Ericsson Wi Fi 30005002 DRU 5GHz radio User Manual RAR30005002 DRU 5GHz Radio Manual
Ericsson Wi-Fi DRU 5GHz radio RAR30005002 DRU 5GHz Radio Manual
user manual

Page 1 of 13
B5CH114AA
B5CH114AA Product Manual
DRU 5 GHz WLAN Radio Module
Document Date: Nov 10, 2010
Document Number: B5CH114AA
Document Version Number: 1
Document Status: Release
© Copyright 2010 by BelAir Networks.
All rights reserved.

B5CH114AA Product Manual
DRU 5 GHz WLAN Radio Module
Page 2 of 13
Contents
About this Document ................................................................... 2
Introduction .................................................................................. 3
Conditions of Use ......................................................................... 4
Module Installation and Service ................................................. 5
Final Product Requirements ........................................................ 6
Regulatory Statements .............................................................. 11
About this Document
This document is a product manual for the DRU 5 GHz WLAN Radio
Module, including its limitations on use in any product marketed or
offered for sale. It is intended as a supplement to training and
documentation by BelAir Networks Inc. or its authorized agents.

B5CH114AA Product Manual
DRU 5 GHz WLAN Radio Module
Page 3 of 13
Introduction
The B5CH114AA (hereafter referred to as “the module”) is a 5 GHz radio module
compatible with the IEEE 802.11 standard for Wireless LAN operation. It is designed
to be interoperable with WLAN products which are based on Orthogonal
Frequency Division Multiplexing (OFDM) radio technology.
The module contains a complete IEEE 802.11a/n radio and Medium Access Control
(MAC) protocol engine which allows implementation of an IEEE 802.11a/n access
point (AP).
The module is not intended for stand-alone operation. It will only be marketed as a
complete product, in conjunction with a package, DC power supply and antennas
(hereafter referred to as “the product” or the “final product”).
The module can be used in the 5 GHz ISM unlicensed bands.
Since the module has a BelAir networks proprietary digital interface, it cannot be
directly connected to any standard telecommunications or computer devices. It
can only be used with final products designed and authorized specifically for that
purpose.

B5CH114AA Product Manual
DRU 5 GHz WLAN Radio Module
Page 4 of 13
Conditions of Use
General Conditions of Use
This manual is intended to supplement training provided by BelAir Networks or
authorized parties. The module B5CH114AA is only intended for use in BelAir
Networks products and is not for sale to the general public as a stand-alone
module.
Please read this entire document, including the Regulatory Statements section
before attempting to install or operate the module.
Warning: Any use of B5CH114AA in any manner which is not expressly specified
within this manual or specifically approved by BelAir Networks or its authorized
agents will void the user’s right to operate this module, and is expressly forbidden
by BelAir Networks. This includes any modification of the module, installation of the
module in a configuration or used with antennas which are not expressly listed in
this document or approved by BelAir Networks.

B5CH114AA Product Manual
DRU 5 GHz WLAN Radio Module
Page 5 of 13
Country of Use
B5CH114AA is certified with limited modular approval for use as an Intentional
Radiator in the United States as device: FCC ID: RAR30005002 and in Canada as
IC: 4674A-30005002. Please read all regulatory statements at the end of this
document before any attempt to install or operate this module.
The module is only certified for operation in the United States and Canada. Before
attempting to install and operate this module in any other country, contact BelAir
Networks for approval.
Module Labeling
One or more labels are applied to the module during manufacture, including a
label which identifies the FCC and Industry Canada identification numbers. Do not
attempt to remove any labels from the module.
Module Installation and Service
Installation into a Product
The module shall only be installed by a technician trained by BelAir Networks or its
authorized agents. It should only be installed into an approved product (see
above) following all manufacturing and service procedures for that product. The
module should only be installed into a final product in a manufacturing or service
depot site.
Caution: B5CH114AA is an electro-static discharge (ESD) sensitive device. All
appropriate ESD measures must be taken when handling the module. Failure to
employ appropriate ESD protection may damage the module.
Module Service
The module is not intended as a field-serviceable unit. It contains no field-
replaceable or field-serviceable parts, or any external adjustable mechanisms. The
module should only be serviced in a manufacturing or service depot site approved
by BelAir Networks or its authorized agents.

B5CH114AA Product Manual
DRU 5 GHz WLAN Radio Module
Page 6 of 13
Final Product Requirements
The requirements below apply to any final product in which the B5CH114AA
module is installed.
Antenna Usage and Module Transmit Power
The DRU 5GHz radio module supports MIMO 2x2 configuration with two transmit
chains and two receive chains. The B5CH114AA module shall only be used at the
following output power levels in conjunction with the following antenna types as
outlined in the tables that follow.
5725-5850 MHz – Part 15.247 Subpart E
For operation in the 5725-5825 MHz UNII band, the B5CH114AA may be set to
operate on 20 MHz channel bandwidths.
5725-5850 MHz – Part 15.247 Subpart C
For operation in the 5725-5850 MHz ISM band, the B5CH114AA may be set to
operate on 20 MHz or 40 MHz channel bandwidths.

B5CH114AA Product Manual
DRU 5 GHz WLAN Radio Module
Page 7 of 13

B5CH114AA Product Manual
DRU 5 GHz WLAN Radio Module
Page 8 of 13

B5CH114AA Product Manual
DRU 5 GHz WLAN Radio Module
Page 9 of 13
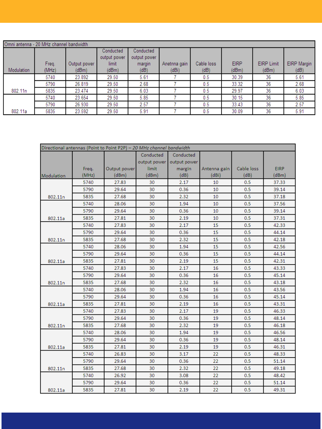
Certified Antennas:
The following antennas are certified for use:
In order to comply with the FCC and Industry Canada rules in the USA and
Canada, respectively, it is required to respect the maximum transmit power limits as
follows for each of the antenna types as indicated in the above tables.
Warning: Use of this module in conjunction with any antenna not expressly listed
above will void authority to install or operate this equipment.
Warning: Setting of module transmit power above the limits specified in the above
table for a particular combination of antenna type, frequency of operation, and
type of usage, will exceed FCC or Industry Canada limits and void authority to
install or operate this equipment.
Product Installation
Products which contain B5CH114AA shall only be installed by professional installers
trained by BelAir Networks or its authorized agents. This product is to be installed on
fixed permanent structures. In addition to normal installation procedures and
good installation practice, professional installers are responsible to ensure that:
1. Only an approved antenna (see above) is connected to the module, and,

B5CH114AA Product Manual
DRU 5 GHz WLAN Radio Module
Page 10 of 13
2. The antenna is mounted in such a manner and in such a location that access to
the antenna by the general population is minimized. Access to the antenna by
the general population should be limited to more than the minimum safety
distance. This distances are outlined according to product type and whether
high gain antennas are used:
DRU2.4GHzradio DRU5GHzradio DRU2.4GHzradio DRU5GHzradio DRU2.4GHzradio DRU5GHzradio
5dBi 7dBi ≤8dBi ≤15dBi >8dBi >15dBi
StandardAntennas
MinimumDistance
8.1inches
MeduimGainAntennas
MinimumDistance
19.3inches
MinimumSafetyDistances
HighGainAntennas(upto22dBi)
MinimumDistance
42.9inches
Adherence to these rules by the professional installer is mandatory. See full
installation procedures for the particular product for details.
Product Labeling
The following permanent label, or one containing equivalent information, must be
affixed in a conspicuous location on the exterior of every product containing this
module:
FCC ID: RAR30005002
IC: 4674A-30005002

B5CH114AA Product Manual
DRU 5 GHz WLAN Radio Module
Page 11 of 13
Regulatory Statements
The following regulatory notes apply to the product which contains module
B5CH114AA. The following sections or equivalent information shall appear in the
user-manual of the final product.
Regulatory Information and Disclaimers
Installation and use of this device must be in strict accordance with the instructions
included in the user documentation provided with the product. Any changes or
modifications to this product not expressly approved by the party responsible for
compliance could void the user’s authority to operate this equipment.
The manufacturer is not responsible for any interference to radio or television
equipment caused by unauthorized modification of this device, or attachment of
any antennas or equipment other than those specified by the manufacturer. The
manufacturer or its authorized resellers or distributors will assume no liability for any
damage or violation of government regulations arising from failing to comply with
these guidelines.
Manufacturer’s FCC Conformity Statement
This device complies with Part 15 of the FCC Rules.
Operation is subject to the following two conditions (1) this device may not cause
harmful interference, and (2) this device must accept any interference received,
including interference that may cause undesired operation.
FCC Interference Statement
This equipment has been tested and found to comply with the limits for a Class B
digital device, pursuant to Part 15 of the FCC Rules. These limits are designed to
provide reasonable protection against harmful interference in a residential
installation. This equipment generates, uses, and can radiate radio frequency
energy and, if not installed and used in accordance with the instructions, may
cause harmful interference to radio communications. However, there is no
guarantee that interference will not occur in a particular installation. If this
equipment does cause harmful interference to radio or television reception, which
can be determined by turning the equipment off and on, the user is encouraged
to try to correct the interference by one or more of the following measures:
Reorient or relocate the receiving antenna.

B5CH114AA Product Manual
DRU 5 GHz WLAN Radio Module
Page 12 of 13
Increase the separation between the equipment and receiver.
Connect the equipment into an outlet on a circuit different from that to which
the receiver is connected.
Consult the dealer or an experienced radio/TV technician for help.
Manufacturer’s Industry Canada Conformity Statement
This device has been designed to operate with an antenna having a maximum
gain of 22 dBi. Antenna having a higher gain is strictly prohibited per regulations of
Industry Canada. The required antenna impedance is 50 ohms.
This device has been designed to ensure that radio frequency emissions are
maintained within the band of operation under all normal operating conditions
listed in this manual.
Operation is subject to the following two conditions: (1) this device may not cause
interference, and (2) this device must accept any interference, including
interference that may cause undesired operation of the device.
To reduce potential radio interference to other users, the antenna type and its gain
should be so chosen that the equivalent isotropic radiated power (EIRP) is not more
than that required for successful communication.
This Class B Digital apparatus meets all the requirements of the Canadian
Interference-Causing Equipment Regulations.

B5CH114AA Product Manual
DRU 5 GHz WLAN Radio Module
Page 13 of 13
RF Exposure Statement
This device complies with FCC RF radiation exposure limits for an uncontrolled
environment. The radiated output power of this Wireless LAN device is below the
FCC radio frequency exposure limits. However, this device should still be installed
and used in such a manner that the potential for human contact during normal
operation is minimized. In order to comply with RF exposure limits established in the
ANSI C95.1 standard, this equipment should be installed and operated at a
minimum distance between the radiator and a human body. This minimum
distance is:
DRU2.4GHzradio DRU5GHzradio DRU2.4GHzradio DRU5GHzradio DRU2.4GHzradio DRU5GHzradio
5dBi 7dBi ≤8dBi ≤15dBi >8dBi >15dBi
StandardAntennas
MinimumDistance
8.1inches
MeduimGainAntennas
MinimumDistance
19.3inches
MinimumSafetyDistances
HighGainAntennas(upto22dBi)
MinimumDistance
42.9inches
BelAir Networks Inc.
603 March Road
Kanata, Ontario
Canada
K2K 2M5
613-254-7070
Sales
sales@belairnetworks.com
Support
support@belairnetworks.com
General Information
Info@belairnetworks.com