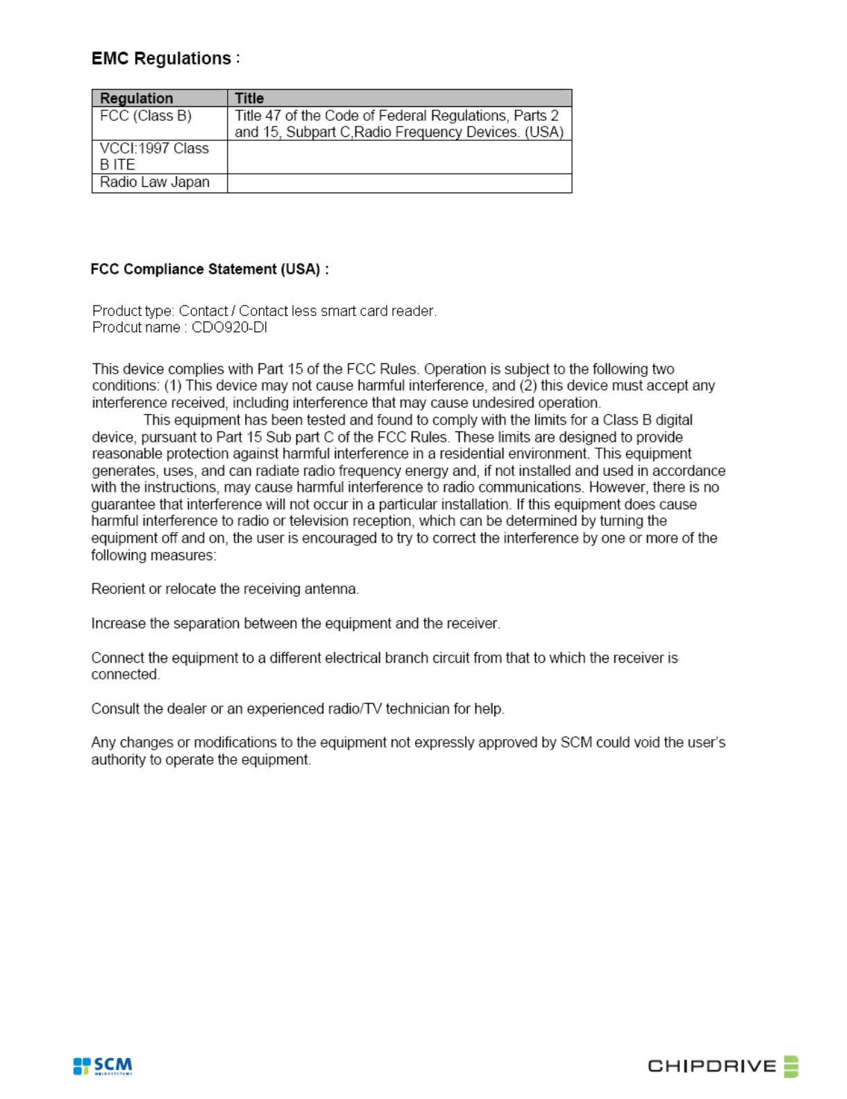
Identiv CDO920-DI14 Smart Card Reader User Manual Dat TR e
Identiv, Inc Smart Card Reader Dat TR e
Identiv >
Users Manual


13/11/2006
Page 2 / 6
Concept for Mounting Options

13/11/2006
Page 3 / 6

13/11/2006
Page 4 / 6
BOM (Mech Parts) for Both Mounting Options
The reader consists of the following parts:
Part Color Texture Material/Remark
Lens Transparent Glossy Clear PMMA or PC. Hard Coated
Front Case Light Metallic Silver either smooth or
Aluminum
brushed
ABS Metallic Silver Master batch Resin
Keypad Similar to front Similar to front Hard Caps with Silicone Rubber + Carbon peels
contact. Include Printing od Numbers and Symbols
Back Case Dark gray / Black PMS
432 or higher
Rough VDI 27 or
higher
Plastic ABS
Base Case Dark gray / Black PMS
432 or higher
Rough VDI 27 or
higher
Plastic ABS.
Identical to the back cover
Mount Top Case Dark gray / Black PMS
432 or higher
Rough VDI 27 or
higher
Plastic ABS.
Identical to the back cover
Mount Bottom
Case
Dark gray / Black PMS
432 or higher
Rough VDI 27 or
higher
Plastic ABS.
Identical to the back cover
Rubber Foot Black Rubber. Plug-in Type
Dismount Key Steel Plate Die-Cut ?
Metal Weight Steel Plate 200 g ?
Screw M3x8 Black or Silver RoHs compliance.
Self-Tapping Screws for Plastic
Contact less base:
A contactless base which could be replaceable
with the contact base, as an example. Same color
and texture as the contact base.
Front
Case
Base
Case
(2 Types for Contact and
Contactless)
Lens
Keypad
Back
Case
Mount Top Case
Mount Bottom Case
(6x) Screw M3x8
Metal Weight
(4x) Rubber Foot
Dismount
Key

13/11/2006
Page 5 / 6
Overall Dimensions for CDO 920
1. Desk Mount

13/11/2006
Page 6 / 6
2. Wall Mount


