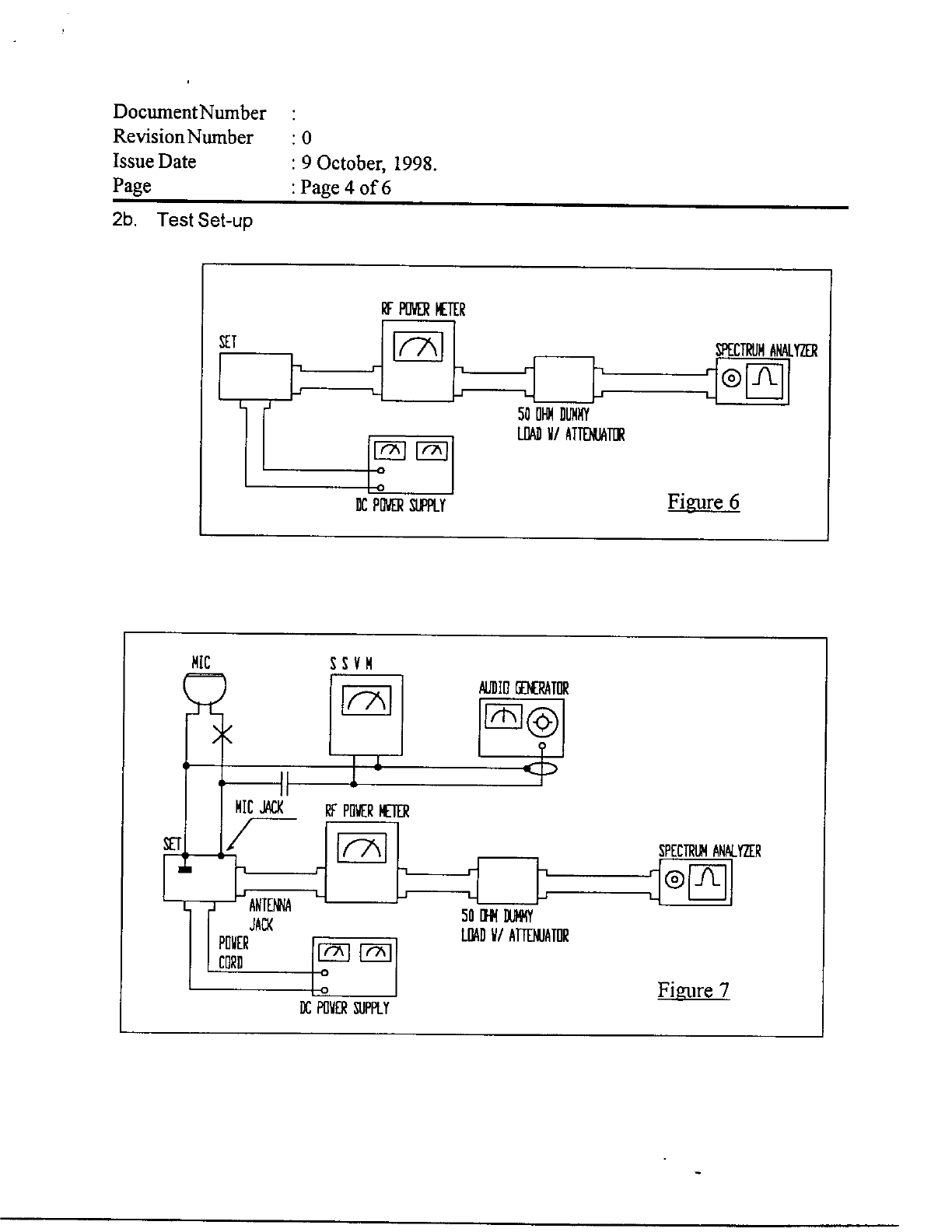
Midland Radio 77255ESP User Manual 26894
Midland Radio Corporation 26894
UserManual.wiki
>
Midland Radio
>
77255ESP User Manual HTML Version
8
Navigation menu
Upload a User Manual
Namespaces
Wiki Guide
HTML
PDF
Info
Views
User Manual
Discussion / Help
Navigation