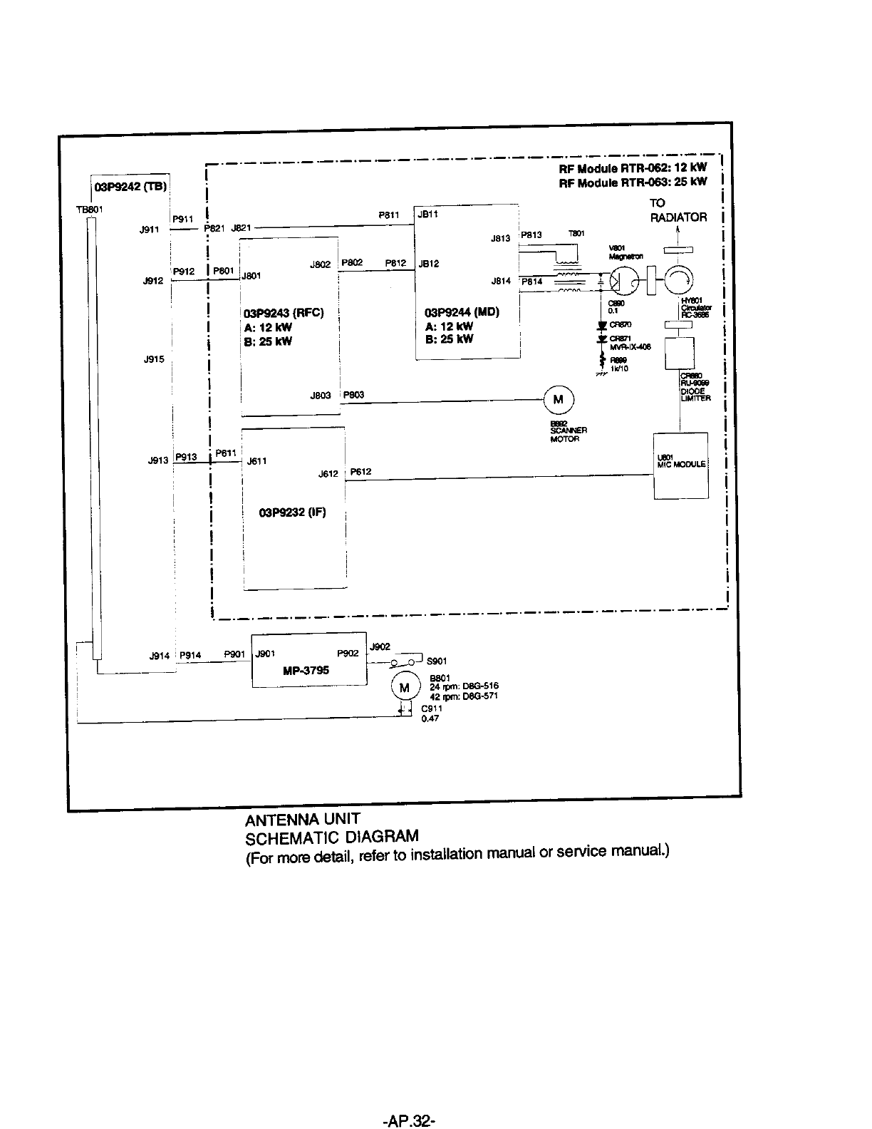
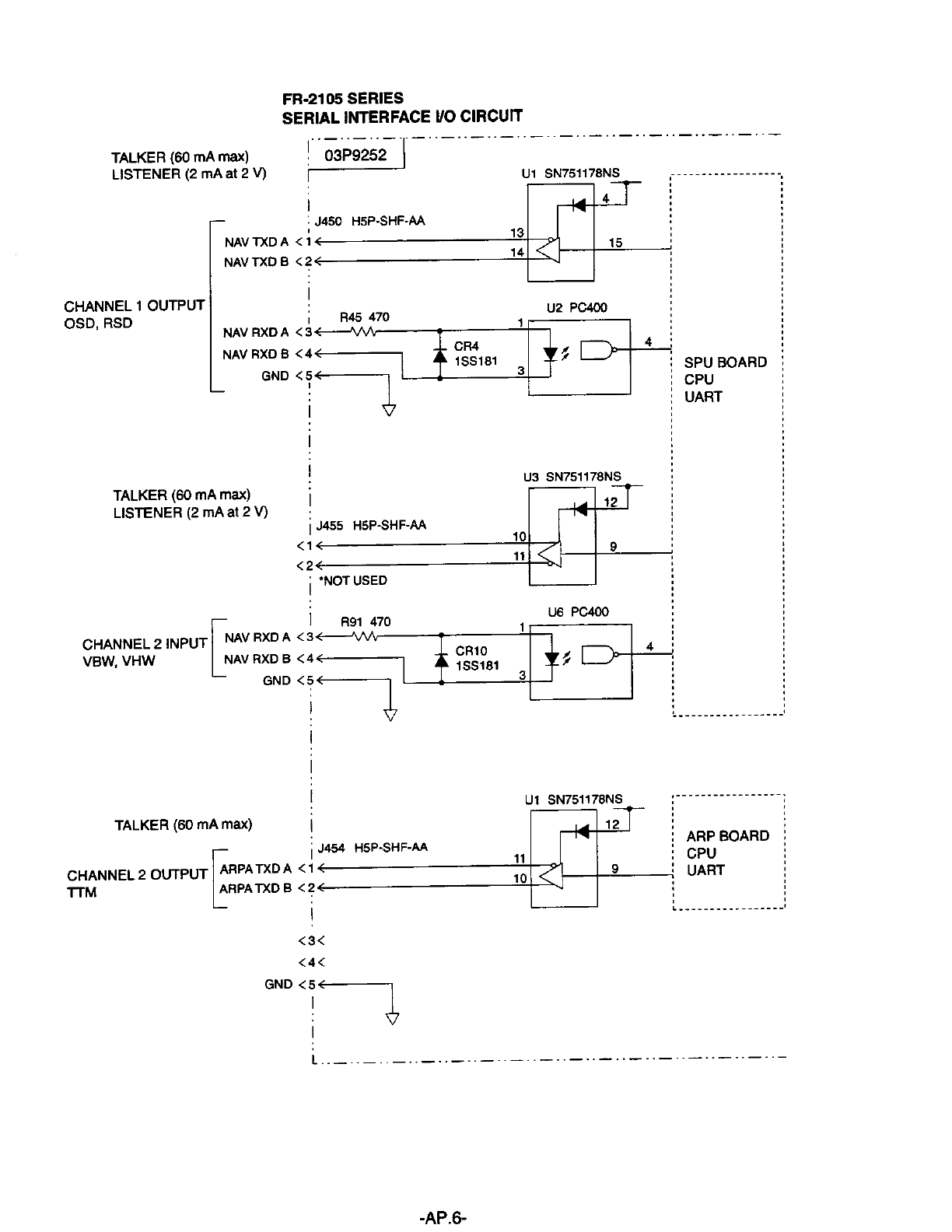
Furuno USA 9ZWFR2155 User Manual 18033
Furuno USA Inc 18033
UserManual.wiki
>
Furuno USA
>
9ZWFR2155 User Manual HTML Version
8
Navigation menu
Upload a User Manual
Namespaces
Wiki Guide
HTML
PDF
Info
Views
User Manual
Discussion / Help
Navigation