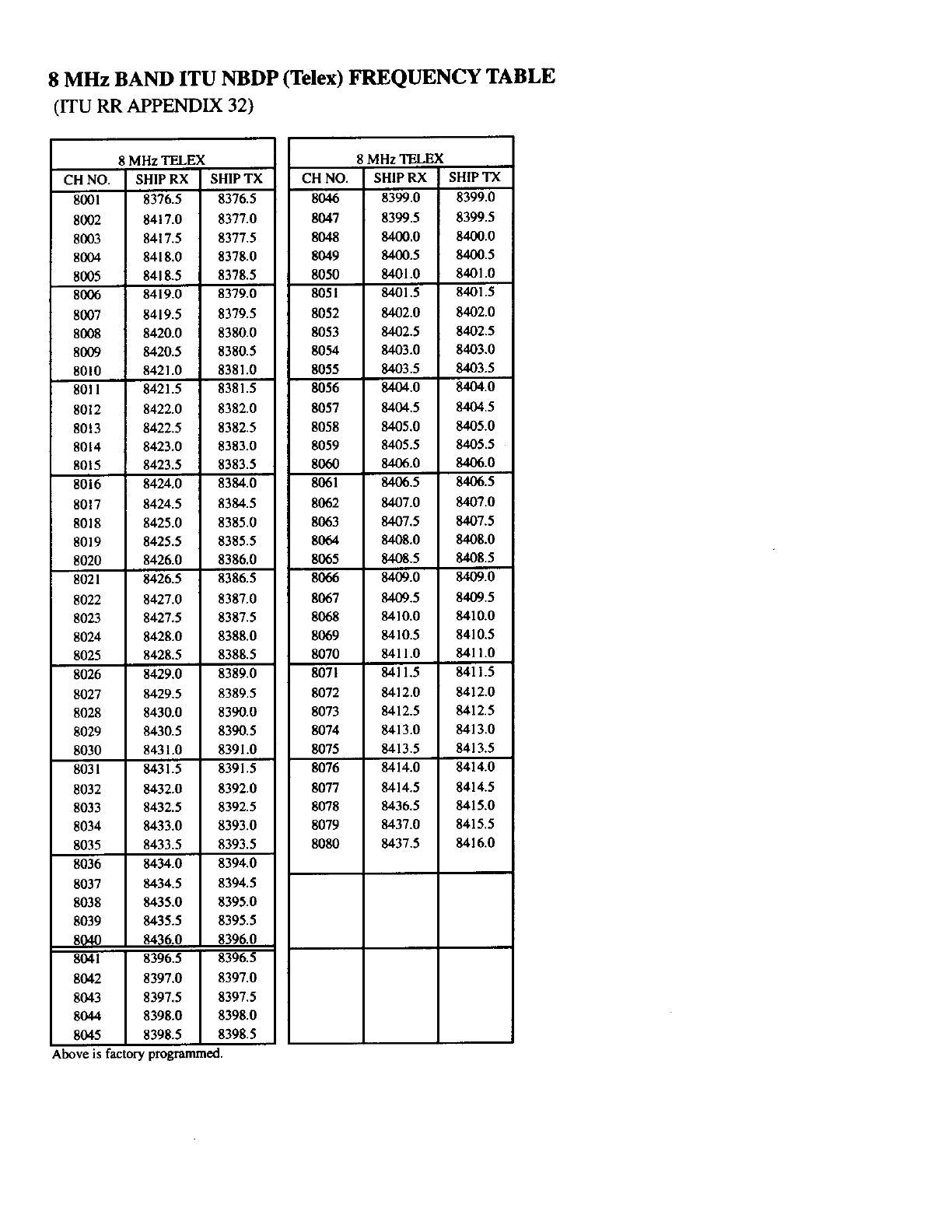
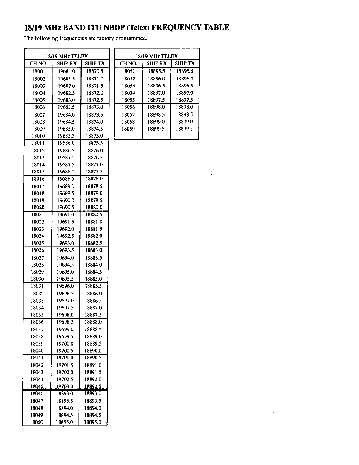
Furuno USA 9ZWFS1503 MF Transmitter; Not GMDSS Capable. User Manual 79057
Furuno USA Inc MF Transmitter; Not GMDSS Capable. 79057
UserManual.wiki
>
Furuno USA
>
9ZWFS1503 User Manual HTML Version
8
Navigation menu
Upload a User Manual
Namespaces
Wiki Guide
HTML
PDF
Info
Views
User Manual
Discussion / Help
Navigation