InduTech instruments PMD2450-3 Moisture Measurement System User Manual User Guide
InduTech instruments GmbH Moisture Measurement System User Guide
User Guide

I
NDU
T
ECH
process controls
User Guide
PMD 2450 Precision Microwave Detector (LDU 1000)
Versions: PMD 2450-1, PMD 2450-2, PMD 2450-3,
GTA 1000-1 Dual Energy Gamma Transmission Ash Analyzer with
Am-241 and Cs-137
GTA 1000-2 Dual Energy Gamma Transmission Ash Analyzer with
X-rays and Cs-137
GTA 2000 Triple Energy Gamma Transmission Ash Analyzer with
X-rays, Am-241 and Cs-137
GTD 1000 Gamma Transmission Density Gauge with
Am-241, Cs-137 or Co-60
Indutech GmbH
Simmersfeld
Germany

PMD 2450 Disclaimer
Rev. 1.2 / 2009-03-22 I
Disclaimer
Confidential!
This manual is intended for the use of Indutech GmbH, its
representatives and customers. Distribution to others
requires permission from Indutech.
No responsibility is accepted for the correctness of the
information in this user guide. The contents may change
any time without prior notice.
© Copyright 2002 INDUTECH instruments GmbH
All rights reserved.
The content of this user guide was reviewed for conformity
with the described hard- and software.
Nevertheless, deviations cannot be ruled out. The
information in this user guide is reviewed regularly and
any corrections that may be required will be included in
subsequent editions. We appreciate your suggestions for
improvement.
Indutech instruments GmbH, Ahornweg 6-8
72226 Simmersfeld, Germany
Phone: +49 (0)7484 / 9297-0
E-mail: info@indutech.com
Internet : www.indutech.com

PMD 2450 Disclaimer
Rev. 1.2 / 2009-03-22 II
NOTICE / Licence Exempt:
This device complies with Part 15 of the FCC Rules and with Industry Canada
licence-exempt RSS standard(s). Operation is subject to the following two
Conditions.
(1) this device may not cause harmful interference, and
(2) this device must accept any interference received, including interference
that may cause undesired operation of the device.
Le présent appareil est conforme aux CNR d´Industrie Canada applicables aux
appareils radio exempt de licence. . L'exploitation est autorisée aux deux
conditions suivantes :
(1) l'appareil ne doit pas produire de brouillage, et
(2) l'utilisateur de l'appareil doit accepter tout brouillage radioélectrique subi,
même si le brouillage est susceptible d'en compromettre le onctionnement.
NOTICE :
Changes or modifications made to this equipment not expressly approved by
Indutech instruments GmbH may void the FCC authorization to operate this
equipment.
NOTE: This equipment has been tested and found to comply with the limits for a
Class B digital device, pursuant to Part 15 of the FCC Rules. These limits are
designed to provide reasonable protection against harmful interference in a
residential installation. This equipment generates, uses and can radiate radio
frequency energy and, if not installed and used in accordance with the instructions,
may cause harmful interference to radio communications. However, there is no
guarantee that interference will not occur in a particular installation. If this equipment
does cause harmful interference to radio or television reception, which can be
determined by turning the equipment off and on, the user is encouraged to try to
correct the interference by one or more of the following measures:
Reorient or relocate the receiving antenna.
Increase the separation between the equipment and receiver.
Connect the equipment into an outlet on a circuit different from that to which the
receiver is connected.
Consult the dealer or an experienced radio/TV technician for help.
WARNING! PROFESSIONAL INSTALLATION REQUIRED.
Installation by professionals only!

PMD 2450 Table of Contents
Rev. 1.2 / 2009-03-22 III
Table of Contents
DISCLAIMER I
TABLE OF CONTENTS III
LIST OF ILLUSTRATIONS V
1. INTRODUCTION 1
1.1 Overview 2
1.2 User Instructions 3
1.3 Safety Instructions 4
1.4 Radiation Protection 5
2. BASICS 7
2.1 Use and Function 8
2.1.1 PMD Moisture meter 8
2.2 Microwave Measuring Principle 10
2.3 Radiometric Measurement 13
2.4 Scintillation Detector 14
2.5 Radiation Source 15
2.6 Shielding 16
2.7 Evaluation Unit 17
2.8 Horn Antenna 18
3. OPERATION 19
3.1 Software Structure 21
3.1.1 Applications 21
3.1.2 Measurements and Batch Runs 22
3.1.3 Hierarchical Menu Guidance 23
3.1.4 Control of External PC 24
3.2 General Operation 24
3.2.1 Display with Touch Panel 24
3.2.2 Button Overview 24
3.2.3 Input Menus 25
3.3 Measurement Display 27
3.3.1 Structure 27
3.3.2 Buttons 29
3.4 Log-on via Password Entry 30
3.5 Control Menu 33
3.6 Menu Guidance 34
3.6.1 Structure 34
3.6.2 Buttons 35
3.6.3 Parameters 36
3.6.4 Service 41
3.6.5 Sampling 47
3.6.6 Zeroing 47
3.6.7 Calibrate 50
3.7 Measurement Process 57
3.7.1 Start and Stop of Measurements and Batch Runs 57
3.7.2 Regular Measurement Process 58
3.7.3 Error and Alarm States 59
3.8 Data Communication 61
3.8.1 Overview 61
3.8.2 Telegram Types 62
3.9 Software Update 67

PMD 2450 Table of Contents
Rev. 1.2 / 2009-03-22 IV
4. GETTING STARTED 69
4.1 Assembly 70
4.1.1 Microwave Horn Antenna 70
4.1.2 Sources 70
4.1.3 Detector 70
4.1.4 Analog Sensors 70
4.1.5 Digital Switches 71
4.2 Software Configuration 72
4.2.1 Language 72
4.2.2 Time and Date 72
4.2.3 System Parameters 72
4.2.4 Hardware Parameters 75
4.2.5 Display Configuration 75
4.2.6 Passwords 76
4.3 Zeroing 76
4.3.1 Basic Microwave Calibration 76
4.3.2 Zeroing 76
4.4 Sampling and Calibration 76
5. TECHNICAL DATA 80
5.1 Microprocessor Module SE 0100 (CPU) 81
5.2 Adapter Board SE 0006 83
5.2.1 Analog Input of ADC for the Microwave Unit 84
5.2.2 Counter Inputs 84
5.2.3 Analog Inputs 85
5.2.4 Analog Outputs 85
5.2.5 Current Output for PT100 85
5.2.6 Digital Inputs 86
5.2.7 Digital Outputs 86
5.2.8 Connector Configuration 87
5.3 Connector Configuration on Connection Board SE 0008 89
5.3.1 Serial Ports 89
5.3.2 Power Supply 91
5.3.3 Housing Dimensions 91
5.3.4 Protection Type 91
5.3.5 Ambient Temperature 91
5.3.6 Relative Humidity 91

PMD 2450 List of Illustrations
Rev. 1.2 / 2009-03-22 V
List of Illustrations
Figure 1: Principle of measurement ....................................................................................... 9
Figure 2: Configuration with two measuring points ...............................................................10
Figure 3: Scintillation detector ..............................................................................................15
Figure 4: Horn antenna for microwaves ................................................................................18
Figure 5: Menu for text entry ................................................................................................26
Figure 6: Numerical entry menu ...........................................................................................26
Figure 7: Selection list menu ................................................................................................27
Figure 8: Measurement display ............................................................................................28
Figure 9: Box displaying the measurable variable .................................................................28
Figure 10: User level selection menu ....................................................................................31
Figure 11: Control menu .......................................................................................................33
Figure 12: Main menu of PMD 2450 .....................................................................................34
Figure 13: Parameter menu ..................................................................................................37
Figure 14: Numbered fields in the measurement display ......................................................40
Figure 15: View all inputs menu ............................................................................................43
Figure 16: View Microwave data menu .................................................................................44
Figure 17: View Ash Data menu ...........................................................................................45
Figure 18: View Belt weigher data menu ..............................................................................46
Figure 19: Zeroing menu ......................................................................................................49
Figure 20: Measurement display of zero measurement ........................................................49
Figure 21: Control menu .......................................................................................................57
Figure 22: Connector configuration on circuit board SE 0008 in the cable chute ..................90

PMD 2450 Introduction
Rev. 1.2 / 2009-03-22 2
1.1 Overview
This user guide describes how to work with LDU 1000 as
the Precision Microwave Detector (PMD 2450), as GTA
(Gamma Transmission Ash) Analyzer or as GTD (Gamma
Transmission Density) Gauge. You will find information on
the basic principle of measurement as well as on the
performance of the evaluation unit of the PMD 2450.
Chapter 1: Introduction
This introduction includes information on working with the
instrument and information on the fields of applications of
the PMD 2450, GTA and GTD.
In addition, it includes codes of practice for handling
radioactive sources.
Chapter 2: Basics
This chapter provides a summary of the theoretical basis
of the principles of measurements, including the function
of the microwave measurement for determination of the
moisture content as well as the physical basis of
radiometry.
Chapter 3: Software
This section of the user guide describes the structure and
operation of the PMD software, in particular, the menu
structure, the measurement operation and the service
functions.
Chapter 4: Getting Started
Here you find important information on how to take the
system into operation.
Chapter 5: Technical Data
In this chapter you will find all technical information
relating to the hardware.

PMD 2450 Introduction
Rev. 1.2 / 2009-03-22 3
1.2 User Instructions
Purpose and Contents
This user guide describes the LDU 1000 as PMD 2450
GTA or GTD and all product variants.
Target Group
The user guide has been written for users with a certain
level of basic knowledge.
User Guide Structure
The user guide comprises 5 chapters. Each chapter
describes a different subject matter.
Document Guidance
The following items in this manual provide user guidance:
Overall table of contents at the start of the user guide
Overview about the content at the beginning of each
chapture
Availability
The user guide is available as:
printout on paper
PDF file
(download Adobe Acrobat Reader under
http://www.adobe.de)

PMD 2450 Introduction
Rev. 1.2 / 2009-03-22 4
1.3 Safety Instructions
The PMD 2450 has been designed and manufactured for
the on-line measurement of the
water content in solid matter, powders and bulk goods
density of aqueous solutions
consistency of aqueous solutions
residual carbon in flue ash
The instrument is not suited for determining the water
content of
ice
crystal water
The GTA has been designed and manufactured to
determine the ash content of coal.
The GTD allows to determine the density of materials
Documentation
The user guide should be available to all employees in
Project planning
Installation
Getting started
Operation
Before getting started and operating the components
described in this user guide, please keep in mind:
Idle Status
The instrument may be connected and modified by
trained professional personnel only.
National regulations and directives in the respective
country of use have to be observed (installation, safety
precautions ...).
Disposal
National regulations have to be observed to dispose off
the instrument!

PMD 2450 Introduction
Rev. 1.2 / 2009-03-22 5
1.4 Radiation Protection
Radiometric measurement methods are employed in many
applications of the LDU 1000. Since these methods utilize
radioactive sources, we will briefly discuss how to work
with nuclear radiation.
Overview
Nuclear radiation acting on living cells may trigger
chemical and biological reactions which, depending on the
intensity, energy and action time, may modify, damage or
destroy cells.
To rule out health hazards, an international limit value has
been stipulated for the highest permissible radiation
exposure of the operating personnel of 1 mSv (100 mrem)
per year as limit from the non-monitored area to the
monitored in-plant area.
The shielding design as well as the setup of the measuring
system at the measurement point ensures that the
radiation exposure will stay below this limit value in any
case, provided the measuring system is handled properly.
Radiation protection areas outside the shielding should be
identified accordingly and secured, if necessary.
Code of Practice
Essentially, each employee has to endeavor – through
cautious behavior and adherence to the radiation
protection regulations – to keep the radiation exposure as
low as possible, even within the legal limit values.
The radiation absorbed by the body, and thus the harmful
effect, is dependent on three factors, which are therefore
important for the basic code or practice:
Distance
The radiation intensity follows a square law of
distance: doubling the distance to the radiation
source reduces the intensity to one quarter.
Always observe a fairly large distance to the source.
Action time
The longer the period of exposure to radiation, the
higher the level of radiation exposure.
Do not stay in the immediate vicinity of the source
longer than absolutely necessary.
This means that maintenance work or source
replacement have to be planned thoroughly to
ensure that work can be performed quickly and the

PMD 2450 Introduction
Rev. 1.2 / 2009-03-22 6
period of stay in the vicinity of the source is kept to a
minimum.
Shielding
The source is shielded by the material surrounding it.
There is an exponential relationship between the
shielding effect and the product of thickness and
density of the shielding material. Therefore, these
materials have a high specific density and have to be
sufficiently thick.
Do not take the source out of its shielding.
If necessary, the useful radiation beam has
to be shielded as well.
Radition Protection Officer
A radiation protection officer has to be appointed in every
factory. He or she is the contact for all issues relating to
the measuring facility. He or she draws up the radiation
protection rules tailored to the needs of the factory and
defines codes of conduct which also may serve as basis of
job instructions.
Special incidents or accidents have to be reported to the
radiation protection officer immediately who will then
inform him/herself on the spot about the situation and take
appropriate action, if safety or function of the facility is
endangered.
In addition, the radiation protection officer has to make
sure that the regulations of the Radiation Protection
Ordinance shall be complied with, in particular, the
obligation of book-keeping and reporting special events as
well as the duty of instructing other employees.
Disposal of Radioactive Source
All radioactive sources which are either not needed any
more or which have decayed have to be disposed off at a
governmental collection site or returned to the supplier.
In particular, the national regulations for disposal of
radioactive sources have to be observed.

PMD 2450 Basics
Rev. 1.2 / 2009-03-22 7
2. Basics
This chapter describes the theoretical basis of the
principles of measurement, including the function of the
microwave measurement for determining the moisture
content as well as the physical basis of radiometry.
Overview
2. BASICS 7
2.1 Use and Function 8
2.2 Microwave Measuring Principle 10
2.3 Radiometric Measurement 13
2.4 Scintillation Detector 14
2.5 Radiation Source 15
2.6 Shielding 16
2.7 Evaluation Unit 17
2.8 Horn Antenna 18
List of Illustration
Figure 1: Principle of measurement ....................................................................................... 9
Figure 2: Configuration with two measuring points ...............................................................10

PMD 2450 Basics
Rev. 1.2 / 2009-03-22 8
2.1 Use and Function
2.1.1 PMD Moisture meter
The microwave moisture meter PMD 2450 is capable of
measuring the water content of virtually any material
noncontacting and on-line. Costly mechanical sampling
devices and sample dividers are not needed. The material
layer to be measured can be transmitted by microwaves
directly on a conveyor belt, in a chute, a pipeline or a
container made of nonconductive material. The
measurement is carried out through the wall or the
conveyor belt.
Strongly varying layer thicknesses and bulk densities of
the product being measured may be compensated for by
an additional radiometric area weight measurement. Thus,
the PMD 2450 works independent of the measurement
geometry.
Since measurement is performed in transmission, the
entire material transmitted is evaluated, ensuring
representative measurement at all times.
Figure 1 shows the basic configuration of the moisture
measurement. Microwaves are emitted by an antenna,
pass through the material layer and are finally picked up
by the antenna on the opposite side. The additional
radiometric area weight measurement, which is not
included with the basic version, consists of a radiation
source in a shielding container and a scintillation detector.
Both antennae as well as the scintillation detector are
connected to the evaluation unit PMD 2450 using the
connection cables supplied with the instrument; the
evaluation unit is set up directly next to the measuring
point.

PMD 2450 Basics
Rev. 1.2 / 2009-03-22 9
Figure 1: Principle of measurement
Figure 1 shows the standard configuration. This
configuration may be adapted to special measurement
tasks. One PMD 2450 can manage two directly adjacent
measuring points (see Figure 2); however, a microwave
unit can be used only at one measuring point.
GTA Ash measurement
In addition to the Cesium transmission line the Ash
measurement GTA has an Americium transmission line
and/or a transmission with an X-ray tube as source.
Because of the effect that the absorption of low energy
gamma rays is dependent on the atomic number of the
material and the fact, that the constituents of the ash have
an higher atomic number than the constituents of coal, this
method allows to determine the ash content of coal.
GTD Density measurement
For density measurement one gamma transmission line is
necessary. As source Am, Cs or Co is used.
Scintillation detector
Gamma radiation source
Microwave
receiving antenna
Microwave
transmitting antenna
Connection cable to
measurement station

PMD 2450 Basics
Rev. 1.2 / 2009-03-22 10
Master-PC with evaluation software
Conveyer
belt 2
Microwave
measuring
path
Radiometric
measuring
path
Belt
weigher
Meas. point 1
Meas. point 2
Measuring system
LDU 1000
Serial data line
Conveyer
belt 1
Figure 2: Configuration with two measuring points
In addition to measurements on conveyor belts, the PMD
2450 also offers the opportunity to determine the moisture
in chutes, containers or pipelines. In pipelines one can
measure the moisture or dry matter contents not only of
bulk goods, but also of liquids. At variable product
temperature, a temperature sensor may be used in each
of the two measuring channels in order to get a
temperature-compensated measuring signal.
2.2 Microwave Measuring Principle
The material layer to be measured is transmitted by
microwaves. The principle of measurement is based on
the physical effect of
phase shift (reduction of the propagation speed at high
relative permittivity)
attenuation (intensity decrease due to dielectric loss)
of electromagnetic waves passing through moist material.
Since water has a high relative permittivity, moist material

PMD 2450 Basics
Rev. 1.2 / 2009-03-22 11
differs from dry material due to changed dielectric
properties.
Incident microwaves set free water molecules, which are
not yet bound to dry matter, in rotation depending on the
orientation of the electromagnetic field. This causes the
phase shift and the attenuation.
Thus, the PMD 2450 determines the amount of free water
in the material being measured.
Measurement of
ice
crystal water
is not possible.
Weakly bound water can be detected depending on the
bond strength. Therefore, the measurement effect may
depend on the particle-size distribution and the chemical
composition of the product being measured if the binding
of water to solid materials is changed.
Conducting materials such as graphite or coke cannot be
transmitted by microwaves. Likewise, the transmission of
metal walls is not possible. The transmissionor metal-
reinforced conveyor belts is possible under specific
conditions. Walls made of plastic, rubber or insulating
materials having a fairly low relative permittivity and low
dielectric losses and have no influence on the
measurement.
Phase measurements are additionally unambiguous only
in the range of 360°. Therefore the phase shift must be
corrected by a multiple of 360°.
The phase shift is standardized on frequency. If we speak
in the following about phase shift, always the stadardized
value is meant, i.e. the dimension is degrees/GHz. The
attenuation is expressed in a logarithmic scale. The
dimension is dB.
To get the phase shift and the attenuation caused by the
material layer, a zero measurement i.e. a measurement
without material must be done. The phase shift and the

PMD 2450 Basics
Rev. 1.2 / 2009-03-22 12
attenuation are the differences of the measurement with
and without material.
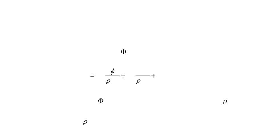
The water content W in the material being measured
depends in good approximation linear on the occurring
phase shift and the attenuation D according to the
following equation
C
d
D
B
d
AW *
*
*
*
(1)
taking into account that both, attenuation D and phase
shift are proportional to the area weight
d*
of the
material.
refers to the bulk density and d to the layer thickness.
A, B, C are the coefficients of the calibration function.
Whereas conventional microwave moisture meters only
use the attenuation, the PMD 2450 allows the moisture
measurement using either the effects of
phase shift
attenuation
combination of phase shift and attenuation
of microwaves passing through the material.
The microwave phase shift method is able to achieve a
significantly higher accuracy than the generally used
microwave attenuation method; this is true not only for a
constant measurement geometry, but in particular on
conveyor belts with varying material load. In contrast to
the attenuation measurement, the phase measurement is
hardly affected by material parameters such as
temperature, salt content (electrolytic conductivity) and
grain size. Moreover, the phase measurement is much
less affected by disturbance variables (e.g. interferences)
and by reflections. With a pure phase measurement one
can, therefore, achieve an unequalled accuracy in on-line
water content measurements for a variety of products. The
phase method is exclusively employed for a majority of
measurement tasks.
A pure attenuation measurement may be carried out if the
above mentioned disturbance variables are not an issue.
In contrast to conventional microwave moisture meters,
the PMD 2450 can utilize a wide variety of measuring
frequencies in a broad frequency belt for phase
measurements as well as attenuation measurements.
Thus, the influence of a variable measuring geometry

PMD 2450 Basics
Rev. 1.2 / 2009-03-22 13
(conveyor belts with varying load) due to multiple
reflections is significantly reduced.
A further increase of the measurement accuracy can be
obtained through combination of attenuation and phase
measurement for some special applications only.
However, this is only meaningful if the attenuation is not
distorted by additional other interferences or disturbance
reflections in variable measurement geometries or varying
salt contents and temperatures. A possibly remaining
grain size influence, which may occur with pure phase
measurements, may be reduced by a combined
measurement.
2.3 Radiometric Measurement
Equation (1) (see 2.2) shows that the influence of varying
material layer thickness and bulk good density disappears
through standardization relative to the transmitted area
weight. The area weight is either determined by an
additional radiometric measuring path or by an infrared
sensor.
The radiometric transmission measurement is based on
the physical effect that Gamma radiation passing through
material being measured is subject to an intensity
decrease. The residual radiation having the intensity
I
,
which is picked up by the scintillation detector, indicates
the area weight, where the bulk density results in the
transmission path. A constant distance between radiation
source and scintillation detector is required. The intensity
decrease may be described by the law of absorption
(2)
0
I
refers to the intensity of the un-attenuated radiation and
to the material-specific linear attenuation coefficient
(absorption coefficient). This coefficient is defaulted by the
PMD 2450 depending on the radiation sources used.
From equation (2) follows
(3)
which simplifies the calculation (1) of the water content:
(4)
d
oeII
d
I
I0
ln
C
I
I
D
B
I
I
AW
00 lnln

PMD 2450 Basics
Rev. 1.2 / 2009-03-22 14
In addition to the water content W in percent, the PMD
2450 also displays the area weight *d in g/cm2. This
value is calculated on the basis of the count rate ration
according to (3), where deviations from the defaulted
absorption coefficient can be corrected. The thickness of
an addition wall to be transmitted or the conveyor belt only
causes very minor constant radiation attenuation, i.e. it
does not have any influence on the measurement effect.
Thus, the radiometric measurement is extremely immune
to interferences and is very reliable.
The intensity of the radiation source decreases in the
course of time. The time period in which it has decreased
to half its original intensity is referred to as half-life period
which differs depending on the type of radiation source.
The PMD 2450 automatically compensates for the
radiation decomposition depending on the selected
radiation source.
A radiometric area weight compensation need not be
performed when layer thickness and bulk density are
constant in a fixed measuring geometry. This is the case,
for example, on conveyor belts transporting the same load
all the time, or in pipelines or chutes which are always
filled with the same material having a constant density.
2.4 Scintillation Detector
A scintillation detector is used as radiation detector; its
characteristic feature is its high specific sensitivity to
Gamma radiation and a service life that is not affected by
radiation exposure and is, therefore, not limited. Despite
low source activities, the scintillation counter supplies a
high count rate which simplifies result processing. The
scintillation detector is equipped with a drift stabilization
compensating for age and temperature related changes,
thus ensuring high long-term stability.
The scintillation detector consists of a NaI(Tl) crystal, a
photomultiplier and an electronics module in a sturdy
cylindrical stainless steel housing with integrated
connection box.

PMD 2450 Basics
Rev. 1.2 / 2009-03-22 15
Figure 3: Scintillation detector
Gamma radiation triggers flashes of light in the crystal,
their frequency being proportional to the radiation
intensity. The crystal is optically coupled to a
photomultiplier. The flashes of light release electrons from
the light-sensitive photomultiplier cathode. This flow of
electrons is amplified by a so-called dynode system and,
due to the high voltage applied, accelerated towards the
anode, there generating an electrical pulse for each
incident flash of light. These pulses are amplified in the
electronics unit, then reduced by a division factor of 1, 2,
4, 8 and 16 and shaped into low-impedance square pulses
of approx. 10V.
The electronics unit also generates the high voltage
required for operation of the photomultiplier. The +/- 15V
supply voltage and standard pulses are transferred to the
evaluation unit via the connection cable supplied.
For ambient temperatures exceeding 50°C, the scintillation
counter may be equipped with a water cooling device
which is available as an accessory.
The standard version of the scintillation detector receives
radiation from the front. On request, a special detector
shielding may be supplied for radial irradiation. This
shielding may also be installed later.
2.5 Radiation Source
Gamma sources are used as radiation emitters. Typically,
Cs-137, Am-241 or X-rays are used. The radiation emitted

PMD 2450 Basics
Rev. 1.2 / 2009-03-22 16
by these isotopes is subject to a natural intensity
decrease. Each isotope has a characteristic half-life, i.e.
the period after which only half of the original radiation
intensity is still available.
The most frequently used isotope for area weight
compensation or density measurement is Cesium (Cs-
137), which is available as a point source. Its nuclear
energy of 660 keV suffices to transmit normal pipe and
chute walls. This nuclide is preferably used to transmit
thicker layers. Cs-137 can be shielded very effectively. Its
half-life is 30.3 years.
The radiation absorption of Cs-137 is relatively uniform
and virtually independent of the chemical composition of
most common products being measured.
Americium (Am-241) is available as a surface source,
emitting radiation with 60 keV energy. It is used for
measurements involving low area weights and thin layers.
Due to its low energy, Am-241 can be shielded easily. Its
half-life of 433 years is very long. Am-241 can be replaced
by X-rays. These allows also to generate radiation with a
lower energy.
The radiation absorption depends on the atomic number of
the chemical elements included in the product being
measured. Therefore, its use is restricted to products of
virtually constant chemical composition.
2.6 Shielding
The radiation source is firmly installed in a shielding. The
shielding container for Cs-137 is made of a sturdy cast
iron or stainless steel housing filled with lead. The front of
the container is closed by a metal plate. The radiation exit
channel can be closed by a built-in rotating shutter. The
shutter is operated from the rear via a lever which can be
secured by a lock in open and closed position. A lock
protects the source against unauthorized removal.
The Am-241 area source is firmly installed into a shielding.
The container front is also covered by metal plates. The
shielding is provided with a lockable radiation exit channel
with rotating shutter and lever.

PMD 2450 Basics
Rev. 1.2 / 2009-03-22 17
The X-ray tube is shielded. As an option X-ray tube is
controlled by a thermal switch to avoid overheating and to
switch the high voltage off in case of a fire.
2.7 Evaluation Unit
The evaluation unit of the PMD 2450 is installed in a
suitable wall housing.
The microwave unit supplies the necessary high frequency
and is directly connected to the horn antenna via cable.
The high frequency connections are provided with HF-
sockets which are located on the left side wall of the
housing.
The PMD 2450 calculates the measured values, controls
the microwave unit and supplies all control and operating
voltages required for connection of the scintillation
detectors. All inputs and outputs as well as the operating
voltage are passed through PG bushings into the wall
housing and connected to terminal strips inside the PMD
2450.
The evaluation unit is operated via touch screen.
Results and parameters are displayed on the LC display.
Various displays can be selected with the arrow keys (see
chapter 3.2).
All system parameters can be selected and edited menu-
guided. Standard parameters are defaulted by the
manufacturer, which significantly simplifies system
calibration. Unauthorized manipulation of parameters can
be prevented by entering a password.
The measured data supplied by a connected scintillation
detector, temperature sensor or tachometer are computed
together with the microwave data obtained. The natural
intensity decrease of the radiation source used is
automatically compensated for nuclide-specifically.
The system function is permanently monitored. In case of
power failure or if the instrument is turned off, all
parameters and the time remain stored.
In its basic version the PMD 2450 is equipped with the
following Euro cards:
SE 0100 CPU
SE 0006 adapter card with counter – in, analog I/O,
digital I/O
VNA 2750 microwave cassette
power supply unit

PMD 2450 Basics
Rev. 1.2 / 2009-03-22 18
2.8 Horn Antenna
Horn-shaped emitters made of stainless steel are used as
microwave antenna. The openings of the horn-shaped
emitters are finished dust-tight with a plastic window. The
radiation exit windows should be cleaned regularly
because dust deposits may distort the results depending
on area weight and water content. The antennae do not
contain any electronic components; however, they should
be protected against mechanical damage.
Transmitting and receiving antenna are of equal design.
They are connected to the HF-sockets on the housing.
Figure 4: Horn antenna for microwaves

PMD 2450 Operation
Rev. 1.2 / 2009-03-22 19
3. Operation
This chapter of the user guide describes the structure and
operation of software. Hereby the structure is explained for
the moisture meter PMD 2450. The operation of the
functions of the LDU 1000 follows the same structure and
rules.
Overviev
3. OPERATION 19
3.1 Software Structure 21
3.1.1 Applications 21
3.1.2 Measurements and Batch Runs 22
3.1.3 Hierarchical Menu Guidance 23
3.1.4 Control of External PC 24
3.2 General Operation 24
3.2.1 Display with Touch Panel 24
3.2.2 Button Overview 24
3.2.3 Input Menus 25
3.3 Measurement Display 27
3.3.1 Structure 27
3.3.2 Buttons 29
3.4 Log-on via Password Entry 30
3.5 Control Menu 33
3.6 Menu Guidance 34
3.6.1 Structure 34
3.6.2 Buttons 35
3.6.3 Parameters 36
3.6.4 Service 41
3.6.5 Sampling 47
3.6.6 Zeroing 47
3.6.7 Calibrate 50
3.7 Measurement Process 57
3.7.1 Start and Stop of Measurements and Batch Runs 57
3.7.2 Regular Measurement Process 58
3.7.3 Error and Alarm States 59
3.8 Data Communication 61
3.8.1 Overview 61
3.8.2 Telegram Types 62
3.9 Software Update 67

PMD 2450 Operation
Rev. 1.2 / 2009-03-22 20
List of Illustration
Figure 6: Numerical entry menu ...........................................................................................26
Figure 7: Selection list menu ................................................................................................27
Figure 8: Measurement display ............................................................................................28
Figure 9: Box displaying the measurable variable .................................................................28
Figure 10: User level selection menu ....................................................................................31
Figure 11: Control menu .......................................................................................................33
Figure 12: Main menu of PMD 2450 .....................................................................................34
Figure 13: Parameter menu ..................................................................................................37
Figure 14: Numbered fields in the measurement display ......................................................40
Figure 15: View all inputs menu ............................................................................................43
Figure 16: View Microwave data menu .................................................................................44
Figure 17: View Ash Data menu ...........................................................................................45
Figure 18: View Belt weigher data menu ..............................................................................46
Figure 19: Zeroing menu ......................................................................................................49
Figure 20: Measurement display of zero measurement ........................................................49
Figure 21: Control menu .......................................................................................................57

PMD 2450 Operation
Rev. 1.2 / 2009-03-22 21
3.1 Software Structure
3.1.1 Applications
The software of the LDU 1000 is designed as a modular
system. Basically, the following parameters can be
measured at two measuring points:
Measuring point 1
Measuring point 2
MW values
Thermal value
Ash
Ash
Belt weigher
Belt weigher
Density
Density
By upgrading the hardware by the microwave module VNA
2700 and installation of the necessary software
components, the LDU 1000 becomes a PMD 2450, which
supports microwave measurements (MW values), e.g. to
determine the moisture.
The microwave measurement is available only at
measuring point 1.
Microwave measured values
The PMD 2450 is a microwave measuring system
determining the phase shift and attenuation by the product
being measured according to the principle of transmission.
From these two measurable variables one can calculate
certain physical measured values, e.g. the water or salt
content of a product.
Thermal value
The thermal value is composed of the moisture and the
ash content of a product being measured.
Since the moisture content can be measured only at
measuring point 1, the thermal value can also be
measured at this measuring point only.

PMD 2450 Operation
Rev. 1.2 / 2009-03-22 22
Ash
The ash content e.g. of coal is measured radiometrically
using an Americium source.
Optionally, the measuring point can be supplemented by
an X-ray measuring path.
Belt weigher
The PMD 2450 is capable of measuring the mass flow on
a conveyor belt with up to 5 radiometric measuring paths.
Area weight compensation
Compensation of layer thickness and bulk density is
carried out via a counter or analog input, depending on the
selected compensation method.
In most cases, the radiometric measuring path with Cs-
137 is set up.
Temperature compensation
Using a temperature sensor, e.g. a PT100, the bulk good
temperature can be determined and taken into account for
calculation of the microwave value.
Belt speed
The belt speed is measured by a tachometer, whose
pulses are fed into a counter input.
Note
Upon delivery of the instrument, the software components
are configured depending on the application. The sensors
to be connected are allocated to the inputs, as shown in
the wiring diagram.
3.1.2 Measurements and Batch Runs
Often one needs to know the mean value of measured
values over a certain time. To this end, so-called batches
or batch runs can be performed. The current measured
values are averaged and displayed according to the

PMD 2450 Operation
Rev. 1.2 / 2009-03-22 23
counter-timer method (sum of all measured values divided
by the elapsed measuring time).
Batch runs can be started and stopped any time, just like
regular measurements, see also chapter 3.5.
A batch run always refers to an entire measuring point, i.e.
when starting a batch all measurable variables of a
measuring point are averaged.
The current batch and the last batch are displayed in the
measurement display, i.e. one sees the value of the
current averaging and also the mean value of the previous
batch run.
When a batch is stopped, the current batch value is added
to the value of the last batch value and the current batch
value is reset to 0.
Note
Batch operation is meaningful only with on-going
measurement. Therefore, starting a batch while a
measurement has been stopped will initiate a
measurement start. Accordingly, when a measurement is
stopped while a batch is running, the batch is stopped as
well.
3.1.3 Hierarchical Menu Guidance
Parameters and service functions are included in a
hierarchically structured, clearly arranged user-friendly
menu.

PMD 2450 Operation
Rev. 1.2 / 2009-03-22 24
This menu is operated by means of softkeys which can be
pushed directly on the display. This allows very intuitive
user guidance.
Chapter 3.6 contains a detailed description of the main
menu with all submenu items.
3.1.4 Control of External PC
The LDU 1000 can be remote-controlled via the serial port
of an external PC. A special communication protocol has
been defined which is send and received via the specially
designed PC program „LDU Communication“. Thus, for
example, important measurements can be started and
stopped via PC. Moreover, all parameters can be set via
PC.
The port can either be configured as RS232 or RS485.
For more details on data communication please refer to
chapter 3.8.
3.2 General Operation
3.2.1 Display with Touch Panel
The evaluation unit LDU 1000 is operated by means of
softkeys which can be pushed directly on the display. This
allows very fast and clear user-guidance.
3.2.2 Button Overview
A button is depicted as a rounded black rectangle with a
symbol or text printed on it.

PMD 2450 Operation
Rev. 1.2 / 2009-03-22 25
If a button is pushed, the position on the touch panel is
evaluated and the respective function is triggered.
The „ “ button is needed to go to a selected menu or to
edit a parameter.
„ESC“ button: exit menu, cancel parameter entry.
Note
Entered parameters will be stored only when you return
from the menu to the measurement display. Otherwise,
the old parameters are still valid when you turn the
instrument off and on again.
With the „Arrow“ keys the cursor bar is moved into the
menu and parameters are entered via selection lists.
Push the „Key“ button to log on to the system before you
can make any changes.
To protect the system against unauthorized access, you
should log off again by pushing the „Key“ button before
you exit the instrument.
Push the „Ctrl“ button to open the control menu to start
and stop measurements and batch runs.
Push the „Start“ button to start a certain measurement,
and the „Stop“-button to stop a measurement.
Push the „Menu“ button to open the main menu from
within the measurement display.
The „Values“ button opens a submenu and you can view
the measured values of a special measurement, e.g. the
zeroing.
3.2.3 Input Menu
Text entry
Texts such as password or belt name are entered via
alphanumeric keyboard.
Each alphanumeric button contains three characters.
Occasionally, one button has to be pushed several times
or it has to be kept pushed until the desired letter appears.

PMD 2450 Operation
Rev. 1.2 / 2009-03-22 26
ESC
TEXT ENTRY:
ABC DEF GHI JKL MNO PQR STU
VWX YZ
123 456 789 0/. DEL
G_
Figure 5: Menu for text entry
About one second after the last button stroke, the flashing
cursor bar advances to the next position and you may
enter the next character.
Push „DEL“ to delete the last character.
Push „ESC“ to cancel the entry sequence.
Push „ “ at the end to confirm entries.
Figure 5 shows the keyboard for input of a password.
Note
When entering the password, the character entered last is
replaced by an asterisk after about one second.
Numerical entry
Figure 6 shows the menu for entering numbers.
Push „DEL“ to delete the last digit.
Push „ESC“ to cancel the entry sequence.
Push „ “ to confirm the entered number.
ESC
NUMERICAL ENTRY
1 2 3 4 5 6 7
8 9 0 - . E DEL
12.3456789_
Value <= 10!
Figure 6: Numerical entry menu
Certain input limits have been defined for each parameter.
If the entered value is outside these limits, an error
message appears and the value is not accepted.

PMD 2450 Operation
Rev. 1.2 / 2009-03-22 27
These input menus are primarily needed for definition of
the calibration coefficients, but are also used for other
parameters.
Selection lists
Some parameters cannot be set as you like, but can only
be set to certain default values which are chosen from
selection lists.
Figure 7 shows the selection list for definition of the
language. On the left side you see a list of items you may
choose (here: German or English), on the right side you
see the currently selected item.
ESC
LANGUAGE 1/1
Deutsch
English
Current value:
Deutsch
Figure 7: Selection list menu
Push the „Arrow“ keys to browse through the selection list
and push „ “ to select the desired item.
Push „ESC“ to cancel the selection process.
3.3 Measurement Display
3.3.1 Structure
After power on of the instrument the measurement display
is displayed (see Figure 8).
Menu Ctrl
M e a s. P o i n t 1
M o i s t u r e %
8 . 7 9 0
0 . 0 0 . 0
n o t c o n f i g. n o t c o n f i g.
M e a s. P o i n t 1
D e n s i t y g / c m 3
0 . 7 4 3
0 . 0 0 . 0

PMD 2450 Operation
Rev. 1.2 / 2009-03-22 28
Figure 8: Measurement display
The measurement display shows 4 fields, each displaying
the values of one measurable variable. If the instrument is
in the logged-on status (see chapter 3.4), you can go to
the second page of the measurement display by pushing
the „Arrow“ key. The second page is structured in the
same manner as the first one. In total, the measured
values of 8 measurable variables can be displayed, 4 on
each page of the measurement display.
M e a s. P o i n t 1
M o i s t u r e %
8 . 7 9 0
0 . 0 0 . 0
Designation of
measuring point
Designation of
measurable
variable
Unit of
measurable
variable
current
meas. value current
batch last
batch
Figure 9: Box displaying the measurable variable
As shown in Figure 9, each field displays the designation
of the measuring point, the designation of the measurable
variable with the respective unit, the currently measured
value as well as the values of the current and last batch.
Note
The displayed unit of the belt weigher t/h (tons per hour)
refers here only o the currently measured value. The unit
of the batch value is tons.
The configuration of the measurement displays, i.e. the
definition which measured value is to be displayed in
which field, is described in chapter 3.6.3 (Display).
A measurement starts automatically upon power on of the
instrument if at least one counter or analog input has been
configured.
See chapter 3.7 for a detailed description of the
measurement process.

PMD 2450 Operation
Rev. 1.2 / 2009-03-22 29
3.3.2 Buttons
In the logged-off status, only one button is active in the
measurement display at first, i.e. the log-on button („Key“
button). To have access to various functions, you have to
log on to the system first by pushing this button. This
process is described in detail in the following chapter.
After you have logged on correctly, you get back to the
measurement display.
The instrument is now in the processing mode (see Figure
8). In the bottom line of the display you see next to the
„Key“ button the „Menu“ and „Ctrl“ (Control) buttons as
well as two „Arrow“ keys.
With the „Key“ button you can log on again and protect the
instrument against unauthorised access. The current
function is symbolized by the padlock. An open padlock
stands for „log-on“, a closed padlock for „log off“.
Push the „Menu“ button to return to the main menu, where
all parameters are set and many service functions are
available (see chapter 3.6).

PMD 2450 Operation
Rev. 1.2 / 2009-03-22 30
Push the „Ctrl“ button to open the control menu, where
you can start and stop the measurement and the batch for
both measuring points, see also chapter 3.5.
With both „Arrow“ keys you may move from the first page
of the measurement display to the second one (and back).
3.4 Log-on via Password Entry
Protection against unauthorized access
During regular operation, the user interface of the PMD
2450 is locked to protect the instrument against
unauthorized access. To have access to the menu, you
have to log on to the instrument.
For safety reasons you should log off as soon as you have
completed your entries.
If no button is pushed for 15 minutes, the user is
automatically logged off by the program.
Four user levels
We distinguish 4 groups or levels of users in ascending
order; the lowest group has the fewest, the highest group
the most rights in the system. Depending on the selected
user level, more or less instrument functions are available.
Each level is protected by a separate password.
These user groups are from bottom to top:
User (fewest rights)

PMD 2450 Operation
Rev. 1.2 / 2009-03-22 31
Sampler
Administrator
Service (most rights)
Log-on process
If the instrument is in the logged-off state, you have to
push the „Key“ button to go from the measurement display
to the user level selection menu.
ESC
LOG-ON AS: 1/1
User
Sampler
Administrator
Service
Figure 10: User level selection menu
Select the desired user level with the „Arrow“ keys and
confirm your selection by pushing the „ “ button.
An input menu with an alphanumeric keyboard appears
(see chapter 3.2.3) and you can enter the password. Each
character entered is replaced by an asterisk after about
one second.
You have to push the „ “ button to confirm the password.
If your entry is correct, you get back to the measurement
display. If not, an error message will be displayed
(„Password wrong!“), the entered character chain is
deleted and you can enter the password again.
Push the „ESC“ button to cancel the log-on process and
you get back to the measurement display.
Default password
All user levels are protected ex factory by the following
passwords:
User = A
Sampler = D
Administrator = G
You may change this default setting in the menu
Parameters
Passwords (chapter 3.6.3).

PMD 2450 Operation
Rev. 1.2 / 2009-03-22 33
3.5 Control Menu
Push the „Ctrl“ button in the measurement display to get
to the Control menu to start and stop measurements and
batches for both measuring points.
On the left-hand side you see control buttons for
measuring point 1, on the right-hand side those for
measuring point 2.
Push a „Start“ button to start a measurement; the „Start“
button turns into a „Stop“ button.
On the other hand, a measurement is stopped by pushing
a „Stop“ button and the „Start“ button appears again in
place of the „Stop“ button.
ESC
1: ALIAS
Measurement:
2: ALIAS
Batch:Batch:
Start
Start Stop
Stop
Measurement:
Figure 11: Control menu
Note
Batch mode makes sense only while a measurement is
running. Therefore, starting a batch while a measurement
is stopped will also start a measurement. Accordingly,
when a measurement is stopped while a batch is running,
the batch is stopped as well.
Note
If you would like to make entries on a larger scale, it is
advisable to stop all measurements in order to speed up
the reaction of the display.
The evaluation of microwave data is very time-consuming
and may therefore slow down the presentation on the
display.

PMD 2450 Operation
Rev. 1.2 / 2009-03-22 34
3.6 Menu Guidance
3.6.1 Structure
The PMD 2450 menu is structured hierarchically, i.e. from
the main menu you have access to various submenus
which in turn provide access to further submenus.
SAMPLING
DISPLAY CALIBRATE
SERVICE
PARAMETERS
ZEROING
MAIN MENU 02.09.2000
Figure 12: Main menu of PMD 2450
Note
We will describe the menu items which are available to the
instrument administrator. Users on a lower level do not
have access to some parts of these menus.
Push the „Menu“ button in the measurement display to call
the main menu (Figure 12). The main menu comprises six
submenus:
Parameters
This menu includes important system parameters, for
example, parameters for the overall configuration or
parameters which define certain hardware properties.
Service
This menu is particularly important during start-up and to
identify errors; it includes many hardware test functions
and shows intermediate results of the calculated
measurable variables.
Display
Push the „Display“ button to return to the measurement
display.
Note
All parameters entered will be saved only when you return
to the measurement display!

PMD 2450 Operation
Rev. 1.2 / 2009-03-22 35
If you turn the instrument off after you have edited
parameters and before you have pushed the „Display“
button, the values you have changed will be lost and after
power on you will again work with the previously set
values.
Sampling
Sampling is important for calculation of the calibration
coefficients.
Presently, this calculation is exclusively performed by a
PC program; therefore, the „Sampling“ button is not yet
used.
Zeroing
Separate zeroing is performed for both measuring points
to take the influence of the conveyor belt on the
measurements into account.
Calibrate
In this menu you enter all calibration parameters
determined through sampling.
Moreover, here you may define alarm thresholds for the
individual measurable variables.
With the exception of some special items on the Service
menu, all submenus have the same structure:
The menu name appears in the left-hand side of the menu
header, the current page number and the total number of
pages of the menu on the right-hand side.
Below that appear the menu data, i.e. various parameters
and / or submenus.
If the menu date is a parameter, the parameter name is
left-justified, the value of the parameters right-justified in
the same row.
A submenu is also left-justified and is identified by three
dots at the end of the name.
The footer includes buttons to scroll through the menu, to
open submenus, to enter parameters or to quit the menu.
3.6.2 Buttons
Push any of the large buttons on the main menu to open
the respective submenu.
Push the „ “ button to open further submenus and input
menus to edit a parameter.

PMD 2450 Operation
Rev. 1.2 / 2009-03-22 36
With the „Arrow“ keys you can scroll through individual
menu rows.
Pushing the „ “ key in the bottom menu row will take you
to the next the menu page, if the menu comprises several
pages. Otherwise you get back to the first menu row.
With the „ “ key you always jump from the first menu row
into the last row on the previous page of the menu.
Push „ESC“ to exit a menu or to cancel an entry
sequence.
Push the „Start“ or „Stop“ button to start and stop special
measurements, e.g. the zeroing.
Push the „Values“ button to open a submenu and to view
the data of a special measurement, for example the
zeroing.
3.6.3 Parameters
This menu contains important system parameters, for
example, parameters for the overall configuration or
parameters which define certain hardware properties.

PMD 2450 Operation
Rev. 1.2 / 2009-03-22 37
ESC
SYSTEM PARAMETERS 1/2
Hardware...
Display...
Passwords...
System time:
System...
10:15:32
Figure 13: Parameter menu
System
The System menu comprises the following parameters
and submenus:
Port Configuration
Allocation of inputs and outputs and serial port
configuration.
These functions are accessible to the service
engineers only. This menu is not available to all
lower user levels.
Virtual Ports
Virtual ports are used to simulate measured
value transmitters which are needed for the
measurement configuration, but which are not
available. For example, a tachometer can be
simulated at constant belt speed.
The PMD 2450 can simulate 6 virtual counters,
4 analog inputs and 8 virtual digital inputs.
At the counter and analog inputs you may enter
values for the zeroing, in addition to the current
values. These are needed to ensure that the
software treats the virtual inputs in the same
manner as the hardware inputs.
Integration Times
Here you can enter the integration times Int2
for measuring point 1 and measuring point 2
separately. Int2 defines for each measuring
point the number of measured values which are
included in the averaging.

PMD 2450 Operation
Rev. 1.2 / 2009-03-22 38
The moving average calculation over N
seconds is valid for all applications of the
respective measuring point.
The integration time Int1 (averaging of raw
data) which is valid for both measuring points
cannot be changed.
Send to PC
The LDU 1000 provides different data
telegrams to the PC:
raw values (as phase shift attenuation,
countrates or analog and digital inputs,
etc.)
measuring values (as moisture, ash,
density etc.)
both, raw and measuring values
frequency response. This telegram
transmits the microwave data for each
frequency. This telegram is used for
start-up and service only and can be
received with a terminal program of the
PC.
Here you select which telegram is sent by the
LDU 1000.
Hardware
In this menu the hardware of the measurement sequence
and its components are described in more detail, for
example, the belt positions of the respective detectors or
the half-life times of the radioactive source.
The measurement geometry, i.e. the distances of the
sensors, are defined as follows. The last sensor, viewed in
conveying direction, serves as reference point and has the
distance „0“.
All other distances are measured from this zero point and
are indicated in meters.
For all detectors you can define a lower failure threshold
which, if it is not reached, triggers a collective failure
message and – if configured – is sent to a digital output.
If both measuring points have been configured, first the
inputs of measuring point 1 are listed in the respective
submenu and then those of measuring point 2.
Counter
The respective tachometer constant has to be

PMD 2450 Operation
Rev. 1.2 / 2009-03-22 39
entered for the tachometer. Moreover, you can
define a failure threshold.
For all other counters you may define the belt
position as well as the half-life time of the
radioactive source in addition to the failure
threshold. If the half-life time is 0, no half-life
time correction of the counter pulses takes
place.
Analog inputs
Enter the belt position for the analog inputs and
define a failure threshold.
Digital inputs
Here you define the delay time of the digital
inputs. If this time is unequal to 0, the
respective digital input is not immediately
evaluated, but only after the time entered here
in seconds has elapsed.
Microwave
In addition to the belt position, three special
parameters are entered here for the microwave
measurement:
The MW mode defines the measurement mode
for the microwave. We distinguish between:
measurement with constant fixed frequency
(CW normal),
measurement at different fixed frequencies
(CW-swept) and
measurement with several frequencies and
best fit (sweep).
The CW frequency defines the frequency used
for measurement at constant fixed frequency.
The third parameter defines if an internal
attenuation element should prevent a too high
microwave output. This attenuation element can
either always be turned off, always be turned on
or turned on or off automatically depending on
the attenuation of the product being measured.
Display
The measurement display is configured here.
For each measuring point you can enter a belt name with
max. 13 characters via alphanumeric keyboard (see
chapter 3.2.3). This belt name then appears in the

PMD 2450 Operation
Rev. 1.2 / 2009-03-22 40
individual measurement fields instead of the term
„Measuring point 1“ or „Measuring point 2“.
The individual measurement fields are configured via
selection list where the number of a measurement field is
allocated to a certain measurable variable.
Figure 14 shows the numbering of the measurement field
in the measurement display from right to left and from top
to bottom: field 1 is in the upper left corner, next to it is
field 2, below those fields 3 and 4. Fields 5 – 8 are
arranged in the same manner on the second page of the
measurement display (push the „Arrow“ keys to go this
page).
1 (5)
3 (7) 4 (8)
2 (6)
Figure 14: Numbered fields in the measurement display
Passwords
On the „Passwords“ menu you may assign new
passwords to the various user levels.
The „User“ and the „Sampler“ can only change their own
password. The instrument administrator is entitled to
change all passwords.
With the „Arrow“ keys, select the user level whose
password you want to change and confirm your entry with
the „ “ button. Now enter the new password on the
alphanumeric keyboard and confirm it with the „ “ button.
You have to enter the new password a second time and
confirm it with „ “.
Time and date
Enter the system time and the system date.
Push the „ “ button to open the numerical entry window.
Enter the current time or the current date and confirm your
entry with the „ “ button.

PMD 2450 Operation
Rev. 1.2 / 2009-03-22 41
The new time is now written into the battery-buffered real-
timer clock on the microprocessor insert card. The time is
retained even after power off of the instrument and you
need not enter it new after every system start.
Language
Select the desired language from a selection list (see
chapter 3.2.3).
Presently, German and English are available, with English
being the default language.
Program version
Shows the version number of the current software.
The instrument administrator may perform a software
update via this menu item. Chapter 3.9 describes the
individual steps in detail.
Last parameter change
Shows when the parameters of the measuring system
have been changed last.
Note
Date and time of the last parameter change serve only for
your information and cannot be changed! They are
updated automatically, as soon as a parameter is
changed.
3.6.4 Service
The Service menu includes many functions to test the
hardware, to display intermediate result when calculating
the measured values as well as quality criteria for
assessment of the microwave measured values.
Test Hardware
Test of the hardware inputs and outputs of the adapter
card SE0006 as well as the microwave cassette.
To test the microwave cassette, the measurement for
measuring point 1 has to be running; all other inputs can
also be carried out with stopped measurement.
To test the outputs it is advisable to stop the
measurements first, so that the manually set values will
not be overwritten by the measurement routine.
The „ “ button is used to set a certain value for the
outputs; on the other hand, it is without function for the
inputs.

PMD 2450 Operation
Rev. 1.2 / 2009-03-22 42
Test Microwave
The attenuation D and the phase shift phi (0°
phi 360°) of the measured microwave
radiation is displayed while a measurement is
running.
The correction factor n is important for
calculation of the correct phase shift, which may
be larger than 360° and which is calculated
according to phicorr = n * 360° + phi.
Delta phi finally indicates the difference
between the measured phase shift and a phase
shift calculated according to plausibility criteria.
Test Counter Inputs
Here you see the count rates of the 6 counter
inputs, measured in cps.
Test Analog Inputs
Values of both current inputs in mA.
Test Digital inputs
Shows the logical states (0 / 1) of the 8 digital
inputs.
Test Analog Outputs
With the „ “ button you can set the 4 current
outputs each to a value between 0 mA and
20 mA. The current is then set accordingly and
can be measured using an Ampere meter.
Test Digital Outputs
Set / Reset the 4 digital outputs with the „ “
button and measure the set values again using
a Voltmeter.
Note
The digital outputs are wired such that relays connected to
it pick up in the normal state and are released in case of
alarm. For this reason, a voltage of 5 V is applied at the
logical 0, 0 V at the logical 1.

PMD 2450 Operation
Rev. 1.2 / 2009-03-22 43
View All Inputs
In this menu all values of the hardware inputs averaged
over the integration time Int2 are displayed.
If a measurement is running, these values are updated
each second.
ESC
VIEW ALL INPUTS
M i c r o w a v e
A t t : 0 . 0 1 6
Phi : - 1 . 7 1 3
A n a l o g I n
1 : 0.0
2 : 0.0
C o u n t e r s
1 : 0 . 0
2 : 0 . 0
3 : 0 . 0
4 : 0 . 0
5 : 0 . 0
6 : 0 . 0
D i g I n
1 : 1
2 : 1
3 : 1
4 : 1
5 : 1
6 : 1
7: 1
8: 1
Figure 15: View all inputs menu
Calculation Steps
Intermediate results for calculation of the measurable
variables are displayed in this menu.
The results for each measuring point are display in a
separate submenu. Both submenus basically have the
same structure. Below, only the submenu of measuring
point 1 will be discussed.
The software supports all applications.
However, if not all applications have been implemented,
the respective submenus are missing.
Tacho
Displays the current belt speed [m/s] calculated
according to
Tacho constant * count rate.
If no tachometer is available, the respective row
shows the info „Tacho not configured“.
Area weight
Current area weight determined either
radiometrically or by an analog sensor.

PMD 2450 Operation
Rev. 1.2 / 2009-03-22 44
Microwave data
ESC
VIEW MICROWAVE DATA
A t t : 0 . 0 1 6
P h i : - 1 . 7 1 3
m : 1 . 0 0 0
A t t / m : - 0 . 0 1 4
P h i / m : - 2 . 0 3 4
M W 1 : - 2 . 0 7 0
M W 2 : - 0 . 0 1 1
P h i - c h e c k : 0 . 0
n : 0
D e l t a P h i : - 5 . 5 9 0
C h i - S q : 0 . 0
O f f s e t : 0 . 0
Figure 16: View Microwave data menu
On the left-hand side you see various
intermediate values, on the right-hand side
several assessment criteria for the measured
values.
Where:
Att: Int2-averaged attenuation
corrected by zeroing
Phi: Int2-averaged phase shift
corrected by zeroing
m: Int2-averaged area weight
Att/m: Attenuation standardized with
respect to the area weight
Phi/m: Phase shift standardized with
respect to the area weight
MW1: Microwave value 1 determined
with coefficient set 1
MW2: Microwave value 1 determined
with coefficient set 2
Phi-check: Phase shift calculated according
to plausibility criteria
n: Correction factor indicating the
number of 360° shifts of the phase

PMD 2450 Operation
Rev. 1.2 / 2009-03-22 45
Delta Phi: Difference of measured phase
shift to Phi-check.
Chi-Sq: Only in sweep mode:
Square of fit error Chi at best fit
due to the phase values measured
at 10 different frequencies
Offset: Only in sweep mode:
Phase shift determined according
to the best fit at frequency 0Hz.
Ash data
This menu shows the most important
intermediate values for calculation of the ash
content.
ESC
VIEW ASH DATA MP1
R a w d a t a
A m : 0 . 0
X : - - -
m : 0 . 0
l n ( I / I o )
A m : 0 . 0
X : - - -
F a c t o r s
Q 1 : 0 . 0
Q 2 : 0 . 0
Q 3 : 0 . 0
A s h : 0 . 0
Figure 17: View Ash Data menu
The signal flow occurs from left to right:
The left column lists the raw data, i.e. the count
rates of the Americium source (Am) and the X-
ray rube (X) averaged over the integration time
Int2 as well as the area weight m averaged
over Int2.
The averaged count rates serve only for your
information and do not enter directly into the
calculation formula.
The center column shows the natural
logarithms averaged over Int2 of the count
rates referring to the zeroing, i.e.
ln(I/Io)Am and ln(I/Io)X.
In the right column, finally, the values of the
center column are standardized with respect to
the area weight, i.e.:
Q1 = ln(I/Io)Am / m

PMD 2450 Operation
Rev. 1.2 / 2009-03-22 46
Q2 = ln(I/Io)X / m
Q3 = [ ln(I/Io)X ]² / m
The factors Q1 – Q3 are inserted in the
calculation formula for the ash content. The ash
content calculated according to this formula
appears at the bottom of this page.
Belt weigher data
Figure 18 shows the menu for the belt weigher
calculation.
ESC
VIEW BELT WEIGHER MP1
R a w d a t a
1 : 0 . 0
2 : - - -
3 : - - -
4 : - - -
5 : - - -
l n ( I / I o )
1 : 0 . 0
2 : - - -
3 : - - -
4 : - - -
5 : - - -
A v e r a g e:
0 . 0
T a c h o : 0 . 0
B e l t w . : 0 . 0
Figure 18: View Belt weigher data menu
Up to 5 measuring paths can be installed
vertically to the belt moving direction to ensure
fairly accurate calculation of the throughput.
As with the ash data, the signal flow occurs
from left to right.
In the left column appear the count rates of the
belt weigher counters 1 – 5 averaged over Int2.
However, these values serve only for your
information and do not enter directly into the
calculation of the throughput.
The center column shows the natural
logarithms averaged over Int2 of the count
rates referring to the zero rate, i.e.
ln(I/Io)counter 1 to ln(I/Io)counter 5.
To the very right you see the mean value of the
data in the center column. This value is inserted
into the calculation formula to calculate the
throughput. Moreover, the belt speed averaged
over Int2 appears in this column.
At the bottom of this page you see the
throughput calculated on the basis of the above
data.

PMD 2450 Operation
Rev. 1.2 / 2009-03-22 47
Set Factory Defaults
All instrument parameters are reset to their default
settings.
Caution
Factory setting should be selected only in exceptional
cases, because all parameters differing from the factory
setting have to be entered new!
Moreover, all calibration and zeroing data will be lost!
It is therefore advisable to send all parameters to the PC
via the serial port, before selecting factory setting, in order
to be able to enter certain parameter groups again quickly.
At least the hardware calibration should be put into
intermediate storage on the PC, because these
calibrations can only be carried out new by service
engineers!
Note
You may reset the instrument to the factory setting at
system start by pushing the upper left corner of the display
while turning on the instrument.
3.6.5 Sampling
Sampling is possible by means of a PC program and is not
implemented in the PMD 2450.
3.6.6 Zeroing
Zero measurements are performed in this menu –
separately for both measuring points. Therefore, we will
only describe zeroing of measuring point 1, zeroing for
measuring point 2 is done in the same manner.
In addition, this menu includes the basic microwave-
calibration (provided the software supports the microwave
application).
MW Basic Calibration
Basic calibration is necessary for all following microwave
measurements. Therefore, it has to be performed and
stored before the zero measurement. Any zero
measurement of the microwave which may have been
carried out earlier will be deleted and has to be repeated
after basic microwave calibration!
Basic calibration is always performed with empty belt, just
like the zero measurement!

PMD 2450 Operation
Rev. 1.2 / 2009-03-22 48
This measurement is independent of the microwave
measurement mode and, therefore, it need not be
repeated after a change-over, for example, from CW-
normal to sweep.
To perform basic calibration, call the respective submenu
and push the „Start“ button. The measurement takes only
one second and is automatically terminated. The
attenuations and phase shifts for all 10 adjustable
frequencies are displayed in a result menu.
You can repeat the measurement by pushing the „Start“
button again.
Save the values at the end by pushing the „Save“ button
or push the „ESC“ button to discard the measured values.
Push the „Values“ button to view stored measured values
of the last basic calibration.
Zero measurement
Zero measurement is necessary to take influences of the
conveyor belt on the measurement into account.
Therefore, it always has to be performed without the
product being measured, i.e. with empty belt.
Zero measurement is performed separately for both
measuring points. Thus, it is possible, for example, to
continue regular measurements at one of the measuring
points, while a zero measurement is running at the other
measuring point.
To perform a zero measurement, select the respective
measuring point on the Zeroing menu and confirm your
choice by pushing the „ “ button. You will get to a
submenu, where you can enable or disable the individual
inputs which are to be selected with the „Arrow“ key and
the „ “ button. Selected inputs are identified by a
checkmark (x). Only these inputs are zeroed after the
start.
Which inputs are to be displayed in this menu is
dependent on the applications supported by the software.
In individual cases, the menu contents may therefore differ
from the one depicted in Figure 19.

PMD 2450 Operation
Rev. 1.2 / 2009-03-22 49
ESC
ZEROING MP 1 1/1
Area weight (A):
Microwave: X
Values Start
Figure 19: Zeroing menu
After you have selected all inputs which are to be zeroed,
push the „Start“ button to start the zero measurement.
The individual inputs will now be listed in a result menu;
the zero value stored last and below it the current zero
value is displayed for each input. The current zero value is
averaged according to the counter-timer method (sum of
all measured values divided by the elapsed measurement
time) and updated each second.
If more than two inputs are zeroed at the same time, the
result menu covers several pages; with the „Arrow“ keys
you can go to the various pages.
MEASURED VALUES MP1 1/1
Attenuation (old):
Phase (old):
Phase (new):
0
0
1.03
Attenuation (new): 0.06
Stop
Figure 20: Measurement display of zero measurement
Push the „Stop“ button to stop the zero measurement.
Push the „Start“ button again to repeat the measurement.
Push the „Save“ button to save the measured values as
zero values. Not only the zero value is stored for each
input, but also the current date. This is important for half-
life time correction of the counter.
However, push „ESC“ to exit the menu if you want to
discard the measured values.

PMD 2450 Operation
Rev. 1.2 / 2009-03-22 50
Push the „Values“ button (see Figure 19) to view the
stored zero values and the date of the zero measurement
any time.
If you know the zero values – e.g. from comparative
measurements – you may also enter them here manually.
To do this, select the respective zero value with the
„Arrow“ keys. Then push the „ “ button to open the
Numerical entry menu and type in the desired zero value.
If you exit the Numerical entry menu by pushing the „ “
button, the entered value is accepted and the date of the
zero measurement of the respective input is set to the
current date.
Note
The zero measurement of the microwave is dependent on
its measurement mode and, therefore, it has to be
performed in the same mode as the later measurement. If
you want to change the microwave measurement mode
later, you, therefore, have to repeat the zero
measurement.
3.6.7 Calibrate
Coefficients for calculation of the measurable variables are
entered and different alarm limits are defined on the
Calibrate menu.
The menu is divided into a submenu for measuring point 1
and one for measuring point 2. These submenus have an
identical structure, apart from the fact that there are no
microwave parameters for measuring point 2. Below we
will therefore only describe the submenu for measuring
point 1.
MW phase calculation
Here you enter the coefficients for calculation of the
corrected phase shift regarding the multiple of 360°. If the
measurerd phase shift is standardized on the frequency, a
360° jump is displayed as a jump of about 133°/GHz in the
calculation steps submenu of the Service menu.
Coefficients
4 values must be entered to calculate Phicheck
from attenuation and area weight:
k1: slope of attenuation
k2: slope of area weight

PMD 2450 Operation
Rev. 1.2 / 2009-03-22 51
k3: offset
x: this value is normally 0
The measured phase shift phi is then shifted by
a multiple of 360°, so that:
phicheck – 180° phi phicheck + 180°.
These coefficients are usually determined only
during start up. Therefore, details to find the
proper values for k1, k2 and k3 are given in
chapter 4: Getting started.
Parameters
Delta Phi (max) indicates the largest permitted
difference between the corrected phase shift
phi and the calculated phase phicheck. Delta Phi
(max) may be max. 180°.
If the measured difference Delta Phi is larger
than Delta Phi (max), the measured value is
discarded and the last valid measured value is
used for calculation of the measurable
variables.
In the sweep mode a best fit is drawn through
the phase values measured at 10 different
frequencies. Quality criteria of this best fit are
the square of the fit error Chi-Sq and the so-
called offset, which indicates the phase shift at
the frequency 0 Hz determined according to the
best fit.
Chi-square (max) and Offset (max) each
indicate the largest value permitted for these
quality criteria.
If the measured fit error or the offset are greater
than the maximum value entered here, the
microwave value is rejected and the last valid
measured value is used for calculation of the
measurable variables.
Calibration parameters
Here you enter the coefficients for calculation of the
measurable variables. Most of these coefficients are the
result of sampling.
Analog inputs
The type defines if the input is a 0-20 mA input,
or a 4-20 mA input or an input for temperature
measurement using a PT100.

PMD 2450 Operation
Rev. 1.2 / 2009-03-22 52
The value at the bottom is the measured value,
corresponding to the smallest current value:
with 0-20 mA input to the value at 0 mA, with 4-
20 mA input to the value at 4 mA.
The value at the top corresponds to the
measured value at 20 mA.
If it is a PT100 input, the value at the bottom
and the value the top have no meaning.
The number of the analog input is also
displayed for you information, but this number
cannot be changed here.
Analog outputs
The type determines the current range of all
four analog outputs. You may select the ranges
0-20 mA and 4-20 mA.
The value in case of error defines the behavior
of the analog outputs: either the outputs keep
their last valid value before the error has
occurred or they are set to the smallest value
permitted (depending on the type, 0 mA or
4 mA).
An error always exists if a hardware input fails
or a belt alarm (including belt standstill or
minimum load) occurs at one of both measuring
points.
Again, a bottom value and a top value are
defined here, each indicating the value at the
smallest output current permitted (0 mA / 4 mA)
and the value at 20 mA.
The number of the analog input is also
displayed for you information, but this number
cannot be changed here.
Area weight
You need three coefficients (A – C) to calculate
the area weight.
The last one (C) is a constant.
Measurement value = X1
A = Gradient X1²
B = Gradient X
C = Offset
Calorific value
The Calorific value is a Combination of Ash
and Moisture content. Sampling provides four

PMD 2450 Operation
Rev. 1.2 / 2009-03-22 53
coefficients (A – D) for calculation.
The last one (D) is a constant.
A = Gradient Ash
B = Gradient Moisture
C = Ash Moisture
D = Offset
Ash
The ash content is calculated using a formula
with nine coefficients (A – I); coefficient I is a
constant.
At measuring point 1 the water content of the
product being measured can be taken into
account as well. To do this, enter the moisture
content determined during sampling under
mean value moisture.
A = Gradient Americium
B = Gradient X-Ray tube
C = Gradient X-Ray tube square
D = Load correction
E = Moisture compensation
F = Moisture compensation X-Ray
G = Moisture compensation X-Ray
H = Moisture compensation Load correction
I = Offset
Moisture
The moisture content is calculated using a
formula with eight coefficients (A – H);
coefficient H is a constant.
A = Gradient Attenuation
B = Gradient Phase shift
C = Load correction
D = Temperature compensation Attenuation
E = Temperature compensation Phase shift
F = Ash kompensation Attenuation
G = Ash compensation Phase shift
H = Offset

PMD 2450 Operation
Rev. 1.2 / 2009-03-22 54
Density
The density content is calculated using a
formula with three coefficients (A – C);
coefficient C is a constant.
A = Gradient material layer
B = Gradient material layer square
C = Offset
Material layer thickness
The material layer thickness is calculated using
a formula with three coefficients (A – C);
coefficient C is a constant. The calculation is
based on the difference of the reading from the
belt weighter in relation to a zero measurement.
Temperature compensation
The temperature compensation is calculated
using a formula with three coefficients (A – C);
coefficient C is a constant.
Measurement value = X1
A = Gradient Temperature
B = Gradient Temperature square
C = Offset
Belt weigher
The formula for calculation of the throughput
has three coefficients (A – C), the last one
being a constant.
Potash content
You need four coefficients (A – D) to calculate

PMD 2450 Operation
Rev. 1.2 / 2009-03-22 55
the potassium content.
Coefficient D is a constant.
MW-Value 1 and 2
From the microwave raw data attenuation and
phase one can determine different measurable
variables, such as moisture content, pH-value,
salt content and others.
Under MW measured value you may therefore
select from a list which physical variables are to
be calculated with the following coefficients.
This name then appears in the measurement
display instead of the term „MW-value“.
There are eight coefficients (A – H) for
calculation of the desired microwave value;
coefficient H is a constant.
For compensation of the material temperature
as well as for ash compensation, enter the
value determined during sampling under mean
value material temperature or mean value ash.
Alarm Meas. Values
Here you can define a lower and upper alarm threshold for
each measurable variable. In this manner you may set a
window for each measurable variable, within which the
measured value should lie.
Moreover, you may enter a switching hysteresis in % for
each measurable variable.
The lower alarm will be reset only when the measured
value exceeds the value
(1 + hysteresis[%] / 100) * limitlow.
Accordingly, the upper alarm is reset only when the
measured value drops below the value
(1 - hysteresis[%] / 100) * limithigh.
A digital output can be assigned to each alarm. These
outputs are wired such that a relay connected to them

PMD 2450 Operation
Rev. 1.2 / 2009-03-22 56
picks up during operation and is released if an alarm is
triggered.
Alarm Belt
A belt alarm occurs if either the minimum load or the
minimum speed of the belt is not reached.
In this menu you can define a minimum load as well as a
minimum speed.
Again, there is also a switching hysteresis, so that the belt
alarm will be reset only when the value
(1 + hysteresis [%] / 100) * limitlow is exceeded.
With active belt alarm, the measurement continues to run;
however, averaging over the Int2-time is stopped and
continues only after the belt alarm is over. Therefore, the
measured value does not change during belt alarm.
Following a belt alarm, the Int2-averaging does not start
new, but continues regularly, as if averaging has never
been interrupted.
Example
The Int2-time is 10 seconds.
In the first second after the end of the belt alarm the last 9
values before the alarm has been triggered and the first
value after the end of the alarm are used for averaging.

PMD 2450 Operation
Rev. 1.2 / 2009-03-22 57
3.7 Measurement Process
3.7.1 Start and Stop of Measurements and Batch Runs
Push the „Ctrl“ button in the measurement display to get
to the control menu where you can start and stop
measurements and batches for both measuring points.
On the left-hand side you see the control buttons for
measuring point 1, on the right-hand side those for
measuring point 2.
Push the respective „Start“ button to start a measurement;
the „Start“ button turns into a „Stop“ button.
On the other hand, push a „Stop“ button to stop a
measurement; the „Start“ button appears again in place of
the „Stop“ button.
ESC
1: ALIAS
Measure:
2: ALIAS
Batch:Batch:
Start
Start Stop
Stop
Measure:
Figure 21: Control menu
Note
Batch mode makes sense only during on-going
measurement. Therefore, starting a batch while a
measurement is stopped will also start a measurement.
Accordingly, when a measurement is stopped while a
batch is running, the batch is stopped as well.
Note
If you would like to make entries on a larger scale, it is
advisable to stop all measurements in order to increase
the reaction of the display.
Evaluation of the microwave data is very time-consuming
and may therefore slow down the presentation on the
display.

PMD 2450 Operation
Rev. 1.2 / 2009-03-22 58
3.7.2 Regular Measurement Process
The measurement process is the same for both measuring
points, except that no microwave evaluation is available
for measuring point 2. Below we will therefore only
describe measurement process for measuring point 1.
Readout of hardware inputs
All hardware inputs of the instrument are read out every
250 ms and saved for later averaging.
A special feature is the microwave measurement at
measuring point 1:
If switching of the internal attenuation element is
dependent on the attenuation of the product being
measured, it will be examined prior to each microwave
measurement if the attenuation element should be turned
on or off for the following measurement.
In the CW mode a measurement is performed every
250 ms. In the normal CW mode one always measures
using the same frequency, in the swept CW-mode,
however, the frequency changes with each measurement.
In the sweep mode 10 measurements at 10 different
frequencies are performed once per second, the
measured attenuations are averaged and the search for
phase shift is determined by a best fit.
Processing raw data
Before processing the raw data any further, the zero
measurement is subtracted first or, in the case of
counters, standardized with respect to the zero
measurement.
If a tachometer has been configured, the raw data are now
correlated, i.e. the belt distance between the individual
measuring stations is taken into account.
The data processed in this manner is then averaged over
the Int2-time, i.e. the mean value of the last Int2 values is
calculated.
Calculating measurable variables
The individual measurable variables are now calculated
using the Int2-averaged raw data.
If a batch is running in addition to the measurement, the
calculated measurable variables for the batch value are
averaged accordingly.

PMD 2450 Operation
Rev. 1.2 / 2009-03-22 59
Sending a data telegram
A data telegram including the current measured values is
sent to an external PC every second.
In the menu Parameters
System (see chapter 3.6.3)
you can define if the instrument should send measured
raw data or calculated measured data to the PC.
Setting hardware outputs
After calculation of the measured data, the alarm
thresholds are checked and the digital outputs are set
accordingly.
Moreover, the configured current outputs of the measured
values are set accordingly.
3.7.3 Error and Alarm States
This chapter briefly describes how the instrument behaves
if errors and active alarms occur.
Hardware failure
Hardware failure occurs when a measured raw value falls
below the failure threshold of the respective hardware
input.
In this case a collective failure message may be generated
and output as error to a digital output.
Measurements continue to run, however, until they are
stopped manually.
Alarm of measurable variable
A lower and upper alarm threshold defining a
measurement display can be entered for each measurable
variable. If the measured value is outside this permitted
range, an alarm is triggered which can be sent to a digital
output.
Belt alarm
A belt alarm occurs if either the minimum load or the
minimum speed of the belt is not reached.
As with the alarm thresholds of the measurable variables,
there is also a switching hysteresis, so that the belt alarm
will be reset only when the value
(1 + hysteresis [%] / 100) * limitlow is exceeded.
With active belt alarm, the measurement continues to run;
however, averaging over the Int2-time is stopped and
continues only after the belt alarm is over. Therefore, the
measured value does not change during belt alarm.

PMD 2450 Operation
Rev. 1.2 / 2009-03-22 60
Following a belt alarm, the Int2-averaging does not start
new, but continues regularly, as if averaging has never
been interrupted.
Example
The Int2-time is 10 seconds.
In the first second after the end of the belt alarm the last 9
values before the alarm has been triggered and the first
value after the end of the alarm are used for averaging.

PMD 2450 Operation
Rev. 1.2 / 2009-03-22 61
3.8 Data Communication
3.8.1 Overview
The measuring system PMD 2450 supports
communication with a PC via the RS232 / RS485 port and
thus allows remote control of the measuring system. To
this end, a special PC program has been designed to
retrieve and edit parameters and send them again to the
PMD 2450. Moreover, measurements can be started and
stopped from the PC.
The serial port parameters are set in the menu
Parameters
System
Port Configuration
Serial
Port. However, this menu is accessible only to service
engineers.
The hardware has to be adapted to the configuration
accordingly:
RS 232 Setup
Jumper J1 on circuit board SE 0008 has to be set to
open
Screened, 5 wire cable, max. 30 m long
RS 485 Setup
Jumper J1 on circuit board SE 0008 has to be set to
closed
Screened, twisted cable
Terminate both ends with 120 Ohm each (close J2 on
circuit board SE 0008, do not forget terminating
resistor on PC side).

PMD 2450 Operation
Rev. 1.2 / 2009-03-22 62
3.8.2 Telegram Types
Special data strings have been defined for data
communication between PMD 2450 and external PC to
transfer parameters or to send commands to the PMD
2450.
These telegrams are divided into the following four groups:
Communication
The communication telegram can be sent in both
directions: the PC sends commands to the PMD 2450 via
this telegram, the PMD 2450 sends its answer to the PC.
Command telegram
The PC can request all other telegrams
individually via the communication telegram and
thus send all parameters of the system to the
PC.
Moreover, measurement, batch run and zero
measurement can be started and stopped
separately for both measuring points.
Answer telegram
The PMD 2450 sends the communication
telegram as an answer to telegrams received,
which otherwise do not expect any further data
string. The answer telegram is sent when a
measurement has been started or stopped from
the PC or if parameters have been set via a
telegram from the PC.
In this manner, you can check from the PC if a
command has really been executed or
parameters have been received correctly.
Command and answer telegrams basically have the same
structure; for example, the command to start
measurement at measuring point 1 and the answer that
measurement at measuring point 1 has been started are
identical.

PMD 2450 Operation
Rev. 1.2 / 2009-03-22 63
System
The system parameters group comprises three telegrams
which define the hardware parameters as well as the
system configuration.
Each of these telegrams can be sent in both directions.
PMD 2450 hardware
Hardware calibration analog inputs
Hardware calibration analog outputs
Isolation measurement of the microwave
Attenuation and phase of internal attenuation element
Configuration
System date and time
Send raw or measured data each second?
Port assignment of counter inputs
Port assignment of analog inputs
Port assignment of analog outputs
Port assignment of digital inputs
Port assignment of digital outputs
Averaging times Int 1 and Int 2
Microwave measurement mode
Microwave fixed frequency
Execute phase check (with phicheck)?
Delay times of digital inputs
Configuration of measurement display
Language
Peripherals hardware
Tacho constants for both measuring points
Belt positions
Fail thresholds
Half-life times
Attenuation and phase of basic microwave calibration
Zero microwave measurement
Zero measurement (value / date) of real counters
Zero measurement and measured value of virtual counters
Zero measurement (value / date) of real analog inputs
Zero measurement and measured value of virtual analog
inputs
Values of virtual digital inputs
Calibration
The telegrams Coefficients and Thresholds are

PMD 2450 Operation
Rev. 1.2 / 2009-03-22 64
summarized under Calibrate.
Both telegrams can be sent from the PMD 2450 to the PC
and vice versa.
Coefficients
Calibration of analog inputs
Calibration of analog outputs
Parameters for phicheck
Parameters for area weight of measuring point 1
Parameters for microwave value 1
Parameters for microwave value 2
Parameters for ash of measuring point 1
Parameters for belt weigher of measuring point 1
Parameters for density of measuring point 1
Parameters for thermal value of measuring point 1
Parameters for area weight of measuring point 2
Parameters for ash of measuring point 2
Parameters for belt weigher of measuring point 2
Parameters density of measuring point 2
Thresholds
Speed of measuring point 1,
lower alarm threshold and hysteresis
Area weight of measuring point 1,
lower alarm threshold and hysteresis
Microwave value 1,
lower and upper alarm threshold as well as hysteresis
Microwave value 2,
lower and upper alarm threshold as well as hysteresis
Ash of measuring point 1,
lower and upper alarm threshold as well as hysteresis
Belt weigher of measuring point 1
lower and upper alarm threshold as well as hysteresis
Density of measuring point 1,
lower and upper alarm threshold as well as hysteresis
Thermal value of measuring point 1,
lower and upper alarm threshold as well as hysteresis
Speed of measuring point 2,
lower alarm threshold and hysteresis
Area weight of measuring point 2,
lower alarm threshold and hysteresis
Ash of measuring point 2,
lower and upper alarm threshold as well as hysteresis
Belt weigher of measuring point 2
lower and upper alarm threshold as well as hysteresis
Density of measuring point 2,
lower and upper alarm threshold as well as hysteresis

PMD 2450 Operation
Rev. 1.2 / 2009-03-22 65
Data
There are a total of three data telegrams; raw data and
measured data telegram can only be sent by the
PMD 2450, the telegram with the values of the analog
output only by the PC.
Raw data
Values of real and virtual counter
Values of real and virtual analog inputs
Values of real and virtual digital inputs
Attenuation and phase of the microwave
Phase offset of best fit (in the sweep mode)
Fit error Chi-Sq of best fit (in the sweep mode)
Delta phi
Correction factor n
Temperature of PT100
Area weight of measuring point 1
Area weight of measuring point 2
Measured data
Microwave value 1,
Current measured value as well as current and last batch
value
Microwave value 2,
Current measured value as well as current and last batch
value
Ash of measuring point 1,
Current measured value as well as current and last batch
value
Belt weigher of measuring point 1,
Current measured value as well as current and last batch
value
Density of measuring point 1,
Current measured value as well as current and last batch
value
Thermal value of measuring point 1,
Current measured value as well as current and last batch
value
Ash of measuring point 2,
Current measured value as well as current and last batch
value
Belt weigher of measuring point 2,
Current measured value as well as current and last batch
value
Density of measuring point 2,
Current measured value as well as current and last batch
value

PMD 2450 Operation
Rev. 1.2 / 2009-03-22 66
Frequency response
The content if the telegram is:
telegram adress
telegram adress
frequeny [Mhz]
attenuation [dB]
attenuation*f(x)
Phi [°/Ghz]
PhiCheck [°/GHz]
Delta (Phi-PhiCheck) [°]
area weight
Analog outputs
This telegram allows you to set the analog output directly
from the PC.
However, this is allowed only if the analog output is not
used by the measurement routine!
Value of analog output 1
Value of analog output 2
Value of analog output 3
Value of analog output 4

PMD 2450 Operation
Rev. 1.2 / 2009-03-22 67
3.9 Software Update
A software update of the PMD 2450 can easily be
performed by a service engineer.
The required tools as well as the individual steps are
described in detail below.
Tools
PC with free serial port (e.g. COM1) and Windows
operating system
Normal zero modem cable,
each TxD and RxD or RTS and CTS crossed
Terminal program to send the new software to the
instrument
We recommend using the terminal program TeraTerm
(TTerm), because transfer is much faster with this
program than with the Windows hyper terminal
program
New program version Vx_x.hex (e.g. V2_5.hex)
Preparation
All system and the calibration parameter telegrams
have to be sent to the PC and should be saved
temporarily, since the parameters contained therein
may get lost during update
An update always has to be performed in the RS232
mode. If a RS485 line is being used normally, open
jumper J1 on circuit board SE 0008 and replace the
twisted two-wire connection cable to the PC by a 5-
wire data cable (zero modem cable)
Now start the terminal program ttermpro.exe (or
another one) and check the following settings (in Tera-
Term in Setup menu
Serial Port)
Port: COM1 (or correspondingly)
Baud rate: 9600
Data: 8
Parity: none
Stop: 1 bit
Flow control: Hardware
In the Parameters submenu of the PMD 2450, select
the item Program version and confirm with the „ “-
button. Answer the prompt that comes up with „Yes“
and then confirm it once more.
Now call the boot program (Boot loader), which deletes
the current program and then prompts you to send the
new program.

PMD 2450 Operation
Rev. 1.2 / 2009-03-22 68
Note
The boot program can also be started directly at system
start. To do this, push the upper right corner of the LCD
display during power on.
Start transfer
Select the menu item File
Send File in the TeraTerm
program (or in another terminal program)
Search for the file with the new program version Vx_x.hex
(e.g. V2_5.hex) and select this file by double-clicking on it.
Now starts the transfer of the new programs.
During transfer, dots are depicted in the TeraTerm
program window and „Downloading“ appears on the
PMD 2450 display.
The transfer takes about 7 – 10 minutes. (Please do not
move the window of the terminal program during this
time).
Then the new program is started immediately.
Parameter transfer
Parameters may get lost during program update. Please
check during the first system start immediately following
the update if the parameters have been loaded correctly.
In case of error, the following message is displayed:
Loading Parameters... ERROR
Cannot load Parameters!
Restarting for Defaults!
In this case, all parameters are set to the default setting.
To restore the original configuration again, send all system
and calibration parameter telegrams from the PC to the
PMD 2450.

PMD 2450 Getting Started
Rev. 1.2 / 2009-03-22 69
4. Getting Started
This chapter describes how to take the PMD 2450 into
service.
Start-up always has to be performed by a service
engineer, since some submenus and parameters are
accessible only to the highest user level.
Overview
4. GETTING STARTED 69
4.1 Assembly 70
4.1.1 Microwave Horn Antenna 70
4.1.2 Sources 70
4.1.3 Detector 70
4.1.4 Analog Sensors 70
4.1.5 Digital Switches 71
4.2 Software Configuration 72
4.2.1 Language 72
4.2.2 Time and Date 72
4.2.3 System Parameters 72
4.2.4 Hardware Parameters 75
4.2.5 Display Configuration 75
4.2.6 Passwords 76
4.3 Zeroing 76
4.3.1 Basic Microwave Calibration 76
4.3.2 Zeroing 76
4.4 Sampling and Calibration 76

PMD 2450 Getting Started
Rev. 1.2 / 2009-03-22 70
4.1 Assembly
4.1.1 Microwave Horn Antenna
The horn antennas are fixed at the measuring frame
rectangular to the material with the supplied mounting
adapters. The two antennas must be in line, but the beam
of the antennas is so wide, that a fine-adjustment is not
necessary.
4.1.2 Sources
The shielding container are supplied filled with the ordered
sources. The shieldings are fixed at the mounting frame
with the supplied fixing adapters at the provided places.
(See figure 1: Principle of measurement.) The sources are
locked when supplied, i.e. the useful beam is blocked. The
source is allowed to open only in coordination with the
radiation protection officer. The useful beam is strongly
collimated, typical 5°. Therefore it is necessary, that the
detector is adjusted on the beam. (see the chapter
Detector).
4.1.3 Detector
The szintillation detector has to be mounted with the
supplied fixing adapter to the mounting frame at the
provided place. (see Fig.1: Principle of measurement) The
adapter has slotted holes and is adjustable in x- and y-
direction. A fine adjustment is necessary because of the
narrow collimated useful beam (typical 5°). The fine-
adjustment is done with opened shielding. This work is
therefore to be done during start up by trained personal
only in cooperation with the radiation protection officer.
The adjustment is to be done with a hand held radiation
detector. The adjustment is fine, if at all sides of the
detector window the same radiation level is detected.
Then the center of the beam is exactly adjusted to the
detector.
4.1.4 Analog Sensors
Sensors with analog 0/4-20 mA outputs are optionally
used according the customer specific installation. The
LDU 1000 provides 2 analog inputs. One of them can
alternatively configured to connect directly a PT 100
temperature sensor. Contactless temperature
measurements are performed with infrared temperature
sensors. Optical, laser or ultrasonic distance sensors are

PMD 2450 Getting Started
Rev. 1.2 / 2009-03-22 71
used for distance measurements. The area weight can be
determined by a belt scale as an alternative to the nuclear
method.
4.1.5 Digital Switches
Digital switches can be options of the supplied system,
e.g. the sampling switch or supplied by the customer and
are possibly installed far away from the installation point,
e.g. a set of switched for the type selection, which is
installed in the control room. In general, the digital inputs
of the LDU 1000 are controlled by potential free contacts.
They can be switched manually, by relays or directly by
the PLC. The cabling for the external contacts must be
taken in account before the start up.
The following functions are controlled by digital switches:
sampling
beltstop
measurement start / stop
batch start / stop
zero measurement start / stop
type selection (4 Bit)
These functions are available for both measuring points.
The LDU 1000 provides 8 digital inputs, i.e. not all
functions provided by the software can be realized. A
selection must be done during the engineering of the
installation.

PMD 2450 Getting Started
Rev. 1.2 / 2009-03-22 72
4.2 Software Configuration
Once all measuring units as well as possible outputs have
been connected to the LDU 1000, connect the instrument
to mains supply and turn it on. Since the instrument has a
wide range input of 90 – 260 VAC, the standard voltage
ranges 110V AC (60 Hz) and 230 V (50 Hz) are covered.
Different country-specific supply voltages need not be
observed.
The program jumps directly to the measurement display.
Log on to the system as a service engineer and then push
the Menu button to go to the main menu.
Note
All settings, calibration and zero values will be written into
the non-volatile memory only after you have closed the
main menu and returned to the measurement display!
However, if you turn the instrument off before you have
changed over to the measurement display, the changes
made up to that point will be lost!
4.2.1 Language
Select the language you want to work with in the
Parameters submenu. You may choose either German or
English; English is the default setting.
4.2.2 Time and Date
In the Parameters submenu, check the system time and
the system date and correct this data, if necessary.
4.2.3 System Parameters
Now select the submenu Parameters
System.

PMD 2450 Getting Started
Rev. 1.2 / 2009-03-22 73
Port Configuration
Assignment of In- and Outputs
In Port Configuration you define the functions of
the individual in- and outputs by allocating the
number of the respective input or output to a
function.
The configuration is defined on the following
menus:
Counter / analog inputs
Analog outputs
Digital inputs and
Digital outputs
A certain port is selected from a selection list.
Virtual inputs are identified in the selection list
by a (V).
Serial port
Three parameters are defined on the Serial Port
submenu which are important for
communication with an external PC.
The instrument ID indicates the PMD 2450
instrument address which is sent to the PMD
2450 along with each telegram. This address is
important particularly if several PMD 2450’s are
combined to a network, because in this manner
each individual instrument of the network can
be addressed via PC.
The baud rate indicates the data transfer rate;
the default setting is 9600 baud.
The mode, finally, defines if connection with the
PC has been established via RS232 or via
RS485 line.
The hardware has to be adapted to the
configuration accordingly:

PMD 2450 Getting Started
Rev. 1.2 / 2009-03-22 74
RS 232
Jumper J1 on circuit board SE0008 has to be
open
Screened, 5-wire cable, max. 30 m long
RS 485
Jumper J1 on circuit board SE0008 has to be
closed
Screened, twisted cable
Terminate both ends with 120 Ohm each (close
J2 on circuit board SE0008)
For more information on serial communication
please refer to chapter 3.8.
Virtual ports
Here you enter the values for the virtual signal transmitter.
To make sure these virtual inputs are treated in the same
manner as the real ones, you may also enter values for
the zeroing for the counter and analog inputs.
Integration times
Integration time 1 defines how many raw data will be
averaged for calculation of the area weight. It is defined as
a multiple value of the so-called dead-time, which is
250 ms. The Int-1 time is presently 4, i.e. the calculated
area weight is average over one second. Presently, this
value cannot be changed.
In addition to the fixed Int-1 time, there is a second
integration time Int-2 for each measuring point. Int-2
defines over how many seconds (rather: values averaged
over how many Int-1) the raw data for calculation of the
actual measured values will be averaged.
Telegram type
Here you define if the PMD 2450 should each second
send the current raw data or the already calculated
measurable variables to an external PC during
measurement.

PMD 2450 Getting Started
Rev. 1.2 / 2009-03-22 75
4.2.4 Hardware Parameters
Go to the following settings in the menu Parameters
Hardware.
Note
Depending on the applications, some submenus described
below may not be available.
Counter inputs
Enter the belt position as well as a failure threshold for
each counter; for the tachometers, you enter the
tachometer constant instead of the belt position.
Analog inputs
Here you define the belt position and a failure threshold.
Digital inputs
Here you may define a delay time for the digital inputs. In
this case, the respective input is not evaluated
immediately, but only after the time defined here is over.
Microwave
In addition to the belt position, three microwave
measurement parameters are defined here: measurement
mode, fixed frequency in case of a CW-measurement and
the mode of operating the internal attenuation element.
Note
The last measuring station in moving direction of the
conveyor belt has belt position 0. All other positions are
defined relative to this reference point.
4.2.5 Display Configuration
Here you choose from a selection list which measurable
variable is to be displayed in which field of the
measurement displays.
If needed, you may assign each measuring point a unique
name.

PMD 2450 Getting Started
Rev. 1.2 / 2009-03-22 76
4.2.6 Passwords
We recommend changing the default setting of the
passwords in any case, in order to rule out any
unauthorized access to the instrument.
4.3 Zeroing
Once you have configured the system, you may now
perform the required zero measurements to take the
influence of the conveyor belt on the measurement into
account.
To do this, call the Zeroing menu on the main menu.
Zero measurements are always carried out without any
product, i.e. with empty belt.
4.3.1 Basic Microwave Calibration
Before carrying out the actual zeroing, you have to
perform a basic calibration of the microwave cassette.
Basic calibration is important for all subsequent
measurements and, therefore, has to be carried out prior
to the zeroing.
This measurement is independent of the microwave
measurement mode and, therefore, need not be repeated
after changing from CW-normal to sweep.
4.3.2 Zeroing
Following the basic microwave calibration, a zero
measurement is performed separately for both measuring
points, as described in detail in chapter 3.6.6 (Zeroing).
4.4 Sampling and Calibration
After the zero measurement the sampling can be started
for all systems apart form the PMD 2450. Here some
special settings are necessary to eliminate ambiguity of
the phase measurement.
Additional settings for the PMD 2450.
During startup it must be checked, if the multiple of 360° is
proper selected. Otherwise the whole sampling work is
useless. Therefore this step is extremely important.

PMD 2450 Getting Started
Rev. 1.2 / 2009-03-22 77
The multiple of 360° is selected by proper coefficients k1,
k2 , k3 and x to calculate Phicheck.
The following measurements are performed with a running
belt with a constant load. If it is impossible to get a
constant load, the full belt can be stopped. Select the
telegram “frequency response” and visualize the reading
with a terminal program on the PC. Displayed are the
readings of at 10 frequencies, as described in chapter 3.8.
– The telegram has no header, but the readings are
transmitted in the order as described here.
At first a proper value for x must be selected: x can be
selected in the range between 0 and 2. To find a proper
value for x in the frequency telegram the attenuation*f(x)
must be observed. This value should be independent of
frequency. For comparable dry materials the value is 0.
For materials with a higher moisture x becomes higher.
In the second step proper values for k1, k2 and k3 must
be determined. The phase shift versus frequeny must be
observed: If the phase shift versus frequency is more or
less constant the multiple of 360° is correct. If the slope is
negative, the multiple of 360° is to high. If the slope is
positive the multiple of 360° to small. Therefore the curve
with the smallest positive or negative slope must be found.
At first we set k1=0 and k2=0. We work with k3 only.
Check at first if within the frequency response is no phase
jump. If a phase jump is observed set k3 to a positive
value, that no phase jump happens.
If this is achieved, set k3 to an approximately average
value of Phi.
If the slope of Phi versus frequency is now positive,
increase k3 by 133°. Repeat this step until the slope
becomes negative. Reduce K3 by 133° and check, if this
is the smallest positive or negative slope, which can be
obtained. If this slope is obtained, set again K3 to the
average of Phi.
Calculate now k1 and k2:
k1 = 0,1 * k3 /attenuation*f(x)
k2 = 0,9 * K3 / area weight
Enter now the values for k1 and k2 and set k3=0. Observe
the frequency response telegram and check, if
approximately Phi = Phicheck. Maybe, a little change of k3
is necessary. Now we have start-values for k1 to k3, which
must be approved.

PMD 2450 Getting Started
Rev. 1.2 / 2009-03-22 78
In the first step change the load within minimum and
maximum of the normal use and check, if the phase shift
has no phase jumps.
After this check switch the telegram to raw and measured
data.
Sampling can be started and stopped directly at the PC or
with an optional the sampling switch, which is installed
near the place, where the samples are taken. The switch
is connected to the digital input of the LDU 1000, which is
defined as sampling trigger.
In the first step sampling is started and stopped. The load
as well as the moisture content should vary within the full
range. In this stage it is not necessary to take samples for
the laboratory analysis.
These samples are stored in the sampling table of the PC.
With sufficient samples a regression can be started on the
PC to calculate new values for k1, k2 and K3, as
described in the manual of the IT-RQDS LDU Acquisition.
Input these values in the LDU. The system is now
calibrated for k1, k2, k3 and x. From time to time the
coefficients should be checked based on the samples
taken recently.
Determination of the calibration coefficients.
Now sampling can be started for all implemented
measures together, e.g. moisture, ash and calorific value.
Sampling is carried out exclusively via the PC program IT-
RQDS. To get the required raw data, you have to start a
regular measurement in the PMD 2450 and send the raw
data or the raw and measured data telegram to the PC
each second. These values are then processed for
sampling by the PC program.
During the sampling periods samples are taken for the
laboratory. The length of the sampling period depends on
the conditions at the installation site. If an mechanical
sampling system is available the sampling time is
determined by the frequency of the sampler to get a
representative sample according the national or
international standards, which must be applied. However,
the sampling time should not be to long to avoid, that
extreme high of low values are averaged. Therefore it is
maybe necessary to increase the frequency of the
sampler, if possible. If no mechanical sampling system is
available the samples must be taken manually and the
sampling time will be comparably short to reduce the
laborious work. Typical is a sampling period of 10 minutes
with a sampling frequency of two sub-samples per minute.

PMD 2450 Getting Started
Rev. 1.2 / 2009-03-22 79
If a sampling according Iso/Dis 15239 or similar standards
is required, the frequency of sub- samples should be
doubled and the sub-samples are collected alternating to a
sample A and sample B to calculate the sampling and
laboratory error.
If the laboratory results are available the results are
manually entered in the sampling table of IT-RQDS LDU
Acquisition. If a A- and B-sample is available, use the
avarage.
With a sufficient number of samples the calibration
coefficients are determined with the calibration part of the
IT-RQDS LDU Acquisition, which are later used to convert
the raw data into measured values. The values of the
measures should be spread over the full range. A typical
number of samples is 30.
The Calculation of the coefficients is described in the
manual of the IT-RQDS LDU Acquisition. The result is
displayed in a graphic and it is easy to determine and
exclude out-layers. The coefficients must be transferred to
the LDU 1000. This can be done manually or over the
RS232/ RS 485 data link. With the new calibration
coefficients the LDU 1000 displays and transmits the
calibrated measures over analog and digital outputs.

PMD 2450 Technical Data
Rev. 1.2 / 2009-03-22 80
5. Technical Data
In this section you will find all technical information on the
hardware.
Overview
5. TECHNICAL DATA 80
5.1 Microprocessor Module SE 0100 81
5.2 Adapter Board SE 0006 83
5.2.1 Analog Input of ADC for the Microwave Unit 84
5.2.2 Counter Inputs 84
5.2.3 Analog Inputs 85
5.2.4 Current Output for PT100 85
5.2.5 Analog Outputs 85
5.2.6 Digital Inputs 85
5.2.7 Digital Outputs 86
5.2.8 Connector Configuration 87
5.3 Connector Configuration on Connection Board SE 0008 89
5.3.1 Serial Ports 89
5.3.2 Power Supply 91
5.3.3 Housing Dimensions 91
5.3.4 Protection Type 91
5.3.5 Ambient Temperature 91
5.3.6 Relative Humidity 91
List of Illustration
Figure 22: Connector configuration on circuit board SE 0008 in the cable chute ..................90

PMD 2450 Technical Data
Rev. 1.2 / 2009-03-22 81
5.1 Microprocessor Module SE 0100 (CPU)
The functions described here are implemented on the
CPU board SE0100, but not all functions are available via
the connections. See also Adapter Board SE 0006.
Microprocessor
Motorola MC68340 with 32 bit central processor unit; max.
25 MHz, programmable.
Memory
Two flash EPROM’s with up to 1 MByte memory each;
one static RAM with 512 Kbyte.
Real timer clock
Integrated crystal, frequency tolerance (< 50 ppm, ageing
effect (< 5 ppm / year.
RS 232 ports
Two asynchronous serial ports with hardware handshake;
baud rate 40 to 76.8 k baud adjustable, V 24 electrical
driver.
RS 485 port
RS485 driver module can be activated alternatively for
second RS232 port via jumper.
Digital inputs
Three digital inputs via 25 pole socket for status
monitoring; standard CMOS level; input filter with pull-up
resistors.
Open collector outputs
Three open collector outputs via 25 pole socket for
connection of external relays, + 12 V, max. 100 mA.
Counter inputs
Six counter inputs via 25 pole socket, CMOS level,

PMD 2450 Technical Data
Rev. 1.2 / 2009-03-22 82
positively edge-triggered, pulse width > 100 ns, input
impedance 1 kOhm, max. count rate up to 8 MHz,
dependent on readout rate of counter modules.
Acoustic
Piezo signal transmitter, 83 dB in 10 cm distance.
Data lines
Via 64 pole connector, buffered with bus driver, D8 to D15.
Address lines
Via 64 pole connector, buffered with bus driver, A0 to A7.
Chipselect outputs
Via 64 pole, buffered with bus driver, CS4 to CS10, active
in low status.
Read / Write outputs
Via 64 pole, buffered with bus driver, active in low status.
Interrupt inputs
Four inputs via 64 pole connector, active low, with pull-up
resistors.
Digital I/O
Seven digital I/O’s programmable as in/outputs; via 64
pole connector; with pull-up resistor. Four lines
alternatively as interrupt inputs.
Reset outputs
Two outputs via 64 pole connector, pos. and neg. logic.
BDM connector
Motorola-specific 10 pole BDM connector for program
development.
Power supply
+5V, +12V, -12V; 64 pole connector

PMD 2450 Technical Data
Rev. 1.2 / 2009-03-22 83
Mechanical size
Eurocard format, 160 mm x 100 mm, 4 TE.
Ambient conditions
Operating temperature range: 0°C to 50°C, relative
humidity: 10 to 90%, no condensation.
5.2 Adapter Board SE 0006
The following functions are accessible via the connector in
the cable chute. The ADC input is not lead out but it is
connected to the microwave cassette via the back panel.

PMD 2450 Technical Data
Rev. 1.2 / 2009-03-22 84
5.2.1 Analog Input of ADC for the Microwave Unit
(only internally)
ADC
14 bit resolution
Polarity
Positive
Pulse height
0V – 5 V
Input impedance
150 kOhm
Input capacity
20 pF
Input leakage current
1 µA
Conversion time
Max. 3.33 µs
Integral non-linearity
Max. 1 LSB
Differential non-linearity
Max. 1 LSB
Unipolar offset error
Max. 4 LSB
Full-scale error
Max. 4 LSB
5.2.2 Counter Inputs
Level
Positive, > 3.5 V
Pulse width
> 0.5 µs
Count rate
Max. 250 000 cps
Input impedance
Approx. 300 Ohm
Input
With current limiting and
over voltage protection

PMD 2450 Technical Data
Rev. 1.2 / 2009-03-22 85
5.2.3 Analog Inputs
Channel 1 as current input
Jumper J5 closed
0 mA – 20 mA
Channel 1 as voltage input
Jumper J5 open
0 V – 5 VDC
Channel 2 as current input
Jumper J6 closed
0 mA – 20 mA
Channel 2 as voltage input
Jumper J6 open
0 V – 5 VDC
Input filter
RC, differential amplifier
ADC
10 bit resolution
Differential non-linearity
1 LSB
Zero-scale error
1 LSB
Full-scale error
1 LSB
Conversion time
21 µs
5.2.4 Analog Outputs
Range
0 mA – 20 mA
Load
Max. 350 Ohm
DAC
12 bit resolution,
internal reference: 4.095 V
Over voltage protection
16 V varistors
Differential non-linearity
0.2 LSB
Integral non-linearity
2 LSB
Zero-Scale error
3 mV
Offset error
2 mV
5.2.5 Current Output for PT100
Constant-current source
10 mA,
adjustable via poti R86
Load
Max. 500 Ohm,
corresponding to 5 V
voltage drop

PMD 2450 Technical Data
Rev. 1.2 / 2009-03-22 86
5.2.6 Digital Inputs
Level
Active at pull-down
on GNDA (electr. isolated)
Pulse width
> 50 ms
Input
Optocoupler, 10 mA,
protective circuit
5.2.7 Digital Outputs
Open collector output
Jumper J1 – J4 open,
max. 100 mA,
max. +12V ext. supply
Voltage output
Jumper J1 – J4 closed,
low = 0.3 V, high = 5 V,
4.7 kOhm
Output
electrically isolated,
recovery diode,
protective circuit

PMD 2450 Technical Data
Rev. 1.2 / 2009-03-22 87
5.2.8 Connector Configuration
Pin configuration of connector ST1
(64 pole (32 x A/C), only for internal purposes)
Pin
Designation
1A
Power supply. +5V
1C
Power supply. +5V
2A
Ground (GND)
2C
Ground (GND)
3A
Read (negated)
3C
Write (negated)
4A
Cardselect CS4 (neg)
4C
Cardselect CS5 (neg)
5A
Cardselect CS6 (neg)
5C
Cardselect CS7 (neg)
6A
Cardselect CS8 (neg)
6C
Cardselect CS9 (neg)
7A
CSP
8A
Address A0
8C
Address A1
9A
Address A2
9C
Address A3
10A
Address A4
10C
Address A5
11A
Address A6
11C
Address A7
12A
Data D0
12C
Data D1
13A
Data D2
13C
Data D3
14A
Data D4
14C
Data D5
15A
Data D6
15C
Data D7
19A
19C
V2
20A
RES\
20C
RES
21A
A-signal microwave
21C
Gnd A-signal
22A
V1
22C
P/M
23A
R/I
23C
R/T
24A
Gnd
24C
Gnd
25A
N/Test
25C
Hi/Lo
26A
Lock1
26C
Lock2
27A
LE2
27C
LE1
28A
CLK
28C
Data
29A
CSPLL2
29C
CSPLL1
30A
+15V
30C
+15V
31A
-15V
31C
-15V
32A
Ground (Gnd)
32C
Ground (GND)

PMD 2450 Technical Data
Rev. 1.2 / 2009-03-22 88
Pin configuration of connector ST2
(Front side of SE0006, only internally)
Pin
Designation
1
+12 V A
2
+12 V A
3
Gnd-A
4
-12 V A
5
Gnd-A
6
+5 V A
7
Gnd-A
8
Digital input 1
9
Digital input 2
10
Digital input 3
11
Digital input 4
12
Digital input 5
13
Digital input 6
14
Digital input 7
15
Digital input 8
16
Gnd-A
17
Digital output 1
18
Digital output 2
19
Digital output 3
20
Digital output 4
21
Gnd-A
22
Counter 1 ( - )
23
Counter 1 ( + )
24
Gnd-A
25
Counter 2 ( - )
26
Counter 2 ( + )
27
Gnd-A
28
Counter 3 ( - )
29
Counter 3 ( + )
30
Gnd-A
31
Counter 4 ( - )
32
Counter 4 ( + )
33
Gnd-A
34
Counter 5 ( - )
35
Counter 5 ( + )
36
Gnd-A
37
Counter 6 ( - )
38
Counter 6 ( + )
39
+12 V A
40
Analog output 1
41
Analog output 2
42
Analog output 3
43
Analog output 4
44
+12 V A
45
Current outp. (-) for PT100
46
Gnd-A

PMD 2450 Technical Data
Rev. 1.2 / 2009-03-22 89
47
Analog input 2 ( - )
48
Analog input 2 ( + )
49
Analog input 1 ( - )
50
Analog input 1 ( + )
5.3 Connector Configuration on Connection Board SE 0008
5.3.1 Serial Ports
The connection board SE 0008 accommodates the
electrically isolated port, which works as RS232 with
jumper J1 open, and as RS485 port with jumper J1 closed.
The type has to be set in the software.
The configuration has to be adapted in accordance with
the hardware as follows:
RS 232 Setup
Jumper J1 on circuit board SE 0008 has to be open
Screened, 5 wire cable, max. 30 m long
RS 485 Setup
Jumper J1 on circuit board SE 0008 has to be close
Screened, twisted cable
Terminate both ends with 120 Ohm each (close J2 on
circuit board SE 0008, do not forget terminating
resistor on the PC side)
Pin configuration
The serial port is connected to connector ST3 on the
connection board SE 0008, see also
Pin
Function
1
Electrically isolated ground
2
TxD (RS232)
3
RxD (RS232)
4
RTS (RS232)
5
CTS (RS232)
6
A (RS485)
7
B\ (RS485)
8
Electrically isolated ground

PMD 2450 Technical Data
Rev. 1.2 / 2009-03-22 90
Figure 22: Connector configuration on circuit board SE 0008 in the cable chute

PMD 2450 Technical Data
Rev. 1.2 / 2009-03-22 91
5.3.2 Power Supply
Long range input for
110 VAC (60 Hz) or 230 VAC (50 Hz)
The measuring system is firmly connected (fixed) to the
external supply via a three-wire cable (type 3 x 0.75 mm2).
Please observe the correct allocation of the 3 wires. (PH,
MP and protective conductor). The terminals of the
external power supply have to be clearable and before
being wired they have to be cleared. For power supply, the
left PG next to the fuse should be used.
Connect the cable provided with wire end sleeves to
connector ST6 (front left) to terminals 1, 2 and 3 (yellow-
green cable to terminal 3).
Fuse: At 230 VAC: 2 A, T
At 110 VAC: 4 A, T
5.3.3 Housing Dimensions
Width: 30.5 cm
Height: 37.5 cm
Depth: 24.0 cm
5.3.4 Protection Type
IP65
5.3.5 Ambient Temperature
-20°C – +50°C
5.3.6 Relative Humidity
0 – 90%, no condensation

