Hp Ux Kerberos Data Security Software Product Guide 5991 7718
2015-03-28
: Hp Hp-Hp-Ux-Kerberos-Data-Security-Software-Product-Guide-669713 hp-hp-ux-kerberos-data-security-software-product-guide-669713 hp pdf
Open the PDF directly: View PDF
.
Page Count: 140 [warning: Documents this large are best viewed by clicking the View PDF Link!]
- 1 Overview
- 2 Introduction to the Kerberos Products and GSS-API
- PAM Kerberos
- The PAM Framework
- The Authentication Module
- The Password Module
- Credential Cache
- The Account Management Module
- The Session Management Module
- Example
- The pam_user.conf File on HP-UX 11.0 and 11i v1
- The pam_user.conf File on HP-UX 11i v2 and HP-UX 11i v3
- The pam.conf File on HP-UX 11.0 and HP-UX 11i v1
- The pam.conf File on HP-UX 11i v2 and HP-UX 11i v3
- The pam_krb5 File on HP-UX 11.0 and HP-UX 11i v1
- The pam_krb5 File on HP-UX 11i v2 and HP-UX 11i v3
- The pamkrbval Tool
- Secure Internet Services
- KRB5 Client Software
- HP Kerberos Server
- Generic Security Service Application Programming Interface (GSS-API)
- PAM Kerberos
- 3 Configuring the Kerberos Environment
- 4 Troubleshooting Kerberos Related Products

Configuration Guide for Kerberos Client
Products on HP-UX
HP-UX 11.0, HP-UX 11i v1, HP-UX 11i v2, and HP-UX
11i v3
Manufacturing Part Number: 5991-7718
February 2007
© Copyright 2007 Hewlett-Packard Development Company, L.P.

2
Legal Notices
Copyright 2007 Hewlett-Packard Company, L.P.
Confidential Computer Software. Valid license from HP required for
possession, use or copying. Consistent with FAR 12.11 and 12.212,
Commercial Computer Software, Computer Software Documentation,
and Technical Data for Commercial Items are licensed to the U.S.
Government under vendor’s standard commercial license.
The information contained herein is subject to change without notice.
The only warranties for HP products and services are set forth in the
express warranty statements accompanying such products and services.
Nothing herein shall be construed as constituting an additional
warranty. HP shall not be liable for technical or editorial errors or
omissions contained herein.
UNIX is a registered trademark of The Open Group.
OSF/Motif is a trademark of the Open Software Foundation, Inc. in the
U.S. and other countries.
MS-DOS and Microsoft are U.S. registered trademarks of Microsoft
Corporation.
Copyright 1979, 1980, 1983, 1985-93 Regents of the University of
California
This software is based in part on the Fourth Berkeley Software
Distribution under license from the Regents of the University of
California.
Copyright 1980, 1984, 1986 Novell, Inc.
Copyright 1986-1992 Sun Microsystems, Inc.
Copyright 1985-86, 1988 Massachusetts Institute of Technology.
Copyright 1989-93 The Open Software Foundation, Inc.
Copyright 1986 Digital Equipment Corporation.
Copyright 1990 Motorola, Inc.
Copyright 1990, 1991, 1992 Cornell University

3
Copyright 1989-1991 The University of Maryland
Copyright 1988 Carnegie Mellon University
Copyright 1996 Massachusetts Institute of Technology
Copyright 1996 OpenVision Technologies, Inc.
Copyright 1996 Derrick J. Brashear
Copyright 1998 Curtis King

4

Contents
5
1. Overview
Kerberos Overview. . . . . . . . . . . . . . . . . . . . . . . . . . . . . . . . . . . . . . . . . . . . . . . . . . . . . . 23
Authentication Process . . . . . . . . . . . . . . . . . . . . . . . . . . . . . . . . . . . . . . . . . . . . . . . . . . 24
Kerberos Products and GSS-API on HP-UX. . . . . . . . . . . . . . . . . . . . . . . . . . . . . . . . . . 28
2. Introduction to the Kerberos Products and GSS-API
PAM Kerberos . . . . . . . . . . . . . . . . . . . . . . . . . . . . . . . . . . . . . . . . . . . . . . . . . . . . . . . . . 33
The PAM Framework . . . . . . . . . . . . . . . . . . . . . . . . . . . . . . . . . . . . . . . . . . . . . . . . . . 34
The Authentication Module . . . . . . . . . . . . . . . . . . . . . . . . . . . . . . . . . . . . . . . . . . . . . 36
The Password Module. . . . . . . . . . . . . . . . . . . . . . . . . . . . . . . . . . . . . . . . . . . . . . . . . . 40
Credential Cache. . . . . . . . . . . . . . . . . . . . . . . . . . . . . . . . . . . . . . . . . . . . . . . . . . . . . . 41
The Account Management Module . . . . . . . . . . . . . . . . . . . . . . . . . . . . . . . . . . . . . . . 46
The Session Management Module. . . . . . . . . . . . . . . . . . . . . . . . . . . . . . . . . . . . . . . . 46
Example. . . . . . . . . . . . . . . . . . . . . . . . . . . . . . . . . . . . . . . . . . . . . . . . . . . . . . . . . . . 47
The pam_user.conf File on HP-UX 11.0 and 11i v1. . . . . . . . . . . . . . . . . . . . . . . . . 47
The pam_user.conf File on HP-UX 11i v2 and HP-UX 11i v3. . . . . . . . . . . . . . . . . 47
The pam.conf File on HP-UX 11.0 and HP-UX 11i v1 . . . . . . . . . . . . . . . . . . . . . . 47
The pam.conf File on HP-UX 11i v2 and HP-UX 11i v3 . . . . . . . . . . . . . . . . . . . . . 48
The pam_krb5 File on HP-UX 11.0 and HP-UX 11i v1. . . . . . . . . . . . . . . . . . . . . . 48
The pam_krb5 File on HP-UX 11i v2 and HP-UX 11i v3 . . . . . . . . . . . . . . . . . . . . 48
The pamkrbval Tool . . . . . . . . . . . . . . . . . . . . . . . . . . . . . . . . . . . . . . . . . . . . . . . . . . . 48
Secure Internet Services . . . . . . . . . . . . . . . . . . . . . . . . . . . . . . . . . . . . . . . . . . . . . . . . . 52
KRB5 Client Software . . . . . . . . . . . . . . . . . . . . . . . . . . . . . . . . . . . . . . . . . . . . . . . . . . . 54
Libraries and Header Files . . . . . . . . . . . . . . . . . . . . . . . . . . . . . . . . . . . . . . . . . . . . . 54
Kerberos Utilities . . . . . . . . . . . . . . . . . . . . . . . . . . . . . . . . . . . . . . . . . . . . . . . . . . . . . 56
The kinit Utility . . . . . . . . . . . . . . . . . . . . . . . . . . . . . . . . . . . . . . . . . . . . . . . . . . . . 56
The klist Utility . . . . . . . . . . . . . . . . . . . . . . . . . . . . . . . . . . . . . . . . . . . . . . . . . . . . 59
The kdestroy Utility . . . . . . . . . . . . . . . . . . . . . . . . . . . . . . . . . . . . . . . . . . . . . . . . . 60
The kpasswd Utility . . . . . . . . . . . . . . . . . . . . . . . . . . . . . . . . . . . . . . . . . . . . . . . . . 61
The ktutil Utility. . . . . . . . . . . . . . . . . . . . . . . . . . . . . . . . . . . . . . . . . . . . . . . . . . . . 61
The kvno Utility . . . . . . . . . . . . . . . . . . . . . . . . . . . . . . . . . . . . . . . . . . . . . . . . . . . . 62
HP Kerberos Server . . . . . . . . . . . . . . . . . . . . . . . . . . . . . . . . . . . . . . . . . . . . . . . . . . . . 64
Kerberos Server Version 3.12 Features. . . . . . . . . . . . . . . . . . . . . . . . . . . . . . . . . . . . 64
Graphical User Interface (GUI) Based Administration tool. . . . . . . . . . . . . . . . . . 65
Multithreaded Server . . . . . . . . . . . . . . . . . . . . . . . . . . . . . . . . . . . . . . . . . . . . . . . . 65
High Availability . . . . . . . . . . . . . . . . . . . . . . . . . . . . . . . . . . . . . . . . . . . . . . . . . . . . 65
Dynamic Propagation . . . . . . . . . . . . . . . . . . . . . . . . . . . . . . . . . . . . . . . . . . . . . . . . 66
Scalability . . . . . . . . . . . . . . . . . . . . . . . . . . . . . . . . . . . . . . . . . . . . . . . . . . . . . . . . . 66

Contents
6
Windows 2000(R) Interoperability . . . . . . . . . . . . . . . . . . . . . . . . . . . . . . . . . . . . . . 66
Choice of C-Tree or LDAP Database . . . . . . . . . . . . . . . . . . . . . . . . . . . . . . . . . . . . 67
Auto-Configuration Tool . . . . . . . . . . . . . . . . . . . . . . . . . . . . . . . . . . . . . . . . . . . . . . 67
Generic Security Service Application Programming Interface (GSS-API) . . . . . . . . . . 68
Credential Management Services . . . . . . . . . . . . . . . . . . . . . . . . . . . . . . . . . . . . . . . . 71
Context Level Services . . . . . . . . . . . . . . . . . . . . . . . . . . . . . . . . . . . . . . . . . . . . . . . . . 71
Authentication Services . . . . . . . . . . . . . . . . . . . . . . . . . . . . . . . . . . . . . . . . . . . . . . . . 72
Confidentiality Service. . . . . . . . . . . . . . . . . . . . . . . . . . . . . . . . . . . . . . . . . . . . . . . . . 72
Support Services. . . . . . . . . . . . . . . . . . . . . . . . . . . . . . . . . . . . . . . . . . . . . . . . . . . . . . 72
3. Configuring the Kerberos Environment
Configuration Files for Kerberos Clients . . . . . . . . . . . . . . . . . . . . . . . . . . . . . . . . . . . . 77
The services File . . . . . . . . . . . . . . . . . . . . . . . . . . . . . . . . . . . . . . . . . . . . . . . . . . . . . . 80
Configuration Files for GSS-API. . . . . . . . . . . . . . . . . . . . . . . . . . . . . . . . . . . . . . . . . . . 82
The mech File . . . . . . . . . . . . . . . . . . . . . . . . . . . . . . . . . . . . . . . . . . . . . . . . . . . . . . . . 82
The /etc/gss/qop File . . . . . . . . . . . . . . . . . . . . . . . . . . . . . . . . . . . . . . . . . . . . . . . . . . . 83
The gsscred.conf File . . . . . . . . . . . . . . . . . . . . . . . . . . . . . . . . . . . . . . . . . . . . . . . . . . 84
Configuring the Kerberos Server . . . . . . . . . . . . . . . . . . . . . . . . . . . . . . . . . . . . . . . . . . 85
Configuring Your Microsoft Windows 2000 KDC . . . . . . . . . . . . . . . . . . . . . . . . . . . . 85
Configuring the Kerberos Client. . . . . . . . . . . . . . . . . . . . . . . . . . . . . . . . . . . . . . . . . . . 87
Configuring for PAM Kerberos . . . . . . . . . . . . . . . . . . . . . . . . . . . . . . . . . . . . . . . . . . . . 88
4. Troubleshooting Kerberos Related Products
Troubleshooting PAM Kerberos . . . . . . . . . . . . . . . . . . . . . . . . . . . . . . . . . . . . . . . . . . . 91
Troubleshooting the Kerberos Client Utilities. . . . . . . . . . . . . . . . . . . . . . . . . . . . . . . . 94
Troubleshooting GSS-API . . . . . . . . . . . . . . . . . . . . . . . . . . . . . . . . . . . . . . . . . . . . . . . . 96
Error Codes. . . . . . . . . . . . . . . . . . . . . . . . . . . . . . . . . . . . . . . . . . . . . . . . . . . . . . . . . . 96
Major and Minor Status Values. . . . . . . . . . . . . . . . . . . . . . . . . . . . . . . . . . . . . . . . . . 96
Common GSS-API Errors. . . . . . . . . . . . . . . . . . . . . . . . . . . . . . . . . . . . . . . . . . . . . 96
Calling Error Values. . . . . . . . . . . . . . . . . . . . . . . . . . . . . . . . . . . . . . . . . . . . . . . 97
Other Common Causes of Errors . . . . . . . . . . . . . . . . . . . . . . . . . . . . . . . . . . . . . . . 99
Troubleshooting Using the pamkrbval Tool . . . . . . . . . . . . . . . . . . . . . . . . . . . . . . . . . 100
A. Sample pam.conf File
B. Sample krb5.conf File

Contents
7
C. Sample krb.conf File
D. Sample krb.realms File
E. Kerberos Error Messages
Kerberos V5 Library Error Codes. . . . . . . . . . . . . . . . . . . . . . . . . . . . . . . . . . . . . . . . . 119
Kerberos V5 Magic Numbers Error Codes . . . . . . . . . . . . . . . . . . . . . . . . . . . . . . . . . . 129
ANSI.1 Error Codes. . . . . . . . . . . . . . . . . . . . . . . . . . . . . . . . . . . . . . . . . . . . . . . . . . . . 132
GSSAPI Error Codes . . . . . . . . . . . . . . . . . . . . . . . . . . . . . . . . . . . . . . . . . . . . . . . . . . . 133
F. Kerberos Client Environment Variables
Kerberos Client Environment Variables. . . . . . . . . . . . . . . . . . . . . . . . . . . . . . . . . . . . 138

Contents
8

Figures
9
Figure 1-1. Authentication Process. . . . . . . . . . . . . . . . . . . . . . . . . . . . . . . . . . . . . . . .25
Figure 2-1. HP-UX authentication modules under PAM. . . . . . . . . . . . . . . . . . . . . . .34
Figure 2-2. PAM Kerberos calls libkrb5.sl through PAM . . . . . . . . . . . . . . . . . . . . . .35
Figure 2-3. SIS uses Kerberos Client Library Directly . . . . . . . . . . . . . . . . . . . . . . . .52
Figure 2-4. GSS-API Library. . . . . . . . . . . . . . . . . . . . . . . . . . . . . . . . . . . . . . . . . . . . .68
Figure 2-5. GSS-API Operation. . . . . . . . . . . . . . . . . . . . . . . . . . . . . . . . . . . . . . . . . . .69

Figures
10

Tables
11
Table 1. Publishing History Details . . . . . . . . . . . . . . . . . . . . . . . . . . . . . . . . . . . . . . .14
Table 2-1. PAM Kerberos Library libpam_krb5 . . . . . . . . . . . . . . . . . . . . . . . . . . . . . .35
Table 2-2. On HP-UX 11.0 and HP-UX 11i v1 . . . . . . . . . . . . . . . . . . . . . . . . . . . . . . .37
Table 2-3. On HP-UX 11i v2 and HP-UX 11i v3. . . . . . . . . . . . . . . . . . . . . . . . . . . . . .37
Table 2-4. On HP-UX 11.0 and 11iv1 . . . . . . . . . . . . . . . . . . . . . . . . . . . . . . . . . . . . . .38
Table 2-5. On HP-UX 11i v2 and HP-UX 11i v3. . . . . . . . . . . . . . . . . . . . . . . . . . . . . .38
Table 2-6. Kerberos Client Libraries on HP-UX 11i v3 . . . . . . . . . . . . . . . . . . . . . . . .55
Table 2-7. Versions of Kerberos Server on HP-UX Operating Systems . . . . . . . . . . .64
Table 2-8. GSS-API Libraries . . . . . . . . . . . . . . . . . . . . . . . . . . . . . . . . . . . . . . . . . . . .70
Table 2-9. Additional files in the GSS-API product . . . . . . . . . . . . . . . . . . . . . . . . . . .70
Table 3-1. Kerberos Configuration Files . . . . . . . . . . . . . . . . . . . . . . . . . . . . . . . . . . .77
Table 3-2. Entries in the mech file . . . . . . . . . . . . . . . . . . . . . . . . . . . . . . . . . . . . . . . .82
Table 3-3. Format of the /etc/gss/qop file. . . . . . . . . . . . . . . . . . . . . . . . . . . . . . . . . . . .84
Table 4-1. Error Codes and Corrective Actions . . . . . . . . . . . . . . . . . . . . . . . . . . . . . .91
Table 4-2. Kerberos Client Error Codes . . . . . . . . . . . . . . . . . . . . . . . . . . . . . . . . . . . .94
Table 4-3. Common GSS-API Errors. . . . . . . . . . . . . . . . . . . . . . . . . . . . . . . . . . . . . . .96
Table 4-4. Calling Errors . . . . . . . . . . . . . . . . . . . . . . . . . . . . . . . . . . . . . . . . . . . . . . . .98
Table 4-5. Supplementary Bits . . . . . . . . . . . . . . . . . . . . . . . . . . . . . . . . . . . . . . . . . . .98
Table 4-6. Error Messages that Appear During keytab Validation. . . . . . . . . . . . . .100

Tables
12

13
About This Document
This document describes how to configure a Kerberos environment on
HP-UX servers and workstations running on HP-UX 11.0, HP-UX 11i v1,
HP-UX 11i v2, and HP-UX servers running on HP-UX 11i v3.
This document is intended for system managers or administrators who
configure Kerberos related products on HP-UX. However, this document
is not a replacement for the documents provided for HP’s Kerberos
Server version 3.12.

14
Publishing History
Table 1 describes the publishing details of this document for various
HP-UX releases.
The latest version of this document is available at:
http://www.docs.hp.com.
The document printing date and part number indicate the document’s
correct edition. The printing date will change when a new edition is
printed. Minor changes may be made at reprint without changing the
printing date. The document part number will change when extensive
changes are made.
Document updates can be issued between editions to correct errors or
document product changes. To ensure that you receive the updated or
new edition, subscribe to the appropriate support service.
Contact your HP sales representative for details.
Table 1 Publishing History Details
Document
Manufacturing Part
Number
Operating
Systems
Supported Publication Date
J5849-90003 HP-UX 11.X December 2000
J5849-90007 HP-UX 11.X September 2001
T1417-90005 HP-UX 11.X June 2002
T1417-90006 HP-UX 11.X July 2003
5991-7718 HP-UX 11.X February 2007

15
Document Organization
The Configuration Guide for Kerberos Related Products on HP-UX is
organized as follows:
Chapter 1 Chapter 1, Overview, – Provides an insight to the
Kerberos protocol.
Chapter 2 Chapter 2, Introduction to the Kerberos Products and
GSS-API, – Provides information about the different
Kerberos products available on HP-UX.
Chapter 3 Chapter 3, Configuring the Kerberos Environment, –
Provides instructions for configuring a Kerberos
environment.
Chapter 4 Chapter 4, Troubleshooting Kerberos Related Products,
– Provides information to help you identify and
troubleshoot some common problems that might occur.
Appendix A Appendix A, Sample pam.conf File, – Provides a sample
pam.conf file.
Appendix B Appendix B, Sample krb5.conf File, – Provides a
sample krb5.conf file.
Appendix C Appendix C, Sample krb.conf File, – Provides a sample
krb.conf file.
Appendix D Appendix D, Sample krb.realms File, – Provides a
sample krb.realms file.
Appendix E Appendix E, Kerberos Error Messages, – Provides some
common Kerberos error messages with their respective
error codes.
Appendix F Appendix F, Kerberos Client Environment Variables,--
Provides a list of common Kerberos Client environment
variables.
Typographic Conventions
This document uses the following typographic conventions:
audit (5) An HP-UX manpage. In this example, audit is the
name and 5 is the section in the HP-UX Reference. On
the Web and on the Instant Information CD, it may be

16
a link to the manpage itself. From the HP-UX
command line, you can enter “man audit” or “man 5
audit” to view the manpage. See man (1).
Book Title The title of a book. On the Web and on the Instant
Information CD, it may be a link to the book itself.
KeyCap The name of a keyboard key. Note that Return and Enter
both refer to the same key.
Emphasis Text that is emphasized.
Bold The defined use of an important word or phrase.
ComputerOut Text displayed by the computer.
UserInput Commands and other text that you type.
Command A command name or qualified command phrase.
Variable The name of a variable that you may replace in a
command or function or information in a display that
represents several possible values.
| Separates items in a list of choices.
[] The contents are optional in formats and command
descriptions. If the contents are a list separated by |,
you can choose one of the items.
{} The contents are required in formats and command
descriptions. If the contents are a list separated by |,
you can choose one of the items.
... The preceding element may be repeated an arbitrary
number of times.

17
Related Documentation
Given below is a list of related documentation:
•Kerberos Server Version 3.12 Release Notes (5991-7686)
•PAM Kerberos v1.24 Release Notes (5991-7687)
•Installing and Administering Internet Services (B2355-90759)
•Using Internet Services (B2355-90148)

18
Accessing the World Wide Web
Given below is list of related documents that is available on the HP web
sites:
•HP Technical Documentation and White Papers
—http://docs.hp.com
—http://www.unixsolutions.hp.com/products/hpux/
hpux11/whitepapers/netsecur.pdf
—http://www.hp.com/products1/unix/operating/security/ker
beros_wp.pdf
•HP-UX IT Resource Center:
—http://us-support.external.hp.com (US and Asia Pacific)
—http://europe-support.external.hp.com (Europe)
•The Internet Engineering Task Force RFC Pages
—http://www.ietf.org/rfc.html

19
Related Request for Comments (RFCs)
Given below is list of related Request for Comments:
•RFC 1510 - The Kerberos Network Authentication Service (V5)
•RFC 1964 - The Kerberos Version 5 GSS-API Mechanism
•RFC 2743 - Generic Security Service Application Program Interface
•RFC 2744 - Generic Security Service API
•Open Group RFC 86.0 - PAM Authentication Module

20

Chapter 1 21
1 Overview
This chapter provides an overview of Kerberos and the available
Kerberos products on HP-UX.

Overview
Kerberos Overview
Chapter 1 23
Kerberos Overview
Kerberos is a mature network authentication protocol based on the RFC
1510 specification of the IETF. It is designed to provide strong
authentication for client or server applications by using the shared
secret-key cryptography.
The basic currency of Kerberos is the ticket, which the user presents in
order to use a specific service. Each service, be it a login service or an
FTP service, requires a different kind of ticket. Fortunately, the
Kerberized applications keep track of all the various kinds of tickets, so
you don’t have to.
You must authenticate yourself to the server by providing your user
name and password. In return, the Kerberos server gives you an initial
ticket, which you use to request for additional tickets from the Kerberos
server for all the other services. For this reason, the initial ticket is also
often called the Ticket Granting Ticket (TGT).
Use the Kerberos protocol to secure the communication between the
client and server. Thus, client programs make authentication requests to
an authentication server, and server programs in turn service those
client requests. Based on your user credentials, the server program
grants or denies your request to access network applications and
services. The Kerberos server allows entities to authenticate themselves,
without having to transmit their passwords in clear text form over the
network.

Overview
Authentication Process
Chapter 124
Authentication Process
The Kerberos server grants tickets to your user principal to access
secured network services. You must authenticate yourself to the server
by providing your user name and password. When the server
authenticates you, it returns a set of initial credentials for you, including
a TGT and a session key.
The Kerberos server grants a service ticket for a specific service principal
that can be associated with one or more Kerberos-secured services. A
client application uses your service ticket to authenticate you to a
Kerberos-secured network service. The secured client application
automatically handles the transactions with the Kerberos Server and the
secured application server. Service tickets and associated session keys
are generally cached in your user credentials cache along with the TGT
of the user.

Overview
Authentication Process
Chapter 1 25
Figure 1-1 illustrates the actions of the components and the Kerberos
protocol in a secured environment.
Figure 1-1 Authentication Process
The following is a description of how a client and server authenticate
each other using Kerberos:
Step 1. Send a request to the AS for a TGT. You can choose to request specific
ticket flags and specify the key type to be used to construct the secret
key. You can also accept the default values configured for the client.
Send the following information to the Authentication Service (AS) to
obtain credentials:
•Client-indicates the user name, also referred to as the principal
name
•Server-indicates the TGS

Overview
Authentication Process
Chapter 126
•Time stamp
•Nonce
Step 2. If the AS decrypts the message successfully, it authenticates the
requesting user and issues a TGT. The TGT contains the user name, a
session key for your use, and name of the server to be used for any
subsequent communication. The reply message is encrypted using your
secret key.
NOTE The AS decrypts the request only when the pre-authentication option is
set in the AS request. If the pre-authentication option is not set, the AS
issues the TGT if the principal is available in the Kerberos database.
Step 3. The client decrypts the message using your secret key. The TGT and the
session key from the message are stored in the client’s credential cache.
These credentials are used to obtain tickets for each network service the
principal wants to access.
The Kerberos protocol exchange has the following important features:
•The authentication scheme does not require that the password be
sent across the network, either in encrypted form or in clear text.
•The client (or any other user) cannot view or modify the contents of
the TGT.
Step 4. To obtain access to a secured network service such as rlogin, rsh, rcp,
ftp, or telnet, the requesting client application uses the previously
obtained TGT in a dialogue with the TGS to obtain a service ticket. The
protocol is the same as used while obtaining the TGT, except that the
messages contain the name of the server and a copy of the previously
obtained TGT.
Step 5. The TGS returns a new service ticket that the application client can use
to authenticate to the service. The service ticket is encrypted with the
service key shared between the KDC and the application server.
Step 6. The application server authenticates the client using the service key
present in the keytab file. It decrypts the service ticket using the service
key and extracts the session key. Using the session key, the server
decrypts the authenticator and verifies the identity of the user. It also

Overview
Authentication Process
Chapter 1 27
verifies that the user’s service ticket has not expired. If the user does not
have a valid service ticket, then the server will return an appropriate
error code to the client.
Step 7. (Optional) At the client’s request, the application server can also return
the timestamp sent by the client, encrypted in the session key. This
ensures a mutual authentication between the client and the server.

Overview
Kerberos Products and GSS-API on HP-UX
Chapter 128
Kerberos Products and GSS-API on HP-UX
HP-UX supports Kerberos products with a set of three software packages
and Generic Security Service Application Programming Interface
(GSS-API) for HP-UX 11.0 onwards. These products are:
•PAM Kerberos (PAM-Kerberos)
•Kerberos Client Software
•Kerberos Server
•GSS-API
Application programmers can create “Kerberized” applications using
either the GSS-APIs or the Kerberos APIs. However, HP recommends
that GSS-APIs be used for application development. HP provides the
following Kerberized applications through Secure Internet Services
(SIS): ftp, rcp, remsh, rlogin, and telnet.
NOTE SIS is available on HP-UX 11.0 and HP-UX 11i v1 only. From HP-UX 11i
v2 onwards, all these applications directly link to libkrb5.
The HP-UX Kerberos-related products and GSS-API are:
•PAM Kerberos (PAM-Kerberos): is the Kerberos implementation
of the PAM Framework based on the RFC 86.0 of Open Group. PAM
allows multiple authentication technologies to co-exist on HP-UX.
•Kerberos Client Software: includes libraries, header files and
utilities for implementing Kerberized client/server applications in
either 32-bit or 64-bit development environment.
The client libraries are based on MIT Kerberos V5 1.1.1 release. The
KRB5-Client libraries support DES encryption as specified in RFC
1510 of the IETF.

Overview
Kerberos Products and GSS-API on HP-UX
Chapter 1 29
NOTE On HP-UX 11i v3, the KRB5-Client libraries are based on MIT
Kerberos V5 1.3.5 release. These KRB5-Client libraries support the
DES, AES, 3DES and RC4 encryption types.
The Kerberos Client utilities are as follows:
—kinit, klist, and kdestroy to manage credentials
—kpasswd to change Kerberos passwords
—ktutil to maintain keytab file
—kvno to display the Kerberos key version number of the
principals.
•Kerberos Server Version 3.12: The current version of the
Kerberos server supersedes the earlier MIT-based Kerberos server
(version 1.0), on HP-UX 11i.
The Kerberos Server is based on a distributed client-server
architecture. It ensures secure communication in a networked
environment by leveraging individual trust relationships. It then
brokers that trust across enterprise-wide, distributed client-server
networks.
•GSS-API: is an interface that provides a secure client-server
application programming. The GSS-API also provides
authentication, integrity, and confidentiality services to the calling
applications.
•SIS: is the built-in support for secure Internet services such as ftp,
rcp, rlogin, telnet and remsh utilities. When secure Internet
services are enabled, these commands use Kerberos for
authentication without sending passwords in clear text over the
network.

Overview
Kerberos Products and GSS-API on HP-UX
Chapter 130

Chapter 2 31
2 Introduction to the Kerberos
Products and GSS-API
This chapter describes the Kerberos-based products and GSS-API on
HP-UX.

Introduction to the Kerberos Products and GSS-API
Chapter 232
It contains the following sections:
•“PAM Kerberos” on page 33
•“Secure Internet Services” on page 52
•“KRB5 Client Software” on page 54
•“HP Kerberos Server” on page 64
•“Generic Security Service Application Programming Interface
(GSS-API)” on page 68

Introduction to the Kerberos Products and GSS-API
PAM Kerberos
Chapter 2 33
PAM Kerberos
HP-UX provides Kerberos authentication as part of the Pluggable
Authentication Module (PAM) architecture as specified in RFC 86.0, of
the Open Group. PAM allows multiple authentication technologies to
co-exist on HP-UX. The /etc/pam.conf configuration file determines
the authentication module to be used in a manner transparent to the
applications that use the PAM library.
This product consists of the following:
•PAM Kerberos library - libpam_krb5
•PAM Kerberos Configuration validation tool - pamkrbval. Refer to
“The pamkrbval Tool” on page 48, for more information.

Introduction to the Kerberos Products and GSS-API
PAM Kerberos
Chapter 234
The PAM Framework
Figure 2-1 shows the relationship between the PAM Kerberos Library
and various authentication modules that HP-UX provides. Note that the
PAM Kerberos Library is one of the many authentication modules that
PAM can invoke based on what is defined under the PAM configuration
file: /etc/pam.conf.
Figure 2-1 HP-UX authentication modules under
PAM
PAM Kerberos is invoked for user authentication, when PAM’s
authentication-management module is pointed to the shared
dynamically loadable PAM Kerberos library, libpam_krb5. Table 2-1
indicates the location of the library on both Itanium and PA-RISC
based platforms.
login su telnet
PAM library
UNIX DCE Kerberos LDAP NTLM
libpam_krb5.1 libpam_ntlm.1libpam_unix.1
passwd
Authentication
Service
libpam_dce.1 libpam_ldap.1
Use the PAM configuration
file, pam.conf, to indicate
which authentication module to u

Introduction to the Kerberos Products and GSS-API
PAM Kerberos
Chapter 2 35
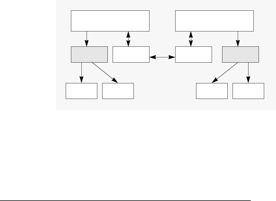
Figure 2-2 shows a secure environment consisting of the following nodes:
•KDC Server
•The application server (rlogind process)
•The application client (rlogin process)
The application client is not a KDC client under PAM Kerberos.
Figure 2-2 PAM Kerberos calls libkrb5.sl through
PAM
Table 2-1 PAM Kerberos Library libpam_krb5
Platform Location
Itanium -
based platform /usr/lib/security/$ISA/libpam_krb5.so.1
PA-RISC
platform /usr/lib/security/libpam_krb5.1

Introduction to the Kerberos Products and GSS-API
PAM Kerberos
Chapter 236
When using PAM Kerberos, users only configure the application server
as a KDC client. Users are prompted for a password when they first log
into the server from the application client. The user has no credential
and their password is sent in clear text to the application server.
Following are the authentication steps as shown in Figure 2-2:
1. The user sends a password to a remote system
2. The application server invokes libkrb5.sl through PAM to request
for authentication from the KDC
3. KDC replies with an authenticator
4. If the password provided is valid, then the user is authenticated. If
the password is incorrect, the user is denied access.
The Kerberos service module for PAM consists of the following four
modules:
•Authentication module
•Account management module
•Session management module
•Password management module
All modules are supported through the same dynamically loadable
library, libpam_krb5. The KRB5 PAM modules are compatible with MIT
Kerberos 5 and Microsoft Windows 2000.
The Authentication Module
The Authentication module verifies the identity of a user and sets
user-specific credentials. It authenticates the user to KDC with a
password. If the password matches, the user is authenticated and a
Ticket Granting Ticket (TGT) is granted.
The Authentication Module supports the following options:
•use_first_pass
•krb_prompt
•try_first_pass
•renewable=<time>
•forwardable

Introduction to the Kerberos Products and GSS-API
PAM Kerberos
Chapter 2 37
•proxiable
•debug
•ignore
The following paragraphs list and describe each of these options.
Option Definition
use_first_pass Uses the same password given to the first module
configured for authentication in the pam.conf file (see
Figure 2-1). The module does not prompt for the
password if the user cannot be authenticated by the
first password.
This option is used when the system administrator
wants to enforce the same password across multiple
modules.
In the following code fragment from a pam.conf file,
both libpam_krb5.1 and libpam_unix.1 are defined
in the PAM stack as authentication modules. If a user
is not authenticated under libpam_unix.1, PAM tries
to authenticate the user through libpam_krb5.1 using
the same password used with libpam_unix.1. If the
authentication fails, PAM does not prompt for another
password.
krb_prompt This option allows the administrator to change the
password prompt. When set, the password prompt
displayed is, Kerberos Password.
try_first_pass This option is similar to the use_first_pass option,
except that if the primary password is not valid, PAM
prompts for a password.
Table 2-2 On HP-UX 11.0 and HP-UX 11i v1
login auth sufficient /usr/lib/security/libpam_unix.1
login auth required /usr/lib/security/libpam_krb5.1 use_first_pass
Table 2-3 On HP-UX 11i v2 and HP-UX 11i v3
login auth sufficient libpam_unix.so.1
login auth required libpam_krb5.so.1 use_first_pass

Introduction to the Kerberos Products and GSS-API
PAM Kerberos
Chapter 238
In the following code fragment from a pam.conf file,
both libpam_krb5.1 and libpam_unix.1 are defined
in the PAM stack as authentication modules. If a user
is not authenticated under libpam_unix.1, PAM tries
to authenticate the user through libpam_krb5.1 using
the same password that is used with libpam_unix.1.
If the authentication fails, PAM prompts for another
password and tries again.
renewable=<time> This option allows the user to implement ticket
renewal. Renewable tickets have two “expiration
times”: the first is when the current instance of the
ticket expires, and the second is the latest permissible
value for an individual expiration time. When the
latest permissible expiration time arrives, the ticket
expires permanently.
For renewable tickets to be granted, you must specify
that the user can be granted renewable tickets in the
user’s account in the Kerberos KDC.
forwardable When a user obtains service tickets, they are for a
remote system. However, the user can use a secure
service to access a remote system and run a secure
service from that remote system to a second remote
system. This requires a valid TGT for the first remote
system. Kerberos provides the option to create TGTs
with special attributes, which allow service tickets to
be forwarded to remote systems within the realm.
The forwardable flag in a ticket allows the service
complete use of the client's identity. It is used when a
user logs in to a remote system and wants
authentication to work from that system as if the login
were local.
Table 2-4 On HP-UX 11.0 and 11iv1
login auth sufficient /usr/lib/security/libpam_unix.1
login auth required /usr/lib/security/libpam_krb5.1 try_first_pass
Table 2-5 On HP-UX 11i v2 and HP-UX 11i v3
login auth sufficient libpam_unix.so.1
login auth required libpam_krb5.so.1 try_first_pass

Introduction to the Kerberos Products and GSS-API
PAM Kerberos
Chapter 2 39
For forwardable tickets to be granted, you must specify
that the user can be granted forwardable tickets in the
user's account in the Kerberos KDC.
proxiable At times, it may be necessary for a principal to allow a
service to perform an operation on its behalf. The
service must be able to take on the identity of the
client, but only for a particular purpose by granting it a
proxy.
This option allows a client to pass a proxy ticket to a
server to perform a remote request on its behalf. For
example, a print service client can give the print server
a proxy to access the client's files on a particular file
server.
For proxy tickets to be granted, you must specify that
the user can be granted proxy tickets in the user's
account in the Kerberos KDC.
ignore The ignore option in the pam_user.conf file enables
you to configure PAM such that certain users or
services need not be authenticated. This option returns
PAM_IGNORE. HP recommends not to use this option for
Kerberos authentication in the pam.conf file.
For example, with the following configuration, no
Kerberos authentication is conducted for the root user.
On HP-UX 11.0 and HP-UX 11i v1
pam_user.conf:
#
# configuration for user root. KRB5 PAM module uses the ignore
# option and returns PAM_IGNORE without any processing.
#
root auth /usr/lib/security/libpam_krb5.1 ignore
root password /usr/lib/security/libpam_krb5.1 ignore
root account /usr/lib/security/libpam_krb5.1 ignore
root session /usr/lib/security/libpam_krb5.1 ignore
On HP-UX 11i v2 and HP-UX 11i v3
pam_user.conf:
#
# configuration for user root. KRB5 PAM module uses the ignore

Introduction to the Kerberos Products and GSS-API
PAM Kerberos
Chapter 240
# option and returns PAM_IGNORE without any processing.
#
root auth /usr/lib/security/$ISA/libpam_krb5.so.1 ignore
root password /usr/lib/security/$ISA/libpam_krb5.so.1 ignore
root account /usr/lib/security/$ISA/libpam_krb5.so.1 ignore
root session /usr/lib/security/$ISA/libpam_krb5.so.1 ignore
To enable the configuration defined in the pam_user.conf
file, the libpam_updbe module must be the first module
in the stack in the pam.conf file. PAM Kerberos uses
libpam_updbe to read user policy definitions from the
pam_user.conf file. Refer to the manpage pam_updbe (5)
for more information about per user PAM
configuration.
debug The debug option sets syslog debugging information
at the LOG_DEBUG level.
The Password Module
The Password Management module provides a function to change
passwords in the Kerberos password database. Unlike when changing a
Unix password, a root user is always prompted for the old password.
The following options can be passed to this PAM module through the
/etc/pam.conf (4) file:
debug This option allows syslog(3C) debugging information
at LOG_DEBUG level.
krb_prompt This option allows the administrator to change the
password prompt. When set, the password prompt
displayed is Old/New Kerberos Password.
When a user logs onto a system using PAM kerberos
they obtain credentials that are stored in a file. This
file is deleted when the user logs out of the system if
the /etc/pam.conf file contains an entry for PAM
Kerberos under session management and the
application calls pam_close_session().
In the /etc/pam.conf, if the flag krb_prompt is added
to either the login/password entry, the prompt
explicitly specifies Kerberos as shown below:
$ old password <--- Previous output

Introduction to the Kerberos Products and GSS-API
PAM Kerberos
Chapter 2 41
$ old Kerberos password <--- Output if
krb_prompt is specified
user_first_prompt This option allows the initial password (entered
when the user is authenticated to the first
authentication module in the stack) to authenticate
with Kerberos. If the user cannot be authenticated or if
this is the first authentication module in the stack, it
quits without prompting for a password. HP
recommends using this option only if the
authentication module is designated as optional in the
/etc/pam.conf(4) configuration file.
try_first_pass This option allows the initial password (entered when
the user is authenticated to the first authentication
module in the PAM stack) to authenticate with
Kerberos. If the user cannot be authenticated or if this
is the first authentication module in the stack, it
prompts the user for a password.
ignore This option returns PAM_IGNORE. HP recommends not
using this option. However, if you do not want to
authenticate certain users or services with Kerberos,
you can use this option in the /etc/pam_user.conf(4)
file for per user configuration. HP recommends not
using this option in the pam.conf(4)file.
Refer to /etc/pam.krb5 in Appendix A, “Sample pam.conf File,” for a
sample pam.conf file configured for PAM Kerberos.
Credential Cache
The credential management function in Kerberos sets user-specific
credentials. It stores the credentials in a cache file and exports the
KRB5CCNAME environment variable to identify the cache file. Any
subsequent kerberos service access can use the same credential file. The
name of that file is retrieved from KRB5CCNAME.
A credential file is created in the /tmp directory when the user accesses
the system.
If the user first accesses the system from any system entry service -- such
as login, ftp, rlogin, or telnet -- a unique credential file is created in
the /tmp/creds directory. This file is named krb5cc_<ppid>_<pid>,
where:

Introduction to the Kerberos Products and GSS-API
PAM Kerberos
Chapter 242
ppid is the parent process
pid is the process id of the process that is creating this
credential file
An example PAM configuration file is as shown below:

Introduction to the Kerberos Products and GSS-API
PAM Kerberos
Chapter 2 43
On HP-UX 11.0 and 11iv1
#
# PAM configuration
#
# Authentication management
#
login auth sufficient /usr/lib/security/libpam_krb5.1
login auth required /usr/lib/security/libpam_unix.1
try_first_pass
su auth sufficient /usr/lib/security/libpam_krb5.1
su auth required /usr/lib/security/libpam_unix.1
try_first_pass
dtlogin auth sufficient /usr/lib/security/libpam_krb5.1
dtlogin auth required /usr/lib/security/libpam_unix.1
try_first_pass
dtaction auth sufficient /usr/lib/security/libpam_krb5.1
dtaction auth required /usr/lib/security/libpam_unix.1
try_first_pass
ftp auth sufficient /usr/lib/security/libpam_krb5.1
ftp auth required /usr/lib/security/libpam_unix.1
try_first_pass
OTHER auth sufficient /usr/lib/security/libpam_unix.1
#
# Account management
#
login account required /usr/lib/security/libpam_krb5.1
login account required /usr/lib/security/libpam_unix.1
su account required /usr/lib/security/libpam_krb5.1
su account required /usr/lib/security/libpam_unix.1
dtlogin account required /usr/lib/security/libpam_krb5.1
dtlogin account required /usr/lib/security/libpam_unix.1
dtaction account required /usr/lib/security/libpam_krb5.1
dtaction account required /usr/lib/security/libpam_unix.1
ftp account required /usr/lib/security/libpam_krb5.1
ftp account required /usr/lib/security/libpam_unix.1
OTHER account sufficient /usr/lib/security/libpam_unix.1
#
# Session management
#
login session required /usr/lib/security/libpam_krb5.1
login session required /usr/lib/security/libpam_unix.1
dtlogin session required /usr/lib/security/libpam_krb5.1
dtlogin session required /usr/lib/security/libpam_unix.1
dtaction session required /usr/lib/security/libpam_krb5.1
dtaction session required /usr/lib/security/libpam_unix.1

Introduction to the Kerberos Products and GSS-API
PAM Kerberos
Chapter 244
OTHER session sufficient /usr/lib/security/libpam_unix.1
#
# Password management
#
login password sufficient /usr/lib/security/libpam_krb5.1
login password required /usr/lib/security/libpam_unix.1
passwd password sufficient /usr/lib/security/libpam_krb5.1
passwd password required /usr/lib/security/libpam_unix.1
dtlogin password sufficient /usr/lib/security/libpam_krb5.1
dtlogin password required /usr/lib/security/libpam_unix.1
dtaction password sufficient /usr/lib/security/libpam_krb5.1
dtaction password required /usr/lib/security/libpam_unix.1
OTHER password sufficient /usr/lib/security/libpam_unix.1
On HP-UX 11i v2 and HP-UX 11i v3
#
# PAM configuration
#
# Notes: This pam.conf file is intended as an example only.
# If the path to a library is not absolute, it is assumed to be
# relative to one of the following directories:
# /usr/lib/security (PA 32-bit)
# /usr/lib/security/pa20_64 (PA 64-bit)
# /usr/lib/security/hpux32 (IA 32-bit)
# /usr/lib/security/hpux64 (IA 64-bit)
# The IA file name convention is normally used; for example:
# libpam_unix.so.1
# For PA libpam_unix.so.1 is a symbolic link to the PA library:
# ln -s libpam_unix.1 libpam_unix.so.1
# Also note that the use of pam_hpsec(5) is mandatory for some of the
# services. See pam_hpsec(5).
# Authentication management
#
login auth sufficient libpam_krb5.so.1
login auth required libpam_unix.so.1
try_first_pass
su auth sufficient libpam_krb5.so.1
su auth required libpam_unix.so.1
try_first_pass
dtlogin auth sufficient libpam_krb5.so.1
dtlogin auth required libpam_unix.so.1
try_first_pass
dtaction auth sufficient libpam_krb5.so.1
dtaction auth required libpam_unix.so.1
try_first_pass
ftp auth sufficient libpam_krb5.so.1

Introduction to the Kerberos Products and GSS-API
PAM Kerberos
Chapter 2 45
ftp auth required libpam_unix.so.1
try_first_pass
OTHER auth sufficient libpam_unix.so.1
#
# Account management
#
login account required libpam_krb5.so.1
login account required libpam_unix.so.1
su account required libpam_krb5.so.1
su account required libpam_unix.so.1
dtlogin account required libpam_krb5.so.1
dtlogin account required libpam_unix.so.1
dtaction account required libpam_krb5.so.1
dtaction account required libpam_unix.so.1
ftp account required libpam_krb5.so.1
ftp account required libpam_unix.so.1
OTHER account sufficient libpam_unix.so.1
#
# Session management
#
login session required libpam_krb5.so.1
login session required libpam_unix.so.1
dtlogin session required libpam_krb5.so.1
dtlogin session required libpam_unix.so.1
dtaction session required libpam_krb5.so.1
dtaction session required libpam_unix.so.1
OTHER session sufficient libpam_unix.so.1
#
# Password management
#
login password sufficient libpam_krb5.so.1
login password required libpam_unix.so.1
passwd password sufficient libpam_krb5.so.1
passwd password required libpam_unix.so.1
dtlogin password sufficient libpam_krb5.so.1
dtlogin password required libpam_unix.so.1
dtaction password sufficient libpam_krb5.so.1
dtaction password required libpam_unix.so.1
OTHER password sufficient libpam_unix.so.1

Introduction to the Kerberos Products and GSS-API
PAM Kerberos
Chapter 246
The Account Management Module
The Account Management module provides a function to perform
account management. This function retrieves the user’s account and
password expiration information from the Kerberos database and
verifies that they have not expired. The module does not issue any
warning if the account or the password is about to expire.
The following options can be passed to the Account Management module
through the /etc/pam.conf(4) file:
debug This option allows syslog(3C) debugging information
at LOG_DEBUG level.
ignore This option returns PAM_IGNORE. HP recommends not
using this option unless it is not necessary to
authenticate certain users or services with Kerberos.
In such cases you can use the ignore option in the
pam_user.conf file for per user configuration.
HP does not recommend using this option in the
pam.conf file.
The Session Management Module
The session management module provides function to terminate
sessions. It cleans up the credential cache file created by the
Authentication module.
The following options can be passed to the session management module
through the /etc/pam.conf(4) file:
debug This option allows syslog(3C) debugging information
at LOG_DEBUG level.
ignore This option returns PAM_IGNORE. HP recommends not
using this option unless it is not necessary to
authenticate certain users or services with Kerberos.
In such cases you can use the ignore option in the
pam_user.conf file for per user configuration. HP
does not recommend using this option in the pam.conf
file.

Introduction to the Kerberos Products and GSS-API
PAM Kerberos
Chapter 2 47
Example
The following is a sample configuration in which no authentication is
done with Kerberos for root. KRB5 PAM module does nothing. It just
returns PAM_IGNORE for user root. For every user other than root, it tries
to authenticate using Kerberos. If Kerberos succeeds, the user is
authenticated. If Kerberos fails to authenticate the user, PAM tries to
authenticate with UNIX PAM using the same password.
The pam_user.conf File on HP-UX 11.0 and 11i v1
# configuration for user root. KRB5 PAM module uses the
# ignore option and returns PAM_IGNORE
root auth /usr/lib/security/libpam_krb5.1 ignore
root password /usr/lib/security/libpam_krb5.1 ignore
root account /usr/lib/security/libpam_krb5.1 ignore
root session /usr/lib/security/libpam_krb5.1 ignore
The pam_user.conf File on HP-UX 11i v2 and HP-UX 11i v3
# configuration for user root. KRB5 PAM module uses the
# ignore option and returns PAM_IGNORE
root auth /usr/lib/security/$ISA/libpam_krb5.so.1 ignore
root password /usr/lib/security/$ISA/libpam_krb5.so.1 ignore
root account /usr/lib/security/$ISA/libpam_krb5.so.1 ignore
root session /usr/lib/security/$ISA/libpam_krb5.so.1 ignore
The pam.conf File on HP-UX 11.0 and HP-UX 11i v1
# For per user configuration the libpam_updbe.1 (pam_updbe(5)) module
# must be the first module in the stack. If Kerberos authentication
# is valid the UNIX authentication function will not be invoked.
login auth required /usr/lib/security/libpam_updbe.1
login auth sufficient /usr/lib/security/libpam_krb5.1
login auth required /usr/lib/security/libpam_unix.1 try_first_pass
login password required /usr/lib/security/libpam_updbe.1
login password required /usr/lib/security/libpam_krb5.1
login password required /usr/lib/security/libpam_unix.1 try_first_pass
login account required /usr/lib/security/libpam_updbe.
login account required /usr/lib/security/libpam_krb5.1

Introduction to the Kerberos Products and GSS-API
PAM Kerberos
Chapter 248
The pam.conf File on HP-UX 11i v2 and HP-UX 11i v3
# For per user configuration the libpam_updbe.1 (pam_updbe(5)) module
# must be the first module in the stack. If Kerberos authentication
# is valid the UNIX authentication function will not be invoked.
login auth required libpam_updbe.so.1
login auth sufficient libpam_krb5.so.1
login auth required libpam_unix.so.1 try_first_pass
login password required libpam_updbe.so.1
login password required libpam_krb5.so.1
login password required libpam_unix.so.1 try_first_pass
login account required libpam_updbe.so.1
login account required libpam_krb5.so.1
The pam_krb5 File on HP-UX 11.0 and HP-UX 11i v1
login account required /usr/lib/security/libpam_unix.1
login session required /usr/lib/security/libpam_updbe.1
login session required /usr/lib/security/libpam_krb5.1
login session required /usr/lib/security/libpam_unix.1
The pam_krb5 File on HP-UX 11i v2 and HP-UX 11i v3
login account required /usr/lib/security/$ISA/libpam_unix.so.1
login session required /usr/lib/security/$ISA/libpam_updbe.so.1
login session required /usr/lib/security/$ISA/libpam_krb5.so.1
login session required /usr/lib/security/$ISA/libpam_unix.so.1
The pamkrbval Tool
Use the pamkrbval tool to validate your PAM Kerberos configuration.
This tool verifies PAM Kerberos configuration files and enables the
system administrator to diagnose the problem, if any. Following are the
files, the pamkrbval tool verifies:
•/etc/pam.conf
•/etc/pam_user.conf
•/etc/krb5.conf
•/etc/krb5.keytab
This tool also checks if the default realm KDC is up and running.
The pamkrbval tool validates the following:

Introduction to the Kerberos Products and GSS-API
PAM Kerberos
Chapter 2 49
•Checks for the validity of the control_flags and the module_types
specified for the PAM Kerberos specific entries in the
/etc/pam.conf file.
•Checks if the PAM Kerberos specific module_path specified in the
/etc/pam.conf file exists. If the module_path name is not absolute
it is assumed to be relative to /usr/lib/security/$ISA/. The $ISA
(Instruction Set Architecture) token is replaced by this tool with
hpux32 for Itanium 32-bit option (ia32), or with hpux64 for
Itanium 64 bit option (ia64), or with null for PA-32 bit option
(pa32), or with pa20_64 for PA 64-bit option (pa64).
•Checks if the options specified for the pam_krb5 library are valid
PAM Kerberos options.
•Validates the /etc/pam_user.conf file only if libpam_updbe is
configured in the /etc/pam.conf file. This validation is similar to
the /etc/pam.conf validation.
•Validates the syntax of the Kerberos configuration file,
/etc/krb5.conf.
•Validates if the default realm KDC is issuing tickets. At least one
KDC must reply to the ticket requests for the default realm.
•Validates the host service principal,
host/<hostname>@default_realm> in /etc/krb5.keytab, if
present. If the keytab entry for this host service principal is not
present in the default keytab file, /etc/krb5.keytab then that
validation is ignored and success is assumed.
NOTE An entry in /etc/pam.conf file is considered to be PAM Kerberos
entry if the file name in the module_path begins with libpam_krb5.
An example of a PAM Kerberos entry in /etc/pam.conf is as shown:
login auth required /usr/lib/security/$ISA/libpam_krb5.so.1
The machine is considered to be configured with libpam_updbe if the file
name in the module_path of an entry in /etc/pam.conf begins with
libpam_updbe. Following is an example of a pam_updbe entry in the
/etc/pam.conf file:
login auth required /usr/lib/security/$ISA/libpam_updbe.so.1

Introduction to the Kerberos Products and GSS-API
PAM Kerberos
Chapter 250
Logging The pamkrbval tool logs all messages to stdout. Following are the log
categories provided:
[LOG] These messages are logged when the verbose option is
set.
[NOTICE] These messages are logged to notify the user about the
erroneous lines in the PAM configuration files or notify
about the skipping of /etc/pam_user.conf file
validation.
[FAIL] These messages are logged when validation fails.
[WARNING] These messages are logged to notify the user about a
potentially erroneous configuration on the system that
may result in failure.
[PASS] These messages are logged when any validation
succeeds.
[IGNORE] These messages are logged when validation of the
/etc/krb5.keytab is ignored.
ERROR These messages are logged to inform the user about the
exact problem in the PAM configuration files
[HELP] These messages will give some minimal help to the
user to rectify the problem.
If you get any [FAIL] or ERROR messages, you must diagnose the nature
of the problem. See “Troubleshooting Using the pamkrbval Tool” on
page 100 for more information.
Options Use the following command with the options listed below:
/usr/sbin/pamkrbval
-v[erbose] verbose output
-a {pa32 | pa64 |ia32 | ia64}
Depending on the architecture on which the validation
need to be done this option needs to be set. The flags
available are as listed below:
pa32 for PA 32-bit architecture
pa64 for PA 64-bit architecture
ia32 for Itanium 32-bit architecture

Introduction to the Kerberos Products and GSS-API
PAM Kerberos
Chapter 2 51
ia64 for Itanium 64-bit architecture
Depending on this flag, $ISA in the module_path will
be expanded as explained above.
-c Use this option when Common Internet File System
(CIFS) is configured on the system.
Return Value The pamkrbval tool returns the following exit codes:
0 Successful configuration validation
1 Warnings were found during configuration validation
2 Errors were detected during configuration validation

Introduction to the Kerberos Products and GSS-API
Secure Internet Services
Chapter 252
Secure Internet Services
If you want to authenticate users on remote systems without sending the
password in clear text over the network, you can use the built-in support
that HP provides for the following secure Internet services applications:
•ftp
•rcp
•rlogin
•telnet
•remsh
In Figure 2-3, SIS invokes the libsis.sl library. When SIS is enabled
at the application client, the password is not sent to the application
server. Instead, SIS uses an encrypted ticket each time the user requests
a remote service.
Figure 2-3 SIS uses Kerberos Client Library Directly
As shown in Figure 2-2:
1. The application client requests for credentials from the KDC
2. The application client obtains credentials for the remote host (the
application server)
KDC
Server
libsis.sl
libsis.sl
Application
Server
Application
Client
1
2
34
5
6

Introduction to the Kerberos Products and GSS-API
Secure Internet Services
Chapter 2 53
3. Using the credentials, the application client creates an authenticator
and sends the authenticator and service ticket to the remote host.
4. The kerberized telnet server on the remote host verifies the user
identity by decrypting the service ticket.
To turn on SIS, issue the following command at the HP-UX command
prompt:
inetsvcs_sec enable
NOTE The library, libsis.sl, is supported upto the HP-UX 11i v1.5 release.
From the HP-UX 11i v1.6 release onwards the library, libkrb5.so is
supported.

Introduction to the Kerberos Products and GSS-API
KRB5 Client Software
Chapter 254
KRB5 Client Software
This section presents an overview of the KRB5-Client software, which
consists of libraries, header files, manpages, and Kerberos utilities. The
section is divided into two parts. The following subsection, “Libraries and
Header Files”, discusses the libraries and header files supplied with the
KRB5-Client software. The second subsection,“Kerberos Utilities” on
page 56, discusses the Kerberos utilities.
Libraries and Header Files
This section lists and describes the libraries and header files supplied
with the KRB5-Client software.
You can use the KRB5-Client libraries to develop secure client/server
applications for either 32-bit or 64-bit environments on any of the
HP-UX 11.X platforms.
The client libraries are based on MIT Kerberos V5 1.1.1 release. This
release is compatible with MIT Kerberos 1.2 and interoperable with
Microsoft Windows 2000.
NOTE On HP-UX 11i v3, the KRB5-Client libraries are based on MIT Kerberos
V5 1.3.5 release. These KRB5-Client libraries support the DES, AES,
3DES and RC4 encryption types.
The Kerberos Client Library (libkrb5.so) replaces the KRB-Support
Library (libsis.sl) from the HP-UX 11i v1.6 release onwards.
The KRB5-Client libraries support Data Encryption Standard (DES) as
specified in RFC 1510 of the IETF.

Introduction to the Kerberos Products and GSS-API
KRB5 Client Software
Chapter 2 55
Table 2-6 lists and describes the Kerberos client libraries.
The Kerberos client software also provides the following header files:
•/usr/include/profile.h
•/usr/include/krb5.h
Table 2-6 Kerberos Client Libraries on HP-UX 11i v3
Architect-
ure 32-bit 64-bit Functionality
PA-RISC
/usr/lib/libkrb5.sl
->/usr/lib/libkrb5.1
/usr/lib/pa20_64/
libkrb5.sl ->
/usr/lib/pa20_64/
librb5.1
Authenticates users,
verifies tickets,
creates
authenticator, and
manages the context
/usr/lib/
libcom_err.sl ->
/usr/lib/libcom_err.1
/usr/lib/pa20_64/
libcom_err.sl ->
/usr/lib/pa20_64/
libcom_err.1
Prints appropriate
error messages to
stderr, based on the
error code returned
by the Kerberos
APIs
/usr/lib/
libk5crypto.sl ->
/usr/lib/libk5crypto.1
/usr/lib/pa20_64/
libk5crypto.sl ->
/usr/lib/pa20_64/
libk5crypto.1
Encrypts (using
DES, 3DES, AES,
and RC4
cryptographic
algorithms) and
decrypts all
communication
between users to
ensure privacy and
data integrity
/usr/lib/gss/
libgssapi_krb5.sl ->
/usr/lib/gss/libgssapi_
krb5.1
/usr/lib/pa20_64/
gss/
libgssapi_krb5.sl
->
/usr/lib/pa20_64/
gss/libgssapi_krb
5.1
Kerberos mechanism
specific library used
by GSSAPI
(/usr/lib/libgss.
sl)

Introduction to the Kerberos Products and GSS-API
KRB5 Client Software
Chapter 256
•/usr/include/com_err.h
•/usr/include/krb5/gssapi.h
HP-UX includes DCE Kerberos and its manpages, so you must use
specific manpage numbers for the Kerberos client software. For example,
refer to man 1 kinit for the Kerberos manpages and to man 1m kinit
for the DCE manpage. The default is the Kerberos manpage.
Refer to /usr/share/man/man3.Z/libkrb5.3 for more information on
the libkrb5 library. See “Kerberos Utilities” on page 56 for information
on other Kerberos utilities.
NOTE IPv6 support for Kerberos Clients has been enabled only for the
Itanium binaries on HP-UX 11i v2 and PA-RISC and Itanium binaries
on HP-UX 11i v3 systems.
Kerberos Utilities
The HP-UX implementation of Kerberos utilities is compatible with the
MIT reference implementation.
On HP-UX 11i onwards, the Kerberos utilities are part of the OS core.
On HP-UX 11.0, they are bundled with PAM Kerberos from the quarterly
distributed Application CD.
All the utilities, except ktutil, are available for all users.The ktutil
utility is restricted for administrator use only.
The kinit Utility
Description The kinit utility obtains the Kerberos ticket-granting ticket for the
requesting principal and stores it in the credential cache file.
Synopsis /usr/bin/kinit -l lifetime [principal]
/usr/bin/kinit -s start_time [principal]
/usr/bin/kinit -v [principal]
/usr/bin/kinit -p [principal]
/usr/bin/kinit -f [principal]
/usr/bin/kinit -r renewable_life [principal]

Introduction to the Kerberos Products and GSS-API
KRB5 Client Software
Chapter 2 57
/usr/bin/kinit -R [principal]
/usr/bin/kinit -k [-t keytab_file][principal]
/usr/bin/kinit -c [cache_name] [principal]
/usr/bin/kinit -S service_name [principal]
Options -l lifetime The -l option requests a ticket with the lifetime of the
value defined in lifetime. The value for life_time
must be followed immediately by one of the following
delimiters:
•s - seconds
•m- minutes
•h- hours
•d- days
For example: kinit -l 90m for 90 minutes
You cannot mix units; a value of 3h30m will result in an
error.
If the -l option is not specified, the default ticket
lifetime (configured by each site) is used. Specifying a
ticket lifetime longer than the maximum ticket life
(configured by each site) results in a ticket with the
maximum lifetime.
-s start_time The -s option requests a postdated ticket, valid
starting at start_time. Postdated tickets are issued
with the invalid flag set, and need to be passed back to
the KDC before use.
-v The -v option requests that the TGT in the cache be
passed to the KDC for validation. If the ticket is within
its requested time range, the cache is replaced with the
validated ticket.
-p The -p option requests a proxiable ticket.
-f The -f option requests a forwardable ticket.
-r renewable_life The -r option requests renewable tickets, with a
total lifetime of renewable_life. The duration is in
the same format as the -l option, with the same
delimiters.

Introduction to the Kerberos Products and GSS-API
KRB5 Client Software
Chapter 258
-R The -R option requests renewal of the TGT. You cannot
renew an expired ticket even if the ticket is still within
its renewable life.
-k [-t keytab_file] The -k option requests a host ticket obtained
from a key in the local host’s keytab file. You can
specify the name and location of the keytab file with
the -t keytab_file option; otherwise the default
name and location will be used.
The default credentials cache can vary between
systems. If the KRB5CCNAME environment variable is
set, its value is used to name the default ticket cache.
Any existing contents of the cache are destroyed by
kinit.
-c [cache_filename] The -c option uses cache_name as the
credentials (ticket) cache name and location; otherwise,
the default cache name and location will be used.
-S service_name The -s option specifies an alternate service name to
get initial tickets.
Principal The Principal uses the principal name from an
existing cache, if there is one.
The kinit utility supports the [appdefaults] section. The relationships
specified here can be over-ridden by the command-line options. The
following relationships are supported by kinit in the [appdefaults]
section:
forwardable This relationship specifies if an user can obtain a
forwardable ticket. Valid values with which it can be
set are true, false, yes, y, no, n, on, and off.
proxiable This relationship specifies if a user can obtain a
proxiable ticket. Valid values to which it can be set are
true, false, yes, y, no, n, on, and off.
tkt_lifetime This relationship specifies the lifetime of the ticket to
be obtained. The unit of lifetime is either seconds,
minutes, hours or days.
renew_lifetime This relationship specifies the renewable life of the
ticket to be obtained. The unit of lifetime is either
seconds, minutes, hours or days.

Introduction to the Kerberos Products and GSS-API
KRB5 Client Software
Chapter 2 59
NOTE For DCE operations use /opt/dce/bin/kinit.
Reference To view the kinit manpage, issue the following command:
$ man 1 kinit
The klist Utility
Description The klist utility lists the Kerberos principal and Kerberos tickets held
in a credentials cache, or the keys held in a keytab file.
Synopsis /usr/bin/klist [-e]
/usr/bin/klist [-c] [cache_name]
/usr/bin/klist [-f] [cache_name]
/usr/bin/klist [-s] [cache_name]
/usr/bin/klist [-k] [keytab_name]
/usr/bin/klist [-t] [keytab_name]
/usr/bin/klist [-K] [keytab_name]
Options -e The -e option displays the encryption types of the
session key and the ticket for each credential in the
credential cache, or each key in the keytab file.
-c The -c option lists tickets held in a credentials cache.
This is the default if neither -c nor -k is specified.
-f The -f option shows the flags present in the
credentials, using the following abbreviations:
•F - forwardable
•f - forwarded
•P - Proxiable
•p - proxy
•D - postDateable
•d - postdated
•R- Renewable

Introduction to the Kerberos Products and GSS-API
KRB5 Client Software
Chapter 260
•I - Initial
•i - invalid
-s The -s option sets exit status without klist output.
-k The -k option lists keys held in a keytab file.
-t The -t option displays the time entry timestamps for
each keytab entry in the keytab file.
-K The -K option displays the value of the encryption key
in each keytab entry in the keytab file.
Reference To view the klist manpage, issue the following command:
$ man 1 klist
The kdestroy Utility
Description The kdestroy utility destroys the user’s active Kerberos authorization
tickets by writing zeros to the specified credentials cache that contains
them. If the credential cache is not specified, the default credential cache
is destroyed.
A user's credentials are not automatically removed by exiting from a
SHELL or logging out. You need to remove the credential cache files
manually before logging out using the kdestroy command.
If you use the csh shell, you can include kdestroy in the .logout file in
your home directory. Additionally, the system administrator can remove
expired credential cache files using either a start script or a cron job to
recover disk space and prevent maliciously access to the network
credentials.
Synopsis /usr/bin/kdestroy [-q]
/usr/bin/kdestroy [-c] [cache_name]
Options -q The -q option suppresses beeps if it fails to destroy the
user’s tickets.
-c The -c option uses cache_name as the credentials
(ticket) cache name and location; if cache_name is not
specified, the default cache name and location are used.
Reference To view the kdestroy manpage, issue the following command:

Introduction to the Kerberos Products and GSS-API
KRB5 Client Software
Chapter 2 61
$ man 1 kdestroy
The kpasswd Utility
Description The kpasswd utility changes a user’s Kerberos password.
If the optional parameter principal is not used, kpasswd uses the
principal name from an existing cache if there is one. If not, the principal
is derived from the identity of the user by invoking kpasswd.
The kpasswd utility prompts for the current Kerberos password that is
used to obtain a changepw ticket from the KDC for the user’s Kerberos
REALM. If kpasswd successfully obtains the changepw ticket, the user is
prompted twice for a new password to make the password change.
Use kpasswd for your MIT KDC server only, not for Microsoft 2000
KDC. Also, note that kpasswd only changes Kerberos passwords on the
KDC, not the UNIX password. Use the UNIX passwd command to
change your UNIX password on the /etc/passwd file.
Synopsis /usr/bin/kpasswd [principal]
Reference To view the kpasswd manpage, issue the following command:
$ man 1 kpasswd
The ktutil Utility
Description The ktutil utility maintains the keytab files. It is restricted only for
system administrator’s use.
Synopsis /usr/sbin/ktutil
ktutil: list (Alias: l)
ktutil: read_kt keytab (Alias: rkt)
ktutil: read_st srvtab (Alias: rst)
ktutil: write_kt keytab (Alias: wkt)
ktutil: write_st srvtab (Alias: wst)
ktutil: clear_list (Alias: clear)
ktutil: delete_entry slot (Alias: delete)
ktutil: list_requests (Alias: lr or ?)

Introduction to the Kerberos Products and GSS-API
KRB5 Client Software
Chapter 262
ktutil: quit (Alias: exit or q)
Options list (Alias: l) The l option displays the current keylist.
read_kt keytab (Alias: rkt) The rkt option reads the Kerberos V5
keytab file keytab into the current keylist.
read_st srvtab (Alias: rst) The rst option reads the Kerberos V4
server KEYTAB file server keytab into the current
keylist.
write_kt keytab (Alias: wkt) The wkt option writes the current keylist
into the Kerberos V5 keytab file keytab.
write_st srvtab (Alias: wst) The wst option writes the current keylist
into the Kerberos V4 server keytab file.
clear_list (Alias: clear) The clear option clears the current keylist.
delete_entry slot (Alias: delete) The delete option deletes the entry
in slot number slot from the current keylist.
list_requests (Alias: lr or ?) The list_request option displays a
list of available commands.
Reference To view the ktutil manpage, issue the following command:
$ man 1 ktutil
The kvno Utility
Description The kvno utility acquires a service ticket for the specified Kerberos
principals to return key version numbers of Kerberos principals.
The kvno utility uses the environment variable KRB5CCNAME, which
records the location of the credentials (ticket) cache.
Synopsis /usr/bin/kvno [-e etype] service1, [service2,...]
Options -e etype Specifies the encryption type which will be requested
for the session key of all the services named on the
command line. This is useful in certain backward
compatibility situations. The value of etype can be one
DES-CBC-CRC, DES-CBC-RAW or DES-CBC-MD5.
[service1], [service2] Service name(s) or principal name(s).
To view the kvno manpage, issue the following command:

Introduction to the Kerberos Products and GSS-API
KRB5 Client Software
Chapter 2 63
$ man 1 kvno

Introduction to the Kerberos Products and GSS-API
HP Kerberos Server
Chapter 264
HP Kerberos Server
Kerberos Server ensures secure communication in a networked
environment by leveraging individual trust relationships. It then brokers
that trust across enterprise wide, distributed client-server networks.
Table 2-7 lists the various versions of Kerberos Server available for
different HP-UX operating systems.
Kerberos Server Version 3.12 Features
This version of the Kerberos Server offers the following features on
HP-UX 11i v3:
•“Graphical User Interface (GUI) Based Administration tool” on
page 65
•“Multithreaded Server” on page 65
•“High Availability” on page 65
•“Dynamic Propagation” on page 66
•“Scalability” on page 66
•“Windows 2000(R) Interoperability” on page 66
•“Choice of C-Tree or LDAP Database” on page 67
•“Auto-Configuration Tool” on page 67
This version of the Kerberos server integrates with the existing Kerberos
clients on HP-UX 11i, thus providing the end user a full fledged security
solution.
Table 2-7 Versions of Kerberos Server on HP-UX Operating Systems
Kerberos Server
Version HP-UX OS Version
Kerberos Server v 2.1 HP-UX 11.0 and HP-UX
11i v1
Kerberos Server v3.1 HP-UX 11i v2
Kerberos Server v3.12 HP-UX 11i v3

Introduction to the Kerberos Products and GSS-API
HP Kerberos Server
Chapter 2 65
Kerberos server v3.12 supersedes the earlier MIT based Kerberos server
(version 1.0), on HP-UX 11i. This version of the Kerberos server offers
many enhancements when compared to the previous version.
For information on previous Kerberos Server versions, see the Release
Notes at www.docs.hp.com/en/internet.html#Kerberos.
Graphical User Interface (GUI) Based Administration tool
Use the GUI to create and manage principals in the Kerberos Realms.
This includes both the remote administrator, kadmin_ui, and the local
administrator, kadminl_ui. Following are the functions you can perform
using the GUI:
•create, modify and delete principals
•alter principal account key type settings
•assign administrative permissions
•modify the default group principals
•extract keys of principals to service key table files
•change the principal’s password
•add a new realm or delete existing realms
Multithreaded Server
Kerberos server version 3.12 is a pre-threaded concurrent server. This
feature enables the server to service multiple user requests in the KDC,
thus enhancing the performance of the server. The server uses kernel
space threads.
High Availability
The Kerberos server daemon (kdcd) is constantly monitored by a parent
process. If the child process dies or crashes, the parent process
automatically spawns a new server daemon. This provides for high
availability in the case of mission critical applications.
In addition, it allows for multiple secondary security servers to be
configured. The secondary security server services authentication
requests, once it has been configured to authenticate and receive
information propagated from the primary security server. This enables
load balancing for the primary server, with automatic incremental
propagation, without any performance degradation.

Introduction to the Kerberos Products and GSS-API
HP Kerberos Server
Chapter 266
The secondary security server also provides redundancy against a single
point of failure. The Kerberos Server also allows administrators to
organize realms according to the types of users or services.
Dynamic Propagation
In Kerberos server version 1.0, the entire database had to be periodically
dumped and propagated. This resulted in heavy network traffic and thus
reduced performance.
It is important that secondary servers are configured to act as
authentication servers. This allows the primary server to be available for
tasks other than authentication. When a secondary server is configured,
both the servers must be synchronized with each other. If entries are
updated on the primary server, they must be updated on the secondary
server as well. The databases on the primary and the secondary servers
are synchronized by a mechanism called ‘propagation’. The kpropd
daemon running on the primary server ensures that the data is
synchronized with the other secondary server.
Kerberos Server version 3.12 also supports hierarchical propagation. The
primary server need not propagate the database to all the secondary
servers in the realm, except for a designated secondary server. This
designated secondary server will then propagate the database to the
other secondary servers available in the realm. This is possible by
defining such a propagation hierarchy in the configuration files.
Scalability
This version of the Kerberos Server is highly scalable, and has been
tested to support up to 2,000,000 (two million) users in the database. In
addition, it supports simultaneous requests from multiple clients and
ensures that these queries are not lost even when the system is heavily
loaded.
Windows 2000(R) Interoperability
To enable the user to work in a mixed platform environment, this version
of the Kerberos Server is interoperable with the Windows 2000 Server(R)
and client. A Kerberos Server in the Windows 2000(R) environment can
talk to the HP-UX Kerberos server, for cross-realm authentication.

Introduction to the Kerberos Products and GSS-API
HP Kerberos Server
Chapter 2 67
Choice of C-Tree or LDAP Database
Kerberos server version 3.12 allows you to use a C-Tree or an LDAP
database as the backend database. By integrating the Kerberos
principals with the corresponding users in the LDAP directory, you store
data in a common repository. For more information, see Kerberos Server
Version 3.12 Administrator’s Guide (5991-7686) on www.docs.hp.com.
Auto-Configuration Tool
An automated tool named, krbsetup, has been provided to
auto-configure your Kerberos Server. Using this tool, you can configure,
unconfigure, start, and stop the kdcd and the kadmind daemons. This
tool is installed in the following directory:
/opt/krb5/sbin
The krbsetup tool automatically creates your configuration files,
krb.conf and krb.realms, kpropd.ini files and places them in the
/opt/krb5 directory. The sections in the configuration files is set to its
default values. If you want to customize these sections, you must
manually edit the configuration files and restart the kdcd and kadmind
daemons using this tool.
You can also use the krbsetup tool to configure your secondary security
servers.

Introduction to the Kerberos Products and GSS-API
Generic Security Service Application Programming Interface (GSS-API)
Chapter 268
Generic Security Service Application
Programming Interface (GSS-API)
The GSS-API provides authentication, integrity, and confidentiality
services to the calling application.
Figure 2-4 shows the libgss.sl shared library, which is independent of
underlying security mechanisms. The figure illustrates how the
underlying security mechanisms -- such as Kerberos, Simple Public Key
Management (SPKM) -- work with respect to the GSS-API library. If you
are developing applications using GSS-APIs, you do not have to change
the application’s code whenever the underlying security mechanism is
changed. Instead, you can change the underlying security mechanism at
runtime using the configuration options.
Figure 2-4 GSS-API Library

Introduction to the Kerberos Products and GSS-API
Generic Security Service Application Programming Interface (GSS-API)
Chapter 2 69
With an Open System architecture, GSS-API provides portability in a
heterogeneous environment. It contains all the GSS-APIs specified in
RFC 2743. It is implemented as a package of C-language interfaces as
defined in RFC 2744, Generic Security Service API: C-bindings. The
Kerberos Version 5 GSS-API Mechanism is explained in RFC 1964.
GSS-API provides secure communication between two peers with a
security context established by an exchange of tokens. As shown in
Figure 2-5, GSS-API is independent of communication protocols. The
GSS-API libraries on the two hosts are responsible for creating and
processing the tokens, but the application is responsible for transporting
the tokens between the client and the server.
Figure 2-5 GSS-API
Operation
It is the GSS-API caller’s responsibility to transfer GSS-API-provided
data element to the peer end to parse communicated messages, and to
separate GSS-API related data elements from caller-provided data.
GSS-API provides either context level tokens or per-message tokens for
the caller to transport and get the results.
Application Application
GSS-API Transport Transport GSS-API
Mech-1 Mech-2 Mech-1 Mech-2

Introduction to the Kerberos Products and GSS-API
Generic Security Service Application Programming Interface (GSS-API)
Chapter 270
GSS-API filesets are listed in Table 2-8 and Table 2-9.
Following lists the services that the GSS-API interface provides:
•“Credential Management Services” on page 71
Table 2-8 GSS-API Libraries
Library Availability Functionality
•Itanium 32 -
/usr/lib/hpux32/libgss.so
•PA-RISC 32 - /usr/lib/libgss.sl
•Itanium 64 -
/usr/lib/hpux64/libgss.so
•PA-RISC 64 -
/usr/lib/pa20_64/libgss.sl
This is the front-end
GSS-API library,
which has all the
GSS-APIs
Table 2-9 Additional files in the GSS-API product
File Types File Names
Header files /usr/include/gssapi/gssapi.h
/usr/include/gssapi.h (a link to
/usr/include/gssapi/gssapi.h)
/usr/include/gssapi_ext.h (a link to
/usr/include/gssapi/gssapi_ext.h)
Configuration /etc/gss/mech
/etc/gss/qop
/etc/gss/gsscred.conf
Examples In the /usr/contrib/gssapi/sample directory
/usr/contrib/gssapi/sample/README - README
file for the samples
manpages The English-language manpages for all the
GSS-APIs are under /usr/share/man/man3.Z.
(The manpages in the Japanese manpage filesets
are also available in English.)

Introduction to the Kerberos Products and GSS-API
Generic Security Service Application Programming Interface (GSS-API)
Chapter 2 71
•“Context Level Services” on page 71
•“Authentication Services” on page 72
•“Confidentiality Service” on page 72
•“Support Services” on page 72
Credential Management Services
Credential management function calls acquire and release credentials by
principals.
Applications are responsible for establishing a security mechanism based
on the initial credentials. GSS-API mechanisms are responsible for
management of credentials on the local machine.
The GSS-API function calls for credential management are:
•gss_acquire_cred: Obtain credentials for use
•gss_release_cred: Release credentials after use
•gss_add_cred: Adds credential elements incrementally
•gss_inquire_cred: Display information about credentials
Context Level Services
Context level function calls manage security context between peers. A
context’s initiator calls gss_init_sec_context(), resulting in
generalization of a token that the caller passes to the target. The target
then passes the token to gss_accept_sec_context(). It can take
multiple exchanges of tokens to establish the security context depending
on the options used.
The GSS-API context level function calls are:
•gss_init_sec_context: Initiate outbound security context
•gss_accept_sec_context: Accept inbound security context
•gss_delete_sec_context: Remove context that is no longer needed
•gss_export_sec_context: Transfer context to other process
•gss_import_sec_context: Import context from other process
•gss_inquire_context: Display information about context

Introduction to the Kerberos Products and GSS-API
Generic Security Service Application Programming Interface (GSS-API)
Chapter 272
•gss_context_time: Indicate validity time remaining in context
Authentication Services
Two sets of per-message calls provide security to the context. The
gss_get_mic() and gss_verify_mic()function calls provide data
origin authentication and data integrity services. The gss_wrap() and
gss_unwrap() function calls support caller requested confidentiality. For
more information, see “Confidentiality Service” on page 72.
The gss_get_mic() function call generates a token. The peer that
receives the application data along with the message token verifies the
communication using gss_verify_mic().
Each deployment can select their own configurable Quality Of Protection
(QOP) options.
In summary, per-message calls that authenticate messages are:
•gss_get_mic: Apply integrity check, receive as token separate from
message
•gss_verify_mic: Validate integrity check token along with message.
Confidentiality Service
GSS-APIs provide confidentiality with the gss_wrap() and
gss_unwrap() functions. The output of gss_wrap() is passed to the
remote peer encapsulated and optionally encrypted with the associated
token. This data element is an input to gss_unwrap() at the target,
where it is decapsulated or optionally decrypted.
In summary, the APIs for confidentiality service include the following:
•gss_wrap: Sign, optionally encrypt, encapsulate
•gss_unwrap: Decapsulate, decrypt if needed, validate integrity
check.
Support Services
GSS-API support services include the following APIs:
•gss_display_status: Translate status codes into printable format
•gss_indicate_mechs: Indicate supported mech_type on local system

Introduction to the Kerberos Products and GSS-API
Generic Security Service Application Programming Interface (GSS-API)
Chapter 2 73
•gss_compare_name: Compare two names
•gss_display_name: Translate name to printable format
•gss_import_name: Convert printable name to normalized form
•gss_release_name: Free storage of name
•gss_release_buffer: Free storage of general GSS-allocated object
•gss_release_OID_set: Free storage of OID set object
•gss_create_empty_OID_set: Create empty OID set
•gss_add_OID_set_member: Add member to OID set
•gss_test_OID_set_member: Test if OID is a member of a OID set
•gss_inquire_names_for_mech: Indicate name types supported
•gss_inquire_mechs_for_name: Indicates mechanisms supporting
name type
•gss_canonicalize_name: Translate name to per mechanism form
•gss_export_name: Externalize per-mechanism name
•gss_duplicate_name: Duplicate name object
•gss_inquire_cred_by_mech: Provides per-mechanism information
about a credential
•gss_process_context_token:
•gss_wrap_size_limit: Determines a token-size limit for gss_wrap
in a context

Introduction to the Kerberos Products and GSS-API
Generic Security Service Application Programming Interface (GSS-API)
Chapter 274

Chapter 3 75
3 Configuring the Kerberos
Environment
This chapter describes the files and procedures that are used to configure
Kerberos on HP-UX.

Configuring the Kerberos Environment
Chapter 376
It contains the following sections:
•“Configuration Files for Kerberos Clients” on page 77
•“Configuration Files for GSS-API” on page 82
•“Configuring the Kerberos Server” on page 85
—“Configuring Your Microsoft Windows 2000 KDC” on page 85
•“Configuring the Kerberos Client” on page 87
•“Configuring for PAM Kerberos” on page 88

Configuring the Kerberos Environment
Configuration Files for Kerberos Clients
Chapter 3 77
Configuration Files for Kerberos Clients
Table 3-1 lists and describes the files that you use to configure a
Kerberos server or a Kerberos client using PAM Kerberos. Samples of all
the configuration files shown in the table are listed in the Appendices.
Table 3-1 Kerberos Configuration Files
Purposes Kerberos
Server Kerberos
Client PAM
Kerberos
Configure
Kerberos as
the module for
authentication
and password
management
N/A N/A /etc/pam.
conf
Specify the
defaults and
the location of
the Kerberos
server
/opt/krb5/krb.
conf
/etc/krb5.conf /etc/krb5.
conf
Associate the
Kerberos
services with
the ports
/etc/services /etc/services /etc/servi
ces
Specify
Kerberos
configuration
information
including
defaults used
to issue
Kerberos
tickets
/opt/krb5/krb.
conf
/opt/krb5/krb.
realms
N/A N/A

Configuring the Kerberos Environment
Configuration Files for Kerberos Clients
Chapter 378
pam.conf The configuration file /etc/pam.conf controls the behavior of the PAM
modules. The pam.conf file contains a listing of system entry services,
each of which is paired with its corresponding service module. When a
service is requested, its associated module is invoked.
Each entry has the following format:
<service_name> <module_type> <control_flag> <module_path> <options>
The following is a sample entry for PAM Kerberos in the pam.conf file on
HP-UX 11.0 and 11i v1:
login auth required /usr/lib/security/libpam_krb5.1 debug
ftp auth required /usr/lib/security/libpam_unix.1
The following is a sample entry for PAM Kerberos in the pam.conf file on
HP-UX 11i v2 and HP-UX 11i v3:
login auth required libpam_krb5.so.1 debug
ftp auth required libpam_unix.1
As mentioned in Chapter 2, “Introduction to the Kerberos Products and
GSS-API,” on page 31 the PAM Kerberos module provides functionality
for the authentication (auth), and password management (password)
modules.
Using either the required, optional, or sufficient option, the
control_flag field determines the priority and behavior of the modules
stacked for a module_type. For example,
login auth sufficient /usr/lib/security/libpam_krb5.1 debug
login auth required /usr/lib/security/libpam_unix.1
The PAM Kerberos options are renewable=<time>, forwardable,
proxiable, use_first_pass, try_first_pass, ignore, and debug.
For more information, see the pam. conf(4) and the pam_krb5(5)
manpages.
Appendix A, “Sample pam.conf File,” on page 105 contains a sample
/etc/pam.conf file.
In the HP-UX 11i version, a sample pam.conf file for Kerberos is
available as /etc/pam.krb5.

Configuring the Kerberos Environment
Configuration Files for Kerberos Clients
Chapter 3 79
krb5.conf The krb5.conf file specifies the defaults for the REALM and Kerberos
applications, mappings of the hostnames onto Kerberos REALMs, and the
location of KDCs for Kerberos REALMs. Application clients depend on the
configuration file /etc/krb5.conf to locate the REALM's KDC.
The [libdefaults] section of the krb5.conf file specifies various
parameters for the Kerberos library. In order for the utility klist to
work with PAM Kerberos, it must include “ccache_type = 2.”
[libdefaults]
default_realm = KDC.SUBDOMAIN.DOMAIN.COM
default_tkt_enctypes = DES-CBC-CRC
default_tgs_enctypes = DES-CBC-CRC
ccache_type = 2
The [realms] section of the krb5.conf file specifies the KDC server and
the Kerberos admin server, kadmind that manages the administration
interface to KDC.
The default ports used by Kerberos are port 88 for the KDC, port 749 for
the kadmin service, and port 751 for kpasswd. You can optionally choose
to run on other ports, as long as the ports are specified in each host’s
/etc/services, and in the krb5.conf files.
[realms]
KDC.SUBDOMAIN.DOMAIN.COM = {
kdc = hostname.subdomain.domain.com:88
admin_server = hostname.subdomain.domain.com:749
}
To configure for multiple Kerberos REALMs, list them in the order of
priority, as in the following example:
[libdefaults]
default_realm = KDC1.SUBDOMAIN.DOMAIN.COM
default_tkt_enctypes = DES-CBC-CRC
default_tgs_enctypes = DES-CBC-CRC
ccache_type = 2
[realms]
KDC1.SUBDOMAIN.DOMAIN.COM = {
kdc = hostname1.subdomain.domain.com:88
admin_server = hostname1.subdomain.domain.com:749
}
KDC2.SUBDOMAIN.DOMAIN.COM = {
kdc = hostname2.subdomain.domain.com:88
admin_server = hostname2.subdomain.domain.com:749

Configuring the Kerberos Environment
Configuration Files for Kerberos Clients
Chapter 380
}
[domain_realm]
.subdomain.domain.com = KDC1.SUBDOMAIN.DOMAIN.COM
.subdomain.domain.com = KDC2.SUBDOMAIN.DOMAIN.COM
The ldapux_multidomain Option
The ldapux_multidomain option needs to be set to 1 by the
administrator if the realm name of the user needs to be obtained from
the W2K multidomain. See the ldapux (5) manpage for more information
to configure W2K multidomain.
The appdefaults Section
The appdefaults section denotes the default values used by Kerberos V5
applications.
Each tag in the [appdefaults] section names a Kerberos V5
application. The value of the tag is a subsection with relations that
define the default behaviors for that application. For example:
[appdefaults]
kinit = {
forwardable = true
}
You can find the list of options for each application in the respective
application manpages. The application defaults specified in this section
are overridden by those specified in the [realms] section.
See the krb5.conf(4) manpage for more information.
Appendix B, “Sample krb5.conf File,” on page 111 contains a sample copy
of the /etc/krb5.conf file.
In the HP-UX 11i version of the operating system, a sample krb5.conf
file is available as /etc/krb5.conf.sample.
The services File
The services file contains entries that allow client applications to
establish socket connections to the KDC or to the application servers. A
Kerberos client requires the following entries in the /etc/services file:
#
# PAM Kerberos services
#

Configuring the Kerberos Environment
Configuration Files for Kerberos Clients
Chapter 3 81
kerberos5 88/udp kdc # Kerberos authentication
kerberos5 88/tcp kdc # Kerberos authentication
kerberos-adm 749/tcp kerberos_adm # Kerberos admin/changepw
kerberos-cpw 751/tcp kerberos_master # Kerberos changepw
krb5_prop 754/tcp # Kerberos slave propogation
For more information on services, see services(4).

Configuring the Kerberos Environment
Configuration Files for GSS-API
Chapter 382
Configuration Files for GSS-API
Following configuration files are essential for proper functioning of
GSS-API:
•“The mech File” on page 82
•“The /etc/gss/qop File” on page 83
•“The gsscred.conf File” on page 84
NOTE IPv6 support for GSS-API has been enabled only for the Itanium
binaries on HP-UX 11i v2 and HP-UX 11i v3 systems.
The mech File
The mechanism file, or mech file (/etc/gss/mech) specifies the
underlying security mechanism. Table 3-2 lists and describes the entries
in the mech file.
Table 3-2 Entries in the mech file
Column Description
First column Contains the names of the back-end security
mechanism that support GSSAPI.
Second
column Contains the Object Identifier (OID).

Configuring the Kerberos Environment
Configuration Files for GSS-API
Chapter 3 83
You can use the GSSAPI_MECH_CONF environment variable to change the
path of the mechanism file (/etc/gss/mech) file.
Example mech File on HP-UX 11.0 and HP-UX 11i v1
# Mechanism Name Object Identifier Shared Library
#
krb5_mech 1.2.840.113554.1.2.2 libgssapi_krb5.sl
Example mech File on HP-UX 11i v2
# Mechanism Name Object Identifier Shared Library
#
krb5_mech 1.2.840.113554.1.2.2 libgssapi_krb5.so
Example mech File on HP-UX 11i v3
# Mechanism Name Object Identifier Shared Library Kernel Module
#
krb5_mech 1.2.840.113554.1.2.2 libgssapi_krb5.so krb5
The /etc/gss/qop File
The /etc/gss/qop file contains information about the GSSAPI-based
Quality Of Protection (QOP) for each underlying security mechanism.
Third column Contains the name of the shared library that
implements the back-end security mechanism for
GSSAPI.
The back-end library must be placed in the
/usr/lib/gss path for 32-bit and the
/usr/lib/pa20_64/gss path for 64-bit versions
on PA-RISC based systems.
The back-end library has to be placed in the
/usr/lib/hpux32/gss path for 32-bit and the
/usr/lib/hpux64/gss path for 64-bit versions on
Itanium based systems.
Fourth
column This is an optional field. In HP-UX 11i v3, this
field lists the krb5 kernel module.
Table 3-2 Entries in the mech file (Continued)
Column Description

Configuring the Kerberos Environment
Configuration Files for GSS-API
Chapter 384
QOP values are used with the Kerberos V5 GSS-API mechanism as
input to gss_wrap() and gss_get_mic() in order to select alternate
integrity and confidentiality algorithms.
Table 3-3 shows the format of the /etc/gss/qop file:
Following is a sample /etc/gss/qop file:
# QOP string QOP Value Mechanism Name
#
GSS_KRB5_INTEG_C_QOP_DES_MD5 0 krb5_mech
The gsscred.conf File
Use the gsscred.conf file to determine the underlying gsscred
backend used to store the gsscred table. In HP-UX, it must contain an
entry only as files.
Following is a sample /etc/gss/gsscred.conf file:
# gsscred configuration file
#
# Valid gsscred backend mechanisms are
# files
#
files
Table 3-3 Format of the /etc/gss/qop file
Column Description
First column Specifies the string name of QOP.
Second column Contains its QOP value (32-bit
integer).
Third column Contains names of the security
mechanism.

Configuring the Kerberos Environment
Configuring the Kerberos Server
Chapter 3 85
Configuring the Kerberos Server
You can configure a Kerberos client in the same way whether your KDC
server is a Kerberos server on HP-UX 11i or a Microsoft 2000 KDC
server. However, for a Microsoft Windows 2000 KDC server or the
Kerberos server on HP-UX 11i, the server configuration procedures are
different. To configure a Microsoft Windows 2000 KDC server or
Kerberos server on HP-UX 11i, you must follow the KDC Server
configuration instructions accompanied with your server software.
You can configure your Kerberos server with C-Tree or LDAP as the
backend database. For instructions on configuring HP’s Kerberos Server,
see Kerberos Server Version 3.12 Administrator’s Guide (5991-7686)
available on www.docs.hp.com.
Configuring Your Microsoft Windows 2000 KDC
To configure your Microsoft Windows 2000 KDC, complete the following
steps:
1. Use the Active Directory Management tool to create a new account
for the UNIX host:
•From Administrators Tools, select Active Directory Users and
Computers.
•Select the Users folder, select Action from the top menu, click
New, then click User.
•Add the name of a UNIX host as a user by entering the hostname
as the user name, and host/hostname as user logon name.
2. Create a keytab file for the Kerberos client on Microsoft Windows
2000 KDC.
•Locate ktpass on Microsoft Windows 2000
•Use ktpass to create the KEYTAB file and set up the account for
the UNIX host.
C:> ktpass -princ host/hostname@NT-DNS-REALM-NAME
-mapuser hostname -pass your-password -out
hostname.keytab
where:

Configuring the Kerberos Environment
Configuring the Kerberos Server
Chapter 386
— hostname is the unix host DNS name.
— NT-DNS-REALM-NAME is the uppercase name of the Windows
2000 domain. All domain names should be in upper case.
—your-password is the password for this principal, hostname.
This step creates an account in the name of
host/hostname.subdomain.domain.com.
3. Follow step 3 under “Configuring the Kerberos Client” on page 87 to
merge the KEYTAB file at the Kerberos client system.
4. For each user in the Kerberos client, create a Kerberos principal in
the KDC Server:
•From Administrators Tools, select the Active Directory Users
and Computers.
•Select the Users folder, select Action from the top menu, click
New, then click User.
•Add the name of each UNIX user by entering the user’s first and
last name, login name, and user’s password.

Configuring the Kerberos Environment
Configuring the Kerberos Client
Chapter 3 87
Configuring the Kerberos Client
To configure the Kerberos Client, complete the following steps:
1. Edit the configuration files, /etc/krb5.conf and /etc/services as
described in “Configuration Files for Kerberos Clients” on page 77.
2. All Kerberos systems need a KEYTAB file (/etc/krb5.keytab) to
authenticate themselves to the KDC. Create a KEYTAB file for each
KDC client on your KDC Server.
3. Transfer (ftp) the KEYTAB file from the KDC Server to the client
without overwriting any keys installed for other applications. For
example, use /tmp/hostname.keytab as the temporary destination
filename. Use the Kerberos utility ktutil to merge the KEYTAB data.
The following example shows how to merge the keytab using ktutil:
$ /usr/sbin/ktutil
ktutil: rkt /tmp/hostname.key
ktutil: list
You can view the KEYTAB file using klist command. For example:
# klist -k
Keytab name: FILE:/etc/krb5.keytab
KVNO Principal
----------------------------------------------------------
-
2 host/hostname.domain.com@KDC.SUBDOMAIN.DOMAIN.COM
4. If the UNIX users do not exist, add the equivalent KDC users as
UNIX users in the UNIX /etc/passwd password file. When creating
a credential file for a user, the user’s entry in the /etc/passwd is
accessed for its UID number.
5. Synchronize the KDC client’s clock to the KDC server’s clock (within
two minutes).

Configuring the Kerberos Environment
Configuring for PAM Kerberos
Chapter 388
Configuring for PAM Kerberos
If you want to run PAM Kerberos, after you complete KDC client
configuration from the previous section, you must edit the PAM
configuration files for PAM Kerberos. Using the /etc/pam.krb5 file as
an example, edit the /etc/pam.conf as described in “Configuration Files
for Kerberos Clients” on page 77.

Chapter 4 89
4 Troubleshooting Kerberos
Related Products
This chapter explains the error messages that you can encounter while
using the Kerberos client products.

Troubleshooting Kerberos Related Products
Troubleshooting PAM Kerberos
Chapter 4 91
Troubleshooting PAM Kerberos
The PAM Kerberos module returns debug and error messages that are
logged using the syslog utility. Use the appropriate syslog log levels to
gather more information about error scenarios.
Debug logging is enabled using the debug option in the /etc/pam.conf
file for Kerberos PAM module, as shown in following example:
login auth sufficient /usr/lib/security/libpam_krb5.1 debug
When using the debug option, make sure you designate a log file for
debugging by modifying the /etc/syslog.conf file. For example:
*.debug<tab>/var/adm/syslog/pam.log
You can instruct the syslog daemon, /etc/syslogd, to re-read its
configuration file by sending it a HANGUP signal as follows:
kill -HUP ‘cat /var/run/syslog.pid‘
The syslog also contains all the authentication messages for ARPA
services such as ftp and telnet. For more information, see the
syslogd(1M) manpage.
In addition, the syslog contains PAM error codes from the
/usr/include/security/pam_appl.h include file. Table 4-1 provides a
list of error codes with the suggested corrective actions.
Table 4-1 Error Codes and Corrective Actions
Error
No. PAM Error Code Meaning Reason/ Corrective
Actions
1PAM_SYSTEM_ERR System error Generic System Error. See
syslog outputs for specific
information.
2PAM_BUF_ERR Memory buffer
error Ensure that sufficient
system memory is
available for all processes.
3PAM_PERM_DENIED No permission Check the
permissions/ACLs.

Troubleshooting Kerberos Related Products
Troubleshooting PAM Kerberos
Chapter 492
4PAM_AUTH_ERR Authentication
failure The user's password may
be wrong, or the host
machine identity is not
present, or the credential
cache may not be writable.
5PAM_CRED_INSUFFICIENT Cannot access
authentication
data: insufficient
credentials
6PAM_AUTHINFO_UNAVAIL Authentication
service not
available
KDC Server is down or not
reachable.
7PAM_USER_UNKNOWN User unknown to
Kerberos service Ensure that the user is
present in Kerberos KDC.
8PAM_CRED_UNAVAIL Cannot retrieve
user credentials KRB5CCNAME is not set or
the credential file does not
exist or the user is not
permitted to use the
credential cache.
9PAM_CRED_EXPIRED User credentials
expired Credential expired.
Re-initialize the
credentials.
10 PAM_CRED_ERR Failure setting
user credentials Check user's permissions
to write to credential
cache.
11 PAM_ACCT_EXPIRED User account has
expired Ensure that the user's
account is valid.
12 PAM_AUTHTOK_ERR Authentication
token
manipulation
error.
Check the password
entered.
Table 4-1 Error Codes and Corrective Actions (Continued)
Error
No. PAM Error Code Meaning Reason/ Corrective
Actions

Troubleshooting Kerberos Related Products
Troubleshooting PAM Kerberos
Chapter 4 93
13 PAM_AUTHTOK_RECOVE
RY_ERR Authentication
information
cannot be
recovered.
Old password is not
correct.
14 PAM_TRY_AGAIN Preliminary check
by password
service failed.
Try again.
15 OTHER Errors See the syslog(1M)
manpage for more specific
information.
Table 4-1 Error Codes and Corrective Actions (Continued)
Error
No. PAM Error Code Meaning Reason/ Corrective
Actions

Troubleshooting Kerberos Related Products
Troubleshooting the Kerberos Client Utilities
Chapter 494
Troubleshooting the Kerberos Client Utilities
Kerberos utilities, kdestroy, kinit, klist, and kpasswd can return
the following errors. Table 4-2 provides a list of errors with their
meaning and suggested corrective actions for each error.
Table 4-2 Kerberos Client Error Codes
Error
No. Error Meaning Reason/Corrective
Action
1kdestroy: No credentials
cache file found while
destroying cache. Ticket
cache not destroyed!
The credentials cache file
was not found. The credential file may
have been deleted.
Recreate the credentials
(TGT) using kinit.
2kinit: Key table entry
not found while getting
initial credentials.
The local keytab file does
not contain the key for
the principal whose
credentials are being
requested.
Add the principal key
entry to the keytab file.
3kinit: Client not found
in Kerberos database
while getting initial
credentials.
The principal whose
credentials are being
requested does not exist
in the Kerberos database.
Verify that there is a
principal entry
available for the client
in the Kerberos
database. If there is no
entry, you must create
it.
4klist: No credentials
cache file found No credentials cache file
was found. This could be due to the
deletion of credentials.
Recreate the credentials
using kinit or if the
credential file is
different from the one
indicated by klist;
then export the
KRB5CCNAME
environment variable to
specify the correct
filename.

Troubleshooting Kerberos Related Products
Troubleshooting the Kerberos Client Utilities
Chapter 4 95
You can find Kerberos V5 Library Error Codes from Appendix A of MIT’s
Kerberos V5 System Administrator’s Guide.
5klist: No such file or
directory while starting
keytab scan
The keytab file was not
found. (The default
location of the keytab file
is /etc/krb5.keytab.)
Verify the keytab file. If
the keytab file does not
exist, create the keytab
file with specific entries.
If the keytab file
location is different
from the default
location, then use -t
option to specify the
correct location.
6klist: Bad format in
credentials cache while
setting cache flags
The credential cache file
is not in the proper
format.
Reinitialize the
credentials by using
kinit.
7kpasswd: New passwords
do not match - password
not changed.
The principal whose
password you want to
change does not exist in
the Kerberos database.
Create a principal entry
in Kerberos database.
8kpasswd: Unknown
credential cache type
while reading principal
name from credential
cache.
The credential cache file
is of an unknown type. Credential file may be
corrupted. Obtain the
credentials using kinit.
9 KDC has no support for
encryption type while
getting credentials.
Encryption type
requested for the session
key is not supported.
Use the supported
encryption type.
10 kpasswd: when kpasswd
gets the principal from
the cache file, it finds the
principle in bad format.
Check user's permissions
to write to credential
cache.
Credential file may be
corrupted. Obtain the
credentials using
kinit.
Table 4-2 Kerberos Client Error Codes (Continued)
Error
No. Error Meaning Reason/Corrective
Action

Troubleshooting Kerberos Related Products
Troubleshooting GSS-API
Chapter 496
Troubleshooting GSS-API
This section provides troubleshooting tips for GSS-API.
Error Codes
It is the responsibility of the application programmer to check for the
major and minor status values. For debugging purposes, HP recommends
using the gss_display_status() function call for getting the textual
representation of a GSS-API status code that can be displayed to a user
or used for logging.
Major and Minor Status Values
Major status values are generic API routine errors or calling errors
defined in RFC 2744.
Minor status values indicate mechanism-specific errors. Minor status
values usually contain more detailed information about the error. They
are not, however, portable between GSS-API implementations.
When designing portable applications, use major status values for
handling errors. Use minor status values to debug applications and to
display error and error-recovery information to users.
Common GSS-API Errors
Table 4-3 lists common GSS-API errors and their meanings:
Table 4-3 Common GSS-API Errors
Error
No. Name Meaning
1GSS_S_BAD_MECH The required
mechanism is
unsupported.
2GSS_S_BAD_NAME The name passed is
invalid.

Troubleshooting Kerberos Related Products
Troubleshooting GSS-API
Chapter 4 97
Calling Error Values
3GSS_S_BAD_NAMETYPE The name type passed
is unsupported.
4GSS_S_BAD_BINDINGS The channel bindings
are incorrect.
5GSS_S_BAD_STATUS A status value is
invalid.
6GSS_S_BAD_SIG A token has an invalid
signature.
7GSS_S_NO_CRED No credentials are
supplied.
8GSS_S_NO_CONTEXT No context established.
9GSS_S_DEFECTIVE_TOKEN Invalid token.
10 GSS_S_DEFECTIVE_CREDENTIAL Invalid credential.
11 GSS_S_CREDENTIALS_EXPIRED The referenced
credentials expired.
12 GSS_S_CONTEXT_EXPIRED The context expired.
13 GSS_S_FAILURE The routine failed.
14 GSS_S_BAD_QOP The quality of
protection requested
cannot be provided.
15 GSS_S_UNAUTHORIZED The operation is
forbidden by local
security policy.
Table 4-3 Common GSS-API Errors (Continued)
Error
No. Name Meaning

Troubleshooting Kerberos Related Products
Troubleshooting GSS-API
Chapter 498
Table 4-4 lists the calling error values and their meanings:
Supplementary Bits
Table 4-5 lists the supplementary bit values and their meanings:
Table 4-4 Calling Errors
Error
No. Name Meaning
1GSS_S_CALL_INACCESSIBLE_READ Cannot read a
required input
parameter.
2GSS_S_CALL_INACCESSIBLE_WRITE Cannot write a
required output
parameter.
3GSS_S_BAD_STRUCTURE Cannot structure
parameter
correctly.
Table 4-5 Supplementary Bits
Bit
No. Name Meaning
0GSS_S_CONTINUE_NEEDED Call the routine again
to complete its
function.
1GSS_S_DUPLICATE_TOKEN The token is a
duplicate of an earlier
token.
2GSS_S_OLD_TOKEN The token’s validity
period expired; the
routine cannot verify
that the token is not a
duplicate of an earlier
token.
3GSS_S_UNSEQ_TOKEN A later token has been
processed.

Troubleshooting Kerberos Related Products
Troubleshooting GSS-API
Chapter 4 99
Other Common Causes of Errors
Other common causes of errors include the following:
•If KRB5-Client product is not installed, you can get an error trying to
use gssapi with /etc/gss/mech configured to krb5_mech.
•Improper permissions of the libgssapi_krb5.sl /
libgssapi_krb5.so library.
•Specifying the full path of the backend library in the /etc/gss/mech
(for example, when using the 64-bit library, one should not specify
the library path as /usr/lib/pa20_64/gss/libgssapi_krb5.sl,
but only as libgssapi_krb5.sl ; then the 64-bit libgss.sl library
will take care of linking it).
•Absence of GSS-API configuration files.
•In case of GSSAPI-SSPI interoperability, the entries must use the
DES-CBC-MD5 encryption type instead of the default
DES-CBC-CRC.
NOTE There is a sample GSS-API client-server application in the
/usr/contrib/gssapi/sample directory that you can use for
troubleshooting.
You can find additional GSS-API Error Codes from the Appendix A of
MIT’s Kerberos V5 System Administrator’s Guide.

Troubleshooting Kerberos Related Products
Troubleshooting Using the pamkrbval Tool
Chapter 4100
Troubleshooting Using the pamkrbval Tool
This section provides tips for troubleshooting with the pamkrbval tool.
When you use the pamkrbval tool for troubleshooting, you can get error
messages when validating the keytab file.
NOTE Use the pamkrbval command with the -c option to troubleshoot
CIFS-related issues.
Table 4-6 lists various errors that can occur and provides methods to
troubleshoot the errors.
Table 4-6 Error Messages that Appear During keytab Validation
Error/Warning Messages Reason for Message Troubleshooting
[WARNING] :
host/example.com@EXAMPLE.C
OM found on KDC but not
found in keytab file
[FAIL] : The keytab
validation Failed
The keytab validation
has failed because the
key table entry is not
found in the client’s
keytab file. There is a
host principal present at
the KDC.
Extract the keytab entry for
the host principal on your
system.
[WARNING] : Client not
found in Kerberos database
[WARNING] : The keytab
entry for the host service
principal
host/example.com@EXAMPLE.C
OM is invalid
[FAIL] : The keytab
validation Failed
The keytab validation
has failed because there
is no keytab entry in the
client’s keytab file and
KDC.
You must create the keytab
entry on the Kerberos server
and extract this keytab entry
on your system.

Troubleshooting Kerberos Related Products
Troubleshooting Using the pamkrbval Tool
Chapter 4 101
[WARNING] : Key incorrect
[WARNING] : The keytab
entry for the host service
principal
host/example.com@EXAMPLE.C
OM is invalid
[FAIL] : The keytab
validation Failed
There is a key mismatch
between the client and
the server.
Get the new keytab entry with
the correct key from the
Kerberos server.
/pamkrbval: Cannot contact
any KDC for requested
realm while getting TGT
[FAIL]: The keytab
validation failed
The KDC is not
accessible. Check that the KDC daemons
are running.
[LOG] : The keytab entry
for
host/cherry.example.com is
not found in keytab file
/etc/krb5.keytab
[FAIL]: The keytab
validation failed
The keytab entry for the
host service principal is
not available.
•You must create the
keytab entry on the
Kerberos server and
extract this keytab entry
on your system.
•Regenerate the keytab file
in the CIFS environment
and check that the service
key for host/fqdn is
present in the file.
Execute the following
command to regenerate
the keytab file:
net ads keytab create –U
administrator
Table 4-6 Error Messages that Appear During keytab Validation
Error/Warning Messages Reason for Message Troubleshooting

Troubleshooting Kerberos Related Products
Troubleshooting Using the pamkrbval Tool
Chapter 4102
[LOG] : The keytab entry
for host/cherry is not
found in keytab file
/etc/krb5.keytab
[FAIL]: The keytab
validation failed
The keytab entry for the
host service principal is
not available. This error
only occurs in the CIFS
environment.
Regenerate the keytab file in
the CIFS environment and
check that the service key for
host/simple hostname is
present in the file. Execute the
following command to
regenerate the keytab file:
net ads keytab create –U
administrator
[LOG] : Key table entry
not found in keytab file
/etc/krb5.keytab, ignoring
keytab entry validation
[IGNORE]: The keytab
validation is ignored,
assuming success
The keytab entry for the
host service principal is
not available.
•Extract the key from the
Kerberos Server using the
kadminl tool and copy it to
your system.
•In a CIFS environment,
regenerate the keytab file
and check that the service
key for host/fqdn is
present in the file.
Execute the following
command to regenerate
the keytab file:
net ads keytab create –U
administrator
Table 4-6 Error Messages that Appear During keytab Validation
Error/Warning Messages Reason for Message Troubleshooting

Troubleshooting Kerberos Related Products
Troubleshooting Using the pamkrbval Tool
Chapter 4 103
pamkrbval: Key version
number for principal in
key table is incorrect
while reading request
[FAIL]: The keytab
validation failed
The key has been
changed on the server
but has not been
updated in the user’s
system.
•Extract the key from the
Kerberos Server using the
kadminl tool and copy it to
your system.
•In a CIFS environment,
update the keytab file
with the current service
key by regenerating the
keytab file again. Execute
the following command to
regenerate the keytab file:
net ads keytab create –U
administrator
pamkrbval: Decrypt
integrity check failed
While getting TGT
[FAIL]: The keytab
validation failed
The key has been
changed on the server
but has not been
updated in the user’s
system.
•Extract the key from the
Kerberos Server using the
kadminl tool and copy it to
your system.
•In a CIFS environment,
update the keytab file
with the current service
key by regenerating the
keytab file again. Execute
the following command to
regenerate the keytab file:
net ads keytab create –U
administrator
Table 4-6 Error Messages that Appear During keytab Validation
Error/Warning Messages Reason for Message Troubleshooting

Troubleshooting Kerberos Related Products
Troubleshooting Using the pamkrbval Tool
Chapter 4104

Appendix A 105
A Sample pam.conf File
The file presented below is /etc/pam.krb5, a sample pam.conf file that
comes with PAM Kerberos.

Sample pam.conf File
Appendix A106
On HP-UX 11.0 and HP-UX 11i v1
#
# PAM configuration
#
# Authentication management
#
login auth sufficient /usr/lib/security/libpam_krb5.1
login auth required /usr/lib/security/libpam_unix.1 try_first_pass
su auth sufficient /usr/lib/security/libpam_krb5.1
su auth required /usr/lib/security/libpam_unix.1 try_first_pass
dtlogin auth sufficient /usr/lib/security/libpam_krb5.1
dtlogin auth required /usr/lib/security/libpam_unix.1 try_first_pass
dtaction auth sufficient /usr/lib/security/libpam_krb5.1
dtaction auth required /usr/lib/security/libpam_unix.1 try_first_pass
ftp auth sufficient /usr/lib/security/libpam_krb5.1
ftp auth required /usr/lib/security/libpam_unix.1 try_first_pass
OTHER auth required /usr/lib/security/libpam_unix.1
#
# Account management
#
login account required /usr/lib/security/libpam_krb5.1
login account required /usr/lib/security/libpam_unix.1
su account required /usr/lib/security/libpam_krb5.1
su account required /usr/lib/security/libpam_unix.1
dtlogin account required /usr/lib/security/libpam_krb5.1
dtlogin account required /usr/lib/security/libpam_unix.1
dtaction account required /usr/lib/security/libpam_krb5.1
dtaction account required /usr/lib/security/libpam_unix.1
ftp account required /usr/lib/security/libpam_krb5.1
ftp account required /usr/lib/security/libpam_unix.1
OTHER account required /usr/lib/security/libpam_unix.1
#
# Session management
#
login session required /usr/lib/security/libpam_krb5.1
login session required /usr/lib/security/libpam_unix.1
dtlogin session required /usr/lib/security/libpam_krb5.1
dtlogin session required /usr/lib/security/libpam_unix.1
dtaction session required /usr/lib/security/libpam_krb5.1
dtaction session required /usr/lib/security/libpam_unix.1
OTHER session required /usr/lib/security/libpam_unix.1
#
# Password management
#
login password required /usr/lib/security/libpam_krb5.1

Sample pam.conf File
Appendix A 107
login password required /usr/lib/security/libpam_unix.1
passwd password required /usr/lib/security/libpam_krb5.1
passwd password required /usr/lib/security/libpam_unix.1
dtlogin password required /usr/lib/security/libpam_krb5.1
dtlogin password required /usr/lib/security/libpam_unix.1
dtaction password required /usr/lib/security/libpam_krb5.1
dtaction password required /usr/lib/security/libpam_unix.1
OTHER password required /usr/lib/security/libpam_unix.1

Sample pam.conf File
Appendix A108
On HP-UX 11i v2 and HP-UX 11i v3
#
# PAM configuration
#
# Notes: This pam.conf file is intended as an example only.
# If the path to a library is not absolute, it is assumed to be
# relative to one of the following directories:
# /usr/lib/security (PA 32-bit)
# /usr/lib/security/pa20_64 (PA 64-bit)
# /usr/lib/security/hpux32 (IA 32-bit)
# /usr/lib/security/hpux64 (IA 64-bit)
# The IA file name convention is normally used; for example:
# libpam_unix.so.1
# For PA libpam_unix.so.1 is a symbolic link to the PA library:
# ln -s libpam_unix.1 libpam_unix.so.1
# Also note that the use of pam_hpsec(5) is mandatory for some of the
# services. See pam_hpsec(5).
# Authentication management
#
login auth sufficient libpam_krb5.so.1
login auth required libpam_unix.so.1
try_first_pass
su auth sufficient libpam_krb5.so.1
su auth required libpam_unix.so.1
try_first_pass
dtlogin auth sufficient libpam_krb5.so.1
dtlogin auth required libpam_unix.so.1
try_first_pass
dtaction auth sufficient libpam_krb5.so.1
dtaction auth required libpam_unix.so.1
try_first_pass
ftp auth sufficient libpam_krb5.so.1
ftp auth required libpam_unix.so.1
try_first_pass
OTHER auth sufficient libpam_unix.so.1
#
# Account management
#
login account required libpam_krb5.so.1
login account required libpam_unix.so.1
su account required libpam_krb5.so.1
su account required libpam_unix.so.1
dtlogin account required libpam_krb5.so.1
dtlogin account required libpam_unix.so.1
dtaction account required libpam_krb5.so.1

Sample pam.conf File
Appendix A 109
dtaction account required libpam_unix.so.1
ftp account required libpam_krb5.so.1
ftp account required libpam_unix.so.1
OTHER account sufficient libpam_unix.so.1
#
# Session management
#
login session required libpam_krb5.so.1
login session required libpam_unix.so.1
dtlogin session required libpam_krb5.so.1
dtlogin session required libpam_unix.so.1
dtaction session required libpam_krb5.so.1
dtaction session required libpam_unix.so.1
OTHER session sufficient libpam_unix.so.1
#
# Password management
#
login password sufficient libpam_krb5.so.1
login password required libpam_unix.so.1
passwd password sufficient libpam_krb5.so.1
passwd password required libpam_unix.so.1
dtlogin password sufficient libpam_krb5.so.1
dtlogin password required libpam_unix.so.1
dtaction password sufficient libpam_krb5.so.1
dtaction password required libpam_unix.so.1
OTHER password sufficient libpam_unix.so.1

Sample pam.conf File
Appendix A110

Appendix B 111
B Sample krb5.conf File
The following is a /etc/krb5.conf.sample file, which is provided with
KRB5-Client from HP-UX 11i v2 onwards. You can modify this file for
use as your own krb5.conf file. Replace the underlined

Sample krb5.conf File
Appendix B112
KDC.SUBDOMAIN.DOMAIN.COM and
hostname.subdomain.domain.com with the name of your Kerberos
REALM and hostname.
[libdefaults]
default_realm = KDC.SUBDOMAIN.DOMAIN.COM
default_tkt_enctypes = DES-CBC-CRC
default_tgs_enctypes = DES-CBC-CRC
ccache_type = 2
checksum_type = 1
[realms]
KDC.SUBDOMAIN.DOMAIN.COM = {
kdc = hostname.subdomain.domain.com:88
admin_server = hostname.subdomain.domain.com:749
kpasswd_server = hostname.subdomain.domain.com
}
[domain_realm]
.subdomain.domain.com = KDC.SUBDOMAIN.DOMAIN.COM
[logging]
kdc = FILE:/var/adm/krb5kdc.log
admin_server = FILE:/var/adm/kadmin.log
default = FILE:/var/adm/krb5lib.log

Appendix C 113
C Sample krb.conf File
The following is a sample krb.conf.sample file available in the
following directory:
/opt/krb5/example

Sample krb.conf File
Appendix C114
Copy this sample file to /opt/krb5/krb.conf file and modify it to reflect
the hostnames and realm name of your realm.
Replace the underlined Your_Realm_Name, Your_Secondary_Server1,
Your_Secondary_Server2 and hostname.subdomain.domain.com with
the name of your Kerberos REALM, Primary and Secondary Servers
hostnames.
Your_Realm_Name
Your_Realm_Name Your_Secondary_Server1
Your_Realm_Name Your_Secondary_Server2
Your_Realm_Name host.subdomain.domain.com admin server
Given below is an example with a brief explanation of the krb.conf file.
BAMBI.COM
BAMBI.COM fox.bambi.com
BAMBI.COM goat.bambi.com
BAMBI.COM deer.bambi.com admin server #
Where:
•the realm name is
—BAMBI.COM
•the primary security server is
—deer.bambi.com
•the secondary security server 1 is
—fox.bambi.com
•the secondary security server 2 is
—goat.bambi.com

Appendix D 115
D Sample krb.realms File
The following is a sample krb.realms.sample file available in the
following directory:
/opt/krb5/example

Sample krb.realms File
Appendix D116
Replace the underlined Your_Realm_Name,
Your_Primary_Security_Server, Your_Secondary_Server_Server
and Your_Domain_Name with the name of your Kerberos REALM, primary
and secondary servers hostnames.
Your_Primary_Security_Server Your_Realm_Name #
.Your_Secondary_Security_Server Your_Realm_Name #
*.Your_Domain_Name Your_Realm_Name #
Given below is an example with a brief explanation of the krb.realms
file.
deer.bambi.com BAMBI.COM # map host directly
.fox.bambi.com BAMBI.COM # all hosts in domain
*.bambi.com BAMBI.COM # all the other hosts belonging
to the domain and sub-domains
Line one of the krb.realms file maps the host admin.bambi.com to the
BAMBI.COM realm.
Line two of the krb.realms file maps all hosts in the fox.bambi.com
domain to the BAMBI.COM realm.
NOTE The preceding dot in this line identifies the first field as a domain name
rather than a hostname.
Typically, this line is not required as the realm name, by default, is the
upper-case equivalent of the domain name.
Line three of the krb.realms file maps all hosts in the domain and
sub-domains with the root name bambi.com to the BAMBI.COM realm.

Appendix E 117
E Kerberos Error Messages
The following is a list of Kerberos Error Messages that you might
encounter while using the Kerberos server.

Kerberos Error Messages
Appendix E118
NOTE The error codes are denoted in capital letters, followed by their
respective error message.

Kerberos Error Messages
Kerberos V5 Library Error Codes
Appendix E 119
Kerberos V5 Library Error Codes
This is the Kerberos v5 library error code table. Protocol error codes are
ERROR_TABLE_BASE_krb5 + the protocol error code number; other
error codes start at ERROR_TABLE_BASE_krb5 + 128.
1. KRB5KDC_ERR_NONE: No error
2. KRB5KDC_ERR_NAME_EXP: Client’s entry in database has
expired
3. KRB5KDC_ERR_SERVICE_EXP: Server’s entry in database has
expired
4. KRB5KDC_ERR_BAD_PVNO: Requested protocol version not
supported
5. KRB5KDC_ERR_C_OLD_MAST_KVNO: Client’s key is encrypted in
an old master key
6. KRB5KDC_ERR_S_OLD_MAST_KVNO: Server’s key is encrypted in
an old master key
7. KRB5KDC_ERR_C_PRINCIPAL_UNKNOWN: Client not found in
Kerberos database
8. KRB5KDC_ERR_S_PRINCIPAL_UNKNOWN: Server not found in
Kerberos database
9. KRB5KDC_ERR_PRINCIPAL_NOT_UNIQUE: Principal has
multiple entries in Kerberos database
10. KRB5KDC_ERR_NULL_KEY: Client or server has a null key
11. KRB5KDC_ERR_CANNOT_POSTDATE: Ticket is ineligible for
postdating
12. KRB5KDC_ERR_NEVER_VALID: Requested effective lifetime is
negative or too short
13. KRB5KDC_ERR_POLICY: KDC policy rejects request
14. KRB5KDC_ERR_BADOPTION: KDC can’t fulfill requested option
15. KRB5KDC_ERR_ETYPE_NOSUPP: KDC has no support for
encryption type

Kerberos Error Messages
Kerberos V5 Library Error Codes
Appendix E120
16. KRB5KDC_ERR_SUMTYPE_NOSUPP: KDC has no support for
checksum type
17. KRB5KDC_ERR_PADATA_TYPE_NOSUPP: KDC has no support
for padata type
18. KRB5KDC_ERR_TRTYPE_NOSUPP: KDC has no support for
transited type
19. KRB5KDC_ERR_CLIENT_REVOKED: Clients credentials have
been revoked
20. KRB5KDC_ERR_SERVICE_REVOKED: Credentials for server have
been revoked
21. KRB5KDC_ERR_TGT_REVOKED: TGT has been revoked
22. KRB5KDC_ERR_CLIENT_NOTYET: Client not yet valid - try again
later
23. KRB5KDC_ERR_SERVICE_NOTYET: Server not yet valid - try
again later
24. KRB5KDC_ERR_KEY_EXP: Password has expired
25. KRB5KDC_ERR_PREAUTH_FAILED: Pre-authentication failed
26. KRB5KDC_ERR_PREAUTH_REQUIRED: Additional
pre-authentiaction required
27. KRB5KDC_ERR_SERVER_NOMATCH: Requested server and ticket
don’t match
28. KRB5PLACEHOLD_27: KRB5 error code 27
29. KRB5PLACEHOLD_28: KRB5 error code 28
30. KRB5PLACEHOLD_29: KRB5 error code 29
31. KRB5PLACEHOLD_30: KRB5 error code 30
32. KRB5KRB_AP_ERR_BAD_INTEGRITY: Decrypt integrity check
failed
33. KRB5KRB_AP_ERR_TKT_EXPIRED: Ticket expired
34. KRB5KRB_AP_ERR_TKT_NYV: Ticket not yet valid
35. KRB5KRB_AP_ERR_REPEAT: Request is a replay
36. KRB5KRB_AP_ERR_NOT_US: The ticket isn’t for us

Kerberos Error Messages
Kerberos V5 Library Error Codes
Appendix E 121
37. KRB5KRB_AP_ERR_BADMATCH: Ticket/authenticator don’t
match
38. KRB5KRB_AP_ERR_SKEW: Clock skew too great
39. KRB5KRB_AP_ERR_BADADDR: Incorrect net address
40. KRB5KRB_AP_ERR_BADVERSION: Protocol version mismatch
41. KRB5KRB_AP_ERR_MSG_TYPE: Invalid message type
42. KRB5KRB_AP_ERR_MODIFIED: Message stream modified
43. KRB5KRB_AP_ERR_BADORDER: Message out of order
44. KRB5KRB_AP_ERR_ILL_CR_TKT: Illegal cross-realm ticket
45. KRB5KRB_AP_ERR_BADKEYVER: Key version is not available
46. KRB5KRB_AP_ERR_NOKEY: Service key not available
47. KRB5KRB_AP_ERR_MUT_FAIL: Mutual authentication failed
48. KRB5KRB_AP_ERR_BADDIRECTION: Incorrect message direction
49. KRB5KRB_AP_ERR_METHOD: Alternative authentication method
required
50. KRB5KRB_AP_ERR_BADSEQ: Incorrect sequence number in
message
51. KRB5KRB_AP_ERR_INAPP_CKSUM: Inappropriate type of
checksum in message
52. KRB5PLACEHOLD_51: KRB5 error code 51
53. KRB5PLACEHOLD_52: KRB5 error code 52
54. KRB5PLACEHOLD_53: KRB5 error code 53
55. KRB5PLACEHOLD_54: KRB5 error code 54
56. KRB5PLACEHOLD_55: KRB5 error code 55
57. KRB5PLACEHOLD_56: KRB5 error code 56
58. KRB5PLACEHOLD_57: KRB5 error code 57
59. KRB5PLACEHOLD_58: KRB5 error code 58
60. KRB5PLACEHOLD_59: KRB5 error code 59
61. KRB5KRB_ERR_GENERIC: Generic error (see e-text)

Kerberos Error Messages
Kerberos V5 Library Error Codes
Appendix E122
62. KRB5KRB_ERR_FIELD_TOOLONG: Field is too long for this
implementation
63. KRB5PLACEHOLD_62: KRB5 error code 62
64. KRB5PLACEHOLD_63: KRB5 error code 63
65. KRB5PLACEHOLD_64: KRB5 error code 64
66. KRB5PLACEHOLD_65: KRB5 error code 65
67. KRB5PLACEHOLD_66: KRB5 error code 66
68. KRB5PLACEHOLD_67: KRB5 error code 67
69. KRB5PLACEHOLD_68: KRB5 error code 68
70. KRB5PLACEHOLD_69: KRB5 error code 69
71. KRB5PLACEHOLD_70: KRB5 error code 70
72. KRB5PLACEHOLD_71: KRB5 error code 71
73. KRB5PLACEHOLD_72: KRB5 error code 72
74. KRB5PLACEHOLD_73: KRB5 error code 73
75. KRB5PLACEHOLD_74: KRB5 error code 74
76. KRB5PLACEHOLD_75: KRB5 error code 75
77. KRB5PLACEHOLD_76: KRB5 error code 76
78. KRB5PLACEHOLD_77: KRB5 error code 77
79. KRB5PLACEHOLD_78: KRB5 error code 78
80. KRB5PLACEHOLD_79: KRB5 error code 79
81. KRB5PLACEHOLD_80: KRB5 error code 80
82. KRB5PLACEHOLD_81: KRB5 error code 81
83. KRB5PLACEHOLD_82: KRB5 error code 82
84. KRB5PLACEHOLD_83: KRB5 error code 83
85. KRB5PLACEHOLD_84: KRB5 error code 84
86. KRB5PLACEHOLD_85: KRB5 error code 85
87. KRB5PLACEHOLD_86: KRB5 error code 86
88. KRB5PLACEHOLD_87: KRB5 error code 87
89. KRB5PLACEHOLD_88: KRB5 error code 88

Kerberos Error Messages
Kerberos V5 Library Error Codes
Appendix E 123
90. KRB5PLACEHOLD_89: KRB5 error code 89
91. KRB5PLACEHOLD_90: KRB5 error code 90
92. KRB5PLACEHOLD_91: KRB5 error code 91
93. KRB5PLACEHOLD_92: KRB5 error code 92
94. KRB5PLACEHOLD_93: KRB5 error code 93
95. KRB5PLACEHOLD_94: KRB5 error code 94
96. KRB5PLACEHOLD_95: KRB5 error code 95
97. KRB5PLACEHOLD_96: KRB5 error code 96
98. KRB5PLACEHOLD_97: KRB5 error code 97
99. KRB5PLACEHOLD_98: KRB5 error code 98
100.KRB5PLACEHOLD_99: KRB5 error code 99
101.KRB5PLACEHOLD_100: KRB5 error code 100
102.KRB5PLACEHOLD_101: KRB5 error code 101
103.KRB5PLACEHOLD_102: KRB5 error code 102
104.KRB5PLACEHOLD_103: KRB5 error code 103
105.KRB5PLACEHOLD_104: KRB5 error code 104
106.KRB5PLACEHOLD_105: KRB5 error code 105
107.KRB5PLACEHOLD_106: KRB5 error code 106
108.KRB5PLACEHOLD_107: KRB5 error code 107
109.KRB5PLACEHOLD_108: KRB5 error code 108
110.KRB5PLACEHOLD_109: KRB5 error code 109
111.KRB5PLACEHOLD_110: KRB5 error code 110
112.KRB5PLACEHOLD_111: KRB5 error code 111
113.+ KRB5PLACEHOLD_112: KRB5 error code 112
114.KRB5PLACEHOLD_113: KRB5 error code 113
115.KRB5PLACEHOLD_114: KRB5 error code 114
116.KRB5PLACEHOLD_115: KRB5 error code 115
117.KRB5PLACEHOLD_116: KRB5 error code 116

Kerberos Error Messages
Kerberos V5 Library Error Codes
Appendix E124
118.KRB5PLACEHOLD_117: KRB5 error code 117
119.KRB5PLACEHOLD_118: KRB5 error code 118
120.KRB5PLACEHOLD_119: KRB5 error code 119
121.KRB5PLACEHOLD_120: KRB5 error code 120
122.KRB5PLACEHOLD_121: KRB5 error code 121
123.KRB5PLACEHOLD_122: KRB5 error code 122
124.KRB5PLACEHOLD_123: KRB5 error code 123
125.KRB5PLACEHOLD_124: KRB5 error code 124
126.KRB5PLACEHOLD_125: KRB5 error code 125
127.KRB5PLACEHOLD_126: KRB5 error code 126
128.KRB5PLACEHOLD_127: KRB5 error code 127
129.KRB5_ERR_RCSID: $Id: admin.texinfo,v 1.7 1996/09/09 18:29:25
jcb Exp $
130.KRB5_LIBOS_BADLOCKFLAG: Invalid flag for file lock mode
131.KRB5_LIBOS_CANTREADPWD: Cannot read password
132.KRB5_LIBOS_BADPWDMATCH: Password mismatch
133.KRB5_LIBOS_PWDINTR: Password read interrupted
134.KRB5_PARSE_ILLCHAR: Illegal character in component name
135.KRB5_PARSE_MALFORMED: Malformed representation of
principal
136.KRB5_CONFIG_CANTOPEN: Can’t open/find configuration file
137.KRB5_CONFIG_BADFORMAT: Improper format of configuration
file
138.KRB5_CONFIG_NOTENUFSPACE: Insufficient space to return
complete information
139.KRB5_BADMSGTYPE: Invalid message type specified for encoding
140.KRB5_CC_BADNAME: Credential cache name malformed
141.KRB5_CC_UNKNOWN_TYPE: Unknown credential cache type
142.KRB5_CC_NOTFOUND: Matching credential not found
143.KRB5_CC_END: End of credential cache reached

Kerberos Error Messages
Kerberos V5 Library Error Codes
Appendix E 125
144.KRB5_NO_TKT_SUPPLIED: Request did not supply a ticket
145.KRB5KRB_AP_WRONG_PRINC: Wrong principal in request
146.KRB5KRB_AP_ERR_TKT_INVALID: Ticket has invalid flag set
147.KRB5_PRINC_NOMATCH: Requested principal and ticket don’t
match
148.KRB5_KDCREP_MODIFIED: KDC reply did not match
expectations
149.KRB5_KDCREP_SKEW: Clock skew too great in KDC reply
150.KRB5_IN_TKT_REALM_MISMATCH: Client/server realm
mismatch in initial ticket request
151.KRB5_PROG_ETYPE_NOSUPP: Program lacks support for
encryption type
152.KRB5_PROG_KEYTYPE_NOSUPP: Program lacks support for key
type
153.KRB5_WRONG_ETYPE: Requested encryption type not used in
message
154.KRB5_PROG_SUMTYPE_NOSUPP: Program lacks support for
checksum type
155.KRB5_REALM_UNKNOWN: Cannot find KDC for requested realm
156.KRB5_SERVICE_UNKNOWN: Kerberos service unknown
157.KRB5_KDC_UNREACH: Cannot contact any KDC for requested
realm
158.KRB5_NO_LOCALNAME: No local name found for principal name
159.KRB5_MUTUAL_FAILED: Mutual authentication failed
160.KRB5_RC_TYPE_EXISTS: Replay cache type is already registered
161.KRB5_RC_MALLOC: No more memory to allocate (in replay cache
code)
162.KRB5_RC_TYPE_NOTFOUND: Replay cache type is unknown
163.KRB5_RC_UNKNOWN: Generic unknown RC error
164.KRB5_RC_REPLAY: Message is a replay
165.KRB5_RC_IO: Replay I/O operation failed XXX

Kerberos Error Messages
Kerberos V5 Library Error Codes
Appendix E126
166.KRB5_RC_NOIO: Replay cache type does not support non-volatile
storage
167.KRB5_RC_PARSE: Replay cache name parse/format error
168.KRB5_RC_IO_EOF: End-of-file on replay cache I/O
169.KRB5_RC_IO_MALLOC: No more memory to allocate (in replay
cache I/O code)
170.KRB5_RC_IO_PERM: Permission denied in replay cache code
171.KRB5_RC_IO_IO: I/O error in replay cache i/o code
172.KRB5_RC_IO_UNKNOWN: Generic unknown RC/IO error
173.KRB5_RC_IO_SPACE: Insufficient system space to store replay
information
174.KRB5_TRANS_CANTOPEN: Can’t open/find realm translation file
175.KRB5_TRANS_BADFORMAT: Improper format of realm
translation file
176.KRB5_LNAME_CANTOPEN: Can’t open/find lname translation
database
177.KRB5_LNAME_NOTRANS: No translation available for requested
principal
178.KRB5_LNAME_BADFORMAT: Improper format of translation
database entry
179.KRB5_CRYPTO_INTERNAL: Cryptosystem internal error
180.KRB5_KT_BADNAME: Key table name malformed
181.KRB5_KT_UNKNOWN_TYPE: Unknown Key table type
182.KRB5_KT_NOTFOUND: Key table entry not found
183.KRB5_KT_END: End of key table reached
184.KRB5_KT_NOWRITE: Cannot write to specified key table
185.KRB5_KT_IOERR: Error writing to key table
186.KRB5_NO_TKT_IN_RLM: Cannot find ticket for requested realm
187.KRB5DES_BAD_KEYPAR: DES key has bad parity
188.KRB5DES_WEAK_KEY: DES key is a weak key
189.KRB5_BAD_ENCTYPE: Bad encryption type

Kerberos Error Messages
Kerberos V5 Library Error Codes
Appendix E 127
190.KRB5_BAD_KEYSIZE: Key size is incompatible with encryption
type
191.KRB5_BAD_MSIZE: Message size is incompatible with encryption
type
192.KRB5_CC_TYPE_EXISTS: Credentials cache type is already
registered.
193.KRB5_KT_TYPE_EXISTS: Key table type is already registered.
194.KRB5_CC_IO: Credentials cache I/O operation failed XXX
195.KRB5_FCC_PERM: Credentials cache file permissions incorrect
196.KRB5_FCC_NOFILE: No credentials cache file found
197.KRB5_FCC_INTERNAL: Internal file credentials cache error
198.KRB5_CC_WRITE: Error writing to credentials cache file
199.KRB5_CC_NOMEM: No more memory to allocate (in credentials
cache code)
200.KRB5_CC_FORMAT: Bad format in credentials cache
201.KRB5_INVALID_FLAGS: Invalid KDC option combination (library
internal error) [for dual tgt library calls]
202.KRB5_NO_2ND_TKT: Request missing second ticket [for dual tgt
library calls]
203.KRB5_NOCREDS_SUPPLIED: No credentials supplied to library
routine
204.KRB5_SENDAUTH_BADAUTHVERS: Bad sendauth version was
sent
205.KRB5_SENDAUTH_BADAPPLVERS: Bad application version was
sent (via sendauth)
206.KRB5_SENDAUTH_BADRESPONSE: Bad response (during
sendauth exchange)
207.KRB5_SENDAUTH_REJECTED: Server rejected authentication
(during sendauth exchange)
208.KRB5_PREAUTH_BAD_TYPE: Unsupported pre-authentication
type
209.KRB5_PREAUTH_NO_KEY: Required preauthentication key not
supplied

Kerberos Error Messages
Kerberos V5 Library Error Codes
Appendix E128
210.KRB5_PREAUTH_FAILED: Generic pre-authentication failure
211.KRB5_RCACHE_BADVNO: Unsupported replay cache format
version number
212.KRB5_CCACHE_BADVNO: Unsupported credentials cache format
version number
213.KRB5_KEYTAB_BADVNO: Unsupported key table format version
number
214.KRB5_PROG_ATYPE_NOSUPP: Program lacks support for address
type
215.KRB5_RC_REQUIRED: Message replay detection requires rcache
parameter
216.KRB5_ERR_BAD_HOSTNAME: Hostname cannot be canonicalized
217.KRB5_ERR_HOST_REALM_UNKNOWN: Cannot determine realm
for host
218.KRB5_SNAME_UNSUPP_NAMETYPE: Conversion to service
principal undefined for name type
219.KRB5KRB_AP_ERR_V4_REPLY: Initial Ticket response appears to
be Version 4 error
220.KRB5_REALM_CANT_RESOLVE: Cannot resolve KDC for
requested realm
221.KRB5_TKT_NOT_FORWARDABLE: Requesting ticket can’t get
forwardable tickets
222.KRB5_FWD_BAD_PRINCIPAL: Bad principal name while trying to
forward credentials
223.KRB5_GET_IN_TKT_LOOP: Looping detected inside
krb5_get_in_tkt
224.KRB5_CONFIG_NODEFREALM: Configuration file does not
specify default realm

Kerberos Error Messages
Kerberos V5 Magic Numbers Error Codes
Appendix E 129
Kerberos V5 Magic Numbers Error Codes
This is the Kerberos v5 magic numbers error code table.
1. KV5M_NONE: Kerberos V5 magic number table
2. KV5M_PRINCIPAL: Bad magic number for krb5_principal structure
3. KV5M_DATA: Bad magic number for krb5_data structure
4. KV5M_KEYBLOCK: Bad magic number for krb5_keyblock structure
5. KV5M_CHECKSUM: Bad magic number for krb5_checksum
structure
6. KV5M_ENCRYPT_BLOCK: Bad magic number for
krb5_encrypt_block structure
7. KV5M_ENC_DATA: Bad magic number for krb5_enc_data structure
8. KV5M_AUTHDATA: Bad magic number for krb5_authdata
structure
9. KV5M_TRANSITED: Bad magic number for krb5_transited
structure
10. KV5M_ENC_TKT_PART: Bad magic number for krb5_enc_tkt_part
structure
11. KV5M_TICKET: Bad magic number for krb5_ticket structure
12. KV5M_AUTHENTICATOR: Bad magic number for
krb5_authenticator structure
13. KV5M_TKT_AUTHENT: Bad magic number for krb5_tkt_authent
structure
14. KV5M_CREDS: Bad magic number for krb5_creds structure
15. KV5M_LAST_REQ_ENTRY: Bad magic number for
krb5_last_req_entry structure
16. KV5M_PA_DATA: Bad magic number for krb5_pa_data structure
17. KV5M_KDC_REQ: Bad magic number for krb5_kdc_req structure
18. KV5M_ENC_KDC_REP_PART: Bad magic number for
krb5_enc_kdc_rep_part structure
19. KV5M_KDC_REP: Bad magic number for krb5_kdc_rep structure

Kerberos Error Messages
Kerberos V5 Magic Numbers Error Codes
Appendix E130
20. KV5M_ERROR: Bad magic number for krb5_error structure
21. KV5M_AP_REQ: Bad magic number for krb5_ap_req structure
22. KV5M_AP_REP: Bad magic number for krb5_ap_rep structure
23. KV5M_AP_REP_ENC_PART: Bad magic number for
krb5_ap_rep_enc_part structure
24. KV5M_RESPONSE: Bad magic number for krb5_response structure
25. KV5M_SAFE: Bad magic number for krb5_safe structure
26. KV5M_PRIV: Bad magic number for krb5_priv structure
27. KV5M_PRIV_ENC_PART: Bad magic number for
krb5_priv_enc_part structure
28. KV5M_CRED: Bad magic number for krb5_cred structure
29. KV5M_CRED_INFO: Bad magic number for krb5_cred_info
structure
30. KV5M_CRED_ENC_PART: Bad magic number for
krb5_cred_enc_part structure
31. KV5M_PWD_DATA: Bad magic number for krb5_pwd_data
structure
32. KV5M_ADDRESS: Bad magic number for krb5_address structure
33. KV5M_KEYTAB_ENTRY: Bad magic number for krb5_keytab_entry
structure
34. KV5M_CONTEXT: Bad magic number for krb5_context structure
35. KV5M_OS_CONTEXT: Bad magic number for krb5_os_context
structure
36. KV5M_ALT_METHOD: Bad magic number for krb5_alt_method
structure
37. KV5M_ETYPE_INFO_ENTRY: Bad magic number for
krb5_etype_info_entry structure
38. KV5M_DB_CONTEXT: Bad magic number for krb5_db_context
structure
39. KV5M_AUTH_CONTEXT: Bad magic number for krb5_auth_context
structure
40. KV5M_KEYTAB: Bad magic number for krb5_keytab structure

Kerberos Error Messages
Kerberos V5 Magic Numbers Error Codes
Appendix E 131
41. KV5M_RCACHE: Bad magic number for krb5_rcache structure
42. KV5M_CCACHE: Bad magic number for krb5_ccache structure
43. KV5M_PREAUTH_OPS: Bad magic number for krb5_preauth_ops
44. KV5M_PASSWD_PHRASE_ELEMENT: Bad magic number for
passwd_phrase_element

Kerberos Error Messages
ANSI.1 Error Codes
Appendix E132
ANSI.1 Error Codes
1. ASN1_BAD_TIMEFORMAT: ASN.1 failed call to system time library
2. ASN1_MISSING_FIELD: ASN.1 structure is missing a required field
3. ASN1_MISPLACED_FIELD: ASN.1 unexpected field number
4. ASN1_TYPE_MISMATCH: ASN.1 type numbers are inconsistent
5. ASN1_OVERFLOW: ASN.1 value too large
6. ASN1_OVERRUN: ASN.1 encoding ended unexpectedly
7. ASN1_BAD_ID: ASN.1 identifier doesn’t match expected value
8. ASN1_BAD_LENGTH: ASN.1 length doesn’t match expected value
9. ASN1_BAD_FORMAT: ASN.1 badly-formatted encoding
10. ASN1_PARSE_ERROR: ASN.1 parse error

Kerberos Error Messages
GSSAPI Error Codes
Appendix E 133
GSSAPI Error Codes
Generic GSSAPI Errors:
1. GSS_KRB5_S_G_BAD_SERVICE_NAME: /* "No @ in
SERVICE-NAME name string" */
2. GSS_KRB5_S_G_BAD_STRING_UID: /* "STRING-UID-NAME
contains nondigits" */
3. GSS_KRB5_S_G_NOUSER: /* "UID does not resolve to username" */
4. GSS_KRB5_S_G_VALIDATE_FAILED: /* "Validation error" */
5. GSS_KRB5_S_G_BUFFER_ALLOC: /* "Couldn’t allocate
gss_buffer_t data" */
6. GSS_KRB5_S_G_BAD_MSG_CTX: /* "Message context invalid" */
7. GSS_KRB5_S_G_WRONG_SIZE: /* "Buffer is the wrong size" */
8. GSS_KRB5_S_G_BAD_USAGE: /* "Credential usage type is
unknown" */
9. GSS_KRB5_S_G_UNKNOWN_QOP: /* "Unknown quality of
protection specified" */
Kerberos 5 GSSAPI Errors:
1. GSS_KRB5_S_KG_CCACHE_NOMATCH: /* "Principal in credential
cache does not match desired name" */
2. GSS_KRB5_S_KG_KEYTAB_NOMATCH: /* "No principal in keytab
matches desired name" */
3. GSS_KRB5_S_KG_TGT_MISSING: /* "Credential cache has no
TGT" */
4. GSS_KRB5_S_KG_NO_SUBKEY: /* "Authenticator has no subkey"
*/
5. GSS_KRB5_S_KG_CONTEXT_ESTABLISHED: /* "Context is
already fully established" */
6. GSS_KRB5_S_KG_BAD_SIGN_TYPE: /* "Unknown signature type
in token" */

Kerberos Error Messages
GSSAPI Error Codes
Appendix E134
7. GSS_KRB5_S_KG_BAD_LENGTH: /* "Invalid field length in token"
*/
8. GSS_KRB5_S_KG_CTX_INCOMPLETE: /* "Attempt to use
incomplete security context" */
FATAL ERROR CODES
1. GSS_S_BAD_BINDINGS: channel binding mismatch
2. GSS_S_BAD_MECH: unsupported mechanism requested
3. GSS_S_BAD_NAME: invalid name provided
4. GSS_S_BAD_NAMETYPE: name of unsupported type provided
5. GSS_S_BAD_STATUS: invalid input status selector
6. GSS_S_BAD_SIG: token had invalid integrity check
7. GSS_S_BAD_MIC: preferred alias for GSS_S_BAD_SIG
8. GSS_S_CONTEXT_EXPIRED: specified security context expired
9. GSS_S_CREDENTIALS_EXPIRED: expired credentials detected
10. GSS_S_DEFECTIVE_CREDENTIAL: defective credential detected
11. GSS_S_DEFECTIVE_TOKEN: defective token detected
12. GSS_S_FAILURE: failure, unspecified at GSS-API level
13. GSS_S_NO_CONTEXT: no valid security context specified
14. GSS_S_NO_CRED: no valid credentials provided
15. GSS_S_BAD_QOP: unsupported QOP value
16. GSS_S_UNAUTHORIZED: operation unauthorized
17. GSS_S_UNAVAILABLE: operation unavailable
18. GSS_S_DUPLICATE_ELEMENT: duplicate credential element
requested
19. GSS_S_NAME_NOT_MN: name contains multi-mechanism
elements
INFORMATORY STATUS CODES
1. GSS_S_COMPLETE: normal completion
2. GSS_S_CONTINUE_NEEDED: continuation call to routine
required

Kerberos Error Messages
GSSAPI Error Codes
Appendix E 135
3. GSS_S_DUPLICATE_TOKEN: duplicate per-message token detected
4. GSS_S_OLD_TOKEN: timed-out per-message token detected
5. GSS_S_UNSEQ_TOKEN: reordered (early) per-message token
detected
6. GSS_S_GAP_TOKEN: skipped predecessor token(s) detected

Kerberos Error Messages
GSSAPI Error Codes
Appendix E136

Appendix F 137
F Kerberos Client Environment
Variables
This appendix lists and describes the various Kerberos environment
variables that you may need to set while using Kerberos Client.

Kerberos Client Environment Variables
Kerberos Client Environment Variables
Appendix F138
Kerberos Client Environment Variables
Following lists and describes the Kerberos Client environment variables:
KRB5RCACHEDIR The default replay cache directory. The placement of
the replay cache file can be changed by setting the
KRB5RCACHEDIR or KRB5RCACHENAME environment
variable.
KRB5RCACHENAME The default replay cache name. The default is
/var/tmp/rc_host_(uid) where <uid> is the user id of
the process.
GSSAPI_MECH_CONF The default path of the mechanism file
(/etc/gss/mech). This default path can be changed by
setting the GSSAPI_MECH_CONF environment variable.
KRB5_CONFIG The default configuration file (/etc/krb5.conf). This
default file can be changed by setting the KRB5_CONFIG
environment variable. You can specify one or more
configuration file names separated by colons.
KRB5CCNAME The default name for the credentials cache file. You can
set the variable type to the following value:
[[<cc type>:] <file name>]
where:
•<cc type> can be FILE or MEMORY
•<file name> is the location of the principal’s
credential cache
If the FILE type is specified, subsequent operations on
the associated file are readable and writable by the
invoking process.
If the MEMORY type is specified, a temporary cache is
created for the life of the invoking process.
If KRB5CCNAME is not defined, the default is to perform
FILE-based credentials caching in /tmp/krb5cc_(uid)
where <uid> is the user id of the process that created
the cache file.

Kerberos Client Environment Variables
Kerberos Client Environment Variables
Appendix F 139
KRB5_KTNAME The default key table name. You can set the variable
type to the following value:
[[<kt type>:]<file name>]
where:
•<kt type> can be FILE or WRFILE
•<file name> is the location of the keytab file
Use the FILE type for read operations, and the WRFILE
type for write operations.
If KRB5_KTNAME is not specified, the file specified by the
default_keytab_name configuration entry in the
configuration file is used. If the configuration entry is
not specified, the default file is /etc/krb5.keytab.

Kerberos Client Environment Variables
Kerberos Client Environment Variables
Appendix F140

