Foxda Technology 6602 MP3 DIGITAL PLAYER User Manual USERS MANUAL
Foxda Technology Industrial (Shenzhen) Co., Ltd. MP3 DIGITAL PLAYER USERS MANUAL
USERS MANUAL

!"#$$%&

!"#$$%&

!"#$$%&

!"#$$%&

!"#$$%&

!"#$$%&

!"#$$%&

!"#$$%&

!"#$$%&

!"#$$%&

!"#$$%&

!"#$$%&

!"#$$%&

!"#$$%&

!"#$$%&

!"#$$%&
!"#$$%&
'()! *)+',+,")"'(")('-)("+'."+ (("/
')")")') +,) -. ,'+,*("0) ( +(' ( *
)1,)' ,* ( +(' (, /( *) ,)"2
+,*(".(()"+)*))1,)'
'()! 3456754857-
944:;7" 549
64577
345737
85577
55 *8978
4 7345577
94865634577
765778
5!
<"9
<4683459
<345777589
<4=/74
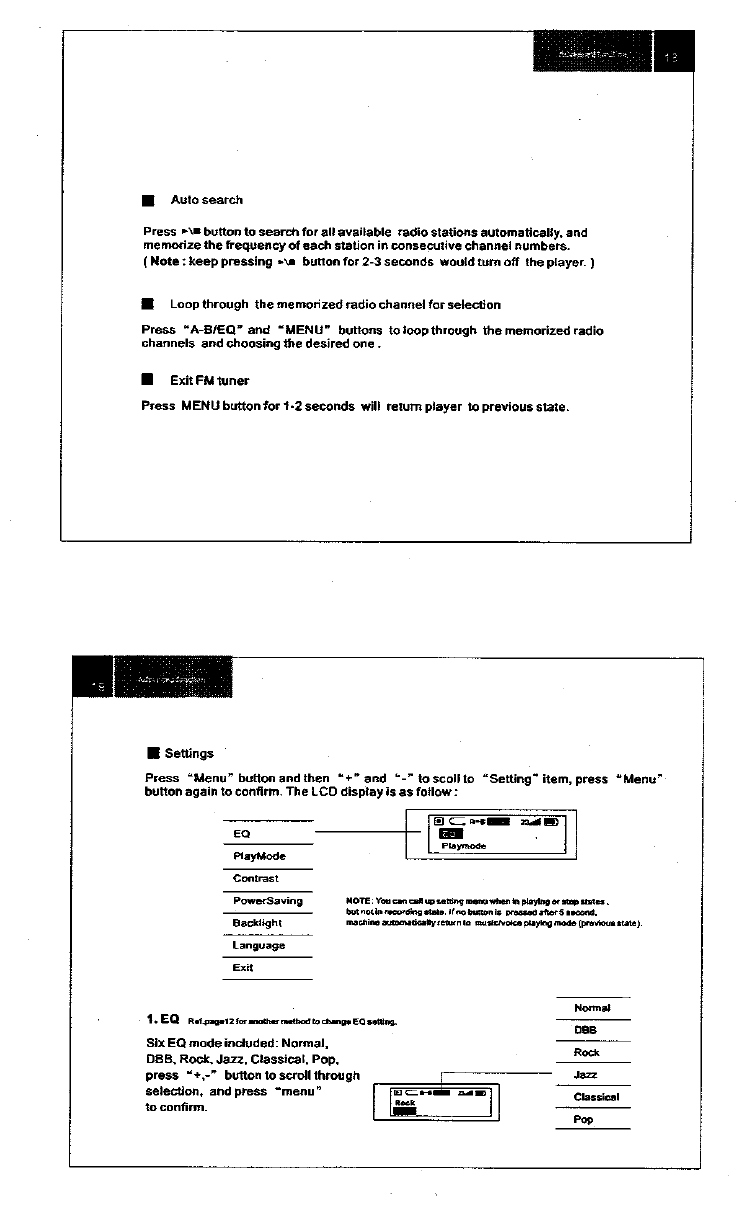
'()!9548:;7" (4
6>788! :95
577&9547
9754