Furuno USA 9ZWRTR059 User Manual 29469
Furuno USA Inc 29469
UserManual.wiki
>
Furuno USA
>
9ZWRTR059 User Manual HTML Version
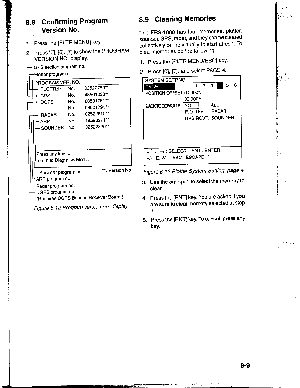
8
Navigation menu
Upload a User Manual
Namespaces
Wiki Guide
HTML
PDF
Info
Views
User Manual
Discussion / Help
Navigation