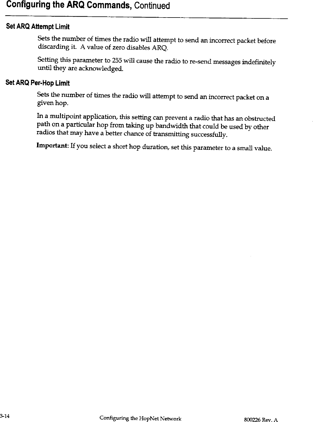
Murata Electronics North America HN1500 Data Transceiver User Manual 79825
Murata Electronics North America Data Transceiver 79825
UserManual.wiki
>
Murata Electronics North America
>
HN1500 User Manual
8
Navigation menu
Upload a User Manual
Namespaces
Wiki Guide
HTML
PDF
Info
Views
User Manual
Discussion / Help
Navigation