LG GR 282MF User Manual TOP MOUNT REFRIGERATOR Manuals And Guides L0301002
LG Top Mount Refrigerator Manual L0301002 LG Top Mount Refrigerator Owner's Manual, LG Top Mount Refrigerator installation guides
User Manual: LG GR-282MF GR-282MF LG TOP MOUNT REFRIGERATOR - Manuals and Guides View the owners manual for your LG TOP MOUNT REFRIGERATOR #GR282MF. Home:Kitchen Appliance Parts:LG Parts:LG TOP MOUNT REFRIGERATOR Manual
Open the PDF directly: View PDF
.
Page Count: 17

SERVICING PRECAUTIONS
Air Recharging in Compressor
Test the refrigeration by connecting it electrically before
refilling operation. It is necessary to ascertain the function
of the motor*compressor and identify the defects
immediately. If the defects have been found, empty the old
system of eventual R-12 residue by breaking off the end of
the extension piece at its narrow point. (Figure 1)
Replace the filter and any damaged components. Unsolder
and pull off the piece remaining inside the service tube and
then attach an extension completely with male Hansen and
last, solder it to the same tube again. (Figure 2)
POINT TO BE
BROKEN
SERVICE TUBE EXTENSION
Figure 1
CHARGE TUBE
EXTENSION
MALE HANSEN
SOLDERING POINT
Figure 2
It is necessary to execute the soldering operation with
valve open so that the fumes caused by oil residue can
come out freely without blowholes between two tubes
during heating the point to be soldered.
The extension fitted with the male Hansen is connected to
the female fitting of the vacuum pump tube. (Figure 3)
puOMT_ cUUM
PRESSURE
GAUGE
Figure 3
Air evacuating from the system begins so soon as the
pump starts. The refrigeration system must be kept under
vacuum until the reading on the low-pressure gauge
indicates vacuum (0 absolute, -1 atm., -760 mm hg) in any
case it is advisable to keep the pump running for about 60
minutes. (Figure 3)
In case that a considerable leakage occurs and to stop the
vacuum pump will be necessary and add a small quantity
of Freon to the system, if vacuum should not be obtained
(pressure gauge can't fall to 1 atmosphere), start the
refrigeration unit and find the leakage with the special leak-
finder. When the defective soldering point is visible, re-do it
after opening the extension tube valve and reestablishing
the normal outside pressure inside the group.
Because the melted alloy is sucked into the tubes and
block them, the pressure must be rebalanced when
vacuum is in the system in soldering. As soon as the
vacuum operation is over, add the quantity in grams of
R-12 to the refrigerant system. Remember that every
system has an exact quantity of R-12 with a tolerance of
+5 grams that can be added. (Figure 4)
TO THE R-12 CYLINDER
_= J_ TOsTTHEEMREgRIGERATION
Figure 4
Before performing this operation (if the vacuum pump and
refilling cylinder are connected), make sure that the valve
placed between the vacuum pump and refilling tube are
closed to keep the Freon for adding to the system. (Figure 5)
FILLING OR VALVE TQ BE OPENED
CHARGE TUBE WHEN REFILLING
TO THE REFRIGERATION TO THE CHARGE
SYSTEM CYLINDER
VALVE TO BE CLOSED
AFTER VACUUM
TO THE VACUUM PUMP Figure 5
In addition, check the graduated scale on the cylinder for
the quantity of R-12 to be added, for example, if we have
750 grams of Freon in the cylinder and must add 165
grams to the group, this amount will be reached when
R-12 has dropped to 585 grams, remembering that the
indicator shows a lower limit of meniscus. Do this after
choosing the scale corresponding to the gas pressure
different scales reported as the same gas pressure
indicated by the pressure gauge on the top of the column.
To make R-12 flow into the system, open the valve placed
at the base of the cylinder and connected to the filling tube.
The amount of Freon cannot be added to the system all at
once because it may cause a blocking of
motor-compressor. Therefore, proceed by adding original
quantity of about 20-30 grams and close the valve
immediately.
The pressure rises and the motor-compressor must start,
sucking the gas and making the pressure go down again.
Regulate the valve again, maintaining the same manner
until reaching to the quantity of R-12 established for the
system being charged. When the system is running, the
suction pressure must be stabilized between 0.10 to 0.4
atmosphere.
-3-

Air Recharging in Compressor
Test the refrigeration by connecting it electrically before
refilling operation. It is necessary to ascertain the function
of the motor*compressor and identify the defects
immediately, If the defects have been found, empty the old
system of eventual R-134a residue by breaking off the end
of the extension piece at its narrow point. (Figure 1)
Replace the filter and any damaged components. Unsolder
and pull off the piece remaining inside the service tube and
then attach an extension completely with male Hansen and
last, solder it to the same tube again. (Figure 2)
POINT TO BE
BROKEN
SERVICE TUBE EXTENSION
Figure 1
CHARGE TUBE
EXTENSION
MALE HANSEN
SOLDERING POINT
Figure 2
It is necessary to execute the soldering operation with
valve open so that the fumes caused by oil residue can
come out freely without blowholes between two tubes
during heating the point to be soldered.
The extension fitted with the male Hansen is connected to
the female fitting of the vacuum pump tube. (Figure 3)
UM
PRESSURE
GAUGE
Figure 3
Air evacuating from the system begins so soon as the
pump starts. The refrigeration system must be kept under
vacuum until the reading on the low-pressure gauge
indicates vacuum (0 absolute, -1 atm., -760 mm hg) in any
case it is advisable to keep the pump running for about 60
minutes. (Figure 3)
In case that a considerable leakage occurs and to stop the
vacuum pump will be necessary and add a small quantity
of Freon to the system, if vacuum should not be obtained
(pressure gauge can't fall to 1 atmosphere), start the
refrigeration unit and find the leakage with the special leak-
finder. When the defective soldering point is visible, re-do it
after opening the extension tube valve and reestablishing
the normal outside pressure inside the group.
Because the melted alloy is sucked into the tubes and
block them, the pressure must be rebalanced when
vacuum is in the system in soldering. As soon as the
vacuum operation is over, add the quantity in grams of
R-134a to the refrigerant system. Remember that every
system has an exact quantity of R-134a with a tolerance of
+5 grams that can be added. (Figure 4)
_i TO TiE R-134a CYLINDER
__ TyOsTTHEEMREFRIGERATiON
Figure 4
Before performing this operation (if the vacuum pump and
refilling cylinder are connected), make sure that the valve
placed between the vacuum pump and refilling tube are
closed to keep the Freon for adding to the system. (Figure 5)
FILLING OR VALVE TO BE OPENED
CHARGE TUBE WHEN REFILLING
TO THE REFRIGERATION TO THE CHARGE
SYSTEM CYLINDER
VALVE TO BE CLOSED
AFTER VACUUM
TO THE VACUUM PUMP Figure 5
In addition, check the graduated scale on the cylinder for
the quantity of R-134a to be added, for example, if we have
750 grams of Freon in the cylinder and must add 165
grams to the group, this amount will be reached when
R-134a has dropped to 585 grams, remembering that the
indicator shows a lower limit of meniscus. Do this after
choosing the scale corresponding to the gas pressure
different scales reported as the same gas pressure
indicated by the pressure gauge on the top of the column.
To make R-134a flow into the system, open the valve
placed at the base of the cylinder and connected to the
filling tube. The amount of Freon cannot be added to the
system all at once because it may cause a blocking of
motor-compressor. Therefore, proceed by adding original
quantity of about 20-30 grams and close the valve
immediately.
The pressure rises and the motor-compressor must start,
sucking the gas and making the pressure go down again.
Regulate the valve again, maintaining the same manner
until reaching to the quantity of R-134a established for the
system being charged. When the system is running, the
suction pressure must be stabilized between 0.10 to 0.4
atmosphere.
-4-

1. SPECIFICATIONS
1-1 GR-242M /MV/S/SV
ITEMS
NETCAPACITY
(§/)
FREEZER
REFRIGERATOR
TOTAL
DIMENSIONS (mm)
NET WEIGHT (kg)
COOLING SYSTEM
TEMPERATURE CONTROL
SPECIFICATIONS
60_
140_
200_
540(W)x607(D)x1407(H)
46
FanCooling
ITEMS
FREEZER
SHELF
REFRIGERATOR
VEGETABLE TRAY
EGG TRAY
ICE TRAY
ICE BANK
SPECIFICATIONS
1 EA
2 EA
1 EA
1 EA
1 Pieces(PLASTIC)
1 Piece
DEFROSTING
OUT CASE
INNER CASE
INSULATION
Knob Dial
Full Automatic
Heater Defrost
With a Timer
Coated SteeI Sheet
ABS
Polyurethane Foam
COMPRESSOR
EVAPORATOR
CONDENSER
REFRIGERANT
LUBRICATING OIL
RT.C Starting Type
Fin Tube Type
Pipe on Sheet Type
R-12 (140g)
HTS-95 (210cc)
1-2 GR-282M IMV ISISV
ITEMS
NETCAPACITY
FREEZER
REFRIGERATOR
TOTAL
DIMENSIONS (mm)
NET WEIGHT (kg)
COOLING SYSTEM
TEMPERATURE CONTROL
SPECIFICATIONS
60.12
170_
230_
540(W)x607(D)x1553(H)
48
FanCooling
ITEMS
FREEZER
SHELF
REFRIGERATOR
VEGETABLE TRAY
EGG TRAY
ICE TRAY
ICE BANK
SPECIFICATIONS
1 EA
3 EA
1 EA
1 EA
1 Pieces(PLASTIC)
1 Piece
DEFROSTING
OUT CASE
INNER CASE
INSULATION
Knob Dial
Full Automatic
Heater Defrost
With a Timer
Coated SteeI Sheet
ABS
Polyurethane Foam
COMPRESSOR
EVAPORATOR
CONDENSER
REFRIGERANT
LUBRICATING OIL
RT.C Starting Type
Fin Tube Type
Pipe on Sheet Type
R-12 (140g)
HTS-95 (210cc)
-5-

1-3 GR-242MF /MVF /SF /SVF
ITEMS
NETCAPACITY
(§/)
FREEZER
REFRIGERATOR
TOTAL
DIMENSIONS (mm)
NET WEIGHT (kg)
COOLING SYSTEM
TEMPERATURE CONTROL
SPECIFICATIONS
60_
140_
200_
540(W)x607(D)x1407(H)
46
FanCooling
ITEMS
FREEZER
SHELF
REFRIGERATOR
VEGETABLE TRAY
EGG TRAY
ICE TRAY
ICE BANK
SPECIFICATIONS
1 EA
2 EA
1 EA
1 EA
1 Pieces(PLASTIC)
1 Piece
DEFROSTING
OUT CASE
INNER CASE
INSULATION
Knob Dial
Full Automatic
Heater Defrost
With a Timer
Coated SteeI Sheet
ABS
Polyurethane Foam
COMPRESSOR
EVAPORATOR
CONDENSER
REFRIGERANT
LUBRICATING OIL
RT.C Starting Type
Fin Tube Type
Pipe on Sheet Type
Rq34a (120g)
FREOL ¥_2G (210cc)
1-4 GR-282MF /MVF /SF /SVF
ITEMS
NETCAPACITY
FREEZER
REFRIGERATOR
TOTAL
DIMENSIONS (mm)
NET WEIGHT (kg)
COOLING SYSTEM
TEMPERATURE CONTROL
SPECIFICATIONS
60.12
170_
230_
540(W)x607(D)x1553(H)
48
FanCooling
ITEMS
FREEZER
SHELF
REFRIGERATOR
VEGETABLE TRAY
EGG TRAY
ICE TRAY
ICE BANK
SPECIFICATIONS
1 EA
3 EA
1 EA
1 EA
1 Pieces(PLASTIC)
1 Piece
DEFROSTING
OUT CASE
INNER CASE
INSULATION
Knob Dial
Full Automatic
Heater Defrost
With a Timer
Coated SteeI Sheet
ABS
Polyurethane Foam
COMPRESSOR
EVAPORATOR
CONDENSER
REFRIGERANT
LUBRICATING OIL
RT.C Starting Type
Fin Tube Type
Pipe on Sheet Type
R-134a (120g)
FREOL ¥_2G (210cc)
-6-

2. PARTS IDENTIFICATION
FREEZER
COMPARTMENT
Freezer Temperature
Control Dial
Freezer Shelf -
Ice Tray
Ice Cube Box
REFRIGERATOR
COMPARTMENT
Refrigerator Temperature --
Control Dial
Lamp --
Shelves --
Vegetable Drawer --
Used to keep fruits
and vegetables, etc.
fresh and crisp.
Freezer Door Rack
-- Egg Storage Rack
Refrigerator Door
Rack
Leveling Screws
NOTE : This is a basic model. The shape of refrigerator is subject to change.
-7-

3. DISASSEMBLY
3-1 HOW TO REPLACE THE DOOR OPENING TYPE
(when converting from the left-opening type to right opening type)
1, Separate the Cap Oand Hinge Upper 2. Separating the Freezer Door _,
@
3, Separating the Hinge-C Oand the Refrigerator
Door
4. Separating the Hinge Lower
5, Move the Position of Adjustable Screw
Assembly O: 6, Assemble the Hinge Lower _.
-8-

7. Move the Cap _Bracket Oof the Refrigerator
Door.
8. Move the Cap _and Assemble the Hinge-C O.
OI
9. Assembe the Door Stopper-F _for Right
Opening Type.
10. Move the Cap _and Assemble the Freezer
Door O-
11, Move the Pin Position _of the Hinge Upper. 12. Assemble the Hinge Upper _and the Cap O_
3-2 LAMP REPLACEMENT
1. Unplug the power cord from the outlet.
2. Remove refrigerator shelves.
3. Remove the lamp by turning it counterclockwise as shown
in the figure at right.
4. Assemble in reverse order of disassembly. Replacement
bulb must be the same specification as original.
-9-

4. ADJUSTMENT
4-1 COMPRESSOR
4-1-1 Role
The compressor inhales low temperature and low pressure
gas evaporated from Evaporator of the Refrigerator, and
condenses this gas to high temperature and high pressure
gas, and then plays delivering role to Condenser.
4-1-2 Composition
The Compressor is Composed of Compressor Apparatus
compressing gas, Compressor Motor moving Compressor
Apparatus and Case protecting Compressor Apparatus
and Motor. There are PTC-Starter, and Over Load
Protector (OLP) in the Compressor outside. On the other
hand, because the Compressor consists of 1/1000ram processing
precision components and is sealed after producing without dust
or humidity,deaI and repair with care.
4-1-3 Note to Use
(1) Be careful not to allow over-voltage and over-current.
(2) No Strike
If applying forcible power or strike (dropping or careless
dealing), poor operation and noise may occur.
(3) Use proper electric components appropriate to the
Compressor.
(4) Note to Keep Compressor.
If Compressor gets wet in the rain and rust in the pin of
Hermetic Terminal, poor operation and poor contact
may cause.
(5) Be careful that dust, humidity, and flux due to welding
don't inflow in Compressor inside in replacing
Compressor. Dust, humidity, and flux due to welding
which inflows to Cylinder may cause lock and noise.
4-2 PTC-STARTER
4-2-1 Composition of PTC-Starter
(1) PTC (Positive Temperature Coefficient) is no-contact
semiconductor starting device which uses ceramic
material and the material consists of BaTiO3.
(2) The higher the temperature is, the higher resistance
value becomes. These features are used as starting
device of Motor.
4-2-2 Role of PTC-Starter
(1) PTC is attached to Hermetic Compressor used for
Refrigerator, Show Case and starts Motor.
(2) Compressor for household refrigerator applies single-
phase induction Motor.
For normal operation of single-phase induction motor, in
the starting operation flows in both main coil and sub-
coil. After the starting is over, the current is cut off in
subceil. The proper features of PTC play the above all
roles. So, PTC is used as astarting device of motor.
4-2-3 PTC-Applied Circuit Diagram
• According to Starting Method of Motor
OVERLOAD PROTECTOR
C ,,OMPRESSOR
PTCT MOTOR
PTCSTARTER HERMETIC
TERMINAL
RSIR Figure 21
4-2-4 Motor Restarting and PTC Cooling
(1) For restarting after power off during normal
Compressor Motor operation, plug the power cord after
5 min. for pressure balance of Refrigerating Cycle and
PTC cooling.
(2) During normal operation of Compressor Motor, PTC
elements generate heat continuously. Therefore,
if PTC isn't cooled for a while after power off, Motor
can't operate again.
4-2-5 Relation of PTC-Starter and OLP
(1) If power off during operation of Compressor and power
on before PTC is cooled, (instant shut-off within 2 rain.
or reconnect a power plug due to miscennecting),
PTC isn't cooled and a resistance value grows. As a
result, current can't flow to the sub-coil and Motor can't
operate and OLP operates by flowing over current in
only main-coil.
(2) While the OLP repeats on and off operation about 3-5
times, PTC is cooled and Compressor Motor performs
normal operation.
If OLP doesn't operate when PTC is not cooled,
Compressor Motor is worn away and causes circuit-
short and fire. Therefore, use a proper fixed OLP
without fail.
4-2-6 Note to Use PTC-Starter
(1) Be careful not to allow over-voltage and over-current.
(2) No Strike
Don't apply a forcible power or strike.
(3) Keep apart from any liquid.
If liquid such as oil or water inflows into PTC,
PTC materials it may break due to insulation breakdown
of material itself.
(4) Don't change PTC at your convenience.
Don't disassemble PTC and mold. If damaging to
outside of PTC-starter, resistance value alters and poor
starting of compressor motor may cause.
(5) Use a properly fixed PTC.
-10-

4-30LP (OVER LOAD PROTECTOR)
4-3-1 Definition of OLP
(1) OLP (OVER LOAD PROTECTOR) is attached to
Hermetic Compressor and protects Motor by cutting off
current in Compressor Motor by Bimetal in the OLP in
case of over-rising temperature.
(2) When over-voltage flows to Compressor motor, Bimetal
works by heating the heater inside OLP,
and OLP protects Motor by cutting off current which
flows to Compressor Motor.
4-3-2 Role of OLP
(1) OLP is attached to Hermetic Compressor used to
Refrigerator and Show Case and prevents Motor Coil
from being started in the Compressor.
(2) Do not turn the Adjust Screw of OLP in any way for
normal operation of OLR
(Composition and connection Diagram of OLP)
CONTACTING
POINT COVER BIMETAL
J_
.oNTO NT OT E TE
TERMINALS -
BIMETAL
s c ' ST
HEATER_
Figure 22
5. CIRCUIT DIAGRAM
CIRCUIT DIAGRAM
BK BO
R o _<_ LAM_ _ BK
a p _
o _N wH 'wo=_
(GN/YL} (A) (B) BL
ZI
__,_,_ , _o _
' _: PK COMP
/ I I Igl.',_ ff_L.7_]
I°_ I I°__±[@_'_")--
CAPACITOR pAf_T PTCSTARTER _THpART
•FUSE & FIR SPECIFICATION •F[ R PART CAN BE APPLIED
BY THE REQUEST OF BUYERS
• CAPACITORS, THE PLUG TYPE,
AND COMP' EARTH PART ON
CIRCUIT DIAGRAM ARE SUBJECT
TO CHANGE IN DIFFERENT
LOCALITIES
WH : WHITE BL : BLUE RD : RED PK : PINK
BK : BLACK BN : BROWN PR : PURPLE YL : YELLOW
BO : BRIGHT ORANGE GY : GRAY GN : GREEN 3854J D1031H
NOTE : 1. This is a basic diagram and specifications vary in different localities.
2. F.I.R. lamp and capacitor are option parts.
-11-

6. TROUBLESHOOTING
6-1 COMPRESSOR AND ELECTRIC COMPONENTS
Power Source. Remove the PTC-Starter
from the Compressor
and measure the voltage
between Terminal C of
Compressor and
Terminals 5 or 6 of PTC.
No Voltage.
_1_ Applied voltage isn't
in the range of Rating
Voltage _+10%.
j_ (Rating Voltage
_+10%)?
,_ OLP disconnected?
_ dvise the customer
to use a regular
Trans.
YES .[_
_ Replace OLR F[_
Check connection h
condition.
L_ Reconnect.
Check the
resistance of
Motor
Compressor. _I heck the resistance
among M-C, S-C and
M_S in Motor
Compressor.
Check the
resistance of
PTC-Starter. _I heck the resistance
of two terminals in
PTC-Starter.
N_O YES
Replace Compressor.
YES
Replace
NO _- PTC-Starter.
[_ Check OLR
[_ Check
starting state.
YES
,_ heck if applying
a regular OLR
.f easure minimum
starting voltage after 5
min. for balancing cycle
pressure and cooling
the PTC.
OLP works within II YES
b
30 sec. in forcible
OLP operation by Replace OLR
turning instant power
on and off. _,
'r
NO
/ YF.£ r
Components start in _ O.K.
the voltage of Rating
Voltage _+10%
below. NO
-12-

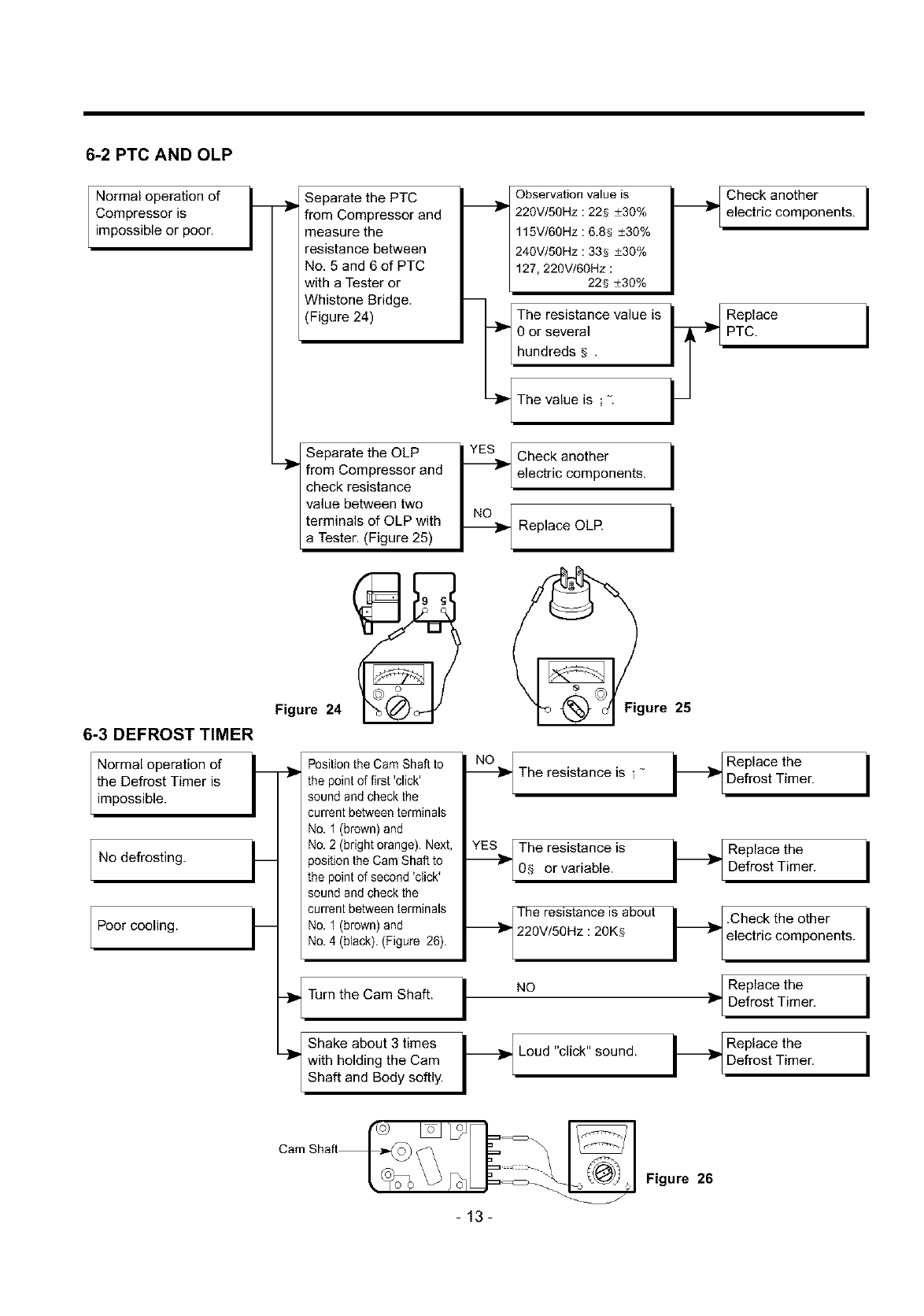
6-2 PTC AND OLP
Normal operation of
Compressor is
impossible or poor.
Separate the PTC
from Compressor and
measure the
resistance between
No. 5 and 6 of PTC
with a Tester or
Whistone Bridge.
(Figure 24)
Separate the OLP
from Compressor and
check resistance
value between two
terminals of OLP with
a Tester. (Figure 25)
Observation value is
220V/50Hz : 22§ +30%
115V/60Hz : 6.8§ +30%
240V/50Hz : 33§ +30%
127, 220V/60Hz :
22§ +30%
The resistance value is
0 or several
hundreds § .
The value is ; -.
Check another
electric components.
Replace OLE
Check another
electric components.
Replace
PTC.
Figure 24
6-3 DEFROST TIMER
Normal operation of F
the Defrost Timer is -_
/mposs b e.
No defrosting.
Poor cooling, k
Position the Cam Shaft to
the point of first 'click'
sound and check the
current between terminals
No. 1 (brown) and
No. 2 (bright orange). Next,
position the Cam Shaft to
the point of second 'click'
sound and check the
current between terminals
No. 1 (brown) and
No. 4 (black). (Figure 26).
_,{ Turn the Cam Shaft.
--fSihthkhe'd °;tt3t'ceS
Shaft and Body softly.
Figure 25
_The resistance is ~ _ ,.._[Replace the
i _ v Defrost Timer.
_E_._ The resistance is
O§ or variable.
_ T;OV,%O_a_2%iK_b°ut
i .o
t_ I_oud "click" sound.
_[ Replace the
Defrost Timer.
.Check the other
electric components.
Replace the
}_L Defrost Timer.
Replace the
Defrost Timer.
Cam Shaft_ %_q L_ _
-13-
Figure 26
i
i
i
i

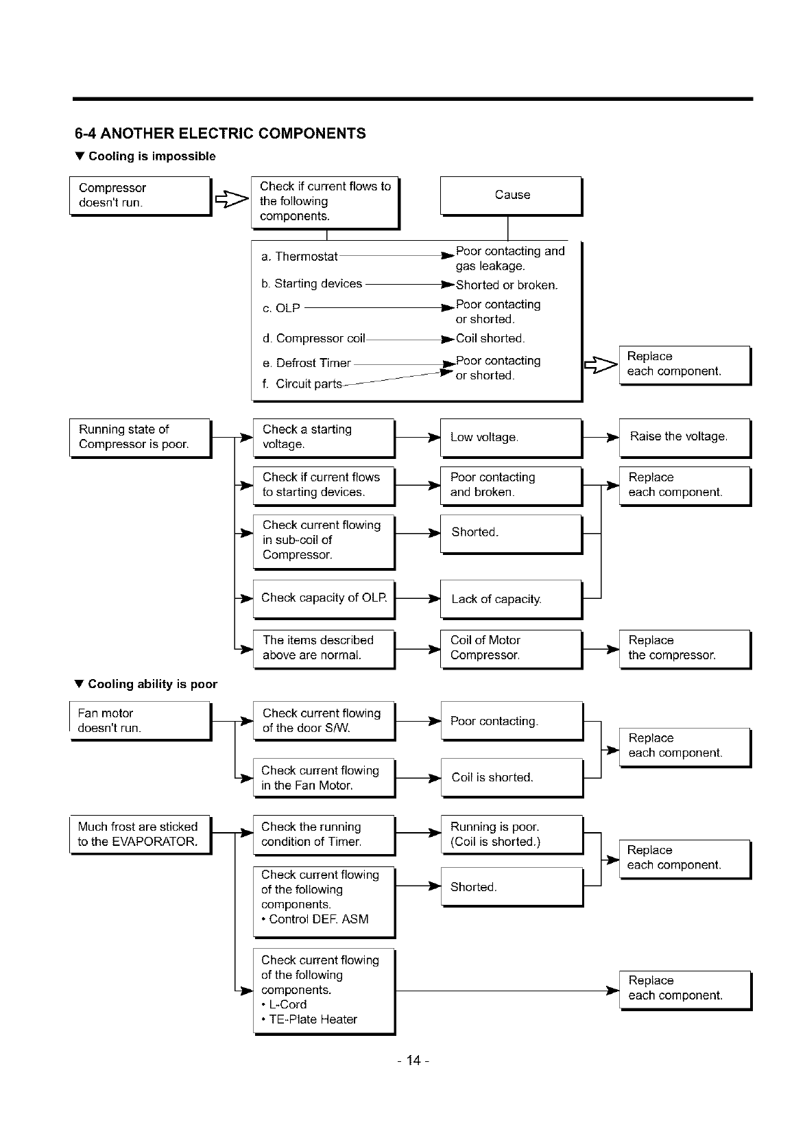
6-4 ANOTHER ELECTRIC COMPONENTS
•Cooling is impossible
Compressor
doesn't run. II_ Check if current flows to i
the following Cause
components. ,I
a. Thermostat _ Poor contacting and
gas leakage.
b. Starting devices _-Shorted or broken.
c. OLP I_ Poor contacting
or shorted,
d. Compressor col! Coil shorted.
e. Defrost Timer _Poor contacting
or shorted.
f. Circuit part_ Replace
each component, i
Running state of
Compressor is poor.
• Cooling ability is poor
Fan motor
doesn't run.
Much frost are sticked
to the EVAPORATOR.
-]_
Check a starting
voltage. Low voltage.
i r
Checkif current flows _ Poor contacting
to starting devices. _ and broken.
/ r
Check current flowing _ Shorted.
in sub-coil of
Compressor.
Check capacity of OLR _{ Lack of capacity.
/ r
The items described I_ Coil of Motor
above are normal. _ Compressor.
Check current flowing I _
of the door S/W. _ Poor contacting.
Check current flowing _ Coil is shorted.
in the Fan Motor. I "
Check the running
condition of Timer. Running is poor.
(Coil is shorted.)
Check current flowing
of the following
components.
• Control DEE ASM
Check current flowing
of the following
components.
• L-Cord
• TE-Plate Heater
Shorted.
Raise the voltage, i
e e aceoonenti
i-
i--
Replace
the compressor.
_--_ Replace
-- each component.
Replace
each component.
• Replaceeach component.
i
i
i
-14-

6-5 SERVICE DIAGNOSIS CHART
COMPLAINT POINTS TO BE CHECKED REMEDY
Cooling is •Is the power cord unplugged from the outlet? • Plug to the outlet.
impossible. • Check if the power S/W is setted to OFE • Set the switch to ON.
• Check if the fuse of power SAN is shorted. • Replace a regular fuse.
• Measure the voltage of power outlet. • If voltage is low, wire newly.
Cooling ability
is poor.
Foods in the
Refrigerator
are frozen.
Dew or ice
forms in the
chamber of
the set.
Dew forms
in the Out Case.
Abnormal
noise generates.
To close the door
is not handy.
Ice and foods
smell unpleasant.
• Check if the set is placed close to wall.
• Check if the set is placed close to stove, gas
cooker and direct rays.
• Is the ambient temperature high or
the room door closed?
• Check if putting in hot foods,
• Did you open the door of the set too often
or check if the door is closed up?
• Check if the Thermostat is set to "WARM"
• Are foods placed in cooling air outlet?
• Check if the Thermostat is set to "COLD".
• Is the ambient temperature within 5°C?
• Are watery foods kept?
• Check if putting in hot foods.
• Did you open the door of the set too
often or check if the door is closed up.
• Check if ambient temperature and humidity
are high.
• Is the gap in the door packing?
• Is the set positioned in a firm and even place?
• Does any unnecessary objects exist
in the back side of the set?
• Check if the Drip Tray is omitted.
• Check if the cover of mechanical room
in below and front side is taken out.
• Check if the door packing becomes dirty
by filth such as juice.
• Is the set positioned in a firm and even place?
• Are too much foods putted in the set?
• Check if the inside of the set becomes dirty,
• Did you keep smelly foods without wraping?
• It smells plastic.
• Place the set with the space of about 10cm.
• Place the set apart from these heat
appliances.
• Make the ambient temperature below.
• Put in foods after they get cold.
• Don't open the door too often and close
it firmly,
• Set the knob to "NORMAL"
• Place foods in high temperature section.
(Front Part)
• Set the knob to "NORMAL"
• Set the knob to "WARM"
• Seal up watery foods with wrap.
• Put in foods after they get cold.
• Don't open the door too often and close
it firmly.
• Wipe dew with a dry cloth. This happening
is solved in low temperature and humidity
naturally.
• Fill up the gap.
• Adjust the Adjust Screw, and position
in the firm place.
• Remove the objects.
• Place it on an original position.
• Place the cover at an original position.
• Clean the door packing.
• Position in the firm place and adjust the
Adjust Screw.
• Keep foods from reaching to the door.
• Clean the inside of the set.
• Wrap smelly foods.
• The new products smell plastic, but it is
removed after 1_2weeks.
-15-

6-6 REFRIGERATING CYCLE
•Troubleshooting Chart
STATE OF STATE OF THE TEMPERATURE
CAUSE OF THE REMARKS
THE SET EVAPORATOR COMPRESSOR
PARTIAL Freezer and Low flowing sound of A little high • A little Refrigerant
LEAKAGE Refrigerator Refrigerant is heard and more than discharges.
don't get cold frost forms in inlet only ambient * Normal cooling is possible
r- normally, temperature, when injecting Refrigerant
m
>of regular amount.
WHOLE Freezer and Flowing sound of Refrigerant Equal to ambient * No discharging of Refrigerant.
mLEAKAGE Refrigerator is not heard and frost isn't temperature. * Normal cooling is possible
don't get cold formed, when injecting Refrigerant
at all. of regular amount.
o PARTIAL Freeze room and Flowing sound of Refrigerant A little high ° Normal discharging of
CLOG Refrigerator is heard and frost forms more than refrigerant.
© don't get cold in inlet only. ambient * The capillary tube is faulty.
©
m normally, temperature.
-_ WHOLE Freezer and Flowing sound of Refrigerant Equal to ambient * Normal discharging of
CLOG Refrigerator is not heard and frost isn't temperature. Refrigerant.
-_°3 don't get cold. formed.
MOISTURE Cooling operation Flowing sound of Refrigerant Low than • Cooling operation restarts
CLOG stops periodically, is not heard and frost melts, ambient when heating the inlet of
temperature capillary tube.
O COMP- Freezer and Low flowing sound of A little high • The pressure of high
O mORESSION Refrigerator Refrigerant is heard and than ambient pressure part in
-0-n
;om don't get cold. frost forms in inlet only. temperature, compressor is low.
mo
c0-4
__._ NO COMP- No compressing Flowing sound of Refrigerant Equal to ambient ° No pressure of high pressure
O m RESSION operation, is not heard and no frost, temperature, part in compressor.
Z
•Leakage Detection
Observe discharging point of refrigerant which may be in oil discharging part in compressor and hole of evaporator.
Whether Compressor
runs or not. Whether frost [ Whether oil leaks i
forms or not in No frost or form's [ or not.
YES Evaporator. n net on y
YES
_T
J 4,
i Normal formed frost Observe the discharging I
Normal amount amount of Refrigerant.
_tNo or much amount
iFaulty I 'n'ectRefrigerantt°i
Moisture Clog. Compressor. Compressor and check
cooling operation.
Check Comprossor Clogged by dust. i
INormal formed }1_ Gas leakage, i
frost in Evaporator (Check the leakage point)
-16-

•General Control of Refrigerating Cycle
NO. ITEMS CONTENTS AND SPECIFICATIONS
WELDING
ROD
4
FLUX
DRIER
ASM
VACUUM
DRY AND
AIR
NITROGEN
GAS
(1) H 30
• Chemical Ingredients
Ag: 30%, Cu: 27%, Zn: 23%, Cd: 20%
• Brazing Temperature: 710-840°C
(2) Bcup-2
• Chemical Ingredients
Cu: About 93%
P: 6.8-7.5%
The rest: within 0.2%
• Brazing Temperature: 735-840°C
• Ingredients and how to make
Borax 30%
Borax 35%
Fluoridation kalium: 35%
Water: 4%
Mix the above ingredients and boil until
they are transformed into liquid.
(1) Assemble the drier immediately
after unpacking.
(2) Keep the unpacked drier at the temperature
of 80-100°C.
(1) When measuring with pirant Vacuum
gauge of charging MIC, vacuum
degree is within 0.5 Tom
(2) If the vacuum degree of the cycle inside is
10 Torr. below for low pressure and 20 Torr.
for high pressure, it says no vacuum
leakage state.
(3) Vacuum degree of vacuum pump must be
0.05 Torr. below after 5 min.
(4) Vacuum degree must be same to the
value described item (2) above for more than
20 min.
(1) The pressure of dry air must be more
han 12-16Kg/cm 2
(2) Temperature must be more than
-20- -70°C.
(3)Keep thepressureto 12-6Kg/cm 2 also
when substitutingdryairforNitrogenGas.
REMARKS
•Recommend H34 containing 34% Ag in the
Service Center.
NIPPLE (1) Check if gas leaks with soapy water. • Check if gas leaks from connecting part of
6 AND (2) Replace Quick Coupler in case of leakage. Coupler.
COUPLER (3) When using couplers, use applicable them in
accordance with Refrigerant.
PIPE • Put all Joint Pipe in a clean box and
7 cover tightly with the lid so that dust or
humidity is not inserted.
-17-
• Don't keep the drier in a outdoor because
humidity damages to it.
•Apply M/C Vacuum Gauge without fail.
•Perform vacuum operation until a proper
vacuum degree is built up.
• If a proper vacuum degree isn't built up,
check the leakage from
the Cycle Pipe line part and
Quick Coupler Connecting part.
•Make amount for only a day.
Holding period: 1 day
•Close the cover of container to prevent dust
putting in the FLUX.
• Keep it in a stainless steel container.

7-2 GR-282
*Option
Reversible Door : 283D, 282H
FIR Lamp : 409G
Deodorizer : 604E
Steel Shelf: 136A, 136C, 136E
Plastic Shelf: 149A, 149B, 149C
Lock : 282J
I
- 20 -

-21 -