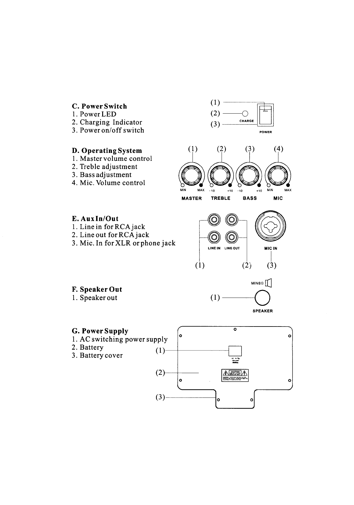
OKAYO Electronics EJ-7LT Wireless Bodypack Transmitter User Manual Manual
OKAYO Electronics Co., Ltd. Wireless Bodypack Transmitter Manual
UserManual.wiki
>
OKAYO Electronics
>
EJ 7LT User Manual HTML Version
Manual
Navigation menu
Upload a User Manual
Namespaces
Wiki Guide
HTML
PDF
Info
Views
User Manual
Discussion / Help
Navigation