Honeywell Dehumidifier H1008 Users Manual 63 7048 H1008. Automatic Humidity Control. With. HumidiCalc+Ô Software
2015-01-23
: Honeywell Honeywell-Honeywell-Dehumidifier-H1008-Users-Manual-261271 honeywell-honeywell-dehumidifier-h1008-users-manual-261271 honeywell pdf
Open the PDF directly: View PDF
.
Page Count: 24

Honeywell H1008
Automatic Humidity Control
with
HumidiCalc+ Software
Copyright © 1998 Honeywell Inc. • All Rights Reserved Rev 1.0
May 27, 1998

Rev 2.0
63-7048 1998 Honeywell Inc.
Page 2 of 22
Automatic Humidity Control
The Honeywell H1008 Automatic Humidity Control with HumidiCalc+ Software
is the world’s most advanced stand-alone humidity control. Simple to install, easy to
troubleshoot, it is designed to save the installing contractor time, while maximizing
benefits to the homeowner. It’s much more than a humidistat - it’s a sophisticated
electronic control with the ability to maintain a comfortable humidity level in a home,
while preventing condensation on windows over a wide range of weather conditions.
Back to Basics - Expressing Humidity
When most people think of humidity they probably are thinking of “relative humidity.”
But there is a significant drawback in expressing humidity in terms of relative humidity.
In order for relative humidity to be meaningful, the temperature of the air needs to be also
known. Simply stating that the “humidity is X %” does not really indicate how much
moisture is present in the air. The best measure of the humidity level in the air is
dewpoint, not relative humidity. Dewpoint is a measure of the absolute amount of
moisture in the air. If the temperature of the air is raised or lowered the dewpoint will
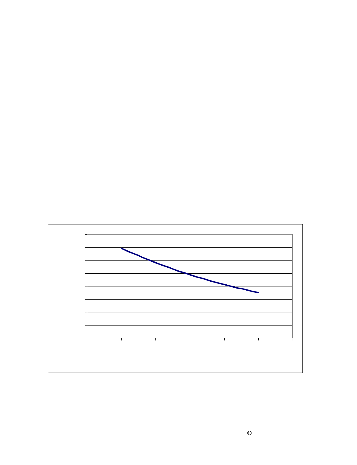
remain constant, unless moisture is added or taken away. Figure 1 shows the effect that
changing temperature has on relative humidity. With conditions of constant moisture
content in the air (dewpoint of 50 F) the relative humidity varies between 35% and 70%
as the temperature varies between 60 F and 80 F.
Figure 1 – Variation of Relative Humidity with Changes in Temperature at a
Constant Moisture Level
0.0
10.0
20.0
30.0
40.0
50.0
60.0
70.0
80.0
55 60 65 70 75 80 85
Dry Bulb Temperature - deg F
Relative Humidity - % RH

Rev 2.0
63-7048 1998 Honeywell Inc.
Page 3 of 22
Defining a Comfortable Humidity Level
Much research has been conducted on what combination of temperature and humidity
creates the most comfortable indoor environment. The 1997 ASHRAE Fundamentals
Handbook1 defines how comfort is perceived as a function of temperature and humidity.
Figure 2 shows a summary of the ASHRAE conclusions.
Figure 2 – ASHRAE Winter Comfort Zone
In designing a humidifier control, what is of particular interest is the lower region of the
comfort zone. Figure 2 shows that a comfortable humidity level is defined in terms of
dewpoint, rather than relative humidity. The lower end of the winter comfort zone is a
dewpoint of 36 F, for dry bulb temperatures ranging from about 69 F to 76 F. This
strongly supports the notion that a comfortable humidity level is best described by
dewpoint, not relative humidity. In fact within the temperature range of 69 F to 76 F,
the relative humidity can vary from 23 % to 81% and still be considered to be in the
comfort zone, as ASHRAE has defined it! You can begin to see the problem in trying to
use relative humidity to control humidity level. Relative humidity is not a direct
measurement of the amount of moisture in the air. As shown in Figure 1, it is very
dependent on the temperature of the air being measured.
1 "Conditions for Thermal Comfort", 1997 ASHRAE Fundamentals Handbook, page 8.12,
Dry Bulb Temperature ( F)
Comfort Zone
Dewpoint ( F)
60 70 80
10
30
40
50
45
55
60
20
65
10 % RH
20 % RH
30 % RH
40 % RH
50 % RH
60 % RH
70 % RH80 % RH90 % RH
65 75

Rev 2.0
63-7048 1998 Honeywell Inc.
Page 4 of 22
The message to take away from all this is:
If you are in the business of trying to provide a comfortable indoor
environment, controlling a humidifier by sensing relative humidity may
not result in optimum control.
Especially poor performance may result when the temperature in the living space
experiences large swings, like in instances where setback thermostats are used.
In these applications, a humidity control that controls based on dewpoint will result in
optimum control over all conditions. Honeywell H1008 Automatic Humidity Control
with HumidiCalc+ Software does just that. While most humidity controls simply have
a humidity sensor, the H1008 Automatic Humidity Control has both humidity and a
temperature sensor. This allows dewpoint to be calculated, and the humidification
equipment controlled to achieve the desired dewpoint.
The Quest for Dry Windows – All Winter Long
As we said above, “If the dewpoint could always be maintained at 50 F, there would be
no complaints about humidity.” However, as much as we would like to live year-round in
an environment with a 50 F dewpoint, unfortunately, that can’t always be done. Here’s
why:
The need to humidify for a comfortable indoor environment is driven by the fact that all
homes breathe, exchanging outside air for inside air. When the amount of moisture
contained in the outside air is less than that in the inside air, the humidity level will go
down. If the outside air is very dry, at some point moisture will need to be added to
maintain a comfortable humidity level. The drier the outside air, the more humidification
that will be needed. When temperatures get very cold outside, the air can hold a very
limited amount of moisture. Thus, the very driest air occurs when the temperatures get
very cold.
When comfortable indoor humidity levels are maintained during extremely cold weather,
problems with condensation can occur. Usually this condensation will occur first on
windows, because windows generally have less insulation value than walls. If the
temperature of the inside surface of the window is lower than the dewpoint of the inside
air, condensation will occur. Over time, this condensation can be very damaging to the
finish and the structure of the window.

Rev 2.0
63-7048 1998 Honeywell Inc.
Page 5 of 22
Figure 3 illustrates why condensation occurs:
Figure 3 – Temperature Profile of Double Pane Window
Figure 3 shows the temperature profile through a typical double pane window. If it is 70
F inside and 0 F outside, depending on the insulating value of the window, the
temperature at the window surface may be around 40 F. Therefore in this example,
under these conditions the maximum dewpoint that this house could withstand without
condensation forming on the window would be 40 F. If the outside temperature were to
increase, the window temperature would also increase, meaning that the house could
stand more humidity. Conversely, if the outside temperature were to decrease, the
window temperature would decrease, meaning the humidity level in the house would
have to decrease further to prevent condensation.
A second factor in determining window temperature that is not always considered is
indoor temperature. Raising and lowering indoor temperature will similarly raise and
lower the window temperature. This can be a significant factor in applications where
programmable setback thermostats are used. If a thermostat sets back at night, the
allowable humidity level in the home will be less than during periods when the
temperature is at its normal setting.
This sets the stage for the quest to achieve both a comfortable humidity level and dry
windows.
Outside = 0 F
Inside = 70 F
Window = 40
Window Panes

Rev 2.0
63-7048 1998 Honeywell Inc.
Page 6 of 22
Outdoor Temperature Compensating Humidity Controls
Honeywell, with the Perfect Climate Comfort Center, was the first to introduce an
electronic humidity control system for the residential market designed to automatically
adjust humidity levels based on outdoor temperature. This system also considers the
effect of indoor temperature in its algorithm, providing optimum control for all
combinations of indoor and outdoor temperature.
The Honeywell H1008 Automatic Humidity Control, when installed with the C7089H
Outdoor Temperature Sensor, functions as a true dewpoint control, just like the Perfect
Climate Comfort Center.
In 1997, Research Products introduced its AutoTrac
2 control. The AutoTrac is a
stand-alone, electronic humidistat that, when installed with an outdoor sensor, will adjust
the relative humidity setpoint per a programmed reset schedule. We have tested the
AutoTrac and found that it does perform as advertised. It attempts to control to 45 %
RH, until the outdoor sensor value reaches the point at which a ½ % RH reduction in
setpoint is made per F change in outdoor sensor value. Figure 4 graphically shows the
linear reset curves.
Figure 4 – Research Products’ AutoTrac Outdoor Temperature Compensation
2 AutoTrac is a trademark of Research Products Corporation.
0.0
5.0
10.0
15.0
20.0
25.0
30.0
35.0
40.0
45.0
50.0
-30-25-20-15-10-5 0 5 101520253035404550
Outside Temp - deg F
Relative Humidity - %
Knob Setting = 1
Knob Setting = 2
Knob Setting = 3
Knob Setting = 4
Knob Setting = 5
Knob Setting = 6
Knob Setting = 7

Rev 2.0
63-7048 1998 Honeywell Inc.
Page 7 of 22
The AutoTrac control does not have the ability to provide true dewpoint control. This
may result in overhumidification at times when the temperature is greater than normal
conditions and underhumidification if the temperature is less than normal conditions. For
example, if during night setback the temperature was 60 F, if the AutoTrac were able
to achieve its 45 %RH, the dewpoint would be 39 F. If the temperature were raised to
72 F during recovery, the relative humidity would only be 30 %. All opportunities to
humidify during setback would be lost.
Some additional items noted during our testing of this product (conducted in the fall
of 1997):
If the outdoor sensor fails open, or is not connected, the humidistat will not
function, with no feedback to the user.
If the sensed outdoor temperature exceeds 50 F, the humidistat will not function,
losing opportunities to humidify under those conditions.
The concept of adjusting the indoor humidity level depending on what is happening
outdoors in one that we embrace – in fact, Honeywell pioneered the concept with the
Perfect Climate Comfort Center. What we heard that installing contractors do not
embrace is the time and effort required wiring an outdoor sensor – up to an hour on some
jobs. So, armed with an unequalled knowledge of comfort systems, we set out to design a
humidity control with exceptional performance, that would also make life easier for the
installing contractor.
H1008 Automatic Humidity Control with HumidiCalc+ - The Basic Idea
The idea for the H1008 Automatic Humidity Control was born by considering some very
obvious facts:
Wiring between the humidity control and an outdoor sensor can be very
difficult
Humidifiers and duct mounted humidity controls are usually installed near the
HVAC equipment
Wiring between the humidity control and the HVAC equipment would usually
be pretty easy
If you could replace the wiring from the humidity control to the outdoor
sensor with wiring to the HVAC equipment, it would save a lot of time
Here’s a few more:
By monitoring the W terminal on your furnace, you could tell how much it
was running
The colder it gets outside the more your furnace runs
You’re probably starting to see where this is headed. Here’s the basic idea - if we could
estimate the outdoor temperature by monitoring the calls for heat, we could conceivably
replace the outdoor sensor with some simple wiring between the HVAC equipment and
the humidity control.

Rev 2.0
63-7048 1998 Honeywell Inc.
Page 8 of 22
H1008 Automatic Humidity Control with HumidiCalc+ - The Technical
Approach
We found that there is more than a casual relationship between furnace run time and
outdoor temperature. In fact, in a single stage heating system, in steady state, the
percentage of burner on-time (% on) is linearly related to the difference between the
balance point (in this context, the temperature at which it is warm enough that the furnace
never runs) and the outdoor temperature. To carry this one step further, an equation can
be derived which expresses % on as a function of four variables:
1. Outdoor temperature
2. Balance point
3. ASHRAE heating design temperature
4. Oversizing of furnace, relative to ASHRAE design temperature
Figure 5 shows two examples of this relationship.
Figure 5 – Relationship Between Outdoor Temperature and Percent On
The upper line shows an application with a balance point of 55 F, where the furnace is
exactly matched to the heat loss (0% furnace oversize) at the ASHRAE 99.6% design
temperature for Minneapolis (-16 F). In this case the curve is a straight line connecting
the balance point at 0 % on, with the design temperature at 100 % on. The lower line
shows the same application with a furnace with twice the btu output (100% furnace
-100.0
-80.0
-60.0
-40.0
-20.0
0.0
20.0
40.0
60.0
80.0
0 10203040506070809010
0
Percent On
Outdoor Temperature - deg F
0% Furnace Oversize
100% Furnace Oversize

Rev 2.0
63-7048 1998 Honeywell Inc.
Page 9 of 22
oversize). In this case the furnace will only be running 50% of the time at the ASHRAE
design temperature of –16 F.
Next, we looked at the insulation values of windows, and found that naturally, there is a
relationship between the temperature of the inside surface of the window and the outdoor
and indoor temperatures. This was shown in Figure 2. Of course, all windows are
different, but Figure 6 shows some nominal values for typical window types.
Figure 6 – Typical Window Surface Temperatures (with Tindoor = 72 F)
Again, what’s important about the window surface temperature is that is the upper limit
of the dewpoint that we can allow in the living space. If the dewpoint of the air in the
living space exceeds the window surface temperature, condensation will occur. If the
dewpoint stays below the window surface temperature, we have dry windows.
If you look at Figure 5 and Figure 6 you see that outdoor temperature is present in both
equations. We took these equations and, with a little algebra, were able to develop an
equation for the window surface temperature, or equivalently, the maximum allowable
dewpoint, in terms of the percent on time of the furnace. Now for the tricky part – if you
graph maximum allowable dewpoint vs. the percent on time of the furnace, you don’t end
up with just one line on the graph. You end up with literally thousands of lines,
depending on all the combinations of window type, indoor temperature, ASHRAE design
temperature, balance point, and furnace oversizing. But through computer simulation, we
were able to determine the range of values that we could reasonably expect to encounter.
Once this was known, we could design a control that could span this entire range.
Because the effect of all of the above variables add or subtract in the same way, by
0
10
20
30
40
50
60
70
80
-50 0 50 100
Outdoor Temperature - deg F
Window Surface Temperature - deg F
Sin
g
le Glaze
Double Glaze
Triple Glaze

Rev 2.0
63-7048 1998 Honeywell Inc.
Page 10 of 22
adjusting a single input value, we can achieve a control point that satisfied every one of
the thousands of combinations of the variables.
Voila. By adjusting a single knob setting we can provide a solution for the entire range
of five input variables. Figure 7 shows the operational characteristics of the H1008
Automatic Humidity Control with HumidiCalc+ Software.
Figure 7 – Operation Characteristics of the H1008 Automatic Humidity
Control with HumidiCalc+.
The H1008 Automatic Humidity Control with HumidiCalc+ attempts to control the
humidity level to a dewpoint of 50 F. The control continuously monitors the calls for
heat and maintains a running estimate of the current percent on of the equipment. Based
on the knob setting, the H1008 calculates the maximum allowable dewpoint for the
current percent on. If this value is less than 50 F, that becomes the new control point.
How Does it Work Under Real World Conditions? Very Well, Thank You.
The discussion thus far has been limited to the analysis around steady state conditions;
that is conditions where the heating load is not changing. We know, of course, that in the
real world conditions are not always steady state. If either the outdoor temperature or the
setpoint changes, the heating load changes. Of particular interest to us is what happens
when the setpoint changes, either manually or automatically through the use of
programmable thermostats. This causes a step change to the heating load, a much faster
change in load than will occur due to even the most rapid changes in outdoor temperature.
-40.0
-30.0
-20.0
-10.0
0.0
10.0
20.0
30.0
40.0
50.0
60.0
0% 10% 20% 30% 40% 50% 60% 70% 80% 90% 100
%
Percent On
Maximum Allowable Dewpoint
Knob Setting = 1
Knob Setting = 2
Knob Setting = 3
Knob Setting = 4
Knob Setting = 5
Knob Setting = 6
Knob Setting = 7
Knob Setting = 8
Knob Setting = 9
Knob Setting = 10

Rev 2.0
63-7048 1998 Honeywell Inc.
Page 11 of 22
Nobody has more knowledge about heating loads than Honeywell, the world leader in
temperature control. More furnaces are controlled by Honeywell thermostats than any
other, so nobody understands the science of temperature control better than we do.
In order for the prediction of outdoor temperature based on furnace cycling to work, we
needed to develop an algorithm to filter out changes in heating load that are not the result
of changes in outdoor temperature. We have developed a two-stage filter, which we've
shown to be very effective in preventing the humidity control from being thrown off by
heating load changes due to setpoint changes.
The first filter looks at the furnace cycle times that can be expected under normal, steady-
state conditions. We analyzed the limit of furnace cycle times for heating loads varying
from 5 to 95 percent, and cycle rates varying from 3 to 9 cycles per hour and determined
the minimum and maximum length of a heating cycle that can occur in steady state
conditions. Times measured that are shorter or longer than these limits are ignored,
known to be the result of some outside influence, not normal cycling.
The second filter is in place to compensate for the cycling pattern that exists as the
heating system works through a setpoint change. When a thermostat starts a recovery
period from a setback temperature, the first on cycle will typically exceed the “normal”
maximum, and thus will be ignored in our percent on calculation. The subsequent on
cycles will likely be within the “normal” limits, but longer than the steady-state cycling
pattern that will ultimately develop. In order to prevent the percent on calculation from
being severely affected, we limit the amount that the percent on value can change after
each cycle for the number of cycles that are typically required to reach steady-state
conditions.
Performance Curves
Extensive testing of this algorithm has been done over the past year including:
Software simulation, run entirely on a computer, using the house models
developed for the Perfect Climate Comfort Center, with the H1008 software
algorithm.
Closed loop testing with the H1008 hardware and software actually controlling
the inputs to the simulation models. This approach was also used in the
development of the Perfect Climate Comfort Center.
Field testing with devices and data logging equipment installed in sites in
Minnesota, West Virginia, and New Hampshire in the United States, and
Alberta, northern Manitoba, and Northwest Territories in Canada for portions
of the ‘97-’98 heating season.
Some very interesting observations were made during this test program. Shown below
are samples of how the H1008 Automatic Humidity Control performed under a wide
range of conditions.

Rev 2.0
63-7048 1998 Honeywell Inc.
Page 12 of 22
-20
-10
0
10
20
30
40
50
60
70
80
0 2 4 6 8 10 12 14 16 18 20 22 24 26 28 30 32
0
5
10
15
20
25
30
35
40
Furnace Cycles
Humidifier Cycles
Outdoor Temp.
Dewpoint
Window Temp.
Temp. Setpoint
Room Temp.
Time (hrs)
Temperature (oF)
Digitial Output
Figure 8 – Software Simulation of H1008 Automatic Humidity Control Algorithm
The simulation is performed by constructing a house model with a given volume, wall
and window heat loss factors, infiltration rates, and internally generated humidity. The
house is then subjected to varying weather conditions and temperature setpoint profiles.
The result is shown above; a pattern of furnace and humidifier cycling is established in
response to the input conditions.
As seen in Figure 8, the H1008 algorithm performs quite well. During the night setback
periods, when it is very cold outside, the humidifier cycles less frequently than it does
during the afternoon hours. During the entire period the dewpoint tracks just below the
window temperature, maintaining moisture free windows.

Rev 2.0
63-7048 1998 Honeywell Inc.
Page 13 of 22
-20
-10
0
10
20
30
40
50
60
70
80
0 2 4 6 8 10 12 14 16 18 20 22 24 26 28 30 32
0
5
10
15
20
25
30
35
40
Furnace Cycles
Humidifier Cycles
Outdoor Temp.
Dewpoint
Window Temp.
Temp. Setpoint
Indoor Temp.
Time (hrs)
Temperature (oF)
Digitial Output
Figure 9 – H1008 Automatic Humidity Control Hardware Closed Loop Run
Figure 9 is the identical case, with the actual H1008 hardware and software in control of
the simulated humidifier. The results are very similar, with relatively light cycling of the
humidifier during the colder periods, and heavier cycling of the humidifier during the
warmer periods of the day. Again, during the entire period the dewpoint tracked just
below the window temperature, maintaining moisture free windows.

Rev 2.0
63-7048 1998 Honeywell Inc.
Page 14 of 22
-20
-10
0
10
20
30
40
50
60
70
80
00:00:00
01:00:00
02:00:00
03:00:00
04:00:00
05:00:00
06:00:00
07:00:00.0
08:00:00
09:00:00
10:00:00
11:00:00
12:00:00
13:00:00
14:00:00.0
15:00:00
16:00:00
17:00:00.0
18:00:00
19:00:00
20:00:00
21:00:00
22:00:00
23:00:00
24:00:00
0
5
10
15
20
25
30
35
40
Fan Cycles (G) Furnace Cycles (W)
Humidifier Cycles
Outdoor Temp.
Dewpoint
Window Temp.
Temp. Setpoint
Room Temp.
Time
Temperature (oF)
Digitial Output
Figure 10 – Field Testing of H1008 Automatic Humidity Control
March 11, 1998 – Minneapolis, Minnesota
Figure 10 is actual data logged from a home with the H1008 installed during last winter.
Performance is again excellent, with dewpoint tracking just below the window
temperature. Cycling of the humidifier tracks closely with the outdoor temperature;
relatively light cycling during the colder portion of the day, and heavier cycling during the
warmer portion.
In addition to demonstrating the excellent performance of our humidity control algorithm,
controlling by dewpoint, the field test program also highlighted some serious
shortcomings in an approach utilizing control based only on relative humidity, like the
AutoTrac. These findings are summarized below.

Rev 2.0
63-7048 1998 Honeywell Inc.
Page 15 of 22
Making the Best of a Duct Mounted Humidity Control
One of the things we learned early on in this development was that a return air duct is not
the best place to mount a humidistat that controls only by relative humidity. There are
two major factors that can dramatically affect the accuracy of standard humidistats:
1. Ambient Temperature of the Equipment Room
If the temperature in the area where the HVAC equipment is installed differs
much from the living space temperature, errors in sensed RH can develop.
Remember earlier in this paper, in Figure 1, we talked about how relative
humidity is very dependent on ambient temperature. We have seen installations
where the ambient temperature at the humidity control is very different from the
living space.
One example of this is when the equipment is installed in a relatively confined
furnace room. During periods when the furnace is running a lot, the temperature
in that room can exceed 80 F, when the temperature in the living space is only
72 F. This 8 F difference in temperature causes the relative humidity sensed
by the humidistat to be 11 % lower (35% in the duct vs. 46% in the living space,
for a dewpoint of 50 F) than the relative humidity in the living space.
Another example is when the equipment is installed in an unfinished area of the
house. In this case the temperature in that location can be much cooler than the
temperature in the living space. If the temperature at the humidity control was
64 F, the relative humidity sensed by the humidistat would be 14 % higher
(60% in the duct vs. 46% in the living space, for a dewpoint of 50 F) than the
relative humidity in the living space.
Once the system fan starts, the temperature in the duct begins to move toward
the living space temperature, but it takes several minutes before the error is
eliminated. In these cases the errors in sensed humidity will cause the
humidifier operation to be affected, either supplying too much or not enough
humidity.
Figure 11 shows the first example in practice. This data was taken from one of
our field test sites, during a night setback period with no calls for heat, while
running in the CIRC mode, controlled by a Perfect Climate Comfort Center
(10 minutes of system fan running each half-hour).

Rev 2.0
63-7048 1998 Honeywell Inc.
Page 16 of 22
-20
-10
0
10
20
30
40
50
60
70
80
90
100
08:00:00
08:30:00.0
09:00:00
09:30:00
10:00:00
10:30:00
11:00:00
11:30:00
12:00:00
12:30:00.0
13:00:00
13:30:00
14:00:00.0
0
5
10
15
20
25
30
35
40
Dewpoint
Furnace Cycles (W)
Humidifier Cycles Fan Cycles (G)
Duct RH
Room Temp.
Duct Temp.
Time
Temperature (oF) / Relative Humidity (%)
Digitial Output
Figure 11 – Variation in Duct Temperature and Relative Humidity
(Warm Furnace Room)
March 11, 1998 – Minneapolis, Minnesota
Note the large variations in temperature and relative humidity in the duct, while
the dewpoint remains constant. Each fan cycle causes the temperature in the
duct to change about 8 F, which drives a 12 % change in relative humidity.
However, the dewpoint, which is the actual amount of moisture in the air,
doesn’t change. Which do you think would be better to use as a control input?
The phenomena discussed above does not present the same problems for the
H1008 Automatic Humidity Control. Because the H1008 has an on-board
temperature sensor, it actually measures both temperature and relative humidity
and calculates the dewpoint, and uses that value in all of its humidity control
algorithms, effectively eliminating the effects of variations in duct temperature
and relative humidity.

Rev 2.0
63-7048 1998 Honeywell Inc.
Page 17 of 22
2. Humidity Control Located Too Close to Bypass Duct
A second problem that can occur in many installations is a result of the humidity
control being located too close to the bypass duct. We always recommend
mounting the humidity control as far upstream from the bypass duct as possible
(> 24” is desired). However, in many installations the desired separation is not
possible, and compromises have to be made. The result is that, in many cases,
the hot air coming from the bypass duct heats up the return air duct and spills
upstream toward the humidistat. This affects the relative humidity sensed by the
control in a manner similar to the first problem discussed above. In fact, this
problem can be even more severe. The effect of this heating of the humidistat is
to lower the sensed relative humidity.
-20
-10
0
10
20
30
40
50
60
70
80
90
100
03:00:00
03:30:00.0
04:00:00
04:30:00
05:00:00
05:30:00
06:00:00
06:30:00
07:00:00.0
07:30:00
08:00:00
0
5
10
15
20
25
30
35
40
Window Temp.
Outdoor Temp.
Dewpoint
Furnace Cycles (W)
Humidifier Cycles
Fan Cycles (G)
Duct RH
Room Temp.
Duct Temp.
Time
Temperature (oF) / Relative Humidity (%)
Digitial Output
Figure 12 – Variation in Duct Temperature and Relative Humidity
(Bypass Air Affecting Sensor)
March 11, 1998 – Minneapolis, Minnesota
Figure 12 shows this in practice. This data was also taken from one of our field
test sites, during a long recovery period from night setback. Again, note the
large variations in temperature and relative humidity in the duct, while the

Rev 2.0
63-7048 1998 Honeywell Inc.
Page 18 of 22
dewpoint increases slightly in response to the humidifier cycles. During this
period the relative humidity sensed in the duct is as low as 13 %. Because the
H1008 controls based on dewpoint, it is able to cycle intermittently during the
temperature recovery period when the relative humidity is artificially low. This
ensures that the dewpoint is maintained dewpoint below the window
temperature.
Figure 13 shows additional field test data taken the following night at the same
site. In this case the humidifier was wired to operate each fan and heat cycle,
simulating a humidifier operating when the sensed relative humidity is below
the humidity setpoint. In many cases this will occur each time the furnace is
running. The effect of the heating of a standard humidistat, like AutoTrac, is
to lower the sensed relative humidity, essentially creating a humidifier lock-on
condition.
-20
-10
0
10
20
30
40
50
60
70
80
90
100
03:00:00
03:30:00.0
04:00:00
04:30:00
05:00:00
05:30:00
06:00:00
06:30:00
07:00:00.0
07:30:00
08:00:00
0
5
10
15
20
25
30
35
40
Outdoor Temp.
Window Temp.
Dewpoint
Furnace Cycles (W)
Humidifier Cycles Fan Cycles (G)
Duct RH
Room Temp.
Duct Temp.
Time
Temperature (oF) / Relative Humidity (%)
Digitial Output
Figure 13 – Variation in Duct Temperature and Relative Humidity
Simulated AutoTrac Performance (Setting ~ 4)
March 12, 1998 – Minneapolis, Minnesota

Rev 2.0
63-7048 1998 Honeywell Inc.
Page 19 of 22
While the humidifier was on during the entire recovery period starting at 4:15
a.m., the sensed RH ranged from 20 to 30 %. The continuous operation of the
humidifier caused the dewpoint in the house to exceed the window temperature
for over two hours. Contrast this performance with the performance of the
Honeywell H1008, shown in Figure 12, where the dewpoint in the house never
exceeded the window temperature. The difference is clear - the better
performance of the H1008 is the difference between waking up to dry windows
or waking up to wet windows.
The problems discussed here affect all humidistats that control by sensing only relative
humidity, including Research Products’ AutoTrac control. The only way around it is to
install the humidity control that senses and controls by dewpoint, like the Honeywell
H1008 Automatic Humidity Control.
Installing the Honeywell H1008 Automatic Humidity Control
One of the key drivers in the design of the Honeywell H1008 Automatic Humidity
Control was to make it simple for the installing contractor. This has been accomplished
through the use of advanced technology, the use of common sense, and just plain
listening to what the customer wants. These are some of the key features that contractors
will love:
1. Outdoor Sensor Not Required for Most Installations
As we’ve discussed above, for single stage furnaces no outdoor sensor is
required. This, without a doubt, will provide the contractor with a huge
advantage over their competition who are still installing AutoTrac. How
much of an advantage? These are the facts:
In new construction, electricians are charging $40 to $70 to wire an
AutoTrac installation.
In retrofit applications the contractor is faced with a large variation in the
time required to install the outdoor sensor. In cases, if a new condensing
unit is being installed, running the outdoor sensor wires with the control
wires to the condenser adds very little time. In other cases it may take
hours; or in some cases a compromise on the location is made, affecting
the performance; or worse yet, it may be impossible to get the wire
outside. The average time required has been reported to be between 30
and 60 minutes to properly wire an outdoor sensor. In addition,
significant problems with the AutoTrac control have been reported,
believed to be the result of poor noise immunity in the design of the
control when sensor wires pick up interference.
2. Simple Mounting
Rather than the awkward rectangular cutout that is required to mount the
AutoTrac control, we’ve designed the H1008 to mount much easier. We’ve
encased the sensors in a circular protective shield (see Figure 14), requiring only

Rev 2.0
63-7048 1998 Honeywell Inc.
Page 20 of 22
a ¾” diameter hole to be cut in the duct. Drilling this hole with a uni-bit is a
snap. Simply drill the hole, place the control on the duct, and secure it with self-
tapping screws.
Figure 14 – H1008 Sensors
This method of mounting greatly improves the sealing of the return air duct.
Building inspectors sometimes require leaks around the rectangular cutouts to
be sealed by caulking.
3. Simple Wiring
Large screw terminals are used, with guides to hold the wires while tightening
the screws – no micro-miniature terminal blocks here. Terminals are well
labeled and intuitive (see Figure 15).
Figure 15 – H1008 Wiring Terminals

Rev 2.0
63-7048 1998 Honeywell Inc.
Page 21 of 22
Logic to determine if the fan is running is determined from the equipment inputs
so a current sensing relay is never required, providing additional savings to the
contractor on jobs that would normally require one.
4. Automatic Configuration and Diagnostics
Unlike AutoTrac, the H1008 does not require a jumper selection if the control
is installed with either a bypass or powered flow through humidifier. The
H1008 also automatically detects whether or not the outdoor sensor is installed.
One final feature to help the installing contractor – a device status light (see
Figure 16). The flashing frequency of the light tells the contractor if the device
has power, if the humidification relay is energized, if the device is in “Test”
mode, or if the device has detected a sensor failure or some other hardware fault.
All of these features have been added for the same reason – to save the
contractor time.
Figure 16 – Device Status Light
The Honeywell H1008 Automatic Humidity Control: Sell It, or Choose to Sell
Against It
Well, there you have it. A complete description of the Honeywell H1008 Automatic
Humidity Control with HumidiCalc+ Software, the world’s most advanced stand-alone
humidity control. Summarized below is a direct comparison of the H1008 to the
AutoTrac, highlighting its many advantages, both in installation and performance. It is
essential that these advantages be communicated to the contractor, so they can make an
informed decision, because they do have a choice. They can choose to install Honeywell
humidifiers and the Honeywell H1008 Automatic Humidity Control with HumidiCalc+
Software. Or they can stick with AutoTrac and sell against the contractors who have
switched.

Rev 2.0
63-7048 1998 Honeywell Inc.
Page 22 of 22
Direct Comparison Chart – Honeywell H1008 Automatic Humidity Control with HumidiCalc+ Software vs. AutoTrac
Honeywell H1008 AutoTrac
Installation
Outdoor Sensor Not required for single stage furnaces. Recommended for
heat pumps and multi-stage furnaces. Required for all installations at an incremental cost of $20
to $50 for new construction and 30 to 60 minutes
installation time for retrofit. Significant noise problems
reported due to sensor wiring.
Mounting ¾” diameter hole for inserting sensors into return air duct. 3” x 5” rectangular cutout in return air duct required for
mounting. Building inspectors sometimes require leaks
around the rectangular cutouts to be sealed by caulking or
foam.
Wiring Large screw terminals provided for wiring. Determining
fan operation automatically detected by control logic. 24
VAC input provided directly from HE360 Powered
Humidifier – no separate transformer required.
Miniature terminal blocks used for wiring. Model 50
current sensing relay required in applications without
humidifier contacts on furnace control board. Separate
transformer required for all installations to power control.
System Configuration and
Diagnostics No jumper selection required if the control is installed with
either a bypass or powered flow through humidifier.
Automatically detects whether or not the outdoor sensor is
installed. Device status light provides key diagnostics.
Jumper selection required to switch between flow through
and powered humidifier to avoid damage to equipment. No
diagnostics provided.
Performance
Sensors Absolute humidity control based on dewpoint performed
with duct-mounted humidity and temperature sensors. Humidity sensor only.
Indoor Temperature
Compensation Dewpoint control allows for accurate control during
aggressive setback periods. Sensing of relative humidity only. Lower window
temperatures caused by lower indoor temperatures not
accounted for which could cause overhumidification.
Return Air Duct Temperature
Variations Dewpoint control allows for accurate control even if return
air temperature differs from living space. Sensing of relative humidity only will cause large errors in
control if return air temperature differs from living space.
Bypass Air Affecting Control Dewpoint control allows for accurate control even if bypass
air affects sensor readings. Sensing of relative humidity only will cause large errors in
control if bypass air affects sensor readings.

2
XXXXXXXXXX
XX-XXXX
Honeywell Europe S.A.
3 Avenue du Bourget
1140 Brussels
Belgium
Honeywell Asia Pacific Inc.
Room 3213-3225
Sun Hung Kai Centre
No. 30 Harbour Road
Wanchai
Hong Kong
Home and Building Control
Honeywell Limited-Honeywell Limitée
155 Gordon Baker Road
North York, Ontario
M2H 3N7
Honeywell Latin American Region
480 Sawgrass Corporate Parkway
Suite 200
Sunrise FL 33325
63-7048 8-98
Home and Building Control
Honeywell Inc.
Honeywell Plaza
P.O. Box 524
Minneapolis MN 55408-0524
Printed in U.S.A. on recycled
paper containing at least 10%
post-consumer paper fibers.
www.honeywell.com