Fostex Dmt 8Vl Users Manual
DMT-8VL to the manual 99c223ef-c497-474e-a828-30794c2b48ce
2015-02-02
: Fostex Fostex-Dmt-8Vl-Users-Manual-428107 fostex-dmt-8vl-users-manual-428107 fostex pdf
Open the PDF directly: View PDF
.
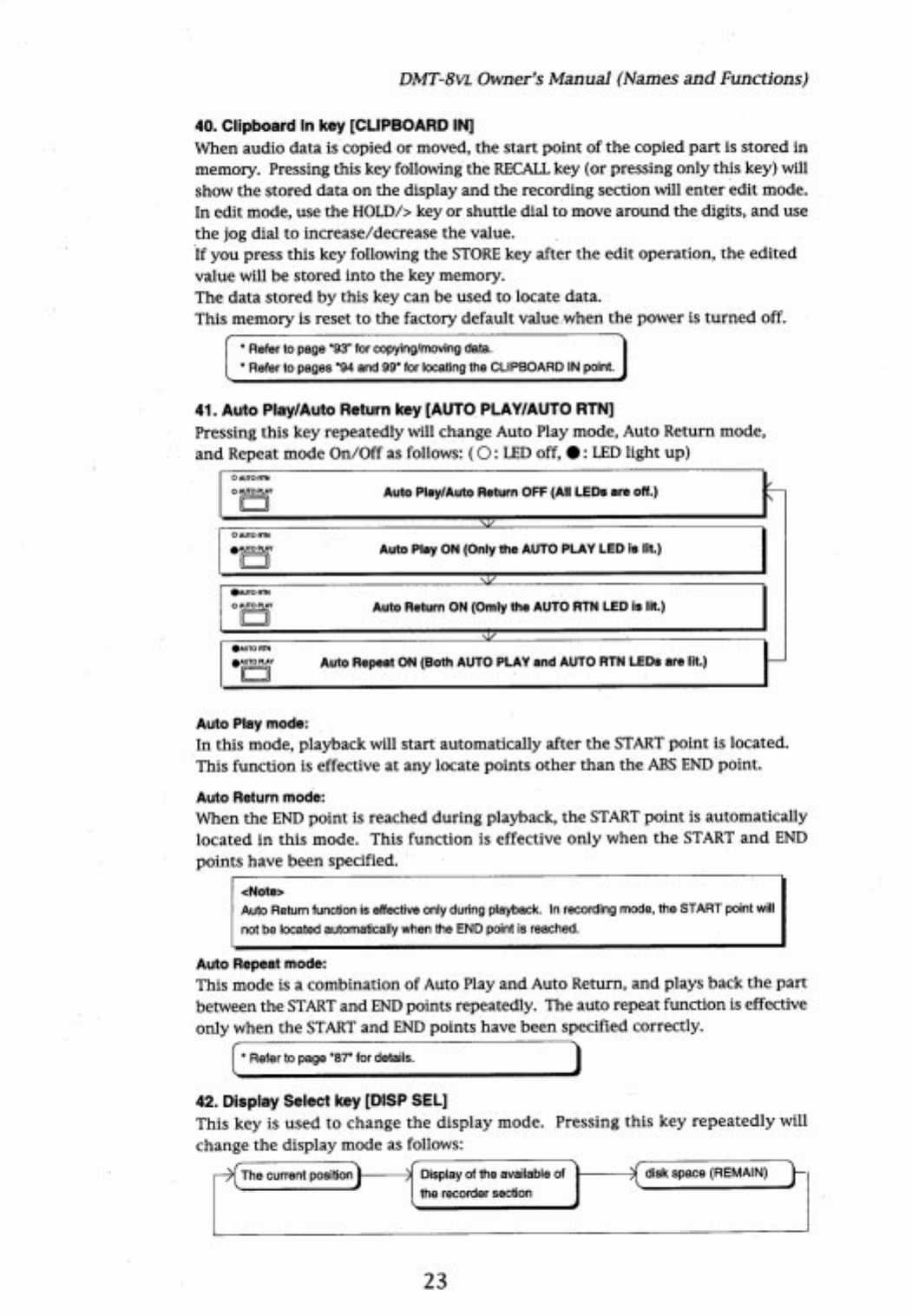
Page Count: 158 [warning: Documents this large are best viewed by clicking the View PDF Link!]





























































































































































