OPEX 3804007 Mail Matrix iBot User Manual Operator Manual 2
OPEX Corporation Mail Matrix iBot Operator Manual 2
  
    OPEX   >  
Users Manual

OPERATOR MANUAL
NOVEMBER 2007
All rights reserved. Printed in the United States of America.
No portion of this manual may be reproduced in any form or by any means, or stored in a database
or retrieval system, without the express, written permission of OPEX® Corporation.
To request permission, contact:
OPEX® Corporation
ATTN: Legal Department
305 Commerce Dr.
Moorestown, NJ 08057-4234
Copyright © 2007 OPEX® Corporation

About this manual...
The Mail Matrix Operator Manual uses the following conventions when describing 
certain procedures and situations. Please be aware of these conventions when 
reading the manual and operating the machine:
NOTE:  Notes often include extra information that is pertinent to the current topic. 
These notations can often help you avoid minor problems and use the 
machine more efficiently.
DANGER!
The DANGER notation is used to bring specific attention to a part of the machine or a step in 
a procedure that, if not followed carefully, can result in fatal or serious personal injury to the 
operator. Be very careful to follow any guidelines established within the DANGER notations 
to ensure your own safety as well as the safety of other people in your area.
CAUTION
The CAUTION notation is used to alert the reader to something that could cause damage to the 
machine and/or minor injury to the operator. Be aware of the information provided in the CAUTION 
notations to avoid damaging the machine and the possibliity of harming yourself and/or other people 
in your area.
This symbol indicates a potential pinch hazard. The pinch hazard symbols are placed throughout the 
machine in places where there is the potential for the operator to get a finger or other article squeezed 
between two devices. Exercise caution when working in these areas.
Table of Contents
iiiMail Matrix Operator Manual
Table of Contents
Chapter 1
Introduction
System Overview ................................................................................................................ 1-1
Specifications ...............................................................................................................  1-2
Safety Precautions  ............................................................................................................. 1-4
Options and Configurations  ................................................................................................  1-6
How Mail Matrix Works  .....................................................................................................  1-12
Workflow ....................................................................................................................  1-14
Chapter 2
Operation
Overview .............................................................................................................................  2-1
Turning the power on/off  ..............................................................................................  2-2
Logging in to the Host software ....................................................................................  2-3
Navigating the Host software  .......................................................................................  2-4
Running Jobs ......................................................................................................................  2-5
Selecting a job ..............................................................................................................  2-5
Setting up your run .......................................................................................................  2-6
Processing mail ............................................................................................................  2-8
Chapter 3
Operational Maintenance
Cleaning the System  ..........................................................................................................  3-1
iBOT Maintenance  ..............................................................................................................  3-2
Removing/Replacing iBOTs  .........................................................................................  3-3
Shift Maintenance  ...............................................................................................................  3-6
Appendix A
Statistics
Statistics .............................................................................................................................  A-1
Glossary
Index
Table of Contents
iv Mail Matrix Operator Manual

1
Chapter
Operator Manual
System Overview............................................................................ 1-1
Specifications ............................................................................ 1-2
Safety Precautions ......................................................................... 1-4
Options and Configurations ............................................................ 1-6
How Mail Matrix Works................................................................. 1-12
Workflow.................................................................................. 1-14
Introduction

Feeder/Conveyor
PC/UPS
Delivery bins
iBOT loading
area
Operator station
iBOT
1  Introduction
1-1Mail Matrix Operator Manual
System Overview
The OPEX Mail Matrix is a mixed mail sorting system that streamlines the sorting 
process. The Mail Matrix system can process up to 25,000 pieces per shift, into as 
many as 1,020 destinations, and can easily sort the widest range of media and 
address formats ever – from letters, flats, magazines and newspapers to small 
parcels and interoffice mail – all in a single pass.
Unlike traditional inline machines which use pulleys, belts, and conveyors for trans-
porting the mail piece to its destination, Mail Matrix uses iBOTs (intelligent robotic 
wireless vehicles). Delivery bins are installed on both sides of the stacker section, 
reducing the amount of space required.
Mail Matrix can be configured for three different modes depending on the desired 
throughput and options purchased. These modes are manual feed without image - 
Key from Paper (KFP), manual feed with Key from Image (KFI), and fully automated 
with Key from Image (KFI). Fully automated incorporates an optional auto-feeder and 
imaging. Depending on the desired throughput, up to 36 iBOTs can be installed on a 
machine.
Mail Matrix features include:
• Scalable feed rate: 600–3600 pieces/hour (1 piece/second)
• Expandable delivery bins (30–1020) and iBOT configurations for growth
• Capable of sorting mail into compact front and rear delivery bins
• Unmatched mixed media handling and single pass sorting
• User-friendly Microsoft Windows interface that allows the operator to indepen-
dently set up sorting jobs as well as modify, update, and maintain a database
• Wide range of options for sorting by name, department, P.O. Box, building, 
division, mail stop, and more
• Ability to import organizational databases in various formats into the job setup 
and execute sorting rules
• Easily sorts mail into delivery bins that simplify removal by mailroom sweepers
• Low maintenance
• Operable in such working environments as warehouses and lockbox operations

1  Introduction
1-2 Mail Matrix Operator Manual
Specifications
Performance specifications
Physical specifications
Envelope/Document size
Environmental specifications
Maximum 
throughput 3600 pieces/hour (1 piece/second)
Length 60 inches (add 44.5 inches for each 90-bin expansion module)
Width 143 inches
Height 88 inches
Power requirements
• 120/208 VAC, single phase
• 60 Hz, 3 wire system
•24amps
Mixed media Letters, flats, magazines, newspapers
Length 5.0–15 inches
Width 2.75–12 inches
Maximum weight per 
piece 32 ounces
Thickness 0.007–1.0 inch
Agency approvals UL, CE
Sound level 80 dB Maximum
Temperature 50° to 90° F
Humidity 5% to 95% RH
1  Introduction
1-3Mail Matrix Operator Manual
FCC / Industry Canada Statement
The Mail Matrix system incorporates wireless devices:
Transceiver, 2033210
This device complies with Part 15 of the FCC Rules. Operation is subject to the 
following two conditions:
1This device may not cause harmful interference, and
2This device must accept any interference received, including interference that may 
cause undesired operation.
iBOT, 2032610
This device complies with Part 15 of the FCC Rules. Operation is subject to the 
following two conditions:
1This device may not cause harmful interference, and
2This device must accept any interference received, including interference that may 
cause undesired operation.
Any changes/modifications to the wireless devices not approved by OPEX 
Corporation could void the user's authority to operate the system.
1  Introduction
1-4 Mail Matrix Operator Manual
Safety Precautions
Follow these safety precautions to avoid injury when operating the Mail Matrix. 
Failure to follow these precautions may result in severe personal injury or damage to 
the machine.
Charging rail. Hands should be kept clear of the charging rails when the doors are 
closed. Shorting of the charging rails with either a watch or ring may result in 
electrical shock or death.
Be careful when removing/replacing iBOTs. In order to increase the iBOTs payload 
capacity, the iBOT was designed to be as light as possible. As a consequence the 
iBOTs are not indestructible. Care should be taken when removing or installing the 
iBOTs. 
Keep loose objects away from any exposed, moving parts of the machine. The 
moving parts of the Mail Matrix, such as the conveyor, can become jammed and/or 
damaged by foreign objects. Also, keep hands, hair, loose clothing or jewelry away 
from the moving parts.
Do not attempt to clean the machine while it is running. A cloth (or similar material) 
should never be used to clean moving parts such as belts or rollers. The use of such 
material on moving mechanisms can result in damage to the machine or severe 
personal injury. If a belt, roller, gate or similar part needs to be cleaned, hand-crank 
the part during cleaning or clean it while stationary.
Do not use flammable, high pressure, “canned air” to clean paper scraps and dust from 
the machine.
Familiarize yourself with the location of machine Emergency Stop Switches.  The e-
stop is installed on the input conveyor. An e-stop is also installed on the optional 
auto feeder. E-Stop switches enable a quick stop of all motors in the machine in the 
event of an emergency involving potential personnel injury.

1  Introduction
1-5Mail Matrix Operator Manual
The Mail Matrix system incorporates emergency-stop buttons and door interlocks to 
help keep the operator safe.
Emergency stop buttons
The big, red, mushroom-shaped emergency stop (e-stop) buttons can be used to stop 
the machine in an emergency. If necessary, push one of the e-stops and the machine 
will stop immediately. To restart the machine, twist the knob clockwise, clear the 
machine, and restart the machine from the Run screen.
Interlock system
When the machine is running, the rapidly-moving iBOTs can pose a safety hazard for 
the operator. For your safety, magnetic interlocks have been installed on the front 
and rear doors of the Mail Matrix machine. The interlock system will shut the 
machine down whenever a door is opened.

1  Introduction
1-6 Mail Matrix Operator Manual
Options and Configurations
The Mail Matrix base system includes:
• Key from Paper (KFP) Module with one integrated key-and-drop station
• OPEX DRS (Directory Retrieval System)
• 30 delivery bins
• 3 iBOTs
• 2 large mail tubs
• Host PC with Microsoft Windows® XP
FIGURE 1: Mail Matrix base system

1  Introduction
1-7Mail Matrix Operator Manual
Optional enhancements include:
• Delivery-bin expansion modules Up to 11 additional expansion modules (90 bins 
each) can be installed to increase the bin capacity to 1020 bins.

1  Introduction
1-8 Mail Matrix Operator Manual
• Image capture/MLOCR (Multi-Line Optical Character Recognition) The image 
capture/ MLOCR option captures images of mail pieces and automatically 
determines bin destination. This enhancement is made up of a camera and light 
arrangement to capture the image of the piece, as well as the MLOCR software, 
which can interpret the images from the camera and send the necessary 
addressee information along to the DRS for bin assignment. The image capture/
MLOCR option eliminates the need for the operator to identify the recipient and 
enter the information for each piece manually.

1  Introduction
1-9Mail Matrix Operator Manual
• Auto-Feeder an installed auto-feeder provides automated mail feed to the mail 
input module. The auto-feeder (along with additional iBOTs) can increase the 
throughput up to 3600 pieces/hr. (MLOCR required).

1  Introduction
1-10 Mail Matrix Operator Manual
• Key From Image (KFI) Module Additional keying stations can be used in 
conjunction with the image capture/MLOCR option. These KFI (Key From Image) 
modules allow additional operators to identify pieces that could not be identified 
by the MLOCR and DRS.

1  Introduction
1-11Mail Matrix Operator Manual
• Additional iBOTs Mail Matrix can support a total of 36 iBOTs.
•Mail Cart(s)Mail carts are available to aid in the process of sweeping the bins.

1  Introduction
1-12 Mail Matrix Operator Manual
How Mail Matrix Works
The Mail Matrix system uses three software applications to control and run the 
system: the Host software, the OPEX Directory Retrieval System (DRS), and the 
Keying Station application.
Mail is input in to the system by either the operator or an installed auto-feeder, 
which can automatically place mail onto the conveyor. The operator can either look 
at each piece and use a Keying Station to identify the intended recipient in the site’s 
database, or an installed camera can take an image of each piece and the Mail Matrix 
can use software to sort it.
Host software
The Mail Matrix Host software provides the operator’s main interface with the 
system’s controls. Use the Host software to select and run jobs and view statistical 
reports on the machine.
Directory Retrieval System (DRS)
The OPEX Directory Retrieval System (DRS) references a database containing 
recipient names and bin assignments. The DRS attempts to find a matching recipient 
for each piece keyed in by the operator (or identified by the image capture/MLOCR 
system, if installed), then assigns the mail to the bin specified for that recipient.

1  Introduction
1-13Mail Matrix Operator Manual
Keying Station
Use the Keying Station application to enter the names of mail recipients. After the 
recipient has been identified by the Keying Station, drop the piece onto the conveyor 
which will the piece to an available iBOT.
The Keying Station software is found on the Host PC (at the operator station), as well 
as any installed KFI (Key From Image) modules, where remote operators can identify 
recipients for pieces that the MLOCR software was not able to identify.

1  Introduction
1-14 Mail Matrix Operator Manual
Workflow
The Mail Matrix workflow depends greatly on the options you have installed on your 
machine. The following pages describe the step-by-step methods the Mail Matrix 
system uses to properly sort your mail.
The first section below provides an overview of what takes place in the basic, 
“barebones” configuration of the Mail Matrix system, and is followed by the 
workflows of a fully-configured Mail Matrix.
NOTE:  These workflows are intended to give you a better understanding of how the 
machine works. The operator’s role is described in more detail in Chapter 2.
Basic configuration
The basic Mail Matrix system functions as shown in Figure 2 and described in the 
following pages:
FIGURE 2:  Mail Matrix workflow (basic configuration)
1At the operator station, the operator uses the Keying Station application to 
identify the recipient of a piece.
Keyed by
operator
Dropped
on conveyor
Load an
iBOT
Travel to
bin
123 45 6
DRS
assigns bin Repeat

1  Introduction
1-15Mail Matrix Operator Manual
2The OPEX Directory Retrieval System (DRS) determines a bin assignment for the 
piece, and the software notifies the iBOT of the delivery bin.
3The operator drops the piece onto the conveyor
4The conveyor carries the piece to the awaiting iBOT.

1  Introduction
1-16 Mail Matrix Operator Manual
5The iBOT carries the piece to its destination, releases the piece to the bin, and 
heads back to the loading column.
6The operator keys in the name of the next recipient, and the process repeats.
NOTE: Keep in mind that the operator does not have to wait until the iBOT returns 
to drop the next piece. The operator can continue to drop documents as fast 
as he/she can key them, assuming there are enough iBOTs to deliver the 
mail.

1  Introduction
1-17Mail Matrix Operator Manual
Fully-configured machine
The Mail Matrix workflow changes according to the options installed. Figure 3 shows 
the possible workflows of a machine with an auto-feeder and image capture/MLOCR 
options installed.
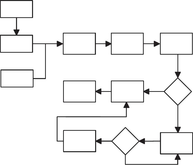
FIGURE 3:  Mail Matrix workflow (auto-feeder and image capture/MLOCR installed)
1At a fully-configured machine, a piece of mail can enter the system in one of three 
ways:
a. The operator can look at the piece and enter it’s recipient into the Keying 
Station software at the operator station. This is the simplest way to input the 
piece. After keying the recipient, the operator will manually place the piece on 
the conveyor. The DRS will assign the bin, and the piece will travel to an 
awaiting iBOT (skip to step 4).
b. The operator can simply drop the piece on the conveyor and let the MLOCR 
and DRS software determine the recipient and the bin assignment. This 
method can only be used on machines that have the image capture/MLOCR 
option installed.
c. An installed auto-feeder can automatically feed stacks of mail onto the 
conveyor.
2Pieces that entered the system without being identified by the operator will have 
their picture taken by the camera.
Keyed from
Paper
Manual
Drop
Auto Feed
Image
Capture
MLOCR to DRS
(KFI module, if
necessary)
Load on
iBOT
Bin
?
assigned
Bin
?
assigned
Yes
Travel to
destination
bin
Mail piece
delivered
No
Wait in 2nd
column
Travel up
column
loading
No
Yes
START FINISH
1a
1b
1c
23 4
5a6
5b

1  Introduction
1-18 Mail Matrix Operator Manual
3The image of the piece captured in step 2 is analyzed by the MLOCR software, 
which reports the characters it found to the DRS software. If the MLOCR and DRS 
cannot determine a match, the image is sent to an available Keying Station for 
operator identification.
4The conveyor carries the piece to the awaiting iBOT.
5The next step depends on whether or not the DRS has assigned a bin for the piece 
on the iBOT:
a. If a bin has been assigned for the mail piece, the iBOT will exit the loading 
column and deliver the piece to the assigned bin.
b. If a bin has not been assigned, the iBOT will wait in the first delivery column 
for its bin assignment. Once the destination has been assigned, the iBOT will 
deliver the piece.
NOTE: If the iBOT does not receive the bin assignment in 30 seconds, the piece 
will be sent to the reject bin/tub.
6The iBOT carries the piece to the delivery bin, releases the piece to the bin, and 
heads back to the loading column.

2
Chapter
Operator Manual
Overview......................................................................................... 2-1
Turning the power on/off ........................................................... 2-2
Logging in to the Host software................................................. 2-3
Navigating the Host software .................................................... 2-4
Running Jobs.................................................................................. 2-5
Selecting a job........................................................................... 2-5
Setting up your run.................................................................... 2-6
Processing mail......................................................................... 2-8
Operation

2  Operation
2-1Mail Matrix Operator Manual
Overview
Most functions of the Mail Matrix system are accessible from the operator station, 
where the operator is within easy reach of the touch-screen monitor, keyboard and 
mouse, and the conveyor. The touch-screen monitor provides the operator’s main 
interface with the Mail Matrix software, which controls the system.
FIGURE 4:  Operator station (auto feeder and imaging upgrades installed)
Conveyor
Touch-screen monitor
PC/UPSKeyboard/Mouse

2  Operation
2-2 Mail Matrix Operator Manual
Turning the power on/off
Power up the machine
1Turn the main power switch to the On (up) position.
FIGURE 5: PC/UPS/Main power switch locations
2Press the Power button on the front of the UPS. The PC should start with the UPS. 
If not, press the power button on the front of the PC.
3Log in to Windows with the keyboard and mouse at the operator station.
Turn the machine off
1Shut down the PC.
2Press the Power button on the UPS.
3Turn the main power switch to the Off position.
PCUPS
Main power switch

2  Operation
2-3Mail Matrix Operator Manual
Logging in to the Host software
The Mail Matrix Host PC will launch the Host software as part of the system’s 
start-up routine. If you mistakenly close the Host software or, for some reason, the 
Host software does not start with the machine, you can start it manually.
1If the Host software is not already running, double-click on the Mail Matrix icon 
on the desktop OR click Start > Programs > OPEX > Mail Matrix to open it. The Login 
screen will appear.
FIGURE 6: Login screen
2Select your username from the dropdown list.
3Enter your password in the appropriate field.
4Click Login. The Host software displays the Job Select screen.

2  Operation
2-4 Mail Matrix Operator Manual
Navigating the Host software
The Mail Matrix Host software provides the operator’s main interface with the 
system’s controls. Use the Host software to select and run jobs and view statistical 
reports on the machine.
The Host software interface consists of:
Menu bar The vertical menu bar provides access to the main system functions. 
Select a category from the menu bar and make selections from the main window or 
the menu options bar.
Menu options The menu options provide sub-categories for the selections in the 
menu bar. The menu options bar will change based on the current menu bar 
selection.
Main window View and adjust settings and make selections in the main window.
FIGURE 7:  Host software interface
Menu bar
Main
Menu options
window

2  Operation
2-5Mail Matrix Operator Manual
Running Jobs
The main components involved in running jobs on the Mail Matrix are the Run 
screen and the Keying Station application.
Selecting a job
The first step to sorting your mail on the Mail Matrix is to choose the “job” you want 
to run. A job is a collection of the settings and methods the system will use to 
process your mail in a similar fashion from run to run. The jobs on your machine 
should be set up ahead of time, either by an OPEX technician or your site supervisor 
or IT department.
Highlight the job you want to run from the Job Select screen and click the 
Go to Run Screen button. This will take you to the Run screen, where you can manage 
your run (described on page 2-6).
FIGURE 8:  Job Select screen

2  Operation
2-6 Mail Matrix Operator Manual
Setting up your run
Once you have selected a job, the Run screen appears. Use the Run screen to:
• Select the input mode (Key From Paper, Key From Image, MLOCR)
• Start and stop the job
• View vital system information about the current job as the machine is running
• View information about jams
• Access the Event Log
• Access the Keying Station application
There are 3 main compnents to the Run screen: the main controls, the main status 
area, and the information tabs.
FIGURE 9:  Run screen (iBOT status tab)
Press this button
(or F12 on the keyboard) to switch
to the Keying Station application
Exit the Run screen and return
to the Job Select screen
View the
Event Log

2  Operation
2-7Mail Matrix Operator Manual
The next step in running your job is to select the options you want to use for the run. 
The Run screen’s System Modes tab establish how you plan to run the job.
1Select the desired Auto Feeder mode, if you have an auto feeder installed:
- Select AUTO to have the feeder send pieces onto the conveyor automatically.
- Select OFF to turn the auto feeder off and drop pieces manually.
2Select a Keying mode. The keying mode establishes whether or not the operator 
will key in the recipients or if the installed image capture/MLOCR system will 
determine the recipient. The options available depend on whether or not you have 
the image capture/MLOCR option installed and whether or not you chose to use 
the auto feeder in step 1. Select:
-No Keyer if you have image capture/MLOCR installed and do not wish to have an 
operator identify recipients.
-From Paper to key in the recipients at the operator station before dropping the 
piece.
-From Image to identify recipients based on the image provided by the installed 
camera setup.
3Turn the OCR Assist ON or OFF. This activates the MLOCR function for analyzing 
the piece for the recipient information. OCR Assist must be turned ON if the 
Keying Mode is set to No Keyer.

2  Operation
2-8 Mail Matrix Operator Manual
Processing mail
Once you have decided how you want to run your job, it’s time to start processing 
mail. Below you will find two procedures: the first is for operators with the basic 
Mail Matrix configuration, who will key in the recipient and manually drop mail, the 
second is for machines with auto-feeder and image capture/MLOCR options 
installed.
Basic, Key From Paper mode
The basic procedure involves the operator identifying the recipient of each piece and 
dropping the mail onto the conveyor. This procedure can be used on any Mail Matrix 
machine.
1After selecting the job and choosing the From Paper keying option, press F12 on the 
keyboard to switch to the Keying Station application on the Host PC (or click on 
the F12 - Switch to Keying button on the bottom of the Run screen).

2  Operation
2-9Mail Matrix Operator Manual
2Press F12 on the keyboard to switch to the Keying Station application on the Host 
PC. A miniature version of the Run screen will appear in the lower right corner of 
the screen.
3Enter you username and password into the appropriate fields and click the Login 
button to log in to the Keying Station application.
4Press START on the miniature Run screen to start the machine.
DANGER!
Pressing START will send the machine into its startup routine, which includes positioning the 
iBOTs in the loading column and starting the conveyor. The moving parts of the Mail Matrix 
can become jammed and/or damaged by foreign objects, so make sure the conveyor and 
iBOT loading areas are clear before you press START. Also make sure to keep hands, hair, 
loose clothing and/or jewelery away from the moving parts.

2  Operation
2-10 Mail Matrix Operator Manual
5Enter the intended recipient of your first piece of mail into the Keying Station 
application.
Enter the first or last name of the recipient in the first of
the First/Last fields. As you type, the database entries
that match your input will appear in the window. In this
example we have a piece of mail for James Smith. As
we begin to type “sm” for “Smith,” all the database
entries that have either a first or last name that have
“sm” in them appear as a possible match.
Press Tab on the keyboard to move to the next First/Last 
field (or move the cursor with the mouse). For this 
example, we type “ja” for the first name of our recipient, 
James, our intended recipient is the only one than
matches and In this case, press Enter on the keyboard
to make the match.
Y
ou can also use the Quick Buttons at the bottom of the Keying Station
to identify the recipient instantly. These buttons are best used for mail that
was addressed improperly or mail that is going to a specific department
for which you have a Quick Button assigned. 
Repeat the last match“Department” mailRejects
NOTE: If you see your intended recipient in the window
at any point, you can use the down arrow and press
enter to select the recpient at any time.

2  Operation
2-11Mail Matrix Operator Manual
6Drop the piece onto the conveyor. The conveyor will carry the piece to the iBOT, 
which will then deliver the piece to the appropriate bin.
7Repeat the process for all the mail you want to process.
DANGER!
Be especially careful not to let loose clothing, hair, and jewelry away from the conveyor when 
dropping pieces. Loose articles of these sort can get caught in the conveyor and cause 
damage to the machine and/or could injure the operator.

2  Operation
2-12 Mail Matrix Operator Manual
Key From Image mode
Fully-configured machines can run in different modes which use installed options to 
minimize the role of the operator in the process. These modes are only available if the 
image capture/MLOCR and/or auto-feeder options are installed.
Key From Image mode sends images for mail pieces that could not be identified by 
the image capture/MLOCR setup to an available keying station. Key From Image 
mode can be used with or without the auto-feeder.
1After selecting the job and choosing the From Image keying option, choose from the 
other options as desired:
• Select the OCR Assist mode. Turn OCR Assist ON if you have the image 
capture/MLOCR option installed and you want the software to attempt to 
determine the recipient.
• Select AUTO for the Auto Feeder mode if you want to use the installed auto 
feeder to feed your mail. Select OFF to feed the mail manually.
• Select a Piece Orientation. Usually, you will want to set this to Normal.
2Once you have your run set up the way you want, decide whether or not to use 
the Host PC as a Keying Station. If you have other KFI modules installed and 
active, you can have the images of unrecognized mail sent to those stations and 

2  Operation
2-13Mail Matrix Operator Manual
just control the run from the Host PC. If you do choose to use the Host PC as a 
Keying Station:
a. Press F12 on the keyboard to switch to the Keying Station application on the 
Host PC. A miniature version of the Run screen will appear in the lower right 
corner of the screen.
b. Enter you username and password into the appropriate fields and click the 
Login button to log in to the Keying Station application.

2  Operation
2-14 Mail Matrix Operator Manual
3If you are using the auto-feeder, load it with mail as described here. If not, 
proceed to step 4:
a. Stack mail in the auto-feeder face forward, right-side up.
b. Hold the mail stack in place with the cleaver, which fits into the grooves on the 
feeder belt.
4Press START on the Run screen. If you activated the auto-feeder, it will begin 
feeding mail onto the conveyor. If you did not activate the auto-feeder (or do not 
have one installed), drop the mail onto the conveyor yourself.
5The conveyor will carry your mail past the camera and to an awaiting iBOT. The 
camera will capture the image, the MLOCR software will interpret the text, and 
the DRS will attempt to assign a bin.
• If the software cannot determine the recipient, the image will be sent to an 
available Keying Station, either at the operator station or at an installed, active 
KFI module.
• If the piece is not identified in a certain amount of time, the piece will be sent to 
the reject bin.
6The iBOT delivers the mail piece to the appropriate bin.
Be careful not to get fingers caught in the feed mechanism or under the cleaver.
DANGER!
Pressing START will send the machine into its startup routine, which includes positioning the 
iBOTs in the loading column and starting the conveyor. The moving parts of the Mail Matrix 
can become jammed and/or damaged by foreign objects, so make sure the conveyor and 
iBOT loading areas are clear before you press START. Also make sure to keep hands, hair, 
loose clothing and/or jewelery away from the moving parts.

2  Operation
2-15Mail Matrix Operator Manual
No Keyer mode
The No Keyer mode uses the auto-feeder to place mail onto the conveyor. Any pieces 
that are not identified by the image capture/MLOCR system are rejected.
1Select a job and choose the No Keyer keying option. press F12 on the keyboard to 
switch to the Keying Station application on the Host PC (or click on the F12 - Switch 
to Keying button on the bottom of the Run screen).

2  Operation
2-16 Mail Matrix Operator Manual
2Stack mail in the auto-feeder face forward, right-side up.
3Hold the mail stack in place with the cleaver, which fits into the grooves on the 
feeder belt.
4Press START on the Run screen. The auto-feeder will begin feeding mail onto the 
conveyor. If you did not activate the auto-feeder (or do not have one installed), 
drop the mail onto the conveyor yourself.
5The conveyor will carry your mail past the camera and to an awaiting iBOT. The 
camera will capture the image, the MLOCR software will interpret the text, and 
the DRS will attempt to assign a bin. If the software cannot determine a match, 
the piece will be rejected.
6The iBOT delivers the mail piece to the appropriate bin.
Be careful not to get fingers caught in the feed mechanism or under the cleaver.
DANGER!
Pressing START will send the machine into its startup routine, which includes positioning the 
iBOTs in the loading column and starting the conveyor. The moving parts of the Mail Matrix 
can become jammed and/or damaged by foreign objects, so make sure the conveyor and 
iBOT loading areas are clear before you press START. Also make sure to keep hands, hair, 
loose clothing and/or jewelry away from the moving parts.

2  Operation
2-17Mail Matrix Operator Manual
Information tabs
The information tabs on the right side of the Run screen provide information about 
the machine and its performance during the run.
Overview tab
The Overview tab provides information about the current run.
Run time Total time spent processing mail.
Idle time Time the operator spent with the Run screen open without a job running.
Jam time Total time the system was halted for a jam.
Jam count Reports occasions when run was halted due to a paper jam or a processing 
problem that was machine related.
iBOT jammed Jams due to failed delivery by an iBOT.
Pieces input Total number of pieces fed into the system.
Pieces delivered Number of pieces that were successfully delivered to a bin.
Pieces rejected Number of pieces rejected.
Feed rate Total number of pieces fed into the system, per hour.
MLOCR attempts Number of pieces the MLOCR attempted to read.
MLOCR successes Number of pieces the MLOCR positively identified.
Pieces sent to keying Number of pieces sent to a keying station for identification.
Keying successes Number of pieces positively identified by an active keying station.

2  Operation
2-18 Mail Matrix Operator Manual
Modules tab
The Modules tab provides information about installed components, such as keying 
stations and auto feeders.
iBOTs tab
The iBOTs tab provides information about each active iBOT. The tab includes a 
status report for each iBOT, including its power level and destination bin, as well as 
a graphical display.
Use the dropdown list to view information for
installed modules
About the display:
The graphical display at the bottom of the iBOTs tab
shows exactly where in the system each active iBOT
is at any time during the run. The green column on the
far right represents the loading column.
The color of each iBOT indicates its current status:
(Green) The iBOT is sufficiently charged
(Yellow) The iBOT is low on power
(Red) The iBOT has jammed
The white rectangle on top of an iBOT indicates that
the iBOT is carrying a piece of mail.

3
Chapter
Operator Manual
Cleaning the System ...................................................................... 3-1
iBOT Maintenance.......................................................................... 3-2
Removing/Replacing iBOTs ...................................................... 3-3
Shift Maintenance........................................................................... 3-6
Operational Maintenance

3  Operational Maintenance
3-1Mail Matrix Operator Manual
Cleaning the System
Acetone
Acetone is a powerful solvent and degreaser. Only use it on metal objects or surfaces 
when your intention is to remove all of the grease or lubricant from the object or 
surface being cleaned.
Exercise care when using acetone near any type of bearing. Flooding the bearing with 
acetone removes the lubricant from the bearing. This can result in severe 
degradation of the materials in a short period of time.
Alcohol
Alcohol is a degreaser, but less powerful than acetone. Use it in place of acetone for 
shafts or bearings when your intention is to remove grease or lubricant from them.
Use only isopropyl or rubbing alcohol on the Mail Matrix. Denatured alcohol is much 
stronger and more hazardous. Do not use denatured alcohol for any reason.
Exercise care when using alcohol on bearings. Flooding the bearing with alcohol 
removes the lubricant from the bearing, and can result in degradation of the 
materials over time.
Detergent-based cleaners
A detergent-based cleaner, such as Formula 409, is less powerful than acetone or 
alcohol. Use it to clean the glass and plastic surfaces of the Mail Matrix. Detergent-
based cleaners do not cause component degradation.
If you use a detergent-based cleaner on a feed or singulator mechanism, remove any 
residue left by the cleaner by wiping down the mechanism with a cloth moistened 
with water.
CAUTION Do not clean any parts of the machine while it is running. This can result in severe personal injury and 
costly equipment damage. If a belt, roller, gate, etc., needs to be cleaned, hand-crank the component or 
clean it while stationary.

3  Operational Maintenance
3-2 Mail Matrix Operator Manual
iBOT Maintenance
Each iBOT has a control panel, which houses the on/off switch, a brake button, and 
red and green status lights. The green light indicates that the iBOT is charged and 
ready to go, and the red light indicates that the iBOT is in need of attention.
FIGURE 10: iBOT components
The “powered” brake button on the iBOT control panel releases the iBOT brake for as 
long as it is pushed and held in. This button will only work, however, when the iBOT 
has sufficient power. In the event that the iBOT requires assistance but does not 
have sufficient power for the brake button to work, you can release the iBOT brake  
by pushing the manual brake to the left.
Manual brake (in the “parked” position)
“Powered” brake buttonOn/off
Status indicators
DANGER!
Be careful then using the brakes. Releasing the “powered” brake button wil engage the brake 
again, so as to make sure it will not fall when stuck in high places in the delivery columns. If you 
need to release the manual brake, however, be prepared for it to fall immediately. The iBOTs are 
fairly lightweight, but still heavy enough to injure an operator if it falls from above.

3  Operational Maintenance
3-3Mail Matrix Operator Manual
The iBOTs tab on the Run screen will display the status of all the iBOTs in the 
system as well. Use the iBOTs tab to monitor and maintain your iBOTs. The tab 
includes a status report for each iBOT, including its power level and destination bin, 
as well as a graphical display.
FIGURE 11: Run screen iBOT status tab
Removing/Replacing iBOTs
In the event that an iBOT should require maintenance, it can be quickly and easily 
removed from the system. The iBOT in need of repair can be swapped for another 
and returned to OPEX for service.
The drawer in the bottom of the stacker column is used to help remove and insert 
iBOTs into the system so that the gears align properly for tracking purposes.
To remove an iBOT from the loading assembly
1Move the iBOT into the loading assembly.
2Open the access door.
3Press and hold the brake button to release the brake on the iBOT.
4Move the iBOT away from the track towards the front of the iBOT loading 
assembly.
About the display:
The graphical display at the bottom of the iBOTs tab
shows exactly where in the system each active iBOT
is at any time during the run. The green column on the
far right represents the loading column.
The color of each iBOT indicates its current status:
(Green) The iBOT is sufficiently charged
(Yellow) The iBOT is low on power
(Red) The iBOT has jammed
The white rectangle on top of an iBOT indicates that
the iBOT is carrying a piece of mail. Click on an iBOT
in the display to see its status information in the top
window.

3  Operational Maintenance
3-4 Mail Matrix Operator Manual
5Lift the handle which causes the left and right clamps to grip the wheels of the 
iBOT, and slide the loading assembly out of the stacker assembly.
FIGURE 12: Car loader assembly with iBOT
6Remove the iBOT from the loading assembly.
7Slide the empty loading assembly back into the stacker and close the access door.
To insert an iBot at the loading assembly
1Open the access door.
2Slide the loading assembly out.
3Put the iBOT into place and align it so that the back wheels are beneath the left 
and right wheel clamps.
4Lift the handle, and slide the loading assembly back.
5Close the access door.
Lift handle
Right clamp
Wheel of iBOT

3  Operational Maintenance
3-5Mail Matrix Operator Manual
To remove an iBOT from a delivery column:
Sometimes an iBOT will get stuck in a delivery column, too far away to remove it 
from the loading assembly. In this case, you must either remove all the bins in the 
area or the go inside the machine to remove the iBOT.

3  Operational Maintenance
3-6 Mail Matrix Operator Manual
Shift Maintenance
Shift operators should perform the following duties:
• Vacuum all areas of the paper path. Pay special attention to:
- Conveyor area
- iBOT loading area

A
Appendix
Operator Manual
Individual reports ...........................................................................  A-1
Summary reports ...........................................................................  A-2
Statistics

A  Statistics
A-1Mail Matrix Operator Manual
Statistics
The Mail Matrix statistics provide information on the jobs run on the system. Create 
statistics reports on a per-run basis (Individual Report), or as a summary of several runs 
over a designated period of time (Summary Report).
Individual reports
An individual report is created for each run made on the machine, regardless of job 
or operator. To view an individual report, select Statistics >Individual.
Individual report buttons
Print the selected report.
Export the current report to the hard drive. The .txt file will be saved to the 
default directory: C:/OPEX/MailMatrix/Data/Stats.
View the first saved run report.
Open the report for the run previous to the one you are viewing.
View the report for the next run.
View the most recent run report.

A  Statistics
A-2 Mail Matrix Operator Manual
Summary reports
A Summary report is based on the Report Criteria you set up. The Report Criteria 
establishes which jobs, operators and dates will make up the Summary report.
There are 3 different types of summary report:
•The System Performance report provides information relative to the machine’s 
performance such as run time, throughput, MLOCR rates, etc.
•The Per Recipient report details how many pieces of mail were delivered to each 
recipient during the specified period of time.
•The Simple Report gives the criteria for the current search, as well as the total 
number of data records for the specified time period.
Creating a summary report:
1Select Statistics > Summary > Criteria. These are the items that will be included in your 
reports.
FIGURE 13: Summary report criteria

A  Statistics
A-3Mail Matrix Operator Manual
2Enter the date and time range for the report in the Date section.
FIGURE 14: Date range settings
3Enter the names of the jobs, operators, sort names, and user string fields that  
you want to include in the report. Leave the fields blank to select all the jobs, 
operators, etc. run on the machine during the specified time period.
FIGURE 15: Search criteria fields
4Select which report, or none at all, to show when the search is complete.

A  Statistics
A-4 Mail Matrix Operator Manual
NOTE:  Individual and summary reports are very similar. The following tables define 
the terms you find in both of these reports.
Overall System Performance Measures
Input Number of envelopes to enter the paper path via the feeder module.
Outsorts
Number of envelopes deemed unsuitable for processing.The statistic report 
contains a list of counts for each outsort category. Each envelope that is 
directed to the Outsort Bin will only increase one category on the list. If a 
piece has the potential to increase multiple categories, only the first category 
in the list is increased. See Appendix A: “Outsorts, Reunites and Rejects” for 
more information.
Output Transactions that have passed through the Extract module and have been 
sent to either the reunite bin or one of the stacker bins.
Jam Rate
Number of jams per run. The formula for the Jam Rate is:
Run Type Shows how much of the job was run on the Mail Matrix and how much of the 
job was run from the IEM refeeders.
Feed Rate
Number of envelopes per hour the Mail Matrix is currently feeding. The 
formula for the Feed Rate is:
Output Rate
Number of envelopes per hour the Mail Matrix is processing. The formula for 
the Output Rate is:
Jam Clear Time
Average time the Mail Matrix was halted while the operator was clearing a 
jam. The formula for the Jam Clear Time is:
Reference Feed 
Rate
This calculation approximates the feed rate if jams are cleared in the time 
designated by the Reference Jam Clear time:
Reference Output 
Rate
This calculation approximates the machine output rate if jams are cleared in 
the time designated by the Reference Jam Clear time:
Reference Jam 
Clear Time
Estimated time it takes to clear a jam. This is set at 20 seconds by default, 
but most sites have set it to 30 seconds. The Reference Jam Clear Time is 
used to calculate Reference Feed and Reference Output Rates, which are 
intended to provide the rates the machine would achieve if the operator 
cleared jams within a certain period of time.
(seconds per hour)

A  Statistics
A-5Mail Matrix Operator Manual
Performance Details
Overall Jam Data
Jam/Stop Information
Active Job Time
Amount of time the Mail Matrix was either actively running or halted due to a 
jam. Active Job Time is further broken down into:
Run Time: the time spent processing mail
Jam Time: the total time the system was halted for a jam
Idle Time Time the operator spent with the Run screen open without a job running.
Outsorts
The Outsorts section of the Performance Details lists the number of 
envelopes that the Mail Matrix could not process and the reasons why. These 
reasons are defined in Appendix A: “Outsorts, Reunites and Rejects.”
Output
The Output section of the Performance Details lists the number of transac-
tions that were processed by the machine. Keep in mind that in addition to 
clean mail and rejects, “Output” also includes reunites and jamsorts. The 
items in the Output section are defined in Appendix A: “Outsorts, Reunites 
and Rejects.”
Jams Reports occasions when run was halted due to a paper jam or a processing 
problem that was machine related.
Jam Index
Stops Any time the Mail Matrix is halted due to a problem which could have been 
avoided by the operator (i.e., feed empty, no bin available, etc.).
Stop Index
Reorder Gate 2 
Sensor Missing 
Jam
Reports occasions when run was halted due to a paper jam or a processing 
problem that was machine related.
Stops Any time the Mail Matrix is halted due to a problem which could have been 
avoided by the operator (i.e., feed empty, no bin available, etc.).
A  Statistics
A-6 Mail Matrix Operator Manual

G
Operator Manual
Glossary
Glossary
G-1Mail Matrix Operator Manual
Barcode A series of bars and spaces arranged in a 
predetermined pattern to represent elements of data.
E-Stop Emergency Stop. A button used to stop the 
machine in case of emergency.
Menu bar Vertical series of menus on the left side of 
the screen. Use the Menu Bar to navigate through 
the various system parameters and utilities.
Host Operator's main interface with the machine. The 
Host PC interfaces with the system’s controller to 
manage the system's non machine-related functions.
Job A profile of parameter settings you use for 
processing documents. When you run mail through 
the Mail Matrix, you must specify which job to run. 
Jobs allow you to process pieces in a similar manner 
from run to run.
MLOCR Multi-Line Optical Character Recognition. 
Used by the scanner to identify letters, numbers, and 
symbols on documents.
Operator The person running the machine.
UPS Uninterruptible Power Source.
Glossary
G-2 Mail Matrix Operator Manual

I
Operator Manual
Index
Index
I-1Mail Matrix Operator Manual
A
auto-feeder 1-9
B
base system 1-6
C
charging rail 1-4
cleaners 3-1
D
DRS 1-12
E
emergency stop buttons 1-5
e-stop 1-5
expansion modules 1-7
H
Host software 1-12
navigating 2-4
opening 2-3
I
Information tabs 2-17
interlocks 1-5
J
jamsorts A-5
jobs
processing mail 2-8
selecting 2-5
setting up the run 2-6
K
Key From Image 1-10, 2-12
Key From Paper 2-6, 2-8
Keying Station 1-13, 2-6
M
menu bar 2-4
MLOCR 1-8, 2-6
N
No Keyer 2-15
P
power
turn machine on/off 2-2
S
shift maintenance 3-6
solvents 3-1
System Modes 2-7
W
workflow
basic 1-14
fully-configured 1-17
Index
I-2 Mail Matrix Operator Manual