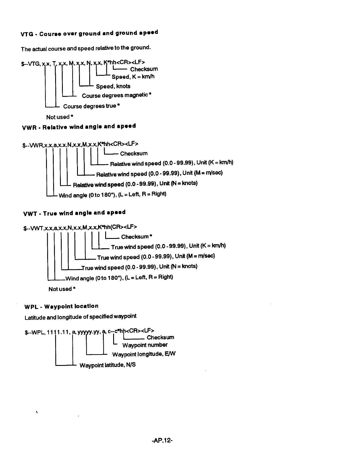
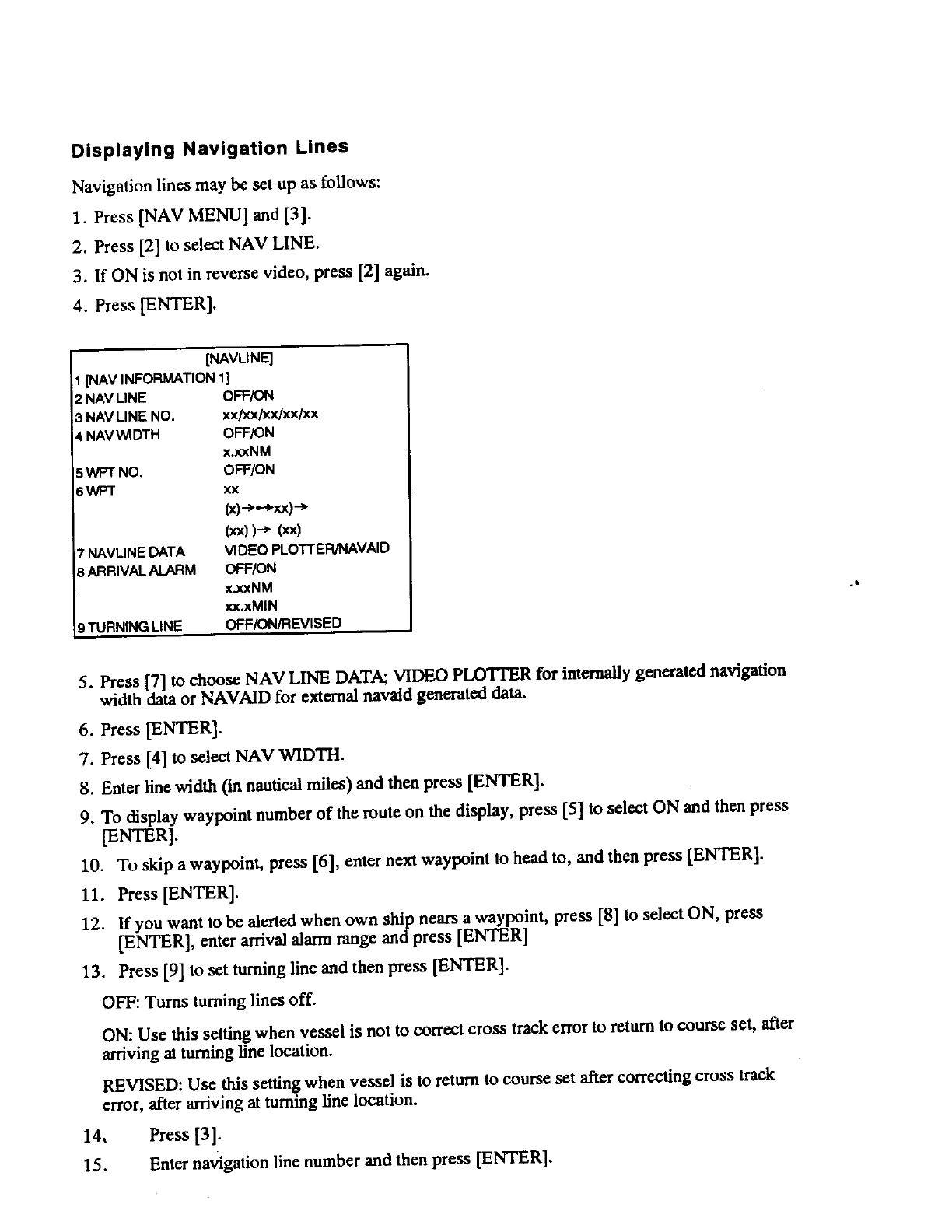
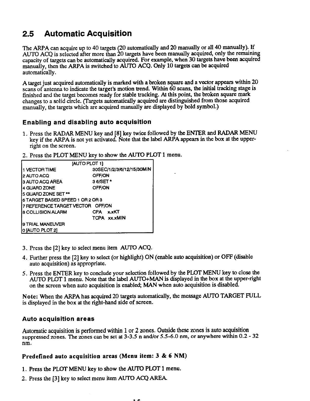
Furuno USA 9ZWFR2115 User Manual 79041
Furuno USA Inc 79041
UserManual.wiki
>
Furuno USA
>
9ZWFR2115 User Manual HTML Version
8
Navigation menu
Upload a User Manual
Namespaces
Wiki Guide
HTML
PDF
Info
Views
User Manual
Discussion / Help
Navigation