John Deere 244J Users Manual
244J to the manual c30cabcc-68da-4f28-99a1-f0913eb8b236
2015-02-03
: John-Deere John-Deere-244J-Users-Manual-465934 john-deere-244j-users-manual-465934 john-deere pdf
Open the PDF directly: View PDF
.
Page Count: 18

JLOADER
59 NET HORSEPOWER
244J
DKA244JCWP Page 1 Vertis QCA
1300 19th Street, Suite 200
East Moline, IL 61244
Cyan Magenta Yellow Black

Want a compact machine with super-sized
features? Step up to the tight-turning, heavy-
lifting 244J Loader. This versatile machine
combines best-in-class maneuverability, travel
speed, breakout force, reach, and stability —
letting it tackle tasks that other machines
can’t. Oscillating stereo steering delivers
a smooth-turning radius that’s 20-percent
tighter than comparable loaders — for faster
cycle times and less material spillage. Add
to that a faster maximum travel speed, more
comfortable cab with enhanced comfort
and visibility, and standard return-to-dig
function, and the 244J delivers big-time
stability, performance, and operator comfort
in one compact package.
PAGES
2–3
Big productivity
in a compact
package.
Big productivity
in a compact
package.
Big productivity
in a compact
package.
Vertis QCA
1300 19th Street, Suite 200
East Moline, IL 61244
Cyan Magenta Yellow Black DKA244JCWP Page 2 DKA

Operating Weight .....................................11,552 lb.
Net Horsepower .......................................59 hp
Pin Height .................................................126 in.
Full Turn Tip Load ....................................7,718 lb.
Bucket Size ..............................................1.0 cu. yd.
Bucket Breakout Force ...........................10,792 lb.
244J Loader key specifications
Unique stereo steering makes this compact loader
even more productive, for tight turns and extra agility
in close quarters.
Optional Worksite Pro™ skid-steer-style coupler lets
you utilize many of the same attachments used on
skid steers.
244J’s big breakout forces, high dump clearance,
and generous lift capacities make it the perfect
machine for a wide variety of work.
Two-range hydrostatic drivetrain delivers an infinite
travel speed from 0 to 19 mph. The inching pedal
further fine-tunes control.
Interim Tier 4-certified John Deere turbocharged diesel
delivers power without compromise in all conditions.
Extended service intervals help maximize uptime.
e 2 DKA244JCWP Page 3 Vertis QCA
1300 19th Street, Suite 200
East Moline, IL 61244
Cyan Magenta Yellow Black

1. Boom float allows easy backdragging
for finish grading and cleaning up
jobsites.
2. An oscillating rear axle and elastic
articulation at the pivot smooth the
ride for greater material retention
and reduced operator fatigue.
3. Manual low-speed differential
lock delivers the traction needed
to go deeper into the pile for
bigger bucket loads.
4. 244J’s long reach lets it easily dump
to the center of tandem-axle trucks
for quicker and easier loading.
5. The 244J’s unique design turns tight
but articulates less, keeping the center
of gravity and ballast in line to counter-
act load forces — for superior full-turn
tipping load capacity.
1
2
3
4 5
Unlike comparable-size machines, return-to-dig
is standard.
Oscillating stereo steering combines machine
articulation and rear-axle steering, giving the
244J the tightest turn radius in its class.
18-inch tires are standard.
Vertis QCA
1300 19th Street, Suite 200
East Moline, IL 61244
Cyan Magenta Yellow Black DKA244JCWP Page 4 DKA

Navigating crowded jobsites often isn’t easy.
While most machines are forced into three-
point turns (or worse), the 244J’s oscillating
stereo steering allows a tight 148-inch turn
radius for unsurpassed maneuverability.
Delivers higher tipping load capacities, too.
What’s more, the hydrostatic drivetrain’s
infinitely variable range lets you precisely
match travel speed to the work at hand.
So you can inch ahead while maintaining
full hydraulic power. Or max out at a
fastest-in-class 19 mph. Lets you move more
materials, more quickly and more efficiently.
Without running you ragged.
PAGES
4–5
Run in some
pretty tight circles.
Run in some
pretty tight circles.
Run in some
pretty tight circles.
e 4 DKA244JCWP Page 5 Vertis QCA
1300 19th Street, Suite 200
East Moline, IL 61244
Cyan Magenta Yellow Black

Climb aboard the 244J and you’ll see why
this machine takes a back seat to nothing.
Its spacious sound-suppressed cab provides
ample headroom, best-in-class all-around visibility,
and much more. A single lever with FNR switch
controls all boom and bucket functions, and
standard return-to-dig is just a flick-of-the-
wrist away. Gauges in the forward console are
clearly visible, intuitive, and easy to read. Tilt
steering, multi-adjustable high-back suspension
seat, electronic monitor, and many more
productivity-boosting features are also standard.
PAGES
6–7
Easy to get in.
Easy to get working.
Easy to get in.
Easy to get working.
Easy to get in.
Easy to get working.
Vertis QCA
1300 19th Street, Suite 200
East Moline, IL 61244
Cyan Magenta Yellow Black DKA244JCWP Page 6 DKA

3
3
Inching/brake pedal lets you slow travel speed while
keeping engine rpm high for optimum hydraulic response
and control.
Interior and exterior convex mirrors further enhance the
244J’s best-in-class visibility.
Opt for the highly efficient HVAC system and make your
operator even more productive. Automotive-type louvers
help keep the view clear, the cab comfortable.
1. Walk-through cab lets you enter or exit
easily from either side.
2. Boom and bucket control, FNR, and
differential lock are on the same low-
effort lever for convenient single-
handed control.
3. Easy-to-read monitor tracks rpm,
hours, engine oil pressure, and
more. Issues both visible and audible
warnings.
4. Low- and high-speed ranges provide
infinitely variable travel speeds from
standstill to a best-in-class 19 mph.
5. Oscillating axle/elastic articulation
reduces cab tilt by as much as 50
percent, for a smoother ride that’s
easier on both machine and operator.
2
4
5
1
e 6 DKA244JCWP Page 7 Vertis QCA
1300 19th Street, Suite 200
East Moline, IL 61244
Cyan Magenta Yellow Black

1
Change hydraulic flow with a twist of your wrist.
Unobstructed line of sight to attachments makes
switchover quick and easy.
The optional fourth-function valve delivers plenty of
flow for running hydraulic-driven attachments like
power rakes and augers.
2
3
4
5
1. If you change attachments often, you’ll
appreciate the hydraulic-actuated
skid-steer-style coupler that lets you
attach and release attachments quickly,
without tools or leaving the seat.
Attachments shown:
2. Utility/snow blade
3. Scrap grapple
4. Utility bucket
5. Bale spear
6. Pallet fork
Available attachments:
• Power rakes
• Utility/snow blades
• Augers
• Bale spears
• Construction or utility buckets
• Tooth buckets
• Pallet forks
• Scrap and brush-tined grapples
• Pick-up brooms
6
Vertis QCA
1300 19th Street, Suite 200
East Moline, IL 61244
Cyan Magenta Yellow Black DKA244JCWP Page 8 DKA

PAGES
8–9
Why invest in a bunch of specialized
machines when the highly versatile 244J
can do the job? With its standard pin-type
hydraulic quick-coupler, the 244J lets you
go from bucket to forks, quickly and easily.
Or opt for the Worksite Pro skid-steer-style
coupler that enables this jack-of-all-trades
machine to utilize an even wider array of
skid-steer-compatible Worksite Pro attach-
ments. Operation is easy, with joystick and
third- and fourth-function pilot controls con-
veniently located at your fingertips. Regardless
of how you equip it, the 244J will be the most
versatile compact machine on your worksite.
If it’s not one thing,
it’s another.
If it’s not one thing,
it’s another.
If it’s not one thing,
it’s another.
e 8 DKA244JCWP Page 9 Vertis QCA
1300 19th Street, Suite 200
East Moline, IL 61244
Cyan Magenta Yellow Black

Ready to work
wherever and
whenever you are.
More often than not, it’s the weather and count-
less other unplanned interruptions that make the
difference between a job well done and a job
gone wrong. Improve your chances for success
with the small-but-serious 244J. Incorporating
many of the same durability features found on our
larger loaders, it’s built to keep downtime down
with sealed electrical connectors, flat-face O-
ring-seal hydraulic couplings, and self-adjusting
wet-disc brakes, to list just a few. The 244J
will help keep your operator out of harm’s way,
too, with numerous safety features such as an
automatic park brake, bypass-start protection,
slip-resistant steps, and convenient handholds.
PAGES
10–11
Ready to work
wherever and
whenever you are.
Ready to work
wherever and
whenever you are.
Vertis QCA
1300 19th Street, Suite 200
East Moline, IL 61244
Cyan Magenta Yellow Black DKA244JCWP Page 10 DKA

3
3
Wet-disc brakes in the heavy-duty axles self-adjust and
are sealed from moisture and contaminants for long,
trouble-free life.
Proportional fan runs only as needed to provide
optimal cooling — for reduced wear and tear on
cooling components.
Turbocharged Deere PowerTech™ diesel runs quiet
and is certified to EPA interim Tier 4 emissions
regulations so it can work where rigid sound- and
air-quality regulations exist.
Access to the hydraulic loader valve, differential lock,
optional ride control, and other components is quick
and convenient.
1. Remote test ports enable technicians
to quickly troubleshoot problems.
2. Steering linkage is positioned where
it’s protected and supported by
brackets with easily replaceable
wear strips.
3. Angled self-cleaning steps and
ergonomically positioned grab
bars make getting in and out of
the cab easier.
4. A/C condenser tilts out and away
from the radiator for easier clean-
out. Doesn’t require draining fluids
or disconnecting hoses.
5. Wear-resistant hoses are routed
where they’re protected. Heavy-duty
articulation joints are strong and
durable.
2
1
45
e 10 DKA244JCWP Page 11 Vertis QCA
1300 19th Street, Suite 200
East Moline, IL 61244
Cyan Magenta Yellow Black

Fuel-efficient Tier 4
emission-certified
John Deere diesel runs
500 hours between
changes. Hydraulic valve
lifters and serpentine belt
never require adjustment.
Remote lube bank puts
rear axle zerks within
easy reach. Convenient
maintenance chart helps
ensure that nothng gets
overlooked.
Locking fuel cap and
electrical disconnect
switch help prevent
theft or vandalism.
Easily accessible
maintenance-free
batteries are connected
in parallel for reliable
electrical power.
Easy-lift hood and
transverse-mounted
engine provide convenient
ground-level access to
daily checkpoints.
Vertis QCA
1300 19th Street, Suite 200
East Moline, IL 61244
Cyan Magenta Yellow Black DKA244JCWP Page 12 DKA

5
2
6
3
4. Hydraulic fluid sight gauge and see-through
coolant reservoir let you check fluid levels
at a glance.
5. Easy-access vertical spin-on filters and
environmental drains make fluid changes
quicker and cleaner.
6. Nobody backs you better than the 1,100-
plus John Deere CWP dealers throughout
North America.
1. Hydraulically driven fan runs only as needed
for efficient cooling, reduced noise, and lower
fuel consumption.
2. Easy-access fuse panel accommodates quick
checks and changes.
3. Electronic control unit lets service technicians
easily retrieve vital operating information and
helps diagnose problems more quickly.
PAGES
12–13
1
4
Here’s the
lowdown on
daily operating costs.
We spared no expense to help keep the 244J’s
operating costs low. From the transverse-mounted
John Deere diesel that provides convenient
ground-level service access, to easy-to-change
vertical spin-on filters, this versatile loader will
require less of your time or attention. Extended
service intervals, environmentally friendly drains,
sight gauges — the list of J-Series features that
help minimize maintenance goes on and on. And
so will the daily operating cost savings you’ll enjoy.
Here’s the
lowdown on
daily operating costs.
Here’s the
lowdown on
daily operating costs.
e 12 DKA244JCWP Page 13 Vertis QCA
1300 19th Street, Suite 200
East Moline, IL 61244
Cyan Magenta Yellow Black

PAGES
14–15
Specifications
Specifications
Specifications
Engine 244J
Manufacturer and Model . . . . . . . . . . . . . . . . . . .John Deere PowerTech
TM
4024T
Non-Road Emission Standards . . . . . . . . . . . . . . .certified to EPA interim Tier 4 emissions
Cylinders . . . . . . . . . . . . . . . . . . . . . . . . . . . . . . .4
Valves per Cylinder . . . . . . . . . . . . . . . . . . . . . . .2
Displacement . . . . . . . . . . . . . . . . . . . . . . . . . . . .147 cu. in. (2.4 L)
Net Rated Power @ 2,800 rpm, SAE . . . . . . . . . .59 hp (44 kW)
Net Peak Power @ 2,600 rpm, SAE . . . . . . . . . . .62 hp (46 kW)
Maximum Net Torque @ 1,600 rpm . . . . . . . . . . .163 lb.-ft. (222 Nm)
Lubrication . . . . . . . . . . . . . . . . . . . . . . . . . . . . . .pressure system with full-flow spin-on filter
Fuel System . . . . . . . . . . . . . . . . . . . . . . . . . . . . .electronically controlled unit injection pump
Aspiration . . . . . . . . . . . . . . . . . . . . . . . . . . . . . . .turbocharged
Air Cleaner . . . . . . . . . . . . . . . . . . . . . . . . . . . . . .dual safety element dry type
Cooling
Hydraulically driven, proportionally controlled fan
Engine Coolant Rating . . . . . . . . . . . . . . . . . . . . .–34 deg. F (–37 deg. C)
Powertrain
Hydrostatic (HST) with infinitely variable speed control over full range of operating speeds; two speed ranges; joystick-mounted F-N-R; acceleration pedal; HST inching pedal, which
allows infinitely reduced travel speeds while maintaining full engine rpm and hydraulic flow
Two Travel Speeds In Forward and Reverse
(equipped with 365/70R18 tires)
Gear 1 . . . . . . . . . . . . . . . . . . . . . . . . . . . . . .4.3 mph (6.9 km/h)
Gear 2 . . . . . . . . . . . . . . . . . . . . . . . . . . . . . .18.6 mph (29.9 km/h)
Axles . . . . . . . . . . . . . . . . . . . . . . . . . . . . . . . . . .rear center-pivot axle with 10-deg. rear axle oscillation and 10-deg. frame oscillation
Rear Axle Oscillation Versus Front Axle . . . . .20 deg. total, stop to stop
Differentials . . . . . . . . . . . . . . . . . . . . . . . . . . . .manual (push-button) locking front, conventional rear
Maximum Rise and Fall, Single Wheel . . . . . .10 in. (254 mm)
Steering . . . . . . . . . . . . . . . . . . . . . . . . . . . . . . .hydraulic power steering (SAE J1511); 30-deg. articulation left and right with mechanical actuated rear-wheel steer emergency steering
system; 26-deg. rear-wheel steering tied mechanically to articulation; equivalent of 97-deg. conventional steering system articulation
Articulation Angle . . . . . . . . . . . . . . . . . . . . .56-deg. arc (28 deg. each direction)
Final Drive . . . . . . . . . . . . . . . . . . . . . . . . . . . . .heavy-duty outboard planetary
Brakes (SAE J1473 and ISO 3450)
Service Brakes . . . . . . . . . . . . . . . . . . . . . . .hydraulically actuated, self-adjusting internal wet-disc brake and driveline drum brake
Parking Brake . . . . . . . . . . . . . . . . . . . . . . . .automatically spring-applied, hydraulically released, internal wet disc
Hydraulics
Main Pump (loader and steering) . . . . . . . . . . . . .fixed-displacement gear pump; open-center system
Maximum Rated Flow @ 1,000 psi (6895 kPa) . . . .17 gpm (64 L/m)
System Relief Pressure
Loader . . . . . . . . . . . . . . . . . . . . . . . . . . . . . .3,190 psi (21 994 kPa)
Steering . . . . . . . . . . . . . . . . . . . . . . . . . . . . .2,611 psi (18 002 kPa)
Hydraulic Cycle Times
Raise . . . . . . . . . . . . . . . . . . . . . . . . . . . . . . .4.9 sec.
Dump . . . . . . . . . . . . . . . . . . . . . . . . . . . . . .1.4 sec.
Lower
Float Down . . . . . . . . . . . . . . . . . . . . . . .4.0 sec.
Power Down . . . . . . . . . . . . . . . . . . . . . .3.6 sec.
Total . . . . . . . . . . . . . . . . . . . . . . . . . . . . . . .9.9 sec.
Maximum Lift Capacity . . . . . . . . . . . . . . . . . . .with 1.0-cu.-yd. (0.8 m
3
) bucket with bolt-on cutting edge
Lift at Ground Level . . . . . . . . . . . . . . . . . . . .9,892 lb. (4491 kg)
Lift at Maximum Height . . . . . . . . . . . . . . . . .6,407 lb. (2909 kg)
Turning Radius
Measured to Centerline of Outside Tire . . . . .11 ft. 6 in. (3.51 m)
Controls . . . . . . . . . . . . . . . . . . . . . . . . . . . . . . .pilot-operated, 3-function valve with single-lever control for boom and bucket, and auxiliary level for standard pin disconnect and
auxiliary hydraulics, with control-lever lockout feature; optional additional 4-function valve with push-button control
Vertis QCA
1300 19th Street, Suite 200
East Moline, IL 61244
Cyan Magenta Yellow Black DKA244JCWP Page 14

trim for gatefold
Electrical 244J
Electrical load center with blade-type multi-fused circuits
Voltage . . . . . . . . . . . . . . . . . . . . . . . . . . . . . . . . .12 volt
Battery Capacity . . . . . . . . . . . . . . . . . . . . . . . . . .1,700 CCA
Reserve Capacity . . . . . . . . . . . . . . . . . . . . . . . . .160 min.
Alternator Rating . . . . . . . . . . . . . . . . . . . . . . . . .65 amp
Lights (SAE 99) . . . . . . . . . . . . . . . . . . . . . . . . . .driving/front working lights (2), turn signals, flashers, stop- and taillights
Tires/Wheels
Tread Width Width Over Tires Change In Vertical Height
Standard-Size, 365/70R18 Tires on
Single-Piece Rims . . . . . . . . . . . . . . . . . . . .58.5 in. (1486 mm) 72.8 in. (1849 mm) 0 in. (0 mm)
400/70R20 (optional) . . . . . . . . . . . . . . . . . . . . .57.9 in. (1471 mm) 74.2 in. (1885 mm) + 1.9 in. (+ 48 mm)
Serviceability
Refill Capacities
Cooling System (engine and radiator) . . . . . .10.6 qt. (10.0 L)
Differential and Planetary Axle
Front . . . . . . . . . . . . . . . . . . . . . . . . . . . .4.2 qt. (4.0 L)
Rear . . . . . . . . . . . . . . . . . . . . . . . . . . . .4.3 qt. (4.1 L)
Engine Oil with Filter . . . . . . . . . . . . . . . . . . .9.0 qt. (9.0 L)
Fuel Tank . . . . . . . . . . . . . . . . . . . . . . . . . . .21.5 gal. (81.0 L)
Hydraulic/Hydrostatic Reservoir with
Filter . . . . . . . . . . . . . . . . . . . . . . . . . . . .16.0 gal. (61.0 L)
Hydrostatic Motor Gearbox . . . . . . . . . . . . . .0.8 qt. (0.8 L)
Front/Rear Axle Planetary Hubs (each) . . . . . .1.0 qt. (0.9 L)
Operating Weights
With standard equipment, 365/70R18 tires, standard counterweight, cab, 175-lb. (79 kg) operator, and full fuel tank
With Quick-Coupler and 1.0-cu.-yd.
(0.8 m
3
) Stockpiling/General-Purpose
Bucket with Bolt-On Edge . . . . . . . . . . . .11,552 lb. (5240 kg)
With Quick-Coupler and 1.4-cu.-yd.
(1.1 m
3
) Stockpiling/General-Purpose
Bucket with Bolt-On Edge . . . . . . . . . . . .11,817 lb. (5360 kg)
With Quick-Coupler and Fork . . . . . . . . . . . . .11,398 lb. (5170 kg)
Optional Components
Bucket, 1.0 cu. yd. (0.8 m
3
) . . . . . . . . . .736 lb. (334 kg)
Bucket, 1.4 cu. yd. (1.1 m
3
) . . . . . . . . . .946 lb. (429 kg)
Machine Dimensions
DIMENSIONS WITH QUICK-COUPLER AND BUCKET
A Height to Top of Cab . . . . . . . . . . . . . . . . . . . .8 ft. 11 in. (2.72 m)
B Height to Top of Exhaust . . . . . . . . . . . . . . . . .8 ft. 6 in. (2.59 m)
C Ground Clearance . . . . . . . . . . . . . . . . . . . . . .11.6 in. (295 mm)
D Length from Centerline of Front Axle . . . . . . . .29.5 in. (749 mm)
E Wheelbase . . . . . . . . . . . . . . . . . . . . . . . . . . .7 ft. 1 in. (2.15 m)
F Dump Clearance, 42-deg. Full Height . . . . . . .▲ (see page 16)
G Height to Hinge Pin, Fully Raised . . . . . . . . . . .10 ft. 6 in. (3.20 m)
H Dump Reach, 42-deg., 7-ft. (2.13 m)
Clearance . . . . . . . . . . . . . . . . . . . . . . . . . . . .▲▲ (see page 16)
I Maximum Digging Depth . . . . . . . . . . . . . . . . .3.1 in. (79 mm)
J Overall Length . . . . . . . . . . . . . . . . . . . . . . . . .▲▲▲ (see page 16)
K Maximum Rollback at Full Height . . . . . . . . . .52 deg.
L Bucket Dump at Full Height . . . . . . . . . . . . . . .42 deg.
M Maximum Rollback at Ground Level . . . . . . . .39 deg.
C
D
E
Cab and Canopy
G
A
I
F
M
L
J
B
K
H
DKA244JCWP Page 15 Vertis QCA
1300 19th Street, Suite 200
East Moline, IL 61244
Cyan Magenta Yellow Black

PAGES
16–17
h
eering
tion
B
BUCKET SIZE cu yd (m )
3
Machine Dimensions (continued) 244J
DIMENSIONS WITH QUICK-COUPLER AND FORK
A Reach, Fully Raised . . . . . . . . . . . . . . . . . . . . .21.7 in. (551 mm)
B Fork Height, Fully Raised . . . . . . . . . . . . . . . . .10 ft. 0 in. (3.04 m)
C Maximum Reach, Fork Level . . . . . . . . . . . . . .4 ft. 2 in. (1.26 m)
D Fork Height, Maximum Reach . . . . . . . . . . . . .4 ft. 9 in. (1.45 m)
E Reach, Ground Level . . . . . . . . . . . . . . . . . . . .29 in. (742 mm)
F Depth Below Ground . . . . . . . . . . . . . . . . . . . .2 in. (51 mm)
G Tine Length . . . . . . . . . . . . . . . . . . . . . . . . . . .3 ft. 11 in. (1.20 m)
H Overall Length . . . . . . . . . . . . . . . . . . . . . . . . .19 ft. 0 in. (5.79 m)
Tipping Load as Measured with Fork Level,
Load Centered on Tine
Straight . . . . . . . . . . . . . . . . . . . . . . . . . . . . .6,404 lb. (2905 kg)
Full Turn . . . . . . . . . . . . . . . . . . . . . . . . . . . .5,846 lb. (2652 kg)
Standard Z-Bar Pin-On Bucket
Stockpiling/General Stockpiling/General
Bucket Type/Size Purpose w/Bolt-on Edge Purpose w/Bolt-on Edge
Capacity, Heaped SAE . . . . . . . . . . . . . . . . . .1.0 cu. yd. (0.8 m
3
) 1.4 cu. yd. (1.1 m
3
)
Capacity, Struck SAE . . . . . . . . . . . . . . . . . . .0.86 cu. yd. (0.7 m
3
) 1.18 cu. yd. (0.9 m
3
)
Bucket Width . . . . . . . . . . . . . . . . . . . . . . . . .6 ft. 3 in. (1.9 m) 7 ft. 3 in. (2.2 m)
Breakout Force, SAE J732C . . . . . . . . . . . . . .10,792 lb. (4895 kg) 9,722 lb. (4410 kg)
Tipping Load, Straight . . . . . . . . . . . . . . . . . .8,457 lb. (3836 kg) 8,347 lb. (3786 kg)
Tipping Load, Full Turn, SAE . . . . . . . . . . . . .7,718 lb. (3501 kg) 7,617 lb. (3455 kg)
▲▲ Reach, 42-Deg. Dump, 7-ft. (2.13 m)
Clearance . . . . . . . . . . . . . . . . . . . . . . . .3 ft. 10 in. (1.17 m) 3 ft. 11 in. (1.19 m)
▲▲ Reach, 42-Deg. Dump, Full Height . . . . . . . .32.2 in. (818 mm) 34.0 in. (864 mm)
▲ Dump Clearance, 42 Deg., Full Height . . . . . .8 ft. 4 in. (2.55 m) 8 ft. 3 in. (2.51 m)
▲▲▲ Overall Length, Bucket on Ground . . . . . . . . .17 ft. 4 in. (5.28 m) 17 ft. 2 in. (5.23 m)
Loader Clearance Circle, Bucket Carry
Position . . . . . . . . . . . . . . . . . . . . . . . . . .24 ft. 3 in. (7.38 m) 24 ft. 10 in. (7.57 m)
Loader operating information is based on machine with standard equipment, 365/70R18 tires, standard counterweight, cab, 175-lb. (79 kg) operator, and full fuel tank. This information
is affected by tire size, ballast, and different attachments.
H
A
C
E
G
D
B
F
Vertis QCA
1300 19th Street, Suite 200
East Moline, IL 61244
Cyan Magenta Yellow Black
e 14 DKA244JCWP Page 16 DKA

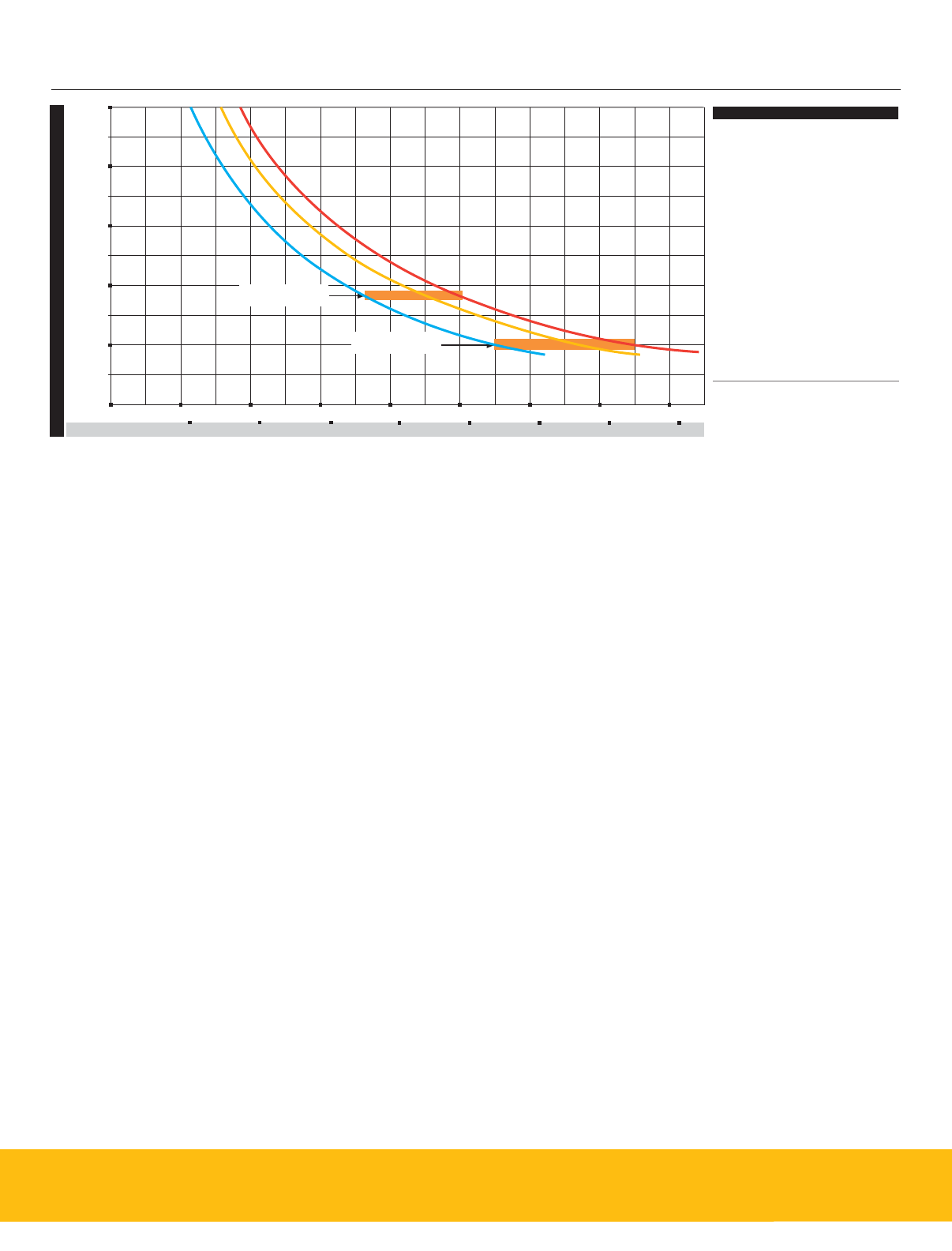
Bucket Selection Guide* 244J
2.0
(1.5)
1.5
(1.0)
1.0
(0.8)
1,500 2,000 2,500 3,000
2100
180015001200
lb./cu.yd.
kg/m3
BUCKET SIZE cu. yd. (m )
3
900
1,000
2.5
(1.9)
3.0
(2.3)
3,500 4,000
2400 2700
4,500
3000
Deere 1.4-cu yd. (1.1 m )
General-Purpose Bucket
3
Deere 1.0-cu. yd. (0.8 m )
General-Purpose Bucket
3
M
a
x
i
m
u
m
L
o
a
d
N
o
r
m
a
l
L
o
a
d
C
o
n
s
e
r
v
a
t
i
v
e
L
o
a
d
LOOSE MATERIALS
Chips, pulpwood
Cinders (coal, ashes, clinkers)
Clay and gravel, dry
Clay, compact, solid
Clay, dry in lump loose
Clay, excavated in water
Coal, anthracite, broken, loose
Coal, bituminous, moderately wet
Earth, common loam, dry
Earth, mud, packed
Granite, broken
Gypsum
Limestone, coarse, sized
Limestone, mixed sizes
Limestone, pulverized or crushed
Sand, damp
Sand, dry
Sand, voids, full of water
Sandstone, quarried
Shale, broken crushed
Slag, furnace granulated
Stone or gravel, 1-1/2" to 3-1/2" size
Stone or gravel, 3/4" size
lb./cu. yd.
486
1,134
2,700
2,943
1,701
2,160
1,458
1,350
2,052
3,105
2,592
3,834
2,646
2,835
2,295
3,510
2,970
3,510
2,214
2,295
3,294
2,430
2,700
kg/m3
288
673
1602
1746
1009
1282
865
801
1218
1843
1538
2275
1570
1682
1362
2083
1762
2083
1314
1362
1955
1442
1602
This guide, representing bucket sizes not necessarily manufactured by
Deere, will help you in selecting proper bucket size for material density,
loader configuration, and operating conditions. Optimum bucket size
is determined after adding or subtracting all tipping load changes due
to optional equipment. The “conservative load” line on this guide is
recommended when operating in conditions such as soft ground and
unlevel surfaces. The “maximum load” condition on this guide is
sometimes utilized when operating on firm ground and level surfaces.
*
trim for gatefold
e 16 DKA244JCWP Page 17 Vertis QCA
1300 19th Street, Suite 200
East Moline, IL 61244
Cyan Magenta Yellow Black

DKA244JCWP Litho in U.S.A. (09-03)
Net engine power is with standard equipment including air
cleaner, exhaust system, alternator, and cooling fan at test
conditions per ISO9249. No derating is required up to 5,000-ft.
(1500 m) altitude.
Specifications and design subject to change without notice. Wherever applicable, specifications are in accordance with SAE
standards. Except where otherwise noted, these specifications are based on a unit with all standard equipment, 365/70R18 tires,
ROPS cab, full fuel tank, and 175-lb. (79 kg) operator.
244J
Engine
● Certified to EPA interim Tier 4 emissions
● Antifreeze, –34°F (–37°C)
● Coolant recovery tank
● Fan safety guard
● Fan, suction type, hydraulically driven, propor-
tional speed
● Muffler, under hood with curved end exhaust stack
● Environmentally friendly engine oil drain
● Spin-on engine oil and fuel filter
● Engine oil cooler
● Quick-release fuel filter and water separator
● Under-hood dual-element air cleaner with restric-
tion indicator
● Above-hood prescreened air intake with dust
evacuator valve
● Serpentine drive belt with automatic tensioner
▲ Engine coolant heater, 750 watts, 110 volts
▲ Special application: Trash screens, etc.*
Electrical
● Starter switch with electric fuel cutoff
● 12-volt system
● Electrical load center with blade-type fuses
● Standard batteries (2), 12 volt with 1,700 CCA
● Master electrical disconnect switch
● Alternator, 12 volts, 65 amps
● Horn (conforms to SAE J994, J1446)
● Lights (conform to SAE 99): Driving / Front working
(2) / Turn signals / Flashers / Stop / Taillights
● Pre-wired for rear worklights
▲ Worklights, rear (2)
● Reverse warning alarm (conforms to SAE J994,
J1446)
● Multifunction monitor with audible and visual
warnings: Low engine oil pressure / Engine coolant
temperature / HST transmission oil temperature /
Parking brake indicator / Gauges and indicators:
Engine coolant temperature, fuel level, speedom-
eter, clock, and hour meter
● Indicator lights: Engine air filter / Fasten seat belt /
Parking brake actuated / Forward/reverse travel /
1st or 2nd speed range / Turn signal and hazard
lights / High-beam indicator / Battery voltage
244J
Electrical (continued)
● Radio-ready cab, fused 12-volt radio electrical
lead and speakers, power port
● By-pass starter safety cover on starter, positive
terminal battery cover
● Pre-wired for roof beacon
● Sealed external electrical connectors
Powertrain/Brakes
● Hydrostatic (HST) transmission: Electric shift con-
trol / Single-lever joystick F-N-R / Hydrostatic oil
cooler / Inching pedal / Two speeds forward and
reverse / Infinitely variable speed control
● Service brakes, hydraulically actuated, self-
adjusting internal wet-disk brake and driveline
drum brake
● Parking brake, spring applied, hydraulically
released, switch operated
● Axles, manual locking front and conventional rear
differentials, heavy-duty outboard planetaries
Hydraulic System
● Hydraulic system oil cooler
● Automatic bucket return-to-dig control
● Boom float function
● Reservoir sight gauge for hydraulic/hydrostatic oil
● Fine-micron hydraulic filter, vertical mounting
● Hydraulic lever lockout
● Pilot-operated three-function valve with single
joystick lever control for boom and bucket, and
auxiliary lever for standard pin disconnect and
auxiliary hydraulics
▲ Four-function hydraulic valve with pilot joystick
control and pilot auxiliary lever for third function,
and push buttons for fourth function
▲ Hydraulic conversion kits, four-function valve
● Quick-coupler diagnostic ports: Priority pressure /
Hydraulic pump pressure / Control valve pressure /
HST pressure
Operator’s Station
● Cab (conforms to SAE J1040, SAE J231, ISO3471,
ISO3449): ROPS/FOPS / Heater/defroster / Rubber-
plane isolation mounted for noise/vibration reduc-
tion / Intermittent front and rear windshield wipers
and washers / Tinted safety glass / Full-width
244J
Operator’s Station (continued)
adjust able sun visor / Pre-wired for radio speak-
ers / Deluxe high-back cloth seat with mechanical
suspension and 2-inch (51 mm) retractable seat
belt / Left and right doors / One sliding window in
each door
▲ AM/FM/WB radio
▲ AM/FM/WB radio with cassette player
▲ AM/FM/WB radio with CD player
▲ Air conditioning (factory or dealer installed)
● Storage compartment
● Rubber floormat
● Tilt steering column
● Rearview mirrors, outside (2) and inside (1) (con-
form to SAE J985)
● Handholds and steps, ergonomically located and
slip resistant (conform to SAE J185)
Loader Linkage
● Z-bar loader linkage
● Loader boom service locking bar (conforms to
SAE J38)
Buckets and Attachments
▲ Full line of buckets with selection of bolt-on
cutting edges
● Standard quick-coupler, less bucket
▲ Pallet fork for standard quick-coupler
▲ Worksite ProTM skid-steer-style coupler
▲ Full line of construction utility forks, pallet forks,
extendible boom with hook, and other attachments*
Tires
● 365/70R18 tires on single-piece rims
▲ 400/70R20 tires on single-piece rims
Other
● Fenders, front and rear
● Articulation locking bar (conforms to SAE J276)
● Vandal protection, includes lockable engine enclo-
sure and fuel fill
● Counterweight, full
● Rear bottom guard
● Drawbar, with locking pin
▲ Material-weighing system*
▲ Ride control
▲ JDLinkTM wireless communication system
244J LOADER
Key: ● Standard equipment ▲ Optional or special equipment *See your John Deere dealer for further information.
CONTROL OWNING AND OPERATING COSTS
Customer Personal Service (CPS) is part of John Deere’s proactive, fix-before-fail strat-
egy on machine maintenance that will help control costs, increase profits, and reduce
stress. Included in this comprehensive lineup of ongoing programs and services are:
Fluid analysis program – tells you what’s going on inside all of your machine’s
major components so you’ll know if there’s a problem before you see a decline in
performance. Fluid analysis is included in most extended coverage and preventive-
maintenance agreements.
Component life-cycle data – gives you vital information on the projected life
span of components and lets you make informed decisions on machine maintenance
by telling you approximately how many hours of use you can expect from an engine,
transmission, or hydraulic pump. This information can be used to preempt catastrophic
downtime by servicing major components at about 80 percent of their life cycle.
Preventive Maintenance (PM) agreements – give you a fixed cost for maintain-
ing a machine for a given period of time. They also help you avoid downtime by ensur-
ing that critical maintenance work gets done right and on schedule. On-site preventive
maintenance service performed where and when you need it helps protect you from
the expense of catastrophic failures and lets you avoid waste-disposal hassles.
Extended coverage – gives you a fixed cost for machine repairs for a given period
of time so you can effectively manage costs. Whether you work in a severe-service
setting or just want to spread the risk of doing business, this is a great way to custom-
fit coverage for your operation. And an extended coverage contract also travels well
because it’s backed by John Deere and is honored by all Deere construction dealers.
Customer Support Advisors (CSAs) – Deere believes the CSA program lends a
personal quality to Customer Personal Service (CPS). Certified CSAs have the knowledge
and skills for helping make important decisions on machine maintenance and repair.
Their mission is to help you implement a plan that’s right for your business and take
the burden of machine maintenance off your shoulders.
Vertis QCA
1300 19th Street, Suite 200
East Moline, IL 61244
Cyan Magenta Yellow Black DKA244JCWP Page 18
Black