Hp Ignite Ux Administrators Guide Administrator 11i
2015-03-28
: Hp Hp-Ignite-Ux-Administrators-Guide-669745 hp-ignite-ux-administrators-guide-669745 hp pdf
Open the PDF directly: View PDF
.
Page Count: 271 [warning: Documents this large are best viewed by clicking the View PDF Link!]
- Ignite-UX Administration Guide
- Contents
- 1 Ignite-UX Overview
- 2 Making Configuration Decisions for Ignite Servers
- 3 Simple Network: Creating a Server for Registered Clients
- 4 Simple Network: Creating a Server for Anonymous Clients
- 5 Complex Networks: Challenges and Solutions
- How To Use This Chapter
- Complex Network Challenges
- Avoiding Complex Network Issues
- Complex Network Solutions
- Automating HP-UX OS Version Selection
- Limit Network Response by System Class
- Directed Boot
- Server Selection
- Limit Network Boot Response by Network Interface Address
- Control Network Boot via Response Timing
- Install Remote Clients Through a Network Router
- Multiple NICs Attach the Ignite Server to Multiple Subnets
- Ignite-UX bootp Boot Helper
- Multi-Capable Subnet Boot Server
- 6 Complex Networks: Multi-Capable Servers
- Configuring an RDP Server for Specific MAC Addresses
- Configuring an RDP Server to Delay PXE Response
- Configuring an RDP Server to Initiate HP-UX Installation
- Linux DHCP PXE Next Server Boot Helper for HP-UX Installation
- Configuring an HP-UX Server to Support Linux Boot and Installation
- Configuring an HP-UX Server to Support Windows Installation
- 7 Managing I/O for Installation and Recovery
- 8 Security
- 9 Booting and Installing HP-UX From the Server Using the Client Console
- Preparing the Client for Installation
- Making Boot Decisions When Using the Client Console
- Using bootsys on the Client Console
- Booting PA-RISC Clients from the Console
- Booting Itanium-Based Clients using the Network
- Direct Boot Profiles for Itanium-Based Systems
- Installing HP-UX From the Client Console
- Managing Speed and Duplexing of LAN Interfaces Executing Network Boots
- 10 Booting and Installing HP-UX on Clients Using the Server
- Methods of Installing Client Systems
- Installation Using bootsys
- Installation Using the Ignite-UX GUI
- Configuring the Installation
- Executing the Installation
- Viewing and Printing a Manifest
- 11 Golden Images
- 12 Customizing Your Installation
- 13 Automating Installations
- 14 Creating Your Own Boot and Installation Media
- 15 Recovery
- Overview
- System Recovery
- System Recovery Tools
- Recovery Image Contents
- Recovery Image Configuration Policies
- Reconciling Client and Server Ignite-UX Versions for Recovery
- Recovery Image Creation Process
- Creating and Using Recovery Tapes
- Creating and Using Network Recovery Images
- Retaining Recovery Images
- Making Recovery Configuration File Additions
- Selecting File Systems During Recovery
- Tape Recovery With No Tape Boot Support — Two-Step Media Recovery
- Notes on Cloning Systems
- System Recovery Questions and Answers
- 16 Support and Other Resources
- A Troubleshooting
- B Configuring DHCP Services
- C LIF Volume Contents
- D Using Integrated Lights Out Virtual Media with Ignite-UX
- E Expert Recovery
- F Terminal Keyboard Shortcuts
- Glossary
- Index

Ignite-UX Administration Guide
for HP-UX 11i
Abstract
This guide describes installing, configuring, and using Ignite-UX to install and recover HP-UX. It is intended for administrators
with in-depth knowledge of HP-UX operating system concepts, commands, and configuration; HP computer hardware and
software; upgrading software, applying patches, and troubleshooting problems; and knowledge of TCP/IP networking concepts
and network configuration.
HP Part Number: B3921-90077
Published: March 2013
Edition: 38

© Copyright 1999, 2013 Hewlett-Packard Development Company, L.P.
Confidential computer software. Valid license from HP required for possession, use or copying. Consistent with FAR 12.211 and 12.212, Commercial
Computer Software, Computer Software Documentation, and Technical Data for Commercial Items are licensed to the U.S. Government under
vendor's standard commercial license.
The information contained herein is subject to change without notice. The only warranties for HP products and services are set forth in the express
warranty statements accompanying such products and services. Nothing herein should be construed as constituting an additional warranty. HP shall
not be liable for technical or editorial errors or omissions contained herein.
Acknowledgements
Intel® Itanium® Logo, Intel, Intel Inside and Itanium are trademarks or registered trademarks of Intel Corporation or its subsidiaries in the United
States and other countries.
Microsoft® and Windows® are U.S. registered trademarks of Microsoft Corporation.
Java® is a US trademark of Sun Microsystems, Inc.
UNIX® is a registered trademark of The Open Group.
Revision History
Table 1 Revision History
Publication Date
Edition No.
Operating Systems SupportedDocument Manufacturing Part
Number
March 201338HP-UX 11i v1, 11i v2, 11i v3B3921-90077
March 201338HP-UX 11i v1, 11i v2, 11i v3B3921-90073
March 201238HP-UX 11i v1, 11i v2, 11i v3B3921–90070
September 201137HP-UX 11i v1, 11i v2, 11i v3B3921-90066
March 201136HP-UX 11i v1, 11i v2, 11i v3B3921-90050
September 201035HP-UX 11i v1, 11i v2, 11i v3B3921–90032
March 201034HP-UX 11i v1, 11i v2, 11i v3B3921–90006
September 200933HP-UX 11i v1, 11i v2, 11i v35992–6584
November 200832HP-UX 11i v1, 11i v2, 11i v35992-5309
September 200831HP-UX 11i v1, 11i v2, 11i v35992–4731
March 200830HP-UX 11i v1, 11i v2, 11i v35992–3336
December 200729HP-UX 11i v1, 11i v2, 11i v35992–1959
September 200728HP-UX 11i v1, 11i v2, 11i v35992–0602
June 200727HP-UX 11.00, 11i v1, 11i v2, 11i v35991–7999
February 200726HP-UX 11.00, 11i v1, 11i v2, 11i v35991-6440
December 200625HP-UX 11.00, 11i v1, 11i v2B2355-91049
September 200624HP-UX 11.00, 11i v1, 11i v2B2355-90997
June 200623HP-UX 11.00, 11i v1, 11i v2B2355-90970
March 200622HP-UX 11.00, 11i v1, 11i v2B2355-90959
December 200521HP-UX 11.00, 11i v1, 11i v2B2355-90941
September 200520HP-UX 11.00, 11i v1, 11i v1.6, 11i v2B2355-90893
June 200519HP-UX 11.00, 11i v1, 11i v1.6, 11i v2B2355-90875
December 200418HP-UX 11.00, 11i v1, 11i v1.6, 11i v2B2355-90872
September 200417HP-UX 11.00, 11i v1, 11i v1.6, 11i v2B2355-90849

Table 1 Revision History (continued)
Publication Date
Edition No.
Operating Systems SupportedDocument Manufacturing Part
Number
June 200416HP-UX 11.00, 11i v1, 11i v1.6, 11i v2B2355-90837
March 200415HP-UX 11.00, 11i v1, 11i v1.6, 11i v2B2355-90834
December 200314HP-UX 11.00, 11i v1, 11i v1.6, 11i v2B2355-90831
September 200313HP-UX 11.00, 11i v1, 11i v1.6, 11i v2B2355-90788
September 200312HP-UX 11.00, 11i v1, 11i v1.6B2355-90829
June 200311HP-UX 11.00, 11i v1, 11i v1.5, 11i v1.6B2355-90810
March 200310HP-UX 10.x, 11.00, 11i v1 , 11i v1.5, 11i v1.6B2355-90772
December 20029HP-UX 10.x, 11.00, 11i v1, 11i v1.5, 11i v1.6B2355-90767
October 20028HP-UX 10.x, 11.00, 11i v1, 11i v1.5, 11i v1.6B2355-90770
September 20027HP-UX 10.x, 11.00, 11i v1, 11i v1.5, 11i v1.6B2355-90765
September 20026HP-UX 10.x, 11.00, 11i v1, 11i v1.5B2355-90758
June 20025HP-UX 10.x, 11.00, 11i v1, 11i v1.5B2355-90750
March 20024HP-UX 10.x, 11.00, 11i v1, 11i v1.5B2355-90749
June 20013HP-UX 10.x, 11.00, 11i v1, 11i v1.5B2355-90738
December 20002HP-UX 10.x, 11.00, 11i v1B2355-90704
March 19991HP-UX 10.x, 11.00, 11i v1B2355-90677

Contents
1 Ignite-UX Overview...................................................................................10
Ignite-UX Features...................................................................................................................10
Getting the Ignite-UX Software ................................................................................................12
Ignite-UX Commands and Manpages........................................................................................13
Introduction to the Ignite-UX Graphical User Interface..................................................................14
How Ignite Works...................................................................................................................17
The Ignite-UX Install Environment..........................................................................................18
Boot Sources.....................................................................................................................18
Installation Versus Recovery.................................................................................................18
Network Booting and IP Addresses......................................................................................18
Phases of Operation...........................................................................................................19
Startup........................................................................................................................19
Phase 1.......................................................................................................................20
Phase 2.......................................................................................................................20
Phase 3.......................................................................................................................21
Ignite-UX Server Requirements..................................................................................................21
Supported Peripherals ............................................................................................................23
Disks and Other I/O..........................................................................................................23
Firmware..........................................................................................................................23
Disk Arrays.......................................................................................................................23
Client Terminals.................................................................................................................23
2 Making Configuration Decisions for Ignite Servers........................................24
Boot and Install Client from Media............................................................................................24
Simple Network Solutions........................................................................................................24
Alternate Boot with Network Server Installation...........................................................................26
Complex Networks.................................................................................................................27
Diagnosing Network Boot Issues...............................................................................................27
HP-UX Diagnosing and Debugging......................................................................................28
Simple Network Debugging...........................................................................................28
Logging to syslog.log.....................................................................................................28
Using bootpquery.........................................................................................................28
RDP Diagnosing and Debugging.........................................................................................29
3 Simple Network: Creating a Server for Registered Clients..............................30
Configuring the Ignite-UX Server for PA-RISC Clients....................................................................30
Launch Ignite-UX................................................................................................................30
Launch the Server Setup Wizard..........................................................................................31
Register the PA-RISC Clients with the Server...........................................................................33
Skip DHCP Setup...............................................................................................................34
Go to the Software Setup Section.........................................................................................34
Configuring the Ignite-UX Server for Itanium-Based Clients............................................................34
Register the Itanium-based Clients with the Server...................................................................34
Use the Server Setup Wizard to Proceed to Software Depot Setup............................................35
Setting Up Software from OE Depots.........................................................................................35
More Server Setup Options......................................................................................................36
Configuring Server Options.................................................................................................36
Configuring Session Options...............................................................................................38
Setting Up Additional Software on the Server.............................................................................40
SD Software......................................................................................................................40
Non-SD Software...............................................................................................................40
4 Contents
4 Simple Network: Creating a Server for Anonymous Clients............................42
Overview of Anonymous Clients...............................................................................................42
Configuring an Ignite Server to Boot Anonymous PA-RISC Clients..................................................42
Using the Server Setup Wizard............................................................................................42
Editing the instl_boottab file................................................................................................42
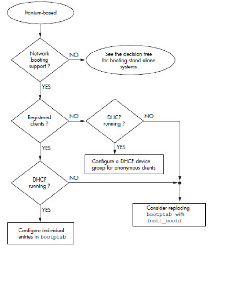
Configuring an Ignite Server to Boot Anonymous Itanium-Based Clients..........................................43
Working With DHCP..........................................................................................................43
Understanding PXE Booting of Itanium-Based Systems........................................................43
Ignite-UX Server and Boot Helper Setup for DHCP.............................................................43
Isolating Ignite-UX From Noncontrollable DHCP Servers ....................................................45
5 Complex Networks: Challenges and Solutions..............................................47
How To Use This Chapter........................................................................................................47
Complex Network Challenges..................................................................................................47
Multiple Subnets................................................................................................................48
Remote Systems.................................................................................................................48
Multiple Boot Servers..........................................................................................................49
Avoiding Complex Network Issues............................................................................................49
An Ignite-UX Server for Each Subnet.....................................................................................50
A Multi-Capable Server for Each Subnet...............................................................................50
Extend the Local Subnet......................................................................................................50
Using Virtual LANs Properly for Ignite-UX..............................................................................50
Complex Network Solutions.....................................................................................................51
Automating HP-UX OS Version Selection...............................................................................51
Limit Network Response by System Class...............................................................................52
Directed Boot....................................................................................................................52
Server Selection.................................................................................................................52
Limit Network Boot Response by Network Interface Address....................................................52
Control Network Boot via Response Timing...........................................................................53
Install Remote Clients Through a Network Router....................................................................53
Multiple NICs Attach the Ignite Server to Multiple Subnets.......................................................54
Getting the Client the Correct Networking Information........................................................54
Having the Client Contact the Correct Server....................................................................55
Ignite-UX bootp Boot Helper................................................................................................55
HP-UX DHCP PXE Next Server Boot Helper for Integrity Systems...........................................56
Configuring a Next Server Boot Helper for Integrity systems...........................................56
Forwarding Boot Requests via bootp Relay.......................................................................57
Multi-Capable Subnet Boot Server........................................................................................59
Non-HP-UX Next Server Boot Helper................................................................................59
Non-HP-UX bootp Boot Helper........................................................................................59
6 Complex Networks: Multi-Capable Servers..................................................61
Configuring an RDP Server for Specific MAC Addresses..............................................................61
Configuring an RDP Server to Delay PXE Response......................................................................61
Configuring an RDP Server to Initiate HP-UX Installation...............................................................62
Setting up RDP MenuOptions via Windows Commands..........................................................62
Setting up RDP MenuOptions via Interactive UI......................................................................63
Using an RDP MenuOption for HP-UX...................................................................................66
Linux DHCP PXE Next Server Boot Helper for HP-UX Installation....................................................66
Configuring an HP-UX Server to Support Linux Boot and Installation...............................................67
RedHat Installation From an HP-UX Server.............................................................................69
SuSE Installation From an HP-UX Server.................................................................................70
Configuring an HP-UX Server to Support Windows Installation......................................................70
7 Managing I/O for Installation and Recovery................................................71
Introducing Multipathing..........................................................................................................71
Contents 5
Agile View Concepts...............................................................................................................71
Practical Considerations..........................................................................................................73
System Installation Configuration..........................................................................................73
Support for >2 TB boot disk................................................................................................77
Identifying Devices for Other Tasks.......................................................................................78
Important Characteristics of the Agile View............................................................................78
Recovery and the Agile View...................................................................................................80
Legacy DSFs and Device Matching.......................................................................................80
Persistent DSFs and Device Matching....................................................................................80
Controlling the I/O Configuration Process..................................................................................81
Agile View Questions and Answers...........................................................................................82
8 Security...................................................................................................84
Ignite-UX Server Ports..............................................................................................................84
Modifying a Bastille-Hardened System to Operate with Ignite-UX..................................................89
Enabling Ignite-UX Server Requirements................................................................................90
Enabling Ignite-UX Client Requirements.................................................................................91
Configuring Ignite to Replace TFTP with NFS..............................................................................92
Overview..........................................................................................................................92
Procedure.........................................................................................................................92
9 Booting and Installing HP-UX From the Server Using the Client Console............95
Preparing the Client for Installation ...........................................................................................95
Making Boot Decisions When Using the Client Console...............................................................96
Boot Using the Network......................................................................................................96
Boot Using Media..............................................................................................................97
Using bootsys on the Client Console..........................................................................................98
Booting PA-RISC Clients from the Console .................................................................................99
Booting Itanium-Based Clients using the Network......................................................................100
Direct Boot Profiles for Itanium-Based Systems...........................................................................102
The dbprofile Command...................................................................................................103
The lanboot Command.....................................................................................................104
Installing HP-UX From the Client Console..................................................................................105
Managing Speed and Duplexing of LAN Interfaces Executing Network Boots...............................108
Examples........................................................................................................................108
10 Booting and Installing HP-UX on Clients Using the Server...........................110
Methods of Installing Client Systems........................................................................................110
Installation Using bootsys.......................................................................................................110
Installation Using the Ignite-UX GUI.........................................................................................112
Prepare the Client for Installation........................................................................................112
Starting Ignite-UX.............................................................................................................112
Adding Clients................................................................................................................112
Booting a Client..............................................................................................................113
Configuring the Installation....................................................................................................116
New Installation..............................................................................................................116
Initializing the Installation.............................................................................................117
The Client Installation Configuration Interface..................................................................117
Basic Tab..............................................................................................................118
Software Tab ........................................................................................................125
System Tab ...........................................................................................................130
File System Tab .....................................................................................................137
Advanced Tab.......................................................................................................144
Repeat an Installation.......................................................................................................145
Executing the Installation.......................................................................................................146
Viewing and Printing a Manifest ............................................................................................149
6 Contents
11 Golden Images.....................................................................................151
Advantages of Golden Images...............................................................................................151
Creating a Golden Image......................................................................................................151
Installing the HP-UX Operating System ...............................................................................152
Installing Critical Patches onto the Operating System.............................................................152
Installing Optional Software..............................................................................................153
Customizing the System ...................................................................................................153
Creating the Golden Archive.............................................................................................153
Configuring the Ignite-UX Server to Recognize the Golden Image................................................154
Enabling the Client...............................................................................................................157
Installing the Golden Image on the Client................................................................................157
12 Customizing Your Installation..................................................................158
Using Configuration Files.......................................................................................................158
Classes of Configuration Files............................................................................................158
Combining Configuration Files Using INDEX Entries..............................................................161
Example Configuration Files..............................................................................................163
Customizations Based on the Client Hardware.....................................................................165
Customizations Based on User Selection..............................................................................166
Avoid Archiving Patch Files ...................................................................................................167
Debugging Configuration Files...............................................................................................168
Using Post-Installation Scripts..................................................................................................168
How the Installation Functions............................................................................................169
Adding a Post-Installation Script.........................................................................................169
13 Automating Installations.........................................................................171
Starting a Noninteractive Installation with bootsys.....................................................................171
Using a Saved Configuration.................................................................................................171
Specifying Defaults in the config.local File................................................................................172
Setting Defaults with instl_adm...............................................................................................172
Using the Per-Client Configuration File.....................................................................................172
Scheduling Installations.........................................................................................................174
Setting Installation Parameters Dynamically..............................................................................174
Checking Modified Files for Errors......................................................................................176
14 Creating Your Own Boot and Installation Media.......................................177
Why Use Custom Boot and Installation Media?........................................................................177
Building PA-RISC Boot and Installation Tape.............................................................................177
Possible Tape Contents.....................................................................................................177
Logical Interchange Format...........................................................................................178
Archives and Depots....................................................................................................179
Creating and Modifying an Archive Configuration File for Tape.............................................179
Creating and Modifying a Serial Depot and its Configuration File for Tape..............................180
PA-RISC Installation Tape Creation Example.........................................................................180
Assumptions...............................................................................................................180
Example PA-RISC Installation Tape Creation....................................................................181
Creating a Boot CD/DVD or an Installation DVD......................................................................182
Assumptions....................................................................................................................182
File and ISO Image Size Considerations.............................................................................182
Boot and Archive-Based CD/DVDs.....................................................................................182
Boot CD/DVD Examples..............................................................................................183
Create HP-UX 11i v3 bootable CD/DVD media for two-step media recovery...................183
Create HP-UX 11i v2 bootable media on USB DVD drive for two-step media recovery......183
Installation Archive-Based DVD Examples.......................................................................183
Put an Itanium-based HP-UX 11i v3 golden archive on a DVD.......................................183
Put a PA-RISC HP-UX 11i v2 golden archive on a DVD..................................................184
Contents 7
Put two HP-UX 11i v2 golden archives, one Itanium-based and one PA-RISC, on a DVD....184
Create a recovery DVD...........................................................................................184
Create an HP-UX 11i v2 Itanium-based recovery DVD using an existing network recovery
image...................................................................................................................184
Error messages...........................................................................................................184
No DVD available..................................................................................................184
No DVD special files...............................................................................................185
Missing -c argument on HP-UX 11i v2 USB DVD drive..................................................185
Depot-Based DVDs...........................................................................................................185
HP-UX 11i v2 Depot-Based Installation DVDs...................................................................185
HP-UX 11i v3 Depot-Based Installation DVDs...................................................................187
15 Recovery..............................................................................................188
Overview............................................................................................................................188
System Recovery...................................................................................................................188
System Recovery Tools......................................................................................................189
Recovery Tool Comparison...........................................................................................189
Considerations When Using Veritas Volume Manager from Symantec................................190
Recovery Image Contents..................................................................................................190
Recovery Image Configuration Policies................................................................................191
Reconciling Client and Server Ignite-UX Versions for Recovery................................................191
Recovery Image Creation Process.......................................................................................192
Examining Recovery Image Contents.............................................................................194
Verifying Recovery Image Results...................................................................................196
Creating and Using Recovery Tapes...................................................................................197
Recovery Tape Creation Examples.................................................................................197
Tape Recovery for PA-RISC Systems................................................................................198
Tape Recovery for Itanium-Based Systems.......................................................................199
Tape Recovery for Integrity Blade Systems.......................................................................204
Creating and Using Network Recovery Images....................................................................205
Adding Clients for Recovery ........................................................................................206
Examples of Network Recovery Image Creation..............................................................208
Recovering using the Network for PA-RISC Clients............................................................208
Recovering using the Network for Itanium-Based Clients...................................................209
Retaining Recovery Images................................................................................................210
Making Recovery Configuration File Additions.....................................................................212
Using the recovery config.local file................................................................................212
Adding a depot..........................................................................................................212
Selecting File Systems During Recovery...............................................................................212
Tape Recovery With No Tape Boot Support — Two-Step Media Recovery...............................213
Notes on Cloning Systems.................................................................................................214
Cloning a System Using make_net_recovery...................................................................215
System Recovery Questions and Answers............................................................................216
16 Support and Other Resources.................................................................220
Contacting HP......................................................................................................................220
Before you contact HP......................................................................................................220
HP contact information.....................................................................................................220
Documentation feedback..................................................................................................220
Related information...............................................................................................................220
Documents......................................................................................................................220
Websites........................................................................................................................221
Typographic Conventions.......................................................................................................222
A Troubleshooting ....................................................................................224
Errors and Warnings.............................................................................................................224
8 Contents
Ignite-UX Server Problems .....................................................................................................224
Installing Systems with Ignite-UX..............................................................................................224
Installing from Media............................................................................................................229
Installing from Golden Images................................................................................................229
Common Network Booting Errors............................................................................................230
B Configuring DHCP Services ....................................................................232
Overview of DHCP Services ..................................................................................................232
DHCP Usage Examples.........................................................................................................233
Manage Clients That Will Use DHCP During and After Installation.........................................233
Manage Clients with Temporary IP Addresses During Installation............................................233
Using bootptab as an Alternative to DHCP ..............................................................................234
Background Information on DHCP Design ..........................................................................234
C LIF Volume Contents...............................................................................235
A Description of the Files in the LIF Volume...............................................................................235
D Using Integrated Lights Out Virtual Media with Ignite-UX.............................238
E Expert Recovery......................................................................................245
Expert Recovery Preparation..................................................................................................245
The Expert Recovery Procedure...............................................................................................245
F Terminal Keyboard Shortcuts....................................................................251
Basic Keyboard Shortcuts.......................................................................................................251
Advanced Keyboard Navigation.............................................................................................251
HP Terminals...................................................................................................................251
vt100 Terminals...............................................................................................................252
Glossary..................................................................................................254
Index.......................................................................................................263
Contents 9

1 Ignite-UX Overview
Welcome to Ignite-UX!
This chapter contains information for new and experienced users alike.
Introductory information:
•“Ignite-UX Features” (page 10)
•“Getting the Ignite-UX Software ” (page 12)
•“Ignite-UX Commands and Manpages” (page 13)
•“Introduction to the Ignite-UX Graphical User Interface” (page 14)
Details about Ignite-UX:
•“How Ignite Works” (page 17)
•“Ignite-UX Server Requirements” (page 21)
•“Supported Peripherals ” (page 23)
Ignite-UX Features
Client and Server Control
The installation sessions for multiple targets can be controlled from a single Ignite-UX server in a
true client/server model. A GUI is provided to run on the server and manage multiple simultaneous
client installation sessions. Alternatively, a single installation session can be controlled from the
client machine. A single Ignite-UX installation server can serve multiple releases of HP-UX for different
clients.
Easy-to-Use GUI
The Ignite-UX GUI uses tabs and dialog boxes for task navigation. The Ignite-UX GUI only runs on
an Ignite-UX server.
Terminal User Interface
Ignite-UX uses a terminal user interface (TUI) with keyboard navigation when run from a client.
Ignite may also be run in TUI mode from the server.
Command Line Interface
Commands that power Ignite-UX can be executed directly from the operating system's command
shell on an Ignite-UX server or client. For the list of commands, see “Ignite-UX Commands and
Manpages” (page 13).
Multi-Sourced Installations
Installations can use multiple Software Distributor (SD) depots in a single installation session. For
example, you could install your base OS from one SD depot, a set of patches from another SD
depot, and the applications you want from a third SD depot; all in one session.
Multiple Archive Formats
Ignite-UX supports tar,cpio, and pax format archives. (To use the pax format with 11i v2, you
must have the PAX-Enh™ product installed. The pax format is not available for 11i v1.) Tools are
provided to help you create a golden image if you wish to install from an archive. You can use
one archive along with one or more depots containing patches or additional software.
10 Ignite-UX Overview
One-Step Installation
Once you configure a system with a common configuration you want replicated to other systems,
use Ignite-UX to either manually or automatically install each client system. This common configuration
can include any supported HP-UX 11i operating system, and you can add any required patches
and applications.
Custom Installations
It is easy to create a system that is ready to go as soon as the installation session completes. Many
of the tasks that are typically done as separate steps after an installation have been incorporated
into the installation process. Ignite-UX allows you to specify kernel parameters you want set and
user-supplied scripts you would like to run as part of the session. In addition, the host and networking
information normally supplied at first boot can be specified at install time.
Golden Images
A system that has been installed and tuned may be used to create an image. That image may be
used as a custom configuration that may be applied in installations to other systems.
Automated Installations
Set up a configuration and then install it on a client with no further user interaction. This is possible
for both the initial installation and the reinstallation cases.
Create a System Manifest
Scan a system and produce a report detailing what hardware is present, how the disks are used,
what kernel modifications have been made, and what software has been installed. This report can
be customized to meet your needs.
Create Custom Installation Media
Construct your own customized, bootable installation media. An example script,
make_media_install, is provided that can help you create bootable media (tapes, CDs, and
DVDs) with or without golden archives and SD depots. The example script can be found at /opt/
ignite/data/scripts/examples/make_media_install.
System Recovery
Ignite-UX provides consistent, reliable recovery in the event of catastrophic hardware or software
failure by creating recovery images on tape (with client access to a tape drive) or on any Ignite-UX
server in your environment (with client access to the network).
Support for Multiple Architectures
Ignite-UX supports both the Precision Architecture Reduced Instruction Set Computing (PA-RISC)
and the Intel®Itanium® (Itanium®-based) hardware architectures.
Support for HP Servicecontrol Manager
Ignite-UX supports installing HP-UX clients in the HP Servicecontrol Manager environment. For
details, see the HP Servicecontrol Manager 3.0 User's Guide.
Support for New Hardware
Each new release of the Ignite-UX product supports the new hardware included in the corresponding
release of HP-UX.
Ignite-UX Features 11

Getting the Ignite-UX Software
Ignite-UX is available in standard SD (Software Distributor) depot format from OE and AR media,
and from the HP Software Depot Website.
Any Ignite-UX bundle is safe to install at any time. None of the filesets in Ignite-UX bundles will
cause a reboot to occur.
•OE and AR Media
Ignite-UX released on OE or AR media can only be installed on a server running the HP-UX
version supported by the OE or AR media.
This Ignite-UX is the complete product. (The Ignite complete product is capable of installing
and recovering all supported versions of HP-UX.)
If you require a version of Ignite-UX that can be installed onto any supported version of HP-UX,
read the next section about downloading Ignite-UX from the HP Software Depot Website.
•HP Software Depot Website
Follow this link for Ignite-UX on HP Software Depot: http://www.hp.com/go/
ignite-ux-download
The Ignite-UX depots available at Software Depot contain the latest Ignite-UX version and can
be installed on servers running any supported version of HP-UX.
•Support for Installation and Recovery of all Supported HP-UX Operating System Versions
Each Ignite-UX bundle contains the Ignite-UX tools, plus the data files required to install and
recover the particular HP-UX operating systems indicated by the bundle name.
See the figure below for a list of available bundles and the HP-UX versions the bundles can
install and recover.
Figure 1 Ignite-UX Bundles Available in the Ignite-UX Product
Ignite-UX-11-11_C.7x.xx_
HP_-UX_B.11.11_32+64.depot
Ignite-UX-11-23_C.7x.xx_
HP_-UX_B.11.11_32+64.depot
Ignite-UX-11-31_C.7x.xx_
HP_-UX_B.11.11_32+64.depot
Ignite-UX-11-ALL_C.7x.xx.depot
(Complete Ignite-UX product) IGNITE
Depot Name Bundle Name
HP-UX versions the bundle
can install/recover on client
11iv1 11iv2 11iv3
Ignite-UX-11-11
Ignite-UX-11-23
Ignite-UX-11-31
NOTE: As of Ignite-UX version C.7.1, the name of the Ignite-UX complete product bundle that
installs all supported versions of HP-UX has changed from B5725AA to IGNITE.
Each bundle can be installed on a server running any version of HP-UX. For example,
Ignite-UX-11-23 can be installed on a server running HP-UX 11i v1 (B.11.11). You can install one
or more of the individual Ignite-UX-11-xx bundles onto your system.
HP recommends you install the complete Ignite-UX product (IGNITE) unless you want to block the
use of a specific version of HP-UX, increase the download speed from the Software Depot website,
or conserve disk space on the server.
As a best practice, do not swremove Ignite-UX before updating to a new version. Doing so will
cause some files to be reset, including the INDEX file, thus you will lose any customizations.
12 Ignite-UX Overview

IMPORTANT: Installing individual bundles instead of the complete product might cause problems
for Ignite-UX if the complete product was installed previously. Refer to the Installing and Updating
Ignite-UX white paper if you are unsure of what to install to upgrade Ignite-UX. Links to the Ignite-UX
white papers are found at http://www.hp.com/go/ignite-ux-docs.
Ignite-UX Commands and Manpages
The manual pages (manpages) associated with Ignite-UX commands are in the /opt/ignite/
share/doc/ directory, are available in the HP-UX Reference at http://www.hp.com/go/
ignite-ux-docs, and are listed in Table 2 according to the directory the commands are in.
Table 2 Ignite-UX Command Manpages
DescriptionIgnite-UX Command Manpages
Commands in /opt/ignite/bin :
Add a client to an Ignite-UX server without requiring a client boot from
the Ignite-UX server.
add_new_client(1M)
Manage logical interchange format (LIF) AUTO configuration files.auto_adm(1M)
auto_adm(4) Description of auto_adm file formats
Reboot and install systems using Ignite-UX.bootsys(1M)
Compare the files on a running system with a recovery archive made
with make_net_recovery.
check_net_recovery(1M)
Compare the files on a running system with a recovery archive made
with make_tape_recovery.
check_tape_recovery(1M)
Replicate a PA-RISC boot tape.copy_boot_tape(1M)
Configure, install, and recover HP-UX systems.ignite(5)
Manage Ignite-UX configuration files.instl_adm(1M)
Description of configuration file syntax.instl_adm(4)
Parse and debug a client's configuration files.instl_dbg(1M)
Create a boot tape for a PA-RISC system.make_boot_tape(1M)
Create Software Distributor (SD) bundles in a depot.make_bundles(1M)
Generate a configuration file for software in an SD depot.make_config(1M)
Create SD depots from SD bundles for use by Ignite-UX.make_depots(1M)
Create a bootable ANSI labeled tape for Itanium-based systems.make_ipf_tape(1M)
Create bootable Ignite-UX LIFmedia image file.make_medialif(1M)
Create recovery images and store them on a network system.make_net_recovery(1M)
Create recovery images and store them on tape.make_tape_recovery(1M)
Manage Ignite-UX INDEX files without directly editing them.manage_index(1M)
Print a system manifest.print_manifest(1M)
Create hardware configuration file.save_config(1M)
Commands in /opt/ignite/lbin:
Read and write magnetic tapes conforming to the ANSI standard for
magnetic tape labelling.
ansitape(1M)
ansitape(5)
Description of ANSI-labeled tape format.
Ignite-UX Commands and Manpages 13

Table 2 Ignite-UX Command Manpages (continued)
DescriptionIgnite-UX Command Manpages
Calculate the per file system disk space for tar, cpio, and tar archives,
and create the impacts statements for use in configuration files.
archive_impact(1M)
Boot protocol server for Ignite-UX clients.instl_bootd(1M)
Combine a LIF volume and file system for use on CD/DVD. This
command is used to construct custom, bootable, installation media.
instl_combine(1M)
An example script, /opt/ignite/data/scripts/examples/
make_media_install, is provided that can help you create
bootable media (PA-RISC tapes, CDs, and DVDs) with or without
golden archives and/or SD depots included.
Create a depot containing Ignite-UX recovery filesets.pkg_rec_depot(1M)
Perform some administration tasks for an Ignite-UX server.setup_server(1M)
Commands in /opt/ignite/data/scripts:
Create an archive of a client.make_sys_image(1M)
Introduction to the Ignite-UX Graphical User Interface
The Ignite-UX GUI workspace provides access to all management tasks using the menu bar and
context-sensitive menus.
Figure 2 Ignite-UX GUI
The Ignite-UX GUI workspace graphically represents clients as icons labeled with the clients’
hostnames. You can:
•Click a client icon to select it for further actions.
•Double-click the client icon to display the Client Status dialog box.
•Right-click to activate the Actions menu. You must select the client before right-clicking; any
selections made from the Actions menu apply to the selected client.
For more information about these actions, see Chapter 10: “Booting and Installing HP-UX on Clients
Using the Server” (page 110), or click Help.
14 Ignite-UX Overview

Each client’s installation status is indicated by the colored border around its icon, and the installation
gauge shows the relative progress:
•Green: The operating system is completely installed, booted, and running with no errors or
warnings.
•Yellow: A warning condition exists and should be investigated.
•Red: An error condition is present. The operating system is partially installed, or the installation
has stopped.
•No color: Installation has not yet started or the client has been stopped.
Client icons are shown for all booted clients and those that can be used as recovery systems. These
systems are known to Ignite-UX by their existence in the /var/opt/ignite/clients file.
File Menu
The File menu contains basic Ignite-UX functionality:
•Search - Find clients that match a text string.
•Print - To print a listing of systems, the display must be set with View->By Properties
•Exit - Quit Ignite-UX.
View Menu
Use the View menu to customize the Ignite-UX GUI display:
•Columns - Choose which client attributes to display in which column. These selections are
apparent only when the object list is displayed by properties.
•Filter - View a subset of clients by selected criteria.
•Sort - Orders the displayed clients by sort criteria.
•By Name and Icon - Displays clients graphically.
•By Properties - Displays clients in a text format rather than in the default graphical
representation.
TIP: Using the By Properties view and sorting the list makes it easier to scan for clients that
have finished installing. For example, to view the clients by the percentage of completion,
select View->Sort->% Complete: Descending. The list of clients will then appear with the clients
closest to completion first, as shown in Figure 3.
Introduction to the Ignite-UX Graphical User Interface 15

Figure 3 Ignite-UX GUI By Properties View
•Save View as Default - Saves the current Ignite-UX GUI View settings.
Options Menu
Use the Options menu to set server configuration variables and to control the refresh rate of the
Ignite-UX display.
•Server Configuration - Identify and set up your installation server. The selections here are
covered in detail in “More Server Setup Options” (page 36).
•Change Refresh Interval - Select how frequently you want the client display updated.
•Refresh List - Update the client display immediately.
Actions Menu
To view available actions for a client, select its icon, then select the Actions menu. The actions
displayed are dependent on the status of the client, so all actions may not be available. You can
use the following actions to manage clients:
•View Install History... - Lists details of all successfully installed clients.
•Boot Client... - Boots the selected client. If no client is selected, one will be prompted for.
•Add New Client for Recovery... - Selects a client to be recovered. For more information, see
“Adding Clients for Recovery ” (page 206).
•Run Tutorial/Server Setup... - Displays the Welcome dialog box. From there, you can run the
Tutorial and Demo, or click Server Setup... to launch the Server Setup Wizard.
•Client Status... - The status of the selected client is polled and displayed, as in Figure 4
(page 17).
16 Ignite-UX Overview

Figure 4 Client Status Dialog Box
•Install Client - Starts the HP-UX installation process for the selected client. This process is
explained in Chapter 10: “Booting and Installing HP-UX on Clients Using the Server” (page 110).
•Stop Install... - Stops the installation process on the selected client. After stopping an install,
you can reboot or halt the client.
•Create Network Recovery Archive - Creates a network recovery image using the
make_net_recovery command. See Chapter 15: “Recovery” (page 188) for more information.
•Create Tape Recovery Archive - Creates a recovery image using the make_tape_recovery
command. See Chapter 15: “Recovery” (page 188) for more information.
•Move to History... - Saves critical files for the client, adds them to the history file, and removes
the client. The client installation must successfully complete for the configuration to be moved
to the history file.
•Remove Client... - Deletes the selected client configuration. All client data, except for the
recovery image, is removed. Recovery information in the client’s directories will be removed.
•View Hardware... - Lists the hardware associated with the selected client.
•View/Print Manifest... - Allows you to view and print the manifest for the selected client. The
manifest file details the client’s installation and is available on the client and Ignite-UX server
after the installation. For more information, see “Viewing and Printing a Manifest ” (page 149).
•Change Icon Name... - Launches a dialog box for renaming the selected icon.
How Ignite Works
When deciding the best way to use Ignite in your data center, it might be useful to understand the
structure of Ignite – how it gets started on the client and the functional steps it performs. This section
How Ignite Works 17
describes the major components of Ignite and where they come from. Ignite installation and recovery
is described in terms of phases, with each phase described in detail.
The Ignite-UX Install Environment
HP-UX installation and recovery is accomplished using the Ignite-UX install environment.
The Ignite install environment is a small subset of the HP-UX operating system that allows HP-UX to
install itself onto a system. During the initial phases of installation and recovery, the install
environment runs in client memory without any disk-based storage. A memory-based RAM disk
holds the initial root file system needed for HP-UX operation. While operating with a memory-based
root disk file system, file system space is very limited. On smaller memory systems, memory for the
HP-UX kernel and processes might also be limited. Command libraries and other files must be
loaded and removed as needed. (Increasing the size of the memory-based root disk to make more
space would result in insufficient memory being available for the processes that accomplish
installation and recovery.) Once the correct disks are identified, volumes and file systems are
created. The install environment then switches to a disk-based file system. When that is completed,
some of the RAM disk space is freed.
The Ignite install environment consists of:
•[W|V|I]INSTALL – The HP-UX install kernel, which is statically linked and includes a wide
variety of I/O and other modules so it is able to run on all supported systems.
•[W|V|I]INSTALLFS – The initial HP-UX install file system, which is copied into the root RAM
disk during boot. The first 8 KB can contain Ignite-UX configuration content.
•INSTCMDS or INSTCMDSIA,SYSCMDS or SYSCMDSIA, and RECCMDS or RECCMDSIA –
Archives of commands, libraries, and other files needed to accomplish installation and recovery,
but are not needed to initially get the install environment running. These are loaded as needed
during installation and recovery.
The Ignite-UX install kernel and install file system are loaded into system memory by the standard
HP-UX boot loader or virtual system boot loader software. Note that there are a number of boot
sources where the Ignite install environment may reside. Also, the details of booting vary according
to your Ignite data center configuration.
Boot Sources
Ignite always retrieves the install kernel and install file system from the boot source. By default,
Ignite retrieves INSTCMDS[IA], SYSCMDS[IA], and RECCMDS[IA] from that same boot source,
but can get these command archives from a different source if requested to. Ignite can determine
the boot source by querying the HP-UX kernel.
Ignite can switch its source for command archives and depots if configuration information in the
install file system instructs it to, or if instructed to by the Ignite user interface.
Ignite will operate in the same manner, regardless of the boot source.
Installation Versus Recovery
Ignite internally uses the same approach, regardless of whether you are performing an installation
or recovery. The terms “installation” and “recovery” are valuable to describe intended use, but
Ignite's internal operation make it possible to blur the distinction between the two, such as when
you use golden images.
This design is quite powerful, and allows Ignite to handle significant system differences during
recovery by adapting as needed and regressing to more install-like behavior if required.
Network Booting and IP Addresses
When a system boots HP-UX from an Ignite-UX server, it needs an IP address to get the operating
system kernel. This first IP address is not necessarily the same IP address the system will be assigned
18 Ignite-UX Overview
for networking when its kernel is up and running. The mechanisms for distributing the first and
second IP addresses are sometimes different.
PA-RISC Systems
When a PA-RISC system boots from an Ignite-UX server, the first IP address request is answered
by the instl_bootd daemon. This communication uses ports 1067 and 1068. The file /etc/
opt/ignite/instl_boottab is referenced to assign the first IP address to the booting system
whether it is registered or anonymous.
After HP-UX is running on a PA-RISC system, it requests a second IP address for networking. This
request is answered by bootpd using ports 67 and 68. The /etc/bootptab file is referenced
for registered clients; DHCP services are used for anonymous clients.
Itanium-Based Systems
When an Itanium-based system boots from an Ignite-UX server, the first IP address request is
answered by the bootpd daemon. This communication uses ports 67 and 68. The file /etc/
bootptab is referenced to assign the first IP address to a registered booting system. If the system
is not registered, and you are running HP-UX 11i v2 or HP-UX 11i v3 on the Ignite-UX server, DHCP
is used to assign the booting IP address.
When Itanium-based systems request a second IP address for networking, it uses the same daemon,
file and ports described above. Configuring DHCP for booting is separate from configuring DHCP
for assigning network IP addresses. See “Configuring an Ignite Server to Boot Anonymous
Itanium-Based Clients” (page 43) for information about how to configure DHCP for assigning first
(boot) and second (networking) IP addresses without conflict.
Phases of Operation
Ignite uses the sequence of high-level phases outlined below to accomplish installation and recovery.
Depending on configuration information, some steps within these phases might be skipped. At a
very high level, Ignite operates in four phases:
•Startup – The install environment is loaded from the boot source to the client memory. Ignite
runs in client memory. The operation is configured and launched. If the installation or recovery
is interactive, the user interface is run to create a configuration.
•Phase 1 – Storage is set up and Ignite moves to the client disk.
•Phase 2 – HP-UX archives and depot software are installed. The HP-UX kernel is built. A reboot
is required to start the final HP-UX kernel and make the new file system the root file system.
•Phase 3 – Software is configured. The system is now fully installed or recovered after a reboot
or halt.
Startup
Ignite-UX software is started and the Ignite user interface is run to select, create, or modify the
configuration that will be used to control installation or recovery. The result of this phase is a
detailed system configuration to be used for installation or recovery. Processing for this phase is
done on a RAM file system.
1. The install kernel and install file system are loaded from the boot source to the client memory
via boot loader functionality. The HP-UX install kernel is started.
2. The Ignite software is started by the install kernel as an application process running on the
install file system.
3. Additional RAM file systems are created to allow enough file system space for loading system
setup content.
4. If the system has SAS disks, the I/O configuration is modified as needed to make the mapping
between bays and HW paths consistent. This aids consistent installation and recovery.
How Ignite Works 19
(Improved agile device selection and recovery has eliminated the need for this feature and
might result in this step being removed in the future.)
5. Configuration content from the install file system is loaded to determine if the Ignite TUI should
be started and if special inventory control is needed. (The Ignite TUI is started by default.)
6. A system I/O inventory is performed. This identifies devices where HP-UX may be installed,
and identifies devices and networks used to accomplish installation. Install file system
configuration and boot loader option content may be used to control inventory. The boot
source is also determined.
7. Unless configuration information directs otherwise, the Ignite TUI is launched on the client.
•The operation to be performed is set. (Advanced Install is the default operation.)
•Networking configuration information is determined, if the installation requires the network.
•The complete set of Ignite configuration files is read and parsed. Note that changing the
Configuration or Environment will result in rereading and parsing config content, since
these changes generally result in changes to the set of config files.
•System, software, file system, and other configuration changes are gathered via the
interface.
•When Go! is selected from the user interface, the requested installation or recovery is
launched.
•Configuration sanity checking is performed. If there are problems, you are returned to
the TUI.
•The modified configuration is saved to control installation or recovery processing.
8. If the TUI was not selected to launch, sanity checking is done on the selected config.
Phase 1
Storage is set up and Ignite relocates to the new disk file system. The result of this phase is the
install or recovery functionality running on what appears to be a normal disk-based file system,
and if recovery, an I/O configuration that appears to be restored. Some aspects of the configuration
cannot be fully restored until reboot. Processing for this phase is done on a RAM file system.
1. During a recovery, the original I/O configuration is restored if I/O instance data is present
in the config. Some aspects of the configuration might be instantly changed. Some aspects
are temporarily changed and will be finalized during reboot. If the current system is different,
some aspects of the I/O configuration will be impossible to restore.
2. Create disk partitions if needed (Integrity systems only).
3. Create volume manager volumes as needed.
4. Create and mount file systems.
5. Determine software sources and selections.
6. Run pre-config control scripts.
7. Set boot path.
8. Set up and enable swap space.
9. Save final volume configuration data to disk file system.
10. Set locale.
11. Move needed content from RAM file system to disk file system. Load the complete set of
commands, libraries, and other files required to accomplish installation and recovery from
Ignite command archives to the new disk file system (SYSCMDS or SYSCMDSIA).
12. Change the root directory to the disk file system with chroot.
Phase 2
File content is installed or restored. The result of this phase is the final disk file system and content.
Some cleanup and processing that must be done after system reboot is still required. For the HP-UX
20 Ignite-UX Overview
install kernel, the RAM file system is still the root disk. For the commands in this phase, the new
disk file systems is the root file system. A reboot is required to change the HP-UX kernel root disk
from the RAM disk to the final disk.
1. Release RAM disk space to accommodate software installation and kernel build processes to
be done later.
2. Load the archive if indicated in the config (for recovery and golden image installation).
3. Update mnttab so it appears to be correct during installation and kernel build.
4. Create device special files.
5. If needed, rename device files to make the I/O configuration appear fully restored.
6. Update bootconf.
7. Change I/O configuration files to match final instance config using ioinit and ioscan
-M.
8. Load depot-based software if indicated in the configuration.
9. Save configuration so it is available for reuse.
10. Build final system kernel.
11. Set up the inittab file so final Ignite-UX processing will be done after reboot.
12. Reboot system.
Phase 3
Software is configured and final installation or recovery cleanup is done. The result of this phase
is a fully installed or recovered system, ready for use after reboot. If configuration has been deferred,
the system will be set up to run FIRST-BOOT set_parms on initial boot so you may choose the
hostname, IP address, and other settings. Processing for this phase is done using the final disk-based
file system.
1. Update the AUTO boot file.
2. Configure software.
3. Configure final networking.
4. Generate a system manifest.
5. Save the installation information for deferred configuration.
6. Perform final cleanup.
7. Reboot or halt system.
Ignite-UX Server Requirements
Hardware Requirements
An Ignite-UX server supporting boot,installation and recovery for clients requires the following
hardware:
•Computer: An HP 9000 (PA-RISC) system running HP-UX 11i v1, HP-UX 11i v2, or HP-UX 11i
v3; or an Itanium®-based system running HP-UX 11i v2 or HP-UX 11i v3 is required.
•Memory: Client installation and recovery performance is typically limited by network throughput.
Normally, no special consideration for system memory is needed.
•DVD drive: A DVD device is recommended to simplify copying HP-UX release depots directly
from installation media to the Ignite-UX server.
•Tape device: As part of your overall disaster recovery plan, you should consider how the
Ignite-UX server itself would be recovered. A tape drive allows the Ignite-UX server to use tape
media to save the server’s own recovery archive. Note that depots, saved client recovery
archives, and other client-specific content typically should not be included in the recovery
archive saved to tape. This client content should be saved using backup software. Not all
systems support tape boot and so require two-step media recovery. See “Tape Recovery With
Ignite-UX Server Requirements 21

No Tape Boot Support — Two-Step Media Recovery” (page 213) and the Ignite-UX Installation
Booting white paper available at http://www.hp.com/go/ignite-ux-docs for more information.
•Network interface: One or more network adapters to support network boot and installation
is required. A network adapter directly connected to each supported subnet is preferred. Note
that multiple simultaneous network installations and recovery operations can create significant
network traffic.
•Disk space: An Ignite-UX server might need considerable disk space.
Ignite-UX servers must have at least 2 GB of free disk space available in /opt/ignite
to support installation of all HP-UX releases (B.11.11, B.11.23, and B.11.31).
To save space, you can support only those HP-UX releases you plan to install or recover.
◦
◦Ignite-UX servers might require significant space in /var/opt/ignite to support clients’
systems, store software depots, and save recovery archives. Default HP-UX file system
sizes are unlikely to be sufficient for an Ignite-UX server. You should consider the number
of client systems you intend to support and the maximum number of recovery archives to
be saved for each client.
The size of a recovery archive depends on the content being saved. A recovery archive
will normally include at least a full set of HP-UX operating system software.
◦File system space is needed to hold depots required for installation. You should consider
how many different OS releases the server might need to support. Note that you might
also want to support different OE versions of each HP-UX revision on your Ignite server,
such as the HP-UX 11i v2 September 2004 OE release and the 11i v2 September 2006
OE release, or the 11i v3 Base OE (BOE) and the 11i v3 Virtual Server OE (VSE-OE) of
a particular release. Space will also be needed to store additional application and patch
depots.
◦If you use golden images, file system space is needed to hold them. Consider the size
and number of images you will require.
◦See the HP-UX Installation and Update Guide available from http://www.hp.com/
go/hpux-core-docs for a detailed description of the disk space required for all
Operating Environments for your version of HP-UX.
Other Considerations
An Ignite-UX server might also require software, utilities, and configuration:
•Use of TFTP: Ignite-UX transfers some files using TFTP. A list of the minimum directories needed
for file transfer is kept in the /etc/inetd.conf file. You might need to add directories to
the list if you place configuration scripts in nonstandard locations.
For example, the Ignite server must have the following entry in its /etc/inetd.conf file.
tftp dgram udp wait root /usr/lbin/tftpd\
tftpd /opt/ignite /var/opt/ignite
If you are using HP Serviceguard clusters or systems with multiple IP addresses on a LAN
interface, use the -s option with tftp and install the patch PHNE_28762 11.11.
•Use of ssh: With Ignite-UX version C.6.8 and later, bootsys can use ssh, and ignite can
use ssh for make_[tape|net]_recovery. With Ignite-UX version C.7.1 and later, the
ignite command can use ssh when calling bootsys. To use ssh, it must be available on
the Ignite server and on the client, and you must have an existing public/private key pair.
•Optional use of an X11 display server: An X11 display server allows you to use the GUI to
configure and start Ignite. Your Ignite-UX server can use an X server to display the Ignite GUI,
or you can redirect the display to another X terminal by entering the following command:
22 Ignite-UX Overview

export DISPLAY=system_name:0.0
If DISPLAY is not set on the server, the Ignite TUI will run.
•Software: Get Ignite-UX and any software depots you plan to distribute to clients from the
product media (CD or DVD). Ignite-UX can also be downloaded from the web; see “Getting
the Ignite-UX Software ” (page 12) for more information.
•Client access to server: There are multiple methods of having clients contact the Ignite server,
each suited to a different environment. See Chapter 2 (page 24) for more details.
Supported Peripherals
Disks and Other I/O
If a disk device is visible, it does not mean it is supported for installation. It is important to verify
that the disk is supported by the system, the host bus adaptor (HBA), the firmware, the HP-UX
release, and the volume manager to be used.
Computer system hardware documentation should be consulted for supported I/O configurations.
See the HP Business Support Center http://www.hp.com/bizsupport for HP computer system
hardware documentation.
VxVM support is provided for a specific set of devices. The list of supported devices should be
consulted – see http://www.hp.com/go/hpux-core-docs. Look for the section Support Matrixes,
and the document entitled Device Support Information for Veritas Products on HP-UX.
LVM supports all the devices HP-UX supports. See the HP-UX Supported Mass Storage Devices
Matrix for a table of I/O devices supported for each version of HP-UX.
Firmware
At times you might need new firmware to support a new device or HBA. Ensure that the client’s
firmware supports the devices and HBAs to be used for boot and root. For example, after the
HP9000 rp8400 system was first released, firmware changes enabled the system to boot from
disks connected to Ultra 160 HBAs. Check the Installation and Update Guide for your HP-UX
release, available at http://www.hp.com/go/hpux-core-docs, for instructions on finding firmware
information.
Additionally, firmware support for Fibre Channel, tape devices, and LAN cards might vary. In
some cases, devices are supported for data use, but device boot is not supported.
Disk Arrays
You can install disk arrays using HP-UX, but Ignite-UX does not directly support configuring an
array. The disk array must be configured first; see your array documentation for configuration
instructions. In some cases, system firmware may be used to set up disk arrays. The Ignite-UX install
environment contains tools that are also used to help configure disk arrays. To use these tools in
the install environment, you will need to use the expert recovery functionality to start an install
environment shell. It might also be necessary to load files that are not normally included in the
install environment by using the Ignite-UX loadfile command. When array configuration is
complete, it is necessary to reboot the system in order to use the newly configured disk LUNs during
install.
Client Terminals
The Ignite-UX client-side operating system installation tools support VT100 and Wyse 60 terminals,
compatible terminal emulators, and all HP terminals. Additional information regarding how to
navigate within the Ignite-UX GUI with the keyboard is found in Appendix F (page 251).
Supported Peripherals 23

2 Making Configuration Decisions for Ignite Servers
Ignite is flexible when configuring networking options and even allows options that don't require
networking. Also, you can switch to a source other than the boot source for install content. These
features allow you to choose from a variety of installation and recovery solutions.
Below are installation solutions, starting with the most simple and progressing to those more
complex. This chapter finishes with network booting debugging techniques.
Boot and Install Client from Media
These options do not require a network:
•Cold install or update a single system directly from media kit DVDs
You can use the HP-UX 11i media kit DVDs with Ignite-UX to cold install or update a system.
For more information, see the HP-UX Installation and Update Guide for your version of HP-UX,
available at http://www.hp.com/go/hpux-core-docs.
•Cold install from custom media
This option assumes you have already created custom installation media. Custom installation
media can be a tape or DVD with either a golden image or a recovery image on it. All
installation media are bootable. After you boot from media, choose Media only installation
as a Source Location Option from the Ignite-UX User Interface and Media Options screen. For
more information, see Chapter 14 (page 177).
•Recovery from tape
This option assumes you have already created a recovery tape. For more information, see
“Creating and Using Recovery Tapes” (page 197).
Simple Network Solutions
These solutions use a single Ignite server that supports network boot, installation, and recovery.
The Ignite server and the client systems must be on the same subnet, and no other boot or installation
servers can be on that subnet.
Questions you will have to answer when configuring a simple network are:
•Are my clients PA-RISC or Itanium-based?
•Do I want to network boot all my clients?
•Do I want my clients to have their MAC addresses registered with the server to always boot
to the same assigned IP address (registered clients), or do I want an available IP address
assigned to them when they boot (anonymous clients) ?
•Do I want the booting IP address to be the same IP address used for networking after installation
is complete?
•Do I have DHCP running on my subnet?
Decision trees for Ignite-UX server configuration follow. Do not treat them as strictly yes-or-no
exercises. Your environment may require choosing multiple methods from the decision trees, and
although you may be able to use an option, you might reject it because it is not the best answer
for your environment. Also, keep in mind that these decision trees cover booting, so only the initial
IP address is affected. For more information, see “Network Booting and IP Addresses” (page 18).
A decision tree for network booting PA-RISC systems is shown in Figure 5. A decision tree for
network booting Itanium-based systems is shown in Figure 6 (page 26). The decision trees assume
the network boot clients are on the same subnet as the Ignite-UX server, and that you will always
use the install option to the boot console handler (BCH) boot command for PA-RISC systems.
24 Making Configuration Decisions for Ignite Servers

Further, the decision tree for network booting Itanium-based systems assumes there is only one
DHCP server on your subnet configured to answer boot requests, and that it is running HP-UX.
If you want to boot a system without using the network and your Ignite-UX server, see the decision
tree shown in Figure 34 (page 98).
NOTE: A lot of clients can only be booted using their built-in LAN interfaces. Other LAN interfaces
might not be supported for boot. For more information about LAN interface boot support, consult
the hardware documentation for the system or the add-in LAN card.
Use the following decision tree when configuring an Ignite-UX server for PA-RISC clients:
Figure 5 Decision Tree When Configuring a Server for Booting PA-RISC Systems
YES
NO
NO
Network
booting
support ?
YES
Registered
clients ?
PA-RISC
Configure
instl_boottab
for registered clients
Configure
instl_boottab
for anonymous clients
See the decision tree
for booting stand alone
systems
Configure instl_boottab for registered clients - To network boot registered PA-RISC clients, the
server uses the instl_bootd daemon to answer boot requests, and has clients’ IP addresses and
LAN addresses registered in /etc/opt/ignite/instl_boottab. The process of configuring
an Ignite-UX server for registered PA-RISC clients is described in “Configuring the Ignite-UX Server
for PA-RISC Clients” (page 30). See the Ignite-UX Quick Start Guide available at http://
www.hp.com/go/ignite-ux-docs if you are new to HP-UX.
Configure instl_boottab for anonymous clients - Network booting anonymous PA-RISC clients
is similar to booting registered PA-RISC clients; the difference is that some IPs in the /etc/opt/
ignite/instl_boottab file are not associated with any clients’ MAC addresses, and so may
be assigned to clients as requests come in. See “Configuring an Ignite Server to Boot Anonymous
PA-RISC Clients” (page 42) for more information.
See the decision tree for booting stand alone systems - This decision tree can be found in Figure 34.
Use the decision tree below when configuring an Ignite-UX server for Itanium-based clients.
Simple Network Solutions 25

Figure 6 Decision Tree When Configuring a Server for Booting Itanium-Based Systems
Configure individual entries in bootptab —To network boot registered Itanium-based clients, the
server uses the bootpd daemon to answer boot requests, and has clients’ IP addresses and LAN
addresses registered in /etc/bootptab. One drawback to this option is that you must configure
an entry for every system that needs to boot. The advantage of this method is that it works on all
versions of HP-UX. See “Configuring the Ignite-UX Server for Itanium-Based Clients” (page 34) for
details. See the Ignite-UX Quick Start Guide available at http://www.hp.com/go/ignite-ux-docs
if you are new to HP-UX.
Configure a DHCP device group for anonymous clients - Configuring an Ignite-UX server to boot
anonymous Itanium-based clients requires sophisticated considerations; see “Configuring an Ignite
Server to Boot Anonymous Itanium-Based Clients” (page 43). This option is only available for Ignite
servers running HP-UX 11i v2 and later.
See the decision tree for booting stand alone systems - This decision tree can be found in Figure 34.
Alternate Boot with Network Server Installation
A simple way to avoid boot issues in complex network configurations is to avoid network boot.
Network installation may be started via non-network boot. The Ignite install environment may be
26 Making Configuration Decisions for Ignite Servers

booted from a source local to the client system. Regardless of how Ignite-UX is started, it has the
same network capabilities once it is running.
•Use bootsys to boot a system already running HP-UX
If the client system is already running HP-UX, the Ignite-UX bootsys command may be used
to copy the install kernel and install file system to the client system's HP-UX file system. After
reboot, the HP-UX boot loader can boot for installation using that copied content. Ignite config
content in the install file system may be used to cause Ignite to automatically switch to use the
master Ignite server. Because the initial install environment is copied from the Ignite server,
you can be confident the Ignite versions of the initial boot content and software on the Ignite
server have the same versions. See “Using bootsys on the Client Console” (page 98).
•Use DVD media to boot a system for network installation
Ignite supports booting for network installation using standard HP installation media or custom
boot media. The version of the Ignite on the media must match the version of Ignite running
on the master Ignite server. The simplest way to ensure the versions match is to use
make_media_install on the Ignite server to create custom boot media. This custom boot
media may be constructed to include [W|V|I]INSTALLFS config content, which automatically
switches to using the Ignite server on startup. Standard HP-UX installation media may also be
used to boot the system, as long as the Ignite version on the media matches the master server
Ignite version. Standard HP-UX media config content cannot be modified to automatically
switch to your Ignite server. See “Creating a Boot CD/DVD or an Installation DVD” (page 182)
and “Tape Recovery With No Tape Boot Support — Two-Step Media Recovery” (page 213).
•Use vMedia USB DVD to boot a system for network installation
Many Integrity systems support Integrated Lights Out (iLO) Virtual Media (vMedia). This feature
must be enabled using a license key. Once enabled, a DVD device or an ISO DVD image on
a remote system, such as a PC, may be used. In either case, the client system will appear to
have a local USB DVD device.
For more information, see Appendix D (page 238) and the HP Integrity iLO 2 MP Operations
Guide available at http://www.hp.com/bizsupport.
•Boot your Integrity system from a USB memory stick device
It is possible to configure your Integrity system and a USB flash drive in order to boot HP-UX
directly from a memory stick device. Once the system is booted to the HP-UX Ignite-UX install
environment, you can perform a variety of installation or recovery actions. See the Ignite-UX
USB Memory Stick Boot white paper, available at http://www.hp.com/go/ignite-ux-docs,
for more information.
Complex Networks
Setting up an Ignite server on a simple network assumes there is a single subnet with only one
Ignite server that supports network boot and installation. Often, real network environments are
significantly more complex. Configuring an Ignite server to operate correctly while avoiding
interference with other boot and installation servers on the network requires special consideration.
For a detailed discussion, see Chapter 5 (page 47).
Diagnosing Network Boot Issues
When configuring a network, sometimes boot and installation will not work at all or will not work
as expected. Especially when configuring a complex network, you should expect to spend time
diagnosing and resolving issues due to the complexity of the network and interactions between
servers. You should also expect that problems might occur in the future as the complex network
changes.
This section includes suggested tools and techniques for diagnosing problems.
Complex Networks 27

HP-UX Diagnosing and Debugging
Simple Network Debugging
If network boot is used on a local subnet and the Ignite-UX server is not found, check these items:
•Verify the client is on the same subnet as the Ignite-UX server or boot helper.
•Investigate instl_bootd errors in /var/adm/syslog/syslog.log.
•In the /var/adm/inetd.sec file, ensure the service instl_boots exists, and that the IP
address 0.0.0.0 is allowed. (Normally, all addresses are allowed via 0.0.0.0.) The entry
should look like:
instl_boots allow 0.0.0.0
•If /etc/services comes from NIS, make sure the NIS server has instl_boot* entries.
Logging to syslog.log
The bootpd and tftpd daemons have the ability to log requests and responses. The /etc/
inetd.conf file may be modified to enable logging. The bootpd -d option and tftpd -l
option control logging. For example:
# tftp dgram udp wait root /usr/lbin/tftpd tftpd \
-l /opt/ignite /var/opt/ignite
# bootps dgram udp wait root /usr/lbin/bootpd bootpd -d 9
The daemons log to the HP-UX syslog file located at /var/adm/syslog/syslog.log.
NOTE: Logging should normally be disabled since it can consume a significant amount of disk
space.
If the boot configuration includes multiple boot servers (for bootp relay, for example) it is often
useful to enable logging on all servers.
Using bootpquery
To save time when configuring an HP-UX system boot, the bootpquery command may be used
to simulate a network boot request by requesting bootpd to indicate how it would respond to
boot requests for a specific MAC address. This is normally much faster and simpler than attempting
to boot using a real client system.
To use bootpquery, add the ba option to the appropriate entries in the /etc/bootptab file.
Without this option, bootpd will send responses only to the client system making the boot request.
The ba option requests the response be broadcast on the subnet, so any system is able to see the
response, including the system where you are using bootpquery. For more information, see
bootpquery(1M).
NOTE: The ba option should be removed once testing is completed.
The bootpquery output includes valuable debug information:
# bootpquery 0011855F549E
Received BOOTREPLY from hpignite.xyzco.com (10.1.1.11)
Hardware Address: 00:11:85:5f:54:9e
Hardware Type: Ethernet
IP Address: 10.1.1.110
Boot file: /opt/ignite/boot/nbp.efi
RFC 1048 Vendor Information:
Subnet Mask: 255.255.255.0
Gateway: 10.1.1.1
Bootfile Size: 24576 512 byte blocks
28 Making Configuration Decisions for Ignite Servers

Domain Name Server: 10.1.1.1
Host Name: hpuxsys1
Domain Name: xyzco.com
RDP Diagnosing and Debugging
An RDP server can be configured to log PXE boot and TFTP activity. The PXE Configuration Utility
may be used to control logging. Logging should be disabled when you are finished diagnosing
and debugging.
Diagnosing Network Boot Issues 29

3 Simple Network: Creating a Server for Registered Clients
This chapter describes how to install a basic Ignite-UX server configuration for network booting
and installing HP-UX on clients registered with the server. This chapter does not discuss support for
anonymous clients. For information about how to set up anonymous clients, see Chapter 4 (page 42).
See the Ignite-UX Quick Start Guide available at http://www.hp.com/go/ignite-ux-docs if you
are new to HP-UX.
For PA-RISC clients, a basic server setup will use the instl_bootd daemon to answer boot
requests, will not use DHCP for initial system boot, and will register clients’ IP addresses and LAN
addresses in /etc/opt/ignite/instl_boottab.
For Itanium-based clients, a basic server setup will use the bootpd daemon to answer boot requests,
will not use DHCP for initial system boot, and will have clients’ IP addresses and LAN addresses
registered in /etc/bootptab.
For more information on how systems get IP addresses for booting, see “Network Booting and IP
Addresses” (page 18).
Setting up software depots is the same for PA-RISC and Itanium-based systems.
Configuring the Ignite-UX Server for PA-RISC Clients
Launch Ignite-UX
As superuser, start Ignite-UX by entering the following command:
ignite
Because this is the first time Ignite-UX is launched, there are no clients and the message in Figure 7
appears. You must boot a client before it can be recognized and managed by Ignite-UX.
Acknowledge the message by clicking OK.
Figure 7 Ignite-UX First Launch Message
The Ignite-UX Welcome dialog box is displayed, as shown in Figure 8.
30 Simple Network: Creating a Server for Registered Clients

Figure 8 Ignite-UX GUI Welcome Dialog Box
To learn more about the Ignite-UX GUI now, click Tutorial and Demo... Once the Ignite server is
configured, you can access the tutorial by selecting Actions→Run Tutorial/Server Setup→Tutorial
and Demo from the Ignite-UX interface.
To bypass this welcome the next time you start Ignite-UX, click the Do not show this screen again
check box.
Launch the Server Setup Wizard
To begin configuring your Ignite-UX server, click Server Setup... to launch the Server Setup Wizard,
as shown in Figure 9.
Configuring the Ignite-UX Server for PA-RISC Clients 31

Figure 9 Server Setup Wizard
To set up an Ignite-UX server for PA-RISC clients, complete step 1 (Set up IP addresses), skip step
2 (Set up DHCP addresses), and complete step 3 (Set up software).
Click Next to advance to the Server Setup: IP Addresses dialog box (Figure 10).
NOTE: To end the setup process at any time and leave the system unchanged, click Cancel.
Figure 10 Server Setup: IP Addresses
32 Simple Network: Creating a Server for Registered Clients

Register the PA-RISC Clients with the Server
Select Configure Booting IP Addresses Now from the Server Setup: IP Addresses dialog box
(Figure 10 (page 32)), then click Next to proceed to the Configure Booting IP Addresses dialog
box shown in Figure 11 (page 33).
Figure 11 Configure Booting IP Addresses
Use the Configure Booting IP Addresses dialog box to register client IP addresses with their physical
MAC addresses. The IP addresses and corresponding reserved MAC addresses are read from the
/etc/opt/ignite/instl_boottab file on the server to display in the Booting IP Addresses
window. IP addresses with blank reserved MAC addresses are not currently reserved for any client.
If you want to add a new IP address to reserve for a client, click in the IP text box and enter the IP
address intended for your client. Then click in the reserved for: 0x text box and enter the client’s
MAC address. Click Add to enter the IP address/MAC address pair into the Booting IP Addresses
window. The MAC address given here must be the MAC address of the network interface to be
used to boot the system over the network.
If the IP address you want to reserve for a client is already listed in the Booting IP Addresses
window, select that line. The IP address will appear in the IP text box, and the current MAC address
it is reserved for, if there is one, will appear in the reserved for: 0x box. Enter the client MAC
address in the reserved for: 0x box, then click Modify. The IP address will then appear in the
Booting IP Addresses window with the client MAC you just entered.
You can remove sets of IP addresses/MACs from the Booting IP Addresses window by selecting
the line and then clicking Remove.
Continue assigning IP addresses to clients’ MACs until all the clients to be booted from the Ignite-UX
server are registered. You can modify this information in the future by editing the /etc/opt/
ignite/instl_boottab file, or via the Ignite-UX GUI under Options→Server Configuration.
When you have completed registering clients, click OK to write the contents of the Booting IP
Addresses window to the /etc/opt/ignite/instl_boottab file.
Configuring the Ignite-UX Server for PA-RISC Clients 33

Once you exit the Configure Booting IP Addresses dialog box, a registered client’s boot request
is answered by instl_bootd, and the client will boot to the reserved IP address listed in the
Booting IP Addresses window.
NOTE: No intervention is required to have instl_bootd pick up changes to the /etc/opt/
ignite/instl_boottab file. When a boot request is received, instl_bootd always checks
whether the file was modified since last read, and rereads it before answering any boot request.
Care should be taken if you edit the /etc/opt/ignite/instl_boottab file manually. For
the correct procedure see instl_bootd(1M).
Skip DHCP Setup
After exiting the Configure Booting IP Addresses dialog box, the Server Setup: DHCP (optional)
dialog box appears. Select Skip DHCP Setup, then click Next.
A dialog box is displayed to tell you how to configure DHCP services later. Click OK.
The Server Setup: Software Depot Setup dialog box is then displayed (Figure 12 (page 36)).
Go to the Software Setup Section
Proceed to “Setting Up Software from OE Depots” (page 35) to complete the Ignite-UX server setup.
Configuring the Ignite-UX Server for Itanium-Based Clients
Register the Itanium-based Clients with the Server
Registered Itanium-based clients must be entered in the /etc/bootptab file manually; they cannot
be registered using the Server Setup Wizard. The /etc/bootptab file acts as the database for
the bootpd daemon on the Ignite-UX server. All registered clients you intend to boot from the
Ignite-UX server must be entered in the bootptab file.
A typical bootptab file has a generic, default client specification defined. The individual clients
use this default definition and make their specific modifications to it, such as the IP address and
the hardware address (MAC address). In the following example, IADEF is the default configuration
for Itanium-based clients on the subnet, and iuxclient1 is the specific entry for that particular
client.
IADEF:\
ht=ethernet:\
hn:\
dn=domain_name.com
gw=190.1.48.1:\
sm=255.255.248.0:\
ds=190.1.48.11 190.1.48.12:\
vm=rfc1048:\
bf=/opt/ignite/boot/nbp.efi:\
bs=48:
iuxclient1:\
tc=IADEF:\
ip=15.1.52.204:\
ha=00306E4A3391
The tc tag indicates the use of a template for common defaults, so all the values from IADEF are
assumed for iuxclient1 unless specifically overridden in the client’s definition. The ip tag
indicates the client’s IP address, and the ha tag indicates the MAC address. For more information
on the bootptab file syntax, see bootpd(1m).
For each client you intend to boot from the Ignite-UX server, enter their respective IPs and MAC
addresses in the bootptab file.
34 Simple Network: Creating a Server for Registered Clients

From now on, when a registered client’s boot request is answered by bootpd, it will boot to the
reserved IP address you entered in the /etc/bootptab file. You can make changes to the
bootptab file at any time.
IMPORTANT: The server that sends the response to the boot request is the same system from
which the client will attempt to tftp the boot file. If you are not using an HP-UX system to reply
to a request, you must make the required boot files available and current with new releases of
Ignite-UX. HP does not provide support for this kind of configuration.
Use the Server Setup Wizard to Proceed to Software Depot Setup
Follow the steps outlined in the section “Configuring the Ignite-UX Server for PA-RISC Clients”
(page 30) from “Launch Ignite-UX” (page 30) through “Launch the Server Setup Wizard” (page 31).
When you get to the Server Setup: IP Addresses dialog box (Figure 10) select Skip Booting IP
Setup, and then click Next.
A note appears instructing you how to configure IP addresses in the future. Click OK, and the
Server Setup: DHCP (optional) dialog box is displayed. Select Skip DHCP Setup, then click Next.
A dialog box is displayed to tell you how to configure DHCP services later. Click OK.
The Server Setup: Software Depot Setup dialog box now appears (Figure 12 (page 36)).
Setting Up Software from OE Depots
Before starting the software depot installation, you should have on hand either a set of OE media
or information about a remote system that contains a previously installed OE depot.
If you are using media, you will need a locally attached optical drive: a DVD-ROM for DVD or CD
media, or a CD-ROM drive for CD media. The media should not be mounted before starting if you
are planning to create a local depot. The media can be mounted before starting if you are planning
to install directly from the media. For performance reasons, HP does not recommend installing
directly from media when more than one system will be attempting to access the media.
If you are using a previously installed OE depot, it should have been installed using the process
described below, or by using the make_depots command.
Regardless of the source of the OE depot, the full OE should be installed, not a subset.
Setting Up Software from OE Depots 35

Figure 12 Software Depot Setup Page
Select the depot source (media or installed depot) and then click Next.
For media, you are prompted to insert the media and select a device.
For an installed depot, you are prompted for the hostname of the system containing the operating
system depots. Enter the hostname, then click Show Depots.... Select a depot containing a core
operating system from the list, and then click OK.
You are then asked to confirm your choices. A Server Setup Logfile dialog box is then displayed
so you can monitor the depot installation progress. This process is lengthy and can take up to two
hours. During this time this dialog box remains active and is updated when new information is
written to the log file.
Upon completion, either click OK to continue installing additional depots by repeating this process,
or click Finish to complete the server setup.
NOTE: To install additional software depots once the server is set up, see “Setting Up Additional
Software on the Server” (page 40).
More Server Setup Options
Once your Ignite server is up and running, you can set general options by accessing the Server
Configuration dialog box from Options→Server Configuration.
Configuring Server Options
General server settings are available on the Server Options tab.
36 Simple Network: Creating a Server for Registered Clients

Figure 13 Ignite-UX Server Configuration Tabs
The following options are available:
•Default Configuration – Click the button next to Default Configuration to select from the list of
available configurations. The selected configuration is the default that will be used when
installing clients. You can override this default setting on a per-client basis with Ignite-UX.
•Default Printer – Click the button next to Default Printer, then select one of the available
(configured) printers. This is the printer used for printing a manifest or installation history. The
printer IP address is verified by Ignite-UX before a job is sent.
•Client Timeout(minutes) – Click the button next to Client Timeout (minutes):, then select the
number of minutes or off. Status information is written into the client’s install.log file
during the installation, and this log is actively monitored by Ignite-UX on the server. Setting
this value configures Ignite-UX to display a warning message if the install.log file has
not been updated in the selected number of minutes. HP recommends you use the default
value.
Setting Client Timeout to off disables this notification and does not affect the outcome of the
installation.
•Run client installation UI on – Use the Run client installation UI on: menu to designate where
you want to run the client UI for this installation. If you have an Ignite-UX server configured,
you can run the client installation interface from the target system using a terminal user interface
(TUI), or from the server using whatever UI is set up there (the Ignite-UX GUI or TUI). If the
client installation is to be noninteractive (no user intervention), select none.
The default is for the UI to be displayed on the Ignite-UX server.
•Use ssh to gather client data – For all clients, ssh will be used instead of remsh,rlogin,
and rcp.
More Server Setup Options 37

•The Configure Booting IP Addresses... button gives you access to the Configure Booting IP
Addresses dialog previously described in “Register the PA-RISC Clients with the Server”
(page 33).
•Add DHCP Addresses... –
The assignment of DHCP IP addresses for booting is only used for anonymous clients. See
Chapter 4 (page 42) for more information.
The IP addresses you provide here are used during boot and installation. These addresses are
in use for most of the Ignite-UX download to a client. One address is required for each
simultaneous download. For more information see “Network Booting and IP Addresses”
(page 18).
Figure 14 Add DHCP Addresses Dialog Box
This provision of DHCP capability is for the boot and installation only. You will have to
coordinate with the administrator of regular DHCP services, which distributes networking IP
addresses, to make sure you use a set of available IP addresses that will not cause a conflict
with regular DHCP services. See Appendix B (page 232) for information on configuring regular
DHCP services on your Ignite-UX server. Unless you are familiar with DHCP services, do not
modify the DHCP Class ID field or the DHCP Addresses are temporary check box.
Provide a range of available IP addresses in the DHCP Addresses fields from lowest number
to highest:
10.2.73.21 10.2.73.40
Other ways to set these IP address values are: when prompted by Ignite when it's first run are
instl_adm, and SMH or SAM.
For more information about setting up DHCP functions, addresses, and class IDs, see “Ignite-UX
Server and Boot Helper Setup for DHCP” (page 43),setup_server(1M), and instl_adm(4).
Configuring Session Options
Ignite-UX allows you to choose how client installation sessions behave. For example, you can
decide whether or not to display the Welcome dialog each time you start Ignite-UX, and whether
clients are halted on completion of the installation.
The following options are accessible from the Server Configuration dialog box (Options→Server
Configuration)Session Options tab.
38 Simple Network: Creating a Server for Registered Clients

Figure 15 Session Options Tab
The options you can configure on this tab are explained as follows:
•Confirm new clients – Controls whether a confirmation dialog box appears each time a new
client is booted from the Ignite-UX server.
•Ask for customer information during client installation – Controls whether an input window
appears to enable entry of customer name, system serial number, and order number. This
information is stored in the manifest.seed file in the /var/opt/ignite/local/
manifest directory. It is used when you are viewing and printing a manifest (see “Viewing
and Printing a Manifest ” (page 149)) with print_manifest(1M). The information entered has no
effect on the outcome of an installation.
•Show the welcome screen for the install server – Controls whether the WELCOME TO IGNITE
UX dialog box appears. The default behavior is to display this dialog box.
•Halt the client after installation – Controls whether the client system is halted (rather than
rebooted, the default) after installation.
•Automatically move completed clients to history – Controls whether completed clients are
automatically added to the end of the history log, /var/opt/ignite/clients/history/
history.log. As part of this action, client configuration and manifest files are automatically
moved to the history directory on the Ignite-UX server for future reference. The client icon is
removed from the GUI workspace. The client must be COMPLETE (fully installed) for this to
take place.
•Show all the information for network recovery image creation – Controls the amount of
information that appears during network recovery image creation and installation. The default
behavior is to hide this information.
•Show all the information for tape recovery image creation – Controls the amount of information
that appears during tape recovery image creation and installation. The default behavior is to
hide this information.
More Server Setup Options 39

Setting Up Additional Software on the Server
After you have successfully installed and configured your Ignite-UX server, you might want to set
up additional software on the server for installation on clients. Commands written for this task
handle Software Distributor (SD) depots and bundles, but it is possible to configure Ignite to install
non-SD software.
The commands that make SD software available for Ignite are capable of sweeping actions, such
as packaging an entire software CD/DVD and then making additions to all configuration clauses
of a specified release. These commands may also be used to fine tune a single configuration clause
with a single software addition. Care must be taken when using these commands to get the results
you want.
This section is limited in scope and does not attempt to fully address what can quickly become a
complex task.
For a complete discussion, see Ignite-UX Custom Configuration Files available on http://
www.hp.com/go/ignite-ux-docs. Look for the sections “Configuration for software to be installed”
and “Installation configurations using Software Distributor depots.”
SD Software
Generally speaking, all software supplied by HP for HP-UX is packaged in SD form. Use the steps
below to make SD software available to Ignite-UX for installation on clients.
1. If the software is not in a depot, put it in one. The make_depots command copies SD bundles
to a depot for use by Ignite-UX. See make_depots(1M) for more information. For ease of
maintenance, HP recommends copying the depots to disk rather than using CD/DVD drives
as the source for installation.
2. Run make_config on all the depots you plan to use. The make_config command creates
configuration files for software in a depot. See make_config(1M). You must run make_config
each time you add or modify software in your depot. Be aware that any customizations you've
made to a configuration file are lost when you recreate a configuration file with make_config.
NOTE: Make sure to invoke the make_config command on registered depots only. Users
need to run swreg command explicitly to register a depot when the automatic behavior of
swcopy,swinstall, and swpackage do not suffice.
3. Use manage_index to add configuration files to configuration clauses in the INDEX file. See
manage_index(1M).
Example: Create a configuration for compiler software
Given an SD depot of complier software on another server, this example creates a configuration
file for that software and adds it to all configuration clauses for the B.11.31 release.
# make_config -s server:/depots/compiler \
-c /var/opt/ignite/data/Rel_B.11.31/compiler_cfg
# manage_index -a -f /var/opt/ignite/data/Rel_B.11.31/compiler_cfg
IMPORTANT: Inclusion of multiple versions of Veritas Volume Manager from Symantec (VxVM)
in the same installation depot, or in separate depots that are used together in a single
cold-installation session, is not supported. Doing so generates errors when attempting to use the
installation depot or during reboot when using non-SD depots. For more information, see
“Considerations When Using Veritas Volume Manager from Symantec” (page 190).
Non-SD Software
To make non-SD software sources (tar,cpio, or pax archives) available to Ignite-UX, use the
example configuration file /var/opt/data/examples/noncore.cfg.
40 Simple Network: Creating a Server for Registered Clients

1. Make a copy of the /var/opt/data/examples/noncore.cfg file and edit it for your
particular software. The file contains extensive comments to help you make the changes you
need.
2. Use manage_index to add configuration files to configuration clauses in the INDEX file. See
manage_index(1M).
IMPORTANT: Do not use archives with files in /var/adm/sw/* as software sources. Delivering
files to /var/adm/sw/* can corrupt the SD Installed Product Database.
Setting Up Additional Software on the Server 41

4Simple Network: Creating a Server for Anonymous Clients
This chapter describes how to configure your server to network boot and install HP-UX on anonymous
clients.
Overview of Anonymous Clients
When booting registered PA-RISC clients, the clients’ IP addresses and MAC addresses were
entered in the /etc/opt/ignite/instl_boottab file. If the clients were Itanium®-based,
they were registered in the /etc/bootptab file.
An anonymous client can be booted from an Ignite-UX server without an IP address previously
mapped to its MAC address. Anonymous clients boot using an IP address provided by the server.
Using anonymous client booting on a network is useful when you have many different systems that
must be booted, installed, or recovered. It relieves you from the task of configuring for each specific
system and eliminates the errors inherent in typing IP addresses and MAC addresses. Such an
error could cause IP addresses to be accidentally assigned to more than one computer at a time.
The /etc/opt/ignite/instl_boottab file is used to provide PA-RISC systems with anonymous
client booting. Within the instl_boottab file, if there are IP addresses not assigned to any
MAC address, those IP addresses are available to lease to requesting anonymous clients.
Itanium-based clients use DHCP to boot anonymously.
Configuring an Ignite Server to Boot Anonymous PA-RISC Clients
Using the Server Setup Wizard
If you know you want to use anonymous client boot when you start up your Ignite-UX server, you
can set it up that way using the Server Setup Wizard.
Start Ignite-UX and the Server Setup Wizard as described in “Configuring the Ignite-UX Server for
PA-RISC Clients” (page 30) until you get to the Configure Booting IP Addresses dialog box as
shown in Figure 11 (page 33).
Enter individual or a range of valid IP addresses. Instead of entering a MAC address in the reserved
for: 0x box, leave it blank. When the instl_bootd daemon requests an IP address for your
anonymous PA-RISC client to boot from, it will be given an IP address not registered with any
specific MAC address.
Editing the instl_boottab file
You can enter IP addresses in the instl_boottab file for anonymous PA-RISC client booting.
The instl_boottab file contains comments with instructions on syntax. To add an IP address
for anonymous PA-RISC booting, simply add that IP address to the file on its own line. Since the
IP address is not explicitly marked as reserved or assigned to a MAC address, it is usable by any
client. For more information, see instl_bootd(1M).
NOTE: No intervention is required to have instl_bootd pick up changes to the /etc/opt/
ignite/instl_boottab file. When a boot request is received, instl_bootd always checks
whether the file was modified since last read, and rereads it before answering any boot request.
42 Simple Network: Creating a Server for Anonymous Clients

Configuring an Ignite Server to Boot Anonymous Itanium-Based Clients
Working With DHCP
Even on a simple network, there could be devices such as printers requesting network boot. This
section describes the challenges involved and solutions for DHCP booting and then acquiring IP
addresses for networking.
NOTE: If you are using your Ignite-UX server for DHCP booting, you can set DHCP boot IP
addresses from the Ignite-UX GUI by selecting Options→Server Configuration as described in
“Configuring Server Options” (page 36).
Understanding PXE Booting of Itanium-Based Systems
When an Itanium-based system boots over the network, it sends out a PXE boot request. The PXE
protocol is built on top of DHCP. This can cause confusion if there is more than one DHCP server
configured to respond to PXE boot requests.
It is not possible for an Itanium-based system to specify the server from which to accept DHCP boot
services, ignoring boot offers from all other servers. In other words, there is not an Itanium-based
equivalent for the PA-RISC boot command, boot lan.192.10.10.10 install, which causes
the system to ignore any response except from the IP address 192.10.10.10. This functionality is
known as server selection.
It is possible for many Itanium-based systems to perform directed boot, where server and client
networking information is stored in client firmware and DHCP is not used. For more information
on directed boot, see “Direct Boot Profiles for Itanium-Based Systems” (page 102).
When an Itanium-based system sends out a PXE boot request, it tries to boot from the first PXE
response it gets. If no PXE responses are received within a certain time, the system uses the first
DHCP response it gets. If any of these responses are inadequate for network booting, the PXE boot
attempt fails and an error message is displayed on the console of the requesting system. The
information displayed with PXE errors is usually not explicit enough to determine the cause of the
problem (see “Common Network Booting Errors” (page 230)).
For any network where there will be PXE boot requests from Itanium-based systems, only DHCP
servers that can supply enough information for a successful boot should be configured to respond.
If you have a DHCP server that responds to every DHCP request, regardless of whether it is a PXE
request or not, it almost definitely interferes with PXE boot requests from Itanium-based servers. The
boot request fails when a normal DHCP response is received in response to a PXE boot request.
In addition to boot failure, the inability to select a boot server can lead to installation of the wrong
operating system. Having PXE servers that respond with different boot content on the same network
can cause confusion. For example, if there is a system supporting Linux boot and a system supporting
HP-UX boot on the same network, they can each send a response to a PXE boot request, and the
first server to respond will be used. It is not predictable which server would be used for boot.
Interference with a PXE request from a DHCP server is a configuration issue on the DHCP server
side. This issue is not specific to HP-UX or Ignite-UX, but rather is related to the way firmware
performs a PXE boot.
IMPORTANT: When you configure DHCP servers, make sure there is only one DHCP server on
the network that is configured to respond to Itanium-based system PXE boot requests, and that the
server is running HP-UX if you want to install HP-UX.
Ignite-UX Server and Boot Helper Setup for DHCP
HP-UX 11i v3 and 11i v2 supports dhcp_device_group options that improve anonymous client
DHCP booting for Itanium-based clients. The two configuration keywords re and ncid are used
in a DHCP device pool group for this purpose.
Configuring an Ignite Server to Boot Anonymous Itanium-Based Clients 43
Make sure that at a minimum, HP-UX 11i v2 is installed on your Ignite-UX server or boot helper
system.
Add your device pool group entry to the /etc/dhcptab file on your Ignite-UX server or boot
helper system.
You should not need to restart bootpd if it is already running. When a new bootp DHCP request
is received, bootp checks to see whether it must reread any configuration files. If you want to
force bootp to reread the configuration file, send it the SIGHUP signal.
The following example DHCP device group is the best way to support anonymous Itanium-based
clients:
dhcp_device_group:\
re:\
ncid:\
class-id="PXEClient:Arch:00002":\
lease-time=300:\
subnet-mask=255.255.255.0:\
addr-pool-start-address=192.168.1.10:\
addr-pool-last-address=192.168.1.20:\
bf=/opt/ignite/boot/nbp.efi
The options in the dhcp_device_group clause are:
dhcp_device_group Starts a DHCP device pool group for allocating a range of
IP addresses to assign to clients with a matching class-id
in their boot requests.
re A binary option that sets regular expression matching on the
class-id rather than a default literal match. This is a new
option for HP-UX 11i v2.
ncid A binary option that sets removal of the class-id from
message responses. Since bootpd does not support the full
Intel Preboot Execution Environment (PXE) protocol, it must
not send back a class-id in the response. This is a new
option for HP-UX 11i v2.
class-id Different kinds of systems may make PXE boot requests. For
example, Itanium-based systems and industry standard servers
such as HP ProLiant servers may each make a PXE boot
request. It is unlikely the same configuration could be used
for these different requests. The class-id may be used to
respond to PXE requests from the correct clients, while ignoring
the wrong ones.
All Itanium-based servers send a 32 character PXE boot
request in the following format:
PXEClient:Arch:00002:UNDI:xxxyyy
where xxxyyy are major and minor numbers for the Universal
Network Device Interface revision.
An industry standard server, such as an HP ProLiant server,
sends a PXE boot request in this format:
PXEClient:Arch:00000:UNDI:xxxyyy
where xxxyyy are the same as described above.
The class-id in the dhcp_device_group example above
tells the bootpd daemon to respond only to clients with a
boot request containing PXEClient:Arch:00002. Requests
from industry standard servers are ignored.
44 Simple Network: Creating a Server for Anonymous Clients

A DHCP server or boot helper system configured to respond
to any DHCP boot request containing PXEClient will
respond to both Itanium-based servers and industry standard
servers. A PXE response suitable for an industry standard
server is unlikely to allow an Itanium-based system to boot.
lease-time How long in seconds the IP address may be used to boot a
system. The example value is 300 seconds (5 minutes) but
you may need more time if your network is a busy one.
Booting on high-traffic networks may take 10 or 15 minutes
since the install kernel and install file system must be
downloaded. The problem with increasing the lease-time
is the possibility of running out of IP addresses to use for
booting. If you increase this number, make sure you have
enough IP addresses in the pool to accommodate systems
that might boot simultaneously.
subnet-mask The subnet mask used by clients.
addr-pool-start-address The first IP address for this address pool.
addr-pool-last-address The last IP address for this address pool.
IMPORTANT: The use of the ncid option is critical because it instructs the DHCP server to exclude
the DHCP class-id in the response to the client’s boot request. If a DHCP server responds to a
PXE boot request with the DHCP class-id in the response, the booting PXE client attempts to
communicate with a PXE proxy server on the same host. Since HP-UX does not supply a PXE proxy
server, the boot fails. The ncid option resolves this issue.
With the device pool group added to the /etc/dhcptab file, your HP-UX 11i v2 or 11i v3
Ignite-UX server is now configured to respond to anonymous Itanium-based clients.
IMPORTANT: The server that sends the response to the PXE boot request is the system that the
PXE client will attempt to tftp the boot file from. If you are not using an HP-UX system to reply to
an Itanium-based PXE request, you must make the required boot files available and current with
new releases of Ignite-UX. HP does not provide support for this kind of configuration.
Isolating Ignite-UX From Noncontrollable DHCP Servers
Once Ignite-UX starts running, a DHCP request will be used to obtain an IP address used for
installation or recovery if needed. Ignite-UX can be configured to specify a class-id for this request.
For more information see Appendix B and bootpd(1M).
If you have DHCP servers on your network that you have no control over, it is possible to completely
isolate Ignite-UX from them. This is done by adding a class-id to the dhcp_class_id keyword
in the install file system. See instl_adm(1M) and instl_adm(4) for additional information.
When the network boot process completes and the install kernel is running, Ignite-UX will use DHCP
again to obtain an IP address. This is done because Ignite-UX has no way to determine the IP
address used by firmware.
If you are running HP-UX 11i v2 or 11i v3 and have configured a DHCP device group for
Itanium-based server PXE requests, you can reuse this device group for isolation purposes. If you
added the following into the install file system:
dhcp_class_id="IgniteDHCPDeviceGroup",
you can change the class-id in the DHCP device group that responds to anonymous
Itanium–based PXE boot requests to read:
class-id="PXEClient:Arch00002|IgniteDHCPDeviceGroup"
Configuring an Ignite Server to Boot Anonymous Itanium-Based Clients 45

IMPORTANT:
The class-id entry above is a regular expression designed to allow a response to a class-id
of an Itanium-based system performing a network boot or an IgniteDHCPDeviceGroup in
/etc/dhcptab. This is not a valid class-id for use in an Ignite-UX install file system. Systems
using a DHCP device group for installing anonymous Itanium-based systems should have
is_net_info_temporary set to TRUE to prevent systems from using the IP address gained via
DHCP after installation.
Since regular expression matching is used, |means "or" and allows response to an incoming
class-id that matches either expression. This example entry would support responding to the
initial Itanium-based system boot request as well as subsequent DHCP requests during Ignite-UX
operation.
The DHCP servers that respond to any DHCP class-id must be reconfigured or isolated to a different
subnet.
The information in this section will not help you isolate a system booting Ignite-UX from other DHCP
or PXE boot servers when attempting to network boot from EFI. This information does help you stop
other DHCP servers from communicating with the installed system after it has already performed
a network boot and downloaded an install kernel and install file system.
If you wish to only accept DHCP offers from a specific server after the install kernel and file system
loads, consider using the dhcp_server keyword in the install file system. The use of the
dhcp_server keyword has no effect on the EFI/PXE boot process.
46 Simple Network: Creating a Server for Anonymous Clients

5 Complex Networks: Challenges and Solutions
Most information about Ignite server set up assumes a simple network consisting of one subnet
where the server supports network boot and installation. This simple network configuration is
assumed so documentation can be clear and concise.
Often, real network environments are significantly more complex. Configuring an Ignite server to
operate correctly in a complex network configuration requires special consideration of network
topology.
This chapter identifies some types of complex network challenges and approaches to handle these
challenges.
This chapter focuses on Integrity systems only.
How To Use This Chapter
Data centers have unique requirements, constraints, and network topology. It is likely you will have
multiple challenges when creating a total solution for system installation and recovery, which will
require you to implement multiple solutions for your site.
To help explain network topology, an example complex network diagram will be used that presents
multiple challenges. This example network will be referenced throughout the complex networking
chapters.
Knowledge of network boot and OS installation steps will help you understand this chapter. Most
often, boot and installation is performed by one server. When considering complex network
solutions, it sometimes make sense to use separate systems for boot and installation, or to switch
servers during the boot process. See the “How Ignite Works” (page 17) section for network boot
and OS installation steps information.
Network boot and installation relies on several protocols that are not detailed here. See “Ignite-UX
Server Ports” (page 84) for protocol and port information related to Ignite phases of operation.
It is assumed you have a working knowledge of DHCP, PXE, bootp, and TFTP.
Complex Network Challenges
In a complex network configuration, it is often preferable to manage one master Ignite server and
use that server to support installation for all subnets. A central server simplifies administration and
helps ensure all systems are managed with consistent installation and recovery. The challenge is
to have a central Ignite server support network boot for all your required subnets, handle installation,
and coexist with any other network boot servers.
The following diagram illustrates a complex network with multiple subnets (10.1.1 and 10.2.1)
connected to the Ignite server (hpignite), remote systems (hpuxsysa and hpuxsysb) that use a boot
helper system (iuxboot), a system (hpuxsysz) on a separate subnet without a boot helper, and
another boot server (sysrdp) on the same subnet as the Ignite server. Systems on the same subnet
(10.1.1 or 10.2.1) as the Ignite server are HP-UX systems (hpuxsys1, hpuxsys2, and hpuxsysx), a
Linux system (linuxsys2) and a Windows system (winsys1). This diagram will be used as an example
network configuration throughout the complex network chapters.
How To Use This Chapter 47

Multiple Subnets
The challenge with an Ignite server connected to multiple subnets is ensuring the server is correctly
configured to handle client network interfaces for boot and installation on the different subnets. If
subnets are isolated or performance is a concern, you will need to ensure that installation traffic
is correctly routed to the Ignite server.
The following diagram shows the example systems used when outlining solutions for a complex
network with multiple subnets.
Remote Systems
Network boot is based on broadcast protocols. These broadcasts are normally constrained to one
subnet. When client systems are on a subnet that is not directly connected to an Ignite server
broadcast network, packets used for boot will not be able to reach the Ignite server. If there are
remote systems on other subnets (hpuxsysa and hpuxsysb), you must determine how network boot
will be supported on each subnet for these systems. You will also need to ensure that installation
traffic is correctly routed.
The following diagram shows the systems that will be referenced when solutions for remote systems
are discussed.
48 Complex Networks: Challenges and Solutions

Multiple Boot Servers
If there are multiple servers that support boot and installation on a subnet (sysrdp and hpignite),
these systems are very likely to interfere with each other. This is common when systems running
different operating systems coexist on the same subnet and network installation is used to manage
these systems.
Network boot and installation servers are typically designed with the assumption that they are the
only such server on the subnet. Product documentation generally does not include details on how
to have multiple servers coexist.
Note that PXE has been designed to assume multiple boot servers provide redundant, identical
functionality. The first server to respond to a boot request will be used for system boot. In general,
it is not possible to predict which server will respond first.
Often, an administrator wants separate boot and installation servers to provide, for example,
different operating systems. In this case, using the correct server is important. As a result, some
means of selecting the correct boot and installation server is vital. There is not a simple solution
using basic DHCP PXE functionality.
Great care is required to properly set up a network configuration where there are multiple boot
servers on a subnet. Each boot server must be configured to correctly coexist with other boot servers
and support the desired overall administration solution.
Avoiding Complex Network Issues
The purpose of this section is to provide solutions that avoid the inherent issues in a complex network
configuration by modifying the network topology or using boot techniques that avoid boot protocol
issues.
Avoiding Complex Network Issues 49
An Ignite-UX Server for Each Subnet
If your organization has separate groups that have distinct needs and compute resources, the
simplest approach to deal with complex networks might in fact be to manage distinct subnets rather
than set up a central Ignite server.
An Ignite server can be placed on each subnet. You may manage each server separately. This
avoids the complexities of multiple subnets. Similarly, boot servers for other operating systems can
have their own subnets.
Note that newer Integrity systems support HP Virtual Connect technology that permits the remote
“rewiring” of network connectivity. This allows systems to be “moved” between subnets via VC
profiles, which include network switch configurations. These may be used to avoid issues with
managing multiple Ignite servers and subnets.
For information on configuring an Ignite server for a simple subnet, see Chapter 3 (page 30) and
Chapter 4 (page 42).
A Multi-Capable Server for Each Subnet
Issues with multiple boot servers on a subnet might be avoided or resolved by having only one
boot server on each subnet. Normally, that implies the subnet would have limited boot and
installation support for one operating system instead of the ability to support various types of
installations.
Depending on the boot server ability for nonstandard configuration, it might be possible to configure
a single boot server to initiate or even fully support the installation of a variety of operating systems
including HP-UX. Such a configuration is clearly complex and requires expertise in the details of
boot and installation support for all the systems and operating systems involved. For more
information, see “Multi-Capable Subnet Boot Server” (page 59).
Extend the Local Subnet
In some cases, it is possible to avoid multiple subnet issues by changing the network topology
related to network boot functionality. It might be possible to use network tunneling or configure
routers to forward some broadcast packets beyond the local subnet.
This results in a larger, single subnet instead of multiple subnets and very effectively avoids issues
with multiple subnets. Changing the network topology might work well if data center policies allow
and one group manages this larger subnet.
Take care to consider how any network products change network performance and timing, as they
might cause boot and installation issues in some cases.
This guide does not include details regarding network infrastructure hardware and software products,
and their use. Consult network hardware and software products' information used to extend the
local subnet.
Using Virtual LANs Properly for Ignite-UX
If you use Virtual Local Area Networks (VLANs) and you encounter problems during network boot,
you need to discover how the VLANs are configured between your Ignite server and client. It is
possible to configure VLANs in multiple ways, and some methods might cause issues for Ignite-UX.
The simplest, and possibly the most common, configuration is a single VLAN presented to a single
LAN interface where all traffic, including any untagged traffic, travels on the one VLAN. (This
method of configuring VLANs is often used to limit the size of a broadcast domain.) This type of
configuration does not cause any problems for Ignite-UX because it logically appears as if the
client and Ignite server were connected via a switch. The Ignite server will have access to all the
network traffic that originates with the client.
A slightly less common, but equally valid, configuration has multiple VLANs configured on a network
switch port. Untagged traffic can be presented to only one VLAN, often called the native VLAN.
50 Complex Networks: Challenges and Solutions
The native VLAN is defined in the configuration of the switch. In this situation, the Ignite server
might not have access to the native VLAN of the client.
If the Ignite server does not have access to the native VLAN, it will not have access to any of the
untagged traffic from the client. This becomes a problem, since during an Ignite-UX installation or
recovery, no network traffic is tagged until the session is complete and the final system is running.
This includes two-step media recovery.
Problems with VLAN configuration can be difficult to detect, since a system could be configured
to use a nonnative VLAN when the operating system is running. This would, for example, allow
you to create a recovery archive for the client on an Ignite server, but not allow you to recover the
client from that same Ignite server.
To remedy this problem, you must provide routing between the VLANs for systems that use nonnative
VLANs.
Complex Network Solutions
The approaches outlined in this section can be used to resolve the challenges outlined previously.
In some cases, one solution will resolve multiple challenges. Other challenges might require multiple
solutions.
Automating HP-UX OS Version Selection
During HP-UX boot for installation, it is necessary to select the HP-UX OS version to be installed. It
might be desirable to set up an Ignite server or boot helper to provide different default settings for
client systems in order to help automate installation.
The boot loader AUTO file controls the menu of HP-UX OS versions and the default selection. The
Ignite server may be configured to use separate AUTO files for each HP-UX OS release, as shown
below.
ln -s /opt/ignite/boot/nbp.efi \
/opt/ignite/boot/Rel_B.11.23/nbp.efi
ln -s /opt/ignite/boot/hpux.efi \
/opt/ignite/boot/Rel_B.11.23/hpux.efi
ln -s /opt/ignite/boot/fpswa.efi \
/opt/ignite/boot/Rel_B.11.23/fpswa.efi
ln -s /opt/ignite/boot/IINSTALL \
/opt/ignite/boot/Rel_B.11.23/IINSTALL
ln -s /opt/ignite/boot/IINSTALLFS \
/opt/ignite/boot/Rel_B.11.23/IINSTALLFS
cp /opt/ignite/boot/AUTO \
/opt/ignite/boot/Rel_B.11.23/AUTO
ln -s /opt/ignite/boot/nbp.efi \
/opt/ignite/boot/Rel_B.11.31/nbp.efi
ln -s /opt/ignite/boot/hpux.efi \
/opt/ignite/boot/Rel_B.11.31/hpux.efi
ln -s /opt/ignite/boot/fpswa.efi \
/opt/ignite/boot/Rel_B.11.31/fpswa.efi
ln -s /opt/ignite/boot/IINSTALL \
/opt/ignite/boot/Rel_B.11.31/IINSTALL
ln -s /opt/ignite/boot/IINSTALLFS \
/opt/ignite/boot/Rel_B.11.31/IINSTALLFS
cp /opt/ignite/boot/AUTO \
/opt/ignite/boot/Rel_B.11.31/AUTO
The B.11.23 and B.11.31 AUTO files should be edited to have different boot defaults. It is
recommended you keep the other boot menu entries so users have the ability to interactively select
their desired HP-UX OS version during boot. Alternatively, it is possible to constrain boot options
via this approach.
Complex Network Solutions 51
To use this approach, modify bootptab entries to use the appropriate boot loader. The boot
loader will use the AUTO file in the same directory where nbp.efi is located.
Ignite requires the HP-UX version of the install kernel and install file system to match the HP-UX OS
version to be installed. By having different defaults in the AUTO files, the correct install kernel and
file system will be automatically selected.
Limit Network Response by System Class
A subnet might include a variety of systems and devices. Systems that cannot run HP-UX, such as
x86 systems and printers, might request network boot. If the subnet includes various systems and
devices, HP-UX boot servers should be configured to respond only to device classes they can
support.
Note that this approach does not resolve issues with handling client systems that are able to
successfully boot and install from different boot servers. The device class is a constant attribute of
the system. Thus, this approach will not help resolve issues with multiple boot and installations
servers intended to support Integrity systems, since all Integrity systems report the same device
class.
For information on how to configure this solution for booting, see “Ignite-UX Server and Boot Helper
Setup for DHCP” (page 43).
For information on how to configure this solution for networking IP address allocation, see “Isolating
Ignite-UX From Noncontrollable DHCP Servers ” (page 45).
Directed Boot
If client system firmware supports directed network boot, that is a simple way to avoid complex
network boot issues. Directed boot support is not available in some older Integrity systems. Also,
directed boot requires interaction with the system console. Finally, directed boot requires specifying
the network configuration. In most cases, this configuration needs to be consistent with DHCP or
boot server configuration for the client.
Directed boot is provided by the EFI commands dbprofile and lanboot. These commands
make it possible to specify the network configuration to be used for boot (IP address, netmask,
gateway, etc.). For convenience, a dbprofile may be associated with one or more EFI boot
menu options so subsequent boot for installation from the master Ignite server is simplified. Because
the direct boot profile may include a gateway, it is possible to directly boot from an Ignite server
on a separate subnet without using a local subnet boot helper.
For detailed information on directed boot, see “Direct Boot Profiles for Itanium-Based Systems”
(page 102).
Server Selection
PA-RISC clients can specify the boot server to use for DHCP/bootp services and ignore all other
boot offers. The client system network configuration is supplied by the boot helper or Ignite server
located on the same subnet. It is also possible for PA-RISC systems to “search” for network boot
options and build a list that may be used to select the desired boot server. For more information,
see “Booting PA-RISC Clients from the Console ” (page 99).
Limit Network Boot Response by Network Interface Address
When a system broadcasts a request for boot, the request includes the NIC network address (also
known as the MAC address).
Boot servers are often configured to respond to all systems that broadcast a boot request since that
approach simplifies administration. However, most boot servers have the ability to selectively
respond to boot requests.
52 Complex Networks: Challenges and Solutions

You can typically configure boot servers to use the network address to decide whether to respond
to the client system or not. If the server responds, the network address is typically used to determine
the correct client-specific network configuration (IP address, netmask, gateway, etc.).
When using this approach, boot servers typically have configuration content that allows them to
respond to a set of MAC addresses. For HP-UX servers, the /etc/bootptab file is used to identify
the clients to respond to. Listed MAC addresses will receive a response using the client-specific
details in the bootptab file. For more information, see Chapter 3 (page 30).
Some non-HP-UX boot servers may be configured to ignore a set of network addresses and respond
to others. Note that HP-UX does not support this capability.
NOTE: HP Virtual Connect (VC) network technology allows MAC addresses to be changed via
profiles. It is possible to allocate a range of MAC addresses for different boot servers, configure
an HP-UX server to manage that block of MAC addresses, and then use profiles to select the boot
server. Thus, instead of changing the boot server configuration content, the MAC addresses of a
system could be changed with VC profiles to effectively choose the correct boot server.
Control Network Boot via Response Timing
Since a client system uses the first network boot response it receives, response timing may be used
to help select the boot server. One boot server that responds to any MAC address may be configured
to respond only after a delay, while all other servers are configured to respond to specific MAC
addresses.
Because a number of factors might influence network boot response timing, and servers might
respond more slowly in some cases, this approach has a risk of intermittent failures caused when
the delayed server responds first because the delay is set too short.
Care is required in deciding the appropriate response delay. Note that a one-to-two second delay
for other boot server responses might be large enough to cause an HP-UX server responding to a
specific MAC address to normally win. However, a larger delay of eight seconds or more is
recommended. You will need to decide the correct delay for your subnets and servers. These
recommendations are intended to emphasize that the delay should not be set to “just large enough
to work” based on limited testing.
Install Remote Clients Through a Network Router
By default, Ignite configures IINSTALLFS configuration content without network routing information.
If the Ignite server and depot server are on a remote subnet accessed via gateway, and registered
IP addresses are used instead of DHCP, the IINSTALLFS configuration content should include network
routing information.
Complex Network Solutions 53

The server keyword specifies the IP address for your Ignite-UX server. It refers to a specific LAN
interface on the Ignite-UX server. The same is true for the sd_server keyword that specifies the
depot server IP address for any depots needed for installation.
server = "10.2.1.11"
sd_server = "10.2.1.11"
netmask[] = "255.255.255.0"
route_gateway[0] = "10.3.1.1"
route_destination[0] = "default"
disable_dhcp = "true"
If DHCP is used, this should not be needed since the DHCP server should provide appropriate
routing information.
IMPORTANT: The sd_server IP address setting in the installation file system will be overridden
by sd_server settings in configuration files created by make_config. To use IINSTALLFS to
control the sd_server setting you must comment-out or remove the sd_server settings within
each sw_source clause in the affected configuration files.
For more information about changing IINSTALLFS content, see instl_adm(1M) and instl_adm(4).
Multiple NICs Attach the Ignite Server to Multiple Subnets
It is possible to connect one Ignite server to multiple subnets using multiple network interface cards
(NICs). The Ignite server can then be used to support network boot and installation on each of
these separate subnets. The following diagram is an example of a multiple subnet complex network.
There are some special Ignite configuration considerations for supporting multiple subnets from
one server. You must be careful to configure the server so it sends the client correct networking
information for its subnet, and you must configure the client so it contacts the correct Ignite-UX
server.
Getting the Client the Correct Networking Information
The HP-UX Ignite server needs to be configured so the client receives a response from the server
with the correct network configuration for its subnet.
The bootptab content for each MAC address needs to have correct networking configuration for
the system's subnet. In particular, IP addresses, netmasks, and gateways need to be valid from the
client system's perspective. Thus, bootptab will need to include information for all the different
subnets used by clients supported by the master Ignite server.
If anonymous network boot is used, care is needed to ensure boot responses are correct. See
Chapter 4 (page 42) for more information.
54 Complex Networks: Challenges and Solutions

Having the Client Contact the Correct Server
The server keyword in the IINSTALLFS configuration information specifies the IP address for your
Ignite-UX server. It refers to a specific LAN interface on the Ignite-UX server. The same is true for
the sd_server keyword that specifies the depot server IP address for any depots needed for
installation.
If a client is on a subnet that does not have a route to the IP address specified by server, then it
will not be able to contact the server after it boots.
For performance reasons, you might want to use the IP address of the Ignite-UX server LAN interface
directly connected to the same subnet as the client.
If packets are not routed between different subnets connected to the Ignite-UX server, the client
must use the IP address of the Ignite-UX server LAN interface on the same subnet.
Individual clients might use different IP addresses to access the Ignite server due to performance
reasons or routing reasons as described in “Install Remote Clients Through a Network Router”
(page 53). To customize the IP address used to access the Ignite server on a per client basis, use
the LLA keyword as described below.
Workarounds to specify the IP address of the Ignite server are:
•Correct the server's IP address on the Ignite-UX network setup screen that appears on the client
console when you boot the client.
•Change the configuration content in IINSTALLFS to select the Ignite-UX server and depot server
IP addresses connected to their local subnet.
server = "10.1.1.11"
sd_server = "10.1.1.11"
LLA[] == "00306E4A03C2" {server = "10.1.1.11" sd_server = "10.1.1.11"}
LLA[] == "00306E4A03C3" {server = "10.2.1.11" sd_server = "10.2.1.11"}
IMPORTANT: The sd_server IP address setting in the installation file system will be overridden
by sd_server settings in configuration files created by make_config. To use IINSTALLFS to
control the sd_server setting you must comment-out or remove the sd_server settings within
each sw_source clause in the affected configuration files.
For more information about changing IINSTALLFS content, see instl_adm(1M) and instl_adm(4).
Ignite-UX bootp Boot Helper
An HP-UX server may be used as a boot helper to support boot on a subnet while installation is
accomplished via a master Ignite server connected to a different subnet.
A system with Ignite software installed may be located on each subnet to support initial boot. This
subnet-local Ignite server may be set up with IINSTALLFS configuration content to specify the single
Ignite master server.
Using this approach, all the HP-UX installation and recovery content may be managed on one
system. However, each local subnet Ignite boot helper server must be configured to support network
boot for all the clients on that subnet. The boot helper server may be configured for promiscuous
network boot or via selective MAC address response.
The advantage of this approach is there can be a single Ignite server that handles all HP-UX
installation and recovery content. A significant disadvantage of this approach is that Ignite software
must be installed on each boot helper. The version of Ignite installed on these boot helpers must
always match the version installed on the master Ignite server.
The Ignite product content located in /opt/ignite/boot must be present on the Ignite boot
helper so it may be used to accomplish network boot.
Follow these steps to set up an Ignite-UX boot helper system on the local subnet:
Complex Network Solutions 55
1. Install the Ignite-UX minimum core functionality onto the helper system. The
Ignite-UX_server:/depot is the same Ignite product software depot or media used to
set up the master Ignite server.
# swinstall -s Ignite-UX_server:/depot Ignite-UX.MinimumRuntime
2. On the boot helper system, set the default Ignite-UX server. Make sure the correct server is set
and any network routing is configured as described in “Having the Client Contact the Correct
Server” (page 55) and “Install Remote Clients Through a Network Router” (page 53). This
changes the configuration content in [W|V|I]INSTALLFS. For more information, see
instl_adm(1M).
# instl_adm -t Ignite-UX_server_IP
3. Verify that the server is set to the correct Ignite-UX server and gateway for your subnet.
# instl_adm -d
4. If the gateway value is incorrect, you can use instl_adm -g yourgatewayIP to correct
it. This value is set by swinstall when the Ignite-UX product is installed.
5. On the boot helper system, configure the /etc/opt/ignite/instl_boottab file as
described in “Getting the Client the Correct Networking Information” (page 54).
For more information, see /etc/opt/ignite/instl_boottab on your Ignite-UX server.
HP-UX DHCP PXE Next Server Boot Helper for Integrity Systems
To support Integrity systems, a lightweight Next Server boot helper may be set up on each subnet.
A DHCP PXE response includes a Server Address (SiAddr) field that indicates where to get additional
network boot content. Normally, the value in a response informs the client to get subsequent boot
content from the same boot server. The /etc/bootptab file can be configured to inform the client
to switch to the master Ignite server for other boot content. The bootptab sa option is used to
indicate the value. This is commonly described as a Next Server value, since the Server Address
value is typically only given when the value differs from the initial boot server. The master Ignite
server IP address should be used.
In this approach, each subnet must have a DHCP PXE server, but Ignite does not need to be installed
on that system. Therefore, there is no need to have multiple systems with the same Ignite software
version installed on them. The HP-UX bootp server may use the Next Server field to direct the
client system to get the HP-UX OS content from an Ignite server on a different subnet.
Using this approach, all the HP-UX installation and recovery content may be managed on one
system. However, each local subnet Next Server DHCP PXE boot helper must be configured to
support network boot for all the clients on that subnet. The boot helper server may be configured
for promiscuous network boot or selective response using client-specific network configurations.
Note that this Next Server boot helper does not have to be an HP-UX system. If it's not an HP-UX
system, care must be taken to make sure the PXE response is consistent with the Ignite server. In
particular, the boottab bf option provided from the Next Server boot helper must be consistent
with where the boot content is located on the master Ignite server. Symbolic links may be used to
allow a nonstandard location to be supported on the master Ignite server, if needed.
Configuring a Next Server Boot Helper for Integrity systems
A Next Server boot helper does not require Ignite-UX software.
If the DHCP PXE server is an HP-UX system, it must be running 11i v2 (B.11.23) or later. If 11i v2
is used, PHNE_36209 or a superseding bootpd patch must be used to enable the configuration
of Next Server response.
The nbp.efi boot loader file must be present on the Next Server boot helper:
# cp /usr/lib/efi/EFI/HPUX/nbp.efi /opt/ignite/boot/nbp.efi
56 Complex Networks: Challenges and Solutions

If the Next Server boot helper is a PA-RISC system, this boot loader file will have to be copied from
an Integrity system. Note that the Ignite-UX product may be installed instead of copying this file in
place.
The Next Server response is configured in /etc/bootptab using the sa option. The IP address
given with the sa option should be the DHCP PXE Next Server (SiAddr) IP address for additional
boot content.
This example configuration is for the following complex network diagram.
A sample /etc/bootptab for Next Server boot helper configuration follows:
next-server:\
bf=/opt/ignite/boot/nbp.efi:\
ht=ethernet:\
hn=:\
bs=48:\
dn=xyzco.com:\
gw=15.1.128.1:\
sm=255.255.255.0:\
ds=10.2.1.11
hpuxsysa:\
tc=next-server:\
ha=00306E4A03C2:\
ip=10.4.1.140:\
sa=10.2.1.11:
During DHCP PXE boot, the boot helper server provides the network configuration (IP address,
netmask, gateway, etc.). The boot helper also provides the initial boot loader (nbp.efi ). All
other boot content is taken from the master Ignite-UX server. Thus, this boot helper server requires
no Ignite-UX product content.
Note that the bf option path must match the path where other boot content is located on the master
Ignite server. The bf path must be valid on the boot helper and the Ignite master server.
Make sure the correct server is set and any network routing is configured as described in “Having
the Client Contact the Correct Server” (page 55) and “Install Remote Clients Through a Network
Router” (page 53).
Forwarding Boot Requests via bootp Relay
The HP-UX bootp server has the ability to forward boot requests. With this approach, each subnet
must have a bootp relay boot helper, but that system does not need to have Ignite software
installed. Therefore, there is no need to have multiple systems with the same Ignite software version
on them.
Complex Network Solutions 57
When a client system broadcasts a request for network boot, the bootp relay boot helper will
forward the request to the master bootp server indicated in the bootptab. The master bootp
server will respond to the bootp relay boot helper, which will then forward the response back to
the client system. The master Ignite boot server and master bootp server should be the same
system.
The bp option must be specified in the bootp relay boot helper's /etc/bootptab file to forward
boot requests to the master bootp server. The bp value should be the IP address of the master
bootp server. The ip option must not be specified since that value will be provided from the
master bootp server. Often an hm option is also specified so a single bootptab relay configuration
may be used for many or any clients. The hm option is a MAC address mask used to determine if
the MAC address of the requestor matches the MAC address of the ha bootptab option.
ha=000000000000:\
hm=000000000000:\
bp=10.2.1.11
Note that care is needed if the system is connected to multiple subnets, since the bootp relay
helper will respond to boot requests detected on any NIC. Make sure the correct server is set and
any network routing is configured as described in “Having the Client Contact the Correct Server”
(page 55) and “Install Remote Clients Through a Network Router” (page 53)
See bootpd(1M) for details of configuration.
Note that this approach works for PA-RISC systems but might not work for Integrity systems. For
Integrity systems, the HP-UX boot loader configures the bootp relay boot helper as a gateway
system for network configuration. If that system does not route packets between subnets, this might
impede successful use of this approach. If the system routes packets, it will be attached to multiple
subnets and therefore respond to boot requests detected on multiple subnets.
Ignite-UX software does not have to be installed on the bootp boot helper.
The following is an example of a local bootp relay boot helper /etc/bootptab content to
respond to any client MAC address:
bootp-relay:\
ht=ether:\
ha=000000000000:\
hm=000000000000:\
bp=15.2.1.11
The following is an example of selective, MAC-specific /etc/bootptab content:
hpfcixa:
ht=ether:\
ha=001083352de5:\
bp=15.2.1.11
A block of MAC addresses may be specified using the ha and hm options. This approach might
be very useful with HP systems supporting HP Virtual Connect technology.
The master Ignite server needs to have entries for the client system boot requests forwarded from
the bootp forward boot helper:
ignite-defaults:\
bf=/opt/ignite/boot/nbp.efi:\
ht=ethernet:\
hn:\
bs=48:\
dn=xyzco.com:\
gw=10.4.1.1:\
sm=255.255.255.0:\
ds=10.2.1.11
hpfcixa:\
ht=ignite-defaults:\
ha=001083352de5:\
58 Complex Networks: Challenges and Solutions
ip=10.4.1.100:\
bp=10.2.1.11
To use the bootp relay boot helper with PA-RISC systems, boot using standard ports, such as:
boot lan.10.2.1.11
The installation option to use HP-UX specific network ports might not work:
boot lan.10.2.1.11 install
Multi-Capable Subnet Boot Server
It is possible to set up a boot server that supports boot for multiple operating systems, including
HP-UX. The multi-capable boot server may be an HP-UX system or a non-HP-UX system. If this boot
server is an HP-UX system, the challenge becomes: how do I configure the HP-UX boot server to
support non-HP-UX boot and installation. If the system is not an HP-UX system, the challenge
becomes: how do I set up HP-UX boot and installation on the non-HP-UX system.
The information in this section is intended to provide general information to assist those setting-up
a multi-capable boot server to initiate or fully support the installation of a variety of systems, including
HP-UX installation. There is no general recipe for configuring these systems. In all cases, expertise
is required to adapt these approaches to practical solutions.
For more detailed information about setting up specific types of boot/installation servers to support
specific operating systems, see Chapter 6 (page 61).
Non-HP-UX Next Server Boot Helper
If the non-HP-UX boot server supports configuration of the DHCP PXE Server Address (SiAddr)
response data, the simplest approach is to have the response specify the master Ignite server (Next
Server) to be used for all additional boot content. The non-HP-UX boot server will still need to be
configured to determine when boot control should be passed to the Ignite server for HP-UX
installation, and when control should be retained to perform other installations. This can be
accomplished by using MAC addresses or with a menu of boot options, for example.
Note that the directory where the nbp.efi boot loader is located must match the location of other
HP-UX boot content on the Ignite master server. If necessary, a symbolic link may be used from the
directory path matching the non-HP-UX server location to the standard HP-UX location for boot
content.
For more information, see “HP-UX DHCP PXE Next Server Boot Helper for Integrity Systems”
(page 56).
Non-HP-UX bootp Boot Helper
If the non-HP-UX boot server cannot be configured to support a custom DHCP PXE Server Address
value, it is necessary for the server to provide the initial Ignite install environment content. To make
this approach work, copy content in the /opt/ignite/boot directory to the non-HP-UX boot
server.
While best practice might be to use the same directory path, there is no particular need for the
path to be the same. The path where the Ignite install environment is located on the non-HP-UX
boot server must match the DHCP PXE Boot File response value, but does not need to match the
default location on an Ignite server. The initial install environment will be entirely taken from the
non-HP-UX bootp boot helper system.
Note that the version of any Ignite content copied to a non-HP-UX boot server must match the
version of the content on the Ignite master server; it will have to be updated when a new version
of Ignite is installed.
Also, note that the AUTO file and IINSTALLFS files include Ignite-UX configuration content. It is
important to keep this configuration content consistent with the Ignite-UX server.
Complex Network Solutions 59
Keeping versions and configuration content consistent between these servers can be difficult. If
these servers are managed by different groups, ongoing administration might make this approach
impractical.
60 Complex Networks: Challenges and Solutions

6 Complex Networks: Multi-Capable Servers
This chapter presents a variety of ideas for using servers in a complex network. There is no one
solution when configuring servers in a complex environment – look for the solutions that work in
your data center.
This chapter focuses on Integrity systems only.
Configuring an RDP Server for Specific MAC Addresses
Conflicts between multiple boot servers on a subnet may be avoided if each boot server only
responds to the MAC addresses of client systems it should manage. The RDP PXE server may be
configured to selectively respond to network boot requests based on the MAC addresses of client
systems. If there are more Windows and Linux systems than HP-UX systems, it makes more sense
to configure the RDP server to ignore the MAC addresses of HP-UX systems instead of configuring
the RDP server to respond to the MAC addresses of its client systems.
To do this, use the MAC Filter tab on the PXE Configuration Utility as shown in the figure below.
The Interactive UI may be started using the Windows Start Menu:
Start→All Programs→Altiris→PXE Services→PXE Configuration Utility
It may also be started from the RDP Deployment Solutions Console.
Configuring an RDP Server to Delay PXE Response
The RDP PXE server may be configured to delay responding to network boot requests. This gives
a chance for an HP-UX network boot server to consistently respond first. The HP-UX boot server
should be configured to only respond to specific MAC addresses via bootptab content, allowing
the RDP server to manage the non-HP-UX systems.
The PXE Configuration Utility on the RDP server may be used to specify the response delay. Use
the PXE Server tab as shown in the figure below.
The Interactive UI may be started using the Windows Start Menu:
Configuring an RDP Server for Specific MAC Addresses 61

Start→All Programs→Altiris→PXE Services→PXE Configuration Utility
It may also be started from the RDP Deployment Solutions Console.
IMPORTANT: The recommended Minimum delay is 9 seconds and the Maximum delay is 10
seconds. These values should be large enough to provide predictable results considering some
possibility of HP-UX boot server delays due to the server being busy and possible network congestion.
Configuring an RDP Server to Initiate HP-UX Installation
An HP ProLiant Essentials Rapid Deployment Pack (RDP) boot server may be configured to act as
an HP-UX boot helper. You can do this by adding RDP MenuOptions for the initiation of HP-UX
boot for install and placing the Ignite install environment on the RDP server. The RDP server may
then be used to initiate an Ignite-UX installation of HP-UX.
To set up boot for HP-UX installation, use the PXE Configuration Utility to create the necessary
MenuOptions and copy the Ignite install environment content into the proper locations on the RDP
server.
The PXE Configuration Utility program is typically located on the RDP server at
C:\Program Files\Altiris\eXpress\Deployment Server\PXE\PxeConfig.exe
Setting up RDP MenuOptions via Windows Commands
A Windows command line may be used to automate Ignite support set up. To create a MenuOption
on an RDP server for HP-UX installation, or to update it with new Ignite install environment content,
the following command line arguments may be used:
PxeConfig.exe -create -other "HP-UX Managed" -ia64 \
-pathia64 <ignite_content_dir> -save
The ignite_content_dir directory needs to contain the following HP-UX boot and Ignite install
environment files:
•.\MenuOption160.0 (nbp.efi renamed as required by the RDP server)
•.\MenuOption161.0 (nbp.efi renamed as required by the RDP server)
62 Complex Networks: Multi-Capable Servers
•.\MenuOption162.0 (nbp.efi renamed as required by the RDP server)
•.\MenuOption163.0 (nbp.efi renamed as required by the RDP server)
•.\Rel_B.11.23
•.\Rel_B.11.23\IINSTALLFS
•.\Rel_B.11.23\IINSTALL
•.\Rel_B.11.31
•.\Rel_B.11.31\IINSTALL
•.\Rel_B.11.31\IINSTALLFS
•.\fpswa.efi
•.\hpux.efi
•.\AUTO
The RDP server requires the file name of the initial boot loader file and the name of the MenuOption
to match. Normally, MenuOption160 will be used by the RDP server. However, if there are
existing custom MenuOptions, another file name might be required. Copying the small nbp.efi
boot loader to the first few custom MenuOption names the PXE Configuration Utility uses for
MenuOptions should simplify the automatic set up of the RDP server. For HP-UX, this file is actually
the nbp.efi network boot loader.
The Ignite-UX version for this content on the RDP server must be kept consistent with the Ignite-UX
product version on the Ignite server. Note that IINSTALLFS includes config file content typically
modified via use of instl_adm. Since these files will reside on the RDP server, a data center
administration process for updating these files should be created to keep the RDP files consistent
with the Ignite server.
The Ignite install environment on the RDP server needs to be updated when:
•The IINSTALLFS config content is changed
•A new version of Ignite software is installed on the Ignite server
•Changes are made to the AUTO file boot menu
•The HP-UX boot loader is patched
Setting up RDP MenuOptions via Interactive UI
The RDP server PXE Configuration Utility may be used to interactively create a MenuOption for
HP-UX boot and Ignite installation.
Before starting the interactive UI, put the Ignite-UX boot and install environment files in a directory
as specified in “Setting up RDP MenuOptions via Windows Commands” (page 62). Any convenient
method may be used to transfer the required content from the Ignite server to the RDP server (FTP,
Samba share, key chain drive, etc.). You should consider how this content will be updated in the
future to stay consistent with the Ignite server.
The Interactive UI may be started using the Windows Start Menu:
Start→All Programs→Altiris→PXE Services→PXE Configuration Utility
It may also be started from the RDP Deployment Solutions Console.
Once started, the PXE Configuration Utility will display a window similar to the following:
Configuring an RDP Server to Initiate HP-UX Installation 63

On the Boot Menu tab, select the New... button to create a MenuOption for HP-UX boot and
installation.
You should validate that the selected MenuOption number in the Final Location on PXE Server text
box is consistent with the HP-UX Ignite content provided.
Configure the MenuOption as follows:
64 Complex Networks: Multi-Capable Servers

1. Enter the name of the MenuOption to be created in the Name: text box.
For HP-UX, the name “HP-UX Managed” is recommended. If HP-UX release-specific
MenuOptions are created by using different AUTO content, a name such as “HP-UX 11.31
Managed” is recommended.
2. Configure the Pre-boot Image Properties.
•Select Operating System type Other.
•Select only the ia64 Processor Option, since HP-UX only supports ia64 systems. Make
sure x86 and x64 are unselected.
•Select User supplied for the Image Creation Method, and then select Manual Boot Image.
In the PXE Boot Files text box, enter the directory containing the Ignite-UX boot and install
environment files, then select OK.
3. Select OK from the New Shared Menu Option dialog box.
4. Select Save on the Boot Menu tab of the PXE Configuration Utility – Shared Configuration
menu.
IMPORTANT: You must select Save to enable the new boot menu option before selecting
OK to exit.
Once set up is complete, the PXE Configuration Utility will show the new MenuOption for HP-UX.
Configuring an RDP Server to Initiate HP-UX Installation 65

Using an RDP MenuOption for HP-UX
Once the HP-UX MenuOption is set up using either the PXE Configuration Utility command or UI,
the RDP PXE server will include “HP-UX Managed” as an option during network boot of ia64 client
systems.
When a client system is booted from an RDP PXE server, the system will prompt you to “Press [F8]
to select a boot option.” When booting on a serial console, function keys are typically not available.
The mkey may be used to bring up the boot menu instead of the F8 function key.
Loading.: Core LAN Gb A
Running LoadFile()
CLIENT MAC ADDR: 00 30 6E 4C AA A5
CLIENT IP: 10.1.1.100 MASK: 255.255.255.0
DHCP IP: 10.1.1.22 PROXY IP: 10.1.1.22
GATEWAY IP: 10.1.1.1
Press [F8] to Select a boot option: iuxrdp (9)
Linux Managed
Next Device (BIOS/EFI)
HP-UX Managed
Linux DHCP PXE Next Server Boot Helper for HP-UX Installation
A Linux boot server, such as an HP Insight Control Environment for Linux (ICE-Linux) server, may
be configured to act as an HP-UX boot helper. The Linux server's dhcpd daemon may be configured
to selectively respond to client network requests and to provide a PXE Next Server value that
indicates the Ignite server's IP address. This Next Server value will cause boot to switch to the
master Ignite server. Additional HP-UX boot loader and install content will be accessed from this
Ignite Next Server.
NOTE: DHCP or this PXE boot server is responsible for providing complete network configuration
for boot and installation for the client system, including gateway, etc.
The dhcp.conf file controls dhcpd daemon operation. The next-server value is typically
associated with specific MAC addresses. For example:
allow booting;
allow bootp;
ddns-update-style none;
subnet 10.1.1.0 netmask 255.255.255.0 {
option routers 10.1.1.1;
option subnet-mask 255.255.255.0;
option domain-name "xyzco.com";
option broadcast-address 10.1.1.255;
option domain-name-servers 10.1.1.11;
group {
host linuxsys2 {
hardware ethernet 00:0C:29:A1:E9:E5;
fixed-address 10.1.1.221;
next-server 10.1.1.11;
filename "/opt/ignite/boot/nbp.efi";
}
}
}
Linux server DHCP and PXE boot configuration details for your Linux distribution need to be consulted
for correct set up.
Note that the HP-UX network boot loader needs to be copied to the Linux system. This file may be
obtained from the Ignite-UX server at /opt/ignite/boot/nbp.efi.
66 Complex Networks: Multi-Capable Servers

This file should be located on the Linux system at /opt/ignite/boot/nbp.efi. This file needs
to be accessible via TFTP.
Configuring an HP-UX Server to Support Linux Boot and Installation
By using HP-UX network services configuration files, an HP-UX server can be set up to support Linux
network boot and installation if you place Linux boot and install content on the HP-UX server. You
must acquire the boot and install content from a Linux distribution or Open Source website. Ignite-UX
software does not include any Linux support. The information in this section describes use of HP-UX
features not directly related to Ignite-UX.
It is not possible to provide all the details for setting up Linux installations here, due to differences
between Linux releases. Documentation for network installation for the specific Linux releases being
enabled must be consulted for the correct setup.
To enable network boot for Linux installation, proper boot content must be placed on the HP-UX
server. The elilo boot loader may be obtained from a Linux distribution or the Open Source elilo
website at http://sourceforge.net/projects/elilo/. The IA64 binary is needed for HP-UX Integrity
systems.
Linux install kernels and install file system images must be obtained from the appropriate Linux
distributions.
The message file hplinux.msg controls the appearance of the Linux boot menu. This file must
be created with Linux tools.
The boot content may be placed anywhere on the HP-UX system, provided TFTP access is enabled.
The location must be consistent with /etc/bootptab content. In this example, the Linux boot
content is located in the same directory as the HP-UX Ignite boot content.
/opt/ignite/boot/LINUX/elilo-ia64.conf
/opt/ignite/boot/LINUX/elilo-ia64.efi
/opt/ignite/boot/LINUX/hpuxlinux.msg
/opt/ignite/boot/LINUX/images/SLES9/initrd
/opt/ignite/boot/LINUX/images/SLES9/Linux
/opt/ignite/boot/LINUX/images/RHEL5UP1
/opt/ignite/boot/LINUX/images/RHEL5UP1/initrd-rhel5.1.img
/opt/ignite/boot/LINUX/images/RHEL5UP1/vmlinuz-rhel5.1
The elilo-ia64.conf configuration file specifies the set of Linux installation menu options that
are provided during network boot. In this example, SuSE 9 and RedHat 5 Update 1 are enabled:
chooser=textmenu
message=hplinux.msg
prompt
image=images/SLES9/Linux
label=SLES9
description="Install SLES9"
initrd=images/SLES9/initrd
append="install=nfs://10.1.1.11/ISOimages/SLES9"
read-only
image=images/RHEL5UP1/vmlinuz-rhel5.1
label=RHEL5UP1
description="Install RHEL5 Update 1"
initrd=images/RHEL5UP1/initrd-rhel5.1.img
read-only
The Linux distribution content must be made available via NFS or FTP. In this example, the same
HP-UX server is used for both boot and installation. Alternatively, Linux install content may be
located on another server.
SuSE Linux expects distribution install content to be unpacked as if the distribution media were
mounted, and the media contents copied via the file system and made available for NFS or FTP
access. RedHat expects ISO images to be available as if the distribution media were downloaded
Configuring an HP-UX Server to Support Linux Boot and Installation 67

or copied to the server from media via dd(1) and then made available for NFS or FTP access. For
example:
RedHat:
/ISOimages/RHEL5UP1
/ISOimages/RHEL5UP1/RHEL5.1-Server-20071017.0-ia64-disc1-ftp.iso
/ISOimages/RHEL5UP1/RHEL5.1-Server-20071017.0-ia64-disc2-ftp.iso
/ISOImages/RHEL5UP1/RHEL5.1-Server-20071017.0-ia64-disc3.ftp-iso
/ISOImages/RHEL5UP1/RHEL5.1-Server-20071017.0-ia64-disc4.ftp-iso
/ISOImages/RHEL5UP1/RHEL5.1-Server-20071017.0-ia64-disc5.ftp-iso
/ISOImages/RHEL5UP1/RHEL5.1-Server-20071017.0-ia64-disc6.ftp-iso
SuSE:
/ISOimages/SLES9
/ISOimages/SLES9/ARCHIVES.gz
/ISOimages/SLES9/autorun.inf
/ISOimages/SLES9/boot
/ISOimages/SLES9/boot/directory.yast
/ISOimages/SLES9/boot/image
/ISOimages/SLES9/boot/initdisk.gz
/ISOimages/SLES9/boot/rescue
/ISOimages/SLES9/boot/rescuefloppy
/ISOimages/SLES9/boot/root
/ISOimages/SLES9/boot/ChangeLog
/ISOimages/SLES9/boot/content
/ISOimages/SLES9/boot/control.xml
.
.
.
The information presented here gives some general guidance on Linux installation set up. Specific
Linux release information must be consulted for getting boot and install content, setting up content
on an installation server, and required options in the EFI boot configuration file.
The /etc/bootptab content to enable Linux boot for installation might look like the following.
linuxsys2:\
ht:=ether:\
ha=001560045A4A:\
ip=10.1.1.221:\
hn:\
sm=255.255.255.0:\
gw=10.1.1.1:\
nt=10.1.1.11:\
ds=10.1.1.11:\
bf=/opt/ignite/boot/LINUX/elilo-ia64.efi:\
bp=10.1.1.11
Once all the content has been set up, the HP-UX server should have Linux boot and installation
enabled.
Use EFI network boot to start the boot and installation process.
Installation options specified in the elilo-ia64.conf file will be displayed as formatted by the
hplinux.msg file.
IMPORTANT: If the message file is missing or incorrect, the system might display a blank screen
when elilo boots. If this happens, you should be able to use CTRL-c to exit the boot loader and
return to the EFI boot menu.
Select the desired distribution for boot and installation.
/-------------------| Linux Install from an HP-UX Server |-------------------\
| |
| This image enables Linux installation from an HP-UX system. Select a |
| menu option, enter kernel options at the prompt if desired, and press |
68 Complex Networks: Multi-Capable Servers
| <return>. USE AT YOUR OWN RISK! ^C to go back to EFI; ESC does nothing. |
| |
| /------------------------------------------------\ |
| | Install SLES9 | |
| | Install RHEL5 Update 1 | |
| | | |
| | | |
| | | |
| | | |
| | | |
| | | |
| \------------------------------------------------/ |
| |
| Kernel Options: ________________________________________________________ |
| |
| ^C now to go back to EFI; ESC does nothing. Once started, there's no |
| turning back (i.e. you have to reboot to get back to EFI). |
\----------------------------------------------------------------------------/
RedHat Installation From an HP-UX Server
The RedHat installation process normally starts with language selection.
Welcome to Red Hat Enterprise Linux Server
+---------+ Choose a Language +---------+
| |
| What language would you like to use |
| during the installation process? |
| |
| Catalan ^ |
| Chinese (Simplified) : |
| Chinese (Traditional) # |
| Croation : |
| Czech : |
| Danish : |
| Dutch : |
| English v |
| |
| +----+ |
| | OK | |
| +----+ |
| |
+---------------------------------------+
<Tab>/<Alt-Tab> between elements | <Space> selects | <F12> next screen
Next, the source and method of transport must be selected. In this example, NFS network installation
is used.
Welcome to Red Hat Enterprise Linux Server
+------+ Installation Method +------
| |
| What type of media contains the |
| packages to be installed? |
| |
| Local CDROM |
| Hard drive |
| NFS image |
| FTP |
| HTTP |
| |
| +----+ +------+ |
| | OK | | Back | |
| +----+ +------+ |
| |
Configuring an HP-UX Server to Support Linux Boot and Installation 69
| |
+-----------------------------------|
<Tab>/<Alt-Tab> between elements | <Space> selects | <F12> next screen
Then you must specify the location of Linux install content.
Welcome to Red Hat Enterprise Linux Server
+----------------------------+ NFS Setup +----------------------------+
| |
| Please enter the following information: |
| |
| o the name or IP number of your NFS server |
| o the directory on that server containing |
| Red Hat Enterprise Linux Server for your architecture |
| |
| NFS server name: 10.1.1.11_______________ |
| Red Hat Enterprise Linux Server directory: /ISOimages/RHEL5UP1_____ |
| |
| +----+ +------+ |
| | OK | | Back | |
| +----+ +------+ |
| |
| |
+---------------------------------------------------------------------+
<Tab>/<Alt-Tab> / between elements | <Space> selects | <F12> next screen
RedHat installation continues presenting additional configuration screens specific to the distribution.
Documentation regarding RedHat installation and configuration for client system set up should be
consulted.
SuSE Installation From an HP-UX Server
The SuSE installation process normally starts with terminal selection.
What type of terminal do you have ?
1) VT100
2) VT102
3) VT220
4) X Terminal Emulator (xterm)
5) X Terminal Emulator (xterm-vt220)
6) X Terminal Emulator (xterm-sun)
7) screen session
8) Linux VGA or Framebuffer Console
9) Other
Type the number of your choice and press Return:
The installation continues to present additional configuration screens specific to the distribution. In
this case, the location of install content was specified in the elilo configuration file. Documentation
regarding SuSE installation and configuration for client system set up should be consulted.
Configuring an HP-UX Server to Support Windows Installation
In theory, it might be possible to configure an HP-UX server to enable Windows installation.
However, Windows installation from an HP-UX server has not been investigated. One of the possible
challenges for enabling installation is to provide Boot Information Negotiation Layer (BINL) from
the server. A solution for Linux servers that might be adaptable is provided via Windows Remote
Installation Service (RIS).
70 Complex Networks: Multi-Capable Servers

7 Managing I/O for Installation and Recovery
This chapter introduces Ignite-UX I/O concepts and describes how multi-path concepts enhance
Ignite-UX. This chapter also assists the user moving from the legacy naming model to the agile
naming model by touching on changes found in multi-path aware Ignite.
Introducing Multipathing
In its current implementation, beginning with C.7.1.x, Ignite-UX is aware of multiple paths to I/O
devices. Ignite-UX now supports agile view on HP-UX 11i v3.
One of the features of HP-UX 11i v3 and later is the ability to tolerate I/O path changes. For HP-UX
11i v2 and earlier releases of HP-UX, Ignite-UX is aware that multiple device special files (DSFs)
and hardware paths may refer to the same device logical unit (LUN).
Previous to HP-UX 11i v3, I/O addressing looks like Figure 16, where a DSF is specific to one
hardware path, which in turn points to an I/O device’s LUN.
Figure 16 Legacy I/O Stack Addressing Model
LUN
Legacy DSFs Legacy Hardware Paths
/dev/dsk/c9t0d1 0/0/6/0/0.1.18.73.0.0.1
/dev/dsk/c11t0d1 0/0/6/0/0.1.19.75.0.0.1
/dev/dsk/c17t0d1 0/0/10/0/0.1.18.73.0.0.1
/dev/dsk/c19t0d1 0/0/10/0/0.1.19.75.0.0.1
/dev/dsk/c29t0d1 1/0/2/0/0.1.19.75.0.0.1
/dev/dsk/c27t0d1 1/0/2/0/0.1.18.73.0.0.1
/dev/dsk/c37t0d1 1/0/14/0/0.1.18.73.0.0.1
/dev/dsk/c33t0d1 1/0/14/0/0.1.19.75.0.0.1
Any of the legacy DSFs can be used to access the I/O device. Care must be taken to prevent the
simultaneous use of multiple DSFs for conflicting purposes. For example, two DSFs for the same
LUN might be used for different volume or disk groups. Ignite-UX will detect such an invalid
configuration created with the Ignite user interface and prevent installation. A final validation is
also done during sanity checking, which takes place after starting an installation.
Agile View Concepts
Starting with HP-UX 11i v3, HP-UX is aware of multiple paths to devices and provides multipathing
functionality automatically. Important new concepts related to this functionality are: persistent DSF,
LUN hardware path,lunpath hardware path,device identifier, and agile addressing.
Agile view I/O addressing logic looks like Figure 17.
Introducing Multipathing 71

Figure 17 Agile Multiple Path I/O Stack Addressing Model
Persistent DSF Lunpath
hardware path
Lunpath
hardware path
Lunpath
hardware path
Lunpath
hardware path
Legacy DSF Hardware path
Legacy DSF Hardware path
LUN
hardware
path LUN
The persistent DSF represents the device, regardless of its location in the I/O configuration. With
the new model, legacy DSFs and hardware paths enjoy multi-path capabilities because after device
open, I/Os use every path associated with the I/O device.
The LUN hardware path is virtualized, representing all the lunpath hardware paths to a device.
The lunpath hardware path is the path typically displayed in the Ignite user interface. Lunpath
hardware paths do not have device special files - they are associated with a LUN hardware path
and are accessed via the persistent DSF associated with a LUN hardware path. The Ignite user
interface displays the lunpath hardware path so the actual device can be discerned from it; you
cannot identify the physical device from looking at the LUN hardware path or the persistent DSF.
Sample agile addressing model values for the DSFs and paths are shown below.
Figure 18 Agile Naming Example
64000/0xfa00/0x6
LUN: WWID 0x50060b000015330f0001000000000032
Persistent DSF
Legacy DSFs Legacy Hardware Paths
LUN
Hard-
ware
Path Lunpath Hardware Path
/dev/dsk/c9t0d1
/dev/disk/disk55
0/0/6/0/0.1.18.73.0.0.1
0/0/6/0
0.0x50060b000019bc98.0x4001
0/0/6/0
0.0x50060b000019c8a6.0x4001
0/0/10/0
0.0x50060b000019bc98.0x40010
0/0/10/0
0.0x50060b000019c8a6.0x40010
1/0/2/0
0.0x50060b000019c8a6.0x4001
1/0/2/0
0.0x50060b000019bc98.0x4001
1/0/14/0
0.0x50060b000019c8a6.0x40010
1/0/14/0
0.0x50060b000019bc98.0x40010
/dev/dsk/c11t0d1 0/0/6/0/0.1.19.75.0.0.1
/dev/dsk/c17t0d1 0/0/10/0/0.1.18.73.0.0.1
/dev/dsk/c19t0d1 0/0/10/0/0.1.19.75.0.0.1
/dev/dsk/c29t0d1 1/0/2/0/0.1.19.75.0.0.1
/dev/dsk/c27t0d1 1/0/2/0/0.1.18.73.0.0.1
/dev/dsk/c37t0d1 1/0/14/0/0.1.18.73.0.0.1
/dev/dsk/c33t0d1 1/0/14/0/0.1.19.75.0.0.1
Identification of devices in a multiple path I/O configuration can be challenging. The I/O stack
(driver) identifies devices using unique LUN IDs. Often this is a WWID value.
By identifying a device using the unique LUN ID, any of its hardware paths could be used to access
it, and agile addressing is supported.
The unique LUN ID might be difficult for a user to associate with a specific physical or logical
device. For example, often the device WWID is on a device label (e.g. on a sticker) or available
via storage management software used to set up a virtual LUN – those values are difficult to
remember and type correctly. It might be easier to select a device using one of its hardware paths.
72 Managing I/O for Installation and Recovery

However, if you can remember part of the WWID, you can use the Ignite user interface Disk
Selection dialog box Filter text box to limit displayed devices to those with WWIDs containing the
text you can remember.
Agile addressing means the hardware path actually used by the system to access a device is
independent of the path used to select the device. Selecting a disk via one hardware path might
result in the system choosing some other, better hardware path. For example, this can happen
when selecting a disk for boot, and when volume managers determine the appropriate set of paths
to use for device access.
NOTE: For HP-UX 11i v3, the one hardware path used for selection has no special significance
in most Ignite-UX user interfaces. Ignite-UX will allow HP-UX system software to select the best path
when a particular path is needed. For example, boot paths will be selected by system software
when the boot device is selected.
A more user-friendly approach is to identify I/O devices with a device identifier. A device identifier
is a human-readable device ID defined by the user. It can be written to the device and read back.
Data centers may want to create some standard policy for device IDs (e.g. LAB2CAB23LUN15).
In the current implementation, the device ID can be set, checked, and read at installation. The
device identifier is stored on the device, so it remains available if the disk is moved to a different
system or connected to multiple systems. Not all devices support the use of a device identifier.
See the scsimgr(1M) command for more information on how to set and read a device identifier.
When identifying I/O hardware for Ignite-UX configuration files, see Table 5 (page 81) for the
format of I/O variables.
NOTE: Your data center may use separate processes or groups to administer systems and storage.
It is important to record WWID, Device ID, and other details of LUNs assigned to your systems.
Access control or protection zones may be used to control the systems permitted to use a LUN; it
is important to record which systems have access to LUNs.
For more details on agile view HP-UX, see the white paper Overview: The Next Generation Mass
Storage Stack available at http://www.hp.com/go/hpux-core-docs.
Practical Considerations
Ignite-UX uses hardware paths to help you identify I/O devices such as disks, CD/DVD drives and
tape drives during installation and recovery. The format of the hardware path used to identify I/O
devices will depend on the version of HP-UX you are using and other factors. Also, depending on
your configuration, multiple paths might be displayed for a single device.
For HP-UX 11i v3, Ignite-UX will allow HP-UX system software to select the best path when a
particular path is needed. For example, boot paths will be selected by system software when the
boot device is selected.
Note that horizontal scrolling might be required to read the entire hardware path and associated
data in Ignite-UX GUI screens.
IMPORTANT: Due to application dependencies, HP-UX software deployment tools such as Ignite-UX
expect legacy DSFs to be present and the legacy naming model to be enabled. Therefore, HP
recommends only partial migration be performed, as detailed in the HP-UX 11i v3 Persistent DSF
Migration Guide, available at http://www.hp.com/go/hpux-core-docs.
System Installation Configuration
When using Ignite to install HP-UX on a client, a root disk must be identified. Ignite-UX selects a
default disk, but it may be changed using the Root Disk... button on the Basic tab on the client
installation configuration interface shown below.
Practical Considerations 73

Figure 19 Ignite-UX Client Installation Configuration Tabs
The hardware path displayed in the Root Disk text box is the lunpath hardware path for HP-UX 11i
v3 and later, or the legacy hardware path for HP-UX 11i v2 and earlier.
By selecting Root Disk..., the Disk Selection – Root Disk dialog box is displayed (Figure 20
(page 74)).
Figure 20 Disk Selection – Root Disk Dialog Box
The Disk Selection – Root Disk dialog box displays every path for each disk, therefore disks with
multiple paths are listed multiple times. Set View By: to Disks/Paths (the default is I/O Protocol) to
see what paths go to each disk. For more information on using the Disk Selection – Root Disk dialog
box, see “Root disk... Button” (page 119).
74 Managing I/O for Installation and Recovery

NOTE: Inventory blocking may be used to reduce the time required to discover devices during
Ignite-UX start-up. Devices blocked from inventory will not be listed in the Disk Selection dialog
boxes. For more information on using Ignite-UX variables such as inventory_block_path and
inventory_block_protocols, see instl_adm(4), “Controlling the I/O Configuration Process”
(page 81), and “Additional... Button” (page 124). For more information on the agile naming model,
see Figure 18 (page 72).
If you have a SAS device, physical locations will be displayed in the Disk Selection – Root Disk
dialog box as shown in Figure 21 (page 75).
Figure 21 Disk Selection – Root Disk Dialog Box With Physical Locations
To get a concise listing of all the paths for a single device, select the path of interest and then click
the More Info button, or use the Disks/Paths View. If a LUN has multiple paths, you may select any
of them to get to the same More Info screen. For example, you may select either of the lunpath
hardware paths below since they both reference the same LUN.
0/0/6/0/0.0x50060b000019c8a6.0x4001000000000000
0/0/10/0/0.0x50060b000019c8a6.0x4001000000000000
Use the More Info screen to help make the transition from legacy hardware paths to the lunpath
hardware paths. The More Info screen supplies details about a LUN to help you verify that the
selected LUN is the one intended. Note that the legacy hardware path is also shown to the very
right in the Path/Location window of the Disk Selection dialog box – use horizontal scrolling to
see it.
Practical Considerations 75

Figure 22 More Info Dialog Box
For HP-UX 11i v3 and later, the More Info screen displays all the lunpath hardware paths for a
device. (Note that the paths can be long - horizontal scrolling may be needed to see the entire
path.) The Legacy HW Path displayed depends on the lunpath hardware path currently selected
in the selection list window. One legacy hardware path is listed. For a concise list of all the legacy
hardware paths leading to the device, select the All Paths... button (Figure 23 (page 76)).
The Legacy HW Path window and the All Paths... button are not available on systems running
HP-UX 11i v2 and earlier.
Figure 23 All Paths Dialog Box
Accessed from the File System tab of the client installation configuration interface, the Disk Selection
– Add/Remove Disks dialog box displays the lunpath hardware path, the legacy hardware path,
or the physical location. See Figure 21 (page 75) for the display format of physical location
hardware paths.
76 Managing I/O for Installation and Recovery

Figure 24 Disk Selection – Add/Remove Disks Dialog Box
The More Info screen is made available on the Disk Selection – Add/Remove Disks dialog box
too, to validate selections and help make the change to the agile naming model.
Support for >2 TB boot disk
Starting with the HP-UX 11i v3 OE Update March 2013 release, the maximum size of the boot
disk has been increased from 2 TB to 16 TB on HP Integrity systems. (HP 9000 systems have
supported the boot disk or root volume group up to the 2 TB maximum size since the initial HP-UX
11i v3 OE February 2007 release.)
The >2 TB boot disk support is available with Logical Volume Manager (LVM) layout and currently
not available on VxVM and Whole Disk layouts. To configure >2 TB disk as boot disk, you have
to navigate to Basic tab -> Filesystem -> select Logical Volume Manager (LVM) with VxFS from the
itool interface.
Update the Ignite-UX software on the Ignite-UX servers with the Ignite-UX bits.
NOTE: The Ignite-UX software is delivered with the HP-UX 11i v3 OE Update March 2013
release or higher for configuring the boot disk >2 TB in size.
NOTE: Support for >2 TB boot disk support is available with HP-UX 11i v3 OE Update March
2013 release or higher to HP Integrity systems, and this feature is not available and supported on
the HP-UX versions earlier than OE Update March 2013 release.
During the cold installation, the default LVM Volume Group Version set by Ignite-UX is 1.0. This
limits the size of the boot size to 2 TB, and the remaining space on the disk will be unused. To
utilize the full disk capacity beyond 2 TB (and up to 16 TB max) for boot disk with LVM, you have
to update the LVM’s Volume Group Version to 2.2 or later versions. You can do this by navigating
to Filesystem tab > Advanced Tasks > Group parameters tab > LVM Version in the Ignite-UX itool
user interface. For more information, see LVM Volume Group Version 2.2 at: http://www.hp.com/
go/hpux-core-docs
The VxFS File System size chosen for configuring any volume is limited to 2 TB during the installation
and any size configured beyond 2 TB will be capped to a maximum of 2 TB . You can manually
extend the size of the VxFS File System to >2 TB, post installation, if Online JFS License product is
installed on the system.
Practical Considerations 77

Starting with HP-UX 11i v3 OE Update March 2013 release, Ignite-UX supports the size of Swap,
Dump, and unused logical volumes up to 1 TB instead of the previous limit of 128 GB on 11i v2
and 11i v3. During a cold installation or recovery, larger amounts of swap, dump, or swap volumes
can be utilized in disk or volume groups by defining multiple swap, dump, or swap volumes. The
limit for unused volumes on 11i v1 is 1 TB; however, the limit for swap and dump has not been
increased.
Identifying Devices for Other Tasks
There are a number of other Ignite tasks that require the identification of I/O devices:
•When building installation media, you must use the ioscan command to find the tape, CD,
or DVD drive. Note that some of the CD/DVD writing SW included with Ignite-UX but not
developed by HP only works with legacy device special files.
•When performing a system recovery on Itanium-based systems, you must find the tape device’s
hardware path to create an EFI boot option. (This should be done at the time the tape is
created.)
•During two-step media recovery, you must select the hardware path of the tape drive to recover
from.
•When in expert recovery mode, you must have the hardware path of the disk you are attempting
to recover.
•When identifying disks in configuration files to define them or combine them in a single volume
group, you must supply the hardware paths of the disks.
Important Characteristics of the Agile View
The following points will help you move from the legacy view to the agile view:
•When using the new persistent DSFs, be sure to use the new directory structure:
Table 3 Mass Storage DSF Directories
Legacy DSF DirectoryPersistent DSF Directory
/dev/dsk/dev/disk
/dev/rdsk/dev/rdisk
/dev/rmt/dev/rtape
•Both legacy and persistent DSFs can be created during installation and recovery of HP-UX 11i
v3 depending on your volume manager. When Ignite-UX creates file system content for HP-UX
11i v3, persistent DSFs are used for LVM volumes and VxVM 5.0 layout, and legacy DSFs
are used for VxVM 4.1.
NOTE: The VxVM components in the Ignite-UX install environment and the installation depot
must be version 5.0 or higher in order to use persistent DSFs.
•Keep in mind that persistent DSFs endure with recovery if Ignite recovers to the same hardware
or can map to replacement hardware, but are not guaranteed to remain the same between
installations. See Figure 25 for an overview regarding consistency of I/O addressing.
•If hardware is replaced and recovery is not needed, you might want to run io_redirect_dsf
to correct the system configuration. For more information, see io_redirect_dsf(1M).
78 Managing I/O for Installation and Recovery

Figure 25 Consistency of I/O Addressing
Reboot
Installation with other hardware changes
C C C C C CC
Persistent DSF
LUN H/W Path
Lunpath H/W Path
Legacy DSF
Legacy H/W Path
Device ID
WWID
Installation with replacement of system and/or HBAs
with same model and config using the same devices
Installation with same system and config using
replacement devices
C C C CN N N
N N
N
N
N
N N N N N N
NN
N
* *
C N C C C
Recovery with same system and devices N
RCRC C C
Recovery with replacement of system and/or HBAs
with same model and config using the same devices RN C RC C C
Recovery with same system and config using RN*R*N N
Recovery with other hardware changes N N N N N N N
System Event
Device Addressing Identification
Reinstallation on same system and devices.
replacement devices
Use the following key for the “Consistency of I/O Addressing” figure above.
C = Consistent — Device addressing id value is saved in HP-UX config content and the correlation
between these values and devices does not change as a result of the event.
N = New Value — Device addressing id value is newly created as a result of the event. The device
addressing id value for a device might or might not change as a result of the event.
R = Recovered — Ignite-UX will restore the association between device addressing id values and
devices when possible. The process used to match previous and current devices is handled by
Ignite-UX recovery matching methods. Matching might not be possible if the system configs differ.
*— Might be a consistent value for some I/O protocols such as parallel SCSI, and might be a
new value for some I/O protocols such as fibre channel.
Practical Considerations 79

Recovery and the Agile View
During recovery, Ignite-UX C.7.x makes changes to the new system I/O configuration to match
the original system I/O configuration. This is necessary because some aspects of a system
configuration depend on the unpredictable order of system I/O inventory.
The overall goal of this process is to make the system I/O configuration appear as if the system
simply rebooted at the time the recovery archive was created. This process is complex, and Ignite-UX
might be unable to fully restore the I/O configuration. Ignite might not be able to restore aspects
of the I/O configuration due to hardware changes, limitations of system I/O software, and limitations
of Ignite-UX.
The system I/O configuration should be verified during and after recovery so configuration
adjustments can be made if needed.
One part of restoring the I/O configuration is the appropriate matching of device special files
(DSFs) and devices. There is one approach used for legacy DSFs in HP-UX 11i v3 and previous
releases, and another approach used for HP-UX 11i v3 persistent DSFs.
Legacy DSFs and Device Matching
Matching legacy DSFs and mass storage devices is done based on hardware paths. Generally,
legacy DSFs are associated with a particular hardware path. During recovery, a device is associated
with its hardware path's DSF. (See Figure 16 (page 71) for a description of the legacy addressing
model.)
Hardware configuration changes are handled by assuming a new device is intended to replace
the device originally at that hardware path.
Note that some I/O protocols, such as SAS and USB, associate legacy DSFs with specific devices
using unique LUN IDs, and so behave like persistent DSF matching described below.
SAS devices are a special case, since their legacy DSF/unique LUN ID association can change
as a result of I/O configuration changes. If you change a SAS configuration (physically move a
SAS device to another bay or remove a SAS device) the hardware path associated with that and
other SAS devices can change during an installation or recovery. In such a case, hardware paths
are reassigned to SAS devices. Since legacy DSFs are associated with a particular hardware path,
a change in a device's hardware path breaks the association between its previous legacy DSF
and its unique LUN ID. Note that the way SAS devices are associated during recovery might
change in future versions of Ignite-UX to use the agile addressing approach described below.
Only certain SAS configuration changes cause remapping of hardware paths. For more information
see the white paper, “Ignite-UX and SAS Devices” available at http://www.hp.com/go/
ignite-ux-docs.
Persistent DSFs and Device Matching
Matching persistent DSFs and mass storage devices is relatively complex due to agile addressing.
Ignite-UX will attempt to simulate agile addressing during recovery, while also dealing with hardware
replacement. This matching is accomplished using the methods described below:
•WWID — Matching is done based on the unique LUN ID of the device. Most often, this is the
device's WWID. This method matches a device's original persistent DSF with the same device
in the recovered system configuration.
•Device ID — (Future) Matching is done based on a user-definable identifier written to the
device. This method matches a device's original persistent DSF with the device that has the
same device ID in the recovered system configuration. This method allows user-provided
identification to control device matching. Note that some mass storage devices do not support
the device ID feature.
•Physical Location — Matching is done based on device physical location. This method matches
the original persistent DSF associated with a particular physical location (e.g. same enclosure
80 Managing I/O for Installation and Recovery

and bay) with the device at that location in the recovered system configuration. This method
is intended to handle replacement of devices. Note that not all I/O protocols support physical
location addressing.
•Lunpath — Matching is done based on lunpath hardware path. This method matches the
original persistent DSF associated with a lunpath hardware path with the device at that lunpath
hardware path in the recovered system configuration. This method is intended to handle
replacement of devices. Some protocols such as fibre channel have lunpath hardware paths
and legacy hardware paths that are functionally different (use different hardware attributes).
•Legacy hardware path — Matching is done based on the legacy hardware path. This method
matches the original persistent DSF associated with a legacy hardware path with the device
at that legacy hardware path in the recovered system. This method matches devices using the
same approach used for typical legacy DSFs.
Not all methods are appropriate for all protocols. The following are the ordered lists of persistent
DSF-to-device matching methods by protocol. The order in which these methods are applied is
important. Matching will be done in the order listed.
Table 4 Persistent DSF-to-Device Matching Methods by Protocol
Ordered ListProtocol
WWID, lunpathparallel SCSI
WWID, physical location, lunpathfibre channel
lunpathide
WWID, physical location, lunpathSAS
no matching will be doneother
NOTE: There might be devices in the original system configuration that can not be matched with
devices in the new system configuration. There might also be devices in the new system configuration
that do not match devices in the original configuration. In these cases, the HP-UX operating system
I/O drivers will assign legacy and persistent DSFs for the non-matching devices.
Controlling the I/O Configuration Process
It is possible to control the I/O configuration process associated with installation and recovery by
using variables in the configuration file. These variables allow you to select disks that may be
replaced with other disks, hide disks from the I/O configuration process, and control DSF naming.
By controlling the I/O configuration process, you can make configuration files that are general
enough to use with clients having different hardware paths, protect disks from modification, and
increase the performance of the I/O inventory process.
This section introduces the variables and value types associated with I/O configuration for use in
configuration files. Further details can be found in instl_adm(4).
Table 5 I/O Configuration Variables
DescriptionI/O Configuration Variable
(boolean) Setting this to true allows Ignite to substitute a disk that was specified in the
configuration files but does not exist on the system with a disk that does exist and was
allow_disk_remap
not specified to be used, hidden, or blocked. Default for this value is false for a
noninteractive installation, and true for an interactive installation. This is useful when
creating configuration files for use with multiple clients.
(boolean) Setting this to true prevents the installation process from allowing the boot
disk to be configured and/or “cleaned”. This is useful only when the Ignite kernel is
booted from a dedicated hard disk you wish to protect from being modified.
hide_boot_disk
Controlling the I/O Configuration Process 81

Table 5 I/O Configuration Variables (continued)
DescriptionI/O Configuration Variable
(string) This may be set to one or more space-separated hardware paths of disks that
should be “hidden” from being configured or otherwise modified during the installation.
This is useful for hiding multiple disks.
_hp_hide_other_disks
(string) Setting this keyword forces a specific instance number assignment for the
specified hardware device. This is useful for producing client configurations consistent
with others regardless of variations in hardware configurations.
hw_instance_number
(string) This keyword is used to control Ignite inventory functionality by instructing Ignite
to not collect inventory information for the devices specified. This is useful when you
want devices hidden and not available for selection during installation.
inventory_block_path
(string) This keyword is used to control Ignite inventory functionality by instructing Ignite
to not collect inventory information for the devices of the protocol type specified. This
inventory_block_protocols
is useful when you want to increase the performance of the I/O inventory process by
ignoring all devices of a certain protocol. These devices will not be available for
selection during installation.
Below are listed the value types for use with the I/O configuration variables.
Table 6 I/O Configuration Value Types
DescriptionI/O Configuration Value Type
For keywords that take a hardware path as an index parameter or value, the hardware
path may be a series of more than one decimal or hexadecimal numbers separated
Hardware Path
by the period ( . ) or the forward slash ( / ) characters. A complex string or string
variable may also be used where a hardware path is expected.
Aphysical location may be a series of alphanumeric values separated by the colon (
: ) character.
Physical Location
The format of this value varies depending on the protocol and device. This value is
often a standard IEEE value in hexadecimal format, however this value may have some
other format. This value may not contain white space.
World-Wide Name / WWID
The valid protocol values are:I/O Protocol
•fibre_channel
•parallel_scsi
•sas
•usb
Agile View Questions and Answers
What are the requirements for the use of persistent DSFs? Must I use them exclusively or can I mix
them with legacy DSFs?
Ignite-UX will use persistent DSFs for installation and recovery on systems running HP-UX 11i v3.
Internally, VxVM volume management software controlling installation and recovery uses persistent
or legacy DSFs as appropriate for the VxVM version used. See “Important Characteristics of the
Agile View” (page 78) for more information.
Can the user switch from persistent to legacy DSFs and back if desired?
Switching between persistent and legacy DSFs is specific to the volume manager. See your volume
manager documentation for more details.
Does the Ignite–UX interface enforce a particular use model with respect to persistent and legacy
DSFs?
No, but persistent DSFs will be used for HP-UX 11i v3 installation and recovery.
If a persistent DSF is specified, is the equivalent legacy DSF added as well? And vice versa?
82 Managing I/O for Installation and Recovery

8 Security
The purpose of this chapter is to assist system and network administrators in understanding the
network ports and protocols used by Ignite-UX during its various phases of operation, and to assist
in configuring the HP-UX Bastille and IPFilter products. HP is not able to provide support for
configuring third-party firewalls to work with Ignite-UX.
Ignite-UX Server Ports
Ignite-UX server network port usage is described below by server activity. Diagrams follow that
describe the port activity by network communication task and timing. See the product documentation
to get the protocol for your system when the protocol is listed as tcp/udp.
•Initiate LAN Boot for Itanium-Based clients, Figure 26 (page 85): ports 67 and 68.
•Initiate LAN Boot for PA-RISC clients, Figure 27 (page 85): ports 1067, 1068.
•Cold boot and installation initiated from client, Figure 28 (page 86): 69, 2049, 2121, an
SD dynamically allocated port.
•Live system reinstall via bootsys initiated from the server, Figure 29 (page 87): 2049, 69,
2121, an SD dynamically allocated port, and 514 or 22.
•make_net_recovery initiated from client, Figure 30 (page 88): 69, 2121, an SD
dynamically allocated port, 2049.
•make_net_recovery initiated from the server, Figure 31 (page 89): 69, 2121, an SD
dynamically allocated port, 2049, and 514 or 22.
•make_sys_image initiated from client, Figure 32 (page 89): 514 or 2049.
84 Security

Figure 26 Port Usage: Initiate LAN Boot for Itanium-Based Clients
PXE/DHCP (udp)
Client Timeline Server
67
68
68
67
Initiate LAN Boot: Itanium-Based Systems
[Request IP address for boot]
DHCP/bootp (udp)
[Network boot information]
1
1. The client sends a boot request to the server over port 67. The request is handled by the
bootpd daemon on the server. If the client is registered, the /etc/bootptab file is referenced
for the boot IP address; if the client is anonymous, DHCP services are used to assign the boot
IP address. The server then sends the networking information to the client on port 68. For more
information on booting registered Itanium-based clients, see “Configuring the Ignite-UX Server
for Itanium-Based Clients” (page 34). For more information on booting anonymous
Itanium-based clients, see “Configuring an Ignite Server to Boot Anonymous Itanium-Based
Clients” (page 43). For more information on bootpd, see bootpd(1M).
Figure 27 Port Usage: Initiate LAN Boot for PA-RISC Clients
bootp (udp)
bootp (udp)
Client Timeline Server
1067
Initiate LAN Boot: PA-RISC Systems
[Request IP address for boot]
[Network boot information]
1068 1068
1067
2
2. The client sends a boot request to the server over port 1067. The request is handled by the
instl_bootd daemon on the server. The /etc/opt/ignite/instl_boottab file is
referenced whether the client is registered or anonymous. The server then sends the networking
information to the client on port 1068. For more information on booting registered PA-RISC
clients, see “Configuring the Ignite-UX Server for PA-RISC Clients” (page 30). For more
information on booting anonymous PA-RISC clients, see “Configuring an Ignite Server to Boot
Anonymous PA-RISC Clients” (page 42). For more information on instl_bootd, see
instl_bootd(1M).
Ignite-UX Server Ports 85

Figure 28 Port Usage: Client Cold Boot and Installation
Client Timeline Server
Client Cold Boot and Installation
Initiated from Client Firmware
[Depots]
swinstall (tcp/udp)
NFS (tcp/udp)
[Record log information on server]
tftp (udp)
[INSTCMDS, SYSCMDS]
NFS (tcp/udp)
[Image]
tftp (udp)
[Initial boot content]
swinstall @ server (tcp/udp)
[Port to listen to]
Initiate LAN Boot - see the diagram for your hardware
PP
69
2049
2049
69
2121
Common to all Server-based Download and
Boot Kernel
Installations
swinstall depot sequence
3
6
4
5
3. The initial boot content (kernel,file system, and required files) is downloaded from the server
to the client, then the client is booted. For Itanium-based systems, these files are downloaded
in the order listed: nbp.efi,AUTO,fpswa.efi,hpux.efi,IINSTALL, and IINSTALLFS.
PA-RISC systems download these files in the order listed: boot_lif,AUTO,WINSTALL, and
WINSTALLFS.
4. The file install.log is updated on the server in the /var/opt/ignite/clients/client
directory. A compressed tar archive of commands to set up disk volumes and file systems is
downloaded (INSTCMDS for PA-RISC, and INSTCMDSIA for Itanium-based systems). The TUI
is run on the client console. The user selects the installation configuration via the TUI and selects
Go!. A compressed tar archive of commands required to complete the installation is
downloaded (SYSCMDS for PA-RISC and SYSCMDSIA for Itanium-based systems). Ports used
by NFS to make RPC (Remote Procedure Call) calls are not discussed here.
5. If the installation is from an image, it is downloaded. Ports used by NFS to make RPC calls
are not discussed here.
6. If the installation configuration requires software to be installed from depots on the server, a
swinstall request is sent to the server's Software Distributor (SD) daemon, swagentd, on
port 2121. An SD agent, swagent, is then spawned on the server that acquires a dynamically
allocated communication port for the download. That communication port is then reported to
the client on port 2121. The client then spawns a new swagent processes that communicates
with the server on the acquired communication port P, where the depot download takes place.
For more information on SD, see the Software Distributor Administration Guide available at
http://www.hp.com/go/sd-docs.
86 Security

NOTE: Although swinstall is illustrated here, the install could use one or more of
swinstall with remsh (port 514), NFS (ports 49152–65535), ftp data (port 20), and
ftp (port 21).
Figure 29 Port Usage: Live System Reinstall
PP
swinstall depot sequence
[Depots]
Environment
Get Install
Kernel Boot Sequence
remsh (tcp)
[bootsys_prep, OS & hardware information] 514
22
514
22
ssh (tcp)
[bootsys_prep, OS & hardware information]
Client Timeline Server
rcp (tcp)
[*INSTALL, ISL, AUTO, HPUX, *INSTALLFS]
2049
2049
NFS (tcp/udp)
[Record log information on server]
69
tftp (udp)
[INSTCMDS, SYSCMDS]
Common to all Server-based
Installations
NFS (tcp/udp)
[Image]
2121
Live System Reinstall via bootsys from Server
or
or
Run bootsys
scp (tcp)
[*INSTALL, ISL, AUTO, HPUX, *INSTALLFS]
swinstall @ server (tcp/udp)
[Port to listen to]
ping (icmp)
swinstall (tcp/udp)
7
8
6
4
5
7. The server pings the client with an ICMP type 8 echo request. The client answers the ping with
an ICMP type 0 echo reply. Files required for bootsys are transferred from the server to the
client. These files are transferred with remsh by default, or by ssh if the bootsys -S option
is used.
8. The kernel,file system, and required files are downloaded from the server to the client, then
the client is booted. These files are transferred with rcp by default, or by scp if the bootsys
-S option is used.
NOTE:
The client can specify to use privileged ports (1–1023) or not via the ssh_config directive. The
default is non-privileged ports. If you want to configure ssh to use privileged ports, you have to
make the client an suid program.
Ignite-UX Server Ports 87

Figure 30 Port Usage: make_net_recovery Initiated from the Client
swinstall (tcp/udp)
swinstall (tcp/udp)
check_version
tftp (udp)
[/opt/ignite/data/Version from server to client] 69
2121
2121
Pn
PnPn
Pn
swlist@server (tcp/udp)
Client Timeline Server
2049
[Output of swlist]
[IUX-Recovery depot]
NFS (tcp/udp)
[Recovery image]
make_net_recovery Initiated from Client
[Port to listen to]
[Port to listen to]
ping (icmp)
(tcp/udp)
9
10
11
5
9. The server pings the client with an ICMP type 8 echo request. The client answers the ping with
an ICMP type 0 echo reply. If tftp is enabled, the version check is done with the file /opt/
ignite/data/Version.
10. If tftp is not enabled, the version check is done with swlist using the swinstall depot
sequence described in Figure 28 (page 86).
11. If the client has a lower version of Ignite than the server, a depot of recovery commands is
transferred to the client using the swinstall depot sequence described in Figure 28
(page 86).
NOTE: Although swinstall is illustrated here, the install could use one or more of
swinstall with remsh (port 514), NFS (ports 49152–65535), ftp data (port 20), and
ftp (port 21).
88 Security

Figure 31 Port Usage: make_net_recovery Initiated from the Server
remsh (tcp)
[Run make_net_recovery command]
Proceed as make_net_recovery initiated from client
514
22
ssh (tcp)
[Run make_net_recovery command]
Client Timeline Server
make_net_recovery Initiated from Server
or 12
12. The server remotely executes make_net_recovery from the client. The command is run via
remsh by default, or by ssh if the client was added for recovery on the server with the ssh
option.
NOTE:
The client can specify to use privileged ports (1–1023) or not via the ssh_config directive.
The default is non-privileged ports. If you want to configure ssh to use privileged ports, you
have to make the client an suid program.
Figure 32 Port Usage: make_sys_image Initiated from the Client
or 13
remsh (tcp) 514
Client Server
make_sys_image Initiated from Client
NFS (tcp/udp)
[Golden archive]
[Golden archive] 2049
13. The golden archive is written to the destination server via remsh or NFS. Note that
make_sys_image does not need networking if the archive is written locally to the client.
Modifying a Bastille-Hardened System to Operate with Ignite-UX
HP-UX Bastille is a security hardening/lockdown tool that can be used to enhance the security of
the HP-UX operating system. It provides customized lockdown on a system-by-system basis by
encoding functionality similar to the Center for Internet Security (CIS) Level 1 Benchmark for HP-UX
and other hardening/lockdown checklists. The Bastille technology is available in HP-UX 11i v1
and later versions of HP-UX.
This section describes how to make sure Ignite-UX requirements are enabled on your Bastille system.
For more information on HP-UX Bastille, see bastille(1M) , bastille_drift(1M), the HP-UX System
Administrator's Guide: Security Management if you are running HP-UX 11i v3, and Managing
Modifying a Bastille-Hardened System to Operate with Ignite-UX 89

Systems and Workgroups: A Guide for HP-UX System Administrators for systems running HP-UX
11i v2 and earlier.
CAUTION: The configuration processes in this section change the security properties of your
system. When enabling services, protocols, and ports, careful consideration should be given to
the impact to your network and system security.
Enabling Ignite-UX Server Requirements
To make sure Ignite-UX requirements are enabled on the server, you must first discover your current
lockdown state and then modify that state, if necessary, to allow selected daemons and services
to run. You must also allow access to certain ports used by an Ignite-UX server.
1. Discover your current lockdown state.
•If you are using Bastille 3.0 or later, create a configuration report. The report will be
created in /var/opt/sec_mgmt/bastille/log/Assessment/
assessment-log.config.
# bastille --assessnobrowser
•If you are using a version of Bastille earlier than 3.0, get the latest configuration file used
by Bastille.
# bastille -l
NOTE: If you get the message
NOTE: The system is in its pre-bastilled state.
there is no need to proceed with this configuration, as daemons, services, and ports required
by Ignite-UX are not locked-down in the pre-bastille state.
2. Copy the last configuration file used or the assessment report to a place of your choice.
3. Bring up the latest configuration in the Bastille GUI.
# bastille --os [HP-UX11.00 | HP-UX11.11 | HPUX11.23 | HPUX11.31] -f filename
4. Make sure the settings in your configuration file for the following daemons and services are
set to No. Note that if you have to change a setting from Yes to No, you will likely be required
to enable that daemon or service on your system in order to use it. After you have made
changes, save the configuration file to a place of your choice.
Would you like to deactivate the NFS server on this system
Would you like to deactivate NIS client programs?
Should Bastille ensure inetd's bootp service does not run on this system?
Should Bastille ensure inetd's TFTP service does not run on this system?
5. To update your firewall or have Bastille create a new one:
a. Backup your /etc/opt/ipf/ipf.conf file to a place of your choice.
b. Update the port information for the Bastille-enabled HP-UX IPFilter firewall by editing the
file /etc/opt/sec_mgmt/bastille/ipf.customrules and making the following
changes:
•Add the words keep frags to the end of the udp outgoing rule line so it looks like
pass out quick proto udp all keep state keep frags
•Remove or comment-out the following line.
block in quick proto udp from any to any port = portmap
•Add the following lines after the End allow outgoing rules section.
# ports required for Ignite-UX
############################################################
pass in log quick proto udp from any to any port = 69 keep state
pass in log quick proto udp from any port = 68 to any port = 67 keep state
pass in log quick proto udp from any port = 1068 to any port = 1067 keep state
pass in log quick proto tcp/udp from any to any port = 2049 keep frags
90 Security

pass in log quick proto tcp/udp from any to any port = 2121
pass in log quick proto tcp/udp from any to any port 49152 >< 65535
pass in log quick proto tcp from any to any port = 20
pass in log quick proto tcp from any to any port = 21
pass in log quick proto tcp from any to any port = 22
pass in log quick proto tcp from any to any port = 514
pass in log quick proto icmp from any to any icmp-type 8 keep state
pass in log quick proto tcp from any port = 514 to any keep state
c. In the IPFilter Module of Bastille, change the following line to Yes if it is not already.
Should Bastille setup basic firewall rules with these properties?
d. Run Bastille.
# bastille -b -f your_configuration_file
6. If a Bastille baseline had been created for the system, update that baseline.
# bastille_drift --save_baseline baseline
Enabling Ignite-UX Client Requirements
To make sure Ignite-UX requirements are enabled on the client, you must first discover your current
lockdown state and then modify that state, if necessary, to allow the NFS daemon and rtools
services to run. You must also allow access to certain ports used by an Ignite-UX client.
1. Discover your current lockdown state.
•If you are using Bastille 3.0 or later, create a configuration report. The report will be
created in /var/opt/sec_mgmt/bastille/log/Assessment/
assessment-log.config.
# bastille --assessnobrowser
•If you are using a version of Bastille earlier than 3.0, get the latest configuration file used
by Bastille.
# bastille -l
NOTE: If you get the message
NOTE: The system is in its pre-bastilled state.
there is no need to proceed with this configuration, as daemons, services, and ports required
by Ignite-UX are not locked-down in the pre-bastille state.
2. Copy the last configuration file used or the assessment report to a place of your choice.
3. Bring up the latest configuration in the Bastille GUI.
# bastille --os [HP-UX11.00 | HP-UX11.11 | HPUX11.23 | HPUX11.31] -f filename
4. Make sure the settings in your configuration file for the NFS daemon and rtools service are
set to No. Note that if you have to change a setting from Yes to No, you will likely be required
to enable that daemon or service on your system in order to use it. After you have made
changes, save the configuration file to a place of your choice.
Would you like to deactivate the NFS client daemons?
Should Bastille ensure that the login, shell, and exec services do not run on this system?
5. To update your firewall or have Bastille create a new one:
a. Backup your /etc/opt/ipf/ipf.conf file to a place of your choice.
b. Update the port information for the Bastille-enabled HP-UX IPFilter firewall by editing the
file /etc/opt/sec_mgmt/bastille/ipf.customrules and making the following
changes:
•Add the words keep frags to the end of the udp outgoing rule line so it looks like
pass out quick proto udp all keep state keep frags
•Add the following lines after the End allow outgoing rules section.
Modifying a Bastille-Hardened System to Operate with Ignite-UX 91

# ports required for Ignite-UX
############################################################
pass in log quick proto icmp from any to any icmp-type 8 keep state
pass in log quick proto tcp from any to any port = 512
pass in log quick proto tcp from any to any port = 514
pass in log quick proto tcp/udp from any port = 2049 to any keep frags
pass in log quick proto tcp/udp from any to any port 49152 >< 65535
c. In the IPFilter Module of Bastille, change the following line to Yes if it is not already.
Should Bastille setup basic firewall rules with these properties?
d. Run Bastille.
# bastille -b -f your_configuration_file
6. If a Bastille baseline had been created for the system, update that baseline.
# bastille_drift --save_baseline baseline
Configuring Ignite to Replace TFTP with NFS
Beginning with Ignite-UX version C.7.9, it is possible to configure the Ignite-UX loadfile utility
to use NFS instead of TFTP for network access to the Ignite server. This allows users to avoid use
of TFTP except during direct network boot of the install kernel. The TFTP protocol can be avoided
entirely if the system being installed is booted from media (including vMedia) or via the bootsys
command.
Overview
In order to use this functionality, minor modifications to Ignite-UX configuration files might have be
made to the Ignite-UX server system. These modifications fall into the following categories:
•Add a keyword to the appropriate configuration files instructing Ignite to use NFS instead of
TFTP.
•Ensure config files are located in an acceptable directory that is NFS-mounted during the
installation. Make sure the INDEX file refers to the config files in their new (C.7.9 and later)
locations as outlined below.
•Disable the TFTP daemon.
NOTE: Because of changes necessary to replace TFTP with NFS, beginning with C.7.9 the
locations of three Ignite product files have moved. Ignite automatically creates symbolic links from
the old file to the new file location. These files are:
Table 7 Ignite Product Files Moved in Version C.7.9 and Later
C.7.9 and Later LocationPre-C.7.9 Location
/opt/ignite/data/Version/opt/ignite/Version
/var/opt/ignite/data/INDEX/var/opt/ignite/INDEX
/var/opt/ignite/data/config.local/var/opt/ignite/config.local
Procedure
1. Add the _hp_loadfile_use_nfs keyword.
HP recommends placing this in the config section of the install file system. Use your
environment’s HP-UX version and install file system in the following commands.
First, change the working directory to the release-specific boot directory and grab the config
content:
# cd /opt/ignite/boot/Rel_B.11.31
# instl_adm -d > /tmp/ifs.cfg
92 Security
Use vi to add _hp_loadfile_use_nfs=”true”to the file:
# cat /tmp/ifs.cfg
# instl_adm defaults:
# NOTE: Manual additions between the line containing "instl_adm defaults
# and "end instl_adm defaults" will not be preserved.
server="10.1.54.230"
netmask[]="255.255.248.0"
route_gateway[0]="10.1.48.1"
route_destination[0]="default"
# end instl_adm defaults.
_hp_loadfile_use_nfs="true"
Now use instl_adm to update the install file system:
# instl_adm -f /tmp/ifs.cfg
2. Set up NFS exports and check custom configuration files.
Because of preexisting Ignite-UX file system layouts, the locations of certain files are
automatically moved when Ignite-UX Version C.7.9 or later is installed . These files are /opt/
ignite/Version,/var/opt/ignite/INDEX, and /var/opt/ignite/config.local.
In addition, certain other customer-created config files might need to be moved or edited.
First, edit /etc/exports or /etc/dfs/dfstab as appropriate for the version of HP-UX
running on the Ignite-UX server.
For Ignite servers running HP-UX 11i v2 or earlier:
# cat /etc/exports
/opt/ignite/data -ro
/var/opt/ignite/config -ro
/var/opt/ignite/data -ro
/var/opt/ignite/clients -anon=2
# exportfs -a
For Ignite servers running HP-UX 11i v3:
# cat /etc/dfs/dfstab
share -F nfs -o ro /opt/ignite/data
share -F nfs -o ro /var/opt/ignite/data
share -F nfs -o anon=2 /var/opt/ignite/clients
# shareall
If there are any customer-created config files that are outside of the directories exported by
NFS, they must be moved under /var/opt/ignite/data.
3. Edit the /var/opt/ignite/INDEX file to refer to /var/opt/ignite/data.
Some customers will need to modify the config.local entry in /var/opt/ignite/data/
INDEX. For example, the INDEX clause
cfg "HP-UX B.11.31 Default" {
description "Example HP-UX 11i v3 (11.31) configuration."
"/opt/ignite/data/Rel_B.11.31/config"
"/opt/ignite/data/Rel_B.11.31/hw_patches_cfg"
"/var/opt/ignite/data/Rel_B.11.31/core_cfg"
"/var/opt/ignite/config.local"
}
would need to be modified to be
cfg "HP-UX B.11.31 Default" {
description "Example HP-UX 11i v3 (11.31) configuration."
"/opt/ignite/data/Rel_B.11.31/config"
"/opt/ignite/data/Rel_B.11.31/hw_patches_cfg"
"/var/opt/ignite/data/Rel_B.11.31/core_cfg"
"/var/opt/ignite/data/config.local"
}
Configuring Ignite to Replace TFTP with NFS 93
4. Disable TFTP on the Ignite-UX server (optional).
Unless you need to initiate installations via network boot, you may now disable TFTP on the
Ignite-UX server. You may remove or comment out the "tftp" entry from /etc/inetd.conf.
If the system to be installed is running any version of HP-UX, booting from the network can be
avoided by using the bootsys command or by booting from media and switching to the
Ignite-UX server.
In the boot-from-media case, it will be necessary to either specify the _hp_loadfile_use_nfs
keyword on the boot loader command line or create custom media with that keyword built
into it.
For PA-RISC systems, interrupt the autoboot sequence at the prompt
Interact with IPL (Y, N, or Cancel)?> y
and enter the following (substitute 11.31 for 11.23 depending on the release).
ISL> hpux -i_hp_loadfile_use_nfs=\"true\" Rel_B.11.23/WINSTALL
For Integrity systems, interrupt the autoboot sequence at the prompt
Press Any Key to interrupt Autoboot
and enter the following (substitute 11.31 for 11.23 depending on the release).
HPUX> boot Rel_B.11.23/IINSTALL -i_hp_loadfile_use_nfs=\"true\"
If you do need to preserve the ability to perform network boot, but otherwise wish to take
advantage of the NFS loadfile functionality, you may remove the /var/opt/ignite
directory from the "tftp" entry in /etc/inetd.conf, leaving only /opt/ignite.
When Ignite-UX is installed, it automatically enables the TFTP daemon. If you reinstall Ignite-UX,
you will need to reapply these changes.
For information on booting from media and then switching to an Ignite-UX server over the
network, see “Alternate Boot with Network Server Installation” (page 26). For information
about changing configuration content in the install file system, see instl_adm(1M) and
instl_adm(4).
5. Verify that the configuration works.
Perform an installation, and watch the console output or the install.log file for the
“Ignite-UX will use NFS for loadfile.” message:
* Preparing to execute init...
======= 03/02/09 20:39:20 EST HP-UX Installation Initialization.
@(#)Ignite-UX Revision C.7.8.201
@(#)ignite/launch (opt) Revision:
/branches/IUX_RA0903/ignite/src@76987 Last Modified: 2009-02-05
15:45:55 -0700 (Thu, 05 Feb 2009)
* Configuring RAM filesystems...
NOTE: Ignite-UX will use NFS for loadfile.
94 Security

9 Booting and Installing HP-UX From the Server Using the
Client Console
This chapter discusses booting and installing HP-UX on clients from the server using the client
console. Ignite-UX can be run in terminal user interface (TUI) mode on the client system.
See the HP-UX Installation and Update Guide available from http://www.hp.com/go/
hpux-core-docs for instructions on how to install HP-UX from the Operating Environment DVD
media.
Preparing the Client for Installation
For bootsys —The bootsys command is used to reboot a client system, already running HP-UX,
using a kernel and file system from a server. The bootsys command will copy the [W|V|I]INSTALL
install kernel and the [W|V|I]INSTALLFS file system from the server to the /stand directory on
the client, and then use them when rebooting.
Make sure there is enough disk space in the /stand directory on the client to hold the install
kernel and file system before you run bootsys.
For V-class PA-RISC clients the files on the server are:
•/opt/ignite/boot/Rel_release/VINSTALL
•/opt/ignite/boot/Rel_release/VINSTALLFS
For 64-bit PA-RISC clients the files on the server are:
•/opt/ignite/boot/Rel_release/WINSTALL
•/opt/ignite/boot/Rel_release/WINSTALLFS
For Itanium-based clients the files on the server are:
•/opt/ignite/boot/Rel_release/IINSTALL
•/opt/ignite/boot/Rel_release/IINSTALLFS
where release is the release identifier.
For HP-UX 11i v3 — If you are installing HP-UX 11i v3 onto a client, its boot disk must be at least
30 GB. HP-UX 11i v3 requires more space on the HP-UX boot disk than prior HP-UX releases.
Minimum Memory Size — During installation and recovery, Ignite-UX uses system memory to hold
a RAM-based install environment with a subset of HP-UX. Ignite-UX requires installation and recovery
client systems to have at least a minimum amount of RAM to hold this install environment while
leaving enough space to run HP-UX. The minimum required RAM size is specific to the HP-UX
version to be installed or recovered. See the Ignite-UX Release Notes under “Minimum Memory
Size” for the current client memory requirements. You can find the Ignite-UX Release Notes via the
Ignite-UX website, http://www.hp.com/go/ignite-ux, and also at /opt/ignite/share/doc/
release_note on your system.
If Ignite-UX detects there is not enough RAM on the client system, you will see these errors:
ERROR: RAMFS Setup memory issue.
ERROR: The system does not contain the minimum supported amount of
memory needed to install and run HP-UX. HP-UX requires minimum_amount
of available memory for the “B.xx.xx” release. The system has only
actual_amount of memory available for HP-UX use (this may be less than
physical memory installed due to space reserved by system firmware).
The amount of memory in the system must be increased if this release
is to be installed successfully.
Preparing the Client for Installation 95

ERROR: The system install or recovery session cannot continue. The
system will now reboot.
If Ignite-UX detects only the minimum amount of RAM on the client system, you will see these
messages:
WARNING: RAMFS Setup memory issue.
WARNING: The system does not contain the minimal amount of memory needed
for install or recovery. Ignite-UX requires minimum_amount of available
memory for the “B.xx.xx” release. The system has only actual_amount of
memory available for use (this may be less than physical memory installed
due to space reserved by system firmware). The install or recovery may
or may not complete, and it may take an extraordinary amount of time
to complete. It is advised to increase the amount of memory in the
system.
NOTE: The system install or recovery session will now continue.
CAUTION: Any data on the client disks that are used for installation, including the operating
system, are removed entirely as part of this installation process.
IMPORTANT: During HP-UX 11i v3 installation and recovery, connected Active/Passive devices
will cause long delays (one hour or more) or may cause a system to hang. Similarly, connecting
an Active/Passive device before installing the Active/Passive Switch (APSW) plug-in can cause
some commands to take a long time. Disconnect any Active/Passive devices connected to your
system before installing or recovering HP-UX 11i v3. After installation or recovery, it is important
that the APSW plug-in be installed before connecting an Active/Passive device to the system.
Making Boot Decisions When Using the Client Console
When deciding which method to use when operating from the client console, you should take your
server/client configuration into consideration. See Chapter 2 (page 24) for information on
configuring your Ignite-UX server for your environment.
This section provides an overview of options when booting from the client console.
Boot Using the Network
A decision tree for booting and installing HP-UX from the client console using the server is shown
in Figure 33. If you want to boot a client without using an Ignite-UX server, see Figure 34 (page
98).
Use the decision tree below when you want to install from the Ignite-UX server and control the
installation from the client console.
96 Booting and Installing HP-UX From the Server Using the Client Console

Figure 33 Decision Tree for Booting and Installing HP-UX From the Server Using the Client Console
YES YESYES
NO
Is HP-UX
running ?
NO
Itanium-based
and dbprofile
support ?
Local server
or boot
helper ?
Using the Client Console
Use bootsys -c Use dbprofile
Boot from
local server
or
boot helper
See the decision tree
for stand alone systems
Use bootsys -c - If the client system is currently running HP-UX, you can use bootsys -c on
the client console to boot from the Ignite-UX server. See “Using bootsys on the Client Console”
(page 98) and the bootsys(1M) manpage for more information.
Boot from local server or boot helper - You can boot your client from a server or boot helper system
using the client console by interrupting the reboot process and invoking the boot from the firmware
interface. Details vary depending whether your client is a PA-RISC or Itanium-based. See “Booting
PA-RISC Clients from the Console ” (page 99), or “Booting Itanium-Based Clients using the Network”
(page 100), depending on the hardware of your client.
Use dbprofile -All partitionable Itanium-based systems allow the definition of direct boot profiles.
This EFI functionality is also found in other, non-partitionable systems. With these profiles, you can
supply all the networking information needed to contact an Ignite-UX server and perform an install
or recovery.
Some systems might require firmware updates to provide support for direct boot profiles. If your
system does not provide the dbprofile command, check for any firmware updates that might
enable it. You can also consult the system's hardware documentation to determine if dbprofile
is supported.
For more information, see “Direct Boot Profiles for Itanium-Based Systems” (page 102).
See the decision tree for booting stand alone systems - This decision tree can be found below in
figure Figure 34.
Boot Using Media
Use the following decision tree if you do not have support for network boot. The methods described
in Figure 34 use media content to boot for install.
Once you have booted the system, you will be able to communicate with an Ignite-UX server to
perform an installation or recovery. Note that if you do not have an active DHCP server to provide
networking IP address requests, you will need to manually provide networking information before
you can communicate with the server.
See “How Ignite Works” (page 17) for more information on the network booting process.
Making Boot Decisions When Using the Client Console 97

Figure 34 Decision Tree for Booting From Media and Installing HP-UX From the Server
YES
YES
YES
DVD
drive? iLO vMedia
support?
OE install
media matches
server?
NO NO
NO Create matching
installation
media on server
Boot from HP-UX
OE install DVD,
then switch to
network server
Boot from
installation media
then switch to
network server
Stand alone systems
See the decision trees
for network server
installation
Boot from HP-UX OE install DVD, then switch to network server - This option requires the system
to have a CD or DVD drive attached, or iLO vMedia support. The version of Ignite-UX on the OE
media must match the Ignite-UX version on the server. For more information on iLO vMedia, see
Appendix D (page 238) and the HP Integrity iLO 2 MP Operations Guide available at http://
www.hp.com/bizsupport.
Create matching installation media on server - It is possible to create installation media for booting
purposes. This type of installation media does not include a full archive. See Chapter 14: “Creating
Your Own Boot and Installation Media”, for more information.
Boot from installation media then switch to network server - This option assumes you have created
installation media for booting purposes. See Chapter 14: “Creating Your Own Boot and Installation
Media”, for more information. This option requires the system to have a CD or DVD drive attached,
or iLO vMedia support. For more information on iLO vMedia, see Appendix D (page 238) and the
HP Integrity iLO 2 MP Operations Guide available at http://www.hp.com/bizsupport.
See the decision trees for network server installation - These decision trees are: Figure 5: “Decision
Tree When Configuring a Server for Booting PA-RISC Systems”, and Figure 6, "Decision Tree
When Configuring a Server for Booting Itanium-Based Systems.”
Using bootsys on the Client Console
The bootsys command may be run from the client console if you use the -c Ignite-UX Server
option. This option directs bootsys to contact the specified Ignite-UX server, and then perform a
local reboot.
For more information on bootsys, see bootsys(1M) and the section describing its use from the
server: “Installation Using bootsys” (page 110).
98 Booting and Installing HP-UX From the Server Using the Client Console

After booting the system, see “Installing HP-UX From the Client Console” (page 105) for information
on installing HP-UX from the client console.
Booting PA-RISC Clients from the Console
This section describes how to boot HP-UX on PA-RISC clients from the client console using an
Ignite-UX server.
See the "Preparing the Client for Installation " section for important notes.
If you need further help with the boot process, enter:
BOOT ADMIN>help boot
1. Obtain the IP address of the Ignite-UX server you intend to use.
2. Cycle the power (perform a cold reset) on the client to bring it to a known state.
NOTE: If you have the AUTOBOOT flag set, you will have to interrupt the boot sequence by
pressing Esc when the Processor Dependent Code (PDC) offers the opportunity with this
message:
To stop selection process, press and hold ESCAPE key.
For detailed information regarding the boot sequence, see the HP-UX System Administrator’s
Guide for HP-UX 11i v3, or Managing Systems and Workgroups: A Guide for HP-UX System
Administrators.
During the boot sequence, status messages are displayed on the client console. Depending
on the type of machine, server or workstation model, a boot administration menu and/or
firmware prompt may appear.
3. Boot the client using your Ignite-UX server’s IP address by entering this command at the client
console:
firmware prompt> boot lan.n.n.n.n install
where: n.n.n.n is the IP address of the Ignite-UX server.
The client then begins to download the install kernel from the network server. This should take
approximately 5 minutes.
TIP: To search for Ignite-UX servers, enter the following at the client console (workstations
only):
firmware prompt>search lan install
The list of servers you can boot the client from is displayed with their corresponding IP
addresses, similar to:
Searching for potential boot devices(s)... on Path LAN
This may take several minutes.
To discontinue search, press any key (termination may not be immediate).
Path Number Device Path Device Type
----------- ----------- -----------
P0 LAN.15.1.46.117.3.254 lp2 100/Full Dx
P1 LAN.15.1.41.70.3.254 lp4 100/Full D
You may need to run the nslookup command on another running system to determine which
address corresponds to your Ignite-UX server.
Booting PA-RISC Clients from the Console 99

4. When an Ignite-UX server responds, the installation begins with the following query:
hpux KernelPrompt "Choose Operating System to Install :"
1. target OS is B.11.11
2. target OS is B.11.23 PA
3. target OS is B.11.31 PA
4. Exit
Choose an operating system to install that your hardware supports :
Select the operating system version that you want to install on the client by typing the
appropriate number, and then press Enter to continue the installation.
After booting the system, see “Installing HP-UX From the Client Console” (page 105) for information
on configuring the HP-UX installation from the client console.
Booting Itanium-Based Clients using the Network
This section describes how to boot HP-UX on Itanium-based clients from an Ignite-UX server using
the network.
See the "Preparing the Client for Installation " section for important notes.
1. Cycle the power (perform a cold reset) on the client to bring it to a known state.
NOTE: If you have the AUTOBOOT flag set, you must interrupt the boot sequence by pressing
Esc when the Processor Dependent Code offers the opportunity with this message:
Press Any Key to interrupt Autoboot
Next, you will need to enter exit at the prompt to invoke the extensible firmware interface
(EFI) Boot Manager menu.
For detailed information regarding the boot sequence, see the HP-UX System Administrator’s
Guide for HP-UX 11i v3, or Managing Systems and Workgroups: A Guide for HP-UX System
Administrators, and the hardware documentation for your system.
During the boot sequence, status messages are displayed on the client console. Depending
on what type of machine, server or workstation model, the EFI Boot Manager menu appears
and looks similar to:
EFI Boot Manager ver 1.10 [14.60]
Please select a boot option
HP-UX Primary Boot: 0/2/2/0.0.0.0
EFI Shell [Built-in]
Boot option maintenance menu
Security/Password Menu
Use ^ and v to change option(s). Use Enter to select an option
TIP: On some machines, the up-arrow and down-arrow keys may not work. If this is the
case, you can use Shift-6 (^) for up and vfor down.
2. Select Boot option maintenance menu using the up and down arrows, which advances you
to the EFI Boot Maintenance Manager Main Menu, similar to the following example:
EFI Boot Maintenance Manager ver 1.10 [14.60]
Main Menu. Select an Operation
Boot from a File
Add a Boot Option
Delete Boot Option(s)
100 Booting and Installing HP-UX From the Server Using the Client Console

Change Boot Order
Manage BootNext setting
Set Auto Boot TimeOut
Select Active Console Output Devices
Select Active Console Input Devices
Select Active Standard Error Devices
Cold Reset
Exit
3. Select Add a Boot Option.
EFI Boot Maintenance Manager ver 1.10 [14.60]
Add a Boot Option. Select a Volume
Removable Media Boot[Acpi(HWP0002,0)/Pci(2|0)/Ata(Primary,Master)]
Load File [EFI Shell [Built-in]]
Load File [Acpi(HWP0002,0)/Pci(3|0)/Mac(00306E1E4ED4)]
Load File [Acpi(HWP0002,100)/Pci(2|0)/Mac(00306E1E3ED6)]
Exit
4. Select the appropriate network interface so that this network boot loads the appropriate file.
For example, look for entries identified with a MAC address as in this example.
Device Path Acpi(HWP0002,0)/Pci(3|0)/Mac(00306E1E4ED4)
Boot0001: Acpi(HWP0002,0)/Pci(3|0)/Mac(00306E4A134B)
Edit Existing Boot Option or make a new entry [E-Edit N-New]:
5. Press Nto add the new boot option.
6. Enter a brief, descriptive boot option name at the message prompt. In this example, the new
boot option is named LAN1.
Enter New Description:
7. Enter a brief description for this boot option.
New BootOption Data. ASCII/Unicode strings only, with max of 240 characters
Enter BootOption Data Type [A-Ascii U-Unicode N-No BootOption] :
8. Enter the data type of this boot option.
Save changes to NVRAM [Y-Yes N-No]:
9. Press Yto save the new boot option.
EFI Boot Maintenance Manager ver 1.10 [14.60]
Add a Boot Option. Select a Volume
LAN1 [Acpi(HWP0002,0)/Pci(3|0)/Mac(00306E1E4ED4)]
Removable Media Boot[Acpi(HWP0002,0)/Pci(2|0)/Ata(Primary,Master)]
Load File [EFI Shell [Built-in]]
Load File [Acpi(HWP0002,0)/Pci(3|0)/Mac(00306E1E4ED4)]
Load File [Acpi(HWP0002,100)/Pci(2|0)/Mac(00306E1E3ED6)]
Load File [PcieRoot(0x30304352)/Pci(0x7,0x0)/Pci(0x0,0x0)/Fibre(0x500110A0008F063A, 0x0)]
Exit
NOTE: The boot option name, description, and data type information can be modified using
the Edit operation in a manner similar to the New operation as described in this procedure.
10. Exit to the EFI Boot Manager menu taking care not to select a boot option, as you will be
forced to reenter the information for the selected option.
The new boot option should appear in the EFI Boot Manager main menu.
EFI Boot Manager ver 1.10 [14.60]
Please select a boot option
Booting Itanium-Based Clients using the Network 101

HP-UX Primary Boot: 0/2/2/0.0.0.0
LAN1
EFI Shell [Built-in]
Boot option maintenance menu
Security/Password Menu
Use ^ and v to change option(s). Use Enter to select an option
11. Select the new boot option, LAN1 in this case, from the list and press Enter.
The following is an example of a successful network boot using the new LAN1 boot option:
Loading.: LAN1
Running LoadFile()
CLIENT IP: 10.1.52.128 MASK: 255.255.248. DHCP IP: 10.1.53.37
GATEWAY IP: 10.1.48.1
Running LoadFile()
Starting: LAN1
@(#) HP-UX IA64 Network Bootstrap Program Revision 1.0
Downloading HPUX bootloader
Starting HPUX bootloader
Downloading file fpswa.efi (371200 bytes)
(c) Copyright 1990-2001, Hewlett Packard Company.
All rights reserved
HP-UX Boot Loader for IA64 Revision 1.671
Booting from Lan
Downloading file AUTO (528 bytes)
Press Any Key to interrupt Autoboot
AUTO ==> boot IINSTALL
Seconds left till autoboot - 0
AUTOBOOTING...
After booting the system, see “Installing HP-UX From the Client Console” (page 105) for information
on configuring the HP-UX installation from the client console.
Direct Boot Profiles for Itanium-Based Systems
All partitionable Itanium-based systems allow the definition of direct boot profiles. This EFI
functionality is also found in other, non-partitionable systems.
Some systems might require firmware updates to provide support for direct boot profiles. If your
system does not provide the dbprofile command, check for any firmware updates that might
enable it. You can also consult the system's hardware documentation to determine if dbprofile
is supported.
The dbprofile command allows you to create direct boot profiles that can be used in conjunction
with the lanboot EFI command. A direct boot profile contains information needed to talk over
the network to an installation server.
NOTE: This does not affect any DHCP support you may need to configure to allow the installation
process to talk to an Ignite-UX server once the install kernel has started. The use of direct boot
profiles only allows network boot from EFI without needing to setup a bootp/DHCP server.
The following dbprofile command, when run from EFI,
dbprofile -dn testprofile -sip 192.1.2.1 -cip \
192.1.1.20 -gip 192.1.1.1 -m 255.255.255.0 -b \
"/opt/ignite/boot/nbp.efi"
102 Booting and Installing HP-UX From the Server Using the Client Console

creates a new direct boot profile (or updates the profile if it exists) called testprofile. The
profile contains the following information:
Ignite-UX server IP address (-sip) 192.1.2.1
Ignite client IP address (-cip) 192.1.1.20
Gateway IP address (-gip) 192.1.1.1
Network mask (-m) 255.255.255.0
Boot file name (-b)/opt/ignite/boot/nbp.efi
IMPORTANT: If you do not have the client IP address defined in a direct boot profile, EFI will use
DHCP instead of the direct boot profile to start the boot process.
When creating a direct boot profile, always define the boot file using the -b option to set the value
to /opt/ignite/boot/nbp.efi. This is required to install HP-UX.
The dbprofile command accepts a gateway IP address. This is important because when using
a direct boot profile that has a gateway defined, the EFI network stack will have somewhere to
route non-local traffic. In this case, the Ignite-UX server does not have be located on the same LAN
segment as the client; traffic can be routed to it via the gateway. No boot helper is required for
this client on the local LAN segment.
To network boot using a direct boot profile, use the -dn option of the EFI lanboot command as
in the following example:
lanboot select -dn testprofile
This results in a list of LAN interfaces for you to choose from. However, no DHCP request is sent
out when an interface is selected. Instead, the network boot uses information from the direct boot
profile testprofile and immediately starts booting from the Ignite-UX server.
NOTE: If you have multiple LAN interfaces, you must choose the LAN interface that the direct
boot profile is applicable to. If you choose a LAN interface on a network other than (using the
example from above) 192.1.1.x, the client will fail to contact the Ignite-UX server.
The dbprofile Command
This section provides information for the dbprofile command. This command is part of the EFI
Shell and is accessible from the system console when the system is in an active state but has not
booted an operating system. For more information, see the nPartition Administrator's Guide or the
documentation for your particular system, available at the HP Business Support Center:
http://www.hp.com/bizsupport
Syntax
dbprofile [-dn name [-dhcp] [-sip server_ip] [-cip client_ip]
[-gip gateway_ip] [-m subnet_mask] [-b "boot_file"]
[-od "optional_data"]] | [-h]
dbprofile [rm name] | [-h]
dbprofile [cp src_name dst_name] | [-h]
Options and Operands
-dn name Display/create/modify a direct boot profile with the name name.
-dhcp ADHCP server will be used to get the client information.
-sip server_ip Set the static IP address for the boot server to server_ip.
-cip client_ip Set the static IP address for the client to client_ip.
-gip gateway_ip Set the static IP address for the gateway to gateway_ip.
-m subnet_mask Set the subnet mask for the local network to subnet_mask.
Direct Boot Profiles for Itanium-Based Systems 103

-b "boot_file"Load boot file from the boot server. boot_file is the full path
to the boot file on the boot server.
-od "optional_data"Pass optional command line arguments to the boot file.
-rm name Remove a direct boot profile with the name name.
-cp src_name dst_name Copy a db-profile from src_name to dst_name.
-h Display help for this command
NOTE: A direct boot profile name can be 12 characters long at most, and spaces are not allowed.
If the direct boot profile name already exists, it will be updated with the new values passed as
arguments to this command.
If client IP address information is missing in the direct boot profile, DHCP is used by default.
Only IPv4 is supported.
Use quotations ("") around the boot_file and optional_data fields.
Examples
•To display settings in the direct boot profile:
Shell> dbprofile
or
Shell> dbprofile -dn test
•To create and modify settings in a direct boot profile:
Shell> dbprofile -dn test -dhcp -sip 192.168.0.1 \
-m 255.255.255.0
Shell> dbprofile -dn test -b "tmp/nparsys1/loader.efi" \
-od "optional data"
where optional data is the actual data you want to pass to the boot file.
•To copy a direct boot profile:
Shell> dbprofile cp test profile
•To remove a direct boot profile:
Shell> dbprofile rm test
The lanboot Command
This section provides information for the lanboot command. This command is part of the EFI Shell
and is accessible from the system console when the system is in an active state but has not booted
an operating system. For more information, see the nPartition Administrator's Guide or the
documentation for your particular system, available at the HP Business Support Center:
http://www.hp.com/bizsupport
Syntax
lanboot [select] [-od "optional_data"] | [-dn name]
Options and Operands
select Select from a list of available LAN devices.
-od "optional_data"Pass optional command line arguments to the boot file.
-dn name Specify the direct boot profile name to use for the LAN boot.
104 Booting and Installing HP-UX From the Server Using the Client Console

NOTE: Use select when no default LAN device is provided so a list of available LAN devices
is provided for user selection.
Use -od to specify optional data to be passed to the boot file.
Use -dn to specify a direct boot profile to be used to handle the LAN boot. Use the dbprofile
command to create and manage direct boot profiles.
Examples
•To LAN boot from a boot server that has been previously setup:
Shell> lanboot
or
Shell> lanboot select
•To specify optional data to be passed to the boot file that will be loaded from the boot server:
Shell> lanboot -od "optional data"
or
Shell> lanboot select -od "optional data"
where optional data is the actual data you want to pass to the boot file.
•To perform a direct LAN boot using a previously created direct boot profile:
Shell> lanboot -dn profile1
or
Shell> lanboot select -dn profile1
After booting the system, see “Installing HP-UX From the Client Console” for information on
configuring the HP-UX installation from the client console.
Installing HP-UX From the Client Console
Once you have successfully booted the client system from the Ignite-UX server using one of the
previously discussed methods, the following screen will appear on the client console.
Figure 35 Welcome to Ignite-UX!
Select Install HP-UX. (Move between menu buttons with the Tab key, and select by pressing Enter.)
Installing HP-UX From the Client Console 105

TIP: As an alternative to using the Tab key to navigate, simply type the shortcut key (the underlined
letter) of the item you wish to select. For instance, press Bto reboot.
Figure 36 User Interface and Media Options
Leave the selection for User Interface Options at the default: Advanced Installation.
TIP: Similar to the previous screen, you can use shortcut keys (indicated with an underline) to
make a selection.
Selecting Cancel will return you to the Welcome to Ignite-UX! screen.
For a network boot, Ignite-UX will then look for networking information.
Figure 37 Searching for a DHCP Server
If no DHCP server is found, the following NETWORK CONFIGURATION screen is displayed.
106 Booting and Installing HP-UX From the Server Using the Client Console

Figure 38 NETWORK CONFIGURATION with no DHCP
If a DHCP server is found, the NETWORK CONFIGURATION screen will contain the client's
hostname and IP address. If there is networking configuration information on the server, the
parameters regarding contacting the server will be filled-in as well.
Set the NETWORK CONFIGURATION parameters so the client system can contact the Ignite-UX
server. When the parameters are set, select OK.
The server will then be contacted for its installation configuration information for the client. (A
dialog box will be displayed on the server with information that this client was found.) The client
configuration information is then displayed in the terminal user interface (TUI) version of the client
installation configuration interface (itool).
NOTE: The NETWORK CONFIGURATION screen has input fields. Typing a shortcut key, such
as Ofor OK, while the cursor is positioned at an input field will result in an Obeing entered in the
field instead of selecting the OK button.
Figure 39 The TUI Version of itool
Installing HP-UX From the Client Console 107

The TUI itool has the same functionality as the GUI itool that runs on the Ignite-UX server.
Navigate the TUI using the Tab to move around and by pressing Enter to make selections. See
“The Client Installation Configuration Interface” (page 117) for detailed information on using the
client installation interface to configure a client's installation.
TIP: Shortcut keys also work in the itool TUI, but similar to the NETWORK CONFIGURATION
screen, you cannot use them when positioned at an input field. Using shortcuts can significantly
reduce the time required to navigate the TUI itool.
When the installation has been configured, select Go! to start the installation.
Managing Speed and Duplexing of LAN Interfaces Executing Network
Boots
The default behavior of the kernel at boot up is to automatically negotiate the speed and duplex
settings of all LAN interfaces that support this feature. This default behavior is later modified in
HP-UX by startup scripts that can set any speed and duplex rather than allow the LAN interface to
automatically negotiate these settings.
When you use an install kernel with Ignite-UX to install or recover a system, there are no startup
scripts. If a Fast or Gigabit Ethernet LAN interface fails to autonegotiate, it defaults to 100
Half-Duplex regardless of the speed and duplex settings at the other end. Mismatched speed and
duplex settings can cause serious performance and reliability issues when using Ignite-UX.
You can adjust the speed and duplex settings when using Ignite-UX with the _hp_lanadmin_args
variable. The LAN interface Ignite-UX uses must be brought up before the Ignite-UX server can be
contacted so this keyword serves no purpose if it is located in the normal configuration files used
by Ignite-UX. In view of this, _hp_lanadmin_args must be configured in the install file system
on the server that it boots from. If the client boots using a boot helper, _hp_lanadmin_args
must be configured on the boot helper system not the Ignite-UX server.
NOTE: In a default setting, modern switches and hubs will autonegotiate the speed and duplex
settings with your PA-RISC or Itanium-based system. However, in some cases you may want to set
the speed and duplex settings to certain values for your environment. For example, the switch may
always fail to autonegotiate with your system. If you do not use autonegotiation on the switch or
hub that your system is connected to, you must provide the correct speed and duplex settings for
Ignite-UX using _hp_lanadmin_args. Mismatched speed and duplex settings may cause
significant performance issues or failures during recovery.
Almost all Fast and Gigabit Ethernet interfaces support setting the speed and duplex using the
_hp_lanadmin_args variable for the -X option. Some old Fast Ethernet interfaces might not
support full-duplex, so consult the product documentation for any network interfaces you encounter
problems with to confirm the speed and duplex settings that each supports.
You can still take advantage of the other options available using the lanadmin command. For
more information, see the examples in instl_adm(4) regarding setting the MTU (-M) and Duplex
(-S) options of _hp_lanadmin_args.
IMPORTANT: Due to a problem in Ignite-UX in versions prior to B.5.2.x, some parts of the recovery
may run with the wrong speed and/or duplex on the LAN interface when the system first reboots
and until the final reboot. If this proves to be a problem in your environment, you should ensure
that you have installed Ignite-UX version B.5.2.xor later.
Examples
Following are two examples of how to set the duplex in differing situations.
108 Booting and Installing HP-UX From the Server Using the Client Console
Setting 100 Full Duplex
If you want all Fast Ethernet LAN interfaces to run at 100 Full Duplex, this would cause some
immediate problems for Ignite-UX because of the duplex mismatches created. To correct the
mismatches, you would add the following code to the install file system to extract, update, and
replace the current configuration in the install file system:
instl_adm -d > /tmp/cfg.tmp
Edit the file:
vi /tmp/cfg.tmp
Add the following clause:
( lan[].driver == "btlan" )
{
_hp_lanadmin_args="-X 100FD"
}
Add this configuration clause to [W|V|I]INSTALLFS:
instl_adm -f /tmp/cfg.tmp
You can then review the current contents of the configuration in the install file system with
instl_adm -d. The output is similar to this example:
( lan[].driver == "btlan" )
{
_hp_lanadmin_args="-X 100FD"
}
env_vars += "TZ=EST-10EDT"
Setting Mixed Interface Types
In more complex environments, particularly those with mixed interface types, it is possible to be
more complex in setting _hp_lanadmin_args. In this example, a default is set for
_hp_lanadmin_args and a specific setting is defined for Gigabit Ethernet interfaces:
( lan[].driver == "btlan" | lan[].driver == "gelan" )
{
_hp_lanadmin_args="-X 100FD"
} else {
( lan.driver == "igelan" )
{
_hp_lanadmin_args="-X 1000FD"
}
}
This ensures that if the driver used to control the LAN interface being used is btlan or gelan it
is changed to 100 Full Duplex, and if the driver is igelan the interface is set to 1000 Full Duplex.
Alternatively, if you want all Fast and Gigabit Ethernet interfaces to set to 100 Full Duplex you
could use the following:
( lan[].driver == "btlan" | lan[].driver ~ "gelan" )
{
_hp_lanadmin_args="-X 100FD"
}
The ~ (tilde) operator performs an extended regular expression match. You should exercise care
with extended regular expressions to prevent false matches. For more information regarding regular
expressions, see regexp(5).
The grep command can be used from the command line to test extended regular expressions
against different input. For more information, see grep(1).
Managing Speed and Duplexing of LAN Interfaces Executing Network Boots 109

10 Booting and Installing HP-UX on Clients Using the Server
This chapter discusses the steps for the installation of HP-UX on client systems from an Ignite-UX
server.
See the HP-UX Installation and Update Guide available from http://www.hp.com/go/
hpux-core-docs for instructions on how to install HP-UX from the Operating Environment DVD
media.
Methods of Installing Client Systems
Ignite-UX enables you to install client systems from the Ignite-UX GUI, as explained in this chapter,
or automatically, as explained in Chapter 13. You can also install clients from a remote system by
using bootsys, or install the client locally using an operating system obtained from an Ignite-UX
server, as explained in Chapter 9.
Each installation method requires a configuration (config) file, as explained in Chapter 12. The
configuration can include any supported HP-UX 11i operating system, plus any required patches
and applications.
This chapter describes installing from the Ignite-UX server, either using the Ignite-UX GUI or remotely
using the bootsys command.
Begin your installation process with “Preparing the Client for Installation ” (page 95).
CAUTION: Any data on the client disks that are used for installation, including the operating
system, are removed entirely as part of this installation process.
IMPORTANT: During HP-UX 11i v3 installation and recovery, connected Active/Passive devices
will cause long delays (one hour or more) or may cause a system to hang. Similarly, connecting
an Active/Passive device before installing the Active/Passive Switch (APSW) plug-in can cause
some commands to take a long time. Disconnect any Active/Passive devices connected to your
system before installing or recovering HP-UX 11i v3. After installation or recovery, it is important
that the APSW plug-in be installed before connecting an Active/Passive device to the system.
Installation Using bootsys
Begin your installation process with “Preparing the Client for Installation ” (page 95).
You can use bootsys to start a noninteractive system installation on one or more clients without
logging onto the client system, as illustrated in Figure 40.
110 Booting and Installing HP-UX on Clients Using the Server

Figure 40 Noninteractive Installation Using the bootsys Command
Welcome
to
Ignite-UX
bootsys for non-interactive
installations
IP1 IP2
Client 1 Client 2
Depots
Config
files
Index
Ignite-UX Server
...
...
You can invoke bootsys from the command line interface (CLI), or from the Ignite-UX GUI (see
“Installation Using the Ignite-UX GUI” (page 112)).
The bootsys command copies the Ignite-UX kernel and file system from the Ignite-UX server to
each client and then sets the system AUTO file in the LIF area of the root disk to automatically boot
from this kernel at the next system reboot.
For more information, see bootsys(1M). Common problems using bootsys with Ignite-UX are
covered in Appendix A (page 224).
IMPORTANT: The bootsys command does not support network interfaces that are grouped
using HP Auto Port Aggregation (APA). You must not select an APA group as the interface through
which Ignite-UX will communicate with the Ignite-UX server. In these cases select an interface outside
the APA group, or break the APA group and use a single ungrouped interface with bootsys (this
may require reconfiguring the switch the APA group is connected to.)
Examples
This sample command boots the client system from the Ignite-UX server, boot1, and waits for
installation instructions from this server:
bootsys -R release -w boot1
where release is the release that you want to install on the client. For example, B.11.23.
If you have already run an installation session from the Ignite-UX server, issuing bootsys without
the -w option results in automatic installation without further intervention.
To automatically install client1 using a different IP address than what is currently assigned and
without waiting for Ignite-UX server interaction, use this command:
bootsys -a client1:10.2.3.45
TIP: To prevent a critical client from being inadvertently booted using bootsys, create the file,
/.bootsys_block, on the client. For example, you can create this file with:
touch /.bootsys_block
Installation Using bootsys 111

Installation Using the Ignite-UX GUI
This section describes how to add clients to the Ignite-UX server using the GUI, and then how to
use the GUI to manage Ignite-UX tasks. The Ignite-UX GUI only runs on an Ignite-UX server. Ignite
uses a terminal user interface (TUI) with keyboard navigation when run remotely from a client or
other system.
This section does not address configuring the Ignite-UX server for network boot. To do that, see
Chapter 3 and Chapter 4.
Prepare the Client for Installation
Begin your installation process with “Preparing the Client for Installation ” (page 95).
Starting Ignite-UX
Launch Ignite-UX on the server as superuser:
ignite
The Ignite-UX GUI will be displayed, similar to Figure 41.
Figure 41 Ignite-UX Graphical User Interface
If this is the first time Ignite-UX has been run on this server, a message will be displayed first,
informing you that there are no clients found (Figure 7). The Ignite-UX welcome dialog box will
also be displayed unless you have previously checked the Do not show this screen again checkbox
(Figure 8).
Adding Clients
A client must already be running HP-UX in order to be added to the Ignite-UX server. If the client
is not running, see “Booting PA-RISC Clients from the Console ” (page 99) or “Booting Itanium-Based
Clients using the Network” (page 100).
There are two ways to add a client:
1. Boot it from the Ignite-UX server by selecting Actions->Boot Client. For detailed information,
see “Booting a Client” (page 113).
2. Add it for the purpose of recovery archive creation by selecting Actions->Add New Client for
Recovery. For detailed information, see “Adding Clients for Recovery ” (page 206).
112 Booting and Installing HP-UX on Clients Using the Server

After a client is displayed in the GUI workspace, you can:
•Click a client icon to select it for further actions.
•Double-click the client icon to display the Client Status dialog box.
•Right-click to activate the Actions menu for the selected client.
For more about the available Ignite-UX selections, see “Introduction to the Ignite-UX Graphical User
Interface” (page 14), or select Help.
Booting a Client
To add a client to the Ignite-UX server, use the GUI to boot a client currently running HP-UX.
To boot a client, follow these steps:
1. From the Ignite-UX workspace, select Actions->Boot Client.
Figure 42 Boot Client Dialog Box
2. Enter the name of the client in the Hostname text box. If a client was selected, its name is in
the Hostname box.
3. From the Releases list, select the HP-UX release you want to boot this client with.
The Match Client selection uses the HP-UX version the client was last installed with from the
server. If this is the first installation, the server finds out what is currently running on the client,
and uses that release.
Make sure you have a configuration on the server for the release you select, otherwise you
will not be able to install the client from the server.
Figure 43 Select Boot Release
Installation Using the Ignite-UX GUI 113

4. Select OK.
Figure 44 Boot Confirmation Dialog Box
A boot confirmation dialog box is displayed. If you want to boot the client to add it to the
Ignite-UX server, select Yes; otherwise select No.
Figure 45 Boot Process Terminal Window
A terminal window is displayed detailing the remote shell (remsh) communication and booting
progress of the client, including any errors that may occur. If an error occurs, you are advised
of the bootsys command that can be used from the Ignite-UX server to boot the client
manually.
You might have the connection to the client refused. In that case you will have to manually
restart the client system. When restarting from the client console, the terminal window might
be too small, requiring you to resize the window to make it larger.
Ignite-UX will report a successful reboot and that the client is found and added to the server.
Figure 46 Successful Boot
Figure 47 New Client Found
114 Booting and Installing HP-UX on Clients Using the Server

Once the client has successfully booted, its icon is added to the Ignite-UX GUI.
Figure 48 New Client Displayed in GUI
On a successful boot, the client console will wait for action from the Ignite-UX server. You can
continue with the installation from the Ignite server, or you can install from the client console
by selecting Perform Installation from this Console, answering yto the prompt “Are you sure
you want to switch to run the UI locally? [n],” and then installing as described in “Installing
HP-UX From the Client Console” (page 105).
Installation Using the Ignite-UX GUI 115

Figure 49 Client Console Awaiting Server Action
Configuring the Installation
To begin the installation, select a client by clicking on its icon, and then select one of the following
from the Actions menu:
—Install Client->New Install... to install a new client as described in “New Installation” (page 116).
—Install Client−> Repeat Install... to use the configuration of a previously installed client as
described in “Repeat an Installation” (page 145).
Figure 50 Ignite-UX Actions Menu
New Installation
The new installation procedure follows a linear path until the client installation configuration interface
is displayed . At that point, the amount of configuring done is at your discretion.
116 Booting and Installing HP-UX on Clients Using the Server

Initializing the Installation
The system hardware inventory of the target system is displayed when a new installation is initiated.
Check to make sure the hardware connected to the client is present and displayed information is
correct. Notice that for Ignite servers running HP-UX 11i v3, all paths to each device and the WWID
are displayed. This information is available by scrolling down in the System Hardware Inventory
on the GUI, or by clicking the [ H/W Details ] button on the TUI.
Figure 51 System Hardware Inventory
Select OK after checking the hardware inventory and optionally entering information.
If you previously installed this client, you are asked if you want to use the last installation
configuration used by the Ignite-UX server, as shown in Figure 52.
Figure 52 Configuration Settings Confirmation Dialog Box
Respond Yes to repopulate all GUI fields with the configuration used in the previous session;
respond No to create an entirely new configuration beginning with the defaults determined by
Ignite-UX.
IMPORTANT: To avoid an installation failure, ensure that the /var/opt/ignite/clients/
directory and its subdirectories are owned by bin:bin so the client’s configuration information
can be written to its config file.
The client installation configuration user interface is then presented (Figure 53).
The Client Installation Configuration Interface
Not all fields in the configuration interface require attention. In fact, a quick installation can be
launched by selecting the default configuration for your version of HP-UX and then selecting Go!.
Modify the fields of the configuration interface at your discretion. Navigate between the tabs by
clicking on the tab name. At a minimum, you may want to define the root password by using the
Configuring the Installation 117

Set Root Password... button on the System tab, and set the DNS information located via the Network
Services... button on the System tab.
Figure 53 Ignite-UX Client Installation Configuration Tabs
The Show Summary,Save As, Reset Configuration, Go!,Cancel, and Help buttons are available
from all tabs with the same functionality.
Table 8 Functions Available From All Tabs
FunctionalityButton
Displays the new installation HP-UX release, software, basic disk layout, and
hardware inventory for the target client.
Show Summary
Saves the configuration for future use. Not available with the TUI. Load saved
configurations from the Configurations... button on the Basic tab.
Save As
Populates all GUI fields with default settings.Reset Configuration
Starts the installation. You will be asked to confirm before the installation begins.Go!
Quits the session.Cancel
Help is available for all GUI fields. Also initiated with the F1 key.Help
Basic Tab
The Basic tab, shown in Figure 53, is displayed as default. The elements on this tab are explained
in the subsections that follow.
Configurations: List Button
Click the selection list button adjacent to Configurations: and select the configuration you want to
use for this installation. The configuration options presented are stored on the Ignite-UX server in
the /var/opt/ignite/data/INDEX file.
If the selected configuration has no corresponding environments, you will get the message shown
below. Select another configuration for installation. If you booted the client with an HP-UX version
118 Booting and Installing HP-UX on Clients Using the Server

that is not configured on the server (Figure 43), you will not be able to install the client with that
version of HP-UX using this Ignite-UX server.
Figure 54 No Environments Note
Descriptions... Button
Click this button to view more information about the selected configuration.
Environments: List Button
Click the selection list button adjacent to Environments: and select the operating system or HP-UX
11i OE that you want to install from the list. This may include 64-bit or 32-bit operating system
versions. The choices and defaults depend on the releases available on the Ignite-UX server. Golden
images may also be available if any have been created and their configurations have been added
to the server’s /var/opt/ignite/data/INDEX file.
Root disk... Button
Click this button to determine the current root disk or to change the root disk.
Figure 55 Disk Selection – Root Disk Dialog Box
Select a disk from the list of available disks, then click OK. For information on supported devices,
see “Supported Peripherals ” (page 23).
The Disk Selection – Root Disk dialog box has a View By: pulldown and a Filter: text box that
allows you to control the display of disks.
Configuring the Installation 119
The selection in the View By: pulldown controls the display in the View window. The selection in
the View window controls the display in the Path/Location window. Available selections in the
View By: pulldown are:
•Adaptor
Displays the available Host Bus Adaptors (HBAs) in the View window. The Path/Location
window displays all the paths to all disks attached to the HBA currently selected in the View
window.
•Disks/Paths
Displays one path for each disk/LUN in the View window. The Path/Location window displays
all the paths to the disk currently selected in the View window.
•I/O Protocol
Displays the available protocols in the View window. The Path/Location window displays all
the paths to all disks of the protocol type currently selected in the View window.
•Size
Displays the available disk sizes in the View window. The Path/Location window displays all
the paths to all the disks of the size currently selected in the View window.
•Usage
The Path/Location window displays all paths to all disks matching the criterion selected in the
View window. Those criteria are:
◦All
◦Disks NOT to be written to in this Ignite session
◦Disks TO be written to in this Ignite session
◦Disks with preexisting data
◦Blank disks and disks with unrecognized data
The Filter text box will limit what's displayed in the windows by only displaying results with the
filter text in them. Enter the filter text and then select Apply. To undo the filter, select Clear. The
filter acts on the Path/Location window for all Views except Disks/Paths, where it acts on the View
window.
The Path/Location window displays a great deal of information, but you have to scroll horizontally
to see all the fields. The fields displayed in the Path/Location window are: Path/Location, Usage,
Group, Size, Model, WWID, Existing (preexisting data), Legacy Path, and Device ID. The Filter is
able to screen all these fields.
The Disk Selection – Root Disk dialog box displays every path for each disk, therefore disks with
multiple paths are listed multiple times. To get a concise listing of all the paths for a single device,
use the Disks/Paths view or click the More Info button. Note that devices blocked from Ignite-UX
start-up inventory will not be listed.
In addition to listing all the paths for a particular device, the More Info button provides detailed
information, such as Device ID, and WWID.
120 Booting and Installing HP-UX on Clients Using the Server

Figure 56 More Info Dialog Box
The Legacy HW Path window is not available on systems running HP-UX 11i v2 and earlier. The
Legacy HW Path will update based on the lunpath hardware path currently selected in the selection
list window. For a concise list of all the legacy hardware paths leading to the device, select the
All Paths... button, only available on systems running HP-UX 11i v3 and later.
Figure 57 All Legacy HW Paths Dialog Box
File System: List Button
Click the selection list button adjacent to File System:, and then select from the list of available file
system architectures.
The list of file system choices that appears is dependent on the hardware architecture of the client.
By default the choices are outlined in the following table and descriptions follow.
Table 9 File System Default Choices
Itanium-BasedPA-RISC
YesWhole Disk with VxFS
YesWhole Disk (not LVM) with HFS
YesLVM with HFS
Configuring the Installation 121

Table 9 File System Default Choices (continued)
Itanium-BasedPA-RISC
YesYesVxVM with VxFS
YesYesLVM with VxFS
For guidelines in planning file system layouts and for disk-management strategies, see the HP-UX
System Administrator’s Guide for HP-UX 11i v3, or Managing Systems and Workgroups: A Guide
for HP-UX System Administrators. Additionally, see the section “File System Tab ” (page 137) for
detailed information on file system configuration.
•Whole Disk (Not LVM) with HFS or VxFS - These selections treat the entire disk as a single unit.
This is the option for hierarchical file system (HFS), or if the disk is 2 or less on PA-RISC. You
can use a 70 disk as a single unit on an Itanium-based system.
•Logical Volume Manager (LVM) with HFS (Hierarchical File System) - This selection formats
single or multiple disk systems to combine the disk space into a single, large disk pool, then
allocates volumes as needed. The root volume and the swap must be on the same physical
volume and are configured in this manner by Ignite-UX. Use the File System tab (see “File
System Tab ” (page 137)) to configure the LVM volumes, or use the values that Ignite-UX computes
for you. For more information, see lvm(7).
•Veritas Volume Manager (VxVM) with VxFS - This selection formats single or multiple disk
systems to combine the disk space into a single, large disk pool under VxVM, then allocates
volumes as needed. The root (/), boot (/stand), and primary swap volumes must be on the
same physical disk and are configured in this manner by Ignite-UX. Use the File System tab
(see “File System Tab ” (page 137)) to configure the VxVM volumes. VxFS enables you to
change file system sizes after installation. With the optional HP OnlineJFS product you can
resize, defragment, or make a "snapshot" of a mounted file system.
•Logical Volume Manager (LVM) with VxFS (Veritas File System) - This selection formats single
or multiple disk systems to combine the disk space into a single, large disk pool, then allocates
volumes from this pool as needed. VxFS is the same as the Journaled File System (JFS). With
the HP VxFS product, you can resize, defragment, or make a "snapshot" of a mounted file
system.
Root Swap (MB)... Button
The amount of root swap space depends on the applications being installed. You can choose to
use the default that Ignite-UX computes based on available memory on the client, or you can click
Root Swap (MB)... and select from the choices that appear in the list. You can also modify the
adjacent field directly by typing in the amount you want. The swap is rounded down to a multiple
of 4 MB or the LVM extent size.
For information regarding computing swap space, see the HP-UX System Administrator’s Guide
for HP-UX 11i v3, or Managing Systems and Workgroups: A Guide for HP-UX System Administrators.
Languages... Button
The languages available with your HP-UX system are listed when you click Languages.... The default
language, which was set when the GUI was started for the first time, appears in the adjacent field.
Select the language you want as the default for the client, if it is other than the current default
language. You can select more than one language by double-clicking on each item. To select a
range of items in the list, you click and hold the mouse button, drag the pointer down within the
dialog box, then click mark/unmark.
122 Booting and Installing HP-UX on Clients Using the Server

Each language has a corresponding locale (language variant), which describes the system
management of a language for doing the following:
•Messaging
•Representing numbers
•Displaying monetary values
•Telling time
•Generating characters
•Sorting text
Click Default Language... to see the Default Language Choices (Figure 58). They are listed in two
columns: Language and Locale. Each language may have more than one way of representing itself
on the system. If this is the case, there will be multiple locale entries for the same language.
Figure 58 Languages Dialog Box
The locale determines how languages are activated, and are reflected adjacent to Code Set:, as
follows:
•ASK_AT_FIRST_BOOT enables you to leave the language setting open (unset) until the client
system is first booted. At that time, you are prompted. The language setting will be performed
as part of the initial system configuration.
•SET_NULL_LOCALE creates a NULL language environment leaving the locale variables, such
as LANG and LC_ALL, unset by default. With no locale set, programs execute without using
localized message catalogs, which can increase system performance. All HP-UX programs
operate in the Clocale and messages appear in English.
For information regarding other methods of setting the language environment, see geocustoms(1M)
and HP CDE Getting Started Guide.
Keyboards... Button
Click this button to select the type of keyboard to be used on the client. Otherwise, the default
selection is used.
The selected keyboard language name is stored in the /etc/kbdlang file. If you have incorrectly
set the language, you can quickly recover by removing this file.
Configuring the Installation 123

Additional... Button
Click Additional... to select among certain preconfigured use models and variables from your
current configuration files. The buttons available are determined from the variables in your
configuration file and enable you to choose a setting for each variable.
If for example you are using LVM, you will see selections for easily setting up multiple disks, the
default LVM version, striping, and file system creation. The default value for the Default root group
LVM version... is 1.0. Verify Signature option is not supported. In order to verify signature prior
to Ignite refer to section Verifying Signatures of Signed Software, in Software Distributor
Administration Guide
For more information, see instl_adm(4).
Figure 59 Additional Configuration Controls Dialog Box
The example Additional Configuration Controls dialog box below illustrates the options for a
different system. Systems with firmware hyperthreading have it enabled by default.
124 Booting and Installing HP-UX on Clients Using the Server

Figure 60 Additional Configuration Controls Dialog Box 2
Software Tab
Use the Software tab to choose from the applications you configured when you set up your Ignite-UX
server. You can access a specific depot and you can change depot locations. This display does
not dynamically update from a newly selected depot. When you choose a new depot, it must be
identical in content to the current one. If not, use make_config on the Ignite-UX server to configure
the new depot prior to invoking Ignite-UX.
An example of what you might see on the Software tab is shown in Figure 61 for HP-UX 11i v1
and 11i v2 systems, and Figure 62 for HP-UX 11i v3 systems.
Configuring the Installation 125

Figure 61 Software Tab for HP-UX 11i v1 and 11i v2
Figure 62 Software Tab for HP-UX 11i v3
Category
Select a topical category to display the products that are available. When All is selected, all
software bundles in the depot are displayed. Selecting a category other than All will shorten the
list. Additional categories may be visible if defined by any custom configuration files.
126 Booting and Installing HP-UX on Clients Using the Server

Starting with HP-UX 11i v3, software bundles are organized by the categories "optional",
"recommended", and "required", instead of "selectable", "default-installed", and "always-installed".
See the HP-UX Installation and Update Guide available from http://www.hp.com/go/
hpux-core-docs for a detailed description of the software bundles and OE structure in your
version of HP-UX.
Note that Ignite-UX is in the "selectable" or "optional" category. If you want Ignite installed on the
client system, you must select it for installation.
You can select all software in the optional category by marking the "-OE- Optional" product, and
all software in the recommended category by marking "-OE- Recommended".
Product
Click on a product in the list to select it. To change the status in the Marked ? column, use the
Mark/Unmark Selection(s) button, or double-click the product. If you attempt to unmark a product
that must be installed, you will get message similar to the following:
Figure 63 Software Cannot be Unselected
The Marked ? column status can be:
Required Selected and cannot be unselected.
Yes Selected and can be unselected.
No Unselected and can be selected.
Unavail Unselected and cannot be selected.
For more information, see instl_adm(4).
Your ability to select and deselect installation software is dependent upon what type bundle the
software is in (for example, "Required") and other software selections you have made. See the
HP-UX Installation and Update Guide available from http://www.hp.com/go/hpux-core-docs
for a detailed description of the software bundles and OE structure in your version of HP-UX.
Sort by... List Button
Select a column by which the product listings will be sorted. By default, the listings are sorted by
Product. You can also perform a two-level sort. For example, you can sort first by Product and then
by Marked to see all the products that are marked Yes listed in alphabetical order, followed by
all the products marked No listed in alphabetical order.
Mark/Unmark Selection(s) Button
Select this button to change the Marked ? status of the selected product.
Change Depot Location... Button
Select this button to change the location of the depot from which you are selecting software.
Changing the depot location changes the source depot for all products. The following note is
displayed when you click this button:
Configuring the Installation 127

Figure 64 Change Depot Location Note
Ignite-UX does not dynamically update from a newly selected depot. When you choose a new
depot, it must be identical in content to the current one. If the new depot is not identical to the
current one, use make_config on the Ignite-UX server to configure the new depot prior to invoking
Ignite-UX.
Use the Change Depots Locations dialog box to select a different depot.
Figure 65 Change Depots Locations
Use the Server: and Depot: text boxes to identify the new depot. Click Modify to update the depot
information within the dialog box. Click OK to commit the modifications to the Ignite-UX server.
If you are installing from a golden image, the Change Depot Locations dialog box allows you to
modify the archive server and the archive path.
If patches are kept in a separate depot, by default they are installed after the operating system. If
there are multiple application depots to be installed, you may need to specify the installation order
for the patches in a configuration file. For more information see, “Using Configuration Files”
(page 158).
IMPORTANT: Inclusion of multiple versions of Veritas Volume Manager from Symantec (VxVM)
in the same installation depot, or in separate depots that are used together in a single new
installation session, is not supported. Doing so renders it unusable and generates errors when
attempting to use the installation depot, or in the case of non-SD depots during the reboot attempt.
For more information, see “Considerations When Using Veritas Volume Manager from Symantec”
(page 190).
Interactive swinstall An interactive swinstall session allows you to select a depot, change
installation options, and perform other software installation tasks from the console window
immediately before the software load phase of the installation. After selecting an interactive
swinstall session, the following message will be displayed.
128 Booting and Installing HP-UX on Clients Using the Server

Figure 66 Interactive Swinstall Notes
NOTE: For systems running HP-UX 11i v3 and later, swm (Software Manager) Will be used
instead of swinstall. References to swinstall by Ignite-UX can mean either swm or
swinstall, depending on the release. On systems running HP-UX 11i v3 and later, see swm(1M)
for more information.
The installation will be interrupted at the start of the software load phase, and the following message
will be displayed on the console screen.
Figure 67 Entering Interactive Swinstall
During interactive swinstall, you can choose a server, a depot, and individual bundles for
installation. Scroll through the list using the arrow keys, and select a new depot for software
installation by pressing the space bar. (Navigation help is always displayed at the bottom of the
screen.)
Figure 68 Interactive Swinstall Depot List
Configuring the Installation 129

After selecting a depot, press nto view the software available within the depot.
Figure 69 Interactive Swinstall Bundle List
Select or deselect individual bundles with the space bar. Press ito continue the Ignite-UX installation.
If you press x, you will receive this message: Would you like to exit, save or continue
the job? [x]/s/c
Press cto return to the swinstall session.
Ignite-UX will check to ensure you have loaded some basic software, but in general, exiting without
installing is not recommended.
System Tab
Use the System tab to specify the information unique to this client such as the hostname, IP address,
root password, and the time zone.
130 Booting and Installing HP-UX on Clients Using the Server

Figure 70 System Tab
Final System Parameters List Button
You can choose to set the System tab parameters now or at the first boot of the client. If you select
first boot, you do not need to modify any parameter on the System tab now.
DHCP Managed Primary NIC Selection
This check box is used to control whether the primary network interface is configured using
information obtained via DHCP (Dynamic Host Configuration Protocol). When this is selected, the
IP Address and Subnet Mask fields are not shown.
Hostname Text Box
Your client must have a unique system name. A hostname must fulfill the following conditions:
•It should contain more than 8 characters and less than 31 characters, for compatibility with
the uname command.
NOTE: Disks configured with VxVM volume manager supports hostname upto 32 characters
(including the terminating null).
•It must contain only letters, numbers, underscore (_), or hyphen (-).
•It must start with a letter. Uppercase letters are not recommended.
For more information, see hostname(1).
IP Address Text Box
Use this field to enter the IP address in the form: n.n.n.n, where each nis a number 0through
255.
To determine the IP address of an existing system, use nslookup. For example, if the hostname
of the client is test, enter the following:
#nslookup test
Name Server: server.corp.com
Configuring the Installation 131

Address: 10.1.48.11
Trying DNS
Non-authoritative answer:
Name: test.corp.com
Address: 10.1.50.12
#
You can also use ping to determine the hostname, the IP address of a system, and if a given IP
address is already in use. If you are in doubt, be sure to coordinate IP address allocation with
your network administrator.
IMPORTANT: Do not inadvertently use the IP address of the name server. Your network could
stop functioning; results are unpredictable.
Subnet Mask: Text Box
This field sets the subnet mask for the client system. The subnet mask is typically provided by your
network administrator, and is in the form of an IP address or a corresponding hex number. For
example:
255.255.248.0 or 0xfffff800
or
255.255.255.0 or 0xffffff00
Time, Day, Month, and Year: Text Boxes
The time and day that is displayed for the client is dependent on the installation method. If you
are installing from the server, the time is synchronized with the server; if you are installing from
the client, it is set using the client’s hardware clock. If necessary, enter information for the Time,
Day, and Year fields: For time, use the 24 hour format: hh:mm.
Select the correct month by clicking the adjacent list button, and then selecting from the list. Edit
other fields by using the Backspace and Delete keys.
The time you set is automatically adjusted if you select a different time zone using the Set Time
Zone... button described below.
Set Time Zone Button
Click this button to display the time zone selections, as illustrated in Figure 71. Use the General
Locations list button to select the client’s location, and then select the time zone. Click OK to set
the value. The time and date on the System tab are adjusted to reflect the new time zone, and the
TZ environment variable is set.
Figure 71 Set Time Zone Dialog Box
132 Booting and Installing HP-UX on Clients Using the Server

Set Root Password...
To ensure the security of the client system, create a password for the root account by clicking this
button. The Set Root Password dialog box is displayed, as shown in Figure 72.
Figure 72 Set Root Password Dialog Box
To strengthen security, HP recommends that you observe the following requirements when setting
a password:
•The password should be eight characters long.
•Characters should be from the English alphabet.
•The password should contain at least two uppercase letters, two lowercase letters, and at least
one numeric or special character.
•Avoid the use of the @ special character; if it must be used, you must use the syntax \@.
NOTE: Ignite-UX uses the crypt library function to encrypt the entered password. As such, the
root password is truncated to eight characters, maximum. See crypt(3C) for more information. This
limits passwords entered interactively for client recoveries of trusted systems to eight characters,
even if a longer one had been in place before the recovery. If the root password is not changed
interactively, the old one is retained with its original length.
Network Services... Button
Click this button to configure the network services available to the client.
Configuring the Installation 133

Figure 73 Network Services Tabs
Static Routes. If your network is divided into subnets, you will probably need to specify a gateway
system to reach other subnets:
•Destination - The field has the word "default" or the IP address of the destination network.
•Gateway - This is the IP address of the device connecting your network to the remote network,
or your own IP, if wildcard routing is used.
•Destination Hop Count - If your gateway IP address is not the same as the IP address of your
clients, this is usually set to 1. If your gateway IP address is the same as your client IP address,
then the destination hop count is 0.
After you complete the appropriate fields on this tab, click Add or Modify to save the information.
For more information, see routing(7).
Figure 74 DNS Tab
DNS. On the DNS tab, you can configure the domain name (an extension to the hostname, such
as xx.corp.com) and the IP address of the domain name server.
134 Booting and Installing HP-UX on Clients Using the Server

Recovery over the network requires the domain name and DNS server IP address to be set for the
client now, unless the Final System Parameters list button on the System tab is set to Ask at first
boot.
The list of DNS servers by IP address is populated if they are predefined on the Ignite-UX server.
Use the nslookup command on a running system to find this information if you need to add a
DNS server to this list. Enter the IP address of the name server in the DNS Server IP Address text
box.
Use the Add,Modify, and Remove buttons to modify this list directly.
Additionally, you can use the DNS Search... button to set optional DNS domains to be searched,
as shown in Figure 75.
Figure 75 Set DNS Search Domains Dialog Box
The domains in this search list are used for hostname lookups. Up to six search domain entries are
enabled, with a syntax like xx.corp.com. For the search to work properly, the first entry in the
list should be the local domain for unqualified hostnames.
You can add to or modify the domains to be searched by entering the text in the Search Domain
field and clicking the appropriate button, Add or Modify. To remove a domain, select it from the
list and click Remove.
NOTE: The domain and search options are mutually exclusive, though both can be specified. If
they are both specified, the search option is written out last and takes precedence.
For more information, see resolver(4), Installing and Administering NIS Services or HP-UX IP Address
and Client Management Administrator's Guide.
Configuring the Installation 135

Figure 76 NIS Tab
NIS. It is common for the nonserver hosts in a network to be NIS clients. Whenever a process on
an NIS client requests configuration information, it calls the NIS server instead of looking in its
local configuration files. The set of configuration data maps shared by the servers and clients is
called the NIS domain.
For more information, see domainname(1), domainname(1M), and Installing and Administering
NIS Services.
Figure 77 XNTP Tab
XNTP. The xntpd daemon maintains system time, in agreement with Internet standard time servers.
For more information, see xntpd(1M).
Additional Interfaces(s) Button
Click this button on the System tab to identify additional LAN interface cards that exist in the client.
You can add or change IP and subnet information as needed, and designate the primary LAN
interface to be used.
136 Booting and Installing HP-UX on Clients Using the Server

Figure 78 Network Interface(s) Dialog Box
1. Select an Interface card from the selection list.
2. Select DHCP Managed if you want the selected interface configured using information obtained
via DHCP. When this is selected, the IP Address and Subnet Mask fields are not shown.
3. Enter or modify the IP Address: as needed; this is not required with DHCP Managed.
4. Enter or modify the Subnet Mask: as needed; this is not required with DHCP Managed.
5. Select Primary Interface, depending on the status you want for the selected interface. If the
client has more than one interface, the Primary Interface will be associated with the hostname
of the system in /etc/hosts.
6. Click Modify when you have finished updating each interface.
Security Choices...
Click this button on the System tab to invoke the Security Choices dialog box. This button is available
only if you have install-time security available in your configuration. The install-time security choices
allow you to choose from several predefined security levels, thereby hardening the system. If you
select a security choice, be sure to set the root password before you click Go!, or your system may
be vulnerable.
Figure 79 Security Choices Dialog Box
File System Tab
The File System tab enables you to do a variety of file system and disk configuration tasks. Its
appearance depends on your file system selection on the Basic tab. The example in Figure 80
illustrates what you would see if you had selected LVM on a PA-RISC client.
Configuring the Installation 137

Figure 80 File System Tab
IMPORTANT: The information appearing on this tab is tailored to the operating system release
and hardware architecture. HP recommends that extreme care be exercised when altering these
values.
Adding or Changing a File System Configuration
Adding a new file system or changing an existing one are similar actions in that the same
information is needed for both.
IMPORTANT: Renaming or changing the disk file system structure causes the old file system on
that disk to be lost.
To add or change any of the file system configurations, use the following steps:
1. Select a file system from the list. To view all of the available information for the file system,
you can use the horizontal and vertical scroll bars, or resize the dialog box.
2. Enter or change information using the following buttons or fields, and then click Add or Modify.
You will lose your changes if you move to another tab without clicking Add or Modify.
Usage: Click the selection list button adjacent to Usage: to choose from the list of
file system usage types. The available choices are HFS, VxFS, SWAP, Unused,
DUMP, and SWAP+DUMP. In general, HP recommends the use of VxFS.
Group: Click the selection list button adjacent to Group: to select the appropriate
volume group name for the selected file system.
To add a new/unused disk and give it a different volume group name or
create a new volume group, use the Add/Remove Disks... button.
If you want to reconfigure the volume group in general, including renaming
it, click Additional Tasks and then select Group Parameters to supply a custom
group name and to change other disk parameters.
138 Booting and Installing HP-UX on Clients Using the Server

Mount Dir: Modify this field to set the root disk, using the standard HP-UX mount
directory designations (/,/usr,/stand,/var,/opt, etc.). You can also
specify your own mount points, such as /special or /apps.
Avail: Displays the available disk space on the currently selected volume group.
Size: The Size: selection list is used to select the type of sizing, and the text field
allows you to enter the size value. The Avail: display shows the unallocated
disk space in the volume group currently selected. Changes will be reflected
in the Size(MB) and Size Type columns of the file system list window after
Add or Modify is selected.
Note that although you can change the size of file systems, Ignite-UX enforces
minimum sizes and modifies the sizes upward if required. These sizes are
based on the size of the software to be installed and the size defined for the
file system.
For information on file system size limitations, see the following documents:
•For HP-UX 11i v3 LVM, see the appendix LVM Specifications and
Limitations in the document HP-UX System Administrator's Guide (volume
3): Logical Volume Management available at http://www.hp.com/go/
hpux-core-docs.
•For VxFS on all versions of HP-UX, see the white paper Supported File
and File System Sizes for HFS and JFS available at http://www.hp.com/
go/hpux-core-docs.
•For HP-UX versions earlier than 11i v3, see the section Planning to
Manage File Systems in the document Managing Systems and
Workgroups: A Guide for HP-UX System Administrators, available at
http://www.hp.com/go/hpux-core-docs.
The types of sizing available are:
Fixed MB - The selected file system is set to the size entered in the text field.
All Remaining - The selected file system automatically takes over all remaining
file system space on the disk or volume group.
Free MB - This selection is useful when you know how much free space you
want the volume to have after the system is installed. The size of the volume
will be the specified Free MB amount plus the amount required for the selected
software.
Free % - This category is similar to free size, but is expressed in percent. It
is used if you know how full you want the volume to be in percentage of the
volume size. If you indicate 20 percent, then the volume would be 80 percent
full after the installation of the selected software.
Range MB - Select this category in the list to set a maximum size for the file
system (the minimum is determined by the software selected for the file
system). The /usr file system must have sufficient space to accommodate
an operating system update. The absolute minimum is 324 MB for a 64-bit
system. See the installation guide supplied with your release of HP-UX.
IMPORTANT: Changes are not saved until you click Add or Modify. If you make any changes
and then select another tab without using one of these buttons, your changes are not applied and
are lost.
Additional requirements for specific file system layouts are as follows:
Configuring the Installation 139

Table 10 Volume Requirements for LVM and VxVM
Volume RequirementsVolume Manager
LVM •One of the volumes must be root (/).
•A swap volume (primary) is required.
•Directory names must have valid HP-UX names (for example, /usr or /database).
VxVM •One of the volumes must be root (/). A root volume group will always be created
with VxVM version 3.5.
•One of the volumes must be boot (/stand) with HFS usage.
•A swap volume (primary) is required.
•Directory names must have valid HP-UX names (for example, /usr or /database).
Removing a File System
To delete any of the file systems listed on the tab, select the mounted directory and click Remove.
Add/Remove Disks... Button
Selecting this button invokes a dialog box that enables you to do the following:
•Determine your current disk usage.
•Change the volume group a disk is assigned to.
•Add a new disk, configure a mount directory, add the disk to a volume group, and assign
swap value.
•Remove a disk by designating the usage as “None”. This also protects the disk from being
overwritten by this installation.
Figure 81 Disk Selection - Add/Remove Disks Dialog Box
To change, add, or remove a disk from the client:
1. Select a disk from the list. The Path/Location window displays a great deal of information,
but you have to scroll horizontally to see all the fields. The fields displayed in the Path/Location
window are: Path/Location, Usage, Group, Size, Model, WWID, Existing (preexisting data),
Legacy Path, and Device ID. See “Root disk... Button” (page 119) for instructions on using the
View By: and Filter: items. See “Root disk... Button” (page 119) for instructions on using the
140 Booting and Installing HP-UX on Clients Using the Server

More Info dialog box. For information on supported devices, see “Supported Peripherals ”
(page 23).
2. Click the Usage: selection list button to select a different use for this disk or None to remove
it. Depending on your selection, other fields and buttons appear. For example, selecting VxVM
results in the appearance of the Disk Group:... button and associated field.
3. Select Modify to execute your changes.
4. Select OK when you are finished and to return to the File System tab.
---- Additional Tasks ---- List Button
This button enables you to configure advanced information, if necessary, in the following categories:
•“Disk Parameters”
•“File System Parameters”
•“Volume Parameters”
•“Group Parameters”
The selection of one of these categories results in a change to name of the button and a dialog
box that enables you to change the parameters associated with the chosen category appears.
NOTE: Dialog box choices differ depending on the file system choices you made on the Basic
tab.
Disk Parameters
Disk Parameters - Follow these steps to further define the tracks per cylinder or revolutions per
minute for each disk on the client using the Disk Parameters selection of the Additional Tasks button.
Additionally, you have the option of initializing each disk.
NOTE: HP recommends that you do not modify Trks/Cyl: or Disk RPM: or enable Media Init: to
be run. Modern disk drives do not gain any benefit from setting tracks per cylinder or the disk
rotations per minute, and they automatically exclude defective sectors from use. If you experience
read/write errors on a disk, consider replacement of the disk. In addition, because modern disk
drives are so large, running Media Init: to initialize the disk literally takes hours and does nothing
useful.
1. Click ----Additional Tasks---- and select Disk Parameters.... A dialog box similar to the one in
Figure 82 appears.
Figure 82 Advanced Disk Parameters Dialog Box
2. Highlight a disk in the selection list to select it.
Configuring the Installation 141

3. Configure the Trks/Cyl: (tracks and cylinder) and Disk RPM: fields by direct editing, as needed.
The default values are recommended because these values are predetermined for each
supported disk device.
4. Click Modify to implement all changes.
5. Click OK when you are finished and you are returned to the File System tab.
For more detailed information regarding these disk parameters, see mkfs_vxfs(1M) and mkfs_hfs(1M).
File System Parameters
File System Parameters - Several file systems are already defined by Ignite-UX, but you can modify
them as follows to suit your environment.
1. Click ----Additional Tasks---- and select File System Parameters.... A dialog box similar to the
one in Figure 83 appears.
Figure 83 Advanced File System Parameters Dialog Box
2. The values that appear are specific to the file system type and can vary. Modify the values as
needed.
The VxFS Version list button is available when a VxFS file system is selected. For client using
HP-UX 11i v2 or later, use this option to specify the version of the VxFS file system to create
for a mount point. If Default is selected, then a value of 5 will be used.
IMPORTANT: Do not enable largefiles on the boot file system. HP does not support doing
this, and Ignite-UX will not allow an installation or recovery to proceed while largefiles are
enabled on the boot file system.
NOTE: HP does not recommend setting a value of rotational delay for HFS file systems.
Setting this value typically does not provide any benefit with modern disk drives.
For specific information regarding the use of these parameters, see mkfs(1M), newfs_hfs(1M),
mkfs_hfs(1M), and tunefs(1M).
3. Click Modify to implement all changes.
4. When you finish modifying all values, click OK to return to the File System tab.
Volume Parameters
Volume Parameters - Follow these steps to modify the default volume values and perform detailed
volume configurations for LVM and VxVM file systems.
142 Booting and Installing HP-UX on Clients Using the Server

1. Click ----Additional Tasks---- and select Volume Parameters.... A dialog box similar to the one
in Figure 84 is displayed, which is an example of an LVM volume.
Figure 84 Advanced Volume Layout Dialog Box
2. Modify the following values as needed:
Cont Alloc: This sets the contiguous allocation policy. A contiguous logical volume
has these characteristics:
•Physical extents are allocated in ascending order.
•No gap is enabled between physical extents within a mirror
copy.
•Physical extents of any mirror copy all reside on a single physical
volume.
•The root volume (/), the boot volume (/stand), dump volumes,
and primary swap must always be created with Cont Alloc set
to Yes.
Stripes:... If two or more disks are in the volume group, then you may enable
data striping over multiple disks for performance purposes.
Stripe Size: Configure this if you have at least two disks in a volume group. The
first drop-down allows you to configure the unit, and the second
drop-down allows you to configure the size. The default stripe size
is equal to the file system block size, which is normally 8 KB.
B-block Relo: Bad-block relocation is a mechanism that, when a disk defect is found,
attempts to relocate the failing block to another location on the disk.
This is the default behavior when a logical volume is created though
it is not supported for root,swap, or dump logical volumes.
Vol Name: Enter the name you want for the selected volume.
Disk Mapping... Displays a dialog box that enables you to restrict the disk drives on
which the volume data will reside. Normally, the data will be
allocated over these disks sequentially.
For more information, see lvcreate(1M) for LVM or vxassist(1M) for VxVM.
3. Click Modify to implement all changes.
4. When you have finished modifying all values, click OK to return to the File System tab.
Configuring the Installation 143

Group Parameters
Group Parameters - You can set additional volume group parameters as follows to further define
volumes.
1. Click ----Additional Tasks---- and select Group Parameters.... A dialog box similar to the one
in Figure 85 appears, which is an example of an LVM group layout.
Figure 85 Advanced Group Parameters Dialog Box
2. Modify the following values as needed:
•LVM Version: — 1.0 or 2.2. The default value can be set via the Basic tab “Additional...
Button” (page 124) Default root group LVM version... button.
•Group Name: — Use to rename existing volume groups.
•Tot Size: — Total size of all volumes in MBs.
•Phys Ext Size: — Physical extent size in MBs.
•Max Phys Exts: — Maximum physical extents.
•Max Vols: — Maximum number of logical volumes.
•Max Phys Vols: — Maximum number of volumes.
For more information, see vgcreate(1M) for LVM or vxassist(1M) for VxVM.
3. Click Modify to implement all changes.
4. When you have finished modifying all values, click OK to return to the File System tab.
Advanced Tab
You can use the Advanced tab, as shown in Figure 86, to activate any HP or custom scripts that
you might want to run on the client after the installation has completed. For example, you could
include a script to install additional software from other depots, or one that contains specific system
configuration changes for the intended use of the client.
Two different lists appear on this tab, Scripts to be Executed: and Available Scripts:.
The scripts that populate the Available Scripts list are derived from the /var/opt/ignite/data/
INDEX file clauses identified by the scripts keyword. When you add new scripts to the /var/
opt/ignite/data/INDEX file using manage_index, they are automatically added to this list
and are available for use the next time you invoke the Ignite-UX GUI. For example, if you want to
add a script called run_fsck located in /var/opt/ignite/scripts, you would use the
following command:
manage_index -a -s "/var/opt/ignite/scripts/run_fsck"
For more information, see manage_index(1M).
144 Booting and Installing HP-UX on Clients Using the Server

Populate the Scripts to be Executed: list by adding or removing scripts from the Available Scripts:
list. Descriptions for each action follow.
Figure 86 Advanced Tab
Adding a Script
To add a script for Ignite-UX to execute after the installation, select the item from Available Scripts:
column, then click <---Add---.
For more information regarding the use of scripts to automate Ignite-UX tasks, see Chapter 12:
“Customizing Your Installation” (page 158), and see instl_adm(4). See also the Ignite-UX Custom
Configuration Files document, available at
http://www.hp.com/go/ignite-ux-docs.
Removing a Script
To remove a script, select it in the Scripts to be Executed: list, then click -Remove->. The item is
removed from the list and is not executed after the installation.
Repeat an Installation
Once you have successfully installed a client, you have built a repeatable client installation
configuration. You can choose to use any past configuration to install or reinstall a client. This
method requires no intervention, which enables you to launch multiple installations quickly.
Begin a repeat installation by selecting Actions→Install Client→Repeat Install from the Ignite-UX
GUI. The Repeat Install dialog box is then displayed.
Configuring the Installation 145

Figure 87 Repeat Install Dialog Box
The Configuration File list (Figure 87) is populated by the last installation configuration, and all
those that you have created using the Save As...button that is on all of the installation configuration
tabs. These saved installation configurations are stored in /var/opt/ignite/saved_cfgs/.
If there are no saved configurations, the Repeat Install action is not available and you must begin
a new installation as described in “New Installation” (page 116).
Select one of the configurations listed by clicking on it, then click OK. Ignite-UX begins the installation
process with a confirmation query to alert you that the clients appearing in the Selected Clients list
are about be installed. Confirm or cancel the installation of the listed clients using the appropriate
button.
Executing the Installation
After selecting Go! to initiate a new installation, and also after confirming a repeat installation,
Ignite-UX executes a preinstallation consistency check to identify any errors that must be corrected
before the installation occurs (Figure 88).
146 Booting and Installing HP-UX on Clients Using the Server

Figure 88 Installation Confirmation Dialog Box
The confirmation dialog box lists disks that are to be written to during the installation process, and
a preinstallation analysis log of any notes, warnings, or errors.
•If you do not want to proceed with the installation at this time, click <Back.
•View the preinstallation analysis using the scroll bars. Be sure to inspect all of the information
and ensure that the correct disk is identified for installation.
•All listed errors must be corrected before you can proceed with the installation.
After you have reviewed all of the information and determined whether or not the client installation
can continue, click Go!.
As the installation proceeds, a Client Status... dialog box is displayed to allow monitoring of the
installation progress.
Executing the Installation 147

Figure 89 Client Status... Dialog Box
The information is updated automatically as the status of the client changes.
You can view specific installation information using the View Logfile... button, which invokes a
dialog box displaying the log file as it is written to during the installation.
148 Booting and Installing HP-UX on Clients Using the Server

Figure 90 Installation Log File
Carefully review the scrolling status information for errors. Continuous scrolling is the default
behavior. Toggle scrolling on and off with the Automatic Scrolling checkbox.
The complete installation log is available on the Ignite-UX server in
/var/opt/ignite/clients/hostname/install.log.
NOTE: Because errors can occur during the installation that result from other components within
HP-UX, all errors may not be written to this log file.
Viewing and Printing a Manifest
Ignite-UX creates a manifest for each client upon the successful completion of the HP-UX installation.
This manifest details all of the installation information for the selected client. Use it to ensure that
the installation executed as expected with all software installed, and to keep a record of each
client installation.
The manifest is available for viewing from Ignite-UX, and is saved to files on the server and the
client.
The client installation manifest contains the following information:
•System Information
•System Hardware
•Installed Software
•File System Layout
•Disk Layout
•Swap Configuration
•Kernel Configuration
View the manifest from the Ignite GUI by selecting the client, and then clicking Actions→View/Print
Manifest.
Viewing and Printing a Manifest 149

A manifest file for each installed client is saved on the Ignite-UX server in:
/var/opt/ignite/clients/client/manifest/manifest.info, and on the client in:
/var/opt/ignite/local/manifest/manifest.info.
To print the system manifest from the Ignite-UX server command line, enter:
print_manifest
The ASCII file is printed to stdout using format instructions from the manifest template file. For
more information, see print_manifest(1M).
An example manifest is shown below.
Figure 91 View/Print Manifest Dialog Box
150 Booting and Installing HP-UX on Clients Using the Server

11 Golden Images
Agolden image is a combination of a golden archive (an archive with files set to the newconfig
state) and a configuration file describing a system’s disk layout and file system. A golden image
is used as a common configuration to install systems. The compressed golden archive format can
be tar,cpio, or pax. (To use the pax format with 11i v2, you must have the PAX-Enh™ product
installed. The pax format is not available for 11i v1.)
Ignite-UX does not require the creation of golden images, but they are a very powerful tool for
system administrators.
Golden images allow:
•Increased installation speed versus using swinstall, the command used by Ignite-UX when
installing software from SD depots.
•Exact replication of a customized system configuration to clients.
•Mass deployment of a customized system configuration to clients.
•Disaster recovery at the newconfig level.
This chapter assumes you are creating a golden image to be stored on the Ignite-UX server via the
network. If you wish to create golden image media, see Chapter 14 (page 177).
Advantages of Golden Images
In addition to supporting the standard software installations from an SD depot, Ignite-UX supports
installing from known-good local system images, called golden images. This method recognizes
that many clients in a network might be almost identical. You can take advantage of this fact by
building an image that contains all of the software you want installed, plus configuration files, and
then using Ignite-UX to install it.
This approach can have several advantages:
•Because the compressed system image is unpacked directly to disk over the network, the
installation process can be much faster than an equivalent process using SD. The time savings
depends on the size of the installation and the capacity of the network, but a typical golden
image can be extracted in about 20 minutes compared to about an hour for an SD install.
•Instead of troubleshooting a client, it is often more cost-effective to completely reinstall the
operating system with a golden image.
•When coupled with dataless nodes (all volatile data is on a separate file server), system
replacement or move time is drastically reduced.
•Once a golden image has been created, it is simple to apply it to multiple clients. Very little
or no user interaction is required during subsequent installs, reducing the chance of error.
Building a golden image is done by setting up a single system the way you want all of your systems
to look, and then creating an image of that system. Follow the instructions below to set up the first
system.
Creating a Golden Image
In general, the golden image is created from a golden system configured with all the software and
customizations needed to distribute it to a group of clients. The golden image can be saved to
media and installed on individual systems, or the golden image can be stored on another system
and installed remotely over the network.
If a golden system already exists, proceed to “Configuring the Ignite-UX Server to Recognize the
Golden Image” (page 154).
Advantages of Golden Images 151
To create a golden system, follow the steps described in this section:
•“Installing the HP-UX Operating System ” (page 152)
•“Installing Critical Patches onto the Operating System” (page 152)
•“Installing Optional Software” (page 153)
•“Customizing the System ” (page 153)
•“Creating the Golden Archive” (page 153)
Once you have a system with the base operating system, you may choose to place patches,
applications, kernel configurations, etc. on the system, or just include the core operating system.
In our example, we only include the HP-UX 11i v1 core operating system.
Ignite-UX is capable of installing software from SD depots. You might want to use this capability
when setting up your golden system. See “Setting Up Additional Software on the Server” (page 40)
for more information.
Installing the HP-UX Operating System
Although this can be performed without an Ignite-UX server by using swinstall from media, this
example of an HP-UX 11i v1 installation uses a network depot as the software source.
1. On the Ignite-UX server, set up the 11i v1 core operating system to be distributed. Enter the
following commands:
# /opt/ignite/bin/make_depots -r B.11.11 \
-s server:/depots/11.11/B5725AA
where server is the name of the server on which the depot is located.
# /opt/ignite/bin/make_config -r B.11.11
The make_depots command copies the HP-UX 11i v1 (B.11.11) software from the SD depot
pointed to by the -s option (the pathname depends on the location of the SD depot you are
accessing) to the local Ignite-UX server.
The make_config command then adds this software as a configuration available for Ignite-UX
installations. You can run make_config and point it to the remote depot directly, if you
prefer.
2. Prepare the client system for installation by booting the client:
•If the client is currently running HP-UX, boot the system from the server by entering
# bootsys -v -w -f -i "HP-UX B.11.11 Default" \
client_hostname
where client_hostname is the name of the client.
•If the client is not currently running HP-UX, boot the system from the client console. See
“Booting Itanium-Based Clients using the Network” (page 100) or“Booting PA-RISC Clients
from the Console ” (page 99), depending on the system type.
3. Install the client with the core operating system configuration you have just set up and continue
with the next section.
Installing Critical Patches onto the Operating System
At this point, you should have a client installed with the basic HP-UX release – in this example,
HP-UX 11i v1. If you have patches to distribute to all users, install them now. This is normally done
using the standard SD tools.
For example, to install patch PHCO_34240:
1. Download and use unshar PHCO_34240 to obtain two files: PHCO_34240.depot
PHCO_34240.text
152 Golden Images

2. Install the patch non-interactively:
# swinstall -x autoreboot=true -x match_client=true \
-s /PHCO_34240.depot
This assumes you have already met the dependencies of PHCO_34240. These instructions can
also be found in the PHCO_34240.text file.
For more information, see the Patch Management User Guide for HP-UX 11.x Systems and the
HP-UX Software Assistant Administration Guide, available at http://www.hp.com/go/swa-docs.
Installing Optional Software
Load any optional HP and third-party software you want to make available to all clients. Keep in
mind that anything you install is distributed to all clients installed using the golden image. Keep in
mind any licensing restrictions.
To install HP software from media or a network depot, you normally use Software Distributor (SD)
tools. Third-party software installation varies depending on the vendor.
IMPORTANT: Inclusion of multiple versions of Veritas Volume Manager from Symantec (VxVM)
in the same installation depot, or in separate depots that are used together in a single
cold-installation session, is not supported. Doing so renders it unusable and generates errors when
attempting to use the installation depot, or in the case of non-SD depots during the reboot attempt.
For more information, see “Considerations When Using Veritas Volume Manager from Symantec”
(page 190).
Customizing the System
Perform any customizations you want to distribute to all clients. These might include customized
CDE login dialog boxes, base /etc/passwd files, manpages, and corporate-wide default DNS
and NIS setup. Do not include system, workgroup, or site-specific customizations such as gateways,
user accounts, and machine-specific networking; these are taken care of by Ignite-UX later.
Creating the Golden Archive
Use the next steps to create the golden archive from the golden system, and configure the Ignite-UX
server to use it. The make_sys_image command creates the golden archive. For more information,
see make_sys_image(1M).
IMPORTANT: Do not use the golden system while make_sys_image is running; the
make_sys_image command modifies files with host and networking information.
1. Use ftp or a similar command to copy the /opt/ignite/data/scripts/
make_sys_image script from the Ignite server to /tmp on the golden system.
NOTE: You don't have to install the full version of Ignite on the golden system to create a
golden image; only the make_sys_image script is necessary.
2. Set the permissions of /tmp/make_sys_image so you can execute it.
# chmod +x /tmp/make_sys_image
NOTE: By default, make_sys_image stores the archive in the /var/tmp directory. You
can have make_sys_image save the archive to a remote server. Either method requires
sufficient disk space to hold the archive. The amount of disk space is approximately one half
the amount of data contained on your system, assuming a 50 percent compression ratio from
gzip.
3. On the Ignite-UX server, create a directory to store the golden archive:
# mkdir -p /var/opt/ignite/archives/Rel_B.11.11
Creating a Golden Image 153

The -p option creates intermediate directories. It is best to store it in a directory of type
/var/opt/ignite/archives/Rel_rel. This directory must be NFS-exported if you are
using NFS to transfer the archive to the client.
4. If you do not have enough disk space, or you want the archive created on a remote server,
you may use the following options:
# /tmp/make_sys_image -d directory_to_place_archive
-s destination_system_IP_address
5. On the golden system, run:
# /tmp/make_sys_image [options]
By default, this creates a gzip-compressed tar archive in /var/tmp with the name
hostname.gz (where hostname is the name of the client). All specific host information,
device files, log files, and network information are removed.
IMPORTANT: If an error similar to the following appears:ERROR: Cannot remsh server
system_name (check server .rhosts file), you must add the name of the client
to the /.rhosts file on your Ignite-UX server as in the following example entry:
system_name root
The make_sys_image command can build an archive with the tar,cpio, or pax format,
compressed with a selectable compression method. HP recommends using tar (default) for
the archive format and gzip (default) for compression. To use the pax format with 11i v2,
you must have the PAX-Enh™ product installed. The pax format is not available for 11i
IMPORTANT: When using the pax command you should consider the size of your files. Files
included by the pax command with tar and cpio formats must be less than 8 on 11i v2
and v3, and less than 2 for v1. Using the pax format will allow large files in an archive – up
to 2 TB for 11i v2 and up to 16 TB for v3.
Configuring the Ignite-UX Server to Recognize the Golden Image
To create an Ignite-UX configuration file for the golden image, use the example config file /opt/
ignite/data/examples/B.11.11.golden_image.cfg. Other example config files are
available to match the version of HP-UX your golden systems is running:
B.11.23.golden_image.cfg and B.11.31.golden_image.cfg.
1. Create a copy of the example configuration file:
# cp /opt/ignite/data/examples/B.11.11.golden_image.cfg \
/var/opt/ignite/data/Rel_B.11.11/core_archive.cfg
Because the configuration file must be accessible by tftp or NFS, depending on how you've
set up your server, make sure you store it in a directory of type
/var/opt/ignite/data/Rel_rel.
Ignite-UX manages the names and locations of configurations using the /var/opt/ignite/
data/INDEX file (see step 3).
2. Modify the core_archive.cfg file to set up the golden image for NFS transfer. (See the
complete sw_sel and sw_source examples following these instructions. Use values
appropriate for your systems.) Key changes are:
a. In the sw_source clause, change the following line so it has the path to your archive,
including the IP address of your Ignite-UX server. This directory will have to be NFS
exported later.
nfs_source = "10.2.72.150:/var/opt/ignite/archives/Rel_B.11.11"
b. Remove the init sw_sel clauses you will not be using for this golden image.
154 Golden Images
c. In the init sw_sel clause for your golden image, leave the default description or
change it to something representative of your archive.
description = "Archive HP-UX 11.11 CDE"
d. Modify the following line so archive_path resolves to the archive file. This path must
be relative to the path specified by nfs_source in the sw_source clause.
archive_path = "hostname.gz"
e. Add impacts lines in the init sw_sel clause by executing the archive_impact
command and then replacing the example impacts lines with the ones for your archive.
It might be helpful to redirect the output of archive_impact to a temporary file. See
archive_impact(1M) for more information.
# /opt/ignite/lbin/archive_impact -t -g archive_file
f. Review the init sw_sel "English" clause and modify it for the locales you want
available in the golden image.
The format of an entry in the locale list is
"<locale>:<description>"
where <locale> is the name of a locale shown in the output of the locale -a command
run on the golden image system (for example: ja_JP.SJIS). The <description> is
a text string labeling that particular locale. The <description> text string cannot contain
white space; if you need more than one word in the description, use the underscore
character. Locale list entries must be enclosed in double quotes.
For example, the following line would make available any of the Japanese or English
locales on the system:
locale = { "ja_JP.SJIS:Japanese", "ja_JP.eucJP:Japanese",
"ja_JP.utf8:Japanese", "SET_NULL_LOCALE:English", "C:English" }
Never add locales that do not exist in the golden image.
Be aware that by listing a locale, it means that it can be selected via itool. Any locale
present when the golden image is created will still be available on any system installed
using this golden image, whether it is listed or not.
g. For HP-UX v2 and later, you need to uncomment the VxVM version of the golden image,
if the golden image uses a VxVM disk layout. For HP-UX v3, you must uncomment the
version for VxVM or LVM. For example, if the VxVM version on an HP-UX 11i v3 golden
image is 5.0, your configuration file would look like:
########################################################################
# VxVM version keyword
#
# If this file is used for VxVM disk layouts, Ignite-UX needs to be
# told which version of VxVM is included in the golden image so that
# the correct version is created. If this is not set, it defaults to
# version 4.1. If VxVM is not used, then this does not need to be set.
# If VxVM is used, uncomment the correct version below.
########################################################################
# vxvm_version="4.1"
vxvm_version="5.0"
########################################################################
# LVM version variable
#
# If this file is used for LVM disk layouts, Ignite-UX needs to be
# told which version of LVM is included in the golden image so that
# the correct choices can be used. If this is not set, it defaults to
# version 1.0. If LVM is not used, then this does not need to be set.
# If LVM 2.2 is in the golden image, uncomment the two lines below.
########################################################################
# _hp_provides_LVM_vg_vers="2.2"
# _hp_provides_LVM_vg_vers visible_if false
Configuring the Ignite-UX Server to Recognize the Golden Image 155
Here are the HP-UX 11i v1 sw_source and sw_sel examples:
sw_source "core archive" {
description = "HP-UX Core Operating System Archives"
load_order = 0
source_format = archive
source_type="NET"
.
.
.
post_load_script = "/opt/ignite/data/scripts/os_arch_post_l"
post_config_script = "/opt/ignite/data/scripts/os_arch_post_c"
#If nfs_source is used, be sure to export the source.
nfs_source = "10.2.72.150:/var/opt/ignite/My_Golden_Images"
.
.
.
}
init sw_sel "golden image" {
description = "Archive HP-UX 11.11 CDE"
sw_source = "core archive"
sw_category = "HPUXEnvironments"
archive_type = gzip tar
# For NFS, the path to the archive is relative to the mount
# point specified in the sw_source:
archive_path = "hostname.gz"
# ftp/remsh sources can use a full path:
# archive_path = "/pub/IUXarchives/B.11.11_CDE.gz"
impacts = "/" 23Kb
impacts = "/.dt" 35Kb
impacts = "/TT_DB" 18Kb
impacts = "/etc" 1375Kb
impacts = "/export" 1Kb
impacts = "/opt" 74079Kb
impacts = "/sbin" 13449Kb
impacts = "/stand" 1Kb
impacts = "/tmp" 1Kb
impacts = "/usr" 225459Kb
impacts = "/var" 5736Kb
} = TRUE
3. Add the new configuration file (core_archive_cfg) to the Ignite-UX INDEX file:
Edit the /var/opt/ignite/data/INDEX file to add a new configuration to Ignite-UX. For
this example, add a new cfg clause as follows:
cfg "HP-UX B.11.11 archive" {
description "some description of this archive..."
"/opt/ignite/data/Rel_B.11.11/config"
"/var/opt/ignite/data/Rel_B.11.11/core_archive_cfg"
"/var/opt/ignite/config.local"
}
The line for the golden image is the one containing core_archive_cfg. The config and
config.local files contain default configurations.
The /var/opt/ignite/config.local file should be the last file in the cfg clause. The
last configuration file has the highest priority and can override values in the configuration files
listed before it.
The file /opt/ignite/data/Rel_B.11.11/config supplies the disk and file system
layout defaults, plus other control information required by Ignite-UX. It must be first in every
cfg clause.
Each cfg clause appears as an available configuration to Ignite-UX. Therefore, the string
HP-UX B.11.11 archive will now appear as a valid configuration choice.
156 Golden Images
4. Verify the syntax of the configuration files listed in the INDEX file.
# instl_adm -T
Fix any errors found by instl_adm and repeat the instl_adm -T to verify any changes.
5. Ensure the NFS file system is exported correctly. In the sw_source clause above, we specified
the location of the golden archive to be a file on an NFS server. You must ensure clients have
access to this directory on the Ignite-UX server.
Ignite-UX automatically tries to export /var/opt/ignite/clients for its use. In our
example, /var/opt/ignite/archives/Rel_B.11.11 must also be exported because
that is where we placed the golden archive.
On HP-UX 11i v3 Ignite-UX servers:
•To view the current status, use the following command.
# share
•Edit the /etc/dfs/dfstab file and add the following lines:
share -F nfs -o anon=2 /var/opt/ignite/clients
share -F nfs -o anon=2,ro /var/opt/ignite/archives/Rel_B.11.11
•Run the following command to share all the NFS file systems.
# shareall -F nfs
On HP-UX 11i v1 and 11i v2 Ignite-UX servers:
•To view the current status, use the following command.
# exportfs -v
•Edit the /etc/exports file and add the following lines:
/var/opt/ignite/clients -anon=2
/var/opt/ignite/archives/Rel_B.11.11 -ro,anon=2
•Run the following command to export all directories listed in /etc/exports.
# exportfs -av
See dfstab(4) or exportfs(4) for more information.
Enabling the Client
Since the Ignite-UX server is now configured with the new golden image, you can use Ignite-UX to
install the golden image onto a client. To do this, you need to get the client to inform the Ignite-UX
server that it is ready to install a new operating system. There are two methods for doing this.
•If the client is currently running HP-UX, boot the system from the server by entering
# bootsys -v -w client_hostname
where client_hostname is the name of the client.
•If the client is not currently running HP-UX, boot the system from the client console. See “Booting
Itanium-Based Clients using the Network” (page 100) or“Booting PA-RISC Clients from the
Console ” (page 99), depending on the system type.
Installing the Golden Image on the Client
Once a golden image is created, you can install it just like any other Ignite-UX installation
configuration. See “Installation Using the Ignite-UX GUI” (page 112). On the Basic tab, select the
golden image configuration from Configurations:.
See Chapter 13: “Automating Installations” (page 171) for information on how to execute an
installation with no interaction.
Enabling the Client 157

12 Customizing Your Installation
This chapter introduces Ignite-UX configuration files, provides examples of how you can use them,
and offers debugging tips. Additionally, it describes how to create local customizations for clients
using post-installation scripts, and how to exclude software patch files from archives.
Using Configuration Files
Ignite-UX is driven by configuration files that define how clients are installed and configured. A
configuration file can be thought of as a set of instructions. Ignite-UX provides a set of default
configuration files when you install the product. These default configuration files are used until you
change or customize them for use in your environment. By creating your own custom configurations,
you can:
•Save time during installation
•Ensure standard configurations for similar clients
•Create configurations specific to operating system version or hardware architecture
•Automate all manner of tasks that would otherwise require manual intervention
The configuration file is expressed in a human- readable language, which is fully defined in
instl_adm(4). The configuration file language is much like other programming languages in that it
supports the use of variables and conditional expressions. You can create configuration files directly
or by using the Ignite-UX GUI.
Most of the important elements that make up an installed system are described in the configuration
files:
•Identity of the client, presence of network configuration, and kernel modifications (additional
drivers or tunable parameter settings)
•Disk and file system layout
•Software to be installed
•User-defined scripts that run at various points in the installation process to further customize
the client
Classes of Configuration Files
The configuration files used by Ignite-UX during the installation process logically group similar
information into classes by operating system and functionality. Figure 92 illustrates the classes of
configuration files and their locations.
158 Customizing Your Installation

Figure 92 Configuration File Use and Locations
/
opt/ignite var/opt/ignite
data/Rel_rel boot config.local clients/0xLLAdata/Rel_rel INDEX
config INSTALLFS core_cfg config
apps_cfg
custom_cfg
Default disk
layout
Installation
process
control
Local
overrides
Software and
custom
configurations
Client-specific
configuration
for reinstall
Instructions
for installation
Ignite-UX processes config files in the order shown below. The following description of each class
explains how the various installation parameters can be progressively overridden:
1. Installation control parameters - You can define the behavior of the installation process using
parameters stored within the segment of the install file system that is reserved for configuration
parameters (the first 8 KB). This configuration file location is special because it is available to
Ignite-UX very early in the boot process. Some parameters that control installation must be
specified here. You can specify defaults for parameters, such as:
•IP address of the Ignite-UX server
•Whether to halt the client when the installation is complete
•Whether to execute installation of new clients from the Ignite-UX server GUI
Table 11 lists the install kernel and install file system names and supported hardware
architecture.
Table 11 Install Kernel and File System Names by Hardware Architecture
File System NameKernel NameHardware Architecture
INSTALLFSINSTALL
PA-RISC 32-bit
WINSTALLFSWINSTALL
PA-RISC 64-bit
IINSTALLFSIINSTALL
Itanium-based
VINSTALLFSVINSTALL
V-Class
These install kernels and install file systems are located in the
/opt/ignite/boot/Rel_release directory. Install kernels are normally hard linked, such
that INSTALLFS,WINSTALLFS,IINSTALLFS, & VINSTALLFS files are one and the same.
Ignite-UX uses the INSTALLFS file system as a default unless an alternate is specified using
the -F option of the instl_adm command. For more information, see instl_adm(1M).
Control parameters, such as run_ui,control_from_server, and disable_dhcp, can
only be specified in the install file system configuration area and are accessed early in the
Using Configuration Files 159

installation process when this area is available. Boot control parameters are detailed in the
Control Parameters section of instl_adm(4).
You must use instl_adm(1M) to add, change, or delete these boot control and network
definitions.
NOTE: Before upgrading to a new version of Ignite-UX, consider retaining the current control
parameters, located in the first 8 KB of your install file system, so that you can reapply them
after you have successfully updated your Ignite-UX server.
Extract the current parameters into a file, with the following command:
instl_adm -d -F [W|V|I]INSTALLFS > first8k_param_file
Edit the first8K_param_file to define your control parameters. Check your syntax with
the following command:
instl_adm -T -f first8k_param_file
If you want to reapply these control parameters to all install file systems on your Ignite-UX, use
the following command:
instl_adm -f first8k_param_file
If you want these control parameters applied to only one specific install file system, use the
-F option. For more information, see instl_adm(1M).
2. Default disk and file system layout - The capabilities of each operating system release differ
somewhat so HP supplies a different set of disk and file system layout configuration defaults
for each release. These configuration files are located in:
/opt/ignite/data/Rel_release/config
Enter uname -r on the command line to determine the release. For example, the file that
contains the default disk layout for HP-UX 11.11 would be in:
/opt/ignite/data/Rel_B.11.11/config
as revealed by the uname -r command.
3. Software description of a single SD depot - Configuration files that describe software available
from SD depots can be automatically generated using the make_config tool within Ignite-UX.
This tool produces one configuration file per SD depot. Software description configuration
files are located in:
/var/opt/ignite/data/Rel_release/*
4. Software description of an archive — You can create configuration files to enable access to
archives (templates are provided with Ignite-UX in /opt/ignite/data/examples/ to give
you a good starting point). Archive software description configuration files are also located
in: /var/opt/ignite/data/Rel_release/
5. Local configuration overrides that apply to all clients - It is often convenient to specify defaults
to be applied to every client, in addition to the necessary operating system configuration
installed from a particular Ignite-UX server. For example, you might want to specify the same
NIS domain for all systems. You must include this type of configuration override information
in:
/var/opt/ignite/config.local
This file is not overwritten when the operating system is updated.
6. Client-specific configuration file - This file contains specific directives appropriate for a specific
system to override what may have been defined as general defaults for all systems in earlier
configuration files. For example, you might want to customize the disk layout beyond what
the operating system release defaults allow in:
/opt/ignite/data/Rel_release/config
160 Customizing Your Installation

The unique customizations appear in the directory dedicated to the client by MAC address,
which is linked to a directory containing the client name:
/var/opt/ignite/clients/client/config
This file is created when you use the Ignite-UX GUI to specify the client configuration.
7. Creating and saving custom configuration choices - You can create your own custom
configurations using the Ignite-UX GUI, save them for repeated use, and easily select them
when installing clients. For example, you might have a large number of users with similar
systems who all run Computer Aided Design (CAD) tools. You could build a configuration that
defines all necessary parameters and save it in a configuration called CAD System. When
you want to install a new system for a CAD user, you can select CAD System from the GUI
and you are done (or you could customize it further using CAD System as the template).
Saved configurations are located in: /var/opt/ignite/saved_cfgs/
NOTE: Configuration files are often referred to as config files because the word configuration
is shortened to create file and directory names. For example, a client’s local configuration file is
config.local.
You can build your own configuration files that specify the various installation parameters you are
interested in, and then combine them in arbitrary ways into any number of different custom
configurations using the /var/opt/ignite/data/INDEX file. Place these custom configuration
files in one of the HP-UX release-specific operating system directories:
/var/opt/ignite/data/Rel_release/*
The next section describes how to combine multiple configuration files (default or customized) to
define a single configuration.
Combining Configuration Files Using INDEX Entries
Grouping configuration files into useful configurations is accomplished in /var/opt/ignite/
data/INDEX. This file contains a list of configurations in separate clauses; each comprising one
or more configuration files that define an installation. Each configuration clause begins with cfg
and a name by which the configuration is known.
You can view these configuration names using the instl_adm command. When installing a new
client from the Ignite-UX GUI, you can view these configurations by clicking the button adjacent to
Configurations... on the Basic tab by as shown in Figure 93.
Using Configuration Files 161

Figure 93 Configuration Choices Dialog Box
A typical /var/opt/ignite/data/INDEX file might contain clauses similar to the following
excerpt:
.
.
.
cfg "HP-UX B.11.23 Default" {
description "Default B.11.23 release configuration."
"/opt/ignite/data/Rel_B.11.23/config"
"/opt/ignite/data/Rel_B.11.23/core_cfg"
"/opt/ignite/data/Rel_B.11.23/hw_patches_cfg"
"/var/opt/ignite/config.local"
} = TRUE
.
.
.
cfg "CAD System-11.23" {
description "Supplies the CAD System configuration."
"/opt/ignite/data/Rel_B.11.23/CAD_config"
"/opt/ignite/data/Rel_B.11.23/CAD_core_cfg"
"/opt/ignite/data/Rel_B.11.23/hw_patches_cfg"
"/opt/ignite/data/Rel_B.11.23/CAD_sw_sels_cfg"
"/var/opt/ignite/config.local"
}
.
.
.
With this /var/opt/ignite/data/INDEX file, the Ignite-UX GUI would present two
configurations: HP-UX B.11.23 Default and CAD System-11.23. The HP-UX B.11.23 Default
configuration is the default because that cfg clause is set to TRUE. After choosing a configuration,
162 Customizing Your Installation

you can further customize the configuration using the GUI, or accept the configuration defaults to
begin the installation immediately.
The order of the configuration files within a cfg clause is significant; attributes specified in a later
configuration file can override the same attributes specified in an earlier configuration file. Two
configuration files are used implicitly every time:
•Any information stored in the first 8 KB of
/opt/ignite/boot/Rel_release/[W|V|I]INSTALLFS is implicitly prepended to each
configuration list and is the first configuration data processed.
•The client-specific configuration file /var/opt/ignite/clients/client/config, if it
exists, is implicitly added as the last configuration file for each configuration.
A default cfg clause for each release is shipped as part of Ignite-UX. Additional cfg clauses are
added when you:
•Save a named configuration from the GUI with the Save As button.
•Create a configuration by modifying the /var/opt/ignite/data/INDEX file directly.
•Use the manage_index command to automate /var/opt/ignite/data/INDEX file
modifications.
NOTE: To facilitate client recovery configurations, a CINDEX configuration file, similar to
an installation INDEX file, is created. For more information, see Chapter 15: “Recovery”
(page 188) or see manage_index(1M) and make_net_recovery(1M).
Additionally, you can specify how installation software is handled by Ignite-UX using the following
three constructs:
•Asw_source clause specifies an SD depot or an access method to a server containing
software depots.
•The sw_sel clause specifies the software contained in the SD depot or specifies the path to
a depot on the server or media. Typically there is one sw_sel definition per software bundle
or depot.
•The sw_category clause is simply a mechanism for grouping sw_sel definitions.
See the clauses in Defining an Installation Depot for example usage of the above constructs. For
more information, see instl_adm(1M).
Be sure to pass all user-generated configuration files through the following command to check for
syntax errors:
instl_adm -T -f cfg_file
Example Configuration Files
This section shows a few example configuration files to give you an idea of their look and
capabilities. For a complete description of Ignite-UX configuration files, see instl_adm(4).
For additional examples of configuration files, see the document, Ignite-UX Custom Configuration
Files available at
http://www.hp.com/go/ignite-ux-docs
Defining Disks
This example shows how a disk might be defined. Here, the disk is located at hardware address
2/0/1.6.0 and does not use Logical Volume Manager (LVM) or Veritas Volume Manager by
Symantec (VxVM). The disk contains the root ( / ) file system and a swap area. The swap area
takes up 512 MB and the root file system assumes the remainder:
partitioned_disk
{
Using Configuration Files 163

physical_volume disk[2/0/1.6.0]
fs_partition {
usage = HFS
size = remaining
mount_point = "/"
}
swap_partition {
usage = SWAP
mount_point = "primary"
size = 512
}
}
Combining Disks to Form a Single Volume Group
You can put two disks together to form a single volume group. Two file systems are defined; both
are striped across both disks. The following example illustrates this concept:
volume_group "appsvol" {
usage=LVM
physical_volume disk[2/0/1.5.0] {
}
physical_volume disk[2/0/1.4.0] {
}
logical_volume "apps1" {
mount_point = "/apps1"
usage = VxFS
size=30% free
minfree = 5
stripes = 2
}
logical_volume "apps2" {
mount_point = "/apps2"
usage = VxFS
size = remaining
minfree = 5
stripes = 2
}
}
The preceding example uses LVM as the volume manager. However, it is also applicable to VxVM
if usage=LVM is changed to usage=VxVM.
The first file system, /apps1, is sized by calculating the amount of space required by the software
that is to be installed, and then adding 30 percent for free space. The second file system, /apps2,
uses the remaining space on the disks.
NOTE: You can modify the file system volume sizes in the recovery image when the image is
installed. By default, Ignite-UX ensures that there is 10 percent free space for each volume and
modifies the file system volume size accordingly. If you do not want Ignite-UX to modify the file
system volume sizes automatically, add init _hp_ignore_sw_impact=1 to your /var/opt/
ignite/recovery/latest/system_cfg file, or to the
/var/opt/ignite/clients/client/recovery/latest/system_cfg file.
Defining Networking Parameters
The following example lines define a few of the network parameters that are assigned to the system
after it has been installed:
final system_name = "acorn1"
final ip_addr["lan0"] = "10.99.45.123"
final netmask["lan0"] = "255.255.255.0"
final nis_domain = "nis1"
final route_gateway[0] = "10.99.45.1"
164 Customizing Your Installation
Defining an Installation Depot
The next example defines a single SD depot from which software can be installed. Two different
pieces of software are defined for the SD depot. Each can be selected independently for installation.
The impacts lines tell Ignite-UX how much space this software requires in a given directory. This
information is used to size the file systems correctly. The sw_category construct enables you to
group the software so the GUI can present it in chunks that make sense to you. Because this example
references an SD depot, it could have been created by make_config:
sw_source "ee_apps_depot" {
description = "Electrical Engineering Application Depot"
source_format = SD
source_type = "NET"
sd_server = "10.23.45.6"
sd_depot_dir = "/var/opt/ignite/depots/Rel_B.11.11/ee_apps"
}
sw_category "Applications" {
description = "User Applications"
}
sw_sel "EE CAD Package" {
sw_source = "ee_apps_depot"
sw_category = "Applications"
sd_software_list = "EECad,r=1.2,a=HP-UX_B.11.11"
impacts = "/var" 90524Kb
impacts = "/sbin" 1248Kb
}
sw_sel "EE Routing Package" {
sw_source = "ee_apps_depot"
sw_category = "Applications"
sd_software_list = "EERoute,r=2.4,a=HP-UX_B.11.11"
impacts = "/usr" 12568Kb
impacts = "/var" 26788Kb
}
Customizations Based on the Client Hardware
The configuration file syntax provides a large number of system attribute keywords that describe
the client. Some examples are:
disk[hw_path].size size of the disk at the specified hw_path
memory amount of memory present on the client
hardware_model string returned from uname -m
,lla MAC address of the client
Using the logical expressions provided by instl_adm(4), you can use system attribute keywords to
construct expressions in configuration files so that a particular clause is only included in specific
client situations. The basic format of these clauses is:
(x){y}
which translates roughly to "if the expression xis true, then do y."
For example, this clause sets the size of two kernel tunable parameters if the client has more than
4096 MB of memory:
(memory > 4096MB) {
mod_kernel += "nproc (20+100*MAXUSERS)"
mod_kernel += "maxuprc 1000"
}
As another example, use this if you want to run a script to do some particular graphics
customizations, but you only want to do so when the client has the appropriate hardware:
(graphics[0].planes > 0) {
post_config_script +=
Using Configuration Files 165
"/var/opt/ignite/scripts/multi_plane_graphics"
}
You can also specify multiple conditions. The following example installs a particular piece of
previously defined application software if the client is a supported PA-RISC or Itanium-based server
or workstation having at least two disks. A message lets you know why it is happening:
( (HARDWARE_MODEL ~ "9000/7.*" | MODEL ~ "ia64 .* workstation .*") & (num_disks >= 2) ) {
note += "Installed application software contained in apps1."
init sw_sel "apps1" = TRUE
You must use both HARDWARE_MODEL and MODEL because of the differences in the way the uname
and model commands work on Itanium-based systems. For example on an Itanium-based client
you can use the following commands to find this information:
uname -m
# ia64
model
# ia64 hp workstation zx2000
Notice that the response from the uname command is truncated so it is not possible to determine
if the client is a server or a workstation, whereas on a PA-RISC client, the same command results
in the following:
uname -m
# 9000/785
model
#9000/785/J6000
Additionally, you can add an else clause so that a choice can be executed automatically. The
following example uses a generic variable capability and mathematical expressions to set the
primary swap size based on the amount of memory in the client:
(memory > 512Mb) {
init _hp_pri_swap = 512Mb
}
else {
init _hp_pri_swap = memory * 2
}
The preceding examples represent a few of the numerous ways that system attribute keywords can
be used in client configurations and should not be considered an exhaustive list.
Customizations Based on User Selection
One of the ways you can use Ignite-UX to your advantage is to create a customized configuration
independent of the client’s hardware setup that can be selected for use repeatedly. For example,
you might have some clients that you intend to use as NFS file servers and you would like to be
able to quickly install these clients by selecting the same configuration from the GUI.
Let’s assume that you have found NFS file servers to be more efficient if two of their kernel
parameters are modified. NFS file servers also require some changes to the /etc/rc.config.d/
nfsconf file using the ch_rc command.
One alternative to effecting these changes manually is to define a custom software selection in
/var/opt/ignite/config.local with a sw_sel clause, which then becomes a selection
on the Software tab when you are configuring a new client installation. For example, the following
clauses would automatically configure your NFS file servers:
sw_source "special configs" {
source_format = cmd
}
sw_sel "NFS Server" {
sw_category = "Machine Uses"
sw_source = "special configs"
166 Customizing Your Installation

mod_kernel += "dbc_min_pct 35"
mod_kernel += "dbc_max_pct 65"
post_config_cmd += "
/usr/sbin/ch_rc -a -p NFS_SERVER=1
/usr/sbin/ch_rc -a -p NFS_CLIENT=1
/usr/sbin/ch_rc -a -p NUM_NFSD=8"
}
Figure 94 shows the Software tab when the NFS server configuration file is used. As shown, the
selected category is Machine Uses as defined in the configuration file using the sw_category
clause as in the previous example. This selection causes the kernel modifications and the ch_rc
commands to be applied during the installation in addition to the other software categories you
select.
Figure 94 Software Tab
Using the installation tabs to configure client installations is explained in Chapter 10: “Booting
and Installing HP-UX on Clients Using the Server”.
Avoid Archiving Patch Files
When you install HP-UX patches from SD depots, the files that are patched are normally saved, in
case you want to remove the patch at a later date. However, doing this takes up additional space
in the /var directory, so you might want to turn this feature off.
In general, you can control this feature by using the following option of the swinstall command:
-xpatch_save_files=[false|true]
You can specify swinstall options in a configuration file using the sd_command_line keyword
either at the global level or within individual sw_source clauses, depending on whether you want
it specified for all installations or just for certain ones.
This option is specified in the /opt/ignite/data/Rel_release/hw_patches_cfg file. It
is controlled by the configuration file variable hp_patch_save_files and can be modified
Avoid Archiving Patch Files 167
from the Ignite-UX GUI using the Additional Configuration Controls dialog box. For more information
see the section “Additional... Button” (page 124).
To specify this option at the global level (for example in the /var/opt/ignite/config.local
file), you can add the following line:
sd_command_line += " -xpatch_save_files=false "
To default the variable controlling the operating system patches to “no”, add the following to
config.local, which must be listed after hw_patches_cfg in the /var/opt/ignite/data/
INDEX file:
init _hp_patch_save_files = "NO"
For more details, see the "Managing Patches" chapter in the Software Distributor Administration
Guide and the Patch Management User Guide for HP-UX 11.x Systems.
Debugging Configuration Files
Designing a configuration file to meet your needs can be a very tedious task. It usually requires a
lot of trial and error. You will need to install systems to test your configuration files. The instl_dbg
command is designed to help you with configuration file design and avoid wasting time attempting
to install with invalid configuration files. With the instl_dbg command you can:
•Parse a client's configuration files for syntax errors.
•Display and set variables, software selections, and use models.
•Detect errors that may occur during a client installation due to faulty configuration files, such
as missing software depots/archives.
After you have developed a new configuration file, run the instl_dbg command from the Ignite-UX
server to ensure that there are no errors in your configuration files. The instl_dbg command first
scans for any syntax errors. Then, instl_dbg substitutes variables, use models, and software
selections (sw_sel) with real values, and writes a single, unified configuration file if the -f option
is specified. Now, you can use this file to install the client. Other options are available for more
thorough checking or to provide more details. For more information, see instl_dbg(1M).
Examples
Enter the following command to debug a client configuration file named system1, print the
debugged configuration file to stdout, and then save the debugged configuration file to a new
file, system1_cfg.out:
instl_dbg -D /var/opt/ignite/clients/system1 -d \
-f system1_cfg.out
To debug this same client configuration file, system1, to show the effects upon the disk layout
when the _hp_disk_layout and _hp_pri_swap values are changed, and then print the "very,
very verbose" (-vvv) output to the console and to the system1_cfg.out file, you would enter
the following command:
instl_dbg -D /var/opt/ignite/clients/system1 -d \
-V _hp_disk_layout="Whole disk (not LVM) with HFS" \
-V _hp_pri_swap=500MB -vvv -f system1_cfg.out
For more information, see instl_dbg(1M).
Using Post-Installation Scripts
You can perform any number of tasks on a client after installing the operating system by providing
a script to be executed. This section provides some common examples to assist you. Additionally,
you can write your own scripts to mount additional disk drives, add additional software, or modify
configurations based on system use.
168 Customizing Your Installation

How the Installation Functions
It is important to understand how an installation functions when using Ignite-UX. The diagram in
Figure 95 illustrates when the various commands and scripts are executed during the installation
process.
Figure 95 Installation Process
Install kernel
boots
pre_config_cmd
pre_load_[cmd|script]
post_load_[cmd|script]
Pre-software
load
Software load
(archive or
depot)
Software and
system
configuration
post_config_[cmd|script]
final_[cmd|script]
OS archive
loaded
Additional
software
Kernel
creation
Reboot on
new kernel
Software
configured
Final
reboot
1
2
3
1 The commands available are very limited and execute before any volume groups or disk groups
are created.
2 The available preload commands are limited and the script executes before any archives or
depot-based software are installed.
3 The install.log file is closed, then the final scripts execute; any messages that are generated
appear only on the console.
There are a number of points in the installation process in which you can force scripts or commands
to be run. See the "Command and Script Execution Hooks" section of instl_adm(4) for specifics.
Adding a Post-Installation Script
Example
One task you generally need to perform after a new operating system installation is setting up
printers. To automate this process, you can write a script that performs the HP-UX commands for
adding a printer.
Following is a script for adding a remote printer named remoteprinter, making it the default
printer, and then enabling the printer so that it is ready the next time that the lp scheduler is started:
#!/usr/bin/sh
# Post process IUX script to add a local default printer
Using Post-Installation Scripts 169

# Performing task "Add Remote Printer": Adding "remoteprinter"
#
/usr/sbin/lpadmin -premoteprinter -ormserver.com -orptsslj \
-mrmodel -v/dev/null -orc -ocmrcmodel -osmrsmodel
/usr/sbin/lpadmin -dremoteprinter
/usr/sbin/accept remoteprinter
/usr/bin/enable remoteprinter
NOTE: Make sure that the directory the post-installation script resides in is available to tftp by
examining and changing the /etc/inetd.conf file.
1. Create a script to set up access to a default network printer.
2. Ignite-UX post-installation scripts are defined using the post_config_script variable. To
add the script you created in the previous step, edit your core_cfg configuration file and
add the following line:
post_config_script += \
"/var/opt/ignite/scripts/install_default_printer"
IMPORTANT: You must ensure that the variable _hp_cfg_detail_level value includes
twhen a post_config_script is added in the Per-Client configuration file. For more
information, see the instl_adm(4) man page.
For example, the variable _hp_cfg_detail_level value in the Per-Client configuration
file can be set as follows:
_hp_cfg_detail_level="ivst"
where tis for post_config_script selection settings.
This sets the install_default_printer script to be run as a post-installation process on
the client. This line should stand alone, and be placed outside of any clauses in the file (such
as a sw_sel clause). The script set to execute with the post_config_script variable
executes after all software has been installed and the system has been booted with its final
kernel, but before any of the normal /etc/rc startup scripts have been run.
You can change the default installation script behavior from the Actions menu, by choosing
Install Client, and then choosing New install. Then click on the Advanced tab and select the
post-installation scripts that you want to be executed.
TIP: If you want to make a script available under all configurations, add it to the /var/opt/
ignite/data/INDEX file. For example, to execute the install_default_printer script
following every client installation, add the following line to the end of this file:
scripts {"/var/opt/ignite/scripts/install_default_printer"}
This script is made available for selection on the Advanced tab for all configurations. For more
information, see “Advanced Tab” (page 144).
170 Customizing Your Installation

13 Automating Installations
This chapter shows how to use the bootsys command and configuration files to automate the
Ignite-UX installation process.
Starting a Noninteractive Installation with bootsys
Ignite-UX can install HP-UX on a client noninteractively using the default configuration specified in
the /var/opt/ignite/data/INDEX file for the given operating system. The /var/opt/
ignite/data/INDEX file can have a unique clause for each operating system you want to
support. Alternatively, you can choose from other configurations that exist as unique clauses in the
INDEX file to use with bootsys(1M) from the command line.
To start an automatic, noninteractive installation, execute the bootsys command from the server
as follows:
bootsys -a -v [-i configuration][-f]client_hostname
-a Specifies an automatic installation.
-v Specifies verbose mode.
-i Specifies a default configuration for installing the client. If not set, the default specified on the
Ignite-UX server is used. If an incorrect configuration or one that does not match the last configuration
saved for the client is selected and the -f option is not used, an error results.
-f Forces Ignite-UX to disregard and delete the previous configuration information that was saved
for a client during the last installation.
You can define the default configuration from the Ignite-UX GUI Server Options menu (see
“Configuring Server Options” (page 36)) or you can set it manually with a =TRUE statement
immediately following the closing of a cfg clause in the /var/opt/ignite/data/INDEX file.
After you have initiated the installation, Ignite-UX contacts the client and extracts its hostname, IP
address, and default gateway. The configuration you specified is installed. After the installation
completes, Ignite-UX resets the hostname, IP address and gateway to their original values. This
installation configuration is then automatically saved, or overwritten if one exists, for this client and
can be reused the next time an installation is needed. For bootsys to function, access to the client
using remsh is required; if a remote shell is not available, the bootsys command prompts you
for the root password of the client.
A noninteractive installation using bootsys is the quickest way to install a client. You can install
a client with a custom configuration using bootsys with the following simple four-step process:
1. Create the configuration files that describe how you want the client to be installed.
2. Save the configuration files that you created.
3. Add a cfg clause to the /var/opt/ignite/data/INDEX file that describes your custom
configuration.
4. Execute the bootsys command, specifying the custom configuration.
For more information regarding configuration files, see “Using Configuration Files” (page 158) and
the white paper, Ignite-UX Custom Configuration Files, available at
http://www.hp.com/go/ignite-ux-docs
For details on how to select a configuration, force its use, and use the many other installation
options that are available, see bootsys(1M).
Using a Saved Configuration
After you specify a configuration for a particular client during an installation, you can save the
result as a named configuration. This saves any changes that you made during the installation
Starting a Noninteractive Installation with bootsys 171

session for use in subsequent sessions. For more information regarding configuration files, see
“Using Configuration Files” (page 158).
To specify a saved configuration as the default, define it in your server’s /var/opt/ignite/
data/INDEX file, or use the bootsys command with the -i option and name you have given
it.
Specifying Defaults in the config.local File
The /var/opt/ignite/config.local file is normally included in every configuration (cfg)
clause in the /var/opt/ignite/data/INDEX file. It provides a convenient location, in which
to store default parameters that are the same for all configurations. Typically these are networking
parameters, default software selections and kernel modifications.
The following is an example of what a config.local file could look like. The sw_sel definitions
depend on what you have defined in other configuration files on the Ignite-UX server.
dns_domain="corp.com"
dns_nameserver[0] = "10.2.72.2"
nis_domain="corpdomain"
wait_for_nis_server=FALSE
root_password="JPDw02THwAhiQ"
timezone="MST7MDT"
ntpdate_server="10.1.48.1"
init sw_sel "Misc_Patches"=TRUE
init sw_sel "B3919DA_AGP"=TRUE
mod_kernel += "maxuprc 100"
set_kernel += "dbc_max_pct 20"
NOTE: After making manual edits to config.local, always use the following command to
verify that the syntax is correct and to avoid installation errors:
instl_adm -T -f config.local
Setting Defaults with instl_adm
Some network parameters must be known by the client when it first boots. The netmask and gateway
can be supplied in the installation or RAM file system ([W|V|I]INSTALLFS). You can do this by
using the instl_adm command, which has options to set the client’s netmask, gateway, Ignite-UX
/tftp server, and so on.
For example, you might want to set the keyboard language so you are never prompted for it when
booting from Ignite-UX. To do this, first display the current configuration information and redirect
it to a temporary file for editing. Then, edit the file to include the new configuration information.
Finally, apply the new configuration information from the temporary file.
In the following example, the keyboard language is set to PS2_DIN_US_English.
# instl_adm -d > /tmp/installfs.out
# echo '_hp_keyboard="PS2_DIN_US_English"' >> /tmp/installfs.out
# instl_adm -f /tmp/installfs.out
For more information, see “Using Configuration Files” (page 158) ,instl_adm(1M), and instl_adm(4).
Using the Per-Client Configuration File
When Ignite-UX begins an installation session, it scans the directory /var/opt/ignite/clients
for a directory matching the MAC address of the client. For example, if the MAC address of the
client is 0x08000992E346, Ignite-UX looks for a file named config in /var/opt/ignite/
clients/0x08000992E346. However, to enable you to find clients easily Ignite-UX also creates
a symbolic link between the client’s name and the MAC address. If the client has more than one
LAN interface, the MAC address of each interface is used until a matching directory is found.
172 Automating Installations

Ignite-UX overwrites this client-specific config file at the end of the installation, creating a record
of the parameters defined for this client’s most recent installation.
The configuration data in this file is used to override the default installation parameters. For more
information regarding configuration files, see “Using Configuration Files” (page 158).
The easiest way to create a client-specific custom configuration file is to start with one of the default
files provided by Ignite-UX. However, if you have previously installed a client, you can start with
a configuration file in the /var/opt/ignite/clients/client directories. It is best to use
one from a client similar to the one you want to install. You could use this as the basis for your
new configuration file.
The following is an example configuration file:
cfg "HP-UX B.11.11 archive"=TRUE
#
# setting _hp_cfg_detail_level to ipvs indicates that the file
# contains information about which cfg INDEX selection to be used,
# the variable settings, software selection settings, and system
# parameters.
_hp_cfg_detail_level="ipvs"
#
# Variable assignments
init _hp_pri_swap=68304K
init _hp_root_disk="2/0/1.5.0"
init _hp_sec_swap=0K
init _hp_root_grp_disks=1
init _hp_root_grp_striped="NO"
init_hp_locale="SET_NULL_LOCALE"
init_hp_keyboard="PS2_DIN_US_English"
init _hp_default_final_lan_dev="lan0"
init _hp_boot_dev_path="2/0/1.6.0"
#
# Software Selections
init sw_sel "English"=TRUE
#
# System/Networking Parameters
init _hp_custom_sys="Current System Parameters"
_hp_custom_sys help_text "Final System/Networking Parameters"
{
final system_name="server"
final ip_addr["lan0"]="10.2.75.14"
final netmask["lan0"]="255.255.248.0"
final dns_domain="xx.corp.com"
final dns_nameserver[0]="10.2.72.254"
TIMEZONE="MST7MDT"
is_net_info_temporary=TRUE
}
To customize this configuration file, change the final networking parameters in the example file to
the correct values for your client. For example:
final system_name="system11"
final ip_addr["lan0"]="10.2.75.193"
It is also possible to add kernel parameters to this file. See “Setting Installation Parameters
Dynamically” (page 174).
IMPORTANT: You should update the variable _hp_cfg_detail_level to reflect the parameters
that you have modified to indicate that they should be used by Ignite-UX; by default this variable
is set to ipvs. This variable is fully described in instl_adm(4).
To perform an automatic installation of a client using a custom configuration file, execute the
following steps on your Ignite-UX server:
Using the Per-Client Configuration File 173

1. Determine the MAC address of the client, either through the boot_admin commands at boot
time or by using lanscan(1M) after the client is booted.
For more information, see boot(1M), efi(4), isl(1M), and pdc(1M).
2. Create the following directory, assuming the MAC address is 0x08000992E346:
mkdir /var/opt/ignite/clients/0x08000992E346
3. Copy an example configuration file to be used as a starting point:
cp config /var/opt/ignite/clients/0x08000992E346/config
4. These files are accessed using NFS so you must ensure that the correct ownership and directory
access permissions are assigned.
Set the client directory to 644 and change the ownership to ensure that bin can read and
write to the directory:
chmod 644 /var/opt/ignite/clients/0x08000992E346
chown bin:bin /var/opt/ignite/clients/0x08000992E346
chown bin:bin /var/opt/ignite/clients/0x08000992E346/config
5. Edit your new configuration file to define your client-specific information.
6. Run bootsys on the Ignite-UX server to begin the installation:
bootsys -a -v client_hostname
The client is booted and the operating system is installed without interaction using the
client-specific configuration file you created. Errors are reported in /var/opt/ignite/
clients/0x08000992E346/install.log and in the client status dialog box (see “Client
Status... Dialog Box” (page 148)) in the Ignite-UX GUI on the Ignite-UX server.
Scheduling Installations
Client installations can also be automated using the cron daemon. To perform repeated installations
for a client, you could use crontab entries. For more information, see cron(1M) and crontab(1).
For single installations, use the at command. For example, to perform an installation of a client
at 8:00 PM using the at command, as root enter:
at 8:00pm
bootsys -a -v client_hostname
Press Ctrl-D
NOTE: This example requires remsh access from the Ignite-UX server on which you execute the
bootsys command to the client because the server cannot obtain the root password by prompting
you.
Setting Installation Parameters Dynamically
Ignite-UX can make intelligent decisions about installation parameters when it runs, based on
information it reads from the client. Instead of forcing static values (for example, swap size or
kernel parameters), Ignite-UX can determine the best values for these based on the characteristics
of the client.
This feature can make the configurations that you set up more general purpose and limit the need
for multiple, custom configurations to handle minor system differences.
These decisions are specified in a C-like language and grammar unique to Ignite-UX. For more
information, see instl_adm(1M).
The following examples show how Ignite-UX set installation parameters dynamically.
174 Automating Installations

Example 1
In this example, if the client’s root disk is smaller than 8.5 GB and has less than 1 GB (1024 MB)
of random access memory (RAM), then the primary swap partition size (_hp_pri_swap) is set to
512 MB; otherwise, it is set to 1 GB. If the disk is larger than 8.5 GB, then _hp_pri_swap is set
to 1024 MB or 4096 MB, depending on the memory size.
Add the following lines to the end of the file /var/opt/ignite/config.local as this file is
typically referenced in all configurations defined in the /var/opt/ignite/data/INDEX file:
# default to very minimal swap of 8500MB
# unless the disk is larger than 8.5
# and we have more than 512MB RAM
(disk[_hp_root_disk].size < 8500MB)
{
(memory < 1024Mb) {
init _hp_pri_swap=512MB
} else {
init _hp_pri_swap=1024MB
}
} else {
(memory < 2048Mb) {
init _hp_pri_swap=1024MB
} else {
init _hp_pri_swap=4096MB
}
}
You could also put this in a separate file, for example, /var/opt/ignite/data/Rel_B.11.11/
custom_cfg, and then add that file name to the desired cfg clause in the /var/opt/ignite/
data/INDEX file.
Additionally, you could add this to the configuration file created for automatic installations. If the
_hp_pri_swap parameter is set later in the order of files searched in the cfg clause, this setting
is overwritten. The configuration file parsing order and precedence is documented in instl_adm(4)
and in “Using Configuration Files” (page 158).
CAUTION: The per-client configuration file in /var/opt/ignite/clients/client used for
noninteractive installations is overwritten as part of the installation process.
Example 2
To force the installation of a patch bundle if the client matches a regular expression, such as a
hardware architecture type like J6700 or J6750 PA-RISC workstations, add the following lines to
the end of the /var/opt/ignite/data/Rel_B.11.11/custom_cfg configuration file:
# check for H/W model J6700 or J6750
# and add the Misc_Patches bundle if true
(hardware_model ~ "9000/785/J67[05]0") {init sw_sel "Misc_Patches" = true}
Example 3
In this example, Ignite-UX runs a previously created post-installation script and increases a tunable
kernel parameter if it determines the client is a C3600, C3650, C3700, or C3750 workstation.
If not, it sets a default value for the kernel parameter:
post_config_script += "/var/opt/ignite/scripts/new_C_series_special"
(HARDWARE_MODEL == "9000/785/C3[67][05]0") { mod_kernel += "maxuprc 300"
} else {mod_kernel += "maxuprc 100"}
Setting Installation Parameters Dynamically 175
Example 4
You can specify an entirely different custom configuration based on the size of the client’s RAM
and disk size. To set the default configuration dynamically to put into effect, it must go into the
[W|V|I]INSTALLFS file using instl_adm(1M) as in the following script excerpt:
# For a system with only one disk and small memory, select
# the "small system configuration"
(num_disks == 1 & memory < 256MB )
{cfg "small system configuration" = true}
Checking Modified Files for Errors
You can validate the syntax of a file that is not yet in the /var/opt/ignite/data/INDEX file
to avoid installation problems later, by entering the following:
instl_adm -T -f file
After you modify configuration files, always validate the syntax of all of the files that are referenced
in the cfg clauses in the /var/opt/ignite/data/INDEX file, by entering the following:
instl_adm -T
176 Automating Installations

14 Creating Your Own Boot and Installation Media
This chapter explains how to create custom HP-UX boot and installation media.
Installation media can be a tape or DVD containing:
•Agolden archive
•Arecovery archive
•A software depot
•A golden or recovery archive, plus a software depot
NOTE: It is possible to create a bootable USB flash drive that works with Integrity systems. See
the Ignite-UX USB Memory Stick Boot white paper, available at http://www.hp.com/go/
ignite-ux-docs.
All installation media are bootable. To create installation media, you need a basic knowledge of
Ignite-UX functionality.
Why Use Custom Boot and Installation Media?
You might want to build boot or custom installation media if:
•You have to recover systems that cannot boot from a recovery tape or the network, so boot
media is required for the two-step media recovery process.
•You have a large number of systems that are basically identical, and the networking does not
allow easy or fast access to an Ignite-UX server, perhaps due to dispersed geography or for
security reasons. For common configuration installation solutions, use a golden image. Golden
image creation is described in Chapter 11 (page 151).
•You want a disaster recovery image of a system. For system-specific recovery solutions, you
should use a recovery image. Recovery image creation is described in Chapter 15: “Recovery”
(page 188).
Building PA-RISC Boot and Installation Tape
This section describes building a tape for just booting, or for boot and installation on PA-RISC
systems. This functionality is not supported on Itanium-based systems, although you can utilize
“Tape Recovery With No Tape Boot Support — Two-Step Media Recovery” (page 213).
IMPORTANT: The media and data format (density and compression) of the installation tape you
create must be compatible with the tape devices of client systems on which it will be read. You
should consider writing the tape using a device special file (DSF) that selects the most compatible
data format settings.
Possible Tape Contents
A PA-RISC tape may consist of
•Just a LIF volume.
•A LIF volume followed by one or more archives (A1, A2, A3, ...).
•A LIF volume followed by an optional archive (A1, or Empty), a serial depot (D), and zero or
more additional archives (A2, ...).
By far, the most common configuration is a LIF volume followed by one archive. The archive can
be a golden archive or a recovery archive depending on the purpose of the media.
The high-level structures of possible PA-RISC installation tape layouts are shown below.
Why Use Custom Boot and Installation Media? 177

Figure 96 Possible PA-RISC Installation Tape Layouts
Logical Interchange Format
The first file on a PA-RISC bootable tape is a logical interchange format (LIF) volume containing all
the components required to boot from the tape. It also includes the Ignite-UX toolset and configuration
information that controls how Ignite-UX will operate. Additionally, this tape file will include
configuration files that describe installation functionality. See Appendix C (page 235) for information
regarding the contents of a LIF volume.
For PA-RISC systems you can create a boot tape that is made up of the LIF volume only. This boot
tape could then be used to boot a system, and then the software could be downloaded over the
network.
The make_medialif command creates the LIF volume. A typical LIF volume would have the
following contents:
•ISL
•AUTO
•INDEX
•CONFIG
•HPUX
•[W|V|I]INSTALL
•[W|V|I]INSTALLFS
•INSTCMDS
•INSTCMDSIA
•SYSCMDS
•SYSCMDSIA
•RECCMDS
•RECCMDSIA
•SCRIPTS
See Appendix C (page 235) for a full description of LIF contents.
178 Creating Your Own Boot and Installation Media

IMPORTANT: The first 8 KB of the install file system ([W|V|I]INSTALLFS) can contain Ignite-UX
configuration content. If it does, this information is used first and can override configuration
statements in the LIF INDEX and CONFIG files. If the tape contains a golden archive, you will want
to consider whether the tape should contain special config content to control system setup in some
custom way. If the golden archive will be used with different system configs, conditional expressions
can be used to adapt the config appropriately, such as run_ui, which controls whether the
installation is interactive or not, and server and sd_server, which can be used to control
network installation. See instl_adm(4) for more information.
Archives and Depots
The LIF volume is followed by the first archive (a golden archive or a recovery archive depending
on the purpose of the media) or is empty if the installation is solely from a software depot.
The first archive is then followed by either a serial depot or another archive. There can only be
one serial depot on a tape, and it must be the third file on the tape. If the tape includes a serial
depot, the make_config command must be used to create the config file for the depot content.
This configuration file is then modified to reflect the final destination of the depot and the depot is
written to the tape.
The previous files can be followed by one or more additional archives, limited only by the capacity
of the tape. These archives are optional.
TIP: If a tape will contain multiple archives, you might want to place the most commonly used
archive first so installations take less time.
Creating and Modifying an Archive Configuration File for Tape
Create the archive configuration file — Proceed as described in Chapter 11 (page 151) or Chapter 15
(page 188), depending on the usage of the installation tape.
Modify the archive access attributes — Change the following archive access attributes in the
sw_source core clause:
•Find the source_type attribute and change the value from NET to MT (for example,
source_type=MT).
•Find the change_media=FALSE attribute line and remove the comment hash mark ( #).
•Find the nfs_source attribute line and place a comment hash mark before it (for example,
#nfs_source=).
The above edits change the source type from network (NET) access (which is NFS,ftp
or remsh) to magnetic tape (MT). Since the archive is going to reside on the same media as
the configuration file, change_media is set to FALSE by uncommenting that attribute. To
stop the NFS mount attempt, the nfs_source attribute is commented out.
Modify the archive path and impacts — In the HARDWARE_MODEL ~ 9000.* clause:
•Find the archive_path attribute and set the value to the number of EOF markers that have
to be skipped to get to the archive (archive_path=n). There is an EOF marker after the LIF
volume, archives, depots, and empties. For example, to reach the first archive on the tape,
the archive_path would have to be set to “1”, indicating the LIF volume EOF would be
skipped and the archive begins thereafter.
•Find the impacts attribute with the value / 27KB and change the value to what is reported
by archive_impact.
•Optionally, you can find the sw_sel and description attributes and change their values
to something more descriptive and applicable for your situation. These modified values are
visible on Basic tab of the Ignite-UX GUI.
Building PA-RISC Boot and Installation Tape 179

Other edits —
•The archive_type must match what was done by make_sys_image. For more information
about archive_type, see instl_adm(4).
•If you have only one archive, as in this example, you can delete the entire clause called
golden image2. It is included in the template file in case you have two different types of
archives, such as one for 32-bit and one for 64-bit architecture.
•If more than one archive per architecture is on the media, use an exrequisite attribute
between them so only one archive can be selected at one time.
IMPORTANT: Do not change anything else in the file, unless you are very sure of what you are
doing. In particular, it is potentially dangerous to change the sw_category and other sw_source
and sw_sel attributes not mentioned above.
Creating and Modifying a Serial Depot and its Configuration File for Tape
A depot put on a tape is called a serial depot. It can exist as a regular file, but it cannot be
registered, which means it cannot be accessed remotely.
Create the serial depot configuration file – Issue the following command:
# make_config -s /var/tmp/depot -c /var/tmp/depot_cfg
Modify the serial depot config file – The depot must always be the third file on the tape, so there
is no need to specify a path to the depot. Remove the following lines:
•sd_server = IP_address
•sd_depot_dir = /var/tmp/depot
Change the source_type attribute from NET to MT:
•source_type=MT
Create the serial depot – To create a serial depot from /var/tmp/depot and store it in /var/
tmp/serialdepot, enter:
# swpackage -s /var/tmp/depot \
-x media_type=tape @ /var/tmp/serialdepot
PA-RISC Installation Tape Creation Example
Assumptions
The following example assumes you have created a golden archive and a depot containing all
the applications you want to install. Including a serial depot is optional and is not needed if the
tape will only contain a golden archive, which is normally the case.
The golden archive in this example is assumed to have been created using make_sys_image on
a system running HP-UX 11i v1 (B.11.11). See Chapter 11 (page 151) for information regarding
golden archive creation.
The archive is in gzip compressed tar format and is named /var/tmp/myOSarchive.gz.
The archive_impact command should be used to obtain disk-space usage information for this
archive so that disk space impacts can be included in the config content. The make_config
command should be used to create a config file that describes the archive content. It's assumed
that a config file named myOSarchive_cfg has been created for this archive.
The optional depot is named /var/tmp/serialdepot and its config file is named /var/tmp/
depot_cfg.
180 Creating Your Own Boot and Installation Media

Example PA-RISC Installation Tape Creation
1. Create the LIF volume.
The LIF will be created in /var/tmp/lifvol by entering the following make_medialif
command:
# make_medialif -f /opt/ignite/data/Rel_B.11.11/config \
-f /var/tmp/myOSarchive_cfg \
-f /var/tmp/depot_cfg \
-l /var/tmp/lifvol -r B.11.11
The LIF volume now contains the default settings Ignite-UX provides, plus information on the
archives and depot.
2. Modify the install file system configuration.
You can control the environment in which Ignite-UX operates at client installation time by
changing the run_ui and control_from_server configuration parameters in the install
file system ([W|V|I]INSTALLFS). When control_from_server is true, an attempt is made
to contact the Ignite-UX server as defined in the configuration information. For more information,
see instl_adm(4).
To set run_ui and control_from_server using instl_adm, execute the following steps:
•Create a temporary configuration file:
instl_adm -d -F /var/tmp/lifvol > /var/tmp/cfg
•Open /var/tmp/cfg for editing.
•Add or change the run_ui variable.
For an interactive installation, run_ui=TRUE.
For a noninteractive installation, set run_ui=FALSE — no interaction occurs and the
installation proceeds according to the configuration information provided to Ignite-UX.
NOTE: To get a fully-automated installation, you usually need to set
control_from_server=FALSE and env_vars+="INST_ALLOW_WARNINGS=10",
otherwise the warning about an operating system already on the disk will cause the
installation to become interactive.
•Add or change the control_from_server variable.
To control the installation from the Ignite-UX server, set control_from_server=TRUE.
An attempt will be made to contact the server.
•Check the syntax of your changes to avoid writing errors to the install file system:
instl_adm -T -f /var/tmp/cfg
•Write the modified temporary configuration file into the LIF volume:
instl_adm -F /var/tmp/lifvol -f /var/tmp/cfg
•Verify your changes:
instl_adm -d -f /var/tmp/lifvol
3. Select the appropriate tape device file.
Create the tape using the proper density, no compression, and a no-rewind device file. See
insf(1M), tape(7), and stape(7) for more information about tape device special file creation
and selection.
Note that a no-rewind tape device special file must be used. Normally, a default AT&T semantic
tape device special file is used, for example, /dev/rmt/0mn.
Building PA-RISC Boot and Installation Tape 181

4. Create the installation tape.
This series of commands creates a tape with DDS-1 characteristics and copies the files in the
correct tape layout as described in “Possible Tape Contents” (page 177):
# mt -t /dev/rmt/0mn rew
# dd if=/var/tmp/lifvol of=/dev/rmt/0mn obs=2k
# dd if=/var/tmp/myOSarchive.gz of=/dev/rmt/0mn obs=10k
# dd if=/var/tmp/serialdepot of=/dev/rmt/0mn obs=10k
# mt -t /dev/rmt/0mn rew
NOTE: You must ensure you use a no-rewind device file, such as /dev/rmt/0mn. This
prevents the tape device from rewinding between the successive dd commands in this step
and overwriting files that were previously written to the tape.
The tape is now ready to use for the installation of PA-RISC systems.
Creating a Boot CD/DVD or an Installation DVD
You can use scripts supplied by Ignite-UX to create boot and archive-based CD/DVDs as outlined
in “Boot and Archive-Based CD/DVDs” (page 182).
To create depot-based installation DVDs, follow the procedures provided below in “Depot-Based
DVDs” (page 185).
Assumptions
This section assumes the system creating the media has a DVD writer.
If your system does not have a DVD writer, you can create the ISO image and then copy it to
another system equipped with a DVD writer to burn the media.
If your system is enabled with the HP Integrity Integrated Lights-Out Management Processor (iLO
MP) virtual media (vMedia) feature, you can generate an ISO image that can be used with iLO
vMedia virtual devices. For more information, see Appendix D (page 238) and the HP Integrity iLO
2 MP Operations Guide available at http://www.hp.com/bizsupport.
File and ISO Image Size Considerations
The ISO image must fit on the DVD media (4.7 ).
Some implementations of ISO9660 limit the maximum file size to 2 .
Prior to Ignite-UX version C.6.5 for HP-UX 11i v2, and C.6.8 for HP-UX 11i v1, the total size of
the ISO image cannot be larger than 2 .
For more information, see the sections FILE SIZES and IMAGE SIZE at the start of the
make_media_install script.
Boot and Archive-Based CD/DVDs
With one simple command, a CD/DVD can be created that supports two-step media recovery.
Additionally, make_media_install can write archives to a bootable DVD.
All HP-UX 11i v2 and 11i v3 bootable CD/DVDs created with make_media_install support
both Itanium-based and PA-RISC boot.
The make_opticaldisc_recovery script can be used to create a recovery image and then
write it to a DVD. The script creates the recovery image with make_net_recovery, and then
calls make_media_install to write the recovery image to DVD. This script is to be run from the
client system and requires one argument — the hostname or IP address of the Ignite server. The
script first creates a recovery image of the client and stores it on the Ignite server. Then, the recovery
image is written to the Ignite server's DVD writer. The make_opticaldisc_recovery script
was introduced in Ignite-UX version C.7.2.
You can find both scripts in the directory
182 Creating Your Own Boot and Installation Media

/opt/ignite/data/scripts/examples
Detailed usage information is available via
# make_media_install -?
and summary information is available via
# make_opticaldisc_recovery -?
Additional information is available at the start of the scripts.
Boot CD/DVD Examples
Two-step media recovery using a bootable CD/DVD is necessary to restore from tapes created
with the Ignite-UX command make_tape_recovery on certain Itanium-based systems that do
not support direct tape boot. See “Tape Recovery With No Tape Boot Support — Two-Step Media
Recovery” (page 213) for more information on two-step media recovery, and the Ignite-UX Installation
Booting white paper available at http://www.hp.com/go/ignite-ux-docs for information on
configurations supporting HP Integrity native tape boot.
Two-step media recovery requires the version of Ignite-UX on the tape, on the bootable CD/DVD,
and on the system creating the CD/DVD media to be identical. If you do not have a matching
Operating Environment DVD, the make_media_install script can be used to easily create a
bootable CD/DVD with the correct Ignite-UX version.
Create HP-UX 11i v3 bootable CD/DVD media for two-step media recovery
On a system with a CD/DVD writer and the same version of Ignite-UX as on your tape, execute
the following command (iso_directory is the target directory for the .iso media file and the
-r option specifies the release, such as B.11.23 or B.11.31):
# make_media_install -r B.11.31 -m iso_directory
Create HP-UX 11i v2 bootable media on USB DVD drive for two-step media recovery
In order to write to a USB DVD drive on an HP-UX 11i v2 system, you must install the patch
PHKL_37814 and use the -c option with make_media_install. In the following example, the
iso_directory is the target directory for the .iso media file, the -r option specifies the release,
and the device_file is the DVD device file such as /dev/rdsk/c0t0d0.
# make_media_install -r B.11.23 -m iso_directory -c device_file
Installation Archive-Based DVD Examples
Installation media can be built for PA-RISC systems, Itanium-based systems, or both since the
bootable DVD created with make_media_install on HP-UX 11i v2 or 11i v3 will support boot
for either architecture. The archive, however, can only be installed on a system matching the
architecture type it was created from.
The make_media_install script will generate impact statements for you, using either the -l
command line option or the default $ImpactLevelDefault. See the start of the script for more
information.
NOTE: Building installation DVDs requires the mkisofs and growisofs commands. Beginning
with Ignite-UX version C.6.2.x, these commands are delivered in the /opt/ignite/lbin/
directory.
Put an Itanium-based HP-UX 11i v3 golden archive on a DVD
On a system with a DVD writer, execute the following commands. (The iso_directory is the
target directory for the .iso media file. The -r option specifies the release — valid values for
Itanium-based systems are B.11.23 and B.11.31. The -o option specifies the hardware
architecture — the only valid value for an Itanium-based system is IA.)
Creating a Boot CD/DVD or an Installation DVD 183
# mkdir /var/opt/ignite/media/pseudo_root/archive
# cp goldenarchive.gz /var/opt/ignite/media/pseudo_root/archive
# make_media_install -r B.11.31 -o IA -a goldenarchive.gz -m iso_directory
Put a PA-RISC HP-UX 11i v2 golden archive on a DVD
On a system with a DVD writer, execute the following commands. (The iso_directory is the
target directory for the .iso media file. The -r option specifies the release, such as B.11.11,
B.11.23, or B.11.31. The -o option specifies the hardware architecture — valid choices on a
PA-RISC system are: 32,64v, or 64w.)
# mkdir /var/opt/ignite/media/pseudo_root/archive
# cp goldenarchive.gz /var/opt/ignite/media/pseudo_root/archive
# make_media_install -r B.11.23 -o 64w -a goldenarchive.gz -m iso_directory
Put two HP-UX 11i v2 golden archives, one Itanium-based and one PA-RISC, on a DVD
The Itanium-based golden archive can only be installed on another Itanium-based system. Similarly,
the PA-RISC golden archive can only be installed on another PA-RISC system. The DVD will be able
to boot either type of architecture.
On a system with a DVD writer, execute the following commands. (The file suffixes .pa.gz and
.ia.gz replace the make_media_install -o option. The iso_directory is the target
directory for the .iso media file. The -r option specifies the release, such as B.11.23, or
B.11.31.)
# mkdir /var/opt/ignite/media/pseudo_root/archive
# cp PAgoldenarchive.pa.gz /var/opt/ignite/media/pseudo_root/archive
# cp IAgoldenarchive.ia.gz /var/opt/ignite/media/pseudo_root/archive
# make_media_install -r B.11.23 -a PAgoldenarchive.pa.gz \
-a IAgoldenarchive.ia.gz -m iso_directory
Create a recovery DVD
Create a recovery image of the current system on the named Ignite-UX server, and write that
recovery image to the DVD writer on the server system by issuing the following command on the
client system.
# make_opticaldisc_recovery Ignite_server_name
Create an HP-UX 11i v2 Itanium-based recovery DVD using an existing network recovery image
Run the following command from the Ignite-UX server on which the recovery image exists. (The -r
option specifies the HP-UX release, and the -o option specifies the hardware architecture.)
# make_media_install -r B.11.23 -o IA \
-f /var/opt/ignite/clients/client/recovery/archive/archive_cfg \
-f /var/opt/ignite/clients/client/recovery/archive/control_cfg \
-f /var/opt/ignite/clients/client/recovery/archive/system_cfg \
-a archive.gz \
-p /var/opt/ignite/recovery/archives/client \
-m /var/tmp
Error messages
No DVD available
The make_media_install script will automatically write the .iso image (default file name is
image.iso) to the DVD. If there is no writable DVD available, the script will halt with a message
similar to
:-[ LOAD TRAY failed with SK=5h/ASC=24h/ACQ=00h]: I/O error
The .iso file will remain in the iso_directory specified with the -m option. Make sure you
have enough disk space in the iso_directory to hold the .iso image.
184 Creating Your Own Boot and Installation Media

No DVD special files
Prior to the first time you run make_media_install, you must create DVD special files. If the
DVD special files are missing when you run make_media_install, you will receive an error
message similar to
:-( unable to open(“/dev/rscsi/c0t0l0”.O_RDONLY): No such file or directory
:-! consider 'mknod /dev/rscsi/c0t0l0 c 203 0x000002; chmod 0600 /dev/rscsi/cotol0'
+ Error 83 /opt/ignite/lbin/growisofs failed.
/opt/ignite/data/scripts/examples/make_media_install: ERROR: /opt/ignite/lbin/growisofs failed.
To add DVD special files:
•Run the command mkdir /dev/rscsi
•Then run the suggested mknod and chmod commands.
NOTE: If the system with the DVD writer is running HP-UX 11i v3, you must use a legacy device
special file to identify the DVD.
Missing -c argument on HP-UX 11i v2 USB DVD drive
On an HP-UX 11i v2 system with a USB DVD drive, you must use the -c argument to
make_media_install and install the patch PHKL_37814. For more information, see “Create
HP-UX 11i v2 bootable media on USB DVD drive for two-step media recovery” (page 183). If the
-c option was not used, an error message similar to the following will be displayed:
:-( unable to open ("/dev/rdsk/c0t0d0",O_RDONLY: No such device
Depot-Based DVDs
The procedure to create depot-based installation DVDs is dependent on the version of HP-UX you
will be installing; use “HP-UX 11i v2 Depot-Based Installation DVDs” (page 185) or “HP-UX 11i v3
Depot-Based Installation DVDs” (page 187).
HP-UX 11i v2 Depot-Based Installation DVDs
This process is largely documented in the make_medialif(1M) and instl_combine(1M) manpages.
The approach is to run make_config against each depot separately, then use make_medialif
to form a single config file for the depots, the default file system layout file, and any other config
files you wish.
Preparation
1. Copy the installation content to your Ignite-UX server.
You will need a great deal of disk space for this. Estimate 4.7 per DVD, which is the space
you have for the depot and the ISO image. Use multiple depots and make sure each depot
is small enough to fit on one DVD.
For example, to create two depots on the Ignite server from OE media, use the following
commands. Each DVD will have to be mounted before the swcopy and unmounted afterwards.
# swcopy -x enforce_dependencies=false -s <mount point of OE_DVD1> \* \
@ <path_to_depot1>
# swcopy -x enforce_dependencies=false -s <mount point of OE_DVD2> \* \
@ <path_to_depot2>
2. Create a configuration file for each depot using make_config.
For example, create a configuration file for the first depot with the following command:
# make_config -x no_sd_server -s <path_to_depot1> \
-c <path_to_cfg_file1>
The no_sd_server option instructs make_config to omit the network attributes for that
depot.
Creating a Boot CD/DVD or an Installation DVD 185
When dealing with more than one depot, use the load_order option to control the exact
sequencing of media installations. It is helpful to use the media_title option so Ignite-UX
can prompt for media using meaningful text.
To create the configuration file for the second depot, you could use the following command:
# make_config -x no_sd_server -s <path_to_depot2> \
-c <path_to_cfg_file2> -x load_order=2 \
-x media_title="Installation DVD Number 2"
Continue to create configuration files for all your depots.
3. Create the LIF header
Use the make_medialif command to deposit the LIF file into the first DVD depot pseudo-root.
This is the norm for installation media.
The following make_medialif command uses two standard configuration files and two
depot configuration files, but you can specify as many as you wish.
# make_medialif -f /opt/ignite/data/Rel_B.11.23/config \
-f /opt/ignite/data/Rel_B.11.23/hw_patches_cfg \
-f <path_to_cfg_file1> \
-f <path_to_cfg_file2> \
-r B.11.23 -a -V -v -R -l <path_to_depot1>/media_lif
# instl_adm -b -F <path_to_depot1>/media_lif
The commands above create a LIF configuration file that contains the default file system layout
configuration file for 11i v2, the patch handling configuration file for v2, and two depot
configuration files created with make_config. Other options are to include the Version
file, RECCMDS, and support for Integrity and PA-RISC systems.
If you need to include configuration information in the install file system, such as settings of
control keywords, it must be set now using the instl_adm command. For example, if you
wanted a common root password, you could place that information in a file using the
root_password keyword, and then run the following command:
# instl_adm -f <path_to_special_cfg_settings> \
-F <path_to_depot1>/media_lif
For more information, see instl_adm(1M) and instl_adm(4).
Create the first DVD
1. Copy the EFI partition into the first DVD pseudo-root:
# cp /opt/ignite/boot/Rel_B.11.23/EFI_CD_image <path_to_depot1>
2. Run mkisofs to create the first DVD image (path_to_dvd1image):
# /opt/ignite/lbin/mkisofs -D -r -U -v -max-iso9660-filename \
-no-emul-boot -b EFI_CD_image -hide EFI_CD_image \
-eltorito-alt-boot -no-emul-boot \
-b media_lif -hide media_lif \
-o <path_to_dvd1image> <path_to_depot1>
3. Run instl_combine to position the LIF header at the beginning of the image:
# /opt/ignite/lbin/instl_combine -C <path_to_dvd1image>
186 Creating Your Own Boot and Installation Media
Create the second DVD
1. Run mkisofs to create the second DVD image (path_to_dvd2image):
# /opt/ignite/lbin/mkisofs -D -r -U -v -max-iso9660-filename \
-o <path_to_dvd2image> <path_to_depot2>
Burn the DVD images and test them
1. Write the ISO images to media as a raw file using open source software such as cdrecord,
growisofs, or software included with CD/DVD hardware.
2. Test the DVD images to verify you can boot from the first one, and test that you can use them
to install systems successfully.
HP-UX 11i v3 Depot-Based Installation DVDs
This section describes the differences in the 11i v3 process from the v2 process. (The differences
are due to the requirements of the swm (software load) command.)
In order to support the 11i v3 process, the createMediaCatalogs script was added to Ignite-UX
starting with the C.7.10 release. The createMediaCatalogs script is found in /opt/ignite/
data/scripts. Detailed usage information is available via
# /opt/ignite/data/scripts/createMediaCatalogs -?
See createMediaCatalogs(1M) and swm(1M) for more information.
See “HP-UX 11i v2 Depot-Based Installation DVDs” (page 185) for detailed information on this
procedure, including command syntax.
To create 11i v3 depot-based DVD media, follow these steps:
1. Use swcopy to create one depot with all the DVD content in it. If you have additional software
from other sources, use swcopy to add that to the depot too.
2. Run make_config against the combined depot using the -x no_sd_server option.
3. Use swcopy to create a separate depot for each DVD.
4. Run the createMediaCatalogs script, supplying all the depots as arguments. It's important
to list the depot for the first DVD as the first argument.
5. Use make_medialif to create the LIF volume for the first DVD. This step will use the config
file you created in step 2.
6. Use mkisofs to create the ISO image for the first DVD.
7. Run instl_combine to position the LIF volume in the install content.
8. For each subsequent DVD, use mkisofs to create the ISO image for each depot.
9. The ISO images may now be burned to DVD and tested.
10. Once the DVD has been verified, you can remove the combined depot created for
make_config in step 2.
Creating a Boot CD/DVD or an Installation DVD 187

15 Recovery
Overview
System recovery restores a recovery image previously created for a specific system, and is useful
in the case of hardware or software failure. See the System Recovery section below for more
information.
System Recovery
Ignite-UX system recovery allows quick recovery from a failed disk. The failure can be either a
hardware failure or a catastrophic software failure.
This section assumes you are creating a recovery image to be stored on the Ignite-UX server via
the network, or on tape. If you wish to create recovery image media, see Chapter 14 (page 177)
System recovery requires some work before a problem occurs. On a regular basis, you need to
run the appropriate tool on each of your systems: make_net_recovery or
make_tape_recovery. Use the make_net_recovery command to create a recovery image
on another system, or the make_tape_recovery to create a recovery image on tape.
The make_tape_recovery and make_net_recovery commands each create a bootable,
installation recovery image that is customized for your machine. Recovery images contain your
system’s configuration information (disk layout, etc.) and files from one or more disks. You can
exert some control over which files are saved as part of the image - see “Recovery Image Contents”
(page 190) for more information.
The make_net_recovery command and the make_tape_recovery command are collectively
referred to as: make_[tape|net]_recovery.
You can use the make_[tape|net]_recovery commands on a command line, the Ignite-UX
GUI from the server, or the Ignite-UX TUI from the client to create a recovery image.
Once you have a recovery image on tape or Ignite-UX server, recovering a failed system is easy:
1. If a disk failed, replace it.
2. Boot from your recovery tape or system.
3. Wait for the recovery to complete.
4. Once the system comes back up, verify the system configuration and recover the latest copies
of files from the last system backup. Ensure that you do not recover operating system files as
this can create unexpected results.
If you have SAS devices connected to the recovery client, be aware that as of Ignite version C.7.5,
Ignite will recover to the original disk based on WWID, even if it has been moved. However,
moving SAS devices can result in a changed device file name. For more information, see the
Ignite-UX and SAS Devices white paper, available at http://www.hp.com/go/ignite-ux-docs.
IMPORTANT: The offline diagnostic environment (ODE) command copyutil is a diagnostic
tool for HP-UX 11i and should not be used for system recovery. Instead, use
make_[tape|net]_recovery.
IMPORTANT: During HP-UX 11i v3 installation and recovery, connected Active/Passive devices
will cause long delays (one hour or more) or may cause a system to hang. Similarly, connecting
an Active/Passive device before installing the Active/Passive Switch (APSW) plug-in can cause
some commands to take a long time. Disconnect any Active/Passive devices connected to your
system before installing or recovering HP-UX 11i v3. After installation or recovery, it is important
that the APSW plug-in be installed before connecting an Active/Passive device to the system.
188 Recovery

System Recovery Tools
The make_[tape|net]_recovery tools have few differences aside from using different media.
Both system recovery tools share the same basic recovery image creation options, data structures,
recovery image file content, and installation dialog boxes. The main differences are that
make_tape_recovery does not require an Ignite server and make_net_recovery can be
run from the client with a small subset of the Ignite product.
The make_[tape|net]_recovery tools are not intended for backup of all your system data.
Use a restore tool such as fbackup in conjunction with your recovery image. See fbackup(1M )
for more information.
Recovery Tool Comparison
To determine which system recovery tool is best suited for your needs, consider the following:
Use make_tape_recovery to: Manage single or a limited number of systems locally.•
•Manage systems that are not networked.
•Create tape media for an off-site recovery system.
•Create recovery images for clients on a different subnet
than the Ignite-UX server without using a boot helper
system.
Use make_net_recovery to: Centrally manage networked systems.•
•Avoid tape issues (handling, multi-tape images, etc.)
•Use disk space for image storage.
•Perform unattended creation of recovery images without
tape handling.
•Create recovery images for clients on a different subnet
than the Ignite-UX server without using a boot helper
system. (A boot helper system or a similar solution must
be used when installing a recovery image across
subnets.)
The following table summarizes and compares some of the features of the
make_[tape|net]_recovery tools:
Table 12 Comparing System Recovery Tool Features
make_net_recoverymake_tape_recovery
Minimum hardware
configuration
•Two networked systems•Stand alone system
• •Local tape drive Sufficient disk space to hold image
Creation interfaces •Client command line•Client command line
• •Ignite-UX server GUI Ignite-UX server GUI
•• Client TUIClient TUI
Recovery image
personality
•Requires an Ignite-UX server to install•Self contained
• •Written to the client’s tape drive Written to NFS mounted file system
System Recovery 189
Considerations When Using Veritas Volume Manager from Symantec
If you intend to use or are using VxVM, consider the following issues that impact the
make_[tape|net]_recovery tools:
—Ignite-UX only supports cold installing Symantec products that are in an OE depot as shipped
by HP.
—HP only supports an environment where the versions of VxFS and VxVM match. For example,
if you install VxFS 4.1, you must also install VxVM 4.1.
—Systems with mixed versions of VxVM disk groups are recovered with all disk groups specified
in the recovery image converted to the higher VxVM version. For example, when your recovery
image contains both VxVM 3.5 and 4.1 disk groups, all disk groups are created as VxVM
4.1 disk groups.
—If your system has different versions of VxFS and VxVM, such as VxFS 4.1 and VxVM 3.5,
you will still have mixed versions after the system is recovered.
—Before an installation is allowed to proceed, Ignite-UX verifies that the correct version of VxVM
is being installed, if the installation is coming from an SD depot. If the installation is coming
from a recovery image or golden image, Ignite-UX will log a note stating it is assumed the
correct version is included in the image. For example, if your disk layout is VxVM 4.1, your
image must contain the VxVM 4.1 software.
Recovery Image Contents
The make_[tape|net]_recovery commands enable you to view and control recovery image
contents.
•Ignite-UX creates a symbolic link between directories named after the client’s name and its
MAC address. For example, if you had a system with a client name of "longs_peak" and a
MAC address of "0x00306E4C9B54", the directories /var/opt/ignite/clients/
0x00306E4C9B54 and /var/opt/ignite/clients/longs_peak would be symbolically
linked. This chapter uses the client name to reference the directory, but either will work.
•The list of essential files to be included in the recovery image is available as a simple text file:
/opt/ignite/recovery/mnr_essentials. This file allows you to see what files and
directories are included in the recovery image by default.
•You can specify what additional volume groups, directories, and files you want included, and
what directories and files you want excluded. This is done using simple syntax in the
client-specific content file,
/var/opt/ignite/clients/client/recovery/archive_content, or by using
command line options. You are not restricted to one or two volume groups. You can create a
complete multivolume group recovery image.
•You can use the user interface (launched with the -ioption to make_[tape|net]_recovery)
to find out which volume groups and/or disks will be untouched, which will be partially
restored, and which will be restored in full if the recovery image is used, based on the
specifications in the mnr_essentials file and the archive_content file.
•You can also use the user interface to edit the archive_content file and dynamically see
the changes in the volume groups and disks that are affected.
•The policies for user-specified content are documented in the Recovery Image Configuration
Policies section below.
190 Recovery
The make_tape_recovery tool creates a bootable tape that can be used to restore a system
using the system’s tape drive. Remember that make_tape_recovery is subject to the requirements
and limitations inherent with tape media:
•A tape drive must be available on each system to be archived.
•If you want to save previous recovery images, remove the tapes containing the existing recovery
images from the tape drives before creating new ones.
•If a recovery image exceeds the capacity of a tape, you need to swap tapes for both creation
and extraction.
•If you want to make sure that the newly created tapes are good, you must check the log files
on the system.
•Tape drives are more error prone than a local network.
Recovery Image Configuration Policies
When specifying recovery image content for make_[tape|net]_recovery, the following rules
apply:
•No essential file or directory can be excluded.
•Files and directories inside an included directory will be included recursively.
•If an essential file or directory exists outside the root disk or volume group, the disk or volume
group it resides in is included in the recovery image. If you want to include all the files within
that disk or volume group in the recovery image, use the make_[tape|net]_recovery
-A or -x options.
•If a symbolic link to a file or directory is included, only the link will be included in the recovery
image. The actual file or directory is not included unless it is specified or the symbolic link is
essential. A warning will be given when an item is only a symbolic link.
•If a directory is included that contains symbolic links to other files or directories, the symbolic
links will be included but not the referenced files or directories, unless they too are included.
No warnings are given regarding these links.
•If a directory contains local mount points, the files and directories under the local mount points
are not included, by default. This policy can be waived by specifying the option inc_cross
(include directories and cross-mount points) in the selection interface or command line.
•In case of conflicting entries in the selections, exclusions take precedence over inclusions.
•File system volume size must provide 10 percent free space for each volume - Ignite-UX
automatically modifies the file system volume size accordingly. For more information, see the
description of the _hp_addnl_fs_free_pct variable in instl_adm(4).
Reconciling Client and Server Ignite-UX Versions for Recovery
If you initiate a recovery from the server GUI and the client system has a lower version of Ignite-UX
than the server does, Ignite uses swinstall to update the existing Ignite-UX software on the client.
If the client system does not have Ignite installed, a small subset of Ignite-UX software will be
installed. (The small subset of Ignite-UX software is not a full Ignite-UX server installation, and does
not provide Ignite-UX server capability to the client.)
If you initiate a recovery from the client with make_tape_recovery -s or make_net_recovery
-s, and the client system has a lower version of Ignite-UX than the server does, behavior depends
on the degree of version mismatch. If the version letters don't match, such as C.x.xand B.x.x,
Ignite will display an error and the process will stop. If the version numbers do not match, Ignite
will display a warning and the process will continue.
In any case, if the server has a lower version of Ignite-UX than the client, a message to this effect
will be displayed and the process will stop.
System Recovery 191
As of Ignite version C.7.7, make_[tape|net]_recovery has a -u option that will update the
client Ignite software to the version on the server specified by the -s option. For more information,
see make_net_recovery(1M) or make_tape_recovery(1M).
Recovery Image Creation Process
The process of creating a recovery image using Ignite-UX is described as follows:
1. Prepare the client.
The make_net_recovery command and the make_tape_recovery -s command first
check that the recovery tools installed on the client are compatible with the version on the
Ignite-UX server as described in “Reconciling Client and Server Ignite-UX Versions for Recovery”
(page 191).
2. Create files and directories for the recovery image.
The make_net_recovery and make_tape_recovery -s commands create a new
directory for the client on the server in /var/opt/ignite/clients if needed. For
make_tape_recovery run on the client without the -s option, the config files and log files
are created in the /var/opt/ignite/recovery directory on the client.
The commands generate a timestamp for naming the recovery archive, the configuration, and
the configuration directory. The directory containing the configuration files for the recovery
image is similar to the following:
/var/opt/ignite/clients/client/recovery/2005-03-17,11:19
The corresponding recovery archive is named 2005-03-17,11:19 , and is in the
/var/opt/ignite/recovery/archives/client directory.
The timestamp is important for coordinating configuration files and recovery archives, and for
ongoing recovery image management.
An overview of the files is as follows:
/var/opt/ignite/clients/client
CINDEX
client_name
client_status
config.sys
host.info
hw.info
install.log
recovery/
client_status
defaults
latest -> 2005-03-17,11:19
2005-03-17,11:19/
archive_content
system_cfg
archive_cfg
control_cfg
recovery.log
flist
manifest
The archive_content file contains keyword and volume/disk/directory pairs that are used
to generate the flist file, which defines the contents of the recovery image. See
make_net_recovery(1M) and make_tape_recovery(1M) for more information on inclusion and
exclusion of files in the recovery image.
192 Recovery

3. Run the recovery interface.
If the -i option is specified on the command line, the recovery user interface is executed next.
This interface enables users to set or change the following default values for the image:
•Long description of the recovery image. This description adds identifying information that
can help distinguish between recovery images when the timestamp is not sufficient. This
information is shown by clicking Description on the Basic tab during installation
configuration.
•Maximum number of recovery images to keep. When the number of recovery images in
the destination directory reaches this maximum, make_[tape|net]_recovery removes
the oldest one. It uses the timestamp in the name to determine which to remove.
•Destination host for the recovery image.
•Destination directory for the recovery image.
The user interface also gives you the opportunity to review and edit the
archive_content file as mentioned in the previous step. When you exit the recovery
user interface, the default values you entered are written to:
/var/opt/ignite/clients/client/recovery/defaults.
The list of files included in the recovery image is written to archive_content in the
/var/opt/ignite/clients/client/recovery directory.
4. Save the system configuration.
For all disk and volume groups, even those not included in the recovery image,
make_[tape|net]_recovery backs up disk and volume group configuration information,
and then stores it in the system_cfg file. For LVM, it also obtains map files for volume groups
that are not part of the recovery image. The volume group configuration files and the map
files generated at this stage are stored in /etc/lvmconf. This directory is included in the
list of essential files, so the LVM files are included in the recovery image. For VxVM, commands
are included in control_cfg that restore disk groups.
After the volume group information is saved, make_[tape|net]_recovery creates the
control_cfg file. This file includes the post_config_cmds to import all volume or disk
groups that were not included in the recovery image, and to activate all volume groups that
were imported. It also includes control flags, such as recovery_mode=true, to guide the
behavior of Ignite-UX during recovery.
5. Build the recovery archive.
Next, make_[tape|net]_recovery calls make_sys_image to create the recovery archive.
Then make_sys_image passes a prebuilt flist to calculate the total disk space currently
used by all the files to be included in the archive. It uses this information with a compression
ratio to estimate the final size of the archive. If the destination directory has sufficient free disk
space for the archive, make_sys_image creates the archive using the pax command. For
more information, see pax(1) and make_sys_image(1M).
NOTE: On HP-UX 11i v3 OS, the make_sys_image command will not create archive if the
legacy device support is disabled. To enable the legacy device support, run the following
command: # insf –L
6. Prepare the configuration file.
Once the recovery archive is created, make_[tape|net]_recovery calls
make_arch_config to create the archive_cfg file to reference it. Then
System Recovery 193

make_arch_config uses archive_impact to calculate the file system impacts for the
recovery archive, and includes these in the sw_sel clause it writes.
7. Update the CINDEX file.
Lastly, make_[tape|net]_recovery uses manage_index to update the
/var/opt/ignite/clients/client/CINDEX file for the client. This file contains a list
of all the recovery configurations available for the client. The configuration clause for the most
recently created recovery archive is similar to the following excerpt:
cfg "2005-03-17,11:19 Recovery Archive" {
description "Recovery Archive"
"recovery/2005-03-17,11:19/system_cfg"
"recovery/2005-03-17,11:19/control_cfg"
"recovery/2005-03-17,11:19/archive_cfg"
}=TRUE
Recovery Image Creation Status
You can monitor the status of the recovery image creation process by right-clicking on the client
icon or clicking the Actions menu, then selecting Client Status.... The resulting dialog box details
the progress as the recovery image is created with make_net_recovery as shown in Figure 97.
Figure 97 Get Archive Build Status Dialog Box
Examining Recovery Image Contents
The commands make_[tape|net]_recovery call /opt/ignite/lbin/list_expander
as part of the process of determining what to include in a recovery image. You can use the
list_expander command independently to determine for yourself what will be in the recovery
image.
194 Recovery

To list the files and directories included in a recovery image, use the list_expander command
in the following way:
/opt/ignite/lbin/list_expander -f archive_content
where archive_content is the file that identifies keywords specifying inclusions and exclusions
for the recovery image. It is the same archive_content file discussed in the "Recovery Image
Creation Process" section above.
NOTE: The /var/opt/ignite/clients/client/recovery/archive_content file is
overwritten whether a recovery image is successfully produced or not. Be sure the
archive_content file matches the recovery image you are exploring.
Running list_expander without specifying -f archive_content causes a list of the essential
recovery image files and directories to be listed.
You can also use list_expander to list disks and volume groups included in a recovery image
by using the -d option:
/opt/ignite/lbin/list_expander -d -f archive_content
Omitting the -f archive_content will cause the essential list to be displayed.
The following is example list_expander -d output:
In? dsk/vg name minor# Associated disks
0 d /dev/dsk/c0t3d0
1 v /dev/vg00 0x00 /dev/dsk/c0t6d0
/dev/dsk/c0t4d0
0 v /dev/vg01 0x01 /dev/dsk/c0t1d0
0 v /dev/vg02 0x02 /dev/dsk/c0t2d0
The In? column shows, for each disk or volume group, if it will be:
2= included in full (inc_entire specifies entire disk/volume group), or 1= included in part
(some files are included, some not), or 0= not included at all (no files from this disk/volume group
are included.)
The 0means the disk or volume group will not be touched. The 1or 2means that the disk or
volume group will be recreated and files from the recovery image will be restored during a recovery
operation.
The dsk/vg column shows that the system has one whole disk (d) and three volume groups (v).
The next column gives the names of the disks and volume groups.
NOTE: The following circumstance may cause list_expander to halt:
When processing information, list_expander uses the libc function ftw, see ftw(3C), to
recursively descend the directory hierarchy.
When ftw encounters a directory containing a large number of files, all of the descendent files
are processed recursively. This can cause stack size problems. For example, if the directory
contained 400,000 files, the stack size must be at least 51.2 MB to support the number of recursive
function calls (400,000 calls x 128 bytes/stack frame), since each ftw call allocates a stack frame
of 128 bytes. In this case it is wise to allocate additional space - 64 MB is a better stack size
choice.
If the stack size is not large enough, list_expander is killed due to a stack growth failure. To
avoid this situation, you should configure the kernel tunable maxssiz accordingly. See the
kctune(1M) manpage for more information on tuning kernel parameters.
The above information is based on the HP-UX 11i v1 ftw() libc function. The behavior of ftw()
between releases or patch versions of HP-UX may change. Consider this information indicative of
the potential setting required; it should not be considered authoritative.
The file system volume sizes in the recovery image can be modified when the recovery image is
installed. By default, Ignite-UX ensures that there is 10 percent free space for each volume, and
System Recovery 195

modifies the file system volume size accordingly. If you do not want Ignite-UX to modify the file
system volume sizes automatically, add
init _hp_ignore_sw_impact=1
to your /var/opt/ignite/recovery/latest/system_cfg file, or to the
/var/opt/ignite/clients/client/recovery/latest/system_cfg file.
Verifying Recovery Image Results
During a system recovery, Ignite-UX by default restores the system to the state it was in when the
recovery image was created. Ignite-UX is a general-purpose installation tool. It modifies many
system configuration files if changes from the recovery configuration are required, such as increasing
volume sizes.
When you run make_[tape|net]_recovery, system configuration information is gathered and
saved in configuration files that are used later when the system is recovered. During the system
recovery you are allowed to make changes to this information, and Ignite-UX makes the appropriate
changes to the system configuration. If you do not make any changes, Ignite-UX simply reapplies
the same information, and there should be no change to the system after recovery.
Most of the system configuration files that Ignite-UX will modify are listed in the script, /opt/
ignite/data/scripts/os_arch_post_l. The os_arch_post_l script checks for the system
recovery case by checking the $RECOVERY_MODE variable. When this variable is TRUE, the
os_arch_post_l script causes some configuration files to be protected from modification by
using the "save_file" function. The os_arch_post_l script uses the "merge_file" function on files
that Ignite-UX knows how to merge information into.
The files operated on by "merge_file", as well as those that have a commented out "save_file"
line, are likely to be modified by Ignite-UX. Comments in the file explain any exceptions.
Because the list of files modified by Ignite-UX may change from release to release, it is best to look
at the os_arch_post_l file on your system to see which files are saved as-is and which are
merged with information from the Ignite-UX configuration files.
IMPORTANT: Ignite-UX version C.7.12.519 supports the recovery of a system with APA configured
on HP-UX 11i v3 March 2011 update or later. Ignite-UX version C.7.14.264 contains additional
fixes for systems with APA configured. HP recommends using Ignite-UX version C.7.14.264 or
later when creating recovery archives for systems configured with APA.
For more information about configuring APAs, see APA Administration Guide available at:http://
bizsupport1.austin.hp.com/bizsupport/TechSupport/DocumentIndex.jsp?lang=en&cc=us&
taskId=101&prodClassId=-1&contentType=SupportManual&docIndexId=64255&
prodTypeId=18964&prodSeriesId=4248623
NOTE: Ignite-UX does support recovery of a system that has all available LAN interfaces configured
into aggregate LAN interfaces.
Care should be taken when modifying network information via the Ignite-UX user interface. Without
a good understanding of how the aggregate LAN interfaces are setup on a system, modifying
network information during a recovery may lead to errors during or after the recovery.
WARNING! Support for APA in Ignite-UX is new and there may be issues discovered with Ignite-UX
and APA which are discovered late for inclusion into this manual. Due to this, if you encounter any
issues with APA and Ignite-UX, see Ignite-UX Frequently Asked Questions available at:
http://www.hp.com/go/sw-deployment-docs under the FAQ entry titled Does Ignite-UX Support
Auto-Port Aggregation (APA)?. The FAQ entry contains information about known problems and
information about what is or is not supported when using APA and Ignite-UX.
196 Recovery

Creating and Using Recovery Tapes
The Ignite-UX make_tape_recovery command creates a system recovery tape that can be used
to boot and recover a system that is not bootable due to corruption of the root disk or root volume
group. A system can be booted and installed from the tape without user intervention, including
configuration, customization, software selection, hostname, and networking information.
A bootable recovery tape can be created from the Ignite-UX server, however the client must have
a local tape drive.
It is preferable to use the Ignite-UX GUI on the Ignite-UX server when running an interactive
make_tape_recovery session. Executing it from the Ignite-UX GUI causes any additional server
configuration of NFS mounts to be performed. Additionally, more informative progress reporting
is provided, and it is easier to use that interface.
IMPORTANT: The media and data format (density and compression) of the installation tape you
create must be compatible with the clients on which it will be read. For example, if you have a
mixture of DDS4 and DDS5 tape drives on your systems and you wish to be able to read recovery
tapes on any of them, you should only use DDS4 media, as DDS5 media will not work in DDS4
drives.
The contents of the system recovery image will always include all files and directories that are
considered essential to bringing up a functional system. This essential list is predefined by
make_tape_recovery and is located in the following file:
/opt/ignite/recovery/mnr_essentials
In addition to the essential list, data can be included in the recovery image on a disk/volume
group, file, or directory basis. Nonessential files and directories can also be excluded.
The tape created by make_tape_recovery is completely self-contained and does not require
an Ignite-UX server to install the recovery image. The make_tape_recovery recovery image
contains a specially prepared LIF volume. The configuration file in the LIF volume is the configuration
file for the recovery archive. The /var/opt/ignite/data/INDEX file in the LIF volume specifies
the recovery configuration as the default for the system. The recovery tape contains additional
configuration information so no user interaction is required.
Additional files needed for booting and installing are copied from
/opt/ignite/boot/Rel_release and /opt/ignite/data to the LIF volume on the tape,
so everything the system needs to recover is there.
NOTE: During the recovery process, when the file system is set up and the I/O tree is initialized,
tape device files may be mapped differently from when the original recovery tape was made.
Therefore, it is possible for a recovery tape to be created with one tape device file, for instance
/dev/rmt/0m, and recovered from a different device file, such as /dev/rmt/2m, though the
physical device is the same.
You can also replicate a system and create a recovery image that can be used for installing clients.
The section, “Notes on Cloning Systems” (page 214) describes how to make use of this process.
For additional information regarding system cloning, see the Successful System Cloning using
Ignite-UX white paper at
http://www.hp.com/go/ignite-ux-docs.
IMPORTANT: If you use make_tape_recovery for recovery, your tapes should be clearly
labeled with the Ignite-UX version used to create them to avoid mixing Ignite-UX versions when
two-step media recovery is used. See “Tape Recovery With No Tape Boot Support — Two-Step
Media Recovery” (page 213) for more information.
Recovery Tape Creation Examples
The following examples are intended to assist you in using the make_tape_recovery tool.
System Recovery 197

Recovering a Minimal Operating System
To create a minimal operating system recovery tape at /dev/rmt/0mn containing only the
operating system elements required to boot the system, perform the following steps:
1. Load a writable tape in the default tape drive for your system.
2. As superuser, enter make_tape_recovery.
A tape will be created without further interaction.
System recovery from this tape involves booting from the tape to recover the minimum core operating
system. Then you would follow up with data recovery of all user files newer than those restored
from the recovery tape.
NOTE: If you are creating a recovery tape for an Itanium®-based system, you can choose to use
the -D option of make_tape_recovery to specify the name of the ANSI tape volume.
Creating a System Recovery Tape of the Entire Root Disk Volume
To create a system recovery tape at the default device, /dev/rmt/0m, that includes the entire
root disk in the recovery image, perform the following steps:
1. Load a writable tape in the default tape device for your system.
2. Enter the command:
make_tape_recovery -x inc_entire=vg00
A tape will be created without further interaction.
Creating a System Recovery Tape of the Root Disk Volume with /usr on a Different Volume Group
You can easily create a system recovery tape of the entire root disk, even if the /usr file system
resides on a different volume group, by using the -A option of make_tape_recovery. This
option has make_tape_recovery determine which disks and volume groups the specified files
reside on, and then include all files from those disks and volume groups in the recovery image.
1. Load a writable tape in the default tape device for your system.
2. Create a system recovery image with all the disks and volume groups containing the files
specified by the default essentials file list /opt/ignite/recovery/mnr_essentials, or
a user-defined version that replaces it, /var/opt/ignite/recovery/mnr_essentials,
by entering:
make_tape_recovery -A -s myserver -a /dev/rmt/0m
A tape is created on the default device, /dev/rmt/0m, without further interaction. You can
boot this tape on your new system.
TIP: The use of the -p option can be particularly helpful, as it allows you to preview the processing
that would take place without actually creating the tape.
Tape Recovery for PA-RISC Systems
To install a system recovery image from a tape on a PA-RISC system, use the following procedure:
1. Load the system recovery tape in the tape drive.
2. Boot the system.
3. Interrupt the boot sequence by pressing Esc.
4. Select the tape drive you want to use, and then boot from it.
5. Allow the installation process to complete.
For more information on creating recovery tapes, see make_tape_recovery(1M).
198 Recovery

Tape Recovery for Itanium-Based Systems
To boot from tape on an Itanium-based system you must first create a tape boot option on the EFI
Boot Manager menu. Verify that your Itanium-based system has firmware support for tape boot. If
there is firmware that supports tape boot available for your system, you may first need to upgrade
your firmware to make this functionality available. A set of tables showing minimum firmware
revisions and SCSI HBAs that support tape boot is available in the Ignite-UX Installation Booting
white paper available at
http://www.hp.com/go/ignite-ux-docs.
The first version of Ignite-UX to support native tape boot for Itanium-based systems is C.6.8. Recovery
tapes created before that version of Ignite-UX can only be used with two-step recovery. See “Tape
Recovery With No Tape Boot Support — Two-Step Media Recovery” (page 213) for more information
on two-step recovery.
The screens shown in this example are from an HP Integrity rx1620 system. Other systems may
vary in method and screen format. For information on how to configure boot devices for your
system, consult your system’s hardware documentation.
IMPORTANT: Configuring an EFI menu option for tape boot requires downtime since it can only
be done from the EFI Boot Manager. If you are going to use tape recovery on your Itanium-based
system, consider adding the tape boot option at your next planned maintenance window.
TIP: An ideal time to test tape recovery on your unique combination of system, tape drive, and
HBA, is after you have configured an EFI Boot Manager menu option for tape boot. You do not
need to recover the system. If you create a recovery tape with the -I option, you will enter an
interactive recovery. When you get to the interactive screens, reset the system instead of performing
a recovery.
Determining the Tape Drive’s EFI Path
When adding a tape boot option to the firmware, you must identify the tape drive you will use for
booting. The EFI menus will display device paths to choose from. Before beginning the tape boot
configuration process at the EFI level, you must determine the device path to your tape drive so
you can select the correct one to use for booting.
The ioscan -e command does not report EFI device paths for tape drives. Alternative methods
must be used to determine the correct path.
The EFI device path for our example is Acpi(HWP0002,100)/Pci(1|1)/Scsi(Pun4,Lun0)
One way to identify the tape drive’s path is to use the reconnect -r EFI command to get its
SCSI Physical and Logical unit numbers (Pun and Lun). The Pun and Lun numbers can be mapped
to the last part of the EFI device path. Below is the output of reconnect -r for our example.
Figure 98 Output From reconnect -r
Finding the Ultrium tape drive’s Pun and Lun numbers in this example is simple because not many
devices are listed.
If your system is partitionable, EFI will not automatically enumerate all connected devices. (This
allows for a speedier boot.) For this reason the tape drive you want to use may not be listed. If
System Recovery 199

this is the case, you will need to use the search command to list the devices on the HBA the tape
drive is connected to. See your system’s Operations Guide for details on the search command.
A third way to find the EFI device path is to use the tape drive’s hardware path as a map to it. The
ioscan -fkeCtape command will list the hardware path of the tape drive.
For our example, the hardware path is 0/1/1/1.4.0
Use the following diagram to map the hardware path to the EFI device path:
Figure 99 Mapping the Hardware Path to the EFI Device Path
Configuring the Tape Boot Option
Reboot your system and stop the process at the EFI menu before it times-out, as shown in the figure
below. Notice the last line warns that reboot will occur after the remaining seconds expire.
Figure 100 EFI Menu With Timer
Select Boot Configuration from the Boot Menu.
200 Recovery

Figure 101 Boot Configuration
Select Add Boot Entry from the Boot Configuration menu.
Figure 102 Add Boot Entry
The EFI Boot Manager will then display a menu listing the available devices to choose from. Select
the tape drive you wish to boot from. See Determining the Tape Drive’s EFI Path above for how to
select the correct device.
System Recovery 201

Figure 103 List of Selectable Boot Devices
Enter a description in the next dialog box. This is the text that will appear in the Boot Menu listing.
For this example, the new boot option will be called "Ultrium Tape."
Figure 104 Enter a Description for the Boot Option
Next, you will be prompted for load options. Press Enter at this point without entering anything.
202 Recovery

Figure 105 Enter Load Options
The last step is to save your edits to NVRAM. If you have made a mistake, press n, otherwise press
yand the changes will be saved to NVRAM.
Figure 106 Save Changes to NVRAM
You will be returned to the main EFI Boot Manager menu. If you answered yto the Save changes
to NVRAM question, your new boot option will appear listed with the description text you entered
in Figure 104.
System Recovery 203

Figure 107 The Boot Manager Menu with the New Option
At this point you have successfully configured a tape boot option, and it may be selected from the
EFI Boot Menu. For more information on creating recovery tapes, see make_tape_recovery(1M).
NOTE: When executing any Itanium-based boot using the install kernels and install file systems,
the following errors will appear in the output:
execve("/sbin/sh") failed, errno 0xffffffff
execve("/bin/sh") failed, errno 0xffffffff
These errors are not indicative of any Ignite-UX problem and can be safely ignored. The failures
occur because /sbin/sh and /bin/sh are not present on the system when the kernel is starting;
Ignite-UX does not need them at this point. On a non-installation boot, the kernel would be attempting
to run /sbin/pre_init_rc, a script.
Tape Recovery for Integrity Blade Systems
To boot from tape on an Integrity blade system you must first create a tape boot option on the EFI
Boot Manager menu. Verify that your Integrity blade system has firmware support for tape boot.
If there is firmware that supports tape boot available for your system, you may first need to upgrade
your firmware to make this functionality available.
The first version of Ignite-UX to support native tape boot for Integrity blade systems is C.7.10.474.
Recovery tapes created before that version of Ignite-UX can only be used with two-step recovery.
See “Tape Recovery With No Tape Boot Support — Two-Step Media Recovery” (page 213) for
more information on two-step recovery.
The screens shown in this example are from an ia64 hp Integrity BL890c i2 system. Other
systems may vary in method and screen format. For information on how to configure boot devices
for your system, consult your system’s hardware documentation.
Determining the Tape Drive’s EFI Path
When adding a tape boot option to the firmware, you must identify the tape drive you will use for
booting. The EFI menus will display device paths to choose from. Before beginning the tape boot
configuration process at the EFI level, you must determine the device path to your tape drive so
you can select the correct one to use for booting.
One way to identify the tape drive’s path is to use the tapeboot select command at the EFI
shell prompt.
204 Recovery

Determine Tape Drive EFI Path Using Command Line Interface
To get the tape driver EFI path, run the following command at the EFI shell:
Shell>> tapeboot select Fibre-Channel
Figure 108 Output From tapeboot select
Another way to identify the tape driver's path is to use the EFI Boot Manager menu. The File Explorer
window of the EFI Boot Manager menu displays tape devices connected through Fiber Channel
path.
Figure 109 The File Explorer Window
After identifying the EFI device path, enter the device path to start the boot recovery.
Figure 110 Tape Boot Device Path
For more information about booting from the tape device, see “Booting Itanium-Based Clients using
the Network” (page 100).
Creating and Using Network Recovery Images
Ignite-UX enables you to create recovery images using the network and store them onto the Ignite-UX
server system or any other specified system. Systems can be recovered across subnets after booting.
See “Making Boot Decisions When Using the Client Console” (page 96) and the sections in
Chapter 10 on "Installation Using bootsys" and "Installation Using the Ignite-UX GUI" for booting
options.
System Recovery 205

The make_net_recovery tool creates a system recovery image and stores it on a system that
may be accessed using the network. The recovery image created by make_net_recovery is
specific to the system it was created for and its identity includes hostname, IP address, networking
information, etc. In the event of a root disk failure, the recovery image can be installed using
Ignite-UX to recover the system.
The contents of the system recovery image will always include predefined files and directories that
are considered essential to bringing up a functional system. By running make_net_recovery
in interactive mode (with the -i option), the directories and files that make up the essential list can
be displayed. In addition to the essential list, data can be included in the recovery image on a
disk/volume group, file, or directory basis. Nonessential files and directories can also be included.
See “Recovery Image Contents” (page 190) for more information.
Network Recovery Server Dependency
The recovery images created by make_net_recovery are designed to work with an Ignite-UX
server; you cannot remove your Ignite-UX server and still use your recovery image.
Networking Features
Two NFS mount points are established on the client by make_net_recovery. The /var/opt/
ignite/clients directory on the Ignite-UX server is mounted to the client system to store
configuration files that describe the client configuration and location of the recovery image. The
second mount point is made to the archive_server:archive_dir (see the -a option) and is
used to store the recovery image of the client system. The default storage location on the Ignite-UX
server is /var/opt/ignite/recovery/archives. After successful or unsuccessful creation
of the system recovery image, the NFS mount points are unmounted.
The NFS mount for the recovery image directory may be exported on a per-client basis. A separate
recovery image directory is used for each client. This enables you to NFS export each directory
only to the individual client owning the recovery image, which provides security.
NOTE: If clients obtain temporary IP addresses from DHCP that differ from the IP address that
they use during normal operation, you must allow the client access to all of the possible IP addresses
to ensure access to the recovery image. If you do not, the client may fail to mount the recovery
image directory from the NFS server and the recovery will fail.
Log Files
On an Ignite-UX server, progress and errors are logged to:
/var/opt/ignite/clients/client/recovery/datetime/recovery.log
On a local system, progress and errors are logged to:
/var/opt/ignite/recovery/datetime/recovery.log
Adding Clients for Recovery
You can add a new client to your Ignite-UX server for the purpose of creating recovery images if
the client is already running HP-UX. Unlike installation, adding a client for recovery does not require
you to reboot the client. This is useful when you have installed the operating system, customized
it, and now want to be able to recover it in the event of a problem or for disaster recovery purposes.
To add a new client to your Ignite-UX server, and then create a system recovery image, use the
following steps:
206 Recovery

TIP: You can execute the Ignite-UX GUI from a different system as if you were on the Ignite-UX
server by using the following commands:
•On your host system, allow the Ignite-UX server to access your display by adding the Ignite-UX
server hostname to your xhost list:
xhost +Ignite-UX_server_hostname
•Set the DISPLAY variable to your local host system, if necessary. For example:
export DISPLAY=your_host_system:0
where your_host_system is the hostname of your system.
1. On the Ignite-UX server, as superuser enter
/opt/ignite/bin/ignite
2. Select Add New Client for Recovery from the Actions menu.
Figure 111 Add New Client for Recovery Dialog Box
3. In the Hostname box, enter the name of the client for which you want to create a recovery
image.
4. Select how you want to communicate with the client, ssh or remsh, and then click OK. Use
the default, ssh, for secure encrypted communications, or the unsecured remsh.
5. If you choose ssh, you are asked if you want to use this communication method for all
subsequent recovery, as well as any installation sessions run from the Ignite-UX server. Click
Yes to set ssh as the default client communication, or No if you only want to use ssh for this
recovery session.
The Ignite-UX server then attempts to contact the client to begin the recovery initialization
process and create a directory to contain the client’s information. In the event access to the
client is denied, as in Figure 112, you are asked if you want to provide the root password.
Figure 112 Confirmation Dialog Box
System Recovery 207
Clicking Yes produces a terminal window allowing you to enter the root password, clicking
No halts the addition of this client and returns you to the Ignite-UX GUI.
Once communication with the client is established and the client directory is constructed, a
client icon appears in the Ignite-UX GUI.
6. Ensure that the client icon for which you want to create a recovery image is selected, and
then select Create Network Recovery Archive from the Actions menu. You may be prompted
for the root password for the client.
The network recovery tools needed on the client are automatically installed.
After some informative dialog boxes, an Include/Exclude Selection dialog box appears. To view
the essential files, click Show. Essential files cannot be excluded, but you can customize the image
by specifying additional volumes, directories, or files. When an item is identified as both Include
and Exclude, the Exclude category takes precedence.
Examples of Network Recovery Image Creation
Create a Recovery Image from the Client
This command creates a recovery image from the client, using settings from the last invocation of
Ignite-UX, and using the options file on the Ignite-UX server (myserver) in the default location,
/var/opt/ignite/clients/client/recovery/ :
make_net_recovery -s myserver
Create a Recovery Tape on a Client that Includes the Volume Group, vg00
To create a recovery image from the client that includes files from all file systems in the vg00
volume group, enter:
make_net_recovery -s myserver -x inc_entire=vg00
Preview System Recovery
To preview the processing that would take place without actually creating the recovery image,
enter:
make_net_recovery -s myserver -p
Recovering using the Network for PA-RISC Clients
To recover a failed disk or volume group using the recovery image:
1. Boot the failed system using one of these methods (see “Booting PA-RISC Clients from the
Console ” (page 99)):
•Use Ignite-UX after reboot with boot lan install.
•Boot from an Ignite-UX server using bootsys if the client operating system is running.
•Boot the failed client locally by using a boot tape previously created with
make_boot_tape.
2. Do not interact with ISL.
If your Ignite-UX server supports installing more than one version of HP-UX, a target operating
system menu will appear:
ISL booting hpux KernelPrompt "Choose Operating System to Install:"
1. target OS is B.11.11
2. target OS is B.11.23 PA
3. target OS is B.11.31 PA
4. Exit
Choose an operating system to install that your hardware supports :
208 Recovery
3. At the client, from the main menu, select Install HP-UX.
a. Respond to the Network Configuration dialog box.
b. Respond to the UI Display Options dialog box (run at the Ignite-UX server or at a client.)
c. If working from the Ignite-UX server, select the client for the system to be recovered.
4. Select Install/New Install.
5. Select the recovery configuration to use, and then allow the recovery to continue.
Recovering using the Network for Itanium-Based Clients
To recover a failed disk or volume group using the system recovery image:
1. From the EFI Boot Manager menu, you will see a prompt to select a boot option. Select Boot
Configuration.
EFI Boot Manager ver 1.10 [14.62]
Please select a boot option
HP-UX Primary Boot: 0/1/1/1.2.0
EFI Shell [Built-in]
---------------------------------
Boot Configuration
System Configuration
Use ^ and v to change option(s). Use Enter to select an option
2. The Main Menu appears and prompts you to choose an operation. Select Add a Boot Option.
EFI Boot Maintenance Manager ver 1.10 [14.62]
Main Menu. Select an Operation
Boot from a File
Add a Boot Option
Delete Boot Option(s)
Change Boot Order
Manage BootNext setting
Set Auto Boot TimeOut
Select Active Console Output Devices
Select Active Console Input Devices
Select Active Standard Error Devices
Cold Reset
Exit
3. Select the appropriate network interface so that this network boot option loads the appropriate
file from the following menu. For example, look for entries identified with a MAC address as
in this example.
EFI Boot Maintenance Manager ver 1.10 [14.61]
Add a Boot Option. Select a Volume
IA64_EFI [Acpi(HWP0002,100)/Pci(1|0)/Scsi(Pun0,Lun0)/HD(Part1,Si
IA64_EFI [Acpi(HWP0002,100)/Pci(1|0)/Scsi(Pun0,Lun0)/HD(Part3,Si
IA64_EFI [Acpi(HWP0002,100)/Pci(1|1)/Scsi(Pun2,Lun0)/HD(Part1,Si
Removable Media Boot [Acpi(HWP0002,0)/Pci(2|0)/Ata(Primary,Master)
Load File [EFI Shell [Built-in]]
Load File [Acpi(HWP0002,0)/Pci(3|0)/Mac(123456789000)]
Load File [Acpi(HWP0002,100)/Pci(2|0)/Mac(987654321000)]
Exit
4. Enter an appropriate boot option name at the message prompt. For this example, the new
boot option is named lan0.
System Recovery 209
5. Exit to the main menu by pressing Esc. The new boot option now appears in the EFI Boot
Manager main menu.
EFI Boot Manager ver 1.10 [14.62]
Please select a boot option
HP-UX Primary Boot: 0/1/1/1.2.0
EFI Shell [Built-in]
Boot from lan0
---------------------------------
Boot Configuration
System Configuration
Use ^ and v to change option(s). Use Enter to select an option
6. Select the new boot option you created. The following is an example of a successful boot
using the new boot option.
Starting: Boot from lan0
@(#) HP-UX IA64 Network Bootstrap Program Revision 1.0
Downloading HPUX bootloader
Starting HPUX bootloader
Downloading file fpswa.efi (328192 bytes)
(C) Copyright 2004 Hewlett-Packard Development Company,
L.P.All rights reserved
HP-UX Boot Loader for IPF -- Revision 2.018
Booting from Lan
Downloading file AUTO (26 bytes)
Press Any Key to interrupt Autoboot
AUTO ==> boot Rel_B.11.23/IINSTALL
Seconds left till autoboot - 0
AUTOBOOTING...
AUTO BOOT> boot Rel_B.11.23/IINSTALL
Downloading file Rel_B.11.23/IINSTALL
7. At the client, from the main menu, select Install HP-UX.
a. Respond to the Network Configuration dialog box.
b. Respond to the UI Display Options dialog box (run at Ignite-UX server or at a client).
c. If working from the Ignite-UX server, select the client for recovery.
8. Select Install/New Install.
9. Select the recovery configuration to use, and then allow the recovery to continue.
Retaining Recovery Images
The -n option of the make_net_recovery command allows you to retain a fixed number of
recovery images on your system, the default being two images. The oldest recovery image is
removed when a new recovery image is created and the specified limit is exceeded. For more
information, see make_net_recovery(1M).
You might want to prevent a specific recovery image from being deleted from your system. To do
this, you must rename the recovery image and the image directory, and use manage_index to
reflect the new names in the CINDEX file.
The following example renames a recovery archive yyyy-mm-dd,hh:mm to
Recovery_Archive.sav:
1. Log in to the system where recovery images are stored. This could be a system other then the
Ignite-UX server.
210 Recovery
2. Rename the recovery archive. (The path to your recovery archive might be different from the
example.) The name of the saved recovery archive can be anything unique, but it should be
outside the naming convention yyyy-mm-dd,hh:mm.
# cd /var/opt/ignite/recovery/archives/client
# mv yyyy-mm-dd,hh:mm Recovery_Archive.sav
3. If the system where recovery images are stored is different from your Ignite-UX server, log in
to the Ignite-UX server.
4. Rename the recovery archive directory.
# cd /var/opt/ignite/clients/client/recovery
# mv yyyy-mm-dd,hh:mm Recovery_Archive.sav
5. If the renamed recovery archive directory is the target of the symbolic link latest, then link
latest to the new directory.
# rm latest
# ln -s Recovery_Archive.sav latest
6. Edit the archive_cfg file in the Recovery_Archive.sav directory to reference the new
recovery archive name.
Change the archive_path variable inside the (source_type == "NET") clause to the
name of the saved recovery image.
(source_type == "NET") {
archive_path = "Recovery_Archive.sav"
}else {
archive_path = "1"
}
7. Use the manage_index command to update the configuration clause name and description,
and to change the directory to the archive's configuration files.
Rename the configuration clause:
# manage_index -m 'yyyy-mm-dd,hh:mm Recovery Archive' \
-c 'Your configuration name' \
-i /var/opt/ignite/clients/client/CINDEX
Update the configuration clause description:
# manage_index -y 'Your configuration description' \
-c 'Your configuration name' \
-i /var/opt/ignite/clients/client/CINDEX
Update the archive's configuration files to the new directory.
Use manage_index to get a list of all the files associated with the cfg clause.
# manage_index -w -c 'Your configuration name'\
-i /var/opt/ignite/clients/client/CINDEX
For each configuration file to rename, remove the references to the old directory. This example
renames archive_cfg. The other two configuration files to move are control_cfg and
system_cfg.
# manage_index -t -c 'Your configuration name' \
-f recovery/yyyy-mm-dd,hh:mm/archive_cfg \
-i /var/opt/ignite/clients/client/CINDEX
For each configuration file to rename, add the references to the new directory:
# manage_index -a -c 'Your configuration name' \
-f recovery/Recovery_Archive.sav/archive_cfg \
-i /var/opt/ignite/clients/client/CINDEX
System Recovery 211
Making Recovery Configuration File Additions
Using the recovery config.local file
To have a configuration file automatically added to all new recovery configuration clauses for a
given client, create a new Ignite-UX configuration file called:
/var/opt/ignite/clients/client/recovery/config.local
For local tapes the file is located in:
/var/opt/ignite/recovery/config.local
This config.local file will automatically be included in your recovery configuration for this
client each time you run make_net_recovery. (The make_net_recovery command is run for
you when you create a recovery image using the Ignite-UX TUI or GUI.)
If you already have recovery configurations for this client and would like them to include the
recovery config.local file, use the manage_index command to include a reference to
recovery/config.local in all of the configuration clauses.
The following example adds the recovery config.local file to all the 11i v2 cfg clauses in the
CINDEX file.
# manage_index -a -r B.11.23 -f recovery/config.local \
-i /var/opt/ignite/clients/client/CINDEX
For more information, see manage_index(1M).
Adding a depot
If you want to install a recovery image on a different hardware platform or HP-UX Virtual Partitions
(vPars) software, you might have to add software to the recovery configuration in the CINDEX file.
To add software to a recovery configuration, first create a configuration file for the software depot
with make_config. Then, add the configuration file to the recovery configuration clause in the
client's CINDEX file.
The following example creates a configuration file sw_cfg from the depot sw_depot and adds
the configuration file to all the configuration clauses for the release specified in the configuration
file name (Rel_release).
# make_config -s sw_depot -c /var/opt/ignite/data/Rel_release/sw_cfg
# manage_index -a -f /var/opt/ignite/data/Rel_release/sw_cfg \
-i /var/opt/ignite/clients/client/CINDEX
During recovery, the software bundles available in sw_depot will be available for selection from
the user interface software tab.
For more information, see manage_index(1M).
If you want the sw_cfg configuration file to be added to all new recovery configurations created
for the client, add the sw_cfg file to the config.local file. For more information, see “Using
the recovery config.local file” (page 212).
Selecting File Systems During Recovery
It is possible to change the way your disks are configured when you recover using a recovery
image created by make_net_recovery. If you want to use a standard HP file system layout,
you can specify the disk configuration using Ignite-UX. For more information, see “Basic Tab”
(page 118).
If you do not want to use a standard HP file system layout, you can modify the
/var/opt/ignite/clients/client/CINDEX file for the client you are recovering. The
CINDEX file contains one or more configuration clauses that refer to the recovery images you have
previously created with make_net_recovery. Add a new configuration file entry to the clause
you intend to recover from. If you want to add the standard HP file system choices, add the file
212 Recovery

/opt/ignite/data/Rel_release/config,
where release is the operating system release on the client you intend to recover. For example:
/opt/ignite/data/Rel_B.11.11/config
would be added for a client with the HP-UX 11.11 operating system. This new configuration file
entry should be the first entry in the clause you are modifying.
When you use the Ignite-UX GUI during recovery, select the File System type you want to use on
the Basic tab.
Tape Recovery With No Tape Boot Support — Two-Step Media Recovery
You can use the Ignite-UX tape recovery tool to recover your system even if there is no tape boot
support on the system.
Certain configurations, which are on most HP Integrity servers, allow you to directly boot a recovery
tape. For information about what configurations and minimum firmware revisions support native
tape boot on HP Integrity servers, refer to the Ignite-UX Installation Booting white paper, available
at http://www.hp.com/go/ignite-ux-docs.
IMPORTANT: HP recommends you boot from the Operating Environment (OE) media that
corresponds to the version of Ignite-UX you used to create your recovery tape. HP supports only
matched OE media and recovery tape version combinations.
Using unmatched versions might produce unpredictable results, including: missing files, error
messages, system hangs, and panics.
If you have misplaced the matching OE, or are using an Ignite-UX version with no matching OE,
you can make your own minimal bootable CD/DVD to support two-step media recovery. See
“Creating a Boot CD/DVD or an Installation DVD” (page 182), or see the section How do I create
the CD equivalent of a tape created by make_boot_tape? in the Ignite-UX Custom Configuration
Files document found on http://www.docs.hp.com/en/oshpux11iv3.html#Ignite-UX.
1. Insert the HP-UX OE media or the bootable custom media into the appropriate drive, and boot
from it. Either media must match the HP-UX version used when creating the recovery tape.
The User Interface and Media Options screen appears. Select Media only installation and
then OK.
User Interface and Media Options
This screen lets you pick from options that will determine if an
Ignite-UX server is used, and your user interface preference.
Source Location Options:
[ * ] Media only installation
[ ] Media with Network enabled (allows use of SD depots)
[ ] Ignite-UX server based installation
User Interface Options:
[ * ] Advanced Installation (recommended for disk and file
system management)
[ ] No user interface - setup basic networking, use defaults
and go
[ ] Remote graphical interface running on the Ignite-UX server
Hint: If you need to make LVM size changes, or want to set the
final networking parameters during the install, you will
need to use the Advanced mode (or remote graphical
interface).
[ OK ] [ Cancel ] [ Help ]
System Recovery 213
2. Media Installation
This screen provides an option to switch the install source
from the default CD/DVD to a recovery tape. This is helpful
for those systems and for tape devices which do not support
booting from a tape.
[ ] CD/DVD Installation
[ * ] Boot from CD/DVD, Recover from Tape
[ OK ] [ cancel ] [ Help ]
3. Select Boot from CD/DVD, Recover from Tape and select OK to advance to the Tape Drive
Selection screen:
Tape Drive Selection
There are one or more tape drives detected on the system.
Insert your recovery tape into one of the drives and then
select that drive from the list below.
Use the <tab> and/or arrow keys to move to the desired TAPE device,
then press <Return/Enter> to select.
HW Path Device File Description
----------------------------------------------------------
[ 0/4/1/0.0x6.0x0 /dev/rmt/c6t6dOBEST HP_SDLT600 ]
4. Select the tape drive that contains the recovery image tape, then press Enter to start the
installation of the recovery image from the chosen tape drive.
Notes on Cloning Systems
Ignite-UX offers two main options for replicating (cloning) systems. The more flexible and complex
golden image method makes use of make_sys_image to create an archive of the source system,
followed by manually modifying configuration files to meet your needs. A much simpler (but less
flexible approach) uses make_[tape|net]_recovery. The pros and cons of each are described
here.
In each case, the source system that is used must contain software that is compatible with all clients.
This means that the version of HP-UX, patches, drivers, etc., must be sufficient for all systems
involved. This often requires installing a superset of software and drivers onto the source system
that will be used on all potential clients.
Using the make_sys_image method
Using the golden image method of creating an archive with make_sys_image and then modifying
Ignite-UX configuration files to reference the archive is very flexible, but somewhat time consuming.
The end result gives you:
•The ability to install systems from network or media from either an Ignite-UX server or local
clients.
•The ability to customize the process and tune it to accommodate many different situations.
•A "clean" system: log files and most remnants specific to the source system are removed.
•A rebuilt kernel containing just the drivers needed by the client’s hardware.
•The ability to install additional software or patches on top of the system archive from an SD
depot. This reduces the need to recreate the archive and enables you to add support for new
hardware that requires new patches or drivers without making a new archive.
See Chapter 11: “Golden Images”, for more information.
214 Recovery
Using the make_[tape|net]_recovery method
The make_[tape|net]_recovery tools are designed to reproduce a system exactly the way
it was at the time the snapshot was taken. These tools try to accommodate cloning in various ways:
•You can change hostname and networking information.
•You can make changes to disks and file systems during the recovery.
•You can detect hardware model changes and rebuild the kernel.
However, their attempt to reproduce a system exactly may be undesirable:
•The disk layout is saved "as-is" from the original system and does not have flexible logic to
accommodate disks of varying sizes or locations.
•Hardware instance numbers for devices that exist at the same paths between systems have
the instance numbers preserved from the original system. This can cause non-contiguous
assignments in instance numbers, which is usually only a cosmetic problem.
•Many files that are specific to the system the recovery image was taken from are preserved.
This includes many log files, etc.
•When the kernel is rebuilt (in the "cloning" situation), drivers may be added as needed by
the hardware, but unused drivers will not be removed.
Cloning a System Using make_net_recovery
The recovery configurations and archives created by make_net_recovery are stored in a
separate directory on the Ignite-UX server for each client. Using the configuration and archive
created by make_net_recovery on one system to install a different system involves manually
copying some configuration files and allowing NFS access to the source system’s archive.
A system recovery tape created using make_tape_recovery can also be used to clone systems.
The system you are installing by cloning must have a local tape drive so you can boot from the
system recovery tape.
The following example illustrates how to clone a system:
1. Use make_net_recovery or Ignite-UX to create a system recovery image of the source
system.
2. On the Ignite-UX server, if the client to be installed does not currently have a directory in
/var/opt/ignite/clients but is up and running, use the Ignite-UX GUI to create that
directory using Add New Client for Recovery from the Actions menu. For more information,
see “Adding Clients for Recovery ” (page 206).
If the client is not running, you will either need to boot it from the Ignite-UX server or from
media in order for this directory to be created.
3. Copy the CINDEX and recovery directory from a source client to the target client directory. If
the target client has previously used make_net_recovery, it will already have a CINDEX
file. If the CINDEX file for the client exists, you might want to save a copy and then edit the
file to add the desired entries from the source client. The following commands copy the required
files. You may specify src_client and target_client using either the MAC address or
the client’s hostname, which is a symbolic link to the MAC address:
# cd /var/opt/ignite/clients/src_client
# find CINDEX recovery | cpio -pdvma ../target_client
4. Give the target client NFS access to the recovery image of the source system. Typically each
target client has its own directory on the source system for storing the recovery images and
System Recovery 215

the directory is exported only to the individual client. To do this, log in to the system that holds
the recovery image (normally the Ignite-UX server).
For HP-UX 11i v3 systems:
•Edit the /etc/dfs/dfstab file on the source client.
•Append ,ro=target_client to the -o argument of the source client's line, where
target_client is a fully qualified client name.
•Run # shareall -F nfs
For HP-UX 11i v1 and 11i v2 systems:
•Edit the /etc/exports file on the source client.
•Append :target_client to the end of the source client's line, where target_client
is the hostname of the target system.
•Run # exportfs -av
See dfstab(4) or exportfs(4) for more information.
5. Boot the target client from the Ignite-UX server using any method you prefer. When you install
the system, you can select from the recovery configurations of the source system.
6. Change the system networking parameters for the client during the installation.
For additional information regarding system cloning, see the Successful System Cloning using
Ignite-UX white paper at
http://www.hp.com/go/ignite-ux-docs.
System Recovery Questions and Answers
Question:
Can I use a network recovery image if my system is not on the same subnet as the Ignite-UX server?
Yes, there are the commands make_boot_tape ,make_ipf_tape, and make_media_install
that create minimal boot media for use by any client. The media contain just enough information
to boot a client and then connect to the Ignite-UX server where the tape, CD, or DVD was created.
If that is the server where the client’s recovery configuration files are stored, then the client can be
recovered.
It is not possible to boot all systems from a tape device. See “Tape Recovery With No Tape Boot
Support — Two-Step Media Recovery” (page 213).
If you initiate recovery tape creation from the Ignite-UX server, the server will warn you if the client
requires boot media. If you ignore this warning, misplace your boot media, or find that your media
are for the wrong Ignite-UX server, you can always create new boot media on the server you want
to use. There is no client-specific information on the media.
Notice that media created by make_boot_tape,make_ipf_tape, and make_media_install
are useful not only for recovery situations, but also for ordinary installations. If you do not want to
set up a boot helper for systems on a separate subnet than the Ignite-UX server, you can simply
create bootable media.
For more information, see Chapter 14 (page 177),make_boot_tape(1M), and make_ipf_tape(1M).
Other options include direct boot profiles (see “Direct Boot Profiles for Itanium-Based Systems”
(page 102)) and boot helpers (see “Ignite-UX bootp Boot Helper” (page 55)).
Question:
How can I change my setup so a network recovery image is available not only on the system for
which it was created, but also on other systems with very similar hardware?
216 Recovery
Because networking information can be changed using the interface and will not be overwritten
by files extracted from the image, it is natural to think about sharing recovery images for systems
with identical or nearly identical hardware. But unlike shared configurations that appear in the
configuration list for all clients, network recovery configurations only appear in the configuration
list of the client for which they were created.
The source for shared configurations is the /var/opt/ignite/data/INDEX file that is created
when Ignite-UX is installed, and the source for client-specific configurations is the CINDEX file that
is created by make_net_recovery in the /var/opt/ignite/clients/client directory.
One simple way to share a recovery configuration among two systems with similar hardware is
to copy the CINDEX file and the recovery directory of the client with the image to the directory of
the client without the image. The fact that the entries in CINDEX use relative paths means you do
not have to change the CINDEX file when you copy it. You will need to NFS export the directory
containing the image to the sharing client. For detailed information on this process, see “Cloning
a System Using make_net_recovery” (page 215).
Question:
I do not want to interact with the user interface after I reboot the client. How can I have my latest
network recovery image chosen automatically?
As long as the client is currently booted, use bootsys -a to start the installation process on the
client without the need to interact with the user interface.
Ignite-UX chooses a configuration to use based on these guidelines:
•If /var/opt/ignite/clients/client/config exists, use the cfg clause specified there.
•If /var/opt/ignite/clients/client/config does not exist, use the default cfg clause
for the client.
The default cfg clause for the client is the last applicable entry set to true in the CINDEX file
if it exists. Otherwise, the default cfg clause is the last applicable entry set to true in the INDEX
file. Because make_net_recovery sets the most recently created recovery cfg clause to true
in CINDEX whenever it creates a new image, that will be the default unless it is manually
changed.
To set Ignite-UX to choose the latest network recovery image automatically:
1. Rename or remove the config configuration file currently in the client’s directory, or use the
bootsys -f option.
2. Run this from the Ignite-UX server:
bootsys -a client
For information on automating an installation, see the descriptions of run_ui,
control_from_server, and INST_ALLOW_WARNINGS in instl_adm(4).
Question:
What causes tftp errors when recovering or installing a system?
•Only /opt/ignite and /var/opt/ignite should be needed for tftp access.
•Check /etc/inetd.conf
•Files in INDEX should not be in directories outside /opt/ignite and /var/opt/ignite.
Question:
What can I do when problems occur from hot-swapping disks during recovery?
Ignite-UX supports only hot-swappable disks that are completely in place and not removed when
creating a recovery image. Proper software and hardware procedures must be used for hot-swap
disk removal or replacement before or after recovery, but not during. The LVM command,
System Recovery 217
lvlnboot, used by save_config does not work when a disk is removed and the system is in
this intermediate state. If this command is not working, a recovery cannot succeed.
Question:
Why is the EFI volume not restored during a recovery?
Ignite-UX destroys the old EFI volume on the boot disk and creates a new EFI volume every time
the system is installed. At no point during the installation is the old EFI volume copied and restored
to the disk.
To restore the EFI volume to the disk, reinstall the application or look at the SD configure scripts
for the application and then rerun the commands that put the EFI volume in place on the disk.
Question:
Why does make_net_recovery fail when the image is 2 or more?
The make_net_recovery command uses NFS to write/read the system image from the client
to/from the server. To manage images greater than 2 requires that both the client and server use
NFS protocol Version 3 (PV3). NFS PV3 is standard on all HP-UX 11i releases.
If you know you have NFS PV3 and are having problems, check the /etc/rc.config.d/
nfsconf file for the configured parameter, MOUNTD_VER that defines the default mount to be PV2
or PV3; it must be set to 3.
Question:
Why is the LAN address different after replacing a client system?
Ignite-UX uses a separate directory for each client under /var/opt/ignite/clients. Each
subdirectory is named based on the client’s LAN address. If you replace the client hardware or
even the LAN interface that the old LAN address was based on, it will no longer access the same
directory on the server.
The simplest solution is to obtain the new LAN address with the BCH command LanAddress or
the EFI command lanaddress. Once you have the new address, manually rename the directory.
You may just remove the hostname symlink (it will be recreated automatically). Note that the LAN
address must be in all uppercase, and begin with 0x.
If you already booted from the client and caused the server to create a new directory, you can just
remove that directory before renaming the old directory. To avoid losing the recovery information,
be careful not to remove the original directory. For example:
# cd /var/opt/ignite/clients
# mv 0x00108300041F 0x00108300042A
# rm old_hostname
Question:
When recovering a system across multiple disks, how are the volumes assigned to disks?
Ignite-UX will do all it can to find a solution to refitting the volumes back to disks. If Ignite cannot
find a solution, it will automatically turn off the mapping by setting the Disk Mapping value from
Assigned Disk to Any. For information regarding how to set the Disk Mapping value, see “Volume
Parameters” and the File System/Swap Attributes section in instl_adm(4).
Question:
Why is the tape device different between making the recovery image and using the recovery image?
During the recovery process, when the file system is set up and the I/O tree is initialized, tape
device files might be mapped differently from when the original recovery tape was made. Therefore,
it is possible for a recovery tape to be created with one tape device file, for instance /dev/rmt/
218 Recovery

0m, and recovered from a different device file, such as /dev/rmt/2m, even though the physical
device is the same.
Question:
How can I recover a system which has volume groups configured using Cluster-wide Device Special
Files (cDSF)?
Ignite-UX supports cluster-wide Device Special Files (cDSF) from the C.7.16.x release. No extra
steps need to be performed during the creation of an archive or during the recovery process. If a
volume group is configured with cDSFs during the creation of an archive, it is recovered with the
cDSFs..
IMPORTANT: During a recovery, the consistency of cDSFs is not checked across the systems
sharing the storage. As a recovery archive is from a previous point in time and changes to the
cDSFs visible to a system may have occurred, you must ensure that the volume group contains the
correct cDSFs before you attempt to use it. Failing to do so may cause data corruption and/or an
extended system or application outage. Please consult the io_cdsf_config(1m) manual page for
information on how to view, diagnose and correct potential conflicts with cDSFs.
System Recovery 219

16 Support and Other Resources
Contacting HP
Before you contact HP
Be sure to have the following information available before you contact HP:
•Technical support registration number (if applicable)
•Product serial number
•Product model name and number
•Product identification number
•Applicable error message
•Add-on boards or hardware
•Third-party hardware or software
•Operating system type and revision level
HP contact information
For the name of the nearest HP authorized reseller:
•See the Contact HP worldwide (in English) webpage (http://welcome.hp.com/country/us/
en/wwcontact_us.html).
For HP technical support:
•In the United States, for contact options see the Contact HP United States webpage (http://
welcome.hp.com/country/us/en/contact_us.html). To contact HP by phone:
◦Call 1-800-HP-INVENT (1-800-474-6836). This service is available 24 hours a day, 7
days a week. For continuous quality improvement, calls may be recorded or monitored.
◦If you have purchased a Care Pack (service upgrade), call 1-800-633-3600. For more
information about Care Packs, refer to the HP website (http://www.hp.com/hps).
•In other locations, see the Contact HP worldwide (in English) webpage (http://
welcome.hp.com/country/us/en/wwcontact_us.html).
Documentation feedback
HP welcomes your feedback. To make comments and suggestions about product documentation,
send a message to docsfeedback@hp.com.
Include the document title and manufacturing part number. All submissions become the property
of HP.
Related information
Documents
The following documents are available on the HP Business Support Center (BSC) www.hp.com/
bizsupport/ and most are available on the HP-UX core documents page on the BSC www.hp.com/
go/hpux-core-docs.
220 Support and Other Resources

The Ignite-UX documents page on the BSC is www.hp.com/go/ignite-ux-docs and the HP-UX
Software Deployment documents page is www.hp.com/go/sw-deployment-docs.
•Ignite-UX Quick Start Guide
•Ignite-UX Reference
•Ignite-UX Release Notes
•Ignite-UX Supported Versions
•Ignite-UX Frequently Asked Questions
•Ignite-UX Custom Configuration Files
•Ignite-UX USB Memory Stick Boot White Paper
•Ignite-UX and SAS Devices White Paper
•Ignite-UX and MirrorDisk/UX White Paper
•Successful System Cloning using Ignite-UX White Paper
•Successful System Recovery using Ignite-UX White Paper
•Installing and Updating Ignite-UX White Paper
•Ignite-UX Installation Booting White Paper
•Read Before Installing or Updating to HP-UX
•HP-UX Installation and Update Guide
•HP-UX Reference
•HP-UX System Administrator’s Guide
•Managing Systems and Workgroups: A Guide for HP-UX System Administrators
•Software Distributor Administration Guide
•Patch Management User Guide for HP-UX 11i Systems
•nPartition Administrator's Guide
•Veritas File System 4.1 Administrator's Guide
•Veritas File System 5.0 Administrator's Guide
•Veritas Volume Manager 4.1 Administrator's Guide
•Veritas Volume Manager 5.0 Administrator's Guide
•HP Integrity iLO 2 MP Operations Guide
Websites
•The Ignite-UX Product Website, http://www.hp.com/go/ignite-ux, contains:
Product announcements◦
◦Access to downloads of the latest version of Ignite-UX
•Ignite-UX Software Depot webpage http://www.hp.com/go/ignite-ux-download
•Links to documentation can be found on the Business Support Center http://www.hp.com/
go/ignite-ux-docs
•HP_UX_Docs Twitter account http://www.twitter.com/HP_UX_Docs
•HP-UX 11i Knowledge-on-Demand: Best practices from our lab to yours http://
h71028.www7.hp.com/enterprise/us/en/os/hpux11i-kod-overview.html?
jumpid=reg_R1002_USEN
Related information 221

•Ignite-UX Training http://www.hp.com/education/courses/h1978s.html
•HP-UX training http://www.hp.com/education/sections/hpux.html
•HP-UX Technical Documentation www.hp.com/go/hpux-core-docs
•HP Integrity Systems Family Overview http://www.hp.com/go/integrity
•Software Depot http://www.hp.com/go/softwaredepot
•HP Software Releases and Media http://www.hp.com/softwarereleases/releases-media2
For information about the firmware versions required to support direct boot profiles on various
Itanium systems, see the following link:
•http://h20000.www2.hp.com/bizsupport/TechSupport/ProductRoot.jsp?lang=en&cc=us&
taskId=135
Typographic Conventions
The following conventions are used in this document:
Table 13 Typographic Conventions
ExamplesUsageTypeface
The VxVM components in the Ignite-UX install
environment and the installation must be version 5.0.
EmphasisItalics
Ignite-UX ReferenceBook titlesBook Title
configuration clauseGlossary termglossary term
EscA keyboard key (Return and Enter refer to
the same key)
Key
Go!A selectable GUI or TUI item.Bold
bootsys -RCommands entered via the keyboardCommand
/dev/dsk/c0t0d0Files and directoriesFile name
Please select a boot optionText a program displaysComputer
output
15.1.54.117Text you typeUser input
IP AddressVariables to be replaced by a name or
value
Variable
cfg "HP-UX b.11.23 Default" {
}
File contents
Listing
Seconds left until autoboot - 0
AUTOBOOTING...
An example display
Screen
ls [ -a ]The contents are command options. If the
contents are a list separated by |, choose
one of the items.
[ ]
mount [suid | nosuid ]
source_type="NET"
.
Extensive computer output or an excerpt.
..
..
}
CAUTION: Any data on the client disks that are
used for installation, including the operating system,
are removed entirely as part of this installation
process.
An alert that calls attention to important
information that if not understood or
followed can result in data loss, data
corruption, or damage to hardware or
software.
CAUTION
222 Support and Other Resources

Table 13 Typographic Conventions (continued)
ExamplesUsageTypeface
IMPORTANT: You must select Save to enable the
new boot menu option before selecting OK to exit.
An alert that calls attention to essential
information.
IMPORTANT
NOTE: Depending on your server, this screen might
look slightly different.
An alert that contains additional or
supplementary information.
NOTE
Typographic Conventions 223

A Troubleshooting
For information regarding system recovery troubleshooting, see “System Recovery Questions and
Answers” (page 216).
Also, see the Ignite-UX Frequently Asked Questions manual, available at http://www.hp.com/go/
ignite-ux-docs.
Errors and Warnings
During an HP-UX installation, messages indicating the status of tasks are written to the client log
file and either the log viewer (Ignite-UX server GUI-based installation) or the console (client UI-based
installation). Some of these messages may be ERROR or WARNING messages, which have the
following significance:
ERROR This indicates a serious problem, usually requiring action from you in order to proceed
with an installation.
WARNING This indicates something out of the ordinary, but not fatal. The warning may require
action.
If you encounter a message or experience unusual behavior, you can use the following sections
as prioritized lists of likely problems and their solutions.
Ignite-UX Server Problems
Mixed Versions of Ignite-UX
Cannot find /d_cfg_mnt_sb61/monitor_bpr after updating the server.
This is caused by having a mix of Ignite-UX fileset versions on your server. In most cases it happens
when you update only one release bundle even though you install other releases from that server.
An easy way to check for this case is to look at the output from the command:
swlist Ignite-UX
All the filesets should have the same version; if not, then you need to install all consistent versions.
If you have boot helper systems (see “Ignite-UX bootp Boot Helper” (page 55)), they also need
to have the Ignite-UX product updated to match the same version as the server that they reference.
For information about the supported versions, see Ignite-UX Supported Versions for HP-UX 11i:
http://www.hp.com/go/ignite-ux-docs
Installing Systems with Ignite-UX
Numerous samreg errors
Installing from an image returns numerous samreg errors.
The problem is that the SAM filesets have not been configured when certain products are trying
to register themselves with SAM.
The work-around is to place the following configuration clause in /var/opt/ignite/
config.local or in the configuration file that contains the sw_source clause of the core
operating system.
sw_source "core"
{
post_load_cmd += "swconfig -xautoselect_dependencies=false
-xenforce_dependencies=false SystemAdmin.SAM -xreconfigure=true"
}
NOTE: Due to formatting limitations, unintended line wraps exist in the previous example; the
post_load_cmd line should not wrap in your configuration file. You verify the syntax with the
instl_adm -T command.
224 Troubleshooting
Problem Installing Clients on Multiple Subnets
Problems occur when installing clients on multiple subnets.
Executing a LAN boot of clients on multiple subnets to a single, multi-homed Ignite-UX server has
the following limitations:
•The instl_bootd daemon allocates IP addresses from the instl_boottab file and matches
the IP addresses with the subnet from which the request came. If the instl_boottab file
does not contain an IP address that is valid for the client's subnet, the client will not be able
to boot from the server. Due to this lack of information, it can allocate an IP address that is
not valid for the client’s subnet, and thus the client will not be able to boot from the server.
The workarounds for this problem are:
◦For every subnet from which you may want to boot clients, you must have at least one IP
address that is valid for that subnet in /etc/opt/ignite/instl_boottab. This
ensures that instl_bootd can allocate an appropriate address.
◦For every possible client that you may want to boot, assign "reserved" IP addresses in
/etc/opt/ignite/instl_boottab that are tied to the client's MAC address. This
ensures that instl_bootd allocates an appropriate address (see the comments in the
instl_boottab file on how to reserve addresses).
◦Alternatively, you can set up entries in /etc/bootptab for every client that you want
to boot from the Ignite-UX server.
◦Configure a boot helper system on each subnet that the client can boot from before
contacting your central Ignite-UX server. See “Ignite-UX bootp Boot Helper” (page 55).
•The server keyword that specifies the IP address for your Ignite-UX server can only correspond
to one of the LAN interfaces. If each subnet is routed such that all clients can use the one IP
address to contact their server, then the installation will work. However, it is more efficient for
the client to use the server’s IP address that is connected directly to the client’s own subnet. If
a client is on a subnet that does not have a route to the IP address specified by server, it
will not be able to contact the server after it boots.
Workarounds for this problem are:
◦Manually correct the server’s IP address on the networking dialog box that appears on
the client console when you boot the client.
◦Use a boot helper on each subnet. When using a boot helper, the server’s IP address
can be specified correctly on each helper system.
Too Much File Space Needed
Ignite-UX requests more file system space than expected.
Ignite-UX adds the value of _hp_addnl_fs_free_pct(normally 10 percent) to the amount
required by the software impact. The configuration variable, _hp_addnl_fs_free_pct can be
set in any configuration file. It is set to a default value of 10 percent in each default release
configuration file. You can set this value using the Additional... button on the Basic tab in the
Ignite-UX GUI during an interactive installation. For more information, see “Basic Tab” (page 118).
You may have software bundles that have overlapping contents (filesets or files or both). The
make_config command makes sw_impact statements for each bundle without doing anything
special to guard against over-counting when the bundles overlap. For example the
Ignite-UX-11-xx bundles all overlap quite a bit so when you install all of them using Ignite-UX,
it estimates too much space. To find the space needed, add the sw_impact of all the sw_sel
software you are installing.
Debugging SD During Cold-Installation
How do I monitor Software Distributor operations during cold-installations from the Ignite-UX
server?
Installing Systems with Ignite-UX 225
Software Distributor debugging can be enabled on a per-session basis without modifying the
Ignite-UX server configuration files. From the initial Ignite-UX menu on the client, select Advanced
Options then Edit config file. This invokes vi and you could add, for example:
env_vars += "SDU_DEBUG_RPC=1"
sd_command_line += "-x logdetail=true -x loglevel=2"
Additionally, these configuration statements can be added to the Ignite-UX server configuration file
/var/opt/ignite/config.local if debug output is wanted for multiple clients or for multiple
installation sessions and avoids adding them interactively each time.
Booting Errors on PA-RISC Systems
Error:IPL error: bad LIF magic
Possible problems are:
•The tftp service does not have access to /opt/ignite and /var/opt/ignite. The
/etc/inetd.conf file on the server should have an entry similar to:
tftp dgram udp wait root /usr/lbin/tftpd tftpd\
/opt/ignite\
/var/opt/ignite
If not, correct the inetd.conf file and run inetd -c. Kill any tftpd processes that may
be running. Installing Ignite-UX should set up inetd.conf. The tftp service can also be
configured using SMH or SAM.
•Using a bootptab entry for the client that is referencing a nonexistent boot file (bf).
•A corrupted /opt/ignite/boot/boot_lif file.
Booting Error on Itanium-Based Systems when using /etc/bootptab
Error:PXE-E16: Valid PXE offer not received.
Exit status code: Invalid Parameter
When using /etc/bootptab to define Ignite-UX boot services, a number of problems can be
introduced resulting in this error. The following checklist can be used to isolate the problem:
1. Check inetd:
—Check /etc/inetd.conf to make certain bootps and tftp entries have been
uncommented. Make certain the tftp line contains /opt/ignite and /var/opt/
ignite paths.
—Signal inetd to reread the configuration files (inetd -c) after the files are edited. If
the inetd process is not running, start it using:
/sbin/init.d/inetd start
—Check /var/adm/syslog/syslog.log to make certain inetd was restarted and no
bad messages are found. Specifically check for messages from bootpd and tftpd.
—Check for entries in /var/adm/inetd.sec that may cause inetd to deny service to
certain clients.
2. Check bootpd:
—Check the /etc/bootptab entry. Make certain the MAC address matches the client
MAC address. Use dhcptools -v to validate the format of the /etc/bootptab file.
—Check for entries in /etc/dhcpdeny to ensure that bootpd is not set to deny service
for particular clients.
—Check /var/adm/syslog/syslog.log for a message from bootpd that indicates it
was started when a bootpd packet was received.
If packets were not received, use a tool such as tcpdump to check for network packets.
Verify that bootp packets are being seen by the system. If you do not have tcpdump
on your system, you can download it for either HP-UX 11i v1 or HP-UX 11i v2 from the
HP Internet Express Website at
226 Troubleshooting

https://h20293.www2.hp.com/portal/swdepot/try.do?
productNumber=HPUXIEXP1111
or
http://h20293.www2.hp.com/portal/swdepot/-
displayProductInfo.do?productNumber=HPUXIEXP1123
—Check to see if there are other systems on the network that may also be replying to the
booting client system.
—Check to see if the system booting is on a different subnet to the bootp server to ensure
that any router between the two allows the forwarding of bootp requests. The
configuration is router specific.
3. Check tftpd:
—Check the tftp line in /etc/inetd.conf to make certain that the /opt/ignite and
/var/opt/ignite directories are listed.
—Check the tftpd connection manually by using the tftp command, for example:
a. $tftp [server-name]
b. tftp> get /opt/ignite/boot/nbp.efi /tmp/nbp.efi
Received [n] bytes in [s] seconds
c. tftp> quit
Problems Pointing to Client Over Network
The control_from_server=true and run_ui=false variables are in [W|V|I]INSTALLFS,
but I still get prompted for information on the client.
Possible problems are:
•If the dialog box is showing the client name in an editable field and a Cancel button at the
bottom of the dialog box, then all is well and there should be an icon waiting for you on the
Ignite-UX GUI. The text box enables you to change the icon name or switch to a client side
install.
•If the dialog box is showing two or more LAN interfaces to choose from, then there was not
enough information in the configuration files to tell it which LAN to use. Once you select a
LAN and select Install HP-UX, you should be set.
•If the dialog box is prompting you for networking information, then either DHCP did not
respond or there is no entry in /etc/bootptab for the client. Enter the network information,
select Install HP-UX and continue the install.
Applications Hang After Igniting
Some applications and shells hang over NFS after igniting.
The reason for the hang is most likely due to a problem with the NFS file locking daemons,
rpc.statd and rpc.lockd, caused by the action of reinstalling the system. Many applications
use file locking and can hang in this situation. Most common are user home directories that are
NFS mounted, in which case sh and ksh will attempt to lock the .sh_history file and hang
before giving you a prompt.
When a system is running and has an active NFS mount with a server in which files have been
previously locked, both the client and server cache information about each other. Part of the
information that is cached is what RPC port number to use to contact the rpc.lockd daemon on
the server and client.
This RPC port information is cached in memory of the running rpc.statd/rpc.lockd process
on both the server and client sides. The rpc.statd process keeps a file in the directory /var/
statmon/sm for each system that it knows it should contact in the event that the system reboots
(or rpc.statd/rpc.lockd restarts). During a normal reboot or crash, rpc.statd will contact
all systems in /var/statmon/sm and inform them to flush their cache regarding this client.
Installing Systems with Ignite-UX 227
When you reinstall a system, the /var/statmon/sm directory is wiped out. In this case, if the
reinstalled system tries to recontact a server that has cached information, the server will try to
communicate over an old RPC port. The communication will fail for rpc.lockd and any file
locking done by an application over that NFS mount will hang.
There are a several ways to avoid and/or fix the problem if it happens:
•If you are using bootsys to install clients, use the -s option to allow the client to shutdown
normally and inform servers that it is going down.
•If you experience a hang, you can reboot the client or kill/restart rpc.lockd and rpc.statd
on the client. At the point of the hang, the /var/statmon/sm directory will contain the name
of the server, thus rebooting or restarting the daemons will tell the server to flush its cache. If
more than one server is involved, you may end up doing this multiple times until all servers
are notified.
•As part of the installation, create a file for each server in /var/statmon/sm that contains
the server’s name. This will cause the first boot to generate a crash recovery notification
message to each server, causing it to purge the stale port information. Following is an example
post_config_cmd that could be placed in your /var/opt/ignite/config.local file.
Replace sys* with your NFS server names.
post_config_cmd += "
mkdir -p /var/statmon/sm
for server in sys1 sys2 sys3
do
echo $server > /var/statmon/sm/$server
chmod 0200 /var/statmon/sm/$server
done
"
The bootsys Command Seems to Work in Reverse
With bootsys -w client, the client does not wait for the server. With bootsys client, the
client waits for the server.
This was probably due to running through the GUI once on the server prior to running bootsys.
The server drops the instruction for the client to start installing, and the next time the client boots it
picks that instruction up and goes. Ignite-UX tells you that the installation will happen the next time
bootsys -w is used, but does not say it happens automatically. Then, the next time you run
bootsys, you did not use the GUI without the client being booted from the server.
Server Not Listed
The search lan install command does not list the server.
Check these items on the Ignite-UX server from which you are trying to boot:
•Messages from instl_bootd /var/adm/syslog/syslog.log. If you need to add more
IP addresses to /etc/opt/ignite/instl_boottab, you will see messages in syslog.log
such as the following:
instl_bootd: Denying boot request for host: 080009F252B3 to
avoid IP address collision. Try booting again in 214 seconds, or
add more IP addresses to /etc/opt/ignite/instl_boottab.
•A message in syslog.log that indicates that you have no IP addresses in /etc/opt/
ignite/instl_boottab is:
instl_bootd: No available IP address found in:
/etc/opt/ignite/instl_boottab
•If the client is an older system that does not use the BOOTP protocol (like 720s, 710s, 735s,
750s), then also look in the log file /var/adm/rbootd.log, and check to make sure the
228 Troubleshooting
rbootd daemon is running. The rbootd daemon always runs, whereas instl_bootd is
started using inetd and only runs when needed.
Also, for these older clients, there is an intentional delay built into the rbootd process when
a client wants to do an installation boot (as opposed to a diskless boot). This prevents the
server from showing up during the first search. Retrying the search two or three times may be
necessary.
The bootsys Command Fails with Insufficient Space
The bootsys command fails due to insufficient space in the /stand volume.
The bootsys command must copy the two files,
/opt/ignite/boot/Rel_release/[W|V|I]INSTALL and
/opt/ignite/boot/Rel_release/[W|V|I]INSTALLFS
from the server into the client’s /stand directory. This error indicates that there is not enough
space in /stand. To correct this situation, you may need to remove any backup kernels. Also,
check for kernels in the /stand/build/ directory (like vmunix_test).
TUI Does Not Accept User Input
The text fields in the TUI do not accept keyboard input during client installations.
The text fields within the TUI do not recognize keyboard input, causing dialogs to reopen or loop.
This occurs when the Insert key is active so you must ensure that the Insert key is deactivated by
pressing it to enter data in the TUI.
Installing from Media
DCE/RPC Errors
DCE / RPC errors (RPC exceptions) occur during the configuration stage, and a failure message is
printed at the end of the installation.
There is an apparent problem with certain SD operations (for example, swacl) when only loopback
networking is enabled. This would occur if the "media only" installation option is selected. The
work-around is to install using the "media with networking enabled" option and set up (perhaps
temporary) networking parameters: hostname, IP address, netmask, routing, etc. SD operations
will complete normally.
Installing from Golden Images
Cannot Find Specified Archive
Errors: gunzip: stdin: unexpected end of file
pax_iux: The archive is empty.
ERROR: Cannot load OS archive (HP-UX Core Operating System
Archives)
The NFS mount probably succeeded, but the file was not accessible from the client. Check these
possibilities:
•File has a different name (check your configuration files).
•File has the wrong permissions such that it is not readable. Check /etc/exports for HP-UX
11i v1 and 11i v2 systems, and /etc/dfs/dfstab for HP-UX 11i v3 systems.
Missing .conf Files
The /etc/nsswitch.conf and /etc/resolv.conf files from the archive do not end up on
the installation client.
Installing from Media 229
Ignite-UX changes some files during the configuration process, including resolv.conf and
nsswitch.conf. The Ignite-UX os_arch_post_l and os_arch_post_c scripts place these
files on the client after the install.
These scripts are delivered in /opt/ignite/data/scripts/. You will probably only need to
modify os_arch_post_l. Search on resolv.conf and nsswitch.conf for directions on
what to change. After the script has been changed, modify your configuration file, which describes
the archive to point to the new script.
pax_iux Errors
Errors resulting from pax_iux similar to the following:
pax_iux: X: Cross-device link
pax_iux: X: File exists
Both of these errors may occur when installing a system from an archive that does not have the
same file system partitioning as the system from which the archive was created.
The Cross-device link error is caused when two files exist as hard links in the archive, and
when the two files would end up in separate file systems. For example, if you created an archive
on a system that did not use LVM, the root file system is all one file system. If you have two files,
/usr/local/bin/f1 and /opt/myprod/bin/f2 as hard links, this error occurs if you make
an archive of this system and try to apply it to a system that uses LVM and has /usr and /opt
as separate file systems.
The File exists error may occur when the archive has a symlink or regular file that is named
the same as a directory or mount point that exists when the archive is installed. This may happen,
for example, if the original system that the archive was made from has a symlink like /opt/myprod
-> /extra/space; then, when you are installing a system from the archive, you decide to create
a mounted file system as /opt/myprod. The pax command will fail to create the symbolic link
because a directory exists in its place.
When the error happens, you will be asked if you want to push a shell (on the client’s console).
Answer yes, and from the shell enter exit 2 to ignore the error, and it will continue. Once the
system is up, you can more-easily determine what should be done with the paths it complained
about.
To avoid the error, the system that the archive is created from should not contain hard links between
directories that are likely to be created as separate file systems.
Common Network Booting Errors
Insufficient Response to PXE Boot Request
PXE-E16: Valid PXE offer not received
When the above error is seen during a PXE boot, one of the following may be true (this is not an
exhaustive list) :
•The response from the DHCP server did not contain enough information to continue the PXE
boot.
•No PXE boot response was received.
Additional errors may be printed after this PXE error to show what the problem is related to.
File Size Miscalculated
PXE-E05: Download buffer is smaller than requested file.
This problem is related to firmware in EFI on the HP Integrity rx1600/rx1620 systems. Upgrade
the firmware on the system to a version that addresses the above message (system firmware 02.11
or later.)
When using a tftp server that does not support the tsize option, a file must be completely
downloaded to determine its size. The file is then downloaded again into memory allocated based
230 Troubleshooting
on the determined size. The EFI code calculates the wrong size, hence the allocated buffer is too
small to hold the file.
Apart from updating the firmware, using a tftp server that supports the tsize option will also solve
this problem. The tsize option allows a tftp client to ask the tftp server for the size of the file. This
saves the client from having to download the file to determine its size.
The HP-UX 11i v2 operating system supports the tsize option from first release; HP-UX 11i v1
requires the patch PHNE_32825.
Using a tftp server that supports the tsizeoption makes network booting faster, since every file
to be downloaded from the Ignite server via tftp does not have to be downloaded twice (once to
determine its size, and again to download it into memory.)
File Size Miscalculated on HP Integrity Virtual Machines
AUTOBOOTING...Obtaining size of Rel_B.11.23/IINSTALL (63450640 bytes)
Downloading file Rel_B.11.23/IINSTALL /
TFTP session failed. (reason:Buffer Too Small)
Could not open Rel_B.11.23/IINSTALL
The error TFTP session failed. (reason:Buffer Too Small) is applicable only to HP
Integrity Virtual Machines. The reason is the same as described under the heading: File Size
Miscalculated. No version of HP Integrity VM contains fixed firmware at this time. To resolve this
issue, install the patches listed in the File Size Miscalculated section so the tftpd daemon supports
the tsize option.
Common Network Booting Errors 231

B Configuring DHCP Services
HP-UX and Ignite-UX support retrieving network information using the Dynamic Host Configuration
Protocol (DHCP). This appendix describes setting up DHCP.
Ignite-UX allows for setting up DHCP for use during system installation. This appendix is for those
who want to use DHCP for ongoing IP address management, as well as for system installation.
All partitionable Itanium-based systems provide an alternative to using DHCP for network booting.
This EFI functionality is also found in other, non-partitionable systems. With these profiles, you can
supply all the networking information needed to contact an Ignite-UX server and perform an install
or recovery. For more information see “Direct Boot Profiles for Itanium-Based Systems” (page 102).
Overview of DHCP Services
DHCP provides these features:
•Enables dynamic allocation of IP addresses and hostnames.
•Automatically supplies most of the networking defaults that are requested during a system
installation or first-time boot.
•Provides for ongoing IP address maintenance using a concept of an "IP address lease." Having
a lease on an IP address means that if the system "goes away" for a specified period of time
without renewing the lease, then that IP address can be given to a different system that requests
a new IP address lease.
•Assists in reestablishing valid network parameters when a system has been moved from one
DHCP-managed network to another.
DHCP works best under these conditions and restrictions:
•When a range of currently unused IP addresses can be allocated for use during new system
installation.
•When the IP address-to-hostname mapping can be made ahead of time (before the system to
use it is installed), and this mapping can be configured in the name services database before
installing a system.
•When the IP address and hostname that get assigned to a system are not important. A system
will keep the same IP address and hostname for as long as it renews the lease. However, the
original assignment is arbitrary.
•When you do not want to choose a hostname for the system and will accept the hostname
already registered for the IP address supplied by DHCP. This ensures that the system will be
recognized immediately by its hostname.
•When existing systems that did not use DHCP before are willing to accept an arbitrary hostname
and IP address.
An alternative to using DHCP is to create /etc/bootptab entries for each specific client on the
network. This allows for specific IP address mappings and greater control. For more detail, see
“Using bootptab as an Alternative to DHCP ” (page 234).
For additional information regarding the use of DHCP with Itanium-based systems, see “Configuring
an Ignite Server to Boot Anonymous Itanium-Based Clients” (page 43) and see the HP-UX IP Address
and Client Management Administrator's Guide.
232 Configuring DHCP Services
DHCP Usage Examples
You can configure a DHCP server to respond only to specific clients during an installation using
instl_adm to configure specific dhcp_class_ids. Your situation might fall into one of these
categories:
•The network has a DHCP server and the clients being installed will be requesting IP addresses
from it. See the section “Manage Clients That Will Use DHCP During and After Installation”
(page 233).
•The network has a DHCP server, but you would like to manage a small group of temporary
IP addresses for use in performing installations. When deployed, the clients will be reassigned
new addresses. In this case, see “Manage Clients with Temporary IP Addresses During
Installation” (page 233)
Ensure DHCP is configured and operating on your Ignite-UX server.
For more information, see instl_adm(1M) and bootpd(1M).
Manage Clients That Will Use DHCP During and After Installation
This example uses DHCP with your Ignite-UX server or boot helper to provide IP addresses during
installation and regular use. This section assumes no networking information is being provided
interactively or by the configuration used to install the system.
If you have an existing DHCP device group you wish to use for DHCP addresses, make the following
changes to the install file system, substituting YourClassId with the class ID you wish to use.
dhcp_class_id="YourClassId"
is_net_info_temporary=false
The use of dhcp_class_id is optional. Use it if you want a lease on a DHCP-allocated IP address
associated with a specific DHCP class id. If you do not wish to specify a DHCP class id, no changes
are required to the install file system since the is_net_info_temporary keyword is set to false
by default. If you previously customized the install file system, you should review and change the
configuration as appropriate.
You should not use the same DHCP device group as the device group created for installing
anonymous Itanium-based clients. Typically, the number of IP addresses available from that device
group is small and the IP addresses will be exhausted quickly, leaving you unable to install or
recover any systems over the network. If you don't have a suitable DHCP device group available,
consider configuring a new DHCP device group in consultation with your network administrator.
After a cold install, you will be prompted for networking information. You must indicate the system
will use DHCP. See set_parms(1M) for more information.
Manage Clients with Temporary IP Addresses During Installation
This example uses DHCP with your Ignite-UX server or boot helper to provide temporary IP addresses
for installation and recovery.
The following assumes you have created a DHCP device group suitable for booting anonymous
Itanium-based clients and that you have made changes to the device group allowing it to recognize
the IgniteDHCPDeviceGroup class id. See “Isolating Ignite-UX From Noncontrollable DHCP
Servers ” (page 45) for information on how to change the device group. Make the following
changes to the install file system.
dhcp_class_id="IgniteDHCPDeviceGroup"
is_net_info_temporary=true
When choosing to use the same DHCP device group as the one for booting anonymous
Itanium-based clients, the system being installed or recovered will continue to use the IP address
for a longer period. The number of IP addresses available for network booting in this device group
should be sized to allow for the maximum number of systems you expect to be concurrently installing
or recovering.
For information regarding the usage of is_net_info_temporary, see this important note.
DHCP Usage Examples 233

For information regarding creating a DHCP device group for booting anonymous Itanium-based
clients, see “Ignite-UX Server and Boot Helper Setup for DHCP” (page 43).
Using bootptab as an Alternative to DHCP
If you want to have more control over the allocation of IP addresses and their mappings to your
clients, you can configure entries in /etc/bootptab for each client. Because the Bootstrap
Protocol (BOOTP) is a subset of the DHCP protocol, the client's request for a DHCP server will be
satisfied with the BOOTP response.
If you also specify a boot file (bf) of /opt/ignite/boot/boot_lif in the bootptab entries,
you do not need any additional entries in /etc/opt/ignite/inst_boottab. In this case, you
would boot the clients using boot lan instead of boot lan install. Only clients known in
/etc/bootptab will be able to boot if you do not use instl_boottab.
A minimal example /etc/bootptab entry follows; you must use your own hostname, IP address,
hardware address, and subnet mask. Other networking information may also be specified here
or using instl_adm. Specify the Ignite-UX server’s IP address with the instl_adm -t option.
sysname:\
hn:\
vm=rfc1048:\
ht=ether:\
ha=080009352575:\
ip=10.1.51.82:\
sm=255.255.255.0:\
bf=/opt/ignite/boot/boot_lif
NOTE: Important information relevant to using bootptab to enable network installation of clients
is found in “Configuring the Ignite-UX Server for Itanium-Based Clients” (page 34).
Background Information on DHCP Design
The DHCP protocol is implemented as extensions to the BOOTP protocol, and in fact the HP-UX
DHCP server and BOOTP daemons are the same: bootpd. This daemon reads two configuration
files: /etc/bootptab and /etc/dhcptab.
The mapping of systems to IP addresses and lease time information is kept in the DHCP database
file /etc/dhcpdb. Some amount of management of this database is provided by the dhcptools
command.
On the client side, a command called /usr/lbin/dhcpclient is used to contact the server to
get an IP address lease. This command has the ability to broadcast out onto the network prior to
the network interface being enabled.
The dhcpclient also serves as a daemon process that sleeps until such time that it needs to
renew the IP address lease. At that time, the client will recontact the server from which it got the
original lease in order to extend it.
The dhcpclient command is not intended to be run by users directly; it is called by other tools
during system boot and installation.
For more information regarding the networking parameters that DHCP can supply, see
auto_parms(1M) and dhcpdb2conf(1M).
For more general information regarding DHCP, see bootpd(1M) and dhcptools(1M).
234 Configuring DHCP Services

C LIF Volume Contents
The logical interchange format (LIF) volume contains portions of content needed for boot and
installation, and is required on any medium used for Ignite-UX boot, installation and recovery,
including network server, root disk (bootsys), tape, and CD/DVD.
The make_medialif command creates the LIF volume. For more information on creating a LIF
volume, see make_medialif(1M).
A Description of the Files in the LIF Volume.
To list the contents of a LIF volume, use the lifls -l lif_volume command. Example output
from lifls -l and descriptions of the files that can be in a LIF volume follow:
# lifls -l /var/tmp/lif
volume ISL10 data size 1953114 directory size 3 07/03/07 10:12:02
filename type start size implement created
===============================================================
ISL -12800 16 242 0 07/03/07 10:12:02
AUTO -12289 264 1 0 07/03/07 10:12:02
INDEX BIN 272 1 0 07/03/07 10:12:02
CONFIG BIN 280 84 0 07/03/07 10:12:02
HPUX -12928 368 1024 0 07/03/07 10:12:02
FWWKAR6 BIN 1392 1 0 07/03/07 10:12:02
FWWKAR7 BIN 1400 1 0 07/03/07 10:12:02
FWWKAR8 BIN 1408 1 0 07/03/07 10:12:02
WINSTALL -12290 1416 130092 0 07/03/07 10:12:04
WINSTALLFS -12290 131512 128000 0 07/03/07 10:12:04
IINSTALL -12290 259512 544598 0 07/03/07 10:12:09
IINSTALLFS -12290 804112 239616 0 07/03/07 10:12:09
RECCMDS BIN 1043728 1158 0 07/03/07 10:12:09
RECCMDSIA BIN 1044888 2210 0 07/03/07 10:12:09
INSTCMDS BIN 1047104 55663 0 07/03/07 10:12:09
SYSCMDS BIN 1102768 127867 0 07/03/07 10:12:09
INSTCMDSIA BIN 1230640 116929 0 07/03/07 10:12:09
SYSCMDSIA BIN 1347576 214290 0 07/03/07 10:12:10
SCRIPTS BIN 1561872 45 0 07/03/07 10:12:10
PAD BIN 1561920 256 0 07/03/07 10:12:10
#
The following list describes the files that can be in a LIF volume and, when applicable, identifies
the make_medialif options to include them.
•ISL — Initial system loader. The ISL implements the operating system independent portion of
the bootstrap process on PA-RISC systems. It is loaded and executed after self-test and
initialization have completed successfully. If it is run interactively, it issues a prompt and waits
for user interaction. Otherwise it looks for the AUTO file. It is extracted by make_medialif
from the default boot file: /opt/ignite/boot/boot_lif See isl(1M) for more information.
•AUTO — Autoexecute file. A file that defines default boot behavior. For PA-RISC systems the
AUTO file is in the LIF volume. For Itanium-based systems, the AUTO file is located in the /opt/
ignite/boot directory. See auto_adm(1M) for more information.
•INDEX — Default INDEX file. It groups references to configuration files in clauses in order to
define installation behavior.
•CONFIG — Typically contains all the software configuration information and the default file
system layout information. It includes default configuration information for the operating system
release, user-defined configuration information, and information regarding archives and
depots. To create a CONFIG file, you should begin with the default configuration file for the
release. For example, for HP–UX 11i v3 use /opt/ignite/data/Rel_B.11.31/config.
A Description of the Files in the LIF Volume. 235

Additional configuration files can be appended using the -f option of the make_medialif
command.
Information in this file allows complete access to all the archives and depots on the media.
The CONFIG file is referenced in the INDEX file.
For more information, see “Using Configuration Files” (page 158).
•HPUX — HP-UX bootstrap loader. It loads the kernel and starts HP-UX. For Ignite-UX, the HP-UX
bootstrap loader loads the install kernel ([W|V|I]INSTALL) and install file system
([W|V|I]INSTALLFS). The bootstrap loader may also load other LIF content it needs to operate.
See hpux(1M) for more information.
•FWWKAR* — A LIF might include files needed by system firmware and bootloaders such as
an FWWKAR file.
•[W|V|I]INSTALL — The HP-UX install kernel. The kernel is statically linked and includes a wide
variety of drivers and modules to support different computer systems.
—To support PA-RISC 32-bit systems, use the -o 32 make_medialif option to include
the INSTALL kernel.
—To support V-class PA-RISC systems, use the -o 64v make_medialif option to include
the VINSTALL kernel.
—To support wide 64-bit PA-RISC systems, use the -o 64w make_medialif option to
include the WINSTALL kernel.
—To support Itanium-based systems, use the -o IA make_medialif option to include
the IINSTALL kernel.
—Use the -a make_medialif option to include all [W|V|I]INSTALL kernel and
[W|V|I]INSTALLFS file system files in the /opt/ignite/boot/release directory.
NOTE: By default, the install kernel and install file system selected when a LIF volume
is built will match the HP-UX release running on the system where make_medialif is
run. Optionally, you may select boot content for a different HP-UX release via options.
See make_medialif(1M) for more information.
For more information, see “Classes of Configuration Files” (page 158).
•[W|V|I]INSTALLFS — The Ignite-UX HP-UX install file system image. This file system is loaded
into memory and serves as the initial root file system for the installation or recovery process.
Note that this file includes config content. See instl_adm(1M) for more information.
—To support PA-RISC 32-bit systems, use the -o 32 make_medialif option to include
the INSTALLFS file system.
—To support V-class PA-RISC systems, use the -o 64v make_medialif option to include
the VINSTALLFS file system.
—To support wide 64-bit PA-RISC systems, use the -o 64w make_medialif option to
include the WINSTALLFS file system.
—To support Itanium-based systems, use the -o IA make_medialif option to include
the IINSTALLFS file system.
—Use the -a make_medialif option to include all [W|V|I]INSTALL kernel and
[W|V|I]INSTALLFS file system files in the /opt/ignite/boot/release directory.
NOTE: By default, the install kernel and install file system selected when a LIF volume
is built will match the HP-UX release running on the system where make_medialif is
run. Optionally, you may select boot content for a different HP-UX release via options.
See make_medialif(1M) for more information.
For more information, see “Classes of Configuration Files” (page 158).
236 LIF Volume Contents

•INSTCMDS and INSTCMDSIA — A compressed tar archive of commands required for
specifying the system configuration to install on PA-RISC and Itanium-based systems,
respectively. It includes commands needed to set up disk volumes and file systems.
•SYSCMDS and SYSCMDSIA — A compressed tar archive of commands required for installation
of PA-RISC and Itanium-based systems, respectively. It includes commands needed to complete
installation and recovery.
•RECCMDS and RECCMDSIA — A compressed tar archive of commands required for expert
recovery on PA-RISC and Itanium-based systems, respectively.
•SCRIPTS — A configuration clause of commands containing scripts that can be selected in the
itool under the Advanced tab.
•PAD — A file used to reserve space for future content, control the size and position of content,
or both.
•VERSION — A file containing the Ignite-UX version used to produce the stored content. This
is to make sure the Ignite version used to create the content is the same version of Ignite you
are currently running. Mismatched versions can result in incorrect operation.
IMPORTANT: The first 8 KB of the install file system [W|V|I]INSTALLFS can contain Ignite-UX
text. If it does, this information is used first and can override configuration statements in the LIF
INDEX and CONFIG files. In particular, the information in the first 8 KB can cause the client to
boot from media and use an Ignite-UX server to complete installation, and controls if the installation
or recovery is interactive or not.
For more information, see “Using Configuration Files” (page 158).
A Description of the Files in the LIF Volume. 237

D Using Integrated Lights Out Virtual Media with Ignite-UX
The virtual media (vMedia) functionality is part of the iLO 2 Advanced Pack feature set and is
enabled by purchasing the optional iLO 2 Advanced Pack license and granting the vMedia right.
You can use iLO vMedia to boot and install HP-UX onto an Integrity system from a remote system's
DVD device or ISO DVD image. The remote system may be a PC.
This section describes how to use vMedia from a remote PC to boot an Integrity system using a
DVD, and then install it using an Ignite-UX server or installation media.
It is assumed the Integrity system is equipped with iLO, and that a valid vMedia license has been
obtained and installed. The vMedia feature of iLO requires a Java™ Plug-in. See the HP Integrity
iLO 2 Operations Guide, available at http://www.hp.com/go/bizsupport for detailed information
on iLO vMedia.
If you use an Ignite-UX server to do the installation, the version of Ignite-UX on the boot media must
match the version on the Ignite-UX server.
1. On the remote PC, open a browser window. Enter the IP address or the DNS name of the
Integrity system's iLO management processor (MP) as the browser Address. Log in to iLO by
entering your User Name and Password, and then selecting Sign In. (Initially, iLO is configured
with the default login user/password pairs of Admin/Admin and Oper/Oper. Password
protected user accounts can be configured and assigned levels of access.)
2. Select the Virtual Devices tab. Select Virtual Media from the left navigation bar. Make sure
you have a green Status light reading, “vMedia is available.”
NOTE: Depending on your server, this screen might look slightly different.
238 Using Integrated Lights Out Virtual Media with Ignite-UX

3. Select Launch to load the vMedia applet. The vMedia feature of iLO requires a Java Plug-in.
See the HP Integrity iLO 2 Operations Guide, available at http://www.hp.com/bizsupport
for detailed information on iLO vMedia.
NOTE: Only one user and one device can be connected at a time.
4. Select Local Media Drive and then select the correct DVD drive from the pull-down. Click
Connect. You should get a green light beside the virtual drive, as shown below.
5. Reboot the Integrity system from its console, interrupt the boot process, and then add a boot
option for vMedia. The console EFI menu sequence for adding a vMedia boot option follows.
Select Boot Option Maintenance Menu from the EFI Boot Manager.
239

Select Add a Boot Option.
Select the PC DVD vMedia device from the list of available volumes. The vMedia device will
appear to be local to the Integrity system.
240 Using Integrated Lights Out Virtual Media with Ignite-UX

Enter any description of the boot option you prefer. Then, enter N(No BootOption) as the
BootOption Data Type. Save the new boot option by entering Yat the “Save changes to
NVRAM” prompt.
Return to the main menu by selecting Exit.
Return to the boot option menu by selecting Exit from the main menu.
241

6. Make sure there is bootable media in the vMedia PC DVD drive and then select the boot
option you just created. If you are going to use an Ignite-UX server to do the installation, the
version of Ignite-UX on the boot media must match the version on the Ignite-UX server.
The system then boots from the vMedia DVD as shown below. Depending on network
performance, using vMedia can take longer than using physically local DVD media .
242 Using Integrated Lights Out Virtual Media with Ignite-UX

7. The client system then boots to Ignite. Select Install HP-UX.
8. Now that the Integrity system has been booted with HP-UX, it is time to install the HP-UX system
software. When possible, switch to install from an Ignite-UX server since vMedia installations
can take significantly longer than direct media or network-based installations. To install from
a server, select Ignite-UX server based installation and Advanced Installation from the User
Interface and Media Options screen.
243

Using vMedia with DVD installation media and ISO images
If you would like to continue using vMedia for the installation, select Media only installation
from the User Interface and Media Options screen. For installations that require multiple DVDs,
simply eject the finished DVD from the remote system and replace it with the next DVD. If you
are using an ISO image with vMedia, select a new image file using Connect. You should only
select Disconnect from the vMedia applet when you are completely finished using vMedia
since it frees vMedia for use by others.
9. Select OK and continue the configuration. When the configuration is complete, select Go!.
10. When you are finished using the iLO vMedia device, select Disconnect and close the applet.
This is important, as it allows others to use vMedia.
244 Using Integrated Lights Out Virtual Media with Ignite-UX

E Expert Recovery
With expert recovery, you can repair aspects of the operating system on a damaged root disk
using an Ignite-UX server or HP-UX OE media to boot the system. There are minor differences in
message content between using a server or media, but the process is functionally identical. When
using media, enabling and using networking is strictly optional.
Expert recovery can be useful if your system should become compromised or corrupt and will not
boot to a login prompt, or if the system boots but critical operating system files are corrupted. At
that point, it might be useful to restore system elements made available by booting from an Ignite-UX
server or OE media.
While it might be possible to repair LVM and VxVM problems, that would require in-depth
knowledge of those subsystems and is not documented here.
Expert recovery is not useful in recovering from hardware failures.
Expert Recovery Preparation
The more you know about the system disk and its layout before you encounter major damage or
corruption, the easier it will be for you to recover.
Much of this information, including file system types, can be obtained by accessing your online
system manifest, either using Ignite-UX or by reading the hardcopy that came with your system.
Before you attempt to recover an HP-UX system, you should gather the following information:
•The version of HP-UX on the system you are attempting to recover.
IMPORTANT: The HP-UX version of the system to recover must match the HP-UX version on
the boot server or OE media. For example, use HP-UX 11i v1 (B.11.11) OE media to recover
an HP-UX 11i v1 (B.11.11) system.
•The hardware path of the root file system on the disk (that is, what file system you will be
checking/repairing using fsck.)
•Whether you have an LVM, VxVM, or whole-disk system.
The Expert Recovery Procedure
The following is an example procedure for using expert recovery. Depending on your version of
HP-UX, your disk layout, and whether the client is Integrity or PA-RISC, the details of these screens
might vary.
IMPORTANT: This procedure requires the commands fsck and mount running successfully on
the system disk.
Expert Recovery Preparation 245

1. Boot your system from the Ignite-UX server or the OE media to begin the recovery process.
For specific information regarding how to boot your system from an alternate boot source,
see the HP-UX System Administrator’s Guide for HP-UX 11i v3, or the Managing Systems and
Workgroups: A Guide for HP-UX System Administrators manual.
The following menu is displayed once the booting process is complete. Select Run an Expert
Recovery Shell.
2. If you booted from a server, you will see the following screen. Press any key to continue.
Expert recovery will detect the interface used to boot the client. That interface will be highlighted
in the following screen.
246 Expert Recovery

Press Enter.
3. As usual, Ignite-UX will attempt to obtain networking information via DHCP. If that is set up
correctly, the following screen will be filled-in; otherwise, you must enter the correct networking
information. Confirm the networking information by selecting [ OK ].
4. Expert recovery will load commands as needed. Upon completion, the HP-UX NETWORK
SYSTEM RECOVERY menu is displayed:
The Expert Recovery Procedure 247

Select rand then Enter to continue with the recovery process.
5. Verify the root disk hardware path at the DEVICE FILE VERIFICATION MENU. Generally
speaking, the information displayed on the menu is correct and afollowed by Enter is the
correct selection.
6. Select aand then Enter from the HP-UX Recovery MENU to mount the root disk and push a
shell. From the shell, you'll be able to either restore an accidentally removed /dev/console
device file or to reset a damaged /etc/passwd file back to its newconfig state.
248 Expert Recovery

From this point the specifics of your system might cause your screens to appear differently
than shown here. Select the first option on all screens to continue through the process.
7. Proceed through the next set of screens to get to the shell prompt. The following screens are
for an Integrity LVM disk layout. Your screens might differ depending on your system –
especially device files will be different. (The following screen will not appear if you have a
VxVM root disk layout.)
Select a Enter to run fsck and proceed on.
The Expert Recovery Procedure 249

If fsck ran successfully, you can now restore an accidentally removed /dev/console device
file or reset a damaged /etc/passwd file back to its newconfig state.
8. To restore an accidentally removed /dev/console device file, enter the following command:
# mknod /ROOT/dev/console c 0 0
To reset a damaged /etc/passwd file to its newconfig state, enter the following command:
# cp /etc/passwd /ROOT/etc/passwd
9. If you require additional content, it can be loaded using the loadfile command. For example,
to get the /etc/magic file:
# loadfile /etc/magic
The loadfile command loads content from the SYSCMDS archive by default. If the content
is only available in the INSTCMDS archive, then use the -l option. For example:
# loadfile -l INSTCMDS /sbin/vx_emerg_start
10. When the recovery tasks are complete, exit expert recovery by first entering the menu command
at the shell prompt.
# menu
You are then returned to the HP-UX NETWORK SYSTEM RECOVERY screen.
Select b Enter to reboot the system.
250 Expert Recovery

F Terminal Keyboard Shortcuts
The Ignite-UX client-side installation tools support HP terminals, VT100, and Wyse 60 to navigate
within the Ignite-UX GUI using a keyboard.
The following sections describe the various keyboard shortcuts that can be used in conjunction
with the support terminals.
Basic Keyboard Shortcuts
These basic keyboard shortcuts can be used on both the vt100 and wyse60 terminals.
Table 14 Basic Keyboard Shortcuts
KeysAction
TabMove among window elements.
Arrow keysMove within or scroll a window element.
TabMove to the tabs appearing across the top of the window.
TabLeave the tabs.
Space barSelect (highlight) a list item.
Space barDeselect a list item.
Space barClick a button, radio button or checkbox.
Page Up and Page Down keys (See
“Advanced Keyboard Navigation” (page 251)
if these keys are not available.)
Scroll up or down one page.
Ctrl-Lor Shift-F1Refresh the window and contents.
Advanced Keyboard Navigation
HP Terminals
HP-family terminals display function key labels, also called softkey labels, at the bottom of the
window. These labels vary depending on the type of window being displayed, but the functions
of the F1-F4 keys are consistent. These four keys function as follows:
Table 15 HP Terminal Function Keys
KeyFunction
F1Context-sensitive Help
F2ALT (a modifier key)
F3Select/Deselect
F4Menu bar on/off
Some of the advanced actions in the following table require a key-combination by pressing the
Alt key (F2), releasing it, and then pressing another key. For example, selecting all items in a list
requires first pressing F2, releasing it, and then pressing /.
Table 16 Advanced Actions
Key CombinationAction
PrevScroll a list left one page.
NextScroll a list right one page.
Basic Keyboard Shortcuts 251

Table 16 Advanced Actions (continued)
Key CombinationAction
F2, then /on the main keyboardSelect (highlight) all items in a list.
F2, then \on the main keyboardDeselect all items in a list.
F2, then the mnemonic (underlined) letterOpen a menu on the menu bar by using the mnemonic
(underlined) letter
F2, then the mnemonic (underlined) letterPress a button if the cursor is not resting on it.
TIP: To quickly save changes to a file system on the File System tab when using an HP terminal,
press F2 followed by the letter m. You save time and effort using this method since you do not have
to navigate to the Modify button then press it.
vt100 Terminals
Typically the vt100 family keyboards use the same row of keys immediately above the numeric
key pad as function keys. These keys may be labeled [PF1] -[PF4], but in some cases may be labeled
*,/,+, and -. On some HP workstation (and HP 700 series terminals) keyboards, these keys may
be four unlabeled keys above the keypad. If this is the case, [PF1] is the left unlabeled most key
and [PF4] the right most key.
If you are unsure where the [PF1] -[PF4] keys are located on your keyboard, HP recommends the
following:
•Consult the hardware documentation for your terminal to determine the keys that correspond
to the [PF1] -[PF4] keys.
•If you are using X11, you must determine how your X11 key bindings are set. To view your
current X11 key bindings, run xmodmap with no options.
To set the keypad keys, *,/,+, and -to be [PF1] -[PF4], you would use the following
commands:
xmodmap -e "keysym KP_Multiply = KP_F1"
xmodmap -e "keysym KP_Divide = KP_F2"
xmodmap -e "keysym KP_Add = KP_F3"
xmodmap -e "keysym KP_Subtract = KP_F4"
NOTE: Modifying the key bindings in X Window in this manner affects all X clients. The
changes are not retained between sessions so you must modify the key bindings each time
you login to an X Window session.
•If you are using a PC terminal emulator, consult the emulator application documentation to
determine how the [PF1] -[PF4] keys have been mapped to your PC keyboard; it is possible
that no mappings exist. Typically, the [PF1] -[PF4] keys are mapped to the keys above the
key pad on your PC keyboard.
These four keys function as follows:
Table 17 Function Keys
KeyFunction
PF1ALT (a modifier key)
PF2Context-sensitive Help
PF3Menu bar (to/from)
PF4Escape to Shell
252 Terminal Keyboard Shortcuts

Some of the advanced keyboard actions in the following table require a key-combination using
the PF1 key. In other words, you must first press the PF1 key, release it, and then press some other
key. For example, to scroll a list one page requires you must press PF1, release it, and then press
either the 2,4,6, or 8keys on the numeric keypad.
The advanced keyboard actions for a vt100 are as follows:
Table 18 Advanced Keyboard Actions
Key CombinationAction
PF1, then 8on the numeric keypadScroll a list up one page.
PF1, then 2on the numeric keypadScroll a list down one page.
PF1, then 4on the numeric keypadScroll a list left one page.
PF1, then 6on the numeric keypadScroll a list right one page.
PF1, then /on the main keyboardSelect all items in a list.
PF1, then \on the main keyboardDeselect a list item.
PF1, then .on the first item; move the cursor; PF1, then .
on the last item
Select a range of list items.
PF1, then the mnemonic (underlined) letterPress a button if the cursor is not resting on it.
Advanced Keyboard Navigation 253

Glossary
A glossary term appears in boldface italics when used for the first time in the text of this
manual. Italicized terms in the following glossary refer to other terms in the glossary.
0–9
0xLLA See Link Level Address (LLA)
A
add_new_client An Ignite-UX command that constructs a client directory on an Ignite-UX server without requiring
the client to be booted from the Ignite-UX server first. See add_new_client(1M).
agile addressing The ability to address a LUN with the same DSF regardless of the physical location of the LUN
or the number of paths leading to it. Agile addressing is introduced in HP-UX 11i v3.
agile view The representation of LUNs using lunpath hardware paths, LUN hardware paths, and persistent
DSFs, introduced in HP-UX 11i v3.
always-installed For HP-UX 11i v1 and 11i v2, the software and driver bundles required for HP-UX. They must be
loaded as part of the operating system.
anonymous client Aclient system that requests an IP address for booting when its MAC address is not associated
with a specific IP address on the server. An anonymous client has its IP address allocated from
a pool of IP addresses set aside for anonymous clients. Contrast with registered client.
ANSI tape label See standard label tape.
archive 1. A file made with make_sys_image that contains files for installation or recovery for a system.
The file format may be tar,cpio, or pax, and can be compressed. (To use the pax format with
11i v2, you must have the PAX-Enh™ product installed. The pax format is not available for 11i
v1.) An archive does not include file system or disk layout information. Archives can be either
recovery archives or golden archives. Recovery archives retain host-specific customizations from
the system; golden archives have customizable files reset to the newconfig state. An archive may
include the core HP-UX operating system, and may include application software, patches, and
global customizations.
2. A file containing the contents of other files, created and maintained by programs such as pax,
tar and cpio.
archive_impact An Ignite-UX command that calculates the disk space required for an archive on a per top level
directory basis by default. The results are written in Ignite-UX configuration file syntax to standard
output. See archive_impact(1M).
AUTO A file that defines default boot behavior. For PA-RISC systems, the AUTO file is in the LIF volume.
For Itanium®-based systems, the AUTO file is located in the /opt/ignite/boot directory. See
hpux(1M) and hpux.efi(1M).
auto_adm An Ignite-UX command that allows you to manipulate AUTO file contents. See auto_adm(1M).
automated
installation
Any installation done automatically, without manual interaction. This can be done at the command
line with a bootsys command, or it can be scheduled to run at a particular time using the cron
daemon.
B
Bastille A security hardening/lockdown tool that can enhance the security of the HP-UX operating system.
It provides customized lockdown on a system-by-system basis.
boot To load the kernel and start the operating system that is referenced by the kernel that was loaded.
See boot(1M).
boot console
handler (BCH)
The firmware interface on a PA-RISC system. The Itanium-based equivalent is the extensible
firmware interface (EFI).
254 Glossary

boot content [W|V|I]INSTALL [W|V|I]INSTALLFS INSTCMDS or INSTCMDSIA,config files, and other files
to support boot and Ignite-UX functionality needed to switch to another install source.
boot helper media Installation media with no archive. Meant for booting only. Installation is completed using an
Ignite-UX server.
boot helper system A system with minimal Ignite-UX core functionality on a local subnet that provides an Ignite install
kernel to a client to assist it with booting from an Ignite-UX server on another subnet.
boot image Boot content, including [W|V|I]INSTALL,[W|V|I]INSTALLFS,INSTCMDS or INSTCMDSIA, and
other content needed to support boot, formatted for a specific media type such as CD, DVD, or
tape.
bootsys An Ignite-UX command that allows you to reboot and install clients that are currently running
HP-UX. See bootsys(1M).
bundle A package of software available from Software Distributor. Bundles are distributed within depots
and contain products and filesets. Ignite-UX typically references software at the bundle level, as
opposed to product or product.fileset.
C
CD boot image Aboot image formatted for a CD.
cDSF Cluster-wide Device Special File. When servers in a cluster/otherwise share storage, cDSFs are
created to ensure that all the servers sharing storage use the same unique cDSFs to access the
disk. Character cDSFs reside in /dev/rcdisk and block cDSFs reside in /dev/cdisk directories
respectively. There is a one-to-one mapping between agile DSF and cDSF.
NOTE: cDSFs are only unique between systems configured to share cDSFs. Typically cDSFs are
setup within a single Serviceguard cluster.
cfg clause See configuration clause.
check_net_recovery An Ignite-UX command that compares the files on a currently running system with a network
recovery archive created by make_net_recovery. A report is generated showing those files
that have been added, deleted, or changed since the recovery archive was created. See
check_net_recovery(1M).
check_tape_recovery
An Ignite-UX command that compares the files on a currently running system with a tape recovery
archive created by make_tape_recovery. A report is generated showing those files that have
been added, deleted, or changed since the recovery archive was created. See
check_tape_recovery(1M).
CINDEX An INDEX file for individual clients, kept in the /var/opt/ignite/client directory on the
Ignite-UX server. Used to install recovery images made with make_net_recovery.
client A computer that uses an Ignite-UX server for installation,recovery services, or both.
cloning systems To replicate one computer’s software and configuration onto another. This can be accomplished
to varying degrees using make_sys_image and make_[tape|net]_recovery.
cold install Booting, loading HP-UX onto, and then starting a system. This process loads a new copy of HP-UX
onto a system.
common
configuration
System software you want replicated onto other systems, such as: an operating system, patches,
and application software.
compressed file A file made smaller with compression software such as gzip or compress without losing any
information. See gzip(1) and compress(1).
CONFIG A file in the LIF volume that typically contains all the software configuration information and the
default file system layout information. It includes default configuration information for the operating
system release, user-defined configuration information, and information regarding archives and
depots.
config file See configuration file.
configuration
clause
Defines a collection of related configuration files used to install or recover a system. You will find
configuration clauses in the /var/opt/ignite/data/INDEX file for installations, and in the
255
/var/opt/ignite/clients/MAC_address/CINDEX file for recoveries, on an Ignite-UX
server.
configuration file A file that contains information describing installation behavior, archive contents, or the contents
of a depot. Configuration files are referenced by the INDEX and CINDEX files. See instl_adm(4).
copy_boot_tape An Ignite-UX command that replicates a PA-RISC recovery tape made with
make_tape_recovery. See copy_boot_tape(1M).
custom installation An installation tailored to your specific requirements, including: kernel parameters, the running
of user-supplied scripts, host information, and networking information.
custom limited
config
Aconfiguration file that informs Ignite there is no corresponding archive. Used with boot helper
media.
D
daemon A process that runs in the background and is usually immune to termination instructions.
default-installed For HP-UX 11i v1 and 11i v2, software bundles that are installed as default with HP-UX. These
bundles can be deselected before installation.
depot A repository of software products, organized so Software Distributor (SD-UX) commands can use
it as a software source.
device identifier A user friendly, readable string, such as “LAB2CAB23LUN15”, that is stored on a device. It
remains viewable even if the device is moved physically. See scsimgr(1M).
DHCP Stands for Dynamic Host Configuration Protocol, and is a way of dynamically allocating IP
addresses and other network topology information to clients for a specified lease time.
directed boot Aboot request that is directed to a particular boot server or boot helper system.Client and server
networking configuration information is stored on the client system and DHCP is not used. A
directed boot also allows boot and installation from a server on a different subnet without requiring
a boot helper.
disk group The VxVM equivalent of an LVM volume group.
disk layout The way hard disks are formatted and information stored on them. There are two general methods
of disk layout: physical-storage layout and logical-storage layout. VxVM and LVM use
logical-storage layout, and use various layout techniques such as mirroring and striping.
disk layout version The version of the VxFS private data that is used for its file system layout. This term can be
abbreviated to DLVx, where xis the disk layout version number. See mkfs_vxfs(1M).
DNS Stands for Domain Name Service, and provides mapping between hostnames and IP addresses.
DSF Stands for Device Special File. A file associated with an I/O device. DSFs are read and written
to as ordinary files are, resulting in activation of the associated device.
DUMP A use designation typically for an LVM logical volume or a VxVM volume for system crash dump
storage. See crashconf(1M).
DVD boot image Aboot image formatted for a DVD.
E
EFI See extensible firmware interface (EFI).
El Torito An extension to ISO9660 for creating bootable optical media.
essential The list of files and directories in /opt/ignite/recovery/mnr_essentials describing the
default minimum contents of a recovery archive.
expert recovery An Ignite-UX mode of operation allowing expert users to repair a system with software damage
without reinstalling HP-UX.
extensible
firmware interface
(EFI)
The Intel® developed firmware environment on Itanium-based systems that acts as an interface
between operating systems and platform firmware. The interface consists of platform related
information, as well as boot and runtime service calls. The PA-RISC equivalent is the boot console
handler (BCH).
256 Glossary
F
file system A collection of files and supporting data structures residing directly on a mass storage device or
on a virtual or logical disk. There are various file system implementations, such as HFS and VxFS.
See also install file system.
fileset For SD-UX, a collection of files within a product. The product may be part of a bundle. See sd(5).
G
gateway The IP address of a system that routes forwarded traffic to a non-local network. A gateway IP
address is usually associated with a router.
golden archive An archive with files set to the newconfig state.
golden image A combination of a golden archive, and a configuration file describing a system’s disk layout
and file system. Use as a common configuration to install systems.
gzip A command available with HP-UX that compresses and decompresses files in “.gz” format. See
gzip(1).
H
HBA Stands for Host Bus Adaptor. A physical I/O interface that provides I/O processing and
connectivity between a server and a storage device.
hierarchical file
system (HFS)
A particular implementation of a file system. See mkfs_hfs(1M).
HPUX The HP-UX bootstrap loader. Loads the kernel and starts HP-UX. For Ignite-UX, the HP-UX bootstrap
loader loads the install kernel (for example IINSTALL) and install file system (for example
IINSTALLFS). The bootstrap loader may also load other LIF content it needs to operate. See
hpux(1M).
I - J
ignite The ignite command name. See ignite(5).
Ignite-UX server Aserver from which Ignite-UX is used to install HP-UX on client systems.
IINSTALL The install kernel for Itanium-based systems.
IINSTALLFS The associated file system for the IINSTALL kernel.
image The current state of your computer, or portion of your computer. Often thought of as a “snapshot”
of the state of the machine at any given moment.
INDEX A file on the Ignite-UX server and in LIF volumes that groups references to configuration files in
clauses in order to define installation behavior.
initial system
loader (ISL)
Implements the operating system independent portion of the bootstrap process on PA-RISC systems.
It is loaded and executed after self-test and initialization have completed successfully. See isl(1M).
INSTALL The install kernel for 32-bit enabled PA-RISC systems.
install Perform an installation.
install content Boot content and other files needed to support Ignite-UX functionality during install and recovery.
install environment The Ignite install kernel, the install file system, and INSTCMDS or INSTCMDSIA,SYSCMDS or
SYSCMDSIA, and RECCMDS or RECCMDSIA as needed.
install file system See IINSTALLFS,INSTALLFS,VINSTALLFS, and WINSTALLFS.
install kernel See IINSTALL,INSTALL,VINSTALL, and WINSTALL.
installation Loading the operating system, other software, and configuration information onto a system.
installation media Removable media such as tape, CD, and DVD for stand alone installation of a client system.
INSTALLFS The associated file system for the INSTALL kernel.
INSTCMDS A compressed tar archive of commands in the LIF volume, or on an Ignite-UX server, required
for specifying the system configuration to install on a PA-RISC system.
257
INSTCMDSIA A compressed tar archive of commands in the LIF volume, or on an Ignite-UX server, required
for disk layout on an Itanium-based system.
instl_adm An Ignite-UX command that checks syntax on Ignite-UX configuration files and manages the
configuration file in an install file system on an Ignite-UX server. See instl_adm(1M).
instl_bootd A boot protocol daemon for Ignite-UX clients that responds to PA-RISC systems requesting boot
services from the Ignite-UX server. See instl_bootd(1M).
instl_combine An Ignite-UX command that combines a CD boot image or DVD boot image with install content.
See instl_combine(1M).
instl_dbg An Ignite-UX command that will parse and debug an Ignite-UX client's configuration files. See
instl_dbg(1M).
ISL See initial system loader (ISL).
ISO image An ISO9660 formatted file that is to be written to a CD or DVD. Used for a bit-for-bit burn of a
CD or DVD.
itool The name of an internal IUX program that presents the Ignite-UX client installation configuration
user interface. This interface has five tabs: Basic,Software,System,File System, and Advanced.
It is used to customize all or part of the operating system installation on the client before an
installation or recovery. This command is not invoked from the command line.
K
kernel The HP-UX kernel is the executable code responsible for managing the computer’s resources,
such as: allocating memory, creating processes, and scheduling programs for execution. The
kernel resides in RAM (random access memory) whenever HP-UX is running.
See also install kernel.
L
LANIC See MAC address.
largefiles An option available on certain file systems that allows file sizes greater than 2 gigabytes.
legacy DSF ADSF with the hardware path information such as SCSI bus, target, and LUN embedded in the
file’s minor number and file name, such as /dev/dsk/c#t#d#. These are the only DSFs available
in releases prior to HP-UX 11i v3.
legacy hardware
path
The representation of a hardware path as it exists in releases prior to HP-UX 11i v3. It is composed
of a series of bus-nexus addresses separated by slashes (/) leading to the HBA. After the HBA,
additional address elements, such as domain, area, port, target, and LUN, are separated by
periods (.). The string /0/2/1/0.1.4.0.0.2.7 is an example of a legacy hardware path.
legacy view The representation of legacy hardware paths and legacy DSFs as in releases prior to HP-UX 11i
v3.
LIF See Logical Interchange Format.
LIF volume Portions of content needed for boot and install combined into a LIF file. The LIF file is included in
boot content and in install content.
link level address
(LLA)
See MAC address.
logical interchange
format
A simple file system implemented on HP computers able to run HP-UX to aid in media
transportability. See lif(4).
See also LIF volume.
logical volume A virtual subdivision of a volume group. See logical volume manager (LVM).
logical volume
manager (LVM)
A specific volume manager type created and managed by the HP LVM product. See lvm(7).
LUN An identifier of a SCSI device. This refers to an end storage device such as a disk, tape, floppy,
or CD. This is the unit itself and does not represent the path to the unit.
LUN hardware
path
A hardware path for a SCSI LUN that virtualizes all paths to the LUN. The first path element is
64000, followed by a virtual bus instance and a logical unit number. Multipathed LUNs have a
258 Glossary
single LUN hardware path. The string 64000/0xfa00.0x22 is an example of a LUN hardware
path. LUN hardware paths are part of the agile view introduced in HP-UX 11i v3.
lunpath hardware
path
The representation of a hardware path for a mass storage device. It is identical in format to a
legacy hardware path up to the HBA. After the HBA, additional addressing is represented in
hexadecimal format. The string 0/2/1/0.0x50001fe1500170ac.0x4017000000000000 is
an example of a lunpath hardware path. Lunpath hardware paths are part of the agile view
introduced in HP-UX 11i v3.
M
MAC address Stands for Media Access Control. A network card’s unique hardware number. Used to uniquely
identify a network interface connected to a local area network.
make_[tape|net]_recovery
Collectively refers to the make_tape_recovery and make_net_recovery Ignite-UX commands.
make_boot_tape An Ignite-UX command that creates a bootable tape that contains just enough information for a
system to boot and connect to an Ignite-UX server. See make_boot_tape(1M).
make_bundles An Ignite-UX command that creates a bundle container for products in a depot. See
make_bundles(1M).
make_config An Ignite-UX command that constructs Ignite-UX configuration files for Software Distributor depots.
See make_config(1M).
make_depots An Ignite-UX command that builds a Software Distributor depot for use by other Ignite-UX tools
by copying bundles from a Software Distributor source. See make_depots(1M).
make_ipf_tape An Ignite-UX command that creates a bootable tape for an Itanium-based system. The tape will
contain boot and installation components, but not a recovery archive. See make_ipf_tape(1M).
make_medialif An Ignite-UX command that creates a file containing a LIF volume that is used to boot PA-RISC
systems. This file may then be copied to tape, CD, or DVD to create installation media. See
make_medialif(1M).
make_net_recovery An Ignite-UX command that creates a recovery archive and system config file, and stores the
resultant recovery image on a system on the network. See make_net_recovery(1M).
make_sys_image An Ignite-UX command that creates an archive of a system. See make_sys_image(1M).
make_tape_recovery An Ignite-UX command that creates a recovery archive and system config file, and stores the
resultant recovery image on a local tape. See make_tape_recovery(1M).
manage_index An Ignite-UX command that is used to manipulate an Ignite-UX INDEX or CINDEX file. See
manage_index(1M).
manifest Details of a client's installation. It is available in a file on the client and the Ignite-UX server after
successful installation, and it may be displayed or regenerated with the print_manifest
command. See print_manifest(1M).
media image The combined software source, config files, and boot information to be written to CD or DVD,
used when preparing installation media. It is a single large file in the HP-UX operating system
that is written to the medium and used for installation or recovery.
multipathing The detection, correlation, and coordinated usage of multiple hardware paths leading to the
same LUN.
N
network boot When a system boots the HP-UX install kernel over the network from an Ignite-UX server.
newconfig The state of a file as it is stored in /usr/newconfig before it is moved into place and modified
to be system specific. Files in a newconfig state contain no information about the personality of
the system.
NFS Stands for Network File System. Allows a client to perform transparent file access over the network.
NIC address See MAC address.
NIS Stands for Network Information Service. It allows access from any system to any system with a
single user identification and password.
259
NIS domain The group of systems sharing NIS configuration information.
O
offline diagnostic
environment (ODE)
Diagnostic utilities stored in the boot area or service partition able to run without the operating
system.
optional With 11i v3, software bundles that are not installed with HP-UX by default. You must select these
bundles before installation. Ignite-UX is an example of an optional software bundle.
P
partition A portion of a disk device that appears to volume managers, file systems, and other OS software
as a disk device. Partitions allow different portions of a disk to hold content needed for boot, OS
file systems, diagnostic tools, and other information.
pax An HP-UX file archiving command that extracts, lists, and writes member files to an archive.
Ignite-UX uses pax to produce tar,cpio, and pax formatted archives. See pax(1),tar(1), and
cpio(1).
PDC See processor dependent code.
persistent DSF A DSF conforming to the naming model introduced in HP-UX 11i v3 to support agile addressing.
The device file name contains an instance number, such as /dev/disk/disk#, and the minor
number has no hardware path information.
physical location Device identifier that uses information such as cabinet, bay, and LUN ID to indicate where the
device is actually located. Used to indicate a specific device independent of I/O path changes.
pkg_rec_depot An Ignite-UX command that repackages the Ignite-UX product into a depot on an Ignite-UX server
in order to distribute Ignite-UX software to client systems that use the Ignite-UX server for network
recovery. See pkg_rec_depot(1M).
print_manifest An Ignite-UX command that displays a manifest of the system it is run on. It can either display the
original manifest, or gather information about the current system when it runs. See
print_manifest(1M).
processor
dependent code
The firmware that implements all processor-dependent functionality including initialization and
self-test of the processor. Upon completion, it loads and transfers control to the initial system
loader (ISL). Firmware behavior varies depending on the hardware series. See pdc(1M).
product In SD-UX, a collection of filesets, individual filesets, or both.
PXE Stands for preboot execution environment. A protocol built on top of DHCP on HP-UX Itanium-based
systems used to request boot services from a server in order to load the operating system.
R
reboot To stop all running code including the kernel, restart a computer, and boot the system. See
shutdown(1M) and reboot(1M).
RECCMDS A compressed tar archive of commands required for expert recovery on PA-RISC systems.
RECCMDSIA A compressed tar archive of commands required for expert recovery on Itanium-based systems.
recommended With 11i v3, software bundles that are recommended and should be installed with HP-UX because
they fulfill required software dependencies, if any exist. You can deselect the bundles before
installation.
recover Perform a system recovery.
recovery See system recovery.
recovery archive An archive that retains host specific customizations from the system.
recovery image A system-specific snapshot of a system that contains hostname, IP address, networking information,
all files and directories essential to bringing up a functional system, as well as optionally including
specified data on a disk, volume group, file, or directory basis. It is created with
make_[tape|net]_recovery.
recovery shell See expert recovery.
260 Glossary
registered client Aclient system that has its MAC address registered with the server in order to always boot to the
same assigned IP address. For PA-RISC systems, the client’s MAC address is assigned to an IP
address in the /etc/opt/ignite/instl_boottab or /etc/bootptab file. For Itanium-based
systems, the default is to use the /etc/bootptab file. Contrast with anonymous client.
required With 11i v3, software and network driver bundles that are required and always installed with
HP-UX. Software in this category cannot be deselected.
S
save_config An Ignite-UX command that creates a hardware configuration file. It extracts disk and file system
information along with certain system and networking parameters for the current system, and
writes it to a configuration file. See save_config(1M).
script hook Predefined mechanisms allowing user-defined scripts to run at specific points during the execution
of the installation. Within the Ignite-UX installation procedure there are various script hooks:
pre-config, pre-load, post-load, post-config, and final. See instl_adm(4) under “Command and
Script Execution Hooks.”
SCRIPTS A configuration clause of commands in the LIF volume containing scripts that can be selected in
the itool under the Advanced tab.
SD-UX See Software Distributor.
selectable For 11i v1 and 11i v2, software bundles that are not installed by default with HP-UX. You must
select these bundles to install them. Ignite-UX is an example of a selectable software bundle.
server A computer that provides software and services to clients.
server selection The ability of a client system to request DHCP/bootp boot services from a specific boot server
and ignore all other boot offers. Client networking configuration information is supplied by the
boot server.
setup_server An Ignite-UX command that performs administration tasks for an Ignite-UX server from a command
line interface. The same functionality is available with the Ignite-UX GUI. See setup_server(1M).
Software Depot See depot.
Software
Distributor
An HP-UX product that provides a set of tools for centralized HP-UX software management.
Software Distributor (SD-UX) commands are included with the installation of the HP-UX operating
system. SD-UX commands typically use the prefix “sw”, such as in swinstall and swverify.
stand alone In terms of Ignite-UX (as opposed to any other usage) a client system that is not network booted,
but may still use an Ignite-UX server for installation or recovery.
standard label
tape
A tape containing ANSI standard labeling. Ignite-UX uses ansitape(1) to create a standard label
tape.
subnet A separate part of a larger network connected via network gateways.
SWAP A use designation typically for an logical volume manager (LVM) logical volume or a VxVM
volume for paging. See swapon(1M).
SWAP+DUMP A use designation typically for an logical volume manager (LVM) logical volume or a VxVM
volume that can be used for DUMP or SWAP.
SYSCMDS A compressed tar archive of commands in the LIF volume or on an Ignite-UX server, required
for installation of PA-RISC systems.
SYSCMDSIA A compressed tar archive of commands in the LIF volume or on an Ignite-UX server, required
for installation of Itanium-based systems.
system image See image.
system recovery The use of a recovery image to reestablish a system.
T
two-step media
recovery
A method of using the Ignite-UX tape recovery tool when a system or I/O interface does not
support firmware tape boot. The method involves step 1: booting from installation media such as
DVD or CD, and then step 2: recovering from tape.
261
U
Unique LUN ID A general term for a LUN identifier, which might specifically be a physical disk's WWID, a
WWID assigned to a SAN virtual LUN, the uniq_name assigned to a LUN for which a WWID
could not be obtained, or some other type of identifier unique to a LUN.
V
Veritas A set of products from Symantec that include VxVM and VxFS.
VINSTALL The install kernel for V-class PA-RISC systems.
VINSTALLFS The associated file system for the VINSTALL kernel.
vmunix The default kernel filename, used during normal system operation. vmunix is built by the
mk_kernelcommand, which Ignite calls during system installation. The AUTO file typically
contains the entry “boot vmunix”, which references /stand/vmunix on the selected boot
device.
volume 1. A pool of data storage made up of one or more physical disks. These volumes are created
and managed using tools from one of the volume managers, VxVM or LVM. See volume manager.
2. A tape, especially when ANSI labeled.
volume group An arbitrary grouping of disks for use by LVM. See volume manager.
volume manager A subsystem for managing disk space that allows one or more disks to be combined. It can
provide increased size, improved reliability via data and path redundancy, greater configuration
flexibility, and other features for managing file system space.
VxFS A Veritas product from Symantec that is a file system implementation.
VxVM A specific volume manager type that is a Veritas product from Symantec.
W - Z
[W|V|I]INSTALL Refers to the WINSTALL,VINSTALL,IINSTALL, or INSTALL install kernel depending on your
system.
[W|V|I]INSTALLFS Refers to the WINSTALLFS,VINSTALLFS,IINSTALLFS, or INSTALLFS file system depending on
your system.
whole disk A volume management selection that treats the entire disk as one volume. This selection does not
use a volume manager product. For bootable disks, it is a practical selection only for Itanium-based
systems.
WINSTALL The install kernel for 64-bit PA-RISC systems.
WINSTALLFS The associated file system for the WINSTALL kernel.
XNTP Stands in part for network time protocol. The xntpd daemon maintains system time in agreement
with Internet standard time servers. This can be configured from the itool System tab under Network
Services->XNTP.
262 Glossary

Index
A
active/passive devices, 96
additional network interfaces, 136, 137
additional software
setup on server, 40
advanced tab, 144, 145
always-installed software bundle, 127
anonymous clients, 42, 71
at (1), 174
AUTO file
as part of the LIF, 178
description, 235
in boot sequence, 86, 111
selecting HP-UX version to install, 51
automatic installations
example configuration file, 173
overview, 171
scheduling, 174
specifying defaults, 172
using configuration files, 172
with bootsys, 171
B
B5725AA product bundle, 12
backup patch files, 167
basic tab, 118
Bastille, 84
blocking devices from inventory, 75, 81
boot
directed see directed boot
media, 177
boot helper
configuring Ignite, 55
configuring Ignite for DHCP, 43
Next Server, HP-UX, 56
Next Server, Linux, 66
Next Server, non-HP-UX, 59
relay, 57
setting _hp_lanadmin_args,108
boot source, 18
booting, 19, 61, 100
see also DHCP
see also directed boot
see also PXE
see also PXE Configuration Utility
avoiding conflicts with RDP servers, 61
boot client, 113
bootsys -c, 98
debugging network boot, 27
decision making, 96
decision making for simple network, 24
decision tree for Itanium-based network booting, 26
decision tree for PA-RISC network booting, 25
decision tree for stand alone systems, 98
from an RDP server, 62
in complex network environment, 47
install kernel paths, network, 100
Itanium-based clients via the network, 19, 100
Linux using an HP-UX server, 67
non-network, 26
PA-RISC clients via the network, 19, 99
registered clients over the network, 30
understanding PXE, 43
using a Linux server, 66
using a USB memory stick, 27
using vMedia, 27
bootpd daemon
and PA-RISC systems, 19
booting Itanium-based systems, 19
booting registered Itanium-based clients, 26, 34
class-ids and PXE, 44
decision tree for booting Itanium-based clients, 26
DHCP design, 234
logging, 28
PXE booting error, 226
restarting after editing /etc/dhcptab, 44
bootptab
alternative to DHCP, 234
registering Itanium-based clients, 34
bootsys
and HP Auto Port Aggegation (APA), 111
and ssh, 22, 87
automatic installations, 171
automatic installations choosing configuration, 217
bootsys -c, 98
from the client, 27
from the client console, 98
from the server, 110
in client console decision tree, 97
insufficient space in /stand, 229
noninteractive installations, 110
ports used, 84
preparing the client, 95
scheduling installations, 174
seems to work in reverse, 228
shutdown of client, 228
using a saved configuration, 172
bootsys_block file, 111
bundles, 12
see also software bundles
available Ignite-UX product, 12
B5725AA product, 12
IGNITE product, 12
Ignite-UX-11-11 product, 12
Ignite-UX-11-23 product, 12
Ignite-UX-11-31 product, 12
C
CD
creating a boot CD/DVD, 183
CINDEX file
263
adding software depot, 212
and make_[net|tape]_recovery, 194
cloning systems with make_net_recovery, 215
config.local, 212
default cfg clause, 217
modifying recovery file system layout, 212
renaming a recovery image, 210
CLI, 10
client
actions, 16
customizing status display in Ignite-UX GUI, 15
halting after installation, 39, 159
memory requirements, 95
preparation for installation, 95
status screen, 16
command line interface see CLI
commands, Ignite-UX, 13
CONFIG file
description, 235
config.local
and recovery, 212
and SD debugging during cold install, 226
C.7.9 relocation to /var/opt/ignite/data, 92
checking syntax, 172
customizing configurations with sw_sel, 166
defaults for all clients, 160
dynamically setting installation parameters, 175
position in configuration clause, 156
samreg error workaround, 224
specifying default settings, 172
using xpatch_save_files, 168
configuration clauses, 161
configuration file
hardware keywords, 165
configuration files
changes for system recovery, 212
checking syntax, 163
creating with make_config, 160
custom installation media, 163
debugging, 168
examples, 163, 166
in INDEX file clauses, 161
overview, 158
configuration for install
advanced, 144
basic, 118
file system, 137
software, 125
system, 130
configuring
boot then switch source, 26
client installation session, 38
clients and servers, 24
complex network, 27
file system for client, 137
general server parameters, 36
Ignite boot helper for DHCP, 43
simple network, 24
simple server, 30, 42
control_from_server, 181
copyutil, 188
custom installation media
accessing a serial tape depot, 180
depot-based DVDs, 185
DVD, 182
overview, 177
PA-RISC tape formats, 177
tape, 180
using, 24
custom installation scripts, 145
custom installations, 158
D
daemons
bootpd see bootpd daemon
dhcpclient, 234
inetd, 226, 229
instl_bootd see instl_bootd daemon
rbootd, 229
rpc.lockd, 227
rpc.statd, 227
swagentd, 86
tftpd see tftpd daemon
xntpd, 136
date, setting, 130
day, setting, 130
dbprofile, 102
see also directed boot
and other boot and install options, 96
command information, 103
using, 102
debugging
configuration files, 168
network boot, 27
SD during cold install, 225
decision tree
booting stand alone systems, 97, 98
network booting Itanium-based systems, 26
network booting PA-RISC systems, 25
default-installed software bundle, 127
definition
of terms, 254
terminology, 254
depot
additional software setup on the server, 40
changing location for install, 127
example config file, 165
Ignite-UX product, 12
installing during interactive install, 128
multiple versions of VxVM, 40
OE software setup on the server, 35
ports used for install, 86
position on a PA-RISC installation tape, 177
selecting software for install, 125
serial, for tape, 180
sw_source, sw_sel, and sw_category in a config file,
163
DHCP
264 Index
adding boot addresses, 38
anonymous client booting, 43
class ids, 45
design, 234
design information, 234
document information, 232
example uses, 233
isolating noncontrollable servers, 45
PXE, 43
server, configuring, 232, 234
using bootptab, 234
DHCP device group
booting of Itanium-based anonymous clients, 43
isolating from noncontrollable DHCP servers, 45
usage examples, 233
dhcpclient daemon, 234
direct boot profiles, 102
see also dbprofile
directed boot
detailed information, 102
overview, 43, 52
disk arrays, 23
Disk Selection - Add/Remove Disks dialog box, 140
Disk Selection - Root Disk dialog box, 119
disks
adding and removing, 140
blocking from inventory, 75, 81
renaming file system structure, 138
setting parameters, 137
supported, 23
DISPLAY, 22, 207
DNS
configuring, 134
screen, 134
documentation
about this document, 1
computing swap space, 122
file system size limitations, 139
DVD
building installation media, 182
creating a boot CD/DVD, 183
E
EFI
configuring tape boot option, 199, 204
direct boot profiles, 102
invoking, 100
error messages, 224
execve error, 204
exit, 149
expert recovery
overview, 245
procedure, 245
F
file system
setting client parameters, 137
size limitations, 139
size requirements for Ignite-UX servers, 22
tab, 137
firewall, 84
firmware
finding information, 23
prompt, 99
support for EFI tape boot, 199, 204
updates for direct boot profiles, 97
FWWKAR file
description, 236
G
glossary, 254
Go!
description, 118
in the startup phase, 20
initiate preinstall check, 146
initiating installation, 147
ports used, 86
golden images
installing from, 151
overview, 151
pros and cons, 214
troubleshooting, 229
graphical user interface (GUI)
client colors, 15
detailed introduction, 14
menus, 15
overview, 10
selecting server GUI for install, 37
using to install clients, 112
H
halting client after installation, 39, 159
HFS file systems, 122
history
configuring to automatically save or not, 39
log file location, 39
moving client, 17
setting default printer for printing, 37
viewing, 16
hop count
configuring, 134
HP-UX
11i v3 multipathing, 71
bootstrap loader, 236
commands in a post-installation script, 169
file system sizes for Ignite-UX servers, 22
install file system image, 236
install kernel, 236
installation media, 12, 177
installing from client console, 95
installing from the Ignite-UX server, 110
media kit, 24
selecting operating system environment, 118
software bundles, 127
supported versions for Ignite-UX server, 21
versions Ignite bundles can install, 12
HPUX file
description, 236
265
hyperthreading, 124
I
I/O configuration
and agile recovery, 80
in startup phase, 19
recovery, in phase 1, 20
supported peripherals, 23
variables in config file, 81
I/O inventory
and agile recovery, 80
blocking, 75, 81
display in itool, 117
ignoring specified devices, 82
ignoring specified protocols, 82
in startup phase, 20
IGNITE product bundle, 12
Ignite-UX
bundles, 12
commands, 13
disk requirements, 21
features, 10
hardware requirements, 21
installing on clients, 127
installing the product, 12, 13
interface, 150
manpages, 13
obtaining software, 12
overview, 10
phases of operation, 19
theory of operation, 17
website, 221
Ignite-UX server
adding software, 40
boot client, 113
problems, 224
requirements, 21
troubleshooting, 224
IgniteDHCPDeviceGroup
isolating from noncontrollable DHCP servers, 45
usage examples, 233
IINSTALL file see install kernel
IINSTALLFS file see install file system
important terms, 254
INDEX file
as part of the LIF, 235
automatic installations, 171
C.7.9 relocation to /var/opt/ignite/data, 92
combining configuration files, 161
default cfg clause, 217
examples, 162
inetd daemon
checking for errors, 226
starting instl_bootd, 229
install environment
and disk arrays, 23
and Ignite-UX boot helpers, 55
boot, then switch sources, 26
in startup phase, 19
overview, 18
VxVM and persistent DSFs, 78
INSTALL file see install kernel
install file system
and bootsys from the client, 27
and custom installation media, 179
and DHCP, 45, 233
and the boot source, 18
as part of the install environment, 18
as part of the LIF volume, 236
in startup phase, 19
install kernel
and bootsys from the client, 27, 95
and the boot source, 18
as part of the install environment, 18
as part of the LIF volume, 236
boot paths, network, 100
in startup phase, 19
install params, setting dynamically, 174
installation media
custom see custom installation media
HP-UX media kit, 24
installation scripts, 145
INSTALLFS file see install file system
installing
and Servicecontrol Manager, 11
automated, 171
client console methods, 95
client console walkthrough, 105
from custom media, 24
from media kit, 24
from media, troubleshooting, 229
golden images, 151
Ignite-UX product, 12, 13
Ignite-UX server GUI walkthrough, 112
Linux using an HP-UX server, 67
methods, 110
noninteractive, 181
preinstall analysis, 146
preparing the client, 95
RedHat, 69
SuSE, 70
troubleshooting, 224
using defaults, 117
Windows, 70
installing client systems, server method, 112
INSTCMDS file
and boot sources, 18
as part of the install environment, 18
description, 237
in boot sequence, 86
INSTCMDSIA file
and boot sources, 18
as part of the install environment, 18
description, 237
in boot sequence, 86
instl_adm
checking syntax of config files, 163, 172
setting boot control parameters, 159
266 Index
setting gateway on boot helper, 56
setting install file system, 159
setting install params dynamically, 174
setting network duplex, 109
setting server on boot helper, 56
instl_adm(4), 158
instl_bootd daemon
and updating instl_boottab, 34
booting anonymous PA-RISC clients, 42
booting PA-RISC systems, 19
booting registered PA-RISC clients, 25
decision tree for booting Itanium-based clients, 26
installing clients on multiple subnets, 225
problems installing from client, 28
problems with finding server, 228
instl_boottab
and boot helper systems, 56
and bootptab, 234
assigning boot IP addresses, 19
configuring for anonymous clients, 25, 42
editing, 42
installing clients on multiple subnets, 225
problems with finding server, 228
registering PA-RISC clients, 25, 33
updating for instl_bootd, 34
interactive swinstall, 128
inventory
blocking, 75, 81
hardware display in itool, 118
IP address
setting with DHCP, 232
IPFilter, 84
ISL file
description, 235
iso image, 182
itool
advanced tab, 144
and SCRIPTS LIF volume content, 237
basic tab, 118
file system tab, 137
new installation, 117
software tab, 125
system tab, 130
TUI, 107
L
lanboot, 102
see also directed boot
command information, 104
using, 102
language, specifying, 122
license
HP-UX, selecting, 118
LIF volume
creating one for a PA-RISC installation tape, 181
description of content, 235
for a recovery tape, 197
on a PA-RISC installation tape, 177
overview, 235
lightweight boot helper see boot helper, Next Server
Linux
boot and installation enablement by Ignite-UX, 67
HP-UX boot helper, 66
RedHat installation, 69
servers interfering with HP-UX boot, 43
SuSE installation, 70
LLA, 165
see also MAC address
keyword in configuration file, 165
LVM
agile view DSFs, 78
config file example, 164
default version, 124
file system default choices, 121
file system size limitations, 139
group parameters, 144
recovery considerations, 193
setting the default version, 124
setting the version, 144
supported devices, 23
volume parameters, 142
volume requirements, 140
M
MAC address
and anonymous clients, 25, 42
and registered clients, 24, 34
and the /var/opt/ignite/clients directories, 172, 218
registering clients using the GUI, 33
selecting an EFI boot option, 209
make_boot_tape
recovering a system not on network, 216
recovering across subnets, 208
two-step media recovery, 213
make_ipf_tape
recovering a system not on the network, 216
make_media_install
error messages, 184
making boot and installation CD/DVDs, 182
network recovery, 216
overview, 11
make_net_recovery
cloning systems, 215
compared to make_tape_recovery, 189
overview, 188
using, 205
make_sys_image
cloning systems, 214
make_tape_recovery
cloning systems, 215
compared to make_net_recovery, 189
duplicating a system, 198
examples, 197
overview, 188
using, 197
managing network printers, 169
manifest, 149
manifest files, 150
267
manpages, 13
media see custom installation media see HP-UX
memory requirements for clients, 95
N
network
configuration options, 24
configuring destination IP, 134
configuring gateway, 134
configuring interfaces, 136, 137
network recovery
adding clients for recovery, 206
CINDEX file, 210
config file additions for all client's recoveries, 212
configuring to show all information, 39
creating and using network recovery images, 205
examples, 208
for Itanium-based clients, 209
for PA-RISC clients, 208
from Actions menu, 17
overview, 188
pros and cons, 214
Q and A, 216
retaining images, 210
writing existing image to DVD example, 184
NIS
configuring, 135
screen, 136
nslookup, 134
O
OE software
setup on server via wizard, 35
operating system archives
configuring server for, 154
creating, 151
installing on client, 157
optional software bundle, 127
P
PAD file
description, 237
parameters
advanced, 137
disk, 137
file system, 137
system, 130
patches
avoiding backup files, 167
peripherals supported, 23
ports
client-based boot and install, 86
client-based make_net_recovery, 88
client-based make_sys_image, 89
Ignite server usage, 84
Itanium-based LAN boot, 85
PA-RISC LAN boot, 85
privileged ports on the client with ssh,87, 89
server-based bootsys of live client, 87
server-based make_net_recovery, 89
swinstall, 86
updating Bastille for Ignite client, 91
updating Bastille for Ignite server, 90
post-install scripts, 168
preinstall analysis, 146
print_manifest, 150
PXE
and configuring for anonymous clients, 44
Next Server, HP-UX, 56
Next Server, Linux, 66
Next Server, non-HP-UX, 59
troubleshooting PXE boot errors, 230
troubleshooting PXE-E16 error, 226
understanding PXE booting, 43
PXE Configuration Utility
creating an HP-UX MenuOption, 63
delaying boot response from RDP servers, 61
HP-UX boot from RDP server, 62
logging boot and TFTP activity, 29
selective boot response from RDP server, 61
using an HP-UX MenuOption, 66
R
RDP server set up see PXE Configuration Utility
using an HP-UX MenuOption, 66
using Windows commands, 62
RECCMDS file
and boot sources, 18
as part of the install environment, 18
description, 237
RECCMDSIA file
and boot sources, 18
as part of the install environment, 18
description, 237
recommended software bundle, 127
record keeping, manifest, 149
recovery, 188, 213, 245
see also expert recovery
see also network recovery
see also tape recovery
see also two-step media recovery
archive configuration policies, 191
archive contents, 190
changing file system layout, 212
configuration files additions, 212
create a network image, 206
creating a recovery tape, 197
creating network image, 205
examine image contents, 194
I/O configuration in phase 1, 20
image creation process, 192
matrix comparing tape and net recovery, 189
overview, 188
pros and cons, 214
Q and A, 216
recovering a system not on network, 216
SAS devices, 188
system, 188, 206
268 Index
system tools, 189
tools comparison, 190
using a network image, 205
using a recovery tape, 197
verify recovery images, 196
versions of Ignite, 191
RedHat see Linux
registered clients, 30
required software bundle, 127
requirements
client, 95
Ignite-UX server, 21
volume, 140
rpc.lockd daemon, 227
rpc.statd daemon, 227
run_ui, 181
S
SAS devices
and agile recovery, 80
in startup phase, 19
recovery, 188
white paper, 221
scheduling automatic installations, 174
screens see List of Figures
SCRIPTS file
description, 237
scripts, post-install, 168
SD see Software Distributor
selectable software bundle, 127
server
configuring options, 36
selection, 99
setting up additional software, 40
setting up non-SD software, 40
setting up OE software via wizard, 35
setup for anonymous clients, 42
setup wizard see server setup wizard
server selection
not supported on Integrity systems, 43
overview, 52
server setup wizard
for anonymous clients, 42
launching from welcome screen, 16
walkthrough, 31
set
root password, 133
time zone, 132
set_parms, 130
setting install params dynamically, 174
software
selecting for installation, 125
setting up additional on server, 40
setting up non-SD on server, 40
setting up OE via wizard, 35
software bundle
always installed, 127
default-installed, 127
optional, 127
recommended, 127
required, 127
selectable, 127
selectablility on software tab, 127
selecting with sw_sel, 163
software bundles, 12
see also bundles
putting in a depot for Ignite-UX, 40
Software Distributor
debugging during cold install, 225
port usage on an Ignite server, 86
Software Manager, 129
software tab, 125
ssh
Ignite usage, 22
port usage on make_net_recovery,89
port usage with bootsys, 87
selecting via GUI for recovery, 207
ssh_config,87
stand alone systems
booting, 97, 98
static routes
configuring, 134
screen, 134
supported peripherals, 23
SuSE see Linux
sw_category, 163
sw_sel, 163
customizing configurations, 166
sw_source, 163
swap space, specifying, 122
swinstall
port usage, 86
swm, 129
SYSCMDS file
and boot sources, 18
as part of the install environment, 18
description, 237
in boot sequence, 86
in phase 1, 20
SYSCMDSIA file
and boot sources, 18
as part of the install environment, 18
description, 237
in boot sequence, 86
in phase 1, 20
system tab, 130
T
tab
advanced, 144
basic, 118
file system, 137
software, 125
system, 130
tape boot
creating a PA-RISC boot tape, 178
creating EFI tape boot option, 199, 204
support for, 21
269
tape recovery with no tape boot support, 213
two-step using boot CD/DVD, 183
tape depot, accessing, 180
tape format for PA-RISC, 177
tape recovery
configuring to show all information, 39
creating and using recovery tapes, 197
examples, 197
for Itanium-based systems, 199, 204
for PA-RISC systems, 198
from Actions menu, 17
overview, 188
pros and cons, 214
Q and A, 216
troubleshooting, 217
with no tape boot support, 213
tasks
adding DHCP boot addresses, 38
automatic installations, 173
automatic system recovering, 217
client recovery via the network, 208
cloning systems, 215
configuring client installations, 116
configuring server for OS archive, 154
configuring server options, 36
configuring session options, 36
create system recovery image from an Ignite-UX server,
206
creating an OS archive, 151
duplicating a system, 198
image creation with ignite, 194
obtaining Ignite-UX software, 12
preparing clients for installation, 95
recovering a minimal operating system, 198
recovering a root disk, 198
recovering from the client, 208
recovering Itanium-based clients using the network, 209
recovering PA-RISC clients using the network, 208
setting install params dynamically, 175
setting up a boot helper system, 55
terminal user interface see TUI
terminology, 254
TFTP, 22
tftpd daemon
bad LIF magic IPL error, 226
enabling, 22
logging, 28
PXE booting error, 227
time zone, setting, 130
troubleshooting
Ignite-UX server problems, 224
installing from images, 229
installing from media, 229
installing systems, 224
tape recovery, 217
TUI
overview, 10
running on the server, 23
selecting client TUI for install, 37
troubleshooting, 229
using to install clients, 112
using to install from the client, 105
two-step media recovery, 213
create bootable CD/DVD example, 183
creating CD/DVD with make_media_install, 182
mixing Ignite-UX versions, 197, 213
U
USB memory stick booting, 27
user interface
recovery matrix, 189
selecting server or client for install, 37
V
Veritas see VxFS see VxVM
VERSION file
description, 237
Version file
C.7.9 relocation to /opt/ignite/data, 92
view menu screen, 15
VINSTALL file see install kernel
VINSTALLFS file see install file system
vMedia
and ISO images, 182
in decision tree for stand alone system, 98
using with Ignite-UX, 238
volume group name
changing, 144
volume requirements, 140
VxFS
configuration for client, 138
matching versions with VxVM, 190
mixed versions with VxVM, 190
recovery considerations, 190
selecting for client install, 121
selecting version for client install, 142
VxVM
agile view DSFs, 78
config file example, 164
file system default choices, 121
file system size limitations, 139
group parameters, 144
multiple versions in depot, 40
recovery considerations, 190, 193
supported devices, 23
volume parameters, 142
volume requirements, 140
W
websites
software depot, 12
white papers, 13
welcome dialog box
configuring to display or skip, 39
whole disk, 122
WINSTALL file see install kernel
WINSTALLFS file see install file system
270 Index