JVCKENWOOD K9T002 Card Printer w/Built-in RFID Tag User Manual CX210COVER

JVC KENWOOD Corporation Card Printer w/Built-in RFID Tag CX210COVER

Users Manual

KAT- T225-001Jam (TurnOver)Jam (Hopper)HR is too hot.Please removeMEDIA FILMPlease,Power Off.>Ink>>Cleaning>Counter Reset>Display>Ready MENUInstruction ManualSublimation type retransfer printerCX320ModelError codesSetting the cardsCareOperation and Setting the various modesInk replacementConnection***See p.10~12,20 See p.13~17 See p.17~19See p.23~33 See p.34~38 See p.40~42•Thank for purchasing this product.•Please read this manual carefully before use to ensure correct operation.It is particularly important to read the Safety Precautions for safe operation. Afterreading, retain this manual carefully for future reference.•The product number is important for quality control. Upon purchase, check the back ofthe unit to make sure that the product number is correctly displayed.Notes about this manual(1) This manual may not be reprinted in any way without permission.(2) The contents of this manual, as well as the specifications and design of this product,may change without notice.(3) The illustrations used in this manual may differ slightly from the actual product.
2Declaration of ConformityModel Number: CX-320yyyyy(y=A-Z,0-9 or blank)Product name: Card PrinterWe herewith declare that the above mentioned product complies with the following councildirectives and harmonized standards.Council Directives: 1999/5/EC relating to radio equipment and telecommunications terminalequipment.89/336/EEC relating to electromagnetic compatibility.73/23/EEC relating to electrical equipment designed for use withincertain voltage limits.Harmonized Standards: EN55022:1998+A1:2000+A2:2003 Class BEN55024:1998+A1:2001+A2:2003EN61000-3-2:2000EN61000-3-3:1995+A1:2001EN60950-1:2001EN50364:2001EN300330-2:V1.1.1EN301 489-03:V1.4.1Manufacture:Victor Data Systems Co., Ltd.2969-2, Ishikawa-cho, Hachioji-shi, Tokyo, 192-8620, JapanImporter and distributer:Year to begin affixing CE Marking: 2005Hachioji-shi, July., 2005Place, Date Tateki Hisanaga General Manager-Quality ControlVictor Data Systems Co., Ltd.
3For USA onlyFor Canada onlyMachine NoiseSound power level: less than 70 dB (A) according to DIN45635 part 19 (EN27779).The measurements are to be made according to DIN 45635 part 2019 or EN27779, respectively.Operation is subject to the following two conditions:(1) this device may not cause interference, and (2) this device must accept any interference, includinginterference that may cause undesired operation of the device.For EU onlyNOTE: Changes or modifications not expressly approved by the party responsible for compliance could voidthe user’s authority to operate the equipment.NOTE: This equipment has been tested and found to comply with the limits for a Class B digital device, pursu-ant to part 15 the FCC Rules. These limits are designed to provide reasonable protection againstharmful interference in a residential installation. This equipment generates, uses and can radiate radiofrequency energy and, if not installed and used in accordance with the instructions, may cause harmfulinterference to radio communications. However, there is no guarantee that interference will not occur ina particular installation. If this equipment does cause harmful interference to radio or television recep-tion, which can be determined by turning the equipment off and on, the user is encouraged to try tocorrect the interference by one or more of the following measures:– Reorient or relocate the receiving antenna.– Increase the separation between the equipment and receiver.– Connect the equipment into an outlet on a circuit different from that to which the receiver is con-nected.– Consult the dealer or an experienced radio/TV technician for help.
4ContentsBefore use ..................................................... 7Product features .................................................... 7Checking accessories............................................ 7Handling of transfer film, ink ribbons and cards .... 7Handling ............................................................. 7Storage .............................................................. 7Storing and handling cards after printing ........... 7Purchasing print media and cards ..................... 7Installation ............................................................. 8Escape Clause ...................................................... 8Installation diagram ............................................ 8Names of parts .............................................. 9Front................................................................... 9Rear ................................................................... 9When the printer door is open............................ 9Set-up.......................................................... 10Connecting the IC unit (sold separately) ............. 10Large size IC unit (sold separately) ................. 10Compact IC unit (sold separately).................... 11Connecting the power cord.................................. 11Installing the card stacker .................................... 12Discharging the card ........................................ 12Setting the ink ribbon ........................................... 13Setting the retransfer film .................................... 15Caution when loading the retransfer film cassetteand/or the ink ribbon cassette ............................. 17Setting cards........................................................ 17Inserting cards ................................................. 18When using magnetic cards............................. 19When using contact IC cards ........................... 19Loading cards .................................................. 19Switching the card thickness............................ 19Connecting with a host computer ........................ 20  Software Licencing Agreement .......................... 20  Operation Environment...................................... 20  About Software .................................................. 20Installation of CX-320 Printer Driver .................... 20Connecting Multiple Printers ............................... 20Before use ................................................... 21Names of parts on the operation panel ............... 21Setting buttons ................................................. 21Operation display LED ..................................... 21LCD panel ........................................................ 21Operation display LED contents andthe LCD panel...................................................... 22Initialization period ........................................... 22Preheating period............................................. 22LCD operation display content ............................ 22Operation .................................................... 23Turning on the power........................................... 23Turning off the power........................................... 24About the RESET button ..................................... 24On Initialization when the retransfer film cassetteand/or the ink ribbon cassette is loaded .............. 24User modes ......................................................... 25User mode screen flow ........................................ 25User mode settings.............................................. 26Display mode settings ......................................... 27Clearing the free counter ..................................... 28Cleaning mode .................................................... 28Ink mode setting .................................................. 29Retransfer mode setting ...................................... 30Buzzer mode setting ............................................ 31Power saving mode settings................................ 31Setting the bend remedy mode ........................... 32Card size setting mode ........................................ 33Coercivity setting mode ....................................... 33Non-contact IC antenna setting mode ................. 33IC contact setting mode ....................................... 33Test print .............................................................. 33Transport mode ................................................... 33Care and cleaning ....................................... 34Cleaning the cleaning rollers ............................... 34Cleaning the thermal head .................................. 35Cleaning the fan filter........................................... 35Cleaning the dust filter on the right side .............. 36Cleaning the card feed rollers and heat rollers.... 36Cleaning the magnetic head................................ 37Once printer servicing and cleaning have beencompleted ............................................................ 38Request for periodical maintenance .................... 38Troubleshooting........................................... 39Layout of rollers inside the printer ....................... 39Error code listing.................................................. 40Mending broken ink ribbon and retransfer film .... 42About printing errors ............................................ 42When retransfer operation is not complete ......... 42Caution when prunting characters ....................... 42Removing card jams ............................................ 43Hopper jam ...................................................... 43Turnover section [Jam (turnover)] .................... 44Retransfer section [Jam (transfer)] .................. 44Specifications .............................................. 45Main specifications .............................................. 45Software use permission contract ........ P1~P4
5Notes for safe operationBefore you useRead these notes on safety thoroughly before operating your printer in order to use the unit properly.  Once youstart using the unit, this manual should be put aside the unit, or at a convenient place where you can look up themanual any time as you need.WARNING WARNING  CAUTION If you ignore the warning with this mark, and handlethe unit in a wrong way, death or serious injuries mayoccur. If you ignore the caution with this mark, and handlethe unit in a wrong way, injuries or damages toproperties may occur. If the abnormal phenomena as listed below are seen,immediately stop operating the unit. Continuingoperation may cause a fire or electric shock.• Smoke or odd smell comes out from the machine.• Water or metal went into the machine.• The unit fell to the floor, or the cabinet was broken.• The power cable is damaged (exposed lead, broken cable,etc.)If you see these phenomena, turn off the power, pull out thepower plug, and contact your dealer as soon as possible. Donot try to repair it by yourself. It is dangerous. Do not remove the screws, or disassemble or alterthe machine.• High-voltage components are contained in the unit.Touching these areas may result in an electric shock.• Ask your dealer if you want your printer inspected orrepaired.• Do not remove the external covers of the machine. You mayget an electric shock. Do not work on the power cable, or give excessiveforce on it. Do not put heavy objects such as furnitureon the cable.• The cable may be damaged, causing a fire or electric shock.• When you find a defect on the power cable, such asexposed lead, stop using the unit, and consult your dealer. Do not use the machine with the power plug insertedincompletely.• The machine generates heat due to incomplete contact,causing a fire or electric shock.• Do not put many cords on a single plug socket. The powercords also heats up. Do not use the machine with dusts piled on thepower plug. Do not put a metallic material adjacent tothe power plug.• Dusts and metal are conductive, causing a fire or electricshock.• Pull out the power plug from the outlet every six months, andclean the dusts piled on the legs and body of the plug. Do not use a line voltage other than instructed.• Using a line voltage or power supply which is not specifiedmay cause a fire or electric shock. Do not put foreign materials from the openings of themachine (e.g., vents, card slots, cassette inlet, etc.)• Metals, flammable things, and other foreign materials maycause a fire or electric shock if entering into the machine.• If these things went into the machine, immediately turn offthe power, pull out the power plug, and ask your dealer torepair. Do not try to repair it by yourself. It is dangerous. Do not put a container with liquid in it, or small metalornaments and the like on the machine.• The liquid or metal entering into the machine acts as aconductor, causing a fire or electric shock.• If liquid or metal went into the machine, immediately turn offthe power, pull out the power plug, and ask your dealer torepair. Do not try to repair it by yourself. It is dangerous. Do not place the machine on a rickety table orslanting places.• The machine may fall out of the table or fall over, which maydamage the machine or injure you.• If the machine is damaged by falling or turnover,immediately turn off the power, pull out the power plug, andask your dealer to repair. Do not try to repair it by yourself. Itis dangerous. Do not wet the machine with water.• Using the machine at a place where water splashes on themachine, or wetting the machine with water (applying,throwing, or spilling water over the machine) may cause afire or electric shock.• If water entered into the machine, immediately turn off thepower, pull out the power plug, and ask your dealer to repair.Do not try to repair it by yourself. It is dangerous. Do not touch the machine with wet hands.• Touching the machine with wet hands may cause an electricshock. Do not touch the power plug during electrical storms.• Lightning may cause an electric shock.
6Notes for safe operation (continued) Pull out the power plug before cleaning the machine.• This is for preventing electric shocks. Pull out the power plug when you won’t use themachine for a prolonged period of time to assuresafety.• Remove the power plug from the outlet for safety when youwon’t use the machine for a long time. Do not move the machine with the power cable andother electric cables connected.• The cables may be damaged while being moved, which maycause a fire or electric shock.• You may stumble over the cable and get injured. Do not move the machine with objects placed on it.• They may fall on you and hurt you. Do not put heavy objects on the machine.• They may fall on you and hurt you. Do not block the vents.• Heat generated inside the machine cannot escape, whichmay cause a fire. Be sure to work with two persons when you unpack,move or lift the machine.• If you work alone, you may be injured by the fallen machineor hurt your back by lifting a heavy machine by yourself. Inspection• Ask you dealer or a qualified person to inspect the machine,typically once every two to three years. Operating themachine with dusts piling on the components for a prolongedperiod of time may cause a fire or a malfunction of themachine. It will be particularly effective to inspect themachine before wet rainy season. Consult your dealer onthe costs of inspection. Do not put the machine at a place where it will bewet with steam (e.g., from a humidifier), or at aexcessively humid or dusty place.• The oil, water and dusts act as conductors, which maycause a fire or electric shock.CAUTION Ground the machine with the attached electric cordwhen connecting it to the utility outlet.• Using a cord other than the one supplied for grounding maycause an electric shock when the machine fails. Do not put your head or yourself into the packagingbag.• Do not play with the packaging bag. You may suffocateyourself.• Give close attention to small children who may want to playwith the packaging bag. Do not use the machine while it has a fault.• Do not use the machine while it has a fault, as this maycause a fire or electric shock.• Immediately turn off the power, pull out the power plug, andask your dealer to repair. Do not try to repair it by yourself. Itis dangerous. Do not put the machine at a place where it becomesexcessively hot.• The surface and internal components may deteriorate. Alsothere is a danger of a fire. Special care should be taken forexposure to direct sunlight or a heater adjacent to themachine. Hold the body of the power plug when pulling it out.• Do not pull out the plug by holding the cable. The cable maybe broken or damaged which may in turn cause a fire orelectric shock. Do not touch the power plug with a wet hand• You may get an electric shock. Do not lay the power cable near the heatingequipment.• The covering of the cable will melt due to heat from suchequipment, which may cause a fire or electric shock. The heat rollers and adjacent areas become hotduring operation.• Be careful not to touch the heat rollers and adjacent areaswhen replacing the ink ribbon or retransfer film, or removejammed cards.• Wait until the heat rollers get cooled down to prevent burns.Be careful of jamming your hand or fingers in the cardtray, card bracket on the hopper, or printer door.• Replace the ink ribbon or retransfer film, or remove jammedcards with care not to jam your hand or fingers in themechanism, which may cause an injury. Do not use a power cable other than the specifiedcable for connection.• If you use an unspecified power cable for connection orextension, heat may accumulate in the cable, causing a fire.
7Before useProduct features•This card printer allows printing of high-quality, full-color images equivalent to photographic quality ontostandard size (ISO 7810 compliance) plastic cardsusing sublimation type transfer printing.•Use of sublimation type retransfer printing enablesprinting of cards other than those made of PVC andnon-contact IC cards, etc. with uneven surfaces thatwere previously difficult to print directly.•Printing with no margins on all sides is possible.•The host interface utilizes USB mode.Checking accessoriesPlease check for any missing accessories whenopening the box.•  Power cord : 1 unit•Instruction manual : English · · · · · · · · ·  1 unit* The detached power cords and the Instructionmanual vary according to model and country ofpurchase.•CD-ROM : 1 unit•Cleaning card : 1 unit•Card stacker : 1 unit•Ink ribon cassette : 1 unit•Retransfer film : 1 unitcassette•Jog lever (inside the card tray): 1 unit•USB Cable : 1 unit•Groves : 1 unitSome card materials may not be suitable for printing. Consultyour dealer regarding the materials to be used andspecifications required before purchase.Handling of transfer film,ink ribbons and cardsHandlingTake note of the following points when handling printmedia (retransfer film and ink ribbons) and cards.• Use of bent or damaged cards may result in card feederror.• Do not touch the print media or the printed surface ofcards directly with the hands as this may cause blurringof the print.• Foreign materials on the printing area may result inmisprints. Always load the print media and cards in aclean environment.• Static build-up in the print media or cards can causeerrors. To avoid causing static electricity, do not rubcards together.• When replacing or replenishing print media or cardsthat have been stored at low temperatures, let the printmedia or cards sit for at least one hour at the sametemperature as location where the printer is to be usedbefore use. Using print media or cards as they are maycause condensation and result in malfunction or printerrors.StorageThe storage condition of the print media (retransfer filmand ink ribbons) and cards may have a strong influenceon the print quality. Select a storage location that fitsthe following criteria:Storage environmentStorage temperature : 5°C to 25°C                        41°F to 77°FStorage environment relative humidity : 40% to 60%Storage locationTo avoid deterioration of the ink ribbon and retransferfilm, do not store in the following locations:• Locations exposed to direct sunlight• Locations with high humidity• Locations near organic solvents or diazo copiers.Storage periodUse  print media within one year after theirmanufacture date. For manufacture date, ask yourdealer. (The storage environmentshown above shallbe kept.)Storing and handling cards after printingAvoid storing the cards in locations exposed to directsunlight or with high humidity.Furthermore, avoid contact with the following chemicalsand stationery, as they can cause discoloration orfading of the cards:• Organic solvents such as alcohol, film cleaner, diazocopies, etc.• Soft vinyl chlorides, document cases, pass holders,erasers, etc.• Hair-dressing products and cosmetics, etc.Purchasing print media and cardsContact your dealer regarding the purchase of printmedia (retransfer film and ink ribbons) and cards.Always use the products specified below.Print mediaUse only the ink ribbons and retransfer film specifiedfor this unit. For the names of these products refer to“Main Specifications” on p. 45 of this manual.
8Before use (continued)We can accept no liability for anyproblems arising as a result of the use of media usingmaterials other than those specified.Card materialISO/IEC 7810 type ID1 (dimensions) :equivalent productISO/IEC 7811-2 (Magnetic stripe) :equivalent productISO/IEC 7816 (IC card) : equivalent productThe materials of some cards may not be suitable forprinting. Consult your dealer regarding the materials tobe used and specifications required before purchase.Do not place objects on top20cm or more7.9 inches or more 20cm or more7.9 inches or moreInstallationThe performance of the card printer is stronglyinfluenced by the installation location. Do not install inthe following kinds of location:• Dusty locationsUse the card printer in the locations with the cleannessClass 8 or better of ISO14611-1. Using the card printerin dusty locations may cause print blurrings and printinghead malfunctions. And turn the power off wheneverprinting opration is not required. The state of power-onkept for a long time without printing operation maycollect fine dust inside the printer, causing printblurrings and dust adherence.• Locations susceptible to strong vibration or shock• Locations exposed to direct sunlight• Locations where there is a possibility of metal objectsand other foreign material entering the unit• Areas near walls with little ventilation• Unstable locations and angled surfaces• Locations prone to static electricity, such as a carpetedroom• Areas near air conditioners, humidifiers, stoves, etc.that may cause condensation within the printerThe printer is to be installed in an environment with thefollowing temperature and humidity.Temperature : 15°C to 30°C                         59°F to 86°FHumidity : 35% to 70% Use of the printer in an environmentwith temperatures lower than the above range may causeretransfer errors and use of the printer in an environmentwith temperatures higher than the above range maycause print errors from deformation of the cards andwrinkling of the film.Installation diagramVentilation holes are provided for the cooling fan on thebottom and sides of the unit. Avoid inserting any objectinto the gap between the bottom of the unit and the topof the stand. Install the unit with its sides kept away fromthe surrounding wall as illustrated in the diagram, andkeep the back of the unit at least 10cm away from thewall. Also, do not place any object on top of the unit.CAUTIONCAUTIONVersion upgrade   The following defects may occur as a result of the ver    sion upgrade for the firmware of the printer, the printer    driver.• The operation of the printer or application software be-comes unstable.• Defects in print result occurs.• Print color or shade differs.• The performance of reproducing fine letters, changes.• Others   Be sure to retain a copy of the current version when   performing version upgrade. Reinstall the previous ver   sion immediately if these problems occur. We are not   liable for any damage such as defective cards or inter   ruptions during printing as a result of the version up   grade. Escape ClauseWe do not provide compensation for any malfunctionduring card printing caused by breakdown of themachine, ink ribbon defects or card characteristics.In addition, we also do not provide compensation forinsufficient print quality, which are not agreed inadvance. Please evaluate carefully beforehand.Card MaterialSome card material may not be suitable for printing.Using a contact-type IC card other than those specifiedby the dealer, may cause damage to the thermal head.No compensation is made for the life reduction andfailures that were caused by unsuitable card material.Warp of card or uneven thickness of IC cards, eventhough they are within the tolerance of JIS or ISOstandards, may not be suitable for printing or feeding.For details on the specifications about card materialor others, consult the dealer in advance
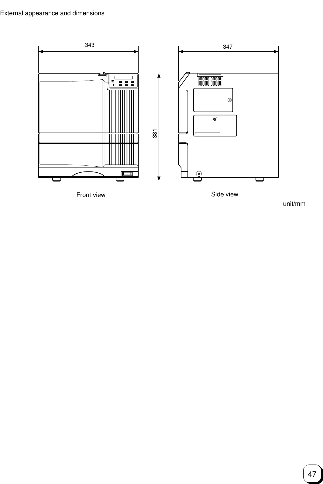
9Names of partsFront When the printer door is openSlide knob Control panelPrinterdoorCard trayPower switch Retransfer film cassette(Accessory) Ink ribbon cassette(Accessory)RearExternalconnectionterminals Power input jackExternal connection terminalsUSB cable connection terminals
103. Connect the printer and IC unit.Connect the cable which comes with the IC unit to theOPTION 1 terminal. Turn the power off before  connecting the cable between the printer and IC Unit.  Otherwise some malfunction may be  caused.4. Connect the IC unit with the host computer.Connect interface cables which are commerciallyavailable.Connecting the IC unit(sold separately)Large and compact size IC units are sold separately, asare specialized optional devices for the unit. Consultyour dealer for more details.WARNING•Make sure that the power switch is turnedOFF and the AC cable is detatched fromthe plug, before connecting anddisconnecting the IC units. Otherwiseelectric shocks, fires or malfunction of theproduct may occur.•Using IC units other than those specifiedmay cause electric shocks, fires ormalfunction of the product.Large size IC unit (sold separately)1. A joint plate for an IC unit is provided as anaccessory.2. Fit the printer and IC unit into the holes as shown.CX21ICL* is manufactured by  us.Unstable locations and angledsurfaces may cause card feeder malfunctions.  Make sureto fit the devices into the holes securely.Furthermore, install the printer on a flat and hard surface.Use the OPTION 1 side.If you use side 2 it does notfunction.ElectricshockCAUTIONConnecting tothe PRT interfaceterminalConnection cable(Accessory)Commercial itemTerminals on the rear of the IC unit SERIAL1:non-contactSERIAL2:contactThe terminal is rotated 180°CX21ICL*CAUTIONSet-up
11Set-up (continued)Compact IC unit (sold separately)Please ask your dealer for the Compact IC unitconnection.1. Connect the compact IC unit to the host computer.Connect interface cables which are commerciallyavailable.Interface cable(Commercial item)Connecting the Laminator(RL90)(sold separately)1. Set up the unit  joint plate which comes with thelaminator (optional). Mount the printeron to jointplate..CAUTIONFRONTFRONTRP90Joint PlateLaminator(RL90)2. install the laminatorBe careful not to pinch your finger when installing.CAUTIONTurn the power off before connecting the cablebetween the printer and laminator.Otherwise some malfanction may be caused.MemoIf the mounting is uneven, the card would not betransported smoothly. be sure to fit the units rightin. Always install the unit at a holizontal and hardsurface location9 pin9 pinConnecting cableTight the screw after connectingOPTION2PRINTERCompact IC unit
12Connecting the power cord1. Check the plug.•For AC 120V type           • For AC220-240V type    (North America)      (Europe)* The detached power cords vary according to modeland country of purchase.2. Plug the power cable into the printer.Always use a grounded power outlet.Never share the outlet with other electrical equipment.Use an AVR (Automatic Voltage Regulator) if thereis a possibility of voltage fluctuation. Use anuninterruptible power source rather than an AVR ifthere is the possibility of uninterruptible powersource.CAUTION
13Card dischargeslotClawCard stacker(accessory)Card stackerreceptacleInstalling the card stacker1. Mount the card stacker on the printer.Hang the stacker claw on the stacker receptacle.The card stacker is capable of containing approximately100 0.76mm(0.03inches)-thick cards or 280 0.25mm(0.01inches)-thick cards at the maximum.Be sure to hang the card stacker clawon the card stacker receptacle, not the card dischargeslot.  If you mount the card stacker at a wrong place,cards are not discharged, resulting in a card jam.CAUTIONDischarging the cardWhen correctly printed, the cards are discharged fromthe left side.If a card jam or a write error on magnetic stripes occurson the way, results differ depending on the areas.Portion A: If a card jam , a write error on magneticstripes or an IC unit encord error  occurs onthe way, press the RESET button, then theENTER button.  The printer is initialized,and the cards are discharged from the rightside of the printer.Portion B: See the description in Jam (Transfer) onp.44.Portion C: When correctly printed, the cards aredischarged from the left side of the printer.The cards jamming around this area arealso discharged from the left side.CB ARetransfer film cassette Ink ribbon cassetteThermal headMagnetic headCard turnover tableFeed rollerNG carddischarge slotCleaning rollerCard feed rollerRetransfer roller (heat roller)Bent remedial roller (heat roller)Card discharge slotCard stackerreceptacle  ClawCard Stacker(accessory)When connecting the laminator, pull the tab of the cardstacker at the stacker mount of the laminator card.
143. Insert the ink ribbon into the cassette.Stretch the ink ribbon along three shafts with the inkface of the ribbon facing outside and insert the bobbinsfirmly into the bobbin holders.Place the cassette upright on a flat surface during set-up.Setting the ink ribbonDo not touch the surface of the inkribbon with your hands.1. Activate the slide knob and open the printer door.When the slide knob is moved, the printer door opensdownwards.  Hold the door with your hand and open itslowly.Do not put the ink ribbon or retransferfilm on the back of the door for mounting.  Do not restyour elbows or put a heavy thing on the back of the door.The printer door may be broken.2. Remove the ink ribbon cassette.When the lever is pressed, a small portion of thecassette pops out.When transporting the unit, removethe ink ribbon and the retransfer film, then place thecushion on the thermal head. Transporting without thecushion may cause the thermal head and roller tomalfunction.Do not use cushion materials other than the transfercushion that comes with the unit, as this may causedamage to the head.CAUTIONSet-up (continued)CAUTIONPress the removallever.Ink ribbon cassette (Orange)CAUTIONShaftInk face(do not touchthe surface) Bobbinholder (black)Wind spool(black bobbin)Feed spool(yellow bobbin)CAUTIONCushionWhen you need to take out thecassette, for instance, to clean the printer, be sure to putthe cassette upright as shown in the above illustration.When the ink ribbon is put on the table with its face down,dusts attach to the surface, causing a malfunction of theprinter.Bobbin holder(yellow)
155. Insert the cassette along the guide rail.Insert the cassette until it clicks securely into position.The lever returns to its original position. • The cassette containing the inkribbon is heavy.  Hold the cassette with both handswhen you set or take out the cassette.• If the cassette unit is not inserted until it clicks securelyinto position before printing, horizontal lines may beprinted with the image.Guide railCAUTIONInk Run OutInk SearchInk BrokenMemoWhen the ink ribbon is wound up to the end,appears on the LCD panel.After replacement press the RESET button, thenpress the ENTER button.If the ink ribbon is not set properly,orappears on the LCD panel.  When these messagesare output, check:• The ink ribbon is firmly inserted into the bobbinholders.• The ink face of the ribbon is directed correctly.• The feeding and winding bobbins are mountedcorrectly.MemoTo mount the ink ribbon which is partially used, setthe unused portion of the ribbon (yellow bobbin) onthe bobbin holder indicated with an arrow on the sealof the cassette.Printing with the ink ribbon set improperly may causethe image to be faint.6. Close the printer door.If you want to mount the retransfer film, keep the dooropen and go to the next page.CAUTION4. Wind the ribbon, taking up the slack.Turn the knob in the arrow direction to wind a smallportion of the ink ribbon.  If the ink ribbon does not windup, go back to step 3, and insert the ink ribbon firmlyinto the bobbin holders.If the ink ribbon is not tightly wound,the slack may cause the ribbon to be caught in the partsof the printer when you set the cassette, or the card to beprinted in uneven colors.
16Set-up (continued)Setting the retransfer filmDo not touch the retransfer filmsurface with your hands.1. Activate the slide knob and open the printer door.When the slide knob is moved, the door opensdownwards.  Hold the door with your hand and open itslowly.Do not put the ink ribbon or retransferfilm on the back of the door for mounting.  Do not restyour elbows or put any heavy object on the back of thedoor as it may break.2. Remove the retransfer film cassette.When you press the lever, a small portion of thecassette pops out.CAUTIONPress the cassetteremoval lever.3. Insert the retransfer film into the cassette.Stretch the retransfer film along three shafts with theretransfer face of the film facing outside and insert thebobbins into the bobbin holders firmly.At this time, perform setting so that the film is inside theguide. Wind the film to the wind spool more than threestripes (two frames).Otherwise the printer may fail.Place the cassette upright on a flat surface during set-up.When you need to take out the cassette, for instance, toclean the printer, be sure to put it upright as shown in theabove illustration.  When the film is put on the table withits retransfer face down, dusts attach to the surface,causing a failure of the printer.Retransfer film cassette (yellowishgreen)CAUTIONCAUTIONShaftBobbin holder (green)Retransfer face(do not touch thesurface)Feed spool (greenbobbin)Wind spool(black bobbin)Bobbin holder (black)Wind the film by aboutthree stripes (two frames)on the winding bobbin.One frameGuideBlack stripes
174. Wind the retransfer film to take up the slack.Turn the knob in the arrow direction to wind a smallportion of the retransfer film.  If the film does not windup, go back to step 3, and insert the bobbins firmly intothe bobbin holders.If the film is not tightly wound, theslack may cause the film to be caught in the parts of theprinter when you set the cassette, or damaged due towrinkles on the film. At this time, do not hold the film toremove slack. Winding deviation causes operation errorsor defective prints.5. Open the printer door and insert the cassette.Insert the cassette until it clicks securely into position.The lever returns to its original position.The cassette containing the retransferfilm is heavy.  Hold the cassette with both hands whenyou set or take out the cassette.CAUTION6. Setting the number of frames to be used.The number of frames of the retransfer film being usedis set.For details, refer to the “Media Type” setting on page30.This work must be done when the used film (number offrames) is changed.When the setting of number of framesis not correct, the printed picture may be entirely shiftedon the card.7. Close the printer door.CAUTIONMedia Run OutMedia SearchMedia BrokenMemoWhen the retransfer film is wound up to the end,appears on the LCD panel.After replacement press the RESET button, thenpress the ENTER button.If the retransfer film is not set properly,orappears on the LCD panel.  When these messagesare output, check:• The retransfer film is firmly inserted into the bobbinholders.• The retransfer face of the film is directed correctly.• The feeding and winding bobbins are mountedcorrectly.MemoTo mount the retransfer film which is partially used,set the unused portion of the film on the bobbinholder indicated with an arrow on the seal of thecassette.Printing with the transfer film set improperly maycause the image to be faint.CAUTION
18Set-up (continued)Setting cardsPlease use cards specified by your dealer. This unit cantake both 0.76 mm(0.03inches)-thick and 0.25 mm(0.01inches)-thick cards. The factory setting is for 0.76mm-thickness.Fingerprints, soiling, etc. on card surface can result inprint errors. Wear lint-free gloves when handling.1. Open the card tray.Hold the lower part of the card tray and pull the traytoward you slowly until it no longer moves.CAUTIONCaution when loading the retransfer filmcassette and/or the ink ribbon cassetteThe following caution shall be kept when the retransferfilm cassette and/or the ink ribbon cassette is removedbecause of card jam or other trouble.Please pay enough attention so that the retransfer filmand/or ink ribbon is maintained at the right position.Particulary, the ink ribbon is extremely thin, therefore itapt to slip down when the cassette is removed asshown in the illustration.When loaded in this condition, it may cause improperprinting such as INK RUNOUT error, improper colorprinting etc.To avoid this, please handle the ink ribbon and/or theretransfer film very carefully with hands so that themedia position of take-up side become parallel.Please do not touch the print side of the ink ribbon and/or the retransfer film with your hands. Otherwise, it maycause improper printing.When adjusting the print position of the retransfer filmand/or ink ribbon, please follow the instruction labelattached on the cassettes.Improper WindingAdjust the position with hands so that the media position of take-up side and supply side becomes parallel
193. Close the card tray.Push the card tray back into the printer until it no longermoves.MemoTo print pre-printed cards on this printer, set thecards as indicated on the Software OperationManual of the host computer.When a magnetic or IC card is pre-printed in a dark color such as black, errors in positioningmay occur during encoding.Consult your dealer on this issue before printing pre-printed cards.CAUTIONInserting cardsThe unit can take about 300 0.76mm-thick cards.As for 0.25mm thick cards do not insert more than 300pcs.When removing new cards from thebox, it is possible that cards may be stuck due to staticelectricity. In this case, peel the cards off one at a timebefore setting into position. Hold the edges of the cardwhen carrying out these operations.1. Pull the card bracket back.The card bracket locks when it reaches the hole.2. Insert the cards and move the bracket back intoposition.Limit the number of cards as the card bracket movesback slightly from the lock position.Setting the cards improperly cancause feed jams. Check that the cards are neatlyarranged.CAUTIONCAUTIONCAUTIONAlign the cardsneatly with thesideBe sure that thetops of the cardsare alignedproperlyCAUTIONWhen handling cards, avoid dustyenvironment and use the attached gloves.Dusty cards such as those fingermarked may causeimproper printing.Consult your dealer to purchase new gloves.When moving the card bracketback into position, do this slowly to avoid jammingyour fingers. Leaving the card bracket out of positionmay cause card jams.
20Loading cardsLoad cards when the printer’s LCD panel shows themessage “Ready” or “No Card”, and not when printeroperations have stopped due to an error. Cards canalso be loaded when the power supply is not switchedon. If there is a drop in the volume of remaining cards(under 20 cards with a thickness of 0.76mm), theelectronic beep sounds before every feeding.When “Loading” is displayed on the LCD panel, donot open the card tray under any circumstances.The unit is currently feeding cards. If a messageother than the one above is displayed, cards can beloaded even while the unit is printing. However, youare recommended to load cards when the unit is notprinting.To prevent defective printing caused bysuspended printing or vibration as a result ofopening and closing the card tray, load cardswith care.ReadyNo CardORLoadingWhen using magnetic cardsWhen using cards with magnetic strips, set the cards inthe following manner.For JIS II cards:Place the card with its magnetic stripes upward andfacing the card bracket.For ISO cards:Place the card with its magnetic stripes downward andfacing the card bracket.Printing on cards with magnetic stripsis not guaranteed.When using contact IC cardsWhen using contact IC cards, set in the followingmanner.CAUTIONPlace the IC card with its ICterminal inward and facing the cardbracket.Switching the card thicknessDepending on the material, some 0.25mm(0.01inches)thick cards may not be suitable for printing. Consultyour dealer regarding the materials and specificationsof the card before purchasing.WARNING•As for switching the card thickness,consultyour dealer or the service personnel.   Otherwise injuries or malfunction of theprinter may be causedInjuryElectric shock
21Connecting with a  host computerDo not switch off the power of the hostcomputer during printing, and do not use the suspendfunction on the host computer.If the power of the host computer is switched off duringprinting, or if the suspend function of the host computer isactivated, cards printed halfway may remain in the printer.When this occurs, open the printer door and close it againafter that press the “reset-->enter buttons”.  Cards remainedin the printer will be ejected from the NG Card outlet.1. Check to ensure that the power of both the printerand host computer are switched off.2. Connect the printer and host computer with the USBcable.Insert the USB cable to the USB cable connection terminalat the back of the printer.Set-up (continued)CAUTIONAdjust orientation of the USB cableaccording to the terminal, and insert it all the way in.Consult your dealer on the cableconnection if there are USB or serial cable connectionterminal on the printer’s optional port.The location of terminals varies with the host computer.Please refer to the instruction manual of the hostcomputer.When there are multiple USB cable comection terminalon the host computer, either one can be used.Do not connect to the USB comection terminal on thehost computer’s monitor or keyboard. It may not berecognized correctly.When using a USB hub, connect to the hub that is directlylinked to the host computer.CAUTIONCAUTIONCAUTIONSoftware Licensing AgreementBefore using the software contained in the CD-ROMsupplied, please read through the “Software LicensingAgreement” at the end of this manual.You will not be allowed to use this software unless youhave agreed to accept the terms stated in the agreement.Operation EnvironmentSoftware in the attached CD-ROM operates in thefollowing environment.WindowsXP Professional and Home EditionWindows2000 ProfessionalWhen installing the software, log-onshall be done by a qualified user(Administrators Group).CAUTIONAbout softwareThe following softwares are required in order to use CX-320. These are kept in the attached CD-ROM.(1)CX-320 Printer DriverInstall the printer driver from the attached CD-ROMwhen using CX-320 printer drivers. Refer to the electronicfile in the CD-ROM “Printer Driver Install Manual” formethod to install. Refer to the respective guide bookson the use of other printer drivers.(2)CX-320 Status MonitorSoftware that carries out various settings and indicatesthe status of CX-320. Install into the host computerthat connects to CX-320. Installation of CX-320 SoftwareRefer to the electronic file “Printer Driver Install Manual”(Installation PRD01∗.PDF) stored in the folder “English/Document” ,and install the printer driver.When message “connect the USBcable to the printer” appears on the screen,connectthe UCB cable.CAUTION Connecting Multiple PrintersWhen connecting a host computer to multiple printers,set different Unit Numbers from 1 to 7 for each printer.Refer to see the page 34 of the instruction manual
22Before useNames of parts on the operation panelSetting buttonsInitializes the printer by the software when an erroroccurs or an error is cancelled.The user mode setting is displayedwhen the unit is in the Ready orPreheating status. The button isalso used when canceling theoperation lock during errors.Confirms the mode selected in theuser mode setting.The parameter setting for eachmode can be adjusted during theuser mode setting.Make sure to press the button tosave the settings.Quits setting and returns to theupper level setting screen.RESETEXITMENUENTERREADYERRORLCD panelOperation display LED Control buttonsENTEREXITMENURESETOperation display LEDREADY LED (green)ON : unit ready, printer in operationFlashing : receiving image dataOFF : unit stopped due to error, or unit being set,initialized or preheated.READY LED (red)ON : operation errorOFF: normal statusIf an error occurs while the buzzer is set to ON, analarm will sound. If this happens, the LCD backgroundcolor will change to red.LCD panelDuring normal operationUpper line : operation status display(For details concerning the operationdisplay, see p. 22 of this manual.)Lower line : counter display(Toggles between free counter/headcounter and total counter.)If an error occursDisplays the error status.(For details concerning the error display, see p. 40 -42 of this manual.)During user modeDisplays various setting modes.(For details concerning settings, see p. 25 in thismanual.)Display background colorBright green : InitializationOrange : Card feedingRed : ErrorThe above background colors can be selected in usermode settings.(For details concerning settings, see p. 27 in thismanual.)Buzzar
23(to the next page)Operation display LED contentsand the LCD panelFor details, see p. 40 – 42 of this manual.Initialization periodWhen the power is turned on, the printer performspositioning of the ink ribbon and retransfer film.  It alsoinitializes the mechanisms of the printer and check theiroperations.  “Initializing” is dispalyes on the LCD panelduring this period.Preheating periodWhen the initialization of the mechanisms completesnormally, the printer increases the temperatures of theretransfer roller and bend remedial roller up to thespecified levels.  “Preheating” is dispalyes on the LCDpanel during this period.LCD operation display contentPrinter statusMechanism setperiodPreheat periodReady periodPrinter operationperiodError occurUser modeREADY ERROR LCD panelInitializing..Preheating..ReadyWhen an erroroccurs*Depends on theerror contentDepends on theuser mode contentor: LED on: LED offInitializing..Preheating..Loading..Printing..Encoding..Retransfer..Unloading..Cleaning..Sleeping..ReadyBoot Up..                  xxxxxxxVer. xxx/xx/xx           INT CompletexxxxxxxxxxxxxxxxxxxxxxxxxxxxxxxxxxxxxxxxOS booting up(“Data check”“Write CFG” and“Write Gatearray”,will be displayed byturns.)* Firmware versionShows firmwareversion number.Displayed during theinitializationprocess.Displayed duringpreheating* Displays Free/Head orTotal, according to thecounter select setting.Displayed duringfeedingReady status* Print counterDisplayed duringprintingDisplayed duringencodingDisplayed duringretransferDisplayed when cardsare discharged from theNG card outletDisplayed duringcleaning operationsWhen the heaterstatus is OFFbecause of the powersave function
24OperationTurning on the power1. Before turning on the power, check the following:Make sure that the printer door is completelyclosed.Make sure that the card tray is completely closed.Make sure that the host computer is correctlyconnected.Make sure that any peripheral equipment iscorrectly connected.Make sure that the power supply outlet is correctlyconnected.Only switch the unit on after checking the abovepoints.2. Turn the power ON.(I represents ON and O represents OFF.)RESETEXITMENUENTERREADYERRORORReadyPreheating..CAUTIONRESETEXITMENUENTERREADYERROR3. The unit will be in the ready status approximately 4minutes after turning on the power.The operation display LED (READY LED) will light up.Making settings in the user modesWhen the LCD panel displays Ready or Preheating,press MENU button.For details concerning each user mode setting, see p. 25 ofthis manual.4. Enter the control command from the host computer toprint cards.The operation display LED (READY LED) will flash while theunit is receiving image data from the host computer.Do not turn the power off while theLCD panel displays ‘Boot up’ to ‘Initializing’, as thismay cause malfunctions.
25Be sure NOT to do any of the following during printingoperations and initialization process :•Do not open the printer door.•Do not open the card tray.(while the LCD panel displays ‘Loading’)•Do not turn off the power supply.•Do not unplug the unit.•Do not pull out the connection cable.Failure to observe the above points will cause printingto be aborted and may result in a malfunction of theunit.When the printer was occured anerror during printing operation caused by above-mentioned operation or others, the retransfer film  wasrewinded about 3 panels. If the printer is turned off and onthe power or is initialized, the printer occur the printing anerror which is “INK RUNOUT” or print results problembecause of the printer try to print the used retransfer film.Wind up the retransfer film about 3 panels by unusedpanel. See p.17 “Caution when loading the retransfer filmcassette and/or the ink ribbon cassette” and p.24 “Oninitialization when the retransfer film casstte and/or theink ribbon cassette is loaded”.Turning off the power1. Check the printer status.In ready, preheat or error status, check that printeroperations are suspended.2. Turn off the power.Always wait 10 seconds or more before turning thepower back on again.About the RESET buttonWhen an error occurs in the printer, press the RESETbutton, then the ENTER button.The printer is initialized with this operation.If the error still persists, see p.40 and take theappropriate actions.Then, press the RESET button, and the ENTER buttonagain.  The printer is initialized, and returns to the“Ready” state.(When you turn off the power, these procedures are notnecessary.)CAUTIONOn Initialization when the retransfer filmcassette and/or the ink ribbon cassetteis loadedDust or foreign particles may attach on the surface ofretransfer film and ink ribbon when their cassette areremoved from the printer.This may cause defective printing such as image void,defective retransfer etc.To Avoid this, it is recommended that the retransfer filmand the ink ribbon are wound up one or two panels afterthey are reloaded.Please follow the initialization procedure describedbelow:1. Turn the power switch on, and wait until the LCDpanel displays “Preheat” or “Ready”.2. Depress  the RESET key.LCD panel displays:3. By depressing the   key or the   key, theLCD panel change accordingly as shown below.Select the wind-up condition, one or two panels.(This set up is not memorized.)•Initialized after two panels of the retransfer filmand the ink ribbon are would up.•Initialized after one panels of the retransfer filmand the ink ribbon are would up.•Initialized without winding up. (Default)4. By depressing the ENTER key, the printer isinitialized according to the selected above set upcondition.Initialize                           OK?Initialize          2'nd Panel, OK?Initialize        NEXT Panel, OK?Initialize                           OK?
26Operation (continued)User modesThe settings for printing media, card, etc. can be madein the User mode.Press the MENU button when the unit isin the Ready, Preheat or Error status tosuspend printing operations.User mode screen flowMENUMENUMENUMENUMENUMENUMENUMENUMENUMENUMENUMENUMENUMENUMENUMENUMENUMENUMENUMENUMENUMENUMENUMENUMENUMENUMENUMENUMENUMENUMENUMENUMENUMENUMENUMENUMENUMENUMENUEXITEXITEXITEXITEXITEXITEXITEXITEXITEXITEXITEXIT EXITMENUMENUMENUMENUEXITMENUMENUMENUEXIT>Cleaning> >Ink>>Retransfer>>Buzzer>Test Print>Power Saving>Bend Remedy>>Card Thickness>MG ISO Type>IC Antenna Pos.>Counter Reset>Display>>IC Contact Pos. User Mode>Transport Mode>Unit No.MENUPress  and appears on the LCD panel.After 0.5 seconds, the display will switch tothe following items.See p. 33 See p. 27See p. 33See p. 33See p. 33See p. 33See p. 33 See p. 31See p. 36, 37, 38See p. 29See p. 30See p. 31See p. 28End of user modeSee p. 32CAUTIONWhen you change settings for theunderlined submenu on the next page (Setting the inkribbon, Setting the retransfer film, Setting the retransferroller temperature and Bend remedy roller temperaturesetting,the message “Please Reset” will appear on theLCD panel.Then initialize the printer by pressing                  key and next                     key.RESETENTERSee p. 32
27(to the next page)User mode settings>Bend Remedy>>Retransfer>>>Media Type>>Temp. Level>>Speed (Front)>>Speed (Back)Std(1000/roll):00(Standard)-2-2Standard  (1000/roll):0Standard +1+2+2Off+2NoneYMCK : 0000SKY BLUEOffStandardHi-CoOnTotal>>Temp. Level>>Speed>>Cooling TimeOff-2None>Ink> >>Ink Type>>Black LevelYMCK:00(Standard)>>Black Mode>>SP-Ink1 LevelStandard-3>>SP-Ink2 Level-3>Display>>Power Saving>>Counter>>Contrast>>Back ColorTotal-2BLUE>Cleaning>>Card Thickness>MG ISO Type>Buzzer>Transport mode>Counter ResetOffStandardLo-CoOnOK?OK?>IC Antenna Pos.None>IC Contact Pos.None>Test PrintOK?>>MG Print(JIS)OffOff>Unit No:No.1?  No.1>>Standby modeFront WaitFront WaitMain menu SubmenuFactory settingDisplay modeInk modeRetransfer modeBend Remedymode3 counter type settings: [Total, Head, Free]LCD panel contrast setting: 7 gradations from –3 to +3, the higher             the value the stronger the contrast.LCD pamel background color setting: 8 optionsSee p. 27See p. 29See p. 30See p. 32See p. 28See p. 28See p. 31See p. 31See p. 32See p. 33See p. 33See p. 33See p. 33Counter reset modeFor free counter resetting: press the ENTER button.Cleaning modeFor cleaning mode setting: Magnetic head and card feeder roller executionDisplay on ink ribbon : the ink type being used is displayedDisplay only because of automatic setting by RF-ID(Setting is not possible)Setting the black value K: 9 gradations can be set from –3 to +5, thelarger the value the darker the printing.Setting the K printing mode: 2 options [standard and fine]Setting the retransfer film: setting the film type[1000,750] - two typesSetting the retransfer roller temperature:6 gradations can be set from –3 to +2,the larger the value the higher thetemperature.Setting the retransfer speed: 13 gradations can be set from –10 to +2,the larger the value the faster the speed.Setting the rear retransfer speed: 13 gradations can be set from –10 to +2, thelarger the value the faster the speed.Buzzer modeSetting the buzzer ON/OFF: 2 settings [onand off]Power saving modeSetting the time for the power saving mode:9 options [off, 5, 10, 15, 20, 25, 30, 45 and60] (units: minutes)Bend remedy roller temperature setting: 7 gradations can be set from –5 to 0 oroff, the larger the value the higherthe temperature.Bend remedy speed setting: 5 gradations can be set from –2 to +2, thelarger the value the faster the speed.Cooling time setting: 16 gradations can be set: none and 1–15 (unitsseconds).Card tickness setting mode:Card thickness setting: 2 options [Standard,Thin]Coercivity setting mode:ISO card coercivity setting: 2 options [Lo-Coand Ho-Co]Non-contact IC antenna setting mode:Non-contact IC antenna position setting:  3 options [None, Ext. Unit, Added on]IC contact position setting mode:IC contact position setting: 3 options [None, Built-in, Ext. Unit]Test print mode:to carry out test printing: press the ENTER button.Setting the special ink SP-Ink 1, SP-Ink2 darkness:9 gradations can be set from –3 to +5, the larger the valuethe darker the printing.Transfer Mode:Transfer mode setting: press the ENTER button.See p. 33Setting the way of peeling off the retransfer film: 2 settings [on and off]See p. 33Unit No:     7 options [No.1 to No.7]Unit No. setting: press the ENTER button.Stand by selection: In case of both side printing with optional unit connected,select either one of the card sides for standby.
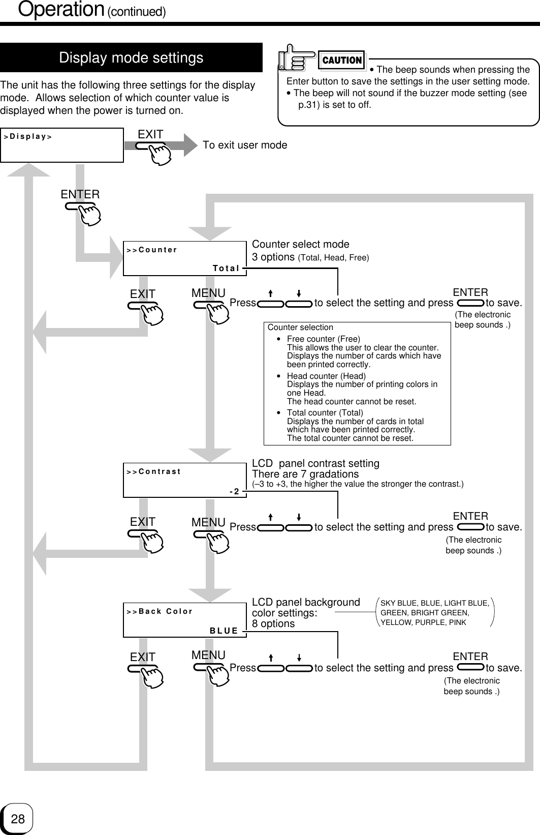
28>Display>>>Counter>>Contrast>>Back ColorTotal-2BLUEENTERENTERENTERMENUMENUMENUEXITEXITEXITENTEREXITSKY BLUE, BLUE, LIGHT BLUE, GREEN, BRIGHT GREEN, YELLOW, PURPLE, PINKTo exit user modeCounter select mode3 options (Total, Head, Free)Press                    to select the setting and press           to save.Counter selection•Free counter (Free)This allows the user to clear the counter.Displays the number of cards which havebeen printed correctly.•Head counter (Head)Displays the number of printing colors inone Head.The head counter cannot be reset.•Total counter (Total)Displays the number of cards in totalwhich have been printed correctly.The total counter cannot be reset.LCD  panel contrast settingThere are 7 gradations(–3 to +3, the higher the value the stronger the contrast.)LCD panel backgroundcolor settings:8 optionsPress                    to select the setting and press           to save.Press                    to select the setting and press           to save.(The electronicbeep sounds .)(The electronicbeep sounds .)(The electronicbeep sounds .)Operation (continued)Display mode settingsThe unit has the following three settings for the displaymode.  Allows selection of which counter value isdisplayed when the power is turned on.CAUTION• The beep sounds when pressing theEnter button to save the settings in the user setting mode.• The beep will not sound if the buzzer mode setting (seep.31) is set to off.
29(to the next page)Clearing the free counterReset the free counter.The [Total] counter and [Head] counter cannot be reset.Cleaning modeThe printer is provided with an operation mode forcleaning the card feed roller and the magnetic head tokeep the printer in the best condition.See p.37,38 and p.39 for executing the cleaning mode.>Counter ResetOK?EXITENTERExit user mode.Press            to reset.(The electronic beep sounds .)To check that the counter is reset to zero, select “FreeCounter” in “Setting the counter type” on p.27.CAUTIONThe head counter is cleared to zeroeach time the thermal head is replaced.>Cleaning>>>RollersOK?>>MGHeadOK?ENTERENTERENTERENTERExecution (The electronic beep sounds.)Select the cleaning item with                               and press                for execution.(The electronic beep sounds .)To exit the cleaning mode, turn off the power aftercleaning.
30Operation (continued)Ink mode settingChange settings according to the ink ribbon used.>Ink>>>Black Level>>Black Mode>>Ink TypeYMCK:00(Standard)Standard>>SP-Ink 1 Level-2ENTERENTERENTERENTERMENUMENUMENUMENUEXITEXITEXITEXITENTEREXIT>>SP-Ink 2 Level-2orRESET ENTERExit user modeDisplay on ink ribbonDisplay only because of automatic setting RF-ID.(Setting is not possible) (YMCK:0, YMCK+PO:2,K:3, YMCKK:4,YMCK+UV:5)• Yellow (Y), Magenta (M), Cyan (C) and Black (B)   are provided as the standard ink ribbons. For the  setting to YMCK+PO, consult with your dealer.Press to select the setting and press           to save.(The electronic beep sounds .)(The electronic beep sounds .)(The electronic beep sounds .)(The electronic beep sounds .)*After exiting the user mode, press                         and then press   to initialize.If initialization is not carried out, the ink type setting will have no effect on the printer.Set the black value K9 gradations can be set(from –3 to +5, the larger the value the darker the printing)•Small characters printed in black ink may be blurred or partially darkened. If this is the case, change the setting.Press                         to select the setting value and press          to save.Set the K printing mode:2 options (Standard and Fine)• Set to “Fine”mode if blurring still occurs after an  increase in “Black Level.”  The printing time slightly  becomes longer in this setting.• Set to “Fine” mode to avoid blurring  when printing thin by 1 dot lines or small characters.CAUTIONPress                         to select the setting value and press          to save.Special ink SP-Ink 1, SP-Ink 2 darkness level.9 gradations can be set(from –3 to +5, the higher the value the darker the printing.)•Set this darkness level when using a special ink   (not yet available).Press                           to select the setting value and press          to save.• The YMCKK ink ribbon shall be  used only when the face of card is printed by YMCK and  the back by K,or the face by K and the back by YMCK. Otherwise some error may happen.CAUTION
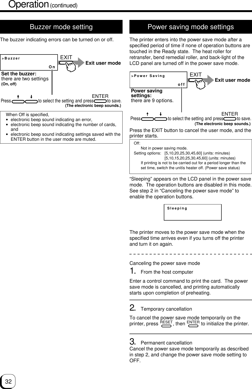
31(to the next page)Retransfer mode setting>Retransfer>ENTERENTERENTERENTERRESET ENTERMENUMENUMENUEXITEXITEXITENTEREXIT-2RESET ENTER>>Speed (Front)MENUEXIT>>Speed (Back)•When setting "On",printing time will be longer by about1,5s•No mprovement is expected for the cards with ISO  magnetic stripes.>>Media TypeStd(1000/roll):0>>Temp.Level0(Standard)-2>>MG Print (JIS)MENUEXIT>>MG Print (JIS)EXIT MENU•Double-sided printing results in a warp depending on   the cards.  Change the speed to correct it.Exit user modeSet retransfer film: Set film typeTwo types of frame settings (1000 or 750 frames per film)•In addition to setting the number of frames, change   the setting when using special films (not yet available).  To use these films, the firmware of this machine needs  upgrading. Please consult your dealer.Press                     to select the setting and press                    to save.(The electronic beep sounds .)*After exiting the user mode, press                        and then press          to initialize.*After exiting the user mode, press                       and then press           to initialize.If initialization is not carried out, the film type setting will have no effect onthe printer.If initialization is not carried out, the temperature will have no effect on the the printer.Set the retransfer temperature.6 gradations can be set(from –3 to +2, the larger the value the higher the temperature)•Retransfer may be not performed well depending on   the cards.  Increase the temperature level step by   step until the card can be printed clearly.Press                      to select the setting value and press              to save.(The electronic beep sounds .)Set the retransfer speed:13 gradations can be set(from –10 to +2, the larger the value the faster the speed)• Partial incompletions may occur depending on the cards  during retransfer. The performance is increased as the value is  lowered.  Specify the value mainly onthe retransfer roller tem-  perature setting and use the speed setting for fine adjustments.Press                      to select the setting value and press          to save.(The electronic beep sounds .)(The electronic beep sounds .)Set the reverse retransfer speed:13 gradations can be set(from –10 to +2, the higher the value the faster the speed.)Press                       to select the setting value and press          to save.Set the way of the peeling off the retransfer film2 settings[On and Off]Depending on the card used,peeling off the retransfer filmmay not be complete.For the cards with JIS magnetic stripes,setting "On" isrecommended.Standby selection:In case of both side printing with optionalunit connected ,select either one of the card sides for standby.Change settings according to the retranfer film and card used.
32Operation (continued)Buzzer mode settingThe buzzer indicating errors can be turned on or off.Power saving mode settingsThe printer enters into the power save mode after aspecified period of time if none of operation buttons aretouched in the Ready state.  The heat roller forretransfer, bend remedial roller, and back-light of theLCD panel are turned off in the power save mode.>BuzzerOnEXITENTERExit user modeSet the buzzer:there are two settings (On, off)Press                        to select the setting and press            to save.(The electronic beep sounds.)>Power SavingoffEXITENTERExit user modePower saving settings:there are 9 options.Press                        to select the setting and press            to save.(The electronic beep sounds.)Off:Not in power saving mode.Setting options: [5,10,20,25,30,45,60] (units: minutes)[5,10,15,20,25,30,45,60] (units: minutes)If printing is not to be carried out for a period longer than theset time, switch the unitís heater off. (Power save status)When Off is specified,•electronic beep sound indicating an error,•electronic beep sound indicating the number of cards,and•electronic beep sound indicating settings saved with theENTER button in the user mode are muted.Press the EXIT button to cancel the user mode, and theprinter starts.“Sleeping” appears on the LCD panel in the power savemode.  The operation buttons are disabled in this mode.See step 2 in “Canceling the power save mode” toenable the operation buttons.The printer moves to the power save mode when thespecified time arrives even if you turns off the printerand turn it on again.Canceling the power save mode1. From the host computerEnter a control command to print the card.  The powersave mode is cancelled, and printing automaticallystarts upon completion of preheating.2. Temporary cancellationTo cancel the power save mode temporarily on theprinter, press RESET, then ENTER to initialize the printer.3. Permanent cancellationCancel the power save mode temporarily as describedin step 2, and change the power save mode setting toOFF.Sleeping
33(to the next page)Setting the bend remedy modeSingle-sided printing may cause a bend depending on thecards.  Adjust the setting to get rid of the bend.CAUTION>Bend Remedy>>>Temp Level>>Speed>>Cooling Timeoff-2-2ENTERENTERMENUMENUMENUEXITEXITEXITENTEREXITRESET ENTERENTERExit user modeSet the bend remedy roller temperatureThere are 7 bend remedy roller temperature settings:(off and from –5 to 0 the larger the value the higher the temperature).Press                    to select the setting and press           to save.(The electronic beep sounds.)*After exiting the user mode, press            and then press            to initialize.If initialization is not carried out, the temperature setting will have no effect on the printer.Bend remedy speed settings5 gradations can be set(from –2 to +2, the larger the value the faster the speed.)Press                       to select the setting value and press            to save.(The electronic beep sounds.)Cooling time setting:16 gradations can be set (none and 1-15, unit: seconds).Press                       to select the setting value and press            to save.(The electronic beep sounds.)If the bend remedy temperaturesetting is set to off from any other setting, the preheatingstatus will remain the same until the roller temperaturefalls (for approximately 10 minutes).This is not a malfunction. Leave the unit in ready statusand wait.                  1.Setting temperature and speed of thebend remedial roller. Adjust the “rollertemperature” setting in principle to correct thebend of the card, and use the “correctionspeed” setting for fine adjustments.2. Setting waiting time for cooling the cardThis provides the time for a special film, whichwill be marketed in the future, to cool down toprevent the card and retransfer film fromsticking together after printing.CAUTIONWhen printing on both sides is donewith “Remedy roller temperature setting” set to a hightemperature, the cards may show a large deformation.Please set this item to OFF for printing on both sides.MemoCard Thickness setting modeThe printer is designed to load only the 0.76mm or 0.25mmthick cards.  So set card thickness depending on the cardused.>Card SizeStanardEXITENTERExit user modeSet the card thickness:2 settings [Standard and Thin]Press                        to select the setting and press              to save.(The electronic beep sounds.)Standard:0.76mm(0.03inches)-thickThin: 0.25mm(0.01inches)-thickFor changing card thickness, see “switching the cardthickness” on Page 19 of this manual
34Operation (continued)Coercivity setting modeSet coercivity for writing data on the ISO compatiblemagnetic stripe card.>MG ISO TypeLo-CoEXITENTERExit user modePress                        to select the setting and press            to save.(The electronic beep sounds.)Lo-Co238×102 [A/m] (300 [Oe])Hi-Co218×103 [A/m] (2750 [Oe])Non-contact IC antenna setting modeTo use non-contact IC cards, set the antenna positionat which the cards stop.>IC Contact Pos.NoneEXITENTERExit user modeSet IC contact position:3 settingsPress                        to select the setting and press            to save.(The electronic beep sounds.)NoneNo contactBuilt-inA built-in contact is being usedExt. UnitAn IC unit contact is being usedIC contact setting modeWhen using IC cards, specify the contact position tostop the cards.Test printTest print is provided for printing a test patterncontained in the printer (there is only one pattern).Operating the printer independent of the host computerenables you to find out the source of trouble if there is aproblem in the system.>IC Antenna Pos.NoneEXITENTERExit user modeNon-contact IC antenna position:3 settingsPress                        to select the setting and press            to save.(The electronic beep sounds.)NoneNo antennaExt. UnitAn IC unit antenna is being usedAdded onA compact IC unit is being used.>Test PrintOK?Printing..ENTEREXITExit user modePress           to carry out test printing.(The electronic beep sounds.)Transport modeTo set the transport mode.CAUTIONWhen shipping or moving the printer,you must set the transport mode. If the printer is not setthe transport mode, it may have a damage.>Transport modeOK?ENTEREXITPlease,Power offExit user modePress           to carry out transport mode.(The electronic beep sounds.)Please turn off the power.Turnning on the power, then the transport mode is canceled.A single-sided color pattern is printed.  When testprinting is completed, the unit will automatically return toready staus.Unit No SettingSet Unit No.of the printers to be connected>Unit No;No.1EXITUnit No:7 settingsENTERPlease,Power offAfter that pressEXIT,Then the message is displayed as shown below.Exit user modeTurn off the powerAnd  then by turning on the power,Unit No. setting mode is cancelled.(The electronic beep sounds.)Press                           to select the setting and press                    to save.
35Care and cleaningAlways make sure that the printer is turned off before cleaning.(However, cleaning of the discharge rollers and magnetic head should be carried out with the power turned on.)To achieve the best performance from the printer, always check each part before use for dust and dirt and clean if necessary.The following explains the main rollers that require cleaning. For details about other rollers, see p.39 (Internal roller layout).Dust and dirt, particularly on the thermal head, rollers and cleaning rollers can cause print blurs and shifting of colors.Cleaning the cleaning rollersThe cleaning rollers remove dust and dirt sticking to the card.Cleaning the cleaning rollers after every use is recommendedif the unit is used almost everyday. Depending on the cards,there may be much dust and dirt. In such a case, performcleaning every 100 to 200 cards. Do not do this, however,during printing operations.1. Open the card tray.2. Remove the cleaning unit.Pull out the cleaning unit toward you as shown in theillustration below.3. Wash the rollers of the cleaning unit with water.Wash out dirt on the roller surface with your fingers.Do not use alcohol or detergents. The cleaning unitshould be cleaned only with running water.4. Push the cleaning unit back into the printer.Push the cleaning unit with the rollers facing upwarduntil it is securely back into the place.5. Close the card tray.After washing the cleaning unit withwater, wait until it completely dries up and set it in theprinter.CAUTIONDeteriorated cleaning rollers maycause defects in the printed card. If the rollers begin todeteriorate, replace the cleaning unit.(We recommend replacement after a year)CAUTIONWhen you remove the cleanning unit,be careful not to injure your fingers by inner mechanism.CAUTION
3612Cleaning (continued)Cleaning the thermal headWhen the thermal head gets dirty, defects such asunwanted lines appearing on the printed card mayoccur. It is recommended to clean the thermal headafter printing about 10,000 frames. The thermal head isa consumable component, that is, it has a limitedservice life.1. Open the printer door and remove the ink ribboncassette and the retransfer film cassette.See p.13, 15 in this manual.2. Wipe the cleaning head with a cotton bud (soldseparately), dipped in alcohol (sold separately).Wipe the head indicated with                horizontally.3. Insert the ink ribbon cartridge and the retransferfilm cassette, then close the printer door.Cleaning the fan filterWhen the fan filter gets dirty, partial omissions mayoccur on the printed cards, or the printing result looksdirty. It is recommended to clean the fan filter afterprinting about 10,000 cards.1. Remove the fan filters located in three positions onthe sides of the printer.2. Remove the card tray.See p.43 in this manual.3. Remove the fan filter located on the base of theprinter (inside the unit).Bring down the fan filter(side 2) while pressing its side(side 1). The fan filter can be taken out. Mount the fanfilter by pressing this side.ThermalheadCotton bud (sold separately) • The thermal head may break iftouched with an electrostatic charge. Discharge yourselfby touching the printer frame (metallic part) with yourhands before cleaning the thermal head.• Use a cotton bud soaked with absolute alcohol(ethanol).Be careful not to scratch the thermal head with hardmaterials like metal during cleaning.CAUTION
37(to the next page)4. Remove dirt on the fan filter using a vacuumcleaner or other cleaning equipment.Hold the sponge with your hand so that it is not suckedinto the cleaner.Side filterPress down the sponge intothe dents at four corners, andset it under the tabs on theframe.Bottom filterPlace the spongeunder the tabs on theframe.Replace the fan filter when it begins to deteriorate.(the elasticityof the sponge is lost and the sponge tends to be broken intopieces.) It is recommended that fan filter should be replacedonce a year. Contact your dealer for details of replacing the filter. If the sponge is removed, attach it again as shownbelow.Cleaning the card feed rollers and heatrollersDirty rollers are the major cause of jamming of thecards. It is recommended to clean the rollers once afterprinting about 1,000 cards. It is also recommended tocarry out cleaning before the work, because theretransfer roller (heat roller) does not operate while it ishot.1. Remove the retransfer film cassette.See p.15 in this manual.2. Turn on the power of the printer.The printer initializes, and the [No Cassette] error isindicated.3. From user mode select cleaning mode.4. Press the ENTER button. Select [Rollers] with ↑and ↓ buttons, and press the ENTER button.See p.28 in this manual.Insert the cleaning card in about 10 seconds.  If you failsto set the card within this time, the printer returns to“Start OK?”  Press the ENTER button again to proceed.>Cleaning>>User ModeMENU>>RollersOK?Cleaning..Start OK?ENTERCleaning..ENTER5. Install the fan filters back to the original positions.
38Cleaning the magnetic headDirty magnetic head will cause a write/read error. It isrecommended to clean the magnetic head after printingabout 1,000 cards. Cleaning the magnetic head is notnecessary if the magnetic stripe card is not used.1. Keep the ink ribbon and retransfer film cassettes intheir mounting positions.See p.13 to p.17 of this manual.2. Comfirm that the READY LED(Green) is lighted3. Specify the “cleaning” mode in the user mode.See p.25 in this manual.4. Apply alcohol on the magnetic head cleaning card.Drip three or four drops of alcohol on the magneticstripes.5. Set a cleaning card.Peel off the protective paper of the cleaning card andinsert it into the card discharge slot. The card will bedrawn into the unit by the rollers and cleaning will thenbe carried out from card discharge slot on the left sideof the printer. Insert the card with its adhesive faceupside down to repeat the cleaning procedure oncemore. • If the retransfer roller (heat roller)gets too hot,appears on the LCD panel, and the printer returns to theReady state.Turn off the power of the printer, and wait until the rollercompletely cools down before starting the work.Confirm that the retransfer film cassette has beenremoved.• The cleaning card does not go into the card dischargeslot at the left side.• If a card jam occurs, turn off the power, then turn on thepower again. The jammed card will be discarded.CAUTIONHR is too hot!Cleaning card (accessory)The cleaning cardcan be inserted onlyfrom the right side.NG card discharge slot6. Turn off the power after the cleaning card isdischarged.Wait for 10 seconds before turning on the power again. The cleaning card can be used onlyonce and disposable after using. If you use the dirtycleaning card many times, the dirt on the card movesonto the rollers, causing damages to the rollers.Consult your dealer for the cleaning card.CAUTION>Cleaning>>User ModeMENUMagnetic head cleaningcard (sold separately)Alcohol (soldseparately)
395. Set the card on the card tray.Place the card in right direction. See p.19.6. Press the ENTER button, select “MG Head” withthe ↑ or ↓ button, and press the ENTER button.7. When the cleaning card is discharged from NGcard discharge slot, turn off the power of theprinter. Wait for 10 seconds before turning on thepower again.>>MG HeadOK?Cleaning..ENTER Replace the magnetic head cleaningcard when it gets dirty. A dirty card may pollute the headand cause damages to the head.Consult your dealer on the alcohol and cleaning card.CAUTIONOnce printer servicing and cleaninghave been completedOnce servicing and cleaning of the printer have beencompleted, check to make sure that all parts have beenreplaced properly.Improper replacement of parts may result in the powernot turning on or in operating errors.Periodical MaintenancePeriodical maintenance by the service personnel isrecommended to avoid print error and failure.Consult your dealer for maintenance period and cost.
40Jam (TurnOver)Jam (Hopper)Jam (Transfer)TroubleshootingLayout of rollers inside the printerBelow is a diagram of the layout of rollers inside the printer. Refer to this diagram in the event of card jams andwhen cleaning the rollers.Retransfer film cassette Ink ribbon cassetteThermal headCard feed rollersCard jams (card turnover unit) (see p.44)Card jams (card turnover unit) (see p.43)Card jams (card turnover unit) (see p. 44)Cleaning rollersCard feed rollersBend remedial roller (heat roller)Retransfer roller (heat roller)All rollers require routine cleaning.• The card feed rollers, retransfer roller andbend remedial roller can be cleaned oncleaning mode.(See p.36 in this manual.)• The cleaning roller can be cleaned by waterwashing.(See p.34 in this manual.)Magnetic headCard turnover tableHow to clean the feed roller1. Open the card tray, and take out the cards from thetray.2. Move the card bracket until it locks.3. Clean the feed roller with felt (sold separately)soaked with absolute alcohol(ethanol).Feed roller
41Please,Power Off.Please RemoveMedia CassetteHR is too hot.Jam (Hopper)Jam (TurnOver)Jam (MG)Jam (Transfer)Jam (Discharge) Media BrokenMedia SearchMedia Run OutInk BrokenInk Search Ink Run OutTurn Over UnitHeater CamNo CardDoor Open No Cleaning Ro.No Cassette9091929394A0A1A2B0B1B2C0C1D1D1D1Error code listing The meaning of “reset → enter buttons” in the list is,after pressing the Reset button, press the Enter buttonto initialize the unit.Error code Description of error RemedyThe power must be turned off sothat the unit can be initialized. Turn off the power and then on again.The cleaning mode can not be setbecause there is a retransfer film inthe unit.Remove the retransfer film cassette, then press the “reset →enter buttons” and set the cleaning mode again.The cleaning mode can not be setbecause the temperature of theheat roller is too high.1.Turn off the power and allow about 20 minutes for the heatroller to cool. Then turn on the printer and set the cleaningmode again.2.Confirm that the retransfer film cassette has been removed.Card jam(hopper section) Remove cards from the hopper.Press the “reset → enter buttons” and initialize the unit.Card jam(turnover) Remove cards from the turnover section.Press the “reset → enter buttons” and initialize the unit.Card jam(encode section) Press the “reset → enter buttons” and initialize the unit.If no cards are discharged, remove the cards, press the “reset→ enter buttons” and initialize the unit.Card jam(retransfer section)Remove the cards from the retransfer section.Press the “reset → enter buttons” and initialize the unit.Card jam(paper discharge section) Remove the cards from the paper discharge section.Press the “reset → enter buttons” and initialize the unit.The retransfer filmhas broken Mend the retransfer film.Press the “reset → enter buttons” and initialize the unit.Retransfer film search error Reset the retransfer film. Press the “reset → enter buttons”.Call for service if the problem persists.The retransfer film has run out Replace the retransfer film.Press the “reset → enter buttons” and initialize the unit.The ink ribbonhas broken Mend the ink ribbon.Press the “reset → enter buttons”n and initialize the unit.Ink ribbon search error(RF-ID read error) Reset the ink ribbon. Press the “reset → enter buttons” and callfor service if the problem persists.The ink ribbon has run out Replace the ink ribbon.Press the “reset → enter buttons” and initialize the unit.Turnovermechanism error Press the “reset → enter buttons” and call for service if theproblem persists.Heat roller operation error1. No card2. The card tray is open or hasbeen removed.1. Replenish the cards.2. Close the tray correctly.The printer door is open Close the door.Press the “reset → enter buttons” and initialize the unit.Cleaning rollers missing Attach the cleaning rollers.Press the “reset → enter buttons” and initialize the unit.Cassette missingAttach both the ink ribbon cassette and the retransfer filmcassette.Press the “reset → enter buttons” and initialize the unit.See p.43See p.44See p.44See p.42See p.42See p.44Turn the power off and then on again. Call for service if theproblem persists.
42TR OverheatTR BrokenTR Sensor BrokenRR OverheatRR BrokenRR Sensor BrokenOvercoolHead OverheartEEPROM BrokenMG UnconnectedMG Mechanical MG Hardware                **Hardware                **EXT. UnconnectedMG ComminucateEXT. SW SettingEXT. JamEXT. ComminucateB8F0F1F2F3F4F5F6F8FAA9ABACAFB9BABBBEEXT2 ComminucateBFHardware44Error code Description of error RemedyRetransfer roller overheating Turn off the power and then on again. Call for service if theproblem persists.Troubleshooting (continued)Should your printer require servicing, turn it off and unplug it and make inquiries at the outletwhere it was purchased.Retransfer roller malfunction Turn off the power and then on again. Call for service if theproblem persists.Retransfer roller thermistermalfunction Turn off the power and then on again. Call for service if theproblem persists.Bend remedy roller overheatingerrorTurn off the power and then on again. Call for service if theproblem persists.Bend remedy roller malfunction Turn off the power and then on again. Call for service if theproblem persists.Bend remedy roller thermistermalfunctionTurn off the power and then on again. Call for service if theproblem persists.Overcool The usage environment temperature is too low.Use at the specified usage environment temperature.(Call for service if the problem persists.)Thermal head overheatedTurn off the power and leave the unit for about 10 minutes beforeswitching on again. (Call for service if the problem persists.)EEPROM malfunction Turn off the power and then on again. Call for service if theproblem persists.MG connection error Turn off the power and then on again. Call for service if theproblem persists.MG mechanical error Turn off the power and then on again. Call for service if theproblem persists.MG hardware error Turn off the power and then on again. Call for service if theproblem persists.Hardware error Turn off the power and then on again. Call for service if theproblem persists.Connected external devicemalfunctioningTurn the power off and then on again. Call for service if theproblem persists.MG communication errorExternal device switch setting error Turn off the power and then on again. Call for service if theproblem persists.External retransfer unit jam error Press the “reset → enter buttons” and remove cards if they arenot discharged. Press the “reset → enter buttons” and call forservice if the problem persists.External unit communications error Check the I/F cable connected correctly.Turn off the power  andthen on again. Call for service if the problem persists.Check the I/F cable connected correctly.Turn off the power andthen on again. Call for service if the problem persists.External unit2 communicationserrorCheck the I/F cable connected correctly.Turn off the power andthen on again. Call for service if the problem persists.Hardware error Turn off the power and then on again. Call for service if theproblem persists.
43(to the next page)Mending broken ink ribbon andretransfer filmIf the ink ribbon or retransfer film is broken, mend it inthe following procedures:1. Trim neatly the end of broken portions with a pairof scissors.2. Align both ends and apply the Scotch tape in thecenter of the aligned ends.        Please do not discard the used ink ribbon or        retransfer film on the winding side.3. Turn the ink ribbon or retransfer film to the windingside with your hand until the mended portion iscompletely wound up.About printing errorsIf blurring or color shifts occur in your print results, cleanall rollers starting with the cleaning rollers.Some image errors may depend on the design of thecard to print.In particular, wrinkles can easily occur if large surfacesare printed with high density ink.To avoid such problems, contact the dealer where theprinter was purchased concerning card designs.Align bothends evenlyScotch tapeWindingside Set the ink ribbon and retransfer filmwith care. See p.13 and p.15.CAUTIONCaution when printing characters When printing small characters or thin lines in blackink, the thickness of minimum 2 dots necessary for“Standard” mode. Printing small characters or thin lines by 1 dot tends tocause blurring. To avoid this tendency, following settings arerecommended. See “Ink mode setting” on Page 29.1. Set the black value K: Try to increase setting value to more than 0 (Standard)Then darker printing is possible.2. Set the K printing mode: Change mode from “Standard” to “Fine”.Then thicker printing is possible.If blurring still appears after having tried the abovesetting , selecting more adequate character font isrecommended.When retransfer operation is not complete Depending on the cards used, retransfer operation maynot be complete. In that case, try the following items.(See Page 30, “Retransfer mode setting”)1. Try to increase the retransfer temperature.2. Try to decrease the retransfer speed. For the reverseside of the card, try to decrease the reverse retransferspeed.3. Dust on the card surface. Use clean cards with nodust. Use the attached gloves to avoid fingermark oncards.4. Ambient temperatureRetransfer operation may not be complete if thetemperature of card surface is very low such as thecard first printed in the cold morning. In that case, waituntil the room becomes warm enough.
44Troubleshooting (continued)Removing card jamsTo determine the part of the machine affected by a cardjam refer to the error code on the operation panel LCDpanel on the printer and the relevant page in thismanual.When removing a jammed card, make sure that theprinter is turned off before carrying out the followingprocedure.Hopper jam1. Pull out the card tray.To remove the card tray, pull it out toward you until it nolonger moves and lift it.2. Remove the jammed cards.If you can hold the jammed card, pull it out.3. Return the card tray to its original position.Push the card tray back into position on an angle.Push the card tray backinto its position whileplacing the card tray tabson the folded over metalplates.If you cannot hold the jammed card:Pull out a small portion of the cleaning unit.Turn the right knob to drop the jammed card. Removethe fallen card.Pushing the tray with excessive forcemay cause a failure of the printer.CAUTION
45Turnover section [Jam (turnover)]1. Open the printer door and remove the ink ribboncassette.See p.13 in this manual.2. Remove any jammed cards.Retransfer section [Jam (transfer)]1. Open the printer door and remove the retransferfilm cassette.See p.15 in this manual.2. A jog lever are supplied as standard.The jog lever are attached to the center of the card tray.Turn the tabs in the arrow direction and take out the joglever and removal stick.3. Turn the jog dial.Turn the jog dial with the attached jog lever.4. Remove the card.Remove the card. Some parts inside the printer may behot. Be careful when removing the card.CAUTION• If the jammed cards come out of the turnover table,push them back into the table, and rotate the tableslowly (as it is positioned vertically) until the table islocated so that the cards can be taken out.CAUTION•When rotating the turnover table, be carefulnot to touch the metal edge. Wear a glovefor this work.Injury• If you can pull out the jammed cards, take them out.Jog lever
46SpecificationsMain specificationsRecording method : Sublimation type retransferFeed format : Automatic feedRecording density : 300 dpiExpression gradation: 256 gradations for each colorPrinting time : Approx. 29 seconds (for single-sided printing, excluding datatransfer time)Interface : USB2.0(Hi-speed)Operating environment conditionsTemperature: 15°C ~ 30°CHumidity: 35% ~ 70%(no condensation)Storage environment conditionsTemperature: -15°C ~ 55°CHumidity: 20% ~ 80%Power supply : 100~120ACV/220~240ACV(allowance±10%)Current dissipation : 7.0A (for 100V system)/5.0A (for200V system)Mass : Standard 22kgExcluding the built-in magneticencoderAccessories : English manual ...................... ×1Cleaning card ×1Card stacker ×1Ink ribbon cassette ×1Retransfer film cassette ×1Jog lever (contained in thecard tray) ×1USB cable ×1Groves ×1CD-ROM ×1CX21ICL Series (Large-type IC unit)Power supply : Fed from the printer.DC 5V±5%, DC 12V±5%, DC 24V±5%Current dissipation : 500mA, 300mA, 1AMass : 3.5kgDimension (mm) : 110(W) × 221(D) × 255(H)Accessories : Joint plate × 1Inter-unit cable × 1CX21ICS Series (Compact IC unit)Power supply : Fed from the printer.Mass : 0.5kgDimension (mm) : 50(W) × 152(D) × 115(H)Accessories : Screw (with washer) × 3Screw (without washer) × 2The specifications and external appearance of this product are subject to change for improvements withouta prior notice.Products sold separately: Ink ribbon(YMCK)• 1,000 frames/setModel: CY-340-100Ink ribbon(YMCKK)• 750 frames/setModel: CY-35K-75:Retransfer film     •1000 frames/set       Model: CY-3RF-100: Cleaning card10 cards/setModel: CX210-CC1: Compact IC unitNon-contact IC encoderModel: CX211CS: Large-type IC unitMounts either a Non-contact or       contact IC encoder.       Model: CX211CL
47External appearance and dimensions Front view Side viewunit/mm343 347381
  Software License Agreement  The software covered by this document is the computer program developed by Victor Data Systems Co., Ltd., a Japanese company, for certain card printer products (“Products”), and is composed of the “USB Driver”, “Status Monitor” and “Printer Driver”.  The foregoing software, including the attached documentation such as its startup guide, user’s manual, etc. (“Documentation”), is referred to as “this Software” hereafter.    The use of this Software is permitted only to you, the customer recognized as an “End User” thereof, solely according to the terms and conditions provided in this document.  This document shall constitute a legal agreement between you and our Company (“this Agreement”) subject to your acceptance of such terms and conditions.   You, as an individual End User or authorized representative of a corporate End User, shall implement by yourself the initial acts such as the opening of a tangible media package, program installation, downloading, etc. (“Initiation”) of this Software prior to the use thereof, understanding the terms and conditions in this document.  The Initiation implemented by you is deemed as your unconditional acceptance of the terms and conditions in this document, and this Agreement shall come into effect upon such Initiation.  You shall not use this Software if you do not accept the terms and conditions in this document.  Article 1    Ownership of Rights The copyrights and the other intellectual property rights to this Software belong to our Company, its affiliates or the licensor of such intellectual property rights for our Company (“Licensor”).  Our Company, its affiliates or Licensor retains all these intellectual property rights, none of which shall be assigned or otherwise transferred to you under this Agreement.   This Software is protected by the copyrights law in Japan, other countries and related international treaties  Article 2    Grant of License 1.  You are granted a non-exclusive license (“this License”) to use this Software as integrated with the Product in your possession, according to the restrictions and the other terms and conditions in this Agreement.    You may use this Software for your own business purposes, implementing by yourself the Initiation of this Software on the PC you intend to use in connection with the Product.  This License shall be nontransferable except based on Section 3 of Article 3.   - 1 -
  2.  You may make the minimum number of copies necessary from this Software solely for backup or archival purposes, besides implementing the Initiation.    In all such copies, you shall reproduce and keep the copyright notices and other legends as originally included in the media of this Software provided by our Company.  Article 3  Restrictions on Use 1.  You shall not adapt or modify this Software, nor shall you, except as permitted by applicable law, reverse-assemble, reverse-compile, reverse-engineer or in any way try to derive from this Software any source code. 2.  You are not granted the right to distribute or sublicense this Software to any third party.  You shall not assign, lend, lease or otherwise transfer to any third party this License, this Software or any part thereof by itself or in combination with other products or software. 3.  You may transfer this Software along with this License to a third party as a new End User only when the possession of this Software and the Product is transferred together as a set by assignment, loan, lease, or the like.    In the said case, you must present this document to such third party and obtain its consent to this Agreement beforehand, having such third party understand the terms and conditions herein.  Our company may inquire of you to identify such third party.  Upon such transfer, you are obliged to immediately destroy or delete this Software and all its copies, (which shall include erasing the copies stored or recorded on your PC, other hardware, memory, etc.) except those transferred to such third party in the tangible media like CD-ROM, printed materials, etc. (“Tangible Media”); and you shall submit a certificate of such destruction and deletion on our Company’s request.  Article 4  Limited Warranty 1.  When this Software is provided in the form of Tangible Media, our Company warrants that such Tangible Media is free from the physical defects at the time of delivery.    With respect to the “USB Driver” and “Status Monitor” of this Software, our Company warrants that they will materially operate in conformity to the main functional specifications expressed in the Documentation for ninety (90) days after the delivery date of this Software, provided that the Initiation thereof was proper and that it is operated correctly, according to the Documentaion. 2.    The limited warranty in Section 1 above is subject to the condition that the operating system (“OS”) of the PC you intend to use in connection with this Product must be of such types and versions as our Company stipulates in the Documentation.    Our Company verifies that this Software will function when such stipulated OS is used in combination with then major PC models at the time of delivery, however does not warrant that it will function properly   - 2 -
  when used in combination with any and all PC models.  It is recommended that you first check the functioning of this Software in the environment where you use it, according to the Documentation immediately after its delivery.   3.  This Software is provided “As Is” with no warranties except the limited warranty expressed in this Article.  Our Company is not obliged to provide updates such as modified or enhanced versions of this Software.    No warranties whether express or implied are made with respect to this Software in regards to its merchantability, fitness for a particular purpose, non-infringement of third party intellectual property rights, or any other matters not expressly provided for herein.    Any problems occurring with respect to this Software shall be resolved at your sole responsibility and expenses.  Article 5  Indemnification Our Company shall not be liable for any damages in connection with the use of this Software, including direct, incidental, consequential, special and punitive damages, etc., whether based on this Agreement or otherwise, even if our Company has been or could have been aware of such damages.  Similarly our Company shall not be liable for any claims by any third party against you or your customers, nor shall our Company be obliged to compensate such third party or indemnify you or your customers for such claims.    You shall indemnify and hold harmless our Company, its affiliates and Licensor worldwide from any claim, damage, loss, expense, including attorney’s fees, or liability in connection with your use of this Software.  Article 6  Term    1.  This Agreement and this License shall come into effect when the earliest act of Initiation implemented on your certain PC occurs.    Our Company may terminate this License without notification if you are in breach of any provision in this Agreement.    Our Company further reserves the right to claim for any damages it may suffer arising from such breach by you. 2.  Upon termination of this License, you shall immediately destroy or delete this Software and all its copies, (which shall include erasing the copies stored or recorded on your PC, other hardware, memory, etc.) except those in the form of Tangible Media which shall be returned to our Company, at your responsibility, and shall submit a certificate of such destruction and deletion on our Company’s request.  Article 7  Export Control   You agree not to illegally export, re-export or otherwise ship this Software, or any part thereof, including the information or technology, etc. embodied in this Software, to any   - 3 -
  country, territory, organization or individual, the shipping to which is prohibited or restricted by Japan and the respective countries concerned.  Article 8  Others 1.  Any modification, addition, deletion or other changes to this Agreement shall be invalid unless such changes are made in writing and affixed with the name and seal of or signed by the authorized representative of our Company.   2.  This Agreement shall be governed by and construed in accordance with the laws of Japan.     Any disputes arising out of this Agreement shall be subject to the exclusive jurisdiction of the Tokyo District Court as the court of first instance. 3.  If any provision of this Agreement is held to be invalid according to the laws of Japan, the remaining provisions will still remain in effect.  End of Agreement    - 4 -
KAT-T225-0010507(VP)C 2005 VICTOR DATA SYSTEMS Co.,Ltd.Sublimation type retransfer printer      CX-320      Instruction ManualVictor Data Systems Co., Ltd.2969-2 Ishikawa-cho, Hachioji-shi, Tokyo, Japan

Navigation menu