Ge Appliances Spacemaker Jvm130G Users Manual 1.0
JVM130G to the manual 306a7a51-f9cf-4aa0-b392-6ef05e58ff7d
2015-01-23
: Ge-Appliances Ge-Appliances-Spacemaker-Jvm130G-Users-Manual-255979 ge-appliances-spacemaker-jvm130g-users-manual-255979 ge-appliances pdf
Open the PDF directly: View PDF
.
Page Count: 32

AdapterPlugs 29 ‘LightBulbReplacement 29
AluminumFoii 4MicrowavingTips 2
ApplianceRegistration 2Minute/SecondTimer 8
AutoStart 9Modeland SerialNumbers 2
CarearidCleaning 11,28 PowerLevels 8P1O
ControlPanel 6,7 Precautions 3
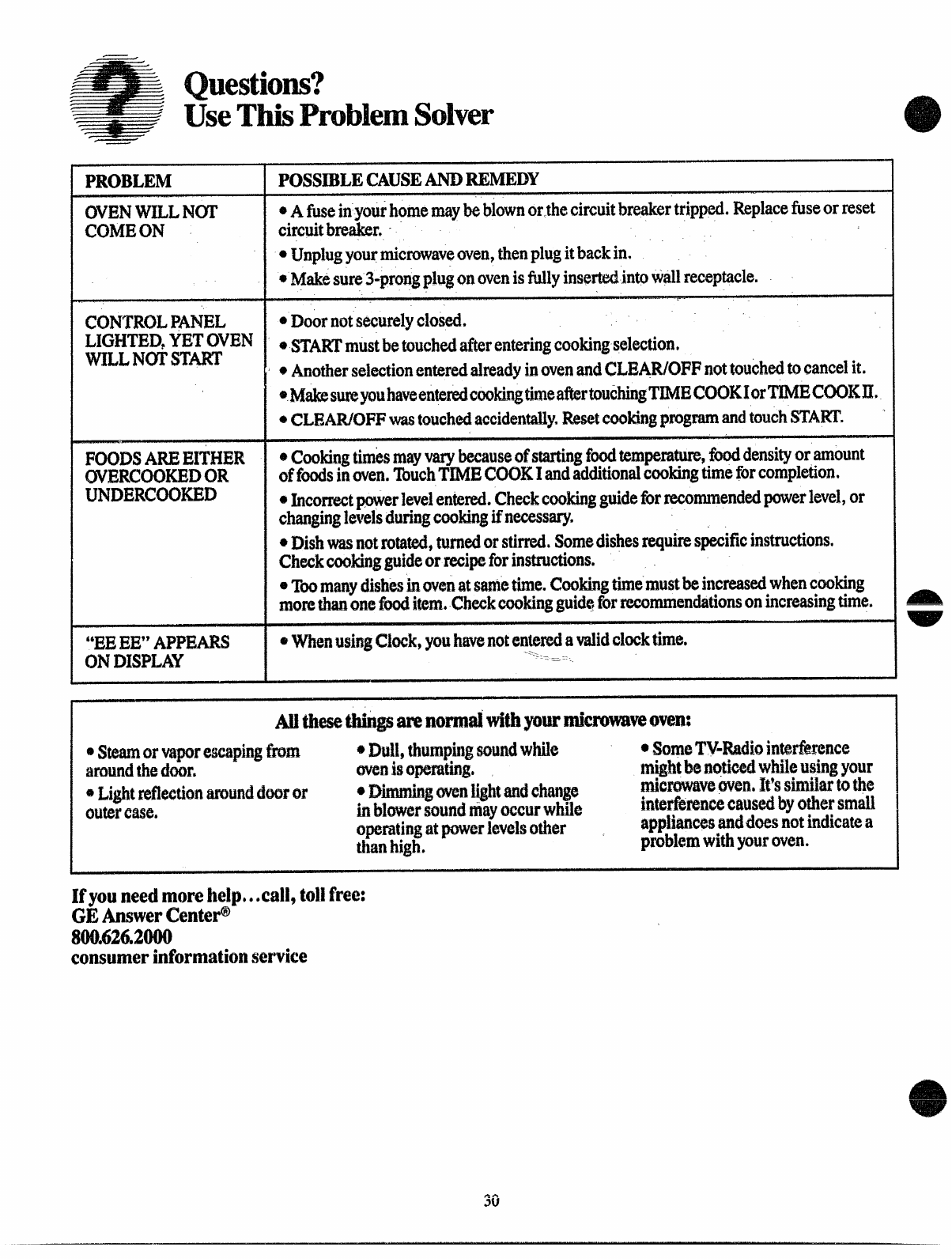
ConvenienceFoodGuide HIj1: ProblemSolver 30
CookingCmrnpleteReminder ProgramCooking 8
CookingGuide 12,13,20”27 RepairService 31
CooktopLight 629 SafetyInstructions 8,4
Defrosting 8)10 TimeCook 9
I)efkosting(hide M,1’? Warranty BackCover
DelayedCooking 8
ExhaustFan 6,28
ExtensionCords 29
Features 5
GreaseFilter 28
Groundinzlnstructiona” 29
L;Lv’-’mry Theektr’ic output
ofthismicrowaveoven
(5”22=- $?9 is625watts.
?7+jz!!!!tj
—.———...-

wsingyour oven9
readml bookWeiimy.
Itisintendedtohelpyouoperate
andmaintainyournewmicrowave
ovenproperly,
Keepithandyforanswerstoyour
questions.
Ifyoudon’tunderstandsomething
or needmorehelp,write(include
yourphonenumber):
ConsumerAffairs
GEAppliances
AppliancePark
Louisville,KY40225
Write
andserial
You’llfindthemonalabelinside
theovenontheupperleftside.
Thesenumbersarealsoonthe
ConsumerProductOwma=ship
Registrationcardthatcamewith
yourmicrowaveoven.Before
sendinginthiscard,pleasewrite
thes~numbershere:
MoWNumber
SerialNumber
UsethesenumbersinQny
orservicecalls
concerningyourrnkxowaveoven.
Besure
oven kregistered.
Itisimportantthatweknowthe
locationofyourmicrowaveoven
shouldaneedoccurforadjustments.
Yoursupplierisresponsiblefor
registering
you astheowner.
Pleasecheckwithyoursupplier
tobesurehehasdoneso;alsosend
inyourConsumerProductOwnership
RegistrationCard.Ifyoumove,or
ifyouarenottheoriginalpurchaser,
pleasewritetous,statingmodel
andserialnumbers,Mmf@stmed.
PMS4?wcertaintht itis,
Writeto:
GEAppliances
RangeProductService
AppliancePark
Louisville,KY40225
Ifyoureceiveda
contactthedealer
(CM’buikk%)thatsoldyoutheoven.
BeforeyourequestSemkw...
GIN3ckthePmbkm
solvercm
page30,RMSC%WSW’3Cfmhmr’
operatingprobklmlstlwtyouCxu3
Cx3rr%%tJK3W%W*
availableWextracostfmrnyour
GEsupplier.
ml Filter~~ f~~
n(m-vented
eMake sure all cookware used in
yourmicrowaveovenissuitablefor
microwaving.Mostglasscasseroles,
cookingdishes,measuringcups,
custardcups,potteryorchina
dimerwarewhichdoesnothave
metallictrimorglazewithametallic
sheencanbeused.Somecookware
islabeled“suitableformicrowaving:’
Ifyouareunsure,usethisdishtest:
Measure1cupwaterinaglasscup.
Placeinovenonorbesidedish.
Microwave1minuteatHigh(10).
Ifwaterbecomeshot,dishis
microwavesafe,Ifdishheats,it
shouldnotbeusedformicrowaving.
~%pertowels,waxpaper>and
plasticwrapcanbeusedtocover
dishesinordertoretainmoisture
andpreventspattering.
@Somemicrowavedfbodsrequire
stirring,rotating,orrearranging.
Checkthecookingguidefixspecific
instructions.
Q~te~ b~i]d~uppressureinfoods
whicharetightlfc~veredbyaskin
ormembrane.Piercepotatoes,egg
yolks
andchickenliverstoprevent
bursting.
Ifyouuseameatthermometer
whilecooking,makesureitis
safeforuseinmicrowaveovens.

(c)DoNotqwatetheOwn
if it isdamqyxl.Itisparticularly
importantthattheovendoorclose
properlyandthatthemisno
damagetothe:
(1)door(bent)
(2)hingesandlatches(brokenor
kmsem?d)
(3)doorsealsandsealingStlrfaces.
(d)Theoval Notlx
adjtM3d
orrepairedbyanyone
excqtproperlyqwdifiedservice
ThisI’niawuaveCwerlistndMed
6Xinstallationoverehxtric
andgasranges.
Whenwingelectricalapplkmces,
basicsafetyprecautionsshouldbe
followed,includingtie fbllowing:
theriskofburns,electricshock,
fire,injurytupersonsorexposme
toexcessivemicrowaveenergy:
@Usethisapplian~eonlyforits
intendeduseasdescribedinthis
manual’
*Readandfollmvthespecific
TOAVOID
I%XNBLEEnosum m
NK33SSNE
EU!W3KN”atleft.
*This mustbe
CCmrwonly
to
properly grotmdedoutlet,See
fotmdcmp8g09*
3
*This mmklbe
serviced$dyby SW’ice
contactm?arest
authorizedservicefacilityfor
examination,repairoradjustment.
@Aswithmyq@.iamx4dose
slqMYvisioll1sm?ce-ssarywhen
usedbyAMIW.
@‘lbE’educethedsm’fire in
theovencavity: food.
CareMlyattend
applianceif
paper,plastic,OMMIMXcombustible
materialsarepkiced!Mdetk z
oventofkflitateccdcing.
-“Remove fhrn
paperorplasticbagsbefore
placingbagshkovm
–-m)Rotuseymlrmicmvmk?
oventodryXmVspapers.
–ml m
prufillcts.Reqdedpfqx%towels,
napkinsandwaxpapercanCm’Kain
metalfleckswhichmay
came
arcingorignite.Paper
nylonornylon
$MMJMbnwAkd,as
theyma..alsoignite.
“--D(IIMM ovenwhile
emptybavoid tom?
mmad the dmm H
by run
emptyaInimmmtwqm.)i’m’rn
kdom% trytoavoid
the’oven mall
times-+savesenergyand
prolongshmid%.heCwerL “
WWnMk3sflill8
special pqxxm
afxessoryofM’ikssyin.!ttse
popcornkh?kdforW%?in
ovens.
–“”mlmt m’emwk
They andcatch
fire, dmqget(’))mN’
O!WI*
@keepovendoorckwd,
turnWelloff,MI(I
PQWMcord,orshutoffpowerat
thefuseorcircuitbrokerpand.
-=
~
—.
-
—–
—
=im$#Y
—.
-
—-—
.
—
—–
—
—
—
—
———
—
—.
—
—
—––
—
-
-
—.
—
-
~
....——
-——
—.
-
—.
—
—
-

ph-isticmaynotbeastolerantof certainspecialcircunWamw,
liquidsmaystarttoboilduring
orshortlyafterrenxwalfromthe
micmve oven.Topreventburns
fromsplashingliquid,stirthe
liquidbrieflybeforeremwingthe
containerfmntkmicrowawmm.
*Haveit andproperly
by!3qudifkdinstaller.
SeetheSpecial booklet
packedwiththernicrowwwoven.
*Theexhaustfhninyouroven
Vvi!l
certainconditions(see
Fd?eature,pagetf).
fads qerathqg,C$Mltbnkis
preventthestarting
ofkxkhtd
cddng firesWMM$theexhaust
fanishuse*EN’thhB’e8sun:
-Keephoodad fpwise
dean. Fbumv on
page
28, gmdventing
andmid grmsefires,
4
.. . ....... .......——....—-.-...—.—-..—,—-—-—-..—

MicrowaveOven
Features
ofYour
Chokh.gCompkMkminckx
(F’orTMECOOKandDEFROSTcycles) —-
—
Toremindyouthatyouhavefoodinthe
oven,theovenwillbeeponceaminuteuntil
youeitheropentheovendoorortouchthe
CLEARK9FFpad. 1.0cubicfwt
oveninterior
—-
—
-
-
-
—
—.
I-1 Im!i!!!!!’A- -‘——
—
—
—
——
—
kiiiiiill-yjp
“’””’--~~ #j
:::;:
,.,.,,...:
I*. *..
,:.,.4; ::
,, ...,,
...,,,,,
—.
—
—-
—
——
I
‘%+
A
:t!)(l)
.
ew”-
SOvenVent.
LDoorEhmdIe.PuNtoopendoor.
DoorItlUStbe StXXldylatchedb’
oventoopemk%
Ill ovenLight.Light
comeson
whendoorisopenedorwhenoven
isoperatinginanyfimctkm.
6ModesthmrcowmProkms
thernkmwawenergydMributing
system.Donotremovethecover.
Youwilldamagetheoven.
-
IL IbuchCkmtrolPtmdand
DigitalDisplay.Fordetailed
informationoneaehfkature,
seepages6and7*
2’DoorLW!k% —-
—.
—-
—
—
—
—
—
—
3.WindowwithMetal!!MMd.
SmxmW3ws
cookingtobeviewed
whilekeepingmicrowavesconfined
inoven.
7.OwnFloor.
&Gh’eaSeFilters.
9’Cooktop
Light.
WHoodControlsa
RimPressHI,LOorOFF.
Light.PressONtoilluminate
countersurface.
—-
-—.
—=
-
—
—
4. ModelandSWIMNumbers.
——
—
—
—
—
—

“iiburTouchControlRmel
Thetouchcontrolpanelallowsyoutosettheoven
controlselectronicallywiththetouchofafinger.It’s
designedtobeeasytouseandunderstand.Withyour
microwaveoven,youhavetheoptionofusingyour
automaticcookingcontrolpadsforquickandeasy
conveniencecooking.Oryoumaymakeyourown
programstosuityourindividualizedcookingstyk.
WhenYouPh@ntheOven
Thepaneldisplaysfour8’sandalloftheoven
fimctionsonthelowerportion.After15seconds,
alllightsdisappearand‘W?’appearsintheupper
portion.TouchICLEARK?FFpadandovenisready
foruseandtheclockcanbeset.
Ifpowerisdisruptedatanytime,theabovesequence
reoccurs,andyoumustresetCLOCKaftertouching
CLEAR/OFF.
LDisplayE?mel.Displaystimeofdayandtime
countingdownduringcookingfunctions.
2. TimeCook1andTimeCookII.Microwavefora
presetamountoftimeusingautomaticpowerIevel10
orchangepowerlevelatkr settingtime.(Seepage9.)
3.NumberPhds.Touchthesepadstoentertimeor
powerlevel,
4. Nfin/SecTimer.ThisfeatureUSGSnomicrowave
energywhileitfimctionsasbothakitchentimeroras
aholdiagperiodbetweendefrostandtimecooking.
(Seepage8.)
5 AutoStart.Allowsyoutoprogramyourovento
begincookingatapresettimeofday–uptoaZ&hour
delay.(Seepage9.)
6RowerLevel.Touchthispadbeforeentering
anotherpowerlevelnumberifyouwanttochange
fromautomaticpowerkwel10(High)forcooking
orpowerlevel3(Low)fordefrosting.
7.Start.Afterallselectionsaremade,touchthispad
tostartoven.
&ExhaustFan.PressHI,LO,orOFFfordesired
fin speed.
9.Tim Defrost.Gentlethawingatautomaticpower
level3,orchangepowerlevelafterenteringtime.
(Seepage10.)
10.Clock.Touchthispadtoentertimeofdayorcheck
timeofdaywhilemicrowaving.Tosetclock,first
touchCLOCKpadandthenentertimeofday.For
example,iftimeis1:30,touchnumberpads1,3,andO
and“1:30”willappearondisplay.“ST~” will
flash,directingyoutotouchSTAR%’,thussettingthe
clock.Ifyouwishtoresetorchangetime,simply
repeattheaboveprocess.
IL Clear/Off.Whentouched,itstopstheovenand
erasesallsettingsexcepttimeofday.
X2.Light.TouchONforcooktoplight.
AmMATIC FM FEATURE
Cookingappliancesinstalledundertheovenmight,
undersomeheavyusageconditions,causetemperatures
highenoughtooverheatsomeinternalpartsofthe
microwaveoven,
‘lbpreventoverheating,theexhaustf“ isdesignedto
automaticallyturnonatlowspeedifexcessive
tempemturesoccur.Shouldthishappen,thefan
cannotbemanuallyturnedoff,butitwill
automaticallyturnoffwhentheinternalpartshave
cooled.Thetinmaystayonuptoapproximately30
minutesaftertherangeandmicrowaveovencontrols
havebeentwnedoff.

—
—
—
-@
——
-
—.
—
—
—
—
—
—
—-
-—-
—-
—
—
—
——
—
-0?
-–
—
—
—
—–
—
—
—
—.—
——
——
—
7

‘1’!inmr
TheMI.MWC TIMER hasthree
timingfunctions:
@Itoperatesasaminutetimer.
eItcanbesettodelaycooking.
*Itcanbeusedasaboldsetting
afterdefrosting.
TheMIN/SECTIMER
OptX2itW
withoutmicrowaveenergy.
I’IowtoTiInea34’lhNd@
PhoneCall
1.TouchMIN/S13CTIME%Rpad.
*~EN&R~~ ,~a~~~~ad
‘I’hedisplayshows
9
2. Touchnumberpads3,~andO
(for3minutesandnoseconds).
Displayshows4’3:00”and“TIME”
flashes.
3.TouchSTAKEDisplayshows
timecountingdown.
4. Whentimeisup,ovensignals,
flashes“End~’anddisplayshows
timeofday.
Pro~ “~gaiHolding
‘rime
TheMinute/SecondTimercan
alsobeusedtoprogram“hold
time”betweenmicrowavecooking
fim%ions.Thetimecanrangefkom
onesecondto99minutesand99
seconds,AHC)LDor %andiag”
timemayberequestedinsomeof
yourownrecipesorcookingguide.
cooking
Todelaycookingupto99minutes
and99seconds,touchTIME
C(X)KIandentercookingtime.
Then,touchMNSEC TIMER
andenternumberofminutesto
delaycooking.PressSTARI’.
HowtoTlmeDefrost,Hold
andTimeCook
Let’sMYyouwanttodehstafrozen
casserolefixHminutes,holdfor
10minutesandthenTimeCookfor
25minutes.Here’showtodoit:
Step1:‘Ihkecasserolefromfreezer
andplaceinoven,
Step2:TouchTIMEDEFROSTpad.
Step3:Touchpads1,5,0andOfor
~millUteSdefrostingtime.“~:oo”
appearsondisplay.(Defrostingis
automaticallysetonpowerlevel3
butcanbechangedbytouchingthe
POWERLEVELpadandthe
desiredPowerlevel.)
$tep~: Setstandingorholdtime
bytouchingMIN/SECTIMER.
‘l%edispiayshows”:0“ and
“ENTERTIME”flashes,
Step5:‘RNMI1,0,OrmdOtohdi
fortenminutes.“MMXY’qp%arson
displayand“TIME!”flashes.
S@6:’IbuchTMKXX)KI “
pad,Thedisplayshows*’:0“ and
“ENTER1(XXXTIME”flashes.
Step7:Touch2,5, OandOfor
twenty-fiveminutesc3fcooking
time,”1C’OOKTIME”flashes
and“25:00”appearsondisplay.
8
~tep$:TouchSTART.“DEl?
~E” and“~:~” countingdown
showondisplay.Aseachfunction
isautomaticallyperformed,oven
displayshowsinstmtionsentered
andthefhnction.
Step9$
Whentimeisup,theoven,
signalsandflashes“End!’
QuestionsandAnswers
Q.WhatwillhappenifI
accidentallyreversemydefrost,
holdandcookinstructions?
A. Theovenwillautomatically
rearrangeyourprogram.Defrosting
willalwayscomefirst,thenhold,
andthenthecookingfimctlon.
Q.CanIdefkostamihokionly?
A, Yes.%rnetirnesyoumayonly
wanttodefrostafd, holdit,and
cookitlater.AHyouneedtodois
programinTiie Defrostand
amountoftime,Thenprogram
holdandtheamountoftime.Be
suretoputthethaweddishinthe
refrigeratorpromptly.
Nm13:Lethods remainatroom
temperatureonlyaslongassafe.
Timeswillvary.
Q. 1Programmedmyovenfora
spedlicdefrostingtimebutit
defkostedlongerthannecessary.
whimhappemd?
A. Wheninstructionsconflict,
theovencarriesoutthelast
instruction.Youmayhavesetthe
oventodefrostfor4minutes,hold
for2minutes,andthendefrostfor
6minutes.Inthiscase,theoven
woulddefrostfor6minutesand
hokifor2minutes.

-
Thetimecookingf=tureallows
youtopresetthecookingtime.
Theovenshutsoffautomatically.
Powerlevel10(High)is
recommendedformostcooking,
butyoumaychangethisformore
flexibility.Seethecookingguide.
Tobecomebetteracquaintedwith
timecooking,makeacupofcoffee
byfollowingthestepsbelow.
IIII II I
.11III 1J’————.
Step1:Fillacup2/3fill ofwater,
add1teaspoonofinstantcoff~and
stirtodissolve.Useacupthathas
nometaldecorationandismicrowave
safe(seeMicrowavingTipscmpage
2),Placecupinovenandclosedoor.
Step3: Selectyourtime.Touch
1,2andOforaminuteand20
seconds,Displayshows“1:20!’
“i COOKTIME”fhh(%ic
Becauseautomaticpowerlevel
101s forthiscu~of
cofi%,thereisnoneedtoch~;ge
thepowerlevel,(Ifpowerlevel10
isnotappropriate,we‘Howto
ChangePowerLevel”below,)
Step4:TouchSTART.“COOK
TM?’ andtimecountingdown
showondisplay.
Step5:Whentimeisup,theoven
signalsandflashes“End?Oven,
lightandfmshutoff,
Step6:Openthedoor.
Usingthe‘IkneCookII
Feature
TheTimeCookIIfeatureletsyou
settwotimecookingfimctions
withinoneprogramThisisideal
whenyouwanttochangepower
kwelsduringyourcooking
operations.Here’showtodoit.
Step1:Pkwefd inovenin
microwave-safecontainerandclose
thedoor.
Step2:IbuehT~E COOK1.
~~~~ ~M;:: g:~;:~~~~~
Displayshows
Step3:Sekxtyourcook&time.
Fommmple,touch2,1 and5
fortwominutesand15seeonds.
Displayshows“2:15!’”1COOK
TIME”flashes.
Step4:‘I&whTIMECOOKIL
step5:setJmmx&ingtime.
Wwto RlwerLevd
M&rsettingcookingtime,
touchPCNVERLEVELpad,
then
touchdesirednumberfor
newpowerlevel.
Step6:TouchSTART.
Step7:Powerkwel10$sinuseand
TimeCookIcountsdown.
$tep$: AttheendofTimeCOW,
these~ondpowerlevelisinuseand
TimeCookUisshowncounting
down.
Step9:Whentimeisup,theoven
signalsandflashes“End?Oven,
lightandfanshutoff,
$tep10:OperJtheCiOOI’,
9
EIowtQMh4Mto start
AutoStartailowsyoutoprogram
~(),~ov(x~tobegincookingata
~resettimeofday--uptoa12
hourdelay.
ToUseAutoStart
Step1:Enteryourdesiredcooking
program.
Step2:TouchAUTOSTARTpad
(insteadofST~pad).
Step3:Enterthetimeyouwant
theoventostart.(B8sureyour
microwaveovenclockshowsthe
Corrwttimeofday.)
Step4:TouchSTARTpad.The
ovenwillautomaticallystartatthe
desiredtime.
QuestionsandAnswers
Qhetxnyovenforthethne
calledforintherecipe,butatthe
endofthetimeallowed,myfood
wasn’tdone,Whathappened?
A. Sincehousepowervariesdue
totimeorlocation,manytime
eooicreeipesgiveyouatimerange
topreventovercooking.Setthe
ovenforminimumtime,testthe
fbodtirdoneness,andcookyour
fti alittielonger,ifnecessary.
~Itouchedthemimberpads
andselected~powerlevel.When
ItouchedSTART,lmvever~my
ovendidn’tcomeoneWhynot?
A. Th#IZh413COC)KIpadmust
betouchedbefbrethenumberpads
andSTART.
(& Manttocookonapower
hweiotherthanHigh.Whatdo
Ineedtodo?
A. Tochangethepowerkwel,
touchthePOWERLEVELpad.
6’P-10”appearsonthedisplay
panel.Enternewnumber,
Q. CtmMXerruptTimeCook
toeheckthefti?
A. Yes,‘Ibresumecooking,
shrq)iydosethedoorand~1’’43SS
the STARTpad,Thetimermustbe
resetfixcookingtoresumeunless
timeisremainingontimer.
—
~
~fl
—=
—
—.
—-
—
—
—
—.
-
-
—-
—
—
—
—
—
——
—
—
—
—
—
—
-
—–-
—
—
—
—
—-
—
~.
——
—
—
—
—
—
~
—.
—
—
-----
-.
—
——
~
—
—-
—
—
—
—-
——

Tim Defrostisdesigned
forspeedythawingoffrozen
foodsandisoneofthegreat
advantagesofamicrowaveoven.
@Powerlevel3isautomaticallyset
fordefrosting,butyoumaychange
thisformoreflexibility.
@Seethedefrostingguidefor
defrostinghelp.
Tobecomebetteracquaintedwith
theTimeDefrostfunction,defrost
frozenporkchopsbyfollowingthe
stepsbelow.
StepkPlacepackageoffrozen
chopsintheovenandclosedoor.
Step2:TouchTIMi3DEFRC)ST.
Displayshows”:0“ and“ENTER
DEFTIME”fkidlt%.
Step3: Seleetonehalfofthetotal
defrostingtimerecommendedin
thedefrostingguide.Forexample,
touch4,0 andOfor4minutes.
Displayshows“4:00”and“DEF
TIME”flashes.
How to (MangePowerLevel
Aftersettingdefrostingtime,
touchPOWERLEVELpad,
thentouchdesirednumberfor
newpowerlevel.
Step4:TouchSTART.“D13F
T~E” showsandtime~~un~
downondisplay.Whencycleis
completed,theovensignalsand
flashes“EndJ’thenautomatically
shutsoff.
StepS:Turnpackageover,close
doorandrepeatSteps2and3toset
remaininghalfofdefrostingtime
andtouchSTART.
Step6:Whenovensignalsand
flashes“W$’opendoor,remove
paclqeandseparatechopsto
finishdefrosting.
DefrostingTips
@Foodsfrozeninpaperorplastic
canbedefrostedinthepackage.
@lb everidefrosting,somefbods
needtobebrokenupor+separattxi
partofthewaythroughthe
defrostingtime.
~Family-sizepre-packaged
frozenentreescmbedefrosted
andmicrowaved.Ifthefoodisin
afoilcontainer,transferittoa
microwavemfedish.
QwstionsamMnsvwm
Q. WhenIpmssSTART,Ihear
adullthumpingnoise.Whatisit?
A. Thissoundisnormal.Itis
lettingyouknowtheovenisusinga
powerlevellowerthan10(High).
Q. CanIDefrostsmalliternsin
ahurry?
A. Yes,buttheywillnwdrnore
frequentattentionthanusual.Raise
thepowerlevelailerenteringthe
timebytouchingthedesiredpower
levelpad.Powerlevel7cutsthe
totaldefrostingtimeaboutin 1/2;
powerkmdIOcutsthetotalddrcMing
timetoapproximately1/3.During
either,rotateorstirfoodfrequently.
() md~n’tfiedefr~sting
timesinthedefrostingguideseem
rightformyf~d?
A. Thesetimesareavexages.
Defrostingtimecanvaryaccording
tothetemperatureinyourfreezer.
Setyourovenforthetimeindicated
inthedefrostingguide,If’yourfood
isstillnotcompletelythawedatthe
endofthattime,resetyouroven
andadjustthetimeaccordingly.
Q. $iiouidallfoodsbe
completelythawedbefore
6!ooking?
44.SOmefbodsshouklnotbe
completelythawedbeforecooking.
Forexample,fishcookssoquickiy
itisbettertobegincookingwhileit
isstillslightlyfrozen,
Q. GMopenthedoorduring
!IlmeDefrosttocheckonthe
progressofmyfood?
A. Y&s.Youmayopenthedoorat
anytimeduringmicrowaving.To
resumedefrosting,closethedoor
andpressSTART.Theovenbegins
operatingiftimeisleftontimer.
Ifnot,resettimer.
~Checkthedefrostingguidefor
otherdefrostingtips.
10

CareandCleaning
23 HowtoCleantheInside
Yournewmicrowaveovenis
avaluableappliance.Protect
itfrommisusebyfollowing
theserules:
QKeepyourovencleanand
sweet-smelling.(lpeningtheoven
doorafewminutesaftercooking
helpsair-outtheinterior.An
occasionalthoroughwipingwitha
solutionofbakingsodaandwater
keepstheinteriorfresh.
eDon’tusesharp-edgedutensils
withyouroven.Theinsideand
outsideovenwallscanbesmatched.
Thecontrolpanelcanbedamaged.
—*Don’tremovethemodestirrer
—cover
atthetopoftheoven
(microwavefeature6onpage5).
Youwilldamagetheoven.
BECX!R’I’MNmwvERIScm?
BEIKRECLEANINGANY
PARTOFTHISOWN
Walls,floorandmodestirrer
cover.Somespatterscanbe
removedwithapapertowel,others
mayrequireadampcloth.Remove
greasyspatterswithasudsycloth,
thenrinsewithadampcloth.Donot
useabrasivecleanersonovenwalls.
NEVERUSEACOMMERCIAL
OVENCLEANERONANYR4KI’
OFYOURMICROWAVEOVEN.
Door@side).Window:Wipeup
spattersdailyandwashwhensoiled
withadamp&XhcRinsethoroughly
anddry.
Metalandplasticpartsondoor:
Wipefrequentlywithadamp
clothtoremoveallsoil.DONOI’
USEABRASIVES,SUCHAS
CLEANINGPOWDERSOR
STEELANDPLASTICPADS.
THEYWILLMARTHE
SURFACE.
Specialnotewhenusing
Brown‘Nsearmm:Ifgyease
ispresent,highheatgeneratedon
bottomofaBrown‘NSeardish
maycausethegreasetoburnonto
theovenfloor.Thismayberemoved
withacleansersuchasBonAmi@
brandcleanser.
Afterusingthisckxmser,rime
anddrythor’cnlghly$fobwhlg
iristruetionsoncamDonotusek
onthepaintedsurfiwessuchasthe
walis--itmayscratchthepaint,
HowtoCleantheOutside
Case.Cleantheoutsideofyour
ovenwithsoapanddampcloth,then
rinsewithadampclothanddry.
Wipethewindowcleanwitha
dampcloth.Chrometrimisbest
wipedwithadampclothandthen
withadrytowel.
ControlPanel.Wipewithadamp
cloth.Drythoroughly.Donotuse
cieaningsprays,largeamountsof
soapandwater,abrasives,orsharp
objectsonthepanel--theycan
damageit.
DoorSurface,whencleaning
surfhcesofdoorandoventhat
cometogetheronclosingthedoor,
useonlymild,non-abrasivesoaps
ordetergentsapplied
withasponge
orsoftcloth.
POwerCord.1fthecordbecomes
soiled,unplugandwashwithdamp
cloth,Forstubbornspots,sudsy
watermaybeused,butbecertain
torinsewithadampclothanddry
thoroughlybeforepluggingcord
intooutlet.
-
—.
—
—
—
—
—.
—
—.
—
—
~
—.
—.
—
—
—
—
-
~–.
——
-
—
—-
—.
—
—
—
--
-
—
E*. -
—-
-~-
-—

Cooking’llxhniqwsfor
Microwaving
Covering.Inbothconventionalandmicrowave
cooking,coversholdinmoistureandspeedheating.
Conventionally,partialcoveringallowsexcesssteamto
escape.Ventingplasticwraporcoveringwithwaxpaper
servesthesamepurposewhenmicrowaving.
ArrangingFoodinOven,Inconventionalbating,you
positionfoods,suchascakelayersorpotatoes,sothat
hotaircanflowaroundthem.Whenmicrowaving,you
arrangefoodsinaring,sothatailsidesareexposedto
microwaveenergy.
Stirring.
Enrangetc3pcooking,youstirfoodsupfrom
thebottomtohelpthemheatevenly.When
microwaving,youstircookedportionsfromtheoutside
tothecenter.Foodswhichrequireconstantstirring
conventiomdlywiilneedonlyoccasionalstirring.
TurningOver.Inrangetopcooking,youturnover
foodssuchashamburgers,sobothsidescandirectly
contactthehotpan.Whenmicrowaving,turningisoften
neededduringdefrosting,orwhencookingfoodssuch
ashamburgersfromthefrozenstate.
StandingTime.Inconventionalcooking,fds suchas
roastsorcakesareallowedtostandtofinishcookingor
set,Standingtimeisespeciallyimportantinmicrowave
caoking.Notethatthemicrowavedcakeisnotplacedon
acoolingrack.
Shielding.
Inaconventionaloven,youshieldchicken
breastsorbakedfoodstopreventover-browning.When
defrosting,youusesmallstripsoffoiltoshieldthin
parts,suchasthetipsof’wingsandlegsonpoukry,
whichwouldMWkbeforelargerpartsweredefrosted.
PrickFoodstoReleasePressure.l!%embuiklsup
pressureinhodswhicharctightlycovexdbyaskhaor
membrane.Prickpotatoes(myoudocomwntionally),
eggyolksaridchickenliverstopreventbursting.
Rotating.Occasionally, adishintheoven
helpsfood~ookevenly.T’rotate1/2turn,turnthedish
untilthesidewhichwastothebackoflheovenistothe
front.Torotate1/4turn,turnthedishuntiltheside
whichwastothebackoftheovenistotheside,
IHyouuseameatthermometerwhilecooking,make
sureitissafeforuseinmicrowaveovens, I
Effe@ ofl?oodCharacteristicsm
Microwaving
DensityofFood.Inbothconventionalandmicrowave
cooking,densefoods,suchasapotato,takelongerto
cookorheatthanlight,porousfoods,suchasapieceof
cake,breadoraroll.
Round$hapwSincemicrowavespenetratefoodsto
aboutl-in.fromtop,bottomandsides,roundshapes
andringscookmoreevenly.Cornersreceivemore
energyandmayovercook.Thismayalsohappenwhen
cookingconventionally.
Delicacy.Foodswithadelicatetexturesuchascustards
arebestcookedatlowerpowersettingstoavoid
toughening.
NaturalMoistureoffoodaffeetshowitcooks.Very
moistfoodscookevenlybecausemicrowaveenergyis
attractedtowatermolecules.Fooduneveninmoisture
shouldbecoveredorallowedtostandsoheatcan
disperseevenly.
PieceSize.Smallpiecescookfasterthanlargeones.
Mewswhicharesimilarinsizeandshapecookmore
evenly,Withlargepiecesoffood,reducethepower
settin~forevenZtiking.
Shapeufl?ood.Inbothtypesofcooking,thinareas
cookfhsterthanthickones.Thiscanbecontrolledin
microwavingbyplacingthickpiecesneartheoutside
edge,andthinpiees inthecenter.
StartingTemperature.Foodstakenfromthefreezeror
refrigeratortakelongertocookthanfindsatroom
temperature.Timingsinourrecipesarebasedonthe
temperaturesatwhichyounormallystorethefbods.
Quantitycd’l?ood.Inbothtypesofcooking,small
amountsusuallytakelessfimethanlargeones.Thisis
mostapparentinmicrowavecooking,wheretimeis
directlyrelatedtothenumberofservings.
12
..-...——.-..-—— —.

,,
onceyoubegintouseyourmicrowaveoven,youwill havemoreflavorfulfoodandfewerdishestowash.
soonbeabletoadaptmostofyourconventionalcooking Simplycook,orreheatandservefoodsinthesamedish.
quiteeasilytomicrowavecookingtechniques.Themore Beforeusingyourmicrowaveoven,wesuggestyou
youuseyourmicrowaveoven,themoreyouwillenjoy carefullyreadthroughthisguidebook,thenpractice
usingit.Notonlywillyousavethetime,troubleand withoursuggestedrecipe.
energynecessaryinconventionalcooking,youwill
HowtoA&@ConventionalRecipesforMicrowaving.
Beforeconvertingaconventionalrecipeformicrmwwing,
studyitintermsofmicrowaving.Isitcmeofthemany
foodswhichmicrowavewell?Lookforcooking
techniqueswhicharesimiIartomicrowavingtechniques,
suchascovering,steamingorcookinginsauceorliquid.
Ifthefoodrequiresacrisp,friedcrustorverydry
surface,youmayprefertocookitconventionally.Some
recipesmaynotbeexactlythesamewhenmicrowaved,
otherswillnotneedchanging.(Moist,richcakes,
candiesandmeatloavesareexamples.)
Sinceliquidsdonotevaporatewhenmicrowaved,
reducetheamountinsaucycasseroles.Addmore
thickeningtosaucesandgravies.Reducesome
seasoningsalso;theywillnotloseintensityinshort
microwavingtimm.Saltmeatsandvegetablesafter
cooking.Maningredienttakeslongertomicrowavethan
othersinthesamedish,precookthatingredientbefore
addingtotheothers.
I%woriteStuffedPqqxzs
6mediumgreenpeppers
~~lbs.groundChuck~~f
1Aq) chopped on~~n
1cupcookedrice
1teaspoon
dt
1AWMy)OonPfwwr
1dove
garlic,minced
Ican(!~%klZ.) condensedtomatoso&!P
%cupwater
ito2cupsgratedcheese
Cutofftopsofgreenpeppers;removeseedsand
membrane.Cookpeppers5minutesinenoughboiling
watertocover;drain,Inmediumskilletonrangetop,
cookandstirgroundbeefandonionuntilonionis
tender,Drainofffk Stirinrice,salt,pepperandgarlic.
Divideevenlyintopeppers.Arrangepeppersuprightin
&-in.squaredish.
13iendsoupandwateruntilsmooth;pouroverpeppers.
Cover.IMe at350°for45minutesto1hour.Sprinkle
withcheese,reecwerandletstand5to10minutesto
meltcheese.
Makes6servings
MCKWUW4?Method
CMofftopsofgreenpeppers;removeseedsand
membrane.Mixrawbeefwithonion,rice,salt,pepper
andgarlic.Divideevenlyintopeppers.Arrangepeppers
uprightsnuglymoundedgeof3-qt.casserole.
BlendsouparidwateruntilSmo++thePourOverpeppers,
cover.B4bmv$lveat High(10)fLm’2sto30minutes,
rotating1/2turnafierISminutes.Sprinklewithcheese,
recoverandletstand5to 10minutesbeforeserving’
——
—
—
—
—
~
—-
—
—
m!!m.-.
---
—.
—
—
—.
—
—
13
—

1.Directionsbelowareforreheatingalready-cookedfoodsat 3.Bubblingaroundedgesofdishisnormal,sincecenterislastto
refrigeratororroomtemperature.Usemicrowaveovensafe heat.Stirfds beforeserving.
containers. 4.Besurefoodsareheatedthroughbeforeserving.Steamingor
2. Covermostfti fixi%testheating(seetips).Exceptionsamrare bubblingaroundedgesdoesnotnecessarilymeanfoodisheated
ormediummeats,somesandwiches,griddiefbodslikepancakes throughout.Asageneralrule,hotfoodsproduceanareawarmto
andbakedfbods. thetouchincenterofundersideofdish.
Approximate
Item Amount PowerLevel Time,Min.
Appetizers
Saucysuchasmeatballs,riblets, 1to2servings High(10) 1?4to4
cocktailfizmks,etc. 3to4servings High(10) 4to6
(!4cup/serving)
Dips:creamorprocessedcheese %cup Medium(5) 2!4to3?4
1cup Medium(5) 3t05
Pastrybites:smallpizzas,eggrolls,ete. 2to4servings High(10) 1to2ti
Tip:Coversaucyappetizerswithwaxpaper.Coverdipswithplasticwrap,Donotcoverpast~bites,theywillnotbecrisp.
PiateofLefbvers
Meatplus2vegetables 1plate High(10) 2to4
Tip:Coverplateoffd withwaxpaperorplasticwrap.
Saucymaindishes:chopsuey,spaghetti, ito2servings ;;$ g:) 3to7
creamedchicken,chili,stew,macaroniand 3to4 servings 8td 14
cheese,etc.(?4-1cupkxxving) 1can(kLoz.) High(10) 4t05!4
Thinlyslicedroastedmeat:
Rarebeef’roast,minimumtime;Mediumrare, 1to2servings Meal-High(7) 1to2
maximumtime(3to4-ozJservh@ 3to4servings Mcd-High(7) 2to3%
Welldone:beef,pork,ham,poultry,etc. 1to2servings Meal-High{7) 1%
to3
3to4servings Meal-High(7) 3to5
Steaks,chops,ribs,othermctitpieces:
Rarebeefsteak 1to2servings Meal-High(7) 2%to4
3to4 servings Meal-High(7) 5to9
Welldonebeef,chops,ribs,etc. 1to2servings
3to4servings
Hamburgersormeatloaf 1to2servings
(4-ozJwxving) 3{04swvhyj8
Chickenpicxxw ~~o2pieces
3to4pieces
Hotdogsandsaus~ges 1to2
3to4
Riceandpasta ito2servings
(2A-%cwpkxving)
2to3
4to7
%to2
1!4to3!4
%toz
2to3ti
1to1%
2t03
1to2
ToppedormixedwithMWCe 1to2servings High(i(l) 3m6
(?4-?4cup/serving) 3to4servings High(iO) 8to i2
T@:Covermwym~ittdisheswithplasticwmp.Cover
othermaindishesandmeatswithwaxpaper.Donotcoverrareormediumraremeats.
Whenheatingorrehe~ting3or4 servingsofmeatslices
mpkxcs,ro~tedish1/2turnafierhaifoftime,
Sandwiches
Moistfilling:Sloppyjoe,barbecue, ito2wwviqy Meal-High(7) ito2%
hamsalad,ctctinbun(%cuphxving) 3to4servings Meal-High(7) z%@4
Thickme@cheesefNingwithfirmbraid ito2servings Mod-High(7) 2to3
3to4swvifigs Nied-iiigh(7) 4to5
IYp:Usepapertowelornapkintocoverstindwichm,
i4

Approximate
Item Amount I%werLevel The, Min.
soups
Waterbased 1to2servings High(10) 2to6
(lcup/serving) :3to4servings High(10) 7to11
1can(lo-oz.) High(10) 6t07
Milkbased 1to2servings Meal-High(7) 3to8
(1cup/serving) 3to4servings &fed-High(7) 8to 12
1can(10-oz.) Meal-High(7) 6t07
Tip:Coversoupswithwaxpaperorplasticwrap, reconstituted
Viq@abkx
Smallpieces:peas,beans,corn,etc. 1to2servings High(10) 1to3
(%cup/serving) 3!04servings High(10) 3104%
1cm 16=02. High(lo) ~J/!jt~d~
Largepicccsorwhole:asparagusspears, 1to2servings High(10) 1%to3
cornonthecob,ctc, 3to4servings High(10) 3to4M ~
1can(16-02.) High(10) 4t04ti ~
~
Mashed
~OtiWCS 1to2servings High(10) 1to3
(Y5cup/serving) —.
3to4servings —.
High(10) 3to6 —
—
Tip: COwrvegetablesformostc.vcnheating. --
—
-
Sauces -----
rn--
DcS$tXt:chocolate,butterscotch %alp High(10)
1cup High(10)
Meatormaindish,chunkytype:gibletgravy, %cup High(10)
spaghettisauce,etc. 1cup High(10)
1can(16s02,) High(iO)
Creamytype %cup High(10)
1cup High(lO)
Tip: Coverfbodtopreventspalter,
BakeryFoods
Cake,coffeecake,doughnuts,SWCCIrolls.
nutorfruitbread
Pie:fruit,nutorcustard
%~f~=inlp~e=lsJice
(useminimumtimeforcusuud)
Tip:Donotcover.
1piccc
2pieces
4pieces
9-in.mkeor
12rollsm’
doughnuts
:
4
6to8
1slice
2~lices
4slices
9-in.pie
Low(3)
Low(3)
Low(3)
Low(3)
Medium(5)
Medium(5)
Medium(5)
Medium(5)
High(10)
High(10)
Mecl-High(7)
Meal-High(7)
1A[0 1~
!4m?4
vito 1
%to 1!4
Y2to 1
1to 1%
2!4to3
5to7
—.
-—
—.
E’z
—.
GriddlePods
I%ncakes,F%mchtoastorwaffles(3-in.X4-in.)
Plain,notopping 2or3 piwxs High(10) 1to 1%
Syrup&butter 2or3pieces High(10) 1to 1%
With2sausagopatties(cooked) 2or3pieces High(10) ~~@l%
Tip: Donotmwcr,
.—
Iw’wages .—
CMlx,tea,
cider,othwwatertmscd 1to2cups High(10) 1!4to3%
3to4cups High(10) 6t07
Cocoa,othermilktmscd Ito2cups Mcd-High(7) 2%to7
3to4cups Meal-High(7) 7to 10
Tip:DonOtCOvcr.
15

(hide
1. FoodpackagedinaI1-paperorplasticpackagesmaybedcfrosted 3. Besurelargemeatsarecornpletelydefrosted(or,onroastsallow
withoutunwrapping.Iffoodisfoilwrapped,removefoiland extramicrowavingtime),‘Mkeysmaybeplacedunderrunning
placefd incookingdishfordefrosting. wateruntilgibietscanberemoved.
2. Afierfirsthalfofdefrostingtime,unwrappackageandcheck 4.Whendefrosted,fixxlshouldbecoolbutsoftenedinallareas.If
fd. lkrn fd over,ifnecessary;breakapartorseparatefoodif stillslightlyicy,returntomicrowaveovenverybriefly,orletstand
possible.Onverylargefoodsliketurkey,someshieldingofthin afewminutes.
wingorlegareasmaybenecessary.
E?irstEIalf SecondHalf
Food Time,
Min. ‘1’hne,Min. cmlrnents
Mat [PowerLevel:llef.ros~(3)]
Bacon 3%to4
Franks(1-lb.) 4t05
Ground:beef&pork(Mb,) 4
(2-lbs,) 6
($lbs.) 12
Roast:beef&pork 4toSperlb.
5to6 perlb.
Spareribs,pork(1pkg.) 2to4 perlb,
Steaks,chops&fXlthXS; 2to4?4perlb.
beef,lamb,pork&veal
Sausage,bulk
(i-lb.tray) 29$
(Mb.roll) 2
Sausage,link 2
(i tO1%-lbs,)
Sausage,patties i
(12-020pkg,)
1
none
4to6
6to8
12to 14
4to5perlb,
5to6perlb.
2to4perlb,
Placeunopenedpackageinown.Rotatepackage1/4turnafterhalf
time.Letstandfor5minutes.
Placeunopenedpackageinoven,Microwavejustuntilfrankscanbe
sepamt~d.
Iltmoverafterfirst4minutes.
‘Nrnmeatoveraflerfirsthalfoftime,Scrapeoffsoftenedmeatafter
secondhalfoftime,Setaside,BreakupremainingMock,microwave
5to6minutesmore,
‘Ihrnmeatafterfirsthalfoftime,Scmpeoffsofkmdmeatafter
secondhalfoftimc.Setaside.Microwave11to 12minutesmore.
Scrapeandsetaside.Breakupremainingblockandmicrowave3to5
minutesmores.
Placeunwrappedroastinoven.At%halfoftimeturnroastover.
Defrostforsecondhalfoftime,Letstandfor30minutes.
Placewmppedpackageinoven.‘i’brnoverafterfirsthalfoftimc,
Aftersecondhalfoftime,sepamtepieceswithtableknif”.Letstand
tocompletedefrosting.
Placewrappedpackageinoven,~m overafterfirsthalfoftime.
Aftersecondhalf’oftime,separatepieceswithtableknife,letstardto
cmnpletedefrosting,
Thmoverafierfirst2!4minutes,
“lhmoverttfierfirsthalfoftime.Letstand5minutes.
Rotatepackage1/4turnafterhalfof’time.Letstandfor5minutes.
Noturnneeded,
Poultry
Chicken,broiler-fryer, ‘7to87to8Placewrappedc%ickeninoven.Afterhtdfoftime,unwrapandturn
CutUp(2%tO3%lbs.) over.Aflersecondhdfoftime,separatepiecesandplaceincooking
dish.Microwave2to4minut~more,if’necessary,Letstandafew
minutestofinishdefrosting,
Whole(2%to3%-lbs.) 9to 11 9to11 I%cewrappedchickeninoven,Afterlxdf’oftime,unwrapandturn
overchicken,Shieldwarmareaswithfoil.Runcoolwaterincavity
untilgibletscanberemoved.
Cornishhen 4to6pcrlb. 4to5perlb. Placewrapped
packageinovenbreastsideup.‘hm packageover
afierfirstha!f’of’time.
Duckling 2to3perlb. 2to3perlb. Plrwewrappedducklinginoven,Afierfirsthtdfoftirne,unwrapand
tumoverintocwokingdish,Shieldwarmareaswithfoil,Runcool
wfiterincwityuntilgibictscanberemoved,
‘Ibrkey 4%to5fi perlb, 4%to5MPerlb, PIQceunwrappedturkeybreastsidedown,Afterfirsthtdfoftime,
removewrapperttndtihicklwarmareaswithfoil,Thrnturkeybrwuit
sideupforsecondhdfoftime,Runcoolwaterintocavityuntilgibicts
andrwk canbremoved,
Letsoakincoolwaterfor1to2hoursor
rd’rigcmtewwnighttocompletedefrosting,
16
-... -,

FirstHalf SecondHalf
Food Time,Min. Time,Min. Comments
~~ &Seafood[PowerLevel:Defrost(3)]
Fillets(Mb.) 6 6 Placeunopenedpackageinoven.(Iffishisfrozeninwater,placein
cookingdish.)Rotate1/2turnafterfirsthalfoftime,Aftersecond
halfoftime,holdundercoldwatertosepimita
Letstandafewminutestofinishdefrosting.
Placefishincookingdish.‘Ibrnoverafterfirsthalfoftime,Aftw
secondhalfoftime,rinsecavitywithcoldwatertocomplete
defrosting.
Spreadshellfishinsinglelayerinbakingdish,
Steaks(6-02,)
Wholefish(8to 1O-OZ,) 2m3
22to4
Shellfish,smallpieces(1-lb.)
Shellfish,blocks
Crabmeat(6-oz,pkg.)
Oysters(10-OZ.can)
Scallops(l-lb.pkg.)
Shellfish,large
Crablegs–lto2
(8to ~@OZ.)
Lobstertails-l to2
(6to9-02.)
Who!elobsterorcrab
(lH.lb,)
7to8none
4m5nom
3Mro4 3%to4
5to7none
Placeblockincasswwle.
Placeblockincasscrolc.Breakupwithforkafterfirsthalfoftime.
Placeunopenedpackageinoven.
4to6none
3to4 3to4
8t09 8(09
Arrangeincookingdish.
Arrangeincookingdish,withmeatysidedown.‘Ihmoverforsecond
htdfoftime,
Piriccincookingdishwithlightundersideup.‘Khrnoverafterfirst
htdfoftime,
—.
—
—
p+-
—
—.
—
—––
--- .
~..
~.
——
Breads,Cakes ,
Breadorbuns(1-lb.) 3to4
2to4
3!4to5
3!4to4
2!4to4
1to3?4
3to4
none Removemetaltwisttie,
none
none
none
none
mm
none
Heat&serverolls(7-oz,pkg,)
Coffeecake(11to 14?4-oz,) —.
—–
—
Coffeering(10-oz.pkg.)
Sweetrolls(8?4to 12-oz.) —-
——
Doughnuts(4to3)
Doughnuts,gltmed
(1boxof12)
Frenchtoast(2slices) 5!4to6%
2to3Cake,frosted,2to3layer
(17-W.)
Cake+filledortopped,
1layer(12%to16=02.] 2to3none
Poundcake(11%-oz,) 2
5to7none Placeonmiwowavesafeplate.
none Placeonmicrowavesafbplate,RotateplateM?turnafterhalfoftime.
Cheesecake,plainor
fruittop(17to 19”02,)
Crunchcakes&cupcakes %to% each
2’to9
5to6
none
none
none Letpiestand5minutes,sliceimdserve,
Fruitornutpie(thin.)
Cretinorcusuirdpie(14-oz.)
I?hit
Freshfrozen(10to 16Doz,) 6to9none Plwwpackageinoven,Removefoilormetal,Afterminimumtime,
breakupwithfork,Repeatifnawsary,
Plasticpouch+-+1to2
(10+oz,pkg,) 5to8
17

FoodGuide
LMostconveniencefoodscanbereheatedbymicrowaveonly,since 2. Removefoodfromfoilcontainersover314-in.high,andplacein
theyarealreadycooked.Alwaysusemicrowavesafecontainers microwavesafecontainer.
(glassorplastic).Forfoodsneedingbrowningorcrisping, 3. Amountscanbeincreased.Tocookmultiple.packages,addtimes
conventionalbakingisrecommended. together.Checkatminimumtime.
mod Container Cover PowerLevel&TinM Comments
Appetizers&Snacks
Rtstrybites Microwave No High(10) Hto2%min.
safedish
Frozenprepared I%pertowel No High(10) 2to3min. Removefromfoilpackageandwrap inpaper
sandwiches persandwich towel.Rotatedish1/2turnafterhalfoftime.
Popcorn Microwavebag No High(10) 3to!5min. Followpackagedirections,
Eggs&Cheese
scrambledegg
substitute
(8-02.eafion)
Cheesesouffle
(12-02.)
Breakfast,
scramb!edeggs
(6%-02.)with
sausageandhash
brownpotatoes
Welshrarebit
(10-02,)
Microwave No High(10)
safedish
Microwave No Defrost(3)
safe8-in.pic Meal-High(7)
plateand
(Wardcups
Package Package High(10)
papertray cover
Microwave Yes Defrost(3)
safedish High(10)
3%to4% Mi~rowaveabout1minuteper1/4cup
mixture.Stiraficrhalfoftime.Letstandto
completecooking.
9to 13min. ToDefrost:Placein8-in.pieplate.Stirtwice.
9to 11min. ToCook:Dividebetween3or4 buttered
custardcups,6or7-oz.Rearrangeafter5
minutes.soufflesaredonewhencenterisset.
2to4min. Removepapertrayfromcarton.lhrn back
filmtoexposepotatoes.
5min. Stirorbreakupafterdefr~~[ingtime.Stir
5to6min. beforeserving.
Fish&I%Wiih
Craborshrimp
ncwburg(6%-02.)
Fish&chips
(5to 14=(R)
Devileder~b
(6=02.)
!lrewkxifish
(5to K)”oz.)
(14to 16”0’2.)
(23to2!%02.)
Package No High(M)
pouch
Packagetray No High(10)
Mimwave No High(K))
safedish
Microwave No
safedish High(K))
High(10)
High(10)
4toSmin. Purtcmrcpouch3or4 timeswithforktowmt.
4to6rein, RemovefoilcovenReturntraytocartonor
distributeevenlyonmicrowavesafedish.
3to4 min.
Distributeevenlyonmicrowavesafedish.
4to5min.
7to9min.
10!012mini
Meat
Fkzenmeats
(5to8“OZS)
(10to Ma?t)
(Kito32-w.)
Drymixes
(hamburgeradded)
TVdirmcrs
(6to 11%”02+)
(KJto20”OZ*)
Microwave No
safedishor High(10)
pouch High(10)
High(10)
Microwave High(10)
safecasserole
packagetmy Carton
andcwton High(10)
High(10)
If’pouchpackageisused,puncturewithfork
4Vito7min. mvent.
5to 11min.
12to20min.
11to20min. Addcooked,drainedhamburger.
Removefoilcover;replaceincarton.Rotate
6to8min. 1/4turnafterhalfoftime.
7to 10min.

Food Container Cover IbwerLevel&The Cmnnellts
It?%ta,
Rice
Cannedspagh~i,etc. Microwave Lidor High(10) 3to5rein, Stirbeforeserving.
safedish plasticwrap
Frozenriceinpouch Pouch High(10) 6to7min. Puncturepouchwithforktovent,
(10-02.)
Frozenmacaroni&Microwave Lidor High(10) 7to 10min. Stirbeforeserving.
cheese,spaghetti safedish plasticwrap
(8to 14-oz,)
FrozenLasagna Microwave Waxgmperor High(10) 15to20mint Rotatedish1/2turnafterhalfofcookingtime.
(21-OZ.) safedish plasticwmp
Poultry ~.
—.
—
—
-
—
Canned Microwave
(7%m1OM-OZ.) safedish
(14t024-oz.)
Lidor
plasticwrap High(10)
High(10)
High(10)
Placeinmicrowavesafcdish.Cover;stir
afterhalfoftime.
Slitpouchbeforemicrowaving.
Stirdtcr5mifiutes$
H’labeldoesnotstate“fullycooked:’check
fordcmeness,
2Yzto4min.
4to6min.
3%g~4~
min.
Frozenpouch
(5tofifi-oz.)
Maindish Microwave
(12to 1%oz.pkg.) safedish
Friedchicken Microwave
(2pieces) safedish
(1-ib.–6picces)
i2-lbs.–8to 10pieces)
7to 14min.
No High(16)
High(10)
High(10)
2to+miti,
6t07 min.
8m10min. —–
—
—
—
—
—
Sauces,Gravies
Canned Microwave Lidor
00to 16=021] safedish plasticwrap High(10) 3to6 min.
(324X*) High(10) fito!lmin.
—.
—
—
—.
—
—
—
—-
—.
Frozenbreaded
(7=OZ.) Microwave
safedish
Microwave
safedish
No High(10) 3to5 min. Pktceonmicrowavetrivetordish.
Lidor
plastic
WFdf) High(K))
High(10)
High(10)
Lidor
plasticwrap High(10)
High(10)
No Defrost(3)
Canned
@to9”02.)
(15to 17”OZ*)
(28to32-oz,)
]~ t* z%
min.
4to5min.
5to6rein,
Plarx?vqy?tablesinmicrowavesafkdish.
AddMlcupliquidorliquidfromcan,Cover.
Instantmashed
potatoes
(2tofiservings)
(8to 12servings)
Microwave
safedish Usecontainers~&eandamountsofwater,milk,
bt$tterandsaltonpackage.Cover,After
heating,brisklystirinpotatoes,addingextra
1or2tablespoonsdrymix,
4to6min.
8go14min.
9to 13min.Frozensouffle
(12-(X?.pkg.) Microwave
safepie
plateimd
custardcups
Microwave
safedifih
ToDefrost:Placesouffleupsidedownin
pieplate.
‘Tbcook:Dividebetween4custardcups,
!%wffksaredonewhencentersareSW,
Mcd”High(7) 9to 11min.
Potatoes:bitked,
stuffed,frown
(1to2)
(3to4)
ChecktoseethatpotatoesareNOTIN
FOIL,Placconmkxowtivcsafedish,
High{K))
High{10) 4to7min.
7to 10rein,

1.Alwaysusemicrowavesafedish,plasticorglass.
2.Standingtime:Allowabout10minutesstandingtimeformostroastsbeforecarving.
Food Container Cover PowerLevel&‘l%ne Comments
Beef
Ground,crumbled Casserole No
(forcasserolesorsoup)
(l-lb.) High(10) 4to6min.
(1~.]bs,) High(10) 6to8min.
Meatballs Roundor Waxpaper
(l-lb.) oblongdish High(10) 7to9min.
(2-lbs.) High(10) 10to 13min.
Patties Oblongglass Waxpaper
(4patticsperlb.) dish(withtrivet
(1to2patties) ifdesired) High(10) 2to4 min.
(3to4pattim) orceramic High(10) 4to6min.
dinrwrplate
T@ (For1or2patties,uscpaperplatelinedwithdoublethicknesspapertowels.)
Meatloaf Pieplateor Plasticwrap Meal-High(7) Roundloaf:
Ioafdish 21to23min.
Loafshape:
25to30mini
Stiratlerhalfoftime.Addsauceor
casseroleingredientsandfinish.Tocook
frozenblock,microwave10to lf$minutes,
breakingupandstirringeverySminutes.
Letstand5minutes.
Rounddish:arrange?4to l-in.apartin
circlearoundedgeofdish,
Oblongdish:arrange%tol-in.apart.
Rotatedish1/2turnaRerhaifoftime.
Coverwithwaxpaperorcookuncovered
tmdturnpattiesover.Ifdesimd,add
browningsauceoragent.Rotatedish1/2
turnafterhalfoftime.
Letstand10minutesaftercooking.
Roasts
Potroasts
Simmeredbeef
(cornedbeefor
brisket]
Tenderroasts(rib,
highqualityrump,
sirlointip)
Qblongdish Lidor Medium(S)
orcasserole plasliewrap
Casserole Lidor Medium(5]
plasticwrap
Oblongdish Wax~qwr Med~um(5)
andtrivet
Rat%
Medium
VlkM
18to21min.
perlb,
i20to130
min.
ml.
nerlb.
Hto}3
i4to16
17toi9
Brushwithbrowningsauceandadd1/2cup
waterto3to5-poundroast,‘Nrnoverafmr
ha!foftime.Addvegetable%ifdesired,after
Imlfcd’time.I@overandfinish.
Add1cupwaterperpoundof’meat.Ibrn
overafterhalfoftime.Letmeatstandin
brothatleast10minutesaflercooking.For
boileddinner,removemeat,cookvegetables
inbroth.
‘Ihrnovcrandshieldendsifnecessaryafter
halfof’time.LetmeatstandK)to 15minutes
beforecarving.
If desired,brushwith
browningsauceoragentbeforecooking.
Pork
Bacon
Perslice:
(1-lb.)
Porksausage(raw)
(%lb.-4 patties)
Porklinksausage
(raw)
Canadianbacon
(2slices)
(4slices)
(6slices)
Porkchops
(2)
(3)
(4)
(6)
Microwave
safeplateor
oblongdish
Microwave
safecookware
Microwave
saficookware
Microwave
safecookware
Microwave
sfifccookwm
I%pertowel
Waxpaper
Waxpaper
Waxpaper
Plasticwrap
High(10)
High(10)
High(10)
High(10)
High(10)
High{10)
Medium(5)
Medium(5)
Medium(5)
Medium(5)
%m1min.
Mto 16min.
total
3Vito4%min.
%to%min.
perlink
%to 1!4min.
1!4to2min.
2to2Vimin.
14toMmin.
19to24mint
26to32min.
33to37min.
Arrangeinsinglelayeronpapertowelsorcm
(rivetsetindish.Layermanyslicesbetween
iayersofpapertowelsinoblongdish,
Arrangeinsitigh?layer.
Arrangeinsirtglelayer.Ifcooking6ormore
links,rotatedish1/2turnaflerhalfoftime.
Arrangeinsinglelayer.
Brushwithbmbtwtwsauceorbrowning
agent,ifdesired,Letstandcovered5t~10
fi~htutesbeforeserving.
20

\
Food Cda.her Cover PowerLevel&Time Comments
Porkroast 13x9x2-in.
microwave
safedish
Spareribs 13x9x2-in.
dishor3-qt.
casserole
Ham(precooked Oblorigdish
orcanned)
Hamloaf Piephite
Hamdices& 12x8x2-in,
steaks dish
Cookingbag Medium(5) 15t019min.
method perlb.
Plasticwrap Medium(5) 20t025min.
orcover pcr}b.
Plasticwrap Medium(5) llto13min.
perlb,
Plasticwmp Medium(s) ~2C~2~min,
Waxpaper High(IO) Mto27min.
Lamb
TieendofbagsecurelyDonotusemetal
twisttics.Orplacebonesideupontrivetin
dish.Addwatertodishandcoverwithwax
paper.MicrowaveatMedium(5)13to 15
min.perlb.
Add2/3cupofwaterperlb.spareribs.‘llirn
overorrearrangeafterhalfofminimum
time.Ai%rminimumtime,drainliquidand
addbarbcaesauce;microwaveafew
minutestofinish.
Shieldtopedgeofhamwithl%in. stripof
foil.Atircookingperiod,lethamstand10
minutesbeforecarving.
&etstand5minutesbeforeserving.Ifaglaze
isdesired,spoonpineappleorapricot
preservesovercookedhamloafafew
minutesbeforeserving.
Turnoverathalfoftime.
Chops Brown‘N No High(10) 5to7min. Brushchopslightlywithoil,Placein
(4chops) Seardish pmhea?eddish.‘IUrnmeatathalfoftime.
(preheatedfor
8min.)
Roast Oblcmgdish Waxpaper Medium(5) Min. Placeromxontrivetfatsidedown.TM over
(legorshoulder) andtrivet perbafterha]fofcookingtime.Letroaststand10
Medium 13to15 minutesbeforecarving.
Well M5to18
Veal
Chops
(Seelambchopsabove,)
Roast(shoulder) Obkmgdish Waxpaper Medium(5) Hto 17min. Plnceontrivetfatorcutsidedown.Thrn
rindtrivet perb. overMterhalfofcookingtime.Letroast
standKJminutesbeforeawving.!3ieethinly.
—
~
—.
—
—
--- .-
-..
—.
—
—-
—
—.
———
—
—
21

Poultry
1.Usemicrowavetrivetforchickenandothersmallpoultry,butdo 2. Letchickenandothersmallpoultrystandaftermicrowavingfor
notusetrivetforcookingturkeybreast. upto 10minutes.lhrkeyshouldbeallowedtostand20minutes.
Food Container Cover PowerLevel&llme Comments
Chicken
Pieces Plateor
oblongdish
Wholechicken
(8pieces)
Wholeuncut Oblongdish
(stuffdor
unstuffed)
Waxpaper High(10) 2%to3min. Brushwithbrowningagentifdesired.
perpiece Arrangeinsinglelayerincookingdishso
High(10) 15to20min. thickestmeatypiecesaretooutsideedges
total ofdish,
Oven-proof Meal-High(7) 9to 12min. Brushwithbrowningagentifdesired.Add
cookingbag perlb. 1/3cupwatertocookingbag.Slitbagnear
orwaxpaper closuretovent.Donotuserecta)tieonbag.
Cookbreastsideup,(lr,placechickenon
trivetindishandcoverwithwaxpaper.
Rotatedish1/2turnafterhalfofcookingtime.
CmmishHems
Whole(stuffedor Squareor Waxpaper High(10) 6to8min. Placebreastsidedownindish.lltrnover
unstuffed) oblongdish perlb. afterhalf’oftime.
andtrivet
Halves Squareor Waxpaper High(10) 9to10min. Arrangeskinsideupindish,onbedof
oblongdish perlb. stuffing,ifdcsired.
Duckling Oblongdish Waxpaper High(10) 6to8min. Shieldbottomoflegs,wingsandtail.
andtrivet perlb. Microwavebreastsidedownforfirsthalfof
time.Brushwithbrowningsauceorbroiltop
surfaceofcookedbirduntilbrownandcrisp,
‘ndw’y Bmmt Oblongdish Cookingbag Medium(5) 14toMmin. Brushwithbrowningagentifdesircd.Add
F? !~’ 1/2cupwater
tocookingbag.Slitbagnear
closuretovent,Donotusemetaltieonbag.
Cookbreastsideup,(lr,placebreastupin
dishml coverwithplasticwrap,Microwave
atMedium(5)21to23minutesperpound,
Removeplasticwrap,basteandrotatedish
l/~turnafterha~f~ftime.
LCrustonbreadswillbesoft,outsidecoloroffbodswillbesame downbreadsbyliningdishbeforemicrowavingwithbrownsugor
mcolorofbatter(outsideswiiinotbrown],Ifdesired,sprinkle caramelmixture,orsmmytoppinglikecrushedcannedFrench
topofbatterwithcinnamon+wgtu=mixture,choppednutsorother friedonionrings,
toppingforbrowncolor.(lr, increasebrowncolorortupside
ll?ood C3mtahlercover PowerLad &mm? Comments
CC#ftwCakes
Fromrefrigerated
biscuits
CornBread
Muffins
(1Muffin)
(2to4)
(3to6)
QuickBrm.ls,Loaf
fbin.tube No Medium($
dish~
8to9-in. No Med=High(7)
tubeclish~
Paper-lined No
muffincups MwHIigh(7)
(Donotuse Med44igh(7)
foilliners) MwhHigh(7)
Glassloaf No Med41igh(7)
dish
6to8min.
9to 11min.
1to1%mint
1to2min.
2%to4%rein,
9to 12min.
Arrangebiscxi$soverbrownsugar-butter
toppingbeforemicrowaving.Inverttoserve.
Forflavorfulbrownedtopping,sprinkle
cookingdishwithfinelychoppedcanned
Frenchfriedonionsbeforemicrowaving,
Turnoutof’ptmupsidedowntoserve,
Usemicrowavemuffincontaineror
homemademuffincupsmadebycutting
downhotpaperdrinkcups,
Rotatedish1/4turnafterhalfofcooking
time.Whendone,toothpickitwertwiinw
centerwillcomeoutckxm,Letwand15rein,
beforeturningoutofdish,Cool,
$Iftubedishisunavai]ab]c,microwavein8-in.rounddishwithdrinkinggltwplacedopen-side-upinccntcrt
22

LPrepareeggsmanywaysinthemicrowaveoven,secbelow,
Alwayspiercewholeyolksbeforemicrowavingtoprevent
bursting.
2. Neverhardcookeggsintheshell,anddonotreheatin-shellhard
cookedeggs.Theycouldexplode.
3.Cookeggsjustuntilset,theyaredelicateandcantoughenif
overcooked.
Food Container Cover PowerLevel&Time Comments
Scrambled Glass
measuring
cupor
casserole
Basiceggs Buttered
custardcup
Poachedeggs :%-qt.
casserole
Omclct 9-in.pieplate
Quiche Microwave
safebqt.
measureand
-quichedish
No
Plasticwrap
Casserole
cover
No
No
High(10)
Mcd”High(7)
High(10)
High(10)
Medium(5)
Mcd=High(7)
3Ato1min.
peregg
ito 1%min.
pcregg
Sto6min.
Boil2cups
water,
%to1min.
pcregg ‘
Meltbutter
1min.
6to9min.
Filling:
2to3min.
Quiche:
6to8min.
Place1teaspoonbutterpereggindish.
MicrowaveatHigh(10)untilmelted,
Scrambletheeggswiththebutterand1
tablespoonmilkpereg,g,Placeinovenand
microwaveforhalfoftotaltime.Stirset
portionsfromtheoutsidetothecenter,
Allowtostand1or2 minutestoseteggs,
Puncturemembraneofyolktoprevent
bursting,
Heat2cupshottapwater5to6minuteson
High(10),Breakeggsontoplate,puncture
m~mbrane.Swirlboilingwaterwithspoon,
slipineggsgently,Cover.Letstandinwater
afewminutes,
Sprinkkcheeseoveromelet.Microwave1/2
to 1minuteuntilcheeseisslightlymelted.
Rotatedish1/2turnaflerhalfoftime.
Combineandmicrowavefilling,stirring
every2minutes.Pourfiilingintoprceookcd
sheli.Microwaveadditionaltimeshownat
left.Rotatedish1/2turnafterhdfoftimc,
-Chw?se
Fondue Microwave Coveror High(K)) ‘lbmake MakeBasicWhiteSauce(seerecipebelow),
safe2-qt.dish plasticwrap Stwce=+min. substitutingwinefir milk.Add1cupSwiss
Medium(5) 9to 10min. cheeseandmicrowavefor9to 10minutes,
whiskingevery]%minutes.
Basic
Wh6teSauce:Combine2tablespoonsbutter,2tablespoonsflourwul1/2teaspoonsaltin bquartglassmeasure.MicrowaveatHigh(10)
2minutes,stirringafter1minute.Graduallystirin 1cupofmilk. MicrowaveatHigh(10)4to$lminutes,stirringeveryminuteuntilthickand
bubbly,
and
LFishisdoncwhenitflukcswwilywithafork.Centermaystillbe 2. Cookfishwithorwithoutsauce.Atigfttcoversteamsfish.oruse
slightlytranslucent,butwillcontinuecookingasfishstandsafew alightercoverofwaxpaperorpapertowelfiarlesssteaming.
minutesbeforeserving, 3, Donotovermmkfish.Checkatminimumtime.
mod Container Cover PowerLevel&“Ihm COnlments
Fish
Filletsorsteuks
(1-lb,)
whole fish
CIoms,6
—Shrhnp,pmkf
—(l-lb.)
Shrimp,unpceied
(2-lbs,)
(lblongdish
t3blongdish
Pieplotcor
shtilkjwdish
Piepltitcor
sflallowdish
Lqt,
casserole
Waxpaperer High(K)) 6to8min. Microwaveuntilfishflakeseasily,
plasticwrap
Plasticwrtip High(10) 5to7min. Shitddheadandthintailwithaluminumfoil,
perib.
Ph]sticwrap High(10) 3to4 tnin, Placeindishwithhingedsideout.
Plasticwrup High(10) 3to6mint
Lidor High(10) 6to 10min. Stirdler 5minutes,
plasticwrap
~.
——
—
—
—
—
—
~
—.
—
—
-----
-*=
~.
—.
—
—
—.
—
—
—
—.
——
23

1.Alwaysuscmicrowavesafecookware,glassorplastic.Cook
mostvegetableswithtightcovertosteamthan.Exceptionsare
potatoescookedintheirskinsandwateryvegetableswhichneed
nowateraddedforsteam.
2. Donotsalttopsofvegetablesbeforemicrowaving.Ifdesired,add
salttowaterindishbeforeaddingvegetables.Saltcansometimes
causebrownspotsonve etablesduringmicrowaving+
~
3. Cookingtimeforvegetalesaffectsfinishedtasteandtexture.
Minimumtimeonguidegivesfreshtasteandcrisp-tendertexture.
Forsofttexturewithwelldevelopedflavor,cookmaximumtime
orlonger.
4. Sizeofpiecesaffectscookingtime.Largepiecesgerwrallytake
longerthansmalluniformpieces.
5. Justaswhencookingconventionally,vegcmblemixtumsshould
havesimilardensitiesordegreesoffirmnessinordertocook
togethersuccessfully.Firm,crispvegetableslikecarrots,
cauliflowerandbroccolimicrowavetogetherwell.Ifmicrowaving
afirmvegetablewithasoflone(carrotsandpeas,forexample)
cutthecarrotsinjuliennestripssotheywillcookasfastasthe
peas.Or,startcookinglargercarrotpiecesfirst,andaddpeas
duringlastfewminutes.
Vi?getabiesContainer cover PbwerLevel&Time Comments
—....
Slices,pieces
(l-lb,)
(2-lbs.)
Whole,halvesorlarge,
starchyvegetables
(Rxatoes,
WintC~squash,
cauliflower,ete.)
(1-lb.,3(04)
(2-lbs.,6to8)
Watery(Tomatoes,
summersquash)
(Mb.,3to4)
(2-lbs.,tlto8)
VegetableCasseroles
(Withrawvegetables)
(Withprccookcd
vegetables)
Stir-FryVegetables
(6to8scrwngs)
Blanchingfresh
vegetablesfor
freezing
Casserole Yes
Potatoes:Cookon Potatoes:No
ovenfloor(no Winter
container)Other squash,
vegetables:Square cauliflower,
oroblongdish etc.:Yes
orcasserole Yes
Ycs
Yes
(Miss Yes
wYwoh2
High(10) 11to 14min.
14to18min.
High(10)
12to20min.
16to20min.
High(10)
4to5min.
6to8min.
High(10) i8to20min.
10to 12min.
High(10) 10to 12min.
High(10) 3to5min.
Add1/4to 1/2cupwater.Iffrozen,
reducetime3to5minutesbecause
vegetablesareblanched,
Prickskinofpotatoesbeforecooking.
Uselargeenoughcasseroletoallowfor
boilingindish.
Tostir-fryonetypeofvegetable,
substitute1tablespoonoilforwater
andfollowtimesincookingguide.
Bhmehonly1pmnd~r1q~a~p~pmd
vegetablesatatime.Placein 1to2-qto
casserolewith1/4to 1/2cupwater.
Blanchedvegetableswillhavebright,even
colorandwillbeslightlysoftened.Cool
chained!Ianchedvegetablesimmediately
bYPhmgmgincontaineroficevwdter.
&
LEtccwsetnicmvawxlsmicesewaporatelessthtmontie mngetop. 2, Microwavedsatwesdo
notneedtobestirredconstancybutmost
theyarcthinnerthancmwentiormllycookedsaucesmadewiththe shouldbewhiskedvigorouslywithwirewhiskonceortwice
sameamountofthicktming.hwreasethickeningbyaddin an
twhilemicrowaving,
extrateaspoonto 1tablespoonflourormnstw’chforeac cup 3. Viny
basicwhifesauce(see age23) byaddingcheese,eggyok,
ofliquid. creamordrymilksolids.Aldflour
w~thmayonnaiseorwine.
I?uod Cmltdmr’ (her PowerLevel&Time Clmunem$
Ciraviesandsauces
thickenedwithflour
orcornstarch(1cup)
Thin,liquidsauces
(aujus,clam,ct~t)
(1cup)
Meltedbuttersauces,
clarifiedbutter
(!4Cup)
‘fhickspaghetti,
barbecueorsweetkmur
sauces(2cutm)
(lass measure No High(10) 4to5min. Microwavefat,flourandsalttogether
orbowl tomeltandblend.Whiskinliquidand
finish,Increasetime1to2minutesper
additionalcupofsauce.
Ctisserolc No High(10) 2to3min. Addcomstmch=watermixturetoheated
ingredients,Stirweilandmicrowave
to
finish.
(Missmeasure No High(K)) !4to imin. MiwowaveMtterjust tomeit. For
chwifkd butk?r,
bringtoboilthenlet
standuntillayer$separate.
Pouroft’
andM?cleartoplayer.
Casserole, Y& High(10) 5to7min. Stiringredientstogetherthenmicrmvavc,
largebowl stirringafkrhalfoftime.Letstand5to
10minutestodevelopflavor.
24

I?!asmandRice
LAlwaysusemicrowavesafeccsokware(glassorplastic). 4. Coverpastaandricetightlywhilemicrowaving.Whenusing
. . . .
2. Forpastauseabouthalftheamountofwater
neededfor plasticwrap,
turn backonecornertovent.
conventionalboiling;thereislessevaporationinamicrowave 5. Stirorrearrangeafterhalfofcookingtime,Drainpasta
oven.Addregularamountsaltand1teaspoonoil(optional, immediatelyaftermicrowaving.
topreventsticking), &Microwavetimeisaboutthesameasconventionalboiling.
3. Forriccorminuterice,usethesameamountofwaterandsaltas
withconventionalboiling.
Fmd Container Cover PowerLevel&Time Comments
Macaroni
(8-oz.) 2-qt.
casserole Lidor High(10) 15to 18min.
plasticwrap Add3cupswater.Stirafter10minutes.For
rotinitype,~heckfordonenessafter10
minutes.
Add6to7cupswater.Rcatmmgeafier10
minutes,
Add8cupswater.Stirafter10minutes.Time
isthesameforspinachorregularnoodles.
Coverwithwaterindish,Rearrangeafter
minutes,
Brushwithoilthencoverwithwaterindish.
Usingfork,turnoverevery5minuteswhile
microwaving.
Add2!4cupswater.Stirafter10minutes.
AddIti cupswater.Stirafter2minutes.
Spaghetti
(16-oz.) 13X9X2-in.
oblongdish
3-qt.
casserole
13X9X2-in.
oblongdish
l~X8X2.inc
oblongdish
Plasticwrap High(1(?) 16to19min.
Eggnoodles
(8-ozo) Lidor High(!0) 21to23min.
plasticwrap
Plasticwrap High(10) 11to 16min.Lasagna
(8to 16-oz,)
Manicotti
(s-oz.) Plasticwrap, High(10) 22to25min.
Rice,regular
longgrain[1cup)
Rice,minute
(1%cups)
3“qt.
casserole Lidor High(10) Mto21min.
plasticwrap
Lidor High(10) 4tobmin.
plasticwrap
2-qt.
casscrolc —
—-
—
Cereal
—.
1.Alwaysusemicrowavesafecookware(glassorphtstie).Uselarge 3. Donotcover(preventsspiilover),
enoughcontainertoavoidspilkwer, 4. stirhalf-waythroughcookingtime.
2. Startwithhottest
tapwatertoshortencookingtime.
—
—.
—.
—
—
—.
Food Container Cover PowerLevel&mnle Cfmmwnts
2to2%min.
permrving Mixcereai,saltandhottesttapwaterbefore
microwaving,Stirbeforeserving,For6
servings,use3=qt,easstwole.
f%tmcal,quick Chinaor No High(10)
potterybowl,
paperbowl
IWYHl:Tomicrowavesinglc=servingpacketofinstantoatmwd,M1OWpackage
directionsforamountofwmerandmicrowave
mHigh(10)for%toimhntte.
oatmeal, kqt,casserole NO High(K))
oldfashioned orbowl 3to5min.
for1serving Increasecasserolesizeformorethanone
serving.Increasetimeabout2minutesfor
eachadditionalservingyouarecooking.Stir
afterhalfofcookingtime.
Grits,quick Chinaor No High(10)
potterybowl,
paWrbowl
PKWll:Tomicrowimwsingkxwrvingpacketofinstantgrits,followpackage
directionsforamountofwaterandmicrowaveatHigh(10)for%to1minute.
CreamofWheat l=qt.casserole No High(10)
orbowl
CreamofRice Chinaor No High(10)
pottmybowl,
paperbowl
3to4 min.
foriserving Mixcerealwithhottesttapwater.Inmease
casserolesizeandrnbwwavetimeby2
minutesperadditionalserving,
3to4min.
for1serving
1%to2mitt,
for1serving
Increasetime1minuteperwiditionaiserving,
Increasetimeaboutiminuteperadditional
serving. —.
—.— —

cakes
1.Alwaysusemicrowavesafecookware(glassorplastic). 3. Crustoncakeswillbesoft.Refrigeratecakeiffirmexterioris
2. Beforeaddingbatter,greasedishesbutdonotflour.Or,foreasy desirableforfrosting.
removal,linedishwithwaxpaperorpapertowel. 4. Fruitdessertswillbefreshlookingandtasting.
Food Container Cover PowerLevel&The Comments
Cakes
Commercialmix
(18to20-02.)
Basicbutteror
chocolatecake
Pimwpp!e
upside-downcake
cupcakes@
Barcookies
Bakedapples
orpears
8-in.roundor
squaredishes
Flutedtube
cakepan
Greased$-in.
rounddish
/!I-in.round
dish
P@erlined
cupcaker
8-in.square
dish
12X8X2-in.
dish
Microwave
safedishor
Casserole
Meal-High(7)
Meal-High(7)
High(10)
High(iO)
High(IO)
High(10)
High(10)
Lidor High(10)
plasticwrap
8to9min.
17to19min.
8to9min.
9to11mint
3%to4fin,
6to8min.
8toi4min.
3to4min.
perpiece
Greasedishesbeforeaddingbatter.Removean
e= whenprcparingbattwRotatedish1/4turn
evq 3minutes.Letstand5to10minutes
beforeinvertingtocool.
Usenumberofeggsmwnnwndcdonpackage.
Rotatepan1/4turnevery6minutes.Lettube
cakestand5to1(3minutesbeforeinvertingto
cool.
Rotatedish1/4turnevery3minutesLetstand
onheat-pmot’countmorwoodenboardtocool
i5minutes.
Whendone,toothpickstuckincakecomesout
clean.Invertcakeontoplats;letdishstand
overcakeafewminutes.
Whencookingseveralcupcakes,youmay
noticesomewillbedonebeforeothers.Ifso,
removecupcakesastheyamdoneandcontinue
cookingthemstafkwsecondsmore.
Greasedishbeforeaddingbatter.Rotatedish
1/2turnafterhalfoftime.Cutwhencool.
Pienxf’mitorpeeltopreventbursting.
LAhvqysusemkrowe safe$@sscookware.RWeasy Cletlfwpfmelt 2. Candieswhichamboiledbeeorrwveryhot;besumtohandle
chocolateinpaperwtappersseamsideup,orplacechocola%in rookingcontainerscarefully.
paperbowltomelt.
R?od ChM.ahlerCOwM’PmveB!L@vel&Thm Chnments
S’Mores Papernapkin
orpaperplate
CaramelApples l-pint{2=c@
measure
MarshmallowCrisp 12WlX2=in.
dish
ChocolateBark I%”qt.
cassero)c
orbowl
No High(10) 15ml?o
seconds
No High[K)) 3min.
Covergrahamcrackerwithchocolateand
marshmallow,Miaowrm
Unwrapa14=02.packqjeof’cwafnelsinto
meamtringmp.Add1tablespoonwater.
Microwave,stirringeveryminute.Dip4
applesintofllhkii%.
In 12%8KLin.container,melt1/4cupbutter.
AddKhoz.packagemnrshmaliows.Cover
withwaxpaperandmicrowavetomelt.Stirin
5cupscrispyricecewd.Pressfirmlyintodish.
PhtceL2-oz.semi-sweetchocolatepicccsin
container,Microwavetomelt,Addicup
wholetomtedalmonds,Spreadoverwax
paperoncookiesheet.Chilluntilfirm,
26

—. .-\
Guide
TypeofUtensil/Cookware MicrowaveUses
Foil-1inedI%perBags,Boxesand
Bakingnays
MetalorpartmetalPots,Rms,
Thermometers,SkewersandFoil
Trays
BoilableHardandSoftPiastics,
suchas:Rubbmvnaid
Glassjars, suchasforbabyfoods,
vegetables,entrees,syrups,
saladdressing
HandmadePottery?P@rcelain,
Stoneware
MicrowavePlasticssuchas:
AnchorkbckingMicroware,Bangor
Plastics,MisterMicrowave,Nordic
ware,Republic,‘Ihra,WeareverNupac
I%peror StyrofoamPlates
andCups
OvenGlasssuchas:AnchorHocking,
FireKing,Gkmbake,Hcller,Jena,
Pyrex
RegularDinnerware~such8s:
CorellebyCorning,DanskGeneration,
Denby,ElCamino,Franciscan,
InternationalStoneware,
Lenox
TemperWare,Marsh,Mikasa,
IV’Wzgraff
Dinnerwmw9such8s:
CorningCenturt3,FitzandFloyd
Oven-to-tableWare,Melamine,
Dishes withmetaltrim
PaperTowelsandNapkhw~
WaxPaper
GhmMlx=amic
suchas:CorningWare,
ProgressionG.byNoritake
PkwticWrap,CookingBags,
Boil-in=b~gs,StorageBags
SpecialtyGlass-Ceramicand
Porcelain,suchas: ElCamino,
F.11Rogers,I-lelkw,MarshIndustries,
F%ltzgmff,Shaffbrd
PapmfmardTraysusedforfrozen
mtnxs anddi~n&
Pkwtictraysandplatesusedfor
frozenentreesanddinners
Avoid.Useonlyfoiltrays3/4-in.deepor less.Foilor metalwillreflect
microwaves,thuspreventingevenheating.Arcingcanoccurif foiliscloser
than l-in. toovenwails.
Cookinggroundbeef(colander).
Defrosting.Heating.
Avoidheatingbabyfoodinjars,especiallymeatandeggmixtures.Remove
metalcapstowarmsyrup.
Cookingandheating,
Cooking.
Heatingandservingfoodsandbeverages.Styrofoamshouldbeusedfor
short-termheatingtolowtemperaturesandforserving.
Cookingandheating,
Heatingandsomecooking.Av&dmetalringsordecorationsondinnerware.
None,
Cookingbacon,Absorbingmoistureandpreventingspatters.Heatingand
servingsandwichesorappetizers.Usewaxpaperaslightcoveringtohold
insteam.
~.-
——
—
—
—
—
—
-
—-
—
—
—.-.
w--
~—
—.
—
—
—=
—
—
—
—.
Cookingaridheating,
Coveringtoholdinsteam(wrap).Cooking(cookingandboil-inbags),
Heating{storagebags),
Recommendedformicrowaveoven-to-tablecookingofspecialfoods,
-—
Cookingandheating.
Cookingandheating.
27

Feature
METAL
I
METAL
FILTER FILTER
COOKTOPLIGHT
Theexhaust.hoodfeaturecmyour
microwaveovenisequippedwith
twometalfilterswhichcolkxt
grease.Whenthefanisoperated,
airisdrawnupthroughthefilters
andisthendischargedthroughthe
providedventingtotheoutside.
Thehoodalsohasalightfor
illuminatingthecounterspace.
Toremovegreasefilter,graspthe
“fingerhold”onthefilterandslide
Thenpullfilterdownwardandto
thefkcmt.Thefilterwilldropout.
‘lbreplacegreasefilter,slidethe
fiiterintheframeslotontheback
Oftheopenings
agitatefil& inhotdetergent
solution.Don’tuseammoniaor
otheralkalibwauseitwilldarken
metal.Lightbrushingcanbeused
toremoveembeddeddirt.Rinse,
shakeandremovemoisturebefore
replacing.Filtemshouldbe
chxmedatleastonceamonth.
Neveroperateyourhoodwithout
thefilterinplace.Insituations
whe~flamingmightomwron
surfacesbelowhood,filterwill
retardentryofflamesintotheunit.
Clemoffthegreaseandduston
PMfiiterupwardandtothefront hod surfhcesalien.Useawarm
tolockintoplace. detergentsolution.About1
tablespoonofammoniamaybe
addedtothewater.Thkecarenot
totouchthefiltersandenameled
surl%ceswiththis.Ammoniawill
tendtodarkenmetal.
w’
28

—
.
Light
Caktqmghtirmk?d
REMOVESGFiE-W
Toreplacecooktoplightinhood,
firstdisconnectpowerat main
fuseor circuitbreakerpaneior
pullp~ug.Removescrewonright
sideoflightcompartmentcover
andlowercoveruntilitstops.
I
Besurebulbstobereplacedare
coolbeforeremoving.Breakthe
adhesivesealbygentlyunscrewing
thebulbs.Replacewith40-watt
incandescentbulbs(PartNo,
WB2X4253)availablefmmyour
GEsupplier.khghintensity40=watt
bulbs(PartNo.40SIINII)Wllidl
Meavailableintwpermarketsand
hardwarestoresmayalsobeused
forreplacements.Raiselight
compartmentcover~d replace
screw.Connecteleetrkxdpowerto
microwaveoven.
— ——
Ovamght
Toreplateyourovenlight,first
disconnectpowerat mainfuseor
circuitbreakeror pullplug.
Removethetopgrillbytakingoff
3screwswhichholditinplaw.
Thisappliancemustbegrounded.
Intheeventofanelectricalshort
circuit,groundingreducestherisk
ofelectricshockbyprovidingan
escapewirefortheeleetriccurrent.
Thisapplianceisequippedwitha
powercordhavingagrounding
wirewithagroundingplug,The
plugmustbepluggedintoanoutlet
thatisproperlyinstalledand
grounded.(Fig.1)
WARNINCL~mproper
useofthegroundingplugcanresult
inariskofelectricshock.
Next,removethesinglescrew
located
dmvedoormarceriterof
oventhatsecureslighthousing.
Removebulbandreplacewith
aMl-wattGEbulb(PartNo.
WB2X4235)waihbk$fromJKXM
GE Supplierc%XXlretight housing
WithScrew.
Consultaqualifiedelectricianor
servicetechnicianifthegrounding
instructionsarenotcompletely
understood,orifdoubtexistsasto
whethertheapplianceisproperly
grotmdedE
Whereastandardtwo=prongwail
receptacleisencountered,itis
yourpersonalresponsibilityand
obligationtohaveitreplacedwith
aproperlygroundedthree-prong
wallreceptacle*
Do notunderanycirmmsme
cutorremovetlwthird(ground)
prongfromShepowercord,
29
——
m’
-
-
—.
—
—
—
=g
—
-
~-
—.
-.
—
—-
—
—
—
~
—.
-
—-
9-- -
--=
—
—
—
-
-“.
—
—
—
—
—-
-
-.
—
—.
9
——
—
—=
—
~
-.
~
—-
—
—
—
—
—-
—
—
—
~=
—.
—
—
—
—
—
—
—
—
-
—- .
—
—
~=-..
-~-
~
—
—
!sss5w
—
—
—
—-
~
—-
—-
-.
-
-
—
m@-
.—

m
~-—.
PROBLEM
OVENWILLN~
COMEON
CONTROLPANEL
LIGHTED,YETOVEN
WILLNOI’ST~
FOODSAREEUTEU3R
OVERCOOKEDOR
KJNDERCOOKED
“EEEE” AMEARS
ONDISPLAY
Ifyouneedmorehelp..call, tollfree:
GEMnsweE’cel’Bte@
800.6262000
consumer
iMOrnlatiOnservice

If Service
TOobtainservice,seeyourwarranty
onthebackpageofthisbook.
We’reproudofourserviceand
wantyoutobepleased.If forsome
reasonyouarenothappywiththe
serviceyoureceive,herearethree
stepstofollowforfurtherhelp.
FIRST,contactthepeoplewho
servicedyourappliance.Explain
whyyouarenotpleased.Inmost
cases,thiswillsolve$heproblem.
NEXT,ifyouare stillnotpleased,
writeallthedetails-including
yourphonenumber-—to:
Manager,CkmsumcrRdations
GEAppliances
AppliancePark
Louisville,Kentucky
40225
FINALLY,ifyourproblemisstill
notresolved,write:
—
—
—
—
—
—
—.
‘—
MajorAppliance
ConsumerActionPanel
20North
Wad’axDrive
Chicago,Illinois60606
—
—
—
—
—
—-
-
—-
—
—-
—,,-
-
—.
-
—-
—
——

YOURGENERALIELECTRi~ OVEN
Saveproofoforiginalpurchasedalesuch as yoursalessliporcancelled check toestablish warranty period.
WHATISCOVERED FULL(3F41%YEARWARRANTY
Foroneyearfromdateoforiginal
purchase,wewillprovide,
freeof
charge,partsandservicelabor
in yourhometo repairor replace
anypwt ofthemicrowave
oventhatfailsbecauseof a
manufacturingdefect,
LIMITEDAt3DlT10!+JAim
14M%W5ARWARRANTY
Forthesecondthroughtenth
yearfromdateoforiginalpurchase,
wewillprovide,freeofcharge,a
replacement
mgnetm fdw If
themagnetrontubefailsbecause
ofarnanufacturlngdefect.Youpay
fortheservicetriptoyourhome
andservicelaborcharges.
Thiswarrantyisextendedto
thewiginalpurchaserandany
succeedingowner
forproducts
purchasedforordinaryhomeuse
inthe48mainlandstates,Hawaii
andWashington,D,(2InAlaskathe
warrantyisthesameexceptthatitis
LIMITEDbecauseyoumustpayto
shiptheproducttotheserviceshop
orfortheservicetechnician’stravel
coststoyourhome.
Allwarrantyservicewillbeprovided
byourFactoryServiceCentersor
byourauthorizedCustomerCare@
servicersduringnormalworking
hours.
LookintheWhiteorYellowPages
ofyourtelephonedirectoryfor
GENERALELECTRICCOMPANY,
GENERALELECTRICFACTORY
SERVICE,GENERALELECTRIC-
FK3TPOINTFACX)RYSERVICEor
GENERALELECTRICCUSTOMER
CARE@SERVICE.
WHATISNUT’COVERED @Servicetripstoyourhometo
teachyouhowtousetheproduct.
Readyourthe andCaremn?%!sl.
Ifyouthenhaveanyquestions
aboutoperatingtheproduct,
pl~asecontactyourdealerorour
ConsumerAffairsofficeatthe
addressbelow,orcall,tollfree:
(Xi AnswerCenter@
800.62$’2000
consumerlnformta!ionw3rvlce
●Replacementofhousefusesor
resettingofclrcultbreakers.
.Failureoftheproductifit isused
forotherthan!tsintendedpurpose
orusedcommercially.
*Damagetoproductcaused
byaccident,fire,floedsoracts
ofGod.
WARRAN’K)RISNUTFtESPONSli3LE
FOR(X)NWZQLIEiWIALDAMAGES.
●ImproperInstallation.
Ifyouhaveaninstallationproblem,
contactyourdealerorinstaller.
Youareresponsibleforproviding
ackqua?e
electrical,gas,
andotherconnectingfacilities.
.—
SQmestatesdonotallowtheexclusionorlimitationofincidentalorconsequentialdamages,sotheabovelimitationorexciusion
maynotapplytoyou.I%iawarrantygivesyouspecificlegalrighfs,andyoumayalsohaveotherrightswhichvaryfromstatetostate.
ToknowwhatyourIegairightsareinyourstate,consuityouriocalrwstatecon$umeraffairsofficeorycwrstate’sAttorneyGeneral.
G&meralElectricChmpany
Iffurttw helpisneededtxmm?rningthiswarranty,write:
Affairs,GEApplktnces,Louisville,KY40225
PartNo,1641XNI$2PO06 JVM130G
I%Ji).No.498016 Prink?dirrKorea
449
—.