Logtag Recorders Analyzer Temperature Recorder Users Manual
logtaganalyzertemperaturerecorde cb017e89-27cc-4ef9-a971-4948841f39c6 LogTag Recorders Thermometer LogTag Analyzer Temperature Recorder User Guide |
2015-02-09
: Logtag-Recorders Logtag-Recorders-Logtag-Analyzer-Temperature-Recorder-Users-Manual-575801 logtag-recorders-logtag-analyzer-temperature-recorder-users-manual-575801 logtag-recorders pdf
Open the PDF directly: View PDF
.
Page Count: 140 [warning: Documents this large are best viewed by clicking the View PDF Link!]
- Introduction
- Installing the software
- System requirements
- Finding your computer specifications
- Getting a copy of the software
- The installation process
- Starting the software
- Quick Start Guide
- Preparing LogTags for use
- Results from LogTag
- Getting results from LogTag
- Understanding the results
- Inspecting the information at close range
- Manual scaling of the chart
- Chart annotations
- Chart subtitle
- Combining charts onto a single chart
- Automatically calculated statistics
- Displaying statistics
- Printing the results
- Sending a file by email direct from Analyzer
- Calling up previous results
- Digital signatures
- How secure is my data
- Viewing file properties
- Customizing the software
- Menus and Toolbars
- Working with Networks
- Getting more information
- Appendix
- Index

Version
1.4
The information contained within this document regarding LogTag Analyzer software usage
is intended as a guide and does not constitute a declaration of performance. The information
contained in this document is subject to change without notice. Unless otherwise noted, the
example companies, organizations, email addresses and people depicted herein are fictitious,
and no association with any real company, organization, email address or person is intended
or should be inferred. Complying with all applicable copyright laws is the responsibility of the
user.
No representation or warranty is given and no liability is assumed by LogTag Recorders with
respect to the accuracy or use of such information or infringement of patents or other
intellectual property rights arising from such use or otherwise.
Copyright © 2004-2006 LogTag Recorders. All rights reserved.
www.logtagrecorders.com

i
Contents
Introduction 5
Installing the software 7
System requirements..........................................................................................................8
Finding your computer specifications ...................................................................................8
Getting a copy of the software.......................................................................................... 14
The installation process.................................................................................................... 15
Starting the software........................................................................................................ 16
Quick Start Guide 19
Connecting the Interface .................................................................................................. 19
Using the LogTag with the Interface.................................................................................. 21
Get a LogTag ready for use............................................................................................... 23
Welcome................................................................................................................ 24
Locate LogTag(s) download and save relevant data................................................... 25
Configure LogTag(s) for next use............................................................................. 27
Prepare LogTag(s) for next use................................................................................ 28
Starting and using the LogTag .......................................................................................... 30
Retrieve information from LogTag ..................................................................................... 31
Preparing LogTags for use 33
Getting a LogTag ready use.............................................................................................. 34
Restricted Access Requirements........................................................................................ 35
Preparing LogTag for next use .......................................................................................... 36
Verify Access Password..................................................................................................... 40
Pre-start data collection.................................................................................................... 41
Continuous operation ....................................................................................................... 41
Working with batches of LogTags...................................................................................... 42
Getting the best from your LogTag.................................................................................... 43
Prolonging battery life ...................................................................................................... 44
Results from LogTag 47
Getting results from LogTag.............................................................................................. 48
Understanding the results................................................................................................. 49
Inspecting the information at close range........................................................................... 50
Manual scaling of the chart............................................................................................... 55
Chart annotations ............................................................................................................ 57
Chart subtitle................................................................................................................... 59
Combining charts onto a single chart................................................................................. 61
Automatically calculated statistics...................................................................................... 62
Average Reading .................................................................................................... 62
Standard Deviation ................................................................................................. 63
Mean Kinetic Temperature....................................................................................... 64

ii Contents
Degree Minutes ...................................................................................................... 65
Displaying statistics.......................................................................................................... 66
Printing the results........................................................................................................... 66
Sending a file by email direct from Analyzer ....................................................................... 67
Calling up previous results................................................................................................ 68
Digital signatures............................................................................................................. 70
How secure is my data ..................................................................................................... 72
Viewing file properties...................................................................................................... 73
Customizing the software 75
General Settings .............................................................................................................. 77
Summary Statistics........................................................................................................... 78
Chart Statistics................................................................................................................. 78
Charts............................................................................................................................. 79
Automation......................................................................................................................80
File and Folder Settings .................................................................................................... 81
Exports and Reports......................................................................................................... 85
Dates and Times.............................................................................................................. 87
Communication Ports ....................................................................................................... 89
User Server .....................................................................................................................90
Menus and Toolbars 91
Menu commands.............................................................................................................. 92
File Menu............................................................................................................... 93
Edit Menu .............................................................................................................. 95
LogTag Menu ......................................................................................................... 97
Window Menu ........................................................................................................ 98
Help Menu ............................................................................................................. 99
Toolbar commands..........................................................................................................100
Print preview toolbar.......................................................................................................101
Working with Networks 103
Distributing software to workstations................................................................................103
Restricting what users can do ..........................................................................................104
How users log on............................................................................................................105
How users change their password ....................................................................................106
Getting more information 107
Getting updated software ................................................................................................107
Finding your software version ..........................................................................................109
Getting more help...........................................................................................................110

Contents iii
Appendix 111
Troubleshooting..............................................................................................................111
Resolving USB Driver Problems ........................................................................................113
Checking the installation of the USB driver...............................................................113
USB driver installation through software installation..................................................119
Manual USB driver installation on Windows XP .........................................................121
Manual USB driver installation on Windows 2000......................................................125
Manual USB driver installation on Windows 98 or Me ................................................131
Sensor Responsiveness....................................................................................................136
Index 137

5
CHAPTER 1
Introduction
This guide will take you through the relevant steps so that you will be able to make the
most of your LogTag products. The guide is structured into chapters that will guide you
through the process of installing the software, using the LogTag products and lastly some
of the options that are available to you for making your efforts and experience of using
the software as efficient, effective and pleasant as possible.
The chapters in this guide are placed in an order that you will need to follow in order to
successfully use the LogTag products first time. Experienced users of the software may
choose to skip the first two chapters. However, if you are about to use a newer version of
a LogTag and/or Interface Cradle, we recommend you at least skim the installation
chapter for any relevant changes that should be performed prior to using your new
version of LogTag hardware.
This guide covers all the features included in version 1.4 of the LogTag Analyzer software.
The chapter "
Finding your software version
" included later in this guide will help you
through the process of finding out what version of the LogTag Analyzer software is being
used and will help explain and determine if this version of the guide refers to the version
of the software being used. The chapter "
Getting updated software
" included later in
this guide will help you through the process of obtaining an updated copy of the software.
Therefore, if you find a feature described within this guide that does not appear in your
software and/or a feature within the version of software being used that is not described
in this guide, then we recommend you obtain a newer version of the software and/or a
newer version of this guide. You may obtain a free online copy of the latest version of this
guide from the LogTag Recorders Internet site, www.logtagrecorders.com.
Although this guide includes all the relevant information to install and use the product
range supplied by LogTag Recorders, there are at times an expectation that the reader is
familiar with using their computer and the Windows® operating system. If a feature of
the software is specific to a version of the Windows® operating system, the guide will
indicate appropriately for you the relevant differences.
Feedback, positive or negative, about the software, the LogTag products and/or this guide
is welcome. If you believe the products could be improved, you are welcome to send us
your comments and we will do our best to include the improvements in a future release.

7
CHAPTER 2
Installing the software
To make use of your LogTag you will need to first install the software on your computer.
This will allow you to prepare your LogTag(s) for use, retrieve the readings the LogTag(s)
have recorded, and analyze the data. This chapter will take you through the steps
necessary to successful install the software on to your computer so you can begin using
your LogTag(s). The process of installing the LogTag Analyzer software should be very
familiar to users that have previously installed other software and therefore some
experienced users may choose to only skim read or entirely skip this chapter. If you are
new to using a computer and/or unsure about installing the software, we recommend you
read the remainder of this chapter.
In This Chapter
System requirements..............................................8
Finding your computer specifications.......................8
Getting a copy of the software................................14
The installation process..........................................15
Starting the software..............................................16

8 LogTag Analyzer
System requirements
To ensure that the software will be able work with your computer, the following lists the
minimum specifications required:
Pentium II 233MHz processor
64MB RAM
10MB free disk space
Windows 98, Windows Me, Windows NT, Windows 2000, Windows XP
Internet Explorer 5.0 or later
1 available serial port and/or 1 available USB port
800 x 600 screen resolution
256 screen colors.
The recommended specifications are:
Windows 2000, Windows XP, or later
Internet Explorer 6.0 or later
65535 (16bit), or more, screen colors.
1024 x 768, or higher, screen resolution.
If you are unsure of what your computer specifications are, please read the following
section, which will help you locate the relevant information.
Finding your computer
specifications
If you are unsure of your computer specifications you can find the relevant information by
following these steps:
1 To determine your computer CPU, RAM and version of Windows Operating system:
a) Open the "Control Panel". This can be done by using the mouse to click on the
Windows "Start" button, typically located in the bottom left of the screen, to open
the Start menu.
b) Once the "Start" button has been clicked, you will see a menu appear.
c) If your menu looks similar to the following picture, click on the visible "Control
Panel" item.

Chapter 2 Installing the software 9
d) If your menu looks similar to the following picture, the "Control Panel" item is
located within the "Settings" menu item.

10 LogTag Analyzer
e) Within the "Control Panel" window there is a "System" icon. For Windows XP users,
you may need to "Switch to Classic View" to locate the "System" icon quickly. Start
(open) the "System" icon once you have located it.
f) Clicking on the "General" tab at the top of the "System Properties" window, which
is usually the default, will display the relevant information for you about your
system.
2 To determine your screen resolution and colors:
a) Open the "Control Panel" as explained in step 1.
b) Open the "Display" item.
c) Click on the "Settings" tab at the top of the "Display Properties" window will
display the relevant information for you about your display.

Chapter 2 Installing the software 11
d) From the "Settings" portion of the "Display Properties" window you will see your
current screen settings and you may also be able to change some of your display
settings if you want.
3 To determine your spare hard disk drive space:
a) Open "My Computer" which is typically located on your desktop and/or within the
Windows "Start" menu.

12 LogTag Analyzer
b) Using your mouse, click the button on the right over the drive that includes "(C:)"
in its description.
c) Select "Properties" (left mouse click) from the popup menu that will appear.

Chapter 2 Installing the software 13
d) Clicking on the "General" tab at the top of the drive properties window will display
the relevant information for you about your hard drive.
e) If you have multiple (hard disk) drives installed on your computer you can repeat
steps (b) through to (d) for each drive to get the same type of information.

14 LogTag Analyzer
Getting a copy of the
software
The software is available for download from the LogTag Recorders Internet site,
www.logtagrecorders.com. LogTag Recorders does not charge for the download of the
LogTag Analyzer software or for the updates to the LogTag Analyzer software. You are
welcome to distribute copies of the LogTag Analyzer software freely and at your discretion
as long as it is distributed in the packaged format as originally downloaded from the
LogTag Recorders Internet site.
When you visit the LogTag Recorders Internet site, follow the software navigation links to
obtain a download link for the latest version of the LogTag Analyzer software. The request
to download LogTag Analyzer software from the LogTag Recorders Internet site will result
in an email automatically being sent to you with the download link for the latest version.
To begin the actual download of the software process, click on the link provided in your
email, and your email software will prompt you to save or open the file.
We recommend choosing the option to save the file to your disk and to save the file to
your desktop. If you are an experienced user you may wish to save the file to a different
folder of your choosing. Once the installation process has been completed, this file can be
safely deleted, as it is not required for using the software.
There is only one file required to be downloaded to be able to install the software on your
computer. Once the relevant installation file has been downloaded to your computer, you
only have to open the file to begin the installation process.

Chapter 2 Installing the software 15
The installation process
To install the LogTag Analyzer software, first you need to locate the installation file that
was downloaded from the LogTag Recorders Internet site. To begin the installation
process open the installation file, which is typically performed by double clicking the left
mouse button.
Tip: Double clicking a mouse button, implies the user clicks the same mouse button in
quick succession.
The installation process will guide you through the relevant steps to correctly and
successfully install the software. If you have installed any other software, you should find
the installation process familiar. To proceed through each step of the installation process,
click the "Next" button. If you want to change a previous step you can click the "Back"
button. When the process is ready to be completed, clicking the "Finish" button, when it
appears, will finish the installation process. If you want to stop installing the software,
click the "Cancel" button.
We recommend you leave all options to their default setting, especially if you are unsure
of what option to select or what the actual implications are if the option was to be
changed.
During the installation process, a window similar to the following picture may appear. This
is part of the process of installing the driver for the USB Interface. Clicking on the
"Continue Anyway" button will allow the driver to be successfully installed. The chapter
"
Resolving USB Driver Problems
", included later in this guide will guide you through
the necessary steps to successfully install the driver for the USB Interface if the "STOP
Installation" button was clicked.

16 LogTag Analyzer
Starting the software
At the conclusion of the installation process, the final screen will provide you with an
option to immediately start the LogTag Analyzer software. If the option "Start LogTag
Analyzer after finished" is not visible, then you require other newer software, for example
a newer version of Microsoft Internet Explorer, to be installed prior to the LogTag
Analyzer software being able to successfully start.
The installation of the LogTag Analyzer software will also provide you with two simple
methods to start the LogTag Analyzer at a later time:
1 A "Shortcut" on the desktop, which you can double click to start the software.
2 A "Shortcut" in the "Start" menu system.

Chapter 2 Installing the software 17
If you are using Windows XP, you may need to click on the "All Programs" item to
locate the "LogTag Analyzer" shortcut, like in the following picture.

18 LogTag Analyzer
If you are not using Windows XP, you will find the "LogTag Analyzer" shortcut in the
"Programs" menu, in a similar location to the following picture.

19
CHAPTER 3
Quick Start Guide
You've got the software installed on your computer and now you want to use the LogTag,
see how it goes and what it can do. This chapter will briefly cover the steps involved to
get your LogTag ready to use, how to get it started and then retrieve the recorded
information out of the LogTag. The subsequent chapters will explain in more depth these
steps and the various options available to you.
In This Chapter
Connecting the Interface ........................................19
Using the LogTag with the Interface........................21
Get a LogTag ready for use ....................................23
Starting and using the LogTag ................................30
Retrieve information from LogTag...........................31
Connecting the Interface
There are two types of the Interface Cradle available. The first connects to the computers
serial (RS232) communications port and the other connects to the computers USB
(Universal Serial Bus) communications port. Although there may be multiple connectors
on the computer for each of these types of communications ports, the shape of each is
unique and therefore it is not possible to connect the Interface Cradle to the wrong type
of communications port. The software supports the connection of multiple Interface
Cradles at the same time and therefore as many serial and/or USB Interface Cradles as
are needed and the computer supports may be connected.
The connectors for the serial (RS232) communications ports typically look like the
following picture.

20 LogTag Analyzer
Serial (RS232) communication ports can be typically found at the rear of the computer
and there are usually at most two ports installed on a single computer. Most serial
Interface Cradle connectors will have screws included on the plug and as such we
recommend that these are tightened when the connector is plugged in so that it does not
accidentally pull out during usage.
The connectors for USB devices typically look like the following picture.
Connectors for USB devices and the sockets on the computer where USB devices are
plugged in will often display a USB logo nearby to help them be identified. Example
pictures of the USB logos that may appear are:
The sockets for the USB communication ports are typically located at the rear of the
computer. In some computers there may also be two or more USB communication ports
located on a front panel of the computer and/or on the top of the computer case. Please
ensure that the software has been installed prior to connecting the USB Interface Cradle
to the computer as the software installation also installs the drivers required to
successfully connect and use the USB Interface Cradle. If you experience problems
getting the software to find and identify a connected USB Interface Cradle then there may
have been a problem during the installation of the software with the installation of the
drivers that the USB Interface Cradle requires. The subsequent section
resolving USB
driver problems
will guide through the steps necessary to resolve any problems with
getting USB Interface Cradles working on the computer.
If the computer is using the Windows NT® operating system, a USB Interface Cradle will
not be able to be used, as Windows NT® does not support USB devices.

Chapter 3 Quick Start Guide 21
Using the LogTag with the
Interface
The LogTag fits into the Interface Cradle just like a putting a piece of bread into a toaster.
As shown in the following picture, the LogTag faces towards the front label of the
Interface Cradle with the contacts on the reverse side. If you look into the Interface
Cradle slot, you will be able to see where the contacts connect with the matching contacts
in the Interface Cradle.
When placing the LogTag into the Interface Cradle slot, you should be able to feel a very
slight resistance as the contacts "grab" the LogTag. This is normal. Removal of the
LogTag will cause a slight clicking noise as the contacts snap back into their "unloaded
position".
If the LogTag has readings stored within its memory, the software will automatically start
to download the data and will also display an animated picture during the download
process, similar to the following picture.

22 LogTag Analyzer
The download process can be stopped by clicking on the "Cancel" button below the
download animation or pressing the "Esc" key.

Chapter 3 Quick Start Guide 23
Get a LogTag ready for use
To begin the process of preparing a LogTag to record information, first click the LogTag
icon ( ) that is located on
the too
lbar, which will start the LogTag wizard.
The LogTag wizard performs two distinct tasks:
1 It finds the communication port (USB and/or Serial) that the LogTag is attached to
through the Interface Cradle and retrieves the data that is stored within the LogTag,
and
2 It allows the LogTag that is currently connected and in the Interface Cradle to be
prepared for its next use.
The wizard is a key part of the software that is used for each of the steps.
In This Section
Welcome ...............................................................24
Locate LogTag(s) download and save relevant data .25
Configure LogTag(s) for next use............................27
Prepare LogTag(s) for next use...............................28

24 LogTag Analyzer
Welcome
First the Wizard has a welcome screen (this is "1" on the Action List). This asks you to
make sure you have not neglected to place the LogTag firmly in the Interface Cradle.
The Wizard is responsible for certain "Action Steps" and these are clearly listed at the left
in the wizard window.
To get to the next screen, click on and the next wizard screen will appear.
The green arrow will indicate you have moved to Step 2.

Chapter 3 Quick Start Guide 25
Locate LogTag(s) download and save relevant data

26 LogTag Analyzer
In this screen you will see one of the following pictures next to each of the items in the
list:
(no picture) indicates the software is still using this communications port.
Data was successfully retrieved from the LogTag and stored/saved to disk.
Data was successfully retrieved from the LogTag but there was no need to save
the information to disk.
The software was unable to detect an Interface Cradle connected to the
communications port or was unable to detect a LogTag in the Interface Cradle.
The LogTag is a single use logger and cannot be prepared for use again and
should therefore be returned to the supplying distributor or agent once you have
finished with the LogTag. You will still be able to continue to retrieve information
stored within the LogTag.
The LogTag should be almost instantly recognized by serial number and the number of
readings. It is possible to have and use more than one communication port at a time and
if so, the wizard will find all the LogTags.
The communication ports that are not in use (the ones that initially are reported with the
mark) can be removed from view by selecting an
option
. You don't have to do that
now, but you can do it later to clean up the "wizard window" appearance.
To get to the next screen, click on and the third wizard step screen will
appear. The software will automatically proceed to the next wizard step, as if the user
clicked on , if each of the Interface Cradles detected have a LogTag detected
in them and the information within the LogTag was successfully retrieved.

Chapter 3 Quick Start Guide 27
Configure LogTag(s) for next use
The options are available so you have appropriate control over the way the LogTags will
behave and store data for the upcoming period of recording. These options are explained
in more detail in the chapter "
Preparing LogTag for use
". Click to record
the configuration data and you will see the final confirmation screen.

28 LogTag Analyzer
Prepare LogTag(s) for next use
The last Wizard screen involves sending the new configuration data to each LogTag to
prepare them for their next use. While the software is sending the new configuration data
to each LogTag the top of the window will look similar to the following picture. The
process of sending the new configuration data to each LogTag should take less than 20
seconds in total to complete.
Once the software has finished uploading the updated configuration information into each
LogTag, the window displaying the progress will look similar to the following picture.

Chapter 3 Quick Start Guide 29
In this screen you will see one of the following pictures next to each of the items in the
list:
(no picture) indicates the LogTag is still in the process of being prepared for its next
use.
The LogTag was successfully prepared for its next use.
The LogTag failed to be prepared for next use. Press to try again.
The battery within the LogTag is low and is unlikely to have enough capacity to
record all the data you want during its next use. In this situation the LogTag should no
longer be used.
When all LogTags have finished receiving their new configuration data, click
to close the wizard. Your LogTag(s) are now ready to be started and used.

30 LogTag Analyzer
Starting and using the
LogTag
Once a LogTag has been successfully configured for use it is ready to be started. To start
a LogTag simply press and hold the START MARK button on the LogTag until both the OK
and Alert lights alternately flash on and off.
You can also have the LogTag record an "inspection" mark at any time while it is
recording, simply by pressing and holding the START MARK button on the LogTag until
both the OK and Alert lights flash on and off at the same time. You may have the LogTag
record as many inspection marks as you want while it is recording, however only one
inspection mark can be recorded per reading. In other words, if your LogTag is configured
to take readings at 15 minute intervals, inspection marks can be recorded at intervals of
15 minutes or more. If the LogTag has finished recording then pressing the START MARK
button will have no effect until after the LogTag has been prepared for next use.
The red light on the LogTag, also called the Alert light, will regularly flash to indicate that
a preset alert condition has been met and/or exceeded.
While the LogTag is recording after being started, the green light on the LogTag, also
called the OK light, will regularly flash every 4 seconds to indicate that it is still recording.
Once the LogTag has finished recording the green light will regularly flash every 8
seconds. However, if a preset alert condition has been met and/or exceeded then only the
Alert light will flash, even if the LogTag has finished recording.

Chapter 3 Quick Start Guide 31
Retrieve information from
LogTag
When you ready to view the recordings that are stored within the LogTag, just place the
LogTag into the Interface Cradle as before. If the LogTag is still recording when you go to
retrieve the readings it will continue to record without interruption so you will be able to
download again later if you choose.
If the LogTag has readings stored within its memory, the software will automatically start
to retrieve a copy of the recording contained within the LogTag and will also display an
animated picture during the download process, similar to the following picture.
Once the readings have been successfully retrieved from the LogTag(s), the software will
display the information for you. The chapter "
Results from LogTag
" explains in more
detail the information that is displayed to you as a result of retrieving the recorded
readings from LogTag(s).

33
CHAPTER 4
Preparing LogTags for use
Before you can use a LogTag to monitor and record environmental conditions you must
first prepare it for use. The process of preparing a LogTag for use allows you to define a
number of parameters, including:
How long it should record the environmental condition for, so that you can be assured
that it will record for the duration of time required. For example, if you want it to
monitor a shipment that will take 10 days to deliver, you will be able to make sure it
will record the humidity and/or temperatures throughout the entire 10 day period.
How often it should record the environmental conditions.
Under what conditions it should display an alert. An alert indicates when the
environmental condition being recorded is not within set limits.
This chapter explains how to prepare a LogTag for use and what the options mean.
In This Chapter
Getting a LogTag ready use....................................34
Restricted Access Requirements..............................35
Preparing LogTag for next use................................36
Verify Access Password...........................................40
Pre-start data collection..........................................41
Continuous operation .............................................41
Working with batches of LogTags............................42
Getting the best from your LogTag..........................43
Prolonging battery life ............................................44

34 LogTag Analyzer
Getting a LogTag ready
use
There are two ways to prepare a LogTag for use, both of which will achieve the same
result. Once a LogTag has been through the configuration process to get it ready for next
use, any readings previously recorded will no longer be available for retrieval.
1 Click the LogTag icon ( ) on the toolbar or the "Wizard..." menu item located in the
LogTag menu.
This is the safest option, as it will retrieve any readings that are stored within the
LogTag and save them to disk before getting the LogTag ready for next use. This
option is useful when you are unsure whether or not the readings stored within the
LogTag have been previously retrieved and saved to disk.
2 Click the "Configure..." menu item located in the LogTag menu.
This is the quickest option, as it does not involve the step that retrieves any readings
that are stored within the LogTag. This option is useful when you know you have
previously retrieved the readings or you no longer need a record of the readings that
are currently stored within the LogTag.
The wizard will appear once you have selected the option of your choice to guide you
through the necessary steps to prepare a LogTag for next use. While the wizard is visible
the "Automatic download" feature will be disabled.

Chapter 4 Preparing LogTags for use 35
Restricted Access
Requirements
Every LogTag supports an option that, when enabled, results in users being required to
provide the correct password to gain further access to the LogTag. When the restricted
access option is enabled, a window similar to the following picture will be displayed
allowing the user to enter the correct password.
The relevant process and/or wizard will only continue successfully if the correct password
is supplied by the user. Passwords are case sensitive and therefore the passwords "Bob"
and "bob", for example, are different.

36 LogTag Analyzer
Preparing LogTag for next
use
The "Configure LogTag(s) for next use" step provides you with all the options that can be
configured to effect how a LogTag records data during its next use. Once the changes
within this screen have been made, if any, click to send the configuration
information to the LogTag(s).
The following table describes each configurable option that is permitted to change.
Function Purpose
User ID This can be used for identification of the load in transit to be
monitored, or simply an identifier that describes the purpose of the
monitoring. Bill of Loading information, Shipper, commodity,
contact name and other relevant information can be placed here.

Chapter 4 Preparing LogTags for use 37
Enable pre-start logging Pre-start logging is a feature that protects the recording in the
event of a failure to actually press the START MARK button to
initiate the recording. It is an insurance policy against the loss of
critical data. This is almost always checked for transit monitoring
applications. This option is further explained in the section "
Pre
start data collection
".
Record readings
continuously, overwrite
oldest when memory
full
This is what is called a “data wrap” in which the recorder just keeps
writing data to memory. It is a “moving window” of data. For
example, this is useful for fixed base MKT monitoring with the
interval set to one year, so that the current “yearly MKT” can
always be in the memory of the LogTag. If this option is selected,
the user will be “opted out” of the next two options. This option is
further explained in the section "
Continuous operation
".
Record readings so
that: If this is selected, the logger stops logging when the number of
data points has been gathered and stored in memory that spans at
least the number of days specified below. When this option is
selected, the following two options will determine the number of
data points over the span of time that will be recorded.
Readings recorded will
span at least X days If you know how long you want to record, the Configuration screen
will automatically set the number of readings to be collected at a
particular interval. This setting will only have an effect if the above
option "Record readings so that:" is selected.
Number of readings to
record X maximum is Y This data box will display the calculated number of readings if you
select a time span and an interval. Alternatively, you can select the
number of readings desired, and the time span will be altered
based on the interval. If this is selected, the logger will stop logging
when the number of readings has been gathered and stored in
memory. "Y" represents the maximum number of readings the
LogTag can store, however with a selected interval and a selected
time span, you may not need to use all of the available data space.
This setting will only have an effect if the above option "Record
readings so that:" is selected.
Record a reading every
X This determines how frequently the LogTag records the
environmental humidity and/or temperature into its internal
memory.
Begin recording after a
delay of X Determines how long after the START MARK button on the LogTag
has been pressed that it will actually begin to record the
environment humidity and/or temperature. This feature is useful for
example, when the LogTag could falsely trigger an alert because
the environmental conditions it is being started in is quite different
to the environmental conditions to be monitored. If pre-start
logging is enabled, the LogTag will continue to record pre-start
readings during this delay.
Enable the OK (Green)
indicator This determines whether or not the green light should function
while the LogTag is recording after being started.
Humidity / Temperature These tab controls will allow the humidity and temperature alert
conditions to be configured independently. These tab controls will
only appear when configuring a LogTag that has a humidity and a
temperature sensor. If the LogTag has only one sensor then the
following alert conditions will apply to that sensor.

38 LogTag Analyzer
Enable the Alert (Red)
indicator when This determines whether or not the red light should function when
an alert condition has been detected. An alert occurs when one or
more of the following conditions have been met. When an alert
condition has occurred, this indicator will flash at a regular interval.
Readings below X or
above Y You can set the upper threshold limit and lower threshold limit by
entering the appropriate information in the boxes. If the reading
does not go below X or above Y then the alert indicator will not
activate.
After X consecutive alert
readings (W minutes) This feature allows the user to specify the condition that will trigger
an alert. Note that the number of minutes shown will depend on
the number of alert readings you enter into the box AND the
recording interval already specified. For example, if X is 3 and two
readings are above the upper threshold limit but the subsequent
reading is below the upper threshold limit and still above the lower
threshold limit then the alert indicator will not activate.
After X alert readings
have occurred (W
minutes)
This feature allows the user to add an additional “or” type of
condition to trigger an alert. You may want to add up the total
number of alert readings in addition to or instead of consecutive
readings. An example of the use of this feature is included later in
this section.
Leave alert indicator
enabled even if
readings return within
alert range
If this option is enabled then the alert indicator will remain active,
even if the current reading does not meet the alert conditions
specified by the previous controls.
If this option is disabled then the alert indicator will remain active
only if the current reading meets the alert conditions specified by
the previous controls.
Clear and reset alert
when START MARK
button pressed
This feature will turn off any active alert whenever the START
MARK button is pressed on the LogTag. It will also reset the
internal alert counters such that it would be as if no alert condition
had occurred at all while the LogTag was recording.
If however, the LogTag has finished recording all the readings,
pressing the START MARK button will not clear and reset any active
alert.
If the LogTag being configured does not support this feature, this
feature will be disabled and therefore its setting cannot be
changed.
Configure requires a
password This feature allows the user to define a
password that must be
provided
to configure the LogTag next time. If this option is
enabled and the password changes, the user will be required to
verify the new password
when the wizard progresses to the
next step. Passwords are case sensitive and therefore the
passwords "Bob" and "bob", for example, are different.

Chapter 4 Preparing LogTags for use 39
When the Alert (Red) light on the LogTag flashes it means that a preset alert condition
has been exceeded. These configuration options allow you to determine how many
readings above or below selected limits are required for an alert on the LogTag to be
triggered. These can be set for consecutive readings beyond the limits and/or total
readings beyond the limit. So, if the red light is flashing, its meaning is based on how the
LogTag has been programmed.
For example, we may have configured a LogTag to flash the alarm if there were 5
continuous out-of-range readings or 7 total out-of-range readings.
This would yield the following response:
What happened Result
2 out-of-range, return to normal, 2 out-of-
range, return to normal, 2 out-of-range,
return to normal
No Flashing Red Alarm Light
4 out-of-range, return to normal, 4 out-of-
range Flashing Red Alarm Light
4 out-of-range, return to normal, 2 out-of-
range No Flashing Red Alarm Light

40 LogTag Analyzer
In the first instance, the alert criterion is NOT met because the total out-of-range events
equals 2 + 2 + 2 = 6. The alert condition is 7 total, so the alert does not go off.
In the second instance, the alert criterion is met because the total out-of-range events
equals 4 + 4 = 8. The alert condition is 7 total, so the alert DOES go off.
In the third instance, the alert criterion is NOT met because the total out-of-range events
equals 4 + 2 = 6. The alert condition is 7 total, so the alert does not go off.
Matching these to known conditions of interest in your monitoring program may require
some information about the effects of exposure to different durations of out-of-range
humidity and/or temperatures.
If the battery within the LogTag is detected to be low and therefore not recommended for
further use, the software will display a warning to you in the top right corner, like the
following example.
Verify Access Password
When configuring a LogTag for its next use, if the user enables the "
Configure requires
a password
" option and/or changes the password to restrict access to the LogTag, then
the user is required to verify the password to be defined before it will be stored in the
LogTag. The window that will appear to verify the password will be similar to the
following picture.

Chapter 4 Preparing LogTags for use 41
Once a password has been stored in the LogTag, further access to it can only be achieved
by providing the correct password. Therefore, if a password is forgotten further access to
the LogTag will not be possible. Passwords are case sensitive and therefore the
passwords "Bob" and "bob", for example, are different.
Pre-start data collection
The LogTags support a feature called "pre-start logging", which can be selected during
configuration.
When pre-start logging is enabled the LogTag will automatically start logging as soon as
configuration is completed. It will record at the same sampling interval as defined in the
configuration and will continue to record until the user starts the LogTag by pressing the
START MARK button on the LogTag. Once the LogTag has been started, it will record as
per the configuration settings. While the LogTag is recording pre-start readings the Alert
LED on the LogTag will not activate if an alert condition is detected.
Pre-start logging is useful as a fail-safe recording setting so if the LogTag is not started at
the appropriate time, the readings will still be available to view later.
When the readings are retrieved from the LogTag, any pre-start readings will be identified
as pre-start readings so the user can quickly identify the readings recorded before and
after the LogTag was started.
All LogTags have a finite amount of memory to store the readings it records. Therefore,
while the LogTag is recording pre-start readings the LogTag will operate in its 'continuous
operation' mode, which is explained further in the section "
Continuous operation
".
Once the memory within the LogTag is full the oldest pre-start reading will be overwritten
with the latest reading recorded, regardless of whether the reading recorded is a pre-start
reading or a reading to be recorded after the LogTag has been started.
Continuous operation
All LogTags have a finite amount of memory to store the readings that are recorded.
When the LogTag is recording readings continuously it will not stop once the memory
within the LogTag is full of readings. Rather it will replace the oldest reading stored within
the LogTag with the latest reading so that only the most recent readings are maintained
in the LogTag memory.

42 LogTag Analyzer
Working with batches of
LogTags
You may find that at some stage you need perform a similar task on multiple LogTags,
whether it is retrieving readings stored within the LogTags and/or preparing them for
their next use. The LogTag Analyzer software has been designed to make the effort
involved with multiple LogTags as simple as possible.
To retrieve a copy of the recorded readings stored within multiple LogTags, simply insert
each LogTag to download into the Interface cradle. The software will then automatically
retrieve the recorded data from the LogTag, save it to disk and then display the
information for you. Therefore, you will be able to retrieve the recorded readings stored
from within one or more LogTags without needing to interact with the software and/or
computer.
To prepare multiple LogTags for use you can use the "Wizard..." or the "Configure..."
wizard, available in the "LogTag" menu, depending on whether or not you want to
retrieve and save a copy of any readings recorded within the LogTags you are about to
use. Simply prepare the first LogTag(s) as per usual and at the conclusion of the last step
remove the LogTag(s) from their Interface Cradle, place the next LogTag(s) to be
prepared for their next use into an Interface Cradle and click . Therefore, you
will be able to prepare multiple LogTags for use with minimal interaction with the
software and/or computer.

Chapter 4 Preparing LogTags for use 43
Getting the best from your
LogTag
Many users of humidity and/or temperature loggers are used to attaching the logger to a
hook or tie-wrapping them to a monitored object. A wide variety of attachment methods
can be used with the hole on upper right hand corner of the LogTag, such as bolting the
LogTag in position, attaching it to a packaging strap, using a car-seal for security or other
means.
The hole is quite strong, so most means of attachment will not compromise the structural
integrity of the LogTag. We do, however, recommend that the dead weight stress on the
hole itself not exceed 5 pounds (2 Kg).
The sensor for the LogTag is also very responsive, so we recommend you position the
LogTag in a location, where it will not be susceptible to changes in temperature due to
operational activities. For example, it is not recommended you place a LogTag beside a
door way, as every time someone passes through the door, the LogTag will register the
change of environmental temperature due to the breeze that will be generated by the
person, which does not necessarily reflect the overall temperature of the environment
been monitored.

44 LogTag Analyzer
Prolonging battery life
If your LogTag is not going to be used for extended periods of time, it may be worthwhile
to set the LogTag into "Hibernation" mode. In "Hibernation" mode the LogTag will
consume minimal power, which will extend the battery life when compared with leaving
an idle LogTag in operating mode.
While a LogTag is in "Hibernation" mode it will:
1 Not be able to record and store any new readings.
2 Not activate the Alert and OK lights.
3 Not respond to the START MARK button being pressed.
To return a LogTag from "Hibernation" mode to normal operating mode so that it can
record and store new readings, go through the usual process of
preparing it for next
use
.
To set a LogTag to "Hibernation" mode, select the “Hibernate...” menu item in the
“LogTag...” menu.

Chapter 4 Preparing LogTags for use 45
The following example illustrates using the "Hibernation" feature.

46 LogTag Analyzer
In this screen you will see one of the following pictures next to each of the items in the
list:
(no picture) indicates the LogTag is still in the process of being set to "Hibernation"
mode.
The LogTag was successfully set to hibernation mode.
The software was unable to set the LogTag to hibernation mode.
Once a LogTag has been successfully set to "Hibernation" mode it should be removed
from the Interface Cradle before pressing any other button. As soon as the software
communicates with a LogTag in "Hibernation" mode, for example through automatic
download, Hibernation, etc, it will be returned to normal operating mode.
The extent to which the Hibernation mode will prolong the battery life of a LogTag may
vary between different models and versions of LogTag products.

47
CHAPTER 5
Results from LogTag
The LogTag stores the recorded readings in its internal memory. Since the LogTag
contains the recorded readings in its internal memory, you must use the LogTag Analyzer
software to extract the information from the LogTag through the Interface Cradle and into
a format that can be displayed to you in a meaningful way. It is usually very important
that the information retrieved from a LogTag is retained. The software will automatically
save the information retrieved from a LogTag to your disk drive so that you can view the
information at a later date, a useful feature if you require traceability. This chapter
explains how you can retrieve the recorded information stored within a LogTag and have
the software display it to you on the screen in a meaningful way.
In This Chapter
Getting results from LogTag....................................48
Understanding the results.......................................49
Inspecting the information at close range................50
Manual scaling of the chart.....................................55
Chart annotations...................................................57
Chart subtitle.........................................................59
Combining charts onto a single chart.......................61
Automatically calculated statistics............................62
Displaying statistics................................................66
Printing the results.................................................66
Sending a file by email direct from Analyzer.............67
Calling up previous results......................................68
Digital signatures ...................................................70
How secure is my data ...........................................72
Viewing file properties............................................73

48 LogTag Analyzer
Getting results from
LogTag
You can retrieve the recordings from LogTag(s) as many times as you require. The
process of retrieving data stored within a LogTag does not erase it from the LogTag's
memory. If the LogTag is currently recording while you retrieve the information, it will
continue to record without interruption.
There are three ways to retrieve the recorded results from a LogTag.
1 While the LogTag Analyzer software is open (does not need to be the currently active
software), simply slot the LogTag into the Interface Cradle. If the automatic download
feature is enabled, the software will automatically retrieve the recorded readings, save
the information to your disk drive and display the information to you. While the
software is automatically retrieving the readings you will see an animated picture
appear, similar to the following picture.
2 Click the "Download..." menu item located in the LogTag menu.
This is the second quickest option, as it does not include the steps involved in
preparing the LogTag(s) for their next use.
3 Click the LogTag icon ( ) or the "Wizard..." menu item located in the LogTag menu.
This option will allow you to prepare the LogTag for its next use after retrieving the
readings stored within the LogTag. If you do not need to configure the LogTag for its
next use now, the previous option described may be preferred as it will not involve the
configuration steps and therefore be a quicker and simpler method.

Chapter 5 Results from LogTag 49
The wizard will appear once you have selected the appropriate option of your choice to
guide you through the necessary steps to retrieve the recorded readings. While the wizard
is visible the "Automatic download" feature will be temporarily disabled. You will not be
able to access any of the Wizards while an "Automatic download" is in progress.
Understanding the results
The Data Screen is an all purpose data display. The window appears inside the main
LogTag Analyzer window, and has a series of tabs along the bottom. Each of these tabs
changes the Data Screen display.
The different display types are:
Chart A display of the data in a time versus humidity and/or temperature
chart.
Data A listing (spreadsheet style) of the time versus humidity and/or
temperature data.
Summary A summary of the data, including averages, ranges, alert results,
LogTag identification data, and other information.
Pre-Start Chart A chart of data stored by the LogTag prior to it being started.
Pre-Start Data A listing of the data stored by the LogTag prior it being started.
Pre-Start Summary A summary of the data stored by the LogTag prior to it being started.
All Chart A chart of the all of the data stored in the LogTag including the data
prior to it being started and after being started.
All Data A listing of the all of the data stored in the LogTag including the data
prior to it being started and after being started.
All Summary A summary of the all of the data stored in the LogTag including the
data prior to it being started and after being started.

50 LogTag Analyzer
The screens that are typically used are the first three (Chart, Data and Summary), since
they represent the normal usage of the LogTag. The other Data Screens are included to
deal with situations where the LogTag may have not been activated due to user error; the
data is still collected and available. LogTags may be handled by those who are unfamiliar
with the start feature. The “
pre-start logging
” feature protects against accidental “no
starts” to preserve data that may be valuable.
In some cases, not all the "tabs" previously described will be displayed, for example you
may only see Chart, Data and Summary. If the LogTag has been configured to not record
any pre-start data, the downloaded data will not display any; you will only see the data
that has been set up in the “configured mode” and recorded after starting the LogTag.
Pre-start recording is an option, not a default. Also if the LogTag was configured to record
continuously and the data has wrapped in memory all the pre-start data would have been
replaced with more recent data and as such there will be no pre-start data left to display.
Inspecting the information
at close range
When a file is displayed either from downloading or from calling up a stored data file, the
file typically appears as a chart. It might look something like this:

Chapter 5 Results from LogTag 51
The display does not show all of the available data points. For more detail, you can zoom
in and display just one small section of the charted data. Using the mouse, find the upper
left corner of a window of interest, hold down the left mouse button, and move the
mouse to the bottom right corner. The zone of interest will be highlighted.

52 LogTag Analyzer
The highlighted zone is immediately displayed after the left mouse button is released on
the maximum displayable resolution:

Chapter 5 Results from LogTag 53
This display now shows the maximum detail from the highlighted area.
When this mouse operation has been completed, for example, a picture of the highlighted
area can be placed on the clipboard. This picture can be then be pasted into any Microsoft
Windows® application. For example, if you are writing a letter and want to illustrate a
point based on chart data from a LogTag, you can paste the picture of the chart directly
into the letter.
When the mouse pointer is moved over the chart, a small window (tooltip) is displayed
near the mouse pointer. It displays the reading closest to the mouse pointer position. If
the readings are very close together, it is a good idea to zoom in to an area of interest to
inspect individual readings with the help of tooltips.
Whenever the data displayed on the chart has been zoomed in to show more detail and is
showing only a portion of the charted data, if you click on the corresponding Data tab you
will see that only the readings shown on the chart are currently displayed. If you also click
on the corresponding Summary tab you will see an additional section of statistics that
have been calculated based on only the portion of readings currently being shown on the
Chart screen. Following is an example of the additional section of statistics that will
appear within the Summary Screen when a section of the readings within the Chart
screen have been zoomed in.

54 LogTag Analyzer
The Zoom Out ( ) command in the
Edit menu
or on the
toolbar
can be used to revert
the display back to showing the range of data points that were showing prior to the new
zoom section being selected.
Inspection marks are recorded each time the START MARK button is pressed on the
LogTag. Each inspection mark is numbered and can be identified by counting the number
of marks on the Chart display. If you click on the corresponding Summary tab and scroll
down in the data record you will see a summary of all the points that were recorded
between each subsequent inspection mark. Following is a picture of a portion of a
Summary Screen showing the relevant information for the sequence of data points
between the inspection mark #2 and inspection mark #3.

Chapter 5 Results from LogTag 55
Manual scaling of the
chart
By default, each chart is initially displayed zoomed to the range of readings. This setting
can be changed in the Options dialog (see chapter “
Charts
”).
To change the temperature and humidity scale, or select a range of readings by time and
date, select “Manual Scaling” from the chart popup context menu.
The following dialog will be displayed:

56 LogTag Analyzer
Range of sensor The chart is zoomed to the minimum and maximum values for
each sensor.
Range of readings The chart is zoomed to the minimum and maximum reading
values.
Manual Scaling This option lets you specify the date/time range, temperature and
humidity ranges (if applicable) for the chart display. The dialog
shows the current zoom settings.
Click to apply your selected settings.
To return to the previous zoom level, use the Zoom Out ( ) command in the
Edit menu
or on the
toolbar
.

Chapter 5 Results from LogTag 57
Chart annotations
To include more information in your chart you can add chart annotations. These will be
displayed and printed with your chart.
Click the right mouse button at the location where you want to add the annotation. Select
“Add Annotation” from the popup context menu. Enter the annotation text and click
. The annotation will be displayed in the chart. When you zoom the chart
display, the annotation will be zoomed with the chart readings.

58 LogTag Analyzer
To edit an annotation, move the mouse pointer into the area of an existing annotation.
Click the right mouse button and select “Edit Annotation” from the popup context menu.
Edit the text and click to display the edited annotation.
To delete an annotation, move the mouse pointer into the area of an existing annotation.
Click the right mouse button and select “Delete Annotation” from the popup context
menu. The annotation will be deleted.
To delete all annotations, select “Delete All Annotations” from the popup context menu.

Chapter 5 Results from LogTag 59
Chart subtitle
The chart subtitle is displayed and printed underneath the chart title.
To edit the subtitle, right-click on the area above the chart and select “Edit Chart Subtitle”
from the popup context menu.

60 LogTag Analyzer
Enter or modify the text, then click to display the edited subtitle. To remove
the subtitle, delete the text in the Edit Chart Subtitle dialog and click .

Chapter 5 Results from LogTag 61
Combining charts onto a
single chart
To overlay multiple charts in one view, select the Multi Chart ( ) command. All charts
that are currently open will be displayed together. Additional files opened while in Multi
Chart mode (including data downloaded from LogTags) will be added to the display.
Each of the individual charts will be displayed with a letter symbol to allow you to tell
them apart. The legend contains an entry for each chart showing the chart name and the
corresponding letter.
You can change the background colour for the Multi Chart display in the Options -
Charts
dialog.
To remove charts from the Multi Chart display, use the Single Chart ( ) command to
switch to Single Chart mode, then close the files you don't want to display. Select the
Multi Chart ( ) command to switch back to Multi Chart mode.
You will notice that the Data and Summary tabs are not available in the Multi Chart
display. If you require additional information about the chart data, select
Chart
Statistics
, which will be displayed separately for each chart.

62 LogTag Analyzer
Automatically calculated
statistics
When a file is displayed either from downloading or from calling up a stored data file, the
software will automatically calculate and display some statistics about the recorded data.
The statistics that are calculated are shown on the corresponding Summary tab and are
also calculated for each sequence of data points between the inspection marks.
In This Section
Average Reading....................................................62
Standard Deviation.................................................63
Mean Kinetic Temperature......................................64
Degree Minutes......................................................65
Average Reading
The Average Reading is the arithmetic mean of the sequence of data points. It is
calculated by adding all the data point values together and then dividing the total by the
number of data points. Mathematically this formula can expressed as illustrated in the
following picture:
Where:
av the calculated arithmetic mean
n the number of data points to include in the calculation
tia data point to include in the calculation
For example, if there were 5 data points to calculate the arithmetic mean of and they
were, 12.3, 15.9, 16.2, 14.7, 14.9, then the arithmetic mean would be 14.8.

Chapter 5 Results from LogTag 63
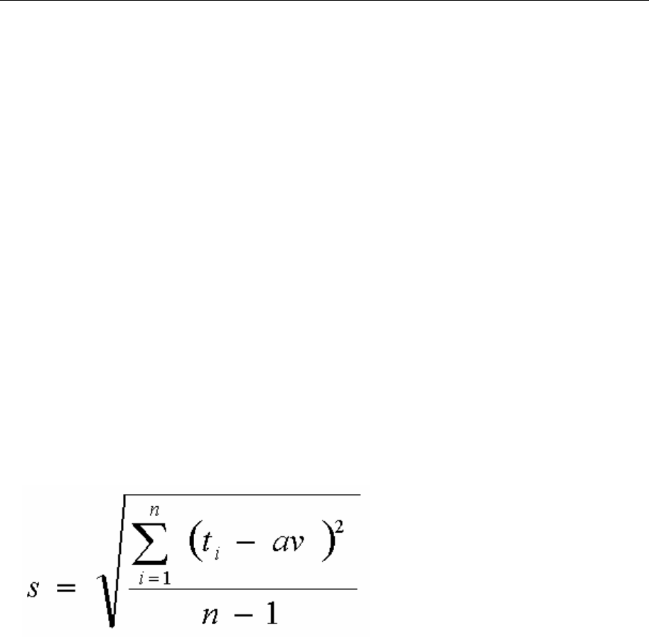
Standard Deviation
The standard deviation is a useful for determining how spread out the readings are from
the arithmetic mean (Average Reading). Most controlled environments typically try to
keep the environmental conditions at a stable and consistent humidity and/or
temperature. The standard deviation can be used to help indicate how stable the
environmental conditions were maintained. One standard deviation (sometimes expressed
as "one sigma") away from the mean, positive or negative represents approximately 68
percent of all the readings. Two standard deviations, or two sigmas, away from the mean
represents approximately 95 percent of the readings. Three standard deviations represent
about 99 percent of the readings.
For example, if the arithmetic mean of the readings was 50.6°C and the standard
deviation was 2.3°C, then approximately 68% of the readings were between 48.3°C and
52.9°C, 95% of all the readings were between 46.0°C and 55.2°C and 99% of the
readings were between 43.7°C and 57.5°C. Further more, if all the readings were
recorded over a span of 1 day (24 hours) then the temperature was between 48.3°C and
52.9°C for approximately 16 hours and 19 minutes during the recorded period of time.
Mathematically the formula for calculating the standard deviation can expressed as
illustrated in the following picture:
Where:
s the calculated standard deviation
n the number of readings to include in the calculation
av the calculated arithmetic mean
tia reading to include in the calculation
For example, if there were 5 readings to calculate the standard deviation of and they
were, 12.3, 15.9, 16.2, 14.7, 14.9, then the standard deviation would be 1.54

64 LogTag Analyzer
Mean Kinetic Temperature
There are some products and materials that exist which have accelerated rates of
degradation at higher temperatures. For example, perishable food items, pharmaceutical
products and many forms of bacteria can grow/degrade exponentially as the
environmental temperature increases. Mean kinetic temperature is a calculation that
accommodates the non-linear thermal effect temperature can have on products. Mean
kinetic temperature is represented as the equivalent temperature the product was
thermally subjected to during the period of time the various temperature reading were
recorded.
Mathematically the formula for calculating the mean kinetic temperature can expressed as
illustrated in the following picture:
Where:
mkt Mean kinetic temperature, in degrees Celsius
the activation energy. LogTag Analyzer uses an
activation energy value of 83.144 KJ/mol for the
calculation.
R the universal gas constant, which is 0.0083144 KJ/mol K
n the number of data points to include in the calculation
tia data point to include in the calculation, in degrees
Celsius
For example, if there were 5 data points to calculate the mean kinetic temperature of and
they were, 12.3, 15.9, 16.2, 14.7 and 14.9 degrees Celsius, then the mean kinetic
temperature would be 14.9 degrees Celsius.

Chapter 5 Results from LogTag 65
Degree Minutes
There are some products and materials that exist which can change their characteristics
and/or degrade if they experience temperatures which are not within ideal conditions for
long enough. For example, some products may experience freezer burn if they experience
an extremely cold condition or experience a colder than ideal temperature for long
enough period of time. Other products for example, ice cream, change their
characteristics if they experience temperatures which allow it to melt. The LogTag
Analyzer will automatically display the results of two separate Degree Minutes
calculations. The result of the first Degree Minutes calculation displayed will be based on
the readings that were recorded below the ideal conditions and the result of the second
Degree Minutes calculation displayed will be based on the readings that were recorded
above the ideal conditions. The ideal conditions used in the calculation of the Degree
Minutes formula are based on the upper and lower alert values that where configured
when the LogTag was originally prepared for use.
Mathematically the formula for calculating the degree minutes above alert can be
expressed as illustrated in the following picture:
Where:
degmin Total Degree Minutes spent above/below the alert
threshold.
tiThe temperature that was above/below the alert threshold.
a The alert temperature threshold.
s The duration of time, in minutes, the temperature was
sustained.
For example, if there were 5 data points to calculate the degree minutes of and they
were, 12.3, 15.9, 16.2, 14.7 and 14.9 degrees, each of these temperatures were recorded
at 2 minute intervals and the high alert temperature threshold was 12.6 degrees, then the
degree minutes temperature above the upper alert threshold would be 22.6 degree-
minutes.

66 LogTag Analyzer
Displaying statistics
The statistics displayed on the Summary tab can be configured in the Options dialog.
Refer to the (see chapter “
Summary Statistics
”). By default, all statistics are displayed
on the Summary tab.
Statistics can also be displayed on the chart, underneath the legend. See chapter
“Chart
Statistic
s” for more information about configuring the chart statistics
Printing the results
Printing from LogTag Analyzer is slightly different to printing from other common
Windows software, as the printer functions in terms of range of information to print rather
than range of pages. This technique allows you to focus on what you want printed rather
than the pages showing the information.
You can choose to print all of the information, select a range of dates and times to print
from or select a range of "inspection" marks. This could be a very important for transit
monitoring since post trip and pre-event data are not significant to a discussion or dispute
centering on a humidity and/or temperature maintenance issue.

Chapter 5 Results from LogTag 67
The print window can be brought up by simply clicking once on the "Print" icon ( )
located on the
toolbar
or by clicking the "Print..." menu item from within the File menu.
Sending a file by email
direct from Analyzer
You can send files of interest to another person, by email, directly from the software
without the need to exit to your email software or to deal with file attachments.
While you have the file of interest open and being displayed on the screen, just click once
on the "Send Mail" icon ( ) located on the
toolbar
and your email software will pop up
with the file already inserted as an attachment. Type the desired email address to send
the file of interest to, add any message that you wish to include, and then click "Send".
That is all.
Clicking the "Send..." menu item within the File menu will achieve the same results as
clicking the "Send Mail" icon as previously described.
Note, the recipient of the file will also need to have a copy of the LogTag Analyzer
software to open and view the file that you sent. LogTag Analyzer software is free and
can be downloaded from the LogTag Recorders Internet site, www.logtagrecorders.com.

68 LogTag Analyzer
Calling up previous results
The files that have most recently opened and displayed are listed towards the bottom of
the "
File
" menu. To open other files, click the "Open" icon ( ) located on the
toolbar
,
which will display the "Open" file dialog similar to the following picture and allows the
user to locate and open one or more files of interest.

Chapter 5 Results from LogTag 69
Clicking the "Open..." menu item within the File menu will achieve the same results as
clicking the "Open" icon as previously described.
After the software has been installed for the first time, there are two recently opened files
listed in the "File" menu, even though no files have been opened yet. These are sample
files, which were installed along with the software so that users can see an example of
information that can be retrieved from LogTags. These files are not required for the
correct operation of the software and therefore may be deleted at any time.
If the software is unable to open the file, it will display an error similar to the following
picture. Clicking on will being the process of checking the Internet for an
updated copy of the software
.

70 LogTag Analyzer
Digital signatures
Support for digital signatures is primarily provided for compliance with the US FDA 21 CFR
Part 11 regulation - Electronic records and electronic signatures. Various industries
however, may find inclusion of digital signatures beneficial towards their quality control
and assurance systems.
Digital signatures allow users to include their digital signature within a LogTag Analyzer
file along with a meaning/reason for the inclusion of the digital signature. To add digital
signatures to LogTag Analyzer files, the copy of the LogTag Analyzer software being used
must be connected to the LogTag User Server software. For more information about how
to get the software to connect to the LogTag User Server software see the "
User Server
"
set of options settings and/or contact your local network administrator.
While the file that the digital signature is to be added to is open and currently selected,
add a digital signature by clicking on the "Digital Signatures" icon ( ) located on the
toolbar
, which will display the "File Properties" dialog with the "Digital Signatures" tab
already activated, similar to the following picture.

Chapter 5 Results from LogTag 71
Then click to begin the process of adding a digital signature to the file. If
is disabled, moving the mouse pointer over and leaving it still for
a short time will revel the reason why the button is disabled.
Once the "Add Digital Signature" dialog is visible, enter your LogTag Analyzer user
password and the select the meaning for the digital signature that is being added.
Click to permanently add the digital signature to the file or to not
add the digital signature. Multiple digital signatures from the same and/or different users
to LogTag Analyzer files may be added to a single file.

72 LogTag Analyzer
How secure is my data
All LogTag files are encrypted and contain checks to detect if the file has been tampered
with since it was originally created. If the software detects that a file has been tampered
with, even by only one character or has become corrupted and therefore the data within
does not represent the data originally retrieved from the LogTag, the software will not
open the file and display the information within.
An additional validation and security feature of the LogTag is that it will automatically
insert error detection codes periodically during recordings, which are used to detect
corruption or manipulation of data. Whenever these detection codes for a block of
recordings fails its integrity validation test, the relevant readings become marked as non
validated readings. Non validated readings are displayed differently to validated readings
to indicate that they have failed their integrity test.
Non validated recordings typically occur in the scenarios following scenarios:
1 One or more readings within the non validated block of readings is not the genuine
recorded value.
2 The LogTag has been configured to perform continuous recordings and once the
memory within the LogTag has been fully used, will cause older recordings to be
overwritten, which will thereby invalidate the error detection code and integrity check
for the block of readings the older recordings been overwritten exist within. In this
scenario, it is not a problem that these recordings are non validated, rather it means
that the particular block of recordings has only the validation and integrity protection
offered by the communications between the LogTag and the computer system, which
is typically the same, if not better than the level of protection offered by every other
brand of logger available in the global market, that LogTag Recorders know of.
3 A communications or hardware failure has occurred during the transfer of the data
from the LogTag to the computer. In this scenario the problem is typically resolved by
trying to retrieve the recordings from the LogTag again, while ensuring the contacts
on the back of the LogTag are clean, that the contacts within the Interface Cradle are
clean and that the contacts within the Interface Cradle are returning evenly to their
normal position when the LogTag is removed.

Chapter 5 Results from LogTag 73
Since the software does not modify any of the recorded data within a LogTag file at any
time, if the software can open the file, regardless of how long ago it was created, the
contents of the file will still represent the original recorded information retrieved from the
LogTag.
Therefore, the files created by the LogTag Analyzer software meet all criteria for data
integrity and data security as set forth in the US FDA 21 CFR Part 11 regulations. The
firmware code that is embedded in the processor chip of each LogTag cannot be
extracted or reverse-assembled. Accordingly, data sets that are recorded on the memory
within the LogTag cannot be downloaded or modified except by being transferred to a
LogTag file. There is no way to interfere with the process of the transfer of information
between the LogTag and the software in such a way that data integrity would be
compromised.
Viewing file properties
The file properties, which is accessed through the
File Menu
and/or through the
toolbar command, provides users with a brief summary about the data included within the
file, as indicated in the following picture.

74 LogTag Analyzer
This file properties information is also available for viewing directly through the Windows
Explorer software that was included with the Windows operating system, without the
need to have the LogTag Analyzer software open. To view the information, simply locate
the file of interest with Windows Explorer and, using the mouse, click the right button
over the file and select the "Properties" menu item, with the left mouse button, from the
menu that will be displayed, similar to the following picture.
Select the "Summary" tab and you will see the summary of the data contained in the file.
If the contents of the file require a newer version of software to open and view, have
become corrupted or have been modified then the "Summary" tab will not be visible.

75
CHAPTER 6
Customizing the software
In the "Edit" menu is a command called "Options...".

76 LogTag Analyzer
This menu command opens a Window, which will allow the many of the features that the
software offers to be customized. The following sections will provide an explanation of
each of these options so that users will be able to make the best use of the software. The
options that are available for customization are grouped together into the following
sections:
General Settings
Charts
Automation
File and Folder Settings
Exports and Reports
Date and Time
Communication Ports
User Server
All of the options available will change the software in real time. For example, if the
language selection and/or the date format are changed, all windows that are open will be
updated without the need to restart the software.
All these options, excluding the User Server settings, are stored on a per user basis.
Therefore, if more than one user operates on a single workstation the software will allow
different customization settings for each.
In This Chapter
General Settings.....................................................77
Summary Statistics.................................................78
Chart Statistics.......................................................78
Charts ...................................................................79
Automation............................................................80
File and Folder Settings ..........................................81
Exports and Reports...............................................85
Dates and Times....................................................87
Communication Ports..............................................89
User Server............................................................90

Chapter 6 Customizing the software 77
General Settings
The General Settings options allow you to change various preferences that will effect the
overall appearance of the information shown by the software.
Show temperatures in
This will determine what units of measurement temperatures will be displayed in. The
options include:
Fahrenheit (°F)
Celsius (°C)
Kelvin (K)
Use Font
Determines what font to use to display and print information about LogTag recordings
and is changed through the button. A sample of the font selected will be shown
to you on the screen.

78 LogTag Analyzer
Language
This instructs the software which language for the software to use for all the information
it displays and prints.
Summary Statistics
This option allows you to specify which statistics are displayed in the Summary tab. The
statistics can be enabled or disabled by clicking the tick box for the relevant item in the
list.
Chart Statistics
This option allows you to specify which statistics are displayed on the charts. The
statistics can be enabled or disabled by clicking the tick box for the relevant item in the
list.

Chapter 6 Customizing the software 79
Charts
The Charts options allow the various aspects of the charts that display the readings
recorded by LogTags to be customized. At the base of the Window is a color selector and
other relevant controls, which apply to the highlighted item on the list in the window.
Some experimentation with these settings will show very quickly how they work. Select a
color in the color panel, click , and then go to the Data screen to see the
results of the change.
Note that the three regions on the chart display can be controlled. LogTags can be
configured to detect over and under conditions based on a series of temperature and/or
humidity measurements. When the data is displayed graphically on the chart, these
become color background regions. These are different colors for "above high alert limit",
"between high alert limit and low alert limit" and "below low alert limit". This allows out-
of-range and in-range data to be spotted easily on the listed or charted data.
By selecting a line style for the "above high alert limit" and "below low alert limit" regions
you can improve the readability of the charts on black and white printouts.
Most of these settings can also be enabled or disabled by clicking the tick box for the
relevant item in the list.

80 LogTag Analyzer
Automation
The Automation options determine what the software does automatically when it detects
a LogTag in the Interface Cradle.
Enable automatic download of readings from LogTags
Instructs the software to automatically retrieve recordings from a LogTag when it is
placed in an Interface Cradle that is connected to the computer. While the software is
automatically retrieving recordings from a LogTag an animated picture will appear on the
screen to let the user know this action is being performed. With this function enabled, it is
not necessary to go through the download wizard procedure. This function is very useful
when working with multiple LogTags.
This function can be temporarily disabled by holding down the "Ctrl" key on the keyboard
while a LogTag is placed in the Interface Cradle.
Display readings after successful download
Instructs the software to display the recordings after downloading them from the LogTag.
The default display format is determined by the "Display" setting in the "
File Settings
"
option. This option will affect readings downloaded through the automatic download
feature and when downloading through the Wizard approach.

Chapter 6 Customizing the software 81
Only show the latest set of readings after download
Instructs the software to only display the most recently retrieved set of readings on the
screen. If there are multiple windows of readings open and being displayed, all of these
windows will therefore be automatically closed and only the most recently retrieved set of
readings will be displayed.
File and Folder Settings
The File and Folder Settings options help you manage the LogTag data files.
Display X items in my most recently used list
This determines how many of the most recently accessed files are listed in the "
File
"
menu for quick access to be opened and viewed again. Once this number of files has
been reached, the reference to the oldest file opened will be removed and the most
recently opened file will be added to position 1. Only the file reference is removed from
this list, the actual file is not deleted.
Display
This determines how the information retrieved from a file and/or LogTag will be first
displayed. All other ways of displaying information will still be available regardless of
which is selected here. The options include:
1 Chart, which will display the data in a time versus humidity and/or temperature chart.

82 LogTag Analyzer
2 Data, which will display a listing (spreadsheet style) of the time versus humidity
and/or temperature data.
3 Summary, which will display a summary of the data, including averages, ranges, alert
results, LogTag identification data, and other information.
File Name
Whenever information is retrieved from a LogTag it is always automatically saved to disk.
This entry determines the method to be used to create a meaningful name of the file that
will contain the data downloaded from the LogTag.
The button at the end of the edit control ( ) can be used to assist you with defining
how file names are to be created by inserting the appropriate predefined element that
matches the information you want to use. Clicking on this button will display a popup list,
similar to the following picture to allow you select from the available elements.

Chapter 6 Customizing the software 83
To customize how the file name is created, you may use one or more of the available
elements in any order. If you use spaces to separate the elements, these spaces will
appear in the same location in the name of the file created. The letters must be in
uppercase or lowercase as shown in the following table (for example, "%ID" not "%id")
and all elements must be preceded by % if specified. Other characters that are included
will appear in the same location and unchanged in the file name creation.
Element Meaning
%DATE The date when the LogTag information was originally retrieved.
%DATE-TIME The date and time when the LogTag information was originally
retrieved.
%FINISH The date and time of the last reading recorded after being started. If
the LogTag was not started then this information will be blank.
%FINISH-DATE The date of the last reading recorded after being started. If the LogTag
was not started then this information will be blank.
%FINISH-TIME The time of the last reading recorded after being started. If the LogTag
was not started then this information will be blank.
%FIRST The date and time of when the LogTag began recording information,
even if it was under pre-start conditions.
%FIRST-DATE The date of when the LogTag began recording information, even if it
was under pre-start conditions.
%FIRST-TIME The time of when the LogTag began recording information, even if it
was under pre-start conditions.
%ID The unique LogTag identification value.
%LAST The date and time of the last reading recorded, even if there are only
pre-start recordings.
%LAST-DATE The date of the last reading recorded, even if there are only pre-start
recordings.
%LAST-TIME The time of the last reading recorded, even if there are only pre-start
recordings.
%PRODUCTID The product identifier (part number) for the LogTag used to record the
data.
%SERIALNUM The unique serial number of the LogTag.
%START The date and time the LogTag was started to record information. If the
LogTag was not actually started and only pre-start information was
recorded then this information will be blank.
%START-COUNT The number of times the LogTag has been started since manufacture.
%START-DATE The date the LogTag was started to record information. If the LogTag
was not actually started and only pre-start information was recorded
then this information will be blank.
%START-TIME The time the LogTag was started to record information. If the LogTag
was not actually started and only pre-start information was recorded
then this information will be blank.

84 LogTag Analyzer
%TIME The time when the LogTag information was originally retrieved.
%USERID The user defined identifier for the set of information recorded by the
LogTag.
You may use the \ character to specify that a file name definition includes a sub folder
name as well as the actual file name, which is useful if you want to group/sort files
automatically together, for example, by date or by User Id.
Each of the following elements within the quotes (") are not permitted, as they are not
supported the operating system ": * ? < > |". If you do include one of these elements in
the definition of how the file names are to be created they will be replaced with the
_
character.
If you use a date and/or a time element, the format of that element will be determined by
the settings defined in the "
Date and Time
" set of options.
Folder
This determines the location where the files are automatically stored. The location defined
here can specify a local drive path or a network drive path. UNC folder names are
supported. The ( ) button at the end of the edit control will assist you to locate the
default store folder by browsing the folder structure available to you, if you choose to use
it.
Since this is the default location where files are stored, this also represents the default
folder that will be used when searching for files to open (through the Open command in
the File menu).
Uniqueness
This determines how the software will manage information retrieved from a LogTag when
a file of the same name already exists. For example, when you retrieve the information
from the same LogTag once every day, while the LogTag is still recording and the LogTag
has not been prepared for its next use and started again. The options available include:
1 Always create a unique copy of files (recommended)
If a file of the same name already exists, then the software will automatically append "
Copy
n
" to the end of the file name, where "
n
" will be a unique number.
2 Overwrite file if the file already exists
If a file of the same name already exists, the existing file is overwritten (deleted and
replaced) with a file that contains the information just retrieved from a LogTag.
3 Prompt if an existing file already exists.
If a file of the same name already exists, then you will see a message appear asking
you whether or not you want to overwrite and replace the existing file with the
information just retrieved from the LogTag.
If you answer "Yes" then the action described in the option "Overwrite file if the file
already exists", previously explained, will be performed.

Chapter 6 Customizing the software 85
If you answer "No" then the action described in the option "Always create a unique
copy of files (recommended)", previously explained, will be performed.
Exports and Reports
Every time recorded data is retrieved from a LogTag it is automatically saved to disk in
the software's native format so that it can be opened and viewed at a later date.
However, it may be that the recorded data is to be regularly integrated with other data
and/or view the recorded data using software other than LogTag Analyzer. Exports and
Reports will instruct the software to automatically create one or more files in a format
that is compatible with the other software being used, whenever recorded data is
retrieved from a LogTag.

86 LogTag Analyzer
To instruct the software to create a copy of the file in a format other than the native
format used by LogTag Analyzer, simply tick the file format from the list available. To
override and customize the contents of the particular file format, simply ensure the file
format is highlighted and click . Once has been clicked, a window
will be displayed that will show the available options that can be overridden.
All the additional files created will be automatically saved at the appropriate time using
the filename and folder location defined in the "
File and folder settings
" options. Since
these file formats are not the native LogTag Analyzer file format, the LogTag Analyzer
software will no longer be able to detect whether or not the data within it is genuine and
original and will not be able to display the information within the file.

Chapter 6 Customizing the software 87
Dates and Times
The Date and Time options allow how the date and time information is displayed by the
software to be overridden. It does not affect how the date and time information is stored
and therefore, how the date and/or time information is shown can be changed at any
time. At the bottom of this option window, a sample of the date and time using the
formats selected will be displayed.
To customize how the date information is displayed, the following elements may be used.
If spaces are used to separate the elements, these spaces will appear in the same
location in the date displayed. The letters must be in uppercase or lowercase as shown in
the following table (for example, "MM" not "mm"). Characters that are enclosed in single
quotation marks will appear in the same location and unchanged in the date displayed.
Element Meaning
d Day of month as digits with no leading zero for single-digit days.
dd Day of month as digits with leading zero for single-digit days.
ddd Day of week as a three-letter abbreviation.
dddd Day of week as its full name.
M Month as digits with no leading zero for single-digit months.
MM Month as digits with leading zero for single-digit months.
MMM Month as a three-letter abbreviation.
MMMM Month as its full name.

88 LogTag Analyzer
y Year as last two digits, but with no leading zero for years less than 10.
yy Year as last two digits, but with leading zero for years less than 10.
yyyy Year represented by full four digits.
To customize how the time information is displayed, the following elements may be used.
If spaces are used to separate the elements, these spaces will appear in the same
location in the time displayed. The letters must be in uppercase or lowercase as shown in
the following table (for example, "ss", not "SS"). Characters that are enclosed in single
quotation marks will appear in the same location and unchanged in the time displayed.
Element Meaning
h Hours with no leading zero for single-digit hours; 12-hour clock.
hh Hours with leading zero for single-digit hours; 12-hour clock.
H Hours with no leading zero for single-digit hours; 24-hour clock.
HH Hours with leading zero for single-digit hours; 24-hour clock.
m Minutes with no leading zero for single-digit minutes.
mm Minutes with leading zero for single-digit minutes.
s Seconds with no leading zero for single-digit seconds.
ss Seconds with leading zero for single-digit seconds.
t One character time-marker string, such as A or P.
tt Multi character time-marker string, such as AM or PM.
For example, if the date was 2 January 2004 and the date format was defined as "yy-M','
dd" (excluding the double quotes) the date would be displayed as "04-1, 02".

Chapter 6 Customizing the software 89
Communication Ports
The Communication Ports options control which communication ports are checked for
connected Interface Cradles. This allows certain communication ports to be excluded,
which are not used to connect Interface Cradles to and/or are regularly used for other
applications, thereby reducing the possibility that this software will interfere with the
operation of other applications running on the current system.
The software checks each communication port at the same time, rather than one after the
other, therefore having the software check multiple communication ports will not
adversely affect the performance of the software significantly. As the software supports
multiple communication ports, it is possible to connect and use to more than one
Interface Cradle at the same time.

90 LogTag Analyzer
User Server
The User Server options define if and where the software should connect to the LogTag
User Server software. If you do not have LogTag User Server software installed on your
computer and/or available on your local area network, you will not need to make any
changes to this set of options. Connection to the LogTag User Server software is typically
only used within a multiple computer user environment and/or if your organization
requires compliance with the US FDA 21 CFR Part 11 regulations, for use of digital
signatures that are controlled by a central administrator.
You will need to consult your network administrator and/or documentation pertaining to
the LogTag User Server software to determine what settings should be used in this set of
options. You will not be able to change these settings if the software is unable to establish
a valid connection with the LogTag User Server software.
Once a valid connection to the LogTag User Server software has been established, you
will be required to "
log on
" to the software to continue using it.

91
CHAPTER 7
Menus and Toolbars
At the top of the screen for the LogTag Analyzer, just below the title bar, which contains
the name of the software, is the menu system and toolbar for the software. The toolbar
provides quick access to some of the more commonly used functions within the menu
system. The menu system contains lists of all the operations and commands that are
available to you while using the software.
In This Chapter
Menu commands....................................................92
Toolbar commands.................................................100
Print preview toolbar..............................................101

92 LogTag Analyzer
Menu commands
The menu system has been separated into groups of related commands. Each of these
menu groups is explained in more depth in the subsequent sections. The software will
only display the menu groups and commands within each menu group that are
appropriate depending on what you are currently doing with the software.
You may also see that some of the menu commands have a reference after the command
name, for example F2 or Ctrl+O. These represent key strokes on the keyboard that
instruct the software to perform the appropriate command, without out the need to select
the menu or toolbar command. When only one key reference is mentioned, for example
"F2", then pressing that single key on the keyboard will cause the appropriate command
to be performed. If there is more than one key reference mentioned, for example Ctrl+O,
then to cause the command to be performed you must press and hold down the first key
mentioned while pressing the other key once. When letters are used in the key reference,
for example Ctrl+O, it does not matter whether or not the caps lock is on or off.
In This Section
File Menu...............................................................93
Edit Menu..............................................................95
LogTag Menu.........................................................97
Window Menu........................................................98
Help Menu.............................................................99

Chapter 7 Menus and Toolbars 93
File Menu
The "File" menu contains commands that generally relate to a LogTag file as a whole. A
LogTag file contains a variety of information that relates to a data set representing
readings that were recorded over a discrete period of time by a single LogTag. The File
menu will appear similar to the following picture.
The following table outlines the commands and the explanation of each command that
may appear in the "File" menu when using the LogTag Analyzer software:
Command Explanation
Open
... ( ) This will display the Open file dialog, which will allow you to
open a LogTag file that contains readings previously retrieved.
It will start at the folder defined in the
File and Folder
Settings
section in the
Options
.
Close This command will close all windows that are displaying
information about the open file that is currently selected. If no
files are currently open this command will not be visible.

94 LogTag Analyzer
Multi Chart ( ) This will change the way recordings are displayed such that
they are all combined on a single chart window.
Single Chart ( ) This will change the way recordings are displayed such that
each which will contain all the information retrieved from a
single LogTag.
Save ( ) This will save any changes you have made to the LogTag file
to your disk drive.
Save As... This will display the Save As file dialog, which will allow you to
save a copy of the file currently being displayed in the same or
different folder with the same or different file name.
Print
... ( ) This will open a window allowing you to print a copy of the
LogTag file to an output device, which will typically be a
printer. This command is further explained in the section
"
Printing the results
".
Print Preview
This will change the display mode of the software to show you
a copy of how a printout of the currently selected file and
window would look like. In "Print Preview" mode you will not
be able to zoom in or out of a chart. Click to exit
the "Print Preview" mode and return to normal display mode.
Print Setup... This will open a window allowing you to view and/or adjust
one or more of your printer's settings.
Send
... ( ) This will help you send, by email, the currently open and
selected LogTag file to another user without the need to exit
to your email software or to deal with file attachments. This
command is explained in further detail in the section
"
Sending a file by email direct from Analyzer
".
Properties
... ( ) This will open a window that will display the information about
the file that is being displayed and currently selected. This
same window and information will be displayed if you view the
properties of the file from Microsoft Windows Explorer.
Digital Signature
... ( ) This will open a window to display a list of digital signatures
that have been included with the file. It also allows you to add
and print this list of digital signatures. This command is
explained in further detail in the section "
Digital signatures
".
User logon
... ( ) This allows a user to logon to and use the Analyzer software.
When the software is connected to the User Server software,
users must logon to the software prior to being permitted to
use the software. Therefore, this command will only be
available if the Analyzer software is connected to the User
Server software. If a user is already logged on to the software,
then this command is not visible. The section "
User Server
"
explains in more detail how to get the Analyzer software to
connect to the User Server software.
Logoff user (username)
(
) This allows the currently logged on user to logoff the Analyzer
software. The
username
portion of this command will
represent the name of the user currently logged on. If there is
no currently logged on user, this command is not visible.

Chapter 7 Menus and Toolbars 95
Change Password
... This allows the currently logged on user to modify their
password that they use to logon to the Analyzer software. This
command will only be available if the Analyzer software is
connected to the User Server software and the User Server
administrator has granted the appropriate user permissions.
1, 2, 3, etc This portion of the menu represents a list of the most recently
files you have viewed. To reopen one of these files, simply
click on the entry (name of the file) to open. If a file that you
want to view is not included in this list, you may use the
"Open..." command included in this menu. The number of files
included in this list can be adjusted through the "
General
Settings
" section of the
Options
.
Exit This command will exit and close down the LogTag Analyzer
software. Any files that you currently have open will also be
closed automatically for you. If a user is currently logged on to
the Analyzer software when the Analyzer closes, the user will
be automatically logged off.
Edit Menu
The "Edit" menu contains commands that generally relate to the contents of a LogTag file
and will appear similar to the following picture.

96 LogTag Analyzer
The following table outlines the commands and the explanation of each command that
may appear in the "Edit" menu when using the LogTag Analyzer software:
Command Explanation
Copy ( ) Places a copy of the contents of the currently displayed
window onto the clipboard, which can then be pasted into
any Windows® application. If you are copying a chart, the
chart at its current zoom range is copied to the clipboard. If
you are copying from one of the tabular style windows (Data
or Summary), then the entire contents of the window is
copied to the clipboard, regardless of what part of the data
you have scrolled to view.
Zoom Out ( ) This will undo the last zoom operation performed allowing
you to see more of the data on the chart. If the chart is
displaying all the readings recorded by the LogTag, this
command will not be available.
Zoom to Marks ( ) When this command is enabled, the chart is automatically
zoomed to show readings recorded between inspection
marks. The section "
Starting and using the LogTag
"
explains in further detail how inspection marks are recorded.
Previous group of Marks ( ) This command will show the readings recorded between the
first inspection mark shown and the previous inspection mark
recorded. This command will only be available if the "Zoom
to Marks" command is enabled and the first reading recorded
is not currently visible.
Next group of Marks ( ) This command will show the readings recorded between the
last inspection mark shown and the next inspection mark
recorded. This command will only be available if the "Zoom
to Marks" command is enabled and the last reading recorded
is not currently visible.
Options
... ( ) This will open a window allowing you to customize the
software. This command is further explained in the chapter
"
Customizing the software
".

Chapter 7 Menus and Toolbars 97
LogTag Menu
The "LogTag" menu contains commands that generally relate to the usage and interaction
with LogTags.
The following table outlines the commands and the explanation of each command that
may appear in the "LogTag" menu when using the LogTag Analyzer software:
Command Explanation
Configure
... This will display a wizard to help you through the necessary
steps to prepare LogTags for their next use. This command is
explained in further detail in the chapter "
Preparing LogTags
for use
".
Download
... This will display a wizard to help you through the necessary
steps to retrieve a copy of the recorded readings stored within
the LogTag(s). This command is explained in further detail in
the chapter "
Results from LogTag
".
Hibernate...
This will display a wizard to help you through the necessary
steps to set LogTags to "Hibernation" mode. This command is
explained further in the chapter "
Prolonging battery life
"
Wizard
... ( ) This will display a wizard to help you through the necessary
steps to retrieve a copy of the recorded readings stored within
the LogTag(s) and then prepare the LogTags for their next use.
This command is explained in further detail in the chapter
"
Quick Start Guide
".

98 LogTag Analyzer
Window Menu
The "Window" menu contains commands that relate to the management of each Window
open within the LogTag Analyzer software that displays the contents of a LogTag file.
The following table outlines the commands and the explanation of each command that
may appear in the "Window" menu when using the LogTag Analyzer software:
Command Explanation
New Window Opens a new window that contains a copy of the information of
the currently selected window. This command is useful when
you need to closely inspect and analyze different sections of the
same data set.
Close Closes the currently selected window within the LogTag
Analyzer software.
Close All Closes all the windows within the LogTag Analyzer software.
Cascade Arrange all the windows within the LogTag Analyzer software in
an overlapping style.
Title Horizontally Arrange all the windows within the LogTag Analyzer software as
horizontal non-overlapping tiles.
Title Vertically Arrange all the windows within the LogTag Analyzer software as
vertical non-overlapping tiles.
Arrange Icons Arrange all the minimized windows within the LogTag Analyzer
software at the bottom of the main window.
1, 2, 3, etc The tick mark beside these entries indicates the window that is
currently selected. If you want to change the currently selected
window to one of the windows listed, just click/select the
appropriate entry on this list.

Chapter 7 Menus and Toolbars 99
Help Menu
The "Help" menu contains commands that relate to providing you with help and
assistance with using the LogTag Analyzer software.
The following table outlines the commands and the explanation of each command that
may appear in the "Help" menu when using the LogTag Analyzer software:
Command Explanation
Help Topics ( ) Opens a window that contains the online help.
User Guide ( ) Opens the online user guide for viewing. Requires Adobe
Acrobat and/or Adobe Acrobat Reader software, version 4
or later, to be installed on the computer.
LogTag Home Page... ( ) This will open your default Internet browser software and
display the LogTag Recorders Internet site,
www.logtagrecorders.com. This command requires that
your computer be currently connected to the Internet to
successfully display the LogTag Recorders Internet site.
Request help
... ( ) This will gather non personal information from your system
to include in the email to be sent to software support at
LogTag Recorders, so that the support team will be
informed of the relevant information about your system in
order to provide you with quality and useful assistance.
This command is explained in further detail in the chapter
"
Getting more help
".
Check Internet for update
... This is a simple way of checking to see if there is a newer
version of this software available for download. This
command is explained in further detail in the chapter
"
Getting updated software
".
About LogTag Analyzer
...
() Display the version information about the LogTag Analyzer
software that you are using.

100 LogTag Analyzer
Toolbar commands
Each picture on the toolbar represents a unique command. The pictures that are included
on the toolbar represent the following commands:
This will bring up the LogTag Wizard, which will take you through the steps to retrieve
readings from connected LogTag(s) and prepare them for their next use.
This will display the file open window to allow you to locate and open LogTag files that
contain previously retrieved LogTag readings.
Save a copy of the LogTag data to a file on your disk drive.
Open the window that will allow you to print a copy of the LogTag data to a printer.
Displays file properties about the currently selected open file.
Displays information about any digital signatures included in the currently selected
open file, which is also allows where new digital signatures can be added to the file
and where you can print a copy of the digital signatures.
Creates a new blank email for sending a copy of the currently selected open file as an
attachment to a recipient of your choice.
Places a copy of the currently displayed information to the Windows clipboard so that
you can paste it into another Windows software package.
Zooms out one level of the actively displayed chart. If you are displaying a chart and
this function is not available, then all data that is available to be displayed is currently
been displayed and therefore there is no more additional information that can be
displayed by zooming out.
This zooms the chart to show information between the oldest reading recorded and
the first inspection mark that exists amongst the data. If this function is not available
then there is no inspection marks in the data currently been displayed. The next two
commands will not be available until this command is activated.
This zooms the chart to show the group of data that was recorded between the
previous inspection mark and the first inspection mark currently been displayed. This
function is disabled when either the oldest reading is already been displayed or the
chart has not been zoomed into showing groups of readings between inspection
marks.
This zooms the chart to show the group of data that was recorded between the next
inspection mark and the last inspection mark currently been displayed. This function is
disabled when either the newest reading is already been displayed or the chart has not
been zoomed into showing groups of readings between inspection marks.
Switches into Multi Chart mode, which displays all currently open charts together in
one window. Any additional charts that are opened will be added to the Multi Chart
window.
Switches into Single Chart mode. Each chart that is currently open will be displayed in
its own window.
This will open a window allowing you to customize the software. This command is
further explained in the chapter "
Customizing the software
".

Chapter 7 Menus and Toolbars 101
This will log a user on to the software if no user is currently logged on or log off the
currently logged on user. This command will only be available if the software is
connected to the LogTag User Server software.
This will allow you to show the help topic on any particular command or topic that you
subsequently select.
Print preview toolbar
The print preview feature, available through the
File menu
, of the software will display
copy of the data as it would be included on a print out. When the software is displaying a
file in print preview mode, an additional toolbar will appear, similar to the following
picture.
Command Explanation
Print
... This will open a window allowing you to print a copy of the
LogTag file to an output device, which will typically be a
printer. This command is further explained in the section
"
Printing the results
".
Next Page This will display the next page included in the print out. This
button will be disabled if there are no more pages available to
be displayed.
Prev Page This will display the previous page included in the print out.
This button will be disabled if there are no previous pages
available to be displayed.
One Page Selecting this button will change the display so that only one
page is displayed at a time. Once this button is selected it will
change to "Two Page".
Two Page Selecting this button will change the display so that two
consecutive pages are displayed side by side at the same time.
This button will be disabled if there is only one page in the
print out, like a chart. Once this button is selected it will
change to "One Page".
Zoom In This will zoom in the display of the print out making it appear
larger on the screen. It will not effect what information is
included in the print out.

102 LogTag Analyzer
Zoom Out This will zoom out the display of the print out making it appear
smaller on the screen. It will not effect what information is
included in the print out.
Close This will close the print preview mode of display and revert the
display of the data back to normal mode, which will allow
users to switch between chart display and data listing display,
for example.

103
CHAPTER 8
Working with Networks
When using and deploying software in a network environment, network administrators
often require additional technical information about the software so they can integrate
support for it correctly and seamlessly. This chapter briefly covers some points of interest
for computer network administrators.
In This Chapter
Distributing software to workstations.......................103
Restricting what users can do .................................104
How users log on ...................................................105
How users change their password...........................106
Distributing software to
workstations
When using the software on many computers within a computer network, it is not always
efficient to visit and install the software and subsequent updates manually on each
computer workstation. The installation of the software does support zero administration
installation, whereby the installation package can be located on a central point, usually a
server, and have it install on each relevant workstation, without requiring user
intervention.
To distribute the software without user intervention is a two step process.
1 Create an installation script file that will provide the answers and actions to be
performed on each step of the installation process. To create an installation script, use
the following command line syntax, including the quotes as used:
\\myserver\my_apps_path\setup.exe /a /r /f1"\\myserver\my_apps_path\setup.iss"
2 Ensure that whenever a user installs the software the installation script is used. To
install the software using an installation script previously created use the following
command line:
\\myserver\my_apps_path\setup.exe /s /a /s /f1"\\myserver\my_apps_path\setup.iss"
Where,
a "\\myserver\my_apps_path\" represents the network path to the folder containing the
installation of the LogTag Analyzer software.
b "setup.exe" is the installation software.

104 LogTag Analyzer
As many different installation scripts as are suitable for your situation may be defined and
used.
LogTag Analyzer software is released on the LogTag Recorders Internet site using a
standard filename syntax, which is
[software_name][major_version][minor_version]r[release_version].exe. For example, if
the file name of the installation package was "logtag_analyzer10r24.exe" the name of the
software would be "LogTag Analyzer" version 1.0 Release 24.
The installation of the LogTag Analyzer software involves copying a number of files to the
destination folder, which can be chosen during the installation process, a file is installed in
the Windows System folder and some plug and play drivers to support the USB Interface
Cradle. Therefore, when deploying the software onto Windows NT® based operating
systems, like Windows NT®, Windows 2000® and Windows XP®, the user installing the
software will require local administrator privileges for the software to install correctly. It is
possible, to elevate a users permissions on a Windows NT® based server network for the
sole purpose of being able to install the software successfully through the use of a Group
Policy Object.
When installing the software on to a Windows NT® operating system, the plug and play
drivers for the USB Interface Cradle will not be installed as Windows NT® does not support
USB devices.
Restricting what users can
do
In a multiple user environment, it is not always desirable to allow every user to perform
any and all tasks with the software. For example, to ensure all documents printed from
the software use the same date/time display format, it may be desirable to not allow
users to customize the software to change how the software displays dates and times. To
provide administrators of systems with a central point of control, LogTag Recorders has
developed a software package called "LogTag User Server", which when used in
conjunction with this software, it will provide an administrator with the ability to choose
whether or not to restrict what users can and cannot do with this software.
To find out more about LogTag User Server, please contact your network administrator
and/or your LogTag reseller.

Chapter 8 Working with Networks 105
How users log on
When the software has been
customized
to be connected to the
LogTag User Server
software, all users are required to successfully logon to the software before being
permitted to use any of the features and functionality of the software. For a user to
successfully logon to the software, the user must enter their username, which the
administrator would have assigned, and their password. Username's are typically not case
sensitive, however passwords are. That is, entering the Username "Bob Smith" is the
same as entering "BOB SMITH" and "bob smith". However, entering a password of "bob"
rather than "Bob", for example, is considered to be different.
Every logon attempt, whether successful or not, may be recorded automatically in the
audit logs by the administrator. As a security measure, the network administrator may
configure the
LogTag User Server
software so that a user account becomes locked and
therefore temporarily inaccessible if a certain number of consecutive failed logon attempts
are made to the user account. Please contact your network administrator if you have
problems with the logging on the software.

106 LogTag Analyzer
How users change their
password
When the software has been
customized
to be connected to the
LogTag User Server
software, the network administrator may require and/or permit users to change the
password used to logon to the software. Users are only permitted to change the password
for the user account that is currently logged on, which is typically their own, and as a
security precaution, users will always need to supply their current logon password before
being permitted to change it.
The network administrator may enforce certain rules pertaining to what is a valid
password. For example, they may require a minimum number of characters (digits, letters
or symbols) and/or a minimum number of digits to be included in the password. Please
contact your network administrator if you have problems with the logging on the
software.
Passwords should be chosen such that they would be difficult for some one else to guess.
If another person was able to guess the password they would be able to logon and
impersonate the user. Therefore, following are a few points to remember when changing
a password:
1 Do not use something that is personal to the user. Birth dates, license plate numbers,
names of family members, types of vehicles owned, favorite foods and address of
residence are all examples of passwords that should NOT be used.
2 Do not write it down.
3 Change the password on a regular basis.
If a user's password is forgotten, the network administrator will be able to change it.
However, network administrators will not be able to see and therefore inform users what
their current password is.

107
CHAPTER 9
Getting more information
In This Chapter
Getting updated software .......................................107
Finding your software version .................................109
Getting more help..................................................110
Getting updated software
There are two ways to see if a newer version of the LogTag Analyzer software is available
and download a copy if a newer version exists.
1 Within the "Help" menu item in the software is a command called "Check Internet for
update..."
2 Visit the LogTag Recorders Internet Site, www.logtagrecorders.com, and follow the
relevant instructions to obtain a copy of the software.

108 LogTag Analyzer
The first option will download from the LogTag Recorders Internet site the relevant
information about the latest version of the software available and compare this
information with the software that has already been installed. The software will then let
you know whether or not a newer version of the software is available. During this entire
process no information about you or your system is transmitted out from the LogTag
Analyzer software and therefore you can rest assured that your privacy is maintained.
While the software is retrieving the information from the Internet about the latest
available version, the software will display its progress in a window similar to the following
picture.
If a newer version of LogTag Analyzer is available a "Download" button will appear.
Clicking "Download" will begin the download process, in which you select the location for
the installation file. After the installation file has been downloaded you will need to close
LogTag Analyzer and then start (open) the downloaded file to begin the installation.
Installing a newer version of the LogTag Analyzer software will update all the relevant
program files. It will not affect any of your LogTag data files or your custom settings of
the software. Software updates usually include feature enhancements and/or resolve
problems discovered with the software subsequent to its release. We recommend you use
the latest version of the LogTag Analyzer software available.

Chapter 9 Getting more information 109
Finding your software
version
Within the "
Help
" menu, is the "About LogTag Analyzer..." command, which will display a
Window similar to the following picture.
Within this window, amongst other information, the full version number of the software
being used is displayed. This information is useful, for example, to determine if the same
software version is installed on multiple computers and/or if the user guide being
referenced refers to the version of software being used.
For example, if the window shows the software to be "LogTag Analyzer 1.4" and the
version of this guide is 1.4, then the contents of this user guide refer to the version of
software being used. If however, this window shows the software to be "LogTag Analyzer
1.0" and the version of this guide is 1.4, then this version of the user guide does not refer
to the version of the software being used. The version of this guide is 1.4, which is also
shown on the cover page of the guide.
Each time the software is updated one part of the version number of the software is
always increased. The "Build" number portion is increased for a given version of the
LogTag Analyzer software when the change included in the software will not affect the
matching version of the user guide. For example, version 1.4 of the guide refers to both
the "LogTag Analyzer, Version 1.4 Build 2" and the "LogTag Analyzer, Version 1.4 Build 5"
of the software.

110 LogTag Analyzer
Getting more help
The time may arise when this guide is unable to provide you with the assistance you
require. The LogTag Analyzer software includes a way to make the process of getting
further assistance from LogTag Recorders as simple as possible, while providing the
support team at LogTag Recorders with enough information about your system to be able
to provide you with useful assistance. Within the "Help" menu of the software is a
"Request help..." command.
This command will gather non personal information from your system to include in the
email, which you can review if you want to, so that LogTag Recorders will be informed of
the relevant information about your system in order to provide you with quality and useful
assistance. Please include in the email as much information and detail about the problem
that you are experiencing with the LogTag Analyzer software as possible, even if you may
think it to be irrelevant, as the more information that is available the more likely LogTag
Recorders will be able to provide you with an appropriate solution quickly.
If you have suggestions for software improvements, you may also use this method to
send your ideas through as LogTag Recorders is always in the process of improving the
software and adding additional features to it, so that the software becomes increasingly
more efficient, effective and useful for users.

111
CHAPTER 10
Appendix
In This Chapter
Troubleshooting.....................................................111
Resolving USB Driver Problems ...............................113
Sensor Responsiveness...........................................136
Troubleshooting
Problem Solution
My LogTag appears to be “dead”. No
lights are flashing. This could represent either of two conditions:
1 The LogTag is ready to start, but has not
been started yet.
2 The LogTag is simply in a state where the
configuration has the LED flashing turned
off. This is an option that may be selected
when a LogTag has been shipped to the
user for the first time (to preserve battery
life) or it may be that the last configuration
setting selected no LED display.
3 The LogTag is in "Hibernation" mode. Refer
to "
Prolonging battery life
" for further
information.
4 The battery is dead and the LogTag is
expired.
How to test:
1 Try pressing the START MARK button on the
LogTag.
2 Start the LogTag Analyzer software and
place the LogTag into the Interface Cradle.
Download the LogTag. If the LogTag can be
identified by the software, then the battery
is good, and the LogTag is OK.

112 LogTag Analyzer
I am unable to get a serial port “free”.
Every time I run the software, every
port shows that is already in use
On rare occasions it may be difficult to configure
some computers for releasing the assignment of a
serial port from one application to another. Often,
this will require the services of a computer technician
or expert. One simple solution is to purchase a USB
Interface Cradle. USB connections do not have a
“free port” limitation.
What happens if there is an electrical
current between the contacts…will
that damage the LogTag?
The contacts are isolated from the critical internal
component such that incidental static discharge will
not harm the LogTag. Deliberate application of a full
outlet voltage (100 – 240 volts AC or 12-24 volts DC)
to the LogTag may cause permanent damage.
I cannot view the user guide that
came with the software. The User Guide is in a 'PDF' file format and as such a
special software package called "Acrobat Reader" is
required to view it. Acrobat Reader is available for
free download from the Adobe web site and can
typically be downloaded from
http://www.adobe.com/products/acrobat/re
adermain.html
http://www.adobe.com/products/acrobat/readermain
.html.
I cannot see all the readings in the
"data" screen, some appear to be
missing.
The range of readings shown in the data screen
represent the range of readings shown on the Chart
screen. Whenever the Chart is zoomed in to show
more detail the range of readings shown in the data
screen is updated as well. If the chart is zoomed out
() to show all readings that were recorded, then
the data screen will also show all the readings that
were recorded.
Why are some of the readings shown
"non validated". The LogTag automatically inserts error detection
codes every 127 recordings which checks for the
detection of corrupted or manipulated data. If the
LogTag has been configured to do
continuous
recording
then as each block of 127 logs is started
to be replaced with the latest readings the data
integrity error check for the "oldest" block will fail,
which will therefore technically putting the block of
data into doubt. This is not a problem rather that the
particular block of data now has the lost a degree of
data integrity protection and hence is labelled 'non-
validated'.
Non-validated readings can also occur if there has
been communications issues during data transfer
from the LogTag or if the memory does actually have
a fault, however these causes are very rare.

Chapter 10 Appendix 113
Resolving USB Driver
Problems
Every USB device requires the appropriate driver files to be installed prior to them being
successfully used on a computer. The installation process of the LogTag Analyzer software
will attempt to ensure the appropriate driver files are installed on the computer. These
driver files may fail to install correctly if the USB Interface Cradle is connected to the
computer prior to and/or during to the installation of the software. Therefore, it is
strongly recommended that the software is installed prior to any USB Interface Cradles
being connected to the computer.
The following sections will guide you through the steps necessary to determine whether
or not a problem exists with the installation of the USB drivers for the USB Interface
Cradle are installed correctly on the computer and, if necessary, how you can resolve a
problem with the installation of the USB drivers.
In This Section
Checking the installation of the USB driver...............113
USB driver installation through software installation .119
Manual USB driver installation on Windows XP.........121
Manual USB driver installation on Windows 2000......
Manual USB driver installation on Windows 98 or Me
125
131
Checking the installation of the USB driver
The following will guide you through the steps necessary to determine whether or not the
drivers for the USB Interface Cradle are installed correctly on the computer.
1 Providing the LogTag Analyzer software has been already installed, connect the USB
Interface Cradle to the computer by plugging the Interface into an available USB
socket. USB sockets are typically located at the rear of the computer.
2 Open the "Control Panel". This can be done by using the mouse to click on the
Windows "Start" button, typically located in the bottom left of the screen, to open the
Start menu. Once the "Start" button has been clicked, you will see a menu appear.

114 LogTag Analyzer
3 If your menu looks similar to the following picture, click on the visible "Control Panel"
item.
4 If your menu looks similar to the following picture, the "Control Panel" item is located
within the "Settings" menu item.

Chapter 10 Appendix 115
5 Within the "Control Panel" window there is a "System" icon. For Windows XP users,
you may need to "Switch to Classic View" to locate the "System" icon quickly. Start
(open) the "System" icon once you have located it.
6 If your system properties looks similar to the following picture, click the "Hardware"
tab followed by the "Device Manager" button to open a view of the devices that have
and have not been successfully installed on the computer.

116 LogTag Analyzer
7 If you system properties looks similar to the following picture, click the "Device
Manager" tab to view the devices that have and have not been successfully installed
on the computer.

Chapter 10 Appendix 117
8 Once the device manager is open you should see one of the three following images in
the list, as indicated in the following picture. You may need to click on the "+" beside
the "Universal Serial Bus controllers" entry to view all the USB devices that have been
installed on the computer.
If the USB device driver installed successfully but has not yet started, the following will
guide you through steps necessary to start the USB drivers so that you can start using the
USB Interface Cradle(s).
If the computer is using Windows XP or Windows 2000:
1 Open the "Device Manager" as described previously.

118 LogTag Analyzer
2 For each "USB Interface" entry displayed, using the mouse (pointing device), click the
right button on the text of the "USB Interface" entry to display the popup context
menu, which will be similar to the following picture. Once this pop context menu is
visible, select the "Uninstall" option, using the left button on the mouse.
3 Unplug all USB Interface Cradles that are plugged into the computer and/or are
plugged into any USB hub that may be connected to the computer.
4 Wait for at least 5 seconds.
5 Plug the USB Interface Cradle(s) into the appropriate USB socket on the computer
and/or USB hub that is connected to the computer. This should install and start the
USB driver for the USB Interface Cradle(s). If the drivers do not successfully start,
indicated by the "USB Interface" entry appearing in the device manager with either
the or the picture, you may need to reinstall the USB driver files, which is
described subsequently.
If the computer is using Windows 98 or Windows Me:
1 Open the "Device Manager" as described previously.
2 Select each "USB Interface" entry displayed (one at a time) and then click the
"Remove" button.
3 Unplug all USB Interface Cradles that are plugged into the computer and/or are
plugged into any USB hub that may be connected to the computer.
4 Wait for at least 5 seconds.
5 Plug the USB Interface Cradle(s) into the appropriate USB socket on the computer
and/or USB hub that is connected to the computer. This should install and start the
USB driver for the USB Interface Cradle(s). If the drivers do not successfully start,
indicated by the "USB Interface" entry appearing in the device manager with either
the or the picture, you may need to reinstall the USB driver files, which is
described subsequently.

Chapter 10 Appendix 119
If the USB device driver files did not install correctly, you may either reinstall the software
or manually install the USB driver files. The USB drivers where first released with the
LogTag Analyzer software version 1.0 Release 74. If you have a version of the software
prior to this, get a copy of the latest version of the LogTag Analyzer software and install
the latest version of the software ensuring the all USB Interface Cradles are not
connected to the computer during the installation process.
USB driver installation through software
installation
To reinstall the software to install the USB drivers:
1 Unplug all USB Interface Cradle(s) that are connected to the computer and/or
connected to a USB hub that is connected to the computer.
2 Start the Windows "Control Panel"
3 Within the "Control Panel" window there is a "Add/Remove Programs" or "Add or
Remove Software" icon. For Windows XP users, you may need to "Switch to Classic
View" to locate the "Add or Remove Software" icon quickly. Start (open) the "Add or
Remove Software" icon once you have located it.
4 Locate the "LogTag Analyzer" entry and click the "Change/Remove" or
"Add/Remove..." button.
5 Once the "LogTag Analyzer Setup Maintenance" window is open, select the "Repair"
option and then click the "Next >" button.
6 Click the "Finish" button when it is displayed to complete the reinstallation of the
software and USB driver files.

120 LogTag Analyzer
Note, if you see a window similar to the following picture appear during the installation of
the USB driver files, you must click the "Continue Anyway" button for the USB driver files
to successfully install.

Chapter 10 Appendix 121
Manual USB driver installation on Windows XP
To manually reinstall the USB driver files, for Windows XP computers, open the "Device
Manager". The "Device Manager" can be started by opening the "System" icon, located in
the Windows "Control Panel", selecting the "Hardware" tab in the "System Properties"
window and then click the "Device Manager" button.

122 LogTag Analyzer
1 Using the mouse (pointing device), click the right button to display the popup context
menu, which will be similar to the following picture.
2 Select the "Update Driver..." option, using the left button on the mouse, which will
cause the device driver wizard to start, similar to the following picture. Ensure the
"Install from a list or specific location (Advanced)" option and then click the "Next >"
button to continue.

Chapter 10 Appendix 123
3 When prompted for the location of the driver files, enter the location of the installation
of the software followed by the path to the USB driver files. The default location for
these driver files is "C:\Program Files\LogTag Recorders\LogTag Analyzer\Drivers\USB
Interface 2.0". You may use the "Browse..." button in the window that appears, similar
to the following picture to help you locate the appropriate folder.

124 LogTag Analyzer
4 Once the driver files have been installed successfully you will see a window similar to
the following picture. You may now connect and start using your USB Interface
Cradle(s).
Note, if you see a window similar to the following picture appear during the installation of
the USB driver files, you must click the "Continue Anyway" button for the USB driver files
to successfully install.

Chapter 10 Appendix 125
Manual USB driver installation on Windows 2000
To manually reinstall the USB driver files, for Windows 2000 computers, open the "Device
Manager". The "Device Manager" can be started by opening the "System" icon, located in
the Windows "Control Panel", selecting the "Hardware" tab in the "System Properties"
window and then click the "Device Manager" button.

126 LogTag Analyzer
1 Using the mouse (pointing device), click the right button to display the popup context
menu, which will be similar to the following picture.
2 Select the "Properties..." option, using the left button on the mouse.
3 From the "USB Interface Properties" window that will appear, similar to the following
picture, click the "Reinstall Driver..." button.

Chapter 10 Appendix 127
4 The will device driver wizard will appear similar to the following picture, click the "Next
>" button to continue.
5 Ensure the "Search for a suitable driver for my device (recommended)" option is
selected and click the "Next >" button to continue.

128 LogTag Analyzer
6 Ensure the "Specify a location" option is selected and click the "Next >" button to
continue. It is best that the "Specify a location" option is the only one selected for the
installation of the USB Interface Cradle driver files.
7 When prompted for the location of the driver files, enter the location of the installation
of the software followed by the path to the USB driver files. The default location for
these driver files is "C:\Program Files\LogTag Recorders\LogTag Analyzer\Drivers\USB
Interface 2.0". You may use the "Browse..." button in the window that appears, similar
to the following picture to help you locate the appropriate folder.

Chapter 10 Appendix 129
8 If you have chosen the correct folder that contains the driver files for the USB
Interface Cradle, you will see a window similar to the following picture. Click the "Next
>" button to install the driver files.

130 LogTag Analyzer
9 Once the driver files have been installed successfully you will see a window similar to
the following picture. You may now connect and start using your USB Interface
Cradle(s).
Note, if you see a window similar to the following picture appear during the installation of
the USB driver files, you must click the "Continue Anyway" button for the USB driver files
to successfully install.

Chapter 10 Appendix 131
Manual USB driver installation on Windows 98 or
Me
To manually reinstall the USB driver files, for Windows 98 and Me computers, open the
"System" icon in the Windows "Control Panel" and select the "Device Manager" tab.
1 Select the "USB Interface" item that is listed in the "Other devices" group, similar to
the following picture.

132 LogTag Analyzer
2 Click the "Properties" button to display the driver
3 Click the "Reinstall Driver" button to begin the device driver wizard. Click the "Next >"
button to continue.

Chapter 10 Appendix 133
4 Ensure the "Search for a better driver than the one your device is using now.
(Recommended)" option is selected and click the "Next >" button to continue.
5 When prompted for the location of the driver files, enter the location of the installation
of the software followed by the path to the USB driver files. The default location for
these driver files is "C:\Program Files\LogTag Recorders\LogTag Analyzer\Drivers\USB
Interface 2.0". You may use the "Browse..." button in the window that appears, similar
to the following picture to help you locate the appropriate folder.

134 LogTag Analyzer
6 If you have chosen the correct folder that contains the driver files for the USB
Interface Cradle, you will see a window similar to the following picture. Click the "Next
>" button to install the driver files.
7 Once the driver files have been installed successfully you will see a window similar to
the following picture. You may now connect and start using your USB Interface
Cradle(s).

Chapter 10 Appendix 135
Note, if you see a window similar to the following picture appear during the installation of
the USB driver files, you must click the "Continue Anyway" button for the USB driver files
to successfully install.

136 LogTag Analyzer
Sensor Responsiveness
Temperature sensors typically respond to changes in the environment temperature in a
logarithmic way and as such you will find that the responsiveness of temperature sensors
(how quickly a sensor responds to an environmental temperature change) is expressed in
terms of T90. T90 represents the time it takes for a logger to respond to 90% of the
actual change of the environmental temperature.
For example, if the actual environment temperature suddenly changed from 15° to 45°
and the T90 of the sensor was 30 minutes, then 30 minutes after this sudden change the
sensor would be reading (15 + (45 - 15) * 0.90) 42°. In reality, it is rare for the
temperature of an environment to suddenly change to a very different temperature and
then suddenly change again, usually it is a gradual incremental process.
For example, if the actual environment temperature changed from 15° to 45° over a
period of 5 hours in a linear fashion, that is after 2 hours the temperature was 27° and
after 4 hours the temperature was 39°, and the T90 of the sensor was 30 minutes, then
when after 5 hours of this temperature change, that is the actual environment
temperature was 45°, the sensor would be reading 44.7°.
The LogTag is designed to produce a rapid response to temperature changes, which is
possible because the actual sensor element of the logger system is external to the logger
body itself. You can actually touch the tip of the bare thermistor element with your finger.
The T90 of the LogTag is less than 5 minutes in moving air, which is very responsive as
some temperature recorders can take up to an hour for the T90 of the temperature
change to be recorded.

137
Index
File Name • 82
A Finding your computer specifications • 8
Appendix • 111 Finding your software version • 5, 99, 109
Automatically calculated statistics • 62 Folder • 84
Automation • 76, 80 G
Average Reading • 62 General Settings • 76, 77, 95
C Get a LogTag ready for use • 23, 97
Calling up previous results • 68, 93 Getting a copy of the software • 14
Chart annotations • 57 Getting a LogTag ready use • 34, 97
Chart Statistics • 61, 66, 78 Getting more help • 99, 110
Chart subtitle • 59 Getting more information • 107
Charts • 55, 61, 76, 79 Getting results from LogTag • 48, 97
Checking the installation of the USB driver
• 113 Getting the best from your LogTag • 43
Getting updated software • 5, 69, 99, 107
Combining charts onto a single chart • 61 H
Communication Ports • 26, 76, 89
Configure LogTag(s) for next use • 27 Help Menu • 99, 109
Connecting the Interface • 19 How secure is my data • 72
Continuous operation • 37, 41, 112 How users change their password • 95,
106
Customizing the software • 75, 93, 95, 96,
100, 105, 106 How users log on • 90, 94, 105
D I
Dates and Times • 76, 84, 87 Inspecting the information at close range •
50
Degree Minutes • 65
Digital signatures • 70, 94 Installing the software • 7
Display • 81 Introduction • 5
Display readings after successful download
• 80 L
Language • 78
Display X items in my most recently used
list • 81 Locate LogTag(s) download and save
relevant data • 25
Displaying statistics • 66 LogTag Menu • 97
Distributing software to workstations • 103
M
E
Manual scaling of the chart • 55
Edit Menu • 54, 56, 95 Manual USB driver installation on Windows
2000 • 125
Enable automatic download of readings
from LogTags • 80 Manual USB driver installation on Windows
98 or Me • 131
Exports and Reports • 76, 85
F Manual USB driver installation on Windows
XP • 121
File and Folder Settings • 76, 80, 81, 86,
93 Mean Kinetic Temperature • 64
File Menu • 68, 73, 81, 93, 101 Menu commands • 92

138 Index
Menus and Toolbars • 23, 67, 68, 70, 91 V
O Verify Access Password • 38, 40
Viewing file properties • 73, 94
Only show the latest set of readings after
download • 81 W
P Welcome • 24
Window Menu • 98
Prepare LogTag(s) for next use • 28 Working with batches of LogTags • 42
Preparing LogTag for next use • 36 Working with Networks • 103
Preparing LogTags for use • 27, 33, 40,
44, 97
Pre-start data collection • 37, 41, 50
Print preview toolbar • 94, 101
Printing the results • 66, 94, 101
Prolonging battery life • 44, 97, 111
Q
Quick Start Guide • 19, 97
R
Resolving USB Driver Problems • 15, 20,
113
Restricted Access Requirements • 35, 38
Restricting what users can do • 104
Results from LogTag • 31, 47, 97
Retrieve information from LogTag • 31
S
Sending a file by email direct from
Analyzer • 67, 94
Sensor Responsiveness • 136
Show temperatures in • 77
Standard Deviation • 63
Starting and using the LogTag • 30, 96
Starting the software • 16
Summary Statistics • 66, 78
System requirements • 8
T
The installation process • 15
Toolbar commands • 54, 56, 100
Troubleshooting • 111
U
Understanding the results • 49
Uniqueness • 84
USB driver installation through software
installation • 119
Use Font • 77
User Server • 70, 76, 90, 94, 105, 106
Using the LogTag with the Interface • 21