Fluke Electronics FWBA USB1 FC WiFi-BLE Adapter User Manual 0master
Fluke Electronics USB1 FC WiFi-BLE Adapter 0master
Contents
- 1. Installation Instructions
- 2. Regulatory Information
- 3. Logger Manual
Logger Manual

September 2015
© 2015 Fluke Corporation. All rights reserved. Specifications are subject to change without notice.
All product names are trademarks of their respective companies.
1736/1738
Power Logger
Users Manual

LIMITED WARRANTY AND LIMITATION OF LIABILITY
Each Fluke product is warranted to be free from defects in material and workmanship under normal use and service. The warranty period is two years and
begins on the date of shipment. Parts, product repairs, and services are warranted for 90 days. This warranty extends only to the original buyer or end-user
customer of a Fluke authorized reseller, and does not apply to fuses, disposable batteries, or to any product which, in Fluke's opinion, has been misused,
altered, neglected, contaminated, or damaged by accident or abnormal conditions of operation or handling. Fluke warrants that software will operate
substantially in accordance with its functional specifications for 90 days and that it has been properly recorded on non-defective media. Fluke does not
warrant that software will be error free or operate without interruption.
Fluke authorized resellers shall extend this warranty on new and unused products to end-user customers only but have no authority to extend a greater or
different warranty on behalf of Fluke. Warranty support is available only if product is purchased through a Fluke authorized sales outlet or Buyer has paid the
applicable international price. Fluke reserves the right to invoice Buyer for importation costs of repair/replacement parts when product purchased in one
country is submitted for repair in another country.
Fluke's warranty obligation is limited, at Fluke's option, to refund of the purchase price, free of charge repair, or replacement of a defective product which is
returned to a Fluke authorized service center within the warranty period.
To obtain warranty service, contact your nearest Fluke authorized service center to obtain return authorization information, then send the product to that
service center, with a description of the difficulty, postage and insurance prepaid (FOB Destination). Fluke assumes no risk for damage in transit. Following
warranty repair, the product will be returned to Buyer, transportation prepaid (FOB Destination). If Fluke determines that failure was caused by neglect,
misuse, contamination, alteration, accident, or abnormal condition of operation or handling, including overvoltage failures caused by use outside the product’s
specified rating, or normal wear and tear of mechanical components, Fluke will provide an estimate of repair costs and obtain authorization before
commencing the work. Following repair, the product will be returned to the Buyer transportation prepaid and the Buyer will be billed for the repair and return
transportation charges (FOB Shipping Point).
THIS WARRANTY IS BUYER'S SOLE AND EXCLUSIVE REMEDY AND IS IN LIEU OF ALL OTHER WARRANTIES, EXPRESS OR IMPLIED, INCLUDING
BUT NOT LIMITED TO ANY IMPLIED WARRANTY OF MERCHANTABILITY OR FITNESS FOR A PARTICULAR PURPOSE. FLUKE SHALL NOT BE
LIABLE FOR ANY SPECIAL, INDIRECT, INCIDENTAL OR CONSEQUENTIAL DAMAGES OR LOSSES, INCLUDING LOSS OF DATA, ARISING FROM
ANY CAUSE OR THEORY.
Since some countries or states do not allow limitation of the term of an implied warranty, or exclusion or limitation of incidental or consequential damages, the
limitations and exclusions of this warranty may not apply to every buyer. If any provision of this Warranty is held invalid or unenforceable by a court or other
decision-maker of competent jurisdiction, such holding will not affect the validity or enforceability of any other provision.
Fluke Corporation
P.O. Box 9090
Everett, WA 98206-9090
U.S.A.
Fluke Europe B.V.
P.O. Box 1186
5602 BD Eindhoven
The Netherlands
11/99
To register your product online, visit register.fluke.com.
i
Table of Contents
Title Page
Introduction .................................................................................................................... 1
How to Contact Fluke .................................................................................................... 2
Safety Information .......................................................................................................... 2
Before You Start ............................................................................................................ 5
WiFi and WiFi/BLE-to-USB Adapter .......................................................................... 6
Magnet Hanger Kit .................................................................................................... 7
Voltage Test Leads ................................................................................................... 7
Thin-Flexi Current Probe ........................................................................................... 8
Kensington Lock ....................................................................................................... 9
Accessories ................................................................................................................... 10
Storage .......................................................................................................................... 11
Tilt Stand ....................................................................................................................... 11
Power Supply ................................................................................................................ 11
How to Charge Battery .................................................................................................. 12
Navigation and User Interface ....................................................................................... 13
Applying the Connector Panel Decal ........................................................................ 15
Power ON/OFF ......................................................................................................... 16
Mains Power Source ............................................................................................ 16
Measurement Line Power Source ........................................................................ 16
Power from Battery .............................................................................................. 17
Touch Screen............................................................................................................ 18
Brightness Button ................................................................................................. 18
Calibration ............................................................................................................ 18
Basic Navigation ....................................................................................................... 18

1736/1738
Users Manual
ii
Function Selection Buttons ............................................................................................ 19
Meter ......................................................................................................................... 19
Live Trend ............................................................................................................ 19
Scope ................................................................................................................... 19
Harmonics ............................................................................................................ 19
Measurement Configuration ................................................................................. 20
Connection Verification and Correction ................................................................ 30
Power ........................................................................................................................ 31
Logger ....................................................................................................................... 32
Memory/Settings Button ............................................................................................ 42
Logging Sessions ................................................................................................. 42
Screen Capture .................................................................................................... 43
Instrument Settings .............................................................................................. 43
Status Information ................................................................................................ 46
Firmware Version ................................................................................................. 46
Touch Screen Calibration ..................................................................................... 46
WiFi Configuration ................................................................................................ 46
Copy Service Data to USB ................................................................................... 47
Reset to Factory Defaults ..................................................................................... 47
Firmware Update .................................................................................................. 47
First-time Use/Setup Wizard .......................................................................................... 48
First Measurements ....................................................................................................... 49
Licensed Features ......................................................................................................... 51
WiFi Infrastructure ..................................................................................................... 51
1736/Upgrade ........................................................................................................... 51
IEEE 519/Report ....................................................................................................... 52
License Activation ..................................................................................................... 52
Maintenance .................................................................................................................. 53
How to Clean ............................................................................................................ 53
Battery Replacement ................................................................................................. 53
Calibration ................................................................................................................. 54
Service and Parts .......................................................................................................... 54

Contents (continued)
iii
Energy Analyze Plus Software ...................................................................................... 56
System Requirements ............................................................................................... 56
PC Connections ........................................................................................................ 57
WiFi Support .................................................................................................................. 57
WiFi Setup ................................................................................................................ 57
WiFi Direct Connection ............................................................................................. 58
WiFi-Infrastructure .................................................................................................... 58
Remote Control.............................................................................................................. 59
Wireless Access to PC Software ................................................................................... 59
Fluke Connect™ Wireless System ............................................................................ 60
Fluke Connect App ................................................................................................... 60
Wiring Configurations .................................................................................................... 61
V, A, Hz, + ................................................................................................................. 61
Power ........................................................................................................................ 63
Glossary ........................................................................................................................ 64
General Specifications ................................................................................................... 65
Environmental Specifications ......................................................................................... 65
Electrical Specifications ................................................................................................. 67

1736/1738
Users Manual
iv
v
List of Tables
Table Title Page
1. Symbols ................................................................................................................................ 4
2. Accessories .......................................................................................................................... 10
3. Front Panel ........................................................................................................................... 13
4. Connector Panel ................................................................................................................... 14
5. Power/Battery Status ............................................................................................................ 17
6. Optional License Features .................................................................................................... 51
7. Replacement Parts ............................................................................................................... 54
8. VNC Clients .......................................................................................................................... 59
9. i40s-EL Setup ....................................................................................................................... 75

1736/1738
Users Manual
vi
vii
List of Figures
Figure Title Page
1. Country-Specific Mains Power Cable ................................................................................... 5
2. Adapter Installation ............................................................................................................... 6
3. Magnet Hanger Kit ................................................................................................................ 7
4. R-Coil Operation Principle .................................................................................................... 8
5. Test Leads with Color Coding ............................................................................................... 9
6. Power Supply and Battery .................................................................................................... 11
7. Decal for Connector Panel .................................................................................................... 15
8. Characteristics of a Voltage Swell ........................................................................................ 40
9. Characteristics of a Voltage Dip ............................................................................................ 40
10. Characteristics of a Voltage Interruption ............................................................................... 41
11. Inrush Characteristics and Relation with Start Menu ............................................................ 42
12. Replacement Parts ............................................................................................................... 55
13. Power Logger to PC Connections ......................................................................................... 57
14. iFlex Probe Window .............................................................................................................. 74

1736/1738
Users Manual
viii
1
Introduction
The 1736 and 1738 Power Loggers (the Logger or
Product) is a compact device for energy and power quality
surveys. With a built-in touch screen and USB flash drive
support, it is easy to configure, verify, and download
measurement sessions without the need of a computer at
the measurement location. All illustrations in this manual
show the 1738.
The Logger makes these measurements:
• Basic Measurements: Voltage (V), Current (A),
Frequency (Hz), Phase rotation indication, 2 dc
channels (supports user-supplied external sensor for
other measurements such as temperature, humidity,
and air speed)
• Power: Active Power (W), Apparent Power (VA),
Non-active Power, (var), Power Factor
• Fundamental Power: Fundamental Active Power (W),
Fundamental Apparent Power (VA), Fundamental
Reactive Power (var), DPF (CosΦ)
• Energy: Active Energy (Wh), Apparent Energy (VAh),
Non-active Energy (varh)
• Demand: Demand (Wh), Maximum Demand (Wh),
Energy costs
• Harmonics: Harmonic components up to and
including the 50th and Total Harmonic Distortion of
Voltage and Current
Fluke software, Energy Analyze Plus, is included with the
Product for a thorough energy analysis and professional
report of the measurement results.

1736/1738
Users Manual
2
How to Contact Fluke
To contact Fluke, use one of these telephone numbers:
• USA: 1-800-760-4523
• Canada: 1-800-36-FLUKE (1-800-363-5853)
• Europe: +31 402-675-200
• Japan: +81-3-6714-3114
• Singapore: +65-6799-5566
• Anywhere in the world: +1-425-446-5500
Or, visit Fluke's website at www.fluke.com.
To register your Product, visit http://register.fluke.com.
To view, print, or download the latest manual supplement,
visit http://us.fluke.com/usen/support/manuals.
Safety Information
A Warning identifies hazardous conditions and
procedures that are dangerous to the user. A Caution
identifies conditions and procedures that can cause
damage to the Product or the equipment under test.
Warning
To prevent possible electrical shock, fire, or
personal injury:
• Read all safety information before you use
the Product.
• Use the Product only as specified, or the
protection supplied by the Product can be
compromised.
• Comply with local and national safety
codes. Use personal protective equipment
(approved rubber gloves, face protection,
and flame-resistant clothes) to prevent
shock and arc blast injury where
hazardous live conductors are exposed.
• Examine the case before you use the
Product. Look for cracks or missing
plastic. Carefully look at the insulation
around the terminals.
• Replace the mains power cord if the
insulation is damaged or if the insulation
shows signs of wear.

Power Logger
Safety Information
3
• Use Product-approved measurement
category (CAT), voltage, and amperage
rated accessories (probes, test leads, and
adapters) for all measurements.
• Do not use test leads if they are damaged.
Examine the test leads for damaged
insulation and measure a known voltage.
• Do not use the Product if it is damaged.
• The battery door must be closed and
locked before you operate the Product.
• Do not work alone.
• Use this Product indoors only.
• Do not use the Product around explosive
gas, vapor, or in damp or wet
environments.
• Use only the external mains power supply
included with the Product.
• Do not exceed the Measurement Category
(CAT) rating of the lowest rated individual
component of a Product, probe, or
accessory.
• Keep fingers behind the finger guards on
the probes.
• Do not use a current measurement as an
indication that a circuit is safe to touch. A
voltage measurement is necessary to know
if a circuit is hazardous.
• Do not touch voltages >30 V ac rms,
42 V ac peak, or 60 V dc.
• Do not apply more than the rated voltage,
between the terminals or between each
terminal and earth ground.
• Measure a known voltage first to make
sure that the Product operates correctly.
• De-energize the circuit or wear personal
protective equipment in compliance with
local requirements before you apply or
remove the flexible current probe.
• Remove all probes, test leads, and
accessories before the battery door is
opened.
• Do not use USB accessories when the
Product is installed in environment with
wires or exposed metal parts with
hazardous live voltage such as in cabinets.
• Do not operate the touch screen with sharp
objects
• Do not use the Product if the protection
film on the touch panel is damaged.
• Do not touch the metal parts of one test
lead when the other is still connected to
hazardous voltage.

1736/1738
Users Manual
4
Table 1 is a list of symbols used on the Product or in this
manual.
Table 1. Symbols
Symbol Description Symbol Description
Consult user documentation. Conforms to relevant South Korean EMC
standards.
WARNING. RISK OF DANGER. Conforms to relevant Australian EMC standards.
WARNING. HAZARDOUS VOLTAGE. Risk of
electric shock. Certified by CSA Group to North American safety
standards.
Earth Conforms to European Union directives.
Battery Double Insulated
Measurement Category II is applicable to test and measuring circuits connected directly to utilization points (socket outlets
and similar points) of the low-voltage MAINS installation.
Measurement Category III is applicable to test and measuring circuits connected to the distribution part of the building’s low-
voltage MAINS installation.
Measurement Category IV is applicable to test and measuring circuits connected at the source of the building’s low-voltage
MAINS installation.
This product contains a Lithium-ion battery. Do not mix with the solid waste stream. Spent batteries should be disposed of by
a qualified recycler or hazardous materials handler per local regulations. Contact your authorized Fluke Service Center for
recycling information.
This product complies with the WEEE Directive marking requirements. The affixed label indicates that you must not discard
this electrical/electronic product in domestic household waste. Product Category: With reference to the equipment types in
the WEEE Directive Annex I, this product is classed as category 9 "Monitoring and Control Instrumentation" product. Do not
dispose of this product as unsorted municipal waste.

Power Logger
Before You Start
5
Before You Start
Below is a list of the items included with your purchase.
Carefully unpack and inspect each of the items:
• 173x Power Logger
• Power Supply
• Voltage Test Lead, 3-phase + N
• 4x Dolphin Clips, Black
• 4x i173x-flex1500 Thin-Flexi Current Probe, 30.5 cm
(12 in)
• Set of color-coded Wire Clips
• Mains Power Cable (see Figure 1)
• Set of 2 test leads with stackable plugs, 10 cm (3.9 in)
• Set of 2 test leads with stackable plugs, 1.5 m (6.6 ft)
• DC Power Cable
• USB Cable A, Mini-USB
• Soft Storage Bag/Case
• Input Connector Decal (see Figure 7)
• The power cord and input connector decal are
country-specific and vary according to the order
destination.
• Documentation Info Pack (Quick Reference Card,
Safety Information, Battery Pack Safety Information,
iFlex Probe Safety Information)
• 4 GB USB Flash Drive (includes Users Manual and PC
application software, Fluke Energy Analyze Plus)
The 1738 Power Logger also includes these items in the
standard purchase list:
• WiFi/BLE to USB Adapter
• Magnet Hanger Kit
• Set of 4 Magnet Probes for 4 mm Banana Plugs
These items are available for the 1736 Power Logger as
optional accessories.
Note
The WiFi/BLE adapter is included only when the
radio certification is available for your country. Check
www.fluke.com for availability in your country.
hcf059.eps
Figure 1. Country-Specific Mains Power Cable
Universal EuroNorth American United Kingdom
Australia/China Brazil
PN 1552374
PN 1552339
PN 4322049
PN 1552388
PN 1552342
Japan
PN 2437458

1736/1738
Users Manual
6
WiFi and WiFi/BLE-to-USB Adapter
The USB adapter enables the wireless connectivity of the
Logger:
• Connection to the Fluke Connect™ smartphone app
for easy asset management and data sharing.
• Data transfer to "Energy Analyze Plus" PC software.
• Remote control via Virtual Network Computing (VNC).
See Remote Control for more information about VNC.
• Display and store data of up to 2 modules of the Fluke
FC 3000 series together with the instrument data into
logging sessions (requires WiFi/BLE adapter feature,
available with firmware version 2.0).
To install the adapter (see Figure 2) in the Logger:
1. Remove the Power Supply.
2. Unscrew the four screws and remove the battery door.
3. Remove the battery.
4. Insert the WiFi/BLE adapter in the compartment with
the serial number pointing upwards.
5. Connect the WiFi/BLE adapter to the USB port by
sliding it gently to the right until the adapter snaps into
the USB socket of the Logger. About 3.5 mm (0.14 in.)
of the metal shield should be visible.
6. Insert the battery.
7. Fasten the battery door.
hcf069.eps
Figure 2. Adapter Installation
2
1
3
4
5

Power Logger
Before You Start
7
Magnet Hanger Kit
The accessory shown in Figure 3 is used to:
• Hang the Logger with power supply attached (use two
magnets)
• Hang the Logger separately (use two magnets)
• Hang the power supply separately (use one magnet)
Voltage Test Leads
Voltage test leads are four-core, flat, test leads that do not
tangle and can be installed in tight spaces. On installations
where the access to Neutral is out of reach with the three-
phase test lead, use the black test lead to extend the
Neutral lead.
For single phase measurements use the red and black test
leads.
hcf058.eps
Figure 3. Magnet Hanger Kit

1736/1738
Users Manual
8
Thin-Flexi Current Probe
The Thin-Flexi Current Probe works on the Rogowski coil
(R-coil) principle that is a toroid of wire used to measure
an alternating current through a wire encircled by the
toroid. See Figure 4.
hcf028.eps
Figure 4. R-Coil Operation Principle
The R-coil has many advantages over other types of
current transformers:
• It is not a closed loop. The second terminal is passed
back through the center of the toroid core (commonly a
plastic or rubber tube) and connected along the first
terminal. This allows the coil to be open-ended,
flexible, and able to be wrapped around a live
conductor without disturbing it.
• It has an air core rather than an iron core. It has a low
inductance and can respond to fast-changing currents.
• Because it has no iron core to saturate, it is highly
linear even when subjected to large currents, such as
those used in electric power transmission or pulsed-
power applications.
A correctly formed R-coil, with equally spaced windings, is
largely immune to electromagnetic interference.
i(t)
v(t)
A
r
10 k R3
330 k R1
10 nF C1
LF347
UI:A
1
GND
2
114
3
Vin
Vout

Power Logger
Before You Start
9
Use the color clips for easy identification of the four current
probes. Apply the clips that are appropriate for your local
wiring codes on both ends of the current probe cable. See
Figure 5.
hcf025.eps
Figure 5. Test Leads with Color Coding
Kensington Lock
A Kensington Security Slot (also called a K-Slot or
Kensington lock) is part of a built-in anti-theft system. It is
a small, metal-reinforced, oval hole found on the right side
of the Logger (see item 6 in Table 3). It is used for
attaching a lock-and-cable apparatus. The lock is secured
in place with a key or combination lock attached to a
plastic-cover metal cable. The end of the cable has a small
loop that allows the cable to be looped around a
permanent object, such as a cabinet door, to secure it in
place. This lock is available from most electronics and
computer suppliers.

1736/1738
Users Manual
10
Accessories
Table 2 is a list of the accessories that are available and
sold separately for the Logger. The warranty on included
accessories is 1 year. For the most up-to-date information
on accessories, go to www.fluke.com.
Table 2. Accessories
Part ID Description
i17xx-flex 1500 Thin-Flexi Current Probe (single) 1500 A, 30.5 cm (12 in.)
i17xx-flex 1500/3PK Set of 3 Thin-Flexi Current Probes
i17xx-flex 1500/4PK Set of 4 Thin-Flexi Current Probes
i17xx-flex 3000 Thin-Flexi Current Probe (single) 3000 A, 61 cm (24 in)
i17xx-flex 3000/3PK Set of 3 Thin-Flexi Current Probes
i17xx-flex 3000/4PK Set of 4 Thin-Flexi Current Probes
i17xx-flex 6000 Thin-Flexi Current Probe (single) 6000 A 90.5 cm (36 in)
i17xx-flex 6000/3PK Set of 3 Thin-Flexi Current Probes
i17xx-flex 6000/4PK Set of 4 Thin-Flexi Current Probes
Fluke-17xx Test Lead 0.1 m Test Lead
Fluke-17xx Test Lead 1.5 m Test Lead
3PHVL-1730 Voltage Test Lead 3-phase + N
i40s-EL Current Clamp 40 A (single) Current Clamp
i40s-EL/3PK Set of 3 Current Clamps, 40 A
Fluke-1730-Hanger Kit Hanger Kit
173x AUX Input Adapter Lithium-ion Battery
C17xx Soft Case
FLUKE-1736/UPGRADE Upgrade Kit for 1736 to 1738 (includes: Hanger, Magnet Probes, 1736 to 1738 Upgrade Kit, and Software License)
IEEE 519/REPORT Software License for IEEE 519 Reporting
FLK-WIFI/BLE WiFi/BLE to USB Adapter
MP1-MAGNET PROBE 1 Set of 4 Magnet Probes for 4 mm banana plugs

Power Logger
Storage
11
Storage
When not in use, keep the Logger in the protective storage
bag/case. The bag/case has sufficient space for the
Logger and all the accessories.
If the Logger is stored for an extended period of time or is
not in use for a long time, you should charge the battery at
least once every six months.
Tilt Stand
The power supply includes a tilt stand. When used, the tilt
stand positions the display at a good angle for use on a
tabletop surface. To use, attach the power supply to the
Logger and open the tilt stand.
Power Supply
The Logger includes a removable power supply, see
Figure 6. The power supply is either attached to the
Logger or used externally with a dc power cable. The
configuration with the externally connected power supply is
preferred in locations where the Logger with the power
supply attached is too big to fit in a cabinet between the
door and panel.
When the power supply is connected with the Logger and
connected to line power, it:
• converts line power to dc power and is used directly by
the Logger
• automatically turns on the Logger and continuously
powers the Logger from the external source (after
initial power on, the power button turns on and turns
off the Logger)
• recharges the battery
The power cord/measurement line cover slides to select
the input source.
Warning
To prevent possible electrical shock, fire, or
personal injury, do not use the power supply if
the mains power cable/measurement line slide-
cover is missing.
hcf031.eps
Figure 6. Power Supply and Battery

1736/1738
Users Manual
12
How to Charge Battery
The Logger also operates on an internal rechargeable
Lithium-ion battery. After you unpack and inspect the
Logger, fully charge the battery before first use.
Afterwards, charge the battery when the battery icon on
the screen indicates that power is low. The battery
automatically charges when the Logger is connected to the
mains power. The Logger continues to charge when
turned off and connected to mains power.
Note
The battery charge is faster when the Logger is
turned off.
To charge the battery:
1. Connect the mains cord to the ac input socket on the
power supply.
2. Fit the power supply to the Logger or use the dc power
cord to connect the power supply to the Logger.
3. Connect to mains power.
Caution
To prevent damage to the Product:
• Do not leave batteries unused for extended
periods of time, either in the product or in
storage.
• When a battery has not been used for six
months, check the charge status and
charge the battery as appropriate.
• Clean battery packs and contacts with a
clean, dry cloth.
• Battery packs must be charged before use.
• After extended storage, it can be necessary
to charge and discharge a battery pack to
obtain maximum performance.
• Dispose properly.
Note
• Li-ion batteries keep a charge longer if stored
at room temperature.
• The clock resets when the battery is
completely discharged.
• When the Logger shuts off because of low
battery, enough battery capacity is available to
back up the real-time clock for up to 2 months.

Power Logger
Navigation and User Interface
13
Navigation and User Interface
See Table 3 for a list of the front panel controls and their
functions. See Table 4 for a list of the connectors and their
functions.
Table 3. Front Panel
hcf023.eps
Item Control Description
Power on/off and status
Meter, Power, or Logger
function selection
Memory/Setup selection
Cursor control
Selection control
Kensington lock
Backlight on/off
Softkey selection
Touch screen display
2
1 8 7
5
4
3
6
9

1736/1738
Users Manual
14
Table 4. Connector Panel
hcf021.eps
Item Description
Current measurement inputs (3 phases + N)
Voltage measurement inputs (3 phases + N)
Power Cord/Measurement Line Slide-Cover
Power Cord AC Input
100-240 V 50/60 Hz 15 VA
Measurement Line AC Input
100-500 V 50/60 Hz 50 VA
USB connector
Mini-USB connector
Aux 1/2 Connector
DC Power Input
176
5
2
34
98

Power Logger
Navigation and User Interface
15
Applying the Connector Panel Decal
Self-adhesive decals are supplied with the Logger. The
decals correspond to the wiring color codes used in the
USA, Europe and UK, UK (old), Canada, and China. Apply
the decal appropriate for your local wiring codes around
the current and voltage inputs on the connector panel as
shown in Figure 7.
hcf022.eps
Figure 7. Decal for Connector Panel
Canada (4280546)
Europe/UK (New STD 4280531) UK (4280554)
China (4280568)
USA (4275029)

1736/1738
Users Manual
16
Power ON/OFF
The Logger has several options for power: mains,
measurement line, and battery. The front panel LED
shows the status. See Table 5 for more information.
Mains Power Source
1. Attach the power supply to the Logger or use the dc
power cord to connect the power supply to the Logger.
2. Move the slide-cover on the power supply to access
the mains socket and connect the power cord into the
Logger.
The Logger automatically turns on and is ready to use
in <30 seconds.
3. Push to turn on and turn off the Logger.
Measurement Line Power Source
1. Attach the Power Supply to the Logger or use the dc
power cord to connect the Power Supply with the
Logger.
2. Move the slide-cover on the power supply to access
the safety sockets and connect these sockets with the
voltage input sockets A/L1 and N.
For 3-phase delta systems connect the safety sockets
of the power supply with the input sockets A/L1 and
B/L2.
Use the short test leads for all applications where the
measured voltage does not exceed the rated input
voltage of the power supply.
3. Connect the voltage inputs to the test points.
The Logger automatically turns on and is ready to use
in <30 seconds.
Caution
To prevent damage to the product, make sure
the measured voltage does not exceed the
input rating of the power supply.
Warning
To prevent injury, do not touch the metal parts
of one test lead when the other is still
connected to hazardous voltage.

Power Logger
Navigation and User Interface
17
Power from Battery
The Logger can operate on battery power without a
connection to the power supply or dc power cord. Push .
The Logger turns on and is ready to use in <30 seconds.
The battery symbol in the status bar and the power LED
indicate the battery status. See Table 5.
Table 5. Power/Battery Status
Logger On
Power Source Battery Symbol Power LED Color
Mains green
Battery yellow
Battery yellow
Battery yellow
Battery yellow
Battery red
Logger OFF
Power Source Battery Status Power LED Color
Mains Charging Blue
Mains off OFF
Logger Status
not logging steady
logging flashing

1736/1738
Users Manual
18
Touch Screen
The touch screen lets you interact directly with what is on
the display. To change parameters, touch a target on the
display. Touch targets are easy to recognize, such as
large buttons, items in menus, or keys of the virtual
keyboard. The Product can be operated with insulating
gloves on (resistive touch).
Brightness Button
The touch screen has a backlight for work in dimly-lit
spaces. See Table 3 for the location of the Brightness ()
button. Push to adjust the brightness in two levels and
to turn on and turn off the display.
The brightness is set to 100 % when the Logger is
powered from mains. When powered from battery, the
default brightness is set to the power-save level of 30 %.
Push to toggle between the two brightness levels.
Push and hold for 3 seconds to turn off the display.
Push to turn on the display.
Calibration
The touch screen is pre-calibrated in the factory. If you
notice that the targets do not align with your touch on the
display, you can calibrate the display. Calibration of the
touch screen is available in the menu. See page 46
for more information about the touch screen calibration.
Basic Navigation
When an option menu shows on the display, use to
move within the menu.
The button has a dual use. In the Configuration and
Setup screens, push to confirm the selection. On all
screens, push for 2 seconds to take a screen shot. A
beep and the camera symbol on the display confirm the
action. See Screen Capture for more information about
how to review, manage, and copy the screen shots.
Along the bottom of the display, a row of labels shows the
available functions. Push or
below the display label to start that function. These labels
also work as touch targets.

Power Logger
Function Selection Buttons
19
Function Selection Buttons
The Logger has three buttons that toggle between the
Meter, Power, and Logger function modes. The current
mode shows in the upper left corner of the display:
Meter
– The Meter mode shows measurement readings for:
• Voltage (V RMS)
• Current (A RMS)
• Frequency (Hz)
• Wave Shape of Voltage and Current
• THD (%) and Harmonics of Voltage (%, V RMS)
• THD (%) and Harmonics of Current (%, A RMS)
• AUX Input
Push to show the additional values.
Live Trend
You can determine the values or display a trend chart of
the last 7 minutes. In the chart:
1. Use or the cursor keys to show the list of
available parameters.
2. Push (Reset) to clear the graph and restart.
It is also possible to log the values with the logger function.
Scope
The scope screen shows about 1.5 periods of voltage and
current. The exact number of shown periods depends on
the input frequency.
The scope screen is helpful to:
• identify the maximum peak value on current channels
as a guide for the selection of the current sensor and
range
• identify the phase sequence of voltage and current
• visually inspect the phase shift between voltage and
current
• understand the consequence of high harmonics on the
signal
Use or the cursor keys to show the list of available
parameters.
Harmonics
Use (Harmonics) to access the harmonics analysis
screens for voltage and current.
Harmonics Spectrum
The harmonics spectrum is a bar chart of the harmonics
h02 ... h50. When % of the fundamental is selected, THD
is included in the chart. The bar chart in absolute units (V
RMS, A RMS) includes the fundamental. Use the trend
chart to show the exact value.
Trend Chart
The trend chart is a chart of the fundamental, a selectable
harmonic, or THD. A split screen shows the harmonics
spectrum in the upper graph and the trend chart in the
lower graph. Touch the bar chart or use and

1736/1738
Users Manual
20
to select the parameter of interest. Push (Trend
only) to expand the trend chart to full screen.
Harmonics Spectrum Relative to Harmonic Limits
This feature is available on 1738 or 1736 with
1736/Upgrade on installation of the IEEE 519/Report
license. The screen shows the harmonics relative to the
individual limit defined by a user-selected standard. The
standard is selected in the Measurement Configuration.
Each bar is green when the measurement is below the
individual limit for this harmonic or THD, otherwise, the bar
turns red. The number of displayed harmonics varies in
accordance with the selected standard.
Note
This screen provides quick feedback about the
harmonic levels compared to Power Quality
standards. It is no proof of compliance to the
standard. The average calculation interval of
1 second is much more frequent compared to the
10 minutes required by applicable standards. A
limit violation in this screen does not necessarily
result in a standards violation. For example, when
the measurement values surpass the maximum
allowed tolerance during a short time period. Use
the feature to record data in logging sessions and
perform standard compliance measurements. For
more information about how to start a logging
session, see page 32.
The side menu in the harmonics screens has dual use.
First, select the parameter to display and confirm with .
The selector bar jumps to the lower section for the phase
selection. The number of available phases and the Neutral
current depends on the selected topology. Refer to
Measurement Configuration for details. Make your choice
and confirm again with .
Some screens do not include (Show Menu) to
access the side menu. Use the cursor keys instead.
Measurement Configuration
Use the Change Configuration touch button to access
the measurement configuration screen. The configuration
screen allows you to change the parameters for:
• Study type
• Topology
• Nominal voltage
• Current range
• Scale factors for external PTs or CTs
• Auxiliary input configuration
• Review the voltage event limits
• Configure the inrush current limit
• Select the standard for harmonics compliance
assessment (available on 1738 or 1736 with
1736/Upgrade or IEEE 519/Report license)
Use to navigate between the sub-screens.

Power Logger
Function Selection Buttons
21
Study Type
Depending on the application, select either Load Study or
Energy Study.
• Energy Study: Select this study type when voltage
measurements for a power quality assessment and
power and energy values that include active power
(W) and PF are required.
• Load Study: For convenience, some applications
require you to measure only the current that makes the
connection to the point to measure.
Typical applications are:
- Verify the circuit capacity before adding additional
load.
- Identify situations where the allowable load can be
exceeded.
Optionally, a nominal voltage can be configured to get
pseudo-apparent power readings.
Power Quality
Select the power quality standard (available on 1738 or
1736 with 1736/Upgrade or IEEE 519/Report license) for
compliance evaluation.
EN 50160: voltage characteristics of electricity
supplied by public distribution networks.
The Logger supports these parameters:
• Frequency
• Voltage Variations
• Voltage Harmonics and Voltage THD
• Unbalance
• Events
IEEE 519: recommended practice and requirements for
harmonic control in electric power systems.
The standard defines limits for voltage harmonics, voltage
THD, current harmonics and TDD (total demand
distortion). The limits for current harmonics and TDD
depend on the ratio of maximum demand load current IL to
the short circuit current ISC. Set the values with and
.
Note
If the values of
I
SC
and
I
L
are not currently
available, you can update these values at a later
time with the Energy Analyze Plus software.
Set the Harmonics Standard to off when the harmonics
compliance evaluation is not required.

1736/1738
Users Manual
22
Topology (Distribution System)
Select the appropriate system. A connection diagram for
the voltage test leads and current sensors is shown on the
Logger.
A diagram is also available with (Connection
diagram) from the Change Configuration menu.
Examples of these diagrams are shown on the following
pages.
Single Phase
Example: Branch circuit at an outlet.
hcf040.eps
Energy Study
hcf041.eps
Load Study (no voltage measurement)

Power Logger
Function Selection Buttons
23
Single Phase IT
The logger has a galvanic isolation between the voltage
inputs and ground based signals like USB and mains
input.
Example: Used in Norway and in some hospitals. This
would be the connection at a branch circuit.
hcf042.eps
Energy Study
hcf042-2.eps
Load Study (no voltage measurement)
Split Phase
Example: A North American residential installation at the
service entrance.
hcf043.eps
Energy Study
hcf044.eps
Load Study (no voltage measurement)

1736/1738
Users Manual
24
3-Ф Wye
Example: Also called “Star” or four-wire connection.
Typical commercial building power.
hcf045.eps
Energy Study
hcf046.eps
Load Study (no voltage measurement)
3-Ф Wye IT
The logger has a galvanic isolation between the voltage
inputs and ground based signals like USB and mains
input.
Example: Industrial power in countries that use the IT
(Isolated Terra) system, such as Norway.
hcf047.eps
Energy Study
hcf048.eps
Load Study (no voltage measurement)

Power Logger
Function Selection Buttons
25
3-Ф Wye Balanced
Example: For symmetrical loads like motors the
connection can be simplified by measuring only one phase
and assuming the same voltages/currents on the other
phases. As an option, you can measure harmonics with a
current probe on the neutral line.
hcf049.eps
Energy Study
hcf050.eps
Load Study (no voltage measurement)
3-Ф Delta
Example: Often found in industrial settings where electric
motors are used.
hcf051.eps
Energy Study
hcf052.eps
Load Study (no voltage measurement)

1736/1738
Users Manual
26
2 Element Delta (Aron/Blondel)
Example: Blondel or Aron connection, simplifies the
connection by the use of only two current sensors.
hcf055.eps
Energy Study
hcf056.eps
Load Study (no voltage measurement)
Note
Make sure that the current arrow on the sensor is
directed towards the load to provide positive power
values. The current sensor direction can be corrected
digitally in the Connection Verification screen.
3-Ф Delta Open Leg
Example: A variant of power transformer winding type.
hcf053.eps
Energy Study
hcf054.eps
Load Study (no voltage measurement)

Power Logger
Function Selection Buttons
27
3-Ф High Leg Delta
Example: This topology is used to provide an additional
voltage that is half the phase to phase voltage.
hcf061.eps
Energy Study
hcf062.eps
Load Study (no voltage measurement)
3-Ф Delta Balanced
Example: For symmetrical loads like motors, the
connection is simplified with only one phase measurement
and assuming the same voltages/currents on the other
phases.
hcf063.eps
Energy Study
hcf064.eps
Load Study (no voltage measurement)

1736/1738
Users Manual
28
Nominal Voltage
Select a nominal voltage from the list. If a voltage is not
shown in the list, enter a custom voltage. On energy
studies, the nominal voltage is required to determine the
limits for dips, swells, and interruptions.
The nominal voltage on load studies is used to calculate
the pseudo apparent power:
nominal voltage × measured current
Set the nominal voltage to off if the apparent power
readings are not required.
Voltage Ratio (only in energy studies)
Configure a ratio factor for the voltage inputs when a
potential transformer (PT) is in series with the voltage
connections such as when you want to monitor a medium-
voltage network. The default value is 1:1.
Nominal Frequency
Set the nominal frequency to be the same as the power
line frequency, 50 Hz or 60 Hz.
Use (Show Menu) to navigate between the sub-
screens.
Current Range
Configure the current range of the attached sensor. Three
ranges are available:
• Auto
• Low Range
• High Range
When set to Auto, the current range is set automatically
and depends on the measured current.
Low Range is 1/10 of the nominal range of the attached
current sensor. For example, the low range of an
iFlex1500-12 is 150 A.
High Range is the nominal range of the attached current
sensor. For example, 1500 A is the nominal range on an
iFlex1500-12.
Note
Set the current range to Auto when you are not
sure about the maximum current during the
logging session. A specific application can require
you to set the current range to a fixed range rather
than Auto. This can occur because the Auto range
is not gapless and may lose too much information
in the case of a highly fluctuating current.
Current Ratio
Configure a ratio factor for the current sensors when a
current transducer (CT) is used to measure the much
higher level on the primary side at a substation or step-
down transformer that has a built-in metering current
transformer.
The current ratio can be used to increase the sensitivity of
the iFlex sensor. Wrap the iFlex sensor around the primary
conductor, for example 2X, and enter a ratio factor of 1:2
to get correct readings. The default value is 1:1.

Power Logger
Function Selection Buttons
29
Auxiliary Input 1/2
Configure the Auxiliary input to show the readings for the
attached sensor. In addition to the default setting of ±10 V,
up to five custom sensors can be configured and selected
for the Auxiliary input channels.
To configure custom sensors:
1. Select one of the five custom sensors.
2. When the sensor has not been configured, push
(Edit) to access the configuration screen.
3. Configure name, sensor type, unit, gain and offset.
Confirm the settings with (Back).
4. Select the sensor for the Auxiliary input with .
The configuration includes name, sensor type, unit, gain
and offset:
• Change the Name from Custom1...5 to any clear
identification of the sensor with up to 16 characters.
• Select the Sensor Type from a list that includes 0-1 V,
0-10 V, 4-20 mA, and other.
Use the 0-1 V and 0-10 V settings for sensors with a
voltage output directly connected to the Aux input. The
commonly used sensors that provide an output current
of 4-20 mA can be used. In this case, an external
resistor parallel to the Aux input (+) and Aux input (-) is
required. A resistor value of 50 Ω is recommended.
Resistor values >500 Ω are not supported. The
resistor value is entered in the sensor configuration
dialog and is a convenient method for configuration of
the sensor measurement range.
• Use up to 8 characters to configure the measurement
Unit of the parameter.
• Configure the gain and offset in two ways. For sensor
types 0-1 V, 0-10 V, and 4-20 mA, the Gain and
Offset are automatically calculated with the
measurement range of the sensor. In the Minimum
field, enter the measurement value that the sensor
supplies on the output, 0 V for 0-1 V and 0-10 V
sensors or 4 mA for 4-20 mA sensors. In the
Maximum field, enter the measurement value when
the sensor supplies 1 V for 1 V sensors, 10 V for 10 V
sensors, or 20 mA for 20 mA sensors.
For all other sensors types, use Other. For this sensor
type use a gain and offset.
Example 1:
Temperature sensor ABC123
Measurement range: -30 °C to 70 °C
Output: 0-10 V
The configuration for this sensor looks like this:
- Name: Change the name from Custom1 to
ABC123 (°C)
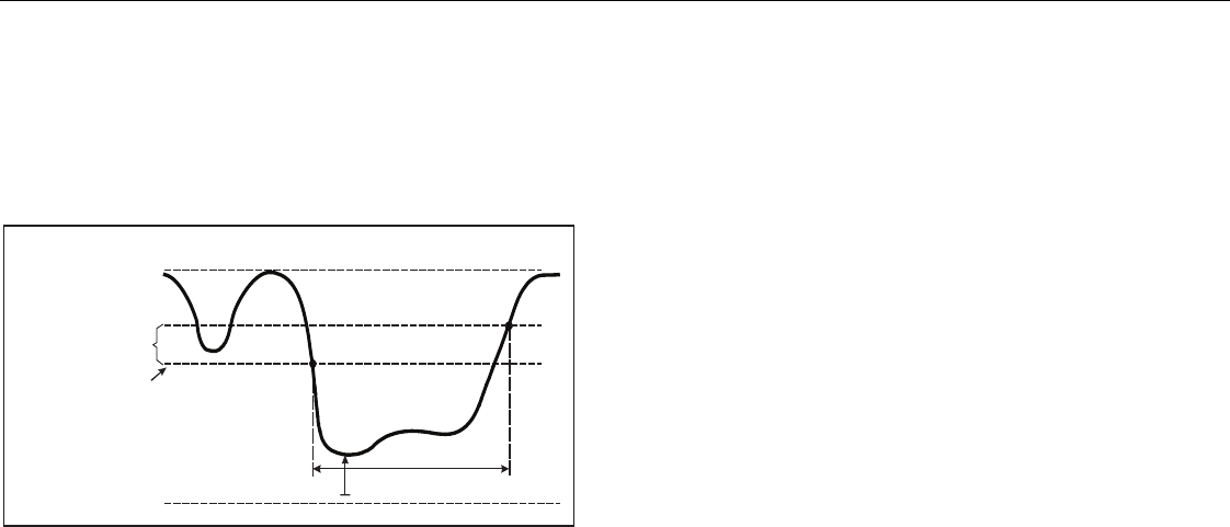
- Sensor Type: Select 0-10 V
- Unit: Change Unit1 to °C
- Minimum: Enter -30
- Maximum: Enter 70

1736/1738
Users Manual
30
Example 2:
Fluke 80TK Thermocouple Module
Output: 0.1 V/°C, 0.1 V/°F
Settings in sensor configuration:
- Sensor type: Other
- Unit: °C or °F
- Gain: 1000 °C/V or 1000 °F/V
- Offset: 0 °C or 0 °F
Events
The Events screen shows the settings for:
• Dip
• Swell
• Interruption
• Inrush Current
The Dip, Swell, and Interruption settings on this screen are
information only, but you can edit the Inrush Current
setting:
1. Highlight Inrush Current.
2. Push to open a numeric keypad.
3. Use the cursor keys to input a new limit value.
Connection Verification and Correction
Once the measurement is configured and the voltage and
current inputs are connected to the system under test, go
back to the Meter mode and use the Verify Connection
touch button to confirm the connection.
The verification detects:
• Too low signal
• Phase rotation for voltage and current
• Inverted current probes
• Wrong phase map
In the connection verification screen:
1. Push to toggle between generator and motor
mode.
Usually the current flow direction is toward the load.
Use Motor Mode for these applications. Use the
Generator Mode when the current sensors are
connected intentionally to the generator (for example,
during the time energy goes into the grid from
regenerative braking system of an elevator or on-site
wind turbines).
The current flow arrow indicates the correct flow: a
normal condition is shown in Motor Mode with a black
arrow pointing upwards, in Generator Mode the black
arrow points downwards. If the arrow is shown in red,
the current flow direction is inverted.

Power Logger
Function Selection Buttons
31
2. Push (Correct Digitally) to access the
connection correction screen. This screen allows you
to virtually swap phases and invert the current inputs
instead of a manual correction.
3. If the Logger is able to determine a better phase map
or polarity, push (Auto Correct) to apply the new
settings.
Auto Correct is not available if the algorithm is not able
to detect a better phase map or when no errors are
detected.
Note
It is impossible to detect all incorrect hook-ups
automatically. You must verify the suggested
modifications carefully before you apply the digital
correction. Applications with single-phase energy
generation can deliver the wrong results when you
apply the Auto Correct feature.
The algorithm works in a way that creates in three phase
systems a sequence with a clockwise phase rotation.
Power
– In the Power mode you can get the values and a
live trend chart for each phase (A, B, C or L1, L2, L3) and
total as:
• Active Power (P) in W
• Apparent Power (S) in VA
• Non-active Power (D) in var
• Power Factor (PF)
Use (Fundamental/RMS) to toggle between full
bandwidth power values and power of the fundamental.
In the fundamental power screen you see these values:
• Fundamental Active Power (Pfund+) in W
• Fundamental Apparent Power (Sfund) in VA
• Fundamental Reactive Power (Qfund) in var
• Displacement Power Factor (DPF) / cosϕ
Push (Show Menu) to open a list of simplified Power
screens that show all phases and total of one parameter,
all parameters of one phase, or total.

1736/1738
Users Manual
32
The menu also provides the access to live values of
Energy as:
• Active Energy (Ep) Wh
• Reactive Energy (EQr) in varh
• Apparent Energy (Es) in VAh
To display a trend chart of the last 7 minutes of Power
values:
1. Push (Live-Trend).
2. Use or the cursor keys to show the list of
available parameters.
3. Push (Reset) to clear the graph and restart.
Note
In the user interface, the term Fundamental is
sometimes shortened to “Fund.” or “h01.”
Logger
– In Logger mode, you can:
• Configure a new logging session
• Review the data of an ongoing logging session in
memory
• Review the data of a completed logging session (as
long as no new session has been started)
Push and then (Logging Sessions) to review a
logging session.
Logging Session Setup
When no logging session is active, push to display the
Setup Summary screen for logging. This screen lists all
logging parameters such as:
• Session name
• Duration and optional recording date and time for
start/stop
• Interval of the average calculation
• Demand interval (not available for load studies)
• Energy costs (not available for load studies)
• Description

Power Logger
Function Selection Buttons
33
To select between Load Study and Energy Study:
1. Go to Meter > Change Configuration. This
Configuration screen contains the measurement
configuration parameters such as Topology, current
range, voltage, and current ratios.
2. See page 20 for more information about measurement
configuration.
3. After you review these parameters, push the Start
Logging touch target to start recording.
4. If you want to modify the parameters, push the Edit
Setup touch target. The settings are kept during a
power cycle. This allows you to configure the logging
session in the office when more convenient and avoid
this time-consuming task in the field.
Name
The Logger auto-generates a file name with the format
ES.xxx or LS.xxx.
ES ... Energy Study
LS ... Load Study
xxx ... incremental file number
The counter resets when the Logger is set to factory
defaults. See page 47 for details. You can also choose a
custom file name with up to 31 characters.
Duration and Recording Start/Stop Date and Time
You can set the duration of the measurement from a list.
No end configures the maximum possible duration based
on the available memory.
For a duration not shown in the list, select Custom to
enter the duration in number of hours or days.
The logging session stops automatically when the time
duration has elapsed. Also, you can manually stop the
logging session at any time.
A logging session starts to record immediately when you
push the Start Logging touch target. You can configure a
scheduled recording. It is either configured by the duration
and the start date and time or by the start date and time
and stop date and time.
This is a convenient method for how to set up the Logger
to measure a full week profile starting on Monday 0:00 and
ending on Sunday 24:00.
Note
Even when a start date and time has been
configured, you must push the Start Logging
button.

1736/1738
Users Manual
34
Options to configure the logging session:
• Duration and manual start
• Duration and set start date/time
• Set start date/time and set end date/time
A memory gauge shows the memory used by recorded
sessions and stored screenshots in black. The memory
required for the new session is shown in green. When the
new logging session will not fit in the available memory,
the gauge turns from green to red. If you confirm the
selection, the Logger will adjust the averaging interval
accordingly.
Interval of the average calculation
Select the time interval when a new average value is
added to the logging session. The available intervals are:
1 s, 5 s, 10 s, 30 s, 1 min, 5 min, 10 min, 15 min, 30 min.
A shorter interval provides more details at the cost of
higher memory consumption.
Examples of when a short interval is useful:
• Identify duty cycle of frequently switching loads
• Energy cost calculation of production steps
The Logger recommends an interval based on the duration
to get the best balance between resolution and data size.
A memory gauge shows the memory used by recorded
sessions and stored screenshots in black. The memory
required for the new session is shown in green. In the case
where the new logging session will not fit in the available
memory, the gauge turns from green to red. It is still
possible to confirm the selection but the Logger will adjust
the duration accordingly.
Demand Interval
Electrical suppliers use this interval to measure the
customer demand. Select an interval to get energy costs
and the maximum demand value (average power
measured over a demand interval).
A value of 15 minutes is normal. If you don't know the
average interval, select 5 minutes. You can recalculate
other interval lengths offline using the Energy Analyze Plus
software.
Note
This value is not available for load studies.

Power Logger
Function Selection Buttons
35
Energy costs
Enter the costs/kWh for demand energy. The energy costs
are applied to forward energy (positive energy) using the
demand interval and can be reviewed in the Logger detail
screen Energy - Demand.
Energy costs can be entered using a resolution of 0.001.
The currency unit is changed in Instrument Settings. See
page 45 for more information.
Note
This value is not available for load studies.
Description
Enter more details about the measurement, such as
customer, location, and load-rating plate data with the
virtual keyboard. This description field is limited to 127
characters.
After you download a logging session with Energy Analyze
software, use more advanced inputs to support line breaks
and an unlimited number of characters.
Logging Session Review
When a logging session is started, or when you review a
completed session, the Logging home screen is shown.
During active recording, this screen can be accessed
when you push .
The Logger home screen shows the progress of an active
recording. Use (Show Menu) to review the logging
setup. On energy studies, you can select one of the
available overview screens:
• Power
Screen provides access to V, A, Hz, + (A, Hz, + for
load studies), power, and energy
• PQ Health (available on 1738 or 1736 with
1736/Upgrade or IEEE 519/Report license)
Screen provides access to Power Quality graphs,
harmonics, and events
• Quality
Screen provides access to Power Quality graphs,
harmonics, and events
Power/Load Study Overview
The screen shows the overview chart with active power
and PF for energy studies and currents for load studies.
Total energy is available also in energy studies.
The screen updates with each new average calculation
interval at a maximum of every 5 seconds.
From the Logger home screen you have access to:
• V, A, Hz, + (A, Hz, + for load studies)
• Power
• Energy
• Details

1736/1738
Users Manual
36
In the "V, A, Hz, +", "Power" and "Energy" screens, use
(Show Menu) or the cursor keys to see a list of
available parameters. Use to select a parameter and
confirm the selection with .
Tables update with each new average calculation interval
at a maximum of every 5 seconds. Push (Refresh)
to update charts on request.
V, A, Hz, + (Load studies: A, Hz, +)
You can determine the average value measured over the
logging duration as well as minimum/maximum values with
high resolution.
Parameter Min Max Resolution
V + + Full cycle (typ. 20 ms @ 50 Hz,
16.7 ms @ 60 Hz)
A 0 + Half cycle (typ. 10 ms @ 50 Hz,
8.3 ms @ 60 Hz)
Hz + + 200 ms
AUX + + 200 ms
THD-V/THD-A 0 + 200 ms
Note
+ available with the Logger and the PC software
0 available with the PC software
The algorithm to calculate Voltage min/max values is in
accordance to established power quality standards to
detect dips, swells, and interruptions.
Watch for values exceeding ±15 % of the nominal voltage.
This is an indicator of power quality problems.
High maximum values on Currents can be an indicator for
tripping circuit breakers.
Push (Graph) to display the measured values in a
chart. The table on the right side of the screen shows the
highest and lowest value of the graph measured with the
average calculation interval. Triangular indicators point to
the measurement value.
Power
Note
Not available on load studies without a nominal
voltage.
Review the power values in tabular format and as a time
chart. Depending on the power parameter or the average
value measured over the logging duration, additional
values are available:
Parameter
Min/
Max Top 3
Top 3
Forward/
Reverse
Active Power (W) - - +/+
Apparent Power (VA) - + -
Non-active Power (var) - + -
Power Factor + - -
Active Power fund. (W) - - +/+
Apparent Power fund. (VA) - + -
Reactive Power (var) - - +/+
Displacement Power Factor/cosϕ + - -
For all power values, except PF and DPF, the three
highest values during the logging session are available.
Use (Reverse Power/Forward Power) to toggle
between Top-3 forward and Top-3 reverse values.

Power Logger
Function Selection Buttons
37
Push (Graph) to display the measured values in a
chart. The table on the right side of the screen shows the
highest and lowest value of the graph measured with the
average calculation interval. Triangular indicators point to
the measurement value.
Energy
Note
Not available on load studies without a nominal
voltage.
Determine the energy consumed/delivered since the
logging session has been started.
Parameter
Forward/Reverse
Energy
Total
Energy
Active Energy (Wh) +/+ +
Apparent Energy (VAh) -/- +
Reactive Energy (varh) -/- +
The Demand screen shows the values for:
• Consumed energy (= forward energy) in Wh
• Maximum Demand in W. Maximum demand is the
highest active power measured over the demand
interval and is often part of the contract with the
electricity supplier.
• Energy cost. The currency can be configured in
instrument settings. See page 45 for more information.
PQ Health Overview
The PQ Health Overview is available on 1738 or 1736 with
1736/Upgrade or IEEE 519/Report license. This screen
shows a pass/fail analysis based on limits defined by the
power quality standard EN 50160.
The screen includes the parameters for:
• Frequency
• Voltage Variations
• Voltage Harmonics
• Unbalance
• Events
The frequency, unbalance, and events have a single bar,
voltage variations, and voltage harmonics shown in three
bars that depend on the configured topology.
The length of a bar increases if the related parameter is
further away from its nominal value. The bar turns from
green to red if a maximum allowed tolerance requirement
is surpassed. When the standard defines two limits for a
parameter (for example, voltage variations have a limit for
95 % of the time and limit for 100 % of the time) the bar
changes from green to orange when the parameter
surpasses the 95 % limit but does not exceed the 100 %
limit. For more information go to www.fluke.com and
search for the white paper, Measurement Methods.

1736/1738
Users Manual
38
The screen updates with each new average calculation
interval of 10 minutes. From the PQ Health Home screen
you have access to:
• PQ Graphs
• Harmonics
• Events
Quality Overview
The Quality Overview screen shows an average of voltage
THD and the first 25 voltage harmonics of up to three
phases and the number of voltage events. The screen
updates with each new average calculation interval of
10 minutes.
From the PQ Health home screen you have access to:
• PQ Graphs
• Harmonics
• Events
PQ Graphs
Use (PQ Graphs) to review the graphs of the power
quality parameters: Voltage, Frequency, and Supply
Voltage Unbalance. The Voltage and Unbalance values
are averaged every 10 minutes and the interval begins
with the 10-minute clock tick. The time stamp of the
interval represents the end of the interval. The Frequency
is averaged over an interval of 10 seconds. New values
are available every 10 minutes.
The Unbalance value u2 (negative sequence ratio) is the
ratio of negative sequence divided by positive sequence
and is shown as a percentage.
In the case of a counter-clockwise rotating system, the
unbalance would show values exceeding 100 %. In this
case the ratio positive sequence divided by negative
system is calculated which results in values lower or equal
to 100 %.
Note
The unbalance is only available in three phase
delta and wye systems, excluding the balanced
systems.
Harmonics
Use (Harmonics) to access the harmonics analysis
screens for voltage and current.
Harmonics Spectrum
The harmonics spectrum is a bar chart of the harmonics
h02 ... h50. When % of the fundamental is selected, THD
is included in the chart. The bar chart in absolute units (V
RMS, A RMS) includes the fundamental. Use the trend
chart to show the exact value.
Trend Chart
The trend chart is a chart of the fundamental, a selectable
harmonic, or THD. A split screen shows the harmonics
spectrum in the upper graph and the trend chart in the
lower graph. Touch the bar chart or use and
to select the parameter of interest. Press (Trend
only) to expand the trend chart to full screen.
Harmonics Spectrum Relative to Harmonic Limits
This screen is available on 1738 or 1736 with
1736/Upgrade or IEEE 519/Report license) and shows the

Power Logger
Function Selection Buttons
39
harmonics relative to the individual limit defined by the
standard defined in the measurement configuration. Each
bar is green when the measurement is below the individual
limit for this harmonic or THD. When the standard defines
two limits, for example, a limit for 95 % of all values and a
limit for 99 % of all limits, the bar turns orange when the
measurement values comply with the 99 % limit but violate
the 95 % limit. When both limits are violated the bar turns
red. When the standard defines only one limit for each
harmonic or THD, the bar turns from green to red when
this limit is violated. The number of displayed harmonics
varies in accordance with the selected standard.
The side menu in the harmonics screens has dual use.
First, select the parameter to display and confirm with .
The selector bar jumps to the lower section for the phase
selection. The number of available phases and the Neutral
current depends on the selected topology. Refer to
Measurement Configuration for details. Make your choice
and confirm again with .
Some screens do not include (Show Menu) to
access the side menu. Use the cursor keys instead.
Events
The Logger captures events on voltage and current. The
events are shown in a table with the columns ID, Start
Time, End Time, Duration, Event Type, Extreme Value,
Severity, and Phase. Touch the arrows left and right of the
table to view all available columns. Use to highlight
an event of interest. On the 1738 or the 1736 with
1736/Upgrade license, use (Waveshape) and
(RMS Profile) to review the recordings triggered with the
start of the event.
The voltage events are classified in dips, swells, and
interruptions and are measured according to the standard
IEC 61000–4–30 "Electromagnetic compatibility (EMC) -
Part 4-30: Testing and measurement techniques - Power
quality measurement methods". According to this standard
the Logger applies the polyphase event detection on split
phase and three phase systems with the exception of the
topologies 3-phase Delta balanced and the 3-phase Wye
balanced. The events are captured and reported for phase
A/L1 only.
Note
The polyphase event detection simplifies the event
table because events on multiple phases are
combined when they occur at the same time or
overlap. In the Energy Analyze Plus software you
can select to get either a table with combined
events using the polyphase event detection or a
table with events for each individual phase in order
to review details, like start time, end time, or the
extreme value on an individual phase of interest.

1736/1738
Users Manual
40
Supply Voltage Swells
On single-phase systems, a swell begins when the voltage
rises above the swell threshold, and ends when the
voltage is equal to or below the swell threshold minus the
hysteresis voltage. See Figure 8.
On polyphase systems, a swell begins when the voltage of
one or more channels is above the swell threshold and
ends when the voltage on all measured channels is equal
to or below the swell threshold minus the hysteresis
voltage.
hcf071.eps
Figure 8. Characteristics of a Voltage Swell
On single-phase systems, a voltage dip begins when the
voltage falls below the dip threshold, and ends when the
voltage is equal to or above the dip threshold plus the
hysteresis voltage. See Figure 9.
hcf070.eps
Figure 9. Characteristics of a Voltage Dip
On polyphase systems, a dip begins when the voltage of
one or more channels is below the dip threshold and ends
when the voltage on all measured channels is equal to or
above the dip threshold plus the hysteresis voltage.
Threshold
Hysteresis
Reference Voltage
Time
Magnitude
Duration
Reference Voltage
Hysteresis
Threshold
Time Magnitude
Duration

Power Logger
Function Selection Buttons
41
Supply Voltage Interruptions
On single-phase systems, a voltage interruption begins
when the voltage falls below the voltage interruption
threshold and ends when the value is equal to or greater
than the voltage interruption threshold plus the hysteresis.
See Figure 10.
hcf072.eps
Figure 10. Characteristics of a Voltage Interruption
On polyphase systems, a voltage interruption begins when
the voltages of all channels fall below the voltage
interruption threshold and ends when the voltage on any
one channel is equal to, or greater than, the voltage
interruption threshold plus the hysteresis.
Note
On polyphase systems, the event is still classified
as a dip when the voltage of only one or two
phases falls below the interruption limit.
Inrush Current
Inrush currents are surge currents that occur when a large,
or low-impedance load comes on line. Normally the current
will stabilize after some time when the load has reached
normal working condition. For example the start-up current
in induction motors can be 10x the normal working current.
See Figure 11.
The inrush current begins when the 1/2cycle RMS current
rises above the inrush threshold, and ends when the
1/2cycle RMS current is equal to or below the inrush
threshold minus the hysteresis value. In the event table the
extreme value is the highest 1/2cycle RMS value of the
event.
Duration
Nominal Voltage
Hysteresis
Threshold
0 Volt Time Magnitude

1736/1738
Users Manual
42
hcf073a.eps
Figure 11. Inrush Characteristics and Relation with
Start Menu
Details
The details screen provides an overview of the logging
setup. During an active session or when reviewing an
already completed session, you can modify the description
and the cost/kWh with the Edit Setup touch target.
Push View Configuration to review the measurement
configuration for the logging session.
Memory/Settings Button
In this menu you can:
• Review and erase the data from completed logging
sessions
• Review and erase screen captures
• Copy measurement data and screen captures to the
USB flash drive
• Make adjustments to the instrument settings
Logging Sessions
The list of stored logging sessions is available with
(Logging Sessions). Push to move the screen
highlight to the logging session of interest. Additional
information such as start and end time, duration, logging
description, and file size are shown.
1. Push to review the logging session. See View
Logging Sessions for more details.
Note
It is not possible to review a completed logging
session when another session is active.
2. Push (Delete) to remove the selected logging
session. Push to remove all logging sessions.
Note
An active logging session cannot be deleted. Stop
the logging session before you delete.
3. Push (Save to USB) to copy the selected
logging session to an attached USB flash drive. The
session is stored on the USB flash drive in the folder:
\Fluke173x\<serial number>\sessions
Threshold
(=Trigger) Hysteresis
}
Duration

Power Logger
Function Selection Buttons
43
Screen Capture
In this screen you can review, erase, and copy saved
screens to a USB flash drive.
1. Push .
2. Push (Screen Capture) to show the list of all
screens. See Basic Navigation for information about
how to capture screens.
3. Push to move the screen highlight to a screen of
interest. A thumbnail image of the screen is shown for
easy identification.
4. Use (Delete) to delete the selected screen.
Push to delete all screens.
5. Push or (Save All to USB) to copy all screens to
an attached USB flash drive.
Instrument Settings
The Logger has settings for language, date and time,
phase information, currency, firmware version and update,
WiFi configuration, and touch screen calibration.
To change the settings:
1. Push .
2. Push (Instrument Settings).
Language
The user interface of the Logger is available in Czech,
Chinese, English, French, German, Italian, Japanese,
Korean, Polish, Portuguese, Russian, Spanish, and
Turkish.
To change the display language:
1. Push .
2. Push (Instrument Settings).
3. Push to move the screen highlight to language
field and push or touch the Language target.
4. Push to move through the language list.
5. Push to activate the new language.
The language immediately updates on the screen.

1736/1738
Users Manual
44
Phase Color/Phase Labels
The phase colors are configurable to match with the
connector panel decal. Five schemes are available:
A/L1 B/L2 C/L3 N
US black red blue white
Canada red black blue white
EU brown black grey blue
UK (old) red yellow blue black
China yellow green red blue
To change the phase color/phase labels:
1. Push .
2. Push (Instrument Settings).
3. Push to highlight Phases and push or touch
Phases target.
4. Select one of the available schemes.
5. Push to toggle the phase label between A-B-C
and L1-L2-L3.
6. Push to confirm the selection.
Date/Time Zone
The logger stores the measurement data in universal time
coordinate (UTC) to ensure continuity in time and accounts
for time changes due to daylight saving time (DST).
To display the time stamps of the measurement data
correctly, it is required to set the time zone. The Logger
adjusts automatically to DST. For example, a 1-week
measurement started on 2-Nov-2013 8:00 am ends on
9-Nov-2013 08:00 am even though the clock was set back
on 3-Nov-2013 from 02:00 to 01:00.
To set the time zone:
1. Push .
2. Push (Instrument Settings).
3. Push to highlight Time Zone and push or
touch Time Zone target.
4. Select the regions/continents.
5. Push .
6. Continue to select the country/city/time zone until the
time zone configuration is done and the Instrument
Settings menu shows.

Power Logger
Function Selection Buttons
45
To set the date format:
1. Push .
2. Push (Instrument Settings).
3. Push to highlight the Date Format target and
push or touch the Date Format target.
4. Select one of the available date formats.
5. Push to toggle between a 12 hour or 24 hour
format. A preview of the configured date format shows
on the display.
6. Push to confirm the selection.
To change the time:
1. Push .
2. Push (Instrument Settings).
3. Push to highlight the Time target and push or
touch the Time target.
4. Touch the + and – targets for each field.
5. Push to confirm the change and exit the screen.
Currency
The currency symbol used for energy cost values is
configurable.
To set the currency:
1. Push .
2. Push (Instrument Settings).
3. Push to highlight the Currency target and push
or touch the Currency target.
4. Select one of the currency symbols and push .
5. If a currency is not in the list, select Custom and push
or touch Edit Custom target.
6. Enter a three-letter currency code with the keyboard
and accept with .
7. Push to confirm the selection.

1736/1738
Users Manual
46
Status Information
The screen provides information and status about the
Logger, such as the serial number, attached current
probes, battery status, and installed licenses.
To go to the status information:
1. Push .
2. Push (Instrument Settings).
3. Push (Info).
4. Push to exit the screen.
Firmware Version
To find the firmware version installed on your Logger:
1. Push .
2. Push (Instrument Settings).
3. Push (Tools).
4. Push to select Firmware version and push
or touch the Firmware version target.
5. Push to exit the screen.
Touch Screen Calibration
The touch screen has been calibrated at the factory before
shipment. In case you do experience misalignment with
the touch targets, use the touch screen calibration feature.
To calibrate:
1. Push .
2. Push (Instrument Settings).
3. Push (Tools).
4. Push to highlight Touch Screen Calibration and
push or touch the Touch Screen Calibration
target.
5. Touch the five cross hair targets as exactly as
possible.
WiFi Configuration
To configure the first-time WiFi connection of a
PC/smartphone/tablet to the Logger, setup the WiFi details
in the Tools screen.
To view the WiFi setup parameters:
1. Push .
2. Push (Instrument Settings).
3. Push (Tools).

Power Logger
Function Selection Buttons
47
4. Push to highlight the WiFi configuration target
and push or touch the WiFi configuration target
to view the WiFi connection details.
Note
This feature is only available when a supported
USB WiFi dongle is attached to the Logger.
Copy Service Data to USB
If requested for customer support, use this function to copy
all measurement files in raw format and system
information to a USB flash drive.
To copy the service data:
1. Attach a USB flash drive with sufficient available
memory (depending on the file size of stored logging
sessions max. 180 MByte).
2. Push .
3. Push (Instrument Settings).
4. Push (Tools).
5. Push to highlight the Copy service data to USB
target and push or touch Copy service data to
USB target to start the copy process.
Reset to Factory Defaults
The reset function deletes all user data, such as logging
sessions and screen captures, and sets the instrument
settings to default values. It also enables the first-time use
wizard the next time the instrument boots.
To reset:
1. Push .
2. Push (Instrument Settings).
3. Push (Tools).
4. Push to highlight Reset to Factory Defaults and
push or touch Reset to Factory Defaults target.
A display message prompts you to continue or cancel the
reset.
The Logger is reset to factory defaults also when you
simultaneously push and hold the buttons , , and
while the Logger starts.
Firmware Update
To update:
1. Take a USB flash drive with at least 80 MB of free
space available and create a folder called "Fluke1736"
(no spaces in file name).
Note
Make sure the USB is formatted with FAT or
FAT32 file system.
In Windows USB flash drives ≥32GB can be formatted
with FAT/FAT32 only by using 3rd party tools.

1736/1738
Users Manual
48
2. Copy the firmware file (*.bin) into this folder.
3. Make sure the Logger is powered from mains and
operating.
4. Plug the flash drive into the Logger. The USB Transfer
screen pops up and offers the firmware update.
5. Push to select the firmware update and push .
6. Follow the instructions. When the firmware update is
complete the Logger reboots automatically.
Note
A firmware update deletes all user data such as
measurement data and screen captures.
This firmware update works only when the firmware
version on the USB flash drive is newer than the installed
version.
To install the same version or an older version:
1. Push .
2. Push (Instrument Settings).
3. Push (Tools).
4. Push to select Firmware Update and push or
touch the Firmware Update target.
Note
If more than one firmware file (*.bin) is located in
the \Fluke173x folder, the newest version is used
for the update.
First-time Use/Setup Wizard
To start the Logger:
1. Install WiFi/BLE or WiFi only adapter (see page 6).
2. Attach the power supply to the Logger or use the dc
power cable to connect the Power Supply with the
Logger.
3. Connect the power cord into the power supply.
The Logger starts up in <30 seconds and the Setup
Wizard starts.
4. Pick the language (see page 43).
5. Push (Next) or to navigate to the next page.
6. Push (Cancel) to close the setup wizard. If you
cancel, the setup wizard starts again on next startup of
the logger.
7. Pick the work standards for your region. This action
selects the color codes and the phase descriptor (A, B,
C, N or L1, L2, L3, N).
This is the best time to apply the correlating decal on
the connector panel. The decal helps you to quickly
identify the appropriate voltage test lead and current
probe for the different phases and neutral.
8. Attach the color clips to the current probe cables.
9. Pick your time zone and date format. Confirm that the
correct date and time are shown on-screen.
10. Pick the currency sign or currency code.

Power Logger
First Measurements
49
The Logger is now ready for the first measurements or
energy study.
Note
Be aware that for power measurements in 3-phase
systems:
• Total Active Power (W) is the sum of the
individual phases
• Total Apparent Power (VA) also includes the
neutral current that can result in a very
different result than the sum of the three
phases. This is especially noticeable when a
signal is connected to all three phases (for
example, a calibrator) the total value is
approximately 41% higher than the sum of
each phase.
• Total Fundamental Power (W and var) only
delivers the sum of each phase when the
phase rotation is clockwise. It is zero when the
phase rotation is counter-clockwise.
For more information, see the white paper,
Measurement Theory Formulas, at www.fluke.com
for a list of formulas.
First Measurements
At the energy study site, look at the information in the
panel and the rating plates on the machines. Based on
knowledge of the electrical supply in the facility, determine
the configuration.
To start measurements:
1. Connect the Logger to mains power.
Note
See page 16 if you want to power the Logger from
the measurement line.
The Logger starts and shows the Meter screen with
Volts, Amps, and Hz readings.
2. Push Change Configuration. Confirm the study type
and the wiring configuration is correct. For most
applications the current range is set to Auto and the
voltage and current ranges are 1:1. Configure the gain,
offset, and engineering unit of measurement for the
sensors attached to the Auxiliary inputs.
3. Push Configuration Diagram for guidance on the
voltage test lead and current probe connections.
4. Plug the voltage test leads into the Logger.

1736/1738
Users Manual
50
5. Use the Thin-Flexi current probes and plug the phase
A current probe into the phase A/L1 input jack on the
logger, the phase B/L2 current probe into the phase
B/L2 input jack on the logger, and the phase C/L3
current probe into the phase C/L3 input jack on the
logger.
6. Apply the iFlex Probes to the wires in the electrical
panel. Make sure the arrow on the probe points to the
load.
7. Connect the voltage test leads to neutral, phase A/L1,
phase B/L2, and phase C/L3.
8. With all of the connections done, check that the
voltages for phases A/L1, B/L2, and C/L3 are as
expected.
9. Read the current measurements for phases A/L1,
B/L2, C/L3, and N.
10. Push Verify Connection to check and correct the
phase rotation, phase mapping, and polarity of current
probes.
Most installations use a clockwise rotation.
11. Push Live-Trend to display a chart of the last
7 minutes.
12. Push to determine the power values, especially
active power and power factor.
13. Push Live-Trend to display a chart of the last
7 minutes.
14. Push for 3 seconds to take a snapshot of the
measurements.
15. Push and change the default configuration with
Edit Setup.
Typical setup:
- 1 week duration
- 1 minute for average calculation interval
- 15 minutes for demand interval
16. Push Start Logging.
You can review the live data with or . Return
to the active logging session with . Once the
logging session is completed it is accessible in
Memory/Settings - Logging Sessions.
17. Review the logged data using the softkeys V, A, Hz, +,
Power, and Energy. See page 36 for more
information.
18. To transfer and analyze the data using the PC
software, attach the USB flash drive to the Logger and
copy the logging session and screenshot.
Note
You can also use the USB cable or the USB WiFi
dongle to transfer the measurement data.

Power Logger
Licensed Features
51
To analyze the data using the PC software:
1. Attach the USB flash drive to a PC with Energy
Analyze installed.
2. In the software, click Download and copy the logging
session and screenshot from the USB flash drive.
3. Open the downloaded session and view the measured
data.
4. Go to the Project Manager tab and click Add Image to
add the screenshot.
For more information about how to use the Energy
Analyze, see the online help for the software.
Licensed Features
License keys are available as optional accessories to
extend the functionality of the Logger with licensed
features.
Table 6 shows the available licensed features:
Table 6. Optional License Features
Feature 1736 1738
WiFi Infrastructure [1] • •
1736/Upgrade •
IEEE 519/Report • •
[1] The WiFi Infrastructure license is complimentary and
enabled when you register the Logger at www.fluke.com.
WiFi Infrastructure
This license activates the connection to a WiFi
infrastructure. See page 58 for details.
1736/Upgrade
The upgrade license activates the advanced analysis
features of the 1738 on a 1736 Logger.
Features are:
• Power Quality assessment according to EN 50160:
"voltage characteristics of electricity supplied by public
distribution networks."
This includes the PQ Health logging overview screen
with pass/fail indication of all supported PQ

1736/1738
Users Manual
52
parameters and the detailed harmonic limits validation
in firmware and software. See page 21 for more
information.
• RMS profile and wave shape recordings on voltage or
current events
IEEE 519/Report
The IEEE 519/Report license enables a validation of
voltage and current harmonics according to the standard
IEEE 519: "IEEE recommended practice and requirements
for harmonic control in electric power systems."
License Activation
To activate a license from a PC:
1. Go to www.fluke.com.
2. Select Brand > Fluke Industrial.
3. Select Product Family > Power Quality Tools.
4. Select Model Name > Fluke 1736 or Fluke 1738.
5. Enter the serial number of the Logger.
Note
You must enter the serial number correctly. The
serial number is found in the Status Information
screen or on the back decal of the Logger. See
page 46 for more information about the Status
Information screen. Do not use the serial number
of the power supply module.
6. Enter the license key from the license activation letter.
The web form supports up to two license keys. You
can enable licensed features at a later time by
returning to the web registration page.
Note
The activation of the WiFi Infrastructure does not
require a license key.
7. Complete all the fields and submit the form.
An e-mail with the license file is sent to your e-mail
address.
8. Create a folder named "Fluke173x" on a USB flash
drive. Do not use spaces in the file name. Make sure
the USB is formatted with FAT or FAT32 file system.
(In Windows, USB flash drives ≥32 GB can be
formatted with FAT/FAT32 only with 3rd party tools.)
9. Copy the license file (*.txt) to this folder.
10. Make sure the Logger is powered from mains and
turned on.
11. Insert the flash drive into the Logger. The USB
Transfer screen pops up and offers the license
activation.
12. Proceed with . A message window informs you
when the activation is complete.

Power Logger
Maintenance
53
Maintenance
If the Logger is used appropriately it does not require
special maintenance or repair. Maintenance work may be
executed only by trained and qualified personnel. This
work may only be done at a company related service
center within the guarantee period. See www.fluke.com for
locations and contact information of Fluke Service Centers
worldwide.
Warning
To prevent possible electrical shock, fire, or
personal injury:
• Do not operate the Product with covers
removed or the case open. Hazardous
voltage exposure is possible.
• Remove the input signals before you clean
the Product.
• Use only specified replacement parts.
• Have an approved technician repair the
Product.
How to Clean
Caution
To avoid damage, do not use abrasives or
solvents on this instrument.
If the Logger is dirty, wipe it off carefully with a damp cloth
(without cleaning agents). Mild soap may be used.
Battery Replacement
The Logger has an internal rechargeable Lithium-ion
battery.
To replace the battery:
1. Remove the Power Supply.
2. Unscrew the four screws and remove the battery door.
3. Replace the battery.
4. Fasten the battery door.
Caution
To prevent damage to the Product, use only
original Fluke batteries.

1736/1738
Users Manual
54
Calibration
As an additional service we offer the regular examination
and calibration of your Logger. The recommended
calibration cycle is 2 years.
More information about how to contact Fluke is on page 2.
Service and Parts
Replacement parts and accessories are listed in Table 7
and shown in Figure 12. To order parts and accessories,
see How to Contact Fluke.
Table 7. Replacement Parts
Ref. Description Qty.
Fluke Part or
Model Number
Power Supply: 1736 1 4583625
Power Supply: 1738 1 4717789
Battery Door 1 4388072
Battery Pack, Li ion 3.7 V 2500 mAh 1 4146702
USB Cable 1 4704200
Input Decal, country specific
(US, Canada, Europe/UK, UK/old, China) 1 see Figure 7 on page 15
Line Cord, country specific
(N. American, Europe, UK, Australia, Japan, India/S. Africa, Brazil) 1 see Figure 1 on page 5
Test Leads 0.1 m Red/Black, 1000 V CAT III 1 set 4715389
Test Leads 1.5 m Red/Black, 1000 V CAT III 1 set 4715392
Color-coded Wire Clips 1 set 4394925
USB Flash Drive
(includes User Manuals and installer for PC software) 1 NA

Power Logger
Service and Parts
55
hcf060.eps
Figure 12. Replacement Parts
45
9
6
1
2
3
8
7
9

1736/1738
Users Manual
56
Energy Analyze Plus Software
The Power Logger includes the Fluke Energy Analyze Plus
software that lets you do tasks from a computer.
You can:
• Download campaign results for further processing and
archiving.
• Analyze energy or load profiles, including zoom-in and
zoom-out on details.
• Analyze voltage and current harmonics.
• Review the voltage and current events that occur
during the campaign.
• Analyze the RMS profile and wave shapes recorded
on events (1738 or 1736 with 1736/Upgrade license).
• Review the key power quality parameters.
• Create a EN 50160 compliance report (1738 or 1736
with 1736/Upgrade license)
• Perform an IEEE 519 analysis and create a pass/fail
report (requires IEEE 519/Report license).
• Add comments, annotations, pictures, and other
supplementary information to campaign data.
• Overlay data from different campaigns to identify and
document changes.
• Create a report from the analysis you performed.
• Export measurement results for further processing
using a third party tool.
System Requirements
The computer hardware requirements for the Energy
Analyze software are:
• Free Hard Disk space 50 MB,
>10 GB (for measurement data) recommended
• Installed Memory:
- 1 GB minimum for 32-bit systems
- ≥2 GB recommended for 32-bit systems,
≥4 GB recommended for 64-bit systems
• Monitor, 1280 x 1024 (@4:3) or 1440 x 900 (@16:10),
wide-screen (16:10) at higher resolution recommended
• USB 2.0 ports
• Windows 7, Windows 8.x, and Windows 10 (32/64-bit)
Note
Windows 7 Starter edition and Windows 8 RT are
not supported.

Power Logger
WiFi Support
57
PC Connections
To connect the PC to the Logger:
1. Power on the computer and the Logger.
2. Install the Energy Analyze Software.
3. Connect the USB cable to the USB ports of the
computer and the Logger as shown in Figure 13.
hcf024.eps
Figure 13. Power Logger to PC Connections
See the Energy Analyze Plus Online Help for information
about how to use the software.
WiFi Support
With the USB WiFi dongle you can use the Fluke Connect
App for asset management, trending and sharing
measurement data, wirelessly control the Logger with a
PC/smartphone/tablet, and download measurement data
and screenshots to the Energy Analyze Plus software.
WiFi Setup
The Logger supports a direct connection between a PC,
smartphone, or tablet. It also supports a connection from
the Logger to an access point of a WiFi infrastructure.
Note
Connection to the WiFi infrastructure requires the
license for WiFi Infrastructure.
Before you setup a connection, see page 6 for information
about how to install the WiFi or WiFi/BLE adapter. Make
sure the Logger is turned on and in the range of 5 to 10
meters (depends on the connection mode) to the client or
access point.
To set the connection mode and see the WiFi connection
details from the Logger:
1. Push .
2. Push (Instrument Settings)
3. Push (Tools)
4. Push to highlight WiFi Configuration and push
to confirm. Or, touch WiFi Configuration touch
target.
5. Push to highlight Mode and push .
6. Select Direct Connection or WiFi-Infrastructure in
the list and confirm with .
USB Port

1736/1738
Users Manual
58
WiFi Direct Connection
The WiFi connection uses WPA2-PSK (pre-shared key)
with AES encryption. The passphrase shown on the
screen is required to establish a connection from a client to
the device.
1. On the client, go to the list of available WiFi networks
and look for a network with the name:
“Fluke173x<serial-no>”
for example: “Fluke1736<123456789>”.
2. Enter the passphrase provided on the WiFi
Configuration screen when you are asked. Depending
on the operating system of the client, the passphrase
is also called Security Key, Password, or similar.
After a few seconds the connection is established.
Note
On Windows, the WiFi icon in the notification area
of the task bar is shown with an exclamation mark
. The exclamation mark indicates that this WiFi
interface does not provide an Internet access. This
is normal since the Logger is not a gateway to the
Internet.
WiFi-Infrastructure
The WiFi connection requires the WiFi-Infrastructure
license and supports WPA2-PSK. This connection requires
a DHCP service running in the access point to assign IP
addresses automatically.
To establish a connection with a WiFi-access point:
1. In WiFi Configuration screen, push to highlight
Name (SSID) and push .
A list of access points within range shows. Icons show
the field strength. Avoid access points with no or only
one green bar since they are too far away for a reliable
connection.
2. Push to highlight an access point and push to
confirm.
3. In WiFi Configuration screen, push to highlight
Passphrase and push .
4. Enter the passphrase (also called Security Key or
Password) and push . The passphrase has 8 to 63
characters and is configured in the access point.
The assigned IP address shows when the connection
is successful.

Power Logger
Remote Control
59
Remote Control
You can remotely control the instrument with a free
third-party VNC client available for Windows, Android,
Apple iOS, and Windows Phone after the WiFi connection
is setup. VNC stands for Virtual Network Computing and
allows you to see the screen content, push the buttons,
and touch the targets.
Tested VNC clients that work with the Logger are listed in
Table 8.
Table 8. VNC Clients
Operating
System Program Available from:
Windows 7/8.x/10 TightVNC www.tightvnc.org
Android bVNC[1] Google Play Store
iOS (iPhone, iPad) Mocha VNC[1] Apple App Store
Windows Phone Mocha VNC[1] Windows Phone Market
[1] The free version provides all features required for communication.
Configuration
IP Address
Direct Connection ........................................... 10.10.10.1
WiFi Infrastructure .......................................... use IP address shown
in WiFi configuration
screen
Port ......................................................................... 5900 (default)
The VPN user name and password fields are not
configured and can be left blank.
Wireless Access to PC Software
No further setup is required to use WiFi communication
with the Fluke Energy Analyze Plus software once the
WiFi connection to the device is setup. The WiFi
connection supports downloading the measurement files
and screenshots and synchronizing the time. The selected
communication media is shown in brackets. Refer to the
online help for details about how to use the PC software.

1736/1738
Users Manual
60
hcf61.jpg
Fluke Connect™ Wireless System
The Logger supports the Fluke Connect™ Wireless
System (may not be available in all regions). Fluke
Connect™ is a system that wirelessly connects your Fluke
test tools with an app on your smartphone or tablet. It can
show measurements from the Logger on your smartphone
or tablet screen, save measurements to the asset's
EquipmentLog™ history in the Fluke Cloud™ storage, and
share the measurements with your team.
More information about how to enable the radio is on
page 46.
Fluke Connect App
The Fluke Connect app works with the Apple and Android
products. The app is available for download from the Apple
App Store and Google play.
How to access Fluke Connect:
1. Turn on the Logger.
2. On your smartphone, go to Settings > WiFi.
3. Select the WiFi network that begins with
"Fluke173x<serial-no>".
4. Go to the Fluke Connect App and select the Logger
from the list.
Go to www.flukeconnect.com for more information about
how to use the app.

Power Logger
Wiring Configurations
61
Wiring Configurations
V, A, Hz, +
Single
Phase
Single
Phase IT
Split
Phase
(2P-3W)
3-Ф Wye
3-Ф Wye
IT
(3P-4W)
3-Ф Wye
Balanced
3-Ф Delta
(3P-3W)
2 Element
Delta
Aron/
Blondel
3-Ф Delta
Open Leg
(3P-3W)
3-Ф High
Leg Delta
Balanced
3-Ф Delta
VAN
[1] V ● ● ● ●
VBN
[1] V ● ● ◦
VCN
[1] V ● ◦
VAB
[1] V ●[2] ●[2] ◦[2] ● ● ● ● ●
VBC
[1] V ●[2] ◦[2] ● ● ● ● ◦
VCA
[1] V ●[2] ◦[2] ● ● ● ● ◦
unbal % ● ● ● ● ●
IA A ● ● ● ● ● ● ● ● ●
IB A ● ● ◦ ● ● ● ◦
IC A ● ◦ ● ● ● ● ◦
IN A ● ● X
f Hz ● ● ● ● ● ● ● ● ●
Aux 1, 2 mV, user defined ● ● ● ● ● ● ● ● ●
h01-50[3]
THD VA[3]
V, %
% ● ● ● ●
h01-50[3]
THD VB
[3]
V, %
% ● ●
h01-50[3]
THD VC
[3]
V, %
% ●
h01-50[3]
THD V
A
B
[3]
V, %
% ● ● ● ● ●
h01-50[3]
THD VBC
[3]
V, %
% ● ● ● ●

1736/1738
Users Manual
62
V, A, Hz, + (cont.)
Single
Phase
Single
Phase IT
Split Phase
(2P-3W)
3-Ф Wye
3-Ф Wye IT
(3P-4W)
3-Ф Wye
Balanced
3-Ф Delta
(3P-3W)
2 Element
Delta Aron/
Blondel
3-Ф Delta
Open Leg
(3P-3W)
3-Ф High
Leg Delta
Balanced
3-Ф Delta
h01-50[3]
THD VC
A
[3]
V, %
% ● ● ● ●
h01-50
THD IA
TDD I
A
[4]
A, %
%
%
● ● ● ● ● ● ● ● ●
h01-50
THD IB
TDD IB
[4]
A, %
%
%
● ● ● ● ● ●
h01-50
THD IC
TDD IC
[4]
A, %
%
%
● ● ● ● ●
h01-50
THC IN
A
A ● ● X
● = Measured values
[1] Simulated in load studies if Unom is specified
[2] Secondary displayed values
[3] Not available in load studies
[4] Requires IEEE 519/Report License
X = Optional for harmonics analysis
= Calculated values
○ = Simulated values (derived from phase 1)

Power Logger
Wiring Configurations
63
Power
Single Phase
Single Phase IT
Split Phase
(2P-3W)
3-Ф Wye
3-Ф Wye IT
(3P-4W)
3-Ф Wye
Balanced
3-Ф Delta
(3P-3W)
2 Element Delta
Aron/Blondel
3-Ф Delta
Open Leg
(3P-3W)
3-Ф High Leg
Delta
3-Ф Delta
Balanced
PA, PA fund[3] W ● ● ● ●
PB, PB fund[3] W ● ● ◦
PC, PC fund[3] W ● ◦
PTotal, PTotal fund[3] W ● ● ◦ ● ● ● ● ●
QA, QA fund[3] var ● ● ● ●
QB, QB fund[3] var ● ● ◦
QC, QC fund[3] var ● ◦
QTotal, QTotal fund[3] var ● ◦ ● ● ● ● ●
SA[1] VA ● ● ● ●
SB[1] VA ● ● ◦
SC[1] VA ● ◦
STOTAL[1] VA ● ● ◦ ● ● ● ● ●
PFA[3] ● ● ● ●
PFB[3] ● ● ◦
PFC[3] ● ◦
PFTotal[3] ● ● ◦ ● ● ● ● ●
● = Measured values
[1] Simulated in load studies if Unom is specified
[2] Secondary displayed values
[3] Not available in load studies
○ = Simulated values (derived from phase 1)

1736/1738
Users Manual
64
Glossary
Unbalance (u2) Supply Voltage Unbalance
Condition in a three phase system in which the RMS. values of the line-to-line voltages (fundamental component),
or the phase angles between consecutive line voltages, are not all equal. The unbalance value is the ratio of the
negative sequence to the positive sequence in percent and is typically in the range between 0% and 2%.
h01 Fundamental Frequency Component
RMS value of the fundamental frequency component of voltage or current.
Sub grouping according to IEC 61000-4-7 is applied.
h02 … h50 Harmonic Component
RMS value of the harmonic component of voltage or current.
Sub grouping according to IEC 61000-4-7 is applied.
THD Total Harmonic Distortion
The ratio of the RMS value of the sum of all the voltage or current harmonic components h02 … h50 to the RMS
value of the fundamental component h01 of voltage or current.
THC Total Harmonic Content
The RMS value of the sum of all the voltage or current harmonic components h02 … h50.
TDD[1] Total Demand Distortion
The ratio of the RMS value of the sum of all the current harmonic components h02 … h50 to IL, the maximum
demand current.
IL[1] Maximum Demand Load Current
The current value is established at the point of common coupling and should be taken as the sum of the currents
corresponding to the maximum demand during each of the twelve previous months divided by 12.
This value is required to calculate TDD and to determine the applicable current harmonic limits defined by IEEE
519. It is a user input in measurement configuration.
ISC[1] Maximum Short Circuit Current at Point of Common Coupling
This value is required to determine the applicable current harmonic limits defined by IEEE 519. It is a user input in
measurement configuration.
[1] Requires IEEE 519/Report License.

Power Logger
General Specifications
65
General Specifications
Color LCD Display ................................................ 4.3-inch active matrix color TFT, 480 pixels x 272 pixels, resistive touch panel
Power/Charging/LED Indicator
Warranty
1736/1738 and Power Supply ............................ 2 years (battery not included)
Accessories ........................................................ 1 year
Calibration Cycle .................................................. 2 years
Dimensions
1736/1738 ........................................................... 19.8 cm x 16.7 cm x 5.5 cm (7.8 in x 6.6 in x 2.2 in)
Power Supply ..................................................... 13.0 cm x 13.0 cm x 4.5 cm (5.1 in x 5.1 in x 1.8 in)
1736/1738 with power supply attached .............. 19.8 cm x 16.7 cm x 9 cm (7.8 in x 6.6 in x 4.0 in)
Weight
1736/1738 ........................................................... 1.1 kg (2.5 lb)
Power Supply ..................................................... 400 g (0.9 lb)
Tamper Protection ................................................ Kensington lock
Environmental Specifications
Operating Temperature ........................................ −10 °C to +50 °C (+14 °F to +122 °F)
Storage Temperature............................................ −20 °C to +60 °C (−4 °F to +140 °F), with battery: −20 °C to +50 °C (−4 °F to +122 °F)
Operating Humidity .............................................. <10 °C (<50 °F) non condensing
10 °C to 30 °C (50 °F to 86 °F) ≤95 %
30 °C to 40 °C (86 °F to 104 °F) ≤75 %
40 °C to 50 °C (104 °F to 122 °F) ≤45 %
Operating Altitude ................................................ 2,000 m (up to 4,000 m derate to 1000 V CAT II/600 V CAT III/300 V CAT IV)
Storage Altitude .................................................... 12,000 m
IP Rating ................................................................ IEC 60529:IP50, in connected condition with protection caps in place
Vibration ................................................................ MIL-T-28800E, Type 3, Class III, Style B

1736/1738
Users Manual
66
Safety
IEC 61010-1
IEC Mains Input .......................................... Overvoltage Category II, Pollution Degree 2
Voltage Terminals ....................................... Overvoltage Category IV, Pollution Degree 2
IEC 61010-2-033 ............................................ CAT IV 600 V / CAT III 1000 V
Electromagnetic Compatibility (EMC)
International ........................................................ IEC 61326-1: Industrial
CISPR 11: Group 1, Class A
Group 1: Equipment has intentionally generated and/or uses conductively-coupled radio frequency
energy that is necessary for the internal function of the equipment itself.
Class A: Equipment is suitable for use in all establishments other than domestic and those directly
connected to a low-voltage power supply network that supplies buildings used for domestic purposes.
There may be potential difficulties in ensuring electromagnetic compatibility in other environments
due to conducted and radiated disturbances.
Emissions that exceed the levels required by CISPR 11 can occur when the equipment is connected
to a test object.
Korea (KCC) ....................................................... Class A Equipment (Industrial Broadcasting & Communication Equipment)
Class A: Equipment meets requirements for industrial electromagnetic wave equipment and the seller
or user should take notice of it. This equipment is intended for use in business environments and not
to be used in homes.
USA (FCC) .......................................................... 47 CFR 15 subpart B. This product is considered an exempt device per clause 15.103.
Wireless Radio with Adapter
Frequency Range ............................................... 2412 MHz to 2462 MHz
Output Power ...................................................... <100 mW

Power Logger
Electrical Specifications
67
Electrical Specifications
Power Supply
Voltage Range .................................................... nominal 100 V to 500 V (85 V min to 550 V max) using safety plug input
Mains Power ....................................................... nominal 100 V to 240 V (85 V min to 265 V max) using IEC 60320 C7 input (figure 8 power cord)
Power consumption ............................................ Maximum 50 VA (max. 15 VA when powered using IEC 60320 input)
Standby Power ................................................... <0.3 W only when powered using IEC 60320 input
Efficiency ............................................................ ≥68.2 % (in accordance with energy efficiency regulations)
Mains Frequency ................................................ 50/60 Hz ±15 %
Battery Power ..................................................... Li-ion 3.7 V, 9.25 Wh, customer-replaceable
On-Battery Runtime ............................................ Up to 4 hr (up to 5.5 hr in energy saving mode)
Charging Time .................................................... <6 hr
Voltage Inputs
Number of Inputs ................................................ 4 (3 phases and neutral)
Maximum Input Voltage ...................................... 1000 Vrms (1700 Vpk) phase to neutral
Input Impedance ................................................. 10 MΩ each phase to neutral
Bandwidth ........................................................... 42.5 Hz – 3.5 kHz
Scaling ................................................................ 1:1, variable
Current Inputs
Number of Inputs ................................................ 4, mode selected automatically for attached sensor
Current Sensor Output Voltage
Clamp ............................................................. 500 mVrms / 50 mVrms; CF 2.8
Rogowski Coil ................................................. 150 mVrms / 15 mVrms at 50 Hz, 180 mVrms / 18 mVrms at 60 Hz; CF 4;
all at nominal probe range
Range ................................................................. 1 A to 150 A / 10 A to 1500 A with iFlex1500-12
3 A to 300 A / 30 A to 3000 A with iFlex3000-24
6 A to 600 A / 60 A to 6000 A with iFlex6000-36
40 mA to 4 A / 0.4 A to 40 A with 40 A clamp i40s-EL
Bandwidth ........................................................... 42.5 Hz – 3.5 kHz
Scaling ................................................................ 1:1, variable

1736/1738
Users Manual
68
Auxiliary Inputs
Wired Connection
Number of Inputs ............................................ 2
Input Range .................................................... 0 V dc to ± 10 V dc
Wireless Connection (requires WiFi/BLE adapter USB1 FC)
Number of Inputs ............................................ 2
Supported Modules......................................... Fluke Connect 3000 series
Acquisition .......................................................... 1 reading/s
Scale factor ......................................................... Format: mx + b (Gain and offset) user configurable
Displayed units ................................................... User configurable (up to 8 characters, for example °C, psi, or m/s)
Data Acquisition
Resolution ........................................................... 16-bit synchronous sampling
Sampling Frequency ........................................... 10.24 kHz at 50/60 Hz, synchronized to mains frequency
Input Signal Frequency ....................................... 50/60 Hz (42.5 Hz to 69 Hz)
Wiring Configurations ......................................... 1-Φ, 1-Φ IT, Split phase, 3-Φ wye, 3-Φ wye IT, 3-Φ wye balanced, 3-Φ delta, 3-Φ Aron/Blondel (2-element
delta), 3-Φ delta open leg, 3-Φ high leg delta, 3-Φ delta balanced. Currents only (load studies)
Data Storage ....................................................... Internal flash memory (not user replaceable)
Memory Size ....................................................... Typical 10 logging sessions of 8 weeks with 1-minute intervals and 100 events The number of possible
logging sessions and logging period depends on user requirements.
Basic Interval
Measured Parameter .......................................... Voltage, Current, Aux, Frequency, THD V, THD A, Power, Power Factor, fundamental Power, DPF,
Energy
Averaging Interval ............................................... User selectable: 1 sec, 5 sec, 10 sec, 30 sec, 1 min, 5 min, 10 min, 15 min, 30 min
Total Harmonic Distortion ................................... THD for voltage and current is calculated on 25 harmonics
Averaging time min/max values
Voltage ............................................................ Full cycle RMS (20 ms at 50 Hz, 16.7 ms at 60 Hz)
Current ............................................................ Half cycle RMS (10 ms at 50 Hz, 8.3 ms at 60 Hz)
Aux, Power ..................................................... 200 ms
Demand Interval (Energy Meter Mode)
Measured Parameter .......................................... Energy (Wh, varh, VAh), PF, Maximum Demand, Cost of Energy
Averaging Interval ............................................... User selectable: 5 min, 10 min, 15 min, 20 min, 30 min, off

Power Logger
Electrical Specifications
69
Power Quality Measurements
Measured Parameter .......................................... Voltage, Frequency, Unbalance, Voltage Harmonics, THD V, Current Harmonics, THD A, and TDD
(requires IEEE519/Report license)
Averaging Interval ............................................... 10 min
Individual Harmonics .......................................... 2nd … 50th
Total Harmonic Distortion ................................... Calculated on 50 harmonics
Events ................................................................. Voltage: Dips, Swells, Interruptions
Current: Inrush Current
Triggered Recordings ......................................... 1738 or 1736 with 1736/Upgrade license
Half cycle RMS of Voltage and Current
Waveform of Voltage and Current
Standards Compliance
Harmonics .......................................................... IEC 61000-4-7: Class 1
IEEE 519 (short time harmonics, requires IEEE519/Report license)
Power Quality ..................................................... IEC 61000-4-30 Class S, IEC62586-1 (PQI-S device)
Power ................................................................. IEEE 1459
Power Quality Compliance ................................. 1738 or 1736 with 1736/Upgrade license
EN50160 (for measured parameters)
Interfaces
USB-A ................................................................. File transfer via USB Flash Drive, Firmware updates, max. supply current: 120 mA
WiFi
Supported modes ........................................... Direct connection and connection to infrastructure (requires WiFi-Infrastructure license)
Security ........................................................... WPA2-AES with pre-shared key
Bluetooth ............................................................ read auxiliary measurement data from Fluke Connect 3000 series modules (requires WiFi/BLE adapter
USB1 FC)
USB-mini ............................................................ Data download device to PC
Extension port ..................................................... Accessories

1736/1738
Users Manual
70
Accuracy at Reference Conditions
Parameter Range Max. Resolution
Intrinsic Accuracy at Reference Conditions
(% of Reading + % of Range)
Voltage 1000 V 0.1 V ±(0.2 % + 0.01 %)
Current
Direct Input
Rogowski Mode 15 mV 0.01 mV ±(0.3 % + 0.02 %)
150 mV 0.1 mV ±(0.3 % + 0.02 %)
Clamp Mode 50 mV 0.01 mV ±(0.2 % + 0.02 %)
500 mV 0.1 mV ±(0.2 % + 0.02 %)
1500 A Flex 150 A 0.01 A ±(1 % + 0.02 %)
1500 A 0.1 A ±(1 % + 0.02 %)
3000 A Flexi 300 A 1 A ±(1 % + 0.03 %)
3000 A 10 A ±(1 % + 0.03 %)
6000 A Flexi 600 A 1 A ±(1.5 % + 0.03 %)
6000 A 10 A ±(1.5 % + 0.03 %)
40 A
4 A 1 mA ±(0.7 % + 0.02 %)
40 A 10 mA ±(0.7 % + 0.02 %)
Frequency 42.5 Hz to 69 Hz 0.01 Hz ±0.1 %
Aux Input ±10 Vdc 0.1 mV ±(0.2 % + 0.02 %)
Voltage Min/Max 1000 V 0.1 V ±(1 % + 0.1 %)
Current Min/Max defined by accessory defined by accessory ±(5 % + 0.2 %)
THD on Voltage 1000 % 0.1 % ±(2.5 % + 0.05 %)
THD on Current 1000 % 0.1 % ±(2.5 % + 0.05 %)
Voltage Harmonic 2 to 50 1000 % 0.1 % ±(2.5 % + 0.05 %)
Unbalance 100 % 0.1 % ±0.15 %

Power Logger
Electrical Specifications
71
Power/Energy
Parameter
Direct Input [1] iFlex1500-12 iFlex3000-24 iFlex6000-36 i40S-EL
Clamp: 50 mV/500 mV
Rogowski: 15 mV/150 mV 150 A/1500 A 300 A/3000 A 600/6000 A 4 A/40 A
Power Range W, VA, var Clamp: 50 W/500 W
Rogowski: 15 W/150 W 150 kW/1.5 MW 300 kW/3 MW 600 kW/6 MW 4 kW/40 kW
Max. Resolution W, VA, var 0.1 W 0.01 kW/0.10 kW 1 kW/10 kW 1 kW/10 kW 1 W/10 W
Max. Resolution PF, DPF 0.01
Phase (Voltage to Current) [1] ±0.2 ° ±0.28 ° ±1 °
[1] Only for calibration laboratories

1736/1738
Users Manual
72
Intrinsic Uncertainty ±(% of measurement value + % of power range)
Parameter Influence
Quantity
Direct Input [1] iFlex1500-12 iFlex3000-24 iFlex6000-36 i40S-EL
Clamp: 50 mV/500 mV
Rogowski: 15 mV/150 mV 150 A/1500 A 300 A/3000 A 600/6000 A 4 A/40 A
Active Power P
Active Energy Ea
PF ≥0.99 0.5 % + 0.005 % 1.2 % + 0.005 % 1.2 % + 0.0075 % 1.7 % + 0.0075 % 1.2 % + 0.005 %
0.1≤ PF
<0.99 0.5+√1−
3× %
+0.005 %
1.2+√1−
2× %
+ 0.00 5 %
1.2+√1−
2× %
+ 0.0075 %
1.7+√1−
2× %
+ 0.0075 %
1.2+1.7×√1−
%
+0.005 %
Apparent Power S
Apparent Energy
Eap
0 ≤ PF ≤1 0.5 % + 0.005 % 1.2 % + 0.005 % 1.2 % + 0.0075 % 1.7 % + 0.0075 % 1.2 % + 0.005 %
Reactive Power Q
Reactive Energy Er 0 ≤ PF ≤1 2.5 % of measured apparent power/energy
Power Factor PF
Displacement
Power Factor
DPF/cosφ
- Reading ± 0.025
Additional
uncertainty
(% of power high-
range)
VP-N >250 V 0.015 % 0.015 % 0.0225 % 0.0225 % 0.015 %
[1] Only for calibration laboratories
Reference Conditions:
Environmental: 23 °C ±5 °C, instrument operating for at least 30 minutes, no external electrical/magnetic field, RH <65 %
Input conditions: CosΦ/PF=1, Sinusoidal signal f=50/60 Hz, power supply 120 V/230 V ±10 %.
Current and power specifications: Input voltage 1ph: 120 V/230 V or 3ph wye/delta: 230 V/400 V
Input current > 10 % of current range
Primary conductor of clamps or Rogowski coil in center position
Temperature Coefficient: Add 0.1 x specified accuracy for each degree C above 28 °C or below 18 °C

Power Logger
Electrical Specifications
73
Example:
Measurement at 120 V/16 A using an iFlex1500-12 in low range. Power Factor is 0.8
Active power uncertainty :
=±1.2 % + √.
×. + 0.005 % × =±(1.575 % + 0.005 % × 1000 × 150 )=±(1.575 % + 7.5 )
The uncertainty in W is ±(1.575 % × 120 × 16 × 0.8 + 7.5 )=±31.7 W
Apparent power uncertainty :
=±1.2 % + 0.005 % × =±(1.2 % + 0.005 % × 1000 × 150 )=±(1.2 % + 7.5 )
The uncertainty in VA is ±(1.2 % × 120 × 16 + 7.5 )=±30.54 VA
Reactive/non-active power uncertainty :
=±(2.5 % × )=±(2.5 % × 120 × 16 )=±48
In case of a measured voltage that is >250 V, the additional error is calculated with:
=0.015 % × =0.015 % × 1000 × 1500 =225 W / VA / var

1736/1738
Users Manual
74
iFlex Probe Specifications
Measuring range
iFlex 1500-12 ........................................ 1 to 150 A ac / 10 to 1500 A ac
iFlex 3000-24 ........................................ 3 to 300 A ac / 30 to 3000 A ac
iFlex 6000-36 ........................................ 6 to 600 A ac / 60 to 6000 A ac
Nondestructive current .......................... 100 kA (50/60 Hz)
Intrinsic Error at reference
condition[1] ............................................. ±0.7% of reading
Accuracy 173x + iFlex
iFlex 1500-12 & iFlex 3000-24 .............. ±(1 % of reading + 0.02 % of
range)
iFlex 6000-36 ........................................ ±(1.5 % of reading + 0.03 % of
range)
Temperature Coefficient over operating temperature range
iFlex 1500-12 & iFlex 3000-24 .................. 0.05 % of reading / °C (0.09 %
of reading / °F)
iFlex 6000-36 ............................................ 0.1 % of reading / °C (0.18 %
of reading / °F)
Positioning error with position of conductor in the probe window (see
Figure 14).
iFlex1500-12, iFlex3000-24 iFlex6000-36
Probe
Window A
±(1 % of reading + 0.02 %
of range)
±(1.5 % of reading + 0.03
% of range)
Probe
Window B
±(1.5 % of reading + 0.02
% of range)
±(2.0 % of reading + 0.03
% of range)
Probe
Window C
±(2.5 % of reading + 0.02
% of range)
±(4 % of reading + 0.03 %
of range)
External magnetic field rejection in reference to external
current (with cable >100 mm from the head-coupling
and r-coil) .................................................. 40 dB
Phase shift ................................................ < ±0.5°
hcf057.eps
Figure 14. iFlex Probe Window
Bandwidth ................................................... 10 Hz to 23.5 kHz
Frequency derating ..................................... I x f ≤385 kA Hz
Working Voltage .......................................... 1000 V CAT III, 600 V CAT IV
[1] Reference Condition:
• Environmental: 23 °C ±5 °C, no external electrical/magnetic field, RH 65 %
• Primary conductor in center position
iFlex1500-12: 88mm
iFlex3000-24: 185mm
iFlex6000-36: 282mm
C
B
A
1/31/31/3

Power Logger
Electrical Specifications
75
Transducer length
iFlex 1500-12 .......................................... 305 mm (12 in)
iFlex 3000-24 .......................................... 610 mm (24 in)
iFlex 6000-36 .......................................... 915 mm (36 in)
Transducer cable diameter ......................... 7.5 mm (0.3 in)
Minimum bending radius............................. 38 mm (1.5 in)
Output cable length
iFlex 1500-12 .............................................. 2 m (6.6 ft)
iFlex 3000-24 & iFlex 6000-36 .................... 3 m (9.8 ft)
Weight
iFlex 1500-12 .......................................... 115 g
iFlex 3000-24 .......................................... 170 g
iFlex 6000-36 .......................................... 190 g
Material
Transducer cable .................................... TPR
Coupling ................................................. POM + ABS/PC
Output cable ........................................... TPR/PVC
Operating Temperature ............................. -20 °C to +70 °C
(-4 °F to 158°F)
temperature of conductor
under test shall not exceed
80°C (176°F)
Storage temperature ................................... -40 °C to +80 °C
(-40 °F to 176 °F)
Operating relative humidity, ....................... 15 % to 85 % noncondensing
IP Rating ..................................................... IEC 60529:IP50
Operating Altitude ....................................... 2000 m (6,500 ft) up to
4000 m (13,000 ft) derate to
1000 V CAT II/600 V CAT III/
300 V CAT IV
Storage Altitude .......................................... 12 km (40,000 ft)
Warranty ..................................................... 1 year
i40s-EL Current Clamp Specifications
See Table 9 for setup instructions.
Table 9. i40s-EL Setup
hcf027.eps
Single Insulated current carrying conductor
Release button
Load direction arrow
Tactile barrier
Measuring range ..................................... 40 mA to 4 Aac / 0.4 Aac to 40 Aac
Crest factor ............................................. ≤3
Nondestructive current ............................ 200 A (50/60Hz)
Intrinsic Error at reference condition ....... ±0.5% of reading
Accuracy 173x + clamp ........................... ±(0.7 % of reading + 0.02% of
range)
600V CAT III
AC CURRENT CLAMP
SERIAL NUMBER
14
11
12
13

1736/1738
Users Manual
76
Phase shift
<40 mA ............................................... unspecified
40 mA to 400 mA ................................ < ± 1.5°
400 mA to 40 A ................................... < ± 1°
Temperature Coefficient over
operating temperature range .................. 0.015 % of reading / °C
0.027 % of reading / °F
Influence of adjacent conductor .............. ≤15 mA/A (@ 50/60 Hz)
Influence of conductor position
in jaw opening ......................................... ±0.5 % of reading (@ 50/60 Hz)
Bandwidth ............................................... 10 Hz to 2.5 kHz
Working Voltage ..................................... 600 V CAT III, 300 V CAT IV
[1] Reference Condition:
• Environmental: 23 °C ±5 °C, no external electrical/magnetic field, RH 65 %
• Primary conductor in center position
Size (H x W x L) ...................................... 110 mm x 50 mm x 26 mm
(4.33 in x 1.97 in x 1.02 in)
Maximum conductor size ........................ 15 mm (0.59 in)
Output cable length ................................. 2 m (6.6 ft)
Weight ..................................................... 190 g (6.70 oz)
Material ................................................... Case ABS and PC
Output cable: TPR/PVC
Temperature operating ........................... -10 °C to +55 °C
(-14 °F to 131 °F)
Temperature, non-operating ................... -20 °C to +70 °C
(-4 °F to 158 °F)
Relative Humidity, operating ................... 15 % to 85 % non-condensing
Max Operating Altitude .......................... 2000 m (6,500 ft)
up to 4000 m (13,000 ft) derate
to 600 V CAT II/300 V CAT IV
Max Storage Altitude ............................. 12 km (40,000 ft)
Warranty ................................................. 1 year