MICROCHIP TECHNOLOGY CY92024C Network Media Module User Manual Network Media Module

MICROCHIP TECHNOLOGY INC. Network Media Module Network Media Module

Contents

User Manual I

© 2014 Microchip Technology Inc. Preliminary DS60001270C-page 1CY920Operating Conditions• 3.3V, 2.5V, 1.8V, 1.2V supply voltage• Operating frequency up to 400 MHz• Operating temperature: 0ºC to 70ºCFeatures• Audio networking system on a small footprint module•Wi-Fi® certified 802.11 a/b/g/n• Integrated Ethernet + USB 2.0 OTG• Optional Bluetooth® v2.1 + EDR • Diversity enabled external antenna connectors• Glueless audio, video, and control ports• FCC certification is planned for production version• Ideal for enabling network and USB audio playback for iPod® docks, audio systems, AV receivers, active speaker systems, internet radios, network playback adaptersWLAN• Integrated 802.11 a/b/g/n MAC, Baseband Processor (BBP) and radio frequency (RF) transceiver• Wi-Fi certified 802.11 a/b/g/n supporting both 2.4 GHz and 5 GHz bands• On-chip wideband sniffer which enables applications that benefit from efficient interference management algorithms• 1x1 dual band with Tx and Rx antenna diversity• Supports Wi-Fi Direct® • Two Ultra Small Miniature RF Connector (U.FL) type external antenna connectorsBluetooth (Optional)• Compliant with Bluetooth (BT) v2.1 + EDR specification• A2DP and AVRCP profiles• WLAN and Bluetooth co-existence using Packet Traffic Arbitration (PTA) and Adaptive Frequency Hopping (AFH)• Utilizes same antenna as Wi-Fi system• Supports Class 2 power output• Low-power consumptionMemory Interfaces• 16 MB on-board serial Flash memory• 64 MB on-board DDR2 SDRAM• Off-board serial Flash memory via extended connectorCommunication Interfaces• 10/100 Mbps Ethernet support with Ethernet PHY on-board• USB 2.0 OTG with integrated PHY• Serial Peripheral Interface (SPI), Inter-Integrated Circuit™ (I2C™), Universal Asynchronous Receiver Transmitter (UART) peripheral ports• 3.3V tolerance on all digital IOs (GPIO, I2S, SPDIF, SPI, UART, HDMI)Audio and Graphics Interface•I2S support with external Digital-to-Analog Converter (DAC)/Power Amplifier (PA)• Built-in Digital Signal Processor (DSP) with dual core 300 MHz each• HDMI support with in-built 24-bit HD port and external HDMI transmitter• Supports analog video (composite, component and S-Video) using external video encoderInput/Output• General Purpose Input Outputs (GPIOs) for different Stock Keeping Units (SKUs): - CY920-A: 11 GPIOs- CY920-B: 13 GPIOs- CY920-C: 9 GPIOsApplications• JukeBlox®: DLNA™, AirPlay® Speaker, network audio DMR/ DMP, Internet radio, mini/micro system• Audio Video Receivers (AVR)• Sound Bars • PC OEM, TV and gaming consoles • Operating as an access point (Wi-Fi Direct Host)NETWORK MEDIA MODULE
CY920DS60001270C-page 2 Preliminary © 2014 Microchip Technology Inc.NOTES:
© 2014 Microchip Technology Inc. Preliminary DS60001270C-page 3CY920Table of ContentsSystem Overview  .................................................................................................................................................................................. 5CY920 Board Layout and Features  .................................................................................................................................................... 15Application Guidelines  ........................................................................................................................................................................ 19Wi-Fi Specification  .............................................................................................................................................................................. 21Bluetooth Specifications ...................................................................................................................................................................... 23Packaging Information  ........................................................................................................................................................................ 25Electrical Characteristics ..................................................................................................................................................................... 29Regulatory Compliance and Quality ................................................................................................................................................... 33Ordering Guide  ................................................................................................................................................................................... 35Appendix A: Certification Notices ........................................................................................................................................................ 37Appendix B: Revision History .............................................................................................................................................................. 39The Microchip Web Site  ...................................................................................................................................................................... 41Customer Change Notification Service  ............................................................................................................................................... 41Customer Support ............................................................................................................................................................................... 41TO OUR VALUED CUSTOMERSIt is our intention to provide our valued customers with the best documentation possible to ensure successful use of your Microchipproducts. To this end, we will continue to improve our publications to better suit your needs. Our publications will be refined andenhanced as new volumes and updates are introduced. If you have any questions or comments regarding this publication, please contact the Marketing Communications Department viaE-mail at docerrors@microchip.com or fax the Reader Response Form in the back of this data sheet to (480) 792-4150. Wewelcome your feedback.Most Current Data SheetTo obtain the most up-to-date version of this data sheet, please register at our Worldwide Web site at:http://www.microchip.comYou can determine the version of a data sheet by examining its literature number found on the bottom outside corner of any page.The last character of the literature number is the version number, (e.g., DS30000000A is version A of document DS30000000).ErrataAn errata sheet, describing minor operational differences from the data sheet and recommended workarounds, may exist for currentdevices. As device/documentation issues become known to us, we will publish an errata sheet. The errata will specify the revisionof silicon and revision of document to which it applies.To determine if an errata sheet exists for a particular device, please check with one of the following:• Microchip’s Worldwide Web site; http://www.microchip.com• Your local Microchip sales office (see last page)When contacting a sales office, please specify which device, revision of silicon and data sheet (include literature number) you areusing.Customer Notification SystemRegister on our web site at www.microchip.com to receive the most current information on all of our products.
CY920DS60001270C-page 4 Preliminary © 2014 Microchip Technology Inc.NOTES:
© 2014 Microchip Technology Inc. Preliminary DS60001270C-page 5CY9201.0 SYSTEM OVERVIEWThe CY920 module is a single-board network mediamodule based on Microchip's DM920 network mediaprocessor. It enables faster product development withEthernet, USB, Wi-Fi, and Bluetooth connectivity.The CY920 module can be connected to standard I/Ocomponents in various audio, video, and controlformats. The CY920 module and the JukeBlox SDKform a turnkey solution which enables rapid productdevelopment by the Original EquipmentManufacturers (OEMs) and Original DesignManufacturers (ODMs). The software packagesfeature an intuitive Application ProgrammingInterface (API) that enables easy customization resultin faster time-to-market.Figure 1-1 illustrates a typical example of the CY920module based system block diagram.FIGURE 1-1: CY920 BASED SYSTEM BLOCK DIAGRAMNote: This data sheet summarizes the featuresof the CY920 network media module. It isnot intended to be a comprehensivereference source. To complement theinformation in this data sheet, refer to thevarious application notes available on theMicrochip web site www.microchip.com.EthernetPHYDM920 SoCDDR2 SDRAM64 MByteDDR2ControllerUSB 2.0OTGGPIO40.000 MHzSerial Flash16 MByte2.4/5 GHzFEM802.11a/b/g/nEthernetControllerUART 13.3V RTCCY920 Network Media Module1.2VWi-Fi/BTAntennaSocket1.8VSPI 1I2CJTAGRSTReset InAV PortsSPI 0Wi-FiAntennaSocket2.5VI2S, S/PDIFBluetoothBaseband andRFUART 0GPIO3.3VHD PortsHD DataAppleCoprocessorOptional ExternalSerial FlashHost ControllerRJ-45+TransformerUSBType-A/LightningHDMI TxAudio A/D,D/A10/100MbpsDebug PortAntenna Switch26.000 MHz
CY920DS60001270C-page 6 Preliminary © 2014 Microchip Technology Inc.1.1 Connectors and ConnectionsThe following sections provide information on differentconnectors and connections in the CY920 module.1.1.1 MODULE CONNECTORSThe CY920 module uses two board-to-board connec-tors, basic and extended, as interfaces to the productmain board. Some of the module versions have onlythe basic connector installed. The CY920 module uses female connectors and theproduct main board uses male connectors.Table 1-1 provides part numbers for the maleconnectors needed on the product main board thatmate to the female connectors on the CY920 module.TABLE 1-1: MODULE CONNECTORSConnectorNumber Connector Type Mating Connector Part Numbers Manufacturer Alternate Part NumberAlternate ManufacturerJ301(Basic) 64-pin B2B connector2 x 32 x 1.27 mmS1210-64SVB-S01-1R/C XINYA 1.27*5.7-2*32P Shen Zhen Hua Xin Sheng Electronic Co LtdJ300(Extended) S1210-64SVB-S01-1R/C 1.27*5.7-2*32P
© 2014 Microchip Technology Inc. Preliminary DS60001270C-page 7CY920Table 1-2 provides the function of the pins in theJ301-basic connector.TABLE 1-2: J301-BASIC CONNECTORPIN Number Signal GPIO Function PIN Number Signal GPIO Function1 VIN (1.2V) —Power supply2 VIN (2.5V) —Power supply3 VIN (1.2V) — 4 VIN (2.5V) —5GND— 6 GND —7 VIN (1.8V) — 8 VIN (3.3V) —9 VIN (1.8V) — 10 VIN (3.3V) —11 GND — 12 VIN(3.3V RTC) —13 SPF0 GPIO-16 iPod Access Power14 GND —15 NRESET — System Reset 16 UART_RXD1 — Debug UART17 SPF1 GPIO-17 Ethernet Reset18 UART_TXD1 —19 MII_TXD3 GPIO-09 IR input 20 AV4DATA1 — SPDIF input21 GND — Power supply 22 AV4DATA0 —  SPDIF output23 SPI_DIN —SPI24 GND — Power supply25 SPI_DOUT — 26 AV2CTRL1 — MCLK27 SPI_CLK — 28 AV2CTRL0 — LRCK29 SPI_NCS0 — 30 AV2CLK — SCLK31 GND — Power supply 32 AV2DATA1 — A/D data 033 MII_TXD2 GPIO-08 Factory Reset 34 AV2DATA0 — D/A data 035 I2C_SDA — I2C36 GND — Power supply37 I2C_SCL — 38 ETH_LED_SPEED — Ethernet39 AV2DATA2 — D/A Data 1 40 AV2DATA3 — D/A data 241 MII_RXD2 GPIO-10 SPI_REQ 42 ETH_LED_ACT — Ethernet43 AV3CTRL0 GPIO-05 — 44 GND — Power supply45 GND — Power supply 46 ETH_TXP —Ethernet47 AV3CLK GPIO-04 — 48 ETH_TXN —49 HDDATA14 GPIO-14 — 50 ETH_RXP —51 HDDATA15 GPIO-15 — 52 ETH_RXN —53 GND — Power supply 54 GND — Power supply55 USB_OTG_DN —USB56 EXT_PA_EN1_5 GPIO-19 Reserved57 USB_OTG_DP — 58 MII_RXD3 GPIO-11 —59 USB_PWR_EN — 60 AV3CTRL1 GPIO-06 Chip Select for external Flash61 USB_VBUS — 62 EXP_PA_EN1_24 GPIO-18 HD_INT63 USB_ID — 64 GND — Power supplyNote 1: The connector definitions are subject to change in future revisions of this document.
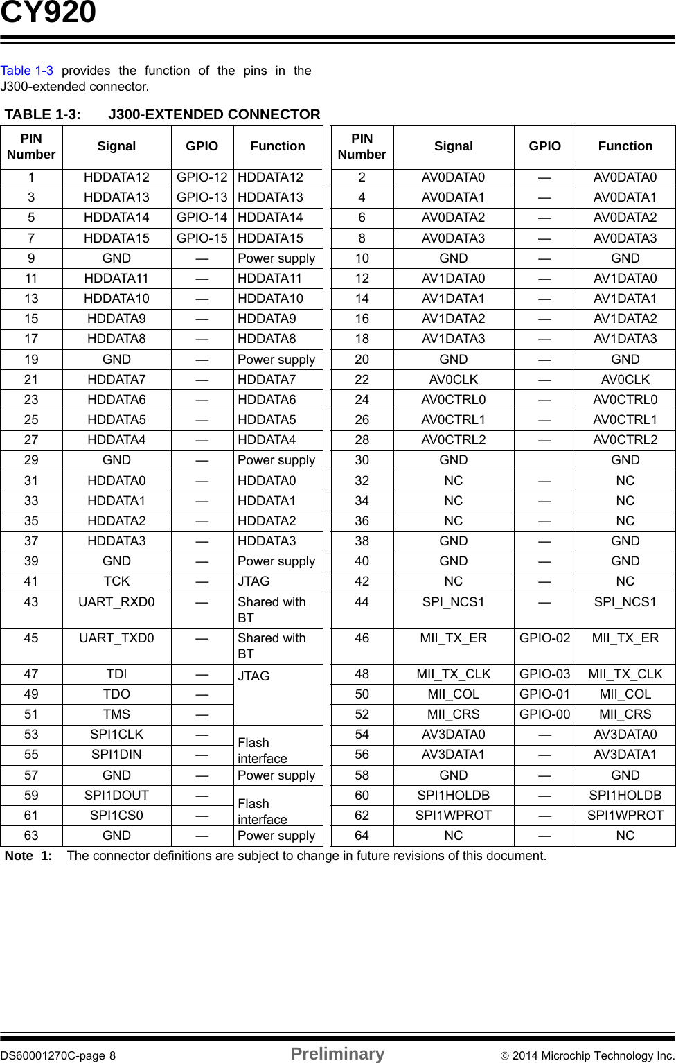
CY920DS60001270C-page 8 Preliminary © 2014 Microchip Technology Inc.Table 1-3 provides the function of the pins in theJ300-extended connector.TABLE 1-3: J300-EXTENDED CONNECTORPIN Number Signal GPIO Function PIN Number Signal GPIO Function1 HDDATA12 GPIO-12 HDDATA12 2 AV0DATA0 — AV0DATA03 HDDATA13 GPIO-13 HDDATA13 4 AV0DATA1 — AV0DATA15 HDDATA14 GPIO-14 HDDATA14 6 AV0DATA2 — AV0DATA27 HDDATA15 GPIO-15 HDDATA15 8 AV0DATA3 — AV0DATA39 GND — Power supply 10 GND — GND11 HDDATA11 — HDDATA11 12 AV1DATA0 — AV1DATA013 HDDATA10 — HDDATA10 14 AV1DATA1 — AV1DATA115 HDDATA9 — HDDATA9 16 AV1DATA2 — AV1DATA217 HDDATA8 — HDDATA8 18 AV1DATA3 — AV1DATA319 GND — Power supply 20 GND — GND21 HDDATA7 — HDDATA7 22 AV0CLK — AV0CLK23 HDDATA6 — HDDATA6 24 AV0CTRL0 — AV0CTRL025 HDDATA5 — HDDATA5 26 AV0CTRL1 — AV0CTRL127 HDDATA4 — HDDATA4 28 AV0CTRL2 — AV0CTRL229 GND — Power supply 30 GND GND31 HDDATA0 — HDDATA0 32 NC — NC33 HDDATA1 — HDDATA1 34 NC — NC35 HDDATA2 — HDDATA2 36 NC — NC37 HDDATA3 — HDDATA3 38 GND — GND39 GND — Power supply 40 GND — GND41 TCK — JTAG 42 NC — NC43 UART_RXD0 — Shared with BT44 SPI_NCS1 — SPI_NCS145 UART_TXD0 — Shared with BT46 MII_TX_ER GPIO-02 MII_TX_ER47 TDI — JTAG 48 MII_TX_CLK GPIO-03 MII_TX_CLK49 TDO — 50 MII_COL GPIO-01 MII_COL51 TMS — 52 MII_CRS GPIO-00 MII_CRS53 SPI1CLK — Flash interface54 AV3DATA0 — AV3DATA055 SPI1DIN — 56 AV3DATA1 — AV3DATA157 GND — Power supply 58 GND — GND59 SPI1DOUT — Flash interface60 SPI1HOLDB — SPI1HOLDB61 SPI1CS0 — 62 SPI1WPROT — SPI1WPROT63 GND — Power supply 64 NC — NCNote 1: The connector definitions are subject to change in future revisions of this document.
© 2014 Microchip Technology Inc. Preliminary DS60001270C-page 9CY920Table 1-4 provides the GPIO assignment on the CY920module.TABLE 1-4: CY920 GPIO MAPPING1.1.2 ANTENNA CONNECTORIn the CY920 module two external antenna sockets areused to enable diversity operation. During the diversityoperation, the firmware selects one antenna at a timethrough the on-board Tx/Rx diversity RF switch. The surface-mounted antenna socket used in theCY920 module is Ultra Small Surface Mount Coaxial(U.FL) type.GPIO Number DM920 Pin Name Connected To Assigned Function0 MIICRS BT/extended connector WLAN_ACTIVE1 MIICOL BT/extended connector BT_PRIORITY2 MIITXER BT/extended connector BT_ACTIVE3 MIITXCLK BT/extended connector BT_LDO_ON4 AV3CLK Basic connector Available5 AV3CTRL0 Basic connector Available6 AV3CTRL1 Basic connector Chip select for expansion Flash7 AV0CTRL2 Extended connector  Available8 MIITXD2 Basic connector Factory Reset9 MIITXD3 Basic connector IR input10 MIIRXD2 Basic connector SPI_REQ for Host controller11 MIIRXD3 Basic connector Available12 HDDATA12 Extended connector Available13 HDDATA13 Extended connector Available14 HDDATA14 Extended connector Available15 HDDATA15 Extended connector Available16 SPF0 Basic connector HD_INT17 SPF1 Basic connector Ethernet Reset18 EXT_PA_EN1_5 Basic connector FEM BSEL19 EXT_PA_EN1_24 Basic connector AvailableNote 1: The GPIO assignments are subject to change in future revisions of this document.Note: Do not use the CY920 module that hastwo external antenna sockets with onlyone external antenna connected. This willdegrade the Wi-Fi or BT performance.
CY920DS60001270C-page 10 Preliminary © 2014 Microchip Technology Inc.1.2 Pin DescriptionTable 1-5 through Tab l e 1 - 1 5  provide an overview ofthe important control and interface signals. It alsocovers pinouts and signal names.TABLE 1-5: POWERTABLE 1-6: SERIAL PERIPHERAL INTERFACE (SPI)TABLE 1-7: SPI FLASH INTERFACESignal Type Description3.3V P Power input +3.3V1.2V P Power input +1.2V1.8V P Power input +1.8V2.5V P Power input +2.5V3.3V RTC P Power input +3.3V for Real-Time Clock (RTC). Power can be provided by battery or external Supercap.GND P Ground (GND) connection for power supply, signal returns and shieldingLegend:     O = Output                  I /O = Input /Output        I = Input                  P = Power                          Signal Type DescriptionSPI_DOUT O SPI data from DM920 to Host controllerSPI_DIN I SPI data from Host controller to DM920SPI_CLK I SPI clock from Host controller to DM920 (maximum recommended frequency is 2 MHz and typical frequency is 1 MHz, see Note 1)SPI_NCS0 I SPI Chip Select from Host controller to DM920MII_RXD2 O • This GPIO signal is used as SPI_REQ (SPI request signal) from DM920 to Host controller for eDMP applications. • Logic 1 indicates there is an SPI message waiting to be read. The Host controller should start the SPI clock and read any changed registers. • Logic 0 indicates that all changed register messages have been read and the message buffer is empty.Legend: O = Output        I /O = Input /Output       I = Input              P = Power       Note 1: For SPI timing diagram for eDMP applications, refer to “MCHP-JB - Device_Control_Protocol_Registers_v_6_5” or later version. For detailed setup and hold timing details, refer to the “DM920 Data Sheet” (DS60001278).   Signal Type DescriptionSPI1CS0 O Chip Select input for on-board FlashAV3CTRL1 (GPIO6) O Chip Select for external Flash. For more information on how to connect and access external Flash, refer to the Chapter 18. External Flash Interface chapter in the “JukeBlox® Technology 4.X SDK User's Guide” (DS70005181).SPI1CLK O Clock signal to drive serial FlashSPI1DIN I Data line from Flash output to DM920 inputSPI1DOUT O Data line from DM920 output to Flash inputSPI1HOLDB O Serial Flash control inputSPI1WPROT O Write protect input to serial FlashLegend:     O = Output                  I /O = Input /Output        I = Input                  P = Power
© 2014 Microchip Technology Inc. Preliminary DS60001270C-page 11CY920TABLE 1-8: UNIVERSAL ASYNCHRONOUS RECEIVER TRANSMITTER (UART)TABLE 1-9: AUDIOSignal Type DescriptionUART_RXD1 I UART1 input to the DM920, used for shell access. Microchip recommends providing a connection to an external RS-232 transceiver and a DB9 connector to connect to a PC COM port. This connection can be used for the product development debugging, module programming control on the product manufacturing line, and module control during certification procedures.UART_TXD1 O UART1 output from the DM920, used for shell access. Microchip recommends providing a connection to an external RS-232 transceiver and a DB9 connector to connect to a PC COM port. This connection can be used for the product development debugging, module programming control on the product manufacturing line, and module control during certification procedures.UART_RXD0 I UART0 input, used for Bluetooth (BT) in BT SKU. It can be used as an additional UART in non-BT SKU.UART_TXD0 O UART0 output, used for Bluetooth in case of BT SKU. It can be used as an additional UART in non-BT SKULegend:     O = Output                  I /O = Input /Output        I = Input                  P = Power                          Signal Type DescriptionAV2DATA0 AV2DATA2 AV2DATA3OI2S or left justified audio data output. It is typically connected to an external D/A converter input or an external DSP for further audio processing. AV2DATA0 is used for the main left and right channel audio output data. AV2DATA2 and AV2DATA3 may be used for surround sound rear channels and sub-woofer. See Note 1.AV2DATA1 II2S or left justified audio data input. It can be driven from an optional external A/D converter used to interface to iPod analog output or other analog audio sources, or aux in jack. If not used, leave it open.AV2CTRL0 O LRCK, audio data word clock at the audio sample rate (Fs) (currently, maximum supported frequency is 192 kHz).AV2CTRL1 O MCLK, audio master clock at 256 Fs. It can be used to clock an external D/A converter or an external DSP. The Fs multiplier may vary at sample rates more than 48 kHz.AV2CLK O SCLK, audio data bit clock at 64 Fs. It allows up to 32 audio data bits per sample word.AV4DATA0 O SPDIF format output. It can support sample rate up to 192 kHz. Consequently, the maximum instantaneous frequency on this pin is 24.576 MHz.AV4DATA1 I SPDIF input. Currently it is not used, do not connect. AV3DATA0 AV3DATA1I/O Used for I2S or left justified audio data, depend on firmware and use case. The AV3 port control and clock signals are defined as GPIOs, see Table 1-15. If required, succeeding use cases may use AV3 control and clock signals as audio clocks.Legend: O = Output        I /O = Input /Output           I = Input                  P = Power                          Note 1:For the audio port timing diagrams, setup and hold timing details, refer to the “DM920 Data Sheet” (DS60001278).
CY920DS60001270C-page 12 Preliminary © 2014 Microchip Technology Inc.TABLE 1-10: CONTROLTABLE 1-11: ETHERNETTABLE 1-12: USBSignal Type DescriptionMII_TXD2 I Factory Reset, GPIO-08. An active-high input with internal pull-down. Pull to GND with a 10 k Ω resistor, unless return to factory settings from a hardware control is needed. Generally, return to factory settings is controlled from the Host controller through SPI register. This pin is monitored only during the boot up process.MII_TXD3 I Infrared sensor input, GPIO-09. A Schmitt Trigger input which can handle inputs with slow slopes. It is used for aDMP firmware builds for infrared remote control sensor output connection to DM920. For applications with a Host controller, pull this pin to +3.3V through a 10 k Ω resistor.I2C_SDA, I2C_SCL I/O No internal pull-ups, use maximum 4.7 kΩ pull-up resistor on each pin to +3.3V. The maximum frequency is 400 kHz.NRESET I Low-active input to reset the module. This signal must be driven by an external Reset generator or by a GPIO output from a Host controller. See Section 3.0 “Application Guidelines” for the timing requirements of NRESET signal. The CY920 module includes internal 10K pull-up resistor to +3.3V.Legend:     O = Output                  I /O = Input /Output        I = Input                  P = Power                          Signal Type DescriptionETH_RXN, ETH_RXP, ETH_TXN ETH_TXPM Ethernet signals between the PHY on the module and the external magnetics (transformer). The maximum bit rate is 100 Mbps.ETH_LED_SPEED,ETH_LED_ACTO • 3.3V push-pull outputs from PHY (max. ±12 mA) to drive the Ethernet LEDs • 100 Mbps speed mode and activity are indicated by the outputs being low• Connect ETH_LED_SPEED to LED through 330Ω resistor to +3.3V • Connect ETH_LED_ACT to LED through 330Ω resistor to 0V SPF1 O Ethernet PHY Reset signal, GPIO-17. Do not connect if module Ethernet is used. If Ethernet is not available on the module, it can be used as a GPIO.Legend:     O = Output                  I /O = Input /Output        I = Input                  P = Power                          Signal Type DescriptionUSB_OTG_DN, USB_OTG_DPM USB data signals. It is usually connected to the type A connector, USB switch, iPod dock connector, or Lightning connector. Maximum bit rate is high-speed USB at 480 Mbps.USB_VBUS M Analog input for monitoring the USB type A connector power. Connect to the +5V power which is driving the USB type A connector power pins. If this pin drops below 4.6V, then the DM920 module will drive the USB_PWR_EN signal low to control an external power MOSFET to disconnect +5V power from the USB type A connector. USB_PWR_EN O Logic output to control an external MOSFET, that is in series with the USB type A connector power.USB_ID I Determines whether the USB port is USB Host or USB device. Pull low for the Host and pull high for the device.Legend:     O = Output                  I /O = Input /Output        I = Input                  P = Power
© 2014 Microchip Technology Inc. Preliminary DS60001270C-page 13CY920TABLE 1-13: JTAGTABLE 1-14: VIDEOTABLE 1-15: GPIO (MISCELLANEOUS)Microchip has a set of example schematics that showshow the external circuitry is typically connected to themodule. Please contact Microchip sales team for anyrelated documents or for any assistance.Signal Type DescriptionTMS,TCK,TDI, TDO I/O JTAG ports for the DM920 SoC. Do not connect these pins.Legend:     O = Output                  I /O = Input /Output        I = Input                  P = Power                          Signal Type DescriptionAV0CLK O HD ClockAV0CTRL0 O HD HSYNCAV0CTRL1 O HD VSYNCAV0CTRL2 O HD data enable, GPIO-07. This GPIO is available if HD interface is not used.HDDATA [15:0] O Lower 16 bits of HD video dataAV0DATA [3:0] O HDDATA [19:16]AV1DATA [3:0] O HDDATA [23:20]Legend:     O = Output                  I /O = Input /Output        I = Input                  P = Power                          Signal Type DescriptionMII_CRS, MII_COL, MII_TX_ER,MII_TXCLKI/O GPIO-00, 01, 02, 03. It is used for Bluetooth control signals. For a non-BT module, these signals can be used for other functions.AV3CLK I/O GPIO-04, see Note 1AV3CTRL0 I/O GPIO-05, see Note 1MII_RXD3 I/O GPIO-11, see Note 1HDDATA12 I/O GPIO-12, see Note 2HDDATA13 I/O GPIO-13, see Note 2HDDATA14 I/O GPIO-14, see Note 2HDDATA15 I/O GPIO-15, see Note 2SPF0 I/O GPIO-16, HD_INT (for systems with HDMI transmitter)EXT_PA_EN1_5 I/O GPIO-18, FEM BSELEXT_PA_EN1_24 I/O GPIO-19, see Note 1Legend:     O = Output                  I /O = Input /Output        I = Input                  P = Power                          Note 1: These GPIOs are available.2: These GPIOs are available if HD interface is not used.
CY920DS60001270C-page 14 Preliminary © 2014 Microchip Technology Inc.NOTES:
© 2014 Microchip Technology Inc. Preliminary DS60001270C-page 15CY9202.0 CY920 BOARD LAYOUT AND FEATURESThis section describes the CY920 board and its keycomponents. All production modules include two RFshields: the top shield and the bottom shield. Figure 2-1illustrates the top view of the CY920 board. The figuredoes not show the RF shields because the shields aretemporarily removed to indicate the components.2.1 Top View of CY920 BoardThe top view of the CY920 board features the followingkey components: 1. DM920 SoC2. DDR2 SDRAM3. SPI Flash4. Ethernet PHY5. Wi-Fi Front-end6. Bluetooth SoC7. Wi-Fi/BT Antenna Socket8. Wi-Fi Antenna SocketFIGURE 2-1: CY920 BOARD (TOP VIEW)Note: This data sheet summarizes the featuresof the CY920 network media module. It isnot intended to be a comprehensivereference source. To complement theinformation in this data sheet, refer to thevarious application notes available on theMicrochip web site www.microchip.com.78561423
CY920DS60001270C-page 16 Preliminary © 2014 Microchip Technology Inc.2.2 Bottom View of CY920 BoardFigure 2-2 illustrates the bottom view of the CY920board with the following key components:1. Basic Connector2. Extended Connector (optional)FIGURE 2-2:  CY920 BOARD (BOTTOM VIEW)12
© 2014 Microchip Technology Inc. Preliminary DS60001270C-page 17CY9202.3 Production Board with RF Shield (Top View)Figure 2-3 illustrates the top view of the CY920 boardwith RF shield.FIGURE 2-3: CY920 BOARD WITH RF SHIELD (TOP VIEW)
CY920DS60001270C-page 18 Preliminary © 2014 Microchip Technology Inc.2.4 Production Board with RF Shield (Bottom View)Figure 2-4 illustrates the bottom view of the CY920board with RF shield.FIGURE 2-4: CY920 BOARD WITH RF SHIELD (BOTTOM VIEW)
© 2014 Microchip Technology Inc. Preliminary DS60001270C-page 19CY9203.0 APPLICATION GUIDELINESThis section describes the power-up sequence and theRF guidelines recommended by Microchip.3.1 Power Sequencing and Reset TimingThe power sequencing during power on should startwith the highest voltage rail. The power sequencingshould progress from the higher voltage rail to thelower voltage rail, i.e power-up 3.3V, 2.5V, 1.8V, andthen 1.2V with a delay of 2 ms between each power rail.During power-down, the power sequencing should bein the reverse direction, i.e., remove 1.2V, 1.8V, 2.5V,and then 3.3V. The power-up sequence is mandatoryand the power-down sequence is preferred, butoptional. Figure 3-1 illustrates the power-up timing.FIGURE 3-1: POWER-UP SEQUENCE3.2 RF ConsiderationsThe overall performance of the system, RF, andWi-Fi/BT is significantly affected by the product design,environment and application. It is the responsibility ofthe product designer to ensure system level shielding(if required) and to verify the performance of the givenproduct features and applications.The Wi-Fi/BT performance will be affected by the RFenvironment surrounding the CY920 module. Considerthe following precautions for optimal Wi-Fi/BTperformance:• The CY920 module is positioned in a noise-free RF environment, i.e, away from high frequency clock signals and any other sources of RF energy. • The antenna is not shielded by any metal objects, such as loudspeakers or any other metal parts.• The power supplies are clean and noise-free.Note: This data sheet summarizes the featuresof the CY920 network media module. It isnot intended to be a comprehensivereference source. To complement theinformation in this data sheet, refer to thevarious application notes available on theMicrochip web site www.microchip.com.3.3V2.5V1.8V1.2VNote: The CY920 module includes RF shieldingon the top and bottom of the board as astandard feature.
CY920DS60001270C-page 20 Preliminary © 2014 Microchip Technology Inc.NOTES:
© 2014 Microchip Technology Inc. Preliminary DS60001270C-page 21CY9204.0 Wi-Fi SPECIFICATIONTable 4-1 describes the Wi-Fi specifications of theCY920 module.TABLE 4-1: Wi-Fi® SPECIFICATIONS (1, 2, 4, 5, 6)Feature DescriptionWLAN StandardsIEEE 802.11aIEEE 802.11bIEEE 802.11gIEEE 802.11nFrequency Band/Channels2.412 - 2.472 GHz (2.4 GHz ISM Band, 13 Channels)Channel 1 - Channel 135.180 - 5.240 GHz (U-NII lower band) 5.260 - 5.320 GHz (U-NII middle band), see Note 35.500 - 5.700 GHz (U-NII middle band extended), see Note 3 5.745 - 5.825 GHz (U-NII upper band/ISM band)North America FCC, Japan Telec, Europe ETSIModulation802.11a mode (OFDM: IEEE 802.11a)802.11b mode (DS-SS: IEEE 802.11b)802.11g mode (OFDM: IEEE 802.11g)802.11n mode (OFDM: IEEE 802.11n)Transmission Speed802.11a mode 54 Mbps, 48 Mbps, 36 Mbps, 24 Mbps, 18 Mbps, 12 Mbps, 9 Mbps, 6 Mbps802.11b mode11 Mbps, 5.5 Mbps, 2 Mbps, 1 Mbps802.11g mode54 Mbps, 48 Mbps, 36 Mbps, 24 Mbps, 18 Mbps, 12 Mbps, 9 Mbps, 6 Mbps802.11n modeMCS0 to MCS7(20 MHz and 40 MHz supported)Normal and short GI supported (PHY data rates up to 150 Mbps for 40 MHz mode + short GI)Note 1: With respect to TX power, different (higher/lower) RF output power settings may be used for specific regions, antennas and/or enclosures, in which case recertification may be required.2: 802.11n Greenfield is not supported. (Greenfield forces 802.11n operation even in the presence of 802.11b/g AP)3: Dynamic Frequency Selection (DFS) is supported by the hardware. Firmware support for DFS may not be in initial firmware releases, but will follow in a later firmware release.4: 802.11n 20 MHz and 40 MHz bandwidth is supported.5: The availability of some specific channels and/or operational frequency bands are country dependent and are firmware programmed at the Host product factory to match the intended destination. The firmware setting is not accessible to the end user of the Host product.6: Specifications are based on nominal test settings during module production at room temperature.
CY920DS60001270C-page 22 Preliminary © 2014 Microchip Technology Inc.TX Power802.11a mode+12.5 dBm +/-3 dB (U-NII lower and U-NII upper/ISM band) 802.11n HT20 mode+11.5 dBm +/-3 dB (U-NII lower and U-NII upper/ISM band)802.11n HT40 mode+10 dBm +/-3 dB (U-NII lower and U-NII upper/ISM band)802.11b mode+16.5 dBm +/- 3 dB802.11g mode+13 dBm +/-3 dB802.11n (HT20/40) mode+12 dBm +/-3 dB (2.4GHz ISM)Power-on Ramp Adhering to IEEE specificationRF Carrier SuppressionAdhering to IEEE specificationTX EVM802.11a mode-25 dB at 54 Mbps802.11b mode-10 dB at 11 Mbps802.11g mode-25 dB at 54 Mbps802.11n mode-27 dB at MCS7RX Sensitivity  802.11a mode-65 dB at 54 Mbps802.11b mode-76 dB at 11 Mbps802.11g mode-65 dB at 54 Mbps802.11n mode-64 dB at MCS7/20 MHz; -61 dB at MCS7/40 MHzThroughput rate (measured for each module)See factory test specificationTABLE 4-1: Wi-Fi® SPECIFICATIONS (1, 2, 4, 5, 6) (CONTINUED)Feature DescriptionNote 1: With respect to TX power, different (higher/lower) RF output power settings may be used for specific regions, antennas and/or enclosures, in which case recertification may be required.2: 802.11n Greenfield is not supported. (Greenfield forces 802.11n operation even in the presence of 802.11b/g AP)3: Dynamic Frequency Selection (DFS) is supported by the hardware. Firmware support for DFS may not be in initial firmware releases, but will follow in a later firmware release.4: 802.11n 20 MHz and 40 MHz bandwidth is supported.5: The availability of some specific channels and/or operational frequency bands are country dependent and are firmware programmed at the Host product factory to match the intended destination. The firmware setting is not accessible to the end user of the Host product.6: Specifications are based on nominal test settings during module production at room temperature.
© 2014 Microchip Technology Inc. Preliminary DS60001270C-page 23CY9205.0 BLUETOOTH SPECIFICATIONSThe Bluetooth (BT) subsystem included in the CY920module shares the antenna connections with the Wi-Fisubsystem. Dedicated control signals between theDM920 module and the BT controller perform PacketTraffic Arbitration (PTA) to optimise co-existencebetween the Wi-Fi and BT subsystems. A high-speedUART interface is used to send data from the BTcontroller to the DM920 SoC for further processing.5.1 FeaturesThe following are the Bluetooth features:• Compliant with Bluetooth v2.1 + EDR specification• SBC and AAC codec• A2DP and AVRCP profiles• WLAN and Bluetooth co-existence using PTA and AFH• Utilises single antenna, shared with Wi-Fi• Operating band: 2.4 GHz ISM band• Output power Class 2 (+4 dBm)• Low power consumption5.2 Bluetooth Radio CharacteristicsTable 5-1 provides Rx and Tx characteristics of theBluetooth radio.TABLE 5-1: RADIO CHARACTERISTICSParameter Min. Typical Max. Bluetooth Spec UnitsSensitivity at 0.1% BER — —  — ≤ -70 dBmRF transmit power -6 — 4 ≤ 4dBmInitial carrier frequency tolerance — 25 75 75 kHz20 dB bandwidth for modulated carrier — — 1000 ≤ 1000 kHzModulation characteristics (f1_ave) 140 165 175 > 140 kHzModulation characteristics (f2_max) 115 145 — ≥ 115 kHzNote 1: Specifications are based on nominal test settings during module production at room temperature.
CY920DS60001270C-page 24 Preliminary © 2014 Microchip Technology Inc.NOTES:
© 2014 Microchip Technology Inc. Preliminary DS60001270C-page 25CY9206.0 PACKAGING INFORMATIONFigure 6-1 and Figure 6-2 illustrate the top and bottomdimensions of the CY920 board.FIGURE 6-1: CY920 BOARD DIMENSIONS (TOP VIEW) Note 1: PCB panel width and height tolerance is 0.1 mm.2: Plated hole is 0.075 mm.3: Non-plated hole is 0.05 mm.
CY920DS60001270C-page 26 Preliminary © 2014 Microchip Technology Inc.FIGURE 6-2:  CY920 BOARD DIMENSIONS (BOTTOM VIEW) Note 1: PCB panel width and height tolerance is 0.1 mm.2: Plated hole is 0.075 mm.3: Non-plated hole is 0.05 mm.
CY920DS60001270C-page 27 Preliminary © 2014 Microchip Technology Inc.6.1 3D View of the CY920 BoardFigure 6-3 illustrates the 3D view of the CY920 board.FIGURE 6-3: CY920 Board (3D View)40.0060.001.004.30R1.6016.3057.402.254.55
CY920DS60001270C-page 28 Preliminary © 2014 Microchip Technology Inc.6.2 Module WeightTable 6-1 provides the weight for the various SKUs ofthe CY920 module.TABLE 6-1: MODULE WEIGHTConfiguration Code Weight (g)CY920-A 17.5gCY920-B 18.5gCY920-C 18.7g
© 2014 Microchip Technology Inc. Preliminary DS60001270C-page 29CY9207.0 ELECTRICAL CHARACTERISTICSThis section provides an overview of the electrical characteristics of the CY920 module. Additional information will beprovided in future revisions of this document as it becomes available. Absolute maximum ratings for the CY920 network media module are listed in the following table.Absolute Maximum Ratings   Table 7-1 provides the basic electric specifications of the CY920 module.TABLE 7-1: BASIC SPECIFICATIONSParameter Component Min. Max. Unit3.3V Supply VoltageMain-0.5 4.6 V1.2V Supply Voltage -0.5 1.8 V1.8V Supply Voltage -0.5 2.1 V2.5V Supply Voltage -0.5 3.0 V†NOTICE: Stresses above those listed under “Absolute Maximum Ratings” may cause permanent damage to the device. This is a stress rating only and functional operation of the device at those or any other conditions above those indicated in the operation listings of this specification, is not implied. Exposure to maximum rating conditions for extended periods may affect device reliability.Parameter Symbol Min. Typ Max. UnitPower supply input voltage VIN 3.1651.141.712.3753.31.21.82.53.4651.261.892.625VVVVLogic input high voltage VIH 2—3.6VLogic input low voltage VIL -0.3 — 0.8 VLogic input threshold voltage VT1.39 1.51 1.65 VSchmitt-trigger input low to high threshold voltageVT+ 1.63 1.76 1.9 VSchmitt-trigger input high to low threshold voltageVT- 1.18 1.3 1.44 VLogic output high voltage VOH 2.4 — — VLogic output low voltage VOL ——0.4VLogic low-level output current(VOL=0.4V)IOL 10.0 15.2 20.2 mALogic high-level output current(VOH=2.4V)IOH 13.9 28.0 48.2 mA
CY920DS60001270C-page 30 Preliminary © 2014 Microchip Technology Inc.Table 7-2 provides the current consumption details invarious measurement conditions. The current consumption per voltage rail and powerconsumption details will be provided in the futurerevision of this document.TABLE 7-2: POWER CONSUMPTION(1)Measurement ConditionCurrent Consumption per Voltage Rail (mA) PowerConsumption(mW)1.2V 1.8V 2.5V 3.3VMaximum expected current consumption per rail across operating modes (continuous Tx/Rx mode with all function active), see Note 2. ———— —Wi-Fi streaming (Ethernet, USB and Bluetooth power-down) — — — — —Wi-Fi streaming (USB active, Ethernet and Bluetooth power-down) — — — — —Wi-Fi streaming (USB and Bluetooth active) — — — — —Ethernet streaming (Wi-Fi, USB and Bluetooth power-down) — — — — —Ethernet streaming (USB active, Wi-Fi and Bluetooth power-down) — — — — —Bluetooth streaming (Ethernet, Wi-Fi and USB power down) — — — — —Bluetooth streaming (USB active, Ethernet and Wi-Fi power-down) — — — — —Bluetooth streaming (Ethernet active, Wi-Fi and USB power down) — — — — —PSM wake up on Wi-Fi (PSM JB Green) (DTIM=1), see Note 2———— —PSM wake up on Wi-Fi (PSM JB Green) (DTIM=1), see Note 2———— —PSM wake up on Ethernet and wake on Wi-Fi (PSM JB Green)  — — — — —Hibernate mode: Wake on Host or GPIO (Wi-Fi, Ethernet, Bluetooth and USB in power-down), see Note 2———— —Hibernate mode: Wake on Host or GPIO (Wi-Fi, Ethernet, Bluetooth and USB in power-down), see Note 2———— —CY920 module held in Reset — — — — —Note 1: All current consumptions are estimates, and will be revised after initial modules are characterised. 2: The worst case maximum is when all functions are active and when the Wi-Fi is transmitting in continuous Tx/Rx mode. This mode is used only during the Wi-Fi RF certification test. A separate software will be required to perform this test. Power supplies should be designed with some additional derating on top of the maximum value, typically +30%.
© 2014 Microchip Technology Inc. Preliminary DS60001270C-page 31CY920Table 7-3 lists the CY920 module operating conditions.TABLE 7-3: OPERATING CONDITIONSParameter Min. Max. UnitOperating Temperature  0 +70 °COperating Humidity 10 90 (non-condensing) %RHStorage Temperature -10 +75 °CStorage Humidity 10 95 (non-condensing) %RHStorage Temperature Cycle Test (24 hrs) -10 +75 °CNote 1: For more information on various SKUs of the CY920 module, refer to Tab l e 9 - 1 .
CY920DS60001270C-page 32 Preliminary © 2014 Microchip Technology Inc.NOTES:
© 2014 Microchip Technology Inc. Preliminary DS60001270C-page 33CY9208.0 REGULATORY COMPLIANCE AND QUALITYThis section addresses the various regulatorystandards that are compliant with the CY920 module.Microchip does not certify all module variants for all thecountries. Ta b le 8 - 1  provides the module versions forwhich certain certifications have already been done.The information about certified modules and Bluetoothqualifications will be provided in the future revisions ofthis document.TABLE 8-1: REGULATORY COMPLIANCEContact Microchip’s sales office for the latestinformation on certified modules for a particular county,and arranging for an additional certification for yourchosen module, if needed. Any additional certificationwill need to be paid for by the customer.The product manufacturer is responsible for the endproduct certification. Microchip can help manufacturersto prepare for the Wi-Fi Alliance test for the Wi-Ficertification by providing an example test plan and therequired commands to enable special test modes.Please contact Microchip’s sales office for anyassistance on Wi-Fi Alliance Logo certification.For documents related to Wi-Fi certification andrecommended interfacing and power supplyschematics, refer to the Microchip web site atwww.microchip.com.     .Note: This data sheet summarizes the featuresof the CY920 network media module. It isnot intended to be a comprehensivereference source. To complement theinformation in this data sheet, refer to thevarious application notes available on theMicrochip web site www.microchip.com.Description Country Compliance Certified ModulesElectromagnetic Compatibility (Prescan)USA FCC CFR47 Part15B—Europe EN 301 489-1EN 301 489-17Canada IC RSS-GENRadio RegulationsUSA FCC CFR47 Part 15C, para 15.247FCC CFR47 Part 15E, para 15.407—Europe EN 300 328EN 301 893Canada IC RSS-210Japan ARIB STD-T66ARIB STD-T71Bluetooth Qualifications — — —
CY920DS60001270C-page 34 Preliminary © 2014 Microchip Technology Inc.8.1 Antenna ConsiderationsTable 8.2 provides the list of antennas along with themanufacturer and part number details.TABLE 8-2: ANTENNA LISTTable 8.3 provides the antennas to be used for thevarious SKUs as per Table 8.2.TABLE 8-3: ANTENNAS FOR VARIOUS SKUs8.2 CY920 Usage Guidelines under Modular ApprovalThe CY module has received Limited ModuleApproval (LMA) from FCC and IC. This is because theCY module does not have complete built-in Powerregulator circuit. Microchip recommends thatcustomers follow the supply voltage requirementsprovided in this data sheet, and follow the Powersupply design provided in the “CY Module PowerSupply V1.0” document. It is the product manufacturerresponsibility to ensure that the power supplyrecommendations are followed, and the RF behavioradheres the FCC or TCB certification requirementswhen the module is installed in the final Host product.The product manufacturer should work with their testhouse for confirming the RF behavior with FCC or TCB.8.3 Restriction of Use of Hazardous Substances (RoHS) ComplianceCY920 module uses only RoHS compliant components.Sl No. Manufacturer Part Number Antenna Type Peak Gain1 WALSIN PI_RFDPA870920IMLB301_V01 Dipole Antenna 1.84 dBi for 2.4 GHz2 WALSIN PI_RFDPA870920IMLB301_V01 Dipole Antenna 3.26 dBi for 5 GHz3 WALSIN PI_RFDPA870930IMLB301_V01 Dipole Antenna 1.10 dBi for 2.4 GHz4 WALSIN PI_RFDPA870930IMLB301_V01 Dipole Antenna 2.77 dBi for 5 GHz5 WALSIN RFDPA870930IMAB301 Dipole Antenna 1.2 dBi for 2.4 GHz6 WALSIN RFDPA870945IMAB301 Dipole Antenna 1.16 dBi for 2.4 GHz7 WALSIN RFDPA870900SBAB801* + RFCBA100630SA6B301Dipole Antenna 0.7 dBi for 2.4 GHz8 WALSIN RFDPA870900SBAB801* + RFCBA100645SA6B301Dipole Antenna 0.1 dBi for 2.4 GHzNote 1: * The antenna connector is reverse SMA type.Configuration Code Antenna List (Sl No.)CY920-A 1, 2, 3, 4, 5, 6, 7, 8CY920-B —CY920-C 1, 2, 3, 4, 5, 6, 7, 8Note 1: The antenna list for CY920-B SKU will be provided in the future revisions of this document.
CY920DS60001270C-page 35 Preliminary © 2014 Microchip Technology Inc.9.0 ORDERING GUIDETable 9-1 describes the various SKUs of CY920 network media module.TABLE 9-1: ORDERING GUIDE(1)Note: This data sheet summarizes the features of the CY920 networkmedia module. It is not intended to be a comprehensive referencesource. To complement the information in this data sheet, refer tothe various application notes available on the Microchip web sitewww.microchip.com.Part number Microchip IC Status Two External Diversity Antennas Ethernet (10/100 Mbps) USB Extended Connector 64 MB DDR216 MB Serial Flash Bluetooth Top Module Shield Bottom Module ShieldCY920-A DM920 Launch 9—9—999 99CY920-B DM920 Launch 9999 99—99CY920-C DM920 Launch 9999999 99Note 1: The Apple Authentication Coprocessor is not available on the CY920 module. The Apple Authentication Coprocessor should be provided on the product motherboard, connected to the SDA, SCL signals from the CY920 module.Note:Do not use a module which has two external antenna connectorswith only one external antenna connected. Leaving one antennasocket open will degrade Wi-Fi performance. Microchiprecommends using two external antennas for best performance.
CY920DS60001270C-page 36 Preliminary © 2014 Microchip Technology Inc.NOTES:
© 2014 Microchip Technology Inc. Preliminary DS60001270C-page 37CY920APPENDIX A: CERTIFICATION NOTICESThe CY920 module is not tested for FederalCommunications Commission (FCC). The followingstatements are not valid until the production versionmodules are tested. It is planned to certify theproduction version of the CY920 module as soon aspossible after production versions are made.Federal Communications Commission Interference StatementThis equipment has been tested and found to complywith the limits for a Class B digital device, pursuant topart 15 of the FCC Rules. These limits are designed toprovide reasonable protection against harmfulinterference in a residential installation. This equipmentgenerates, uses, and radiates radio frequency energyand, if not installed and used in accordance with theinstructions, may cause harmful interference to radiocommunications. However, there is no guarantee thatinterference will not occur in a particular installation. Ifthis equipment does cause harmful interference toradio or television reception, which can be determinedby turning the equipment off and on, the user isencouraged to try to correct the interference by one ormore of the following measures:• Reorient or relocate the receiving antenna.• Increase the separation between the equipment and receiver.• Connect the equipment into an outlet on a circuit different from that to which the receiver is connected.• Consult the dealer or an experienced radio/ TV technician for help. Labeling RequirementsThis device complies with Part 15 of the FCC Rules. Theoperation is subject to the following two conditions: thedevice may not cause harmful interference, and thedevice must accept any interference received, includinginterferences that may cause undesired operations.RF Exposure WarningThis equipment must be installed and operated inaccordance with provided instructions. The antennasused for this transmitter must be installed to provide aseparation distance of at least 20 cm from all personsand must not be co-located or operating in conjunctionwith any other antenna or transmitter. End users andinstallers must be provide with antenna installationinstructions and transmitter operating conditions for satisfying RF exposure compliance.Information for the OEMs or IntegratorsThe following statement must be included in allversions of this document supplied to OEMs orintegrators, but should not be distributed to the enduser.“This device is intended for OEM or integrators only.Please see the full Grant of Equipment document forother restrictions. This device must be operated andused with a locally approved Access “.Information to be Supplied to the End User by the OEM or IntegratorThe following regulatory and safety notices must bepublished in all documentation supplied to the end userof the product or system, incorporating an adapter incompliance with local regulations.“The host system must be labelled with: Contains FCCID:ZQO-CY920‘X’ and IC: 2581A-CY920‘X’, FCC IDdisplayed on the label. The letter shown in Ordering Guide Part Numbercolumn should be substituted for ‘X’. For example, forthe CY920-C module, the label text should be"Contains FCC ID:ZQO-CY920C"and "IC:2581A-CY920C. The label text should be updatedaccording to the table shown in Section 9.0 “OrderingGuide” of this document. Caution:Any changes or modifications notexpressly approved by the grantee of thisdevice could void the user's authority tooperate the equipment.Applicable to UNII device only: Thedevice is restricted to indoor use whenoperating in the 5.15 GHz to 5.25 GHzfrequency band. FCC requires thisproduct to be used indoors for frequencyrange 5.15 GHz to 5.25 GHz to reducethe potential for harmful interference toco-channel mobile satellite systems.
CY920DS60001270C-page 38 Preliminary © 2014 Microchip Technology Inc.JapanThis device operation in the 5.15 GHz to 5.35 GHzfrequency range is restricted to indoor use. Finalproduct shall be labelled "For Indoor use only."Canada, Industry Canada (IC) Notices This Class B digital apparatus complies with CanadianICES-003 and RSS-210. Operation is subject to the following two conditions: thedevice may not cause interference, and the devicemust accept any interference, including interferencethat may cause undesired operation of the device.This radio transmitter "IC: 2581A-CY920‘X’ has beenapproved by Industry Canada to operate with theantenna types listed in Table 8.2 with the maximumpermissible gain and required antenna impedance foreach antenna type indicated. Antenna types notincluded in this list, having a gain greater than themaximum gain indicated for that type, are strictlyprohibited for use with this device.RF Exposure Information The radiated output power of the wireless device isbelow the Industry Canada (IC) radio frequencyexposure limits. The Wireless Device should be used insuch a manner that the potential for human contactduring normal operation is minimized. This device has been evaluated and shown compliantwith the IC radio frequency exposure limits undermobile exposure conditions. (antennas are greaterthan 20cm from a person's body).This device has been certified for use in Canada.Status of the listing in the Industry Canada's RadioEquipment List (REL) can be found at the followinglocations:http://www.ic.gc.ca/app/sitt/reltel/srch/nwRdSrch.do?lang=engAdditional Canadian information on RF exposure canbe found at the following location:http://www.ic.gc.ca/eic/site/smt-gst.nsf/eng/sf08792.htmlCanada, avis d'Industry Canada (IC)Cet appareil numérique de classe B est conforme auxnormes canadiennes ICES-003 et RSS-210. Son fonctionnement est soumis aux deux conditionssuivantes: (1) cet appareil ne doit pas causerd'interférence et (2) cet appareil doit accepter touteinterférence, notamment les interférences qui peuventaffecter son fonctionnement.Cet émetteur radio "IC: 2581A-CY920‘X’ a étéapprouvé par Industrie Canada pour  fonctionner avecles types d'antennes énumérés dans le tableau 7-2avec le gain maximal admissible et impédanced'antenne requise pour chaque type d'antenne indiqué.Types d'antennes n'est pas inclus dans cette liste,ayant un gain supérieur au gain maximal indiqué pource type, sont strictement interdits pour une utilisationavec cet appareil.Informations concernant l'exposition aux fréquences radio (RF)La puissance de sortie émise par l'appareil de sans filDell est inférieure à la limite d'exposition auxfréquences radio d'Industry Canada (IC). Utilisezl'appareil de sans fil Dell de façon à minimiser lescontacts humains lors du fonctionnement normal.Ce périphérique a également été évalué et démontréconforme aux limites d'exposition aux RF d'IC dans desconditions d'exposition à des appareils mobiles (lesantennes se situent à moins de 20 cm du corps d'unepersonne). Ce périphérique est homologué pour l'utilisation auCanada. Pour consulter l'entrée correspondant àl'appareil dans la liste d'équipement radio (REL - RadioEquipment List) d'Industry Canada rendez-vous sur:http://www.ic.gc.ca/app/sitt/reltel/srch/nwRdSrch.do?lang=engPour des informations supplémentaires concernantl'exposition aux RF au Canada rendez-vous sur:http://www.ic.gc.ca/eic/site/smt-gst.nsf/eng/sf08792.htmlCaution:Applicable to LE-LAN device only: Thisdevice is restricted to indoor use whenoperating in the 5.15 GHz to 5.25 GHzfrequency band. Industry Canadarequires this product to be used indoorsfor frequency range 5.15 to 5.25 GHz toreduce the potential for harmfulinterference to co-channel Mobile Satellitesystems.Caution:Prudence (ce n'est applicable qu'auxdispositif LE-LAN): Ce dispositif est limitéà une utilisation en intérieur à cause deson fonctionnement dans la gamme 5.15GHz à 5.25 GHz. Industrie Canada exigeque ce produit est utilisé à l'intérieur pourla gamme de fréquence de 5,15 à 5,25GHz pour réduire les risquesd'interférence nuisible à la co-canalsystèmes mobiles par satellite.
© 2014 Microchip Technology Inc. Preliminary DS60001270C-page 39CY920APPENDIX B: REVISION HISTORYRevision A (January 2014)This is the initial release of the CY920 Network MediaModule data sheet.Revision B (March 2014)•Replaced Figure 6-1 and Figure 6-2 in Section 6.0 “Packaging Information”• Added Figure 2-3 and Figure 2-4Revision C (June 2014)This revision includes the following updates:• Figures:- Updated Figure 2-1, Figure 2-2, Figure 2-3, and Figure 2-4- Added Figure 3-1-Replaced Figure 6-1 and Figure 6-2• Notes:- Updated Note 4 in Table 4-1- Added Note 6 in Table 4-1- Removed Note 3 in Ta b l e 7 - 2• Sections:- Updated the components in Section 2.1 “Top View of CY920 Board”- Updated Section 3.1 “Power Sequencing and Reset Timing”- Updated Section 8.2 “CY920 Usage Guidelines under Modular Approval”• Tables:- Updated Table 1-1, Tab l e 4 - 1 , and Table 7-2-Replaced Table 5 - 1  and Ta bl e 8 - 2- Removed Table 5-2- Added Ta b l e 6 - 1  and Table 8-3- Removed the CY920-E SKU in Table 9 - 1• Minor changes related to formatting have been incorporated in the entire document
CY920DS60001270C-page 40 Preliminary © 2014 Microchip Technology Inc.NOTES:
© 2014 Microchip Technology Inc. Preliminary DS60001270C-page 41CY920THE MICROCHIP WEB SITEMicrochip provides online support via our WWW site atwww.microchip.com. This web site is used as a meansto make files and information easily available tocustomers. Accessible by using your favorite Internetbrowser, the web site contains the followinginformation:•Product Support – Data sheets and errata, application notes and sample programs, design resources, user’s guides and hardware support documents, latest software releases and archived software•General Technical Support – Frequently Asked Questions (FAQ), technical support requests, online discussion groups, Microchip consultant program member listing•Business of Microchip – Product selector and ordering guides, latest Microchip press releases, listing of seminars and events, listings of Microchip sales offices, distributors and factory representativesCUSTOMER CHANGE NOTIFICATION SERVICEMicrochip’s customer notification service helps keepcustomers current on Microchip products. Subscriberswill receive e-mail notification whenever there arechanges, updates, revisions or errata related to aspecified product family or development tool of interest.To register, access the Microchip web site atwww.microchip.com. Under “Support”, click on“Customer Change Notification” and follow theregistration instructions.CUSTOMER SUPPORTUsers of Microchip products can receive assistancethrough several channels:• Distributor or Representative• Local Sales Office• Field Application Engineer (FAE)• Technical SupportCustomers should contact their distributor,representative or Field Application Engineer (FAE) forsupport. Local sales offices are also available to helpcustomers. A listing of sales offices and locations isincluded in the back of this document.Technical support is available through the web siteat: http://microchip.com/support
CY920DS60001270C-page 42 Preliminary © 2014 Microchip Technology Inc.NOTES:
DS60001270C-page 43 © 2014 Microchip Technology Inc.AMERICASCorporate Office2355 West Chandler Blvd.Chandler, AZ 85224-6199Tel: 480-792-7200 Fax: 480-792-7277Technical Support: http://www.microchip.com/supportWeb Address: www.microchip.comAtlantaDuluth, GA Tel: 678-957-9614 Fax: 678-957-1455Austin, TXTel: 512-257-3370 BostonWestborough, MA Tel: 774-760-0087 Fax: 774-760-0088ChicagoItasca, IL Tel: 630-285-0071 Fax: 630-285-0075ClevelandIndependence, OH Tel: 216-447-0464 Fax: 216-447-0643DallasAddison, TX Tel: 972-818-7423 Fax: 972-818-2924DetroitNovi, MI Tel: 248-848-4000Houston, TX Tel: 281-894-5983IndianapolisNoblesville, IN Tel: 317-773-8323Fax: 317-773-5453Los AngelesMission Viejo, CA Tel: 949-462-9523 Fax: 949-462-9608New York, NY Tel: 631-435-6000San Jose, CA Tel: 408-735-9110Canada - TorontoTel: 905-673-0699 Fax: 905-673-6509ASIA/PACIFICAsia Pacific OfficeSuites 3707-14, 37th FloorTower 6, The GatewayHarbour City, KowloonHong KongTel: 852-2943-5100Fax: 852-2401-3431Australia - SydneyTel: 61-2-9868-6733Fax: 61-2-9868-6755China - BeijingTel: 86-10-8569-7000 Fax: 86-10-8528-2104China - ChengduTel: 86-28-8665-5511Fax: 86-28-8665-7889China - ChongqingTel: 86-23-8980-9588Fax: 86-23-8980-9500China - HangzhouTel: 86-571-8792-8115 Fax: 86-571-8792-8116China - Hong Kong SARTel: 852-2943-5100 Fax: 852-2401-3431China - NanjingTel: 86-25-8473-2460Fax: 86-25-8473-2470China - QingdaoTel: 86-532-8502-7355Fax: 86-532-8502-7205China - ShanghaiTel: 86-21-5407-5533 Fax: 86-21-5407-5066China - ShenyangTel: 86-24-2334-2829Fax: 86-24-2334-2393China - ShenzhenTel: 86-755-8864-2200 Fax: 86-755-8203-1760China - WuhanTel: 86-27-5980-5300Fax: 86-27-5980-5118China - XianTel: 86-29-8833-7252Fax: 86-29-8833-7256China - XiamenTel: 86-592-2388138 Fax: 86-592-2388130China - ZhuhaiTel: 86-756-3210040 Fax: 86-756-3210049ASIA/PACIFICIndia - BangaloreTel: 91-80-3090-4444 Fax: 91-80-3090-4123India - New DelhiTel: 91-11-4160-8631Fax: 91-11-4160-8632India - PuneTel: 91-20-3019-1500Japan - OsakaTel: 81-6-6152-7160 Fax: 81-6-6152-9310Japan - TokyoTel: 81-3-6880- 3770 Fax: 81-3-6880-3771Korea - DaeguTel: 82-53-744-4301Fax: 82-53-744-4302Korea - SeoulTel: 82-2-554-7200Fax: 82-2-558-5932 or 82-2-558-5934Malaysia - Kuala LumpurTel: 60-3-6201-9857Fax: 60-3-6201-9859Malaysia - PenangTel: 60-4-227-8870Fax: 60-4-227-4068Philippines - ManilaTel: 63-2-634-9065Fax: 63-2-634-9069SingaporeTel: 65-6334-8870Fax: 65-6334-8850Taiwan - Hsin ChuTel: 886-3-5778-366Fax: 886-3-5770-955Taiwan - KaohsiungTel: 886-7-213-7830Taiwan - TaipeiTel: 886-2-2508-8600 Fax: 886-2-2508-0102Thailand - BangkokTel: 66-2-694-1351Fax: 66-2-694-1350EUROPEAustria - WelsTel: 43-7242-2244-39Fax: 43-7242-2244-393Denmark - CopenhagenTel: 45-4450-2828 Fax: 45-4485-2829France - ParisTel: 33-1-69-53-63-20 Fax: 33-1-69-30-90-79Germany - DusseldorfTel: 49-2129-3766400Germany - MunichTel: 49-89-627-144-0 Fax: 49-89-627-144-44Germany - PforzheimTel: 49-7231-424750Italy - Milan Tel: 39-0331-742611 Fax: 39-0331-466781Italy - VeniceTel: 39-049-7625286 Netherlands - DrunenTel: 31-416-690399 Fax: 31-416-690340Poland - WarsawTel: 48-22-3325737 Spain - MadridTel: 34-91-708-08-90Fax: 34-91-708-08-91Sweden - StockholmTel: 46-8-5090-4654UK - WokinghamTel: 44-118-921-5800Fax: 44-118-921-5820Worldwide Sales and Service03/25/14
© 2014 Microchip Technology Inc.  DS60001270C-page 44Information contained in this publication regarding deviceapplications and the like is provided only for your convenienceand may be superseded by updates. It is your responsibility toensure that your application meets with your specifications.MICROCHIP MAKES NO REPRESENTATIONS ORWARRANTIES OF ANY KIND WHETHER EXPRESS ORIMPLIED, WRITTEN OR ORAL, STATUTORY OROTHERWISE, RELATED TO THE INFORMATION,INCLUDING BUT NOT LIMITED TO ITS CONDITION,QUALITY, PERFORMANCE, MERCHANTABILITY ORFITNESS FOR PURPOSE.  Microchip disclaims all liabilityarising from this information and its use. Use of Microchipdevices in life support and/or safety applications is entirely atthe buyer’s risk, and the buyer agrees to defend, indemnify andhold harmless Microchip from any and all damages, claims,suits, or expenses resulting from such use. No licenses areconveyed, implicitly or otherwise, under any Microchipintellectual property rights.TrademarksThe Microchip name and logo, the Microchip logo, dsPIC, FlashFlex, flexPWR, JukeBlox, KEELOQ, KEELOQ logo, Kleer, LANCheck, MediaLB, MOST, MOST logo, MPLAB, OptoLyzer, PIC, PICSTART, PIC32 logo, RightTouch, SpyNIC, SST, SST Logo, SuperFlash and UNI/O are registered trademarks of Microchip Technology Incorporated in the U.S.A. and other countries.The Embedded Control Solutions Company and mTouch are registered trademarks of Microchip Technology Incorporated in the U.S.A.Analog-for-the-Digital Age, BodyCom, chipKIT, chipKIT logo, CodeGuard, dsPICDEM, dsPICDEM.net, ECAN, In-Circuit Serial Programming, ICSP, Inter-Chip Connectivity, KleerNet, KleerNet logo, MiWi, MPASM, MPF, MPLAB Certified logo, MPLIB, MPLINK, MultiTRAK, NetDetach, Omniscient Code Generation, PICDEM, PICDEM.net, PICkit, PICtail, RightTouch logo, REAL ICE, SQI, Serial Quad I/O, Total Endurance, TSHARC, USBCheck, VariSense, ViewSpan, WiperLock, Wireless DNA, and ZENA are trademarks of Microchip Technology Incorporated in the U.S.A. and other countries.SQTP is a service mark of Microchip Technology Incorporated in the U.S.A.Silicon Storage Technology is a registered trademark of Microchip Technology Inc. in other countries.GestIC is a registered trademarks of Microchip Technology Germany II GmbH & Co. KG, a subsidiary of Microchip Technology Inc., in other countries. All other trademarks mentioned herein are property of their respective companies.© 2014, Microchip Technology Incorporated, Printed in the U.S.A., All Rights Reserved. ISBN: 978-1-63276-344-0Note the following details of the code protection feature on Microchip devices:• Microchip products meet the specification contained in their particular Microchip Data Sheet.• Microchip believes that its family of products is one of the most secure families of its kind on the market today, when used in the intended manner and under normal conditions.• There are dishonest and possibly illegal methods used to breach the code protection feature. All of these methods, to our knowledge, require using the Microchip products in a manner outside the operating specifications contained in Microchip’s Data Sheets. Most likely, the person doing so is engaged in theft of intellectual property.• Microchip is willing to work with the customer who is concerned about the integrity of their code.• Neither Microchip nor any other semiconductor manufacturer can guarantee the security of their code. Code protection does not mean that we are guaranteeing the product as “unbreakable.”Code protection is constantly evolving. We at Microchip are committed to continuously improving the code protection features of ourproducts. Attempts to break Microchip’s code protection feature may be a violation of the Digital Millennium Copyright Act. If such actsallow unauthorized access to your software or other copyrighted work, you may have a right to sue for relief under that Act.Microchip received ISO/TS-16949:2009 certification for its worldwide headquarters, design and wafer fabrication facilities in Chandler and Tempe, Arizona; Gresham, Oregon and design centers in California and India. The Company’s quality system processes and procedures are for its PIC® MCUs and dsPIC® DSCs, KEELOQ® code hopping devices, Serial EEPROMs, microperipherals, nonvolatile memory and analog products. In addition, Microchip’s quality system for the design and manufacture of development systems is ISO 9001:2000 certified.QUALITYMANAGEMENTSYSTEMCERTIFIEDBYDNV== ISO/TS16949==

Navigation menu