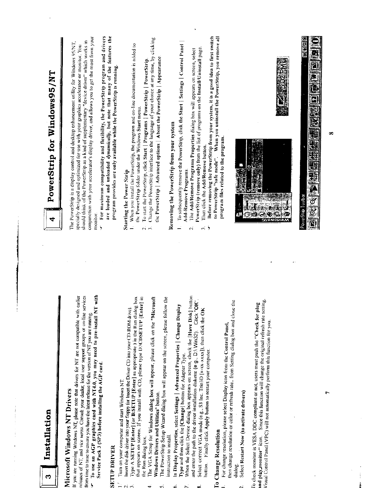
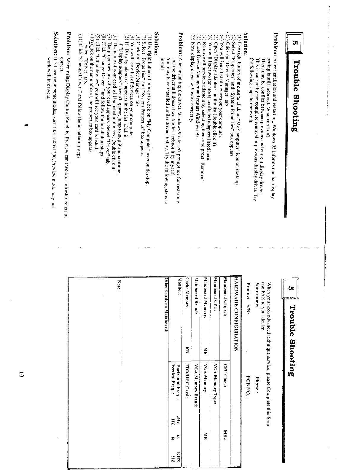
Gainward Co VGA-GW802 User Manual 8
Gainward Co Ltd 8
UserManual.wiki
>
Gainward Co
>
VGA GW802 User Manual HTML Version
8
Navigation menu
Upload a User Manual
Namespaces
Wiki Guide
HTML
PDF
Info
Views
User Manual
Discussion / Help
Navigation