Kenmore 91147692100 User Manual 27 ELECTRIC OVEN WITH MICROWAVE Manuals And Guides L0710603
KENMORE Built In Oven, Electric with Microwave Manual L0710603 KENMORE Built In Oven, Electric with Microwave Owner's Manual, KENMORE Built In Oven, Electric with Microwave installation guides
Kenmore Built In Oven SR-10475 Manual L0710603 Troubleshoot Kenmore Built In Oven SR-10475 |
User Manual: Kenmore 91147692100 91147692100 KENMORE 27 ELECTRIC OVEN WITH MICROWAVE - Manuals and Guides View the owners manual for your KENMORE 27 ELECTRIC OVEN WITH MICROWAVE #91147692100. Home:Kitchen Appliance Parts:Kenmore Parts:Kenmore 27 ELECTRIC OVEN WITH MICROWAVE Manual
Open the PDF directly: View PDF
.
Page Count: 72

Seif-Cleanin
Double 27"
Built-In Wall Oven
with Upper Microwave
Horno doble de 27"
de pared con autolimpieza y
microondas superior
Models, Modelos 911.47692, 47699
'1111'1 II1'11111'
m
Z
r
m
m
0
229C4020P280-1
(SR-10475) Sears, Roebuck and Co.,
Hoffman Estates, IL 60179 U.S.A. www.sea rs.com

SELF-CLEANINGBUILT-IN
WALLOVEN WITH MICROWAVE
TABLEOF CONTENTS
Oven Safety .................................. 3-6
Removal of Packaging Tape .............. 6
Features of Your Oven ...................... 7
Microwave Oven Control ................... 8
Power Level ...................................... 8-9
Time Cook I ....................................... 9
Time Cook Guide .............................. 9
Time Cook II ...................................... 10
Time Defrost ................................... 10
Add 30 Seconds ........................... 10
Express Cook .................................. 10
Auto Feature .................................. 10
Timed Defrosting Guide .......... :...... 11
Humidity Sensor ............................. -I2
Popcorn ........................................ 12
Reheat .................................................. 12
Potato ........................................... 12-13
Beverage ........................................... 13
Snacks ............................................ 13
Snacks Guide ............................... 13
Cook ................................................... 13
Cook Guide ........................................... 13
Upper Oven Clock ........................... 14
Display On/Off .............................. I4
Reminder ........................................ 14
Delay Start ....................................... -I4
Sound On/Off ................................... 14
Lower Oven Control ............................ 15
Lower Oven Display ........................ 16
Lower Oven Clock ........................... 17
Lower Oven Kitchen Timer ........... 17
Lower Oven Tones ........................ 18
Lower Oven F Codes .......................... t8
Lower Oven Cooking Tips ........ 19-21
Baking with Margarine ...................... 20
Baking ................................................... 22
Broiling ............................................. 23
Setting Special Features .......... 24-25
Self-Cleaning Cycle ..................... 26-27
Microwave Interior ............................ 28
Microwave Oven Floor ................... 28
Microwave Door Window ................ 28
Outside Oven Surfaces .................. 28
Microwave Control Panel ............... 28
Lower Oven Control Panel ............ 29
Broiler Pan and Grid ....................... 29
Oven Racks ..............................................29
Walls of the Oven ................................ 29
Glass ................................................... 29
Oven Light Bulb ................................ 30
Removable Oven Racks ................... 30
Removable Oven Door .................. 31
Before Calling for
Service ...................................... 32-34
Temperature Adjustment ................. 35
Warranty ............................................. 36
Consumer Service Numbers .......... 72
For your convenience and future reference, please write down your model
and serial numbers in the space provided. They are located on the vertical
side trim, when the microwave oven door is opened.
MODEL NUMBER: SERIAL NUMBER:
© Sears, Roebuck and Co, 2

IMPORTANT SAFETY INSTRUCTIONS
SAVE THESE INSTRUCTIONS
Read all instructions before using this appliance. When using gas or electrical
appliances, basic safety precautions should be followed, including the following:
IMPORTANT: To ensure safety for
yourself, family, and home, please
read your Use and Care Guide
carefully. Keep it handy for reference.
Pay close attention to Safety Sections.
BE SURE your appliance is installed
and grounded by a qualified
technician,
.DO NOT leave children alone
or unattended near an appliance
in use.
• TEACH CHILDREN not to play with
controls or any part of the appliance
and not to sit, climb, or stand on the
door or any part of the appliance.
• CAUTION: NEVER STORE items of
interest to children in cabinets
above the appliance. Children
climbing on the appliance could be
seriously injured.
• KEEP THIS book for later use,
• NEVER TRY to repair or replace
any part of the appliance unless
instructions are given in this guide.
All other work should be done by a
qualified technician.
• NEVER USE your appliance for
warming or heating the room.
• ALWAYS KEEP combustible wall
coverings, curtains, dishcloths,
towels, pot holders, and other linens
a safe distance from the appliance.
• NEVER USE a towel or other
bulky cloth as a pot holder. Make
sure the pot holder is dry. Moist pot
holders could cause steam burns.
DO NOT let pot holders touch
hot surfaces. 3
o ALWAYS KEEP your appliance
clear of things that will burn
(gasoline and other flammable
vapors or liquids).
•ALWAYS KEEP the oven area free
from things that will burn, Food,
wooden utensils, and grease
buildup could catch fire Plastic
utensils could melt and canned
foods could explode. Your
appliance should never be used as
a storage area.
o NEVER HEAT unopened food
containers Pressure buildup can
cause the container to burst and
cause injury
• NEVER LEAVE containers of fat or
drippings in your oven.
o NEVER TRY to clean a hot surface.
Some cleaners produce noxious
fumes and wet cloths or sponges
could cause steam burns,
• NEVER WEAR loose-fitting clothing
when using your appliance.
° BE SURE the oven is securely
installed in a cabinet that is firmly
attached to the house structure.
°LARGE SCRATCHES OR
IMPACTS to glass doors can lead
to broken or shattered glass.
-DO NOT touch heating elements,
surfaces near them, or interior oven
surfaces. These may be hot enough
to cause burns even though they
are dark in color. During and after
use, do not touch or let clothing or
flammable material contact the
elements or hot surfaces until they
have had time to cool. Other
surfaces near the oven vent
openings, oven door, and window
surfaces may also be hot enough to
cause burns.

IMPORTANTSAFETY
INSTRUCTIONS
•PLACE OVEN RACKS in the desired
position while the oven is cool If racks
must be moved while oven is hot do not
let pot holder contact the hot oven
element
• AFTER BROILING always take the
broiler pan and grid out of the oven
and clean them Leftover grease in the
broiler pan could catch fire the next time
you use your oven
° ALWAYS USE care when opening the
oven door Let hot air and steam escape
before moving foods
=NEVER USE aluminum foi! to line the
oven bottom Improper use of foil could
start a fire or electrical shock could
result.
-NEVER BLOCK the oven vent opening.
•CLEAN ONLY the parts listed in this
manual. Follow atl cleaning instructions
Be sure to remove the broiler pan and
grid before self-cleaning
° NEVER RUB, move, clean or damage
the door gasket on self-cleaning ovens.
It is essential for a good seal.
° NEVER TRY to clean utensils,
cookware, removable parts, or broiler
pan and grid in the self-clean cycle
• DO NOT USE oven cleaners - No
commercial oven cleaner or protective
coating of any kind should be used in or
around any part of the oven
•IF THE SELF-CLEANING mode
malfunctions, turn the oven off and
disconnect the power supply. Have it
serviced by a qualified technician.
IMPORTANT SAFETY NOTICE!
The California Safe Drinking Water and
Toxic Enforcement Act requires the
governor of California to publish a list
of substances known to the state to
cause birth defects or other
reproductive harm and requires
businesses to warn their customers of
potential exposure to such substances.
The fiberglass insulation in aself-
cleaning oven will give off avery small
amount of carbon monoxide during the
cleaning cycle. Exposure can be
minimized by venting with an open
door or window or using aventilation
fan or hood.
IMPORTANT= The health of some
birds is extremely sensitive to the
fumes given off during the self-cleaning
cycle of any oven. Move birds to
another well-ventilated room.
READ AND UNDERSTAND
THIS INFORMATION NOW!
Be sure everyone in your home knows
what to do in case of fire. Never use
water on a grease fire; it will only
spread the flames.
OVEN FIRE:
Do not try to move the pant
1. Close the oven door and turn
controls off.
2. If fire continues, carefully open the
door, throw baking soda on the fire,
or use a dry chemical, foam, or
halon-type extinguisher.
4

IMPORTANTSAFETY
INSTRUCTIONS
• THIS APPLIANCE must be grounded.
Connect only to properly grounded
junction box, See the Grounding
Instructions in the Installation
Instructions.
• USE this appliance only for its intended
use as described in this manual. Do not
use corrosive chemicals or vapors in
this appliance. This microwave oven is
specifically designed to heat or cook
food, and is not intended for laboratory
or industrial use.
• INSTALL or locate this appliance
only in accordance with the provided
Installation Instructions.
° DO NOT cover or block any openings
on the appliance.
°THIS MICROWAVE oven is not
approved or tested for marine use.
• DO NOT operate this appliance if it is
not working properly or if it has been
damaged or dropped.
• AS WITH ANY APPLIANCE, close
supervision is necessary when used
by children.
• DO NOT heat food in closed containers,
such as glass jars, which may explode.
°DO NOT pop popcorn in your
microwave unless you use popcorn
labeled for use in microwave ovens.
° DO NOT overcook potatoes, They could
dehydrate and catch fire, causing
damage to your oven,
° DO NOT operate the microwave oven if
it is empty.
° DO NOT use your microwave oven as a
storage space.
° DO NOT overcook food. Carefully
attend appliance if paper, plastic, or
other combustible materials are placed
inside the oven to facilitate cooking.
° REMOVE wire twist-ties from paper or
plastic bags before placing in the oven.
•DO NOT use your microwave oven to
dry newspapers,
° DO NOT use recycled paper products.
Recycled paper towels, napkins, and
waxed paper can contain metal flecks
which may cause arcing or ignite. Paper
products containing nylon or nylon
filaments should be avoided
° IF MATERIAL INSIDE the oven should
ignite, close the door, turn the oven off,
and disconnect the power to the
appliance_
° OVERSIZED food or oversized
metal cookware should not be used
in a microwave oven. Electrical shock
or fire could occur°
° DO NOT clean with metal scouring
pads. Pieces can break off the pad,
causing electrical shock.
5

IMPORTANT SAFETY
INSTRUCTIONS
* DO NOT defrost frozen beverages that
have narrow-necked bottles. Pressure
could build up, causing the bottle to
burst.
, USE POT HOLDERS when removing
cookware from the oven. Cookware
could become hot during cooking due
to the transferred heat from the food.
, BE CAREFUL touching the walls or the
oven bottom during or after cooking.
The walls and floor could become hot.
DO NOT boil eggs in a microwave oven.
Pressure will build up inside the egg
yolk and wilt cause the egg to burst.
USE PLASTIC containers that are
approved by the manufacturer for
microwave use. Do not allow children
to use plastic containers unless
supervised. Do not subject empty
containers to microwaving.
FOODS WITH UNBROKEN OUTER
SKIN, such as potatoes, sausages,
tomatoes, apples, chicken liver, egg
yolks, and other giblets, should be
pierced to allow steam to escape during
cooking
MAKE SURE PLASTIC WRAPS used
during microwave cooking are approved
for microwave use.
SPONTANEOUS BOILING: Under
certain circumstances, liquids may start
to boil during or shortly after removal
from the oven° Stirring the liquid briefly
before removing the container will help
prevent burns or splashing of liquids.
DO NOT heat baby food in glass jars in
the microwave.
BOILABLE COOKING POUCHES and
tightly closed plastic bags should be
slit, pierced, or vented as directed by
package. If they are not vented in some
way, pressure will cause them to burst.
° DO NOT attempt to operate this oven
with the door open since open-door
operation can result in harmful exposure
to microwave energy, it is important
not to defeat or tamper with the safety
interlocks.
•DO NOT place any object between the
oven front face and the door or allow soil
or cleaner residue to accumulate on
sealing surfaces.
• THE OVEN should not be adjusted or
repaired by anyone except properly
qualified service personnel.
• DO NOT operate the oven if it is
damaged. It is particularly important that
the oven door close properly and that
there is no damage to the:
I. door (bent)
2. hinges and latches (broken or
loosened)
3. door seals and sealing surfaces.
To remove the adhesive residue left
from packaging tape, use household
dishwashing liquid, mineral oil, or cooking
oil. With a soft cloth, rub into the area and
allow to soak. Rinse and dry wello Repeat
procedure using an appliance polish to
insure no damage is done. This should
be done before the oven is turned on
for the first time. The tape cannot be
removed once the oven has heated.
Packaging tape may be found in the
following areas: Door Handle, Control
Panel Area, Door Trim, and Oven Area.
6

OPERATION
FEATURESOF YOUROVEN
Upper Oven Vent & Grill
Model & Serial
Number
Microwave
Lower Oven
Auto Self-Clean
Door Latch
Broil Element
Open Door Push
jtton
Lower Oven Vent &
Grill
Automatic Oven
Light Switch
Self-Clean Oven Oven Rack
Bake Element Removable Oven
Rack
Oven Door
Gasket
Broiler Pan & Grid
7

OPERATION
UPPER MICROWAVE OVEN
( )
SENSOR COOKING CONVENIENCE COOKING
GUIDE BEHIND DOOR
When power is restored, all digits
in the display will light up, then the
display will read RESET_
with a certain percent of the power.
Such as:
1= 10% of power power
6= 6O%of
2= 20% of power 7= 70% of power
3= 30% of power 8= 80% of power
4= 40% of power 9= 90% of power
O= 100% of power
5= 50% of power
With your new Microwave Oven, you
can microwave by time, by using the
Sensor features, or by using the Auto
features.
EXPRESS COOK
ADD 30 SEC
TIME COOK
TIME DEFROST
Time Features allow you to set the exact
amount of time needed to prepare foods,
up to 99 minutes and 59 seconds.
Below is a list of buttons that control
Sensor features.
POPCORN SNACKS
BEV. POTATO
REHEAT COOK
AUTO DEFROST
When using sensor cooking, the oven
wit! automatically adjust the cooking
time for you by detecting the humidity
released during cooking. The cooking
time will vary according to the types
and amounts of foods.
This feature adds flexibility to
microwave cooking. Each level of
power gives you microwave energy
Most of your cooking will be done
using 100% of power. Foods will cook
faster but will need to be stirred,
rotated, or turned over more
frequently.
Using a lower level of power will cook
foods more evenly and need less
stirring or rotating. Some foods may
have a better flavor, texture, or
appearance if one of the lower power
levels is used. A lower power is much
better for foods that have tendencies
to boil over.
POWER
LEVEL
10
7
5
2or3
1
FOODS
Fish, bacon, vegetables, boiling liquids
Meat, poultry, casseroles, or reheating
Stews, less tender cuts of meat
Defrosting, simmering
Keeping foods warm, softening butter
The power level may be entered or
changed immediately after entering the
feature time, such as TIME COOK,
TIME DEFROST, or EXPRESS COOK.
The power level may also be changed
during a time countdown
8

OPERATION
1. Press the TIME COOK pad or the
TIME DEFROST pad.
2, Press the NUMBER pads to set a
cooking or defrosting time,
3. Press the POWER LEVEL pad
4. Press a NUMBER pad to set the power
level you need
5. Press the START pad
TIME COOK 1is automatically set for power
level 10, but you can change this level to
one you prefer, You may set a cooking time
up to 99 minutes and 59 seconds.
1. Press the TIME COOK pad,
2. Press the NUMBER pads to enter your
preferred cooking time
3. If you wish to change the power level,
press the POWER LEVEL pad and
then press a NUMBER pad to select
your preferred power level
4. Press the START pad
tf you open the oven door during cooking
to check foods, when the door is closed
press the START pad to continue cooking
VEGETABLE
Beans
(fresh)
(frozen)
Broccoli' "
(fresh)
frozenchopped)
Carrots
fresh, sliced)
(frozen)
Corn on the
cob
(fresh)
(frozen)
Mixed vego
',frozen)
Peas
fresh, shelled)
',frozen)
Potatoes
',fresh,
cubed, white)
fresh, whole,
sweet or white)
WEIGHT
lib,
I0 oz package
1 bunch
(1¼ to 1½ Ibs,)
10 oz package
10 oz package
10 oz package
1 to 5 ears
1 ear
2 to 6 ears
10 oz. package
2 lbs unshelled
10 oz package
4 potatoes
(6 to 8 oz, each)
1 (6 to 8 oz.)
TIME COOK GUIDE
(Use power level 10 unless noted)
COOKINGTIME COMMENTS
10 to 15 min In l_A-qt casserole, place ½ cup water
4 to 8 min In 1-qt casserole, place 2 tablespoons water
5 to 9 min. In 2-qt casserole, place ½ cup water
4 to 7 min, I In l-qt casserole ..
4 to 8 min. In 11/_-qt casserole, place _Acup water.
3 to 7 min_ tn 1-qt casserole, place 2 tablespoons water
11/2min per ear In 2-qt oblong glass baking dish, place corn. If corn
is in no water: husk corn and add _,4cup water
Rearrange after half the time
3 to 6 min Place in 2-qt oblong glass baking dish Cover with
2 [o 3 min.perear vented plastic wrap Rearrange after half the time
2 to 6 min In 1-qt casserole, place 3 tablespoons water
7 to 10 min In 1-qt casserole, place 1Acup water.
2 to 6 min In l-qt casserole, place 2 tablespoons water.
9 to 12 min Peel and cut into 1-inch cubes, Place in 2-qt
casserole with 1/2cup water Stir after half the time
t to 4 min. Pierce with cooking fork Place in center of the oven
Let stand 5 minutes,
9

OPERATION
Timed Cooking
TIME COOK II allows you to change
power levels automatically during cooking
1. Press the TIME COOK pad,
2. Press the NUMBER pads to enter
your first cooking time
3. If you wish to change the power level,
press the POWER LEVEL pad and
then press the NUMBER pad to select
your preferred power level.
4, Press the TIME COOK pad again.
5. Press the NUMBER pads again to enter
your second preferred cooking time_
6. If you wish to change the power level,
press the POWER LEVEL pad and
then press the NUMBER pad to select
your preferred power level
7. Press the START pad
At the end of the first cooking time
countdown, the second cooking time wilt
start its countdown,
Allows you to defrost for a selected length
of time The Power Level is automatically
set for level 3, but can be changed. When
using higher power levels, foods wilt need
to be checked more frequently
TO SET TIME DEFROST:
1. Press the TIME DEFROST pad.
2, Press the NUMBER pads to enter the
defrosting time.
3, Press the START pad.
You can use this feature two ways:
• It will add 30 seconds to the time
counting down each time the pad is
pressed°
• It can be used as a quick way to set 30
seconds of cooking time.
This is a quick way to set cooking time
from 1 to 6 minutes.
Press one of the Express Cook pads
(from I to 6) for 1 to 6 minutes of cooking
at power level 10.
The power can be changed while the time
is counting down. Press the POWER LEVEL
pad and enter a number from 1 to 10,
Auto Defrost automatically sets the
defrosting times and power levels to give even
defrosting results for meats, poultry, and fish.
Use Time Defrost for most other frozen food&
TO SET AUTO DEFROST:
1. Press the AUTO DEFROST pad.
2. Using the Conversion Guide, enter the
food weight.
3. Press the START pad.
There is a handy guide located on the
inside front of the microwave oven.
• Remove meat from package and place
on a microwave-safe dish
• Twice during defrost, the oven signals
"TURn." At each "TURn" signal, turn
the food over, Remove defrosted meat or
shield warm areas with small pieces of foil
°After defrosting, most meats need to
stand 5 minutes to complete defrosting.
Large roasts should stand for about
30 minutes,
CONVERSION GUIDE
If the weight of food is stated in pounds and
ounces, the ounces must be converted to
tenths (. 1) of a pound.
CONVERSION CHART
for Auto Defrost
FOOD WEIGHT FOOD WEIGHT
IN OUNCES IN TENTHS
1-2
3
4-5
6-7
8
9-10
11
12-13
14-15
1
,2
,3
,4
.5
,6
,7
.8
.9
10

OPERATION
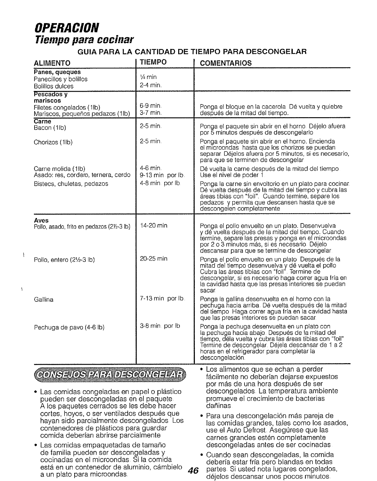
Timed Cooking TIMED DEFROSTING GUIDE
FOOD
Breads, Cakes
Buns and rolls
Sweet rolls
Fish and Seafood
Fillets, frozen (1 lb.)
Shellfish, small pieces (1 lb.)
Meat
Bacon (1 lb.)
Franks (1 lb.)
Ground meat (1 Ibm)
Roast:beef,lamb,veal, pork
Steaks, chops, and cutlets
Poultry
Chicken broiler, fryer
cut up (21/2 to 3 bs.)
Chicken, whole
(21/2 to 3 Ibs)
Cornish Hen
Turkey breast
(4 to 6 Ibs.)
TIME
tA min,
2 to 4 min
6 to 9 min.
3 to 7 min.
2 to 5 min.
2 to 5 min.
4 to 6 min.
9 to 13rain per lb,
4 to 8 min
3er Ib.
14 to 20 min.
20 to 25 mino
7 to t3 min.
per lb,
3 to 8 min.
per lb.
COMMENTS
Place block in casserole.. Turn over and break
up after half the time.
Place unopened package in oven. Let stand
5 minutes after defrosting.
Place unopened package in oven Microwave
just until franks can be separated. Let stand 5
minutes, if necessary, to complete defrosting.
Turn meat over after half the time Use power level 1
Place unwrapped meat in cooking dish Turn over
after half the time and shield warm areas with foi!..
When finished, separate pieces and let stand to
complete defrosting.
Place wrapped chicken in dish.. Unwrap and turn
over after half the time When finished, separate
pieces and microwave 2 to 4 minutes more, if
necessary. Let stand to finish defrosting.
Place wrapped chicken in dish. After half the time,
unwrap and turn chicken over. Shield warm areas
with foil.. Finish defrosting, If necessary, run cold
water in the cavity until giblets can be removed
Place unwrapped hen in the oven breast side up.
Turn over after half the time. Run cool water in the
cavity until giblets can be removed.
Place unwrapped breast in dish breast side down,
After half the time, turn over and shield warm
areas with foil. Finish defrosting.. Let stand 1 to 2
hours in refrigerator to complete defrosting.
•Foods frozen in paper or plastic can be
defrosted in the package. Closed
packages should be slit, pierced, or
vented after food has partially defrosted.
Plastic storage containers should be
partia!ly uncovered.
• Family-size, prepackaged frozen dinners
can be defrosted and microwaved. If the
food is in a foil container, transfer it to a
microwave-safe dish,
•Foods that spoil easily should not be
allowed to sit out for more than one hour
after defrosting. Room temperature
promotes the growth of harmful bacteria.
• For more even defrosting of larger foods,
such as roasts, use Auto Defrost Be sure
large meats are completely defrosted
before cooking.
• When defrosted, food should be cool and
softened in all areas. If you still notice icy
spots, just let stand a few minutes.
11

OPERATION
Sensor Cooking
The Sensor Feature detects the increasing
humidity released during cooking, The
oven automatically adjusts the cooking
time to various types and amounts of food.
• The proper containers and covers are
essential for best sensor cooking.
• Always use microwave-safe containers
and cover them with lids or vented
plastic wrap Never use tight-sealing
plastic containers, which can prevent
steam from escaping and cause food to
overcook,
• Be sure the outside of the cooking
containers and the inside of the
microwave oven are dry before placing
food in the oven Beads of moisture
turning into steam can mislead the
sensor
Use only with prepackaged microwave
popcorn weighing 1.75 to 3°5 ounces,
TO USE THE POPCORN FEATURE:
FoItow package instructions using
TIME COOK if the package is less than
1.75 ounces or larger than 35 ounces.
1, Place the package of popcorn in the
center of the microwave
2, Press the POPCORN pad
If you open the door while "POP" is in
display, "ERROR" wilt appear°
3. Close the door and press the
START pad,
HOW TO ADJUST THE POPCORN
PROGRAM TO PROVIDE A SHORTER OR
LONGER COOK TIME:
If you find that the brand of popcorn you
use underpops or overcooks consistently,
you can add or subtract 20 to 30 seconds
to/from the automatic popping time.
TO ADD TIME:
After pressing the POPCORN pad, press
9 immediately after the oven starts for an
extra 20 seconds_ Press 9 again to add
another 10 seconds (total 30 seconds
additional time).
TO SUBTRACT TIME:
After pressing the POPCORN pad, press
1 immediately after the oven starts for
20 seconds less cooking time. Press 1
again to reduce cooking time another
10 seconds (total 30 seconds less time),
The Reheat Feature reheats single
servings of previously cooked foods or a
plate of leftovers_
1. Place covered food in the oven
2. Press the REHEAT pad. The oven will
start immediately.
3. The oven signals when steam is
sensed and the time remaining begins
counting down.
Do not open the oven door until time is
finished counting down. If the door is
opened, close it and press the START
pad immediately.
After removing food from the oven, stir,
if possible, to even out the temperature
ff the food is not hot enough, use the
TIME COOK pad to reheat for more time,
Reheated foods may have wide
variation in temperature. Some areas
may be extremely hot.
FOODS NOT RECOMMENDED FOR
REHEATING:
° Bread Products
• Foods that must be reheated uncovered
• Foods that need to be stirred
• Foods that call for a dry look or crisp
surface after reheating
12
The Potato Feature cooks 1/_to 2 Ibs of
potatoes
1. Pierce skin with fork and place potatoes on
the turntable. If cooking three or more
potatoes, arrange in a star pattern,
2. Press the POTATO pad The oven starts
immediately The oven signals when steam
is sensed and the time remaining begins
counting down.

OPERATION
Sensor Cooking (cont.)/
Convenience Features
Do not open the oven door until time is finished
counting down If the door is opened, close it
and press the START pad immediately If food
is not done enough, use the TIME COOK pad
to cook for more time
1. Press the COOK pad
2. Select food type 1 to 9. (See Cook
Guide at righL)
3. Enter weight of food in ounces.
4. Press the START pad
Press and hold the COOK pad
during cooking to display the remaining
cook time.
Cook Guide
To use the Beverage Feature:
Press the BEV. pad once for
a 4 oz. beverage, twice for an 8 oz.
beverage, or three times for a 12 oz.
beverage.
Drinks heated with the Beverage
Feature may be very hot. Remove the
container with care.
The Snacks Feature automatically sets the
microwaving times and power levels to
warm a variety of snack foods.
1. Press the SNACKS pad_
2. Select snack type I to 6. (See chart
below.)
3. Enter the number of items or the food
weight in ounces.
4. Press the START pad.
You can press and hold the SNACKS pad
during cooking to display the remaining
microwaving time
Snacks Guide
FOOD TYPE QUANTITYORWEIGHT
1 Bread, rolls, muffins 1 to 4
ii
2 Sandwiches 1 to 2
3 Pizza (leftovers) 1 to 4
4,Dessert toppings 1 to 4
5Sou............. 8to 4ooz.
6 Cheese dip 4 to 16 oz.
The Cook Feature automatically sets
the cooking times and power levels for a
variety of foods.
FOODTYPE
1 Canned
Vegetables
(VEG 1)
2 Frozen
Vegetables
(VEG 2)
3 Fresh
Vegetables
(VEG 3)
4 Potatoes
5 Fish
6 Chicken
Pieces
7 Ground
Meat
(beef, pork,
turkey)
8 Bacon
9 Pizza
(frozen,
Microwaveable)
WEIGHT
to 20 oz
4 to 16 oz
4 to 16 oz.
8 to 40 oz.
4to 16oz
4 to 40 oz.
8 to 48 oz
2 to 10 oz.
4 to 16 oz
COMMENTS
Use microwave-safe
casserole or bowl
Cover with lid or vented
_lastic wrap.
Use microwave-safe
casserole or bowl
Follow package
instructions for adding
water. Cover with lid or
vented plastic wrap.
Use microwave-safe
casserole or bowl Add
2 tablespoons water for
each serving Cover
with lid or vented
_lastic wrap
Pierce skin with fork
Place potatoes on the
turntable.
Use oblong, square, or
round dish. Cover with
vented plastic wrap or
wax paper,
Use oblong, square,
or round dish Cover
with lid or vented
_lastic wrap.
Use round casserole
dish Crumble meat into
dish Cover with lid or
vented plastic wrap.
Layer strips on a plate, 4 to
a layer Cover each layer
with a paper towel,
Follow package
instructions to prepare
_izza for microwaving
NOTE: You cannot enter a weight that
is more or less than the weight listed
in the Cook Guide above
13

OPERATION
Other Feateres
Press the CLOCK pad to enter the time of
day or to check the time of day while
microwaving,
TO SET THE CLOCK:
1. Press the CLOCK pad°
2. Enter the time of day.
3. Press the START or CLOCK pad,
To turn the clock display on or off, press
and hold the 0 pad for about 3 seconds°
The DISPLAY ON/OFF feature cannot be
used while the cooking features are being
used,
Delay Start allows you to set the
microwave to delay the start time of
cooking
1. Press the DELAY START pad,
2. Press the NUMBER pads to select the
time of day you want the oven to turn
on and start cooking, Make sure the
clock is showing the correct time of
day
3. Select TIME DEFROST,
AUTO DEFROST, or TIME COOK,
Enter the amount of defrost or cook
time, or weight of food for Auto Defrost.
4. Press the START pad,
The Delay Start time wil! be showing in the
display plus "Start Time", The oven will
automatically start at the delayed start
time seL The time of day may be
displayed by pressing the CLOCK pad.
The reminder feature can be used like an
alarm clock.
1. Press the REMINDER pad°
2. Enter the time of day you want the
oven to remind you. (Be sure the
microwave clock shows the correct
time of day.)
3. Press the START pad,
When the Reminder Signal occurs, press
the CLEAR/OFF pad to turn it off. The
Reminder time may be displayed by
pressing the REMINDER pad.
NOTE: The REM indicator will remain lit to
show that the Reminder Feature is set. To
clear the Reminder before it occurs, press
the CLEAR/OFF pad The REM indicator
light will go off.
To turn the control sound on or off,
press and hold the NUMBER 8 SOUND
ON/OFF pad for 3to 4 seconds° The
display will flash "OFF" and the display
wilt return to the time of day, "MUTE" wilt
remain in the display To turn the sound
back on, press and hofd the NUMBER 8
SOUND ON/OFF pad for 3 to 4 seconds.
"ON" wilt flash in the display, mute will
disappear, and the display will return to
the time of day.
14

OPERATION
Lower Oven Control
LOWER OVEN
( ,)
OVEN TIMER
IcoOKINGI
*MICROWAVE FAN MAY OPERATE WHILE LOWER OVEN IS
IN USE
Display - Displays time of day, time,
or temperature during cooking,
cooking mode, and tells you what to
do next..
BAKE - Press to set oven to bake.
BROIL - Lets you broil at ful! power
by touching BROIL and START pads
Lets you select Lo Broil for longer,
slower broiling,
CLEAN - Press to select Serf-Cleaning
function. Follow all instructions in
section on Self-clean cycle.
NOTE: The oven door will automatically
latch and will only unlatch once the
oven has cooled down,
OVEN LIGHT - Press to turn oven
light on and off.
OVEN COOKING TIME -Use to enter
amount of time required for automatic
baking.
DELAY START TIME - Use when
baking or cleaning to enter the time
of clay you want oven to turn on.
When DELAY START TIME is used
with OVEN COOKING TIME, the oven
will also turn off automatically at the
end of the cooking time
CLOCK - Press to enter time of day
or check time of day when display is
showing other information.
HR/MIN KITCHEN TIMER ON/OFF-
Lets you time any kitchen function.
START - Press to start any cooking or
cleaning function.
CLEAR/OFF - Cancels all operations
except the Clock and Timer.
Number Pads - Press these pads to
set any function requiring numbers:
time of day, kitchen timer, oven
temperature, starting times, and
length of baking or clean times.
15

OPERATION
Lower Oven Control
CONTROL DISPLAY
Flashing /
Indicator to
alert you to set
temperature
or time
Oven Temperature Indicator to let you know
Indicator oven has turned on
,-,
EP_D_ P_zD_ P_m_._-_ Em_m_ _0_ _ i
DELAYBAKE CLEAN START CLOCK CLEAN l
BROILLOCKEDDOOR COOK STOP TIMERJ
....
Oven
Function Function
Indicator Indicator
Clock for
Kitchen Timer,
Time of Day,
Delay Start
Time, Oven
Cooking, and
Cleaning Time
The display is an easy reference to
use while learning your control, Below
are descriptions of how the display
works:
Oven Temperature Indicator- This
indicator has a multiple purpose.
- Displays the temperature
oDisplays error code "ERR" -If the
oven temperature indicator flashes
"ERR," then you have set an invalid
time or temperature. Press the
CLEAR/OFF pad to clear the
control and reset your oven function.
° Displays Control Problems- If
your control flashes "F" and a
number or letter, you have
experienced an oven problem
Please read the section on
F-CODES in this manual.
On Indicator - Lights when the oven
function is set.
Set Indicator - The set indicator will
flash in combination with an oven
function or timed function to let you
know you need to set a time or
temperature. Example: "SET" and
"BAKE" will flash to let you know you
need to set the bake temperature.
Time Indicator - Displays the time of
day, cooking time, delayed start time,
cleaning time, or the time set on the
kitchen timer.
Displays reminder code "PUSH
START" - If the oven time indicator
flashes the words "PUSH START,"
then you need to press the START
pad to activate your setting.
16

OPERATION
Lower Oven Clock and Timer
The clock must be set for the correct time
of day before a delayed oven function can
work properly. The time of day cannot be
changed during a delayed oven function,
but can be changed during a bake or
broil function.
HOW TO SET THE CLOCK
1. Press the CLOCK pad°
2. Press the NUMBER pads to set the
time°
3. Press the START pad
RECALL THE CLOCK
While using your oven for timed cooking,
press the CLOCK pad if you wish to
check the time of day, The current time
of day will show in the display.
POWER FAILURE
If you have had a power failure, the time
flashing in the display may be incorrect.
Reset the CIock.
Any oven function that was in process will
need to be reset,
The Kitchen Timer is used to time cooking
processes or other household activities. It
does not control the oven It can be set for
up to 9 hours and 59 minutes It wil! count
down in minutes until the last 60 seconds
is reached, then the control will beep
once When the countdown reaches zero,
the control wilt beep 3 times followed by
one beep every 6 seconds until the
HR/MIN KITCHEN TIMER ON/OFF pad is
pressed, This 6-second tone can be
canceled See tones on the following
page
HOW TO SET THE TIMER
1. Press the HR/MIN KITCHEN TIMER
ON/OFF pad
2. Press NUMBER pads to set time,
3. Press the START pad,
4o When the countdown has reached
zero, press the HR/MIN KITCHEN
TIMER ON/OFF pad
To cancel the timer during the countdown.
press the HR/MIN KITCHEN TIMER
ON/OFF pad twice_
17

OPERATION
C/ock and Timer
Your new control has a series of tones that
will sound at different times, These tones
may sound while you set the control for an
oven function, or at the end of the oven
function. It will also alert you that there
may be a problem with the functions
Below are the types of tones and a brief
description of each,
TONES WHILE SETTING THE
CONTROL - When you press a touch pad
you will hear a beep. This beep will let you
know you have placed enough pressure
on the pad to activate it,
END OF TIMED CYCLE TONE - At the
end of a timed cooking function, you will
hear 3 short beeps followed by 1 beep
every 6 seconds. This 6-second beep will
continue to sound until the CLEAR/OFF
pad is pressed, or you may select the
special feature to cancel this 6-second
beep from sounding at the end of future
cycles.
TO CANCEL THE 6-SECOND BEEP:
1. Press and hold the BAKE and BROIL
pads, at the same time, for 3 seconds,
until the display shows "SF."
2. Press the HR/MIN KITCHEN TIMER
ON/OFF pad. The display wilt show
"CON BEEP" (continuous beep).
3. Press the HR/MIN KITCHEN TIMER
ON/OFF pad again. The display will
show "BEEP" (beep canceled),
4, Press the START pad,
If you would like to return the 6-second
beep, repeat steps above until the display
shows your choice and press the
START pad.
ATTENTION TONE - This tone will sound
if you make an error or an oversight is
made while setting an oven function.
Examples would be:
a. Setting a clean cycle and the oven
door is not properly closed
b. Setting function and not pressing the
START pad.
c. Pressing an additional function pad
without first setting a temperature or
timer
d= "ERR" will flash if you set an invalid
temperature. Press the CLEAR/OFF
pad to clear the control and reset your
oven function,
Any of these can be quickly identified by
watching the displayr
PREHEAT TONE - When you start a bake
operation, the oven automatically starts to
heat. When the temperature inside the
oven reaches the temperature you have
set, a tone will sound to let you know the
oven is ready for baking.
If you set an oven function and the control
beeps while the display is flashing "F"
and a number "F-4" or letter "FI," there
may be a problem with the control. Simply
press the CLEAR/OFF pad and wait
about an hour. Try setting the function
again. If the code repeats, write down
the code and call for service. Tell the
technician what code was flashing.
18

OPERATION
OvenCookingTips
It is normal to have some odor when
using your oven for the first time. To help
eliminate this odor, ventilate the room by
opening a window or using a vent hood.
IMPORTANT: Never cover the oven bottom
or oven rack with aluminum foil. Improper
use can cause poor heat flow, poor baking
results, and may damage the oven finish To
prevent staining from spillovers, you may
place a piece of aluminum foil or a cookie
sheet below foods which may spill over_
In the back of the oven you will notice
a small tube. This is a heat sensor that
maintains the temperature of the oven.
Never move or bend this tube.
_%_ _ " Oven
II!_, "-- Temperature Sensor
Preheating is bringing the oven
temperature up to the temperature you
will be using during baking. Let the oven
preheat thoroughly when recipes call
for preheating,
The oven vent is located under the control
panel, This area could become hot during
oven use. It is normal for steam to come
out of the vent and/or collect moisture
underneath when the oven is in use° The
vent is important for proper air circulation.
Never block this vent.
Oven Vent
Location I]1II
The low temperature zone of your oven
(between i 70°F and 200°F) is available to
keep hot cooked foods warm. However,
foods should not be kept at these
temperatures longer than 2 hours.
i ==
I OVEN I TO proIong the life of Y Our
LIGHT oven light bulbs, follow this
helpful tip: Always turn the lights
off when the oven is not in use or during a
clean cycle, tf your oven lights are left on
for an extended period of time, the oven
will be warm when the door is opened
due to the heat generated from the oven
light bulbs.
19

OPERATION
OvenCookingTips
Most recipes for baking have been
developed using high-fat products such
as butter or margarine (80% fat by
weight--the federal requirement for
products labeled "margarine"). You
wilt get poor results if cakes, pies,
pastries, cookies, or candies are
made with low-fat spreads. Low-fat
spreads contain less fat and more
water. The high moisture content of
these spreads affects the texture and
flavor of favorite baked recipes. The
lower the fat content of a spread
product, the more noticeable these
differences become To ensure best
results, use margarine, butter, or stick
spreads containing at least 70%
vegetable oil_
The Oven Temperature Sensor at the
back of the oven continuously senses
and controls the temperature inside the
oven. To keep a constant set temperature,
the elements will cycle (turn on and off
during cooking).
Baking results will be better if baking
pans are centered in the oven as
much as possible, tf baking with more
than one pan, place the pans so each
has at least 1 to 11A" of air space
around it. Stagger pans on the rack
so one is not directly above the other.
----*¢'_ I _ \ \ \ \\\\\]'-.'_
FLAT COOKIE SHEETS, without sides,
allow air to circulate all around the cookies
for even browning°
Yt "L_-__
_ , . f )t,X £
i/q-J U _".,':!
SHINY PANS reflect heat, and are perfect
for cakes and quick breads that need a light
golden brown crust.
GLASS, DARK NON-STICK, OR
DARKENED-BY-AGE BAKEWARE
absorbs heat, and can be used for yeast
breads, pie crust, or foods that need a
brown crusL The oven temperature, when
using these pans, should be reduced
by 25°F,
20

OPERATION
Oven Cooking Tips
The oven racks are designed with
stops, a convenience as well as a
safety precaution. The guides have a
bump to prevent the racks from tilting
when racks are pulled out of the oven.
This design allows the racks to be
inserted in only one way_
Bump in
Rack Guide
When using your convenient Delay Start
operation, foods such as dairy products,
fish, poultry, etc,, should never sit more
than 1 hour before cooking. Room
temperatures and the heat from the oven
light promote bacterial growth,
Your oven has four (4) rack positions. The
top position is only a guide. It cannot be
used as a rack position°
4--
3--
2--
1--
Guide
1 _/
Always place oven racks in the proper
position while oven is cool.
You may feel that your new oven
cooks differently than the oven it
replaced We recommend that you
use your new oven a few weeks to
become more familiar with it, following
the times given in your recipes as a
guide. If you feel your oven is too
hot or too cool for your cooking
preference, see "Do-It-Yourself"
Temperature Adjustment in the
back of this manual to make the
adjustment_
21
Opening the door often to check foods will
cause heat loss and poor baking results.

OPERATION
Baking
ISTART
1. Press the BAKE pad_
2. Press the NUMBER
pads to set the oven
temperature you prefer
to use
3. Press the START pad
To set the oven to turn on at a later time
of day, cook for a specific amount of
time, and turn off automatically:
[BAKE) 1" PresstheBAKEp ad,
.Press the NUMBER
pads to set the oven
temperature you prefer
to use.
To set the oven to cook for a specific
time and turn off automatically,
IBAKEI 1. PresstheBAKEp ad,
.Press the NUMBER
pads to set the oven
temperature you prefer
to use,
" OVEN "_ 3. Press the OVEN
COOKINGi COOKING TIME pad,
T!ME J
4. Press the NUMBER
pads to set the amount
of time you prefer your
foods to cook,
Press the START pad
CVEN 1 3.
OOKINGI
TIME J
DELAY} 5.
START
TIME
Press the OVEN
COOKING TIME pad.
Press the NUMBER
pads to set the amount of
time you prefer your foods
to cook
Press the DELAY START
TIME pad
Press the NUMBER pads
to set the time of day you
prefer the oven to turn on
7. Press the START pad°
These oven operations may
be used when roasting. The oven
will cut off at the end of the cooking
time unless the COOK AND HOLD
feature has been activated. (See the
Setting Special Features section for
more information on the COOK
AND HOLD feature.)
22

OPERATION
Broiling
Broiling is cooking by direct heat
from the upper element. The oven
door should remain opened to the
broil stop position during broiling
It is not necessary to preheat the oven
when broiling Use the broiler pan and
grid that came with your oven Both
are designed for proper drainage of
fat and liquids.
r_ If foil is used, it must be
molded tightly to the grid
and slits cut into the foil to
This match those of the grid.
allows fats and liquids to drain
into the broiler pan, preventing fire
and excessive smoke.
Always remove the pan and
grid from the oven. Storing
or forgetting a soiled _._
•.
broiler pan m the oven
is a potential smoke or _
fire hazard.
The US Department of Agriculture
recommends to cook meat and
poultry thoroughly--meat to at least
an INTERNAL temperature of 160°F
and poultry to at least an INTERNAL
temperature of 180°Fo Cooking to
these temperatures usually protects
against food-borne illness
The closer you place foods to the
broil element, the faster foods brown
on the outside yet remain red to pink
in the center.
Moving meats away from the element
will allow the meat to cook to the
center while browning on the outside.
Cook side 1 at least 2 minutes longer
than side 2 If your oven is connected
to 208 volts, you may want to use a
higher rack position and/or broil
foods longer
The size, weight, thickness, starting
temperature, and your preference of
the doneness of the meat will affect
broiling This chart is based on meats
at refrigerator temperature
FOOD
Steak 1" thick
Ground beef
patties -
1" thick
Pork Chops -
1/_,,thick
Fish (fillets)
Chicken (pieces)
RACK
POSITION
3
3
3
3
2
TOTAL
TIME (MIN.)
9-11
16-18
27-29
11-13
45-55
lao Press the BROIL pad. (This will
automatically set HI Broil.)
lb. While the set indicator is flashing
in the display, press the BROIL
pad again if you prefer to use Lo
Broil Use Lo Broil to cook foods
such as poultry or thick cuts
of meat thoroughly without
over-browning them
2. Press the START pad
3. When broiling is finished, press
the CLEAR/OFF pad,,
23

OPERATION
Setting Special Features
Your new touch pad control has additional
features that you may choose to user After
making a selection, if you want to change
that setting, follow the steps until the
display shows your choice.
The control is automatically set to turn off
the oven after t2 hours baking or 3 hours
broiling should you forget and leave the
oven on. if you want to remove this
feature:
1, Press and hold, at the same time, the
BAKE and BROIL pads for 3 seconds,
until the display shows "SF"
2. Press the DELAY START TIME pad
The display shows "12Shdn"
(12 hour shutoff). Press the DELAY
START TIME pad again_ The display
will show "no Shdn" (no shutoff)
3. Press the START pad
The control is set to use the 12 hour clock.
If you prefer to use the 24-hour Military
Time clock or black out the display:
1. Press and hold, at the same time, the
BAKE and BROIL pads for 3 seconds,
until the display shows "SF"
2. (a) Press the CLOCK pad. The display
shows "12hro" if this is your choice,
press the START pad,
(b) Press the CLOCK pad again. The
display will show "24hr." Example:
5:00 on the 12- hour clock wilt show
17:00 hours on the military clock. If this
is your choice, press the START pad,
(c) Press the CLOCK pad again The
display will show "Off." If this is your
choice, press the START pad. The
display will not show time. (The Delay
Start Time feature will not operate )
The oven control is set for the Fahrenheit
temperature selections. Most recipes are
given using the Fahrenheit scale. You can
change this to use the Celsius selection°
1. Press and hold, at the same time, the
BAKE and BROIL pads for 3 seconds,
until the display shows "SFo"
2. (a) Press the BROIL pad. The control
display will show the degree sign
and "F."
(b) Press the BROIL pad again
This will change F°(Fahrenheit) to
C ° (Celsius).
3, Press the START pad
24

OPERATION
Setting Special Features
The control wil! allow you to lock the touch
pads so they cannot be activated when
pressed. If you're worried about leaving
the oven unsupervised, activate this
feature
'1. Press and hold, at the same time, the
BAKE and BROIL pads for 3 seconds,
until the display shows "SF"
2. (a) Press the CLEAN pad The display
shows "LOC OFF" (lockout off)
(b) Press the CLEAN pad again The
display wilt show "LOC ON"
(lockout on)
3. Press the START pad
This feature can only be set when the
oven is not in use. When this feature is
on, the display will show "LOC," if a touch
pad is pressed (This feature will not affect
the Clock, Timer, or Oven Light pads )
Your new control has a cook and hold
feature for timed cooking only that will
keep hot cooked foods warm up to
3 hours, after the timed cooking is
finished To activate this feature:
1. Press and hold, at the same time, the
BAKE and BROIL pads for 3 seconds,
until the display shows "SF"
2. (a) Press the OVEN COOKING TIME
pad_ The display will show "HLd OFF°"
(b) Press the OVEN COOKING TIME
pad again to activate the feature. The
display will show "HLd ON"
3. Press the START pad.
25

CARE AND CLEANING
Self-Cleaning Cycle
The door gasket is designed to have
a 5"-6" gap at the bottom of the door
This allows for proper air circulation
Door Panel Gasket
lm
2_
1
Remove the broiler pan and grid,
utensils, and any foil that may be in
the oven.
If your oven is equipped with
nickel oven racks, they should be
removed If your oven is equipped
with gray porcelain-coated oven
racks, they may stay in the oven
during the self-clean cycle.
Soil on the front frame and outside
the gasket of the door liner will need
to be cleaned by hand
Front Frame
Clean these areas with hot water,
soap-filled pads, or cleansers such as
Soft Scrub ® to remove any soil. Rinse well
with clean water and dry
Do not use oven cleaners-no commercial
oven cleaner or protective coating of any
kind should be used in or around any part
of the oven
,
5.
Wipe up any heavy spiitovers on the
oven bottom.
Do not clean the door gasket_
The fiberglass material of the oven
door gasket cannot withstand
abrasion. It is essential for the gasket
to remain intact. If you notice it
becoming worn or frayed, it should be
replaced
Door Liner
It is normal for your oven door to give
the appearance of not having a good
seal against the oven This is due to
the gasket. The location of the gasket
on the door maintains a good seal and
prevents any heat loss
Utensils should never
be left in the oven
during a clean cycle.
Nickel oven racks may
be cleaned during the self-clean
cycle, but will lose their luster
and become hard to slide. If you
choose to leave them in during
the cycle, wiping them with
vegetable oil after the cycle will
help them slide easier.
Gray porcelain-coated oven
racks may safely be cleaned in
the oven during a self-clean
cycle. Wiping them down with
vegetable oil after the cycle will
help them slide easier.
For the first clean cycle, vent the
room with an opened window or
hood vent. This will reduce the
odor produced when heating
new parts.
IIiir , , ,,*_
26

CAREAND CLEANING
Self-Cleaning Cycle
The Clean Cycle, including cooldown
time, is automatically set for 4 hours,
but you may change this from 3 hours
if oven is lightly soiled, up to 5 hours if
oven is heavily soiled.
1. Press the CLEAN pad,
4 hours will show in
the display,
2. If you want to change
the length of clean time
press the NUMBER
pads.
3. Press the START pad.
Simply press the CLEAR/OFF pad.
You will need to wait for the oven
temperature to drop below the tock
temperature (approx. 1 hour) before
attempting to open the door. "Locked
door" will go out in the display.
After the cycle, you may notice some
white ash in the oven ,Just wipe it up
with a damp cloth or sponge.
If white spots remain, scrub them
with a soap-filled steel-wool pad. Be
sure to rinse thoroughly. These are
usually deposits of salt that cannot
be removed during the cycle,
If for any reason you are not
satisfied with the cleaning results,
just repeat the cycle.
CLEAN}
ELAY]
ART|
IME J
1. Press the CLEAN pad,
2. If you want to change
the length of clean time,
press the NUMBER
pads
3. Press the DELAY
START TIME pad.
gPress the NUMBER
pads to set the time you
prefer the clean cycle to
start,
5. Press the START pad,
27

CAREAND CLEANING
CleaningMicrowaveOven
CLEANING MATERIAL
• Plastic scouring pad
° Damp cloth
• Dishwashing detergent
° Warm water
Clean with mild dishwashing detergent
and water, then rinse welt with damp
cloth. If desired, a container of water
can be boiled in the oven using
microwave energy° This will help loosen
soil. For hard-to-clean soil, clean gently
with a plastic scouring pad. Do not
use abrasive cleaners, which could
scratch or damage the surface. Do
not clean with metal scouring pads;
pieces can break off, causing
electrical shock.
TO CLEAN
Wash with warm sudsy water. For
harder to remove soil, gently rub
with a nylon mesh scouring pad
and nonabrasive cleanser, Rinse
thoroughly,
REPLACE THE GLASS
TURNTABLE
Replace the glass turntable Make
sure the glass turntable is aligned
properly with the turntable support,
CLEANING MATERIALS
•Soft cloth
°Warm water
°Dishwashing detergent
Wipe off spills or spatters while they
are still warm, Use mild dishwashing
detergent and warm water, then rinse
with clean water, and dry with soft
cloth.
CLEANING MATERIALS
°Nonabrasive nylon mesh
scouring pad
* Nonabrasive cleanser
°Warm water
°Dishwashing detergent
TO REMOVE THE GLASS
TURNTABLE
Grasp the glass turntable on both
sides and lift straight up,
Glass
Turntable ---
Turntable /
Support /
CLEANING MATERIALS
°Warm water
°Soft cloth
° Dishwashing detergent
Clean with mild dishwashing
detergent and warm water, Rinse
with clean water and dry with soft
cloth,
CLEANING MATERIALS
.Soft cloth
Open the oven door to prevent the
oven from turning on while cleaning.
Wipe the control panel with a damp
cloth. Dry immediately with a dry
cloth to prevent spotting.
28

CARE AND CLEANING
CleaningLower Oven
CLEANING MATERIALS
•Dishwashing detergent
• Warm water
• Soft cloth
Do not use abrasive cleaners,
industrial cleaners, or bleach.
TO CLEAN
Wipe with warm soapy water. Rinse
and dry well.
CLEANING MATERIALS
•Dishwashing detergent
-Warm water
,, Soap-filled scouring pad
•Commercial oven cleaner
TO CLEAN
Allow the pan to soak. Sprinkle the
grid with dishwashing detergent and
cover with a damp cloth or paper
towel_ Rinse and dry well, Scour as
needed. You may also place both the
pan and grid in the dishwasher.
TO REPLACE
Set the raised back of the rack on the
pair of rack guides, Push until you
reach the stop locks; lift the front of
the rack until it slides easily under the
bump, Push back into the oven.
Clean only as touch-up between
clean cycles. Use dishwashing liquid,
warm water, or soap-filled pad. Rinse
welt after cleaning and dry°
NEVER USE OVEN CLEANERS IN
OR AROUND ANY PART OF THE
OVEN.
When cleaning, be sure not to bend
or displace the temperature sensor
located on the back wall of the oven.
CLEANING MATERIALS
=Glass cleaner
° Paper towels
,, Baking soda
TO CLEAN
For everyday cleaning, use glass
cleaner and a paper towel. For
stubborn soil, use paste of baking
soda and water. Rinse thoroughly.
CLEANING MATERIALS
• Dishwashing detergent
• Soap-filled scouring pad or
steel-wool pad
° Warm water
TO CLEAN
Wash and rinse wel!
TO REMOVE
Pull the racks out and Lip to remove,
29

CAREAND CLEANING
Removable Parts
For improved lighting inside the oven,
clean the glass cover frequently using
a wet cloth Caution: This should
only be done when the oven is
completely cool.
CLEANING MATERIALS
•Dishwashing detergent
• Warm water
° Scouring pad or soap-filled pad
Bump
Glass
RetainerS}
Live Collar
Glass
Cover
TO REMOVE THE COVER
Disconnect electrical power to the
oven at the main circuit breaker or
fuse box.
=Grasp the glass cover and turn
1/4 turn counterclockwise until the
tabs of the glass cover clear the
grooves of the glass retainer.
REPLACE THE LIGHT BULB
Unscrew the light bulb and replace it
with a 40-watt appliance bulb..
TO REPLACE COVER
1. Place the tabs of the glass cover
into the grooves of the glass
retainer
2. Turn the glass cover 1/4 turn in the
clockwise direction
3. Reconnect the electrical power to
the oven
TO REMOVE
1. Pull the racks out to the stop lock
position.
2. Pull up the front of the rack and
slide under the bump off the rack
guide,
TO CLEAN
Clean with warm water and
detergent. For hard to remove stains,
gently scrub with a scouring pad or
a soap-filled pad. Rinse well. Gray
porcelain-coated oven racks may
be cleaned in the oven during the
self-clean cycle.
TO REPLACE
1. Place the raised back of the rack
onto the rack guides°
2. Lift the front of the rack until the
raised back slides under the bump
of the rack guides
3, Slide the rack all the way back
3O

CAREAND CLEANING
Removable Parts
TO REMOVE
1. Fully open the
door
uPush the hinge
locks down
toward the door
frame, to the
unlocked Slot
position,
This may
require a
flat-blade
screwdriver.
Hinge Lock
(Unlocked
Position)
1
I
=
Hing, Arm
Firmly grasp both ..... : """ ....
sides of the door at
the top.
Close door to the
door removal
position, which is
halfway between
the broil stop and
fully closed,
Lift door up Removal Position
and out until the hinge
arm is clear of the slot.
TO REPLACE
1 Firmly grasp both Bottom Hinge
• Edge of Arm
sides of the door Slot
at the top.
1With the door at
the same angle
as the removal
position, seat the
indentation of the
hinge arm into
the bottom edge of the
hinge slot. The notch
in the hinge arm must
be fully seated into the
bottom of the slot.
Indentation
Removable Oven Door (cont.)
3. Fully open the Locked
Position
door.
4. Push the hinge
locks up against
the front frame of
the oven cavity, to
the locked
position.
5. Close the oven
door. Sealed Hinge
Arm
TO CLEAN OUTSIDE OF DOOR
• Use soap and water to thoroughly
clean the top, sides, and front of the
oven door. Rinse well, You may also
use a glass cleaner to clean the
glass on the outside of the door.
Do not let water drip into the vent
openings.
• Spillage of marinades, fruit juices,
tomato sauces, and basting
materials containing acids may
cause discoloration and should
be wiped up immediately. When
surface is cool, clean and rinse.
Do not use oven cleaners, cleaning
powders, or harsh abrasives on the
outside of the door.
If any stain on the door vent trim
is persistent, use a soft abrasive
cleaner and a sponge scrubber for
best results.
TO CLEAN INSIDE OF DOOR
° Because the area inside the gasket
is cleaned during the self-clean
cycle, you do not need to clean this
by hand.
• The area outside the gasket and the
door liner can be cleaned with a
soap-filled pad, hot water, and
detergent. Rinse well with a vinegar
and water solution,
31

BEFORECALLINGFOR SERVICE
To save you time and money, before making a service call check the list below
for any problem you may feel you have with the performance of your oven If
the problem is something you cannot fix. use the Consumer Service Numbers
located at the back of this guide When making any calls, have the Model No.,
Serial No., Repair Parts list, Use and Care Guide, and the Date of Purchase
available.
PROBLEM POSSIBLE CAUSE POSSIBLE SOLUTION
The display of your
control is flashing
"F" followed by a
number or letter.
Oven malfunction, Press the CLEAR/OFF pad
Let the oven cool for I hour
and enter an oven or cleaning
operation If code repeats, call
for service.
Oven and oven
control will not
work.
a. No power to oven_ a. Check the circuit breaker or
fuse, Make sure the power
cord is plugged in.
b. The clock is in the
black-out mode b. See the setting special features
section of this manual,
,_,r,,,_,,,,,,,rm, _.,_._,,,, ,,,,,rr,,
Oven temperature Oven control See the temperature adjustment
seems inaccurate, calibration, instructions following this
section,
Oven will not Clean cycle is not Oven temperature must drop
unlock, finished, below the lock temperature
before the door will unlock,
JI t!t IttlJ!' UJl!t'!!"!!_
Oven light will
not work. a. Light switch in off
position_
b. Oven light bulb
loose or burned out
a. Check oven light switch on
the control panel
b. Check the oven light bulb.
Oven will not accept Degrees-Celsius See the setting special features
bake setpoint, option selected, section of this manual.
Oven did not
clean or results
were poor.
a. Controls were not
set properly
b. Oven was soiled
heavily
c. Clean cycle was
interrupted
a. Check the self-cleaning
section of this manual
b. Heavy spillovers should be
removed before the cycle is set
You can also repeat the cycle
c. The normal clean cycle should
last 4 hours for heavily soiled
oven.
I
Oven smokes, a.
b.
C=
Dirty oven. a.
Improper use of b.
aluminum foil
Broiler pan containing c.
grease left in the oven.
32
Check for heavy spillover,
Use of foil not recommended,
Clean pan and grid after
each use,=

BEFORE CALLINGFOR SERVICE
PROBLEM POSSIBLE CAUSE POSSIBLE SOLUTION
Oven rack
does not
slide easily,
Nickel racks were left
in the oven during a
self-clean cycle,
Wipe the racks down with
vegetable oil,
Oven
emits
odor.
a. Oven insulation may
emit odor during the
first few usages,
b, Failure to wipe out
excess soil prior to the
self-clean cycle,
a. Put oven through self-clean cycle
to speed up process of odor
"wearing off,"
b. Wipe excess soil off before
beginning self-clean cycle,
Cannot
microwave
cook.
.................. I' I'1 I "11 I
Foods do
not bake
properly,
Microwave kitchen timer Use lower oven timer, (Microwave
operating cooking and microwave kitchen timer
cannot be used at the same time.)
I I I
a. Oven was not preheated a, Be sure to preheat until the tone
b, Improper rack or pay
placement
c, Oven vent blocked
or covered
d. Improper use of foil
e. Improper temperature
setting for utensil used
f. Oven temperature needs
adjustment
g, Oven and oven rack
not level,
h. Oven controls
improperly set,
sounds, when the recipe calls for it,
b, Maintain uniform air space around
pans and utensils, See oven cooking
tips section
c. Keep vent clear
d, Racks should not be covered
during baking
e, Reduce temperature 25 degrees for
glass or dull/darkened pans,
Check the temperature adjustment
section of this manual
g. Check the installation instructions
for leveling
h. See the baking section,
All these are normal on your Microwave Oven:
•Steam or vapor escaping from around the door
• Light reflection around the door or outer case
• Dull thumping sound while the oven is in use,
., Microwave fan may operate with both ovens off, It is cooling the control and
wilt turn itself off
• Dimming oven light and change in blower sound may occur while operating at
power levels other than high
• Some TV-Radio interference might be noticed while using your microwave
oven, It is similar to the interference caused by other small appliances and
does not indicate a problem with your oven
33

BEFORE CALLINGFOR SERVICE
PROBLEM
IJIIIJI
Foods do not
broil properly.
Foods
overcooked
or
undercooked
in the
microwave.
POSSIBLE CAUSE POSSIBLE SOLUTION
a. Improper rack position, a,
b, Oven preheated, b.
c. Improper use of foil, c,
d, Oven door closed d.
during broiling
e. Low voltage (208 Volts)° e.
f. Improper broiling time, f.
g. Oven controls g.
improperly set,
Check broil pan placement; see
broiling section.
Do not preheat when broiling,
Check broiling section
Open door to broil stop.
Use higher rack position and!or
longer cooking time
Check broiling chart in broiling
section.
See the broiling section.
I III I1,,1'1111,11111111111,1'1 II II II IIIIII
a. Not enough time set a.
when using Time Cook
function because starting
temperatures of foods
varied widely.
b. Incorrect power b.
level entered_
c. Dish not rotated, turned, c.
or stirred as called for
in recipe.
d. Too many dishes in d,
oven at the same time.
e. Food not thoroughly e.
defrosted.
Improper use of coverings f.
I II iii1%
Varying density and amount of
foods will sometimes require
more cooking
Is recipe tested and reliable?
Follow recipe instructions,
Do not overcrowd the oven.
Check the timed defrosting
section of this manual.
Follow instructions in this manual
and recipe
34

"DO-IT- YOURSELF"
TEMPERATURE
ADJUSTMENT
You may feel that your new oven
cooks differently than the oven it
replaced_ We recommend that you
use your new oven a few weeks to
become more familiar with it,
following the times given in your
recipes as a guide.
If you think your new oven is too hot
(burning foods) or not hot enough
(foods are undercooked), you can
adjust the temperature yourself The
appearance and texture of foods is a
better indicator of oven accuracy than
an oven thermometer. These
thermometers can vary by
20-40 degrees (from the true
temperature of the oven). In addition,
the oven door must be opened to
read these thermometers. Opening
the door wilt change the temperature
of the oven°
To decide how much to change
the temperature, set the oven
temperature 25 degrees higher
(if foods are undercooked) or
25 degrees lower (if foods are
burning) than the temperature in your
recipe, then bake. The results of this
"test" should give you an idea of how
much the temperature should be
changed.
BAKE }
-/=
1)3a.
While the oven is not in
use, press and hold
down both the BAKE
and BROIL pad for
3 seconds, until the
display shows "SF_"
Press the BAKE pad.
A factory-set 2-digit
number will show in the
display, usually "00."
If you think the oven is
not hot enough,
Press the NUMBER
pad to increase (+) the
temperature as much
as +35°F,
If you think the oven is
too hot,
Press the BAKE pad
again and the NUMBER
pads to decrease (-) the
temperature as much
as -35°F.
ST['-_-_) 4. Press the START pad.
This increased or decreased
temperature setting will remain in
memory until the above steps are
repeated. A power failure will not
affect this setting.
The broil and self-clean temperatures
wilt not be affected.
35

BUILT-IN
WALL 0 VEN/MICR0 WAVE
WARRANTY
_FULL ONE YEAR WARRANTY ON ALL PARTS
If, within one year from the date of installation, any part fails to function
properly due to a defect in material or workmanship, Sears will repair or
replace it, at our option, free of charge.
FULL FIVE YEAR MAGNETRON WARRANTY
For five years from the date of installation if the magnetron fails due to a
defect in material or workmanship, Sears will repair it, free of charge.
If this product is subjected to other than private residential use, the above
warranty is effective for only 90 days.
WARRANTY SERVICE IS AVAILABLE BY CONTACTING THE NEAREST
SEARS SERVICE CENTER IN THE UNITED STATES
This warranty gives you specific legal rights, and you may also have other
rights which vary from state to state.
Sears Roebuck and Co. Dept. 81 7 WA Hoffman Estates, IL 60179
To further add to the value of your Oven,
Buy a Sears Maintenance Agreement.
Years of Ownership Coverage
1. Replacement of Defective Parts
1st Year
W
2nd Year
MA
3rd Year
MA
2. Annual Preventive Maintenance MA MA MA
Check at your request
W-Warranty MA - Maintenance Agreement
Kenmore Appliances are designed, manufactured and tested for years of
dependable operation. Yet, any appliance may require service from time to
time. The Sears Maintenance Agreement offers you an outstanding service
program for your product.
The table above shows the additional benefits a Sears Maintenance
Agreement offers compared to a Sears Warranty.
Contact your Sears Sales Associate or local Sears Service Center to
purchase a Sears Maintenance Agreement°
36

HORNODE PARED CON
AUTOLIMPIEZA Y MICROONDAS
INDICE
Seguridad en el uso
del homo .................................... 38-4t
Cron6metro del horno inferior ....... 52
Tonos del horno inferior ................ 53
C6digos F del homo inferior ......... 53
Consejos para cocinar en el
horno inferior .......................... 54-56
C6mo hornear ................................... 57
C6mo asar a la parrilla ..................... 58
Funciones especiales ........................ 59
C6mo sacar la cinta
de empaque .................................... 41
Caracteristicas de su homo ........... 42
Nivel de poder .................................... 43
Cantidad de tiempo para
cocinar I ......................................... 44
Gufa para la cantidad de tiempo
para cocinar .................................... 44
Cantidad de tiempo para
cocinar II ......................................... 45
Tiempo para descongelar ............ 45
Agregue 30 segundos ..................... 45
Cocinado expreso ............................ 45
Funci6n automatica .......................... 45
Guia para el tiempo
de descongelaci6n ............................ 46
Sensor de humedad .................... 47
Popcorn ........................................ 47
C6mo recalentar ........................... 47
Papas ................................................ 47
Bebidas ............................................ 48
Bocadiltos ...................................... 48
Guia para bocadillos .................... 48
Para cocinar ................................... 48
Guia para cocinar .......................... 48
Reloj superior ................................... 49
Encendido/Apagado del dial ....... 49
Funci6n para recordar ................... 49
Comienzo demorado ......................... 49
Encendido/Apagado del sonido., 49
Control det homo inferior ................ 50
Dial del homo inferior .................... 5t
Retoj del homo inferior ...................... 52
Ciclo de autolimpieza ..................60-61
Interior del homo ............................. 62
Interior del microondas .................. 62
Fondo del microondas .................. 62
Ventana de ta puerta del
microondas ................................... 62
Superficies exteriores det homo .... 62
Panel de control microondas ......... 62
Panel de control homo
inferior ....................................................... 63
Cacerola y parrilla para asar ........ 63
Parrilfas del homo ......................... 63
Paredes de! homo ............................. 63
Vidrio ................................................ 63
Foco de la luz del homo ............... 64
Parrillas removibles de[ homo ...... 64
Puerta del homo ............................ 65
Antes de Ilamar para
un servicio .................................. 66-68
Ajustes a la temperatura .............. 69
Garantia ......................................... 71
Numeros de servicio para el
consumidor ...................................... 72
Para su conveniencia y referencia futura, por favor escriba los n_meros de modelo
y serie en el espacio que se provee. Estos est6n localizados en el panel lateral
vertical, cuando la puerta del microondas es abierta.
NUMERO DE MODELO: NUMERO DE SERIE:
© Sears, Roebuck and Co.
37'

INSTRUCCIONESDE SEGURIDADIMPORTANTES
GUARDE ESTAS INSTRUCC|ONES
Lea todas las instrucciones antes de usar este aparato. Cuando use aparatos a gas
o el_ctricos, se deberian seguir precauciones de seguridad, incluyendo !o siguiente:
IMPOR'I'ANTE: Para garantizar su
seguridad, la de su familia y ia de slu
hogar, por favor lea su Gufa para el Uso y
Cuidado cuidadosamente. Mant6ngalo a
la mano para referencias. Ponga muoha
atenci6n a las secciones de seguridado
ASEGURESE que su estufa sea instaiada
pot un t_cnico especializado y que haga
tierra adecuadamente.
- NO DEJE a los nifios solos o sin
supervisi6n cerca de una estufa en
funcionamiento.
* ENSEI_E A LOS NII_IOS A: No jugar con
los controles o cualquier parte de la
estufa, no sentarse, subirse o pararse
sobre la puerta del homo o cualquier
parte de la estufa..
°PRECAUOION: NUNCA GUARDE
artfculos que sean de inter6s para los
niSos en los gabinetes sobre el estufa.
Los niRos que se suban sobre la estufa
podrian resultar gravemente heridos
oGUARDE ESTE libro para un uso futuro
° NUNCA "I'RATE de reparar o reemplazar
una parte de la estufa a menos que las
instrucciones se den en este guia, Todo
otro trabajo deberia ser hecho por un
t6cnico especializado_
-NUNCA USE su estufa para entibiar o
calentar una habitaci6n_
. SIEMPRE MANTENGA los
revestimientos combustibles de tas
paredes, cortinas y otros paros a una
distancia prudente de la estufa,
° NUNCA USE una toalla u otro pa_o
abultado como agrraderas. AsegOrese
que la agarradera est_ seca.. Las
agarraders hOmedas podrfan causar
quemaduras por vapor NO PERMITA
que las agarraderas toquen las
superficies calientes.
• SIEMPRE MANTENGA la horno
despejada de cosas que se podrfan
quemar (gasolina y otros vapores y
fiquidos infiamabies)
•SIEMPRE MANTENGA el Area de la
homo despejada de cosas que se
prodrfan quemar. La acumulaci6n de
comida y grasa y los utensilios de
madera se prodfian incendiar., Los
utensilios de ptAstico se prodrian derretir
y las comidas en conservas podrian
explotar. Su homo numca se deberfa
usar para almacenar cosas.
•NUNOA CALIENTE contenedores de
alimentos cerrados. El aumento de la
presi6n puede causar que el contenedor
exptote y cause heridas..
•NUNCA DEJE contenedores con
grasa e goteaduras dentro o cerca de
la estufa
°NUNCA TRATE de limpiar una cubierta
caliente.. Una esponja o un paRo caliente
puede causar quemaduras por vapor
Algunos limpiadores pueden producir
vapores t6xicos sobre una superficie
caliente
•NUNOA USE ropa suefta cuando use el
estufa.
-ASEGURESE que el homo est_
instatado firmemente en un gabinete
que est_ bien pegado a la pared
- RASGUI_IOS GRANDES O IMPACTOS
sobre ias superficies de vidrio de ias
puertas poddan romper o agrietar el
vidri
• NO TOQUE las superficies para
calentar, las superficies cerca de elias o
las superficies interiores, Estas podrfan
estar suficientemente calientes para
quemar aunque se vean de color
oscuro, Durante y despues del uso, no
toque o permita que la ropa o materiales
infiamables hagan contacto con las
superficies calientes hasta que hayan
tenido tiempo de enfriarrse Las otras
suprficies cerca de las ventanillas de
ventilaci6n del homo, puertas, ventanas
y las superficies para cocinar tambi_n
podrfan estar suficientemente calientes
para causar quemaduras,
38

INSTRUCCIONES
DE SEGURIDAD
IMPORTANTES
*COLOQUE LAS PARRILLAS DEL HORNO
en la posici6n deseada mientras e! horno est6
frio Si las parrillas se deben mover mientras
el homo est& catiente, no permita que la
agarradera haga contacto con el quemador
caliente del homo
° DESPUES DE ASAR A LA PARRILLA,
siempre saque la cacerola y la parrilla para
asar del homo y limpielas Los sobrados de
grasa en la cacerola para asar podr[an
incendiarse la pr6xima vez que usted use el
homo
• SlEMPRE TENGA CUIDADO cuando abra la
puerta del horno Deje que el aire caliente y el
vapor escapen antes de mover los alimentos
.NUNCA USE papel de aluminio para forrar el
fondo del homo El uso inadecuado del papel
de aluminio podrfa resultar en un golpe de
corriente o en un incendio
° NUNCA OBSTRUYA la abertura de la
ventilaci6n del homo
• LIMPIE SOLAMENTE las partes que
se listan en este manual, Siga todas las
instrucciones para la limpieza
•NUNCA FRIEGUE, mueva, limpie o da_e
el sello de la puerta en tos hornos con
autolimpieza Es esencial para un buen
sellado
° NUNCA TRATE de limpiar los utensilios,
ollas, partes removibles o la cacerola y la
parrilta para asar en el cicfo de autolimpieza
° NUNCA USE limpiadores para homo&
Ningun limpiador comercial se debeda usar
dentro o atrededor de ninguna parte del
homo
• Sl LA FUNCION DE AUTOLIMPIEZA
falla, apague el homo y desconecte la
electricidad, H_.gale un servicio por un
t6cnico calificado
;ADVERTENCIA DE SEGURIDAD
IMPORTANTE!
California Safe Drinking Water and Toxic
Enforcement Act requiere que el gobernador
de California publique una lista de substancias
que el estado sepa que producen defectos de
nacimiento u otros dafios reproductivos y
requiere que los hombres de negocios
adviertan a sus clientes del contacto potenciat
a tales substancias. El aislante de fibra de
vidrio en el homo con autolimpieza emitir_ una
muy pequefia cantidad de mon6xido de
carbono durante el ciclo de autolimpieza. El
contacto se puede minimizar ventilando con
una puerta o ventana abierta o usando un
ventilador o una campana de ventilaci6n.
IMPORTANTE: La satud de algunos
p_jaros es extremadamente sensitiva a
los vapores producidos por el ciclo de
autolimpieza de cualquier homo, Ponga
los p_jaros en otra habitaci6n que est_
bien ventilada.
;LEA Y COMPRENDA ESTA
INFORMAClON AHORA!
Asegt_rese que todos en su hogar sepan qu_
hacer en caso de incendio, Nunca use agua
sobre un incendio de grasa, esto solamente
extender_ las llamas,
FUEGO EN EL HORNO:
iNo trate de mover ia cacerola!
1. Cierre la puerta del homo y apague los
controles
2. Si el incendio continua,cuidadosamente
abra la puerta, arroje soda para cocinar
sobre el fuego, o use un extintor de quimico
seco, espuma o "halon"
39

INSTRUCCiONES
DE SEGURIDAD
IMPORTANTES
r!llll Jllll'lllJll IIII IIIII '11 I'll [ II I I !11 J
-_ uando use aparatos ei_ctricos, se
deben seguir precauciones b_sicas
de seguridad, incluyendo las
siguientes:
ADVER'FENClA, Para reducir et riesgo
de quemaduras, golpes de corriente,
incendio, heridas personales o exposici6n
excesiva a energia de microondas:
• Lea todas las instrucciones antes de
usar este aparato.
° Lea y siga las instrucciones de
seguridad especfficas del microondas,
• ESTE APARATO debe hacer tierr&
Conecte sotamente a una caja de
conexiones que haga tierr& Yea las
instrucciones para hacer tierra en tas
instrucciones para la instalaci6n,
° USE este aparato solamente para su uso
apropiado como se describe en este
manual. No use quimicos o vapores
corrosivos en este aparato,, Este homo a
microondas est_ espeificamente diser_ado
para calentar o cocinar alimentos, y no
tiene un prop6sito industrial o de
laboratorio.
• INSTALE O UBIQUE este aparato
solamente de acuerdo con las
instrucciones para instalaci6n que se
proveen.
° NO CUBRA u obstruya ninguna abertura
de este aparato,
° ESTE HORNO MICROONDAS no est_
aprobado o probado parta uso maritime
°NO HAGA FUNClONAR este aparato si no
est& funcionando bien o si ha sido da5ado
o se ha dejado caer
• COMO CUALQUlER OTRO APARATO
ELI_OTRICO, se necesita una vigilancia
muy de cerca cuando se usa por los nitros.
°NO SOBRECOCINE la comidao Vigile el
homo cuidadosamente si pape!, plAstico u
otros materiales combustibles se han
colocado dentro del homo para facilitar la
cocci6n.
oSAQUE LAS AMARRAS DE ALAMBRE
de fas bolsas de papeI o pl_stico antes de
ponertas en el homo,
°NO USE su homo microondas para secar
peri6dicos
•NO USE productos de papel reciclado.
Las toallas y las servilletas de papet
reciclado y el papel de cera pueden
contener particutas de metal que podrian
producir arcos o incendiarse. Los
productos de papel que contienen nil6n o
filamentos de nil6n deberian evitarse,
° NO CALIENTE atimentos en contenedores
cerrados, tales como frascos de vidrio, los
cuales podrfan explotar.
* NO PREPARE "pop corn" en su homo
microondas a menos que use un "pop
corn" que sea marcado para uso en los
hornos microondas,
.NO COCINE DEMASIADO las papas
Se podr[an deshidratar e incendiarse,
causando da_o a su homo,
- NO HAGA FUNCIONAR el homo
microondas si est_ vacio,
o NO USE su horno microondas para
almacenar cosas
oSI EL MATERIAL DENTRO del homo se
incendia, cierre la puerta, apague e! homo
y desconecte la electricidad al aparato,
°ALIMENTOS DE TAMAI_IO GRANDE y
utensilios de metal demasiado grande no
deberian usarse en un homo microondas,
Se podria producir un golpe de corriente o
un incendio.
° NO LtMPIE con tanillas para fregar de
metal., Se podrian quebrar fragmentos de
fa lanilla, causando un golpe de corriente.
° NO DESCONGELE bebidas congeladas
que tienen botellas de cuello angosto,
Podria subir la presi6n y causar que la
botella explote,,
° USE AGARRADERAS cuando saque
los utensilios del homo, Los utensilios se
podrfan calentar cuando cocine debido a
la transferencia de! calor desde la comida,
4O

INSTRUCCIONES
DE SEGURIDAD
IMPORTANTES
, TENGA CUiDADO si toca las paredes o el
fondo del homo durante y despu_s que
cocine. Las paredes y el fondo podrian
estar calientes.
° NO HIERVA huevos en un homo
microondas La subida de presi6n dentro
de la yema del huevo podria causar que el
huevo expiote
•USE CONTENEDORES de plAstico que
sean aprobados por el fabricante para uso
con microondas No permita que los nitros
usen contenedores de plAstico a menos
que est6n siendo vigilados No exponga
contenedores vacios a las microondas.
• ALIMENTOS CON PIEL O CASCARA
ENTERA, tales como papas, salchichas,
tomates, manzanas, higado de polio,
yemas de huevo y otras partes del polio,
deber[an tener hoyos para permitir que
el vapor escape durante la cocci6n
- ASEGURESE QUE LOS
ENVOLTORIOS DE PL/_STICO que use
cuando cocine a microondas sean
aprobados para uso con microondas.
°EBULLiCI0N ESPONTi_.NEA: Bajo
ciertas circunstancias, los lfquidos
podrfan empezar a hervir durante o poco
tiempo despu6s que se sacan del homo
Revuelva el lfquido.
oNO CALIENTE comida para los bebes
en frascos de vidrio con microondas.
°A LAS BOLSAS para cocinar hervibles
y bolsas de pI&stico herm6ticamente
cerradas se les deberian hacer hoyos,
tajaduras o deberian ser ventiladas
como se instruye en el paquete. Si no
son ventiladas de alguna manera, la
presi6n causarA que se revienten
° NO TRATE de operar este homo con la
puerta abierta ya que el funcionamiento con
la puerta abierta puede resuttar en una
exposici6n da#,ina a la energl"a de
microondas Es importante no desconectar
o interferir con los sistemas de seguridad.
° NO COLOQUE ning0n objeto entre el frente
del homo y la puerta o permita la
acumulaci6n de suciedad o residuo de
fimpiadores en ras superficies de cierre
° EL HORNO no deberia ser ajustado o
reparado por nadie excepto por un servicio
de personal especializado
° NO HAGA FUNCIONAR EL HORNO si est4
dafiado. Es particularmente importante que
el homo cierre correctamente y que no haya
daSo a:
1 puerta (doblada)
2 bisagras y cerrojos (quebrados o sueltos)
3. sello de ta puerta y sellos de las
superficies
Para sacar el residuo del adhesivo de
la cinta de empaque, use un detergente
liquido para tavar platos, aceite mineral o
para cocinar. Con un pa_,o suave frote el
area y permita que se remoje. Enjuague y
seque bien. Repita el procedimiento
usando un pulidor para hornos para
asegurarse queet homo no ha sido
daSado. Esto se deberfa hacer antes
que el homo se encienda por primera
vez. La cinta no se puede sacar una vez
que el homo ha sido calentado. La cinta
de empaque se puede encontrar en las
areas siguientes: Manilla de la puerta,
Area del panel de control, Moldura de la
puerta y Area del horno
41

OPERACION
CARACTERISTICASDE SU HORNO
Cerrojo de la puerta
para la lira
Elemento para
asar a la parrilla
\..
Norno con
autolimpieza
Cacerola y
parrilla para asar
Elemento
para hornear
Rejilla y ventitaci6n del horno Nt_mero de
_lelo y serie
Control del horno
microondas
Control del homo
inferior
Bot6n de empuje para
abrir el horno
Ventilaci6n y rejiila del
horno inferior
Interruptor automdtico
de luz del homo
Gufa para parrillas del
horno
Parrilla removible del
homo
Sello de la puerta
de! horno
42

OPERACION
UPPER MICROWAVE OVEN
( )
SENSOR COOKING CONVENIENCE COOKING
@@@@ @
GUIDE BEHIND DOOR
Con su nuevo Homo Microondas, usted puede
hornear a cierta cantidad de tiempo, usando
las funciones sensoras o usando las funciones
autom__ticas
TIME COOK (Tiempo para Cocinar)
TIME DEFROST (Tiempo de Descongelacion)
EXPRESS COOK (Cocinado Expreso)
ADD 30 SEC (Agregue 30 Segundos)
Las funciones de tiempo le permiten
seleccionar la cantidad exacta de tiempo que
se necesita para preparar los alimentos, hasta
99 minutos y 59 segundos
M_s abajo hay una lista de botches que
controlar las funciones del Sensor.
POPCORN SNACKS (Bocadillos)
BE',/, (Bebidas) POTATO (Papas)
REHEAT (Recalentamient) COOK (Cocinar)
AUTO DEFROST (Descongelamiento
automatico)
Cuando cocine con el sistema del sensor, el
homo ajustar_ automaticamente la cantidad
de tiempo para cocinar cuando detecte la
humedad emitida mientras cocina. La cantidad
de tiempo variar_, de acuerdo a los tipos y alas
cantidades de alimentos 43
Cuando ta electricidad Ilegue nuevamente,
todos los di'gitos del dial se encender_.n,
luego el dial mostrar& RESET.
Esta funci6n agrega flexibilidad cuando
cocine en el microondas. Cada nivel de
poder le da energfa de microondas con un
cierto porcentage de poder. Tal como:
1= 10% de poder
2= 20% de poder
3= 30% de poder
4= 40% de poder
5= 50% de poder
6= 60% de poder
7= 70% de poder
8= 80% de poder
9= 90% de poder
0= 100% de poder
La mayoria de Io que usted cocine
ser& hecho usando e! poder a 100%. Los
alimentos se cocinar&n m_.s rApido pero
necesitan ser revueltos, rotados, o dados
vuelta mb.s frecuentemente.
Usando un nivel mgLs bajo cocinar_, la
comida en forma m_s pareja y necesitar_
darla vuelta y rotada menos. Algunos
alimentos podrian quedar con mejor sabor,
textura, o apariencia si se usa un nivel de
poder m_As bajo. Un poder mAs bajo es
mucho mejor para los alimentos que
tienen la tendencia a subirse
NIVELDE
PODER
10
7
5
• i _Jll
203
ALIMENTOS
Pescado, vegetales, hervir liquidos
Came, aves, caserolas, o recaIentar
,Es!ofados, cortes de cames m_s duros
Descongelar, cocinar a fuego lento
Mantener los alimentos tibios, abfandar
mantequilla
El nivel de poder puede ser seleccionado
o cambiado inmediatamente despues de
seleccionar la funci6n de tiempo, tal como
TIME COOK (Tiempo para Cocinar), TIME
DEFROST (Tiempo de Descongelacion),
EXPRESS COOK (Cocinado Expreso) o ADD
30 SEC (Agregue 30 Segundos) EI nivet de
poder tambi6n puede ser cambiado durante la
cuenta del tiempo hacia atr_.s

OPERACION
lm
2.
1
4.
Empuje el bot6n TIME COOK o el bot6n
TIME DEFROST,
Empuje los botones con los NUMEROS
para seleccionar una cantidad de tiempo
para cocinar o descongelar,
Empuje el bot6n POWER LEVEL
Empuje uno bot6n con el NUMERO para
seleccionar el nivel de poder que usted
necesita,
5, Empuje et bot6n START,
El TIEMPO PARA COClNAR i est,. programado
para el nivet de poder 10, pero puede cambiar
este nivel per uno que usted prefiera, Usted
puede seleccionar una cantidad de tiempo para
cocinar hasta 99 minutes y 59 segundos.
1. Empuje el bot6n TIME COOK
2. Empuje los botones de los NUMEROS
para seleccionar su cantidad de tiempo para
cocinar preferido,
3. Si desea cambiar el nivef de poder, empuje
el bot6n POWER LEVEL y luego empuje
uno bot6n NUMBER para seieccionar su nivel
de poder preferido
4. Empuje el bot6n START
Si usted abre la puerta mientras cocina para
mirar la comida, cuando la puerta est_ cerrada
empuje el botSn START para seguir cocinando
VEGETALES
Frijoles
(frescos)
(congelados)
Broccoli
(fresco)
(congelado picado)
Zanahorias
(frescas, c0rtadas)
(congeladas)
Mazorcasde mafz
(fresco)
(congelado)
Vegetales
mezclados
(congelados)
Arveias
(frescas,
desgranadas)
(congeladas)
Papas
(frescas,cortadas,
blancas)
(frescas,enteras,
dulcesoblancas)
GUIA DE CANTIDAD DE TIEMPO PARA COClNAR
(Use el nivei de poder 10 a menos que se diga io contrario)
PESO
l tb
paquete10oz
1paquete
(I_Aa 1tk tb)
Paquete10oz
Paquete10oz
Paquete10oz
la5
I mazorca
2-6 mazorcas
Paquete10oz
2 Ib sin
desgranar
PaqueteI0 oz
4 papas
(6-8oz cadauna)
1(6a8oz)
TEMPO
10a 15min_
4a 8min,
5 a 9 min
4 a 7 min
4a8min
3 a 7 min
! 1/2 rain per
mazorca
3a6min
2 a 3 rain, per
mazorca
2 a6 min
7a 10rain
2a6min
9 a 12min
! a 4rain
COMENTARIOS
En cacerota de I cuarto y medio con media taza de agua,
En cacerola de I cuarto con 2 cucharadas de agua
En cacerota de 2 cuartos con V2taza de agua,
En cacerola de 1 cuarto
Encacerelade I cuartoy mediocon mediatazade agua
Encacerolade t cuartocon2 cucharadasde agua
Coloqueelrnaizenptato parahornearoblongado Siel maizno
est,.enagua;si la mazorcaest_pelada,ponga_Atazade agua
Rearregledespu_sde lamitaddettiempo
Pongaen platode vidrioparahornearoblongado_Cubracon
pl_slicoparaenvolverventilado Rearregledespu6sde lamitad
deltiempo
Encacerotade I cuartocon3 cucharadasde agua
Encacerolade 1 cuartocon I,,ftazade agua
Encacerolade 1cuartocon2 cucharadasde agua
Peleycorteenpedazosde1' Pongaencacerolade 2cuartoscon
mediatazadeagua Revuelvadespu6sde lamitaddeltiempo
Hagahoyosconuntenedordecocina Pongaenelcentredel
homo D_jelasenfriarper5rain
44

OPERACION
Tiempo para cocinar
El TIEMPO PARA COClNAR II le permite cambiar los
nivetes de poder autom_ticamente mientras cocina
1, Empuje el bot6n TIME COOK
2, Empuje los botones de los NUMEROS para
seleccionar ta cantidad de tiempo para cocinar
3, Si desea cambiar el nivel de poder, empuje el
bot6n POWER LEVEL y luego empuje el bot6n
de los NUMEROS para seteccionar et nivel de
poder deseado
4. Empuje el bot6n TIME COOK nuevamente
5, Empuje nuevamente los botches de los
NUMEROS para seleccionar su segundo tiempo
para cocinar preferido
6. Si desea cambiar el niveI de poder, empuje el
botOn POWERLEVEL y tuego el bot6n
NUMEROS para seleccionar su nivel de poder
preferido,
7. Empuje el bot6n START
AI final de la cuenta del primer tiempo para cocinar,
el segundo tiempo para cocinar empezar_ su cuenta
Le permite descongelar por una cantidad
de tiempo seleccionada Et nivet de poder se
selecciona automaticamente a 3, pero puede
ser cambiado Cuando se usen niveles de
poder m_.s altos, los alimentos se deben revisar
m_s frecuentemente
COMO SELECCIONAR LA CANTIDAD DE
TIEMPO PARA DESCONGELAR:
1, Empuje los botones TIME DEFROST
2, Empuje los botones de los NUMEROS para
seleccionar el tiempo para descongelar
3. Empuje el bot6n START,
Usted puede usar esta funci6n de dos maneras:
• Agregr_. 30 segundos al tiempo de la cuenta
cada vez que empuje et boron
° Se puede usar como una rApida manera para
programar 30 segundos de tiempo para cocinar
Esto es una r_.pida manera para cocinar de 1 a
6 minutos
Empuje uno de los botones Express Cook (de 1 a 6)
para cocinar de 1 a 6 minutos a nivel de poder 10
El poder puede ser cambiado durante la cuenta
Empuje el bot6n POWER LEVEL y entre un numero
delalO
45
El descongelador automAtico programa
automaticamente las cantidades de tiempo para
descongelar y los nivetes de poder para descongelar
parejamente carnes, aves, y pescado Use el
descongelador autom_tico para ta mayor[a de las
otras comidas congeiadas
PARA PROGRAMAR EL DESCONGELADO
AUTOMATICO:
1. Empuje los botches AUTO DEFROST
2. Usando la Guia de Conversi6n, entre el peso de
la comida
3. Empuje e! bot6n START
Hay una guia practica ubicada en el frente del
interior de! microondas
•Saque la came del paquete y p6ngala sobre un
plato para microondas
• Dos veces durante la descongelacbn el homo da
la se,fial "TURn" (DAR VUELTA) A cada se_a! de
DAR VUELTA, d_ vuelta la comida para el otro
tado Saque la came descongetada o cubra las
Areas calientes con pequeSos pedazos de papet
de aluminio
. Despu_s de descongetar, las carnes necesitan
5 minutos mAs afuera para completar la
descongelaci6n. Los pedazos de asados grandes
deberian dejarse afuera por unos 30 minutos
GUIA DE CONVERSION
Si el peso de ta camida se da en libras y onzas, las
onzas deben ser convertidas a d6cimos (1) de libra
TABLA DE CONVERSION para
descongelaci6n autom_tica
PESO DE LA COMIDA PESO DE LA
EN ONZAS COMIDA EN
DECIMOS
1-2 I
3
4-5
6-7
8
9-10
11
12-13
14-15
2
3
4
5
6
7
8
.9

OPERACION
Tiempo para cocinar
GUIA PARA LA CANTIDAD DE TIEMPO PARA DESCONGELAR
ALIMENTO TIEMPO COMENTARIOS
Panes, queques
Panecillos y botillos V4min
Bolillos dulces 2-4 rain.
Pescados y
mariscos
Filetes congelados (tlb) 6-9 min Ponga el b!oque en la cacerola De vuetta y quiebre
Mariscos, peque_os pedazos (11b) 3-7 min. despues de la mitad del tiempo.
Carne
Bacon (lib) 2-5 min
Chorizos (lib)
Came molida (!tb)
Asado: res, cordero, ternera, cerdo
Bistecs, chuletas, pedazos
Aves
Pot!o,asado, frito en pedazos (2Y2-3lb)
Potlo, entero (21/2-3 Ib)
Gall!ha
2-5 min
4_6 min
9-13 min per tb.
4-8 min per Ib
14-20 min
20-25 min
7-13 min per Ib
3-8 min per Ib
Pechuga de pave (4-6 lb)
• Las comidas congeladas en papel o plAstico
pueden ser descongeladas en el paquete
A los paquetes cerrados se les debe hacer
cortes, hoyos, o ser vent!lades despues que
hayan side parcialmente descongelados Los
contenedores de plAsticos para guardar
comida deberfan abrirse parcialmente
° Las comidas empaquetadas de tamale
de familia pueden ser descongeladas y
cocinadas en el microondas Si la comida
est,, en un contenedor de aluminio, cAmbielo 46
a un plato para microondas
Ponga et paquete sin abnr en el homo Dejelo afuera
per 5 minutes despues de descongelarlo
Ponga el paquete sin abdr en el homo.. Encienda
el microondas hasta que ios chorizos se puedan
separar Dejelos afuera per 5 minutes, si es necesario,
para que se terminen de descongelar
De vuelta ta came despues de la mitad del tiempo
Use et nivel de poder 1
Ponga la came sin envoltorio en un plato para cocinar.
De vueIta despues de la mitad det tiempo y cubra las
_treas tibias con "foil". Cuando termine, separe los
pedazos y permita que descansen hasta que se
descongelen completamente
Ponga el polio envuetto en un plato. Desenvuelva
y de vuelta despues de la mitad del tiempo. Cuando
termine, separe las presas y ponga en el microondas
per 2 o 3 minutes mb.s, si es necesario Dejelo
descansar para que se term!he de descongelar
Ponga el polio envuelto en un plato Despues de la
re!tad del tiempo desenvuelva y de vuelta el polio
Cubra tas areas tibias con "foil" Term!he de
descongelar, si es necesario haga correr agua frfa en
la cavidad hasta que tas presas inter!ores se puedan
sacar
Ponga ta gallina desenvuelta en el homo con la
dPechuga hacia arriba. De vuelta despues de la mitad
el tiempo Haga correr agua frfa en la cavidad hasta
que las presas inter!ores se puedan sacar
Ponga la pechuga desenvuelta en un plato con
la pechuga hacia abajo Despues de la mitad de!
tiempo, dela vuelta y cubra tas _reas tibias con foil"
Termine de descongeiar Dejeta descansar de 1 a 2
horas en el refdgerador para compietar ta
descongeiaciOn
Los alimentos que se echan a perder
f_.cilmente no deberfan dejarse expuestos
per mAs de una hera despues de ser
descongelados La temperatura ambiente
promueve el crecimiento de bacterias
dafiinas
° Para una descongelaci6n m_.s pareja de
las comidas grandes, tales come los asados,
use e! Auto Defrost AsegQrese que las
carnes grandes esten completamente
descongeladas antes de ser cocinadas
° Cuando sean descongeladas, la comida
deberfa estar frfa pero blandas en todas
partes Si usted nota lugares congelados,
dejelos descansar unos pocos minutes

OPERACION
C6mo cocinar con el sensor
inmediatamente despues que el horno empiece para
20 segundos menos de tiempo Empuje 1
nuevamente para reducir et tiempo otros 10
segundos (total de 30 segundos rnenos)
Las funciones del sensor detectan el aumento de
la humedad emitida durante la cocci6n El homo
ajusta autom_ticamente la cantidad de tiempo
para cocinar para varios tipos y cantidades de
comida
• Los contenedores y las tapas adecuadas son
esenciales para obtener los mejores resuitados
° Siempre use contenedores para microondas
y c0bralos con tapas o papel de pl_,stico
ventilados Nunca use contenedores de pl_stico
sellados que eviten que el vapor escape y
causen que fa comida se cocine demasiado
° Asegurese que la parte exterior de los
contenedores para cocinar y que el interior
del microondas est6n secos antes de poner la
comida en el homo Las gotas de humedad que
se transforman en vapor pueden hacer que el
sensor se equivoque
Use sOlamente popcorn preempaquetado para
microondas que pese entre 1 75 a 3 5 onzas
PARA USAR LA FUNCION PARA POPCORN:
Siga las instrucciones del paquete usando TIME COOK
si el paquete pesa menos de t 75 onzas o mb.sde 3 5
onzas.
1. Ponga el paquete en el centro del microondas
2, Empuje el bot6n POPCORN
Si abre la puerta mientras se muestra "POP" aparecerA
"ERROR"
3, Cierre la puerta y empuje el bot6n START
COMO AJUSTAR EL PROGRAMA DE POPCORN
PARA PROVEER UN TIEMPO PARA COCINAR
MENOR O MAYOR:
Si usted encuentra que la marca de popcorn que usa
se cocina poco o demasiado consistentemente, usted
puede agregar o sustraer de 20 a 30 segundos de/af
tiempo autom_tico
PARA AGREGAR TtEMPOI
Despu6s de empujar POPCORN, empuje 9
inmediatamente despu_s que el horno empiece para
20 segundos extras Empuje 9 nuevamente para
agregar otros 10 segundos (total de 30 segundos
de tiempo adicional)
PARA SUSTRAER T1EMPO:
Despu6s de empujar POPCORN, empuje t
La funci6n para recalentar recalienta porciones
individuales que ya han sido cocinadas o un plato de
sobrados
1, Coloque la comida cubierta en el homo
2, Empuje el bot6n REHEAT Et homo empezar_
inmediatamente
3. E! homo da una serial cuando detecta vapor y
comienza la cuenta del tiempo que queda
No abra ta puerta del homo hasta que ta cuenta haya
terminado Si la puerta se abre, ci_rrela y empuje el
bot6n START inmediatamente
Despu_s de sacar la comida del horno, revueiva si es
posible para emparejar ta temperatura. Si la comida
no est_ Io suficientemente caliente, use TIME COOK
para recaientar pot m_s tiempo Los alimentos
recalentados pueden tener una gran variaci6n en
temperatura. Algunas _reas podrian estar
extremadamente calientes.
ALIMENTOS NO RECOMENDADOS PARA SER
RECALENTADOS:
• Productos de pan
• Comidas que tienen que set recalentadas sin estar
tapadas
° Comidas que tienen que set revueltas
° Comidas que deben quedar con textura seca o
una corteza dura despu6s de ser recalentadas
La funci6n para cocinar papas cocina de 1,5a 2
lbs de papas
1, Haga hoyitos en ta cascara con un tenedor
y ponga las papas en la bandeja giratoria
Si cocina 3 o m_s papas, col6quelas en
forma de estretla
2o Empuje el bot6n POTATO El horno
empieza inmediatamente El horno da una
serial cuando detecta vapor y empieza fa
cuenta del tiempo que queda
No abra la puerta del homo hasta que
la cuenta haya terminado Si la puerta se
abre, ci6rrela y empuje el bot6n START
inmediatamente Si la comida no estA bien
cocida, use TIME COOK para cocinar por m_.s
tiempo
47

OPERACION
Funcione$para se conveniencia
Para usar la funci6n para las bebidas:
empuje BEV. una vez para una bebida de
4 oz, dos veces para una bebida de 8 oz.,
o tres veces para una bebida de 12 oz
Las bebidas que se calienten con la
funci6n para las bebidas podrian estar
muy calientes. Saque el contenedor con
cuidado,
La funci6n para bocadillos programa
automAticamente los programas de tiempo
y nivel de poder para calentar una
variedad de bocadiHos
1. Empuje el bot6n SNACKS.
2. Seleccione el tipo de bocadillo de 1 a
6o (Vea fa tabla de m#.s abajo)
3. Entre el nOmero de items o el peso de
la comida en onzas
4. Empuje el bot6n START,
Usted puede empujar y sujetar el bot6n
SNACKS mientras cocina para mostar el
tiempo que queda para cocinar_
Gufa para bocadillos
TIPO DE COMIDA
1pan, botillo, pan dulce
2 Sandwiches
3 Pizza (sobrados)
4 Cremas de postre
5 Sopa
6 Salsa de queso
CANTIDAD O PESO
la4
la2
la4
la
8 a 40 onzas
4 a 16 onzas
La funci6n para cocinar autom&ticamente
programa el tiempo y los niveles de poder
para cocinar una variedad de comidas.
1. Empuje el bot6n COOK.
2, Seleccione el tipo de comida de ! a 9
(Vea la Gu[a para cocinar a fa
derecha)
3. Entre el peso de la comida en onzas.
4, Empuje el bot6n START
Empuje y sujete el bot6n COOK mientras
cocina para mostrar el tiempo que queda
para cocinar
Gufa para cocinar
TIP0 DECOMfDA
lVegetales
en lata
(VEG 1)
2
Vegetates
congelados
(VEG 2)
3
Vegetales
frescos
(VEG 3)
4 Papas
5 Pescado
6 Presas
de polio
7 Came
molida
(res, cerdo,
pavo)
8 Tocino
(bacon)
9 Pizza
(congelada,
para
microondas)
PESO
4 -20 oz
4-16 oz
4 -t6 oz
8 -40 oz
4 -16 oz
4 -40 oz
8 -48 oz
2 -t0 oz
4-16 oz
COMENTARIOS
Usecacerolao bolopara
microondasCubracon tapao
papelde pl_sticoventitado
"0se_cero[a o bolopara
microondasSiga
instruccionesde]paquetepara
agregaragua Cubracon tapa
o papelde pl_sticoventilado
Usecacerotao bolopara
microondasAgreguedos
cucharadasde aguapor cada
servidoCubracon tapao de
)I_stic0ventJlado,
Hagahoyitosen lacascara
con untenedor Pongatas
papassobrela bandeja
girat0ria.
Useplatooblongado,redondo
o cuadrado Cubracon papet
de pl&sticoo de cera
ventilado.
Useplatooblongado,redondo
o cuadrado Cubracontapa o
)ape]de ptastic0ventilado.
Usecacerolaredonda
Deshaga lacamesobrela
cacerola Cubracon tapao
papelde pt_stic0ventilado,
Pongalonjasencapas sobre
unplato,4 pot capa Cubra
cadacapa con unatoallade
papet
Sigainstrucci0nesdel paquete
paraprepararpizzaen el
microondas
NOTA: Usted no puede entrar un peso
que sea mayor o menor que el peso que
se lista en la Gufa para Cocinar de arriba.
48

OPERACION
Otras Funciones
Empuje el bot6n CLOCK para entrar la
hora del dfa over la hora mientras est_
cocinando.
PARA PONER EL RELOJ:
1. Empuje el bot6n CLOCK,
2. Ponga la hora del dia
3. Empuje el bot6n START o CLOCK
Para encender o apagar el dial del reloj,
empuje y sujete el bot6n 0 por unos 3
segundos. La funci6n DISPLAY ON/OFF
(ENCENDiCO/APAGADO DEL DIAL) no
puede ser usada mientras las funciones
para cocinar
se est_n usando
El comienzo demorado le permite
programar para que el microondas
oomience a cooinar en forma demorada.
2.
Empuje el bot6n DELAY START.
Empuje los botones de los NUMEROS
para seleccionar la hora del dia en
que desea que e! homo se encienda
y comience a cocinar. AsegOrese que
el reloj est_ mostrando la correcta hora
del dfa.
3, Seleccione TIME DEFROST,
AUTO DEFROST, or TIME COOK
Entre [a cantidad de tiempo para
descongelar o el tiempo para
cocinar o el peso de la comida
para descongelaci6n automAtica.
4. Empuje el bot6n START
La hora de Comienzo Demorado sever&
en el dial ademAs de "Start Time". El
homo comenzara automAticamente en la
hora demorada seleccionada La hora del
dfa se puede vet empujando et bot6n CLOCK
La funci6n para recordar se puede usar
como un reloj de alarma
1. Empuje el botdn REMINDER
2. Entre la hora def d[a en la cual desea
que el homo le recuerde (AsegOrese
que el reloj del microondas muestre la
correcta hora del dfa)
3. Empuje el bot6n START
Cuando se prenda la seSat de recuerdo,
empuje el bot6n CLEAR/OFF para
apagarla, La hora para recordar se puede
mostrar empujando el bot6n REMINDER
NOTA: El indicador REM permanecerA
encendido para mostrar que la Funci6n
para Recordar estA en efecto, Para
eliminar el recordador antes de que
ocurra, empuje el botOn CLEAR/OFF
La luz de1 indicador REM se apagarA
Para encender o apagar et control
del sonido, empuje y sujete el botOn
NUMEROS 8 SOUND ON/OFF por 3o 4
segundos. El dial pestaSearA "OFF" y e!
dial volverb, a la hora del dia, "MUTE"
permanecer_ en el dial Para encender
nuevamente el sonido, empuje y sujete el
bot6n NUMEROS 8 SOUND ON/OFF por
3o 4 segundos "ON" pesta5earA en el
dial, mute desaparecer_, y el dial volvera
a la hora del dia
49

OPERACION
Control del homo inferior
LOWER OVEN
( )
OVEN TIMER
* MICROWAVE FAN MAY OPERATE WHILE LOWER OVEN
IS IN USE
Display (Dial) - Muestra ta hora del dia, tiempo
o temperatura durante la cocci6n, y le dice que
hacer despues
BAKE (HORNEAR)- Empuje para programar
que el homo hornee
BROIL (ASAR A LA PARRILLA)-
Le permite asar a la parrilla a todo poder
empujando los botones BROIL y START,
Le permite seleccionar "Lo Broil" para asar
m&s largo y lentamente.
CLEAN (LIMPIEZA)- Empuje para sefeccionar
Autolimpieza. Siga las instrucciones en ta
secci6n acerca del ciclo para Autotimpieza
NOTA: La puerta del homo se cerrarA con
cerrojo autom_.ticamente y el cerrojo se abrirA
s61o cuando et homo se haya enfriado.
OVEN LIGHT - Empuje para encender o
apagar ta luz del horno
OVEN COOKING TIME - Se usa para
programar la cantidad de tiempo requerida
para homear automAticamente
DELAY START TIME (HORA DE COMIENZO
DEMORADA) - Se usa para hornear o limpiar
para programar la hora del dfa en la cual desea
que el homo se encienda Cuando se use la
HORA DE COMIENZO DEMORADO con e!
OVEN COOKING TIME (TIEMPO PARA
COClNAR EN EL HORNO), el homo tambi_n
se apagar_, autom_ticamente al final de la
cantidad de tiempo para cocinar
CLOCK (RELOJ) - Empuje para poner la hora
del dfa o revisar la hora del dia cuando el dial
estA mostrando otra informaciOn
KITCHEN TIMER ON/OFF (CRONOMETRO)-
Le permite medir cualquier funci6n de cocina
START (COMIENZO) - Empuje para comenzar
cualquier funci6n de cocci6n o limpieza,
CLEAR/OFF (APAGADO) - Cancela todas las
operaciones excepto el Reloj y el Cron6metro,
Number Pads (Botones con numeros) -
Empuje estos botches para programar
cualquier funci6n que requiera nomeros; hora
del dia, cron6metro, temperatura del homo o
cantidad de tiempo para hornear o limpiar
5O

OPERACION
Control del homo inferior
Luz intermitente _"
para avisar que
programe una
temperatura o un
tiempo
DIAL DEL CONTROL
indicador de temperatura Indicador para avisar que el
del horno _homo se ha encendido
DELAYBAKE CLEAN
funcidn del homo
STARTCLOCKCLEAN
funcidn del horno
_Ubicaci6n para
la hora del dia en
el reloj,
cronometro de ia
cocina, hora de
comienzo
demorado,
cocci6n en el
homo o tiempo
de limpieza.
Et panel es una referencia fAcit de usar
mientras usa los controles Abajo estA la
descripci6n de c6mo funciona.
Indicador de la Temperatura del Horno -
Este indicador tiene un prop6sito moltiple,
• Muestra la temperatura
°Muestra el c6digo de error "ERR" -
Si el indicador de temperatura de! homo
pesta_ea "ERR", entonces usted ha
programado un tiempo o una
temperatura incorrecta Empuje el bot6n
CLEAR/OFF para despejar el control y
reprogamar la funci6n del homo.
- Muestra problemas del control - Si el
control hace pestaRear "F" y un nOmero
o letra, ha experimentado un problema
con el horno,. Por favor lea la secci6n
F-CODES en su manual,
Indicador de Encendido (ON) -
Se encenderA cuando se programa una
funci6n del homo,
indicadores de Programa- El indicador
de programa pestahearA en combinaci6n
con una funciOn del homo o una funci6n
autom&tica para avisarle que necesita
programar un tiempo o una temperatura.
Ejemplo: "SET" y "BAKE" pestaRear&n
para avisarle que tiene que programar la
temperatura para hornear.
lndicador de ia Hora - Muestra la hora
del dia, tiempo de cocci6n, hora de
comienzo demorado, hora de fimpieza o la
hora programada en el cron6metro de la
cocina.
Muestra el c6digo para recordar "PUSH
START" - Si el indicador de la
temperatura del homo pestaRea las
palabras "PUSH" y "START", entonces
usted tiene que empujar el bot6n START
para activar su programa,
tndicadores de las Funciones del Horno -
Muestran qu_ funci6n ha sido programada,
cuando la puerta del homo estA
enganchada, y si la funci6n es demorada.
51

OPERACION
Reloj y Crondmetro
El retoj debe ponerse a la correcta hora
del dia antes que una funci6n demorada
del horno funcione correctamenteo La hora
del dia no se puede cambiar durante una
funci6n demorada del homo
COMO PONER EL RELOJ
1. Empuje el bot6n CLOCK,
2. Empuje los botches con los NUMEROS
para poner la hora,
3. Empuje el bot6n START
PARA VOLVER AL RELOJ
Mientras est6 usando el homo para
cocinar en forma automatica, empuje el
botSn CLOCK, si desea ver la hora del
dfa La hora presente det d_a se ver_ en
e! dial,
CORTE ELECTRICO
Si ocurre un corte de corriente, la hora que
se muestra en el dial estara incorrecta_
Ponga nuevamente el reloj a la hora
Cualquier funci6n para cocinar de! homo
que estaba en proceso tendrA que set
reprogramada.,
El cron6metro de la cocina se usa para
medir el tiempo de los procesos para
cocinar u otras actividades del hogar, No
controla el homo, Se puede programar
hasta 9 horas y 59 minutos Contar_ hacia
atr,Cs en minutos hasta que llegue a los
ultimos 60 segundos, Cuando la cuenta
Ilegue a :0, el control sonarA 3 veces
seguido de un sonido cada 6 segundos
hasta que se empuje el bot6n HR/MIN
KITCHEN TIMER ON/OFF.
COMO PROGRAMAR EL CRONOMETRO
1. Empuje el bot6n HR/MIN KITCHEN
TIMER ON/OFF
2. Empuje los botones con los NUMEROS
para programar la cantidad de tiempo.
3. Empuje el bot6n START.
4. Cuando la cuenta Ilegue a :0, empuje
el bot6n HR/MIN KITCHEN TIMER
ON/OFF
Para cancelar el cron6metro durante
ta cuenta, empuje et bot6n HRIMIN
TIMER ONIOFF dos veces
52

OPERACION
Reloj y CronGrnetro
El nuevo control tiene una serie de tonos
que sonar_n a tiempos diferentes Estos tonos
pueden sonar mientras usted programa una
funci6n del homo, o al final de una funci6n del
homo Tambien le avisarA si existe un probfema
con una de las funciones MAs abajo est_tn los
tipos de tonos y una breve descripci6n de
cada uno
TONOS MIENTRAS PROGRAMA EL
CONTROL - Cuando empuje un bot6n usted
escuchar_ un tono. Este tono fe harb. saber que
aplic5 suficiente presi6n sobre el bot6n para
activarfo
TONO AL FINAL DE UN ClCLO
AUTOMATICO - Despu_s de una funciSn para
cocinar autom_.tica, usted escuchar_ tres tonos
cortos seguidos por un tono cada 6 segundos
El tono de cada 6 segundos seguir_, sonando
hasta que empuje el bot6n CLEAR/OFF o
usted decida seleccionar el programa especial
para canceiar y evitar que e! tono de
6 segundos suene al final de un ciclo futuro
COMO CANCELAR EL TONO DE
6 SEGUNDOS:
1. Empuje y sujete los botones BAKE y
BROIL, a la misma vez, por 3 segundos,
hasta que el dial muestre "SF"
2. Empuje el bot6n HR/MIN KITCHEN TIMER
ON/OFF El dial mostrar& "CON BEEP"
(tono continuo)
3. Empuje el botOn HRIMIN KITCHEN TIMER
ON/OFF nuevamente El dial mostrar_.
"BEEP" (tono cancelado)
4. Empuje el bot6n START, para cancelar el
tono y salir de este m6dulo especial
Si desea volver a los tonos de cada
6 segundos, repita los pasos de arriba hasta
que el dial rnuestre su selecci0n y empuje
START (comienzo)
TONO DE ATENC!ON - Este tono sonarS, si
hace un error u omite algo mientras programa
una funci6n dei homo
Unos ejemplos sedan.
a. Programar un ciclo de limpieza y la puerta
de! homo no est,. bien cerrada
b. Programar una funciOn y no empujar el
bot6n START
c, Empujar un bot6n para una funci6n
adicional sin programar primero ta
temperatura o et tiempo.
d, "ERR" pesta5ear_ si usted programa
una temperatura inv_.lida Empuje el bot6n
CLEAR/OFF para poner el dial en blanco y
reprogramar la funci6n del homo.
Cualquiera de estos se puede identificar
r_.pidamente con mirar el dial
TONO DE PRECALENTAMIENTO - Cuando
usted empieza una funci6n para hornear, et
homo comienza a calentarse autom_ticamente.
Cuando la temperatura dentro del homo Ilega a
la temperatura que usted program6, sonarS, un
tono para avisarle que el homo est_ listo para
hornear,
Si usted programa una funciSn del homo
y el control hace sonar un tono mientras
una "F" y un nOmero "F4" o "FI" estAn
pesta5eando en el dial, podrfa existir un
problema con el control. Simplemente
empuje el bot6n CLEAR/OFF y espere
una hora Trate de programar la funciOn
nuevamente, Si el c6digo se repite,
escriba el c6digo que pestaSea y tlame
para un servicio. D[gale al t_cnico qu_
codigo estaba pesta_eando.
53

OPERACION
Consejos Para Cocinar
En E1Homo
Es normal sentir un poco de olor cuando use
su homo por primera vez Esto es causado por
el calentamiento de tas partes nuevas y del
aislante Para ayudar a eliminar este olor,
ventile la habitaci6n abriendo una ventana
o usando una campana de ventilaci6n.
En la parte trasera del homo usted notar& un
pequeSo tubo. Esto es un sensor de calor que
mantiene la temperatura del homo Nunca
mueva o doble este tubo
1MPORTANTE: Nunca cubra el fondo del
homo o la parrilla del homo con papel de
aluminio Et uso inadecuado puede causar una
mala circulaci6n deI calor, pobres resultados al
hornear, y podffa daNar el acabado def horno
Para prevenir manchas debido a derrames,
usted podrfa colocar un pedazo de papel de
aluminio o una bandeja para galtetas sobre la
parrilfa debajo de la comida que se podrfa
derramar.
El precalentamiento es subir la
temperatura a la temperatura que va a
usar cuando hornee. Permita que el homo
se precaliente bien cuando las recetas
requieren precalentamiento..
La zona de temperatura baja de su horno
(entre 170°F y 200°F) estA disponible para
mantener tibios los alimentos que se hau
cocinado calientes, Sin embargo, los
alimentos no se deberian mantener a estas
bajas temperaturas por mAs de 2 horas.
La ventilacidn del homo estA ubicada
debajo dei panel de control. Esta Area se
podria calentar mucho durante et uso del
homo.. Es normal que salga vapor de la
ventilaci6n y/o que se produzca humedad
debajo cuando ei homo no est_ en uso. La
ventilaciOn es importante para la correcta
circulaci6n del aire. Nunca obstruya la
ventilaci6n
Ventilaci6n
del horno il
IOVEN "} Para prolongar la vida del foco
LIGHT J de las luces del homo, siga estos
consejos. Siempre apague las
luces cuando el homo no est_ en uso 6
durante un cicto de limpieza,. Si la luz det horno
se deja encendida por un largo periodo de
tiempo, el horno estar_ tibio cuando abra ta
puerta debido al calor generado por el foco
de tas luces del homo
54

OPERACION
Consejos Para Cocinar
EnE1Homo
La mayor[a de las recetas para hornear han
sido desarrotladas utilizando productos con
un alto contenido de manteca tales como
mantequilta y margarina (80% de manteca
por peso-iel requerimiento federal para los
productos marcados "margarina") Usted
obtendr_ malos resultados si los queques,
pasteles, tortas, galletas, o dulces son hechos
con mantequilla con bajo contenido de
manteca, Las mantequitlas y margarinas con
bajo contenido de aceite contienen menos
manteca y mAs agua El alto contenido de
agua de la mantequitla o margarina afecta la
textura y el sabor de sus recetas para hornear
favoritas Mientras m_.s bajo sea el contenido
de manteca de la mantequilta o margarina,
masse notar&n estas diferencias Para
asegurar ios mejores resultados, use
margarina, mantequilla u otras barras de estos
productos que contengan por lo menos 70%
de aceite vegetal
Los resultados de! horneado ser_ mejor si
Las cacerolas para hornear est_n centradas
en el homo Io mAs posible. SiestA
horneando con m_.s de un utensilio,
col6quelos de manera que cada uno tenga
por Io menos de l"a 11&"de espacio de aire
a su alrededor. Coloque los utensilios
de manera que ninguno quede directamente
encima de otro
LAS BANDEJAS BAJAS para galletas
permiten que et aire circule alrededor de las
galletas para que se doren en forma pareja
El Sensor de Temperatura del Homo en
la parte trasera dei homo mide y controla
continuamente la temperatura dentro det homo
Para mantener una temperatura programada
constante, los elementos har_n un cicfo de
encendido y apagado mientras el homo
cocina
LOS UTENSlLIOS BRILLANTES son
perfectos para que los queques y panes
r_pidos tengan una corteza cafe dorada
UTENSILIOS DE VIDRIO, OSCUROS
CONTRA PEGADURAS, U OPACOS POR
LA EDAD son perfectos para panes con
levadura, cortezas para pasteles o alimentos
que tengan una corteza caf6. La temperatura
del homo se deberia reducir en 25°F
55

OPERACION
Consejos Para Cocinar
En E1Homo
Las parritlas del homo est_n diser_adas con
topes, una conveniencia y tambi6n una
precauci6n de seguridad. Cuando las
parrillas estan cotocadas correctamente
en el homo, las gufas tienen un tope para
prevenir que las parrillas se den vuelta
cuando se sacan del homo.. Este dise_o
permite que las parrillas puedan ser
insertadas de s61o una manera..
Tope en
Par/_sgp faarsillas t_
La posici6n de mAs arriba es solamente una
gufa No puede ser usada como posici6n para
una parrilla.
Guide
--4
--3
--2
--1
Siempre coloque ias parrillas del homo en la
posiei6n correcta cuando el horno est_ frfo.
Usted podria pensar que su homo nuevo
cocina diferentemente al horno que
reemplaz6 Le recomendamos que use su
homo nuevo por varias semanas para que
se familiarice mAs con 61, siguiendo los
tiempos que se dan en la receta como una
guia. Si cree que su horno est_ funcionando
demasiado caliente o frio para su
preferencia, vea Ajustes-Hagalos Usted
Mismo en la parte de atr_s de este manual
para hacer los ajustes..
Cuando use su conveniente operaci6n de
Comienzo Demorado, los alimentos tales como
productos I_cteos, pescado, ayes, etc., nunca se
deberfan dejar expuestos por m_s de una hora
antes de ser cocinados. La temperatura ambiente
y el calor de la luz del homo promueven el
crecimiento de bacterias.
Si abre la puerta frecuentemente para mirar los
alimentos, causara una p_rdida de calory
malos resukados cuando hornee
56

OPERACION
C6mo Hornear
I 1 1. Empuje el bot6n BAKE.
BAKE
=
START 3.
Empuje los botones
con los NUMEROS para
seleccionar la temperatura
det homo que prefiere usar
Empuje el bot6n START
Para programar que el homo cocine
por un tiempo especffico y se apague
automAticamente
] 1. Empuje el bot6n BAKE
BAKE
03
OVEN /
;o%.0j
ISTARTI
2. Empuje los botones
con los NUMEROS para
seleccionar la temperatura
del homo que prefiere usar
3. Empuje el bot6n OVEN
COOKING TIME,
4, Empuje los botones
con los NUMEROS para
programar la cantidad
de tiempo que prefiere
para cocinar los atimentos
5. Empuje eE bot6n START
Para programar que el horno empiece en
forma demorada, cocine pot un tiempo
especffico y se apague automAticamente
BAKE)
1. Empuje el Bot6n BAKE
=Empuje los botones
con ios NUMEROS para
seleccionar la temperatura
del horno que prefiere usaro
CVEN /
OOKING I
TIME J
3. Empuje et botOn OVEN
COOKING TIME,
4,
DELAY 15.
STARTJ
[START]
Empuje los botones con los
NUMEROS para
programar la cantidad de
tiempo que prefiere para
cocinar los alimentos
Empuje el botOn DELAY
START TIME
Empuje los botones
con los NUMEROS para
programar la hora del dia
en la cual prefiere que el
homo se encienda
7, Empuje el bot6n START
Estas operaciones del homo se pueden
usar para asar. El horno se apagar_ al
t_rmino del tiempo para cocinar a
menos que el programa para
mantenci6n de temperatura se haya
activado. (Vea la secci6n de "C6mo
Programmar Funciones Especiales.")
57"

OPERACION
C6mo Asar A La Parrilla
Asar es cocinar al calor directo del elemento
superior. La puerta del homo deber[a
permanecer abierta en ta posici6n de tope
para asar cuando ase a la parrilla
No es necesario precalentar el homo cuando
ase a la parrilla Use la cacerola y la parrilla
para asar que viene con su estufa Ambas
est_.n diseNadas para drenar adecuadamente
la grasa y los Ifquidos.
p,- 4
[_ uando use papet de aluminio,
el papel de aluminio debe estar
moldeado firmemente a la parrilla
y los cortes en el papel deben
coincidir con los cortes de ia parrilla. Esto
permite que la grasa y los tfquidos caigan
a la cacerola, evitando que se produzca un
incendio y humo excesivo.
Siempre saque la
cacerola y ia parrilla
del homo. Guardar y
olvidar una cacerola
para asar sucia en el
homo es un peligro
para producir un incendio o humo.
El Departamento de Agricultura de los
Estados Unidos recomienda cocinar la
came y las aves completamente--la
carne a un cator INTERNO de por 1o
menos 160°F y las ayes a un calor
INTERNO de por to menos t80°R
El cocinar a estas temperaturas
generatmente protege contra
enfermedades causadas por los
alimentos.
Mientras mAs cerca coloque los alimentos
del efemento para asar, m&s r_tpido se
dorarAn por afuera, pero quedando rojo o
rosado en el centro.
Colocando las carnes lejos del elemento
permitir_, que las carnes se cocinen en el
centro mientras se doran por afuera
Usando estas posiciones, cocine el lado 1
por Io menos 2 minutos m&s que el lado 2.
Si su horno est,. conectado a 208 voltios,
usted podda usar una posiciOn de parrilla
mAs alta y/o cocinar los alimentos por m&s
tiempo.
El tamaRo, peso, grosor, temperatura
inicial y su preferencia personal afectarA el
asado a ta parrilla. Esta tabla est#. basada
en carnes a la temperatura del
refrigerador.
ALIMENTO
Bistec1"degrueso
Tortasdecame
molida- 1" de grueso
Chuletasde cerdo-
1/2"degrueso
Pescado(filetes)
Polio(presas)
POSICION
DE
PARRtLLA
3
3
TIEMPO
TOTAL
(minutos)
9-11
16-18
327--29
3 11-'13
2 45-55
la,
'1b.
2_
3.
Empuje el bot6n BROIL,(Esto
autom_ticamente programa ASADO
en HI-ALTO)
Mientras el indicador de programa
pestaRea en el dial, empuje
nuevamente el bot6n BROIL si
prefiere asar en BAJO (LO). Ase
en LO (BAJO) para cocinar bien
alimentos tales como aves o cortes
de came gruesos sin que se doren
demasiado.
Empuje el bot6n START,
Cuando termine de asar, empuje el
bot6n CLEAR/OFF,
58

OPERACION
CSmo Seleccionar Programas
Especiales Del Control
El nuevo control a botones tiene programas
adicionales que usted puede seleccionar Las
funciones para cocinar, limpiar y cron6metros
no deben estar en uso
El control se programa autom_ticamente para
apagarse despu_s de hornear por 12 horas o
despu_s de asar a ta parrilla por 3 horas en caso
que se le olvide y deje et homo encendido Si
desea eliminar este programa:
1. Empuje y sujete, a la misma vez, por
3 segundos, el bot6n BAKE y BROIL,
hasta que el dial muestre "SF"
2. Empuje el bot6n DELAY START TIME El dial
muestra "12Shdn" (apagado en I2 horas)
Empuje el bot6n DELAY START TIME
nuevamente El dial mostrar_ "no Shdn"
(no apagado)
3. Empuje el bot6n START
El control del homo est& programado para la
selecci6n de temperaturas en Fahrenheit La
mayorfa de fas recetas se dan usando la escala
Fahrenheit Seleccion de temperatura en grados
Fahrenheit y Centigrados Usted puede cambiar
esto para usar la selecci6n en Centigrados
1. Empuje y sujete, a la misma vez, los botones
BAKE y BROIL por 3 segundos, hasta que el
dial muestre "SF"
2. (a) Empuje el bot6n BROIL El dial del control
mostrarA el signo para grado y "F"
(b) Empuje el bot6n BROIL nuevamente Esto
cambiar,_ F° (Fahrenheit) a C° (Centigrado)
3. Empuje et bot6n START
2_
Su control estA programado para usar et reloj en
12 horas Si usted prefiere usar Hora Militar de
24 horas o poner el dial en blanco 3.
1. Empuje y sujete, a la misma vez, por
3 segundos, et bot6n BAKE y BROIL
hasta que el dial muestre "SF" 59
(a) Empuje el bot6n CLOCK El dial mostrarb.
"12hr" Si 6sta es su selecci6n, empuje el
bot6n START
(b) Empuje el bot6n CLOCK nuevamente El
dial mostrar& "24hr " Ejemplo: 5:00 en el
reloj de 12 horas leer_t 17:00 en et reloj de
24 horas Si 6sta es su selecci6n, empuje el
bot6n START
(c) Empuje el bot6n CLOCK nuevamente
El dial ahora mostrar_, "OFF" (La hora no
se mostrar_, en el dial) Si 6sta es su
selecci6n, empuje START. La hora no
se mostrar_, en el dial La funci6n para
programas demorados no funciona cuando
e! retoj est,. apagado
Et control le permitir_ cerrar los botones de
manera que no se puedan activar cuando los
empuje Si se preocupa de dejar el homo sin
supervisi6n, active este programa
1. Empuje y sujete, a ia misma vez, por
3 segundos, los botones BAKE y BROIL
hasta que el diat muestre "SF"
2. (a) Empuje el bot6n CLEAN El dial muestra
"LOC OFF" (cierre inactivo)
(b) Empuje el bot6n CLEAN nuevamente Et
dial mostrar& "LOC ON" (cierre activado)
3. Empuje el bot6n START
Este programa se puede seteccionar
solamente cuando el homo no est_ en uso,
Cuando este programa est6 activado, el control
sonarb, y et dial mostrarb. "LOC," si se empuja un
bot6n
El nuevo control tiene un programa de
mantenci6n de temperatura para cocinar
automAticamente solamente que mantendr_t
la comida que ha sido cocinada tibia hasta 3
horas despu_s que el cocinado autom_.tico
termina Para activar este programa:
1. Empuje y sujete, a la misma vez, por
3 segundos los botones BAKE y BROIL
hasta que el dial muestre "SF."
2. (a) Empuje el bot6n OVEN COOKING
TIME El dial mostrarb. "HLd OFF "
(b)Empuje el bot6n OVEN COOKING TIME
nuevamente para activar este programa.
El dial mostrar_. "HLd ON"
Empuje et bot6n START

CUIDADO Y LIMPIEZA
El Ciclo De Autolimpieza
1. Saque la cacerola y la parrilla para asar,
utensilios, y cualquier papel de aluminio
que podria quedar en el homo
2. Si su homo estA equipado con parrillas de
n[que!, ias mismas deben set removidas
Si su homo est,, equipado con parrillas
cubiertas de porcelana gris, las mismas
deben set removidas durante el ciclo de
limpieza automAtica
3. La suciedad sobre el marco frontal
y afuera del setlo del revestimiento de la
puerta necesitarA ser limpiada a mano
Marco frontal
i--
//< i _ Sello de la i:
Revestimento de la puerta"
\
Limpie estas Areas con agua caliente, lanillas
con jab6n o limpiadores como Soft Scrub para
sacar cuafquier suciedad Enjuague bien con
agua limpia y seque
No use limpiadores de hornos - NingOn
limpiador de hornos para usos comerciales o
revestimiento de protecci6n debe ser usado en
el interior o alrededor del homo
4. Limpie cualquier derrame pesado del
fondo del homo
No limpie el selto de la puerta del
homo E! material de fibra de vidrio
de la puerta del homo no soporta la
abrasi6n Es esencial que el sello
permanezca intacto Si nota que se
est,. gastando o trizando, deberia ser
reemplazado
g
El sello de la puerta est.. dise_ado para
que tenga un espacio de 5"- 6" en el fondo
del homo
Panel de la puerta Sello
\
I
f 6" 1
Revestimento de la puerta
Esto permite la circulaci6n adecuada
det aire Es normal que su homo d_ la
apariencia de no tener un buen sello sobre
el homo Esto se debe al sello. La
ubicaci6n de] sello sobre la puerta
mantiene la puerta sellada y previene
cualquier perdida de caloro
-'4
Los utensilios nunca se
deberian dejar dentro del
horno durante un cicio de
limpieza.
Las parrillas de nfquel del horno se
podrfan limpiar durante el ciclo de
autolimpieza, pero perderRn su brillo
y se pondrRn dificiles de deslizar. Si
decide dejarlas dentro durante el
ciclo de limpieza, pRseles aceite
vegetal para que se deslicen mrs
fRcilmente.
Las parrillas cubiertas de porcelana
gris pueden ser limpiadas con
seguridad en el interior del horno
durante el ciclo de limpieza
autom_tica. Si usted le pasa un trapo
parcialmente empapado con aceite
vegetal despu_s del ciclo ayudarR a
que la iimpieza sea mrs eficiente.
Durante el primer ciclo de limpieza,
ventile la habitaci6n con una ventana
abierta o una campana de
ventilaci6n.
L[UU II[llJlI[II[J[[[1_U[I[
6O

CUIDADO Y LIMPIEZA
Ciclo De Autolimpieza
Et Ciclo de Limpieza estA programado
para 4 horas, pero usted podda cambiar
esto desde 3 horas si et homo esta
levemente sucio a 5 horas si e! homo estA
muy sucio.
CLE_ 1. Empuje e! botOn CLEAN,
MostrarA 4 horas en el dial,
=Si desea cambiar la
cantidad de tiempo para
limpiar, empuje el bot6n de
los NUMEROS
3. Empuje el bot6n START.
Simplemente empuje el bot6n CLEAR/
OFF,, Usted necesitarA esperar a que la
temperatura del horno baje mAsque la
temperatura de enganche (aprox. 1 hora)
antes de tratar de abrir la puerta,, "Locked
Door" desaparecer_ del dial
Despu6s del ciclo usted podda notar un
poco de cenizas blancas en el horno
Simplemente lfmpielas con un paso o
esponja humeda,
Si atgunas manchas blancas persisten,
fri6guelas con una tanilla de acero con
jab6n. AsegQrese de enjuagar bien, Estas
son generalmente dep6sitos de sal que no
se pueden sacar durante el ciclo
Si por alguna raz6n usted no queda
satisfecho con los resultados de la
limpieza, simplemente repita el ciclo.
1. Empuje el bot6n CLEAN
2. Si desea cambiar la
cantidad de tiempo para
limpiar, empuje e! bot6n de
los NUMEROS
3. Empuje el bot6n DELAY
START TIME
4, Empuje los botones con los
NUMEROS para programar
fa hora de comienzo del
ciclo.
5. Empuje el bot6n START
61

CUIDADO Y LIMPIEZA
Limpieza Microonda$
MATERIALES DE LIMPIEZA
• PaSo humedo
•Lanilla para fregar de pl&stico
•Detergente liquido para platos
• Agua tibia
Limpie con un detergente para platos
suave y agua, entonces enjuague bien
con un paRo hQmedo. Si desea, puede
hacer hervir un contenedor con agua en
el homo usando energia de microondas.
Esto ayudara a soltar la suciedad_ Para
suciedad dificit de limpiar, limpie
cuidadosamente con una lanilla para
fregar de plAstico No use limpiadores
abrasivos que puedan rayar on da_ar
la superficie. No utilice esponjas de
metal para limpiar; algunos trozos de
material pueden desprenderse y causar
choques el_ctricos.
COMO LIMPIAR
Lave con jaboncilto tibio. Para suciedad
mas dificil de limpiar, friegue suavemente
con una lanilla de nil6n y un limpiador que
no sea abrasivo.. Enjuague bien..
COMO COLOCAR LA BANDEJA
GIRATORIA DE VIDRIO
Coloque la bandeja giratoria de vidrio,
asegOrese que la bandeja giratoria de
vidrio est6 bien alineada con el soporte
de la bandeja giratoria.
MATERIALES DE LIMPIEZA
•PaRo suave
• Agua tibia
•Detergente para platos
Limpie las salpicaduras o derrames
mientras estAn tibios Use un detergente
para platos suave y agua tibia, luego
enjuague con agua iimpia, seque con un
pa5o suave_
MATERIALES DE LIMPIEZA
•Lanilla para fregar de nil6n no abrasiva
• Limpiadores no abrasivos
• Agua tibia
• detergente para platos
COMO SAOAR LA BANDEJA
GIRATORIA
Tome la bandeja giratoria de ambos tados
y lev&ntela derecho hacia arriba
Bandeja
de wdno
Soporte de f
la bandeja /
i\62
MATERIALES DE LIMPIEZA
•Agua tibia
•PaSo suave
• Detergente para plates
Limpie con un detergente para platos
suave y agua tibia. Enjuague con agua
limpia y seque con un paRo suave
MATERIALES DE LIMPIEZA
• PaRo suave
Abra la puerta del homo para prevenir
que el homo se encienda mientras So estA
timpiando Limpie el panel de control con
un paRo humedo. Seque inmediatamente
con un paRo seco para prevenir
manchas..

CUIDADO Y LIMPIEZA
Limpieza Homo Inferior
QUE MATERIALES DE LIMPIEZA USAR
•Detergente lfquido para platos
o Agua tibia
°PaSo suave
No use limpadores abrasivos, limpiadores
industriales, o blanquedores (cloro).
PARA LIMPIAR
Limpie con agua tibia con jab6n Enjuague y
seque bien
QUE MATERIALES DE LIMPIEZA USAR
°Detergente lfquido para platos
°Agua tibia
•Lanillas de acero con jab6n
•Limpiador comercial para hornos
COMO LIMPIAR
Permita que la cacerola se remoje Ponga
detergente para platos sobre la parrilia y cubra
con un paso o una toalta humeda por un rato
Friegue a medida que sea necesario. Lave,
enjuague, y seque bien Usted tambien podria
porter la cacerota y la parritla en la lavadora de
platos
PARASACAR
Tirelasparrillashaciaafuerayhaciaarriba,
PARA COLOCARLAS NUEVAMENTE
Coloque la parte levantada de ia parrilla sobre
un par de galas para parrillas Empuje hasta
que Ilegue a un tope, levante e! frente de la
parrilla hasta que la parte de atras se deslice
fAcilmente bajo el tope Empuje la parrilta hacia
el homo
Limpie solamente para retocarlas entre
cicios de limpieza. Use detergentes
liquidos para platos, agua tibia, o lanillas
con jab6n, Enjuague bien despu6s de
limpiar y seque
NUNCA USE LIMPIADORES PARA
HORNOS DENTRO O ALREDEDOR DE
CUALQUIER PARTE DEL HORNO.
Cuando limpie, asegOrese de no doblar
o mover el sensor de la temperatura
ubicado en la pared trasera del homo,
QUE MATERIALES DE LIMPIEZA USAR
°Limpiador para vidrio
•Toallas de papel
•Soda para hornear
PARA LIMPIAR
Para timpieza diaria, use un limpiador
para vidrios y una toalla de papel, Para
suciedad pesada, use una pasta de soda
para hornear y agua. Enjuague bien,
QUE MATERIALES DE LIMPIEZA USAR
° Detergente para piatos
•Lanillas con jab6n
° Agua tibia
PARA LIMPIAR
Lave y enjuague bien.
63

CUIDADO Y LIMPIEZA
Partes Removible$
_LL U LIJJJ ZLJL[ II I I I Ill Illllllllllll I
_RECAUCION: Desconecte
el poder el6ctrico hacia el
homo en la caja del circuito
principal o en la caja de los
fusibles antes de tratar de reemplazar
el foco de la luz del horno. No toque
un foco de la hJz caliente con las
manos mojadas o con un patio
ht_medo. Espere a que el foco se
enfrfe y use un patio seco.
'I Illlll Illllll _,d
Sujetador
del vidrio _.
Collar con
electricidad
Focc Cubierta
de vidrio
COMO SACAR LA CUBIERTA
1. Desconecte el paso de la electricidad al
homo en el interrupter del circuito
principal o en la caja de los fusibles
2. Tome la cubierta de vidrio y h_tgala girar
1/4 de vuelta contra el reloj hasta que las
aletillas de la cubierta de vidrio pasen por
sobre las ranuras del sujetador det vidrio.
COMO REEMPLAZAR EL FOCO
DE LA LUZ
Desatornille el foco de la luz y reempl_.ceio
con un foco para aparator el6ctricos de 40
watts.
PARA REEMPLAZAR LA CUBIERTA
1, Coloque las aletillas de la cubierta de
vidrio en la ranura del sujetador del vidrio.
2. Haga girar ia cubierta de vidrio
1/4 de vuelta en direcci6n del reloj.
3. Reconecte ia electricidad al homo,
Para mejorar la luz dentro del horno, limpie la
cubierta de vidrio frecuentemente con un
patio mojado. Precauci6n: Esto se deberia
hacer solamente cuando el homo est_
completamente frio. 64
MATERIALES DE LIMPIEZA
° Detergente para platos
°Agua tibia
° Lanas para fregar o lanilla con jab6n
Parte trasera
levantada de
la parrilla
COMO SACAR
1. Tire las perriltas hasta la posici6n
de tope,
2. Levante et frente de la parrilla y
deslfcela bajo el tope de la gufa para
las parrillas,
PARA LIMPIAR
Limpie con agua tibia y detergente Para
sacar manchas duras, friegue levemente
con lana para fregar o con una lanilla con
jab0n. Enjuague bien, Las parrillas
cubiertas de porcelana gris pueden ser
limpiadas con seguridad en el interior del
homo durante el ciclo de limpieza
autom_.tica,
PARA COLOCAR NUEVAMENTE
1. Coloque la parte levantada de atr&s de
la parrilla sobre las guias
2. Levante el frente de la parrilla hasta
que la parte levantada de atrAs se
deslice per debajo del tope de las
gufas.
3. Deslice la parrilta hasta atrAs_

CUIDADO Y LIMPIEZA
Partes Removibles
COMO SACAR
1.
2.
Abra la puerta Cerradura de
corn pletamente, bisagra
(posmmn
Empuje los topes ._ abierta)
de las bisagras
el marco de la
puerta, a la ,_;:4 _#'i
posici6n de ,., ....
abierto, Salga ]
Esto podda
requerir un !
cabezadest°rnillad°rplanade :,
Brazo de la
bisagra
3. Tome firmemente los ,:: ::;...............'
lados de la puerta
de arriba _....
4. Cierre la puerta a la
posiei6n de saque la
cual se encuentra ....
: ,
entre la posici6n
intermedia y
totalmente cerrada
5. Levante la puerta y
haga un movimiento
de extracci6n hasta Posici6n
de saque
que el brazo de la
bisagra salga
de la ranura
COMO PONERLA NUEVAMENTE
.
Tome firmemente
los dos lados de
la puerta de arriba,
Con la puerta en e!
mismo Angulo de
extracci6n, coloque la
hendidura del brazo de
la bisagra dentro del
borde del fondo de la
ranura de la bisagra
La muesca en el brazo
de la bisagra debe estar
totalmente asentada en
el rondo de la ranura
Ranura
del
borde
del
fondo
Indenci6n
Brazo
de la
bisagra
65
Puerta removible del horno (cont.)
3. Abra completamente
la puerta
4. Empuje los topes de
las bisagras hacia
arriba contra el
marco frontal de la
cavidad del homo, a
la posici6n de cierre.
5. Cierre la puerta del
homo,
Posici6n de
cierre
Brazo de bisagra
sellada
COMO LIMPIAR AFUERA DE LA
PUERTA
Use jab6n y agua para limpiar bien la
superficie, tados, y frente de la puerta
del homo_ Enjuague bien. Usted tambi6n
podr[a usar un limpiador de vidrio para
limpiar el vidrio exterior de la puertao No
permita que el agua gotee dentro de Ias
aberturas de la ventifaci6n.
• Los derrames de salsas para aliSar,
jugos de fruta, salsas de tomate, y
materiales para sasonar que contengan
&cidos podr[an causar una
descoloraci6n y se deber[an limpiar
inmediatamente., Cuando la superficie se
enfrie, limpie y enjuague
• No use limpiadores para hornos, polvos
para limpiar, o abrasivos duros en la
parte exterior de fa puerta
°Si cualquier mancha sobre la moldura
de la ventilaci6n de la puerta persiste,
use un limpiador abrasivo suave y un
fregador de esponja para mejores
resultados
COMO LIMPIAR ADENTRO DE LA
PUERTA
Debido a que el _rea dentro del sello se
limpia durante el ciclo de autolimpieza,
usted no necesita limpiar esto a mano.
El b.rea afuera del selto y el revestimiento
de ta puerta se pueden limpiar con una
lanilta llena con jab6n, agua caliente, y
detergente Enjuague bien con una
soluci6n de vinagre y aguao

ANTESDELLAMARPARAUNSERVICIO
Para ahorrar tiempo y dinero, antes de flamar para un servicio, revise la lista de mb.s abajo
para cualquier problema que usted crea que tiene con el funcionamiento de su estufa Si
el problema es algo que usted no puede reparar, use los Numeros de Servicio para el
Consumidor que se encuentran al final de este gufa Cuando haga un Ilamado, tenga
disponible el nLimero de modelo, nQmero de serie, lista de partes para reparaciones,
gufa para el uso y cuidado y la fecha de compra.
PROBLEMA POSIBLE CAUSA POSIBLE SOLUClON
El dial del control Mal funcionamiento de e! Empuje e! bot6n CLEAR/OFF. Permita que
pestafiea una "F" homo la estufa se enfrfe por una hora y ponga
seguida por un n_mero nuevamente el homo en funcionamiento
o letra. Si el problema se repite, ilame para un
servlcto.
I
E! homo y los controles a. No pasa electricidad a el a. Revise la caja del circuito o los
del horno no funcionan, homo fusibfes AsegOrese que el cord6n
de la corriente este enchufado
b. E1reloj estA en fa funci6n b< Yea la secci6n de "C6mo
en blanco Programmar Funciones Especiales"
en este manual
Latemperaturadel homo Calibraci6n del Yea las instrucciones para ajustar la
pareceestarinexact& control del homo. temperatura que siguen esta secci6n
La puerta del homo no El ciclo de limpieza no ha La temperatura del homo debe bajar a
se desengancha, terminado menos de la temperatura de enganche
antes que la puerta pueda abrirse
La luz del homo no a. Interruptor de la tuz en a. Revise la posici6n det interruptor de
funciona, posici6n de apagado la luz del homo
b. Foco de la tuz est_ suelto b. Revise el foco de la luz del homo
o quemado
Ethornono acepta Se seleccion6 la opci6n Vea la secci6n de funciones
programapara en grados Centfgrados+ especiales
hornear.
El horno no se limpi6 o a. Los controles no se a. Lea la secci6n de autoNmpieza de
los resultados fueron pusieron bien este manual
maloso b. El horno estaba demasiado b. Los derrames grandes se deberfan
sucio iimpiar antes de programar un ciclo
Usted tambi_n podria repetir el ciclo
c. Et ciclo de limpieza fue c. El ciclo de timpieza normal debeda
interrumpido ser de 4 horas
J_l[il[I[l] W I[IJIJll'lll[
La parrilla del Las parrillas de nfquel PAsele un trapo parcialmente
homo no se fueron dejadas en el interior empapado con aceite vegetal
desliza con del horno durante et para limpiarlo
facilidad, proceso de limpieza
autom_tica
66

ANTESDELLAMARPARAUNSERVICIO
PROBLEMA POSIBLE CAUSA POSIBLE SOLUCION
El horno humea. a. Homo sucio
b. Mal uso de papel de
atuminio
c. Se dej6 la cacerola para
asar con grasa dentro del
homo
a. Vea que no hayan derrames grandes
b, No se recomienda el uso del pape! de
aluminio
c. Limpie la cacerola y la parrilla despu_s
de cada uso
El horno a. El aislante det homo a.
emite un olor. podrfa emitir un olor
durante los primeros
usos,
b. No limpiar el exceso de b_
suciedad antes del ciclo
de autolimpieza
Ponga el homo en un ciclo de
autolimpieza para acelerar e! proceso
de eliminar el olor.
Limpie e! exceso de suciedad antes de
comenzar un ciclo de autolimpieza
No se puede El cron6metro de la cocina Use el cron6metro del homo inferior
cocinar en el estA en operaci6n (No se puede cocinar en el microondas
microondas, y usar el cron6metro de la cocina a la
misma vez)
a. E1homo no se precalent6 a. Aseg6rese de precalentar hasta que
Los alimentos
no se hornean
adecuadamente. b. Posici6n incorrecta de la
parrilta o la cacerola
c, La ventilaci6n del homo
est,. obstruida o cubierta
d. Uso incorrecto del papel
de aluminio
suene el tono, cuando la receta
1orequiera,
b, Mantenga un espacio de aire uniforme
alrededor de las ollas y utensilios Vea la
secci6n para cocinar en el Homo
c. Mantenga ta ventilaci6n despejada.
d. No cubra las parrillas cuando hornee
et Temperatura incorrecta
para et utensilio usado
f° La temperatura det homo
necesita ajuste
g. El homo o la parrilla del
homo no estAn niveladas
h. Controles det homo mal
puestos
e. Reduzca ta temperatura en 25 grados
para utensiNos de vidrio, oscuros
u opacos
f. Revise la secci6n de ajustes a la
temperatura que sigue esta secci6n
g. Vea las instrucciones de instalaci6n
para la nivelaci6n
h. Vea la secci6n para hornear
Todo esto es normal en su Homo Microondas:
* Escape de vapor alrededor de la puerta
• Reflecci6n de luz alrededor del marco exterior de la puertao
• Ruido apagado mientras el homo estA en uso
• El ventilador del microondas podrfa operar con ambos hornos apagados, Est,. enfriando
el control y se apagar_, solo.
• DisminuciOn de la luz del homo y cambio en el sonido del ventilador podrian ocurrir si
se opera a un nivel de poder que no sea alto
•Atgo de interferencia con la TV y radio se podrfa notar cuando use el homo microondas.
Es similar a la interferencia causada por otros aparatos el6ctricos pequeRos y no indica
un problema con su homo
67

ANTESDELLAMARPARAUNSERVICIO
PROBLEMA POSIBLE CAUSA POSIBLE SOLUCION
Los alimentos no
se asan
adecuadamente.
a. Posici6n incorrecta de la
parrilla
b. El homo se precafent6
c. Mal uso de papel de atuminio
d. La puerta del homo se cerr6
durante el asado a la parrifla
e. Bajo voltage (208 Voltios)
f. Cantidad de tiempo incorrecta
para asar.
g. Controles del homo real
puestos
a. Revise la posici6n de las cacerolas, vea fa
secci6n para asar a la parrilla
b. No precatiente cuando ase a la parrilla
c. Lea la secci6n para asar a la parriila
d. Abra la puerta a la posici6n de tope para
asar
e. Use una posici6n de parrilla m_s alta y/o ase
pot m&s tiempo
f. Vea la tabla para asar en la secci6n de c6mo
asar a ta parrilta
g. Vea la secci6n para asar
Las comidas
se cocinan
demasiado o muy
poco
a. Insuficiente cantidad de
tiempo cuando se cocina con
la funci6n de tiempo porque
las temperaturas iniciales de
los alimentos varian mucho
b. Se program6 un nivet de
poder incorrecto
c. Et plato no se hizo girar, no
se revotvi6 como lo requiere
ta receta
d Demasiados platos en el
homo a la misma vez
e. Los alimentos no se
descongetaron bien
f. Mal uso de las cubiertas
a. La variaci6n de la densidad de la comida
algunas veces requiere m_fistiempo de
cocci6n
b. _,Esla receta probada y confiable?
c. Siga las instrucciones de la receta
d. No tlene demasiado el homo
e. Vea la secci6n de la descongelaci6n del
manual
f. Sigalasinstruccionesenestemanualyen la recela
68

AJUSTESDE TEMPERATURA-
"HAGALOSlISTED MISMO"
Usted podrfa pensar que su nuevo homo
cocina diferentemente al horno que
reemptaz6. Recomendamos que use su
homo nuevo unas pocas semanas para
que se familiarice con _1, siguiendo los
tiempos que se dan en las recetas como
una g uia,,
Si cree que su nuevo homo estA
funcionando demasiado caliente (quema
la comida) o no calienta lo suficiente (la
comida no queda bien cocida) usted
mismo puede ajustar la temperatura. La
apariencia y la textura de los alimentos
son mejores indicadores de la exactitud
de un homo que un termOmetro Estos
term6metros pueden variar entre 20-40
grados de la verdarer temperatura del
homo, AdemAs, la puerta se tiene que
abrir para leer estos term6metros Abrir la
puerta cambiara la temperatura del homo,
Para decidir en cuAnto cambiar la
temperatura, suba la temperatura del
homo en 25 grados (si los alimentos no
quedan bien cocidos) o baje la
temperatura en 25 grados (si la comida
se quema) de la temperatura de la receta,
luego hornee,, Los resultados de esta
"prueba" le debedan dar una idea de
cuAnto se debeda cambiar la temperatura.
+
[33
1Mientras el homo no estA
en uso, empuje y sujete
los botones BAKE y BROIL,
por 3 segundos, hasta
que el dial muestre "SFo"
2. Emuje el bot6n BAKE
Un numero puesto en
f_tbrica de dos digitos
aparecera en el dial,
generalmente "00."
Si piensa que el homo
no est_ suficientemente
caliente,
3a. Empuje el bot6n con la
flecha NUMEROS para
aumentar (+)la
temperatura hasta un
m&ximo de +35°F,
Si piensa que el homo
estd demasiado caliente,
3b. Empuje el bot0n con la
flecha BAKE y NUMEROS
para bajar (-)la
temperatura hasta un
m&ximo de -35°F,
4. Empuje el bot6n START,
Este aumento o disminuici6n en la
posici6n de la temperatura permanecerA
en la memoria hasta que los pasos de
arriba sean repetidos, Un corte de
corriente no afectarb, esta posici6n.
Las temperaturas para asar a la parrilla no
serAn afectadas.
69

NOTAS
70

GARANTIADEL HORNODE
PARED EMPOTRADO
fUN ANO COMPLETO DE GARANT|A PARA TODAS LAS PARTES
Si, dentro de un aRo de la fecha de instalaciOn, cualquier parte deja de
funcionar adecuadamente debido a un defecto en el material o la obra
de mano, Sears ta reparar_t o reemplazarA, a nuestra opciOn, sin costo.
GARAi',ITiA DEL MAGNETRIJN COMPLETA DE CINCO A_IOS
Por cinco a_os a partir de ta fecha de instalaciOn si el magnetr0n fallara por
un defecto en los materiales o mano de obra, Sears Io reparara sin costo.
Si et producto esta sujeto a un uso diferente al residencial privado,
la anterior garantia s01o estarA vigente por 90 dias unicamente.
EL SERVICIO DE GARANTIA ESTA DISPONIBLE PONIENDOSE EN
CONTACTO CON EL CENTRO DE SERVICtO SEARS MAS CERCANO EN
LOS ESTADOS UNIDOS_
Esta garantfa le brinda derechos legales especificos, y usted tambiOn
podria tener otros derechos que varfan de estado a estado,.
Sears Roebuck and Co. Dept. 817 WA Hoffman Estates, IL 60179
,,J
Para ampliar el valor de su horno,
compre un contrato de mantenimiento Sears.
Afios de cobertura de propiedad ler a_o 2do a_o 3er a_o
1. Reemplazo de ]as partes defectuosas GCM CM
2. RevisiOn de mantenimiento preventivo CM CM CM
anual a solicitud de usted
%. j
G - Garantfa CM -Contrato de Mantenimiento
Los aparatos electrodomesticos Kenmore estAn dise_ados, fabricados y
probados por aRos de operaciOn confiabte. Sin embargo, cualquier aparato
electrodom_stico podda requerir un servicio cada cierto tiempo_ El Contrato
de Mantenimiento Sears le ofrece un excelente programa de servicio para
su producto
La tabla de arriba muestra los beneficios adicionales que un Contrato de
Mantenimiento Sears ofrece comparado a una Garantia Sears.
POngase en contacto con su Servicio de Ventas de Sears o con un Centro de
Servicio Sears para comprar un Contrato de Mantenimiento Sears.
71

For repair of major brand appliances in your own home...
no matter who made it, no matter who sold it!
1-800-4-MY-HOME ® AnylJrne,dayornight
(1-800-469-4663) (U.SoA. and Canada)
www, searsocorn www.sears.ca
For repair of carry-in products like vacuums, lawn equipment and
electronics, call for the nearest Sears Parts and Repair Center.
1-800-488-1222 Anytime, day or night (USA only)
www.sears.com
For the replacement parts, accessories and owner's manuals
that you need to do-it-yourself, call Sears PartsDirectSU!
1-800-366-PART 6 a.m,- 11 pmo, 7 days a week
(1-800366-7278) (USA only)
www._ears.com/partsdireet
To purchase or inquire about a Sears Service Agreement
or Sears Maintenance Agreement:
1-800-827-6655 (u.s.A) 1-800-361-6665 (Canada)
7 _m.- 5 pmo, CST, Mon. - Sat 9 am. - 8 pom. EST, M -F, 4 p.m. Sat
Para pedir servicio de reparaci6n a
domicilio, y para ordenar piezas:
1-888-SU-HOGAR sM
'_' i _. (1-888-784-6427)
© Sears,Roebuck and Co.
® Registered Trademark /TMTrademark /SMService Mark of Sears, Roebuck and Coo
® Marca Registrada /T_ Marca de F&brica /SMMarca de Servicio de Sears, Roebuck and Co,
Mc Marque de commerce /MDMarque d_pos_e de Sears, Roebuck and Co.
72
Au Canada pour service en fran(Fais :
1-800-LE-FOYER Mc
(1-800-533-6937)
_.sea.rs.ca
[ H°meCentral®J