Murata Electronics North America DNT2400P 2.4GHz Transceiver Module User Manual XX XXXX Exhibit Cover

Murata Electronics North America 2.4GHz Transceiver Module XX XXXX Exhibit Cover

Manual

5015 B.U. Bowman Drive Buford, GA 30518 USA Voice: 770-831-8048 Fax: 770-831-8598
Certification Exhibit
FCC ID: HSW-DNT2400P
IC: 4492A-DNT2400P
FCC Rule Part: 15.247
IC Radio Standards Specification: RSS-210
ACS Report Number: 11-0099.W06.11.A
Manufacturer: RFM / Cirronet Inc.
Model: DNT2400PC, DNT2400PP
Manual
www.RFM.com Technical support +1.678.684.2000 Page 1 of 97
©2009-2011 by RF Monolithics, Inc. E-mail: tech_sup@rfm.com DNT2400 - 04/13/11
DNT2400 Series
2.4 GHz Spread Spectrum
Wireless Transceivers
Integration Guide
www.RFM.com Technical support +1.678.684.2000 Page 2 of 97
©2009-2011 by RF Monolithics, Inc. E-mail: tech_sup@rfm.com DNT2400 - 04/13/11
Important Regulatory Information
RFM Product FCC ID: HSW-DNT2400 and HSW-DNT2400P
IC: 4492A-DNT2400 and 4492A-DNT2400P
Note: This equipment has been tested and found to comply with the limits for a Class B digital device,
pursuant to Part 15 of the FCC Rules. These limits are designed to provide reasonable protection against
harmful interference in a residential installation. This equipment generates, uses, and can radiate radio
frequency energy and, if not installed and used in accordance with the instructions, may cause harmful
interference to radio communications. However, there is no guarantee that interference will not occur in a
particular installation. If this equipment does cause harmful interference to radio or television reception,
which can be determined by turning the equipment off and on, the user is encouraged to try to correct the
interference by one or more of the following measures:
Reorient or relocate the receiving antenna.
Increase the separation between the equipment and receiver.
Connect the equipment into an outlet on a circuit different from that to which the receiver is
connected.
Consult the dealer or an experienced radio/TV technician for help.
Warning: Changes or modifications to this device not expressly approved by RFM could void the user’s
authority to operate the equipment.
RF Exposure Information:
For mobile operating conditions (>20 cm to the body):
This equipment complies with FCC radiation exposure limits set forth for an uncontrolled environment.
This equipment should be installed and operated with minimum distance 20 cm between the radiator and
your body. This transmitter must not be co-located or operating in conjunction with any other antenna or
transmitter.
For mobile operating conditions, the DNT2400 has been designed to operate with dipole antennas of up
to 9 dBi of gain, or patch antennas of up to 6 dBi gain. Antenna types not included in this list, having a
gain greater than the maximum gain indicated for that type, are strictly prohibited for use with this device.
For Portable operating conditions (<20 cm to the body):
This equipment complies with FCC radiation exposure limits set forth for an uncontrolled environment.
This equipment may operate in direct contact with the body of the user under normal operating condi-
tions. This transmitter must not be co-located or operating in conjunction with any other antenna or
transmitter.
For portable operating conditions, the DNT2400 has been designed to operate with dipole or patch an-
tennas of up to 3.47 dBi of gain. Antenna types not included in this list, having a gain greater than the
maximum gain indicated for that type, are strictly prohibited for use with this device.
See Section 3.9 of this manual for additional regulatory notices and labeling requirements.
www.RFM.com Technical support +1.678.684.2000 Page 3 of 97
©2009-2011 by RF Monolithics, Inc. E-mail: tech_sup@rfm.com DNT2400 - 04/13/11
Table of Contents
1.0 Introduction ...................................................................................................................................... 5
1.1 Why Spread Spectrum? ............................................................................................................... 5
1.2 Frequency Hopping versus Direct Sequence............................................................................... 6
2.0 DNT2400 Radio Operation .............................................................................................................. 7
2.1 Network Synchronization and Registration .................................................................................. 7
2.2 Authentication............................................................................................................................... 8
2.3 Serial Port Modes ......................................................................................................................... 8
2.4 SPI Port Modes ............................................................................................................................ 9
2.5 RF Data Communications ............................................................................................................ 9
2.6 RF Transmission Error Control................................................................................................... 10
2.7 Transmitter Power Management................................................................................................ 10
2.8 Network Configurations .............................................................................................................. 10
2.8.1 Point-to-Point Network Operation ........................................................................................... 10
2.8.2 Point-to-Multipoint Network Operation .................................................................................... 11
2.8.3 Multipoint Peer-to-Peer Network Operation ............................................................................ 11
2.8.4 Tree Routing System Operation................................................................................................. 12
2.9 Full-Duplex Serial Data Communications................................................................................... 12
2.10 Channel Access ...................................................................................................................... 12
2.10.1 Polling Mode............................................................................................................................ 13
2.10.2 CSMA Mode............................................................................................................................ 13
2.10.3 TDMA Modes .......................................................................................................................... 14
2.11 Transmission Configuration Planning......................................................................................... 15
2.11.1 TDMA Throughput................................................................................................................... 15
2.11.2 Polling Throughput .................................................................................................................. 16
2.11.3 CSMA Throughput................................................................................................................... 16
2.11.4 Latency.................................................................................................................................... 17
2.11.5 Configuration Validation .......................................................................................................... 18
2.12 Tree-Routing Systems................................................................................................................ 20
2.12.1 Example Tree-Routing System ............................................................................................... 20
2.12.2 Tree-Routing System Networks .............................................................................................. 22
2.12.3 Tree-Routing System Addressing ........................................................................................... 22
2.12.4 Tree-Routing System Implementation Options ....................................................................... 23
2.13 Serial Port Operation .................................................................................................................. 25
2.14 SPI Port Operation ..................................................................................................................... 26
2.15 Sleep Modes............................................................................................................................... 29
2.16 Encryption................................................................................................................................... 31
2.17 Synchronizing Co-located Bases ............................................................................................... 31
3.0 DNT2400 Hardware....................................................................................................................... 33
3.1 Specifications ............................................................................................................................. 34
3.2 Module Interface......................................................................................................................... 35
3.3 DNT2400 Antenna Connector .................................................................................................... 36
3.4 Input Voltages............................................................................................................................. 37
3.5 ESD and Transient Protection.................................................................................................... 37
3.6 Interfacing to 5 V Logic Systems................................................................................................ 37
3.7 Power-On Reset Requirements ................................................................................................. 38
3.8 Mounting and Enclosures........................................................................................................... 38
3.9 Labeling and Notices .................................................................................................................. 38
www.RFM.com Technical support +1.678.684.2000 Page 4 of 97
©2009-2011 by RF Monolithics, Inc. E-mail: tech_sup@rfm.com DNT2400 - 04/13/11
4.0 Protocol Messages ........................................................................................................................ 40
4.1 Protocol Message Formats......................................................................................................... 40
4.1.1 Message Types....................................................................................................................... 40
4.1.2 Message Format Details ......................................................................................................... 41
4.1.3 /CFG Select Pin....................................................................................................................... 43
4.1.4 Flow Control ............................................................................................................................ 43
4.1.5 Protocol Mode Data Message Example.................................................................................. 43
4.1.6 Protocol Mode Tree-Routing MAC Address Discovery Example............................................ 43
4.2 Configuration Registers .............................................................................................................. 44
4.2.1 Bank 0 - Transceiver Setup..................................................................................................... 44
4.2.2 Bank 1 - System Settings........................................................................................................ 47
4.2.3 Bank 2 - Status Registers ....................................................................................................... 50
4.2.4 Bank 3 - Serial and SPI Settings............................................................................................. 52
4.2.5 Bank 4 - Host Protocol Settings .............................................................................................. 55
4.2.6 Bank 5 - I/O Peripheral Registers ........................................................................................... 56
4.2.7 Bank 6 - I/O Setup................................................................................................................... 57
4.2.8 Bank 7 - Authentication List .................................................................................................... 59
4.2.9 Bank 8 - Tree-Routing Active Router ID Table ....................................................................... 59
4.2.10 Bank 9 - Registered MAC Addresses ..................................................................................... 59
4.2.11 Bank FF - Special Functions ................................................................................................... 60
4.2.12 Protocol Mode Configuration Example.................................................................................... 61
4.2.13 Protocol Mode Sensor Message Example.............................................................................. 61
4.2.14 Protocol Mode Event Message Example ................................................................................ 61
5.0 DNT2400DK Developers Kit ......................................................................................................... 63
5.1 DNT2400DK Kit Contents........................................................................................................... 63
5.2 Additional Items Needed ............................................................................................................ 63
5.3 Developers Kit Operational Notes ............................................................................................. 63
5.4 Developers Kit Default Operating Configuration ....................................................................... 64
5.5 Developers Kit Hardware Assembly.......................................................................................... 64
5.6 DNT Demo Utility Program......................................................................................................... 66
5.6.1 Initial Kit Operation.................................................................................................................. 67
5.6.2 Serial Communication and Radio Configuration ..................................................................... 70
5.7 DNT Wizard Utility Program ....................................................................................................... 77
5.8 DNT2400 Interface Board Features ........................................................................................... 85
6.0 Demonstration Procedure.............................................................................................................. 88
7.0 Troubleshooting ............................................................................................................................. 89
7.1 Diagnostic Port Commands........................................................................................................ 89
8.0 Appendices .................................................................................................................................... 92
8.1 Ordering Information................................................................................................................... 92
8.2 Technical Support....................................................................................................................... 92
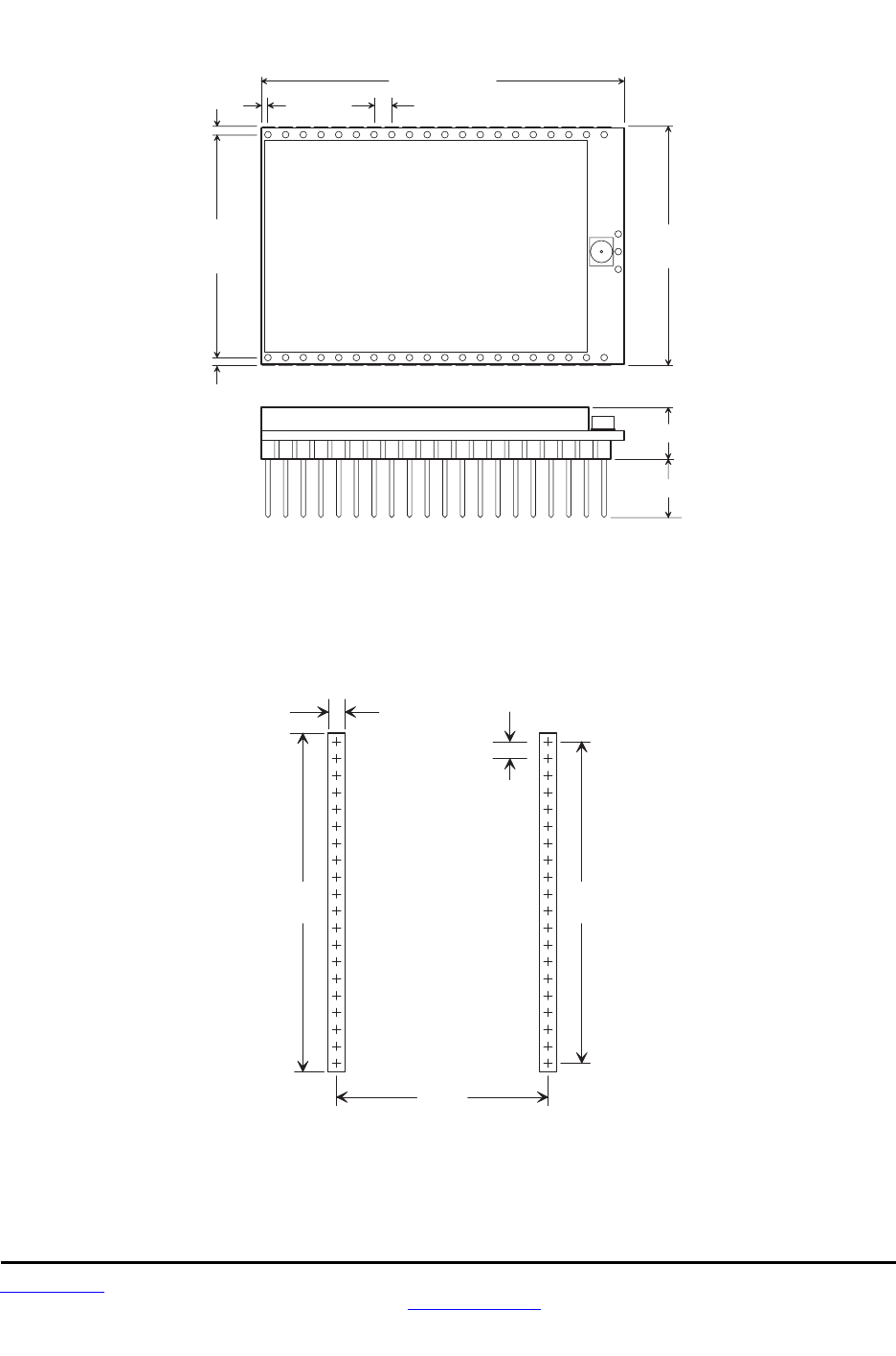
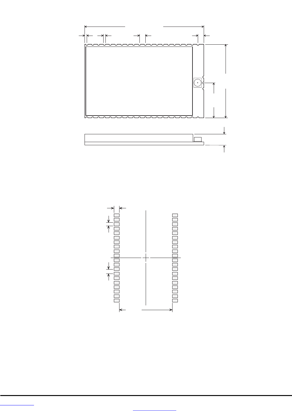
8.3 DNT2400 Mechanical Specifications.......................................................................................... 93
8.4 DNT2400 Development Board Schematic ................................................................................. 95
9.0 Warranty ........................................................................................................................................ 97
www.RFM.com Technical support +1.678.684.2000 Page 5 of 97
©2009-2011 by RF Monolithics, Inc. E-mail: tech_sup@rfm.com DNT2400 - 04/13/11
1.0 Introduction
The DNT2400 series transceivers provide highly reliable wireless connectivity for point-to-point, point-to-
multipoint, peer-to-peer or tree-routing applications. Frequency hopping spread spectrum (FHSS) tech-
nology ensures maximum resistance to multipath fading and robustness in the presence of interfering
signals, while operation in the 2.4 GHz ISM band allows license-free use world wide. The DNT2400
supports all standard serial data rates for host communications from 1.2 to 460.8 kb/s plus SPI data rates
from 6.35 to 80.64 kb/s. On-board data buffering and an error correcting radio protocol provide smooth
data flow and simplify the task of integration with existing applications. Key DNT2400 features include:
Multipath fading resistant frequency hop-
ping technology with up to 37 frequency
channels per subband
Dynamic TDMA slot assignment that maxi-
mizes throughput and CSMA modes that
maximizes network size
Support for point-to-point, point-to-
multipoint, peer-to-peer and tree-routing
networks
AES encryption provides protection from
eavesdropping
FCC 15.247, IC and ETSI certified for
license-free operation
Nonvolatile memory stores DNT2400 con-
figuration when powered off
10 mile plus range with omni-directional
antennas (antenna height dependent)
Selectable 1, 10 and 63 mW transmit power
levels
Transparent ARQ protocol with data
buffering ensures data integrity
Simple interface handles both data and
control at up to 460.8 kb/s on the serial port
or 80.64 kb/s on the SPI port
Analog and digital I/O simplifies wireless
sensing
Auto-reporting I/O mode simplifies applica-
tion development
1.1 Why Spread Spectrum?
A radio channel can be very hostile, corrupted by noise, path loss and interfering transmissions from
other radios. Even in an interference-free environment, radio performance faces serious degradation from
a phenomenon known as multipath fading. Multipath fading results when two or more reflected rays of the
transmitted signal arrive at the receiving antenna with opposing phases, thereby partially or completely
canceling the signal. This problem is particularly prevalent in indoor installations. In the frequency do-
main, a multipath fade can be described as a frequency-selective notch that shifts in location and intensity
over time as reflections change due to motion of the radio or objects within its range. At any given time,
multipath fades will typically occupy 1% - 2% of the band. From a probabilistic viewpoint, a conventional
radio system faces a 1% - 2% chance of signal impairment at any given time due to multipath fading.
Spread spectrum reduces the vulnerability of a radio system to both multipath fading and jammers by
distributing the transmitted signal over a larger frequency band than would otherwise be necessary to
send the information. This allows a signal to be reconstructed even though part of it may be lost or cor-
rupted in transmission.
www.RFM.com Technical support +1.678.684.2000 Page 6 of 97
©2009-2011 by RF Monolithics, Inc. E-mail: tech_sup@rfm.com DNT2400 - 04/13/11
Narrow-band versus spread-spectrum transmission
Figure 1.1.1
1.2 Frequency Hopping versus Direct Sequence
The two primary approaches to spread spectrum are direct sequence spread spectrum (DSSS) and
frequency hopping spread spectrum (FHSS), either of which can generally be adapted to a given applica-
tion. Direct sequence spread spectrum is produced by multiplying the transmitted data stream by a much
faster, noise-like repeating pattern. The ratio by which this modulating pattern exceeds the bit rate of the
base-band data is called the processing gain, and is equal to the amount of rejection the system affords
against narrow-band interference from multipath and jammers. Transmitting the data signal as usual, but
varying the carrier frequency rapidly according to a pseudo-random pattern over a broad range of chan-
nels produces a frequency hopping spread spectrum system.
Forms of spread spectrum - direct sequence and frequency hopping
Figure 1.1.2
www.RFM.com Technical support +1.678.684.2000 Page 7 of 97
©2009-2011 by RF Monolithics, Inc. E-mail: tech_sup@rfm.com DNT2400 - 04/13/11
One disadvantage of direct sequence systems is that due to design issues related to broadband transmit-
ters and receivers, they generally employ only a minimal amount of spreading, often no more than the
minimum required by the regulating agencies. For this reason, the ability of DSSS systems to overcome
fading and in-band jammers is relatively weak. By contrast, FHSS systems are capable of hopping
throughout the entire band, statistically reducing the chances that a transmission will be affected by
fading or interference. This means that a FHSS system will degrade gracefully as the band gets noisier,
while a DSSS system may exhibit uneven coverage or work well until a certain point and then give out
completely.
Because it offers greater immunity to interfering signals, FHSS is often the preferred choice for co-located
systems. Since direct sequence signals are very wide, they can offer only a few non-overlapping chan-
nels, whereas multiple hoppers can interleave, minimizing interference. Frequency hopping systems do
carry some disadvantages, in that they requires an initial acquisition period during which the receiver
must lock onto the moving carrier of the transmitter before any data can be sent, which typically takes
several seconds. In summary, frequency hopping systems generally feature greater coverage and chan-
nel utilization than comparable direct sequence systems. Of course, other implementation factors such as
size, cost, power consumption and ease of implementation must also be considered before a final radio
design choice can be made.
2.0 DNT2400 Radio Operation
2.1 Network Synchronization and Registration
As discussed above, frequency hopping spread spectrum radios such as the DNT2400 periodically
change their transmit frequency. In order for the other radios in the network to receive the transmission,
they must be listening to the frequency on which the current transmission is being sent. To do this, all the
radios in the network must be synchronized to the same hopping pattern.
In all DNT2400 networks, one radio is designated as the base. All other radios are designated as remotes
or routers. The base transmits a beacon each time it hops to a different frequency, which allows the other
radios in its network to synchronize with it. Since all radios in the network know the hopping pattern, once
they are synchronized with the base, they know which frequency to hop to and when.
When a remote or router is powered on, it rapidly scans the frequency band for the synchronizing signal.
Since the base is transmitting on up to 37 frequencies and the remotes and routers are scanning up to 37
frequencies, it can take several seconds to synchronize with the base.
Once a radio has synchronized with the base, it will request registration information to allow it to join the
network. Registration is handled automatically by the base. When a radio is registered, it receives several
network parameters from the base, including HopDuration, InitialNwkID, FrequencyBand and Nwk_Key
(see Section 4.2 for parameter details). Note that if a registration parameter is changed at the base, it will
update the parameter in the remotes or routers over the air.
When leasing is enabled, registration also allows the base to track radios entering and leaving a network,
up to a limit of 126. The base builds a table of serial numbers of registered radios using their three-byte
MAC addresses. To detect if a radio has gone offline or out of range, a registration is leased and must be
renewed within the configured lease interval. DNT2400 radios automatically send lease renewal request
to the base. There is nothing a remote host needs to do to keep the lease renewed. Note that more than
126 radios can join a network, but base-managed leasing cannot be used. In this case, the base can be
www.RFM.com Technical support +1.678.684.2000 Page 8 of 97
©2009-2011 by RF Monolithics, Inc. E-mail: tech_sup@rfm.com DNT2400 - 04/13/11
configured to send join announcements to a host application for an unlimited number of radios. The
application can then verify the continued presence of each radio in the network through periodic polling.
The DNT2400 also supports a RemoteLeave command that allows a host application to release a radio
from the network. This is useful to remove any rogue radios that may have joined then network when
authentication is not being used. It is also useful to remove remotes from the network once they have
been serviced by the application. The RemoteLeave command includes the amount of time the radio
must leave the network, which can be set from 2 seconds to more than 36 hours. In addition, a radio can
be told to leave and not rejoin until it has been power-cycled or reset. The base can use RemoteLeave to
keep track of remotes that have not yet been serviced, allowing networks of more than 126 remotes to be
indirectly tracked by the base.
2.2 Authentication
In many applications it is desirable to control which radios can join a network. This provides security from
rogue radios joining the network and simplifies network segregation for co-located networks. Registration
is controlled by the AuthMode parameter in the base. The AuthMode parameter can be set to one of four
values, 0..3. The default value is 0, which allows any remote or router to register with a base.
When the AuthMode parameter is set to 1, a radios address must be listed in Parameter Bank 7 before it
will be allowed to register with the base. This is referred to as base authentication. Bank 7 must be pre-
loaded with the addresses of the authorized remotes before using base authentication. If a radio whose
MAC address is not in Bank 7 attempts to join the network the base will deny the registration request. A
maximum of 16 remotes can be entered into Bank 7. To support larger networks, mode 2 must be used.
When the AuthMode parameter is set to 2, the address of a radio attempting to register with the base is
sent to the host for authentication in a JoinRequest message. The host application determines if the radio
should be allowed to register and returns a JoinReply message to the base containing a PermitStatus
parameter that allows or blocks the radio from registering. The host application has 30 seconds in which
to respond, after which time the base denies registration to the radio. Up to 16 join requests can be
pending at any one time. If more than 16 radios are asking to join, the first 16 will be serviced and addi-
tional radios will be serviced after the earlier requests are handled. The RegDenialDelay parameter
controls how often a radio will request registration after it has been denied. If it is anticipated that more
than 16 radios will request registration before the application can service the first 16, this parameter
should be set to the time it will take the application to service four requests, as this will speed the authen-
tication process by freeing the base from issuing multiple denials to the same remotes.
When the AuthMode parameter is set to 3, authentication is locked to the addresses of the radios cur-
rently registered with the base. Mode 3 is typically used in conjunction with Mode 0 during a commission-
ing process. AuthMode is set to 0, radios are turned on and allowed to register with the base, and
AuthMode is then switched to 3 to lock the network membership.
2.3 Serial Port Modes
DNT2400 radios can work in two data modes on the primary serial (UART) port: transparent and packet
protocol. Transparent mode formatting is simply the raw user data. Protocol mode formatting includes a
start-of-packet framing character, length byte, addressing, command bytes, etc. Transparent mode opera-
tion is especially useful in point-to-point systems that act as simple cable replacements. In point-to-
multipoint, peer-to-peer and tree-routing systems where the base needs to send data specifically to each
www.RFM.com Technical support +1.678.684.2000 Page 9 of 97
©2009-2011 by RF Monolithics, Inc. E-mail: tech_sup@rfm.com DNT2400 - 04/13/11
radio, protocol formatting must be used unless the data being sent includes addressing information that
the devices connected to the remotes/routers can use to determine the intended destination of the broad-
cast data. Protocol formatting is also required for configuration commands and responses, and sensor I/O
commands and responses. Protocol mode can be used at the base while transparent mode is used at the
remotes. The one caution about protocol mode: the length of a protocol mode message cannot exceed
the BaseSlotSize or RemoteSlotSize or the packet will be discarded. Protocol formatting details are
covered in Section 4.
The DNT2400 provides two ways to switch between transparent and protocol modes. To enter protocol
mode, the /CFG input Pin 18 can be switched from logic high to low, or the EnterProtocolMode command
can be sent. When input Pin 18 is switched from logic low to high, or an ExitProtocolMode command is
sent to the primary serial input, the DNT2400 will switch to transparent operation. Note that it is possible
that part of the EnterProtocolMode command will be sent over the air as transparent data.
When operating in transparent mode, two configuration parameters control when a DNT2400 radio will
send the data in its transmit buffer. The MinPacketLength parameter sets the minimum number of bytes
that must be present in the transmit buffer to trigger a transmission. The TxTimeout parameter sets the
maximum time data in the transmit buffer will be held before transmitting it, even if the number of data
bytes is less than MinPacketLength. The default value for MinPacketLength parameter is one and the
TxTimeout parameter is zero, so that any bytes that arrive in the DNT2400 transmit buffer will be sent on
the next hop. As discussed in Section 2.8.2, it is useful to set these parameters to values greater than
their defaults in point-to-multipoint systems where some or all the remotes are in transparent mode.
2.4 SPI Port Modes
DNT2400 radios can be configured to transmit and receive data through the serial peripheral interface
(SPI) port instead of the primary serial (UART) port. A DNT2400 can operate as either an SPI Master or
Slave. Messages routed through the SPI port must be protocol formatted, as described in Section 4.
When a DNT2400 is acting as an SPI Slave, all messages are routed through the SPI port. When a
DNT2400 is acting as an SPI Master, only data messages are routed through the SPI port; radio configu-
ration commands and responses are routed through the primary serial (UART) port. A radio configured as
an SPI Master can use a command stored in the SPI_MasterCmdStr parameter to interrogate a Slave
peripheral for data to transmit to the base. This is especially useful where periodic I/O reporting is en-
abled on the remote. Alternately, the base can send an interrogation command to the radio to fetch pe-
ripheral data. SPI operation is configured with the SPI_Mode parameter.
2.5 RF Data Communications
At the beginning of each hop the base transmits a beacon, which always includes a synchronizing signal.
After synchronization is sent, the base will transmit any user data in its transmit buffer, unless in transpar-
ent mode the MinPacketLength and/or TxTimeout parameters have been set above their default values.
The maximum amount of user data bytes that the base can transmit per hop is limited by the BaseSlot-
Size parameter, as discussed in Section 2.8.1. If there is no user data or reception acknowledgements
(ACKs) to be sent on a hop, the base will only transmit the synchronization signal in the beacon.
The operation for remotes and routers is similar to the base, but without a synchronizing signal. The
RemoteSlotSize parameter indicates the maximum number of user data bytes a remote or router can
transmit on one hop and is a read-only value. The RemoteSlotSize is determined by the HopDuration and
www.RFM.com Technical support +1.678.684.2000 Page 10 of 97
©2009-2011 by RF Monolithics, Inc. E-mail: tech_sup@rfm.com DNT2400 - 04/13/11
BaseSlotSize parameters and the number of registered radios. The MinPacketLength and TxTimeout
parameters operate in a remote in the same manner as in the base.
2.6 RF Transmission Error Control
The DNT2400 supports two error control modes: automatic transmission repeats (ARQ), and redundant
transmissions for broadcast packets. In both modes, the radio will detect and discard any duplicates of
messages it receives so that the host application will only receive one copy of a given message. In the
redundant transmission mode, broadcast packets are repeated a fixed number of times based on the
value of the ARQ_AttemptLimit parameter. In ARQ mode, a packet is sent and an acknowledgement is
expected on the next hop. If an acknowledgement is not received, the packet is transmitted again on the
next available hop until either an ACK is received or the maximum number of attempts is exhausted. If the
ARQ_AttemptLimit parameter is set to its maximum value, a packet transmission will be retried without
limit until the packet is acknowledged. This is useful in some point-to-point cable replacement applications
where it is important that data truly be 100% error-free, even if the destination remote goes out of range
temporarily.
2.7 Transmitter Power Management
The DNT2400 includes provisions for setting the base transmit power level and the remote maximum
transmit power level with the TxPower parameter. DNT2400 networks covering a small area can be
adjusted to run at lower transmitter power levels, reducing potential interference to other nearby systems.
Radios that are located close to their base can be adjusted to run at lower maximum power, further
reducing potential interference. Base units transmit at the fixed power level set by the TxPower parame-
ter. Remotes and routers automatically adjust their transmitter power to deliver packets to the base at an
adequate but not excessive signal level, while not transmitting more power than set by their TxPower
parameter. Remotes and routers make transmitter power adjustments using the strength of the signals
received from the base and the base transmitter power setting, which is periodically transmitted by the
base. The automatic transmit power adjustment is enabled by default, but can be disabled if so desired.
Refer to Section 4.2.1 for details.
2.8 Network Configurations
The DNT2400 supports four network configurations: point-to-point, point-to-multipoint, peer-to-peer and
tree-routing. In a point-to-point network, one radio is set up as the base and the other radio is set up as a
remote. In a point-to-multipoint network, a star topology is used with the radio set up as a base acting as
the central communications point and all other radios in the network set up as remotes. In this configura-
tion, each communication takes place between the base and one of the remotes. Peer-to-peer communi-
cations between remotes using the base as a relay is also supported, as discussed in Section 2.8.3.
Tree-routing networks can retransmit messages through one or more routers, greatly expanding the area
that can be covered by a single DNT2400 system, as discussed in Section 2.8.4.
2.8.1 Point-to-Point Network Operation
Most point-to-point networks act as serial cable replacements and both the base and the remote use
transparent mode. Unless the MinPacketLength and TxTimeout parameters have been set above their
default values, the base will send the data in its transmit buffer on each hop, up to a limit controlled by the
BaseSlotSize parameter. In transparent mode, if the base is buffering more data than can be sent on one
hop, the remaining data will be sent on subsequent hops. The base adds the address of the remote, a
www.RFM.com Technical support +1.678.684.2000 Page 11 of 97
©2009-2011 by RF Monolithics, Inc. E-mail: tech_sup@rfm.com DNT2400 - 04/13/11
packet sequence number and error checking bytes to the data when it is transmitted. These additional
bytes are not output at the remote in transparent mode. The sequence number is used in acknowledging
successful transmissions and in retransmitting corrupted transmissions. A two-byte CRC and a one-byte
checksum allow a received transmission to be checked for errors. When a transmission is received by the
remote, it will be acknowledged if it checks error free. If no acknowledgment is received, the base will
retransmit the same data on the next hop. Note that acknowledgements from remotes are suppressed on
broadcast packets from the base.
In point-to-point operation, by default a remote will send the data in its transmit buffer on each hop, up to
the limit controlled by its RemoteSlotSize parameter. If desired, the MinPacketLength and TxTimeout
parameters can be set above their default values, which configures the remote to wait until the specified
amount of data is available or the specified delay has expired before transmitting. In transparent mode, if
the remote is buffering more data than can be sent on one hop, it will send the remaining data in subse-
quent hops. The remote adds its own address, a packet sequence number and error checking bytes to
the data when it is transmitted. These additional bytes are not output at the base if the base is in trans-
parent mode. When a transmission is received by the base, it will be acknowledged if it checks error free.
If no acknowledgment is received, the remote will retransmit the same data on the next hop.
2.8.2 Point-to-Multipoint Network Operation
In a point-to-multipoint network, the base is usually configured for protocol formatting, unless the applica-
tions running on each remote can determine the datas destination from the data itself. Protocol formatting
adds addressing and other overhead bytes to the user data. If the addressed remote is using transparent
formatting, the source (originator) address and the other overhead bytes are removed. If the remote is
using protocol formatting, the source address and the other overhead bytes are output with the user data.
A remote can operate in a point-to-multipoint network using either transparent or protocol formatting, as
the base is the destination by default. In transparent operation, a remote DNT2400 automatically adds
addressing, a packet sequence number and error checking bytes as in a point-to-point network. When the
base receives the transmission, it will format the data to its host according to its formatting configuration.
A remote running in transparent mode in a point-to-multipoint network can have the MinPacketLength and
TxTimeout parameters set to their default values to reduce latency, or above their default values to re-
duce the volume of small packet transmissions.
2.8.3 Multipoint Peer-to-Peer Network Operation
After a remote has joined a point-to-multipoint network, it can communicate with another remote through
peer-to-peer messaging, where the base acts as an automatic message relay. In protocol mode, if a
remote specifies a destination address other than the base address, peer-to-peer messaging is enabled.
In transparent mode, the RmtTransDestAddr parameter sets the destination address. Changing Rmt-
TransDestAddr from the default base address to the address of another remote enables peer-to-peer
messaging. The broadcast address can also be used as a peer-to-peer destination address. In this case,
the message will be unicast from the remote to the base (using ARQ) and then broadcast by the base (no
ARQ). For peer-to-peer broadcasts, no acknowledgement is sent and no TxDataReply packet is reported
to the host.
www.RFM.com Technical support +1.678.684.2000 Page 12 of 97
©2009-2011 by RF Monolithics, Inc. E-mail: tech_sup@rfm.com DNT2400 - 04/13/11
2.8.4 Tree-Routing Operation
A DNT2400 tree-routing system consists of a base, remotes and up to 63 routers. A router is basically a
remote that has been configured with two operating modes - a base mode for its child radios and a
remote mode for its parent router or the system base. This allows a router to do tree-routing in addition
to normal remote functions. Each router can forward messages to/from a total of 126 child radios. A
DNT2400 tree-routing system can cover a much larger area than other DNT2400 networks, with the
trade-off that tree-routing increases message transmission latency. Tree-routing systems are well suited
to many industrial, commercial and agricultural data acquisition applications. Tree-routing operation is
supported by CSMA (mode 1) channel access. See Section 2.12 below.
2.9 Full-Duplex Serial Data Communications
From a host applications perspective, DNT2400 serial communications appear full duplex. Both the base
host application and each remote/router host application can send and receive serial data at the same
time. At the radio level, the radios do not actually transmit at the same time. If they did, the transmissions
would collide. As discussed earlier, the base transmits a synchronization beacon at the beginning of each
hop, followed by its user data. After the base transmission, the remotes/routers can transmit. Each trans-
mission may contain all or part of a complete message from its host application. From an applications
perspective, the radios are communicating in full duplex since the base can receive data from a re-
mote/router before it completes the transmission of a message to the remote/router and visa versa.
2.10 Channel Access
The DNT2400 provides three methods of channel access: Polling, CSMA and TDMA, as shown in the
table and figure below. The channel access setting is distributed to all radios by the base, so changing it
at the base sets the entire network or system. Polling refers to an application sending a command from
the base to one or more remote devices and receiving a response from only one remote device at a time.
Polling is suitable for both large and small networks where periodic or event reporting by remotes is not
required. Carrier Sense Multiple Access (CSMA) is very effective at handling packets with varying
amounts of data and/or packets sent at random times from a large number of remotes. Time Division
Multiple Access (TDMA) provides a scheduled time slot for each remote to transmit on each hop. The
default DNT2400 access mode is TDMA dynamic mode.
Access Mode Description Max Number of Remotes
0 Polling unlimited
1 CSMA unlimited
2 TDMA dynamic slots up to 16
3 TDMA fixed slots up to 16
4 TDMA with PTT up to 16
Table 2.10.1
www.RFM.com Technical support +1.678.684.2000 Page 13 of 97
©2009-2011 by RF Monolithics, Inc. E-mail: tech_sup@rfm.com DNT2400 - 04/13/11
B a s e
R e m o t e # 1
R e m o t e # 2
R e m o t e # 3
T D M A
B a s e
R e m o t e # 1
R e m o t e # 2
R e m o t e # 3
C S M A
XX
B a c k o f f
L i s t e n
L i s t e n
B a s e
R e m o t e # 1
R e m o t e # 2
R e m o t e # 3
P O L L
Figure 2.10.1
2.10.1 Polling Mode
Polling channel access is used for point-to-point and point-to-multipoint systems where only one remote
will attempt to transmit data at a time, usually in response to a command from the base.
Polling (mode 0) is a special case of CSMA mode 1. The user can set the BaseSlotSize and CSMA_
RemtSlotSize parameters when using this mode. Since only one remote will attempt to transmit at a time,
to minimize latency, the CSMA_Predelay and CSMA_Backoff parameters are not used. Lease renewals
are also not used, again to minimize latency. Thus, when the base is operated in protocol mode with
Announce messages enabled, only join messages are generated. This mode provides high throughput as
there is no contention between remotes and the entire portion of the hop frame following the base trans-
mission is available for a remote to transmit. Applications where more than one remote may attempt to
transmit at a time, where event and/or periodic I/O reporting are enabled, and/or tree-routing operation is
required should not use this mode.
2.10.2 CSMA Mode
When using CSMA channel access, each remote/router with data to send listens to see if the channel is
clear and then transmits. If the channel is not clear, a radio will wait a random period of time and listen
again. CSMA works best when a large or variable number of radios transmit infrequent bursts of data.
There is no absolute upper limit on the number of radios that can be supported in this mode - it depends
on message density. A maximum of 126 radios can be supported if base-managed join/leave tracking is
required, or an unlimited number of remotes if base join-leave tracking is not required or will be handled
by the host application.
There are two important parameters related to CSMA operation. The CSMA_Backoff parameter defines
the initial time that a radio will wait when it determines the channel is busy before again checking to see if
the channel is clear (back-off interval). If, after finding the channel busy and backing off, the radio finds
www.RFM.com Technical support +1.678.684.2000 Page 14 of 97
©2009-2011 by RF Monolithics, Inc. E-mail: tech_sup@rfm.com DNT2400 - 04/13/11
the channel busy a second time, the amount of time the radio will wait before checking the channel will
increase. It will continue to increase each subsequent time the channel is busy until the channel is finally
found idle. This is the classic CSMA technique that handles the situation where a number of radios hold
data to send at the same time. The CSMA_ Predelay parameter controls the maximum time that a radio
will wait before first listening to see if the channel is clear for a transmission. This parameter is used to
make sure that all the remotes do not transmit immediately after the base finishes transmitting.
CSMA (mode 1) provides classical CSMA channel access, and gives the user control over both the
CSMA_Predelay and CSMA_Backoff parameters. This mode is well suited for large numbers of uncoordi-
nated radios, where periodic/event reporting is used, or tree-routing operation is required. In addition to
CSMA_ Predelay and CSMA_ MaxBackoff, the user can set the BaseSlotSize and CSMA_ RemtSlotSize
parameters when using this mode. The following guidelines are suggested for setting CSMA_Predelay:
For lightly loaded CSMA contention networks, decrease CSMA_Predelay
to 0x03 or less to reduce latency.
For heavily loaded CSMA contention networks, increase CSMA_Predelay
to 0x05 or more for better throughput.
As an option, CSMA mode allows the base to directly track remotes entering and leaving the network, for
up to 126 remotes. The base is operated in protocol mode and is configured to send Announce messages
to its host when a remote joins, and when the remotes registration lease expires.
While a base in a CSMA network can track a maximum of 126 remotes entering and leaving the network,
it can generate join Announce messages for an unlimited number of remotes. This allows the host appli-
cation to track remotes entering and leaving a CSMA network with more than 126 remotes by creating its
own table of MAC addresses and periodically sending a GetRemoteRegister command to each remote in
the table. Failure to answer a GetRemoteRegister command indicates the remote is no longer active in
the network.
CSMA modes work well in many applications, but CSMA has some limitations, as summarized below:
Bandwidth is not guaranteed to any remote.
Marginal RF links to some remotes can create a relatively high chance of
collisions in heavily loaded networks.
2.10.3 TDMA Modes
TDMA modes provide guaranteed bandwidth to some or all of the radios in a network. Radios that regis-
ter with the base receive several special parameters, including ranging information and a specific channel
access time slot assignment. TDMA registrations are always leased and must be renewed every 250
hops. The DNT2400 provides three TDMA access modes, as discussed below.
TDMA Dynamic Slots (mode 2) is used for general-purpose TDMA applications where scaling the capac-
ity per slot to the number of active remotes is automatic. Each radio that registers with the base receives
an equal time slice. As new remotes join, the size of the TDMA remote slots shrinks accordingly. The
number of slots, individual slot start times, and the RemoteSlotSize are computed automatically by the
DNT2400 network in this mode. The user should note that the bandwidth to each remote will change
www.RFM.com Technical support +1.678.684.2000 Page 15 of 97
©2009-2011 by RF Monolithics, Inc. E-mail: tech_sup@rfm.com DNT2400 - 04/13/11
immediately as remotes join or leave the network. When running in protocol mode on a remote, care must
be taken not to generate messages too long to be sent in a single hop due to automatic RemoteSlotSize
reduction.
TDMA Fixed Slots (mode 3) is used for applications that have fixed data throughput requirements, such
as isochronous voice or streaming telemetry. The slot start time and the RemoteSlotSize are computed
automatically by the DNT2400 network in this mode. The user must set the number of slots using the
MaxSlots parameter. The base radio will allocate remote slot sizes as if MaxSlots number of radios are
linked with the base, even when fewer remotes/routers are actually linked. In this mode, the remote slot
sizes are constant.
TDMA with PTT (mode 4) supports remotes with a "push-to-talk" feature, also referred to as "listen-
mostly" remotes. This mode uses fixed slot allocations. Remotes can be registered for all but the last slot.
The last slot is reserved for the group of remotes that are usually listening, but occasionally need to
transmit. In essence, the last slot is a shared channel for this group of remotes. When one of them has
data to send it keys its transmitter much like a walkie-talkie, hence the name push-to-talk (PTT). There is
no limit to the number of remotes that can listen to the last slot.
The slot start time and the RemoteSlotSize are computed automatically by the DNT2400 network in mode
4. The user must specify the number of slots using the MaxSlots parameter. The last slot is reserved for
the PTT remotes. The user must configure PTT remotes individually to select mode 4 operation. The
user's application must ensure that only one PTT remote at a time is using the slot. Mode 4 does not
support tree-routing operation.
2.11 Transmission Configuration Planning
Because frequency hopping radios change frequency periodically, a single message may be sent in one
or more RF transmissions. The length of time the radio stays on a frequency, the hop duration, impacts
both latency and throughput. The longer the radio stays on a single frequency, the higher the throughput
since the radio is transmitting for a higher percentage of the time, but latency is also higher since radios
may have to wait longer to transmit. So latency and throughput trade off against one another. The
DNT2400 has several configuration parameters that allow latency and throughput to be optimally bal-
anced to the needs of an application.
2.11.1 TDMA Throughput
For TDMA channel access without routers, throughput and latency are controlled by the RF data rate, the
serial port baud rate, the BaseSlotSize, the HopDuration, and the number of remotes. A wide range of
throughput and latency combinations can be obtained by adjusting these parameters. The throughput of a
radio in a TDMA network is simply:
Number of bytes per hop/Hop Duration
For the base, the number of byes per hop is controlled by the BaseSlotSize parameter so the throughput
of the base radio is:
BaseSlotSize/HopDuration
Note that if fewer bytes than the BaseSlotSize limit are sent to the base radio by its host during the hop
duration time in transparent mode, the observed throughput of the base radio will be reduced. If the base
is in protocol mode, it will wait until a protocol formatted message is completely received from its host
www.RFM.com Technical support +1.678.684.2000 Page 16 of 97
©2009-2011 by RF Monolithics, Inc. E-mail: tech_sup@rfm.com DNT2400 - 04/13/11
before transmitting it. If the message is not completely received by the time the base transmits, the base
will wait until the next hop to transmit the message. The throughput for each remote is:
RemoteSlotSize/HopDuration
In a TDMA mode, the RemoteSlotSize is set automatically based on the number of remotes and the
BaseSlotSize. Note that the base radio always reserves BaseSlotSize amount of time in each hop
whether or not the base has user data to send.
To help select appropriate parameter values, RFM provides the DNT Throughput Calculator utility pro-
gram (DNTCalc.exe). This program is on the development kit CD. Enabling encryption (security) adds
additional bytes to the data to be sent but the Calculator has a mode to take this into account.
2.11.2 Polling Throughput
In polling mode, the application sends data from the base to a specific remote, which causes the remote
and/or its host to send data back to the application. The network operates like a point-to-point network in
this case. In polling, the HopDuration should be set just long enough to accommodate a base transmis-
sion up to the limit allowed by the BaseSlotSize parameter, plus one remote transmission up to the limit
allowed by the CSMA_RemtSlotSize parameter. These slot sizes and the hop duration set the polling
throughput as in TDMA channel access.
The throughput in Polling mode is also determined by the amount of time it takes for the remote host
device to respond to the poll. For example, consider the situation where a remote host device communi-
cates with the DNT2400 at 38.4 kb/s, receives a 16-byte poll command, and takes 1 ms to generate a 32-
byte response which it then sends to the DNT2400. Sixteen bytes over a UART port is 160 bits using
8,N,1 serial parameters. Sending 160 bits at 38.4 kb/s takes 4.2 ms. Add 1 ms for the host device to
process the command and begin sending the 32-byte response. The 32-byte response takes 8.4 ms to
send at 38.4 kb/s, for a total turnaround time of 13.6 ms. This amount of time could be added to the base
and remote slot times to allow the entire transaction to take place in a single hop. However, except at the
38.4 kb/s over-the-air data rate, this is likely to be much longer than the base and remote slot times.
Thus, in practice, lengthening the hop duration to complete the transaction in a single hop doesnt really
affect the throughput. Nevertheless, it is important to note that the throughput for the remote in the exam-
ple above is substantially less than the remote slot size in bytes divided by the hop duration.
It is not a DNT2400 requirement that the complete application message be sent in a single hop, nor that
the remote response is returned in a single hop, when in transparent mode. If either transmission occurs
over more than one hop, then depending on the length of the data, the RF data rate and the serial port
data rate at the receiving end, there may be a gap in the serial data. Some protocols, such as Modbus
RTU, use gaps in data to determine packet boundaries.
2.11.3 CSMA Throughput
In CSMA mode, remote radios do not have a fixed throughput, which is why applications requiring guar-
anteed throughput should use polling or a TDMA mode. The reason that the throughput of a CSMA
remote is not fixed is because its ability to transmit at any given time depends on whether another radio is
already transmitting. The throughput of a remote is further affected by how many other remotes are
waiting for the channel to become clear so they can transmit. This is not a problem when remotes, even a
large numbers of remotes, only send data infrequently. The DNT2400 includes several configuration
parameters that can be used to optimize the performance of a CSMA network.
www.RFM.com Technical support +1.678.684.2000 Page 17 of 97
©2009-2011 by RF Monolithics, Inc. E-mail: tech_sup@rfm.com DNT2400 - 04/13/11
It is often desirable to limit the amount of data a CSMA remote can send in one transmission. This pre-
vents one remote from hogging network throughput. To accommodate this, the DNT2400 provides a
CSMA_RemtSlotSize parameter that is user configurable. When a remote has transmitted CSMA_
RemtSlotSize bytes on a given hop, it will stop transmitting until the next hop. Note that this remote will
have to contend for the channel on the next hop, so it is not guaranteed that it will be the first remote to
transmit on the next hop or that it will be able to transmit on the next hop at all. To allow multiple remotes
a chance to transmit on the same hop, the HopDuration parameter must be set long enough to support
the BaseSlotSize, plus the number of remotes to transmit per hop multiplied by the CSMA_ RemtSlotSize,
plus the number of remotes to transmit per hop multiplied by the CSMA_Backoff. Because of the way
CSMA channel access works, this does not guarantee that the desired number of remotes to transmit on
a hop will always be able to transmit on a single hop. This is due to the fact that when a remote with data
to send finds the channel busy a second time, it waits for a longer period to time before testing the chan-
nel again. This time will continue to increase until the remote finds the channel clear. In practice this is
unlikely to present a problem, as CSMA networks are used with devices that infrequently have data to
send.
The DNT Throughput Calculator can be used to determine the HopDuration, but it will be necessary to
increase the number of slots to a value greater than the number of remotes to transmit on a single hop to
account for the backoffs. It is indeterminate how many backoffs may occur during a single hop, which is
why the number of remotes that transmit on a given hop cannot be guaranteed. Note that the CSMA_
Backoff parameter sets the length of time a remote will wait to recheck the channel when it has detected
that the channel is busy. The second time a remote detects that the channel is busy, it will increase the
amount of time it waits until it checks again. Every subsequent time it detects a busy channel it will in-
crease the amount of time it will wait in a geometric fashion. This continues until it detects an idle chan-
nel. So while a short CSMA_Backoff can decrease the time between when one remote transmits and the
next remote transmits, it can actually lead to a longer time between remote transmissions than a longer
backoff. This can occur when the remote checks the channel multiple times during the transmitting re-
motes transmission causing the back-off time to be increased.
2.11.4 Latency
The worst case latency for TDMA access (without routers), excluding retries, occurs when the radio
receives data just after its turn to transmit. In this instance, it will have to wait the length of time set by the
HopDuration to begin transmitting the data. If the radio is receiving data over its serial port at a rate higher
than its throughput, this will only occur at the beginning of a transmission that spans several hops.
In a polling application, latency is affected by how long the remote and/or its host takes to respond, and
when in the hop data is ready to be transmitted. Since a remote can begin transmitting at practically any
time during the hop after the base has transmitted, the latency can be less than HopDuration. However,
the remote transmission may extend over two hops if it starts late in the first hop.
Latency for any given remote in a CSMA network is particularly difficult to characterize. If many remotes
have data to send, the latency for the last remote to send will be the length of time it takes all the other
remotes to send. The CSMA scheme used in the DNT2400 is designed to allow each remote an equal
opportunity to transmit, so the concern is not that one remote is locked out, but just how long it will take a
number of remotes with data to sent to each gain access to the channel and send their data. The more
data that needs to be sent, the more time will be consumed checking the channel and backing off when
the channel is busy. Again, this is why CSMA networks are best used when there are a large number of
nodes that send data infrequently.
www.RFM.com Technical support +1.678.684.2000 Page 18 of 97
©2009-2011 by RF Monolithics, Inc. E-mail: tech_sup@rfm.com DNT2400 - 04/13/11
The other factor impacting latency is retries. This impact is not unique to frequency hopping radios but is
common among all wireless technologies. A radio only transmits data once per hop. It needs to wait until
the next hop to see if the transmission was received at the destination. If not, the radio will transmit the
data again and wait for the acknowledgement. This can happen up to ARQAttemptLimit number of times
which is equal to ARQAttemptLimit times HopDuration amount of time.
2.11.5 Configuration Validation
Although slot durations are automatically calculated by the DNT2400, the RF data rate, hop duration, etc.,
must be coordinated by the user to assure a valid operating configuration based on the following criteria:
1. Regardless of the RF data rate, the maximum DNT2400 hop duration is limited to 200 ms. A
DNT2400 network must be configured accordingly.
2. In protocol mode, the BaseSlotSize and RemoteSlotSize parameters must be large enough to
hold all the data bytes in the largest protocol formatted message being used. Protocol formatted
messages must be sent in a single transmission. Any protocol formatted messages too large for
the slot size setting will be discarded
3. In TDMA mode 2, the RemoteSlotSize will be reduced automatically when a new remote joins the
network. This can cause a network to suddenly malfunction if the hop duration is not set to pro-
vide an adequately large remote slot allocation when fully loaded with remotes
4. When operating in polling mode 0, the CSMA_RemtSlotSize and HopDuration parameters are
usually set to accommodate the number of data bytes in a maximum size transmission. This con-
figuration provides low latency for polled messages.
5. When operating in CSMA mode 1 with multiple remotes, the CSMA_RemtSlotSize and HopDura-
tion parameters are usually set to accommodate three times the number of data bytes in one
maximum size transmission, to allow time for more than one remote to attempt to transmit during
a single hop.
Figure 2.11.5.1
www.RFM.com Technical support +1.678.684.2000 Page 19 of 97
©2009-2011 by RF Monolithics, Inc. E-mail: tech_sup@rfm.com DNT2400 - 04/13/11
The DNT Throughput Calculator utility program is shown in Figure 2.11.5.1. Decimal data is entered by
default. Hexadecimal data can also be entered using a 0x prefix, as shown in the Hop Duration Counts
text box. When using the DNT Throughput Calculator, parameter coordination depends on the operating
mode of a DNT2400 network, as outlined below:
Polling (mode 0) - the user can set and must coordinate the RF data rate, hop duration, base slot size
and remote slot size. First, set the BaseSlotSize to accommodate the maximum number of data bytes in a
base transmission. Next, set the CSMA_RemtSlotSize to accommodate the maximum number data bytes
in a remote transmission. Use these slot sizes, the RF data rate and the maximum operating range (20
miles is the default) as inputs to the Calculator program to determine minimum valid HopDuration.
CSMA contention (mode 1) - the same procedure as for polling is used, except that the CSMA_
RemtSlotSize typically should be set at three times the maximum number of data bytes for point-to-
multipoint networks. The default values for CSMA pre-delay and back-off are assumed.
TDMA dynamic (mode 2) - this is the DNT2400s default operating mode and the default settings are
optimized for point-to-point transparent operation. For other configurations the user must coordinate the
RF data rate, hop duration, base slot size and maximum number of remotes. Although the remote slot
size and remote slot time allocation are automatically set in mode 2, the user must predetermine these
values to assure a valid operating configuration. First, set the BaseSlotSize to accommodate the maxi-
mum number of data bytes in a base transmission. Next, determine the RemoteSlotSize required to
accommodate the maximum number of data bytes in a remote transmission. Use these slot sizes, the
maximum number of remotes that will be used in the network, the RF data rate and the maximum operat-
ing range as inputs to the Calculator to determine the minimum valid HopDuration time. Note that when
there are fewer remotes on the network than the maximum specified, the remotes will automatically be
configured with a bigger RemoteSlotSize parameter.
TDMA fixed (mode 3) - First, set the BaseSlotSize to accommodate the maximum number of data bytes in
a transmission. Next, determine the RemoteSlotSize required to accommodate the maximum number of
data bytes in a remote transmission. Then set the number of remote slots. Use the slot sizes, the number
of remotes, the RF data rate and maximum operating range as inputs to the Calculator to determine the
minimum valid hop duration.
TDMA PTT (mode 4) - use the same procedure as for TDMA fixed mode 3.
The DNT2400 base firmware can detect a significant number of invalid configurations and override the
HopDuration parameter to establish a valid configuration. To take advantage of this feature, configure a
DNT2400 network in the following order:
1. In all system radios, set the RF_DataRate parameter and save it. Then reset all radios to estab-
lish the new RF data rate.
2. Set the BaseSlotSize and TDMA_MaxSlots or CSMA_RemtSlotSize as needed. Use the default
maximum operating range unless links of more than 20 miles are planned.
3. Set the HopDuration parameter and then read it back. If the HopDuration parameter readout is
different than the value set, the firmware detected an invalid configuration and is overriding it.
www.RFM.com Technical support +1.678.684.2000 Page 20 of 97
©2009-2011 by RF Monolithics, Inc. E-mail: tech_sup@rfm.com DNT2400 - 04/13/11
2.12 Tree-Routing Systems
As discussed in Section 2.8.4, DNT2400 tree-routing systems can cover much larger areas than other
DNT2400 networks, with the trade-off that tree-routing increases message transmission latency. Tree-
routing systems are well suited to many industrial, commercial and agricultural applications. Compared to
other DNT2400 network configurations, however, tree-routing systems require somewhat more initial
planning and commissioning steps, as discussed in this Section.
2.12.1 Example Tree-Routing System
An example tree routing system is shown in Figure 2.12.1.1. In this example, seven sensor locations
need to be monitored over a several acre outdoor site. All of the sensor data must be sent back to a
central location, the base radio, for collection and analysis. Due to obstructions, remotes R1, R3, R6, and
R7 are prevented from communicating directly with the base radio. R1, R3, and R6 have direct communi-
cations with either R2 or R5, both of which have direct communications with the base radio. R7 has direct
communications with R6 and can use R6 to route messages to and from the base through R5.
Using the tree routing function of the DNT2400, all nodes will be able to send and receive data to and
from the centrally located base. R2, R5, and R6 which are configured to relay data to and from other
nodes in addition to sending their own sensor data are called routing remotes, or routers. Note that there
is no hardware or firmware difference between DNT2400 base, remote and router nodes - they are
simply configured for the particular mode of operation.
As the system is powered up, R2, R4, and R5 will join by registering with the base radio. R2 and R5, once
they have registered with the base radio, will start sending out beacons so that R1, R3, and R6 can join
the tree-routing system through them. In the case of R6, it will wait until it has joined the system through
R5 before sending out the beacons that will let R7 join the system through it.
E x a m p l e D N T 2 4 0 0 T r e e R o u t i n g S y s t e m
B a s e
R 5 - R o u t i n g
R e m o t e
R 4 - R e m o t e
R 3 - R e m o t e
R 6 - R o u t i n g
R e m o t e
R 1 - R e m o t e
R 2 - R o u t i n g
R e m o t e
R 7 - R e m o t e
Figure 2.12.1.1
www.RFM.com Technical support +1.678.684.2000 Page 21 of 97
©2009-2011 by RF Monolithics, Inc. E-mail: tech_sup@rfm.com DNT2400 - 04/13/11
Data sent from the base radio in the central location will be routed down the tree to the intended node of
the network. Data from the nodes will be routed up the tree to the base or to another node in the system.
Note that it is possible to send data from one node to another node rather than sending it to the base.
A tree-routing system can operate in a polling mode where an application sends data requests to each of
the nodes as needed, or it can operate where devices attached to the node radios send data whenever
they have it to send. Additionally, the auto-report function of the DNT2400 radio can be used to send data
through the tree on a timer or interrupt basis.
To set up the example system, all of the DNT2400s, including the base, must be configured with the
same tree routing ID, and have tree routing option enabled. In addition, R2, R5, and R6 must be assigned
individual BaseModeNetID parameters, and then configured for router operation. The network IDs and
network addresses will be automatically assigned as the system forms. Figure 2.12.1.2 shows one way
that the network IDs and system addresses could be assigned.
Note that the routing nodes, R2, R5, and R6 have two network-related IDs - a ParentNetworkID and a
BaseModeNetID. The ParentNetworkID is used by a router to join the tree-routing system, and the Base-
ModeNetID is the ID the router uses to let other nodes join the system through it.
While the tree-routing system can form automatically, it is also possible to do additional node configura-
tion to control how the system forms. The following sections provide details of all the tree routing related
configuration commands plus details of the addressing used in a tree routing system.
E x a m p l e D N T 2 4 0 0 T r e e R o u t i n g S y s t e m
B a s e
R 5 - R o u t e r
R 4 - R e m o t e
R 3 - R e m o t e
R 6 - R o u t e r
R 1 - R e m o t e
R 2 - R o u t e r
N e t w o r k I D s a n d S y s t e m A d d r e s s e s s h o w n i n h e x a d e c i m a l f o r m a t
R 7 - R e m o t e
P a r e n t N e t w o r k I D - 0 x 0 1
S y s t e m A d d r e s s - 0 x F F 0 1 0 1
P a r e n t N e t w o r k I D - 0 x 0 0
B a s e M o d e N e t w o r k I D - 0 x 0 1
S y s t e m A d d r e s s - 0 x F F 0 1 0 0
N e t w o r k I D - 0 x 0 0
S y s t e m A d d r e s s - 0 x F F 0 0 0 0
P a r e n t N e t w o r k I D - 0 x 0 1
S y s t e m A d d r e s s - 0 x F F 0 1 0 2
P a r e n t N e t w o r k I D - 0 x 0 0
S y s t e m A d d r e s s - 0 x F F 0 0 0 1
P a r e n t N e t w o r k I D - 0 x 0 0
B a s e M o d e N e t w o r k I D - 0 x 0 2
S y s t e m A d d r e s s - 0 x F F 0 2 0 0
P a r e n t N e t w o r k I D - 0 x 0 2
B a s e M o d e N e t w o r k I D - 0 x 0 3
S y s t e m A d d r e s s - 0 x F F 0 3 0 0
P a r e n t N e t w o r k I D - 0 x 0 3
S y s t e m A d d r e s s - 0 x F F 0 3 0 1
Figure 2.12.1.2
www.RFM.com Technical support +1.678.684.2000 Page 22 of 97
©2009-2011 by RF Monolithics, Inc. E-mail: tech_sup@rfm.com DNT2400 - 04/13/11
2.12.2 Tree-Routing System Networks
A DNT2400 tree-routing system consists of one base and up to 63 routers, where the base and each
router can forward messages to/from a total of 126 child radios (leases enabled)1. A child radio can be
either a remote or router, within the system limitation of 63 routers total.
Within a DNT2400 tree-routing system, a network refers to a group of radios communicating with a router
or base acting as a parent, and all of the child radios that are linked to this parent. Hop-by-hop, a router
alternates from being a child of its parent network on one hopping pattern to being a parent of its own
network on a different hopping pattern.
The base maintains a routing table that describes the organization of all routers in its system. This table is
used by the base and the routers to determine which direction, up to the base, or down to its children, to
route a packet. The base updates the routing table using information in the heartbeat packets it receives
from the routers in its system. The base periodically broadcasts this routing table to inform all system
radios of the current system configuration. All heartbeat packets received by the base are also output to
its host (PC). The default channel access for tree-routing systems is CSMA (mode 1).
2.12.3 Tree-Routing System Addressing
Except for tree-routing systems, DNT2400 remotes are addressed from the base using their three-byte
hardware MAC addresses. In turn, remotes address the base using the address 0x000000, rather than
the base radios hardware MAC address. In tree-routing systems, however, radios are addressed using
system addresses rather than their hardware MAC addresses. Much of the planning and commissioning
activities for a DNT2400 system involve configuring system addresses.
Like MAC addresses, tree-routing system addresses contain three bytes. However, the most significant
byte of a system address is currently unused and can be assigned any value (typically 0xFF). The middle
byte of a system address is the network ID or NwkID of a base or router. The NwkID is always 0x00 for
the base, and will have a value in the range of 0x01 to 0x3F for a router. The least significant byte of the
system address is called the network address or NwkAddr. The NwkAddr is always 0x00 for the base and
all the routers in a system. For a remote, the NwkAddr will have a value in the range of 0x01 to 0x7E, so
the system address of a remote will contain the NwkID of its parent base or router, plus its own NwkAddr.
Several parameters are involved in the formation of a DNT2400 tree-routing system. All radios that will
become part of a tree-routing system must set the TreeRouteEn parameter to 0x01. Further, all radios
must be loaded with the same tree-routing system ID parameter, referred to as the TreeRouteSysID. This
parameter allows systems to physically overlap without ambiguity as to which system a radio should join.
When a DNT2400 radio is configured as the base, it automatically assumes a NwkID of 0x00 and
NwkAddr of 0x00. When a radio is configured as a router, it automatically assumes a NwkAddr of 0x00.
The routers NwkID byte is held in its BaseModeNetID parameter, and will have value in the range of
0x01 to 0x3F. The BaseModeNetID parameter must be manually set in all routers. As discussed below,
when a routers addressing is totally manually configured, the remote-mode NwkAddr (network address)
is loaded from a routers StaticNetAddress parameter, otherwise the default value 0xFF of the parameter
should be preserved to allow dynamic assignment by the routers parent.
1. Tree-routing systems can run without leases enabled to remove the 126 child limit on the base and routers in some circum-
stances. However, this takes special system planning. Contact RFM technical support for details.
www.RFM.com Technical support +1.678.684.2000 Page 23 of 97
©2009-2011 by RF Monolithics, Inc. E-mail: tech_sup@rfm.com DNT2400 - 04/13/11
The InitialParentNwkID parameter controls which parent a child router or remote can join. Setting this
value to 0x00 forces a router or a remote to join with only the base. Setting this parameter to the NwkID of
a parent router forces a child router or a remote to join only this parents network. Setting this parameter
to 0xFF in a router or remote allows them to join with any parent.
The StaticNetAddr parameter controls the assignment of the NwkAddr byte in a remotes system address.
A remotes NwkAddr can be manually assigned by setting the StaticNetAddr to a value between 0x01 and
0x7E. Setting the StaticNetAddr parameter to 0xFF allows the remotes parent to dynamically assign a
NwkAddr.
As discussed above, an example DNT2400 tree-routing system is shown in Figure 2.12.1.2. The example
system includes remote R4 which is directly linked to the base, routers R2 and R5 which are directly
linked to the base, remotes R1 and R3 which are linked to router R2, remote R7 which is linked to router
R6, which in turn is linked to router R5. The parent network ID, the system address and for routes the
base-mode network ID are shown in hexadecimal format.
Note that when dynamic address assignment is used, the system addresses of some of the radios in the
system will not be immediately apparent. A radios system address can be obtained by broadcasting a
Discover command from the base which contains the radios hardware MAC address. The radio will send
a DiscoverReply with its system address. After joining one of the system networks, all routers and re-
motes periodically transmit heartbeat status messages that contains their MAC address, network address,
network ID and other information. Note that the address of any radio can be constructed as follows:
0xFF + NwkID + NwkAddr.
2.12.4 Tree-Routing System Implementation Options
There are three ways to assign parent network IDs and system addresses to the routers and remotes in a
tree-routing system - dynamic router parent and remote system address assignment, manual router
parent assignment with dynamic remote address assignment, and manual router parent and remote
address assignment.
Dynamic router parent and remote address assignment is the preferred method for most systems that
contain just a few routers. This assignment method provides several advantages. The router parent and
remote system addresses do not have to be pre-assigned, reducing initial system planning details. In
case of a parent failure, child devices will automatically attempt to join another parent. Once the system
becomes organized, heartbeat status messages and/or Discover commands can be used to log the
system addresses against the MAC addresses of each router and remote in the system.
Manual router parent assignment with dynamic remote address assignment is the preferred method for
most systems with a large number of routers. Manual router parent assignment avoids the possibility of
the system creating a long chain of parent router-child router links which would introduce unnecessary
message latency. However, manual router assignment precludes a child router from attempting to link
with another parent in case its parent router fails. The parent address of each router is known before the
system becomes organized, and heartbeat status messages and/or Discover commands can be used to
log the system addresses against the MAC addresses of each remote in the system.
Manual router parent and remote address assignment allows all radios addressing to be preplanned and
preset before a system is installed. Manual system addressing precludes child radios from attempting to
re-link to the system by joining another parent if the assigned parent fails, but simplifies application code
www.RFM.com Technical support +1.678.684.2000 Page 24 of 97
©2009-2011 by RF Monolithics, Inc. E-mail: tech_sup@rfm.com DNT2400 - 04/13/11
development by removing the need to dynamically update a database that matches system addresses to
MAC addresses for each router and remote. The task of manually assigning system addresses to all
routers and remotes in a tree-routing system can be somewhat tedious. Contact RFMs module technical
support group for the latest support tools for manual address assignment. Table 2.12.4.1 summarizes
radio parameter settings for each assignment method.
Dynamic Router Parent Assignment and Dynamic Remote System Address Assignment
Radio InitialParentNwkID StaticNetAddress BaseModeNetID
Router 0xFF (join any parent) 0xFF (assigned by parent) 0x01 - 0x3F (router NwkID)
Remote 0xFF (join any parent) 0xFF(assigned by parent) 0xFF (not used by remote)
Manual Router Parent Address Assignment with Dynamic Remote System Address Assignment
Radio InitialParentNwkID StaticNetAddress BaseModeNetID
Router 0x00 - 0x3F (specifies parent) 0xFF (assigned by parent) 0x01 - 0x3F (router NwkID)
Remote 0xFF (join any parent) 0xFF(assigned by parent) 0xFF (not used by remote)
Manual Router Parent and Remote System Address Assignment
Radio InitialParentNwkID StaticNetAddress BaseModeNetID
Router 0x00 - 0x3F (specifies parent) 0x01 - 0x7E (sent to parent) 0x01 - 0x3F (router NwkID)
Remote 0x00 - 0x3F (specifies parent) 0x01 - 0x07 (sent to parent) 0xFF (not used by remote)
Table 2.12.4.1
Tree-routing networks can support peer-to-peer communications. However, the value of the P2PReply-
Timeout parameter (see Section 4.2.2) is interpreted differently in a tree-routing system compared to a
point-to-multipoint network. In a point-to-multipoint network, the P2PReplyTimeout parameter is in units of
hops. In tree-routing systems, this parameter is in units of hop pairs, due to the system routers alternating
between remote mode and base mode hop-by-hop. Referring to Figure 2.12.1.2, the minimum useable
value for peer-to-peer communications between Remote 1 and Remote 7 is determined as follows:
Route Segment Required Hops
Remote R1 to Router R2 1
Router R2 to Base 1
Base Turn Around 1
Base to Router R5 1
Router R5 to Router R6 1
Router R6 to Remote R7 1
Remote R7 Reply Turn Around 1
Remote R7 to Router R6 1
Router R6 to Router R5 1
Router R5 to Base 1
Base Turn Around 1
Base to Router R2 1
Router R2 to Remote R1 1
Total 13
Table 2.12.4.2
The minimum number of hops required is 13, so the minimum P2PReplyTimeout parameter value would
be 7 hop pairs. This minimum value provides no tolerance for transmission retries. Selecting a value 50%
to 100% larger is recommended, in the range of 11 to 14 hop pairs.
www.RFM.com Technical support +1.678.684.2000 Page 25 of 97
©2009-2011 by RF Monolithics, Inc. E-mail: tech_sup@rfm.com DNT2400 - 04/13/11
2.13 Serial Port Operation
DNT2400 networks are often used for wireless communication of serial data. The DNT2400 supports
serial baud rates from 1.2 to 460.8 kb/s. Listed in Table 2.13.1 below are the supported data rates and
their related byte data rates and byte transmission times for an 8N1 serial port configuration:
Baud Rate kb/s Byte Data Rate kB/s Byte Transmission Time ms
1.2 0.12 8.3333
2.4 0.24 4.1667
4.8 0.48 2.0833
9.6 0.96 1.0417
19.2 1.92 0.5208
28.8 2.88 0.3472
38.4 3.84 0.2604
57.6 5.76 0.1736
76.8 7.68 0.1302
115.2 11.52 0.0868
230.4 23.04 0.0434
460.8 46.08 0.0217
Table 2.13.1
To support continuous full-duplex serial port data flow, an RF data rate higher than the serial port baud
rate is required for FHSS. Radios transmissions are half duplex, and there are overheads related to
hopping frequencies, assembling packets from the serial port data stream, transmitting them, sending
ACKs to confirm error-free reception, and occasional transmission retries when errors occur.
For example, consider a TDMA mode 2 system with one remote operating up to 20 miles away at
500 kb/s, with the BaseSlotSize parameter set to 64 bytes and the RemoteSlotSize parameter set to 64
bytes. As shown in Figure 2.13.1, the hop duration from the DNT Throughput Calculator program for this
configuration is 4.85 ms:
Figure 2.13.1
www.RFM.com Technical support +1.678.684.2000 Page 26 of 97
©2009-2011 by RF Monolithics, Inc. E-mail: tech_sup@rfm.com DNT2400 - 04/13/11
The average full-duplex serial port byte rate that can be supported under error free conditions is:
64 Bytes/4.85 ms = 13.2 kB/s, or 132 kb/s for 8N1
Continuous full-duplex serial port data streams at a baud rate of 115.2 kb/s can be supported by this
configuration, provided only occasional RF transmission errors occur. Plan on an average serial port data
flow of 90% of the calculated error-free capacity for general-purpose applications.
The DNT2400 transmit and receive buffers hold at least 1024 bytes and will accept brief bursts of data at
high baud rates, provided the average serial port data flow such as shown in the example above is not
exceeded. It is strongly recommended that the DNT2400 host use hardware flow control in applications
where the transmit buffer can become full. The host must send no more than 32 additional bytes to the
DNT2400 when the DNT2400 de-asserts the hosts CTS line. In turn, the DNT2400 will send no more
than one byte following the host de-asserting its RTS line. Three-wire serial port operation is allowed
through parameter configuration, as discussed in Section 4.2.4. However, data loss is possible under
adverse RF channel conditions when using three-wire serial operation due to buffer overruns.
2.14 SPI Port Operation
The DNT2400 SPI port data rate is configurable in 127 steps from 6.35 to 80.64 kb/s using the SPI_
Divisor parameter. The SPI data rate is the clocking rate the DNT2400 uses in Master mode. The SPI
data rate is also used in Slave mode to time SPI Select (/SS) sampling, etc. Where possible, devices
connected to the DNT2400 SPI port should be configured to match the 80.64 kb/s data rate. In any event,
the SPI data rate used by the DNT2400 and the connected device should be matched within a few per-
cent for efficient data transfers. SPI port operation is full duplex in the sense that a single clock signal
simultaneously shifts data into and out of the SPI port. In order for the Master (host) to receive data from
a DNT2400 SPI Slave, it must clock bytes into the DNT2400.
As show in Figure 2.14.1, DNT2400 SPI slave mode operation is supported by two control signals from
the DNT2400. The /HOST_CTS line provides the same flow control function for SPI Slave mode as it
does for the serial (UART) port. The Master (host) can clock messages into the DNT2400 SPI Slave
whenever /HOST_ CTS is set to a logic low state. The Master can complete clocking one protocol format-
ted message into the DNT2400 if /HOST_CTS switches high part way through the message as shown in
Figure 2.14.2, but must then stop sending transmit message bytes until the DNT2400 resets /HOST_CTS
to a logic low state. If the DNT2400 slave is holding a received message(s) when the SPI master clocks in
a message to transmit, received message bits will be simultaneously clocked out on the MISO line while
the message to be transmitted is clocked in on the MOSI line. The end of a received message will often
not be aligned with the end of a message to be transmitted, so additional clocking may be required to
complete the transfer of a received message(s). It is acceptable to clock 0x00 null bytes in on the MOSI
line to retrieve received message bytes when /HOST_CTS is high, but not transmit message bytes.
www.RFM.com Technical support +1.678.684.2000 Page 27 of 97
©2009-2011 by RF Monolithics, Inc. E-mail: tech_sup@rfm.com DNT2400 - 04/13/11
D N T 2 4 0 0H o s t
D N T 2 4 0 0 S P I S l a v e M o d e S i g n a l i n g
/ S S
S C L K
M O S I
M I S O
/ H O S T _ C T S
S P I _ R X _ A V L
Figure 2.14.1
/ S S
/ H O S T _ C T S
S C L K
M O S I
M I S O
S P I B i t C l o c k
P r o t o c o l F o r m a t t e d T X M e s s a g e
N u l l o r R X M e s s a g e B y t e s
D N T 2 4 0 0 S P I S l a v e M o d e T X M e s s a g e L o a d
Figure 2.14.2
/ S S
S P I _ R X _ A V L
S C L K
M I S O
S P I B i t C l o c k
P r o t o c o l F o r m a t t e d R X M e s s a g e
D N T 2 4 0 0 S P I S l a v e M o d e R X M e s s a g e R e t r i e v a l
9 t o 1 0
N u l l B y t e s
L e n g t h B y t e
0 x F B S t a r t o f M e s s a g e
N u l l o r T X M e s s a g e B y t e s
M O S I
Figure 2.14.3
www.RFM.com Technical support +1.678.684.2000 Page 28 of 97
©2009-2011 by RF Monolithics, Inc. E-mail: tech_sup@rfm.com DNT2400 - 04/13/11
GPIO port 4 can be alternately configured to provide a received message flag, referred to as SPI_RX_
AVL. Operation of this line is shown in Figure 2.14.3. Once the SPI_RX_AVL flag goes high, RX message
bytes can be clocked out on the MISO line by clocking 0x00 null bytes and/or transmit message bytes in
on the MOSI line. Note that nine to ten 0x00 null bytes will precede each received message, which is
always protocol formatted. Following the null bytes, the 0xFB start of message symbol will then be
clocked out, followed by the message length byte. The length byte can be used to confirm that all the
bytes in each received message have been clocked out. If a DNT2400 slave is holding more than one
received message, the SPI_RX_AVL flag will remain high until all messages have been completely
clocked out.
In SPI slave mode, de-asserting and then asserting the /SS line resets the DNT2400 SPI port on a byte
boundary. The /SS line can be toggled this way between every byte to assure bit streams into and out of
the SPI port remain byte framed. Less frequent /SS line toggling is also acceptable in most applications. It
is recommended that /SS be toggled at the start and end of each transmit message, and after every 256
null bytes when clocking to output a received message. The /SS line should also be toggled at the end of
each received message.
D N T 2 4 0 0P e r i p h e r a l
D N T 2 4 0 0 S P I M a s t e r M o d e S i g n a l i n g
/ S S
S C L K
M O S I
M I S O
Figure 2.14.4
Figure 2.14.4 shows the signals a DNT2400 uses in SPI Master mode. When periodic I/O reporting is
enabled on a DNT2400 remote configured as an SPI Master, the remote will clock out a stored command
string, SPI_MasterCmdStr, to collect data from a Slave peripheral each time the I/O report timer fires. The
collected data is then transmitted as a TXData message. Alternatively, a host connected to the base can
transmit an SPI command as a TXData message to the remote. The remote will clock the command into
its Slave peripheral and transmit back the Slaves response, as show in Figure 2.14.5. In either case, the
command string and response string are limited to 32 bytes. Only data messages are routed through the
DNT2400s SPI port in Master mode. Command packets and command replies are routed through the
primary serial port. See Section 4.2.4 for additional SPI parameter details.
www.RFM.com Technical support +1.678.684.2000 Page 29 of 97
©2009-2011 by RF Monolithics, Inc. E-mail: tech_sup@rfm.com DNT2400 - 04/13/11
/ S S
S C L K
M O S I
M I S O
S P I B i t C l o c k
P e r i p h e r a l C o n t r o l C o m m a n d
P e r i p h e r a l R e s p o n s e B y t e s
D N T 2 4 0 0 S P I M a s t e r M o d e O p e r a t i o n
Figure 2.14.5
2.15 Sleep Modes
To save power in applications where a remote transmits infrequently, the DNT2400 supports hardware
and firmware sleep modes. Hardware sleep mode is entered by switching SLEEP/DTR Pin 11 on the
DNT2400 from logic low to high. While in hardware sleep mode, the DNT2400 consumes less than 50 µA
at room temperature. This mode allows a DNT2400 to be powered off while its host device remains
powered. After leaving hardware sleep mode, the radio must re-synchronize with the base and re-
register. Note that sleep mode is not available on tree-routing routers.
In addition to the sleep mode controlled by Pin 11, in CSMA mode the DNT2400 remotes support an
additional sleep mode to support battery-powered applications. When this mode is enabled, the DNT2400
is in a low-power state and only wakes up in response to the I/O report triggers. The following list explains
the rules that sleeping remotes follow:
The DNT2400 will wake up when any of the enabled I/O report trigger conditions fire. When any
of the ADC triggers are enabled, the radio will also wake up every ADC_SampleIntvl long enough
to sample the ADCs, and then go back to sleep.
When a sleeping radio wakes up, it must acquire and synchronize to its base before it can send
or receive any data. To prevent excessive battery use, if the remote is unable to acquire before
the WakeLinkTimeout elapses (because it is no longer in range, for example), it will cancel any
pending event trigger(s) and go back to sleep.
If a remote is linking for the first time or if its last attempt to acquire and synchronize was unsuc-
cessful, it will scan and record the entire broadcast system parameter list before it goes back to
sleep. Otherwise, in order to conserve battery life, a sleeping remote will update any values that it
may hear while it is awake, but is not required to listen to the entire list.
If a remote is linking for the first time or if its last attempt to acquire and synchronize was unsuc-
cessful, it will send a registration request to the base, allowing it to announce its presence to the
host. Otherwise, in order to conserve battery life, a sleeping remote will not register each time it
reacquires link with its base on successive wakeups.
www.RFM.com Technical support +1.678.684.2000 Page 30 of 97
©2009-2011 by RF Monolithics, Inc. E-mail: tech_sup@rfm.com DNT2400 - 04/13/11
After a remote has received an acknowledgement for its I/O report, a WakeResponseTime timer
is started before the remote goes back to sleep. This allows the base host time to send a mes-
sage to the remote. Note that the only notification that the base host application has that a remote
is awake is its report packet. In order to send it data, the base host must ensure that the message
is transmitted and received before the remote's WakeResponseTime window elapses. If this func-
tion is not needed, the WakeResponseTime can be set to zero to disable it.
The lease renewal mechanism is not supported for sleeping remotes. In order to successfully use sleep-
ing remotes, the user must ensure that the system is configured for CSMA mode and that leases are
disabled. If these settings are not used, there is no guarantee that the remotes will be able to communi-
cate reliably. Because leases are not supported, there is no built-in mechanism for the base to detect or
announce to its host if a remote leaves the network.
To summarize, while a remote is awake, the following list of condition checks are used to determine if and
when it is allowed to go back to sleep:
If the remote is linking for the first time or was unsuccessful linking on its last attempt, it will re-
main awake to record the beacon system parameter list.
At wakeup, the WakeLinkTimeout timer is started. If the remote is unable to acquire link before
this elapses, it goes back to sleep.
If the remote receives an acknowledgement for a data packet it has sent (typically an Event
packet, but in theory it could be any other type of message), it starts or resets the WakeRespon-
seTime timer to remain awake.
So long as a GPIO for which I/O reporting is enabled for a level trigger remains in its triggered
state, the remote will remain awake.
The remote will remain awake while it still has any ARQ attempts left for a queued transmit
packet of any type.
The remote will remain awake while it is has serial characters in its buffer left to transmit to its
local host.
Sleep functions are controlled by the following registers (see Section 4.2):
SleepMode - enables/disables sleep mode.
WakeResponseTime - sets the amount of time that a remote will wait for a
response after sending an I/O report.
WakeLinkTimeout - sets the maximum time that a remote will spend trying
to acquire it base before giving up.
Sleep is also affected by the following registers associated with I/O reporting: IO_ReportTrigger,
IO_ReportInterval, ADC_SampleIntvl, and GPIO_EdgeTrigger. The following table indicates how the
status and control pins function on sleeping remotes:
www.RFM.com Technical support +1.678.684.2000 Page 31 of 97
©2009-2011 by RF Monolithics, Inc. E-mail: tech_sup@rfm.com DNT2400 - 04/13/11
Pin Awake Sleep
/HOST_RTS Normal operation high impedance
/HOST_CTS Normal operation 0 V
/DCD Normal operation 0 V
ACT 3 V 0 V
DIVERSITY Normal operation 0 V
RADIO_TXD Normal operation Hi-Z
RADIO_RXD Normal operation 0 V
Table 2.15.1
Note that the ACT pin may be used by a local host to detect when a sleeping remote is awake. The
behavior of the GPIOs during sleep is governed by the GPIO_ SleepMode, GPIO_SleepDir, and
GPIO_SleepState configuration registers. Refer to the register definitions in Section 4.2.
2.16 Encryption
The DNT2400 supports 128-bit AES encryption of data and configuration packets. Encryption is enabled
by setting the EncryptionKey register to a value other than a string of NULL (0x00) bytes. A remote with-
out encryption enabled cannot link to an encrypted base, and an encrypted remote will not attempt to link
to an unencrypted base. A remote's encryption key must match that of the base before it can link. The
EncryptionKey register can be set over the air so it can be changed periodically if desired. Once an
encryption key has been entered, it can be changed but it cannot be read back.
2.17 Synchronizing Co-located Bases
The EX_SYNC input (Pin 15) on the DNT2400 allows co-located bases to synchronize their transmissions
so they all transmit at the same time. This prevents the situation where one base is transmitting while
another nearby base is trying to hear a distant remote. Even though the base radios may be on different
frequencies, because of their close proximity, the transmitting base can reduce the receiving bases ability
to hear distant remotes. The EX_SYNC input has the following characteristics:
1. Base radios trigger on the rising edge of the pulse applied to their EX_SYNC input.
2. All co-located bases must use the same hop duration and the period of the pulse train applied to
the EX_SYNC input must be within ±10 µs of this hop duration.
3. The co-located bases must use different network IDs but the same frequency subband, which as-
sures they are using different hopping patterns.
4. A narrow pulse of 50 to 800 µs triggers base beacon synchronization. A train of narrow pulses
as described above will synchronize a group of co-located base stations after a period of time.
5. An optional wide pulse of 1 to 2 ms triggers a hopping pattern reset. Note: a wide pulse
can only be used in ETSI applications. It is not allowed under FCC and Canadian IC
regulations. The benefit provided by the wide pulse is to keep co-located networks from ever be-
ing on the same frequency at the same time. When the wide pulse is not used, it is possible that
co-located networks may occasionally try to transmit on the same frequency at the same time.
This can slightly reduce the network throughput. Where a wide pulse can be used, it should be
www.RFM.com Technical support +1.678.684.2000 Page 32 of 97
©2009-2011 by RF Monolithics, Inc. E-mail: tech_sup@rfm.com DNT2400 - 04/13/11
sent to reset all base patterns to their first frequency following the reset or power-up of any of the
co-located bases. Thereafter a cycle of N -1 narrow pulses and then 1 wide pulse should be sent,
where N is the number of frequencies in the subband being used. For example, if the frequency
subband contains 15 frequencies, a repeating cycle containing 1 wide pulse followed by 14 nar-
row pulses should be used.
www.RFM.com Technical support +1.678.684.2000 Page 33 of 97
©2009-2011 by RF Monolithics, Inc. E-mail: tech_sup@rfm.com DNT2400 - 04/13/11
3.0 DNT2400 Hardware
2 3 2 4 2 5 2 6 2 7 2 82 22 1 2 9 3 0 3 1
1 8
1 7
1 6
1 5
1 4
1 3
1 2
1 1
1 0
9
8
7
6
5
D N T 2 4 0 0 B l o c k D i a g r a m
3 2 3 3 3 4 3 6
M i c r o c o n t r o l l e r
4
3
2
1
R e g
F i l t e r
F i l t e r
V C C
P W M 0
P W M 1
G P I O 0
G P I O 1
G P I O 2
G P I O 3
G N D
R F
T r a n s c e i v e r
C L K
I N T
C S n
R F I O
G N D
R A D I O _ T X D
R A D I O _ R X D
/ R E S E T
/ S S
M O S I
M I S O
T / R
T / R
P W R
P R E
F i l t e r
3 5
1 9
2 0
3 7 3 8 3 9 4 0
S I
S O
P K T D E T
R e g
3 . 3 V
3 . 6 V
P K T _ D E T
R S V D
A D C _ R E F
R S S I
S L E E P
A D C 2
A D C 1
A D C 0
E X _ S Y N C
D I A G _ T X
D I A G _ R X
/ C F G
/ H O S T _ R T S
/ H O S T _ C T S
G P I O 4
G P I O 5
G N D
A C T
/ D C D
R S V D
R S V D
R S V D
V M O D
S C L K
R S V D
R F I O
Figure 3.0.1
The major components of the DNT2400 include a 2.4 GHz FHSS transceiver and a low current 32-bit
microcontroller. The DNT2400 operates in the 2.4 GHz ISM band. The module includes nine frequency
subbands and 37 total frequency channels to support the various 2.4 GHz frequency allocations used
throughout the world. The DNT2400 has three selectable RF output power levels: 1, 10, and 63 mW.
Also, there are four selectable RF transmission rates: 38.4, 115.2, 200 and 500 kb/s. The DNT2400
includes a low-noise receiver preamplifier and a high efficiency transmitter amplifier, providing excellent
range in outdoor applications.
The DNT2400 provides a variety of hardware interfaces. There are two serial ports plus one SPI port.
Either the primary serial port or the SPI port can be selected for data communications. The second serial
port is dedicated to diagnostics. The primary and diagnostic serial ports support standard baud rates up
to 460.8 kb/s. The SPI port supports data rates up to 80.64 kb/s. Also included are three 10-bit ADC
inputs, two 8-bit PWM outputs, and six general-purpose digital I/O ports. Four of the digital I/O ports
support an optional interrupt-from-sleep mode when configured as inputs. The radio is available in two
mounting configurations. The DNT2400C is designed for solder reflow mounting. The DNT2400P is
designed for plug-in connector mounting.
www.RFM.com Technical support +1.678.684.2000 Page 34 of 97
©2009-2011 by RF Monolithics, Inc. E-mail: tech_sup@rfm.com DNT2400 - 04/13/11
3.1 DNT2400 Specifications
Characteristic Sym Minimum Typical Maximum Units
Operating Frequency Range 2409.3 2467.1 MHz
Hop Dwell Time 5 200 ms
Number of Frequency Hopping Subbands 9
Number of RF Channels in a Subband 15 37
Modulation FSK/MSK
RF Data Transmission Rates 38.4, 115.2, 200 and 500 kb/s
Receiver Sensitivity:
10-5 BER @ 38.4 kb/s -104 dBm
10-5 BER @ 200 kb/s -96 dBm
10-5 BER @ 500 kb/s -90 dBm
Transmitter RF Output Power Levels 1, 10, 63 mW
Optimum Antenna Impedance 50
RF Connection U.FL Connector
Network Topologies Point-to-Point, Point-to-Multipoint
Peer-to-Peer, Tree Routing
Access Schemes TDMA and CSMA
Number of Network Nodes:
TDMA 16
CSMA unlimited
ADC Input Range 0 3.3 V
ADC Input Resolution 10 bits
Signal Source Impedance for ADC Reading 10 K
PWM (DAC) Output Range 0 3.3 V
PWM (DAC) Output Resolution 8 bits
PWM Output Period 20 µs
Primary and Diagnostic Serial Port Baud Rates 1.2, 2.4, 4.8, 9.6, 19.2, 28.8, 38.4, 57.6, 76.8,
115.2, 230.4, 460.8 kb/s
Serial Peripheral Interface Data Rate 6.35 80.64 kb/s
Digital I/O:
Logic Low Input Level -0.5 0.8 V
Logic High Input Level 2 3.3 V
Logic Input Internal Pull-up Resistor 50 200 K
Logic Input Internal Pull-down Resistor 50 180 K
Power Supply Voltage Range VCC +3.3 +5.5 Vdc
Power Supply Voltage Ripple 10 mVP-P
Peak Transmit Mode Current, 63 mW Output 300 mA
Average Operating Receive Current:
Base 105 mA
Remote, No Data Transmission 35 mA
Remote, 9.6 kb/s Continuous Data Stream 40 mA
Remote, 115.2 kb/s Continuous Data Stream 53 mA
Sleep Current 50 2251 µA
Operating Temperature Range -40 85 oC
Operating Relative Humidity Range (non condensing) 10 90 %
1. Maximum sleep current occurs at +85 oC Table 3.1.1
www.RFM.com Technical support +1.678.684.2000 Page 35 of 97
©2009-2011 by RF Monolithics, Inc. E-mail: tech_sup@rfm.com DNT2400 - 04/13/11
3.2 Module Interface
Electrical connections to the DNT2400C are made through the I/O pads and through the I/O pins on the
DNT2400P. The hardware I/O functions are detailed in the table below:
Pad Name I/O Description
1 PKT_DET O
Packet detect output. Signal switches logic high at the end of the start-of-packet symbol and
switches logic low at the end of the end-of-packet symbol on both received and transmitted packets.
PKT_DET provides a timing reference for use in network timing evaluations, etc.
2 RSVD - Reserved pad. Leave unconnected.
3 ADC_REF I ADC supply and external full scale reference voltage input. Voltage range is 2.4 to 3.3 Vdc. Connect
pad 34 to this input to reference the ADC full scale reading to the modules 3.3 V regulated supply.
4 RSVD - Reserved pad. Leave unconnected.
5 GPIO0 I/O
Configurable digital I/O port 0. When configured as an input, an internal pull-up resistor can be
selected and interrupt from sleep can be invoked. When configured as an output, the power-on state
is also configurable. Sleep mode direction and state are also configurable.
6 GPIO1 I/O Configurable digital I/O port 1. Same configuration options as GPIO0.
7 GPIO2 I/O Configurable digital I/O port 2. Same configuration options as GPIO0.
8 GPIO3 I/O
Configurable digital I/O port 3. Same configuration options as GPIO0, with RS485 driver enable an
alternate function.
9 PWM0 O 8-bit pulse-width modulated output 0 with internal low-pass filter. Filter is 1st order, 159 Hz 3 dB BW.
10 PWM1 O 8-bit pulse-width modulated output 1 with internal low-pass filter. Filter is 1st order, 159 Hz 3 dB BW.
11 SLEEP/DTR I Default functionality is active high module sleep input (active low DTR). When switched low after
sleep, the module executes a power-on reset. Usually connected to host DTR.
12 ADC2 I 10-bit ADC input 0. Full scale reading is referenced to the ADC_REF input.
13 ADC1 I 10-bit ADC input 1. Full scale reading is referenced to the ADC_REF input.
14 ADC0 I 10-bit ADC input 2. Full scale reading is referenced to the ADC_REF input.
15 EX_SYNC I
Rising-edge triggered input for synchronizing co-located bases. Synchronization pulse interval must
equal the hop dwell time ±10 µs. Pulse width must be in the range of 50 to 800 µs.
16 DIAG_TX O Diagnostic UART transmitter output.
17 DIAG_RX I Diagnostic UART receiver input.
18 /CFG I
Protocol selection input. Leave unconnected when using software commands to select transpar-
ent/protocol mode (default is transparent mode). Logic low selects protocol mode, logic high selects
transparent mode.
19 VCC I Power supply input, +3.3 to +5.5 Vdc.
20 GND - Power supply and signal ground. Connect to the host circuit board ground.
21 GND - Power supply and signal ground. Connect to the host circuit board ground.
22 GPIO4 I/O
Configurable digital I/O port 4. When configured as an input, an internal pull-up resistor can be
selected. When configured as an output, the power-on state is configurable. The SPI RX data
available flag, SPI_RX_AVL, is a configurable alternate function.
23 GPIO5 I/O
Configurable digital I/O port 5. Same configuration options as GPIO4, with antenna diversity control
an alternate function.
24 GND - Logic ground.
www.RFM.com Technical support +1.678.684.2000 Page 36 of 97
©2009-2011 by RF Monolithics, Inc. E-mail: tech_sup@rfm.com DNT2400 - 04/13/11
25 ACT O Data activity output, logic high when data is being transmitted or received.
26 /DCD O
Default functionality is data carrier detect output, which provides a logic low on a remote when the
module is locked to FHSS hopping pattern and logic low on a base when at least one remote is
connected to it.
27 RSVD - Reserved pad. Leave unconnected.
28 RSVD - Reserved pad. Leave unconnected.
29 RSVD - Reserved pad. Leave unconnected.
30 /HOST_RTS I UART flow control input. The host sets this line low to allow data to flow from the DNT2400 on the
RADIO_TXD pin. When the host sets this line high, the DNT2400 will stop sending data.
31 RADIO_TXD O
UART transmitter output. The DNT2400 sends serial data to the host on this pin. The sleep mode
state of this pin is configurable.
32 RADIO_RXD I UART receiver input. The DNT2400 receives serial data from the host on this pin.
33 /HOST_CTS O
UART or SPI flow control output. The DNT2400 sets this line low to indicate it is ready to accept data
from the host on the RADIO_RXD or MOSI input. When the DNT2400 sets this line high, the host
must stop sending data. The sleep mode state of this pin and /DCD is jointly configurable.
34 VMOD O Modules +3.3 V regulated supply output. Connect to pad 3 to support 3.3 V full scale and/or
ratiometric ADC readings, etc. Current drain on this output should be no greater than 5 mA.
35 /SS -
SPI active low slave select. This pin is an output when the DNT2400 operating as a master, and an
input when it is operating as a slave.
36 MOSI -
SPI master out, slave in function. This pin is an output when the DNT2400 is operating as a master,
and is an input when the DNT2400 is operating as a slave.
37 MISO -
SPI master in, slave out function. This pin is an input when the DNT2400 is operating as a master,
and is an output when the DNT2400 is operating as a slave.
38 SCLK -
SPI clock signal. This pin is an output when operating as a master, and an input when operating
as a slave.
39 /RESET I Active low module hardware reset.
40 RSVD - Reserved pad. Leave unconnected.
Table 3.2.1
3.3 DNT2400 Antenna Connector
A U.FL miniature coaxial connector is provided on both DNT2400 configurations for connection to the
RFIO port. A short U.FL coaxial cable can be used to connect the RFIO port directly to an antenna. In this
case the antenna should be mounted firmly to avoid stressing the U.FL coaxial cable due to antenna
mounting flexure. Alternately, a U.FL coaxial jumper cable can be used to connect the DNT2400 module
to a U.FL connector on the host circuit board. The connection between the host circuit board U.FL
C o p p e r
G r o u n d
P l a n e
C o p p e r
S t r i p l i n e
T r a c e
F R - 4 P C B
M a t e r i a l
C i r c u i t B o a r d S t r i p l i n e T r a c e D e t a i l
F o r 5 0 o h m i m p e d a n c e W = 1 . 7 5 * H
Figure 3.3.1
www.RFM.com Technical support +1.678.684.2000 Page 37 of 97
©2009-2011 by RF Monolithics, Inc. E-mail: tech_sup@rfm.com DNT2400 - 04/13/11
Trace Separation from
50 ohm Microstrip
Length of Trace Run
Parallel to Microstrip
100 mil 125 mill
150 mil 200 mil
200 mil 290 mil
250 mil 450 mil
300 mil 650 mil
Table 3.3.2
connector and the antenna or antenna connector on the host circuit board should be implemented as a
50 ohm stripline. Referring to Figure 3.3.1, the width of this stripline depends on the thickness of the
circuit board between the stripline and the groundplane. For FR-4 type circuit board materials (dielectric
constant of 4.7), the width of the stripline is equal to 1.75 times the thickness of the circuit board. Note
that other circuit board traces should be spaced away from the stripline to prevent signal coupling, as
shown in Table 3.3.2. The stripline trace should be kept short to minimize its insertion loss.
3.4 Input Voltages
DNT2400 radio modules can operated from an unregulated DC input (Pad 19) in the range of 3.3 to 5.5 V
with a maximum ripple of 5% over the temperature range of -40 to 85 oC. Applying AC, reverse DC, or a
DC voltage outside the range given above can cause damage and/or create a fire and safety hazard.
Further, care must be taken so logic inputs applied to the radio stay within the voltage range of 0 to 3.3 V.
Signals applied to the analog inputs must be in the range of 0 to ADC_REF (Pad/Pin 3). Applying a
voltage to a logic or analog input outside of its operating range can damage the DNT2400 module.
3.5 ESD and Transient Protection
The DNT2400C and DNT2400P circuit boards are electrostatic discharge (ESD) sensitive. ESD precau-
tions must be observed when handling and installing these components. Installations must be protected
from electrical transients on the power supply and I/O lines. This is especially important in outdoor instal-
lations, and/or where connections are made to sensors with long leads. Inadequate transient protection
can result in damage and/or create a fire and safety hazard.
3.6 Interfacing to 5 V Logic Systems
All logic signals including the serial ports on the DNT2400 are 3.3 V signals. To interface to 5 V signals,
the resistor divider network shown in Figure 3.5.1 below must be placed between the 5 V signal outputs
and the DNT2400 signal inputs. The output voltage swing of the DNT2400 3.3 V signals is sufficient to
drive 5 V logic inputs.
5 V
L o g i c D N T 5 0 0
2 . 2 K
4 . 3 K
Figure 3.6.1
DNT2400
www.RFM.com Technical support +1.678.684.2000 Page 38 of 97
©2009-2011 by RF Monolithics, Inc. E-mail: tech_sup@rfm.com DNT2400 - 04/13/11
3.7 Power-On Reset Requirements
When applying power to the DNT2400, the /RESET Pin 39 and the RADIO_TXD Pin 31 must be initially
held low. The /RESET pin must be held low until the power supply voltage reaches 3.3 volts for 100 ms,
and then set high. The RADIO_TXD must be held low an additional 10 ms after the /RESET pin goes
high. RADIO_TXD is weakly pulled down with a 100K ohm resistor to meet the power-on reset require-
ment, unless this line is driven high by an external signal.
3.8 Mounting and Enclosures
DNT2400C radio modules are mounted by reflow soldering them to a host circuit board. DNT2400P
modules are mounted by plugging their pins into a set of mating connectors on the host circuit board.
Refer to Section 8.3 and/or the DNT2400 Data Sheet for DNT2400P connector details.
DNT2400 enclosures must be made of plastics or other materials with low RF attenuation to avoid com-
promising antenna performance where antennas are internal to the enclosure. Metal enclosures are not
suitable for use with internal antennas as they will block antenna radiation and reception. Outdoor enclo-
sures must be water tight, such as a NEMA 4X enclosure.
3.9 Labeling and Notices
Labeling:
A clearly visible label is required on the outside of the user’s (OEM) enclosure stating the following:
”Contains FCC ID: HSW-DNT2400”
”Contains IC: 4492A-DNT2400”
or
”Contains FCC ID: HSW-DNT2400P”
”Contains IC: 4492A-DNT2400P”
Notices:
The DNT2400PC and DNT2400PP is qualified for use as a Portable device (body worn) if - and only if -
the following conditions are met. Variance from these requirements may result in harmful operation to the
user and will violate FCC RF Exposure rules.
1. Antenna Gain - the antenna must be of a type already approved and have a maximum gain of
less than 3.47 dBi.
2. The DNT2400 transmit duty cycle may not exceed 15.2% for the device to be used in a Portable
application.
This transmit duty cycle must be calculated as follows:
Tduty = ((Max_Bytes + Overhead_Bytes)*8)/(OTA Data Rate))/(Tdwell)
Where:
Tduty - is the resultant transmit duty cycle (in fractions of a unit)
Tdwell - is the frequency hopping dwell time (in seconds)
www.RFM.com Technical support +1.678.684.2000 Page 39 of 97
©2009-2011 by RF Monolithics, Inc. E-mail: tech_sup@rfm.com DNT2400 - 04/13/11
OTA Data Rate - is the over the air data rate in bits per second (note - this is not the user inter-
face rate)
Overhead_Bytes - is the number of bytes sent along with the data packet by the DNT2400, equal
to 5 bytes
Max_Bytes - is the maximum amount of bytes that can be sent to the DNT2400 from the Host in
any Tdwell number of seconds.
If in doubt about any values entered in this calculation or in the execution of the calculation, please con-
tact RFM/Cirronet Applications for assistance.
WARNING: This device operates under Part 15 of the FCC rules. Any modification to this device, not
expressly authorized by RFM, Inc., may void the users authority to operate this device.
FCC NOTICE: This device complies with Part 15 of the FCC rules. Operation is subject to the following
two conditions: (1) this device may not cause harmful interference, and (2) this device must accept any
interference received, including interference that may cause undesired operation.
IC Notice - This device complies with Industry Canada licence-exempt RSS standard(s). Operation is
subject to the following two conditions: (1) this device may not cause interference, and (2) this device
must accept any interference, including interference that may cause undesired operation of the device.
Under Industry Canada regulations, this radio transmitter may only operate using an antenna of a type
and maximum (or lesser) gain approved for the transmitter by Industry Canada. To reduce potential radio
interference to other users, the antenna type and its gain should be so chosen that the equivalent isot-
ropically radiated power (e.i.r.p.) is not more than that necessary for successful communication.
These radio transmitters, IC: 4492A-DNT2400 and IC: 4492A-DNT2400P, have been approved by Indus-
try Canada to operate with the antenna types listed below with the maximum permissible gain and re-
quired antenna impedance for each antenna type indicated. Antenna types not included in this list, having
a gain greater than the maximum gain indicated for that type, are strictly prohibited for use with this
device.
RFM OMNI249 Omnidirectional Dipole Antenna, 9 dBi, 50 ohms
RFM PA2400 Patch Antenna, 6 dBi, 50 ohms
Note: Operation under portable conditions (i.e. <20 cm from the body) is limited to the use of antennas of
gain 3.47dBi or less.
Canadian ICES-003 - This digital apparatus does not exceed the Class B limits for radio noise emissions
from digital apparatus as set out in the radio interference regulations of Industry Canada.
Le present appareil numerique nemet pas de bruits radioelectriques depassant les limites applicables
aux appareils numeriques de Classe B prescrites dans le reglement sur le brouillage radioelectrique
edicte par Industrie Canada.
www.RFM.com Technical support +1.678.684.2000 Page 40 of 97
©2009-2011 by RF Monolithics, Inc. E-mail: tech_sup@rfm.com DNT2400 - 04/13/11
4.0 Protocol Messages
4.1 Protocol Message Formats
The DNT2400 is configured and controlled through a series of protocol mode messages. All protocol
mode messages have a common header format:
0 1 2 3
SOP
Length PktType variable number of arguments
Figure 4.1.1
The scale above is in bytes.
The Start-of-Packet (SOP) character, 0xFB, is used to distinguish the beginning of a message and to
assure synchronization in the event of a glitch on the serial port at startup.
The Length byte is defined as the length of the remainder of the message following the length byte itself
(or the length of the entire message - 2).
The Packet Type (PktType) byte specifies the type of message. It is a bitfield-oriented specifier, decoded
as follows:
Bits 7-6 Reserved for future use
Bit 5 Event - set to indicate this message is an event
Bit 4 Reply - set to indicates this message is a reply
Bits 3-0 Type - indicates the message type/command
As indicated, the lower 4 bits (3-0) specify a message type. Bit 4 is a modifier indicating that the message
is a command or a reply. A reply message has the original command type in bits 3:0, with bit 4 set to one.
Arguments vary in size and number depending on the type of message and whether it is a message sent
from the host or is a reply from the radio; see Table 4.1.2.1 below. Messages that are generated on the
serial interface by the user are referred to as host messages. Messages that are generated by the radio
are referred to as reply messages. For many message types, there is a reply message that corresponds
to a host message. For example, when the host sends a TxData message, the radio will reply to indicate
the status of the transmission, whether it succeeded or failed. Some message types are host-only or
reply-only; refer to Table 4.1.2.1 for specifics.
4.1.1 Message Types
Each message generally has two forms, a command from the host and a reply from the radio. Depending
on the direction, they have different arguments as shown in Table 4.1.2.1. Event messages from the radio
such as received data packets or status announcements make up a third category of messages. To assist
in interpreting the command-reply data flow, the direction is indicated by the high nibble in the message
type. For example, an EnterProtocolMode command from the host is a message type 0x00, and the
EnterProtocolModeReply from the radio is a message type 0x10. Event messages, including RxData,
RxEvent and Announce packets are indicated by 0x20 in the high nibble of the type byte. If multiple
arguments are to be provided, they are to be concatenated in the order shown. Little-Endian byte format
www.RFM.com Technical support +1.678.684.2000 Page 41 of 97
©2009-2011 by RF Monolithics, Inc. E-mail: tech_sup@rfm.com DNT2400 - 04/13/11
is used for all multi-byte arguments, where the lowest order byte is the left-most byte of the argument and
the highest order byte in the right-most byte of the argument.
4.1.2 Message Format Details
Com-
mand Reply Event Description Direction Arguments
0x00 - - EnterProtocolMode from Host DNTCFG (ASCII characters)
- 0x10 - EnterProtocolModeReply from Radio none
0x01 - - ExitProtocolMode from Host none
- 0x11 - ExitProtocolModeReply from Radio none
0x02 - - SoftwareReset from Host BootSelect
- 0x12 - SoftwareResetReply from Radio none
0x03 - - GetRegister from Host Reg, Bank, Span
- 0x13 - GetRegisterReply from Radio Reg, Bank, Span,Val
0x04 - - SetRegister from Host Reg, Bank, Span, Val
- 0x14 - SetRegisterReply from Radio none
0x05 - - TxData from Host Addr, Data
- 0x15 - TxDataReply from Radio TxStatus, Addr, RSSI
0x06 - - Discover from Host MacAddr
- 0x16 - DiscoverRely from Radio Status, MacAddr, Addr
- - 0x26 RxData from Radio Addr, RSSI, Data
- - 0x27 Announce from Radio AnnStatus, additional fields
- - 0x28 RxEvent from Radio Addr, RSSI, Reg, Bank, Span,Val
0x0A - - GetRemoteRegister from Host Addr, Reg, Bank, Span
- 0x1A - GetRemoteRegisterReply from Radio
If command successful:
TxStatus, Addr, RSSI,
Reg, Bank, Span, Val
If command failed:
TxStatus, Addr
0x0B - - SetRemoteRegister from Host Addr, Reg, Bank, Span, Val
- 0x1B - SetRemoteRegisterReply from Radio TxStatus, Addr, RSSI
- - 0x2C JoinRequest from Radio MacAddr, Addr, DeviceMode,
SleepMode
0x0C - - JoinReply from Host MacAddr, PermitStatus
0x0D - - RemoteLeave from Host MacAddr, BackOffTime
Table 4.1.2.1
Arguments:
Reg = Register location (1 byte)
Bank = Register bank, which provides logical isolation from other data regions (1 byte)
Span = Number of bytes of register data to get or set; must align to a parameter boundary (1 byte)
Val = Value to read/write to/from a register (see table 4.1.2.1 for size and acceptable range).
Data = User data (must fit within the slot size allocation)
MacAddr = MAC address of sender, for a reply or an event, or the recipient for a command (3 bytes)
Addr = Same as MAC address (3 bytes). When specifying a destination address in a tree-routing system,
a system address is used according to the following format (little-Endian byte order):
www.RFM.com Technical support +1.678.684.2000 Page 42 of 97
©2009-2011 by RF Monolithics, Inc. E-mail: tech_sup@rfm.com DNT2400 - 04/13/11
for routers - 0x00 0xNN 0xFF, where NN is the NwkID of the router.
for remotes - 0xMM 0xNN 0xFF, where NN is the NwkID of the parent router and MM is the
network address of the remote.
TxStatus = Result of last TxData operation (1 byte)
0x00 = Acknowledgement received
0x01 = No acknowledgement received
0x02 = Not linked (remote)
0x03 = No ACK due to recipient holding for flow control
RSSI = 2s complement value in dBm, with a range of -128 (0x80) to +125 (0x7D) dBm (1 byte);
large positive RSSI values will not occur under ordinary circumstances. RSSI values 126 (0x7E)
and 127 (0x7F) have special meaning:
0x7F = No RSSI measured because no ACK was received
0x7E = No RSSI because packet was routed
NwkID = Network identifier of network joined (1 byte)
BaseMacAddr = MAC address of base that the remote joined (3 bytes).
AnnStatus = Status announcement (1 byte). Additional fields are also reported
depending on the status code:
Status code Additional fields
0xA0 = Radio has completed startup initialization none
0xA2 = Base: a child has joined the network MacAddr, Reserved, Range
0xA3 = Remote: joined a network, ready for data NwkID, BaseMacAddr, Range
0xA4 = Remote: exited network (base is out of range) NwkID
0xA5 = Remote: the base has rebooted none
0xA7 = Base: remote has left the network. MacAddr
0xA8 = Base: heartbeat received from router or remote MacAddr, NwkAddr, NwkID,
ParentNwkID, BeaconRSSI,
AvgTxAttmpts, ParentRSSI, Range
0xA9 = Base: router heartbeat timeout NwkID
New status code field definitions:
ParentNwkID = Network ID of parent (1 byte)
BeaconRSSI = Average power of received beacons (1 byte)
ParentRSSI = Average power of received heartbeat as reported by parent (1 byte)
AvgTxAttempts = Average number of upstream transmit attempts per packet times 4 (1 byte)
Status codes for error conditions Additional fields
E0 = Protocol error - invalid message type none
E1 = Protocol error - invalid argument none
E2 = Protocol error - general error none
E3 = Protocol error - parser timeout none
E4 = Protocol error - register is read-only none
E8 = UART receive buffer overflow none
E9 = UART receive overrun none
EA = UART framing error none
EE = Hardware error none
www.RFM.com Technical support +1.678.684.2000 Page 43 of 97
©2009-2011 by RF Monolithics, Inc. E-mail: tech_sup@rfm.com DNT2400 - 04/13/11
Range = Range measurement of joining radio (1 byte). Each count equals 0.29 miles.
BootSelect = Code indicating whether to do a normal reset or a reset to the bootloader (1 byte)
(0 = normal reset, 1 = reset to bootloader)
PermitStatus = Permission for new node to join, 0x00 = denied, 0x01 = permitted (1 byte)
BackoffTime = Time that a node will avoid trying to join a network, in seconds (2 bytes)
(0xFFFF = back off until reset or power cycled)
4.1.3 /CFG Select Pin
A falling edge on the /CFG pin is the equivalent of the EnterProtocolMode command. A rising edge on the
/CFG pin is the equivalent to sending the ExitProtocolMode command. The input to the /CFG pin is de-
bounced to make it compatible with a mechanical switch or jumper.
4.1.4 Flow Control
There are two flow control signals between the radio and the host, /HOST_RTS and /HOST_CTS. See
Section 2.11 for flow control details.
4.1.5 Protocol Mode Data Message Example
In this example, ASCII text Hello World is sent from the base to a remote using a TxData command. The
MAC address of the remote is 0x000102. The protocol formatting for the host message is:
0xFB 0x0F 0x05 0x02 0x01 0x00 0x48 0x65 0x6C 0x6C 0x6F 0x20 0x57 0x6F 0x72 0x6C 0x64
There are 15 bytes following the length byte, so the length byte is set to 0x0F. Note that the 0x000102
MAC address is entered in Little-Endian byte order 0x02 0x01 0x00.
When an ACK to this message is received from the remote, the base outputs a TxDataReply message to
its host:
0xFB 0x06 0x15 0x00 0x02 0x01 0x00 0xC4
The 0x00 TxStatus byte value indicates the ACK reception from the remote. The RSSI value of the re-
ceived ACK is 0xC4 (-60 dBm).
If the remote is in protocol mode, the message is output in the following format:
0xFB 0x10 0x26 0x00 0x00 0x00 0xC4 0x48 0x65 0x6C 0x6C 0x6F 0x20 0x57 0x6F 0x72 0x6C 0x64
The message is output as an 0x26 event. The address field contains the base (originator) address. Note
that the RSSI value 0xC4 is inserted between the base MAC address and the Hello World user data.
4.1.6 Protocol Mode Tree-Routing MAC Address Discovery Example
In this example, a Discover command is broadcast in a tree-routing system to obtain the system address
of a remote with the MAC address 0x000102.
The protocol formatting for the host message is:
0xFB 0x04 0x06 0x02 0x01 0x00
There are 4 bytes following the length byte, so the length byte is set to 0x04. Note that the 0x000102
MAC address is entered in Little-Endian byte order 0x02 0x01 0x00.
www.RFM.com Technical support +1.678.684.2000 Page 44 of 97
©2009-2011 by RF Monolithics, Inc. E-mail: tech_sup@rfm.com DNT2400 - 04/13/11
The target remote will issue a DiscoverReply command as follows:
0xFB 0x08 0x16 0x00 0x02 0x01 0x00 0x01 0x01 0xFF
The 0x00 Status byte value indicates a response from the remote. The tree-routing system address of the
target remote is received in Little-Endian byte order, so the address is 0xFF0101. Referring to Figure
2.12.1.2, this is the system address of Remote R1.
4.2 Configuration Registers
The configuration registers supported by the DNT2400 are described below. Registers are sorted into
banks according to similar functions. Default register values are in bold. All changes to parameters are
temporary and will not persist through power cycling until 0x01 has been written to the MermorySave
parameter in Bank FF. Writing 0x00 to the MemorySave parameter will reload the factory default values
which also require writing 0x01 to the MemorySave location. Also note that some parameter changes do
not take effect until they are saved and the module is reset or power cycled. Modules can be reset by
writing 0x00 to the UcReset parameter in Bank FF.
4.2.1 Bank 0 - Transceiver Setup
Size in
Bank Loc'n Name R/W bytes Range Default, Options
00 00 DeviceMode R/W 1 0..3 0 = Remote, 1 = Base, 2 = PTT Remote, 3 = Router
00 01 RF_DataRate R/W 1 0..4 0 = 500, 1 = 200, 2 = 115.2, 3 = 38.4 kb/s,
0XFF = auto
00 02 HopDuration R/W 2 4..4000 10 ms (0x00C8)
00 04 InitialParent NwkID R/W 1 0..255 0xFF = join any network
00 05 SecurityKey R/W 16 0..2128 all null bytes (0x00) = security disabled
00 15 SleepMode R/W 1 0..1 0 = off, 1 = timer, 2 = interrupt
00 16 WakeResponseTime R/W 1 0..255 1 = 50 ms, 0 to disable
00 17 WakeLinkTimeout R/W 1 0..255 5 s
00 18 TxPower R/W 1 0..2 0 = 1 mW; 1 = 10 mW, 2 = 63 mW
00 19 ExtSyncEnable R/W 1 0..1 0 = off; 1 = enable
00 1A DiversityMode R/W 1 0..2 0 = 0 V, 1 = 3.3 V, 2 = toggle
00 1B Reserved 1
00 1C UserTag R/W 16 DNT2400"
00 2C RegDenialDelay R/W 2 10 s
00 2E RmtTransDestAddr R/W 3 0x000000 (Base)
0x00 0x34 TreeRoutingEn R/W 1 0..1 0x00 = off, 1 = enable
0x00 0x35 BaseModeNetID R/W 1 1..63 0xFF (must change on routers)
0x00 0x36 StaticNetAddr R/W 1 1..126, 255 0xFF = dynamic assignment
0x00 0x37 HeartbeatIntrvl R/W 2 1..65535 0x14 (20 seconds)
0x00 0x39 TreeRoutingSysID R/W 1 0..255 0x00
0x00 0x3A EnableRtAcks R/W 1 0..1 0x00 (suppress remote peer-to-peer ACKs)
Note: These settings are individual to each module.
DeviceMode - selects the operating mode for the radio: remote, base, PTT remote (listen mostly remote)
or tree-routing router. Note that changing this setting does not take effect immediately. It must be followed
by a MemorySave command (See Section 4.2.9) and then a hardware reset.
RF_DataRate - this sets the over-the-air data rate. DNT2400s with different RF data rates cannot inter-
communicate. The following codes are defined:
0x00 = 500 kb/s (default)
0x01 = 200 kb/s
0x02 = 115.2 kb/s
0x03 = 38.4 kb/s
0xff = auto
www.RFM.com Technical support +1.678.684.2000 Page 45 of 97
©2009-2011 by RF Monolithics, Inc. E-mail: tech_sup@rfm.com DNT2400 - 04/13/11
The auto setting will cause a remote to try all four over-the-air rates when scanning for a network to join.
Setting the RF_DataRate to a fixed value on the remotes will allow a network to link much faster than
using the auto setting. However, if the base RF_DataRate is changed when the remotes are set to a fixed
rate, the network will not link. Note that changing this setting does not take effect immediately. It must be
followed by a MemorySave command (See Section 4.2.9) and then a hardware reset.
HopDuration - this sets the duration of the hop frame. The duration is set as a 12-bit value,
0.05 ms/count. Changing the hop duration must be followed by a MemorySave command to allow the
change to persist through a reset or power cycle. A HopDuration change takes effect immediately. Re-
motes will re-link following a HopDuration parameter change.
InitialParentNwkID - this parameter selects the network ID that a base will use to start a network, or a
remote will be allowed to join. A value of 0xFF instructs a remote to operate in 'promiscuous mode' and
join any network it finds (if set for a base, this will select the default network ID of 0x00.)
In a tree-routing system, this parameter controls which parent a child router or remote can join. Setting
this value to 0x00 forces a router or a remote to join with only the base. Setting this parameter to the
NwkID of a parent router forces a child router or a remote to join only this parents network. Setting this
parameter to 0xFF in a router or remote allows them to join with any parent. In a tree-routing system, the
InitialParentNwkID parameter also determines the hopping pattern for the parent and children of each
network. When a network ID equals or exceeds the number of unique hopping patterns, the hopping
pattern selection will wrap around to the network ID modulo of the number of hopping patterns. To
prevent interference between networks in a tree-routing system, networks with the same hopping pattern
must be physically separated by enough distance that they cannot receive transmissions from each other.
It is often convenient to set the InitialParentNwkID parameter value on remotes to 0xFF to allow them to
connect to any parent device. However, setting the InitialParentNwkID parameter value to 0xFF on a
system with a large number of routers can be problematical. This could result in very long routing paths,
slowing communications, and possibly causing reply delays to exceed the P2PReplyTimeout parameter
setting. For this reason, it is often best to design a tree-routing system using a large number of routers so
that each router has an explicit InitialParentNwkID.
SecurityKey - this sets the 128-bit AES encryption key to be used. To protect the key, this is a write-only
parameter for the user (always reads back as 0x2A). Refer to the Section 2.16 for further information.
SleepMode - this parameter enables sleep mode, which may be used in conjunction with the automatic
I/O reporting feature to wake up on specified triggers. Sleep mode is only available for remotes, and the
channel access mode for the network must be one of the CSMA modes.
WakeResponseTime - this parameter sets the length of time that a remote in sleep mode will wait for a
response after sending an I/O report before going back to sleep, from a minimum of 10 ms to a maximum
of 2.5 seconds in 10 ms units. This time interval is set to allow the base host application to respond to a
remote with a packet before the remote returns to sleep. If this parameter is set to 0, the remote will stay
awake indefinitely after sending an I/O report. This allows the application as much time as needs for any
initial configuration after which it can cause the remote to re-enter sleep by setting this to the operating
value. The default value for this parameter is 50 ms.
WakeLinkTimeout - this parameter sets the maximum length of time that a remote in sleep mode will
spend trying to acquire a link to its base before going back to sleep, from a minimum of 100 ms to 25.5 s
www.RFM.com Technical support +1.678.684.2000 Page 46 of 97
©2009-2011 by RF Monolithics, Inc. E-mail: tech_sup@rfm.com DNT2400 - 04/13/11
in 100 ms units. If this value is set to 0, the remote will stay awake and continue trying to link to its base
indefinitely.
TxPower - this parameter sets the transmit power level used by the base (fixed), and the maximum trans-
mit power level used by a remote. A remote may automatically adjust its power below the TxPower set-
tings based on the signal strength it receives from the base plus the TxPower setting being used by the
base. The default 1 mW TxPower setting is useful for desktop testing. TxPower is usually set to a higher
level to increase operating range in actual applications. Setting bit 4 (0001xxxx) disables the remote
automatic transmit power function.
0x00 = 0 dBm or 1 mW (default)
0x01 = 10 dBm or 10 mW
0x02 = 18 dBm or 63 mW
ExtSyncEnable - this parameter enables or disables the hardware EX_SYNC function on Pin 15. When
enabled, a pulse train can be input on Pin 15 to synchronize the transmission of co-located bases. Dis-
abled by default.
DiversityMode - the following diversity antenna switching options are supported as an output on GPIO5:
0 = 0 V output (default)
1 = 3.3 V output
2 = hop-by-hop toggle between 0 and 3.3 V
UserTag - this is a user definable field intended for use as a location description or other identifying tag
such as a friendly name.
RegDenialDelay - when a remote has been removed from a network through a RemoteLeave, the Reg-
DenialDelay parameter sets the length of time the remote will wait before considering that network a
candidate for joining again. Units are in seconds; the default is 10 s.
RmtTransDestAddr - this parameter sets the destination address that a remote will send packets to when
configured to use transparent mode. The default destination is the base (0x000000). If this field is set to
another remote's MAC address or to the broadcast address, a peer-to-peer packet will be sent. Note that
peer-to-peer packets have higher latency than direct packets between base and remote. This setting has
no effect on the base.
TreeRoutingEn - this parameter enables tree-routing system operation. Tree-routing operation is disabled
by default.
BaseModeNetID - this parameter holds the base-mode network ID used by a router. This parameter must
be set to a unique value while the node is in remote mode. The node can then be configured as a router.
The base-mode network ID of 0 is reserved for the system base. To keep the base routing table trans-
missions short, low BaseModeNetID values should be used when possible. The base routing table trans-
missions leave off all unused entries corresponding to higher BaseModeNetIDs. For instance, if the
largest BaseModeNetID being used is 63, the payload in the routing table packet will be 64 bytes long. In
contrast, if the largest BaseModeNetID being used is five, then the payload in the routing table packet will
be only 6 bytes long.
StaticNetAddr - this parameter holds the lower byte of the system address of a remote. Assigning a value
other than 0xFF provides a fixed (static) address. When this parameter is set to 0xFF, the router assigns
www.RFM.com Technical support +1.678.684.2000 Page 47 of 97
©2009-2011 by RF Monolithics, Inc. E-mail: tech_sup@rfm.com DNT2400 - 04/13/11
the lower byte of the system address to a remote dynamically. When using fixed network addressing, any
device that can connect to a parent that has any children with fixed network addresses must also have a
unique fixed network address, including child routers.
HeartbeatIntrvl - this parameter sets the interval that heartbeat status messages are sent from each
system radio. Status messages include the nodes parents BaseModeNetID, its own routing address, and
miscellaneous performance data. The default value for this parameter is 20 seconds. If the heartbeat
interval is set to 0x0000, remote heartbeats are disabled. Since router heartbeats are needed to maintain
the system routing table, setting the HeartbeatIntrvl value on a router to 0x0000 will cause heartbeats to
be sent at the default 20 second rate. Setting the HeartbeatIntrvl parameter to 0xFFFF will suppress
heartbeats except during registration or when an error is detected in the routing table.
The base maintains a 2-bit counter for each router in the system. The counter is decremented at the
bases heartbeat interval. If the base does not receive a heartbeat packet from a router for two to three
heartbeat intervals, that router and all of its child routers (and their child routers, etc.) are deleted from the
routing table. It is possible to set the bases heartbeat interval to a value greater than the heartbeat inter-
val for all the other devices in the network, to prevent premature router timeouts due to network conges-
tion causing heartbeats from routers to be delayed or lost.
The base treats router heartbeat packets differently than remote heartbeat packets. Heartbeat packets
from remotes are not ACKed, while ACKs are sent to a routers originating a heartbeat packets to indicate
reception. This prevents additional heartbeat transmissions by a router until the next heartbeat interval. If
a router does not receive a reply to a heartbeat packet within the configured P2PReplyTimeout interval, it
will persistently re-send the heartbeat packet until its is ACKed.
TreeRoutingSysID - this parameter holds the system ID for a tree-routing system.
EnableRtAcks - this parameter controls remote ACK replies for peer-to-peer data packets. The default
configuration for this parameter is 0, which suppresses remote peer-to-peer ACKs. Setting this parameter
to 1 enables peer-to-peer ACKs. This parameter applies to both point-to-multipoint and tree-routing peer-
to-peer communications.
4.2.2 Bank 1 - System Settings
Size in
Bank Loc'n Name R/W bytes Range Default; Options
0x01 0x00 FrequencyBand R/W 1 0..FF 0x00 to 0x08 = general purpose,
0x04,
0x05 & 0x07 = France, 0xFF = auto
0x01 0x01 AccessMode R/W 1 0..4 2 = TDMA Dynamic Slots
0x01 0x02 BaseSlotSize R/W 1 6..233 50 bytes
0x01 0x03 LeasePeriod R/W 1 0..250 5 s (0 to disable)
0x01 0x04 ARQ_Mode R/W 1 0..3 1 = redundant broadcast to ARQ_AttemptLimit,
ARQAttemptLimit pass to remotes enabled
0x01 0x05 ARQ_AttemptLimit R/W 1 0..63 8 attempts
0x01 0x06 MaxSlots R/W 1 0..15 4 slots
0x01 0x07 CSMA_Predelaty R/W 1 0..255 0x03
0x01 0x08 CSMA_Backoff R/W 1 0..255 0x0A
0x01 0x09 MaxPropDelay R/W 1 0..255 0x45 (20 mi, 32.18 km)
0x01 0x0A LinkDropThreshold R/W 1 0..255 0x0C
0x01 0x0B CSMA_RemtSlotSize R/W 1 1..255 64
0x01 0x0C CSMA_BusyThreshold R/W 1 1..255 20
0x01 0x0D RangingInterval R/W 1 0..255 0 = disable
0x01 0x0E AuthMode R/W 1 0..3 0 = authentication disabled
0x01 0x0F P2PReplyTimeout R/W 1 16 hops
www.RFM.com Technical support +1.678.684.2000 Page 48 of 97
©2009-2011 by RF Monolithics, Inc. E-mail: tech_sup@rfm.com DNT2400 - 04/13/11
Bank 1 holds configuration parameters to be input to the base only. The base passes these parameters to
the remotes as needed. The exception is the ARQ_AttemptLimit parameter. If ARQ_Mode bit 1 is set to 1
at the base, the ARQ_AttemptLimit parameter can be set in the remotes and used.
FrequencyBand - this parameter selects the frequency hopping subband. Nine subbands are available,
as shown below. Note that operation in France is limited to subbands 0x04, 0x05 and 0x07.
Subband Channels Frequency Range(s) Notes
0x00 37 2409.3-2467.1 MHz General purpose 37 channel subband
0x01 17 2441.1-2467.1 MHz 17 channel subband, avoids 802.11b/g channels 1-4
0x02 17 2409.3-2416.6 MHz, 2451.2-2467.1 MHz 17 channel subband, avoids 802.11b/g channels 5-6
0x03 17 2409.3-2426.7 MHz, 2461.3-2467.1 MHz 17 channel subband, avoids 802.11b/g channels 7-8
0x04 17 2409.3-2435.3 MHz 17 channel subband, avoids 802.11b/g channels 9-10,
also for use in France
0x05 21 2409.3-2441.1 MHz 21 channel subband, avoids 802.11b/g channels
11-13, also for use in France
0x06 21 2428.1-2461.3 MHz 21 channel subband, avoids 802.11 b/g channel 1
0x07 15 2409.3-2432.4 MHz 15 channel subband, avoids 802.11b/g channels
8-13, also for use in France
0x08 15 2433.9-2455.6 MHz 15 channel subband, avoids 802.11b/g channels
1-2 and 13
0xFF 15 to 37 Auto Autoscan for remote to match base
AccessMode - this sets the channel access mode that remotes will use to communicate with the base:
Access Mode Description Max # of Remotes Remote Slot Size
0 Polling unlimited manual
1 CSMA unlimited manual
2 (default) TDMA dynamic slots up to 16 automatic
3 TDMA fixed slots up to 16 automatic
4 TDMA with PTT up to 16 + automatic
unlimited listen only
BaseSlotSize - This parameter set the maximum number of user data bytes that the base can send on a
single hop. This value must be set by the user for all access modes. The default value is 50 bytes.
LeasePeriod - this sets the duration in seconds for leases that remotes receive from the base. If a period
of zero is specified, then lease functions are disabled. The minimum valid lease period is two seconds.
Remotes will attempt to renew their leases at an interval equal to half the lease period. For example, if the
lease period is set to four seconds, remotes will renew their leases every two seconds.
ARQ_Mode - this sets the ARQ mode for delivery of application messages. In ARQ mode, an ACK is
expected from the receiving radio for each message addressed and sent to it. If no ACK is received, up to
ARQ_AttemptLimit, attempts to send the data will be made, after which the message is discarded. In
redundant broadcast mode, each broadcast message is sent exactly ARQ_AttemptLimit times. No ACKS
are sent or expected. The following bit options control this function:
bits 7..2 Not used
bit 1 If set to 0, the base can pass a new ARQ_AttemptLimit to the remotes
If set to 1, the remotes use their own ARQ_AttemptLimit in Bank 1
bit 0 If set to 1, ARQ mode is enabled for Protocol mode; the base will send broadcast packets ARQ_AttemptLimit
times instead of once. If set to 0, broadcast packets are sent once
www.RFM.com Technical support +1.678.684.2000 Page 49 of 97
©2009-2011 by RF Monolithics, Inc. E-mail: tech_sup@rfm.com DNT2400 - 04/13/11
ARQ_AttemptLimit - this sets the maximum number of attempts that will be made to send a data packet
on the RF link. Setting this parameter to the maximum value of 63 is a flag value indicating that there
should be no limit to the number of attempts to send each packet (infinite number of attempts). This mode
is intended for point-to-point networks in serial data cable replacement applications where absolutely
nopackets can be lost. Note - if this mode is used in a multipoint network, one remote that has lost link will
shut down the entire network if the base is trying to send it data.
MaxNumSlots - in TDMA access modes, this sets the number of slots that are allowed. In fixed slot mode,
this allocates the number of slots directly. In dynamic slot mode, this sets the maximum number of slots
that may be generated regardless of the number of remotes that attempt to link with the base. Any re-
motes requesting registration after this limit is reached will be denied registration by the base.
CSMA_Predelay - in CSMA mode 1, this parameter sets the maximum delay between when the base
transmission has finished and when a remote checks for a clear channel. The value of each parameter
count depends on the data rate as shown below. Refer to Section 2.10.2 for more information.
Data Rate Parameter
38.4 kbps 1000 µs/count
115.2 kbps 800 µs/count
200 kbps 600 µs/count
500 kbps 400 µs/count
CSMA_Backoff - in a CSMA mode 1, this parameter sets the maximum length of time that a remote will
back off after it detects a busy channel. The value of each parameter count depends on the data rate as
shown in the CSMA_Predelay table shown above. Refer to Section 2.10.2 for more information.
MaxPropDelay - this is the maximum propagation delay that the base and the remotes will use in their slot
timing calculations, in units of 3.1 µs. This is used to increase the amount of time dedicated to the regis-
tration slot. Increasing this value will subtract slightly from the overall slot time available to remotes for
sending data. Note that the free-space round trip propagation delay for one mile is 10.72 µs. Each incre-
ment of MaxPropDelay thus corresponds to a maximum radius from the remote to the base of 0.29 mi
(0.46 km). The default setting provides enough time to handle remotes up to 20 miles away. It is recom-
mended to use the default setting unless a path greater than 20 miles is planned at start up. Once linked
to the base, remotes will periodically update their timing based on ranging information from the base,
except in Polling Mode. The frequency with which this value is updated is set by the RangingInterval
parameter discussed below. The current range information is available in the CurrPropDelay parameter.
LinkDropThreshold - this is the number of consecutive beacons missed by a remote that causes the
remote to restart a link acquisition search. Please contact RFM technical support before making changes
to the parameter.
CSMA_RemtSlotSize - this sets the maximum size for a remote data transmission in polling or CSMA
channel access modes. Setting this parameter to a large value allows a remote to send more data in a
single hop, but can result in fewer remotes having time to send on a given hop. The default is 64 bytes.
CSMA_BusyThreshold - this sets the RSSI energy detection threshold that remotes use to determine
whether the channel is occupied. The factory default should be sufficient for most applications and it is
recommended that this value not be changed.
RangingInterval - this sets the interval in seconds/count when remotes will reassess their range to the
base. Polling (mode 0) disables ranging, so remotes receive ranging information only once each time they
join a network. The RangingInterval timer does not advance while a remote is sleeping.
www.RFM.com Technical support +1.678.684.2000 Page 50 of 97
©2009-2011 by RF Monolithics, Inc. E-mail: tech_sup@rfm.com DNT2400 - 04/13/11
AuthMode - this parameter is valid on the base only. It controls how remotes are permitted to join the
network. Permitted values are:
0 = Any remote may join
1 = Authentication by base radio permission table
2 = Authentication by request to host application
3 = Lock authentication to permit only currently registered remotes
P2PReplyTimeout - This parameter sets the reply timeout for peer-to-peer packets sent from one node to
another. Because each leg of the journey from one node to another and back may take multiple transmit
attempts, the length of time to confirm receipt and issue a TxDataReply is subject to more variation than a
transmission directly between a base and a remote. The P2PReplyTimeout parameter specifies the
maximum number of hops or hop pairs that a remote will wait for a reply from its recipient. If a reply
returns sooner than the timeout, the remote will send a TxDataReply indicating success to its host as
soon as it is received, and cancels the timeout. If a reply does not come back before the timeout expires,
the remote will send a TxDataReply to its host indicating failure. If a reply should come back after the
timeout expires the remote will ignore it, as a TxDataReply has already been sent. The units of this pa-
rameter are in hops for non tree-routing operation and in hop pairs for tree-routing operation. The default
is eight hops/eight hop pairs.
There is some coupling between the HeartbeatIntrvl parameter setting and the P2PReplyTimeout pa-
rameter setting. If the heartbeat interval in seconds is less than the P2PReplyTimeout in hop pairs, it is
possible that a router will not repeat an un-ACKed heartbeat packet quickly enough to prevent the base
from timing that router out (heartbeats are repeated only when an ACK is not received within the
P2PReplyTimeout interval.) Thus, setting the P2PReplyTimeout to a very large value relative to the
heartbeat interval could cause problems.
4.2.3 Bank 2 - Status Registers
Size in
Bank Loc'n Name R/W bytes Range Default
0x02 0x00 MacAddress R 3 0..0x0ffffff fixed value
0x02 0x03 CurrNwkAddr R 1 0..255 as set
0x02 0x04 CurrNwkID R 1 0..255 as set
0x02 0x05 CurrRF_DataRate R 1 0..3 as set
0x02 0x06 CurrFreqBand R 1 0..1 as set
0x02 0x07 LinkStatus R 1 0..4 current status
0x02 0x08 RemoteSlotSize R 1 0..243 as set
0x02 0x09 TDMA_NumSlots R 1 0..16 as set
0x02 0x0A Reserved R 1 0..255 reserved
0x02 0x0B TDMA_CurrSlot R 1 0..16 current slot
0x02 0x0C HardwareVersion R 1 0..255 0x00 = DNT2400 rev A
0x02 0x0D FirmwareVersion R 1 0..255 current firmware load
0x02 0x0E FirmwareBuildNum R 2 0..216 current firmware load
0x02 0x10 Reserved R 1 0..255 reserved
0x02 0x11 SuperframeCount R 1 0..255 current value
0x02 0x12 RSSI_Idle R 1 0..255 as set
0x02 0x13 RSSI_Last R 1 0..255 as set
0x02 0x14 CurrTxPower R 1 0..255 as set
0x02 0x15 CurrAttemptLimit R 1 0..255 as set
0x02 0x16 CurrRangeDelay R 1 0..255 as set
0x02 0x17 FirmwareBuildDate R 8 ASCII as set
0x02 0x1F FirmwareBuildTime R 8 ASCII as set
0x02 0x27 ModelNumber R 1 0..255 0x01
0x02 0x28 CurrBaseModeNetID R 1 0..63, 255 0xFF
0x02 0x29 AveRXPwrOvHopSeq R 1 0..255 as received
0x02 0x2A ParentACKQual R 1 0..255 4*number of attempts to get ACK
MacAddress - returns the radio's unique 24-bit MAC address.
www.RFM.com Technical support +1.678.684.2000 Page 51 of 97
©2009-2011 by RF Monolithics, Inc. E-mail: tech_sup@rfm.com DNT2400 - 04/13/11
CurrNwkAddr - this returns the address of the radio in its parents network.
CurrNwkID - this returns the ID of the network the radio is currently assigned to or connected to. A value
of 0xFF means the radio is scanning for a network but has not yet joined one.
CurrRF_DataRate - this returns the RF data rate of the network that the radio is currently assigned to or
connected to. If the radio is scanning for a network, this is the current data rate it is using in the scan.
CurrFreqBand - this returns the frequency band of the network that the radio is currently assigned to or
connected to. A value of 0xFF means the radio is scanning for a network but has not yet joined one.
LinkStatus - this returns the radio's current connection status to the network. The following codes are
defined:
LinkStatus Remote Status Base Status
0 initializing initializing
1 unlinked, scanning for a network not used
2 linked, acquiring network parameters not used
3 linked, registering with the base not used
4 linked and registered ready for data transfer
RemoteSlotSize - returns the current remote slot size, defined as the maximum number of message bytes
a remote can send on a single hop. When using protocol mode, the entire packet, including overhead
bytes must be less than or equal to this value or the packet will be discarded. In the three TDMA modes
the remote slot size is automatically computed, and this value is read-only. In polling and CSMA modes,
the remote slot size must be set by the user. The parameter to set this is CSMA_RemtSlotSize in Bank 1.
TDMA_NumSlots - in TDMA access modes, this returns the number of slots currently allocated.
TDMA_CurrSlot - returns the current TDMA slot number assigned to the remote in modes where the slot
position is automatically computed. In modes where this number is not applicable, it is read as 0xFF.
HardwareVersion - returns an identifier indicating the type of radio. A value of 0x41 is defined for the
DNT2400 Rev A hardware.
FirmwareVersion - returns the firmware version of the radio in 2-digit BCD format.
FirmwareBuildNum - returns the firmware build number, in binary format.
SuperframeCount - returns the current superframe count. The count increments every 64 hops.
RSSI_Idle - returns the last measurement of RSSI made during a time when the RF channel was idle.
Can be used to assess the noise floor or detect interferers.
RSSI_Last - returns the last measurement of RSSI made during the receipt of an RF packet with a valid
CRC. Can be used for network commissioning and diagnostic purposes.
CurrTxPower - returns the current transmitter power setting of a remote, allowing the automatic power
setting to be tracked. This parameter is the nominal output power setting in dBm, and is a 2s complement
value. Note that the CurrTxPower parameter value returned from a base or repeater is not valid.
www.RFM.com Technical support +1.678.684.2000 Page 52 of 97
©2009-2011 by RF Monolithics, Inc. E-mail: tech_sup@rfm.com DNT2400 - 04/13/11
CurrAttemptLimit - this returns the value of ARQ_AttemptLimit currently in use (depending on the selected
ARQ_Mode, it may not always match the local EEPROM value).
CurrRangeDelay - returns the current propagation delay for this remote as measured from the base
(applies to remote nodes only).
FirmwareBuildDate - date of firmware build in MM/DD/YY format.
FirmwareBuildTime - time of firmware build in HH:MM:SS format.
ModelNumber - DNT model number parameter, 0x01 = DNT900, 0x02 = DNT2400.
CurrBaseModeNetID - returns the current base-mode network ID.
AveRXPwrOvHopSeq - returns the average beacon power received over the last tree-routing hop
sequence.
ParentACKQual - returns the number of transmission sent before and ACK is received, multiplied by 4.
4.2.4 Bank 3 - Serial and SPI Settings
Size in
Bank Loc'n Name R/W bytes Range Default
0x03 0x00 SerialRate R/W 2 1..384 0x0030 (9.6 kb/s)
0x03 0x02 SerialParams R/W 1 0..7 0x00 (8N1)
0x03 0x03 SerialControls R/W 1 0..7 0X07
0x03 0x04 SPI_Mode R/W 1 0..2 0x00 (SPI disabled)
0x03 0x05 SPI_Divisor R/W 1 1..27 0x0A (80.64 kb/s)
0x03 0x06 SPI_Options R/W 1 0..3 0x00 (standard SPI configuration)
0x03 0x07 SPI_MasterCmdLen R/W 1 0..25 0x00
0x03 0x08 SPI_MasterCmdStr R/W 32 ASCII all 0x00 bytes
SerialRate - sets the serial rate divisor according to the following formula:
Serial rate in b/s = 460800/SerialRate
Serial rate division settings for commonly used baud rates are:
Setting Serial rate
0x0001 460.8 kb/s
0x0002 230.4 kb/s
0x0004 115.2 kb/s
0x0006 76.8 kb/s
0x0008 57.6 kb/s
0x000C 38.4 kb/s
0x0010 28.8 kb/s
0x0018 19.2 kb/s
0x0030 9.6 kb/s (default)
0x0060 4.8 kb/s
0x00C0 2.4 kb/s
0x0180 1.2 kb/s
SerialParams - sets the serial mode options for parity and stop bits:
Setting Mode
0x00 No parity, 8 data bits, 1 stop bit (default)
0x01 No parity, 8 data bits, 2 stop bits
0x02 Reserved
0x03 Reserved
www.RFM.com Technical support +1.678.684.2000 Page 53 of 97
©2009-2011 by RF Monolithics, Inc. E-mail: tech_sup@rfm.com DNT2400 - 04/13/11
0x04 Even parity, 8 data bits, 1 stop bit
0x05 Even parity, 8 data bits, 2 stop bits
0x06 Odd parity, 8 data bits, 1 stop bit
0x07 Odd parity, 8 data bits, 2 stop bits
Note that 8-bit data with no parity is capable of carrying 7-bit data with parity for compatibility without loss
of generality for legacy applications that may require it.
SerialControls - this parameter affects the way the radio responds to the various serial control lines.
Enabling or disabling response to some serial control signals can facilitate communicating with devices
that support only a reduced serial interface. The parameter is defined as a bitmask, with the following
options:
bits 7..3 Reserved
bit 2 Base /DCD mode:
1 = The base will only assert /DCD when at least one remote is registered (default).
0 = The base always asserts /DCD, regardless of whether any remotes are attached.
bit 1 /HOST_RTS enable:
1 = Radio will respond to changes on the /HOST_RTS control line (default).
0 = Radio ignores the /HOST_RTS pin and assumes flow control is always asserted.
bit 0 SLEEP/DTR enable.
1 = Radio will respond to changes on the SLEEP Pin (default)
0 = Radio ignores the SLEEP Pin and is always in the awake state.
SPI_Mode - this register enables and configures SPI port operation. When SPI functions are enabled, the
primary serial (UART) port operation is disabled in SPI Slave mode and restricted in SPI Master mode.
The diagnostic serial port continues to operate normally. Note that only protocol formatted messages can
be used when a DNT2400 is configured for SPI operation. SPI_Mode has the following settings:
Setting Mode
0x00 SPI disabled - serial UART mode (default)
0x01 SPI Slave mode
0x02 SPI Master mode
When a DNT2400 is configured for SPI Slave mode operation, all messages are routed through the SPI
port in lieu of the primary serial (UART) port. The /HOST_CTS signal provides the same flow control
function for the MOSI input that it provides for the RADIO_RXD serial input. The Master (host) can clock
transmit messages into the DNT2400 SPI Slave whenever /HOST_CTS is set to a logic low state. The
Master can also complete clocking a protocol formatted transmit message into the DNT2400 if
/HOST_CTS switches high part way through the message, but must then stop inputting transmit mes-
sages until the DNT2400 resets /HOST_CTS to a logic low state.
In order for the Master to receive data from a DNT2400 SPI Slave, it must clock bytes into the DNT2400.
These bytes may be message bytes and/or 0x00 null bytes. The DNT2400 will return null bytes on the
MISO output until the DNT2400 receives a packet. The received message will then be clocked out.
GPIO4 can be alternately configured to provide an SPI RX data available flag, SPI_RX_AVL, to signal
when the DNT2400 slave is holding a received message(s). See Section 2.13 for additional information.
In SPI Slave mode, the maximum continuous SPI clock rate supported is 80.64 kb/s. The Master (host)
clock rate should closely match the DNT2400 SPI clock rate setting for best data transfer efficiency. See
the SPI_Divisor description below.
In SPI slave mode, de-asserting and then asserting the /SS line resets the DNT2400 SPI port on a byte
boundary. The /SS line can be toggled this way between every byte to assure bit streams into and out of
the SPI port remain byte framed. Less frequent /SS line toggling is also acceptable in most applications. It
is recommended that /SS be toggled at the start and end of each transmit message, and after no more
than 256 null bytes when clocking to output a received message. The /SS line should also be toggled at
www.RFM.com Technical support +1.678.684.2000 Page 54 of 97
©2009-2011 by RF Monolithics, Inc. E-mail: tech_sup@rfm.com DNT2400 - 04/13/11
the end of each received message. Figure 4.2.4.1 shows a typical relation ship between the /SS line (red
trace) and the SCLK line (blue trace).
Figure 4.2.4.1
When periodic I/O reporting is enabled on a DNT2400 remote configured as an SPI Master, the remote
will clock out a stored command string, SPI_MasterCmdStr, to collect data from a Slave peripheral each
time the I/O report timer fires. The collected data is then transmitted to the base as a TXData message.
Alternatively, a host connected to the base can transmit an SPI command as a TXData message to the
remote. The remote will clock the command into its Slave peripheral and transmit back the Slaves re-
sponse. In either case, the command string and response string are limited to 32 bytes. Only data mes-
sages are routed through the DNT2400s SPI port in Master mode. Command packets and command
replies are routed through the primary serial port.
When configured as an SPI Master, the DNT2400 sets /SS low one SPI bit period before the start of
message clocking and sets /SS high after clocking the last message bit. When the DNT2400 is operating
in SPI Slave mode, the Master (host) must set /SS low at least one SPI bit period before clocking data
in/out of the DNT2400. See the SPI_Divisor description below.
Changes to the SPI_Mode setting must be saved and the DNT2400 reset to take effect. This avoids the
possibility of setting SPI mode inadvertently and being unable to communicate with the DNT2400 to
switch it back to serial mode. If the /CFG pin is grounded at power up, the SPI_Mode setting is overridden
and the DNT2400 will start up in serial (UART) mode.
SPI_Divisor - this parameter sets the clock rate in SPI Master mode and clock rate related timing, such as
/SS sampling, in Slave mode. The SPI rate is set according to the following formula:
SPI rate in b/s = 806400/SPI_Divisor
The valid range for SPI_Divisor is 1 to 127, providing SPI rates from 6.35 to 80.64 kb/s. For best data
transfer efficiency in Slave mode, the Master (host) clock rate should closely match the DNT2400 SPI
data rate setting.
SPI_Options - this parameter sets the clock options for the SPI modes:
Setting Clock Option
0x00 Normal operation
0x01 Second clock edge
0x02 High idle clock polarity
0x03 Second clock edge with high idle clock polarity
www.RFM.com Technical support +1.678.684.2000 Page 55 of 97
©2009-2011 by RF Monolithics, Inc. E-mail: tech_sup@rfm.com DNT2400 - 04/13/11
SPI_MasterCmdLen - this parameter sets the length for the SPI Master command string that will be used
to interrogate the slave peripheral, when SPI Master mode is selected with periodic I/O reporting enabled.
SPI_MasterCmdStr - this parameter holds the SPI Master command string that is used to interrogate the
slave peripheral when SPI Master mode is selected with periodic I/O reporting enabled.
4.2.5 Bank 4 - Host Protocol Settings
Size in
Bank Loc'n Name R/W bytes Range Default; Options
0x04 0x00 ProtocolMode R/W 1 0..1 0 = transparent; 1 = protocol
0x04 0x01 ProtocolOptions R/W 1 0..255 0x05
0x04 0x02 TxTimeout R/W 1 0..255 0x00 (no timeout)
0x04 0x03 MinPacketLength R/W 1 1..255 1 byte
0x04 0x04 AnnounceOptions R/W 1 0..7 0x07 all enabled
0x04 0x05 TransLinkAnnEn R/W 1 0..1 0 = disabled; 1 = <LINK> announce
0x04 0x06 ProtocolSequenceEn R/W 1 0..2 0 = disabled; 1 = startup, 2 = anytime
0x04 0x07 TransPtToPtMode R/W 1 0..1 0 = multipoint, 1 = point-to-point
0x04 0x08 MaxPktsPerHop R/W 1 0..3 0x03
ProtocolMode - this parameter selects the host protocol mode. The default is 0, which is transparent
mode, meaning the radio conveys whatever characters that are sent to it transparently, without requiring
the host to understand or conform to the DNT2400's built-in protocol. This setting is recommended for
point-to-point applications for legacy applications such as wire replacements where another serial proto-
col may already exist. Setting this parameter to 1 enables the DNT2400 host protocol, which is recom-
mended for point-to-multipoint applications and is preferred for new designs. It is not necessary to define
the same protocol mode for all radios in a network. For example, it is frequently useful to configure all the
remotes for transparent mode and the base for protocol mode. Note that it is possible for the host to
switch the radio from transparent mode to protocol mode and back if desired by transmitting an Enter-
ProtocolMode command.
ProtocolOptions - this is a bitmask that selects various options for the protocol mode. The default is 0x05.
bits 7..3 Reserved
bit 2 Enable output of TxReply packets
bit 1 Reserved
bit 0 Enable output of Announce packets
AnnounceOptions - this is a bitmask that enables/disables different types of Announce packets:
bit 7..3 Reserved
bit 2 Enable bit for Announce types E0-EA (error notification)
bit 1 Enable bit for Announce types A1-A7 (<LINK> notifications)
bit 0 Enable bit for Announce types A0 (initialization)
TxTimeout - this parameter is the transmit timeout used for determining message boundaries in transpar-
ent data mode. Units are in milliseconds. A message boundary is determined whenever a gap between
consecutive characters is equal to or greater than the TxTimeout value, or the number of bytes reaches
the MinPacketLength. Either condition will trigger a transmission. The default TxTimeout value is 0 ms.
MinPacketLength - sets the minimum message length used for determining packet boundaries in trans-
parent data mode. The default is one byte. A transmission is triggered when either the number of bytes
reaches MinPacketLength or a gap is detected between consecutive characters greater than TxTimout.
TransLinkAnnEn - enables a link announcement function for transparent mode. Whenever link is acquired
or dropped, the strings "<LINK>" or "<DROP>" are sent to the local host.
www.RFM.com Technical support +1.678.684.2000 Page 56 of 97
©2009-2011 by RF Monolithics, Inc. E-mail: tech_sup@rfm.com DNT2400 - 04/13/11
ProtocolSequenceEn - enables or disables the EnterProtocolMode ASCII command string to switch from
transparent mode to protocol mode. Valid settings are 0 = disabled, 1 = one time at startup, 2 = enabled
at any time. The default is enabled at anytime.
TransPtToPtMode- controls the behavior for addressing packets in transparent mode. When this setting is
zero (default), in transparent mode the base will direct packets to the broadcast address. This is useful for
point-to-multipoint where the base is sending data to multiple remotes, for instance in applications where
a wireless link is replacing an RS-485 serial bus. When this setting is one, in transparent mode the base
will direct packets to the last remote that registered with it. This is useful for point-to-point networks where
there are only two endpoints, for instance in applications where a simple serial cable is being replaced.
MaxPktsPerHop - this parameter sets a limit on the maximum number of packets a radio can send on
each frequency hop. The default value is 3, the range is 1 to 3.
4.2.6 Bank 5 - I/O Peripheral Registers
Size in Range
Bank Loc'n Name R/W bytes in bits Default
0x05 0x00 GPIO0 R/W 1 1 0
0x05 0x01 GPIO1 R/W 1 1 0
0x05 0x02 GPIO2 R/W 1 1 0
0x05 0x03 GPIO3 R/W 1 1 0
0x05 0x04 GPIO4 R/W 1 1 0
0x05 0x05 GPIO5 R/W 1 1 0
0x05 0x06 ADC0 R 2 10 N/A
0x05 0x08 ADC1 R 2 10 N/A
0x05 0x0A ADC2 R 2 10 N/A
0x05 0x0C Event Flags R 2 10 N/A
0x05 0x0E PWM0 R/W 2 9 0
0x05 0x10 PWM1 R/W 2 9 0
GPIO0..5 - writing to these registers sets the corresponding driver for pins that are enabled outputs.
Writing to pins that are enabled as inputs enables or disables the internal pull-up. Reading these registers
returns the current level detected on the corresponding pins.
ADC0..2 - read-only, returns the current 10-bit ADC reading for the selected register. See the discussion
of the ADC_SampleIntvl parameter below.
EventFlags - used with the automatic I/O reporting feature, this parameter indicates which I/O events
have been triggered since the last report message:
bits 15..8 Reserved
bit 7 ADC2 high/low threshold excursion
bit 6 ADC1 high/low threshold excursion
bit 5 ADC0 high/low threshold excursion
bit 4 Periodic timer report
bit 3 GPIO3 edge transition
bit 2 GPIO2 edge transition
bit 1 GPIO1 edge transition
bit 0 GPIO0 edge transition
PWM0..1 - sets the PWM (DAC) outputs. The DC voltage derived from the integrated low-pass filters on
the PWM output provides an effective DAC resolution of 7 bits (8 bits achievable with external filtering).
The range of this parameter is 0x0000 to 0x00FF.
www.RFM.com Technical support +1.678.684.2000 Page 57 of 97
©2009-2011 by RF Monolithics, Inc. E-mail: tech_sup@rfm.com DNT2400 - 04/13/11
4.2.7 Bank 6 - I/O Setup
Size in Range
Bank Loc'n Name R/W bytes in bits Default; Options
0x06 0x00 GPIO_Dir R/W 1 6 0 (all inputs)
0x06 0x01 GPIO_Init R/W 1 6 0 (all zeros)
0x06 0x02 GPIO_Alt R/W 1 6 0x08 = use GPIO3 for RS485 enable
0x06 0x03 GPIO_Edge Trigger R/W 1 8 0x00
0x06 0x04 GPIO_SleepMode R/W 1 1 0 = off; 1 = use sleep I/O states
0x06 0x05 GPIO_SleepDir R/W 1 6 0 (all inputs)
0x06 0x06 GPIO_SleepState R/W 1 6 0 (all zeros)
0x06 0x07 PWM0_Init R/W 2 10 0x0000
0x06 0x09 PWM1_Init R/W 2 10 0x0000
0x06 0x0B ADC_SampleIntvl R/W 2 16 0x0001 (10 ms)
0x06 0x0D ADC0 ThresholdLo R/W 2 10 0x0000
0x06 0x0F ADC0_ThresholdHi R/W 2 10 0x03FF
0x06 0x11 ADC1_ThresholdLo R/W 2 10 0x0000
0x06 0x13 ADC1_ThresholdHi R/W 2 10 0x03FF
0x06 0x15 ADC2_ThresholdLo R/W 2 10 0x0000
0x06 0x17 AC2_ThresholdHi R/W 2 10 0x03FF
0x06 0x19 IO_ReportTrigger R/W 1 0..1 0x01 (GPIO0)
0x06 0x1A IO_ReportInterval R/W 4 32 0x00000BB8 (every 30 seconds)
0x06 0x1E IO_ReportPreDel R/W 1 8 0x00
0x06 0x1F IO_ReportRepeat R/W 1 8 0x01
GPIO_Dir - this parameter is a bitmask that sets whether the GPIOs are inputs (0) or outputs (1). The
default is all inputs.
GPIO_Init - this parameter is a bitmask that sets the initial value for any GPIOs which are enabled as
outputs. For GPIOs enabled as inputs, this sets the initial pull-up setting.
GPIO_Alt - this parameter is a bitmask to select alternate functions for GPIO3, GPIO4 and GPIO5 as
shown below:
Bit Alternate function
3 GPIO3 functions as an RS-485 driver enable output
4 GPIO4 functions as an SPI_RX_AVL (SPI RX data available) flag
5 GPIO5 functions as an antenna diversity control output
GPIO_EdgeTrigger - when GPIO triggers are enabled for automatic I/O reporting, this function controls
the trigger behavior:
bits 7..6 GPIO3 edge function
bits 5..4 GPIO2 edge function
bits 3..2 GPIO1 edge function
bits 1..0 GPIO0 edge function
The bit values for each GPIO map to the following settings:
Value GPIO edge behavior
11 Rising edge trigger, neither level keeps remote awake
10 Bidirectional edge trigger, neither level keeps remote awake
01 Rising edge trigger, holding high keeps remote awake
00 Falling edge trigger, holding low keeps remote awake
GPIO_SleepMode - when set to 1, this parameter enables setting of GPIOs to the designated direction
and state whenever a device is asleep.
www.RFM.com Technical support +1.678.684.2000 Page 58 of 97
©2009-2011 by RF Monolithics, Inc. E-mail: tech_sup@rfm.com DNT2400 - 04/13/11
GPIO_SleepDir - when GPIO_SleepMode is enabled, this parameter functions as a secondary GPIO_Dir
to set the direction of the GPIOs during a devices sleep period. This enables the user to provide alternate
configurations during sleep that will help minimize current consumption. Bits 0..5 correspond to GPIO0..
GPIO5. Set a GPIO_SleepDir bit to 1 to specify an output, or to 0 to specify an input.
GPIO_SleepState - when GPIO_SleepMode is enabled, this parameter functions as a bitmask to control
the states of the GPIOs, the RADIO_TXD output, and the /HOST_CTS and /DCD outputs during a de-
vices sleep period. This allows the user to set alternate configurations during sleep to minimize current
consumption. Bits 0..5 correspond to GPIO0..GPIO5 respectively. Bit 6 sets the state of RADIO_TXD,
and bit 7 sets the states of /HOST_CTS and /DCD. A sleep state bit is set to 1 to specify a high output or
an internal pull-up on an input, or to 0 to specify a low output or no internal pull-up on an input. Bit 6 must
be set low in order to achieve minimum sleep current (high impedance load assumed), and the other bits
may need to be set low or high depending on their external loads. When bit 6 is set low, expect a serial
break condition to occur as the module wakes from sleep. The serial break condition can be eliminated
by setting bit 6 high, but sleep current will be increased.
PWM0_Init - this parameter sets the initial value for PWM0 at startup.
PWM1_Init - this parameter sets the initial value for PWM1 at startup.
ADC_SampleIntvl - this parameter sets the interval between the beginning of one ADC read cycle and the
next ADC read cycle. The three ADC inputs are read on each ADC read cycle. Each ADC_SampleIntvl
count equals 10 ms. This interval will be the worst-case latency for ADC generated interrupts. This inter-
val is independent of the IO_ReportInterval as the ADCs will be read again on that interval.
ADC0..2_ThresholdLo/Hi - these values define thresholds to trigger an I/O report based on ADC meas-
urements. If I/O reporting is enabled, a single EVENT report containing the contents of the I/O bank is
generated when a threshold is crossed. Reporting is "edge-triggered" with respect to threshold bounda-
ries, not "level-triggered"; i.e., if the measurement remains there, additional reports are not triggered until
the value crosses the threshold again. The thresholds are met whenever one of the following inequalities
are satisfied:
ADCx < ADCx_ThresholdLo
ADCx > ADCx_ThresholdHi
IO_ReportTrigger - when a selected trigger source is enabled, a trigger event will cause the remote to
send an EVENT message to its base containing the entire current values of the I/O Register Bank from
GPIO0 up to and including the EventFlags, but not the PWM settings which are output-only.
bit 7 ADC2 high/low thresholds
bit 6 ADC1 high/low thresholds
bit 5 ADC0 high/low thresholds
bit 4 Periodic report timer
bit 3 GPIO3 edge
bit 2 GPIO2 edge
bit 1 GPIO1 edge
bit 0 GPIO0 edge
I/O reporting is supported for remotes only, not the base.
IO_ReportInterval - when periodic I/O reporting is enabled, this parameter sets the interval between
reports. Units are 10 ms increments, and the default report interval is every 30 seconds but can be set as
long as 497 days.
www.RFM.com Technical support +1.678.684.2000 Page 59 of 97
©2009-2011 by RF Monolithics, Inc. E-mail: tech_sup@rfm.com DNT2400 - 04/13/11
IO_ReportPreDel - this parameter sets the delay in milliseconds between an event trigger and the time
the I/O register bank is read and sent in an EVENT report.
IO_ReportRepeat - this parameter sets the number of times the I/O register bank is read and resent as an
EVENT report following an event trigger. The default parameter value is 1, causing the EVENT report to
be sent once.
4.2.8 Bank 7 - Authentication List
Size in
Bank Loc'n Name R/W bytes
0x07 0x00 ApprovedAddr0 R/W 3
0x07 0x03 ApprovedAddr1 R/W 3
0x07 0x06 ApprovedAddr2 R/W 3
0x07 0x09 ApprovedAddr3 R/W 3
0x07 0x0C ApprovedAddr4 R/W 3
0x07 0x0F ApprovedAddr5 R/W 3
0x07 0x12 ApprovedAddr6 R/W 3
0x07 0x15 ApprovedAddr7 R/W 3
0x07 0x18 ApprovedAddr8 R/W 3
0x07 0x1B ApprovedAddr9 R/W 3
0x07 0x1E ApprovedAddr10 R/W 3
0x07 0x21 ApprovedAddr11 R/W 3
0x07 0x24 ApprovedAddr12 R/W 3
0x07 0x27 ApprovedAddr13 R/W 3
0x07 0x2A ApprovedAddr14 R/W 3
0x07 0x2D ApprovedAddr15 R/W 3
ApprovedAdd0..15 - the three-byte parameters in Bank 7 are the MAC addresses of the remotes author-
ized to join the network. The addresses are entered in little-endian format such that a radio with MAC
address 012345 would be entered 0x452301.
4.2.9 Bank 8 - Tree-Routing Active Router ID Table
Size in
Bank Loc'n Name R/W bytes
0x08 0x00 Base NetworkID (0x00) R 1
0x08 0x01 ParentNetworkID1 R 1
to
0x08 0x3F ParentNetworkID63 R 1
ParentNetID0..63 - this set of parameters contains the tree-routing active router ID table maintained by a
base for its system. It describes the organization of all active routers in the system. This table is used by
the base and the routers to determine which direction to send a packet. The base updates the information
in the routing table from the heartbeat packets it receives from the routers in the system, and broadcasts
the routing table periodically to inform all devices in the system of the current system configuration.
4.2.10 Bank 9 - Registered MAC Addresses
Size in
Bank Loc'n Name R/W bytes
0x09 0x00 RegMACAddr0 R 15
to
0x09 0x19 RegMACAddr25 R 15
RegMACAddr0..25 - this bank holds the MAC addresses of all radios registered to a base or router. Up to
126 MAC addresses can be registered. Each bank parameter can hold up to five MAC addresses, with
each MAC address containing three bytes are in little-Endian order. Three-byte segments in a parameter
www.RFM.com Technical support +1.678.684.2000 Page 60 of 97
©2009-2011 by RF Monolithics, Inc. E-mail: tech_sup@rfm.com DNT2400 - 04/13/11
not holding a MAC address with hold a null address: 0x00 0x00 0x00. Note that unlike parameters in
other banks, the bank offset used in get commands is by parameter rather than by byte. Only one Bank 9
parameter can be retrieved at a time with a get command. In a remote, this bank will contain only null
addresses.
4.2.11 Bank FF - Special Functions
This bank contains three user functions, UcReset, SleepModeOverride and MemorySave:
Size in
Bank Loc'n Name R/W bytes Range Description
0xFF 0x00 UcReset W 1 0..90 0x00 = reset, 0x5A = reset with factory defaults
0xFF 0x0C SleepModeOverride R/W 1 0..2 0 = inactive, 1 = stay awake, 2 = cancel stay awake
0xFF 0x1C RoutingTableUpd R/W 1 0..255 0x14 (20 seconds)
0xFF 0x20 DiagSerialRate R/W 2 0..384 0x000C (38.4 kb.s)
0xFF 0xFF MemorySave W 1 0..2 0x00 = load factory defaults, 0x01 = save settings
to EEPROM, 0x02 = save settings and reset
UcReset - writing a value of 0x00 to this location forces a software reset of the microcontroller. This will
enable those changes which require a reset. If this is written to before 0x01 is written to the MemorySave
parameter, the last parameter values saved before the reset will be in effect. A reply packet, either local
or over-the-air, may not be received when writing a value to this register. Writing 0x5A to this location will
reset the radio and load the factory default settings. This is equivalent to writing 0x00 to UcReset followed
by writing 0x00 to MemorySave. Note that 0x01 must be written to MemorySave to save the retrieved
factory defaults.
SleepModeOverride - when remotes are operating in sleep mode, writing 0x01 to the location will cause
the remotes to stay awake. Writing 0x00 to this location causes the remotes to resume sleeping in
10 seconds. Writing 0x02 to this location causes the remotes to resume sleeping immediately (subject to
their configuration).
RoutingTableUpd - this parameter is the interval in seconds for the base station to broadcast the tree-
routing table to its system. The default interval is 20 seconds.
DiagSerialRate - sets the diagnostic port serial rate divisor according to the following formula:
Serial rate in b/s = 460800/DiagSerialRate
Serial rate division settings for commonly used baud rates are:
Setting Serial rate
0x0000 460.8 kb/s
0x0001 460.8 kb/s
0x0002 230.4 kb/s
0x0004 115.2 kb/s
0x0006 76.8 kb/s
0x0008 57.6 kb/s
0x000C 38.4 kb/s (default)
0x0010 28.8 kb/s
0x0018 19.2 kb/s
0x0030 9.6 kb/s
0x0060 4.8 kb/s
0x00C0 2.4 kb/s
0x0180 1.2 kb/s
Note that if a value of 0x0000 is specified, the maximum data rate of 460.8 kb/s will be selected.
www.RFM.com Technical support +1.678.684.2000 Page 61 of 97
©2009-2011 by RF Monolithics, Inc. E-mail: tech_sup@rfm.com DNT2400 - 04/13/11
MemorySave - writing 0x00 to this location clears all registers back to factory defaults. Writing a 0x01 to
this location commits the current register settings to EEPROM. Writing 0x02 to this location saves the
current setting to EEPROM and forces a software reset. When programming registers, all changes are
considered temporary until an 0x01 or 0x02 command is executed.
4.2.12 Protocol Mode Configuration Example
In this example, the host configures the base to transmit 10 dBm (10 mW) of RF power using the SetReg-
ister command, 0x04. The TxPower parameter is stored in bank 0x00, register 0x18. A one-byte parame-
ter value of 0x01 selects the 10 dBm (10 mW) power level. The protocol formatting for the command is:
0xFB 0x05 0x04 0x18 0x00 0x01 0x01
Note the order of the bytes in the command argument: register, bank, span, parameter value. When the
base receives the command it updates the parameter setting and return a SetRegisterReply message as
follows:
0xFB 0x01 0x14
In order for this new RF power setting to persist through a base power down, MemorySave must be
invoked. This is done by setting a one-byte parameter in register 0xFF of bank 0xFF to 0x01 with another
SetRegister command:
0xFB 0x05 0x04 0xFF 0xFF 0x01 0x01
The base will write the current parameter values to EEPROM and return a SetRegisterReply message:
0xFB 0x01 0x14
4.2.13 Protocol Mode Sensor Message Example
In this example, the base host requests an ADC1 reading from a remote using the GetRemoteRegister
command, 0x0A. The MAC address of the remote is 0x000102. The current ADC1 measurement is read
from register 0x08 in bank 0x05. The ADC reading spans two bytes. The protocol formatting for this
command is:
0xFB 0x07 0x0A 0x02 0x01 0x00 0x08 0x05 0x02
Note the remote MAC address 0x000102 is entered in Little-Endian byte order, 0x02 0x01 0x00. The
ADC reading is returned in a GetRemoteRegisterReply message:
0xFB 0x0B 0x1A 0x00 0x02 0x01 0x00 0xC4 0x08 0x05 0x02 0xFF 0x02
Substantial information is returned in the message. The last two byes of the message give the ADC
reading in Little-Endian format, 0xFF 0x02. The ADC reading is thus 0x02FF. The RSSI value is the byte
following the address, 0xC4 (-60 dBm). The TxStatus byte to the right of the GetRemoteRegisterReply
Packet Type is 0x00, showing the packet was acknowledged on the RF channel.
4.2.14 Protocol Mode Event Message Example
In this example, the IO_ReportInterval is set to 10 seconds and the periodic report timer bit in the
IO_ReportTrigger parameter is set on the remote, with MAC address 0x123456. This causes event mes-
sages to be sent from this remote every 10 seconds. The IO_ReportInterval and the IO_ReportTrigger
parameters are loaded using SetRemoteRegister commands. The command to set the IO_ReportInterval
to 10 seconds is:
www.RFM.com Technical support +1.678.684.2000 Page 62 of 97
©2009-2011 by RF Monolithics, Inc. E-mail: tech_sup@rfm.com DNT2400 - 04/13/11
0xFB 0x0B 0x0B 0x56 0x34 0x12 0x1A 0x06 0x04 0xE8 0x03 0x00 0x00
The IO_ReportInterval parameter starts in location 0x1A of bank 0x06. The report interval is set in 10 ms
units, so a 10 second report interval is 1000 units or 0x000003E8 (Little-Endian format E8 03 00 00). The
IO_ReportInterval parameter is updated and SetRemoteRegisterReply is returned:
0xFB 0x06 0x1B 0x00 0x56 0x34 0x12 0xC4
The command to set the periodic report timer bit in IO_ReportTrigger to is:
0xFB 0x08 0x0B 0x56 0x34 0x12 0x19 0x06 0x01 0x10
The periodic report timer bit in IO_ReportTrigger is located in bit position four (00010000b) or 0x10. The
IO_ReportTrigger parameter is updated and SetRemoteRegisterReply is returned:
0xFB 0x06 0x1B 0x00 0x56 0x34 0x12 0xC4
The remote will start sending event messages on 10 second intervals as shown in the log records below:
FB 16 28 56 34 12 CB 00 05 0E 01 00 00 00 01 01 F9 01 DF 01 C9 01 10 00
FB 16 28 56 34 12 B6 00 05 0E 01 00 00 00 01 01 F8 01 DF 01 CC 01 10 00
FB 16 28 56 34 12 B3 00 05 0E 01 00 00 00 01 01 F8 01 E0 01 CC 01 10 00
FB 16 28 56 34 12 B1 00 05 0E 01 00 00 00 01 01 F9 01 DF 01 C9 01 10 00
FB 16 28 56 34 12 AE 00 05 0E 01 00 00 00 01 01 F9 01 DF 01 C8 01 10 00
FB 16 28 56 34 12 AD 00 05 0E 01 00 00 00 01 01 F9 01 E1 01 CF 01 10 00
IO_ReportTrigger generates RxEvent messages (PktType 0x28). The message payload consists of the
first 14 bytes in Bank 5, including the state of GPIO0 through GPIO5, the input voltages measured by
ADC0 through ADC2, and the state of the event flags. Note the ADC readings and the event flags are
presented in Little-Endian order.
www.RFM.com Technical support +1.678.684.2000 Page 63 of 97
©2009-2011 by RF Monolithics, Inc. E-mail: tech_sup@rfm.com DNT2400 - 04/13/11
5.0 DNT2400DK Developer’s Kit
Figure 5.0.1 shows the main contents of a DNT2400DK Developers kit:
Figure 5.0.1
5.1 DNT2400DK Kit Contents
Two DNT2400P radios installed in DNT interface boards (labeled Base and Remote)
Two installed U.FL coaxial jumper cables and two 2 dBi dipole antennas
Two 9 V wall-plug power suppliers, 120/240 VAC, plus two 9 V batteries (not show above)
Two RJ-45/DB-9F cable assemblies, one RJ-11/DB-9F cable assembly, two A/B USB cables
One DNT2400DK documentation and software CD
5.2 Additional Items Needed
To operate the kit, the following additional items are needed:
One PC with Microsoft Windows XP or Vista Operating System. The PC must be equipped with a
USB port or a serial port capable of operation at 9.6 kb/s.
5.3 Developer’s Kit Operational Notes:
DNT2400DK kits are preconfigured to run at a 500 kb/s RF data rate with 1 mW of RF transmitter power.
Due to the high sensitivity of the DNT2400 radio module which provides its exceptional range, if the RF
transmit power is increased from the default 1 mW, the DNT2400 nodes must be separated by a
minimum of 6 feet for 10 mW or 25 feet at 63 mW in order to reliably link.
www.RFM.com Technical support +1.678.684.2000 Page 64 of 97
©2009-2011 by RF Monolithics, Inc. E-mail: tech_sup@rfm.com DNT2400 - 04/13/11
5.4 Developers Kit Default Operating Configuration
The default operating configuration of the DNT2400DK developers kit is TDMA Mode 2, point-to-point,
with transparent serial data at 9.6 kb/s, 8N1. One DNT2400P is preconfigured as a base and the other as
a remote. Labels on the bottom of the interface boards specify Base or Remote. The defaults can be
overridden to test other operating configurations using the DNT Demo utility discussed in Section 5.5. The
default RF power setting is 0 dBm (1 mW), which is suitable for operation at a spacing of about 2 m (6 ft).
The RF power level should be set higher as needed for longer range operation. Note that setting the RF
power to a high level when doing testing at 2 m can overload the DNT2400P receiver and cause erratic
operation. See Section 5.3.
5.5 Developers Kit Hardware Assembly
Observe ESD precautions when handling the kit circuit boards. The components that make up a devel-
opment board are shown in Figure 5.5.1, and are shipped with the DNT2400P radios and U.FL coax
jumper cables installed in the interface board. If a DNT2400P radio and/or the U.FL jumper cable has
been unplugged after receipt, confirm the DNT2400P is correctly plugged into its interface board with the
radio oriented so that its U.FL connector is next to the U.FL connector on the interface board, as shown in
Figure 5.5.2. Also check the radios alignment in the socket on the interface board. No pins should be
hanging out over the ends of the connector. Next, install the dipole antennas.
Figure 5.5.1 Figure 5.5.2
www.RFM.com Technical support +1.678.684.2000 Page 65 of 97
©2009-2011 by RF Monolithics, Inc. E-mail: tech_sup@rfm.com DNT2400 - 04/13/11
As shown in Figure 5.5.3, there is a jumper on pins J14. This jumper can be removed and a current meter
connected across J14 to measure just the DNT2400s current consumption during operation.
Figure 5.5.3
www.RFM.com Technical support +1.678.684.2000 Page 66 of 97
©2009-2011 by RF Monolithics, Inc. E-mail: tech_sup@rfm.com DNT2400 - 04/13/11
There are three serial connectors on the interface boards, as shown in Figure 5.5.4. The RJ-45 connector
provides a high-speed RS232 interface to the DNT2400Ps main serial port. The USB connector provides
an optional interface to the radios main serial port. The RJ-11 connector provides a high-speed RS232
interface to the radios diagnostic port. The DNT Demo utility program runs on the radios main port.
Figure 5.5.4
Many desktop PCs have a built-in serial port capable of operation at 9.6 kb/s. The kit can be run satisfac-
torily at the 9.6 kb/s data rate, but not at its fastest throughput. Use the RJ-45 to DB-9F cable assemblies
for serial port operation.
Optionally, the kit development boards can be run from USB ports. Plugging in the USB cable automati-
cally switches operation from the RJ-45 connector. The USB interface is based on an FT232RL serial-to-
USB converter IC manufactured by FTDI. The FT232RL driver files are located in the i386 and AMD64
folders on the kit CD, and the latest version of the drivers can downloaded from the FTDI website,
www.ftdichip.com. The drivers create a virtual COM port on the PC. Power the Base using one of the
supplied wall-plug power supplies. Next connect the Base to the PC with a USB cable. The PC will find
the new USB hardware and open a driver installation dialog box. Enter the letter of the drive holding the
kit CD and click Continue. The installation dialog will run twice to complete the FT232R driver installation.
5.6 DNT Demo Utility Program
The DNT Demo utility requires only one PC for initial kit operation and sensor applications (ADC, PWM
and digital I/O). Two serial/USB ports are required for bidirectional serial communications. Section 5.6.1
below covers using the DNT Demo utility for initial kit operation and familiarization. Section 5.6.2 covers
serial message communication and radio configuration.
www.RFM.com Technical support +1.678.684.2000 Page 67 of 97
©2009-2011 by RF Monolithics, Inc. E-mail: tech_sup@rfm.com DNT2400 - 04/13/11
5.6.1 Initial Kit Operation
Create a file folder on the PC and copy the contents of the kit CD into the folder.
The DNT Demo utility program runs on the radios main port. The preferred PC interface is a serial port
capable of operating at 9.6 kb/s or faster. As discussed above, the USB interface can also be used.
Connect the Base to the PC and power up the Base and the Remote development boards using the wall-
plug power supplies.
The DNT Demo utility program is located in the PC Programs folder. The DNT Demo requires no
installation and can be simply copied to the PC and run. Start the DNT Demo on the PC. The start-up
window is shown in Figure 5.6.1.1.
Figure 5.6.1.1
www.RFM.com Technical support +1.678.684.2000 Page 68 of 97
©2009-2011 by RF Monolithics, Inc. E-mail: tech_sup@rfm.com DNT2400 - 04/13/11
Click on Connect to open the Select Comm Port Settings dialog box, as shown in Figure 5.6.1.2. Set the
baud rate to 9600 (9.6 kb/s). Set the CommPort to match the serial port connected to the Base, either the
hardware port or the USB virtual serial port. Then click OK to activate the serial connection.
Figure 5.6.1.2
At this point the Demo will collect data from the Base, filling in data in the Local Radio column on the
Demo window as shown in Figure 5.6.1.3. The Status Window should also show that the Remote has
joined the Base. Click on the drop-down box at the top of the Radio 1 column and select the MAC
Address for the Remote. Next press the Start button using the default 1 second Refresh Delay.
Figure 5.6.1.3
www.RFM.com Technical support +1.678.684.2000 Page 69 of 97
©2009-2011 by RF Monolithics, Inc. E-mail: tech_sup@rfm.com DNT2400 - 04/13/11
The Demo will display updated data on the Remote in the Radio 1 column, including bar graphs of RSSI
signal strength in dBm and percent packet success rate, as shown in Figure 5.6.1.4. Adjusting the large
pot on the Remote can be observed on the Potentiometer (ADC1) row.
Figure 5.6.1.4
To perform serial data loop back testing with the kit, move the two jumpers on the Remote board labeled
Ext_TX and Ext_RX to connect the center and right header pins. This disconnects the module's TX and
RX pins from the USB and RS-232C circuits. Use a banana clip or other short jumper to connect together
the two pins on the header labeled J11 (Ext_MICRO). See Figure 5.6.1.5. Attempting loop back testing by
connecting Pins 2 and 3 of the DB9 serial connector can cause erratic behavior due to noise coupling
from the serial TX and RX lines into the weakly pulled up flow control lines on the board.
Figure 5.6.1.5
www.RFM.com Technical support +1.678.684.2000 Page 70 of 97
©2009-2011 by RF Monolithics, Inc. E-mail: tech_sup@rfm.com DNT2400 - 04/13/11
In order to turn off the DCD LED (D4) on the development board in sleep mode, the GPIO_ SleepState
parameter in the DNT2400P has been set to 0xC0 rather than the factory default value of 0x00. If the
DNT2400P is reset to its factory defaults, the DCD LED with remain on in sleep mode until the GPIO_
SleepState is set to 0xC0. See Section 4.2.7 for additional information on the GPIO_SleepState
parameter.
If any difficulty is encountered in setting up the DNT2400DK development kit, contact RFMs module
technical support group. The phone number is +1.678.684.2000. Phone support is available from 8:30 AM
to 5:30 PM US Eastern Time Zone, Monday through Friday. The E-mail address is tech_sup@rfm.com.
5.6.2 Serial Communication and Radio Configuration
Connect PCs to both the Base and the Remote for serial communication testing. Click the Stop button
under the Refresh Delay label on the I/O Tools tab and move to the Transmit Tools tab, as shown in
Figure 5.6.2.1.
Figure 5.6.2.1
Pressing the Transmit button on this screen sends the message in the Data to Transmit text box to the
selected MAC Address. Note that the MAC address a remote uses for the base is always 0x000000.
Data sent to the local radio is displayed in the Received Data text box. Received data can be displayed
as ASCII (default) or in Hexadecimal format by checking the Hex Mode check box. When the Transmit
Interval is set to zero, Data to Transmit is sent once when the Transmit button is clicked. When the
Transmit Interval is set to a positive number, Pressing the Transmit button once will cause a transmission
each transmit interval (seconds) until the button is pressed again.
www.RFM.com Technical support +1.678.684.2000 Page 71 of 97
©2009-2011 by RF Monolithics, Inc. E-mail: tech_sup@rfm.com DNT2400 - 04/13/11
Returning to the I/O Tools tab, the multi-tab Configuration window for each radio can be accessed by
clicking on its Config button. The data presented on the first six tabs corresponds to configuration register
Banks 0 through 5 as discussed in Section 4.2 above, with the data on the next two tabs corresponding to
configuration register Bank 6, the data on the next tab corresponding to Bank 7, the data on the following
two tabs corresponding to Bank 8, and the data on the last tab corresponding to Bank 9.
Figure 5.6.2.2
The Transceiver Setup Tab is shown in Figure 5.6.2.2 and corresponds to Bank 0. The current values of
each Bank 0 parameter are displayed and can be updated by selecting from the drop-down menus or
entering data from the keyboard, and then pressing the Apply Changes button. Note that data is
displayed and entered in Big-Endian order. The Demo automatically reorders multi-byte data to and from
Little-Endian order when building or interpreting messages.
Figure 5.6.2.3
Figure 5.6.2.3 shows the System tab contents, corresponding to Bank 1. The current values of each
parameter are displayed and can be updated by selecting from the drop-down menus or entering data
www.RFM.com Technical support +1.678.684.2000 Page 72 of 97
©2009-2011 by RF Monolithics, Inc. E-mail: tech_sup@rfm.com DNT2400 - 04/13/11
from the keyboard, and then pressing the Apply Changes button. Note that Bank 1 holds configuration
parameters for the base only except for ARQ_Mode, which applies to both the base and the remotes.
Figure 5.6.2.4
Figure 5.6.2.4 shows the Status tab contents, corresponding to Bank 2. Note the Status tab contains
read-only parameters.
Figure 5.6.2.5
Figure 5.6.2.5 shows the Serial tab contents corresponding to Bank 3. The values shown are the defaults
for serial port operation.
www.RFM.com Technical support +1.678.684.2000 Page 73 of 97
©2009-2011 by RF Monolithics, Inc. E-mail: tech_sup@rfm.com DNT2400 - 04/13/11
Figure 5.6.2.6
Figure 5.6.2.6 shows the Protocol tab contents, corresponding to Bank 4. Transparent data serial com-
munication is currently chosen.
Figure 5.6.2.7
Figure 5.6.2.7 shows the I/O Peripherals tab contents, corresponding to Bank 5. GPIO ports 1 through 5
are logic low, GPIO port 0 is logic high. The 10-bit ADC input readings and PWM output settings are
given in Big-Endian byte order. Event flags are presented on the right side of the window.
www.RFM.com Technical support +1.678.684.2000 Page 74 of 97
©2009-2011 by RF Monolithics, Inc. E-mail: tech_sup@rfm.com DNT2400 - 04/13/11
Figure 5.6.2.8
Figure 5.6.2.8 shows the first I/O Setup tab contents, corresponding to Bank 6 GPIO parameters. This tab
allows the direction of the GPIO ports to be set both for active and sleep modes, and in the case of GPIO
outputs, the initial power up states and sleep mode states to be set. When GPIO ports 0 - 3 are config-
ured as inputs, event interrupts can be set for them with check boxes. The type of interrupt trigger is
selected from the drop-down boxes to the right of the check boxes. GPIO alternate function, periodic I/O
reporting, reporting interval and enable/disable sleep I/O states can also be specified under this tab.
Figure 5.6.2.9
Figure 5.6.2.9 shows the second I/O Setup tab contents, corresponding to Bank 6 ADC input and PWM
output parameters. The ADC sampling interval, high and low thresholds for event reporting and event
reporting triggers on each ADC channel can be set, along with the start-up output values for each PWM
(DAC) channel. The event reporting predelay and repeat count parameters can also be set from this tab.
www.RFM.com Technical support +1.678.684.2000 Page 75 of 97
©2009-2011 by RF Monolithics, Inc. E-mail: tech_sup@rfm.com DNT2400 - 04/13/11
Figure 5.6.2.10
Figure 5.6.2.10 shows the Auth List tab, where the MAC addresses of the remotes authorized to join the
network in AuthMode 1 are input into Bank 7.
Figure 5.6.2.11
Figure 5.6.2.11 shows the first Routing Table tab, which displays part of the contents of Bank 8. This
bank contains the tree-routing active router ID table, which is maintained by a base for its system. It
describes the organization of all active routers in the system. This table is used by the base and the
routers to determine which direction to send a packet.
www.RFM.com Technical support +1.678.684.2000 Page 76 of 97
©2009-2011 by RF Monolithics, Inc. E-mail: tech_sup@rfm.com DNT2400 - 04/13/11
Figure 5.6.2.12
Figure 5.6.2.12 shows the second Routing Table tab, which displays the rest of the contents of Bank 8.
Figure 5.6.2.13
Figure 5.6.2.13 shows the Registered tab, which displays the first seven parameters in Bank 9. This bank
holds the MAC addresses of all radios registered to a base or router. Up to 126 MAC addresses can be
registered. Each bank parameter can hold up to five MAC addresses, with each MAC address containing
three bytes. Three-byte segments in a parameter not holding a MAC address with hold a null address:
0x000000. In a remote, this bank will contain only null addresses.
www.RFM.com Technical support +1.678.684.2000 Page 77 of 97
©2009-2011 by RF Monolithics, Inc. E-mail: tech_sup@rfm.com DNT2400 - 04/13/11
5.7 DNT Wizard Utility Program
DNT Wizard is a complementary program to DNTDemo that emphasizes the details of serial commu-
nication between a DNT2400 and its host computer. The DNT Wizard start-up window is shown in
Figure 5.7.1.
Figure 5.7.1
DNT Wizard uses three Function keys:
F1 toggles the SLEEP/DTR input to the DNT2400 on and off. This allows the DNT2400 to be reset.
F2 toggles the RTS input to the DNT2400 on and off, providing manual flow control.
F6 toggles test transmissions on and off. The test message is This is a test.
DNT Wizard also includes the ability to log messages to and from the DNT2400. This feature is especially
useful in confirming the format of protocol command and reply messages. Control of the log file is under
the View menu. Logging is enabled by default. The log file created is logfile.dat, and is in ASCII text
format. An example log is shown at the end of this section.
www.RFM.com Technical support +1.678.684.2000 Page 78 of 97
©2009-2011 by RF Monolithics, Inc. E-mail: tech_sup@rfm.com DNT2400 - 04/13/11
Click on Connect to open the Select Comm Port Settings dialog box, as shown in Figure 5.7.2. Set the
baud rate to 9600 (9.6 kb/s). Set the CommPort to match the serial port connected to the Base, either the
hardware port or the USB virtual serial port. Then click OK to activate the serial connection.
Figure 5.7.2
At this point the Wizard will collect data from the Base, filling in data under Current Settings as shown in
Figure 5.7.3. The Status Window should also show that the Remote has joined the Base.
Figure 5.7.3
www.RFM.com Technical support +1.678.684.2000 Page 79 of 97
©2009-2011 by RF Monolithics, Inc. E-mail: tech_sup@rfm.com DNT2400 - 04/13/11
There are three tabs on the DNT Wizard main window: Receive Data, Transmit Data and Wincom.
Figure 5.7.4
Received messages are displayed in the Receive Data tab, along with the MAC address of the sender
and the RSSI (signal strength) of the received message in dBm. See Figure 5.7.4.
www.RFM.com Technical support +1.678.684.2000 Page 80 of 97
©2009-2011 by RF Monolithics, Inc. E-mail: tech_sup@rfm.com DNT2400 - 04/13/11
Figure 5.7.5
The Transmit Data tab is shown in Figure 5.7.5. The message to send is input in the Data to Transmit text
box. The address to send the message can be chosen or input in the MAC Addr drop-down box. Note
that the MAC address a remote uses for the base is always 0x000000. If the Transmit Interval is set
to 0, the message is sent once each time the Transmit button is clicked. When the Transmit Interval is set
to an integer greater than zero, the message will sent at the beginning of each interval until the Stop
button (was Transmit button) is clicked. The status of each transmission is shown below TX Data Reply.
Figure 5.7.5 shows that the transmitted message was ACKed, with the received signal strength of the
ACK -66 dBm.
www.RFM.com Technical support +1.678.684.2000 Page 81 of 97
©2009-2011 by RF Monolithics, Inc. E-mail: tech_sup@rfm.com DNT2400 - 04/13/11
Figure 5.7.6
As shown in Figure 5.7.6, the Wincom tab provides the basic functionality of a serial terminal program.
Messages typed in are sent, and messages received are appended to the bottom of the on-screen text.
www.RFM.com Technical support +1.678.684.2000 Page 82 of 97
©2009-2011 by RF Monolithics, Inc. E-mail: tech_sup@rfm.com DNT2400 - 04/13/11
The multi-tab Configuration window is accessed by clicking on its Config button. The data presented on
the first six tabs corresponds to configuration register Banks 0 through 5 as discussed in Section 4.2
above, with the data on the next two tabs corresponding to configuration register Bank 6, the data on the
next tab corresponding to Bank 7, the data on the following two tabs corresponding to Bank 8, and the
data on the last tab corresponding to Bank 9.
Figure 5.7.7
The Configuration window in the DNT Wizard is identical the Configuration window in the DNT Demo. See
Figures 5.6.2.2 through 5.6.2.13 for Configuration window details.
www.RFM.com Technical support +1.678.684.2000 Page 83 of 97
©2009-2011 by RF Monolithics, Inc. E-mail: tech_sup@rfm.com DNT2400 - 04/13/11
Details of the File, View and Tools menus are shown in Figure 5.7.8.
Figure 5.7.8
The Tools menu contains two very useful items. Packet Builder opens the window shown in Figure 5.7.9.
On the left, the Packet Type drop-down box provides a selection of all packet types used in the DNT2400
protocol. On the right, the reply packet types are presented.
Figure 5.7.9
Figure 5.7.10
www.RFM.com Technical support +1.678.684.2000 Page 84 of 97
©2009-2011 by RF Monolithics, Inc. E-mail: tech_sup@rfm.com DNT2400 - 04/13/11
Figure 5.7.10 shows the Raw Packet and Raw Packet Reply tabs. Components of the protocol messages
are shown in hexadecimal format.
Log Data controls the log file. Logging is enabled by default. The log file created is logfile.dat, and is in
ASCII text format. An example log is shown below:
New Data------------------------------------------
8/12/2009 | 3:50:24 PM
DNTWizard Version 1.04
Sent Data : FB 07 00 44 4E 54 35 30 30 (Enter Protocol Mode)
Recv Data : FB 01 10 (Enter Protocol Mode Reply)
Sent Data : FB 04 03 00 00 31 (Get Register)
Recv Data : FB 35 13 00 00 31 01 FF CB 00 FF 2A 2A 2A 2A 2A 2A 2A 2A 2A 2A 2A 2A 2A 2A 2A 2A 00
05 32 00 00 02 02 44 4E 54 32 34 30 30 00 00 00 00 00 00 00 00 00 0A 00 00 00 00 (Get Register
Reply)
Recv Data : FB 06 15 01 FF FF FF 7F (TX Data Reply)
Sent Data : FB 04 03 00 01 10 (Get Register)
Recv Data : FB 14 13 00 01 10 FF 02 32 05 01 08 04 03 0A 45 0C 32 14 00 00 10 (Get Register
Reply)
Sent Data : FB 04 03 00 02 28 (Get Register)
Recv Data : FB 2C 13 00 02 28 9B 00 00 00 00 00 00 04 F3 00 00 FF 41 17 02 01 1B 01 98 00 00 08
00 30 38 2F 31 31 2F 30 39 31 37 3A 30 33 3A 30 33 02 (Get Register Reply)
Sent Data : FB 04 03 00 03 04 (Get Register)
Recv Data : FB 08 13 00 03 04 30 00 00 07 (Get Register Reply)
Sent Data : FB 04 03 00 04 08 (Get Register)
Recv Data : FB 0C 13 00 04 08 00 05 00 01 07 00 02 00 (Get Register Reply)
Sent Data : FB 04 03 00 05 12 (Get Register)
Recv Data : FB 16 13 00 05 12 01 00 00 00 00 00 19 02 78 02 1D 02 00 00 00 00 00 00 (Get Register
Reply)
Sent Data : FB 04 03 00 06 1E (Get Register)
Recv Data : FB 22 13 00 06 1E 00 00 00 01 00 00 C0 00 00 00 00 01 00 00 00 FF 03 00 00 FF 03 00
00 FF 03 01 B8 0B 00 00 (Get Register Reply)
Sent Data : FB 04 03 00 07 30 (Get Register)
Recv Data : FB 34 13 00 07 30 FF FF FF FF FF FF FF FF FF FF FF FF FF FF FF FF FF FF FF FF FF FF
FF FF FF FF FF FF FF FF FF FF FF FF FF FF FF FF FF FF FF FF FF FF FF FF FF FF (Get Register
Reply)
Recv Data : FB 07 27 A2 9C 00 00 01 00 (Announce)
Recv Data : FB 13 26 9C 00 00 CC 54 68 69 73 20 69 73 20 61 20 74 65 73 74 (RX Data)
Recv Data : FB 13 26 9C 00 00 D0 54 68 69 73 20 69 73 20 61 20 74 65 73 74 (RX Data)
Recv Data : FB 13 26 9C 00 00 CD 54 68 69 73 20 69 73 20 61 20 74 65 73 74 (RX Data)
Recv Data : FB 13 26 9C 00 00 D4 54 68 69 73 20 69 73 20 61 20 74 65 73 74 (RX Data)
Recv Data : FB 13 26 9C 00 00 D9 54 68 69 73 20 69 73 20 61 20 74 65 73 74 (RX Data)
Recv Data : FB 13 26 9C 00 00 D5 54 68 69 73 20 69 73 20 61 20 74 65 73 74 (RX Data)
Sent Data : FB 01 01
(Exit Protocol Mode)
Recv Data : FB 01 11 (Exit Protocol Mode Reply)
The log file is especially useful in confirming the format of specific protocol commands and replies.
www.RFM.com Technical support +1.678.684.2000 Page 85 of 97
©2009-2011 by RF Monolithics, Inc. E-mail: tech_sup@rfm.com DNT2400 - 04/13/11
5.8 DNT2400 Interface Board Features
The location of LEDs D1 through D4 and jumper pin set J14 are shown in Figure 5.8.1.
Figure 5.8.1
Amber DCD LED D4 illuminates on a remote to indicate it is registered with the base and can participate
in RF communications. DCD LED D4 illuminates on the base when one or more remotes are registered to
it, unless the base has been configured to assert DCD on power up. In this case it will be on as long as
the dev board is powered. Green Activity LED D1 illuminates when transmitting or receiving RF data. Red
Receive LED D3 illuminates when sending received data through the serial port to the PC. Green Trans-
mit LED D2 illuminates when the PC sends data through the serial port to be transmitted. Jumper pin set
J14 is provided to allow measurement of the DNT2400P current. For normal operation J14 has a shorting
plug installed.
www.RFM.com Technical support +1.678.684.2000 Page 86 of 97
©2009-2011 by RF Monolithics, Inc. E-mail: tech_sup@rfm.com DNT2400 - 04/13/11
Figure 5.8.2
Figure 5.8.2 shows the connectors to the right of the DNT2400P mounting socket. Jumper pin sets J12
and J13 normally have shorting plugs installed as shown in Figure 5.8.2, which connects the DNT2400P
RADIO_TXD and RADIO_RXD pins to the respective serial data lines on the evaluation board. It is possi-
ble to connect directly to RADIO_TXD and RADIO_RXD by moving the jumpers over. In this case, J11-1
is the input for transmitted data and J11-2 is the output for received data. Note this a 3 V logic interface.
Placing a shorting plug on jumper pin set J6 allows the DNT2400P to be powered up in boot loader mode.
This is used for factory code loads and functional testing. The DNT2400 has its own boot loader utility
that allows the protocol firmware to be installed with a terminal program that supports YMODEM. Pin strip
J7 provides access to various DNT2400 pins as shown on the silkscreen. Pressing switch SW2 will reset
the DNT2400P.
www.RFM.com Technical support +1.678.684.2000 Page 87 of 97
©2009-2011 by RF Monolithics, Inc. E-mail: tech_sup@rfm.com DNT2400 - 04/13/11
Figure 5.8.3
Figure 5.8.3 shows the connectors to the left of the DNT2400P mounting socket. Pressing switch SW1
switches GPIO0 from logic high to logic low. Pin strip J8 provides access to various DNT2400 pins as
shown on the silkscreen. The wiper of pot R10 drives the input of ADC1. Clockwise rotation of the pot
wiper increases the voltage. Thermistor RT1 is part of a voltage divider that drives ADC0. LED D5 illumi-
nates when GPIO1 is set as a logic high output. LED D10 illuminates when GPIO3 is set as a logic high.
The DNT2400P interface board includes a 5 V regulator to regulate the input from the 9 V wall-plug power
supply. Note: do not attempt to use the 9 V wall-plug power supply to power the DNT2400P directly. The
maximum allowed voltage input to the DNT2400P is 5.5 V.
www.RFM.com Technical support +1.678.684.2000 Page 88 of 97
©2009-2011 by RF Monolithics, Inc. E-mail: tech_sup@rfm.com DNT2400 - 04/13/11
6.0 Demonstration Procedure
The procedure below provides a quick demonstration of the DNT2400P using a DNT2400DK
development kit:
1. Confirm that each DNT2400P transceiver is installed correctly in an interface board, and that the
U.FL jumpers between the DNT2400P radios and the interface boards are installed. Also confirm
that a dipole antenna is installed on each interface board, and that J14 has a jumper block in-
stalled on each interface board. See Figures 5.4.1, 5.4.2 and 5.4.3 above.
2. Attach the Base (see label on bottom of interface board) to a computer with the DNT Demo
program installed.
3. Place the transceiver/interface boards at least 6 feet (two meters) apart.
4. Start the DNT Demo program.
5. Click the Connect button on the Demo window. This will open a serial port setup dialog box. Set
the baud rate to 9600 (9.6 kb/s) and select the COM port where the Base is connected.
6. At this point the Demo will collect data from the Base, filling in data in the Local Radio column on
the Demo window. The Status Window should also show that the Remote has joined the Base.
7. Click on the drop-down box at the top of the Radio 1 column and select the MAC Address for the
Remote. Next press the Start button using the default 1 s Refresh Delay.
8. The Demo will display updated data on the Remote in the Radio 1 column, including bar graphs
of RSSI signal strength in dBm and percent packet success rate. Adjusting the large pot on the
Remote can be observed on the Potentiometer (ADC1) row.
www.RFM.com Technical support +1.678.684.2000 Page 89 of 97
©2009-2011 by RF Monolithics, Inc. E-mail: tech_sup@rfm.com DNT2400 - 04/13/11
7.0 Troubleshooting
DNT2400 not responding - make sure SLEEP/DTR is not asserted (logic low) to bring the radio out of
sleep mode.
Can not enter protocol mode - make sure the host data rate is correct. The DNT2400 defaults to 9.6 kb/s.
If using the EnterProtocolMode command, send the complete protocol format for this command.
A remote never detects carrier (DCD) - check that the base is running, and that the remote InitialNwkID
parameter is the same as the base, or is set to 0xFF. If a remote is operating near the base (less than 6 ft
or 2 m), be sure the transmitter power setting on both the base and remote is set to 1 mW. If the remote is
operating far from the base, be sure the transmitter power setting on the base and remote is adequate for
communication. Also make sure that the security keys are the same.
Carrier is detected, but no data appears to be received - make sure that RTS is asserted to enable re-
ceive character flow. Make sure the RF transmit power is not on a high settings if the nodes are close
together.
Range is extremely limited - this is usually a sign of a poor antenna connection or the wrong antenna.
Check that the antenna is firmly connected. If possible, remove any obstructions near the antenna.
Transmitting terminal flashes (drops) CTS occasionally - this indicates that the transmit buffer is filling up.
This most often is caused by using a higher serial port data rate than RF data rate. Adjusting the protocol
parameters may increase the network efficiency.
7.1 Diagnostic Port Commands
FSTAT <option> - enables a frequency-ordered channel activity status log.
Available options are:
0 - off
1 - on
For either a base or remote, FSTAT shows the DataTx (data packet transmitted), AckRx (ACK received)
and RegRx (registration or renewal request or reply received) activity status on each frequency with
ASCII characters as follows:
. (0x2E) - no activity
1 (0x31) - DataTx activity only
2 (0x32) - AckRx activity only
3 (0x33) - DataTx and AckRx activity
4 (0x34) - RegRx activity only
5 (0x35) - DataTx and RegRx activity
6 (0x36) - AckRx and RegRx activity
7 (0x37) - DataTx, AckRx and RegRx activity
www.RFM.com Technical support +1.678.684.2000 Page 90 of 97
©2009-2011 by RF Monolithics, Inc. E-mail: tech_sup@rfm.com DNT2400 - 04/13/11
A sample FSTAT output for 37 channel operation is shown below. The status data is order from the
lowest operating frequency on the left to the highest operating frequency on the right. An ASCII CR-LF
terminates each line. On most frequencies, DataTx and AckRx occur on the same frequency (3). Occa-
sionally there is DataTx, AckRx and RegRx activity (7), DataTx only activity (1), or no activity (.).
333333 33333333 33333373 33333333 3333333
333333 33333333 33333333 33333333 3333333
333333 31333333 33333333 33333333 3333333
23.333 333133.3 3.333323 31333.33 333.333
333333 23333331 33313333 33333333 23.3333
INSTR <option>
Available options are:
0 - off
1 - on
For either a base or a remote, INSTR streams instrumentation packets including a time stamp and seven
data values. The time stamp is a string of four characters. The first three characters are ASCII represen-
tations of hexadecimal numbers. The fourth character is a > character. Each time stamp count is 100 µs.
The time stamp rolls over to 0x000 after count 0xCE5. The content of the seven data values are detailed
below. ASCII representations of the hexadecimal value of each byte are output, separated by space
characters:
Byte 0: current channel, 0 to 36
Byte 1: same data as FSTAT 1, except no activity is 0x30
Byte 2: RSSI_Last, RSSI of last RF packet received in dBm, 8-bit signed value
Byte 3: RSSI_Idle, most recent RSSI value on a channel with no expected activity
Byte 4: Range delay estimate, remote only, 3.1 µs/tick
Byte 5: Status bits 1
b7.. b4 - reserved
b3 - inbound data RF flow control, 1 = device has disabled RF flow
b2 - outbound data RF flow control, 1 = base has disabled RF flow
b1 - /HOST_CTS, status of CTS line, 1 = hold
b0 - /DCD, link LED on; on a remote indicates registration with base, on the base it indi-
cates at least on remote is registered (default)
Byte 6: Status bits 0
b7 - CSMA channel busy
b6 - Parser/CRC error
b5 - valid RF packet received (any type)
b4 - DataRx, data packet received
b3 - RegTx, registration or renewal request or reply transmitted
b2 - RegRx, registration or renewal request or reply received
b1 - AckRx, ACK received
b0 - DataTx, data packet transmitted
www.RFM.com Technical support +1.678.684.2000 Page 91 of 97
©2009-2011 by RF Monolithics, Inc. E-mail: tech_sup@rfm.com DNT2400 - 04/13/11
A sample INSTR output is shown below.
896> 21 01 DA 98 00 01 01
940> 0A 03 DA 9C 00 01 23
9E2> 1D 03 DA 99 00 03 23
A8A> 1E 01 D6 9F 00 03 21
B36> 11 03 D6 99 00 03 23
Looking a the first line in detail:
896> 21 01 DA 98 00 01 01
The time stamp is 0x896>
Byte 0, 0x21, indicates the channel of operation is 33 (decimal)
Byte 1, 0x01, is the same status data as FSTAT data above. In this case, DataTx activity only.
Byte 2, 0xDA, is the last RSSI value, -38 dBm
Byte 3, 0x98, is the RSSI idle value, -100 dBm
Byte 4, 0x00, is the range delay estimate (remote only). The remote is very close to the base.
Byte 5, 0x01, provides the serial port status - /HOST_CTS is high
Byte 6, 0x01, provides the communication status - DataTx active only. Note that this byte provides addi-
tional status bytes compared to byte index 1.
www.RFM.com Technical support +1.678.684.2000 Page 92 of 97
©2009-2011 by RF Monolithics, Inc. E-mail: tech_sup@rfm.com DNT2400 - 04/13/11
8.0 Appendices
8.1 Ordering Information
DNT2400C: transceiver module for solder-pad mounting
DNT2400P: transceiver module for pin-socket mounting
8.2 Technical Support
For DNT2400 technical support call RFM at (678) 684-2000 between the hours of 8:30 AM and 5:30 PM
Eastern Time.
www.RFM.com Technical support +1.678.684.2000 Page 93 of 97
©2009-2011 by RF Monolithics, Inc. E-mail: tech_sup@rfm.com DNT2400 Integration Guide - 04/13/11
8.3 DNT2400 Mechanical Specifications
D N T 2 4 0 0 C O u t l i n e a n d M o u n t i n g D i m e n s i o n s
D i m e n s i o n s i n i n c h e s a n d ( m m )
2 . 0 5 0 ( 5 2 . 0 7 )
1 . 3 4 0
( 3 4 . 0 4 )
0 . 6 3 0
( 1 6 . 0 0 )
0 . 1 7 0 ( 4 . 3 2 )
0 . 0 5 0
( 1 . 2 7 )
0 . 0 4 0
( 1 . 0 2 ) 0 . 1 0 0 ( 2 . 5 4 )
1
4 0
0 . 1 0 0 ( 2 . 5 4 )
Figure 8.3.1
0 . 1 1 0
( 2 . 7 9 )
0 . 0 7 0
( 1 . 7 8 )
0 . 1 0 0
( 2 . 5 4 )
1 . 1 8 0
( 2 9 . 9 7 )
D N T 2 4 0 0 C P C B F o o t p r i n t
D i m e n s i o n s i n i n c h e s a n d ( m m )
14 0
Figure 8.3.2
www.RFM.com Technical support +1.678.684.2000 Page 94 of 97
©2009-2011 by RF Monolithics, Inc. E-mail: tech_sup@rfm.com DNT2400 Integration Guide - 04/13/11
D N T 2 4 0 0 P O u t l i n e a n d M o u n t i n g D i m e n s i o n s
D i m e n s i o n s i n i n c h e s a n d ( m m )
2 . 0 5 0 ( 5 2 . 0 7 )
0 . 2 8 5 ( 7 . 2 4 )
0 . 0 4 0
( 1 . 0 2 ) 0 . 1 0 0 ( 2 . 5 4 )
0 . 3 3 3 ( 8 . 4 6 )
0 . 0 5 0
( 1 . 2 7 )
1 . 3 6 0
( 3 4 . 5 4 )
1
4 0
1 . 2 6 0
( 3 2 . 0 0 )
0 . 0 5 0
( 1 . 2 7 )
Figure 8.3.3
1 . 9 0
( 4 8 . 2 6 )
2 . 0 0
( 5 0 . 8 0 )
0 . 1 0
( 2 . 5 4 )
D N T 2 4 0 0 P I n t e r f a c e C o n n e c t o r
P C B L a y o u t D e t a i l
0 . 1 0
( 2 . 5 4 )
C o n n e c t o r s a r e F C I E l e c t r o n i c s 7 5 9 1 5 - 4 2 0 L F o r e q u i v a l e n t
D i m e n s i o n s i n i n c h e s a n d ( m m )
1 . 2 6
( 3 2 . 0 0 )
M i n i m u m p l a t e d P C B
h o l e d i a m e t e r 0 . 0 3 0 ( 0 . 7 6 )
Figure 8.3.4
www.RFM.com Technical support +1.678.684.2000 Page 95 of 97
©2009-2011 by RF Monolithics, Inc. E-mail: tech_sup@rfm.com DNT2400 Integration Guide - 04/13/11
8.4 DNT2400 Development Board Schematic






























































 





!"#$
!%$ &'()$*"+(),$- $.
/"$0 1$$" &2
3334
5++./#+&/-6+!*+.$-7!&*
-!6/89+&.$),$-+9+3
!"#$
!%$ &'()$*"+(),$- $.
/"$0 1$$" &2
3334
5++./#+&/-6+!*+.$-7!&*
-!6/89+&.$),$-+9+3
!"#$
!%$ &'()$*"+(),$- $.
/"$0 1$$" &2
3334
5++./#+&/-6+!*+.$-7!&*
-!6/89+&.$),$-+9+3





 !
"
#$%""&'()*+#
,
-.)##%$
/-(0####110
"'21##110
",*#3##110

!45
!45


545
545

:

:

;5<

;5<

5
3
;
4






5
3
;
4









 
 5



< 
= 3
 
 
 
=
 3

5


=
;
<
<
 
 ;
 4
 
 
 




;
4

3
 4
4
:
4
:

:(

:(

:(

:(

<5

<5

:(

:(

< ;<

< ;<
4

:;

:;

:(

:(

<5

<5

:(

:(

<5

<5

:

:




 
 5



< 
= 3
 
 
 
=
 3

5


=
;
<
<
 
 ;
 4
 
 
 




;
4

3
 4

:(

:(
3
:;
3
:;
 :(
 :(

:

:

<5

<5
 :(
 :(

:

:

<3

<3
4
;
3

/*/7&*!'
><

/*/7&*!'
><
 
 
5
:(
5
:(

:(

:(





<

<
 
5
:;
5
:;

;54

;54

4

;
5



>
>
3 :(
3 :(





?"

?"
; :(
; :(

:(

:(
4 :(
4 :(

&6(#$+'(--$*"+)$/7(-$)$*"

&6(#$+'(--$*"+)$/7(-$)$*"
4
;5<
4
;5<
4
;
3
5






4
;
3
5


<4

<4
4





;

;





 
 




@
5

;

3
@ 4

;

3



@
@
@ 5

3
 
:
;
 



4
 
@ 
@ 

4
4
;;
4
;;




4










;
5

 4

3
4

4


;54

;54





>
>

:(

:(

:

:

?"

?"

:( 
:(
"6,78
5
:<<
"6,78
5
:<<



www.RFM.com Technical support +1.678.684.2000 Page 96 of 97
©2009-2011 by RF Monolithics, Inc. E-mail: tech_sup@rfm.com DNT2400 Integration Guide - 04/13/11






 



















 













!"#$
!%$ &'()$*"+(),$- $.
/"$0 1$$" &2
3334
5A+./#+&/-6+!*+.$-7!&*
-!6/89+&.$),$-+9+3
!"#$
!%$ &'()$*"+(),$- $.
/"$0 1$$" &2
3334
5A+./#+&/-6+!*+.$-7!&*
-!6/89+&.$),$-+9+3
!"#$
!%$ &'()$*"+(),$- $.
/"$0 1$$" &2
3334
5A+./#+&/-6+!*+.$-7!&*
-!6/89+&.$),$-+9+3
9!
2-!:
2-!:
2-:
-.)##%$
,
#$%""&'()*+#
/-(0####110
"'21##110
",*#3##110
*;*1
<"=<

<

<

:(

:(

4;4<:

4;4<:

 4

;

!*
7B

3
(
3
(

<5

<5




5

5

>
 
?

,
3
3
>
 
?

,
3
3
4
;
3
4

4


<
+"/'C

<
+"/'C
;

;


(

(

<

<




4
3



4
3

;
5



;
5

;(

;(





<5

<5

/*/7&*!'
><

/*/7&*!'
><
 
 




5
;(
5
;(




;

;

4

4

 ;<:
 ;<:

&("
!*
&("

<5
-$$*

<5
-$$*
;

;

>
;
:;(
>
;
:;(









:

:
;

;

5
:;
5
:;
;

;

4
;
3
5



4
&&"+#&/6$-
4
&&"+#&/6$-
3
<5
$6
3
<5
$6
4

4

4 :(4 :( 







3

3

3

3

4
;
3
5








+

+
3

3

55





:

:

4

4
5

5

;
:(
;
:(

:

:
www.RFM.com Technical support +1.678.684.2000 Page 97 of 97
©2009-2011 by RF Monolithics, Inc. E-mail: tech_sup@rfm.com DNT2400 Integration Guide - 04/13/11
9.0 Warranty
Seller warrants solely to Buyer that the goods delivered hereunder shall be free from defects in materials
and workmanship, when given normal, proper and intended usage, for twelve (12) months from the date
of delivery to Buyer. Seller agrees to repair or replace at its option and without cost to Buyer all defective
goods sold hereunder, provided that Buyer has given Seller written notice of such warranty claim within
such warranty period. All goods returned to Seller for repair or replacement must be sent freight prepaid
to Sellers plant, provided that Buyer first obtain from Seller a Return Goods Authorization before any
such return. Seller shall have no obligation to make repairs or replacements which are required by normal
wear and tear, or which result, in whole or in part, from catastrophe, fault or negligence of Buyer, or from
improper or unauthorized use of the goods, or use of the goods in a manner for which they are not de-
signed, or by causes external to the goods such as, but not limited to, power failure. No suit or action
shall be brought against Seller more than twelve (12) months after the related cause of action has oc-
curred. Buyer has not relied and shall not rely on any oral representation regarding the goods sold here-
under, and any oral representation shall not bind Seller and shall not be a part of any warranty.
THE PROVISIONS OF THE FOREGOING WARRANTY ARE IN LIEU OF ANY OTHER WARRANTY,
WHETHER EXPRESS OR IMPLIED, WRITTEN OR ORAL (INCLUDING ANY WARRANTY OR
MERCHANT ABILITY OR FITNESS FOR A PARTICULAR PURPOSE). SELLERS LIABILITY ARISING
OUT OF THE MANUFACTURE, SALE OR SUPPLYING OF THE GOODS OR THEIR USE OR
DISPOSITION, WHETHER BASED UPON WARRANTY, CONTRACT, TORT OR OTHERWISE, SHALL
NOT EXCEED THE ACTUAL PURCHASE PRICE PAID BY BUYER FOR THE GOODS. IN NO EVENT
SHALL SELLER BE LIABLE TO BUYER OR ANY OTHER PERSON OR ENTITY FOR SPECIAL,
INCIDENTAL OR CONSEQUENTIAL DAMAGES, INCLUDING, BUT NOT LIMITED TO, LOSS OF
PROFITS, LOSS OF DATA OR LOSS OF USE DAMAGES ARISING OUT OF THE MANUFACTURE,
SALE OR SUPPLYING OF THE GOODS. THE FOREGOING WARRANTY EXTENDS TO BUYER
ONLY AND SHALL NOT BE APPLICABLE TO ANY OTHER PERSON OR ENTITY INCLUDING,
WITHOUT LIMITATION, CUSTOMERS OF BUYERS.
Part # M-2400-3002, Rev E

Navigation menu