Lincoln Electric Na 5 Im305 C Users Manual
IM305-C to the manual b1c63c6f-611f-43ad-a0d5-12f2695da162
2015-02-09
: Lincoln-Electric Lincoln-Electric-Na-5-Im305-C-Users-Manual-574576 lincoln-electric-na-5-im305-c-users-manual-574576 lincoln-electric pdf
Open the PDF directly: View PDF
.
Page Count: 200 [warning: Documents this large are best viewed by clicking the View PDF Link!]

NA-5 AUTOMATIC WELDING SYSTEM
87
&.2&+$&0
For use with Models NA-5N
#'&26&.&,%1-,!-3
Lincoln arc welding and cutting
equipment is designed and built
with safety in mind. However,
your overall safety can be
increased by proper installation
... and thoughtful operation on
your part.
!
And,
most importantly, think before
you act and be careful.
#+#(&*#)+1
When this equipment is shipped,
title passes to the purchaser
upon receipt by the carrier.
Consequently, claims for materi-
al damaged in shipment must be
made by the purchaser against
the transportation company at
the time the shipment is
received.
• Sales and Service through Subsidiaries and Distributors Worldwide •
Cleveland, Ohio 44117-1199 U.S.A. TEL: 216.481.8100 FAX: 216.486.1751 WEB SITE: www.lincolnelectric.com
• World's Leader in Welding and Cutting Products •
Copyright © Lincoln Global Inc.
RETURN TO MAIN MENU

.-5&0&%&/3).+&,2
1.a. Turn the engine off before troubleshooting and maintenance
work unless the maintenance work requires it to be running.
____________________________________________________
1.b. Operate engines in open, well-ventilated
areas or vent the engine exhaust fumes
outdoors.
____________________________________________________
1.c. Do not add the fuel near an open flame
welding arc or when the engine is running.
Stop the engine and allow it to cool before
refueling to prevent spilled fuel from vaporiz-
ing on contact with hot engine parts and
igniting. Do not spill fuel when filling tank. If
fuel is spilled, wipe it up and do not start
engine until fumes have been eliminated.
____________________________________________________
1.d. Keep all equipment safety guards, covers and devices in
position and in good repair.Keep hands, hair, clothing and
tools away from V-belts, gears, fans and all other moving
parts when starting, operating or repairing equipment.
____________________________________________________
1.e. In some cases it may be necessary to remove safety
guards to perform required maintenance. Remove
guards only when necessary and replace them when the
maintenance requiring their removal is complete.
Always use the greatest care when working near moving
parts.
___________________________________________________
1.f. Do not put your hands near the engine fan.
Do not attempt to override the governor or
idler by pushing on the throttle control rods
while the engine is running.
___________________________________________________
1.g. To prevent accidentally starting gasoline engines while
turning the engine or welding generator during maintenance
work, disconnect the spark plug wires, distributor cap or
magneto wire as appropriate.
)
!
)
" !!
!
Read and understand the following safety highlights. For additional safety information, it is strongly recommended that you
purchase a copy of “Safety in Welding & Cutting - ANSI Standard Z49.1” from the American Welding Society, P.O. Box
351040, Miami, Florida 33135 or CSA Standard W117.2-1974. A Free copy of “Arc Welding Safety” booklet E205 is available
from the Lincoln Electric Company, 22801 St. Clair Avenue, Cleveland, Ohio 44117-1199.
!!
Mar ‘95
+#6$&%#,(&0-31
2.a. Electric current flowing through any conductor causes
localized Electric and Magnetic Fields (EMF). Welding
current creates EMF fields around welding cables and
welding machines
2.b. EMF fields may interfere with some pacemakers, and
welders having a pacemaker should consult their physician
before welding.
2.c. Exposure to EMF fields in welding may have other health
effects which are now not known.
2.d. All welders should use the following procedures in order to
minimize exposure to EMF fields from the welding circuit:
2.d.1.
Route the electrode and work cables together - Secure
them with tape when possible.
2.d.2. Never coil the electrode lead around your body.
2.d.3. Do not place your body between the electrode and
work cables. If the electrode cable is on your right
side, the work cable should also be on your right side.
2.d.4. Connect the work cable to the workpiece as close as
possible to the area being welded.
2.d.5. Do not work next to welding power source.
1.h. To avoid scalding, do not remove the
radiator pressure cap when the engine is
hot.
Diesel engine exhaust and some of its constituents
are known to the State of California to cause can-
cer, birth defects, and other reproductive harm.
The engine exhaust from this product contains
chemicals known to the State of California to cause
cancer, birth defects, or other reproductive harm.
The Above For Diesel Engines The Above For Gasoline Engines

))
!
))
ARC RAYS can burn.
4.a. Use a shield with the proper filter and cover
plates to protect your eyes from sparks and
the rays of the arc when welding or observing
open arc welding. Headshield and filter lens
should conform to ANSI Z87. I standards.
4.b. Use suitable clothing made from durable flame-resistant
material to protect your skin and that of your helpers from
the arc rays.
4.c. Protect other nearby personnel with suitable, non-flammable
screening and/or warn them not to watch the arc nor expose
themselves to the arc rays or to hot spatter or metal.
ELECTRIC SHOCK can
kill.
3.a. The electrode and work (or ground) circuits
are electrically “hot” when the welder is on.
Do not touch these “hot” parts with your bare
skin or wet clothing. Wear dry, hole-free
gloves to insulate hands.
3.b. Insulate yourself from work and ground using dry insulation.
Make certain the insulation is large enough to cover your full
area of physical contact with work and ground.
In addition to the normal safety precautions, if welding
must be performed under electrically hazardous
conditions (in damp locations or while wearing wet
clothing; on metal structures such as floors, gratings or
scaffolds; when in cramped positions such as sitting,
kneeling or lying, if there is a high risk of unavoidable or
accidental contact with the workpiece or ground) use
the following equipment:
• Semiautomatic DC Constant Voltage (Wire) Welder.
• DC Manual (Stick) Welder.
• AC Welder with Reduced Voltage Control.
3.c. In semiautomatic or automatic wire welding, the electrode,
electrode reel, welding head, nozzle or semiautomatic
welding gun are also electrically “hot”.
3.d. Always be sure the work cable makes a good electrical
connection with the metal being welded. The connection
should be as close as possible to the area being welded.
3.e. Ground the work or metal to be welded to a good electrical
(earth) ground.
3.f.
Maintain the electrode holder, work clamp, welding cable and
welding machine in good, safe operating condition. Replace
damaged insulation.
3.g. Never dip the electrode in water for cooling.
3.h. Never simultaneously touch electrically “hot” parts of
electrode holders connected to two welders because voltage
between the two can be the total of the open circuit voltage
of both welders.
3.i. When working above floor level, use a safety belt to protect
yourself from a fall should you get a shock.
3.j. Also see Items 6.c. and 8.
FUMES AND GASES
can be dangerous.
5.a. Welding may produce fumes and gases
hazardous to health. Avoid breathing these
fumes and gases. When welding, keep
your head out of the fume. Use enough
ventilation and/or exhaust at the arc to keep
fumes and gases away from the breathing zone. When
welding with electrodes which require special
ventilation such as stainless or hard facing (see
instructions on container or MSDS) or on lead or
cadmium plated steel and other metals or coatings
which produce highly toxic fumes, keep exposure as
low as possible and within applicable OSHA PEL and
ACGIH TLV limits using local exhaust or mechanical
ventilation. In confined spaces or in some circum-
stances, outdoors, a respirator may be required.
Additional precautions are also required when welding
on galvanized steel.
5. b. The operation of welding fume control equipment is affected
by various factors including proper use and positioning of
the equipment, maintenance of the equipment and the spe-
cific welding procedure and application involved. Worker
exposure level should be checked upon installation and
periodically thereafter to be certain it is within applicable
OSHA PEL and ACGIH TLV limits.
5.c.
Do not weld in locations near chlorinated hydrocarbon
vapors
coming from degreasing, cleaning or spraying operations.
The heat and rays of the arc can react with solvent vapors
to
form phosgene, a highly toxic gas, and other irritating prod-
ucts.
5.d. Shielding gases used for arc welding can displace air and
cause injury or death. Always use enough ventilation,
especially in confined areas, to insure breathing air is safe.
5.e. Read and understand the manufacturer’s instructions for this
equipment and the consumables to be used, including the
material safety data sheet (MSDS) and follow your
employer’s safety practices. MSDS forms are available from
your welding distributor or from the manufacturer.
5.f. Also see item 1.b.

)))
!
)))
FOR ELECTRICALLY
powered equipment.
8.a. Turn off input power using the disconnect
switch at the fuse box before working on
the equipment.
8.b. Install equipment in accordance with the U.S. National
Electrical Code, all local codes and the manufacturer’s
recommendations.
8.c. Ground the equipment in accordance with the U.S. National
Electrical Code and the manufacturer’s recommendations.
CYLINDER may explode
if damaged.
7.a. Use only compressed gas cylinders
containing the correct shielding gas for the
process used and properly operating
regulators designed for the gas and
pressure used. All hoses, fittings, etc. should be suitable for
the application and maintained in good condition.
7.b. Always keep cylinders in an upright position securely
chained to an undercarriage or fixed support.
7.c. Cylinders should be located:
• Away from areas where they may be struck or subjected to
physical damage.
• A safe distance from arc welding or cutting operations and
any other source of heat, sparks, or flame.
7.d. Never allow the electrode, electrode holder or any other
electrically “hot” parts to touch a cylinder.
7.e. Keep your head and face away from the cylinder valve outlet
when opening the cylinder valve.
7.f. Valve protection caps should always be in place and hand
tight except when the cylinder is in use or connected for
use.
7.g. Read and follow the instructions on compressed gas
cylinders, associated equipment, and CGA publication P-l,
“Precautions for Safe Handling of Compressed Gases in
Cylinders,” available from the Compressed Gas Association
1235 Jefferson Davis Highway, Arlington, VA 22202.
WELDING and CUTTING
SPARKS can
cause fire or explosion.
6.a.
Remove fire hazards from the welding area.
If this is not possible, cover them to prevent
the welding sparks from starting a fire.
Remember that welding sparks and hot
materials from welding can easily go through small cracks
and openings to adjacent areas. Avoid welding near
hydraulic lines. Have a fire extinguisher readily available.
6.b. Where compressed gases are to be used at the job site,
special precautions should be used to prevent hazardous
situations. Refer to “Safety in Welding and Cutting” (ANSI
Standard Z49.1) and the operating information for the
equipment being used.
6.c. When not welding, make certain no part of the electrode
circuit is touching the work or ground. Accidental contact
can cause overheating and create a fire hazard.
6.d. Do not heat, cut or weld tanks, drums or containers until the
proper steps have been taken to insure that such procedures
will not cause flammable or toxic vapors from substances
inside. They can cause an explosion even
though
they have
been “cleaned”. For information, purchase “Recommended
Safe Practices for the
Preparation
for Welding and Cutting of
Containers and Piping That Have Held Hazardous
Substances”, AWS F4.1 from the American Welding Society
(see address above).
6.e. Vent hollow castings or containers before heating, cutting or
welding. They may explode.
6.f.
Sparks and spatter are thrown from the welding arc. Wear oil
free protective garments such as leather gloves, heavy shirt,
cuffless trousers, high shoes and a cap over your hair. Wear
ear plugs when welding out of position or in confined places.
Always wear safety glasses with side shields when in a
welding area.
6.g. Connect the work cable to the work as close to the welding
area as practical. Work cables connected to the building
framework or other locations away from the welding area
increase the possibility of the welding current passing
through lifting chains, crane cables or other alternate cir-
cuits. This can create fire hazards or overheat lifting chains
or cables until they fail.
6.h. Also see item 1.c.
6.I. Read and follow NFPA 51B “ Standard for Fire Prevention
During Welding, Cutting and Other Hot Work”, available
from NFPA, 1 Batterymarch Park, PO box 9101, Quincy, Ma
022690-9101.
6.j. Do not use a welding power source for pipe thawing.
Refer to http://www.lincolnelectric.com/safety for additional safety information.

)4
!
)4
PRÉCAUTIONS DE SÛRETÉ
Pour votre propre protection lire et observer toutes les instructions
et les précautions de sûreté specifiques qui parraissent dans ce
manuel aussi bien que les précautions de sûreté générales suiv-
antes:
Sûreté Pour Soudage A L’Arc
1. Protegez-vous contre la secousse électrique:
a. Les circuits à l’électrode et à la piéce sont sous tension
quand la machine à souder est en marche. Eviter toujours
tout contact entre les parties sous tension et la peau nue
ou les vétements mouillés. Porter des gants secs et sans
trous pour isoler les mains.
b. Faire trés attention de bien s’isoler de la masse quand on
soude dans des endroits humides, ou sur un plancher
metallique ou des grilles metalliques, principalement dans
les positions assis ou couché pour lesquelles une grande
partie du corps peut être en contact avec la masse.
c. Maintenir le porte-électrode, la pince de masse, le câble
de soudage et la machine à souder en bon et sûr état
defonctionnement.
d.Ne jamais plonger le porte-électrode dans l’eau pour le
refroidir.
e. Ne jamais toucher simultanément les parties sous tension
des porte-électrodes connectés à deux machines à souder
parce que la tension entre les deux pinces peut être le
total de la tension à vide des deux machines.
f. Si on utilise la machine à souder comme une source de
courant pour soudage semi-automatique, ces precautions
pour le porte-électrode s’applicuent aussi au pistolet de
soudage.
2. Dans le cas de travail au dessus du niveau du sol, se protéger
contre les chutes dans le cas ou on recoit un choc. Ne jamais
enrouler le câble-électrode autour de n’importe quelle partie
du corps.
3. Un coup d’arc peut être plus sévère qu’un coup de soliel,
donc:
a. Utiliser un bon masque avec un verre filtrant approprié
ainsi qu’un verre blanc afin de se protéger les yeux du ray-
onnement de l’arc et des projections quand on soude ou
quand on regarde l’arc.
b. Porter des vêtements convenables afin de protéger la
peau de soudeur et des aides contre le rayonnement de
l‘arc.
c. Protéger l’autre personnel travaillant à proximité au
soudage à l’aide d’écrans appropriés et non-inflammables.
4. Des gouttes de laitier en fusion sont émises de l’arc de
soudage. Se protéger avec des vêtements de protection libres
de l’huile, tels que les gants en cuir, chemise épaisse, pan-
talons sans revers, et chaussures montantes.
5. Toujours porter des lunettes de sécurité dans la zone de
soudage. Utiliser des lunettes avec écrans lateraux dans les
zones où l’on pique le laitier.
6. Eloigner les matériaux inflammables ou les recouvrir afin de
prévenir tout risque d’incendie dû aux étincelles.
7. Quand on ne soude pas, poser la pince à une endroit isolé de
la masse. Un court-circuit accidental peut provoquer un
échauffement et un risque d’incendie.
8. S’assurer que la masse est connectée le plus prés possible
de la zone de travail qu’il est pratique de le faire. Si on place
la masse sur la charpente de la construction ou d’autres
endroits éloignés de la zone de travail, on augmente le risque
de voir passer le courant de soudage par les chaines de lev-
age, câbles de grue, ou autres circuits. Cela peut provoquer
des risques d’incendie ou d’echauffement des chaines et des
câbles jusqu’à ce qu’ils se rompent.
9. Assurer une ventilation suffisante dans la zone de soudage.
Ceci est particuliérement important pour le soudage de tôles
galvanisées plombées, ou cadmiées ou tout autre métal qui
produit des fumeés toxiques.
10. Ne pas souder en présence de vapeurs de chlore provenant
d’opérations de dégraissage, nettoyage ou pistolage. La
chaleur ou les rayons de l’arc peuvent réagir avec les vapeurs
du solvant pour produire du phosgéne (gas fortement toxique)
ou autres produits irritants.
11. Pour obtenir de plus amples renseignements sur la sûreté,
voir le code “Code for safety in welding and cutting” CSA
Standard W 117.2-1974.
PRÉCAUTIONS DE SÛRETÉ POUR
LES MACHINES À SOUDER À
TRANSFORMATEUR ET À
REDRESSEUR
1. Relier à la terre le chassis du poste conformement au code de
l’électricité et aux recommendations du fabricant. Le dispositif
de montage ou la piece à souder doit être branché à une
bonne mise à la terre.
2. Autant que possible, I’installation et l’entretien du poste seront
effectués par un électricien qualifié.
3. Avant de faires des travaux à l’interieur de poste, la debranch-
er à l’interrupteur à la boite de fusibles.
4. Garder tous les couvercles et dispositifs de sûreté à leur
place.

NOTES

















































http://www.lincolnelectric.com/knowledge/articles/
content/steelhatconstruction.asp
EW2357-A
L 2.5.10-A

http://www.lincolnelectric.com/knowledge/articles/
content/speedfeeddrums.asp
http://www.lincolnelectric.com/knowledge/articles/
content/drumhandling.asp
Insulated
friction free
eyelet
Speed Feed Drum
Hat
Turntable
EW2357-A
Sec. T2.5.7-A (Continued)
File as Sec. L2.5.10-A for IM278)

Sec. T2.5.7-B (FOR IM305)
(File as Sec.L2.5.10-B for IM278)
EW2357-B

http://www.lincolnelectric.com/knowledge/articles/
content/speedfeeddrum.asp and view the Speed
Sec. T2.5.7-B
(File as Sec. L2.5.10-B for IM278)
Assembly and Installation The Lincoln Electric Company
Cleveland, Ohio 44117-1199
(Continued)
INSTALLATION INSTRUCTIONS
SPEED-FEED REELS
®















































6-2-97
P-135-AP-135-A
NA-5
SEC. T7.1 – PARTS LIST INDEX
.
RETURN TO MAIN INDEX
Wire Feed Gear Box . . . . . . . . . . . . . . . . . . . . . . . . . . . . . . . . . . . . . . . . . . . . . . . . . . . . . . . . . . P-100-C
Wire Feed Drive Roll Box (For Codes Below 8800 Only) . . . . . . . . . . . . . . . . . . . . . . . . . . . . . . . P-100-D
Wire Feed Drive Roll Box (For Codes Above 8800) . . . . . . . . . . . . . . . . . . . . . . . . . . . . . . . . . . . P-100-D.2
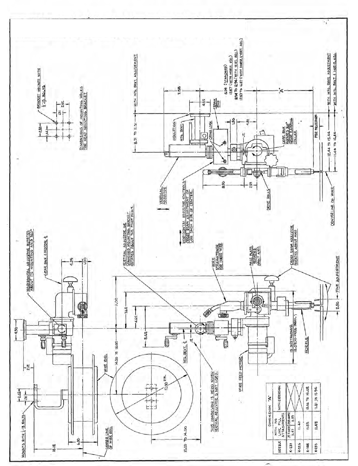
Head Mounting . . . . . . . . . . . . . . . . . . . . . . . . . . . . . . . . . . . . . . . . . . . . . . . . . . . . . . . . . . . . . . P-100-F
Wire Reel and Reel Mounting (NA-3, NA-4 and NA-5) . . . . . . . . . . . . . . . P-100-G (NA-3, NA-4 and NA-5)
Cable Assembly, Power Source to Controls . . . . . . . . . . . . . . . . . . . . . . . . . . . . . . . . . . . . . . . . . P-100-H
Flux Cored Wire Straightener (1/16”- 5/32”) . . . . . . . . . . . . . . . . . . . . . . . . . . . . . . . . . . . . . . . . . P-100-K
Cross Seam Adjuster . . . . . . . . . . . . . . . . . . . . . . . . . . . . . . . . . . . . . . . . . . . . . . . . . . . . . . . . . . P-100-L
Solid Wire Straightener (5/64”-7/32”) . . . . . . . . . . . . . . . . . . . . . . . . . . . . . . . . . . . . . . . . . . . . . . P-100-M
Flux Cored Wired Straightener, Twinarc . . . . . . . . . . . . . . . . . . . . . . . . . . . . . . . . . . . . . . . . . . . . P-100-N
K218 Horizontal Fillet/Lap Attachment . . . . . . . . . . . . . . . . . . . . . . . . . . . . . . . . . . . . . . . . . . . . . P-101-C
K233 (and K103) Contact Nozzle, K104 Linc-Fill Extension . . . . . . . . . . . . . . . . . . . . . . . . . . . . . P-101-D
K96 Horizontal Adjuster . . . . . . . . . . . . . . . . . . . . . . . . . . . . . . . . . . . . . . . . . . . . . . . . . . . . . . . . P-101-E
K233 Solenoid Assembly (NA-3, NA-4 and NA-5) . . . . . . . . . . . . . . . . . . . . . . . . . . . . . . . . . . . . P-101-F
K129 Submerged Arc Twinarc Kit . . . . . . . . . . . . . . . . . . . . . . . . . . . . . . . . . . . . . . . . . . . . . . . . P-101-G
K281 Wire Straightener for Tiny Twinarc . . . . . . . . . . . . . . . . . . . . . . . . . . . . . . . . . . . . . . . . . . . P-101-G.2
Flux Hopper . . . . . . . . . . . . . . . . . . . . . . . . . . . . . . . . . . . . . . . . . . . . . . . . . . . . . . . . . . . . . . . . P-101-H
K148 Contact, K149 Linc-Fill Extension . . . . . . . . . . . . . . . . . . . . . . . . . . . . . . . . . . . . . . . . . . . . P-101-K
K225 Submerged Arc Twinarc Kit . . . . . . . . . . . . . . . . . . . . . . . . . . . . . . . . . . . . . . . . . . . . . . . . P-101-L
K239 Innershield Twinarc Kit . . . . . . . . . . . . . . . . . . . . . . . . . . . . . . . . . . . . . . . . . . . . . . . . . . . . P-101-L.2
K231 (and K31) Contact Nozzle Assembly . . . . . . . . . . . . . . . . . . . . . . . . . . . . . . . . . . . . . . . . . . P-101-M
K226 (and K32) Contact Jaw Assembly . . . . . . . . . . . . . . . . . . . . . . . . . . . . . . . . . . . . . . . . . . . . P-101-N
Head Mounting and Lift Mechanism (For K23, K236, K247
and-HC, K325 and-HC) . . . . . . . . . . . . . . . . . . . . . . . . . . . . . . . . . . . . . . . . . . . . . . . . . . . . . . P-101-Q
K29 Vertical Head Lift Assembly (NA-1, 2, 3, 4 and 5 and LAF-3, 4 and 5) . . . . . . . . . . . . . . . . . . P-101-S
K238 High Frequency Unit . . . . . . . . . . . . . . . . . . . . . . . . . . . . . . . . . . . . . . . . . . . . . . . . . . . . . . P-101-T
K386 Narrow Gap Deep Grove Nozzle Assembly . . . . . . . . . . . . . . . . . . . . . . . . . . . . . . . . . . . . . P-101-U
K224 Solid-State Remote Field Control . . . . . . . . . . . . . . . . . . . . . . . . . . . . . . . . . . . . . . . . . . . . P-114-H
K285 Concentric Flux Cone . . . . . . . . . . . . . . . . . . . . . . . . . . . . . . . . . . . . . . . . . . . . . . . . . . . . . P-114-J
K278 Spreadarc, Complete Assembly . . . . . . . . . . . . . . . . . . . . . . . . . . . . . . . . . . . . . . . . . . . . . P-114-K
Spreadarc Carriage, Track and Drive Motor Assembly . . . . . . . . . . . . . . . . . . . . . . . . . . . . . . . P-114-L
Spreadarc Carriage Assembly . . . . . . . . . . . . . . . . . . . . . . . . . . . . . . . . . . . . . . . . . . . . . . . . . P-114-M
K237 Linc-Fill Starting Relay Assembly . . . . . . . . . . . . . . . . . . . . . . . . . . . . . . . . . . . . . . . . . . . . P-114-N
K325 (TC-3) Travel Carriage General Assembly . . . . . . . . . . . . . . . . . . . . . . . . . . . . . . . . . . . . . . P-132-C
Motor and Gear Box Assembly . . . . . . . . . . . . . . . . . . . . . . . . . . . . . . . . . . . . . . . . . . . . . . . . . P-132-D
Gear Box Assembly . . . . . . . . . . . . . . . . . . . . . . . . . . . . . . . . . . . . . . . . . . . . . . . . . . . . . . . . . P-132-E
Travel Control Box Assembly . . . . . . . . . . . . . . . . . . . . . . . . . . . . . . . . . . . . . . . . . . . . . . . . . . P-132-F
Wire Feed Drive Motor . . . . . . . . . . . . . . . . . . . . . . . . . . . . . . . . . . . . . . . . . . . . . . . . . . . . . . . . P-135-C
Control Box Assembly . . . . . . . . . . . . . . . . . . . . . . . . . . . . . . . . . . . . . . . . . . . . . . . . . . . . . . . . . P-135-D
Control Box Door Assembly . . . . . . . . . . . . . . . . . . . . . . . . . . . . . . . . . . . . . . . . . . . . . . . . . . . . . P-135-E
Control Box . . . . . . . . . . . . . . . . . . . . . . . . . . . . . . . . . . . . . . . . . . . . . . . . . . . . . . . . . . . . . . . . . P-135-F
K349 Multi-Procedure Kit . . . . . . . . . . . . . . . . . . . . . . . . . . . . . . . . . . . . . . . . . . . . . . . . . . . . . . . P-135-G
Pulsed Power Feeder Conversion Kit (Below Code 9100) . . . . . . . . . . . . . . . . . . . . . . . . . . . . . . Order K442-3
Pulsed Power Feeder Conversion Kit (Above Code 9100) . . . . . . . . . . . . . . . . . . . . . . . . . . . . . . Order K442-1
#
#
#


Gear Box Asbly, (Includes Items 1-21) (95/1 Ratio):
L5199-3 1
Gear Box Asbly, (Includes Items 1-21) (55/1 or 57/1 Ratio):
L5199-2 1
Gear Box Asbly, (Includes Items 1-21) (142/1 Ratio):
L5199-1 1
1 Gear Box Case G1328 1
2 Gear S12504 1
3 Snap Ring S9776-23 1
4 Woodruff Key #304 1
5 Snap Ring S9776-16 1
6 Set Screw - New Design S11604-26 2
6 Pipe Plug - Old Design S10780-5
ø
2
7 Bevel Shaft Assembly S12511 1
8 Woodruff Key #304 1
9 Plain Washer S9262-121 1
10 Spur Shaft Assembly S12510 1
11 5/16-18 HN CF000029 1
12 Helical Gear (95/1 Ratio) S12503 1
12 Helical Gear (55/1 or 57/1 Ratio) S12881 1
12 Helical Gear (142/1 Ratio) S12882 1
13 Socket Head Screw T9447-28 6
14 Snap Ring S9776-23 1
15 Gear Case Collar M10256 1
16 Hollow Set Screw S11604-13 1
17 Output Shaft Assembly S12509 1
18 Drive Roll Spacer T12146 1
19 Oil Seal S7611-15 1
20 Gasket (.0125 Thick) T12119-1
As Reqʼd
20 Gasket (.004 Thick) T12119-2
As Reqʼd
21 Spacer Washer (.003 Thick) S9262-110
As Reqʼd
21 Spacer Washer (.010 Thick) S9262-111
As Reqʼd
09-27-2007
ITEM DESCRIPTION PART NO. QTY. 123456789
P-100-CP-100-C
# Indicates a Change This Printing
WIRE FEED GEAR BOX
Gear ratio is stenciled on the side of the gear case and on top of Item 12.
11
11
9
8
10
10
14
14
12
12
5
2
3
21
21
7
21
21
1
6
4
21
21
17
17
16
16
18
18
19
19
20
20
15
15
13
13
Part Numbers Part Numbers Part Numbers Part Numbers
øThis part is obsolete and no longer available.

WIRE FEED DRIVE ROLL BOX
P-100-DP-100-D
23
23
3
4
5
16
16
12
12
17
17
1
2
18
18
21
21
19
19
11
11
20
20
22
22
15
15
14
14
5
6
7
8
10
10
Part Numbers Part Numbers Part Numbers Part Numbers
09-27-2007

1 Faceplate L4052 1 X X X
2* Idle Roll Assembly S12475 1 X X X
3* Incoming Guide Tube (3/32 thru 7/32”), Includes: S10168-4 1 X • •
3* Incoming Guide Tube (1/16 thru 3/32”), Includes: S10168-2 1 • X •
3* Incoming Guide Tube (.035 thru .052”), Includes: S12857 1 • • X
.035-.045 Spring Guide T9367-4 1 X X X
4 5/16-18 x .75 HHCS CF000040 2 X X X
5 Guide Tube Mounting Clip T8400 4 X X X
6 Idle Roll Spring Screw, NA-2 Models Only T10317-6 1 X X X
6 3/8-16 x 3 HHCS
(NA-3, NA-4, & NA-5 Models)
CF000039 1 X X X
7 Flat Washer S9262-120 1 X X X
8 Idle Roll Spring T10247-7 1 X X X
10 5/16-18 SQN (NA-2 Models) CF000212 1 X X X
10
Yoke Indicator Asbly (NA-3, NA-4 & NA-5 Models)
T13610 1 X X X
11* Drive Roll (3/32 thru 7/32”) S12514 2 X • •
11* Drive Roll (1/16 thru 3/32”) S12515 2 • X •
11* Drive Roll (.035 thru .052”) S12778 1 • • X
12 Socket Head Cap Screw T9447-32 1 X X X
14 Socket Head Cap Screw T9447-12 2 X X X
15* Outgoing Guide Tube (3/32 thru 7/32”) S10170-1 1 X • •
15* Outgoing Guide Tube (1/16 thru 3/32”) T13635-3/32 1 • X •
15* Outgoing Guide Tube (.035 thru .052”) T13635-.052 1 • • X
16 Draw Bolt T12090-1
ø
1XXX
17 1/4-20 HN CF000017 1 X X X
18 Stripper Bolt T10317-7
ø
1XXX
19 Drive Roll Nut T10552 1 X X X
20 Drive Roll Washer S9262-44 1 X X X
21 Snap Ring S11910-2 1 X X X
22 Drive Roll Key M8776-5 1 X X X
23* Wire Straightener, Single Wire See P-100-K
or P-100-M 1 X X •
09-27-2007
For 3/32 thru 7/32” wire, use the parts marked “X” in column 1.
For 1/16 thru 3/32” wire, use the parts marked “X” in column 2.
For .035 thru .052” wire, use the parts marked “X” in column 3.
ITEM DESCRIPTION PART NO. QTY. 123456789
* For Twinarc (two electrodes fed through one head)
parts, see the appropriate Twinarc Assembly parts
list in the P-101 series.
# Indicates a Change This Printing
P-100-D.1P-100-D.1
Sub Assembly Illustration Sub Assembly Illustration Sub Assembly Illustration Sub Assembly Illustration
øThis part is obsolete and no longer available.
Note: When using K231 or K233 Contact Nozzle, a
long guide sleeve is required inside the Nozzle.
See P-101-M or P-101-D.

WIRE FEED DRIVE ROLL BOX
(For Codes Above 8800)
P-100-D.2P-100-D.2
23
23
3
4
5
16
16
12
12
17
17
1
2
18
18
21
21
19
19
11
11
20
20
22
22
15
15
14
14
5
6
7
8
10
10
Part Numbers Part Numbers Part Numbers Part Numbers
09-27-2007
L6991

1 Gear Box Assembly
See P-100-C
1XXXX
2 Face Plate L6987 1 X X X X
3* Idle Roll Assembly S12475 1 X X X X
4* Incoming Guide Tube (3/32 thru 7/32”) KP2116-2 1 X • • •
4* Incoming Guide Tube (1/16 thru 3/32”) KP2116-1 1 • X • •
4*
Incoming Guide Tube [.035 thru .052” (.045 thru .052” Cored)]
KP1967-1 1 • • X X
5
5/16-18 x .75
HHCS
CF000040
2XXXX
6 Mounting Clip T8400 4 X X X X
7
3/16-16 x 3.00
HHCS
CF000039
1XXXX
8 Plain Washer S9262-120 1 X X X X
9 Pivot Pin T12206-1 1 X X X X
10 Idle Roll Spring T10247-7 1 X X X X
11 Yoke Indicator Assembly T13610 1 X X X X
12 Drive Roll Nut T10552 1 X X X X
13 Drive Roll Washer S9262-44 1 X X X X
14* Drive Roll (3/32” thru 7/32”) S12514 2 X • • •
14* Drive Roll (1/16” thru 3/32”) S12515 2 • X • •
14* Drive Roll (.035” thru .052”) S12778 1 • • X •
14* Drive Roll (.045” thru .052” Cored Wire)(NA5,NA4,NA3) S19113 2 • • • X
16 Snap Ring S11910-2 1 X X X X
17 Drive Roll Key M8776-5 1 X X X X
18 Wire Straightener, Single Wire
See P-100-K or -M
1XX••
19* Outgoing Tube (3/32” thru 7/32”) S10170-1 1 X • • •
19* Outgoing Tube (1/16 thru 3/32”) T13635-3/32 1 • X • •
19*
Outgoing Tube [.035 thru .052” (.045 thru .052” Cored)]
T13635-.052 1 • • X X
20 Socket Head Cap Screw T9447-12 2 X X X X
21 Socket Head Cap Screw T9447-32 1 X X X X
24 24 Thru 27 See P-100-F X X X X
28 Cross Seam Adjuster Assembly See P-100-L 1 X X X X
29 29 thru 34 See P-100-F X X X X
35 Plain Washer S9262-131 1 X X X X
36 Locking Key T14896 1 X X X X
37 Hollow Head Set Screw S11604-8 1 X X X X
Optional Drive Roller Conversion Kits:
(Includes Drive Roll, Incoming & Outgoing Guide Tubes)
3/32” thru 7/32” Wire T13724-A
1/16” thru 3/32” Wire T13724-B
.035” thru .052” Solid Wire T13724-C
.045” thru .052” Cored Wire T13724-D
.035” thru .045 Spring Guide T9367-4
09-27-2007
P-100-D.3P-100-D.3
Sub Assembly Illustration Sub Assembly Illustration Sub Assembly Illustration Sub Assembly Illustration
For 3/32 thru 7/32” wire, use the parts marked “X” in column 1.
For 1/16 thru 3/32” wire, use the parts marked “X” in column 2.
For .035 thru .052” wire, use the parts marked “X” in column 3.
For .045 thru .052” Cored Wire, use the parts marked “X” in column 4.
ITEM DESCRIPTION PART NO. QTY. 123456789
* For Twinarc (two electrodes fed through one head)
parts, see the appropriate Twinarc Assembly parts
list in the P-101 series.
# Indicates a Change This Printing
Note: When using K231 or K233 Contact Nozzle, a
long guide sleeve is required inside the nozzle.
See P-202-M or P-101-D.

43 Head Support M8232 1 X X •
Mounting Bracket (Not Used on Tractor Models) M6769 1 X • •
Includes Items 68 thru 77
68 Welding Head Support Bracket, Includes: M4016 1 X X •
69 Draw Bolt (Head Support to Mtg Bracket) T4893 1 X X •
70 3/4-10 HN (Head Support to Mtg Bracket) CF000025 1 X X •
71 Insulation S4322 1 X • •
72 Insulation Bushing T7305-18 4 X • •
73 Insulation Washer S10773-9 4 X • •
74 1/2-13 x 1.75 HHCS CF000277 4 X • •
75 Washer S9262-1 4 X • •
76 Lock Washer E106A-5 4 X • •
77 1/2-13 HN CF000027 4 X X •
Insulation Asbly, High Frequency S11771-1 1 • X •
1/2-13 x 1.25 HHCS CF000030 4 • X •
Lock Washer E106A-5 8 • X •
80 Clamping Bracket M10213 1 X X X
81 Clamping Band S12472 1 X X X
82 3/8-16 x .75 HHCS (Clamp to Gear Case) CF000034 1 X X X
83 Socket Head Cap Screw (Clamp to Gear Case) T9447-18 1 X X X
84 Pivot Block M10215 1 X X •
85
3/8-16 x 1.50 SHCS
(Block to Clamping Brkt) (Except NA-5N & S)
T9447-18 4 X X •
85
3/8-16 x 2.75 (Block to Clamping Brkt) (NA-5N & S Only)
T9447-31 4 X X •
86 Roll Pin (Pivot Block to Head Support) T9967-29 1 X X •
87 Draw Bolt (Pivot Block to Head Support) T4893-3 1 X X •
88 3/4-10 HN (Pivot Block to Head Support) CF000025 1 X X •
89 Spacer (NA-5N & NA-5S Only) S10262-6 4 X X •
09-27-2007
ITEM DESCRIPTION PART NO. QTY. 123456789
P-100-FP-100-F
# Indicates a Change This Printing
HEAD MOUNTING
77
77
71
71
68
68
69
69
70
70
72
72
75
75
76
76
74
74
73
73
43
43
88
88
87
87
86
86
85
85
84
84
82
82
89
89
80
80
83
83
81
81
Part Numbers Part Numbers Part Numbers Part Numbers
For standard NA-2, NA-3N, NA-3S, NA-4, NA-5N and NA-5S, use parts marked “X”
in column 1. For NA-2, NA-3N, NA-3S, NA-4, NA-5N and NA-5S with high frequen-
cy, use parts marked “X” in column 2. For NA-3F, NA-2FV, NA-3NF, NA-3SF, NA-
5NF and NA-5SF, use parts marked “X” in column 3.

Wire Reel Shaft Asbly, Includes: M12908 1
1 1/2-13 x 1.00 HHCS CF000276 1
2 Lock Washer E106A-5 1
3 Plain Washer S9262-14 1
4 Plain Washer S9262-119 1
5 Brake Assembly, Includes: S14882 1
Brake Shoe T13519 1
6 Wire Reel Shaft S15492 1
7 Roll Pin T9967-9 1
8 Pull Knob S11038 1
Following Parts Not Illustrated
Wire Reel L4604 1
U-Shaped Shaft Mounting Bracket M12907 1
Following Parts Mount M12907 - No High Frequency
Flat Insulation T8477-20 1
Insulation Tube T12478-6 2
Insulation Washer S10773-9 2
1/2-13 x 1.75 HHCS CF000277 2
1/2-13 HN CF000027 2
Following Parts Mount M12907 w/High Freq Insulation
Insulation Asbly S11771-2 1
1/2-13 x 1.00 HHCS (Insulation to M12907) CF000276 4
1/2-13 HN CF000027 4
09-27-2007
ITEM DESCRIPTION PART NO. QTY. 123456789
P-100-G (NA-3, NA-4 and NA-5)P-100-G (NA-3, NA-4 and NA-5)
# Indicates a Change This Printing
WIRE REEL AND REEL MOUNTING
(NA-3N, NA-3S, NA-4, NA-5N and NA-5S)
Part Numbers Part Numbers Part Numbers Part Numbers
6
78
5
3
1
2
Support
Support
Bracket
Bracket
4

NA-2, NA-2F & NA-2FV
Cable Assembly (Power Source to Controls), Includes:
K97* 1
Multi-Conductor Control Cable L4112-1* 1
Electrode Cable L4112-2* 1
Cable Assembly (Controls to Head), Includes: 1
Electrode Cable (63 inches long) L2286-191 2
NA-3 (ALL MODELS), NA-4
(w/CURRENT CONTROL RHEOSTAT)
AND NA-5 (ALL MODELS EXCEPT -R)
Cable Assembly (Power Source to Controls), Includes:
K215* 1
Multi-Conductor Control Cable, Includes: L5267-B* 1
Polarized Socket Connector S12020-8 1
Connector Clamp S12024-2 1
Electrode Cable L5267-C * 1
Cable Asbly (Controls to Head) (NA-3N, -NF, & -SF), Includes:
K234* 1
Multi-Conductor Control Cable (Motor), Includes:
L5318-D* 1
Polarized Pin Connector S12020-15 1
Polarized Receptacle Connector S12023-9 1
Cable Clamp S12024-4 2
Electrode Cable L5118-E* 2
Cable Asbly (Controls to Head) (NA-3S & NA-4), Includes:
K235* 1
Multi-Conductor Control Cable (Flux Valve), Includes:
L5318-B*
ø
1
Polarized Pin Connector S12020-16 1
Polarized Receptacle Connector S12023-8 1
Cable Clamp S12024-4 2
Multi-Conductor Control Cable (Motor) Includes: L5318-D* 1
Polarized Pin Connector S12020-15 1
Polarized Receptacle Connector S12023-9 1
Cable Clamp S12024-4 2
Electrode Cable L5318-E* 2
Cable Asbly (Controls to Head) (NA-5N, NF, & SF), Includes:
K338* 1
Multi-Conductor Control Cable (Motor), Includes:
L6211-D* 1
Polarized Pin Connector S12020-27 1
Polarized Receptacle Connector S12023-12 1
Cable Clamp S12024-1 2
Multi-Conductor Shielded Cable (Tach) Includes: L6211-F* 1
Polarized Pin Connector S12020-17 1
Polarized Receptacle Connector S12023-10 1
Cable Clamp S12024-4 2
Electrode Cable L6211-G* 2
Cable Asbly (Controls to Head) (NA-5S) Includes:
K335 1
Multi-Conductor Control Cable (Flux), Includes:
L6211-B* 1
Polarized Pin Connector S12020-16 1
Polarized Receptacle Connector S12023-8 1
Cable Clamp S12024-4 2
Multi-Conductor Control Cable (Motor), Includes: L6211-D* 1
Polarized Pin Connector S12020-27 1
Polarized Receptacle Connector S12023-12 1
09-27-2007
ITEM DESCRIPTION PART NO. QTY. 123456789
P-100-H.aP-100-H.a
# Indicates a Change This Printing
CABLE ASSEMBLIES – POWER SOURCE TO CONTROLS &
CONTROLS TO HEAD
ø
This part is obsolete and no longer available.

Cable Clamp S12024-1 2
Multi-Conductor Shielded Cable (Tach) Includes:
L6211-F* 1
Polarized Pin Connector S12020-17 1
Polarized Receptacle Connector S12023-10 1
Cable Clamp S12024-4 2
Electrode Cable L6211-G* 2
NA-4 (WITH CURRENT CONTROL SWITCH)
Cable Assembly (Power Source to Controls), Includes:
K216* 1
Multi-Conductor Control Cable, Includes: L5231-B* 1
Polarized Socket Connector S12020-9 1
Connector Clamp S12024-2 1
Electrode Cable L5231-C* 1
Cable Assembly (Controls to Head), Includes: K235* 1
For K235 Parts Break-Down see P-100-H.a
NA-5R
Cable Assembly (Power Source to Controls) Includes:
K374* 1
Multi-Conductor Control Cable, Includes: L5267-B* 1
Polarized Socket Connector S12020-8 1
Connector Clamp S12024-2 1
Electrode Cable L5267-C* 1
Cable Assembly (Controls to Head), Includes: K338 1
For K338 Parts Break-Down see P-100-H.a
09-27-2007
ITEM DESCRIPTION PART NO. QTY. 123456789
P-100-H.bP-100-H.b
# Indicates a Change This Printing
CABLE ASSEMBLIES – POWER SOURCE TO CONTROLS &
CONTROLS TO HEAD
*Specify Length

Wire Straightener, Includes: M10214 1
1 Body Assembly M10311 1
2 Bearing M9300-55 2
3 Washer S9262-140 1
4 Lock Washer E106A-3 1
5 5/16-18 HN CF000029 1
6 Socket Head Screw T9447-13 1
7 Rollpin T9967-30 2
8 Connecting Link T12141 1
9 Wire Guide S12551 1
10 #8-32 x .50 RHS CF000033 1
11 Retainer Plate T12145 1
12 Wire Guide T12126 1
13 Adjusting Knob S12547 1
14 Adjusting Screw T12102 1
09-27-2007
ITEM DESCRIPTION PART NO. QTY. 123456789
P-100-KP-100-K
# Indicates a Change This Printing
FLUX-CORED WIRE STRAIGHTENER – SINGLE ARC
1/16” thru 5/32” Electrodes
45
3
2
6
1
7
7
89
12
12
14
14
10
10
11
11
Part Numbers Part Numbers Part Numbers Part Numbers

09-27-2007
P-100-LP-100-L
CROSS SEAM ADJUSTER
F
ACE PL
ACE PLA
TE
TE
15
15
12
12
14
14
13
13
5 6 7 8 9
10
10
4
3
2
1
16
16
17
17
11
F
ACE PL
ACE PLA
TE
TE
Part Numbers Part Numbers Part Numbers Part Numbers
ITEM DESCRIPTION PART NO. QTY. 123456789
# Indicates a Change This Printing
Cross Seam Adjuster Assembly, Includes: M10802 1
1 Clamping Ring M10787 1
2 #10-24 HN CF000010 1
3 Flat Spring T8701-1 1
4 Shoulder Screw T12535 1
5 Adjusting Screw S13202 1
6 Roll Pin T9967-8 1
7 Retaining Ring S9776-3 1
8 Key M8776-6 1
9 Adjusting Block S13203 1
10 Handle T8312 1
11 Socket Head Screw T9447-18 1
12 Mounting Arm S13204 1
13 Socket Head Screw T9447-9 2
14 Socket Head Screw T9447-10 2
15 Spatter Guard S13233 1
16 Sleeve T12537 1
17 Drive Pin T8433 1

Wire Straightener, Single Arc, Includes: M8269-1 1 X •
Wire Straightener, Twinarc, Includes: M8269-2 1 • X
24 Body M8268 1 X X
25 Cross Slide Screw S10159 1 X X
26 Bushing - Locates Slide Screw in Body T10585 1 X X
27 Roll Pin - Bushing to Slide Screw T9967-5 1 X X
28 Slide Bushing T10584 1 X •
28 Slide Bushing T10587 1 • X
29 Wire Guide Wheel Bearing M9300-55 2 X •
29 Wire Guide Wheel T10592-1 1 • X
30 Plainwasher - Bearing to Body S9262-140 2 X X
31 5/16-18 x 1.25 HHCS - Bearing to Body CF000028 1 X X
32 Lock Washer - Bearing to Body E106A-3 1 X X
33 5/16-18 HN - Bearing to Body CF000029 1 X X
09-27-2007
P-100-MP-100-M
SOLID WIRE STRAIGHTENER – SINGLE & TWINARC
5/64 thru 7/32” Electrodes
27
27
26
26
29
29
31
31
24
24
25
25
28
28
30
30
32
32
33
33
Part Numbers Part Numbers Part Numbers Part Numbers
ITEM DESCRIPTION PART NO. QTY. 123456789
# Indicates a Change This Printing
Use only the parts marked “X” in the column under the
heading number called for in the model index page.

Wire Straightener, Includes: M12470 1
1 Body Assembly M10311-1 1
2 Bearing M9300-55 2
3 Roll Pin T9967-3 1
4 Lock Washer E106A-3 3
5 5/16-18 HN CF000029 1
6 Socket Head Screw T9447-20 1
7 Roll Pin T9967-30 2
8 Connecting Link T12141 1
9 Wire Guide M12469 1
10 #8-32 x .50 RHS CF000033 1
11 Retainer Plate T12145 1
12 Ingoing Wire Guide S14888 1
13 Wing Screw T9078 1
14 Adjusting Knob S12547 1
15 Adjusting Screw T12102 1
09-27-2007
ITEM DESCRIPTION PART NO. QTY. 123456789
P-100-NP-100-N
# Indicates a Change This Printing
FLUX CORED WIRE STRAIGHTENER – TWINARC
Part Numbers Part Numbers Part Numbers Part Numbers
1
2
45
7
36
9
15
15
10
10
11
11
12
12
13
13
14
14
7
8

K218 HORIZONTAL FILLET/LAP ATTACHMENT
P-101-C.aP-101-C.a
37
38
39
40
41
42
35
36
34
33
43
44
45 19
20
22
21
23
24
25
26
12 11
10
46
4
3
12
27
47
5
6
7
8
9
13
14
15
16
18
17 17
18
28
29
30
32
31
NOTE: CONTACTS MUST BE ALIGNED SO
THAT WITH A 7/32 WIRE IN PLACE THE WIRE IS
CENTERED IN THE CHANNEL
Part Numbers Part Numbers Part Numbers Part Numbers
10-3-84
L5313
6-12-81U

1 Socket Head Screw T9447-10 4
2 Flat Washer S9262-23 4
3 Insulating Washer S10773-12 8
4 Insulating Bushing T8390 4
5 Nose Adapter M12478 1
6 Adapter Insulation T8391 1
7 Hex Jam Nut 5/16-18 1
8 Hex Head Cap Screw 5/16-18 x 1.00 1
9 Spring T8528 1
10 Pivot Assembly M8592 1
11 Lead Block S7273 1
12 Connection T8573
ø
1
13 Hex Head Screw 3/8-16 x 1.00 2
14 Hex Head Cap Screw 1/2-13 x 1.75 2
15 Hex Head Cap Screw 3/8-16 x 1.00 1
16 Hex Jam Nut 5/16-18 1
17 Hex Head Screw - Fillet Attachment 5/16-18 x 1.00 1
17 Hex Head Screw - Lap Attachment T9694-8 1
18 Roller Bracket Assembly - Fillet Attachment S16749
ø
1
18 Roller Bracket Assembly - Lap Attachment S7398
ø
1
19 Hex Jam Nut 3/8-16 1
20 Wire Guide Spring S7664 1
21 Hex Head Cap Screw 3/8-16 x 1.25 2
22 Flat Washer S9262-4 4
23 Hex Jam Nut 3/8-16 4
24 Hex Jam Nut 1/2-13 1
25 Hex Head Cap Screw 1/2-13 x 1.00 1
26 Thread Cutting Screw S9225-17 2
27 Insulation Bushing T8725 2
28 Lockwasher E106A-2 2
29 Flat Washer S9262-23 2
30 Spring Insulation T8724 2
31 Hex Jam Nut 1/2-13 2
32 Cover Plate T8404 1
33 Insulating Bushing T7028-23 2
34 Insulating Washer S10773-41 2
35 Socket Head Screw T9447-11 2
36 Flat Washer S9262-30 2
37 Spacer T8752 1
38 Hex Head Cap Screw 3/8-16 x 1.50 2
39 Lead S7266 1
40 Insulation S7387 1
41 Roll Support S7386
ø
1
42 Hex Head Cap Screw 1/2-13 x 1.25 1
43 Wire Contact Block S16640-2 1
44 Leaf Spring T8435 1
45 Wire Contact Block S16640-1 1
46 Grease Fitting T11683-1
ø
2
47 Hex Head Screw 5/16-18 x .75 2
Items Not Illustrated:
Flux Tube S10490 1
Flux Control M8765 1
Head Pivot M12595 1
10-07-2002
ITEM DESCRIPTION PART NO. QTY. 123456789
P-101-C.bP-101-C.b
# Indicates a Change This Printing
Sub Assembly Illustration Sub Assembly Illustration Sub Assembly Illustration Sub Assembly Illustration
øThis part is obsolete and no longer available.
#
#
#
#

K233 (and K103) CONTACT NOZZLE
K104 LINC-FILL EXTENSION
P-101-D.aP-101-D.a
1
2
4
5
3
6
7
8
10
11 9
1234
5
6
9
10
7
8
NOTE A: The K103 nozzle for the NA2 is identical to the K233 except
for item A (nozzle insert). For the NA2 use both the appropriate Item A
and the appropriate outgoing guide tube (Item 15 of P-100-D).
(PART OF HEAD ASSEMBLY.)
NOZZLE INSERT (A)
NOZZLE TIP
NOZZLE
ASSEMBLY
Part Numbers Part Numbers Part Numbers Part Numbers
5-80
NOTE A: The K103 nozzle for the NA2 is identical to the K233 except for Item A (noz-
zle insert). For the NA2 use both the appropriate Item A and the appropriate outgoing
guide tube (Item 15 of P-100-D).
M12736
1-11-74B
K104
S12776
5-27-66C

Nozzle Assembly, Includes: K233 1
A Nozzle Insert, .035 - .052 Electrode
S15106-.052 Note A
1
A Nozzle Insert, 1/16, 5/64 and 3/32 Electrode
S15106-3/32 Note A
1
1 Nozzle Insulator S10493-1 1
2 Socket Head Screw T10570 1
3 Hex Head Screw 1/2-13x1-1/2 1
4 Hex Nut 1/2-13 1
5 Nozzle Body S10157-1 1
6 Socket Head Cap Screw T9447-8 2
7 Pressure Spring Assembly S10798
ø
1
8 Contact Pressure Shoe T12336 1
9 Socket Head Cap Screw T9447-11 1
10 Spring Bracket Assembly M10547
ø
1
11 Retaining Spring S9776-12 2
12 Nozzle Tip S12775-3/32 1
12 Nozzle Tip S12775-5/64 1
12 Nozzle Tip S12775-1/16 1
12 F Nozzle Tip S12775-.052 1
12 Nozzle Tip S12775-.045
ø
1
12 Nozzle Tip
S12775-.035 ø
1
Extension Assembly, Includes All Below K104 1
1 Insulating Plate S11027-6
ø
1
2 Insulating Bushing T12335 2
3 Insulating Washer S10773-41 2
4 Flat Washer S9262-23 2
5 Lockwasher E106A-2 2
6 Socket Head Cap Screw T9447-10 2
7 Extension Guide Arm M10554 1
8 Wire Guide - 3/32 Electrode S12774-3/32 1
8 Wire Guide - 5/64 Electrode S12774-5/64 1
8 Wire Guide - 1/16 Electrode S12774-1/16 1
8 Wire Guide - .045 Electrode S12774-.045 1
8 Wire Guide - .035 Electrode S12774-.035 1
9 Hex Head Cap Screw 1/4-20x1/2 1
10 Flat Washer S9262-23 1
05-13-2002
ITEM DESCRIPTION PART NO. QTY. 123456789
P-101-D.bP-101-D.b
# Indicates a Change This Printing
Sub Assembly Illustration Sub Assembly Illustration Sub Assembly Illustration Sub Assembly Illustration
øThis part is obsolete and no longer available.
#

Horizontal Adjuster, Includes all Below K96 1
1 Cross Adjustment Block M13663 1
2 Cross Adjustment Screw Assembly S12734 1
3 End Cover Plate S10509-38 1
6 Head Lift Adjustment Shaft Assembly S10097 1
9 Thrust Washer S9262-37 1
10 Needle Bearing S10116-1 1
12 Crank Housing M10223 1
13 Cross Slide Assembly S12491 1
14 Socket Head Cap Screw T9447-31 2
Roll Pin T9967-29 1
Draw Bolt T4893-4 1
Hex Nut 3/4-10 1
02-04-2002
ITEM DESCRIPTION PART NO. QTY. 123456789
P-101-EP-101-E
# Indicates a Change This Printing
K96 HORIZONTAL ADJUSTER
Part Numbers Part Numbers Part Numbers Part Numbers
M10224
6-16-78B
10
12
13
3
6
2
1914

Solenoid Assembly, Includes: K223 1
1 Solenoid Mounting Bracket L5276 1
2 Solenoid and Valve Assembly M11675-A 1
6 Strain Relief Grommet T9274-3 1
7 Cable Assembly M12664 1
9 Name Plate S13246 1
3-13-2000
ITEM DESCRIPTION PART NO. QTY. 123456789
P-101-F (NA3, NA4 and NA5)P-101-F (NA3, NA4 and NA5)
# Indicates a Change This Printing
K223 SOLENOID ASSEMBLY
(NA3, NA4 and NA5)
INLET
SOLENOID
TO NOZZLE
ASSEMBLY
9 7
621
Part Numbers Part Numbers Part Numbers Part Numbers
M12665
7-22-83T
#

K129 SUBMERGED ARC TINY TWINARC®
P-101-GP-101-G
1
2
3
4
4
7
3
6
5D
C
B
A
Spring Mounting Bracket
Roll Pin
Pressure Spring Asbly.
Wing Screw
Contact Pressure Shoe
Part Numbers Part Numbers Part Numbers Part Numbers
NOTES:
Nozzles with spring loaded contact shoes (illustrated below, right) should be converted to the
newer design by discarding items named below and using the appropriate contact tip holder
and tips or correct one piece contact tip, depending on wire size.
Intermediate design (one piece) contact tips for 1⁄16 and 5⁄64 wire should be converted to
the new (lower replacement cost) contact tip holder and contact tips design by ordering the
appropriate contact tips and tip holder from the parts list below.
M11609
4-16-76J

Twinarc - Complete - Includes All Below K129* 1
Nozzle Assembly - Stripped - Includes Items 1, 3, 5 & 6
M11609 1
.045 Wire Kit - Includes Items 2, 4, A & B KP1901-1 1
1/16 Wire Kit - Includes Items 2, 4, 7, A & B KP1901-2 1
5/64 Wire Kit - Includes Items 2, 4, 7, A & B KP1901-4 1
3/32 Wire Kit - Includes Items 2, 4, 7, A & B KP1901-3 1
1 Nozzle Body Assembly S13164 1
2 Guide Tube - .045 & .052 Wire KP2092-1 2
2 Guide Tube - 1/16, 5/64 & 3/32 Wire KP2092-2 2
3 Nozzle Collar S13157 1
4 Contact Tip - .045 Wire KP1979-1 1
4 Contact Tip - .052 Wire KP1979-2 1
4 Contact Tip - 1/16 Wire KP2100-2 2
4 Contact Tip - 5/64 Wire (See Note AA) KP2100-4 2
4 Contact Tip - 3/32 Wire KP2100-3 1
5 1/2-13 HN CF000027 1
6 1/2-13 x 1.50 HHCS CF000052 1
7
Tip Holder - 1/16, 5/64 & 3/32 Wire (Std.), Includes
KP1988-1 1
Nozzle Insert KP2094-4 2
7 Tip Holder - (Special Side-by-Side Wire) KP2171-1
As Reqʼd
Note AA
When Tip Life is limited by tip being fused over,
the use of T14726-5/64 Tips may result in a lower
overall cost.
A Drive Roll - .045 & .052 Wire KP1888-1 1
A Drive Roll - 1/16 & 5/64 Wire KP1888-2 1
A Drive Roll Assembly - 3/32 Wire, Includes:
Outer Drive Rolls KP1889-1 2
Center Drive Rolls S14905 1
Drive Roll Spacer T12146-1 1
Drive Roll Key M8776-6 1
B Wire Guides - .045 & .052 Wire KP1970-1 2
B Wire Guides - 1/16 Wire KP1970-2 2
B Wire Guides - 5/64 & 3/32 Wire KP1970-3 2
C Idle Roll Assembly, Includes: S13165 1
Idle Roll S18583 1
D Incoming Wire Guide Assembly KP2122-1 1
Second Wire Reel & Mountings See P-100-G 1
08-28-2007
ITEM DESCRIPTION PART NO. QTY. 123456789
P-101-G.1P-101-G.1
• Specify Wire Size
# Indicates a Change This Printing
Sub Assembly Illustration Sub Assembly Illustration Sub Assembly Illustration Sub Assembly Illustration

K281 WIRE STRAIGHTENER FOR TINY TWINARC®
P-101-G.2.aP-101-G.2.a
Part Numbers Part Numbers Part Numbers Part Numbers
05-10-2005
5A
5A
5
2
6
4A
4A
4
3
4B
4B
4C
4C
10
10
7
8
3C
3C
3B
3B
12
12
3A
3A
3B
3B
3C
3C
14
14
13
13
1
9
9

1 Base S15943 1 X X
2 Tension Arm S15946 1 X X
3 Roller Assembly, Includes: S15953-1 1 X •
Roller Shaft (2 1/4” Shaft) T14099 1 X •
Retaining Ring S9776-1 2 X •
3 Roller Assembly, Includes: S15953-3 1 X X
3A Roller Shaft (2 1/2” Shaft) S18729 1 X X
3B Bushing S18728 2 X X
3C Retaining Ring S9776-4 2 X X
4 Roller Assembly Includes: S15953-2 1 X X
Roller S15950 1 X X
Bearing Shaft S18727-1 1 X X
Retaining Ring S11964-7 2 X X
Bearing M9300-83 2 X X
4A Hex Head Cap Screw 5/16-18 x 2.00 1 X X
4B Lock Washer E106-A3 1 X X
4C Hex Nut 5/16-18 1 X X
5 Incoming Guide Assembly, Includes: T14090 1 X X
5A Thumb Screw T14088 1 X X
5B Nozzle Insert (Not Shown) T12576-3 4 X X
6 Roll Pin T9967-38 2 X X
7 Adjusting Screw Assembly T14092 1 X X
8 Large Pivot T14086 1 X X
9 Retaining Ring S9776-12 2 X X
10 Small Pivot Shaft T14087 1 X X
12 Roll Pin T9967-8 1 X X
13 Wire Guide Assembly T14093 1 X •
14 Set Screw S11604-21 1 X X
05-02-2001
USE COLUMN ONE FOR TINY TWINARC
USE COLUMN TWO FOR TWIN MIG TORCH
ITEM DESCRIPTION PART NO. QTY. 123456789
P-101-G.2.bP-101-G.2.b
• Specify Wire Size
# Indicates a Change This Printing
Sub Assembly Illustration Sub Assembly Illustration Sub Assembly Illustration Sub Assembly Illustration
# #
}
}

FLUX HOPPER
P-101-HP-101-H
241
237
250
252
SECTION AA
228
A
229
251
236
235
227
225
226
234
7
6
5
4
3
2
1
Part Numbers Part Numbers Part Numbers Part Numbers
L3552
8-21-81P
T12590
1-16-76H

Flux Hopper Assembly, Includes: L3552-E 1 X • •
Flux Hopper Assembly, Includes: (Standard) L3552-F 1 • X •
Flux Hopper Assembly, Includes: L3552-G 1 • • X
225 Flux Hopper Base L3100 1 X X X
226 Flux Gate Spring T10573 2 X X X
227 Flux Gate Wear Plate T10600 2 X X X
228 Flux Gate Spring T10603 1 X X X
229 Flux Gate Assembly, Includes: S10131-3 1 X X X
Flux Gate: Sub Assembly S10131-2 1 X X X
Solenoid Plunger T10598-2 1 X X X
Spring Retaining Washer T10599 1 X X X
Retaining Ring S9776-4 1 X X X
Washer S9262-98 1 X X X
234 Flux Tube Assembly S10130 1 X X X
235 Sems Screw T10082-4 4 X X X
236 Solenoid S11085 1 X X X
237 Switch T10616 1 X X X
241 Cable S13252 1 X • X
241 Cable M12555 1 • X X
250 Flux Hopper Assembly M10818
ø
1••X
250 Flux Hopper Assembly (Standard) M10818-1 1 • X •
250 Flux Hopper Assembly M13563 1 • • X
251 Sems Screw T10082-4 1 X X X
252 Gasket T10545 1 X X X
256 Flux Tube (Not Shown) T10642-11 1 X • •
257 Flux Tube (Not Shown) S7748-35 1 X • •
Pointer and Mounting Bracket Assembly, Includes: T12590 1 X • •
Pointer and Mounting Bracket Assembly, Includes: T12590-1 1 • X •
1 Pointer S10103 1 X • •
1 Pointer S10103-2 1 • X •
2 Insulating Washer S10773-9 2 X X •
3 Washer S9262-1 2 X X •
4 Wing Nut T9968-3 1 X X •
5 Hex Head Bolt T8775-2 1 X X •
6 Insulating Bushing T8776 1 X X •
7 Pointer Bracket M8226 1 X X •
Door Hinge Assembly S16233 2 • X •
Hex Head Bolt, Hopper Mounting 1/4-20 x 6 2 • X •
04-12-2004
For the NA2, use the parts marked “X” in Column 1.
For the NA3, NA4 and NA5, use the parts marked “X” in Column 2.
For the NA454, use the parts marked “X” in Column 3.
ITEM DESCRIPTION PART NO. QTY. 123456789
P-101-H.1P-101-H.1
# Indicates a Change This Printing
Sub Assembly Illustration Sub Assembly Illustration Sub Assembly Illustration Sub Assembly Illustration
øThis part is obsolete and no longer available
#

K148 CONTACT NOZZLE ASSEMBLY
K149 LINC-FILL EXTENSION ASSEMBLY
P-101-KP-101-K
Part Numbers Part Numbers Part Numbers Part Numbers
11-4-98
57
13
13
14
14
8
17
17
14
14
6
23
23
18
18
15
15
16
16
4
12
12
1
3
2
20
20
22
22
21
21
19
19
24
24
25
25
114
114
112
112
113
113
110
110
115
115
116
116
111
111
109
109
108
108
108A
108A
102
102
107
107
108A
108A
105
105
104
104
103
103
106
106
11
11
10
10
9

Nozzle Asbly (Wire Size 3/32 - .120-1/8), Includes:
K148A 1 X • • • •
Nozzle Asbly (Wire Size 5/32 - 3/16), Includes: K148B 1 • X • • •
Nozzle Asbly (Wire Size .068 - 5/64), Includes: K148C 1 • • X • •
Nozzle Asbly (Wire Size 5/32 - 3/16), Includes: L4621-4 & -6 1 • • • X •
Nozzle Asbly (Wire Size 3/32 - .120-1/8), Includes:
L4621-5 1 • • • • X
1 1/2-13 x 1.5 HHCS CF000052 1 X X X X X
2 1/2-23 HN CF000027 1 X X X X X
3 Cable Connector S12576 1 X X X X X
4 Roll Pin T9967-35 1 X X X X X
5 Pivot Body M10340-1 1 X X X X X
6 Guide Tube Asbly, 3/32, .120, 1/8 Wire KP1974-1 1 X • • • X
6 Guide Tube Asbly, 5/32, 3/16 Wire KP1974-2 1 • X • X •
6 Guide Tube Asbly, .068, 5/64 Wire KP1974-3 1 • • X • •
7 Set Screw S11604-19 1 X X X X X
8 Insulating Spacer T12157 1 X X X X X
9 Flat Washer S9262-23 2 X X X X X
10 Lock Washer E106A-2 2 X X X X X
11 1/4-20 x 1.00 HHCS CF000015 2 X X X X X
12 Nozzle Body M11327 1 X X X X X
13 Insulating Tube T7028-51 1 X X X X X
14 Insulation S12579 2 X X X X X
15 Snap Ring S9776-25 2 X X X X X
16 Pivot Pin T12158 1 X X X X X
17 Spring T10247-8 1 X X X X X
18 Nozzle Holder S13762 1 X X X X X
19 Window Cover S7748-64 1 X X X • •
20 Thread Protecting Collar S13805 1 X X X X X
21 Nozzle Collar S13804 1 X X X X X
22 Nozzle Tip KP1973-1 1 X X • X X
22 Nozzle Tip KP1991-1 1 • • X • •
23 Inner Guide KP1980-1 1 • • X • •
24 Extension Support Arm Mounting Bracket S13758 1 • • • X X
25 Set Screw S11604-19 1 • • • X X
Water Cooling Tube Assembly (Not Illustrated) T12928 1 X X X • •
K149 Linc-Fill Extension Asbly, Includes: K149-3/32 Wire 1 X • • • • •
K149 Linc-Fill Extension Asbly, Includes: K149-.120 Wire 1 • X • • • •
K149 Linc-Fill Extension Asbly, Includes: K149-1/8 Wire 1 • • X • • •
K149 Linc-Fill Extension Asbly, Includes: K149-5/32 Wire 1 • • • X • •
K149 Linc-Fill Extension Asbly, Includes: K149-3/16 Wire 1 • • • • X •
Linc-Fill Extension Asbly & L4621-6 Nozzle, Includes:
M13868 1 • • • • • X
102 Extension Arm Asbly S13757 1 X X X X X X
103 Mounting Block S13758 1 X X X X X •
104 Set Screw S11604-19 1 X X X X X •
105 1/4-20 x 1 3/8 HHCS CF000118 2 X X X X X X
106 Insulation T8477-16 2 X X X X X X
107 Insulating Tube T11851-3 2 X X X X X X
108 Lock Washer E106A-2 2 X X X X X X
108A Plain Washer S9262-23 2 X X X X X X
109 1/4-20 HN CF000017 2 X X X X X X
110 Flux Hose Clamp T12929 1 X X X X X •
111 5/8-11 HJN CF000140 1 X X X X X X
112 Extension Tube - 2” Long KP1975-2 1 • • X X X •
113 Extension Tube - 1” Long KP1975-1 1 • X • • • X
114 Extension Tube End (2 3/4 Electrical Stickout) KP1976-3 1 X • • • • •
114 Extension Tube End (2 1/4 Electrical Stickout) KP1990-1 1 X • • • • •
114 Extension Tube End KP1976-1 1 • X X • • •
114 Extension Tube End KP1976-4 1 • • • X • •
114 Extension Tube End KP1976-2 1 • • • • X X
115 Flux Hose T10642-34 1 X X X X X •
116 Flux Hose S7748-35 1 X X X X X •
Nozzle Assembly (L4261-6) See Above List 1 • • • • • X
08-28-2007
Use Columns 1, 2 & 3 for Standard K148 Nozzles. Use Columns 4 & 5 for Modified
Series Arc Equipment Nozzles. Use appropriate column for K149 Extensions based
on wire size for standard extensions or Part No. for Modified Series Arc Equipment.
ITEM DESCRIPTION PART NO. QTY. 123456789
P-101-K.1P-101-K.1
# Indicates a Change This Printing
Sub Assembly Illustration Sub Assembly Illustration Sub Assembly Illustration Sub Assembly Illustration
#

K225 SUBMERGED ARC TWINARC KIT
P-101-LP-101-L
129
101
102
108
125
126
127
109
107
119
120
118
117
116
115
121
113
114
128
124
112
103
104
105
106
110
123
122
111
Part Numbers Part Numbers Part Numbers Part Numbers
L5314
6-12-81J

Twinarc - Complete - Includes All Below K225
Nozzle Assembly - Includes Items 101 through 129
L5314-1
101 Adapter Plate M12478-1 1
102 Adapter Insulation T8391 1
103 Socket Head Screw T9447-10 4
104 Washer S9262-23 4
105 Insulating Washer S10773-12 8
106 Insulating Bushing T8390 4
107 Electrode Guide Tube KP2084-1 2
108 Socket Plate S9842 1
109 Nozzle Body M7913 1
110 Current Bar S9544 1
111 1/4-20 x 1.00 HHCS CF000015 4
112 Center Contact Block (.375 Electrode Spacing) T10252-1 1
112 Center Contact Block (.500 Electrode Spacing) T10252-2 1
112 Center Contact Block (.625 Electrode Spacing) T10252-3 1
113 Line Up Plate T10245 1
114 Socket Head Screw T9447-11 2
115 Spring S7664 2
116 Spring Insulation T8724 4
117 Insulating Bushing T8725 4
118 Washer S9262-23 4
119 Lock Washer E106A-2 4
120 1/4-20 x 1.00 HHCS CF000015 4
121 Contact Jaw T10266 2
122 1/2-13 x 1.50 HHS CF000052 1
123 1/2-13 HN CF000027 1
124 Socket Head Screw T9447-10 2
125 Washer T10248 2
126 Nameplate S9556 1
127 Drive Screw S8025-8 2
128 Flux Tube Support Assembly T10684 1
129 5/16-18 x 3/4 HHCS CF000049 2
Outer Drive Rolls KP1889-1 2
Center Drive Roll S14905 1
Drive Roll Spacer T12146-1 1
Idle Roll Assembly S13165 1
Drive Roll Key M8776-6 1
Wire Guide Tubes - Upper & Lower KP1982-1 2
Wire Straightener See P-100-M 1
Second Wire Reel & Reel Mounting See P-100-G 1
08-28-2007
ITEM DESCRIPTION PART NO. QTY. 123456789
P-101-L.1P-101-L.1
# Indicates a Change This Printing
Sub Assembly Illustration Sub Assembly Illustration Sub Assembly Illustration Sub Assembly Illustration

K239 INNERSHIELD TWINARC KIT
P-101-L.2P-101-L.2
1
23
4
5
26
27
6
8
12
25
13
14
15
24
23
22
21
17
18
20
19
7
9
10
11
16
14
Part of item
Socket HD. screw
Water cooled
jacket asbly.
Wire guide
block asbly.
N.B.
Part Numbers Part Numbers Part Numbers Part Numbers
L5421
3-22-85M

Twinarc - Complete - Includes All Below K239
Nozzle Assembly L5421-1
ø
1 Adapter Plate & Roll Pin Assembly M12478-1 1
2 Hex Head Screw 5/16-18 x .75 2
3 Socket Head Screw T9447-10 4
3 Flat Washer S9262-23 4
3 Insulating Washer S10773-12 8
3 Insulating Bushing T8390 4
4 Adapter Insulation T8391 1
5 Socket Plate S9842 1
6 Socket Head Screw T9447-10 2
7 Electrode Guide Tube T10251-1 2
8 Nameplate S9556 1
8 Drive Screw S8025-8 2
9 Round Head Screw 1/4-20 x .50 2
10 Lock Washer E106A-2 2
11 Clamp T8970-14 2
12 Contact Block S15482-1 1
13 Socket Head Screw T9447-7 2
14 Jacket & Guide Block Assembly S15487-1 1
15 Hex Head Screw 3/8-16 x 2.25 2
15 Flat Washer S9262-120 4
15 Lock Washer E106A-16 2
15 Hex Nut 3/8-16 2
16 Contact Tip T14050-3/32 2
17 Current Bar S15483 1
18 Hex Head Screw 1/4-20 x 1.00 4
19 Hex Head Screw 1/2-13 x 1.50 1
19 Hex Nut 1/2-13 1
20 Nozzle Body M7913 1
21 Conductor Bar Insulation T13831-2 1
22 Insulating Sleeve T13829 2
23 Tip Insulation T13831-1 1
24 Insulating Sleeve T13830-1 2
25 Water Jacket Insulation T13832 1
26 Flat Washer S9262-23 2
27 Flat Washer S9262-103 2
Outer Drive Rolls S14904 2
Center Drive Roll S14905 1
Drive Roll Spacer T12146-1 1
Idle Roll Assembly S13165 1
Drive Roll Key M8776-6 1
Wire Guide Tubes - Upper & Lower S14901 2
Wire Straightener See P-100-N 1
Second Wire Reel & Reel Mounting See P-100-G 1
02-04-2002
ITEM DESCRIPTION PART NO. QTY. 123456789
P-101-L.3P-101-L.3
# Indicates a Change This Printing
Sub Assembly Illustration Sub Assembly Illustration Sub Assembly Illustration Sub Assembly Illustration
#
øThis part is obsolete and no longer available.

K231 (and K31*)
CONTACT NOZZLE ASSEMBLY
* For K31, order K231 assembly.
All parts are interchangeable.
P-101-MP-101-M
Part Numbers Part Numbers Part Numbers Part Numbers
10-18-2006
125125
118118
110110
111111
122122
121121
111A111A
113A113A
113B113B
113C113C
117117
116116
114114
115115
124124
123123

Nozzle Assembly, Includes Items 110 thru 125 as
appropriate for wire size specified K231* 1 X •
Nozzle Assembly, for LT34 ONLY, Includes Items
110, 111, 118, 121 and 122; Order Items 119,
120, 123, 124 and 125 separately for the
desired wire size M8241-1 2 • X
110 Nozzle Insulator S10493-1 1 X X
111 Nozzle Body S10157 1 X X
111A Roll Pin T9967-10 1 X X
113A Cone Body Assembly, Includes: M8249 1 X •
113B Flux Cone Plug S10138 1 X •
113C Roll Pin T9967-30 1 X •
114 Retaining Nut S10147 1 X •
115 Flux Cone KP2085-1 1 X •
116 Locking Ferrule T10574 1 X •
117 Thumb Screw T9078-1 1 X •
118 Special Socket Head Screw T10570 1 X •
119 Rubber Flux Tube (Not Shown) T10642-1 1 X •
119 Rubber Flux Tube, LT34 Only (Not Shown) T10642-11 1 • X
120 Steel Flux Tube (Not Shown) T6996-9 1 X •
120 Steel Flux Tube, LT34 Only (Not Shown) S10487 1 • X
121 1/2-13 x 1.50 HHCS - Lead to Nozzle CF000052 1 X X
122 1/2-13 HN - Lead to Nozzle CF000027 1 X X
123 Contact Tip - 7/32 Wire Size KP1962-5 1 X X
123 Contact Tip - 3/16 Wire size KP1962-2 1 X X
123 Contact Tip - 5/32 Wire Size KP1962-4 1 X X
123 Contact Tip - 1/8 Wire Size KP1962-1 1 X X
123 Contact Tip - 3/32 Wire Size KP1962-3 1 X X
123
Contact Tip - 3/32 Wire Size; (3/8-24 Thread) Old Style
KP2082-1 1 X X
123 Contact Tip - 3/32 Wire Size; (5/16-18 Thread) KP2100-3 1 X X
123
Contact Tip - 5/64 Wire Size; (3/8-24 Thread) Old Style
KP2082-2 1 X X
123 Contact Tip - 5/64 Wire Size; (5/16-18 Thread)
See Note 1 T14050-5/64 1 X X
124 Adapter for 3/32 and 5/64 S8087 Tips
(With 3/8-24 Female Thread) See Note 2 1 X X
124 Adapter for 3/32 and 5/64 T14050 Tips
(With 5/16-18 Female Thread) KP1992-1 1 X X
125 Nozzle Insert for 3/32 and 5/64 Wire (For NA) S15106-3/32 1 X •
125 Nozzle Insert for 5/64 Wire (For LAF & LT) KP2121-2 1 X X
Mounting Clip (For Mounting Nozzle on LAF2) T10714
ø
2X•
Nozzle Extension (5.38” long) (For 3/32 & Larger Wire)
S12003
As Reqʼd
X•
* Specify Wire Size
Note 1
When tip life is limited by tip being fused over, the
use of T14726-5/64 Tips may result in a lower
overall cost.
Note 2
This adapter is no longer available, order Adapter
S16844 and the appropriate T14050 Tips or
T14726-5/64 Tip.
10-18-2006
Use only the parts marked “X” in the column under the
heading number called for in the model index page.
ITEM DESCRIPTION PART NO. QTY. 123456789
P-101-M.1P-101-M.1
# Indicates a Change This Printing
Sub Assembly Illustration Sub Assembly Illustration Sub Assembly Illustration Sub Assembly Illustration
#

K226 (and K32*)
CONTACT JAW ASSEMBLY
* For K32, order a K226 assembly.
All parts are the same except Item 8.
P-101-NP-101-N
1
2
3
4
5
6
7
8
9
10
11
12
13
14
15
16
17
18
19
20
21
22
25
26
27
20
23
28
24
Part Numbers Part Numbers Part Numbers Part Numbers
M13879
6-12-81J

Contact Jaw Assembly - One Rectangular and One
Tapered Jaw - For 1/8 thru 7/32 Wire, Includes: K226-R 1
Contact Jaw Assembly - Two Tapered Jaws - For
3/32 and 1/8 Wire, Includes: K226-T 1
1 Socket Head Screw T9447-10 4
2 Washer S9262-23 4
3 Insulating Washer S10773-12 8
4 Insulating Bushing T8390 4
5 Cover Plate T8404 1
6 Lead Block S7273 1
7 Hex Jam Nut 3/8-16 4
8 Adapter Plate, Rectangular* M12478* 1
9 Insulation Plate T8391 1
10 Bottom Wire Guide M6656 1
11 Spring Insulation T8724 2
12 Hex Head Cap Screw 1/4-20 x 1.00 2
13 Insulating Bushing T8725 2
14 Hex Head Cap Screw 3/8-16 x 1.00 2
15 Hex Head Cap Screw 1/2-13 x 1.75 2
15N Hex Jam Nut 1/2-13 2
16 Lock Washer E106A-2 2
17 Plain Washer S9262-23 2
18 Spring S7664 1
19 Hex Head Cap Screw 3/8-16 x 1.25 2
20 Plain Washer S9262-4 2 or 3
21 Contact Block - Rectangular S16640-1 1
21 Contact Block - Tapered S16640-2 1
22 Hex Head Cap Screw (K226-R Only) 3/8-16 x .75 1
23 Hex Head Cap Screw (K226-R) 3/8-16 x 1.50 1
23 Hex Head Cap Screw (K226-T) 3/8-16 x 1.25 1
24 Braided Lead (K226-R Only) S7266 1
25 Contact Jaw S16640-2 1
26 Flux Tube Clip T10683 1
27 Hex Head Cap Screw 3/8-16 x 1.50 1
28 Hex Head Screw 5/16-18 x .75 2
29 Flux Hose T10642-2 1
30 Flux Hose Tip S7748-35 1
* Item 8 for K32 Jaws Sold with LAF and LT3
Tractors was round – Part S7258.
02-04-2002
ITEM DESCRIPTION PART NO. QTY. 123456789
P-101-N.1P-101-N.1
# Indicates a Change This Printing
Sub Assembly Illustration Sub Assembly Illustration Sub Assembly Illustration Sub Assembly Illustration

TRAVEL CARRIAGE GENERAL ASSEMBLY
P-101-P
(Supersedes P-52-C)
P-101-P
(Supersedes P-52-C)
Part Numbers Part Numbers Part Numbers Part Numbers
3-8-82
898891
901
93
94
91
92
93
94
19
1C
2120
B
7376
37
3
2
9 7 6 5
24 26 25 23 27
34
32
33
31 A
28 35
29 30
TAPE ITEM 22 TO
HANDLE WITH 75
WIDE TAPE PER E651
FOR SHIPMENT
CONTROL BOX
FULL SCALE CUT-AWAY VIEW SHOWING
LAF3,4, & 5 CONTROL BOX MOUNTING
FULL SCALE CUT-AWAY VIEW SHOWING
NA3 & NA4 CONTROL BOX MOUNTING
CONTROL BOX
STENCIL CODE NUMBER
.19 HIGH NUMBERS
FULL SCALE VIEW SHOWING UPPER
GUIDE WHEELS & MOUNTING
.50
5.00
G1326
5-15-81B

A Motor and Gear Box Assembly See P-101-R
B Control Panel Assembly See P-101-O
1 Carriage Frame G1384 1 X X X
2 Upper Guide Wheel Assembly, Includes: T5335-1 4 X • •
2 Upper Guide Wheel Assembly, Includes: T13876 4 • X •
2 Upper Guide Wheel Assembly, Includes: T13875 4 • • X
Shaft T10647 1 X • •
Shaft S15558 1 • X X
Bearing M9300-6 1 X X •
Bearing M9300-67 1 • • X
Retaining Ring S9776-50 2 • X X
3 Roll Pin T9967-43 4 • X X
Lockwasher - Guide Wheel Mounting E106A-5 6 X • •
Washer - Guide Wheel Mounting S9262-1 8 X • •
5 Lower Bearing Bar Assembly S10299 2 X • •
5 Lower Bearing Bar Assembly M12980-2 2 • X •
5 Lower Bearing Bar Assembly M12980-1 2 • • X
6 Spacer - Thin S10262-1
ø
4X••
6 Spacer - Thin S10262-5 4 • X X
7 Spacer - Thick S10262-2
ø
8X••
7 Spacer - Thick S10262-4 2 • X •
Lockwasher, Lower Bearing Bar Mounting E106A-4 4 X • •
9 Socket Head Screw T9447-14
ø
4X••
9 Socket Head Screw T9447-49 2 • X X
C Head Mounting and Lift L3116 1 X • •
C Head Mounting and Lift L5460 1 • X X
Head Mounting Parts See P-101-Q 1 X X X
19 Lift Handle M8385 1 X • •
19 Lift Handle M12968 1 • X X
20 Lift Handle Stud T10652 1 X • •
20 Lift Handle Stud T13872 1 • X X
21 Set Screw, Lift Handle and Stud Mounting S11604-11 2 X • •
Hex Jam Nut, Locking Set Screw 3/8-16 1 X • •
21 Roll Pin, Lift Handle Mounting T9967-30 1 • X X
22 Roller, Mounts Item C thru Crank Bracket T8128 1 X X X
23 Gear Box Mounting Plate M8485
ø
1XXX
24 Flat Head Screw 5/16-18 x .625 4 X X X
25 Drive Wheel T13586 1 X X X
Key, Drive Wheel to Motor M8776-6 1 X X X
Spacer S9262-44 1 X X X
Lockwasher T9860-2 1 X X X
26 Nut, Drive Wheel to Motor T10552 1 X X X
27 Swivel Motor Mount S10288 2 X X •
27 Swivel Motor Mount S15772 2 • • X
28 Oil Cup T8679 2 X X X
29 Hex Head Bolt 1/2-13 x 1.00 2 X • •
29 Hex Head Bolt 1/2-13 x 1.25 2 • X X
30 Lockwasher E106A-5 2 X X X
31 Upper Spring Bracket S10379 1 X X X
32 Hex Head Bolt 3/8-16 x .75 2 X X X
06-06-2001
For K23 & K236 Models (below code 7500), use the parts marked “X” in Column 1.
For K247 Models (above code 7500), use the parts marked “X” in Column 2.
For K247-HC Models (above code 7500), use the parts marked “X” in Column 3.
ITEM DESCRIPTION PART NO. QTY. 123456789
P-101-P.1.a
(Supersedes P-52-C.1)
P-101-P.1.a
(Supersedes P-52-C.1)
# Indicates a Change This Printing
Sub Assembly Illustration Sub Assembly Illustration Sub Assembly Illustration Sub Assembly Illustration
øThis part is obsolete and no longer available.
#

33 Lockwasher E106A-4 2 X X X
34 Spring T5338 1 X X X
35 Shim - Swivel Motor Mount T10778-1
As Reqʼd
XXX
35 Shim - Swivel Motor Mount T10778-2 4 X X X
37 Cable Clamp M8501 1 X X X
73 Choke Coil M8424 1 X X X
Cable - To Travel Receptacle in Control Box, Includes:
M8377 1 X X X
Plug S10272 1 X X X
76 Wire Reel Support L3154 1 X X X
Control Box Mounting Parts
88 Insulation Tube T7305-19 4 X X X
89 Insulation Washer S10773-12 4 X X X
90I Insulation Spacer S10300 1 X X X
90A Adapter Plate S15082 1 X X X
91 Hex Head Screw 1/4-20 x .75 6 X X X
92 Plain Washer S9262-98 6 X X X
93 Lockwasher E106A-2 6 X X X
94 Hex Nut 1/4-20 6 X X X
3-8-82
For K23 & K236 Models (below code 7500), use the parts marked “X” in Column 1.
For K247 Models (above code 7500), use the parts marked “X” in Column 2.
For K247-HC Models (above code 7500), use the parts marked “X” in Column 3.
ITEM DESCRIPTION PART NO. QTY. 123456789
P-101-P-1.b
(Supersedes P-52-C.1)
P-101-P.1.b
(Supersedes P-52-C.1)
# Indicates a Change This Printing
Sub Assembly Illustration Sub Assembly Illustration Sub Assembly Illustration Sub Assembly Illustration
Carriage Type Number
For LAF & NA2 For NA3 & NA4 For NA3 & NA4 Gear Ratio
K23-F K236-F K247 & -HC -F Fast 144 : 1
K23-M K236-M K247 & -HC -M Medium 324 : 1
K23-S K236-S K247 & -HC -S Slow 648 : 1

C
Head Mounting and Lift Mechanism (Includes all Below)
L3116 1 X •
C
Head Mounting and Lift Mechanism (Includes all Below)
L5460 1 • X
10 Head Lift Mounting Plate S10292 1 X •
10 Head Lift Mounting Plate S15553 1 • X
11 Lift Link S10296 2 X •
11 Lift Link S15552 2 • X
12 Roller Shaft S10266-1 2 X X
13 Roller T10654 4 X X
14 Roll Pin - Roller to Roller Shaft T9967-6 4 X X
15 Crank Link Shaft S10266-3
ø
1X•
15 Crank Link Shaft S10266-4 1 • X
16 Roll Pin - Locates Lift Link on Crank Link Shaft T9967-1 4 X X
17 Link Shaft S10266-2
ø
1X•
17 Link Shaft S10266-4 1 • X
18 Crank Bracket S10285
ø
1X•
18 Crank Bracket T13874 1 • X
6-16-2000
For K23 and K236 Models (Below Code 7500) use the parts marked “X” in column 1.
For K247 and K247-HC Models, (Above Code 7500) and K325 and K325-HC Models, use
the parts marked “X” in column 2.
ITEM DESCRIPTION PART NO. QTY. 123456789
P-101-Q
(Supersedes P-52-D)
P-101-Q
(Supersedes P-52-D)
# Indicates a Change This Printing
HEAD MOUNTING AND LIFT MECHANISM
18
15
11
17
13
12
10
14
Part Numbers Part Numbers Part Numbers Part Numbers
øThis part is obsolete and no longer available.
#
#
#

A Drive Motor and Gear Case Assembly, 144-1 Ratio,
Includes All items in Column 1 Marked “X”. L3094-1*
ø
1X••
A Drive Motor and Gear Case Assembly, 324-1 Ratio,
Includes All items in Column 2 Marked “X”. L3094-2* 1 • X •
A Drive Motor and Gear Case Assembly, 648-1 Ratio,
Includes All items in Column 3 Marked “X”. L3094-4*
ø
1••X
175 Gear Case G1027
ø
1XXX
176 Dust Cap - For Output Shaft T10559 1 X X X
177 Dust Cap Gasket T10649-1 As Reqʼd XXX
178 Dust Cap Gasket T10649-2
ø
As Reqʼd XXX
179 Flat Head Screw - Dust Cap to Case 10-24 x 1/2 4 X X X
180 Dust Cap - For Cross Shaft T10672
ø
1XXX
08-13-2001
Use only the parts marked “X” in the column under the
heading number called for in the model index page.
ITEM DESCRIPTION PART NO. QTY. 123456789
P-101-R
(Supersedes P-52-F)
P-101-R
(Supersedes P-52-F)
# Indicates a Change This Printing
Part Numbers Part Numbers Part Numbers Part Numbers
CARRIAGE DRIVE MOTOR AND GEAR CASE
191
182
177
201
181
202
183
180
200
178
194
175
195
179
205
176
177
207 208 204 203 206 189 188
199209210211
185
186
184
201
178
213
A-356
øThis part is obsolete and no longer available.
#
#

181 Caution Plate S10346 1 X X X
182 Round Head Screw - Dust Cap to Gear Case #10-24 x 1/2 4 X X X
183 Lock Washer E106A-1 4 X X X
184 Small Bearing Cage S10077 1 X X X
185 Small Bearing Cage Gasket S10084 1 X X X
186 Flat Head Screw - Small Cage to Gear Case #10-24 x 1/2 4 X X X
187 Large Bearing Cage S10079 1 X X X
188 Large Bearing Cage Gasket S10085 1 X X X
189 Flat Head Screw - Large Cage to Gear Case #10-24 x 1/2 6 X X X
190 Oil Seal - Output Shaft S7611-5 1 X X X
Motor Assembly - 144-1 Ratio Only, Includes: M10301-2 1 X • •
Motor Assembly - 324-1 and 648-1 Ratio, Includes: M10301-1 1 • X X
191 Motor
NSS
1XXX
Brush and Spring Assembly L3117-9
ø
2XXX
Brush Cap L3117-7
ø
2XXX
Phillips Flat Head Screw, Motor to Base 8-32 x 1 4 X X X
Input Worm, 144-1 Ratio Only S10088-3 1 X • •
Input Worm, 324-1 and 648-1 Ratio S10088-1 1 • X X
Roll Pin, Input Worm to Motor Shaft T9967-3 1 X X X
Four Contact Plug T10662 1 X X X
Oil Throw Ring S10773-6 1 X X X
Cross Shaft Assembly, 144-1 Ratio Only, Includes
Items 199 through 202 S10080-3
ø
1X••
Cross Shaft Assembly, 324-1 Ratio Only, Includes
Items 199 through 202 S10080-6 1 • X •
Cross Shaft Assembly, 628-1 Ratio Only, Includes
Items 199 through 202 S10080-8 1 • • X
199 Cross Shaft, 224-1 Ratio Only S10075-3
ø
1X••
199 Cross Shaft, 324-1 Ratio Only S10075-4 1 • X •
199 Cross Shaft, 648-1 Ratio Only S10075-2 1 • • X
200 Input Worm Gear, 144-1 Ratio Only S10087-3 1 X • •
200 Input Worm Gear, 224-1 and 648-1 Ratio S10087-1 1 • X X
201 Ball Bearing M9300-29 2 X X X
202 Woodruff Key #405 1 X X X
Output Shaft Assembly, 144-1 Ratio Only, Includes
Items 203 through 208 S10083-3
ø
1X••
Output Shaft Assembly, 324-1 Ratio Only, Includes
Items 203 through 208 S10083-4 1 • X •
Output Shaft Assembly, 648-1 Ratio Only, Includes
Items 203 through 208 S10083-2 1 • • X
203 Output Shaft S10078 1 X X X
204 Output Shaft Worm Gear, 144-1 Ratio Only S10076-3
ø
1X••
204 Output Shaft Worm Gear, 324-1 Ratio Only S10076-4 1 • X •
204 Output Shaft Worm Gear, 648-1 Ratio Only S10076-2 1 • • X
205 Ball Bearing M9300-27 1 X X X
206 Ball Bearing T10776 1 X X X
207 Snap Ring S9776-5 1 X X X
208 Woodruff Key #606 1 X X X
209 Motor Base Gasket T8364 1 X X X
210 Round Head Screw, Motor Base to Gear Case #10-24 x 3/4 3 X X X
211 Lock Washer, Motor Base to Gear Base E106A-1 3 X X X
213 Slotted Pipe Plug S10780-5
ø
1XXX
Gear Box Lubricant T8484 1 X X X
* To order a gear box assembly without a motor,
add “-W” to this assembly number.
Use only the parts marked “X” in the column under the
heading number called for in the model index page.
ITEM DESCRIPTION PART NO. QTY. 123456789
P-101-R.1P-101-R.1
# Indicates a Change This Printing
Sub Assembly Illustration Sub Assembly Illustration Sub Assembly Illustration Sub Assembly Illustration
øThis part is obsolete and no longer available.
NSS
- Not sold separately.
02-20-2002
#
#
#

K29 VERTICAL HEAD LIFT ASSEMBLY
NA1, 2, 3, 4 and 5 and LAF3, 4 and 5
P-101-SP-101-S
18
15
2
1
12
13 14
5
722
20 19
17
16
4
6
23
4
25
3
3
11
9
10
21
8
24
Part Numbers Part Numbers Part Numbers Part Numbers
L5882
11-13-81P

1 Head Lift Housing K29 1 X •
1 Head Lift Housing L5881 1 • X
2 Head Lift Tube M8228 1 X •
2 Head Lift Tube M8228-1 1 • X
3 Head Lift Lock Pin S16067 1 • X
3 Locating Key T12121 1 X •
4 Socket Head Cap Screw T9447-34 1 X •
4 Socket Head Cap Screw T9447-32 1 • X
5 Spring T10247-11 1 • X
6 Spring Retainer S11295-5 1 • X
7 Snap Ring S9776-14 1 • X
8 Head Lift Screw Assembly, Includes: S10114 1 X X
Head Lift Screw S10094 1 X X
Ball Bearing M9300-6 1 X X
Snap Ring S9776-3 1 X X
Gear S10096-1 1 X X
Woodruff Key #404 1 X X
9 Boot S10442 1 X X
10 Clamp S10888-11 1 X X
11 Clamp S10888-8 1 X X
12 Adjusting Shaft Assembly, Includes: S10097 1 X X
Crank Arm Assembly T10543 1 X X
Snap Ring S9776-3 1 X X
Thrust Washer S9262-38 1 X X
Drive Pin T8433 1 X X
Shaft T10544 1 X X
Bearing Retainer S10093 1 X X
Needle Bearing S7844 1 X X
Oil Seal S7611-13 1 X X
13 Round Head Screw #10-24 x .50 2 X X
14 Lock Washer E106A-1 2 X X
15 Oil Cup T10643 1 X X
16 Needle Bearing S10116-1 1 X X
17 Thrust Washer S9262-37 1 X X
18 Cover Plate T14606 1 X X
19 Lock Washer E106A-1 2 X X
20 Round Head Screw #10-24 x .50 2 X X
21 Expansion Plug T10542-1 1 X X
22 Shim T10601
As Reqʼd
X•
23 Locking Plate T12120 1 X •
24 Socket Head Cap Screw T9447-33 2 X •
25 Lock Washer E106A-2 2 X •
02-04-2002
In mid 1978 the K29 was redesigned. Old design assemblies may be identified by three socket head
screws in the head lift lock area. New design assemblies have only one socket head screw. Use
parts marked “X” in Column 1 for old design. Use parts marked “X” in Column 2 for new design.
ITEM DESCRIPTION PART NO. QTY. 123456789
P-101-S.1P-101-S.1
# Indicates a Change This Printing
Sub Assembly Illustration Sub Assembly Illustration Sub Assembly Illustration Sub Assembly Illustration

HIGH FREQUENCY UNIT K238
P-101-T.aP-101-T.a
TRANSFORMER RESISTOR
T13260-3
CASE
TERMINAL STRIP
CAPACITOR
RELAY
HI-FREQ
CAPACITOR
SPARK GAP
ASSBLY AIR CORE
TRANSFORMER
SPARK GAP
MOUNTING PANEL
AND BRACKET
Part Numbers Part Numbers Part Numbers Part Numbers
6-15-84
L6329
10-21-83

High Frequency Unit, Includes: K238 1
Capacitor S17571 1
Transformer M15359
ø
Resistor S10404-53 1
Case L3815-1 1
Case Cover L3816 1
Nameplate M9591 1
Terminal Strip S13323-1 1
Number Plate T10726-92 1
Relay S12807 1
Spark Gap Assembly S16501-3 1
Electrode T11236-1 4
R. F. Choke T12218-1 2
Air Core Transformer L4283 1
07-11-2002
ITEM DESCRIPTION PART NO. QTY. 123456789
P-101-T.bP-101-T.b
# Indicates a Change This Printing
Sub Assembly Illustration Sub Assembly Illustration Sub Assembly Illustration Sub Assembly Illustration
#
#
øThis part is obsolete and no longer available.

K386 NARROW GAP DEEP GROOVE
SUBMERGED ARC NOZZLE
P-101-U.aP-101-U.a
9
30
29 28 27
10 11 12 13 14 15 16 17
26
123456
8 31
7
18 19 20 21 22 23 24
25
N.E.
SECTION THRU NOZZLE TIP
(WITH JACKET REMOVED)
DOUBLE SIZE
Part Numbers Part Numbers Part Numbers Part Numbers
9-11-84
G1653
5-18-84

1 Nozzle Tip T14879-3/32 1
2 Hollow Set Screw T12932-2 1
3 Ceramic Insert T12576-1 1
4 Ceramic Insert T12576-2 4
5 Spring Liner T12931-35 1
6 Nozzle Tube Assembly S17543 1
7 Insulation Jacket S17545 1
8 Cooling Bar Assembly S17546 1
9 Nozzle Pivot Hub Assembly T14891 1
10 Set Screw S11604-42 2
11 Key M8776-89 1
12 Rotational Lock Screw Assembly T14885 2
13 Snap Ring S9776-46 1
14 Pivot Assembly T14883 1
15 Nozzle Insulator Assembly S10493 1
16 Socket Head Screw T10570 1
17 Nozzle Insert Assembly S15106-1 1
18 Pressure Belt T14889 1
19 Pressure Arm Assembly T14890 1
Socket Head Cap Screw T9447-56 1
20 Flux Tube Clamp S17542 1
Button Head Socket Screw T11551-6 2
21 Hex Head Screw 1/4-20 x 1.25 1
Plain Washer S9262-23 1
Wing Nut T9968-1 1
22 Flux Tube T14887 1
23 Pivot Housing Arm M14717 1
Lock Washer E106-A14 3
Hex Head Screw 5/16-18 x 1.50 3
24 Mounting Clamp Assembly S17550 1
25 Roll Pin T9967-43 1
26 Plain Washer S9262-104 2
27 Roll Pin T9967-29 1
28 Pivot Handle T14939-1 2
29 Hex Head Screw 1/2-13 x 1.25 1
30 Flange Nut T3960 1
31 Nozzle Tube Strap T14974 1
Items Not Illustrated:
Flux Hopper Extension Bracket S17558 2
Flux Hopper Extension Pin S17559 2
Extension Pin Nut 1/4-20 2
Flex Tube T10642-106 1
9-11-84
ITEM DESCRIPTION PART NO. QTY. 123456789
P-101-U.bP-101-U.b
# Indicates a Change This Printing
Sub Assembly Illustration Sub Assembly Illustration Sub Assembly Illustration Sub Assembly Illustration
#

1 Nozzle Tip - .062 Wire Size S17614-062 1
1 Nozzle Tip - .068 Wire Size S17614-068 1
1 Nozzle Tip - 5/64 Wire Size S17614-5/64 1
1 Nozzle Tip - 3/32 Wire Size S17614-3/32 1
1 Nozzle Tip - .120 Wire Size S17614-120 1
2 Straight Nozzle Assembly .062 - 3/32 Wire Size M14808-1 1
2 Straight Nozzle Assembly .122 Wire Size M14808-4
ø
1
3 Collar S17745 1
4 Nozzle Body Assembly S10157-3 1
5 Socket Head Screw T10570 1
6 Nozzle Insulator Assembly S10493 1
7 Nozzle Insert Assembly .062 - 3/32 Wire Size Only S15106-1 1
8 Hex Head Screw 1/2-13 x 1.50 1
9 Hex Nut 1/2 - 13 1
07-19-2001
ITEM DESCRIPTION PART NO. QTY. 123456789
P-101-VP-101-V
# Indicates a Change This Printing
K405 AUTOMATIC INNERSHIELD NOZZLE
1
257
6
8
9
4
3
Part Numbers Part Numbers Part Numbers Part Numbers
L7102
5-17-85
øThis part is obsolete and no longer available.
#

NOTES

Solid State Remote Field Control, Includes: K224 1
1 Top Door M10639-4 1
2 Terminal Strip S14530-1 1
Number Plate T10726-90 1
4 Capacitor S10593 1
5 Auto Transformer M12702
ø
1
6 Box Assembly M12706
ø
1
7 Transformer S15257
ø
1
8 Capacitor T11079 1
9 Nameplate M12688 1
10 Polarity Switch S13417
ø
1
11 Fuse Holder S10433 1
Fuse T10728-8 1
12 Capacitor S13490-1 1
13 Diode T12705-15 1
14 SCR and Heat Sink M13342
ø
1
15 Control P.C. Board (Code 7359 Only) L5316 1
15 Control P.C. Board (Code 7683 & Above) L5759-1 1
16 Caution Decal T13470 1
18 Choke S14644 1
19 Resistor (Code 7742 & Above) T12731-42F 1
K224 Mounting Angles S12995-1 & 1 ea
S13709
01-28-2003
ITEM DESCRIPTION PART NO. QTY. 123456789
P-114-HP-114-H
# Indicates a Change This Printing
K224 SOLID-STATE REMOTE FIELD CONTROL
(DISCONTINUED)
1 2 4 5 6
16
16
12
12
15
15
18
18
19
19
14
14
13
13
11
10
10
9
87
Part Numbers Part Numbers Part Numbers Part Numbers
L5297
10-2-81Q
øThis part is obsolete and no longer available.
#

Concentric Flux cone, Includes: K285 1 X
1 Side Plate T14177 1 X
2 Thumb Screw T9078-1 1 X
3 Support Arm M13455 1 X
4 Sems Screw T10082-4 4 X
5 Flux Cone M13454 1 X
6 Hose Clamp S10888-31 2 X
Items Not Illustrated
Flux Hose T10642-10 1 X
Flux Hose Tube T6996-9 1 X
10-28-98
ITEM DESCRIPTION PART NO. QTY. 123456789
P-114-JP-114-J
# Indicates a Change This Printing
K285 CONCENTRIC FLUX CONE
Part Numbers Part Numbers Part Numbers Part Numbers
2
3
5
4
6
6
1

K278-1 SPREADARC – COMPLETE ASSEMBLY
P-114-K.2P-114-K.2
Part Numbers Part Numbers Part Numbers Part Numbers
08-29-2006
1
2
12
12
8
3
4
11
11
5
9
13
13
14
14
15
15
5
7

1 Carriage & Track Assembly
See P-114-L.2
1
2 Bottom Shield M13277-1 1
Thread Forming Screw S9225-70 4
3 Top Shield M20176 1
#10-24 x .50 HHCS CF000371 4
Lock Washer T9695-1 4
4 Proximity Sensor Bracket M20331 1
Grommet T12380-4 1
#10-24 X .50 HHCS CF000371 4
Lock Washer T9695-1 4
5 Proximity Sensor Assembly M21347 2
7 Control Box Assembly See P-114-P 1
8 Carriage Guard M13284 2
Thread Forming Screw S9225-70 4
9 Draw Bolt T4893-3 1
3/4-10 HN CF000025 1
Support Pin Assembly T14042 1
11 Grommet T9274-1 2
12 Decal T13470 1
13 Decal S19338 2
14 Guard M21264 1
#10-24 x .50 HHCS CF000371 2
Lock Washer T9695-1 2
15 Decal T13086-62 1
01-19-2007
Use only the parts marked “X” in the column under the
heading number called for in the model index page.
ITEM DESCRIPTION PART NO. QTY. 123456789
P-114-K.3P-114-K.3
# Indicates a Change This Printing
Sub Assembly Illustration Sub Assembly Illustration Sub Assembly Illustration Sub Assembly Illustration
#

Carriage & Track Asbly (L12002), Includes:
NSS
1 Carriage Assembly See P-114-M.2 1
2 Track Assembly (M20165), Includes: NSS 1
Track Support Welded Assembly M20166 1
Track S15882 2
3/8-16 x .625 HHCS CF000018 8
Lock Washer E106A-16 8
Plain Washer S9262-76 8
3 Drive Motor Assembly L12135 1
4A Plain Washer (Not Shown) S9262-98 3
4B Hex Lock Nut (Not Shown) T9187-6 3
5 Plug Button T10397-2 4
08-29-2006
Use only the parts marked “X” in the column under the
heading number called for in the model index page.
ITEM DESCRIPTION PART NO. QTY. 123456789
P-114-L.2P-114-L.2
# Indicates a Change This Printing
SPREADARC CARRIAGE, TRACK & DRIVE MOTOR ASBLY (K278-1)
2
1
5
3
Part Numbers Part Numbers Part Numbers Part Numbers

NOTES

04-05-2006
P-114-M.1P-114-M.1
SPREADARC CARRIAGE ASSEMBLY (K278-1)
4A
4A
2B
2B
2C
2C
2D
2D
2E
2E
8C
8C
8D
8D
1
56
4C
4C
4B
4B
4D
4D
4E
4E
4F
4F
8B
8B
8A
8A
3A
3A
3C
3C
3B
3B
2A
2A
7E
7E
7C
7C
7A
7A
7B
7B
7D
7D
2F
2F
2G
2G
2H
2H
2D
2D
2J
2J
Part Numbers Part Numbers Part Numbers Part Numbers

ITEM DESCRIPTION PART NO. QTY. 123456789
Carriage Assembly (L12007), Includes NSS
1 Carriage M20174 1
2A Head Mounting Plate S15872 1
2B 1/2-13 x 2.50 HHCS CF000110 2
2C Lock Washer E106A-15 2
2D Plain Washer S9262-1 4
2E Insulating Washer S10773-9 2
2F Insulating Tube T7305-38 2
2G Bearing Bushing T14038-2 2
2H “V” Roller S15884 2
2J 1/2-13 HN CF000027 2
3A 1/2-13 x 1.50 HHCS CF000052 2
3B Plain Washer S9262-1 2
3C Lock Washer E106A-15 2
4A Eccentric Adjuster T14039 2
4B “V” Roller S15884 2
4C Bearing Bushing T14038-1 2
4D Plain Washer S9262-1 2
4E Lock Washer E106A-15 2
4F 1/2-13 x 2.25 HHCS CF000064 2
5 Head Insulation S15869 1
6 Head Support S15870 1
7A Stud T12581-7 1
7B Insulating Tube T7028-258 1
7C Cam S15871 2
7D 3/8-16 HN CF000067 6
7E Lock Washer E106A-16 2
8A Drive Shaft Rack S14747 1
8B Spacer T14036 1
8C Socket Head Cap Screw T9447-22 3
8D Lock Washer T4291-A 3
08-29-2006
P-114-M.2P-114-M.2
# Indicates a Change This Printing
Sub Assembly Illustration Sub Assembly Illustration Sub Assembly Illustration Sub Assembly Illustration
NSS - Not Sold Separately

1 Box Welded Assembly S15316 1 X •
1 Box Welded Assembly S15316-1
ø
1•X
2 Box Cover S15347 1 X X
Self Tapping Screw S8025-12 2 X X
3 Box Connector T9639-2 1 or 2 X X
4 Grommet S10255-14 2 X •
5 Jumper S14301 1 X •
6 Jumper T12339 1 X •
7 Thread Forming Screw S9225-30 1 X X
Hex Nut #10-24 2 X X
8 Solid State Relay S15317-1 1 X X
9 AC Contactor
Order Kit S18796
1X•
9 AC Contactor M12161-17 1 • X
10 Warning Decal T13470 1 X X
13 or 14
Terminal Strip Assembly, Includes: T13885 1 X X
Capacitor T11577-30 1 X X
Resistor T12731-9 1 X X
9-10-2001
Use only the parts marked “X” in the column under the
heading number called for in the model index page.
ITEM DESCRIPTION PART NO. QTY. 123456789
P-114-NP-114-N
# Indicates a Change This Printing
K237 LINC-FILL STARTING RELAY ASSEMBLY
3
4
1
2
78
13
13
10
10
6
9
1 2
+3
+3
4
Part Numbers Part Numbers Part Numbers Part Numbers
M15663
7-15-88F
NOTE: This parts list covers two versions of the K237
Assembly. One built before Sept. 1988 iden tified by
one box connector and two grommets located in the
box tops, and one built after Sept. 1988 with two box
connectors in the box top. Use column one for assem-
blies built before Sept. 1988. Use column two for
assemblies built after Sept. 1988.
#

03-23-05
P-132-AP-132-A
TC-3 SELF-PROPELLED TRAVEL CARRIAGE
RETURN TO MAIN INDEX
Parts Lists Index
For K325-S, K325-F, (Use Column One on P-132-C, -D, & -F)
For K325-HC, K325-HC-F, (Use Column Two on P-132-C, -D, & -F)
TC-3 General Assembly . . . . . . . . . . . . . . . . . . . . . . . . . . . . . . . . . . . . . . . . . . . . . . . . . . . . . . . . . . . . . . P-132-C
Motor and Gear Box Assembly . . . . . . . . . . . . . . . . . . . . . . . . . . . . . . . . . . . . . . . . . . . . . . . . . . . . . . . . . P-132-D
Gear Box Assembly. . . . . . . . . . . . . . . . . . . . . . . . . . . . . . . . . . . . . . . . . . . . . . . . . . . . . . . . . . . . . . . . . . P-132-E
Travel Control Box Assembly . . . . . . . . . . . . . . . . . . . . . . . . . . . . . . . . . . . . . . . . . . . . . . . . . . . . . . . . . . P-132-F
This parts list covers machines
thru Code 9021. For Codes above
9021 contact Service Dept.
#
#

TC-3 GENERAL ASSEMBLY
P-132-CP-132-C
27 28
19 20 21
22
925 24 23
27
10
12
13
14
2618171615
30
29
47
33
34
35
36 48
50 49 737 838
3
4
2 1
46454044
42
43
42
43
41 40 39 42 43 41
28
Part Numbers Part Numbers Part Numbers Part Numbers
4-79
G1326
9-15-78A

Carriage Assembly (K325-S 5-75 in/min) Includes:
(Below Code 8400) G1326-1 1 X •
Carriage Assembly (K325-S 5-75 in/min) Includes:
(Code 8400 to 9000) G1565-1 1 X •
Carriage Assembly (K325-S 5-75 in/min) Includes:
(Above Code 9000) G1565-3 1 X •
Carriage Assembly (K325-F 15-270 in/min) Includes:
(Below Code 8400) G1326-2 1 X •
Carriage Assembly (K325-F 15-270 in/min) Includes:
(Code 8400 to 9000) G1565-2 1 X •
Carriage Assembly (K325-F 15-270 in/min) Includes:
(Above Code 9000) G1565-4 1 X •
Carriage Assembly (K325-HC-S 5-75 in/min) Includes:
(Below Code 8400) G1434-1 1 • X
Carriage Assembly (K325-HC-S 5-75 in/min) Includes:
(Code 8400 to 9000) G1564-1 1 • X
Carriage Assembly (K325-HC-S 5-75 in/min) Includes:
(Above Code 9000) G1564-3 1 • X
Carriage Assembly (K325-HC-F 15-270 in/min) Includes:
(Below Code 8400) G1434-2 1 • X
Carriage Assembly (K325-HC-F 15-270 in/min) Includes:
(Code 8400 to 9000) G1564-2 1 • X
Carriage Assembly (K325-HC-F 15-270 in/min) Includes:
(Above Code 9000) G1564-4 1 • X
1 Hex Head Screw 1/4-20x.75 3 X X
2 Lockwasher E106A-2 3 X X
3 Hex Nut 1/4-20 1 X X
4 Cable Clamp M8501 1 X X
7 Head Mounting and Lift Mechanism See P-101-Q 1 X X
Lift Hand Stud T13872 1 X X
Roller T8128 1 X X
Roll Pin T9967-30 1 X X
8 Carriage Frame Assembly G1322 1 X X
9 Gear Box Mounting Plate M12550 1 X X
10 Swivel Motor Mount S15772 2 X X
11 Shim (.0179 Thick) (Not Shown) T10778-1
As Reqd
.X X
11 Shim (.0598 Thick) (Not Shown) T10778-2 4 X X
11 Shim (.1875 Thick) (Not Shown) S10040-66 2 • X
12 Hex Head Bolt 1/2-13x1.00 2 X •
12 Hex Head Bolt 1/2-13x1.25 2 • X
13 Lockwasher E106A-5 2 X X
14 Plain Washer S9262-1 2 X X
15 Spring T5338 1 X X
16 Motor and Gear Box Assembly See P-132-D 1 X X
17 Socket Head Cap Screw T9447-11 3 X X
18 Lockwasher E106A-2 3 X X
19 Socket Head Cap Screw T9447-49 2 X X
20 Spacer (.362 Thick) S10262-4 2 X •
20 Spacer (.562 Thick) S10262-5 4 X X
21 Shim (.010 Thick) S9262-50
As Reqd.
XX
21 Shim (.002 Thick) S9262-73
As Reqd.
XX
05-20-2005
Use only the parts marked “X” in the column under the
heading number called for in the model index page.
ITEM DESCRIPTION PART NO. QTY. 123456789
P-132-C.1P-132-C.1
# Indicates a Change This Printing
Sub Assembly Illustration Sub Assembly Illustration Sub Assembly Illustration Sub Assembly Illustration

TC-3 GENERAL ASSEMBLY
P-132-C.2P-132-C.2
27 28
19 20 21
22
925 24 23
27
10
12
13
14
2618171615
30
29
47
33
34
35
36 48
50 49 737 838
3
4
2 1
46454044
42
43
42
43
41 40 39 42 43 41
28
Part Numbers Part Numbers Part Numbers Part Numbers
05-20-2005
G1326
2-29-80B

22 Lower Bearing Bar Assembly, Includes: M12980-1 1 • X
22 Lower Bearing Bar Assembly, Includes: M12980-2 1 X •
Bearing M9300-67 2 • X
Bearing M9300-6 2 X •
23 Drive Wheel (Rack Tooth-Std. Below Code 9000-
Option Above 9000) T13586 1 X X
23
Drive Wheel (Helical Tooth-Std. Above Code 9000)
T13586-1 1 X X
24 Key M8776-31 1 X X
25 Lockwasher T9860-2 1 X X
Hex Nut T10552 1 X X
26 Oil Cup T8679 2 X X
27 Bearing Assembly, Includes: T13875 4 • X
27 Bearing Assembly, Includes: T13876 4 X •
Bearing S18576 1 • X
Bearing M9300-6 1 X •
28 Roll Pin T9967-43 4 X X
29 Travel Control Box Assembly See P-132-F 1 X X
Mounting Angle S16138 2 X X
30 Nameplate (5-75 in/min) M13469-3 1 X X
30 Nameplate (15-270 in/min) M13469-4 1 X X
33 Hex Head Screw 3/8-16x.875 3 X X
34 Lockwasher E106A-4 3 X X
35 Hex Jam Nut 3/8-16 1 X X
36 Wire Reel Support L3154 1 X X
37 Roll Pin T9967-30 1 X X
38 Lift Handle M12968 1 X X
39 Mounting Plate S15082 1 X X
40 Hex Head Screw 1/4-20x.75 4 X X
41 Plain Washer S9262-98 6 X X
42 Lockwasher E106A-2 6 X X
43 Hex Nut 1/4-20 4 X X
44 Insulation Washer S10773-12 4 X X
45 Insulation Tube T7305-19 4 X X
46 Insulation Plate S10300 1 X X
47 Lead Clamp T12563-7 2 X X
48 Lead Clamp T12563-7 1 X X
49 Lead Clamp T12563-6 1 X X
50 Round Head Screw #10-24x.750 1 X X
05-20-2005
Use only the parts marked “X” in the column under the
heading number called for in the model index page.
ITEM DESCRIPTION PART NO. QTY. 123456789
P-132-C.3P-132-C.3
# Indicates a Change This Printing
Sub Assembly Illustration Sub Assembly Illustration Sub Assembly Illustration Sub Assembly Illustration

MOTOR AND GEAR BOX ASSEMBLY
P-132-D.aP-132-D.a
4
1 2 3
Part Numbers Part Numbers Part Numbers Part Numbers
9-11-86
L5197
9-11-86

1 Motor & Adapter Assembly (K325S & K325HC-S)
Includes: L5195-4 1 X •
1 Motor & Adapter Assembly (K325F & K325HC-F)
Includes: L5195-1 1 • X
Motor Assembly, Includes: L5198-3 1 X •
Motor Assembly, Includes: L5198-2 1 • X
Motor, Includes: NSS 1 X X
Brush & Spring Assembly (Universal Motor) M12254-1F 2 X X
Brush & Spring Assembly (Stature Motor) M13312-12 2 X X
Brush Cap (Universal Motor) Early Design
7/8-27 THD M9655-7A
ø
2XX
Brush Cap (Universal Motor) Present
Design 3/4-27 THD M9655-7B
ø
2XX
Brush Cap (Stature Motor) M13312-13 2 X X
Pinion Gear S15013-3 1 X •
Pinion Gear S15013-2 1 • X
Motor Lead Plug T10662 1 X X
Adapter Assembly, Includes:
Gear Box Adapter G1324 1 X X
Helical Gear S15008-1
ø
1X•
Helical Gear S15008 1 • X
2 Gear Box Assembly See P-132-E 1 X X
3 Round Head Screw 1/4-20 x 1.75 2 X X
Lock Washer E106A-2 2 X X
4 Hex Head Screw 1/4-20 x .75 2 X X
Lock Washer E106A-2 2 X X
8-31-2001
Use only the parts marked “X” in the column under the
heading number called for in the model index page.
ITEM DESCRIPTION PART NO. QTY. 123456789
P-132-D.bP-132-D.b
# Indicates a Change This Printing
Sub Assembly Illustration Sub Assembly Illustration Sub Assembly Illustration Sub Assembly Illustration
øThis part is obsolete and no longer available.

GEAR BOX ASSEMBLY
Gear Ratio is stenciled on the side of the gear case and on top of Item 12.
P-132-E.aP-132-E.a
1
6
13
21
3
2
4 5 7 8 9 11 12
10
15
14
16 17
18
19
20
Part Numbers Part Numbers Part Numbers Part Numbers
7-31-91
L5199
7-24-81S

Gear Box Assembly (K325S & K325HC-S) (142/1 Ratio)
L5199-4 1 X
Gear Box Assembly (K325F & K325HC-F) (57/1 Ratio)
L5199-5 1 X
Gear Box Assembly (K579-1, K580 & K581) (21/1 Ratio)
L5199-7
ø
1X
1 Gear Box G1328 1 X
2 Gear S12504 1 X
3 Snap Ring S9776-23 1 X
4 Woodruff Key #304 1 X
5 Snap Ring S9776-16 1 X
6 Set Screw S11604-26 2 X
7 Bevel Shaft Assembly S12511 1 X
8 Woodruff Key #304 1 X
9 Flat Washer S9262-121 1 X
10 Spur Shaft Assembly S12510 1 X
11 Hex Nut 5/16-18 1 X
12 Helical Gear (142/1 Ratio) S12882 1 X
12 Helical Gear (57/1 Ratio) S12881 1 X
12 Helical Gear (21/1 Ratio) (High Speed) S20218 1 X
13 Socket Head Screw T9447-28 3 X
13 Socket Head Screw (High Speed) T9447-28 6 X
14 Snap Ring S9776-23 1 X
15 Gear Case Collar M10256 1 X
16 Hollow Set Screw S11604-13 1 X
17 Output Shaft Assembly S12509 1 X
18 Spacer T12146 1 X
19 Oil Seal S7611-15 1 X
20 Gasket (.0125 Thick) T12119-1
As Reqʼd
X
20 Gasket (.004 Thick) T12119-2
As Reqʼd
X
21 Spacer Washer (.003 Thick) S9262-110
As Reqʼd
X
21 Spacer Washer (.010 Thick) S9262-111
As Reqʼd
X
02-05-2002
Use only the parts marked “X” in the column under the
heading number called for in the model index page.
ITEM DESCRIPTION PART NO. QTY. 123456789
P-132-E.bP-132-E.b
# Indicates a Change This Printing
Sub Assembly Illustration Sub Assembly Illustration Sub Assembly Illustration Sub Assembly Illustration
#
øThis part is obsolete and no longer available.

TRAVEL CONTROL BOX ASSEMBLY
P-132-F.aP-132-F.a
14
5
16
15
12
13
7
8
64
9
1
11
2
3
10
20
17 18
Part Numbers Part Numbers Part Numbers Part Numbers
11-2-84
M14172
6-25-82M

1 Travel Control Box S16128 1 X X
2 Travel P.C. Board Insulation T14189 1 X X
3 Travel P.C. Board L6944-1 1 X X
4 A.C. Relay S13929-2 1 X X
5 Circuit Breaker T12287-8 1 X X
6 Switch T10800-7 1 X X
7 Insulation T12792-1 1 X X
8 Potentiometer T10812-71 1 X X
Knob T10491 1 X X
9 Resistor S10404-73 1 X X
Round Head Screw #10-24 x 2.75 1 X X
Insulating Washer S10773-7 2 X X
Plain Washer S9262-27 1 X X
Lockwasher E106A-1 1 X X
Hex Nut #10-24 1 X X
10 Resistor S10404-78 1 X X
Round Head Screw #8-32 x 2.50 1 X X
Insulating Washer S10773-7 2 X X
Plain Washer S9262-3 1 X X
Lockwasher T4291-A 1 X X
Hex Nut #8-32 1 X X
11 Plug Button T10397-3 1 X X
12 Grommet T9274-4 1 X X
13 Cable Assembly, Includes: S15003
ø
1X•
Plug S10272 1 X •
13 Cable Assembly, Includes: S17020 1 • X
Polarized Plug S12020-3 1 • X
Cable Clamp S12024-1 1 • X
14 Travel Control Box Cover S15238-1 1 X X
15 Insulation E1400/6-.016-2.00-2.75 1 X X
16 Warning Decal T13470 1 X X
17 Socket and Lead Assembly, Includes: S12037-1 1 X X
Socket T10567 1 X X
18 Thread Cutting Screw S9225-36 1 • X
Lockwasher T9695-1 1 • X
Hex Nut #10-24 2 • X
20 Instruction Tag S17021 1 • X
07-20-2001
For Carriage Codes 8018, 8019, 8020 & 8021, use parts marked “X” in Column 1.
For Carriage Codes 8424, 8425, 8426 & 8427, use parts marked “X” in Column 2.
ITEM DESCRIPTION PART NO. QTY. 123456789
P-132-F.bP-132-F.b
# Indicates a Change This Printing
Sub Assembly Illustration Sub Assembly Illustration Sub Assembly Illustration Sub Assembly Illustration
#
øThis part is obsolete and no longer available.
#

NOTES

Drive Motor & Connection Box Assembly, Includes:
(57/1 Ratio W/O H.F.) M13902-1 1
Drive Motor & Connection Box Assembly, Includes:
(95/1 Ratio W/O H.F.) M13902-2 1
Drive Motor & Connection Box Assembly, Includes:
(142/1 Ratio W/O H.F.) M13902-3 1
Drive Motor & Connection Box Assembly, Includes:
(57/1 Ratio W/H.F.) M13902-4 1
Drive Motor & Connection Box Assembly, Includes:
(95/1 Ratio W/H.F.) M13902-5 1
Drive Motor & Connection Box Assembly, Includes:
(142/1 Ratio W/H.F.) M13902-6 1
Drive Motor & Connection Box Assembly, Includes:
(21/1 Ratio W/O H.F.) M13902-7
ø
1
07-20-2001
W/O H.F. – Without High Frequency Insulation
W/H.F. – With High Frequency Insulation
ITEM DESCRIPTION PART NO. QTY. 123456789
P-135-CP-135-C
# Indicates a Change This Printing
WIRE FEED DRIVE MOTOR
M13902
6-3-83E
#
øThis part is obsolete and no longer available.

1 Drive Motor Assembly, Includes:
(57/1 Ratio W/O H.F.) L6440-1 1
Drive Motor Assembly, Includes:
(95/1 Ratio W/O H.F.) L6440-2 1
Drive Motor Assembly, Includes:
(142/1 Ratio W/O H.F) L6440-3 1
Drive Motor Assembly, Includes:
(57/1 Ratio W/H.F.) L6440-4 1
Drive Motor Assembly, Includes:
(95/1 Ratio W/H.F.) L6440-5 1
Drive Motor Assembly, Includes:
(142/1 Ratio W/H.F.) L6440-6 1
Drive Motor Assembly, Includes:
(21/1 Ratio W/O H.F.) L6440-9 1
Drive Motor & Pinion, Includes:
(57/1 Ratio W/O H.F.) S16660-1 1
Drive Motor & Pinion, Includes:
(95/1 Ratio W/O H.F.) S16660-2 1
Drive Motor & Pinion, Includes:
(142/1 Ratio W/O H.F.) S16660-3 1
Drive Motor & Pinion, Includes:
(21/1 Ratio W/O H.F.) (High Speed) S16660-5 1
Drive Motor & Pinion, Includes:
(57/1 W/H.F.) M14132-1 1
Drive Motor & Pinion, Includes:
(95/1 Ratio W/H.F.) M14132-2 1
Drive Motor & Pinion, Includes:
(142/1 Ratio W/H.F.) M14132-3 1
Drive Motor (W/O H.F.) S16979-1 1
Drive Motor (W/H.F.) S16985 1
Brush & Spring Assembly M12254-1F 2
Brush & Spring Assembly (Stature Motor) M13312-12 2
Brush Cap Early Design 7/8-27 THD M9655-7A
ø
2
Brush Cap Present Design 3/4-27 THD M9655-7B
ø
2
Brush Cap (Stature Motor) M13312-13 2
Pinion (57/1 Ratio) S15013-1 1
Pinion (95/1 Ratio) S15013-2 1
Pinion (142/1 Ratio) S15013-3 1
Pinion (21/1 Ratio) S15013-6
ø
1
Roll Pinion (For Pinion) T9967-33 1
Shaft Extension (W/H.F. Motor) S12869 1
Coupling (W/H.F. Motor) S12876-1 1
Roll Pin (Coupling To Motor W/H.F.) T9967-28 1
Roll Pin (Coupling To Ext. Shaft W/H.F.) T9967-1 1
Bearing (W/H.F. Motor) M9300-46 2
Snap Ring (Holds Bearings) S9776-27 3
Insulation (W/H.F. Motor) S11756-A 1
Tachometer Pickup Printed Circuit Board M14701-2 1
Tachometer Disc S16180 1
Tachometer Shield Mounting Plate M13629 1
Pickup Housing Assembly M13578 1
02-18-2002
ITEM DESCRIPTION PART NO. QTY. 123456789
P-135-C.1.aP-135-C.1.a
# Indicates a Change This Printing
W/O H.F. – Without High Frequency Insulation
W/H.F. – With High Frequency Insulation
#
#
øThis part is obsolete and no longer available.
#

1 Cover Assembly T14326 1
2 Motor Adapter Plate M10255-1 1
3 Flat Head Screw #8-32 x .75 3
4 Hose Clamp S10888-20 1
5 Connection Box Assembly M13901 1
6 Cable Assembly, Includes: L6209 1
Polarized Connector - Tach Cable S12020-17 1
Cable Clamp - Tach Cable S12024-4 1
Polarized Connector - Motor Cable S12020-27 1
Cable Clamp - Motor Cable S12024-1 1
7 Box Cover T13193-1 1
Screw S8025-70 2
8 Grommet Strip T12823-18 1
9 Lead Grommet T9274-3 1
10 Lead Grommet T9274-4 1
11 Motor End Cover (Not Shown) S16718 1
3-13-2001
ITEM DESCRIPTION PART NO. QTY. 123456789
P-135-C.1.bP-135-C.1.b
# Indicates a Change This Printing
#
W/O H.F. – Without High Frequency Insulation
W/H.F. – With High Frequency Insulation

CONTROL BOX ASSEMBLY
P-135-DP-135-D
10-7-96
G1555
7-24-81

1 Door Assembly See P-135-E 1
2 Lead Clamp T12563-8 1
4 Volts Meter Printed Circuit Board L6685 1
5 Speed Meter Printed Circuit Board (Standard) L6233 1
5 Speed Meter Printed Circuit Board (High Speed) L8575-1 1
7 Burnback Timer Printed Circuit Board K337-10 1
8 Procedure Printed Circuit Board (Code 8205 Only) G1507-1 1
8 Procedure Printed Circuit Board G1566-3 1
Printed Circuit Board Insulation S16695 1
9 Switch Panel Asbly, Includes: (Below Code 11000) S16713 1
9 Switch Panel Asbly, Includes: (Above Code 11000) S16713-1 1
Circuit Breaker T12287-10 1
Travel Switch (Below Code 11000) T13543 1
Travel Switch (Above Code 11000) T10800-23 1
Control Power Switch (Below Code 11000) T10800-9 1
Control Power Switch
(E-Stop) (Above Code 11000)
M20853 1
Pilot Light T13486 1
“Inch” Push Buttons T13541-2 2
“Stop” Push Button T13541-1 1
Nameplate (Below Code 11000) M13935 1
Nameplate (Above Code 11000) M13935-1 1
10 Control Box See P-135-F 1
11 Control Printed Circuit Board (Code 8205 Only) L6019 1
11 Control Printed Circuit Board L6445 1
Expansion Nut - Board Mounting S14020-3 5
12 Voltage Printed Circuit Board (Code 8205 Only) L6257 1
12
Voltage Printed Circuit Board (Below Code 9100 except 8205)
G1556-3 1
12 Voltage Printed Circuit Board (Above Code 9100) G1556-5 1
13 Logic Printed Circuit Board L6242-2 1
Expansion Nut- Board Mounting S14020-3 7
14 Power Printed Circuit Board (Code 8205 Only) L6252 1
14 Power Printed Circuit Board L6252-2 1
Expansion Nut - Board Mounting S14020-3 7
16
Rheostat Knob (Procedure, Start and Crater Boards)
T10491 8
17 Shaft Seal T14034 8
18 Square Insulating Tube T14767 8
19
Jumper Plug (Remove when using Start or Crater Board Options)
T13498-10 3
20
Jumper Plug (Remove when using Multi Procedure Kit) (Code 8300)
T13498-1 1
23 Caution Decal (Below Code 11000) T13470 1
24 Patent Decal (Below Code 11000) S13232 1
28 Warning Label (Code 8205 Only) S16722-2A 1
28 Warning Label (Below Code 11000) S16722-2B 1
28 Warning Label (Above Code 11000) S16722-33 1
29
R.F. Bypass Printed Circuit Board (Not used on Code 8205
) M14133-1 1
Items Not Illustrated:
“Motor” Amphenol Connector S12021-32 1
“Flux” Amphenol Connector S12021-17 1
“Tech” Amphenol Connector S12021-18 1
“Input” Amphenol Connector S12021-12 1
“Travel” Receptacle (Code 8205 Only) S12101-2 1
“Travel” Amphenol Connector S12021-11 1
Rotary Switch Knob (Procedure Board) T13639 1
Optional Printed Circuit Board - Not Illustrated:
Start of Crater Module Option, Includes: K334 1 or 2
Timer Printed Circuit Board K337-10 1 or 2
Option Printed Circuit Board L6246-3 1 or 2
Remote Interface Printed Circuit Board K336 1
Weld Timer Printed Circuit Board (10 Second) K337-10 1
Weld Timer Printed Circuit Board (100 Second) K337-100 1
11-07-2005
ITEM DESCRIPTION PART NO. QTY. 123456789
P-135-D.1P-135-D.1
# Indicates a Change This Printing
#
#

1 Control Box Door (Below Code 11000) S16706 1
1 Control Box Door (Above Code 11000) S16706-1 1
3 Nameplate (Below Code 11000) L6243 1
3 Nameplate (Above Code 11000) L6243-1 1
5 Nameplate Cover S16696 2
6 Nameplate Cover S10509-108 1
7 Lock Tab T10045-40 1
8
Meter & Locating Pin Asbly (Below Code 8990) (Not Shown)
Order S17748
2
9 Gasket (Below Code 8990)
E1852-.125-.500-2.50
3
9 Bezel Assembly (Above Code 8990) S17720 1
10
Meter Shield (Standard Clear Welding Lens) (Below Code 8990)
T14771 2
10 Filter Lens (Above Code 8990) T14807-2 1
11 Meter Shield Frame M13934 1
12 Actuator & Switch Assembly T14751-1 1
13 Start Switch T13541 -2 1
14 Security Panel Assembly M13936 1
15 Insulation T14468 2
16 Decal S11893-2 1
16 Nameplate (Above Code 11000) L12800 1
17 Digital Meter P.C. Board (Above Code 8990 Only) M14490-[ ] 2
19 P.C. Board Spacer (Above Code 8990 Only) M14537 2
High Speed Decal (21 to 1) (Not Shown) S20166 1
06-09-2008
ITEM DESCRIPTION PART NO. QTY. 123456789
P-135-EP-135-E
# Indicates a Change This Printing
CONTROL BOX DOOR ASSEMBLY
11
9
10
17
19
15
112 13
36
7
14
16
5
#

1 Control Box Welded Assembly (Code 8205 Only) S16707 1
Control Box Welded Assembly (All Other Codes) S16991-1 1
2 Relay S22182 3
3 Plug Button T13597-1 3
4 Thread Cutting Screw S9225-36 1
Lock Washer T9695-1 1
#10-24 HN CF000010 2
5 Reed Switch and Mounting Plate Assembly,
Includes: (Below Code 9100 & Above 9338) S16705 1
Reed Switch Assembly (Below Code 9100) S12334-35 1
5 Reed Switch and Mounting Plate Assembly
Includes: (Above Code 9100) (See Note 1:) M15269 1
Reed Switch Stud Assembly (Above Code 9100)(See Note 1:)
M15268 1
8 Number Plate T10726-139 1
9 Number Plate T10726-138 1
11 Resistor S10404-75 1
#10-24x5.00 RHS CF000045 1
Insulating Washer T4479-A 2
12 Transformer S16711 1
13 Transformer (Code 8205 Only) S16712 1
13 Transformer S17101 1
14 Cable Tie Mount (Not Shown) T13941 2
15 Harness, Includes:
(Below Code 11000) (Not Shown)
G1554 1
Harness, Includes:
(Above Code 11000) (Not Shown)
G1554-1 1
Terminal Strip S14530-5 2
Jumper for Terminal Strip T13962 1
Fuse (1/2 Amp, 125 Volt) T10728-14 1
Tach Connector S13100-71 1
05-22-2008
ITEM DESCRIPTION PART NO. QTY. 123456789
P-135-FP-135-F
# Indicates a Change This Printing
CONTROL BOX
11
33
99
88
1111
55
1212
22
1313
33
44
44
1111
NOTE 1 :
These Parts are only used in NA-5 sys
tems that
include a PP-500
welder. For all other Power Sources order S16705.
#

K349 MULTI-PROCEDURE KIT
P-135-GP-135-G
1-29-2002
12
11
13
8
7
19
10
9
14
17
15
16
3 4 1
2
5
6
17

1 Control Box M14288 1
2 Control Box Cover S17147 1
3 Printed Circuit Board Insulation S17139 1
4 Multi-Procedure P.C. Board G1567-2 1
5 Remote Selection P.C. Board M14220-1 1
6 Warning Decal T13470 1
7 Box Connector T9639-2 1
8 Plug Button T10397-14 1
9 Harness S14165-287 1
10 Nameplate M14264 1
11 Square Insulating Tube T14767 6
12 Shaft Seal T14034 6
13 Rheostat Knob T10491 6
14 Rotary Switch Knob T13639 1
15 Security Panel S17149 1
16 Lock Tab T10045-40 1
17 Self Tapping Screw S8025-70 5
18 Self Tapping Screw - Not Illustrated - Mounts Box S8025-70 2
19 Grommet T9274-3 2
3-30-2000
ITEM DESCRIPTION PART NO. QTY. 123456789
P-135-G.1P-135-G.1
# Indicates a Change This Printing
#
#

NOTES


G1553
A
DIGITAL METER
VOLTMETER BOARD SPEED-
METER
BOARD
510
519
602
601
25 3 41
6
518
510
517
510P
602
601
510P
510P
602
601
510
510
519
510P
602
601
DIGITAL METER
25 3 41
6
WORK
WELDING
NOZZLE
ARM.
ELECTRODE
BLUE
BLACK
WHITE
RED
541
539
626
627
67
525A
555
510A
TACH.
PICK-UP
P.C. BD.
CONTROL
POWER
SOURCE
A
B
C
87
531
GND
A
B
C
D
E
F
541
539
627
626
67
A
B
C
D
MOTOR RECEPTACLE
525A
555
510A
A
B
C
D
E
F
TACH. RECEPTACLE
G
H
I
2
4
31
32
21
A
B
C
GREEN
531
87
FLUX OR WATER
SOLENOID
INPUT RECEPTACLE
S12778
S12515
S12514
S12515
S13161-052
S13161-5/64
S14904(OUTER)
S14905(INNER)
S12514
S14904(OUTER)
S14905(INNER)
57F 57/1
57 57/1
95 95/1
95S 95/1
142 142/1
142/1
142T
SINGLE .035-.052
SINGLE 1/16-3/32
SINGLE 3/32-5/32
SINGLE 1/16-3/32
TWIN .045-.052
SINGLE 3/32-7/32
TWIN 3 32
/
TWIN 1/16-5/64
TWIN 5/64-1/8
40-778 I.P.M.
38-762 I.P.M.
22-428 I.P.M.
23-456 I.P.M.
15-289 I.P.M.
15-300 I.P.M.
PIN RATIO PART NUMBER RANGE RANGE
USE OF PIN "S" JUMPER CONNECTION.
541
539
627
87
32
531
532
531B
31
RF BYPASS
P.C. BOARD
62187
667 531626
WHITE
627
626
610
681
500
500
528
689
+
-
2
5
1
6
3
4
532
531A
631
610
531B
500
1/2A SLOW BLOW
POWER P. C. BOARD
POWER FUSE
1/2A SLOW BLOW
FIELD FUSE
539
627
541
626 1
2
3
4
5
6
528
500
CR4
COUPLED
MAGNETICALLY
ELECTRODE CABLE
TO POWER SOURCE
REED SWITCH ACTUATED BY
WELDING CURRENT
*
*
2
4
8
6
3
7
9
5
1
587
525
510
540
500
525
510
500
500
*
ORANGE
ORANGE
RED WHITE RED
TS2
528
ELECT
67
TS1
500
WORK
21
531A
R1
631
531B
POLARITY CONNECTIONS WHICH MATCH ELECTRODE AND WORK CABLE POLARITY CONNECTIONS TO POWER SOURCE.
HI-FREQUENCY INSTALLATION INSTRUCTIONS FOR REQUIRED #67 ELECTRODE VOLTAGE SENSING LEAD CONNECTION.
NOTE: NA-5 MOTORS INSULATED FOR HIGH FREQUENCY STARTING DO NOT HAVE THIS CONNECTION. REFER TO
"COM" TAB, UNLESS SPECIFIED ON THE POWER SOURCE CONNECTION DIAGRAM TO BE CONNECTED TO THE "AUTO" TAB
TO DISABLE THE "COLD" STARTING FEATURE.
AND TAPED CONNECTION
532
531
531A
CB1
500
500
528
689
621
667
TERMINAL
STRIP JUMPER
CIRCUIT
POLARITY
TERMINALS
610 R
ELECTRODE
500
*
*
682
681
585
610
2
LOGIC
P.C. BOARD
*
*
BLUE BLUE
WHITE
RED
RED
BLUE
BLUE
YELLOW
YELLOW
BLACK
BLACK
601
602
T1
587
ORANGE
ORANGE
BROWN
BROWN
T2
500
12 540
10 525
9510
14
13 628
1520
8510P
7510P
METER
6632
2512
3511
5511A
4510P
15 586
11
*
CONTROL
P.C. BOARD
F
S
555510A525A
VOLTAGE P.C. BOARD
5169
514 2
635 4
564A
510P 8
10
5253
5107
500 6
5
5301
66711
62112
6
A
B4
C5
592 3
687 2
688 1
3
531B8
532 9
637 4
511 1
511A 2
7
500 6
5
*
FAST BLOW
FUSE
1 8 AMP
/
S
F
*
B
D
A
*
BYPASS COM
AUTO
*
4 2 13
688
688A
525
500
FILTER P.C. BOARD
LEAD PLUG
500
560 1
564 2
5003
5154
635 5
520 6
632 7
510P8
9
W
W10
564A11
12
*
PROCEDURE KIT
RECEPTACLE
JUMPER PLUG
ELECTRICAL SYMBOLS PER E1537
CAVITY NUMBERING SEQUENCE
*
N.M.
N.L.
N.E.
563
N.N.
1584C
2564
583S
4
5500
6515
3 500
1
5
4
6
3
589
5811
582 4
628 2
530 3
687 5
6886
5563
9563
6561
8560
7588
4584S
3566
2565
1583C
4
3
2
1
5
6
637
528
586
587
592
689
*
REMOTE INTERFACE
MODULE (OPTIONAL)
MOCMOCUP DOWN START STOP
SWITCHES
RED RED
N.L.
24V.
SIGNALS
*
1
6
5
4
2
3
581A
500
586
592
582
515
N.F.
WHITE
WHITE
RED
RED
N.D.
N.H
FLUX RECEPTACLE
J4
A
B
C
GND
D
532
25
531
J3
J2
J1
WORK CABLE TO
POWER SOURCE
TS
3
N.K.
N.J.
5A CIRCUIT
BREAKER
25
TRAVEL SW.
S2
532
531
31 32
POWER SW.
S1
"HOT" LIGHT
LT1
DOWN
592 500
S4
INCH
UP
S3
586
500
625
N.A. SPEEDMETER BOARD CALIBRATION JUMPER IS TO BE CONNECTED FOR NA-5 HEAD AND DRIVE ROLL
EMPLOYED PER CHART BELOW: (CONNECTED TO PIN "95" OR "21" WHEN SHIPPED.
21 21/1 S12778 SINGLE .035-.052 100-2070 I.P.M.
= EARLIER SPEEDMETER BOARDS DID NOT HAVE THESE PINS.
= SINGLE "21" PIN ON HIGH SPEED BOARD ONLY.
N.B. REMOVE START RECEPTACLE JUMPER PLUG FROM PROCEDURE BOARD TO INSTALL OPTIONAL PROCEDURE
MODULE AS START PROCEDURE CONTROL. IF MODULE IS REMOVED, REPLACE JUMPER PLUG.
N.C. REMOVE CRATER RECEPTACLE JUMPER PLUG FROM PROCEDURE BOARD TO INSTALL OPTIONAL PROCEDURE
MODULE AS CRATER PROCEDURE CONTROL AND CONNECT LOGIC BOARD LEAD #694 TO PIN #P10.
IF MODULE IS REMOVED, REPLACE JUMPER PLUG AND LOGIC BOARD LEAD #694 TO PIN #P8.
N.D. CONTROL BOARD JUMPER LEAD CONNECTED TO PIN "F" WHEN SHIPPED. SEE OPERATING MANUAL FOR
N.E. VOLTAGE BOARD RED JUMPER LEAD CONNECTED TO PIN "S" AND WHITE JUMPER LEAD CONNECTED TO
N.G. 531-532 115VAC
531-25 115VAC (SWITCHED) 250 VA
N.J. CONNECT #67 BLACK (ELECTRODE) LEAD AND #21 WHITE (WORK) LEAD TO APPROPRIATE TERMINAL STRIP
N.K. LEAD CONNECTED TO MOTOR FRAME WHICH IS ELECTRICALLY COMMON WITH ELECTRODE DRIVE ROLL AND DRIVEN ELECTRODE.
N.L. REMOVE JUMPER PLUG TO INSTALL OPTIONAL KIT. IF KIT IS REMOVED, REPLACE JUMPER PLUG.
N.M. NOT PRESENT ON EARLIER VOLTAGE P.C. BOARDS.
N.N. BLUE JUMPER LEAD NOT PRESENT ON EARLIER VOLTAGE P.C. BOARDS. THE JUMPER IS TO BE CONNECTED TO THE
BLUE
WHITE
RED
582
STOP
S6
581A
682
ELECTRODE LEAD BOLTED
142T
95S
57F
TIMER BOARD
(START TIME USE)
655
500
I
O
515
12
4
14
13
9
6
7
1
8
10
11
3
5
2
15
500
510P
515
520
635
632
584S
583S
584C
583C
588
563
564
564A
START RECEPT. *
10
5
6
12
14
15
11
8
9
7
1
13
2
4
3520
515
510P
500
583S
584S
588
588A
635
632
655
JUMPER
PLUGS
{
{
*
10
5
6
12
14
15
11
8
9
7
1
13
2
4
3520
515
510P
500
588
588A
635
632
655
584C
583C
CRATER RECEPT.
OPTIONAL PROCEDURE MODULE
USED FOR START CONTROL
5
4
3
2
1
6
581A
581
565
566
561
560
*N.B.
N.C.
5
6
4
3
2
1
500
655
515
I
O
*
5
6
4
3
2
1
500
655
515
I
O
WELD TIME
RECEPT.
TIMER BOARD
655
500
I
O
515
OPTION BOARD
5
6
4
3
2
1
655
500
I
O
515
TIMER
RECEPT.
OPTIONAL PROCEDURE MODULE
USED FOR CRATER CONTROL
(CRATER TIME USE)
TIMER BOARD
(BURNBACK TIME)
500
655
515
I
O
START
S5
500
581A
581A
516
514
512
511
510P
601
602
517
519
655
500
I
O
515
WELD TIMER BOARD
(OPTIONAL)
N.A.
SET-ACTUAL
S7
PROCEDURE BOARD
*
BURNBACK
RECEPT.
531B 532
592
(COMPONENT SIDE OF P.C. BOARD)
SPEEDMETER NA-5 HEAD DRIVE ROLL WIRE SIZE RATED SPEED
562S
562S
562C
562C
142
95
57
1
2
3
4
1
2
3
4
5
6
1
2
3
4
5
6
7
8
9
1
2
3
4
5
6
7
8
9
10
11
12
1
2
3
4
5
6
7
8
9
10
11
12
13
14
15
12
6
1
J29
N.H. 531-87 115 VAC (SWITCHED) 1/2 AMP.
PIN "B" WHEN SHIPPED, FOR USE TYPICALLY WITH DC-[ ]TYPE POWER SOURCES. REFER TO CONNECTION
DIAGRAM FOR ALTERNATE CONNECTIONS, AND JUMPER CONNECTIONS FOR R3S, SAM AND SAF OR SA
POWER SOURCES WITH K224. EARLIER VOLTAGE BOARDS DO NOT CONTAIN PIN "D".
1/8 AMP FUSE
OPTIONAL PULSE POWER
TRAVEL RECEPT.
J5
1
562
583
655
515
500
584
588
588A
632
635
520
510P
9
10
8
3
2
6
4
12
5
11
*
7
P29 (C)
J29 (C)
J28 (C)
(CRATER FILL USE)
OPTION BOARD
5
6
4
3
2
1
655
500
I
O
515
TIMER
RECEPT.
1
562
583
655
515
500
584
588
588A
632
635
520
510P
9
10
8
3
2
6
4
12
5
11
*
7
(START USE)
J28 (S)
J29 (S)
P29 (S)
P28 (S)
3
1
J28
6
P28 (C)
CABLE
TO
532
87
610
532
585
589
FLUX RELAY MODULE
CR1
31
42
610
CR2
31
42
RELAY MODULE
RELAY MODULE
N.P.
532
TRAVEL
CONTACTOR
4
2
625
682
CR3
3
1
42
610
N.P.
N.P.
N.P. EARLIER RELAYS HAD SAME TERMINAL NUMBERS BUT IN A DIFFERENT ORIENTATION.
METHODS OF TRAVEL
START/STOP WITH SWITCHES
LEAD #691 to P6
LEAD #692 to P5
LEAD #691 to P6
LEAD #692 to P7
STOP WITH STOP SWITCH
LEAD #691 to P5
LEAD #692 to P7
START WITH START SWITCH
STOP AFTER CRATER TIME
LEAD #691 to P6
LEAD #692 to P9
FOR EARLIER LOGIC P.C.
BOARDS WITH JUMPERS
CONNECT
CONNECT
SWITCH #1
1234
SWITCH #2
1234
SWITCH #1
1234
SWITCH #2
1234
FOR LOGIC P.C. BOARDS WITH
CONNECT
CONNECT
SWITCH #1
1234
SWITCH #2
1234
SWITCH #1
1234
SWITCH #2
1234
FOR EARLIER LOGIC P.C.
BOARDS WITH JUMPERS
YES CONNECT
LEAD #694 TO P10
NO CONNECT
LEAD #694 TO P8
CRATER BOARD INSTALLED?
SWITCH #1
1234
SWITCH #2
1234
SWITCH #1
1234
SWITCH #2
1234
FOR LOGIC P.C. BOARDS WITH
DIP SWITCHES
DIP SWITCHES
FOR EARLIER LOGIC P.C.
BOARDS WITH JUMPERS
SWITCH #1
1 2 3 4
SWITCH #2
1234
SWITCH #1
1 2 3 4
SWITCH #2
1234
FOR LOGIC P.C. BOARDS WITH
DIP SWITCHES
1 2 3 4 1 234
METHODS OF BURNBACK
CONNECT
LEAD #690 TO P4
LEAD #693 TO P3
CONNECT
LEAD #690 TO P4
LEAD #693 TO P1
CONNECT
LEAD #690 TO P2
LEAD #693 TO P1
1 2 3 4
SAMPLE SWITCH
SWITCH POSITION 1 IS UP
SWITCH POSITION 2 IS DOWN
SWITCH POSITIONS 3 AND 4 ARE NOT APPLICABLE
NA-5 SHIPPED CONNECTED FOR INDICATED METHODS OF TRAVEL & BURNBACK.
START WITH START SWITCH
LEAD #691 to P6
LEAD #692 to P8
CONNECT
SWITCH #1
1234
SWITCH #2
1234
START/STOP WITH WELD CURRENT
START WITH WELD CURRENT
(OPTIONAL PROCEDURE MODULE
INSTALLED IN CRATER RECEPTACLE)
(OPTIONAL PROCEDURE MODULE
INSTALLED IN CRATER RECEPTACLE)
STOP AFTER BURN-BACK TIME
N.F. LOGIC BOARD DIP SWITCHES OR JUMPERS TO BE SET TO SUIT DESIRED APPLICATIONS PER CHARTS BELOW:
WIRE FEED STOP WITH
CONTACTOR DELAY
INCH UP WITH CONTACTOR DELAY
INCH UP WITH NO CONTACTOR
DELAY
USE OF OPTIONAL CRATER MODULE
N.R.
N.R.
N.R.
N.R. POTENTIOMETERS AND SWITCHES MOUNTED ON P.C. BOARD ARE CONNECTED TO FRAME, FOR ESD.
(NOT PRESENT ON EARLIER BOARDS)
N.S. THE FIELD FUSE WAS REPLACED WITH A PTC RESETTABLE FUSE ON LATER MODEL POWER BOARDS.
N.S.


L6227
DIMENSION PRINT

L6228
DIMENSION PRINT




K349 MULTI-PROCEDURE KIT


NOTES



• Sales and Service through Subsidiaries and Distributors Worldwide •
Cleveland, Ohio 44117-1199 U.S.A. TEL: 216.481.8100 FAX: 216.486.1751 WEB SITE: www.lincolnelectric.com
• World's Leader in Welding and Cutting Products •