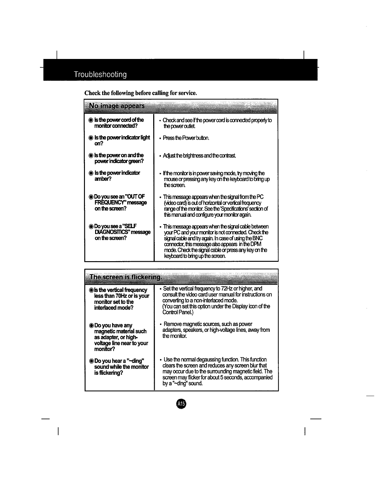
LG Electronics USA NB230A 22-inch CRT Monitor User Manual
LG Electronics USA 22-inch CRT Monitor Users Manual
UserManual.wiki
>
LG Electronics USA
>
NB230A User Manual HTML Version
Users Manual
Navigation menu
Upload a User Manual
Namespaces
Wiki Guide
HTML
PDF
Info
Views
User Manual
Discussion / Help
Navigation