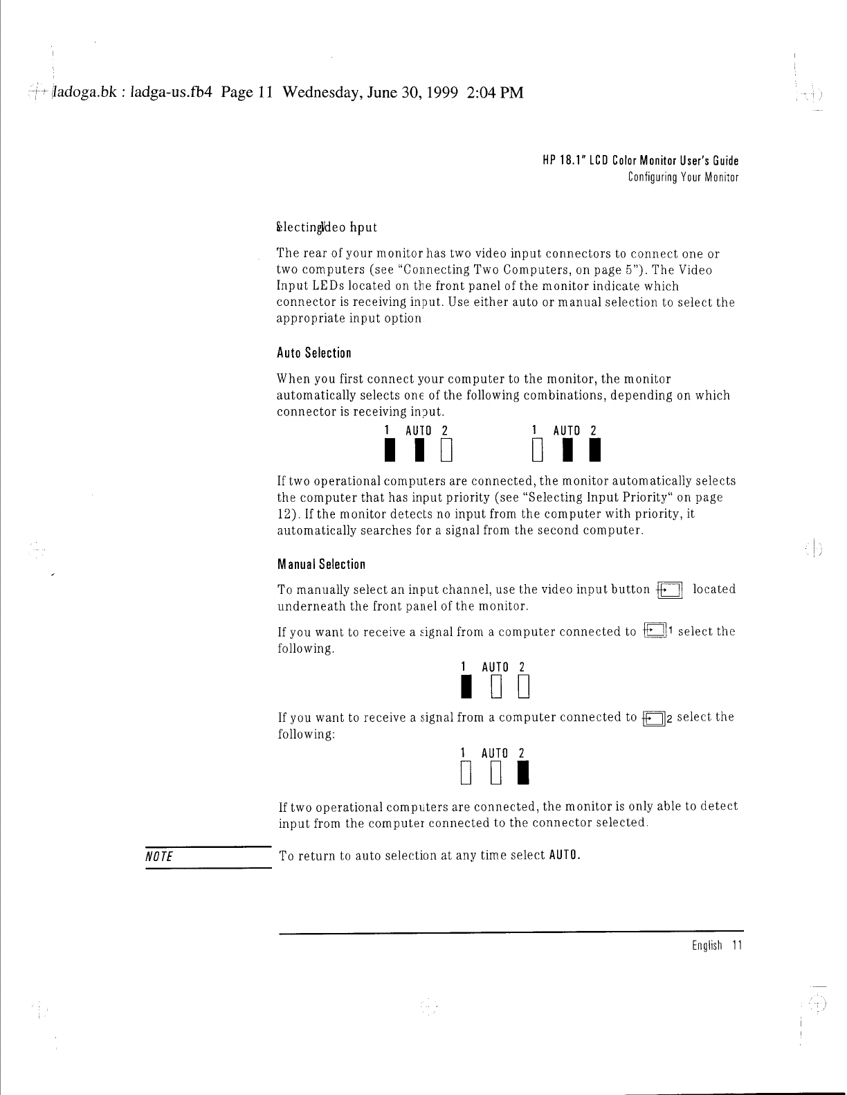
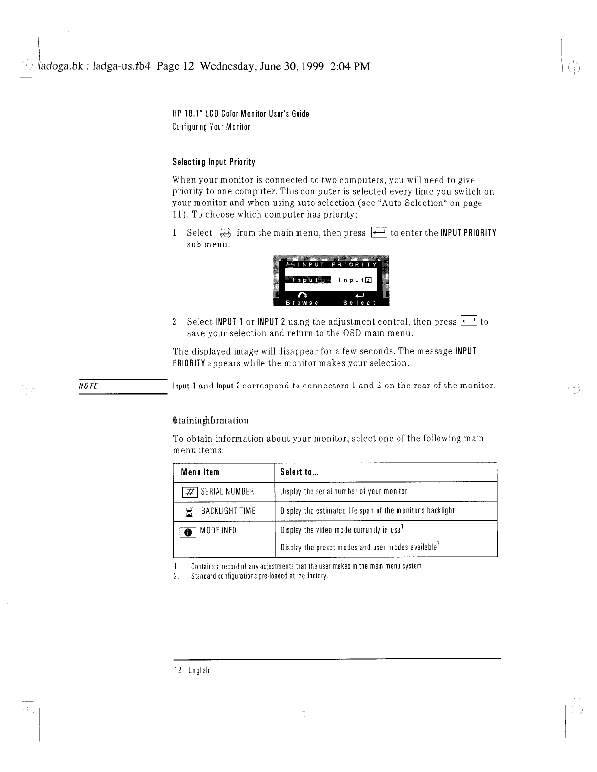
LG Electronics USA LH881D 18-inch LCD Monitor User Manual
LG Electronics USA 18-inch LCD Monitor Users Manual
UserManual.wiki
>
LG Electronics USA
>
LH881D User Manual HTML Version
Users Manual
Navigation menu
Upload a User Manual
Namespaces
Wiki Guide
HTML
PDF
Info
Views
User Manual
Discussion / Help
Navigation