. The display counts down the time remaining in WEIGIIT DEFROST mode.
When the oven beeps, tum over, break a part and redisnibute at a beep. At the end of WEIGHT DEFROST mode,
the oven will beep and start stage one. The WEIGHT DEFROST indicator goes off and the STAGE I indicator
starts blinking. The display counts down the time remaining in stage one. At the end of stage one, the oven will beep
and start stage two.
The STAGE1 indicator goes off and the STAGE2 indicator starts blinking. The display counts down the time
remaining in stage two when stage two ends, you will hear 3 beeps.
AUTO START
Auto start can be programmed for up to two cooking stages.
Auto start can not be programmed for auto defrost.
l. Program the desired power level and cooking time for food
to be cooked.
2. Press Clock/ A.Start pad.
3. Enter the desired start time by pressing the number.
4. Press Start pad.
The AUTO START indicator lights and ":0" is
displayed.
The display will show the numbers you pressed
pads in the order you touched.
When you touch Start pad, the present time appears in ttre display and the cooking program indicators come on.
The AUTO START indicator and the colon start blinking. When the selected start time arrives, the oven begins
operating and the oven light tums on. The AUTO START indicator goes off and the next stage indicator begins to
blink. When the cooking is completed you will hear 3 beeps. The oven tums offand the present time appears in the
display.
I\KIIE: AtIfo STAffican be used fortime coo$t1g, if dre clock is set. If the oven door is opend after
programming AUTO START, it is necessary to press the START pad so that the oven will
' automatically begin programmed cooking at ttre chosen AUTO START time.
Before sefiing, check to make sure the clock is showing the correct time of day.

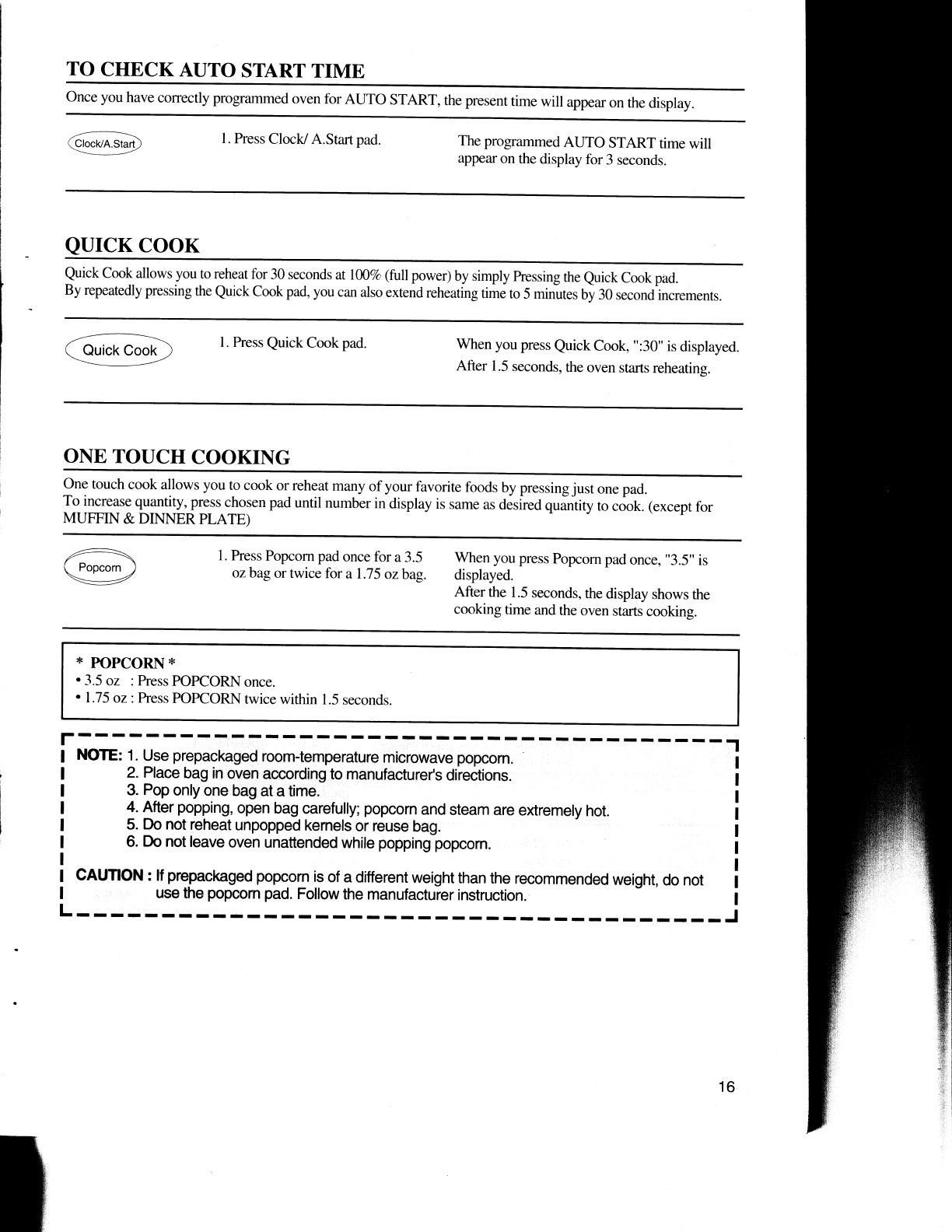
TO CHECK AUTO START TIME
Once you have correctly programmed oven for AUTO START, the present time will appear on the display.
1. Press Clock/ A.Start pad. The programmed AUTO START rime will
appear on the display for 3 seconds.
QUrCK COOK
Quick Cook allows you to reheat for 30 seconds at lNVo (full power) by simply Pressing the euick Cook pad.
By repeatedly pressing the Quick Cook pad, you can also extend reheating time to 5 minutes by 30 second increments.
l. Press Quick Cook pad. When you press Quick Cook, ":30" is displayed.
After 1.5 seconds, the oven stafis reheating.
ONE TOUCH COOKING
pn9 touch cook allows you to cook or reheat many of your favorite foods by pressing just one pad.
To_increase quantity, press chosen pad until number in display is same as desired quiotlty to colk. (except for
MUFFIN & DINNER PLATE)
1. Press Popcorn pad once for a 3.5
ozbag or twice for a I.75 ozbag. When you press Popcorn pad once, "3.5" is
displayed.
After the 1.5 seconds, the display shows the
cooking time and the oven starts cooking.
* POPCORN 8
. 3.5 oz : Press POPCORN once.
' 1.75 oz : Press POPCORN twice within 1.5 seconds.
L
IIOTE: 1. lse prepackagd ioom-ternperafure mbrowave popcom.
2. Plac,e bag in,,uren amordir8 to maruItaclurefs directions.
3. Pop only orre bag at a tine.
!. ffter popping, open bag carefully; popom and steam are extremely hot.
5. Do not reheat unpopped kemels or rcuse bag.
6. Do not leave oven unattended wtrile popping porcorn.
CAIIflON : lf prepackaged popcom is of a different weight than the recommended weight, do not
use the ppcom pad. Fdloru the manufacturer instruction.
rrrrrrr--J
16

OI\E TOUCH COOKING (continued)
1. Press Frozen Ptzzapad once for a
J oz przza or twice for a l0 oz
ptzza.
When you press Frozen Ptzza pad once, "7"
is displayed.
After 1.5 seconds, the display shows the
cooking time and the oven starts cooking.
* FROZEN PIZZA*
. J oz : Press FROZENPVZA once.
. 10 oz: Press Touch FROZENPIZZA twice within 1.5 seconds.
1: ----'I
NOTE: 1 .Use only frozen piza ala time.
2.Use only frozen pizza made for microwave ovens.
, ' e.lf &*,qheape,of f,rozen pizza does not meft sufficiently, cook a few gqcqM,ilorEqrl
. +.SOnre UanAs olirozeipvzamay require more or less cooking time.
I
h I r -
r it t
-
i I il
-
I
-
I
- -I
1. Press Beverage pad once for I
cup, twice for 2 cups or three
times for 3 cups.
When you touch Beverage pad once, " 1" ls
displayed.
After 1.5 seconds. the display changes into cooking
time of quantity and the oven starts cooking.
* BEVERAGE * (250mVcup)
. I cup (mug) : Press BEVERAGE once.
.2 cups (mugs) : Press BEVERAGE twice within 1.5 seconds.
. 3 cups (mugs) : Press BEVERAGE three times within 1.5 seconds.
NOTE:i1. This setting is good tor restoring cooled beverage to a better drinking temperauJre;
2. Stir after cooking. l
I
J
l-
I
I
L
1. Press Dinner Plate pad once for
an 1 I oz dinner plate of food.
When you press Dinner Plate pad once, " 1 1"
is displayed.
After 1.5 seconds, the display shows the
cooking time and the oven starts cooking.
1. Press Muffin pad once to cook 5
muffins.
When you press Muffin pad once, "5" is
displayed.
After 1.5 seconds, the display shows the
cooking time and the oven starts cooking.
:,- . I '+':,ril

ONE TOUCH COOKING (continued)
1. Press Soup pad once for a 8 oz
soup or twice for a 12 oz.
When you Press Soup pad once, "8" is
displayed.
After 1.5 seconds, the display shows the
cooking time and the oven starts cooking.
* SOUP *
. 8 oz : hess SOUP once.
. 12 oz : hess SOUP twice within 1.5 seconds.
1. Press Fresh Vegetable pad once
for a 8 oz of fresh vegetable or
twice for a 12 oz of fresh
vegetable.
When you press Fresh Vegetable pad once, "8" is
displayed.
After 1.5 seconds, the display shows the cooking
time and the oven starts cooking.
* FRESH VEGETABLE 8
. 8 oz : Press FRESH VEGETABLE once.
' 12 oz: Press FRESH VEGETABLE twice within 1.5 seconds.
f---
I NOTE: For best results, consult the cookbook. .I
I
L- -t -r r.,-J
1. Press Baked Potato pad once for
each 5.5 oz - 6.5 oz baked potato.
When you press Baked Potato pad once, " 1"
is displayed.
After 1.5 seconds, the display shows cooking
time and the oven starts cooking.
* BAKED POTATO * (5.5 0Z-6.5 OZ,/EA.)
. I Piece : Press BAKED POTATO once.
. 2 Pieces : Press BAKED POTATO twice within 1.5 second.
'3 Pieces : Press BAKED POTATO three times within 1.5 second.
18

MORF,TLF,SS
If the quantity of food to be cooked is slightly more or less than the
MORE/LESS pads. During reheating, these pads will add or reduce
ONE TOUCH COOKING mode. Always input cooking times with
the ONE TOUCH COOKING Pad.
amount indicated in the charts, use
cooking time. These pads work for only
the MORE/LESS pads before you press
MORE : One press adds 10 seconds to the cooking time.
Two presses add 20 seconds to the cooking time.
LESS : One press reduces 10 seconds from the cooking time.
Two presses reduce 20 seconds from the cooking time.
CHILD SAFETY LOCK
The safety lock prevents unwanted oven operation such as by small children.
To set, press and hold Stop/ Clear for 3 seconds, LOCK indicator lights.
To canCel, press and hold Stop/ Clear for 3 seconds, LOCK indicator goes off.
TO STOP THE OVEN WHILE THE OVEN IS OPERATING
1. Press Stop/Clear pad.
. You can restart the oven by pressing Start pad.
. Press Stop/Clear once more to erase all instructions.
. You must enter in new instructions.
2. Open the door.
. You can restart the oven by closing the door and pressing Start.
r - r rr - r r - - - I - - - - n - I
i ruOfE: Oven stops operating when door is opened.
I-l
I
J
19

COOKINGGT]tr)E
TIIE PRINCIPLES OF MICROWAVE COOKING
Microwaves are a form of high frequency radio waves similar to those used by a radio including AM, FM
and CB. They are, hov'ever. much shorter than radio waves; approximately four to six inches iong with a
diameter of about 0.6cm ( 1/,t inch). Electricity is converted into microwave energy by the magnetron tube.
From the magnetron tube, microwave energy is transmitted to the oven cavity where it is reflected,
transmitted and absorbed.
Reflection
Microu'aves are reflected by metal just as a ball is bounced off a wall. A combination of stationary (interior
tt'alls) and ruating metal (turntable or stirrer fan) he$s assure that the microwaves are well distributed within the
oven carih'to produce even cooking.
Transmission
Microwaves pass through some materials such as paper, glass and plastic much like sunlight shining through a
window. Because these substances do not absorb or reflect the microwave energy, they are ideal materialJ for
microwave oven cooking containers.
Absorption
During cooking, microwaves will be absorbed by food. They penetrate to a depth of about 1.8 to 3.7cm Ol4 to lt/2
inches). Microwave energy excites the molecules in the food (especially water, fat and sugar molecules), and causes
them to vibrate at ante of 2,450,000,000 times per second. This vibration causes friction, and heat is produced. If you
vigorously rub your hands together, you will feel heat produced by friction. The internal cooking oflarger foods is dbne
by conduction. The heat which is produced by friction is conducted to the center offood
Foods also continue to cook by conduction during standing time.
Because microwaves dissipate, much fike sunlight as it reaches the Earth's surface, they cannot be stored in food.
MICROWAIM UTENSILS
Glass, Ceramic and China
Ovenproof glass or ceramic baking dishes are the most-used microwave utensils. Many of these items are readily
available in most homes: glass measures, custard cups, mixing bowls, covered casserole, oblong baking dishes, pie
dishes and round or square cake dishes.
Tableware can be used for microwave cooking. If tableware is marked ovenproof, it is frequently safe to use in the
microwave oven.
Jars and botfles can be used to warm food to serving temperature, if the lid is removed first. Cooking should not
be done in these containers since most are not heat resistant and during extended cooking times, heat frbm the food
would cause cracking or breaking.
Do not use dishes with silver, gold, platinum or other metal trim. Arcing may occur and/or the dish may break.
!o not use delicate glassware. Although the glassware may be transparent to microwave energy, the heat from the
food may cause the glassware to crack.
20

Plastics
Plastic dishes, picnic ware, thermal cups, mugs and bowls may be used in the oven for short period of time. But
none of these should be used in the oven for prolonged period because distortion and melting may occur. Check
manufacturer's recommendations conceming rnicrowave safety.
Plastic wrap can be used to cover dishes in most recipes. Use plastic warp as a tight covering, but pierce it before
removing to prevent steam bums,
Plastic cooking bags should be slit before cooking so excess steam can escape, Do not wire twist-ties to close bags.
They can act as an antenna and cause arcing (blue sparks). Wire twist-ties could damage the oven.
Paper
Paper cups, wax paper, napkins, paper towels, plates and paper cartons may be used for cooking. Prolonged
time in the oven can cause paper to burn. wax paper is suitable to use to prevent spatter.
Do not use recycled paper products, such as brown paper bags, since they contain impurities. which may cause
arcing and damage the oven.
Straw, Wicker and Wood
Straw and wicker baskets may be used
utensils, such as bowls or cuffing boards
in the oven for the very short time it takes to heat rolls. Large wooden
cause the wood to become dry and brittle.
the oven for short periods of time.
Metal
Metal utensils should not be used in the oven. Since microwave energy is reflected by metal, foods in metal
containers will not cook evenly. There is also the possibility of "arcing". Arcing may cause damage to the oven
walls.
Special Microwave Accessories
Brorvning rlishes can be used for searing, browning and frying during microwave cooking. Browning dish has a
special coating on the bottem that atffacts microwave energy when the dish is preheated in a microwave oven. Do
not preheat the browning dish longer than the manufacturer's recommendation.
Roasting rack to hold the food away from the liquid which accumulates as meat cooks. It is ideal for bacon and
assists in reheating pastry and other dry items.
Cake dishes-cupcakers, ring molds and cake pans are designed to ensure even results when cooking cakes in a
variety of shapes and sizes.
should not be used for prolonged cooking as the microwave energy may
However, wooden spoons or wood-handled rubber spatulas can be left in
1
I
I
t,
I
I'
I
I
i
i
ii
21

@Emerson,
SERVICE
TO FINDTHE LOCATION AND PHONE
NUMBER OFYOUR NEAREST
SEMTrcE GENTER PERMITTED TO
PERFORM WARRANTY SERVICE...
CALL TOLL FREE: 1-800'695-0098
FOR ADDITIONAL SET.UP OR
OPERATING ASSISTANCE
PLEASE CALL:
1-800-898-9020
FOR CUSTOMER SERVICE, PLEASE WRITE TO:
Emerson Radio Corp.
Consumer Affairs Dept.
1901 DIPLOMAT DRIVE
FARMERS BRANCH, TX75234

LIMIIED WARRANTY
MICROWAVE OVENS
Emerson Radio Corp. warrants this product to be free from manufacturing defects in original material, including
original parts. and workmanship under normal use and conditions ("manufacnrring defect) for a period of one ( tj
lear fiom'late of original purchase in, and if used in, the united States ("wananff').
Shilld sewice be necessary under this warranfy, Emerson will provide the following at an Independent Service
Cemeror Regrolal Repair Facility permitted by Emerson to perform repain, provided ttre manufaituring defect is
rqified along with the date of purchase:
* Repair service for one (1) year from date oforiginal purchase at no charge for labor and parts.
* R-eplacement of a defective magnetron for seven (7) years from date of original purchase (labor not included after
initial twelve (12) months)
There are Independent Service Centers and Regional Repair Facilities located throughout the counbry. For one
nearest you, DIAL TOLL FREE:
l-800-695-0098. In the event the product must be mailed to a Regional Repair Facility which is permitted by
Emerson to perform repain:
* Pack the unit in a well-padded heavy comrgated box.
x Enclose your check or money order payable to the REGIONAL REPAIRFACILITY in the amounr of
$15.00 to cover retum shipping and handing costs.
x Enclose a copy of your proof of purchase (warranty service will not be provided without dated proof of
purchase)
* Ship the unit prepaid via UPS or parcel post (insured).
NOTE: This wan:anty does not cover.
(a) Damage to equipment not properly connected to the product.
(b) Cost incurred in the shipping of the product to and from a Regional Repair Facility permitted by
Emerson to perform warranty repairs.
(c) Damage or improper operation of unit caused by customer abuse, misuse, negligence, or failure to
follow operating instuctions provided with the product.
(d) Ordinary adjustrnents to the product which can be performed by customer as outlined in the owner's
manual.
(e) signal reception problems caused by extemal antenna or cable systems.
(f1 Products not purchased in the United States.
(g) Damage to product if used outside the United States.
THIS WARRANTY IS NQN-TRANSFERABLE AND APPLIES ONLY TO TI{E ORIGINAL PURCHASER
AND DOES NOT EXTEND TO SUBSEQUENT OWNERS OF THE PRODUCT. ANY APPLICABLE
IMPLIED WARRANTIES,INCLUDING TI{E WARRANTY OF MERCHANTABILITY, ARE LIMITED IN
DURATION TO A PERIOD OF THE E)(PRESSED WARRANTY AS PROVIDED HEREIN BEGINNING
WITH THE DATE OF ORIGINAL PURCHASE AT RETAIL AND NO WARRANTIES, WHETHER
EXPRESSED OR IMPLIED, SHALL APPLY TO TI{E PRODUCT TT{EREAFTER. EMERSON MAKES NO
WARRANTY AS TO THE FITNESS OF TTIE PRODUCT FOR ANY PARTICULAR PURPOSE OR USE.
THE EXTENT OF EMERSON RADIO CORP'S LIABILITY UNDER THIS LIMITED WARRANTY IS TIIE
REPAIR OR REPLACEMENT PROVIDED ABOVE AND, IN NO EVENT, SHALL EMERSON RADIO
CORP'S LIABILITY EXCEED TTIE PURCHASE PRICE PAID BY TFM PURCHASER OF TI{E PRODUCT.
UNDER NO CIRCUMSTANCES SHALL EMERSON RADIO CORP. BE LIABLE FOR ANY LOSS,
DIRECT, INDIRECT,INCIDENTAL, SPECIAL, OR CONSEQUENTIAL DAMAGE ARISING OUT OF OR
L\I CONNECTION WTIH THE USE OF THIS PRODUCT.
THIS WARRANTY IS VALID ONLY INTHEUMTED STATES OFAMERICA. THIS WARRANTYGIVES
YOU SPECIFIC LEGAL RIGHTS. HOWEVER, YOU MAY HAVE OTT{ER RIGHTS WHICH MAY VARY
FROM STATE TO STATE. SOME STATES DO NOT ALLOW LMITATION ON IMPLIED WARRANTIES
OR EXCLUSION OF CONSEQUENTIAL DAMAGE, THEREFORE THESE RESTRICTIONS MAY NOT
APPLYTOYOU.
MV 1094F
56