PANASONIC Fax Machines Manual L0804360
UF-770 to the manual 0ccb40b9-cdf8-4e33-9ce6-81fe45aad916
User Manual: PANASONIC PANASONIC Fax Machines Manual PANASONIC Fax Machines Owner's Manual, PANASONIC Fax Machines installation guides
Open the PDF directly: View PDF
.
Page Count: 180 [warning: Documents this large are best viewed by clicking the View PDF Link!]

Panasonic_
Facsimile
Panafax UF-550/770
User's Guido

mIMPORTANT INFORMATION
When requesting information, supplies, or service always refer to the model and serial number of your
machine. The model and serial number plate (Main Name Plate) is _ocated on the machine as shown below.
For your convenience, space is provided below to record the information you may need in the future.
Model No. Serial No.
Date of Purchase
Dealer
Address
Telephone Number
()
Supplies Telephone Number
()
Service Telephone Number
( )
Model and Serial Number
Copyright © 1997 by Matsushita Graphic Communication Systems, Inc.
All rights reserved. Unauthorized copying and distribution is a violation of taw. Printed in Japan.
The contents of this User's Guide are subject to change without notice,

Table of Contents
1GETTING TO KNOW YOUR MACHINE
Introduction ........................................................ 7
Function Key ...................................................... 8
External View ...................................................... 9
Control Panel ...................................................... 10
2
3
INSTALLING YOUR MACHINE
Safety Information .......................... ........................ 12
Main Unit and Accessories .......................................... 14
Installing the Accessories .......................................... 15
Installing the Toner Cartridge ....................................... 16
Loading the Recording Paper ....................................... 18
Paper Specifications 18
How to Load the Recording Paper t8
Connecting the Telephone Line Cord and Power Cord ................ 20
Setting the Recording Paper Size [For UF-550 only] ................... 22
Setting the Dialling Method (Tone or Pulse) .......................... 23
Adjusting the Volume ............................................... 24
Setting the Monitor Volume 24
Setting the Ringer Volume 24
User Parameters ................................................... 25
Setting the Date and Time 25
Setting Your LOGO 26
Setting Your Character ID 27
Setting Your ID Number (Fax Telephone Number) 28
PROGRAMMING YOUR MACHINE
One-TouchlAbbreviated Dialling Numbers ........................... 29
Entering One-Touch/Abbreviated Dialling Numbers 29
Changing or Erasing One-Touch/Abbreviated Dialling Numbers 31
Printing Out a Directory Sheet 33
Customizing Your Machine .......................................... 34
Setting the Fax Parameters 34
Fax Parameter Table 35
4BASIC OPERATIONS
Loading Documents ................................................ 39
Documents You Can Send 39
Documents You Cannot Send 39
How to Load Documents 40
Basic Transmission Settings ........................................ 41
Contrast 41
Resolution 41
Halftone 42
Verification Stamp 42
Communication Journal (COMM. JOURNAL) 43
1

Sending Documents ................................................ 44
Memory Transmission .................................................. 44
Manual Number Dialling 46
One-Touch Dialling 47
Abbreviated Dialling 48
Directory Search Dialling 49
Multi-Station Transmission (Broadcasting) ............................... 50
Direct Transmission .................................................... 51
Manual Number Dialling (Direct Transmission) 51
One-Touch Dialling (Direct Transmission) 52
Abbreviated Dialling (Direct Transmission) 53
Directory Search Dialling (Direct Transmission) 54
Voice Mode Transmission ............................................... 55
Off-Hook Dialling 55
On-Hook Dialling 56
Transmission Reservation .............................................. 57
Memory Transmission Reservation (Dual Access) 57
Direct Transmission Reservation (Priority Transmission Reservation) 58
Redialling .............................................................. 59
Automatic Redialling 59
Manual Redialling 59
Receiving Documents .............................................. 60
Automatic Reception ................................................... 60
Manual Reception ...................................................... 60
Print Reduction ........................................................ 61
Selecting the Print Reduction Mode 61
Receiving Oversize Documents 62
Substitute Memory Reception ........................................... 63
Print Collation Mode .................................................... 63
Making Copies ..................................................... 64
5ADVANCED FEATURES
Timer Controlled Communications .................................. 65
Deferred Transmission 65
Deferred Polling 66
Polling ............................................................ 67
Setting Polling Password 67
Preparing to be Polled 68
To Poll Documents from Another Station 69
Program Keys ...................................................... 70
Setting for Deferred Transmission 70
Setting for Normal Polling 71
Setting for Deferred Polling 72
Setting for Group Dialling 73
Setting for One-Touch Key 74
Changing or Erasing Program Key Settings 75
2

Edit File Mode ...................................................... 76
Printing a File List 76
Viewing the Contents of a File List 77
Changing the Start Time or the Station of a File 78
Deleting a File 80
Printing Out a File 81
Adding Documents into a File 82
Retry an incomplete File 83
Fax Access Code .................................................. 84
Setting the Fax Access Code 84
Operating Your Machine with the Fax Access Code (Restrict all operations) 85
Operating Your Machine with the Fax Access Code
(Restrict access of Fax Parameters only) [For UF-770 only] 85
Receive To Memory ................................................ 86
Setting the RCV To Memory Password 86
Setting RCV To Memory 86
Printing Out Documents 87
Distinctive Ring Detector (DRD) ..................................... 88
Fax Cover Sheet ................................................... 89
General Description 89
To use the Fax Cover Sheet 89
Fax Cover Sheet ................................................... 90
OMR Transmission ................................................. 91
General Description 9t
Sending Documents with your OMR Sheet 92
Fax Forward [For UF-770 only] ...................................... 93
Setting Fax Forward 93
File Transmission [For UF-770 only] ................................. 94
Storing a Document(s) 94
Sending the Stored Document(s) 95
Deleting the Stored Document(s) 96
Printing the Stored Document(s) 97
Department Code [For UF-770 only] ................................. 98
General Description .................................................... 98
Setting the Department Code 98
Changing or Erasing the Department Code 100
Sending Document with Department Code 102
Sending Document with Department Code (Voice Mode Transmission) 103
Printing a Department Code List 104
Printing a Department Code Journal 10S
Multiple LOGO [For UF-770 only] .................................... 107
General Description .................................................... 107
Setting the Muttiple LOGO 107
Changing or Erasing the Multiple LOGO 108
Sending Document with Multiple LOGO 109
Printing a Multiple Logo List 110
3

6NETWORKED FEATURES
Selective Reception ................................................ 111
Setting the Selective Reception 111
Password Communications ......................................... 112
General Description
Compatibility with Other Machines
Setting Password Transmission
Setting Password Reception
Using Password Transmission
Using Password Reception
112
112
113
114
115
116
Confidential Mailbox and Confidential Network Communications ...... 117
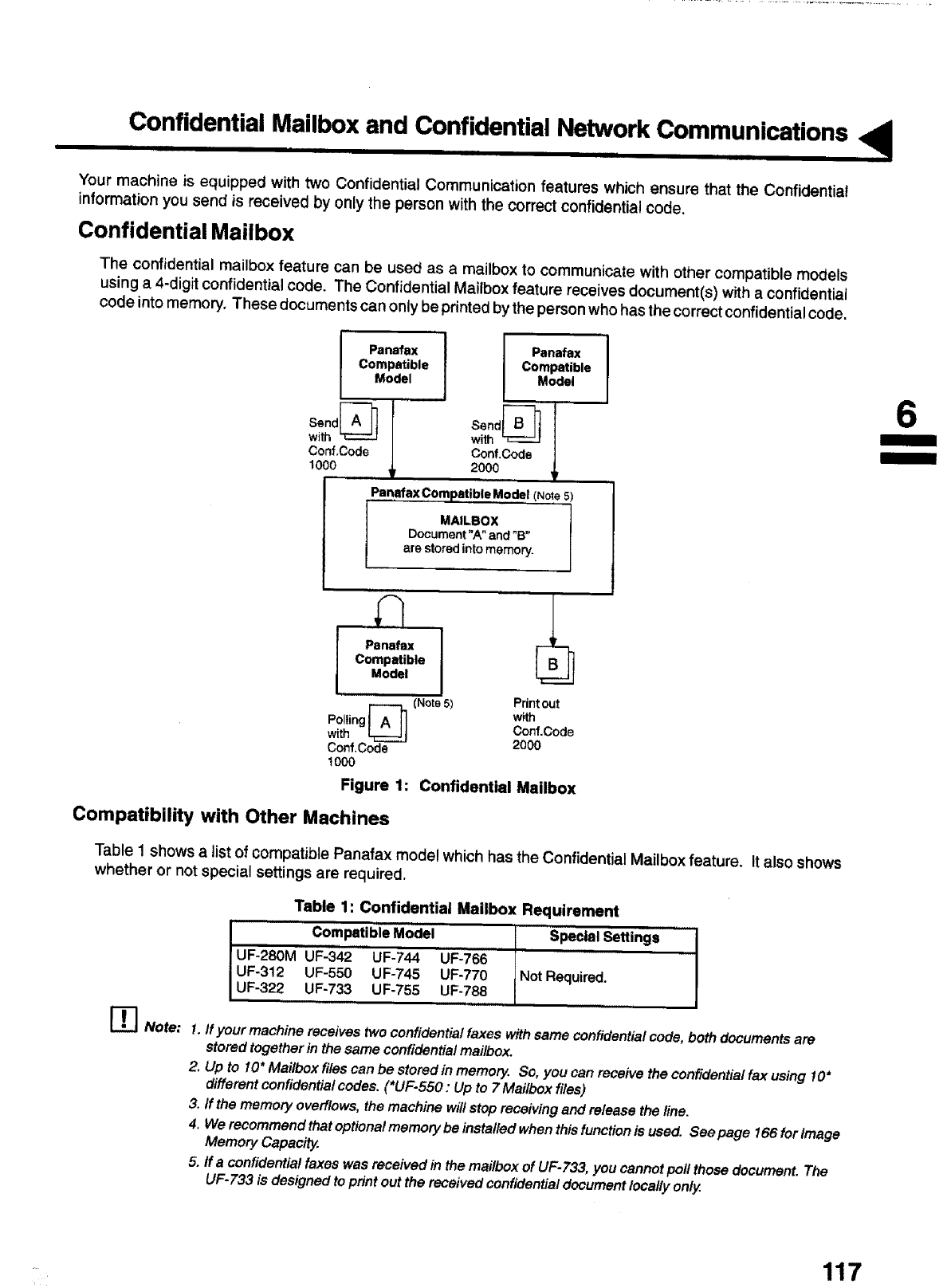
Confidential Mailbox ................................................... 117
Compatibility with Other Machines 117
Sending a Confidential Document to a Remote Station's Mailbox 118
Polling a Confidential Document from a Remote Station's Mailbox 119
Receiving a Confidential Document to Your Machine's Mailbox 120
Stodng a Confidential Document in Your Machine's Mailbox 121
Printing Out a Confidential Document from Your Machine's Mailbox 122
Deleting a Confidential Document Stored in Your Machine's Mailbox 123
Confidential Network Communications (Via aCenter Station) .............. 124
Compatibility with Other Machines 125
Setting Up Your Machine for Confidential Network Communications 125
Relayed Transmission .............................................. 128
General Description .................................................... 128
Compatibility with Other Machines
Relay Network
Setting Up Your Machine for Relayed Transmission
Sending a Document by Relayed Transmission
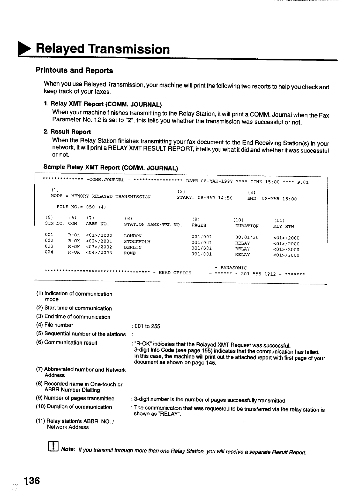
Printouts and Reports
128
129
131
135
136
Sub-addressing .................................................... 138
General Description .................................................... 138
To set the Sub-address into aOne-Touch/ABBR. Dialling Numbers 139
To send aDocument with Sub-address 140
PRINTOUT JOURNALS AND LISTS
Journals and Lists ................................................. 141
Transaction Journal
individual Transmission Journal (IND. XMT JOURNAL)
Communication Journal (COMM. JOURNAL)
One-Touch/Abbreviated and Directory Search List
Program List
FAX Parameter List
Power Failure Report
141
142
145
147
150
151
152
¸¸¸4¸

8PROBLEM SOLVING
Troubleshooting .................................................... 153
If You Have Any of These Problems 153
Information Codes 155
Clearing a Recording Paper Jam 158
Clearing a Document Jam 159
Cleaning the Document Scanning Area 160
Cleaning the Printer Roller 161
Adjusting the Automatic Document Feeder (ADF) 162
Verification Stamp 163
Checking the Telephone Line 164
9APPENDIX
Specifications ...................................................... 165
Recording Paper Specifications ..................................... 168
Options and Supplies ............................................... 169
Installing Memory Card 171
Glossary ........................................................... 172
INDEX ............................................................. 177

Thispage is intentionally left blank.
6

Introduction
Thank you very much for purchasing the Panafax UF-550/770.
The UF-550/770 is one of the most advanced models inthe Panafax family of G3 compatible, desktop facsimile
machines.
Some of its many features are
1. Plain Paper Printing Ptain paper printing means you can easily write on received documents
with a pen or pencil. Documents do not curl, making filing easier. In
addition, plain paper does not fade, making it ideal for long term storage
of important documents.
2. Quick Scanning The UF-550/770 Quick Scan speeds up the fax process by scanning and
storing documents into memory in about 2.8 seconds* per page. (*UF-550
: 6seconds)
This means that you no longer have to wait around untila transmission is
completed before retrieving your documents.
3. Easy Maintenance Maintenance requires only changing a toner cartridge, making it quicker
and easier than with other types of plain paper fax machines.
4. Memory Function A standard image memory feature allows you to store up to standard 70*
pages into the document memory. After the UF-550/770 stores your
documents, it can send them to selected station(s) automatically. You do
not have to wait until the transmission ends before retrieving your
originals. (* UF-550 :12 standard pages)
5. Dual Access
Operation
6. Multiple LOGO
The UF-550/770 can reserve the next transmission even during reception
or memory transmission. It can also receive during document storage.
The UF-770 can select from Multiple LOGOs which are printed on the
Header of each page sent, Cover Sheet, COMM. Journal and Individual
XMT Journal.
7. Department Code
8. View Mode
This feature allows multiple departments to share the same facsimile
machine. When a department code is assigned to each department, the
Transaction Journal will be sorted by each department number.
Your machine has been equipped with a View function which allows you
to view the contents of the Journal and File Liston the LCD display without
having to print them.
With a little practice, anyone can learn how to use the most popular
features of the UF-550/770.
This User's Guide will help you to use your UF-550/770 quickly and easily.
The Table of Contents shows where to find information on each feature.
Although we recommend that you review each section briefly, it will only
be necessary to read the sections that contain the feature(s) you will be
using.
1
7

Function Key
Any function can be started by first pressing [FUNCTION I and then enter the function number, or by pressing
or [] scroll key repeatedly until the desired function appears on the display.
-@
-Q
FUNCTION "_
-@
-@
Deferred Communication
1 = XMT
2= Polling
Relayed Transmission
(see Note)
Polling
1= Polling
2 = Polled
File Transmission
[UF-770 only]
1=Store File
2 = Send File
3 = Delete File
4 = Print File
FUNCTION
--_ Set Mode
1 = User Parameters
•Date & Time
•Logo
•Character ID
•ID Number (Fax Telephone Number)
2 = One-Touch/Abbreviated Numbers
3 = Program Keys
4=Fax Parameters
5 = Relayed XMT & Conf. Comm, Parameters
(see Note)
6 = Cleaning Printer Roller
Select Mode
1 = Communication Journal = OFF/ON/INC
2=OMR-XMT = OFF/ON
3 = Cover Sheet = OFF/ON
4=Password-XMT = OFF/ON (see Note)
5=RCV to Memory = OFF/ON/PRINT
Confidential Communication
1=XMT
2 = Polling
3= Polled
4=Print
5 = Delete
Edit Rle Mode
1 = File List (Print!View)
2=Change Time/Station
3 = Delete File
4 = Print File
5 = Add Document
6=Retry' Incomplete File
Printout
1 = Journal (PrintNiew}
2 = One-ToucWAbbreviatedf
Directory Search List
3 = Program List
4 = Fax Parameter List
5 = Not used
6 = Individual XMT Journal
7 = Directory Sheet
[]Note: If Fax Parameter is not preset to Validposition, which enables you to use the function, the display willnot
show the function.

External View
1
Handset
[UF.770:standard, (Dependingofthecountry
version, the Handset is not standard.)
UF-550: Available as an option. Seepage 169] Document Guides
•DocumentSubTray
PrinterCover
,J
500 sheets Recording Paper Cassette
[Availableasan optionfor UF.770 only. See
page 169]
250 sheets Recording Paper Cassette
[Available as an option. See page 169]
RecordingPaperCassette
(Standard)
_Note: For some countries, the handset may not be available because of the country's regulation or specification.
9

Contro! Panel uiiiiiiiiiiii _111111
LCD Display
Indicatesdate andtime,or the current
operation,
rt-'t ON UNE _"
Blinks when the machine is
transmitting a document or
receiving.
i
TONER Blinks when the toner has
run out.
(see page 16)
C:l _-_M t Blinks when trouble occurs.
(see page 158)
One-Touch Keys (01-32")
Used for One-Touch Dialling.
(*UF-550: 0!-24, see page 47 and 52)
Program Keys (P1-PS*)
Used to record long dialling procedures
or Group Dialling Number keys.
(*UF-550: P1-P4, see page 70 to 75)
Character Keys
The One-Touch Keys and Program
Keys also serve as character and
symbol input keys which are used to
record your LOGO and station name.
The character key template is printed
on the pane! under the directory sheet
cover,
Directory Sheet
Overlay
Note: Whenever One-Touch keys are
changed to the character key mode (to
record your LOGO and station names),
use the UPPER/LOWER key to switch
Jbetween upper and lower character set.
i ,,,,,,,,,,r,,,,,,,,,,,,,,,,,
Panasonic "_
I
IE:3 ON LINE _TONER _ALARM J
DARKER _ S-FINE
LIGHTER _FINE
CONTRAST RESOLUTION
r-----n _
[° tl
MEMORY FUNCTION
[ t
°, i° I_
°, I_ I°°
,3 I" I'_
'° 1o t,,:'
_, I_ I_,
_ R_ST
QUALITY
HALFTONE STAMP
v/%
DIRECTORY
SEARCH
t
l= I" I"
I'° 1" I"
I'° I" I'°
In l" 1"
I" ....." I_
,,, u,
I_' I_ t"
@@
@@
@@
@@
® @
®
®
10

CONTRAST
HALFTONE
V
Control Panel
Used to set Normal, Lighter, or Darker. (see
page 41) Also serves as an arrow key (<) to
move the cursor over recorded numbers and
characters.
Provides OFF, QUALITY or FAST settings
for halftone documents. (see page 42)
Also used for the following
•Search station name for Directory
Seamh Dialling
•Confirm entered station for multi-station
communication.
•Select functions.
RESOLUTION Used to set Standard, Fine, Super-Fine.
(see page 41) Also serves as an arrow key
> (>) to move the cursor over recorded
numbers and characters.
STAMP
^
Used to turn the verification stamp ON or
OFF. (see page 42)
Also used for the following
•Search station name for Directory
Search Dialling
,,Confirm entered station for multi-station
communication.
•Select functions.
1
MEMORY Used to select either memory or direct FUNCTION
communication. I---"--'1
(see page 44 to 54)
DIRECTORY
SEARCH
IUsed to start or select the function and
sub-functions. These functions are
explained in detail on the next page.
qUsedto searchfor a stationname
(see page 49 and 54)
PAUSE/
REDIAL
SPACE
ABBR
SUB-ADDR
FLASH
Used to enter a pause when recording or - --VOL
dialling a telephone number, or to redial the CLEAR
last dialed number. (see page 59)
Usedto start Abbreviated Dialling. VOL-- +
(see page 48 and 53) SET
Used to access some features of your PBX. MONITOR
Used to erase the previously entered input.
Also used to adjust the monitor and ringer
volume. (see page 24)
Used to set operations. Also used to adjust
the monitor and ringer volume.
(see page 24)
Used to start On-Hook Dialling or to make
voice contact request.
(see page 56)
@@®
@@@
@®@
@®®
Used for Manual Number Dialling,
recording phone numbers, and selecting
functions.
Used to temporarily change Dialling Mode
to Tone when Pulse mode is set.
IUsed to confirm current communication
modes (e.g. Page number, ID, Dialed
Telephone number, File number) when unit
_d isON LINE.
@
@
@
Used to cancel operations. When it is
pressed, the mach ne will return to standby.
Used to make copies.
(see page 64)
Used to start operations.
11

Safety Information
IIIll_l I IIIIIIIIIIIIIIIIIIIIIIIII I
This product complies with the requirements of EC Council Directives 73/23/EEC amended by 93/68/EEC, and
89/336/EEC amended by 92/31/EEC and 93/68/EEC.
denotes a potential hazard that could result in serious injury or death.
-TO PREVENT FIRE OR SHOCK, DO NOT EXPOSE THIS PRODUCT TO RAIN OR ANY TYPE OF
MOISTURE.
• TO MINIMIZE THE POSSIBILITY OF SHOCK OR DAMAGE TO THE MACHINE, IT MUST BE PROPERLY
GROUNDED.
• THIS PRODUCT CONTAINS HAZARDOUS RADIATION. IF YOU DO NOT FOLLOW THESE
INSTRUCTIONS OR USE CONTROLS, MAKE ADJUSTMENTS OR PROCEDURES OTHER THAN THOSE
SPECIFIED HEREIN, YOU MAY EXPOSE YOURSELF TO HAZARDOUS RADIATION.
•WHEN YOU OPERATE THIS EQUIPMENT, THE SOCKET-OUTLET SHOULD BE NEAR THE EQUIPMENT
AND BE EASILY ACCESSIBLE.
• MAKE SURE THAT THE MACHINE IS INSTALLED IN A SPACIOUS OR WELL-VENTILATED ROOM SO
AS NOT TO INCREASE THE AMOUNT OF OZONE IN THE AIR. SINCE OZONE IS HEAVIER THAN AIR,
IT IS RECOMMENDED THAT AIR AT FLOOR LEVEL BE VENTILATED.
• PLUG POWER SUPPLY CORD INTO ORDINARY AC OUTLET BEFORE CONNECTING TELEPHONE
LINE CORD. DISCONNECT TELEPHONE LINE CORD BEFORE UNPLUGGING POWER SUPPLY CORD
FROM AC OUTLET.
• DISCONNECT THE EQUIPMENT IMMEDIATELY SHOULD IT EVER SUFFER PHYSICAL DAMAGE
WHICH RESULTS IN THE INTERNAL PARTS BECOMING ACCESSIBLE IN NORMAL USE. IN THIS
INSTANCE USERS SHOULD HAVE THE EQUIPMENT REPAIRED OR DISPOSE OF.
• IF THE POWER SUPPLY CORD AND/OR TELEPHONE LINE CORD OF THIS EQUIPMENT ARE
DAMAGED, THEY MUST BE REPLACED BY THE SPECIAL CORDS SUPPLIED BY AN AUTHORIZED
PANASONIC SERVICE CENTRE.
1When you know that a thunderstorm is coming, we recommend that you:
(1) Unplug the telephone line cord from the phone jack.
(2) Turn off the power and unplug the power supply cord from AC outlet.
2This equipment may not necessarily provide for the effective hand-over of acall to or from atelephone
connected to the same line.
3 The operation of this equipment on the same line as telephones or other equipment with audible warning
devices orautomatic ringdetectors will give riseto bell tinkle or noise and may cause false tripping of the ring
detector. Should such problem occur, the user is not to contact telecom (telephone company) faults service,
12

Safety Information__
denotes hazards that could result in minor injury or damage to the machine.
Do not install the machine near heating or air conditioning unit. 2
Avoid exposure to direct sunlight.
Install the machine on a flat surface, leave at least 10 cm of space
between the machine and other objects.
Do not block the ventilation openings.
Do not place heavy objects, or spill liquids on the machine.
13

Main Unit and Accessories
Unpack the carton and check that you have all the accessories illustrated,
Machine Toner Cartridge Document Trays
Handset (see Note) Handset Cable (see Note) Handset Cradle (see Note)
Telephone Line Cord Power Cord User's Guide
Paper Size Label
r_ Note: Available as an option for the UF-550. See page 169 for the order number.
J4

Installing the Accessories__
Final Installed View
2
Handset Cradle [Aval_bie as an Option (UF-550)]
Hook the projections into the square holes on
the machine,
Connect the cable into the HANDSET jack on
the machine.
Handset
[Available as an Option (UF-550)] Document Trays
Hook the projections into the square
holes on the machine.
/
Handset Cable
[Available as an Option (UF-550)]
r_ Note: For some countries, the handset may not be available because of the country's regulation or specification,
15

II_ Installing the Toner Cartridge
I Jllll III JJIIIIIIIIII 11111111 iiiiiiiiiiiiiiiiiii
1Unpack the Toner Cartridge and rock it back
and forth as shown for 5 or 6 times to even the
toner inside.
Toner Cartddge
2Remove the protective seal,
PrinterCover
ReleaseButton
Push the Release Button to open the Printer
Cover,
Continued on the next page.
16

IIIII
4
Installing the Toner Ca_ridge
IIIIIIIII IIIII III1_/ I
Align the arrow and the projection on both sides
as shown and insert the Toner Cartridge intothe
machine. 2
5
\
PrinterCover
Close the Printer Cover firmly.
If you are replacing the Toner Cartridge, it is recommended to clean the Printer Roller to maintain
good printing quality. To clean the Printer Roller, follow the procedure on page 161.
17

Loading the Recording Paper
Paper Specifications
In general, most bond papers will produce excellent results. Most photocopy papers will also work very well.
There are many "name" and "generic" brands of paper available. We recommend that you test various papers
untilyou obtain the results you are looking for. For detailed recommended paper specifications, see page
168.
How to Load the Recording Paper
1
_PaperCassette
Slide outthe Paper Cassette from the machine.
2Paper Length Guide Adjust the Paper Length Guide to the proper
paper size (A4, LTR, or LGL).
For LGL size paper, remove the Paper Length
Guide and store it inthe provided slotinthe front
left side of the Paper Cassette.
If reloading the same size of paper, skip the
step 2 and 3.
Paper Width Clip
Paper Width Guide
Adjust the Paper Width Guide and Clip to the
proper paper (A4, or LTPJLGL),
The factory default for the Paper Width Guide
and Clip are on A4 position. For LTR/LGL paper
size, adjust by following the steps below.
(!) Replace the Paper Width Guide into the
proper slot (A4 or LTR/LGL).
(_ Release the Paper Width Clip latch.
_) Pull upwards to remove the Paper Width
Clip.
@Replace the Paper Width Clip intothe A(A4)
or L(LTFULGL) slot.
(_ Push down on the Paper Width Clip to latch
it in place.
18

4
5
Loading the Recording Paper__
_) Release the hook and remove the Paper
Size Selector.
(_ Rotate the Paper Size Selector until the
appropriate setting marked on the
Selector is facing upward and the wording
is upright,
(_ Reinstall the Paper Size Selector.
[For UF-550]
There is no paper size selector on the paper
cassette, Refer to page 22 for the Recording
Paper Size Setting.
Clip
Ciip
_) Push the Pressure Plate until it is locked
down.
(_ Load the paper into the Paper Cassette.
Caution: Make sure that the paper is set
under the clips of the Paper
Cassette. You can toad about
250 sheets with standard weight
paper (20 lb. or 75 g/m2). For
paper specification see
page 168.
(_ Set the proper paper size label,
Slide the Paper Cassette into the machine.
PaperCassette
2
I
I
[]Note: 1. The Recording Paper Size setting must match the paper loaded in the cassette. See page 22,
2. Your machine wi/iproperly print onA4, Letter and Legal size paper only. ff other size ofpaper (B4, B5,
A5) is used, your machine may not print properly.
19

Connecting the Telephone Line Cord and Power Cord
•Telephone Line Cord
Plug one end of the telephone line cord into the telephone jack supplied by the telephone company and the
other end into the LINE jack on the rear of the machine.
TelephoneLineCord(Attachment)
•Power Cord
Plug one end of the power cord into an ordinary AC out_etand the other end into the receptable on the rear
of the machine.
Warning : This apparatus must be properly grounded through an ordinary AC outlet.
PowerCord(Attachment)
[]Note: 1. Your machine uses little power and you should keep it ON at aft times, tf the power is turned OFF for too long,
the contents of the memory may be lost.
2. UF.770 has 2 separate rechargeable batteries to preserve the memory contents in case of a short term
power failure, One for the machine parameters (such as LOGO, ID Number, Auto-dialer Telephone
Number, etc,) which can back up for 10 days and the other one for the document memo_ which can back
up for 1 hour when fully charged.
UF-550 has a rechargeable battery to preserve the machine parameters only for up to 10 days when fully
charged.
3. The built-in rechargeable batteries require 48 hours to be fully charged in the machine.
20

Connecting the Telephone Line Cord and Power Cord
2
m
m
•Power Switch
After connecting all cords,
turn the power switch ON.
21

Setting the Recording Paper Size [For UFo550 only]
The Recording Paper Size setting must match the paper loaded in the cassette, ff you change the Recording
Paper Size, please change the setting by following the procedure below.
ENTER NO. OR V
2(qh sE_ F_x
PAKAMETER (0I-99 )I
No=,
4for A4 size paper.
23 REC. PAPER SIZE m
I:A4 I
or or
23 REC. PAPER SIZE i
forLettersizepaper. 2:LETTER
or or
23 _C, PAPER SIZE I
for Legal size paper. 3:LEGAL
IIIIIIIIIII
22

Setting the Dialli,,,,n,gMethod (Tone or Pulse),,,,,,,_l
I I IIIIIIII
Your machine can operate with either of two dialling methods (Tone or Pulse), depending on the type of telephone
line you are connected to. Ifyou need to change the dialling method to Tone or Pulse, follow the procedure below. 2
(_ SET IF_'_ P_TER(0Z-99) |
2,
3@@@ 06 DIALLING METHOD
:zONE i
(_ lo6 DIaLInG _HOD i
for Pulse. z :pULSE
or or
(_ DZ_LZNG _OD
II 0 _ i
for Tone. 2:TONE I
23

Adjusting the Volume
You can adjust the monitor and ringer volume on your machine. The built-in speaker enables you to hear the
dial tone, dialling signals, and busy tone, The ringer sounds when your machine receives a call.
Setting the Monitor Volume
MONITOR Ii
MONITOR *
II II II
You will hear the dial tone through the speaker.
---VOL--*
CLEAR SET
or
repeatedly to raise the volume.
MONITOR VOLUME i
Lov_ ,[11111111] HIGHI
- -- VOL--+
CLEAR SET
L_II I repeatedly to lower the volume.
I ONITOR VOLUME i
LOW [ ,,,]HIGH I
MONITOR
Setting the Ringer Volume
Standby
08-MAR-1997 15:0000%i
2--- VOL_+
CLEAR SET
_repeatedly to raise the volume.
or
- --VOL--+
CLEAR SET
LL L repeatedly to lower the volume.
I RINGER VOLUME i
(((( _ ))))
I RINGER VOLUME
_Note: You can also adjust the volume of the key touch tone and the volume of the buzzer in Fax Parameter No.
10 (KEY/BUZZER VOLUME). (see page 35)
24

User Parameters
Your facsimile machine has several basic settings (User Parameters) to help you keep records of the documents
you send or receive. For example, the built-in clock keeps the current date and time, and your LOGO and ID
Number hetp to identify you when you send or receive documents.
If a power failure occurs, a built-in battery will back up this information for up to t0 days when it is fully charged.
Setting the Date and Time
At standby the display will show the date and time. Once the standby display is set, it will automatically be
u_ated.
_,,,ODE _-_1I
I._._ NO.,o_ ,,A
2
I
I
i:USER PARAMETERS? I
%.
i
3SET DATE & TIME i
z-o1- 9Voo,,ooI
4Enter the new date and time.
Ex: (_(_) Date :08th
(_(_ Month : March
_)(_(_(_ Year :1997
(_(_(_)(_ Time :3:00 PM
If you make amistake, use [] or [] to move the cursor to
the incorrect number and enter the new number over it.
DATE &TIME
08-03-1797 15:00
]IIII
25

User Parameters
Setting Your LOGO
When you send a document, your LOGO appears on the top of the copy printed out at the other station,
The LOGO helps to identify you to someone who receives your document.
FUNCTION {_ ENTER NO. OR V
i:USER PARAMETERS? i
PRESS SET TO SELECT
I IIIIIIN
SET
3 [_ repeatedly until display shows; LOGO i|I IIIIIIIIIII
Enter your LOGO (max. 25 characters and digits) by using
the Character keys (see page 10).
If you make amistake, use _ or [] to move the cursor to
the incorrect character and enter the new character over it.
tf more than 19 characters are entered, the left side
characters will scroll off the display,
LOGO
PANASONIC_ i
26

User Parameters
Setting Your Character ID
If the remote machine has aCharacter ID capabilities, when you are sending or receiving, your Character 2
ID wi, appear on the remote machine's display and the remote machine's Character ID will appear on your
display.
l c,,oN lENTER NO. OR V
i
Ii :USER PARAMETERS? I
PRESS SET TO SELECT
II II
/
3_repe_sd_yunti_disp_ayshows_SET _HA_ACT_.R ID i
Enter your Character tD (max. 16 characters and digits) by
using the Character keys (see page 10).
If you make a mistake, use [] or[] to move the cursor to
the incorrect character and enter the new character over it.
CHARACTER ID
HEAOO_FICE! I
_Note: The special characters of A, A, (9, U, #E.,_and 4cannot be used for Character ID.
27

USer Parameters
Setting Your ID Number (Fax Telephone Number)
Ifthe remote machine does nothave a Character ID but it has an ID Number, when sending or receiving, your
ID Number will appear on the remote machine's display and their ID Number will appear on your display.
We suggest you use your facsimile telephone number as your ID number. (max. 20 digits)
FUNCTION (_ SET MODE i
IENTER NO. OE V (AI-6)
1:USER PARAMETERS? i
PRESS SET TO SELECT
i i
3©ropoateo,,,.,nt,,o, o,ay how :'i
Enter your ID (max. 20 digits) by using the key pad and
Ex:®@Q_®®®
Ifyou make a mistake, press _ to erase the number
then reenter the correct number.
ID NO. i
201 555 1212
i
r_ Note: 1. You may use (_ to enter a"+" character at the beginning of the/D number to indicate the following
digit(s) for your country code.
Ex: +1201555 1212 +I forU.S.A, countrycode,
+81 3 111 2345 +81 for Japan country code.
2. For some countries, thfs feature is not available depending on the country's regulation,
The display may not show this feature.
28

One-Touch/Abbreviated Dialling Numbers
Entering One-Touch/Abbreviated Dialling Numbers
One-Touch andAbbreviated Dialling are two fast ways of dialling fulltelephone numbers, Touse these dialling
methods, you must first store the telephone number using the following procedure.
To enter a One-Touch key, follow these steps below
1 f
SET 1 :ONE-TOUCH
PRESSONE-TCH,,,ORv^
4 EX: I°' I<01> I
F-,NTERTEL. NO,
iii iiii
Enter the telephone number.
(up to 36 digits including pauses and spaces)
<01> I
9-555 1234,,,,,,,,,,,,,,
SET <Of>ENTER NAME
_9-555--1234 I
Enter the station name using character keys
(up to 15 characters).
Ex: _____
To record another number, repeat step 4 to 8.
To return to standby, press [_.
<01> SALES DEPT|
9-_551234 I
_po=-To_cH<> v^1
29

One-Touch/Abbreviated Dialling Numbers
To set an Abbreviated Dialling Number, follow these steps below
SETMODE 1-6)I
ENTER NO. OR V
aBBR.[| ] |
ENTER NO, OR V Ai i
Ex: (_(_ (UF-770:00 to 99, UF-550:01 to 72) [22] i
ENTER TEL. NO. ,,
Enter the telephone number.
(up to 36 digits including pauses and spaces)
Ex: (_) _'_ _ (_) _ _ (_) _) _(_ [221 i
9-555 23451 ,,,,,,,,,,,,
SET [22] ENTEK NAME
9-555--2345
Enter the station name using character keys
(up to 15 characters).
Ex: [_] [][-_ [] _J] _ [_ IT1_ [_
8SET
To record another number, repeat step 4 to 8.
To return to standby, press _].
[223 ACCOU'_INGI
NTER NO. OR V A
_] Note: 1. If you require a special access number to get an outside line, enter it first and then press _.
A hyphen "-"is displayed for pause.
2. Use _to enter aspace between the numbers to make it easierto read.
3. The built-in battery can back up One-Touch/ABBR. Numbers up to 10 days when a power failure
OCCUrs,
4, If you are using Pulse dialling and you wish to change to Tone dialling in the middle of dialling,press
(represented by a"/"), The dialling method willbe changed from Pulse to Tone after
dialling the digit "/'.
Ex : 9 PAUSE TONE 5551234
5. You can search for an unused One-Touch key orABBR. number by pressing [] or [] in step 3
or4.
3O

One-Touch/Abbreviated Dialling Numbers
Changing or Erasing One-Touch/Abbreviated Dialling Numbers
If you have to change or erase any of the One-Touch/Abbreviated dialling numbers, follow the steps below.
To change the settings of a One-Touch/ABBR. dialling number
1FUNCTION _ 21: ABB_" ]_O "
Select I for One-Touch Dialling number
Select 2 for ABBR. Dialling Number
Ex: _lONE-TOUCH<>i
Enter the station you wish to change [ PRESS ONE-TCH OR v /,,
[_ <01> SALES DEPT i
Ex: 9-5551234
" HI
CLEAR <01> SALES I
DEPT
L_T_RTE_.NO.
IIIIIIIIIIIIIIIHI
then enter a new telephone number. (see Note I and 2) <01> SALES DEPT I
9-555 34561 ..............I
SET <01> SALES DEPT i
9-555 3456 , m
CLEAR I<Ol> ENTER NAME
lg-S+s34_6 I
7
then enter a new station name. (see Note 1 and 3)
Ex:[][][]gg[_5_[]
SET
To return to standby, press [_I_.
<01> P..,_+AP.,_,_|
+-566+4++ i
i
ONE-TOUCH< >
v ^ •
PRESS ONE-TCH OR
[]Note: 1. Use [] or[] to move the cursor, then enter the correct number over the incorrect number.
2. Use _to insert a space between the numbers you seL ff the telephone number is 36 digits
in length, _cannot be used to insert a space.
3. _cannot be used to insert a space in setting of the station name.
4. ff the One-Touch/Abbreviated dialling number has been used for a communication reservation, the
settings cannot be changed or erased unti/ the communication has finished.
Tochange or erase the settings, cancel the communication firstby Edit File Mode (see page 76),
3
31

One-Touch/Abbreviated Dialling Numbers
To erase the settings of One-Touch/ABBR. Dialling number
I:ONE-TOUCH I
2:ABBR. NO. I
Select 1 for One-Touch Dialling number
Select 2 for ABBR. Dialling Number
Ex:
IONE-TOUCH< > i
PRESS O,NE-T,C,H0R, V A
Enter the station you wish to erase
Ex: <01> SALES DEPT |
!
9-555 1234
_N_ERTE_.No.
SET
To return to standby, press [_.
ONE-TOUCH< > i
PRESS ONE-TCH OR V A
_Note: If the One-Touch/Abbreviated dialling number has been used for a communication reservation, the
settings cannot be changed or erased until the communication has finished.
To change or erase the settings, cancel the communication first by Edit File Mode (see page 76).
32

One-Touch/Abbreviated Dialling Numbers
Printing Out a Directory Sheet
After programming a one-touch dialling number, you can print out the directory sheet which includes the first
12 characters of each station name. Cut along the dotted line and place it over the One-Touch key under
the Directory Sheet Cover. To print out a directory sheet, follow the steps below.
PRI_ OaT 1I-7>|
FUNCTION [ENTER NO. OR V,A I
SET * PRINTING *i
2
Your machine prints out the directory sheet.
I
****************** -DIRECTORY SHEET- ******_**_********* DATE 08-MA_-1997 ***** TIME 15:00 *****
01 02 03 04 05 06
SALES DEFT ENG. DEPT ACCT. DEPT EXPORT DEPT R & D DEFT MARKET DEFT
07 08 09 I0 ii 12
13 14 15 16 17 18
19 20 21 22 23 24
25 26 27 28 29 30
31 32 Pl P2 P3 P4
P5 P6 P7 P8
Directory Sheet_
33

Customizing Your Machine
Your facsimile machine has a variety of adjustable Fax Parameters. These parameters, listed in the Parameter
Table, are preset for you and do not need to be changed. If you do want to make a change, read the table
carefully. Some parameters, such as the Resolution, Contrast, and Verification Stamp parameters, can be
temporarily changed by simple key operation just before a transmission is made. When the transmission ends,
however, these parameters return to their preset values (Home position). Other parameters can only be changed
by the procedure described below.
Setting the Fax Parameters
FUNCTION
SET MODE (1-6 )
ENTER NO. OR V A I
sET FAX PARAMETER (01-99)i
NO.=11 I
Enter Fax Parameter number from the Parameter Table
(see pages 35 to 38).
Ex: _for CONTRAST
IFAXPARAMETER(01-99) I
NO.=01
i ii
SET 01 CONTRAST
•i:NORMAL I
Enter the new setting value.
Ex: _ for LIGHTER
6SET
To set another parameter, press _ to return to step
3, or, to return to standby, press j_.
01 CONTRAST
"02RESOLUTION
I:STANDARD ,,,,, I
rT] Note: 1. Toscrollthe Fax ParametersinStep 2or 4, press_or_ ,
2. Toprint outa Fax Parameter List,seepage 151,
3. The bui/t,in batterywhen fully charged can back upthe Fax Parametersettingsfor upto 10days
whena power failureoccurs.

ii iiiiiiiiii iiiiiiiiii Customizing °Your Machine
Fax Parameter Table
No,
01
Parameter
CONTRAST
,,,,,,,,,,,,,,,,,,,,,,,,,,
02 RESOLUTION
04 STAMP
o5 MEMORY
06 DIALLING METHOD
07 HEADER PRINT
08 HEADER FORMAT
,,, ,,,,,
09 RCV'DTIME PRINT
10 KEY/BUTTER VOLUME
12 COMM, JOURNAL
AUtOJOU NALPRINT
14 FILE ACCEPTANCE
REPORT
Setting
Number
1
2
3
1
2
3
!
2
1
2
1
2
1
2
3
t
2
1
2
1
2
3
1
2
3
2
1
2
Setting
Normal
Lighter
Darker
Standard
Fine
S-Fine
Off
On
Off
On
Pulse
Tone
Inside
Outside
No print
Logo, ;D No.
From To
Invalid
Valid
Off
soft
Loud
Off
Always
tnc.onh}
Invalid
Valid
Invalid
Valid
Comments
Settingthehorns'PositionoftheCONTRAST key. '...........
Settingthe homepositionof theRESOLUTIONkey.
Setting the home position of the STAMP key, To select the stamp
functionwhen documentts stored inmemory (see Fax Parameter
No, 28).
Setting the home position of the MEMORY key.
Selectingthediallingmethod.
Selectingtheprintingpositionoftheheader.
tnside : InsideTX copyarea,
Outside :OutsideTX copyarea.
No print:Headeris no_printed.
,,,,,,,,,,,,,,,
Selectingtheheaderformat.
Selectingwhetherornotthemachinepdntsthe receiveddate&
.....time,remoteID,percentageofreductionandpagenumberonthe
bottomof eachreceivedpage,
Selectingthe votumeofthe Key/Buzzertone,
Selectingthehome posi1_onof printout modeforCOMM. Journal
Off/Always/tnc. only
Off :No pdntout
Always : Alwaysprintsout
Inc,only : Printoutwhencommunicationhasfailed,
,,, ,,
Selecting whether or not the machine prints the journal
automaticaltyafferevery 100" transactions.
(*UF-550: 32transactions)
Selectingwhetheror notthemachineprintsthefileacceptance
journal.Ifyousetthispa_'ametertovalid,thejournalwillbeprinted
outafterenteringanycommunicationsusingmemory.
Continued on the next page.
3
35

Customizing Your Machine
No. Comments
t7 ;Settingthe receptionmode eitherautomatic ormanual
22
23
,,,,,,,,,,,,,,,,,,,,,,,,
24
25
26
27
28
3O
31
32
33
34
Parameter
RECEIVE MODE
.......,
SUBSTITUTE RCV
RECORDING PAPER
SIZE
PRINT REDUCTION 1
REDUCTION RATIO
POLLING PASSWORD
POLLED FiLESAVE
STAMPATMEM, XMT
DRD SERVICE
NCOMPLETEFiLE
SAVE
COPY REDUCTION
2
,.,i,,,,, . ,,,,,,,,,
XMT REDUCTION 1
2
i,,,.,,.,, ,,,,,,,,,,,,,,,
POWER SAVETIMER
Continuation the next page.
Setting
Number
1
2
1
2
1
2
3
2
,,,,,,,,,,,,,,
7O
100
1
2
1
2
1
2
1
2
1
Setting
Manuat
Auto
.,...
Inva}id
Valid
A4
Letter
Legal
Fixed
Auto
70%
t 00%
,............,
(---)
invalid
Valid
Invalid
Valid
Invalid
Valid
invalid
Valid
Invalid
Valid
Invalid
Valid
Start-'l_me
End-llme
,,,,,,,,,,,,,,,,,
Selectingwhetherornotthemachine receivesto memory when
recording paper runsout, toner runs out or recordingpaper
ammed.
,,,,,,,,,,,,
Settingtherecordingpapersizeinstalledin yourmachine.
(UF-550 only)
,, .,,,,,,,,,,
Selectingprintreductionmode.
Fixed:Reduce received d_ument according to setting of
ParameterNo.25.
Auto; Reduce receiveddocument accordingto the lengthof
receiveddocuments.
,.,,_,,,,,, ,,,,,,,,,,,,,,,,,,,,,,,,,,
Selectingtixed print reduction ratiofrom70% to _,00%.This
)arameterfunctionson}ywhenfixed pnntreductionis selected
onfax parameterno.24.
i
Settinga 4-digitpassword for securedpolling.
,,,, J,,, H,, JL ,
Selectingwhetherornotthemachineretainsthe polled
documentinmemory evenafterthedocument ispoUedonce.
,,,,,, ,,,,,,,
Selecting whether or not the machine stamps the original
documentswhen storingthedocuments intomemory.
(dependingon the Stampsettngon theContro Pane )
Selectingwhether'ornotthemachine is available"DRD.....
Service". Ifthisparameterissetto "Valid",yourmachinedetacts
!the specified dng pattern onty to receive a document
auton'_tically
Selectingwh'ether o;"notthe machine retains the"document in
memoryifthedocumentisnotsuccessfullytransmitted.
±ii ,,,,,,,,,,,,,
Selectingwhetherornotthe machineperformscopyreductionin
accordancewiththe settingof ParameterNo.24 and25.
,, ,,, ,,,, , ,
Selectingwhetherornotthemachine performsreductionwhen
thetransmittingdocumentiswiderthantherecordingpaperused
atthe receivingmachine. (UF-770only)
,,,, ., ,11,,,,,, ,,, ,,,,,,,
Toreduce the powerconsumptionof the machine in standby,
selectthe timeperiodtoturnoffthehightemperaturefuserunit
whentheprinterisidle.
Factorydefaultis always "ON" [When Start=00:00 and End=
00:00).
36

Customizing Your Machine
Setting
No. Parameter Number
37 RCV TO MEMORY
Setting Comment=
.o-o)
38 FAX ACCESS CODE (----)
,,,,,,,,, [ i, [,, ,,,,,, ,
40 RELAYXMT REQUEST 1 Invalid
2 Valid
41 CONF. FAX 1 Invalid
PARAMETER
2Valid
,,,,,, i. _, i
42 CONF,POLLED FILE 1 Invalid
SAVE
2 Valid
43 PASSWORD-XMT 1 Off
2On
i.,,,,,,,,,,,, _ _,,,,,,,,,,,,,,,,
44 PASSWORD-RCV 1 Off
2 On
46 SELECT RCV 1 Invalid
2 Vaild
48 TELEPHONE LINE 1PSTN
2 PBX
49 PSTN ACCESS CODE 0---
50 FLASHKEY 1 Earth
2 Flash
.,,,,,,,u,,,,, ,,,,
Entera 4-digit passwordusedto printoutthereceiveddocument
inmemorybyF8-5 (RCVTOMEMORY), WhenF8-5 issettoOn,
thisparameterwillnotbe shownontheLCD display. (see page
86)
,,,,,,,,,,,,,,,,
Enter a 4-digitFax AccessCode to securethemachinefrom
unauthodzeduse,(see page B4)
............... i
Selectingwhether or not the machine performsRelay xM'r
Request.(see page 128)
Selecting whether or not the machine performsConfldentia
NetworkCommunication,(see page124)
Selectingwhether or not the machine saves the confidential'
)oiledfile evenafterthe fileispolledonce.
Se' nga XMT-P ,.WO,dand 'ss'lectingwhere,o;n'ot
!machine performs and checks the XMToPasswordof the
receivingstationwhentransmitting.(see page 112)
Settinga4-digitRCV-Passwordandselectingwhetherornotthe
machine performs and checks the RCV-Password of the
transmittingstation whenreceiving.(see page 112)
Selectlng whether or not the machine performs selective
reception. (see page 111)
Selectingthe typeoflineconnected.
, .,,,,,,,, ,,,,,,
SettingPSTN AccessCode, (max.4digits)
Selectingto use FLASH on control paneleitheras Earthkey or
F{ashkey,
.,,,,,,. 1,,,,,,,
52 DIAGNOSTIC Settingthepasswordfor RemoteDiagnosticMode. Pleaseask
PASSWORD ('-") yourPanasonicAuthorizedDealer for details.
53 SUB-ADDRESS Setting a20-digit password for secured sub-address
PASSWORD ("') communication.
I
54 FAX FORWARD 1 Invalid Selectingwhetherornotthe m_chineperformstheFaxForward.
(UF-770only,seepage 93)
2 Valid
55 0MR-XMT I Off
2 On
Settingthehomepositionoithe OMR-Transmiss{onparameter
intheSelectMode. (seepage 91)
56 COVERSHEET
Continuedonthe nextpage.
1
2
Off
On
Se_'ngthe homepositionof the Cover Sheet parameterinthe
SetectMode. (Seepage 89)
3
37

Customizing Your Machine
No. Parameter Comments
......58 LANGUAGE" Selectingthe"'i'anguageto be shownollthe displayand reportsl
59
6O
65
PARALLEL PORT I/F
[See note3]
.....u"PTiONPAaE ................
MEMORY
[Seenote 4]
Setting
Number
1
2
3
1
2
3
0
1
_ _,,,,,,,,,,,,,i,,,,,,,,,,,,,,,,,
PRINTCOLLATION
"1'7 LOGO/DEPT. CODE
99 MEMORY SIZE
1
2
1
2
3
Setthlg
,,,,,,
English
French
German
_nvalid
Pdnter
Interface
PC interface
,,,,,,,,,,,,,,,,,,,,,
0MB
1,5MB
,,,,,,,,,
Invalid
Valid
,,,,,,................
Invalid
Multi-LOGO
Dept.Code
Selectingwhetherthe machineenabtes the PrinterInterfaceor
PCInterface.
,,,,,,,,,,,,,,,, , ,,,ll
Selectingtheadditionalmemorysizetobe allocatedasthe
PageMemoryusedfor thePrinter/PCInterface.The amountof
additionalmemory allocated willreducethe size of available
DocumentMemory.
i ,,,,ll ,,,,,,,,,,,,,,,,,,,,,,i,
Selectingwhetherornot the machineprintsout documents in
sequence. (see page 63)
SelectingwhetherornotthemachineperformstheMultipleLogo
orDepartmentCodeoperation.
(UF-770only)
Displaythe amountof baseandoptionalmemory installed,
I (Base Memory+OptionalMemory)
T1Note: 1. The contents of Fax Parameter may differ depending on the each country's regulation or specification.
2. The standard settings are printed on the Fax Parameter List. To print out Fax Parameter List, see
page 151.
3. This parameter is available only when the Parallel Port Interface Option is instal/eeL
4. This parameter is available only when the Parallel Port Interface Option and Optional Memory Card
(2 MB or more) are installed. (See page 169)
38

IHIII I I IIIIIIIIIIIIII IIIIIIIIIIIIIIII Loading Documents ,<I
IIIII I IIIIIIIIIIIIII JJl
Documents You Can Send
In general, your machine will send any document printed on A4 size paper.
l Document Size t
Maximum Size Minimum Size
280 mm ! 48 mm
L..,
r
128mm
2000mm
Document Thickness 1
Single sheet;
0.06 mm (45 g/m 2) to
0.15 mm (112 glm2)
Multiple sheets;
0.06 mm (45 g/m 2) to
0.12 mm (75 g/m 2)
4
Direction
Direction
Documents You Cannot Send
You must never try to send documents that are
lWet
Too thin (e.g,, onionskin,
airmail paper,pages from
somemagazines,etc.)
Covered with wet ink
or paste
Wrinkled, curled or
folded
Coated (e.g., glossy
paper, etc.) Chemically processed
(e.g., pressure-sensitive paper,
carbon-coated paper, etc.)
or made of cloth or metal
To transmit these kinds of documents, make a photocopy first and then transmit the copy instead.
39

Loading,,oDOCuments II iiiiii1_/ i III
How to Load Documents
1. Be sure the document(s) is free of staples, paper clipsand is not tom, greasy orcovered by foreign objects.
2. Place the document(s) FACE DOWN on the Automatic Document Feeder (ADF) until the leading edge
placed into the machine stops.
If you are sending multiple pages, make sure that the bottom sheet enters first. You can also stack up
to 50 PAGES (see Note 1) on the ADF at one time. ff you have more than 50 pages, wait until transmission
or storing in memory starts as pages feed through, place any remaining pages on top of the last page in
the feeder.
3. Adjust the Document Guides to center the document on the ADF.
Document Guides
CORRECT INCORRECT
When you set a document on the ADF, the display message will change from date and time (standby) to the
following message. You can now change basic transmission settings, or begin the dialling procedure.
ENTER STATION(S) 00%1
THEN PRESS START
[]Note: t. The ADF capacity of UP-550 is up to 30 pages.
2, Transmitting documents longer than 356 mm requires user's assistance.
3. When transmitting documents longer than A4 size, please extend the sub-tray as shown below.
40

iiiiiiiiiiiiiiiiiiiii Basic Transmission Settings
You can temporarily change the transmission settings either before or after you place the document on the ADF.
These settings are as follows;
•Contrast
• Resolution
• Halftone
°Stamp
°Communication Journa/
After your document has been sent, your machine will automatically return to the preset settings,
Contrast
'(our machine is preset to Normal contrast. If you wish to send a document with lighter contrast, change the
setting to Lighter. If you wish to send a document with darker contrast, change the setting to Darker.
Press rCONTRASTI to:
4
r-_ DARKER _:3 DARKER _m_'DARKER
LIGHTER *_1_ LIGHTER _LIGHTER
CONTRAST_ ._ CbNTRAST_ _CONTRAST
CONTRAST = Normal CONTRAST=Lighter CONTRAST=Darker
[]Note: Tochange the preset Contrast position, change the setting of Fax Parameter No. 01, see page 35.
Resolution
Your machine is preset to Standard resolution, which is suitable for most documents.
Use Fine or Super Fine for detailed documents.
Press [RESOLUTION ito:
L\ts
=:3 FINE ;Ill,FINE ¢::3 FINE
RESOLUTION RE'SOLUTION RESOLUTION
RESOLUTION =Standard RESOLUTION =Fine RESOLUTION=SuperFine
r_ Note. Tochange the preset Resolution position, change the setting of Fax Parameter No. 02, see page 35.
41

Basic Transmission Settings
Halftone
The Halftone setting is useful when sending photographs or illustrations with gray tones. Your machine is
preset to HALFTONE = Off. You can select either Fast mode or Quality mode.
Press__ HALFTONE l to:
FAST r'_ FAST _ID:_ FAST
\ ] /
QUALITY -t{ QUALITY _QUALITY
HALFTONE _I-_ALFTONE HALFTONE
HALFTONE=Off HALFTONE =Quality HALFTONE = Fast
F_ Note: When youse/ectHALFTONE, FASTorQUALITY, yourmachinewillautomatical/ysetectFineResolution.
Verification Stamp
The Verification Stamp helps you to confirm successful transmissions by stamping the bottom of each
successfully transmitted page with asmall _) mark.
Press _to:
STAMP=Off STAMP=On
[]Note: 1. When you store a document in memory,, the Verification Stamp wil/ stamp on the document ff ff is
successfully stored in memory. In this case the Verification Stamp is not aconfirmation that the
document was successfully transmitted, ff you wishto disable the use of the Verification Stamp when
storing document in memory, change the setting of Fax Parameter No. 28, see page 36.
2. To change the preset Verification Stamp position, change the setting of Fax Parameter No. 04, see
page 35.
42

illllllllllllllll . ii Basic Transmission Settings
IIIIIIIIII II IIIIIIIIIIIIIIIIIIIII iiiiiiiiiiiiiiiiiiii iiiiiiiiiiiiiiiii
Communication Journal (COMM. JOURNAL)
When you set COMM. JOURNAL = OFF,
When you set COMM. JOURNAL =ON,
ACommunication Journal lets you verify if the transmission was successful. You can select the condition
to print out the communication Journal as follows.
a Communication Journal will not be printed out.
a Communication Journal is printed out automatically after
every communication.
When you set COMM. JOURNAL = INC., a Communication Journal is printed out automatically only if
the communication has failed.
4
SELECT MODE (1-5) i
,ENTER NO. OR V A
COMM. JOUR_4AL-INC I
1:OFF 2 :ONi3:INC
3(_ for OFF.
or
_ for ON (Always print out).
or
(_ for INCOMPLETE only.
COMM. JOURNAL--OFF i
I:0FF 2:0N 3:INC |
I
or
I'COMM. JOUR_AL=ON i
I:OFF 2:ON 3:INC |
or
COMM. JOURNAL= INC i
_:0FF2:0N3:INc
[]Note: To change the preset Comm. Journal position, change the setting of Fax Parameter No. 12, see page 35.
43

Sending Documents IIIIIIIIIIIIIIII IIIIIIIIIIIIIIIIIIIII _11111111111
You can choose either Memory or Direct Transmission.
Use Memory Transmission if:
• You want to send the document to multiple stations.
• You have to retrieve the document immediately.
• You want to take the advantage of Dual Operation design.
Use Direct Transmission if:
•The memory is full.
•You want to send the document rea! time.
Use Voice Mode Transmit if:
•You want to send the document after talking with the other party.
•You want to send the document after listening to a voice prompting.
Memory Transmission
Your machine quickly stores the document into the machine's memory,
Then, starts to dial the telephone number.
if the transmission fails, your machine will re-transmit the remaining unsuccessful page(s) automatically,
Store "document [
In memory I
4,
®
[Transmit] _
®
[Receive]
-'N
,14

Sending Documents__
[]Note: 1. The File Number of the document being stored is shown at the upper
rightcomerofthedisplaywhilestoringthedocument Itisalsoprinted
on the Communication Journal (COMM. JOURNAL), Transaction
Jouma/andFi/eList. Thepercentageofmemoryusedisshownonthe
lower right corner of the display after each page is stored.
2. ff a memory overflow occurs while storing documents into memory, all
the remaining documents in the ADF willbe ejected. The machine will
prompt on the display, whetherto start transmitting those pages which
are successfully stored or to cancel the transmission. Press _to
cancel; press _to transmit. See Specifications, page 166 for the
image memory capacity.
If no action is taken within 10 seconds, the machine will start
transmitting the stored pages.
3. An/nformation Code willbe displayed ifthe transmission has failed or
no answer at the receiving side after the last automatic redia/.
The document stored for this transmission will be erased from the
memory automatically and the information code is printed for the
transmission on the Communication Journal (COMM=JOURNAL);
/f you need to retain the incomplete documents even after the last
radial, change Fax Parameter No. 31 (INC. FILE SAVE) to "Valid"in
advance.(see page 36) To retry the incomplete documents, refer to
page 83.
*STORE *No.oo3i
PAGESo0 101
I. STORE,COMPLETED|
• 1
'MEMORY OVERFLOW I
INFO. CODE=870
IIIIII
DI5PAGES COMPLETED
ELETE? 1:YES 2:NO i
IINCOMPLETE i
INFO. CODE=XXX
4. When a power failure occurs, the document information stored in memory willbe lost and aPower
Failure Report will be printed automatically after the power is restored. (see page 152)
5. To stop the transmission, press _.
The display shows;
COMMUNICATION STOP ?1
1:YES 2:NO
Ju
Press _to stop the transmission. The document you stored willbe erased automatically.
ifyou do not want to erase the documents, change the setting of Fax Parameter No. 31 (iNC. FiLE SAVE)
to "Valid" in advance. (see page 36)
Then the following display will appear and you can select whether to save the fileas an incomplete file for
editing and ret_ or delete the file manually
SAVEas I_CO_P.F_LE?|
1:YEs2:No ,,,, I
6. Ifyou would like to printaCommunication Journal (COMM. JOURNAL) after stopping a transmission, press
when the display shows:
com. I
l :YES 2 :NO
45

Sending Documents
Manual Number Dialling
To dial the telephone number manually, follow the steps below.
1Setdocument(s)facedown, ENTER STATION(S) 00%i
ITHEN PRESS START
Make sure that the MEMORY lamp is on.
If not, press L_MEMORY 1to set "On".
Enter a telephone number from the keypad.
Ex: ITEL. NO. I5551234|
III I
4*STORE * NO.002 i
..................PAGES=01 05%1
The document is stored into memory with a file number.
Then starts to dial the telephone number.
STORE *COMPLETED
TOTAL PAGES=05 25%1
• DIALLING * NO.002|
5551234 I
r_ Note: 1. if you need a special access number to get an outside line, _al itfirst then press _to enter a
pause (represented by a "-") before dialling the full number.
Ex: 9 PAUSE 5551234
2. ff you are using Pulse dialling and you wish to change to Tone dialling in the middle of dialling, press
(represented by a "2').
The dialling mode will be changed from Pulse to Tone after dialling the digit "P.
Ex: 9 PAUSE TONE 5551234

Sending Documents__
One-Touch Dialling
One-Touch Dialling allows you to dial a full number by pressing asingle key. To set up the One-Touch keys,
see page 29.
Set document(s) face down.
Make sure that the MEMORY lamp is on.
If not, press [_MEMORY _to set "On".
Press a One-Touch key.
Ex: <01> (Stationname}
5551234 1
The document is stored into memory with a rite number.
Then starts to dial the telephone number.
*STORE * NO.0021
PA ES=OlI
* S_ORE*COMPLET_P
TO,_ ,AGES_052,9I
• DXALLING * NO.002_
5551234 I
[ iii
47

Sending Documents
Abbreviated Dialling
Abbreviated dialling is aspeedy way to dial a frequently dialed telephone number by preprogramming the
telephone number in the built-in auto-dialer with a 2-digit abbreviated code. To program an abbreviated
dialling number, see page 30. +++++,++o,+,+,
THEN PRESS START 00%
Set document(s)facedown.
_ _
I-----I
Make sure that the MEMORY lamp is on.
If not, press lMEMORY I to set "On".
Press _ then enter a 2-digit code.
EX: ABBR [10](Station name) i
5253456
The document is stored into memory with a file number.
Then starts to dial the telephone number.
*STORE *NO+002l
PA+ES:01 0551
*STORE *COMPLETED i
,,TOTALPAGES=05 25%I
*DIALLING * NO°002 I
5553456
IIIIIIIIIIIIIII
48

Sending Documents___
Directory Search Dialling
Directory Search dialling allows you to dial alull telephone number by searching the station name entered
in One-Touch keys or Abbreviated dialling numbers.
Set document(s) face down,
THEMPRESSS_ART00_ 4
Make sure that the MEMORY lamp is on.
If not, press [ MEMORY ] to set "On",
3 t. i
SEARCH ER LETTER (S)
Enter full station name or part of a station name from
character key (see page 10),
Ex: _[][_[_ for searching PANASONIC ENTER LETTER (S) |
PANA_ ,,m,HI
[io] PANASONIC
repeatedly until display shows the station name you want
to send to.
The document is stored into memory with a file number.
Then starts to dial the telephone number,
*TORE *NO.002i
PAG_=Olo5_I
*STORE * COMPLETED
T?TAL PAGES=05 25%|
I.D_L_* .o.oo515553456
49

Sending Documents
Multi-Station Transmission (Broadcasting)
If you have to send the same document(s) to multiple stations, you can save time in feeding the document(s)
by using memory transmission. That is, you can store the document(s) into memory and then send it to the
station(s) automatically.
T.ENPRESSSTART00_
Set document(s) face down.
_1_
Make sure that the MEMORY lamp is on.
If not, press LMEMORY I to set "On".
3Dial by any combination of the following methods:
• One-Touch Dialling
•Abbreviated Dialling
°Manual Number Dialling, press _ after each
station is entered (UF-770: Up to 32 stations,
UF-550: Up to 12 stations)
•Directory Search Dialling, press _ after each
station is entered
(For details, see page 46 to 49.)
Ex:
_ACEQ(_
ABBR
If you want to confirm the number of stations you have
entered, press _.
<01>(Station name) I
IssSu34
[i0](Stationname)5553456
2 STN(S) ARE SET I
,,LADDMORE OR STARTI,
The document is stored into memory with a file number.
Then starts to dial the telephone number in sequence.
*STORE * NO.001i
........pAGE_=0101_1
* DIALLING *NO.001|
I 51234.......I
_]'] Note: You can review the stations you entered in step 3 before storing your document into memory by pressing
[] or _. Press _to clear an entered station show on display ff needed,
•50

Sending Documents
Direct Transmission
If your machine's memory is full or you wish to send the document real time, use Direct Transmission.
Manual Number Dialling (Direct Transmission)
To dLal the telephone number manually, follow the steps below.
_Set document(s) face down,
4
ENTER STATION (S) I
THEN PRESS START 00%_
2° f , i
MEMORY ENTER STATION
Make sure that the lamp goes off. oo%
Enter a telephone number from the keypad.
Ex,®®®<D®®® {p_ss sTARTToD_
_5s1:341 (
_ I* DI_z,IN_ *
[ ss1234 i
Your machine starts to dial the telephone number.
_] Note: 1. If you need a special access number to get an outside line, dial it firstthen press _to enter a
pause (represented by a "--") before dialling the full number.
EX: 9 PAUSE 5551234
2. ff you are using Pulse dialling and you wish to change toTone dialling in the middle of dialling, press
(represented by a7").
The dialling mode will be changed from Pulse to Tone after dialling the digit "/".
Ex: 9 PAUSE TONE 5551234
3. To stop the transmission, press _.
The display shows:
ICOMMONICATION STOP ?i
l:YES 2:NO
ii llml iiiiii
Press _to stop the transmission. The Communication Journal will not print out regardless of the
printout mode setting of the Communication Journal.
51

___Sending Documents
One-Touch Dialling (Direct Transmission)
One-Touch Dialling allows you to dial a full number by pressing a singte key. To set up the One-Touch keys,
see page 29. o I
Set document(s) face down.
r._
MEMORY
Make sure that the lamp goes off. ENTER STATION '00% I
3Press a One-Touch key.
,x:E_]
The display will show the One-Touch number and station
name. The full number (e.g. 5551234) will then be dialed. <01>(Station name) I
5551234
I* DI_I_--"-"---_
5551234
52

Sending Documents.
Abbreviated Dialling (Direct Transmission)
Abbreviated dialling is a speedy way to dial a frequently dialed telephone number by preprogramming the
telephone number in the built-in auto-dialer with a 2-digit abbreviated code. To program an abbreviated
dialling number, see page 30.
1t ! Set document(s) face down.
_4_R STATION<el00 I
]T.E__RESSs_T 4
D
MEMORY
Make sure that the lamp goes off, [ENTER STATION 00%1
3Press _ and a 2-digit code.
Ex: SPACE Q (_
The display will show the ABBR number and station name.
The full number (e.g. 5553456) will then be dialed.
I[10](Stationname) i5553456
*DIALLING *i
5553456
53

Sending Documents
Directory Search Dialling (Direct Transmission)
Directory Search dialling allows you to dial a full telephone number by searching the station name entered
in One-Touch keys or Abbreviated dialling numbers.
1ENTER STATION(S) 00%i
THEN PRESS START
Set document(s) face down.
MEMORY 1ENTER STATION I
E_ Make sure that the lamp goes off. 0o%
IIIIIIIIII III
I; i
SEARCH NTER LETTER (S)
I i
Enter full station name or part of a station name from
character key (see page 10).
Ex: [_r-_]_] for searching PANASONIC ENTERL_.?_ER(S)
P_AI i
repeatedly until display shows the station name you want
to send to.
[lO] PANASONIC I
,5553456 ,, _,,,,,,
The full number (e.g. 5553456) will be dialed.
*DIALLING * I
5553456
'HI
,,,.,

Sending Documents 4
Voice Mode Transmission
If you wish to send the document after talking with other party, use Voice Mode Transmission. Your machine
requires an optional fax handset or an external telephone.
Off-Hook Dialling
For Off-Hook Dialling, follow these steps
THEN PRESS START
Set document(s) face down.
4
Lift the fax handset or the external telephone and dial the
telephone number from the keypad.
Ex:
When you hear the voice of the other party, tell the other
party to prepare to receive a document.
Then, when you hear a beep,
and hang up the handset.
ON LINE *XMT * i
5551234
IIIII
_] Note: To stop the transmission, press _S-T'O'P_.
The display shows:
COMMUNICATION STOP ?i
1:YES 2:NO
Press (_ to stop the transmission. The Communication Journal willnot print out regardless of the printout
mode setting of the Communication Journal
55

Sending Documents
On-Hook Dialling
For On-Hook Dialling, follow these steps
[J Set document(s) face down.
ENTER STATION(S) I
THEN PRESS START 00%
You will hear dial tone through the monitor speaker.
Dial the telephone number from the keypad.
Ex: *DIALLING *|
55512341 I
When you hear a beep,
ON LINE *XMT * i
5551234
r_ Note: 1. ifyou need a special access number to get an outside line, dial it first then press _to enter a
pause (represented by a "-")before dialling the furl number.
Ex: 9 PAUSE 5551234
2. If you are using Pulse diafling and you wish to change to Tone dialling in the middle of dialling, press
(represented by a "/").
The dialling mode will be changed from Pulse to Tone after dialling the digit "_
Ex: 9 PAUSE TONE 5551234
56

Sending Documents.
Transmission Reservation
You can do the following while sending adocument from memory or receiving adocument.
• Reserve next transmission into memory for up to 30* different documents. (* UF-550: 8differentdocuments)
• Reserve a priority transmission.
Memory Transmission Reservation (Dual Access) 4
If your machine is on-line busy transmitting from memory, receiving or printing received documents, you can i
reserve transmission by the following procedure.
Your machine is on-line, the ON LINE lamp is blinking or ON LINE * t'_.X_'_ *
printing received documents. . :de=ific,tilo il
o_L_N_*_v * i
liD: (Identification) |
•""PRINTING * .................I
.MEMORY RCV'D D0C I
Set document(s) face down.
4
Make sure that the MEMORY lamp is on.
If not, press [ MEMORY I to set "On".
Dial by any combination of the following methods:
• One-Touch Dialling
• Abbreviated Dialling
•Manual Number Dialling, press _ after each
station is entered (UF-770: Up to 32 stations,
UF-550: Up to 12 stations)
-Directory Search Dialling, press _ after each
station is entered
(For details, see page 46 to 49.)
sx: <01>(Station name) i
5551234 ,,,
Your machine will store the document into memory.
r_ Note: To cancel the memory transmission reservation, see page 80.
* STORE * NO.0051
PAGES=01 01%i
l ili
* STORE * COMPLETED i
TOTAL PAGES=05 25%1
57

Sending Documents
Direct Transmission Reservation (Priority Transmission Reservation)
If you are in arush to send an urgent document, however there are many files in the memory, use Direct
Transmission Reservation to send the urgent document. The urgent document will be sent immediately after
the current communication is finished.
Note that you cannot send the documents to multiple stations.
To reserve your machine for sending the urgent documents
Your machine is on-line, the ON LINE lamp is blinking or
printing received documents.
/-_ Set document(s) face down.
ON LINE *MEM,XMT * |
ONLINE * RcV* .........
•I tn , co ion'
MEMORY RCV' D DOC
ENTER S_ATIONCSl i
,_Nm_PRESS ST_T 00_
MEMORY
IZ_ Make sure that the lamp goes off. ENTER STATION 00%i
4Dial by using any one of the following methods:
•One-Touch Dialling
•Abbreviated Dialling
• Manual Number Dialling and press
• Directory Search Dialling and press
(For details, see pages 51 to 54.)
Ex:
You can reserve sending an urgent document to a single
station only.
A message "DIRECT XMT RESERVED" will be shown on
the display.
To cancel the direct transmission reservation
<01>(Station name)
,5551234 i
DIRECT_m_TRESERVED
<01>(Station name) I
Make sure the document is on the ADF.
_) and then remove the document from ADE
DIRECT XMTRESERVED I
<01>(Station name) |
CANCEL XMT RESERVE ?_
I

Sending Documents.
Redlalling
Automatic Redialling
If the line is busy or there is no answer, your machine will redia_the
number up to 3 times at 3 minutes interval. During that time, a
message will appear as shown to the right.
A file number is shown at the upper right comer of the display if it
is a memory transmission file.
Manual Redialling
You can also rediat the last dialed number manually by pressing the [ REDIAL I key.
To rediel the last dialed number through memory
WAITTOOIALNo.0ozI
(Te,lephone _uKuber) I
1
<_/-_ Set document(s) face down.
Make sure that the MEMORY tamp is on.
ENTER STATION(S) i
ITNEN PRESSI,,ISTART00%
PAUSE/
REDIAL
TEL. N0. i
5551234 ii,
4
The document is stored into memory with a file number.
Then dials the last dialed number.
To redial the last dialed number through ADF
Set document(s) face down.
*STORE *NO.002 i
.. PAGES=01 ?1% I
*DIALLING *NO.002 i
5551234
IENTER STATION(S) I
THEN PRESS START?0%
_:3
M£MORY
Make sure that the lamp goes off. ENTER STATION 00%1
PAUSe'
3 {_REDtAL
Your machine starts to dial the last dialed number.
TEL. NO.
5551234 I
I* DIALLING *
5551234 ]
[]Note: t. While the unit is displaying "WAIT TO DIAL", you can press !REDIAL _to start rediatling immediately.
2, While the unit is displaying "DIALL/NG" and a message is heard through the monitor that the circuits are
busy...... you can press[ REDIAL ] to start redialting immediately.
59

Receiving Documents
Your machine is provided with both automatic and manual reception modes. The selection of either reception
mode is made with Fax Parameter No. 17 (RCV MODE).
Automatic Reception
Your machine will receive documents automatically if the Fax Parameter No. 17 (RECEIVE MODE) is set
to "Auto" (See page 36).
Manual Reception
You may wish to receive documents manually if you use the telephone line in your office primarily as a
personal telephone and occasionally for your facsimile machine.
To receive documents manually, change the Fax Parameter No. 17 (RECEIVE MODE) to"Manual" (See page
36) and the following message will be shown on the display. [05-MAR-1997 15 :00 |
/I
[ MANUAL RCV 00%1
To receive documents manually
1When the telephone rings, lift the handset (See Note). If
you hear a beep, the sound tells you that someone wants
to send a document.
Remove any documents from the ADF,
_ [ON LINE * RCV * i
III
Your machine starts receiving the document.
Hang up the telephone.
_Note: Your machine requires an optional fax handset or an external telephone connected to the TEL jack on
the rear of the machine,
60

Receiving Documents
Print Reduction
This machine can use Letter, Legal or A4 size plain paper for recording. Sometimes, oversized documents
sent to you by the other parties cannot be printed within a single page. When this occurs, the document will
be divided into separate pages.
This machine is equipped with aPrint Reduction function to solve this problem. You may select the most
appropriate setting from the selections described below.
1. Automatic Reduction
Each page of a received document is first stored in memory. Based on the document length, your machine
will automa'_ically calculate the suitable reduction ratio (70% to 100%) to print the entire document on a single
page. If the received document is extremely long (over 39% longer than the recording paper), the document
will be divided into separate pages and printed with no reduction.
4
2. Fixed Reduction
You can predetermine the reduction ratio from 70% to 100% in 1% steps. The document(s) you received will
be reduced to this ratio regardless of the size.
Selecting the Print Reduction Mode
Set Fax Parameters as shown below. (see page 36)
1. To set Automatic Reduction mode.
(1) No. 24 Print Reduction set to "Auto".
2. To set Fixed Reduction mode.
(1) No. 24 Print Reduction set to "Fixed".
(2) No. 25 Reduction Ratio set to any number between 70% through 100%. (see Note)
Ex: A4 to A4 - 96%
A4 to Letter - 90%
Letter to Letter - 96%
Legal to Letter - 75%
[]Note: ff sending side is set to print the header on the outside of the copy area, more reduction ratio will be
required.
61

Receiving Documents
Receiving Oversize Documents
If received document is extremely long (over 39% longer than the recording paper), the document wilt be
divided into separate pages. When printing on separate pages, the bottom 10 mm of first page will be
overlapped on top of the next page.
Transmitted Document Received Document
lm
m
Overlap print.
10 mm
The receiving document is divided
into two sheets with overlap printing,
_] Note: If the reduction method is set to Automatic Reduction mode, the document is printed out with no reduction
when printing out separate pages, ff the reduction method is set to Fixed Reduction mode, the document
is printed out by the ratio you set in Fax Parameter No, 25.
62

Receiving Documents__
Substitute Memory Reception
If the recording paper runs out or jams or if the toner runs out during reception, the machine automatically
starts receiving document into its image data memory. Stored documents are printed automatically after
replacing the recording paper or toner cartridge.
When the machine finishes the memory reception and _o RECO_DZNGPAPER i
there is no recording paper or toner, an Information Code ZNFO. CODE=010 A,,,11,
appears on the display. ._ - _' ;
iou oF m
I INF0. CODE=041 ,,
Install recording paper (see page 18) or replace the toner
cartridge (see page 16).
The machine will automatically start printing the document
stored in the memory. *PRINTING * |
i,=
t .cv,DDoc I
If the memory overflows, the machine willstop receiving and release the communication fine.
The document(s) stored in the memory up to that moment willbe printed out.
When a power failure occurs,
[UF.T70]
The document information stored in memory wi/t be saved for up to 1 hour, when the battery is fully charged.
[UF-550]
The document information stored in memory will be lost. A Power Failure Report will be printed
automatically after the power is restored.
The report will not be pnnted ff there were no documents in the memory. (see page 152)
tf you wish to turn off the substitute reception function, change the setting of Fax Parameter No. 22 to
"Invalid" (see page 36).
Print Collation Mode
The printing mechanism of the UF-550/770 is a Reverse Order Stacking construction. The UF-550/770 has
a Print Collation Mode that stacks received documents in the correct order. When the Print Collation Mode
is enabled, all received documents are stored into memory first, then printed out in Correct Order Stacking.
The requirements for the Print Collation Mode to be active are; 1)Fax Parameter No. 65 PRINT COLLATION
set to "Valid", and 2) enough remaining memory.
The unit will print in Reverse Order Stacking (Non-Collation Mode) whenever one of the above requirements
is not met.
To use this function, we recommend installing an Optional Memory Card. See page 169 (Options and
Supplies).
SendingDocumentOrder StackingDocument Order ...........
.................. CorrectOrderStac'l_ing..... ReverseOrder Stacking
(CollationMode) (Non-CollationMode)
--..-
!:--'---- -- -
2-
3
1 ----
63

Making Copies
Your machine has a copy function which can make single or multiple copies. When copying, your machine will
automaticalJy select Fine resolution.
1
! Set document(s) face down.
ENTER STATION(S) 00%i
THEN PRESS START
_ COPY
NO. OF COPY=I i
Enter the number of copies.
Ex:_® "COPY i
NO. OF COPY=I0
I* S_ORE * _O.005|
PAGES=01 01% I
The machine stores the document, then prints the copies.
* STORE * COMPLETED
TOTAL PAGES=05 25% I
* COPY * |
NO. OF COPY=01!10 I
[_ Note: 1. The copy willbe reduced automatically depending on the length of original document, tf you wish to
disable reduction function in copy mode, change the setting of Fax Parameter No. 32 (COPY
REDUCTION) to "Invalid" (see page 36).
2. Super Fine resolution is not available when copying,
64

Timer Controlled Communications
You can send a document to one or multiple stations at any preset time within the next 24 hours. Upto 30* built-in
timers can be set for deferred transmission and deferred polling, (*UF.550: 6bum-intimers)
Deferred Transmission
"--_ ENTER STATION(S) I
THEN PRESS START 00%
Set document(s) face down. 5
,u,cT,o, (I) 'DEF_R_DCO_..0.;Ii _'
I:XMT 2:POLLING ,I
ISTARTTZME , |,:
4
5
Enter the start time from the keypad.
(Use a4-digit, 24-hour clock)
Ex: _)_)(_)(11:30 p.m.) and
Dial by any combination of the following methods:
° One-Touch Dialling
• Abbreviated Dialling
• Manual Number Dialling, press _ after each
station is entered (UF-770: Up to 32 stations,
UF-550: Up to 12 stations)
• Directory Search Dialling, press _ after each
station is entered
(For details, see page 46 to 49.)
_H_N_RS_ATIONCS>i
pE_SSST_T I
Ex: <01>(Station name)
5551234 I
6
_to store documents into the memory.
* STORE *NO.0021
PAGES=01 05%|
T_O*STORE * COMPLETED I
•_ _AGES=0S30_I
'[]Note: 1. ff you enter a wrong number in Step 4, press _then re-enter the right number.
2. To change or cancel the Deferred Communication settings, see page 75.
3. When you reserve a deferred transmission without storing document into memo_ the following
message will be shown on the display after pressing _in the last step,
DEF DIRECT XMT RSV'D I
<01> (Station name) |
65

Timer Controlled Communications
Deferred Polling
1
IDEFERRED POLLING
PASSWORO=IIII I
Enter a4-digit polling password.
Ex:®®®® and IDEFERRED POLLING i
START TIME | :
Enter the start time from the keypad.
(Use a 4-digit, 24-hour clock)
ex: _)(_(_(_ (3:30 a.m.) and
Dial by any combination of the following methods:
• One-Touch Dialling
• Abbreviated Dialling
• Manual Number Dialling, press _ after each
station is entered (UF-770: Up to 32 stations,
UF-550: Up to 12 stations)
• Directory Search Dialling, press _ after each
station is entered
(For details, see page 46 to 49.)
_x:
ENTER STATION(S) l
,,THENPRESS START
<01>(Station5551234name) i
*STORE *NO.001
!]Note: 1. ff you enter a wrong number in Step 3, press _ , then re-enter the right number.
2To change or cancel the Deferred Communication settings, see page 75.

iiiiiiiiiiiiiii HIIIIIIIII Polling,,,
Polling means calling other station(s) to retrieve a document. The other station must know in advance that you
wiU ca(I and must have a document set on the ADF or stored in the memory. You may need to set a polling
password, shared by the other station, to ensure security.
Setting Polling Password
If the polling password does not match with the polled station, your polling request will be refused
automatically.
To set the polling password, follow the steps below.
FUNCTION ISET MODE (i-6 )i
E_?ER NO. OR V A
5
m
m
SET FAX PARAMETER (01-99)i
NO.=m
3_ SET )26 POLLING PASSWORD I
m'"l
Enter a 4-digit polling password.
Ex:<D@®®
26 POLLING PASSWORD i
,, ,, 1234_
[]Note: 1. Polling might not function with all fax machines. We suggest you attempt a trial polling before you
actua/ty poll important documents.
2,/f a password is not set in the polled station, you may poll the other station even though your machine
has apassword.
67

Polling
Preparing to be Polled
In order to let other stations poll your machine, you must prepare your machine with a document stored in
memory. Be sure to set the polling password before storing the document into memory. After being polled,
the documents stored in the memory wilt be erased automatically. To retain the documents in memory so
that they can be polled repeatedly change Fax Parameter No. 27, Polled File Save to Valid.
1
Set document(s) face down.
ENTER STATION(S) I
THEN PRESS START 00%
iii
2FUNCTION POLLING No.=ii
I:POLLING 2:POLLED Ill
Enter a 4-digit polling password. (see Note 3)
Ex:
The document(s) will be stored into memory.
* STORE *NO.015_
PAGES=01 01%I
*STORE *COMPLETED i
TOTAL PAGES=05 24% I
[_ Note: 1. You can stillsend or receive documents even when set to be polled.
2. Only I polled file can be stored in memory., tf you need to add document into the same polled file, see
page 82.
3. tfyou have set the polling password in Fax Parameter No. 26, the password willappear on the display.
You can still change the password temporarily by overwriting it with a new one.
68

Poll"
To Poll Documents from Another Station
The following procedure lets you poll adocument from one or multiple stations. Be sure to set the polling
password before polling (see page 67).
1 IPOL IN NO.--¸
FUNCTJON Ii : POLLING 2 :POLLED
I III
IPOLLING i
PASSWORD=f234
5
Enter a 4-digit polling password. (see Note 2)
Ex: _(_(_
4© ENTERSTATIONIS>i
....._HENPRESSS_T I
5Dial by any combination of the following methods:
• One-Touch Dialling
• Abbreviated Dialling
• Manual Number Dialling, press _ after each
station is entered (UF-770: Up to 32 stations,
UF-550: Up to 12 stations)
•Directory Search Dialling, press _ after each
station is entered
(For details, see page 46 to 49.)
Ex: '<01>(Stationname)
5551234 '1
[_] Note: I. Youcan review the entered stations in step 4 by pressing _or_] key, press _to erase the
displayed station as needed.
2. ff you have set the polling password in Fax Parameter No. 26, the password will appear on the display.
You can still change the password temporarily by overwriting it with a new one.
69

Program KeYs
Your fax machine has special Program Keys. These keys are useful if you frequently need to send or poll the
same group of stations. You can use these keys to store a sequence of stations to be polled, a deferred
transmission or polling sequence, an additional One-Touch key or a One-Touch group key.
Setting for Deferred Transmission
To set a Program Key for deferred transmission
1FUNCTION PROGRAM [p ] 'i
PRESS PROGRAM KEY I
PROGRAH[P1] NO.= I
I:PROG 2:0NE-TOUCH I
PROGRAM[P1] ISTART TIME | :
Enter the starting time using 4 digits.
Ex: _(_@ (11:30 p.m.) and
Enter the station numbers by using One-Touch Key, or
and a 2-digit code.
ENTER STATION(S) i
ITHENPRESS START I
'x:I°II
You may use the _or [] keys to review the entered
station(s) before going to next step. If you find an error,
press _ to erase the displayed station.
<01>(Station name) I
5551234 ,,
6ROGRAM [P1] NAME i
i
7Enter the station name (up to 15 character) using the
Character keys (see page 10).
Ex: PROG.A and
You can now set other Program Keys by repeating the
procedures from Step 2, or return to standby by pressing
IpPROGRAH{P]i
RESS PROGR_IIKEY
70

]lllllllllllllliilll ill i IIIIIIIIIiiii
Setting for Normal Polling
To set a Program Key for normal polling
_) SET
FUNCTION [_
Ex:
3
Program Keys
PROGRAM[P ] i
PRESS PROGR_MKEY
POLLING
PASSWORO'IIII,, i
5
I
4Enter a 4-digit polling password.
Ex:_O_ aod
The polling password appears if it has been previously set. ENTER STATION(S) i
ITHEN PRESS STARTII
Enter the station numbers by using One-Touch Key, or
and a 2-digit code.
Ex"[_
You may use the [] or [_ keys to review the entered
station(s) before going to next step. If you find an error,
press _ to erase the displayed station.
<01> (Station name) i
5551234 , ,,
ROGRAM{PI] NAME i
Enter the station name (up to 15 character) using the
Character keys (see page 10).
Ex: PROG.A and
You can now set other Program Keys by repeating the
procedures from Step 2, or return to standby by pressing
PROGRAM[P ]
PRESS PROGBJ%MKEY i
71

Program Keys
Setting for Deferred Polling
To set a Program Key for deferred polling
Ex:
Enter a 4-digit polling password.
Ex:<DQ<_ and
The polling password appears if it has been previously set.
Enter the starting time.
Ex: _)(_(_(_ (10:00p.m.) and
Enter the station numbers by using One-Touch Key, or
and a 2-digit code.
IPROGRAM[P ] i
PRESS PROGRAMKEY
II
PROGRAM[P1] NO.=| i
,i : PR_ 2:0NE-TOOCH
D_FERREDPOLLING
PASSWORD--IIII I
_sTPROGRAM[P1] !
ART TIME | : |
ENTER STATION (S) l
THEN PRESS START |
!
Ex: I°I I
You may use the _ or [] keys to review the entered
station(s) before going to next step. If you find an error,
press _ to erase the displayed station.
i<01>(Station name)
5551234 i
7
8Enter the station name (up to 15 character) using the
Character keys (see page 10).
Ex: PROG,A and
You can now set other Program Keys by repeating the
procedures from Step 2, or return to standby by pressing
PROGRAM [P]!
PRESS PROGRAM KEY II
72

iiiiiiiiiiiiiii IIIIHIIIIII/ iiiiiiiiiiiiiii /I
Setting for Group Dialling
To set a Program Key for Group Dialling
Program KeYs <J
1
Ex:
iPROGKAM[P ] i
,,,PRESSPROGRAM KEY
IPROGRAM [P1 ] NO.=| ]
1:PROG 2 :ONE-TOUCH
,,,,iiiiiiii
5
ENTER STATION (S) |
_'_E_PREssS_A_ I
Enter the station numbers by using One-Touch Key, or
and 2-digit code.
You may use the _ or _ keys to review the entered
station(s) before going to next step. If you find an error,
press _ to erase the displayed station.
<01>(Station name)
5551234 i
5[10](Station name)
553456 .... I
6Enter the station name (up to 15 character) using the
Character keys (see page 10).
Ex: PROG.A and
You can now set other Program Keys by repeating the
procedures from Step 2, or return to standby by pressing
PROGRAM[P ]
PRESS PROGRA!MEEY i
73

_I_ Program Keys
Setting for One-Touch Key
To set a Program Key for One-Touch Key
©PROGRAM [P ] i
PRESS PROGRAM KEY
II
Ex:
IPROGRAM[PI] NO.= I
I:PROG 2:0NE-TOUCHjl i
[P1] i
I_ER _E_._o.
I I I
Enteratelephone number(upto 36 digitsincluding pauses
and spaces),
I[P1] i
9-555 1234, ,,
[PI] ENTER NAME
Enter the station name (up to 15 character) using the
Character keys (see page 10).
Ex: PROG.A and
You can now set other Program Keys by repeating the
procedures from Step 2, or return to standby by pressing
PROGRAM[P ] i
PRESS PROGRAM KEY I
.74

Program Keys
Changing or Erasing Program Key Settings
To change the settings in a Program Key, follow the procedure on setting Program Keys on pages 70 to 74.
=Start time or station(s) for deferred transmission
* Station(s) for normal polting
*Start time or station(s) for deferred polling
=Station(s) for group dialling
oTelephone number and station name for One-Touch key
To erase the settings in a Program Key
FUNCTION (_
k
SET MODE (1-6) i
I
ENTER NO. OR V A
5
IPROGRAM [P ] I
PRESS PROGRAM KEY
Press the Program key you want to erase.
Ex: PROGRAM[PI] NO.=11
I:PROG 2:ONE-TOUCH i
'PROGRAM[P1] N0.= I
I:PROG 2:0NE-TOUCH I
5©
You can now erase other Program Keys by repeating the
procedures from Step 3, or return to standby by pressing
PROGRAM[P ] i
PRESS PROGRAM KEY
,75

Edit File Mode
Your machine has a document image memory which enables you to reserve memory transmission, memory
deferred transmission, memory polling and so on.
After reserving the communications in memory, you may need to change the settings of the communications
while it is still in memory. This section describes how to use the file editing features.
Printing a File List
The contents of the communication settings may have to be modified or deleted. To verify the contents, follow
these steps below to print out a file list.
FUNCTION IENTER NO. OR V
iI:FILE LIST? I
PRESS SET TO SELECT |
I
FILE LIST
l:PRINT 2:VIEW
I II
_*PRINTING *
FILE LIST
Sample File List
•****_********* -FILE LIST- *********************** DATE 08-MAR-1997 *_**_ TIME 15:00 *** P.01
(I) (2) (3) (4) {5) (5)
FILE COMM. TYPE CREATED TIME START TIME PAGES DESTINATION(S)
No.
[oi]
[Ii] [12] [13] [16] [17]
-PANASONIC
_**9** _ 201 555 1212- *********
001 DEFERRED XMT 0_-MAR 13:20 Z0:30
002 MEM.DEF.XMT 07-MAR 13:20 22:30 003
************************************ -HEAD OFFICE
i
i
Explanation of Contents
(1) File number
(2) Communication type
(3) Stored date/time
(4) Executing time
(5) Number of stored page(s)
(6) Destinotion
:If the file is now being executed, a .... is indicated on the left of the
file number.
:Date/time that these files were stored,
:If the file is a Timer Controlled Communication, the start time is
printed in this column.
If the tile is an incomplete file, 9NCOMP" is printed inthis column.
:ABBR. NoJUne-Touch No./Manual Dialling No,

Edit File Mode
Viewing the Contents of a File List
You can also verify the contents of a file list by showing it on the display without printing a file list, follow the
steps below.
FUNCTION (_
EDIT FILE MODE (AI-4)I
NTER NO. OR V
1:FILE LIST? i
PRESS SET TO SELECT
5
3 SET [FILE LIST i
_I:PRI= _ ,viEw
(_ [u_ET._v^KEY__OI
ISC_0LL_CHFI'"
5
Sample d.!sPlaY I
Type of File
or _repeatedly until the display shows a file you want to edit.
t
Status
XMT:
POLL:
POLLED:
RCV TO MEM:
CONE MAIL:
PC JOB:
FILE XMT:
JOURNAL:
Transmission
Polling
Polled
Receive to Memory
Conf. RCV lConf. Polled
PC InterfaceJob(Option)
FileTransmission
Journal/Report
I<01> (Stationname) |I
[ File Number .J [ Enie,edstation JINumbe, of pages I
nn:nn: Starftime
IN PRG: In progress
REDIAL: Waitingto redia)
INCOMP: Incompletefile
_i_ ¸ -
77

Edit File Mode
Changing the Start Time or the Station of a File
To change the start time and/or stations in a communication file, follow the steps below.
(_ SET
ENTER FILE NO.OR V A_
_ZLE NO.=II I
Enter the file number or use [_ or [_] to select the file that
you want to change.
_,,:®®<D i
ENTER FILE NO.OR VA|
FILE NO.=001 1
I_ (See Note 2) IDEFERREDXMT I
START TIME 20:30
5Enter anew start time.
Ex: (_)_)_) (6:00 AM)
(If you do not have to change the time, skip to step 6.) DEFERRED XMT i
START TIME 06:00
6SET
TEL. NO.
5551234 i
78
%:

Edit File Mode
7To delete the station(s), press [] or [] key until the station
you want to delete appears. Then press _.
or
Enter the station(s) you want to add.
EX: _ |SET
ENTER STATION(S) i
THEN PRESS START |
I
i1 STN(S) ARE SET i
k
ADD iMORE OR START I5
[]Note: 1. Your machine cannot change the start time and/or stations in the file while ff is being sent or waiting to
rediaL
2. If the file is not a Deferred Communication File, the following message is shown on the display.
SET DEFERRED COMM. ? |
I
1:YES 2 :NO
Press _to change the type of the file for deferred communication file.
3. If you edit the file that is saved as an incomplete file, after pressing _in step 8, your machine
willprompt you to execute the file immediately or not,
The display shows;
RETRY INCOMP. FILE? i
,1:YES 2:N0
Press _to execute the file immediately.
79

Edit File Mode
Deleting a File
To delete the file in memory, follow the stepsbelow.
FUNCTION E_ER NO. OR V A
IENTER FILE NO.OR V A i
FTT,.,ENO,.=ill
Enter the file number or use [-b-]or [] to select the file that
you want to delete.
EX: _) (see Note 2) i
ENTER FILE NO. OR V A I
,, FILE NO.=001 ,,,,,,
I
4SET
DELETE FILE NO.001? i
If:YES 2:NO
Enter the next file number you want to delete or press
to return to standby. ENTER FILE NO.OR V ^|
FILE NO.,=|||,,,,
I
r_ Note: 1. Your machine cannot delete the file while it is being sent.
2. Enter_ <_ <_ as the file number and press _to delete al! files (except the file in progress).
The following message is shown on the display.
DELETE ALL FILES ? i
I:YES 2:NO ,,
Press _to delete all files.
,. SO

Edit File Mode
Printing Out a File
TO print the contents of the communication file, follow the steps bellow.
FUNCTION
(_ SET
2
ENTER NO. OR V
ENTER FILE NO,OR VA
FILEN?,-=H i
5
at
Enter thetile number or use[3_ or{-_ to select the file that
you want to print.
Ex: @@_ I_ER_,.ENO.OR_^i
4SET
Your machine will print the file, The document(s) wiltremain
in memory even after printing of the file. *PRINTING *iPAGE=001/003
_Note: Your machine cannot print the file while it is being sent.
81

_i_ Edit File Mode
I i
Adding Documents into a File
To add documents into the file, follow the steps below.
1[] Set document(s) face down.
ENTER STATION(S) 00%1
THEN PRESS START
IE_I'_FTL'__0_ _^t-4)I
ENTER NO. OR V
iii
(_ SET
3
Enter the file number or use [] or [] to select the file that
you want to add.
Ex:®®_
ENTER FILE NO.OR V A|
FILE _0.-II II
ENTER FILE N0.OR V ^|
,,,,,,FILE NO.=001 I
4©
Your machine will start storing the document(s) into a file.
*s_o._* NO.OOii
IllPAGES=01 io%I
[]Note: Yourmachine cannot add the document into the file while it is being sent or waiting to rediaL
82

Edit File Mode
Retry an Incomplete File
ifa memory communication has been unsuccessful due to a busy line or no answer, the document you stored
is automatically erased from memory after the last rediaL
If you need to retain the document even if the communication failed, change the setting of Fax Parameter
No. 31 (INC. FILE SAVE) to Valid in advance. (see page 36)
To retry the incomplete file, print a File List to check the file number (see page 76). Then, follow these steps
below,
1FUNCTION l_I. FI,,.,.oDE_1-4_]
5
(_ SET
2Ii
ENTER FILE N0.0R VA |
FILE No,:,,=!lI I
Enter the file number or use [_ or [_ to select the file that'
you want to retry.
Ex:@®(_
ENTE_F_LENO.OR V ^I
_I* STORE *NO.0011
Your machine will retry the file and start dialling
immediately, * DIALLING *NO.001|
l
5551234
_Note: 1. Please refer to page 78 and 79 to confirm or change the entered telephone number for the file,
2. If you set Fax Parameter No.31 to Valid, all incomplete files remain in the memory. To avoid memory
oveff/ow, please check the memory content frequently. We recommend that optiona/ memory be insta//ed
when this function is used (see page 169).
83

Fax Access Code
The Fax Access Code prevents an unauthorized user from operating the machine, Once a 4-digit Fax Access
Code is registered, no one can operate the machine without entering the correct access code.
Automatic Receiving, however, is always available. After you complete any operation, such as mode setting or
transmission, and the display returns to standby, you have to reenter the access code in order to use the machine
again. Registering the Fax Access Code does not affect the use of the machine in any other way.
Setting the Fax Access Code
SET MODE iFUNCTION ENTER NO. OR V II-6)
SET
2FAX PARAMETER (0i-99)
NO.=11 ,
SET
338 FAX ACCESS CODE i
I
Illl
Enter a 4-digit Fax Access Code.
Ex: 38 FAX ACCESS CODE
1234 I
IIIIIIIII IIIIII
5©
For UF-550 skip to step 7. (The UF-550 cannot select
restriction level. ALL only.)
Select Restriction Level
(_ for All operations
_) for Setting and Printout of Fax Parameters only.
Ex:
38 FAX ACCESS CODE i
I:ASL 12341
38 FAX ACCESS CODE i
2:FAX PARA. 12341
r_ Note: To erase the Fax Access Code, enter Access Code and press _and followthe procedure above
to step 3, then press _ _ and _-0_ .

Fax Access Code
Operating Your Machine with the Fax Access Code (Restrict all operations)
Enter the Fax Access Code.
_x: <D_>®®
2SET
08-MAR-1997 15:00 'i
ACCESS CODE=i
08-MAR-1997 15:00
ACCESSCODE=Ilil I
Now you can operate the machine using normal 1 i
procedures, os-z,u_-1997 15: 0O0o%
II
5
Operating Your Machine with the Fax Access Code (Restrict access of Fax Parameters
only) [For UF-770 only]
The UF-770 can be selected to restrict the operations of setting and printing the Fax Parameters only.
Ex: When Setting the Fax Parameter.
1FUNCTION (_ SET MODE (1-6) I
ENTERNO.OR V,,,,,,,_I
SET IINPUT ACCESS CODE
2,,,,,
Enter a 4-digit Fax Access Code.
_x: O_>®® limPeTAccEs_co%3,i
4SET
Now you can operate the machine using normal
procedures.
FAX PARAMETEE(01-99)NO.=|i
85

Receive To Memory
This feature is used to secure all received documents by storingthem into the memory, To print outthe document
from memory, the authorized operator must enter the correct password.
Setting the RCV To Memory Password
FUNCTION (_
SET
SET MODE _i-6) I
ENTER NO. OR V
FAX P_TER (01-99) I
NO.=| ........I
37 RCV TO MEMORY iIlll
II
Enter a 4-digit RCV to Memory Password, l E_'_ORY1234i
37 RCV TO
Ex: _@ ,, ,
Setting RCV To Memory
FUNCTION (_
S.L_.CT.O_E (1-_,I
..._.T_R"0.ORV^ I
SET RCV TO MEMORY=OFF i
1:OFF 2:ON 3:PRINT |
IRCV TO MEMORY=ON I
1:OFF 2:ON 3:PRINT |
SET
<RCV TO MEMORY >
[]Note: 1. When the memory overflows, the machine will stop receiving and re/ease the line. The machine will not
answer the next incoming call until there is space available in the memo_
2. We recommend that optionalmemory be installed when this function is used. See page 166 for linage
Memory Capacity,

Receive To Memory '41
IIIIIIIIII I I I _1111111111111I i
Printing Out Documents
After receiving adocument with Receive To Memory feature, the following message will appear on the disptay.
MESSAGE IN M_:MORY I
< RCV TO MEMORY >
i
To print the document, follow these steps below.
FUNCTION _
IsELEc__ODE €1-S_i 5E_ER _0. OR V^ iBm
i
SET
RCV TO MEMORY=ON
1:OFF 2:ON 3:PRINT i
i
3RCV TO MEMORY=PRINT I
1:OFF 2:ON 3:PRINT i
!
Enter the password to print the documents.
(see Note 1)
_x:<_®®®
SET
Machine will start to print the documents.
iINPUT PASSWORD i
1234
iiiiiiiiiiiiiiii
* PRINTING *i
_ORY_cvDDOC I
_Note: 1. If the password has not been set, your machine will not prompt you to enter the password.
The documents will be printed immediately after pressing _in step 4.
2. Once you set RCV TO MEMORY feature to On, the password cannot be changed (Fax Parameter No.
37 will not be shown on the LCD display), ff you wish to change the password, set RCV TO MEMORY
feature to Off first. Then change the password (see page 86).
87

Distinctive Ring Detector (DRD)
This function is only effective for companies in countries which offer the DRD Service.
Your machine has a special feature in conjunction with an optional service provided by many local telephone
companies. It can distinguish up to 2 telephone numbers with a corresponding ring pattern identifying each
number. "DRD" lets you provide multiple phone numbers, one for your fax, business or personal use with only
one single phone line.
Please check with your local telephone company on the availability of this service in your area.
Your machine can be programmed to respond to the specified ring pattern only for the DRD Service. To enable
your machine to detect the ring pattern only for fax communication, change the setting of Fax Parameter No.
30 (see page 36).
The following table shows a typical example with 2 telephone numbers on a single phone line.
Telephone No.
555-1111
555-2222
Usage
m i,i
Phone
Fax
' ' Ring Pattern
i,,ll
Riling................................. Riling .................................. Standard Ring
Ring...Ring ........................ Ring...Ring ......................... Double Ring
Distinctive Ring Sound
_] Note: "Riling"means along ringing soundand "Ring" means a shortdnging sound,
The following illustration shows atypical set up, with your machine set to detect "double ring"pattern,
At Your Location with |
Distinctive Ring Service J
Dialling "555-2222"
Ring_Ring ............. Ring_Ring
Aperson recognizes the carl
is for the fax machine by the
double ring pattern sound.
!
Ring.. Ring ............. Ring.. Ring _,_1
The fax machine distinguishes 1
the call is for the fax by the
double ring pattern and answers
automatically.
88

Fax Cover Sheet
General Description
A Fax Cover Sheet can be automatically attached to your transmit document(s) that shows the recipient's
name, originator's name and the number of pages attached.
Transmitted as: Received as:
Page 1 Page 2
To use the Fax Cover Sheet
p,.-
Fax
Cover
Sheet
Header P,01 Header P.02
Page 1 Page 2
TotatP.02
To attach the Fax Cover Sheet for a transmission, follow the procedure below.
1
2FUNCTION
Set document(s) face down.
ENTER STATION(S) 00%i
THEN PRESS START
SELECT MODE (i-5)I
ENTER NO. OiR V A
3
4
5
_for OFF (Cover Sheet is not attached)
or
_ for ON (Cover Sheet is attached)
SEr
COVER SHEET=OFF I
I:OFF 2:ON
COVER SHEET=OFF I
1:OFF 2:ON lllli
Or
IOO_RSHEeT°ONi
DOCUMENT SET 00%i
ENTER STATION(S)
Dial the station(s)
Ex: _
[]Note: 1. To change the preset Fax Cover Sheet Setting, change the setting of Fax Parameter No. 56, see
page 37,
2. This function is available for memory or direct transmission mode.
3. The Fax Cover Sheet is not counted in the number of pages column of the journals.
5
89

Fax Cover Sheet
Fax Cover Sheet Sample
***** FACSIMILE COVER SHEET *****
(i)
08-MAR-1997 15:00
(2)
Message To:
[ .................................. i
i SALES DEPT. :
(3)
Message From:
r.....................................
ii
PANASONIC '[
, 201 555 1212
(4)
02
Page(s)
Following This Cover Page
Explanation of Contents
(1) Starting time of communication
(2) Recorded name in One4ouch. ABBR. No. Dialling or dialed telephone number,
(3) Your LOGO (up to 25 characters) and ID Number (up to 20 digits)
(4) A number of following pages. This information is not shown when it transmitting by Direct Transmission Mode.
90

OMR Transmission
General Description
This feature is designed to work with astore and forward system (i,e. UF-M500 Multi-Channel Fax Gateway)
that utilize OMR (Optical Mark Recognition) sheet to obtain routing information to automatically relay the fax
messages to its final destination.
When sending a document with the OMR-XMT feature set to "On", the process of the following 2 operations
will be changed
•Automatic Page Re-transmission
When the OMR-XMT feature is set to "On" and the memory transmission failure occurs, the automatic
re-transmission will start from the tst page including the OMR sheet rather than from the failed page,
•Automatic Page Numbering
When the OMR-XMT is set to "On", the automatic page numbering on the header of each page will start
from the 2nd page instead of the 1st page, which is your OMR sheet.
Table 1: Documents sent with the OMR-XMT feature set to "On"
Transmitted Pages Received by the System
Header P.02
Header P.01
:--::::-- I Page2
Page 1|-
Received by the final
destination
";I ..... iPage 2
IPage I ......
OMR i _ OMR
sheet !sheet
tI,
Header R02
Header P.01
Page 1
Page2'
5
Table 2: Documents sent with the OMR-XMT feature set to "Off"
Transmitted Pages
OMR
sheet
....... Page 2
Received by the System
Header P,03
I Header P.02
........ Page 2
Header P.01 ....
Page
OMR
sheet ....
Received by the final
destination
I Head P,03
Header 1=.02
--_-;;--- Page 2
91

OMR Transmission
Sending Documents with your OMR Sheet
To use the OMR Transmission, select OMR-XMT =OFF or ON for each Transmission by following the
procedure below.
1[_/--_ Set document(s) face down. ENTER STATION(S) 00%1
THEN PRESS START
2FUNCTION SELEC__ODE il-sl I
ENTER NO. OR
SET OMR-XMT--OFF
4
OMR-XMT=OFF i
for OFF i : OFF 2 : ON
I1|111 II
or or
o_-XMT=0N
for ON I1:OFF 2 :oN
SET
ENTERS_ATION(S)
Dial the station(s)
Ex: _
[]Note: 1. Tochange the preset OMR Transmission Setting, change the setting of Fax Parameter No. 55, see
page 37.
2, This function is available for memory or direct transmission mode,
3. The OMR Sheet is counted in the number of pages column of the journals.
4. When using the OMR Transmission, the Cover Sheet function will be turned "Off' automatically.
92

Fax Forward [For UF-770 only].._
Setting Fax Forward
This feature allows all incoming taxes to be forwarded to the station registered in the abbreviated dialling
number [00]. Once the faxes are received in the memory, the machine will dial the telephone number
registered in the abbreviated dialling number [00] and transmit the received document(s).
This function is convenient when you would like to receive faxes in another place (i. e. your home) at night
or during a holiday,
1First register a telephone number for the abbreviated
dialling number [00] where to transfer the receiving faxes.
(see page 30)
|ENTER NO. OR V
"lili i ii ii •
5
i
i
'_54FAX FORWARD |
2 :VALID i I
608-MAR-1997 15 :00 i
<FAX FORWARD > |
I
1. When the Fax Forward feature is set, the abbreviated dialling number [O0] willbe restricted from editing
the number. Please change this function to Invalid when you would like to edit the telephone number.
2. If thecommunication to transfer a received document(s) has failed, thereceived document(s) will be printed
out and erased from memory even if the Fax Parameter No. 31 (INC. FILE SAVE) is set to valid.
Ifyou wish to save the document into memory incase of communication failure, set your machine to Receive
To Memory, (see page 86)
3. tt is not possible to receive a document if the memory of your machine overflows or is about 95% used.
93

File Transmission t_o,UF-,,oonly]
IIIIIIIIIIIIIIII
This feature allows your machine to store the document(s) into the File Transmission inorder to send to multiple
stations repeatedly. The document(s) in the File Transmission will be kept until erased.
Storing a Document(s)
To store the document(s), follow the steps below.
T_ENPRE_SST,_,_oo,,,
Set document(s) face down.
&,
FILE XMT MODE (1-4)|
ENTER NOn OK V A I
1:STORE FILE? !
Pm_ss SET TO SELECT I
4SET
Your machine will start storing the document(s) into the
men'_nJ.
*STORE * N0.001 i
PAGES=01 01%1
rT] Note: only I file can be stored for File Transmission.
94

Fi le Transm ission _Fo,uF._0only]
Sending the Stored Document(s)
To send the stored document(s), follow the steps below.
FUNCTION FILE XMT MODE (AI-4)i
ENTER NO, OR V ii •
SET ENTER STATION(S) i
T_ _ _T_ ,i
5
i
3Dial by any combination of the following methods:
t Manual Number Dialling (Up to 32 stations)
•One-Touch Dialling
,, Abbreviated Dialling
•Directory Search Dialling
(For details, see page 46 to 49.)
Ex.
SPACE
ABBR
(When entering a station for Manual Number Dialling or
Directory Search Dialling, press _ after each
station is entered.)
<01>(Station name) I
5551234
iiii witiitiil
name )
5253456 ]_ii
4
Your machine starts to dial the telephone numbers in
sequence.
*DIALLING *NO,001|
5551234 I
95

____FileTransmission [For UF-770 only]
Deleting the Stored Document(s)
To detete the stored document(s), follow the steps below.
FUNCTION IFIL__.OD_ 1-',I
_,=R.O.O"V'^
3:DELETE FILE? I
PRESS SET TO SELECT
3SET
*DELETING *I
I

File Transmission [For UF-770 only]._
Printing the Stored Document(s)
To print the stored document(s), follow the steps below.
FUNCTION _
FILE XMT MODE 1-4) i
ENTER NO. OR V (A
4:PRINT FILE? k
P_EssSETTO S_LECT|
5
3SET
Your machine willprint the file. The document(s) will remain
in the memory even after printing the file,
* PRINTING *I
FILE XMT DOC
i i
97

Department Code tFo,UF-770only]
General Description
This operation requires the user to input a preset 4-digit Department Code before transmission. The Department
Name of the selected Department Code is printed on the Header of each page sent, Cover Sheet, COMM.
Journal and Individual Transmission Journal. When the Department Code is set, the Transaction Journal will
be sorted by the Department Code number (01 - 24) when it is printed.
If you wish to prevent unauthorized persons from setting, changing or erasing the Department Code settings,
you should set the Fax Access Code to restrict these settings. (see page 84)
Setting the Department Code
SET.ODE 1-6 i
(_ SET2FAX PARAMETER(01-99)i
NO.=1 I
SET
77 LOGO/DEPT. CODE i
1:INVALID
77 LOGO/DEPT. CODE I
3:DEPT. CODE
i illii
SHY DEPT. CODE (01-24) i
[_ ENTER NO. OR V A
Enter Department Code number.
Sx: @<_ (01 to 24) LOGO/DEPT.12_ NAME i
iiiiiiiiiii
98

Department Code [For UF-770 only]._
Enter your Department Name (max. 25 characters and
digits) by using character keys. (see page !0)
F.x:[]_[][][_[]U][__
[_[_[_[_[_ (see Note)
LOG0/DEPT _ NAME I
SET f_NPUTDEPT. CODE |
,,,,, lUI|
5
mii
m
Enter a 4-digit Department Code.
_x-_@__>® INPUT DEPT. CODE
,, ...... 12341
0SET LOGO/DEPT. NAME
To record another Department Code, repeat step 6 to 10.
To return to standby, press [_.
rT] Note: use _tocopy the defau/t LOGO which is set in the User Parameters. You can add thedepartment
name following the default LOGO.
99

Department Code [ForUF-770 only]
Changing or Erasing the Department Code
If you have to change or erase any of Department Code, follow the steps below.
SET MODE (i-6)i
FUNCTION ENTER NO. iOR V A
(_ SET t_NPUTACCESSCODE |
,, '!|,'1
If you set the Fax Access Code to restrict the Fax
Parameters settings, the unit prompts to Input Access
Code. Input the Fax Access Code and press [_]_.
FAX PABAMETER(01-99)
Mo.=l ]
I_ _o_o/_. °ODEi
:DEPT. CODE
ii
SET DEPT. I
CODE (01-24)
ENTER NO. OR V A
Enter Dept. Code number you wish to change or erase.
Ex:_<_ (01to24) LOGO/DEPT. NAME i
12 PANASONIC SALES
lllmllll
10o

7CLEAR
Department Code [For UF-770 only],_
then enter a new LOGO. (see Note I and 2)
Ex: _T_[][_[]l__
LOGO/DEPT. NAME j
_', ,,
8
or just go to step 7 to erase the Department Code.
SET
LOGO/DEPT. NAME S
12 _ANAFAX SALES|
IiNPUT DEPT. CODE 1 j
234
IIIIIIIII
5
i
i
Enter a 4-digit Department Code. INPUT DEPT. CODE j
5678J
io i
LOGO/DEPT. NAME
13 |
To change or erase another Department Code, repeat step
6 to 10. To return to standby, press _.
[_ Note: 1. Use [_] [._] to move the cursor, then enter the correct Dept. Name over the old Dept. Name.
2. Use _to copy the default LOGO which is set in the User Parameters. You can add the
department name following the default LOGO.
101

_I_ Department Code [For UF-770 only]
Sending Document with Department Code
1 _ Set document(s) face down. ENTER STATION(S) 00%1
THEN PRESS START
2Dial by any combination of the following methods:
• One-Touch Dialling
• Abbreviated Dialling
• Manual Number Dialling, press _ after each
station is entered (Up to 32 stations)
• Directory Search Dialling, press _ after each
station is entered
(For details, see page 46 to 49.)
Ex: <0!> (Station name) i
5551234
_.PoT_EPT.oo%,,,i
Enter a 4-digit Department Code.
Ex:_®®®
The document is sent with the header of the selected
Department Name. The selected Department Name is
printed on the COMM. Journal, Individual Transmission
Journal and Cover Sheet.
102

Department Code [For UF-770 only]
Sending Document with Department Code (Voice Mode Transmission)
1,,,THENPRESSSTART
Set document(s) face down.
Lift the fax handset or the external telephone or press
[MONITOR 1.
Ex: Press l MONITORJ INPUT DEPT. CODEIIII I
III
Enter a 4-digit Department Code.
Ex:_@®® INPUT DEPT, CODE i
,,, 1234|
SET *MONITOR *
I,,, I
Dial the telephone number from the keypad.
_x:®®®_®® *DIALLING *
155s12341 i
When you hear a beep,
ON LINE * XMT * i
15551234
The document is sent with the header of the selected
Department Name. The selected Department Name is
printed on the COMM. Journal, Individual Transmission
Journal and Cover Sheet,
103

___Department Code _oruF.,7oon,yj
Printing a Department Code List
The Department Code List can be printed out following the Fax Parameter List.
FUNCTION (_ PRINTOUT (AI-7)i
ENTER NO. OR V ii •
2$57 I* PRINTING *J
_ PA_T_R LIST |
Sample Department Code List (Prints following the Fax Parameter List)
DEPARTMENT CODE LIST
(i) {2) (3)
NUMBER DEPARTMENT NAME DEPARTMENT CODE
01 Panafax Sales 0001
02 Panafax Service 0O0_
03 Panafax Accounting 0003
24 Panafax Engineering 0024
Explanation of Contents
(1) Department Code Number
(2) DepartmentName
(3) DepartmentCode
: 01-24
: Up to 25 characters
:4digits
.....104

Department Code u -.oo.,yl
Printing a Department Code Journal
When the Department Code is set, the transaction Journal wilt be sorted by the Department Code number when
it is printed. All contents of the Journal will be erased automatically after being printed.
FUNC'nO_ lEtTER NO- OR V ^
_) SET
2JOURNAL i
I :PRINT 2 :VIEW ,
5
I
I
_ '* PRINTING *
Sample Department Code Journal /Originated Calls
ORIGINATED CALLS
06-MAR TO 08-_AR (i)
(2)
TOTAL PAGES =00Q038
C3)
TOTAL TIME = 00:23'56
t4} 15)
01: Panafax Sales
NO, C0M PAGES FILE DURATION XiR IDENTIFICATION DATE TIME DIAGNOSTIC
01 OK 005 00:05'13 XMT _ 555123A 06-MAR 15:10 C004A903C0000
21 OK 021/021 019 00:10'15 FWD FAX FORWARD 06-M_AR 18:10 C0044903C0000
(6> (7)
TOTAL PAGES = 000026 TOTAL TIME =00:15'28
02: Pmmafax Service
NO, COM RAGES FILE DURATION XIR IDENTIFICATION DATE TIME DIAGNOSTIC
19 OK 001/001 017 00:00'13 XMT w 5551234 07-MAR i0:i0 C0044903C0000
30 OK 011/015 045 00:08'15 XMT SERVICE DEPT. 07-MAR 13:10 C0044903C0000
TOTAL PAGES =000012 TOTAL TIME = 00:08*28
&
105

Department Code [Fo_ UF-770,,,,o,nly]
Sample Department Code Journal /Received Calls
_*****_*_****** -JOURNAL- ************************* DATE 08-MAR-1997 ***** TIME 15:00 *** P_02
RECEIVED CALLS
06-MAR TO 08-MAR _i}
(2)
TOTAL PAGES =000011
{3)
TOTAL TIME = 00:13'41
NO. COM PAGES FILE DURATION X/R IDENTIFICATION DATE TIME DIAGNOSTIC
55 OK 005 00:05'13 RCV 4445678 06-MAR 12:10 C0044903C0000
56 OK 005/005 020 00:08'15 PLD iii 2_2 333 06-MAR 19:i5 C0044903C0000
70 OK 001 017 00:00'13 RCV 44567345 07-MAR i0:i0 C0044903C0000
-PANASONIC
************************************ -HEAD OFFICE -********* -
Explanation of Contents
(1)Period date of this journal
(2)Number of total pages transmitted/received for this machine,
(3)Total transmitted/received time for this machine.
(4)Department Code Number : 01-24
(5)Department Name
(6)Number of total pages transmitted/received for this department,
(7)Total transmitted/received time for this department.
201 555 1212 -********
106

Multiple LOGO [ForUF.770only]
General Description
This operation allows the user to select one of the 25 preset LOGOs before a transmission. The selected LOGO
is printed on the Header of each page sent, Cover Sheet, COMM. Journal and Individual Transmission Journal
Setting the Multiple LOGO
FUNCTION (_ SET MODE i
SET FAX PARAMETER (01-99 )
2I
_ 177 LOGO/DEPT. CODE i
2 :MULT!-LOGO
SET
MULTI~LOGO (01-24) I
ENTER NO. OR V A
Enter LOGO number.
ex: 1_) (01 to 24) _|LOGO/DEPT" NAME i
Enter your LOGO (max. 25 characters and digits) by using
character keys (see page t0).
ex:[][][]_[][]_m[]_
__[](seeN_e)
LOGO/DEPT. NAME
12P_Aso_!€s_Esl
8©
To record another LOGO, repeat step 6 to 8. To return to
standby, press _.
LOGO/DEPT.13_ NAME I
I II
E_ Note: Use _to copy the default LOGO which isset inthe User Parameters, Youcan add thedepartment
name following the default LOGO.
5
107

Multiple LOGO [ForUF-770only]
I IIIIIIIIIIIIIIIIIIIII II IIIIIIIIIIIII
Changing or Erasing the Multiple LOGO
If you have to change or erase any of the Multiple LOGOs, follow the steps below.
FUNCTION E_T_ NO, OR V A
SEr FAX PARAMETER (01-99) i
77 LOGO/DEPT. CODE
2:MULTI-LOGO i
4SET MULti-LOGO(ol-24)I
EN_RNo. 04 v A I
Enter LOGO number you wish to change or erase.
EX: (_)(_ (01to24)
LOGO/DEPT, NAME i
12 P_Aso_ics_s I
6OLEAR
then enter a new LOGO (see Note 1 and 2).
ex: %_%__I]_i_
LOGO/DEPT. NAME
or just 9o to step 7 to erase the LOGO.
7©
To return to standby, press {_E_].
_ILOGOiDEPT. NAME
3, i
_Note: 1. Use [] _ to move the cursor, the enter the correct LOGO over the old LOGO.
2. Use _to copy the default LOGO which is set in the User Parameters. You can add the
department name following the default LOGO.
108

Sending Document with Multiple LOGO
1 _'_/l-_Setdocument(s)facedown,
Multiple LOGO [For UF-770only],_
ENTER TATION (S) 00%i
,,,THENPRESS START
2Dial by any combination of the following methods:
• One-Touch Dialling
• Abbreviated Dialling
• Manual Number Dialling, press _ after each
station is entered (Up to 32 stations)
• Directory Search Dialling, press _ after each
station is entered
(For details, see page 46 to 49.)
Ex: <01> (Station name)
15551234 ,,
5
SELECT LOGO (01-24) I
ENTER NO, OR V A I
Enter LOGO No. or use [] or [] to select the LOGO that
you want to use. (see Note 2)
Ex: _
12 PANASONIC SALES i
The document is sent with the header of the selected
LOGO. The selected LOGO is printed on the COMM.
Journal, Individual Transmission Journal and Cover Sheet.
[]Note: 1. The Multiple LOGO function cannot be used in the Voice Dialling Mode.
2. Ifyou skip selecting the LOGO in the step 4, the unit selects the default LOGO (00) which is set by the
User Parameters.
109

___Multiple LOGO t_o,uF-_0onlyl
Printing a Multiple Logo List
The Multiple Logo List can be printed out following the Fax Parameter List.
PRINT OUT $i-7) i
IENTER NO. OR V
2SET *PRINTING *|
I
Sample Multiple LOGO List (Prints following the Fax Parameter List)
**_************ -FAX pARAMETER LIST- ************_* DATE 08-t_AR-1997 ***** TIME 15:00 *** P.02
MULTI-LOGO LIST
(i) (2)
NUMBER LOGO
01 Eanafax Sales
02 Panafax Service
03 Panafax Accounting
24 Panafax Engineering
-PANASONIC
************************************ -H_AD OFFICE - **_****** -
Explanation of Contents
(1) LOGO Number
(2) Multiple LOGO
: 01-24
: Up to 25 characters
201 555 1212 - ***'**_*
!10

Selective Reception
Your machine has aspecial feature, Selective Reception, which can prevent the receiving of unnecessary
documents (i.e. junk fax, direct mail, etc.).
Before receiving the document, the last 4 digits of the ID Number received from the sending machine wilt be
compared with the last 4 digits of the telephone number programmed in each One-Touch or Abbreviated station.
When a match is found, your machine will starts receiving the document. If a match is not found, your machine
will cancel the reception and an Information Code 406 will be recorded on the Journal.
Setting the Selective Reception
FUNCTION i
ENTER NO. OR V iii •
SET FAX PAJP,AMETER (0l- 99 )i
NO'=I ,,, I
SET 46 SELECT RCV i
I:INVALID , , i
46 SELECT RCV
2:VALID l
_'] Note: 1. When the Selective Reception is set, your machine can receive from only those stations which are
programmed in the built-in auto-dialer.
2. tfyour ID number has not been set, your machine might not be able to receive from some models.
Toset your ID number, see page 28.
........ 111

Password Communications
General Description
Password Communications, including Password Transmission and Password Reception will prevent your
machine from sending a fax to a wrong station or receiving a fax from unauthorized stations. You can set
Password Transmission and Password Reception independently, or both together.
To use Password Transmission, you must set a 4-digit transmission password in advance. The password
must be shared with other compatible Panafax machine(s). If the transmission password in your machine
does not match the transmission password in the other compatible Panafax machine(s), the transmission
will fail. You can select password transmission by setting Function 8-4, PASSWORD-XMT to ON when you
send a document.
To use Password Reception, you must set a 4-digit receiving password in advance. The password must be
shared with the other compatible Panafax machine(s). If the password in your machine does not match the
receiving password in the other compatible Panafax machine(s), the reception will fail. Once you set
password reception and set the parameter to ON, it stays until you change the setting to OFF.
Compatibility with Other Machines
You can only use password transmission and reception with another Panafax compatible machine(s) listed
below.
Model
UF-160
UF-160M
UF-170
UF-260
UF-270
UF-270M
UF-280M
UF-300
UF-312
UF-322
UF-342
UF-550
UF-650
UF-733
UF-744
UF-745
UF-750
UF-750D
UF-755
UF-766
UF-770
UF-788
UF-M500
Special Settings
Required.
Please refer to the individual User'sGuide of each
model.
112

jlllll lllllllllllllWltti
Setting Password Transmission
To set transmission password and parameter,
FUNCTION
Password Communications <l
IIIIIIIIIIIIIIIIIIIl/ Jill II 1111111111 I_
s_ MOOE _1-61i
ENTER NO, ,?R V I
(_ SET
2FAX PARAMETER (01-99) i
I IIIIIII I NO • -- III I i I
6
SET 143 PASSWORD-XMTilill
Enter a 4+digit Transmission Password.
Ex" <_<_)(_) and press
1431PAs_+°RD-_i:OFF 1234
5(_ for OFF (password is not checked) {43 PASSWORD-XMT i
I:OFF 12341
or or
143P_sswo_D-x_ i
forON (password is checked) 2: ON 1234
[]Note: 1. You can change the setting temporarily by using FUNCTION 8-4 (PASSWORD-XMT) for each
transmission. See page 115 for details.
2, To change the password, press _in step 4. Then re-enter the new one,
113

Password Communications
Setting Password Reception
To set receiving password and parameter,
FUNCTION (_ ENTER NO. OR v
Enter a 4-digit Receiving Password.
Ex.<D®®<_ andpress
5_ for OFF (password is not checked)
or
(_ for ON (password is checked)
44 PASSWORD-RCV i
I:OFF 12341
441:oFFPASSWORD-RCV1_34 i
or
442:oNPASSWORD-RCV1234 i
[_ Note: 1. Once you set the parameter, you cannot select the parameter, OFF or ON, for each reception, it is
always OFF or ON until you change the setting.
2. Tochange the password, press _in step 4. Then re.enter the new one,
114

Password Communications
Using Password Transmission
To use Password Transmission, you can setect PASSWORD-XMT OFF or ON for each Transmission by
fotlowing the procedure below.
face down,
ENTER STATION(S) 00%i
THEN PRESS START
ISELECT MODE (i-5)i
,ENTER NO. OR V A ,
SET PASSWD-X_tT=OFF i
4_ for OFF (password is not checked)
or
(_ for ON (password is checked)
IPASSWD-XMT=OFF i
I:°FF,,21,,°N
or
PASSWD-XMT=ON l
I1 :OFF 2 :ON ,,,llllllll
5SET
ENTER STATION i
THEN PRESSillSTART
6Dial by any combination of the following methods:
• One-Touch Dialling
• Abbreviated Dialling
• Manual Number Dialling, press [_ after each
station is entered (UF-770: Up to 32 stations,
UF-550: Up to 12 stations)
• Directory Search Dialling, press [_ after each
station is entered
(For details, see page 46 to 49.)
Ex: IOl "-] <01>(Station name)
5551234 . I
Continued on the next page.
115

Password, Communicatio,,n s
If your machine's Transmission Password coincides with
the other station's Transmission Password, your machine
starts sending the document.
When transmission is completed, PASSWORD-XMT
returns to standard setting (OFF or ON).
Using Password Reception
There is no additional operation required once you set the parameter following the procedure on the previous
page. The parameter, OFF or ON, cannot be selected for each reception. It is always OFF or ON until you
change the setting.
!16

Confidential Mailbox and Confidential Network Communications <
II IIIIIIIIIIII I iiiiii1_ iiiii1_
Your machine is equipped with two Confidential Communication features which ensure that the Confidential
information you send is received by only the person with the correct confidential code.
Confidential Mailbox
The confidential mailbox feature can be used as a mailbox to communicate with other compatible models
using a 4-digit confidential code. The Confidential Mailbox feature receives document(s) with a confidential
code into memory. These documents can only be printed by the person who has the correct confidential code.
Panafax
Compatible
Model
Panafax
Compatible
Model
Send_-_ SendF-_
with _with
if.Code Conf.Oods
1000 2000
,. ,,,,,,,,,,,,,,
PanafaxCompatible Mode! (Note5)
MAILBOX
Document"A" and "B"
are storedinto memory.
Panafax
Compatible
Model
Polling
with
Conf.Code
1000
Figure 1:
Compatibility with Other Machines
(Note6) Printout
wfth
Cent.Code
20OO
Confidential Mailbox
Table I shows a list of compatible Panafax model which has the Confidential Mailbox feature. It also shows
whether or not special settings are required.
Table 1: Confidential Mailbox Requirement
Compatible Model ............S_clel Settings
............... ,,,,, ,,,,,,,,,,,,,,,,,,j,,j ,,
UF-280M UF-342 UF-744 UF-766
UF-312 UF-550 UF-745 UF-770 Not Required.
UF-322 UF-733 UF-755 UF-788
1. if your machine receives two confidential faxes with same confidential code, both documents are
stored together in the same confidential mailbox.
2. Up to 10" Mailbox files can be stored in memory. So, you can receive the confidential fax using 10"
different confidential codes. (*UF-550 : Up to 7 Mailbox files)
3. If the memory overflows, the machine willstop receiving and release the fine.
4. We recommend that optional memory be installed when this function is used. See page 166 for Image
Memory Capacity.
5. ff aconfidential faxes was received in the mailbox of UF-733, you cannot poll those document. The
UF-733 is designed to print out the received confidential document locally only.
.117

I_ Confidential Mailbox and Confidential Network Communications
IIIIIIIIII ii IIIIIIIIIIIII i
Sending a Confidential Document to a Remote Station's Mailbox
1ENTERST_T_0N_S,|
THEN PRESS START 00%I
document(s) face down.
(_ CONF.co... f^_-5)I
FUNCTION ENTER NO. OR V
I
3SET _CONFIDENTIAL _ i
CONF.CODE=IIII
Enter a 4-dig_ Confidential Code.
EX: _(_
5SET
ICONFIDENTIAL
............€ONF'C0 DE=2233 i
ENTER STATION i
THEN PRESS START |
I
6Dial by any one of the following methods:
•One-Touch Dialling
• Abbreviated Dialling
• Manual Number Dialling
• Directory Search Dialling
If necessary, inform the receiving person and tell them the
Confidential Code.
<01>(Station name)
5551234 ,,,,,,
r_ Note: if the receiving station has a Network Password, you must set the same password, shared by the
receiving station, to send confidential fax. (see page 126 and 127)
118

Confidential Mailbox and Confidential Network Communications <
IIIIIIIIIIIIIIIIIII IIIIIIIIIIIIIIII iiiiiiiiiii1_ iiiiiu_ iiiiii iiiiiiiiiiiiiiiii IIIIIIIIIIII
Polling a Confidential Document from aRemote Station's Mailbox
After you have been informed that someone has transmitted aconfidential document to a remote station's
mailbox, you can poll the confidential document from the remote station in the following way.
ICONF, COMM. (i-5)i
ENTER NO, OR V A
iii
2SET
CO_DE_IA_. PO_,_, I
CONF.CO_E:IIII
I
6
I
I
Enter a 4-digit Confidential Code.
_x:<2D@®®
4SET
"CONFIDENTIALPOLL
CONF.CODE=2233 I
ENTER STATION I
THEN PRESS START I
I
5Dial by any one of the following methods:
• One-Touch Diatling
•Abbreviated Dialling
• Manual Number Dialling
•Directory Search Dialling
ex: <01>(Station name)
$123,i
[]Note: The confidential file will be erased automatically at the center station after being polled.
119

Confidential Mai!,,box and Confidential Network Communications,,,,,,,,,,,,,
Receiving a Confidential Document to Your Machine's Mailbox
No special setting is required, your machine comes with this feature ready to use. Your machine receives
a confidential fax the same way it receives a normal fax message. When receiving the confidential fax, the
display shows the following message and prints out CONF. RCV REPORT.
MESSAGE IN MAIL BOX I
Sample CONF. RCV Report
********************* -CONF,RCV REPORT- ****_****** DATE 08-MAR=1997 ***** TIME 12:00 *******P.01
** NOTICE OF CONFIDENTIAL DOCUMENT HELD **
(i) (2) (3) (4)
FILE NO. RECEIVED FROM PAGES TIME RECEIVED
040 PANAFAX 001 08-MAR 12:00
*******************************-HEAD OFFICE
-PANASONIC
-**** - 201 555 1212- **********************
Explanation of Contents
(1) File number
(2) Received remote station's ID
(3) Number of pages received
(4) Received time
:001 to 255
:Character ID or Numeric ID
[]Note: 1. If your machine receives two confidential faxes with same confidential code, both documents are
stored together in the same confidential mailbox.
2. Up to 10" Mailbox files can be stored in memory So, you can receive the confidential fax using tO*
different confidential codes. (*UF-550 : Up to 7 Mailbox files)
3. If the memory overflows, the machine will stop receiving and release the fine.
4. You can verify whether the unit has received a confidential fax by printing out the File List (see
page 76).
120

Confidential Mailbox and Confidential Network Communications <
II JllllllllllI IIIIIII1_ IIIIIIIIIIIIIIIIII1_ I I
Storing a Confidential Document in Your Machine's Mailbox
Use the following procedure to store a document in aconfidential mailbox in your machine. Once the
confidential document is stored in your machine, it can be polled by the other machine.
1,+//+I +NT+P,+TATION_+>l
T_ENPR++ssTARToo'+I
JSet document(s) face down.
CONF+ OMM. (i-5) i
ENTER NO. OR V A
6
I
I
SET CONF.COD_-=II|| _,,,,,,,,,I
Enter a 4-digit Confidential Code.
E_:®®®® CONFIDENTIAL POLLED
/CONF.COD = 233
5SET
The document will be stored into memory.
tf necessary, inform the receiving party of the confidential
document and tell them the confidential code needed to poll
the document.
*STORE * NO.002i
PA+E+:Ol o!+I
_Note: The confidential file willbe erased automatically after being polled.
/f you wish to retain the confidential file even after being polled, change the setting of Fax Parameter
No. 42 (CONF. POLLED FILE SAVE) to "Valid:
+121

_, ,,,ConfidentialMailboxand Confidential Network Communications
|I IIIHII IIIIIIIIIIIIIIIIIII
Printing Out a Confidential Document from Your Machine's Mailbox
After you have been notified that someone has transmitted aconfidential document to your machine's
mailbox, use the following procedure to print out the confidential document.
FUNCTION (_
CONF. OMM. (i-5)i
ENTER NO. OR V A
SET
IPR_NTCONF.FILE
CONF.CODE=IIII i
Enter Confidential Code of the document you want to printout.
Ex:_®®® PRINT CONF. FILE
CONF.CODE=2233 ,, i
4©
The machine will print out the confidential documents.
* PRINTING *i
PAGE=001/001
'I lllllmllll
[]Note: The confidential file wilt be erased automatically after being printed out even ff the setting of Fax
Parameter No. 42 (CONF. POLLED FILE SAVE) is changed to "Valid".
122

Confidential,,,,,, Mailbox and Confidential, Network Communications <
Deleting a Confidential Document Stored in Your Machine's Mailbox
If your memory becomes full, or you just want to clean out your confidential document, you may delete one
or more confidential fax stored in your machine using the following procedure.
There are two type of confidential file deletion, one is to delete file by Confidential Code, and others is to delete
all confidential files in memory.
To delete file using Confidential Code
1FUNCTION
CONF, COMM. (1-5)i
ENTEI% NO. OR V A
DELETE CONF,FILE i
CONF,CODE=IIII
Enter a 4-digit Confidential Code.
_,:@®®® ....DELETE CONF.FILE
CONF.CODE=2233 i
SET " i
DELETING *
CONF.CODE=2233
_llmll iiiiii
To delete all confidential file in memory
3SET
Ioo .oo, . 1-5;I
ENTER NO, OR V
i
DELETE CONF.FILE
CONF.CODE=||||,,I
DELETE ALL CONF. i
2:No
*ELETING *i
ALL CONF. FILES
123

II_ Confidential Mailbox and Confidential Network CommunicationsIIIIIIIIIIII
Confidential Network Communications (Via a Center Station)
The Confidential Network Communication requires a Center Station such as a UF-650 to communicate with
other Panafax models which have confidential communication features. First the Initial Sending Station
sends a confidential document to the Center Station together with a Confidential Code. The document will
remain in the center station's memory until polled by End Receiving Station. In the example given in figure
2, the End Receiving Station must know the Confidential code attached to the document.
Initial
Sending
Station
Sand [_
wilP,
Conf,Code
1000
JlInitial
Sanding
Station
Send _
wit_
Conf.Code
2000
UF-650
Center Station
Receiving Receiving
Station Station
,=, i
Polling Polling
with witl'l
Cord.Co_e Conl,Coda
1000 2000
]
I
Figure 2: Sending Confidential Faxes via Center Station
If a UF-650 or UF-620 is the Center Station, more than one document can be stored in the same memory
file using the same Confidential Code. That is, you can keep adding faxes to the file, just like putting mail
in a mailbox, until the memory is full. If a UF-640 is the Center Station, you cannot add a fax to the file which
has the same Confidential Code attached with a file already stored in the memory. Whichever station you
use, you can create more than one file, each with a different Confidential Code.
The stored confidential document will be available to be polled by the end receiving station.
Once you have polled or printed the confidentiat document from the Center Station, the document is
automatically erased from the Center Station's memory.
124

Confidential Mailbox and Confidential Network Communications
IIIIIIIIIJlJl/H IIIIIIIIIII1_/II
Compatibility with Other Machines
Table 1 shows how your machine fits in with the compatibility requirements of the different kinds of facsimile
stations which make up a Network for Confidential Communications. It also shows whether or not special
settings are required.
Table 1: Confidential Communication Requirement
Station ......... CompatibleModel Special Settings
,, _...... _.......... ,,,,,,,,,,,,,,,,, _.......
Initial Sending Station
Panafax 1"45,
Panafax 155,
UF-140, UF-150, UF-160,
UF-160M, UF-170, PD-170E,
UF-250, UF-260, UF-270,
UF-270M, UF-280M, UF-300,
UF-312, UF-322, UF-342,
UF-550, UF-620, UF-640,
UF-650, UF-733, UF-744,
UF-745, UF-750, UF-750D,
UF-755, UF-766, UF-770,
UF-788 Required, Please refer to
Confidentiai Center station.....
End Receiving Station
UF-620, UF-640, UF-650
Panaiax145, '...................
Panafax 155,
UF-t40, UF-150, UF-160,
UF-160M, UF-170, PD-t70E,
UF-250, UF-260, UF-270,
UF-270M, UF-280M, UF-300,
UF-312, UF-322, UF-342,
UF-550, UF-620, UF-640,
UF-650, UF-733, UF-744,
UF-745, UF-750, UF-750D,
UF-755, UF.766, UF-770,
UF-788
the individual User's
Guides of each machine.
Setting Up Your Machine for Confidential Network Communications
To use Confidential Communications, you must first preset the Confidential Communication Fax Parameter
described below. Then, every time you actually send aConfidential Fax you must set a Confidential Code.
1. Confidential Communication Fax Parameter
This switches the Confidential Communications function to InvalidNalid.
2. Own Telephone Number
The full telephone number should be entered.
3. Network Password and Polling Password
You may use Network Password and Polling Password to prevent outside facsimile(s) from using the
Confidential Communication network. The same password must be provided to a_lthe machines inside
the network.
4. Confidential Code
A 4-digit code must be assigned to each Confidential Fax you send. It identifies the fax when it is stored
in the Relay Station. The receiving person must know the code in order to poll the fax from the Relay
Station.
125

I_ Confidential Mailbox and Confidential Network Communications
To set the Fax Parameter for Confidential Network Communication
FUNCTION
,%= SET MODE (1-6) I
ENTER NO. OR V A I
2SET
IFAXPARAMETER(01-99) i
NO.=|
SET 41 CONF. FAX PARA. I
1;INVALID
i
41 CONF. FAX PARA. I
2:VALID
5
!,26

_111111ii Confidential Mailbox and Confidential Network Communications <
IIIIIIIIIIII1[[IIIIIIIIIIIIIIIIIIIIIIIII II Jl I IIIIIIIIIIIll IIIIIIIIIIIIIHII
To set your own Telephone Number and Network Password
FUNCTION (_ _ _o_E €^_-6>l
IENTER NO.HOR V
SET
WN TELEPHONE NO. i
'I I III
3Enter your telephone number (max. 36 digits).
OWN TELEPHONE NO. i
1 212 iii 12348
SET SET
NETWORKPASSWORD I
ilaal
Enter a 4-digit Network Password.
_x,®®®® INETWORKPASSWORD i
9999
I
6sET
OWN TELEPHONE NO. i
I 212 iii 1234
IIII I IIIIIII
127

Relayed Transmission ,,,
General Description
Relayed Transmission is a feature which can save you time and transmission costs if you need to send the
same document to severat facsimile stations at the same time. This is especially true if the transmissions
are long distance.
To use Relayed Transmission, you must be part of a "Relay Network" built around a"Relay Station". That
is, when you send a document by Relayed Transmission, you actually send it to a Relay Station together with
instructions to relay it to one or more end receiving station(s).
The Relay Station first receives the document in its memory and then relays itto the en(I receiving station(s),
Example:
RESUL T REPORT
Receiving
Station
IInitialSendingStation L. Relay
_'_ Station _Stockholm
New York
London _ _ End
Receiving
Station
Bedin
Loca End
Receiving
Station
Rome
i......................... •
Compatibility with Other Machines
Table 1 shows the kind of facsimile machines which can make up a Relay Network used for Relayed
Transmission, Note that your machine can serve as an Initial Sending Station or End Receiving Station.
Table 1: Relay Network Compatibility Requirements
Station Special settings
Initial Sending Station
Compatible Model
UF-150 ...... U'F-312 UF-750....
UF-160 UF-322 UF-750D
UF-t60M UF-342 UF-755
UF-t70 UF-550 UF-766
UF-250 UF-620 UF-770
UF-260 UF-640 UF-788
UF-270 UF-650
UF-270M UF-733
UF-280M UF-744
UF-300 UF-745
UF-620 UF-650 UF-640
I
I
Required. Please refer to the
individual User's Guides of each
machine.
Relay Station UF-M500
End ReceivingStation ITU-T/CCITT G3 Compatiblemachines Not required.
128

Relayed Transmission__
Relay Network
A Relay Network is basically agroup of facsimiles programmed to communicate with each other via a Relay
Station. In this case, the word programmed means that certain numbers have been stored in the memory
of each machine. These numbers, also catled parameters, are needed to identify the machines in the
network.
Since your machine can only serve as an Initial Sending Station or End Receiving Station inaRelay Network,
it is assumed that you will not have to establish the network yourself. All you have to do is follow the set up
procedure described here, and certain instructions provided by the network organizer (usually the person
controlling the Relay Station). You should know, however, what kind of network you are going to connect to,
and how it works. A sample network is shown in figure 1.
Figure 1shows a sample network as seen from New York. London and Singapore are Relay Stations
connected to New York. Viewed from New York, Stockholm, Berlin, Rome, Tokyo, Hong Kong, Wellington
and Sydney are End Receiving Stations.
With this simple network using two Relay Stations, you can send a document with one operation to any
combination of stations in the network via the London Relay Station and/or Singapore Relay Station. If New
York only transmits to one station, for example, then the document will go directly to the station or indirectly
via the Relay Station depending on the One Station XMT Parameter you preset.
Tokyo
€:_04)
Wellington
Figure 1: Sample Network
129

Relayed Transmission
Table 2, 3 and 4 are sample settings for aSample Network.
Table 2: Sample Parameter and Abbreviated Dialling Number Table for New York
Telephone Number : 212 111 1234
Network Address : 1000
Relay Address : 10
One-Touch/
ABBR No.
0t
O2
03
04
05
06
07
O8
09
Station Name
London
Stockholm
Berlin
Rome
Singapore
Tokyo
_Hong Kong
i Sydney
iWel!ing ton.......
Telephone Relay Relay Station
Number Address Yes/No
Yes
No
Yes
No
No
No
No
,,,,,,,,,,
4471 111 1234 20
468 111 1234 20
49 611 111 1234 20
396111 1234 20
65 111 1234 130
81 33 11! 1234 i30
852 4 111 1234 130
61 2 111 1234 30
64 4 111 1234 30
Network
Address
2O00
2001
2002
2003
3000
3001
,3002
3003
3004
One Station
XMT
Direct
Direct
Direct
Direct
Direct
Direct
Direct
Direct
Direct
Table 3: Sample Parameter and Abbreviated Dialling
Telephone Number : 71 111 1234
Network Address : 2000
Relay Address :20
One-Touch/
ABBR No.
01
02
03
04
05
06
07
08
09
Station Name
Stockholm......
Berlin
Rome
New York
Singapore
Tokyo
Hong Kong
Sydney
Wellington
Number Table for London
Telephone Relay Relay Station
Number Address Yes/No
No
No
No
No
Yes
No
No
No
No
46 8 11! 1234
49 611 111 1234
39 6 111 1234
1 212 111 1234
65 111 1234
81 33 111 1234
852 4 tll 1234
6t 2 111 1234
64 4 111 1234
Network
Address
2001
2002
2003
1000
3000
3001
3002
3003
3004
20
2O
2O
10
3O
30
30
30
3O
One Station
XMT
i±
Direct
Direct
Direct
Direct
!Direct
Direct
Direct
Direct
Direct
Table 4: Sample Parameter and Abbreviated Dialling Number Table for Singapore
Telephone Number : 65 111 1234
Network Address : 3000
Relay Address : 30
One-TouchJ Station Name Telephone
ABBR No, Number Relay Relay Station Network
Address Yes/No Address
01 ,,,,,.,,i,
02
03
04
05
06
07
08
O9
New York
London
Stockholm
Berlin
Rome
Tokyo
Hong Kong
Sydney
Wellington
1212 111 'i"234
4471 111 1234
46 8111 1234
49 611 111 1234
39 6 111 1234
81 33 111 1234
852 4 111 1234
61 2 111 1234
64 4 111 1234
10
20
20
20
20
30
30
30
30
No
Yes
No
No
No
No
No
No
No
100o
2000
2001
2002
2o03
30Ol
3002
3003
3OO4
One Station
XMT
Direct
Direct
Direct
Direct
Direct
Direct
Direct
Direct
Direct
130

Relayed Transmission
Setting Up Your Machine for Relayed Transmission
To set up your machine for Relayed Transmission, use the procedures on the following pages to set the
parameters listed betow. Some parameters (e.g., Relayed XMT FAX Parameter) are only set once, but others
must be set separately for each station in the Relay Network.
1. Relayed XMT Request FAX Parameter
This switches the Relayed XMT Request function to Valid or Invalid.
2. Own Telephone Number
The full telephone number to which the machine is connected should be entered for Relay Station send
back Result Report.
3. Own Network Address
A4-digit Own Network Address should be entered for Relay Station send back Result Report.
4. Network Password
A4-digit number which prevents unauthorized (outside) stations from accessing the Relay Station and
using its memory. Every Relay requesting and Relay stations inthe network should set the same Network
Password.
5. One-ToucWABBR Numbers
The One-Touch or ABBR number you set must represent the fax number of aparticular station in the
network as seen from your station.
1) Network Address
End Receiving Station telephone numbers set in an Initial Sending Station may be different from the
numbers set in a Relay Station. To send a fax to an End Receiving Station via a Relay Station each
station in the network must be identified with a certain code which does not vary depending on where
you call from. The code is the Network Address, which consists of a 4-digit number and is assigned
to a One-Touch/ABBR number.
2) Relay Address
A 2-digit number which identifies the Relay Station your machine will use. Your machine may be
connected to more than one Relay Station in parallel, but when you use Relayed XMT Request your
machine will only send documents to the Relay Station identified by the Relay Address.
3) Relay Station Parameter (Yes/No)
Set "Yes" if the particular station you are recording is a Relay Station. If you are connected to more
than one Relay Station in series, set "Yes" only for the first Relay Station.
4) One Station XMT (Relay/Direct) Parameter
Ifyou send a document to only one End Receiving Station, you can set your machine to transmit directly
to that station, without going through the Relay Station, by selecting "No". Set "Yes" if you always want
to go through the Relay Station.
131

Relayed Transmission
To set the Relayed XMT FAX Parameters;
FUNCT)ON _ MooE_1,tI
IENTER NO. OR V ,,,,•
SET
FAX PARAMETER(01-99) i
NO.=i
iii
3SET
40 RELAY XMT REQUEST i
1:INVALID
I,,
40 RELAY XMT REQUEST|
2 :VALID i
To set your own Telephone Number, own Network Address and Network Password;
I_ =_TER_o. OR V
IOWN TELEPHONE NO.
| ,,,,,,,,,,, I
3Enter your telephone number (max. 36 digits).
and press
IOWN NETWORK ADDRESS i
"||1
Continued on the next page.
132

Relayed Transmission
Enter your 4-digit Network Address.
Ex: (_@@@ and press
NETWORK PASSWORD;,,'"I
Enter your 4-digit Network Password.
Ex: (_@@@ and press
OWN TELEPHONE NO. l
1 212 iii 1234 II
I
To set a One-Touch/ABBR. Dialling Number, Network Address, Relay Station Parameter (Yes/No)
and One Station XMT (Relay/Direct) Parameter;
hENTER NO. OR V (AZ-6)
_SET 1: ONE-TOUCH
2:ABBR. NO. i
0NE-TOUCH< > i
PRESS ONE-TCN OR V ^
Ex:
<01> i
ENTER TEL. NO. ,
Continued on the next page.
133

Relayed Transmission
ii IIII I
Enter the telephone number.
_)_(_(_ and press
ii Iiiiiiii
<(]i> ENTER NAME |
9-555--123,4 ,,,,,I
6Enter the station name.
Ex: F_ _F_ _ _ _FD-_ _ _-_
and press
Enter a 4-digit Network Address.
Ex: _(_@ and press
<01> RELAY ADDRESS IHi
Enter a 2-digit Retay Address.
Ex: _ and press
<01> RELAY STN? _i
I:YES 2:NO
If the recorded station is the Relay Station, press _.
If not, press (_.
Ex:
10 In case the station you have just recorded will be used for
one-station transmission, you can preset the transmission
route.
1: For transmission via the Relay Station
2: For direct transmission
Ex:
Repeat step 4 through 10 to enter the numbers for other
stations, or return to standby by pressing _.
Print out a list of One-Touch/ABBR number or Directory
Search List to confirm that you have recorded everything
correctly. For the printout operation, refer to page 147.
ONE-TOUCH< >I
PRESS ONE-TCH OR V A
134

iiiii I ii Relayed Transmission
ii II
Sending a Document by Relayed Transmission
Once you have recorded all the necessary parameters inyour machine inaccordance with the Relay Network
you belong to, you can send a document to two or more stations in the network system, automatically, using
the procedure below.
1
face down.
ENTER STATION(S) 00%1
THEN PRESS START
2i
FUNCTION ITHEN PRESS START
3Dial by any combination of the following methods:
• One-Touch Dialling
•Abbreviated Dialling
• Directory Search Dialling, press _ after each
station is entered
(For details, see page 46 to 49.)
Ex: <01>(Station name)
5551234 I
The document is stored into memory and your machine
starts to dial the number of the Relay Station and sends the
document.
After the Relay Station finishes its transmission to the End
Receiving Stations, your machine prints out a RELAY XMT
RESULT REPORT sent back by the Relay Station.
*STORE *NO.001'I
PAGES=01 oi%I
['_ Note: You cannot use manual number dia#ing in step 3.
135

Relayed Transmission
Printouts and Reports
When you use Relayed Transmission, your machine will print the following two reports to help you check and
keep track of your faxes.
1. Relay XMT Report (COMM. JOURNAL)
When your machine finishes transmitting to the Relay Station, it will print aCOMM. Journal when the Fax
Parameter No. 12 is set to "2", this tells you whether the transmission was successful or not.
2. Result Report
When the Relay Station finishes transmitting your fax document to the End Receiving Station(s) in your
network, itwill print a RELAY XMT RESULT REPORT, ittells you what itdid and whether it was successful
or not.
Sample Relay XMT Report (COMM. JOURNAL)
************** -COMM,JOURNAL -***************** DATE 08-MAR-1997 **** TIME 15:00 **** P.01
(1) (2) (3)
MODE = MEMORY RELAYED TEANSMISSION START= 08-M_ 14:50 END= 08-MAR 15:00
FILE NO.= 050 (4)
(5) (6} (7) (8) (9) (i0) (ll}
STN NO. CON ABBR NO, STATION NAMEiTEL NO, PAGES DURATION RLY STM
001 R-OK <01>/2000 LONDON 001/001 00:01'30 <01>/2000
002 R-OK <02>/2001 STOCKHOLM 001/001 RELAY <01>/2000
003 R-OK <03>/2002 BERLIN 001/001 RELAY <01>/2000
004 R-OK <04>/2003 ROME 001/001 RELAY <01>/2000
************************************ - HEAD OFFICE
- PANASONIC
-***_** - 201 555 1212 - *******
(1) Indication of communication
mode
(2) Start time of communication
(3) End time of communication
(4) File number
(5) Sequential number of the stations
(6) Communication result
(7) Abbngviated number and Network
Address
(8) Recorded name in One-touch or
ABBR Number Dialling
(9) Number of pages transmitted
(t0) Duration of communication
(11) Relay station's ABBR. NO, /
Network Address
001 to 255
"R-OW' indicates that the Relayed XMT Request was successful.
3-digit Info Code (see page 155) indicates that the communication has failed.
In this case, the machine will print out the attached report with first page of your
document as shown on page 145.
:3-digit number is the number of pages successfully transmitted.
: The communication that was requested to be transferred via the relay station is
shown as "RELAY".
[]Note: If you transmit through more than one Relay Station, you willreceive a separate Result Report.
•136

Relayed Transmission
Sample Result Report (Relay XMT Result)
(1)
08-MAR-1997 12:10 FROM LONDON TO NEW YORK P,001/001
****** -RESULT REPORT- ************************** DATE 08-MAR-1997 *****
(2)
MODE =RELAYED TRANSMISSION
(3) (6)
REQUEST REC'V TIME=08-MAR 11:40 START=08-MAR 12:00
NUMBER OF PAGE(S) =01 (4)
FILE NO. =045 (5)
TIME 12:10 ***_* P.I
(7)
END=08-MAR 12:10
REQUESTING STATION ** (8)
- NEW YORK -
TELEPHONE NUMBER = 212 iIi 1234
NETWORK ADDRESS =i000
(9) (I0) (ii) (12) (13)
NO. COM DESTINATION(S) PAGE(S) RLY STN
01 OK 2000 LONDON 001/001
02 OK 2001 STOCKHOLM 001/001
03 OK 2002 BERLIN 001/001
04 INC 2003 ROME 000/001
**RELAY STATION **(14)
-LONDON -
TELEPHONE NUMBER = 44 71 ill 1234
RELAY ADDRESS= 20
NETWORK ADDRESS= 2000
Explanation of Contents
(1) Relay Station's Header Print
(2) Indication of transmission mode
(3) The time when the relay request was received
(4) Number of pages received relay request
(5) File number of the received relay request file
(6) The time when the Relay Station starts sending Relay Faxes
(7) The time when the Relay Station ends sending Relay Faxes
(8) Initial Sending Station's information (LOGO, Telephone number and Network Address)
(9) Communication number
(10) Communication result :"OK" indicates that the transmission was successful.
"R-OK" indicates that the transmission to the Relay Station was successful.
"INC" indicates that the transmission was not completed.
(11) Station name
(12) Number of pages transmitted/number of pages received Relay Request
(13) Another Relay Station's Relay Address/Network Address (If transferred to another Relay Station)
(14) Relay Station's information (LOGO, Telephone number and Network Address)
137

Sub-addressing
General Description
The Sub-addressing function allows you further routing, forwarding or relaying of document(s) to the desired
recipient(s) when used in combination with the Networking version of HydraFax/LaserFAX software. This
function conforms to the ITU-T recommendation for T. Routing-Facsimile Routing utilizingthe Sub-address.
Example of a Network
Document with SUB
e.g,
Diat2013331234
SUB=004
?
Telephone
Line
Document withSUB
e,g.
Dial2013331234
SUB=003
............. ExtensionNetwork
i I
ai
Your machine G3 fax G3 fax
ta
w/PCt/F
i
t
Automatic Routing Table of HydraFax/Laser Fax
"_'Ui3'"' IDes'dnation I
001 ....1...... John ....... I
I002.......I Dave ,
003 I _b ....... l----
I I ...._ooo
I 005 I1001
I L 006 I 9-2126667777
LAN Network .....
Bob Dave John
J,
B
m
Compatibility with Other Machine•
•Sub-addressing Transmission:
• Sub-addressing Reception:
UF-342/550/770/788 (see Note 2)
UF-342/550/770/788 with PC Interface using the
Networking version of HydraFax/LaserFAX software.
Sub-addressing Transmission Method•
You can send a document withSub-address information to the desired recipient by the following methods,
•By registering the Sub-address information into One-Touch/ABBR. Dialling Numbers.
•By specifying the Sub-address information in the Manual Number Dialling Mode.
Setting of Routing, Forwarding or Relaying
You can customize the Automatic Routing to any combination of LAN (Local Area Network), PSTN
(Public Switched Telephone Network) or PBX Extension with HydraFax/LaserFAX Routing Table (please
refer to the HydraFax/LaserFAX User Manual).
Note: 1. HydraFax and LaserFAX are trademarks of Wordcraft International Ltd.
2. UF-788 w#h PC Interface Option or the Option ROM installed.
138

Sub-addressing 4
i
To set the Sub-address into a One-Touch/ABBR. Dialling Numbers
FUNCTION (_ SET [ 1 : ONE-TOUCH
2:ABBR. NO. i
Select 1 for One-Touch Dialling number
Select 2 for ABBR. Dialling Number
Ex: (_
IONE-TOUCH< > i
PRESS O_¢E-TCH OR V A
Ex:
<01> i
tENTERTEL.NO.
Enter the telephone number, press [ FLASH ] then enter <01> ]=
the Sub-address (up to 20 digits). 5551234s2762| I
(up to 36 digits including telephone number, pauses,
spaces, FLASH and Sub-address)
Ex: Telephone number = 5551234, Sub-address =2762
Enter as: (_(_(_(_(_(_(_
[ FLASH I_(_(_)(_
5©
Enter the station name.
<01> SALES DEPT.|
5551234s2762 i
rT] Note: IFLASH _] separates the Sub-address from the Telephone number and is indicated by an "s" in the
display.
139

Sub-addressing
To send a Document with Sub-address
Using One-TouclVABBR, Number Dialling
The operation is the same as for normal Dialling
1#--_ Set document(s) face down. ENTER STATION(S) 00%i
THEN PRESS START
2 {°1 ]<01> (Station name) i
,,,5551234s276,2,,,
The document is stored into memory and your machine
starts to dial the number of the station and sends the
document(s) with Sub-addressing information.
*STORE *NO.0011
.......PAGES=01 01%|
Using Manual Number Dialling
Use _to separate the Telephone number and the Sub-address.
/-- Set document(s) face down. ENTER STATION(S) 00%_
THEN PRESS START
2Enter the telephone number, press _SH---_ then enter
the Sub-address (up to 20 digits).
(up to 36 digits including telephone number, pauses,
spaces, FLASH and Sub-address)
Ex: Telephone number = 5551234, Sub-address =2762
Enter as: <_(_(_<_(_(_<_
TEL. NO, i
3_ t* ST°R"* _°'°°11
_Es=ot ol_I
The document is stored into memory and your machine
starts to dial the number of the station and sends the
document(s) with Sub-addressing information.
_Note: 1._separatesthe Sub-addressfromthe Telephone numberand is indicated by an "s" in the
display,
2. ManualOff.Hook orOn-HookOiatlingcannotbe usedwiththe Sub-addressingTransmission.
3. TheSub-addressis nottransmittedduringManualRedialMode.
140

Journals and Lists
To help you maintain records of the documents you sent and received, as well as lists of the numbers you record,
your facsimile machine is equipped to print the following journals and lists: Transaction Journal, Individual
Transmission Journal, Communication Journal, One-Touch/ABBR. No. List, Program List, Fax Parameter List,
Power Failure Report and Fi_e List.
Transaction Journal
The "Journal" is a record of the last I00" transactions (a transaction is recorded each time you send or receive
a document). It is printed out automatically after every 100" transactions (see Note), but you can print or view
it manua!ly by using the following procedure (UF-550 : 32 transactions) :
1FUNCTION PRINT i
ENTER NO. OR V
I:PRINT 2:VIEW
afor printing a Journal _JOUP,N._
for viewing a Journal 1 :X.MTO_X, 2: ALL
bSelect the viewing mode.
for viewing transmission transactions only
for viewing all transactions
Ex:
You can view the transactions in the journal by pressing []
or [_. Press _to return to standby.
USE THE V A KEYS TO I
SCROLL EACH RECORD I
7
Date&Time _/_ F\
01/12 i0:00 OK P01
XMT _ 5551234 A
/
Type of Communication
XMT: Transmission
RCV: Reception
POL: Polling
PLD: Polled
FWD: Fax Forward
ReceivedID,
Recordednameor
thedialed
telephone number
Communication Result
OK: Communication was successful.
BUSY: Line busy
STOP: STOP was pressed.
3-digit Info Code: Communication has failed
(Refer to page 155 for details.)
Numberofpagessuccessfullytransmittedorreceived
_,_,,, ,,,, •
Scroll Marker
A:Latest transaction
v :Oldest transaction
I1: Only 1 transaction
_Note: Ifyou wish tOdisable the automatic print out of the Transaction Journal change the setting of Fax
Parameter No, 13 to "Invalid". (See page 35)
141

_I_ Journals and Lists iiiiiiiiiiiiiii
Individual Transmission Journal (IND. XMT JOURNAL)
An individual Transmission Journal contains information on the latest transmission.
FUNCTION ENTER NO. OR V
I I IIII
26 :IND. XMT JOURNAL? i
PRESS SET TO PRINT |
!
3SET
*PRINTING * i
IND. XMT JOURNAL
142

Journals and Lists
Sample Transaction Journal
_i) (2)
***************** -JOURNAL- ************************* DATE 08-MAR-1997 ***** TIME 15:00 **********
(3) [4] (5) (6) {7) (8) {9) {i0) (ii) (12)
NO, COM PAGES FILE DURATION X/E IDENTIFICATION DATE TIME DIAGNOSTIC
01 OK 001 00:00'22 XMT SERVICE DEFT,
02 OK 003 00:01'17 RCV iii 222 333
03 OK 001 00_00'31 XMT ACCOUNTING DEPT.
04 630 000/005 021 00:00'00 XMT 342345676
05 STOP 000 00:00'34 XMT 12324567
06 OK 001/001 022 00:00'20 XMT 44567345
31 OK 002/002 023 00:00'31 Y24T 0245674533
32 OK 003/003 024 00:01'32 XMT _0353678980
07-MAR 17:35 C0044903C0000
07-MAR 17:41 C0044903C0000
07-M_ 17:50 C0044903C0000
07-M_R 17:57 0800420000000
07~MAR 18:35 0210260200000
07-MAR 18:44 C8044B03C0000
08-MAR 08:35 C8044B03CI000
08-MAR 08:57 C8044B03CI000
(13)
-PANAEONIC
Sample Individual Transmission Journal (IND. XMT JOURNAL)
(i) {2)
***_**_******** -IND. XMT JOURNAL- ***************" DATE 08-MAR-1997 _*_** TIME 15:00 *************
(i0)(II) DATE/TIME =08-MAR-1997 09:00
(3) JOURNAL NO. =21
{4) COMM,RESULT =OK
{5) PAGE(S) = 001
(7} DURATION = 00:00'16
(6) FILE NO. =
(16) MODE = TRANSMISSION
(17) DESTINATION = [01] /555 1234 iABCDEFG
(18) RECEIVED ID =
(19) RESOLUTION =STD
******************************-**** OFFICE
(15)
(13)
-PANASONIC
201 555 1212- *********************
(14)
7
143

Journals and Lists
Explanation of Contents
(1) Printoutdate
(2) Printouttime
(3) Journalnumber
(4) Communicationresult
(5) Number of pages transmitted or
received
(6) File number
(7) Duration of communication
(8) Type of communication
(9) Remote station identification
(10) Communication date
(11) Communication Start time
(12) Diagnostic
(13) Own LOGO
(14) Own ID number
(15) Own Character ID
(16) Type of communication
(17) Destination
(18) Received remote station's ID
(19) Resolution
:"OK _indicates that the communication was successful.
"BUSY" indicates that the communication has failed because of busy line.
"STOP" indicates that STOP was pressed during communication.
"M-OK" indicates that the substitute reception message in memory was not
printed out.
"P-OK" indicates that memory overflow or document misfeeding occurred while
storing the documents into memory for transmission but successfully stored
document(s) was sent,
"R-OK" indicates that the Relayed XMT or Confidential Communication was
successful.
"3-digit Info Code" (see page 155)indicates that the communication has failed.
: The 3-digit number is the number of pages successfully transmitted or
received,
When the documents are stored into memory, two 3-digit numbers will appear.
The first 3-digit number represents the number of pages successfully
transmitted. The second 3-digit number represents the total number of pages
that were attempted to be transmitted.
001 to 255 (If the communication is stored into memory, a file number is
assigned for each communication.)
"XMT" means Transmission
"RCV" means Reception
"POL" means Polling
"PLD" means Polled
"FWD" means Fax Forward
: Name : Recorded name in One-Touch or ABBR. Numbers or remote station's
Character ID.
number : Dialed telephone number (PIN code wilt not be shown)
Number: Remote station's ID number.
: For service personnel only
: Up to 25 characters
:Up to 20 digits
:Upto 16 characters
: Transmission or memory transmission
If aOne-Touch or ABBR was used for the transmission:
One-Touch or ABBR. No.fl'efephone Number/Recorded Name
If not : Telephone number
Character ID/ID number
"STD" means standard resolution
"FINE" means fine resolution
"S-FINE" means super fine resolution
144

Journals and Lists
Communication Journal (COMM. JOURNAL)
The Communication Journal (COMM. JOURNAL) lets you verify if transmission or pollingwas successful or
not. You may setect the printout condition (Off/Always/Inc. only) in Function 8-1, or Fax Paremeter No. 12.
Sample COMM. JOURNAL
************** - COMM. JOURNAL - ***************** DATE 08-MAR-Z997 **** TiME 15:00 **** P.01
(1)
MODE = MEMORY TRANSMISSION
{2) (3)
START=O8-M_AR 14:50 END=08-1_AR 15:00
FILE NO.= 050 (4)
(5) (6) (7) (8) (9) (i0)
STN NO. COM ABBR NO, STATION NAME!TEL NO. RAGES DURATION
001 OK <01> SERVICE DEPT. 001/001 00:01'30
002 OK <02> SALES DEPT. 001/001 00:01'25
003 407 <03> ACCOUNTING DEPT. 000/001 00:01'45
004 BUSY 9_ 021 lll 1234 000/001 00:00"00
- PANASONIC -
************************************* - HEAD OFFICE - ****** -201 555 1212 - **_****
THE SLEREXE COMPANY LIMITED
SAPORSLANE .BOOLE -DORSET. BH_$ER
_aoo_ (94513)51617 .'nn.I_IZM_
Our Ref. 350/PJC/EAC I8th January, 1972.
Dr. P.N. Cundall,
"a_;"o Survevs T _
...... orations of print densxt_ _._
cause the photocell to generatean analogouselectricalvideo==snat.
This signal is used to modulate a carrier_ which is transmitted to a
remote destination over aradio or cable communications link.
At the remote terminal, demodulation reconstructs the vldeo
signal, which is used _o modulate the density of print produced by a
printing device. This device is soanniu B in araster scan synchronised
with that at the transmitting terminal. AS a reaul_, a facsimile
copy of the subject document is produced,
Probably you have uses for this facility in your organlsatlon.
Yours sincerely,
P.J. CROSS
Group Leader - Facsimile Research
7
145
/

Journals and Lists
Explanation of Contents
(1) Indication of communicationmode
(2) Starttimeof communication
(3) Endtime of communication
(4) File number
(5) Stationnumber
(6) Communication result
(7) Abbreviated number or _ mark
(8) Recorded name in One-Touch,
ABBR. or direct dialling number
(9) Number of pages transmitted or
received
(10) Duration of Communication
:001 to 255 (When the communication is stored into memory, a file number
is assigned for each communication.)
: Sequential number of the Stations.
:"OK" indicates that the communication was successful.
"BUSY" indicates that the communication has failed because of busy line.
"STOP" indicates that STOP was pressed during communication.
"M-OK" indicates that the substitute reception message in memory was not
printed out.
"P-OK" indicates that memory overflow or document misfeeding occurred
while storing the documents into memory for transmission but successfully
stored document(s) was sent.
"R-OK" indicates that the Relayed XMT or Confidential Communication was
successful.
"3-digit Info Code" (see page t 55) indicates that the communication has failed.
In this case, the machine willprintout the attached reportwithfirst page of your
document as shown on the previous page.
mark indicates dialed by direct number dial.
The 3-digit number is the number of pages successfully transmitted or
received.
When the documents are stored into memory, two 3-digit numberswill appear.
The first 3-digit number represents the number of pages successfully
transmitted. The second 3-digit number represents the total number of pages
that were attempted to be transmitted.
146

Journals and Lists
One-TouchiAbbreviated and Directory Search List
To print aOne-Touch/Abbreviated Number and Directory Search List of the telephone numbers you have
stored.
FUNCTION ENTER NO. OR V
7
3SET
_,,iONE-TOUCS/ABBR.NO"I
DIR. SEARCH I
* PRINTING * 'I
for One-Touch/ABBR. Number List ONE-TOUCH/ABBR. LIST
for Directory Search List
* PRINTING *|
k
IDIR. SEARCHILIST I
147

Journals and Lists
Sample One-Touch List
*************** -ONE-TOUCH LIST- ***********_**_**_ DATE 08-M_R-1997 ***** TIME 15:00 *** P,01
(I) (2) (3)
ONE- STATION NAME TELEPHONE NO.
TOUCH
<01> SERVICE DEFT, 121 555 1234
<02> SALES DEPT. 222 666 2345
<03> ACCOL_TING DEPT 313 333 3456
NO. OF STATIONS = 03 (4)
(5) (6) (7) (8)
NETWORK RELAY RELAY ONE STN
ADRS STN. ADRS XMT
2000 YES 20 DIRECT
2001 NO 20 DIRECT
2002 NO 20 DIRECT
(see Note)
...............J.. ....... ..,
OWN TELEPHONE NO.=12345678 (9)
OWN NETWORK ADDRESS=f000 (i0)
NETWORK PASSWORD=9999 (ll)
{see Note)
PA_NASONIC
************************************** -HEAD OFFICE - ***** - 201 555 1212- ***_*****
Sample ABBR. Number List
***_**_******** -ABBR. NO. LIST- *_**********_***** DATE 08-MAR-1997 ***** TIME 15:00 *** P,01
ABBR STATION NAME TELEPHONE NO.
NO.
[01] ENG, DEPT. 888 555 1234
[02] PURCHASE DEPT. 999 666 2345
[03] REGULATION DEFT 777 333 3456
NO. OF STATIONS = 03
{5) (6) (7) (B)
NETWORK RELAY RELAY ONE STN
ADRS STN. ADRS XMT
3000 YES 30 DIRECT
3001 NO 30 DIRECT
3002 NO 30 DIRECT
(see Note)
OWN TELEPHONE N0.=12345678 19)
OWN NETWORK ADDRESS=f000 (i0)
NETWORK PASSWORD=9999 (1i)
(see Note)
**************************************** -HEAD OFFICE 201 555 1212- ***_***_*
_Note: This information will be pnnted if the setting of Fax Parameter No.40 (RELAYED XMT REQUEST) or No.
41 (CONF. FAX PARAMETER) is set to "Valid".
148

Journals and Lists 41
IIIIIIIIIIIIIIIIIIIIIIII I _111111111IIII JJlllllll III I
Sample Directory Search List
****_********** -DIR. SEARCH LIST- ***************** DATE 08-M_-1997 _**** TIME 15:Q0 *** P.QI
(12) (2) (i) (3)
STATION NAME ABBR TELEPHONE NUMBEE
NO.
[A] ACCOUNTING DEPT <03> 313 333 3456
[E] ENG. DEPT. [01] 888 555 1234
[P] PURCHASE DEPT [02] 555 666 2345
[R] REGULATION DEPT [03] 777 333 3456
IS] SALES DEPT. <01> 121 555 1234
SERVICE DEPT <02> 222 666 2345
NO. OF STATIONS = 06 (4)
: OWN TELEPHONE NO. = 12345678 (9)
, OWN NETWORK ADDRESS = I000 {I0)
' NETWORK PASSWORD =9999 (11)
(see Note)
(5) (6) (7) (8)
NETWORK RELAY RELAY ONE STN
ADdS SeN. AORS XMT
2002 NO 20 DIRECT
3000 YES 30 DIRECT
3001 NO 30 DIRECT
3002 NO 30 DIRECT
2000 YES 20 DIRECT
2001 NO 20 DIRECT
.................. I;e'_"_o't;_"
_Note: This information wiltbe printed if the settJngof Fax Parameter No, 40 (RELAYED XMT REQUEST) or
No. 41 (CONF. FAX PARAMETER) is set to "Va/id",
Explanation of Contents
(1) One-Touch number or Abbreviated number
(2) Station name recorded in the machine
(3) Telephone number recorded in the machine
(4) Number of recorded One-Touch and ABBR. numbers
(5) Network Address
(6) Relay Station
(7) Relay Address
(8) One Station XMT
(9) Own telephone number
(10) Own Network Address
(11) Network Password
(12) The first letter of station name recorded in your machine
:<nn> = One-Touch number, Inn] = Abbreviated number
: Up to 15 characters
: Up to 36 digits
: 4-digit
: Yes/No
2-digit
Relay/Direct
Up to 36 digits
:4-digit
:4-digit
7
149

Journals and Lists
Program List
To print a Program List of the Dialling Patterns that you have previously entered into the Program Keys.
FUNCT,ON NO.ORv
3:PROGRAMLIST? i
PRESS SET TO PRINT
iii
_* PRINTING * i
PROGRAM LIST I
Sample Program List
*************** -PROGKAM LIST- ******************** DATE 08-MAE-1997 ***** TIME 15:00 *** P.01
(i) (2) 13) (4) (5)
PROGRAM PROGRAM NAME TYPE TIMER ABBR,NOS.
[PII TIMER XMT XMT 12:00 [01]
[P2] TIMER POLL POLL 19:00 [02]
[P3] PROG. A POLL [01] [02]
[P4] PROG, B ABBRiGRP [01] [02} [03]
************************************ -HEAD OFFICE
-PANASONIC
201 555 1212~ *********
Explanation of Contents
(1) Program key
(2) Program name
(3) Type of communication
: Up to 15 characters
: "XMT" indicates transmission.
"POLL" indicates polling,
"ABBR/GRP" indicates that the Program key is programmed as a group key.
"ONE-TOUCH" indicates that the Program key is programmed as a One-Touch
key,
(4) Timer : Indicates the starting time.
"----" indicates that the Program key contains "non-deferred" program.
(5) Numbers recorded in the program : One-Touch/ABBR. numbers
150

Journals and Lists
FAX Parameter List
To print out a FAX Parameter List:
FUNCTION (_ PRINT OUT (1-7)i
ENTER NO. OR V A
iiiiiiiii
2
3SET
4 :FAX P_2J% LIST? i
PRESS SET TO PRINT
H
*PRINTING *i
IFAxPA_T_R LIST |
7
Sample FAX Parameter List
_************** -FAX pARAMETER LIST- ******_******* DATE 08-MAR-1997 ***** TIME 15:00 ********
{i) (2) (3) (4] (5)
pARAMETER DESCRIPTION SELECTION CURRENT STANDARD
NUMBE_ SETTING SETTING
01 CONTRAST (HOME)
02 RESOLUTION (HOME)
04 STAMP (HOME)
(l:Normal 2:Lighter 3:Darker)
(l:Standard 2:Fine 3:S-Fine)
If:Off 2:On)
99 MEMORY SIZE (512KB +1MB) (6)
************************************ -HEAD OFFICE
-PANASONIC
201 555 1212- *********
Explanation of Contents
(1) Parameter
number
(2) Description : "(HOME)" means home position
setting.
(3) Selection
(4) Current setting
(5) Standard setting
(6) Memory sizes
: "----" indicates code or password is
not set. When the code or password
is set, it is shown in parenthesis.
When RCV To Memory Password is
set, IlU is shown in parenthesis.
: Factory preset standard setting
:(Base memory + option memory)
151

Journals and Lists
Power Failure Report
The UF-770 has a built-in rechargeable battery installed to retain the document information for up to 1 hour
when a power failure occurs.
However, if the battery system has problems, the document information might be lost. In this case, a Power
Failure Report will be printed automatically for each file separately, after the Power is turned ON again. This
report is not printed if there were no files in the memory.
Sample Power Failure Report
****_********** -POWER FAILURE REPORT- _**************** DATE 08-MAR-1997 ***** TIME 15:00 *** P,01
POWER FAILURE OCCURRED !
FROM **_ 08-MAR-1997 i0:00 *** (i)
TO *** 08-MAR-1997 15:00 *** (21
FOLLOWING FILE(S) HAS BEEN LOST.
(3) (4)
FILE NO. COMM.TYPE
002 MEM,POLLED XMT
003 RCV TO MEMORY
015 MEM,DEF.XMT
(5) (6) (7}
ABBR NO. STATION NAME/TEL NO. PAGES
003
005
<01> SALES DEPT. 000/003
<02> SERVICE DEPT 000/003
018 MEMORY XMT <03> ACCOUNTING DEPT. 005/005
021 Iii 1234 000/005
-PANASONIC
************************************ -HEAD OFFICE 201 555 1212- *********
Explanation of Contents
(1) Power failure date and time
(2) Power return date and time
(3) File number
(4) Communication type
(5) Abbreviated number or _mark
(6) Recorded name in One-touch, ABBR, or Manual
Number dialling
(7) Number of pages stored
: 001 to 255. (When the communicationfor each
communication)
:_mark indicates dialed by Manual Number dialling
:The first 3-digit number represents the number of page
successfully transmitted. The second 3-digit number
represents the number of pages stored in memory.
152

Troubleshooting
IIIII I IIIIIIIIII ii iiiiiiiiiiiiiiiiiiiiii
If You Have Any of These Problems
Mode Symptom Action page
ii iiii ================== i iiiiiii i
During Installation The display is blinking Battery discharged completely. This may happen at first 25
installation, After setting the clock, the blinking will Stop,
...................... _1Checkthat your document is.....
Document doesn't .ir_eeof staples and paper
ifeed/multiple feed clips, and that it is not greasy or torn,
2. Check that your document is the right type to send through 39
afax machine by consulting the list on "Documents You
Cannot Send". ifyour document has the characteristics
ILsted, make aphotocopy of your document and send the
copy instead.
3. Check that the document is loaded properly. 40
4. Adjust the ADF Pressure Plate. 162
Document jam The information code 031 will appear on the display if the 159
document becomes jammed.
Does not stamp 1. Check if Stamp LED is lit. 42
2, Check Fax parameter No, 04 and No. 28 settings, 35,36
During Transmission
Transmission Copy
Quality
During Reoeption
Stamp too light
Vertical lines on the
transmitted document
Transmitteddocument
*sblank
i,,,,,,,,,
No recording paper
Recording paper jam
Recordingpaper
doesn't advanceinto
machine
Replace stamp or refill ink. 163
Check own copy quality. If copy is OK, your machine has no 160
_roblem, report to receiving party that they have a problem. If
copy is NG, clean the Document Scanning Area,
1. Make sure the document is set face down. 160
2. Check own copy quality, tt copy is OK, your machine has no
problem, report to receiving party that they have a problem.
Ifcopy is NG, clean the Document Scanning Area.
The information code 010 will appear on the display if the paper ' 18
runs out,
The informationcode 001,002 or 003 willappear on the display 158
ifthe paper gets jammed,
Make sure that there is paper in the Paper Cassette. Follow 18
the instructionsfor loading paper,
Recording paper
doesn't eject after
printing
Recording papers are
not stacked in
sequence. Machine
does not print from the
last page received.
Document auto
reduction doesn't work
Out of toner
Check to see if the recording paper is jammed inside of the 158
machine.
1. Check if Fax Parameter No. 65 is set to valid. 38
2. If memory becomes full during reception, the machine will 170
startto printfrom the fst page received. We recommend that
optional memory is installed if this symptom occurs
frequently.
Check Print Reduction settings. 61
The information code 041 willappear on the display if the Toner
Cartridge runs out of toner.
16
153

Troubleshooting i
.......... ,,,,,,,,,,,,,, = II,,H ,,,,,, iii, ..........
Mode Action page
i
141
Print Copy Quality
Print Copy Quality
Communication
i IIH=
No Unit Operation
Symptom
,,,,,,,,,,,,,,,,,,,,,,,,,,
Vertical lines printing
on the received
document
Fuzzy print
Missing dots or
lines/inconsistent
darkness within print
Fading print
Faintprint
No dial tone
No auto answer
Cannot transmit or
receive
IH= HHH=
No unit operation
Printout a Journal report (e,g. FUNCTION, 6, 1 and SET) and
check quality to make sure if your machine has trouble or not.
if Journal report quality is OK, your machine has no problem,
report to sending party that they have aproblem.
If copy is NG, replace the Toner Cartridge.
1. Make sure you are using the correct paper for the best
possible printquality.
2. Try reversing the recording paper to the other side.
1. Make sure you are using the correct paper for the best
possible print quality.
2. Replace the Toner Cartridge.
ii, I,,,,,,H=III
The Toner Cartridge may be running out of toner. Replace the
Toner Cartridge,
You may need to choose a different paper for the best possible
printquality.
i1,,== H,,,,, II
1, Check the connection of the telephone line.
2. Check the telephone line.
1. Check the connection of the telephone line.
2. Check the Reception mode setting.
3. Check if machine is printing areport. (e.g.: Transaction
Journal, Fax Parameter List).
4_
F
tf machine is printing s report, machine cannot receive until
printing is completed.
It the printed document is the final Transaction to print the
Transaction Journal automatically, machine will usually print
the Transaction Journal automatically after printing out the
document. In this case, the machine cannot receive until the
Transaction Journal has been pdnted.
An information code will be shown on the display. Refer to the
information code table to find out the trouble.
Toreset the machine, turn-offthe Power Switch for a few second
then turn-on again.
16
168
168
16
16
168
164
164
60
t55
21
154

Troubleshooting
Information Codes
When something unusual occurs, the display may show one of the Information Codes below. These will help
you to identify and correct the problem.
Meaning Action Page
m.mm,m IIIIIIII I IIIIIIIIIIIH
Recording paper jam. Remove jammed paper. 158
No recording paper. Load the paper, t 8
Recording Paper Cassette is not installed properly.
I Incorrect paper size loaded in the Paper Cassette.
Info.
Code
001/002
010
011
017
030 Document misfeeding,
031 Document paper is too long or jammed.
Document length exceeds 2 meters,
041 Out of toner.
045 Toner Cartridge is not installed.
060 Printer Cover is opened,
061 ADF Doer (Document Return Guide) is open.
063
O64
4O3
404/405
Install the Recording Paper Cassette, --
Load the Paper Cassette with proper paper 18
size (A4, LRT or LGL).
1. Reload the document properly.
2. Removedocumentjam.
3. AdjustADF.
1. Reload the document propedy.
2. Remove documentjam.
Replace the Toner Cartridge.
_nstall the Toner Cartridge.
Ctose the Printer Cover,
Close the ADF Door.
Jam Access Cover 1 (Optional 2rid Feeder Unit) is CtosetheJam Access Cover1.
open.
Jam Access Cover 1 (Optional 3rd Feeder Un_)is
open.
400 During initial handshake, receiving station did not
respond or communication error occurred.
401 Remote station required a Receiving Password to
receive the document.
Remote station does not have Confidential Mailbox,
402 During initial handshake, communication error
occurred.
No polling capability at the remote side.
During initial handshake, communication
occurred.
Close the Jam Access Cover 1.
1. Check with other party.
2, Reload the document and send again.
Check the remote station.
Reload the document and send again.
Ask remote side to set "POLLED=ON".
error Reload the document and send again.
40
159
162
40
159
16
16
8
155

Troubleshooting
Info. Meaning Action Page
Code
iiii iiiiiiiiiiiiiiiiiiiiiiii iiiii iiiiiiiiiiiiiii uiiiiiiiiiiiiiiiilUi <
406 Transmission Password does not match. Check the password or the telephone number 111
Receiving Password does not match, in One-Touch or Abbreviated station. 113
Received from an unauthorized station in Selective 114
Reception mode.
407 No confirmation from the receiving station for the Wait a few minutes and send again.
previous page sent.
408/409
411
412
414
Remote side confirmation of previous page is illegible.
Polling password does not match.
No data from the transmitting side.
Wait a few minutes and send again.
Check polling password.
Check with the other party.
Polling password does not match. Check polling password.
415
416/417
418/419
420
422/427
430/434
436/490
456
Polling transmission error.
Received data has too many errors.
Machine goes to receiving mode, but receives no
command from the transmitting side.
Interface is incompatible.
Communication error occurred while receiving.
Received data has too many errors.
i, Unit received aconfidential document or was
requested to be polled of a confidential document
under any of following conditions.
1) Memory does not have enough space to receive
the confidential document.
2) Confidential Mailbox file is full.
3) While printing received document.
•Unit was requested to relay a document.
Check polling password.
Check with the other party,
492/493 Communication error occurred while receiving,
494
495 Telephone line disconnected.
1. Remote side misdial.
2. Check with the other party.
Check with the other party.
Check with the other party.
Check with the other party.
1. Printout File List then checkthe contents.
2. Wait a moment untilfinishing the printing.
Check with the other party.
Check with the other party.
67
67
67
..
76
,,,,,,,,
156

Troubleshooting <1
i I WIIIIIIIIIIIIIIII II IIIIIIIIIIIIIIII JIIIIIIIIIIIIIIIIIII
r. ........ F
Info. Meaning 1Action Page
Code
540/541 Communication error occurred while transmitting. 1, Reload the document and send again. --
542 12. Check with the other party,
543/544
550 Telephone line disconnected,
552/553
554/555
Check with the other party.
Communication error occurred while receiving. Check with the other party.
580 Sub-address transmission to aunit that has no Check the remote station. 138
Sub-address function.
581 Sub-address Password transmission to aunit that Check the remote station. 138
has no Password Sub-address function.
601 ADF Door was opened during ADF transmission. Close the ADF Door. 159
623 No document was on the ADF. Reload the document and send again. --
630 Redial was not successful due to a busy tine or no Reload the document and send again. --
response from the catled station.
631 During dialling, STOP was pressed.
634 Redial was not successful due to a busy line or no
response from the called station.
638
870
879
975
Reload the document and send again.
Reload the document and send again.
Power failure occurred during the communication. Check the power cord and plug.
iMemory overtlow occurred while storing Transmit documents without storing into memory.
documents into memory for transmission. Order additional memory option.
Memory overflow occurred while receiving
documentsinto memory.
Receiving documents withdata that is greaterthan
the memory size.
1. Check recording paper and toner cartridge,
2, Install Optional Memory Card.
DRAM parity error. The document information in 1. Unit willprint out a Power Failure Report.
memory is lost. 2. Resend the lost document.
20
51
169
16
18
152
8
157

Troubleshooting
Clearing a Recording Paper Jam
If the recording paper becomes jammed in the machine, the display will show an Information Code 001 or
002.
To clear the jam, Info. Code 001
®
(_ Open the Pdnter Cover.
(_ Remove the jammed paper.
Slide out the Paper Cassette.
(_ Remove the jammed or wrinkled paper and
reload the recording paper into the paper
cassette.
Caution: Make sure that the paper is set under
the clips of the Paper Cassette. You
can load about 250 sheets with
standard weight paper (20 lb. or 75
g/m2). For paper specification see
page 168
To clear the jam, Info. Code 002
(_) Open the Printer Cover.
Remove the Toner Cartridge.
(_) Remove the jammed paper.
[]Note: The Recording Paper Jam message display is reset only by opening and closing of the Printer Cover.
158

Troublesh
Clearing a Document Jam
If a document becomes jammed in the machine, the display will show the information Code 031.
_Open the ADF Door.
® Remove the jammed document.
®8
•159

Troubleshooting
ADF Door
Cleaning the Document Scanning Area
If the receiving party reports that the received documents were black, or contained black lines, try making
acopy on your unit to verify. If the copy is black or has black lines, the document scanning area is probably
dirty and must be cleaned.
Open the ADF door,
1
2Wipe the Scanning Area gently with a soft cloth
gauze wet with ethyl alcohol. Be sure to use a
clean cloth, the scanning area can be easily
scratched.
!60

Troubleshooting
iiililiiiiiiiiiiiii iilllllllllllllllllllllll _ilil
Cleaning the Printer Roller
If you find toner on the back of the recording paper, the printer roller in the fuser unit is probably dirty.
To clean the printer roller
roT::" E_ER_O.,OR_,,,A
2
Machine will print out 3 pages of the Cleaning Chart.
PLEASE WAIT FOR i
PRINTOUT TEST CHART •
<PRINTER ROLLER CLEANING CHART>
HOW TO LOAD CLEANING CHART
1.OPEN THE PAPER CASSETTE
(If multiple cassette configuration, i. OPEN THE UPPER PAPER CASSETTE)
2.SET THESE 3 CLEANING CHARTS IN THE CASSETTE FACE UP
3.CLOSE THE PAPER CASSETTE
4.UNIT WILL START CLEA!qING THE PRINTER ROLLER AUTOMATICALLY
5.DISPOSE CLEANING CEAF,T
*** SET THIS END TOWARDS THE RIGHT, FACE UP ***
After printing the Cleaning Charts, the following message
will appear. ILOAD CHART IN PAPER i
CASSETTE FACE UP |
m
Slide out the paper cassette from the machine. Then, loadthe Cleaning Charts into the cassette face up. (See Note)
Close the paper casette. Machine will automatically feed * CLEANING *hi
out the charts in order to clean the printer roller. PRINTER ROLLER I
8
i
F_ Note: ff you have instafled the optional 2nd cassette, load the Cleaning Chart into the upper cassette.
161

Troubleshooting
Adjusting the Automatic Document Feeder (ADF)
ff document misfeeding occurs frequently, we suggest you to adjust the ADF,
To adjust the ADF,
Pull the btue Pressure Adjusting Lever upward and
slide it to the desired position depending on the
condition.
Position
,i
1
2
3
Condition
To'prevent no feed trouble
Standard position
To prevent multiple feed trouble
162

IIIIIIIIIIII iiiiiiiiii Troubleshooting
Verification Stamp
The Verification Stamp contains ink. When the stamp mark appears faded or hard to see, the stamp should
be replaced or refilled with ink.
1ADF Door Open the ADF door,
2(D Remove the Stamp Assembly upward.
(_ Remove the Stamp, Replace the stampwith
anew one or refill the stamp withafew drops
of the specified ink into the back of the
stamp,
8
[]Note: Please contact your local Panasonic dealer to purchase anew stamp. See page 170 for order number.
-163

Troubleshooting
Checking the Telephone Line
When you do not hear a dial tone through the telephone connected to the machine or when the telephone
does not ring (No automatic receive).
1Unplug the Telephone Line Cord from the
telephone jack that was supplied by the
telephone company.
2Plug a different regular telephone into the same
telephone jack.
Check for dial tone through the handset. If
there is still no dial tone, report it to your local
telephone company.
or
Call from another telephone to this number. If
the telephone does not ring, report it to your
local telephone company.
164

Compatibility
Coding Scheme
Modem Type
Modem Speed
Document Size
Document Thickness
ADF Capacity
(Automatic Document Feeder)
Scanning Method
Effective Scanning Width
Scanner Resolution
Recording Method
Recording Paper
Recording Paper Size
Printer Resolution
Specifications
ITU-T/CCITT Group 3
MH, MR, MMR
(Conforms to ITU-T/CCITT Recommendations)
ITU-T/CCI-I-F V.17, V.33, V.29, V.27 ter and V.21 for UF-770
ITU-T/CCI'I-F V.29, V.27 ter and V.21 for UF-550
14400 - 2400 bps for UF-770
9600 - 2400 bps for UF-550
Max. : 280 mmx 2000 mm
(with operator's assistance)
Min. : 148 mm x 128 mm
Single sheet : 0.06 mm (45 g/m2) to 0.15 mm (112 g/m2)
Multiple sheets : 0.06 mm (45 g/m 2) to 0.12 mm (75 g/m 2)
Built-in, up to 50 sheets for UF-770
up to 30 sheets for UF-550
Sheet Feeding with CCD type image sensor
252 mm for UF-770
212 mm for UF-550
Horizontal
Vertical :8pels/mm
: 3.85 lines/ram
7.7 lines/mm
15.4 lines/ram : Transmission only
Laser printer
Plain Paper
Letter, A4 or Legal
406 × 391 dpi
165

Specifications
Effective Recording Size
Print Margin
Letter :208 mm x 271 mm
A4 : 202 mm x 289 mm
Legal : 208 mm x348 mm
L
÷
4 mm 4mm
4 mm
4 mm
Recording Paper Capacity
One-Touch/Abbreviated
Dialling Memory Capacity
Approx. 250 sheets (using 75 g/m 2 paper)
100 stations for UF-550
(including 24 One-Touch keys and 4 Program keys)
140 stations for UF-770
(including 32 One-Touch keys and 8 Program keys)
Each station can register up to 36 digits for each telephone number
(including pauses and spaces) and up to 15 characters for each station
name
Image Memory Capacity
UF-550 UF-770
Base Memory' t2 pages 70 pages
with I MB Memory Card 97 pages 155 pages
with 2 MB Memory Card 1"77pages 235 pages
with 4' MB Memory Card 347'pages 405 pages
with 8 MB Memory 'Card _ 740 pages' '
(Based on ITU-T/CCITT Image No,1 using Standard Resolution)
(8 MB Memory Card is available for UF-770)
166

Specifications__
Power Supply 180 - 264 VAC, 47 - 63Hz, Single Phase : 200 V version
(90 - 138 VAC, 47 - 63Hz, Single Phase : 100 V version)
Power Consumption Standby : Approx. 8Wh (100 V version)
11Wh (200 V version)
(UF-550/770 Power Saver Mode : On)
: Approx. 48Wh
(UF-550 Power Saver Mode : Off)
: Approx. 84Wh
(UF-770 Power Saver Mode : Off)
[Room temperature : 25°C]
Transmission : Approx. 20W
Reception : Approx. 460W
Copy : Approx. 460W
Max : Approx. 460W
Dimensions
Weight
[UF-550/770]
430 mm (W) x 415 mm (D) x 280 mm (H)
(excluding Projections and optional Paper Cassette)
Approx. 15 kg
(excluding consumable supplies and options)
9
Operating Environment Temperature
Relative Humidity
: 10 to 35°C
: 15 to 7'0%
167

Recording Paper Specifications
In general, most photocopy papers will also work very well. There are many "name" and "generic" brands of
paper available. We recommend that you test various papers until you obtain the results you are looking for,
The following table summarizes the major specifications to consider when selecting white or colored paper.
Basic Weight
Cut Edge Conditions
Grain
Moisture Content
Opacit-t
Packing
Sizes
Type
60 to 90 g/m2
Cut with sharp blades, no visible frayed edges
Long grain
3.7% to 5.3% by weight
88% minimum
Polylaminated moisture-proof ream wrap
A4 : 210 mm x 297 mm
Letter : 216 mm x 279 mm
Legal :216mmx356mm
Cut sheet (No curled)
[]Note: It is possible that paper could meet all of the specifications listed above and still not print well because of
the variations in paper manufacturing. Therefore, we recommend that you test paper thoroughly before
purchasing,
....168

Options and Supplies 4.
Please contact your local Panasonic dealer for availability.
A. Options:
Order No.
UE-403117
UE-404053
UE-404058
UE-404056
UE-409051
or
UE-409057
UE-409057
UE-409056
UE-410006
UE-410007
UE-410008
UE-410029
UE-403125
Picture Description
Handset Kit
Parallel Port Interface Kit
(Used for Printer or PC Interface)
V.24/Encryption Interface Kit
250 sheets Letter /Legal /A4 Size Paper
Cassette with the Feeder Unit
500 sheets Letter /Legal /A4 Size Paper
Cassette with the Feeder Unit
Expansion IC Memory Card, 1MB
Expansion IC Memory Gard, 2 MB
Expansion IC Memory Card, 4 MB
Expansion tC Memory Card, 8 MB
72 hours battery back-up option kit
Available
Models
UF-550
UF-550
UF-770
UF-770
UF-550
UF-770
UF-770
UF-550
UF-770
UF-770
UF-770
rT] Note: For some countries, the handset may not be available because of the country's regulation or specification.
169

I_ Options and Supplies
B. Supplies:
Order No.
FX-13-2P
UG-3313
Picture Description
J,i
!Verification Stamp
Toner Cartridge
Available
Models
UF-550
UF-770
UF-550
UF-770
170

Options and Supplies 4
Installing Memory Card
Before installation begins, make sure that there is no document file stored in the memory. "Youmay confirm
by print out a File List (see page 76). When the memory card is installed, the machine will initialize the
document memory, all contents stored in the document memory wilt be _ost.
1(_ Turn the Power Switch to the "O" (OFF) position
located in the rear of the machine.
(_) Open the ADF Door
2(_ Insert the Memory Card into the card slotwith the
Panasonlc logo facing to the rear.
(_) Close the Transmitting Cover
9
Turn the Power Switch to the "r' (ON) position. Print out the Fax Parameter List (see page 151)
and confirm the memory size on Fax Parameter No. 99. (see page 38)
r_ Note: The document(s) stored in memory will be lost ff the memory card is removed.
171

Glossary ....
ABBR. No.
(Abbreviated Number)
ADF
(Automatic Document Feeder)
Automatic reception
Auto print reduction
BPS
(Bits Per Second)
C.C.l.%_
CCITT Image No.1
(ITU-TICCITT)
Character ID
Character keys
Coding scheme
COMM. JOURNAL
Confidential communication
ConfidentialXMT Repod
CONTRAST
Cover Sheet
The ability to store full phone numbers into the dialer and then utilizing a
short series of keystrokes to speed dial that number in the future.
The mechanism that delivers a stack of document pages to the scanner
one page at a time.
The mode that allows you to receive fax documents without user
intervention.
The method of automatically reducing a received document so that it can
be printed onto a standard size piece of plain paper. For example, your
machine will reduce an incoming legal size page to 75% of its original size
so it could fit on a letter size page.
The amount of data that is transmitted over the phone line. Your machine
can start at each Max, Modem speed and automatically steps down to
suitable speed depending on the phone line condition and the receiving
machines capabilities,
(Max. Modem Speed UF-550:9600 BPS /UF-770:14400 BPS)
Consultative Committee on International Telegraph and Telephone, This
organization has presently developed four groups of industry standards
that insure facsimile compatibility.
An industry standard document that allows comparisons of the
transmission speeds and capabilities of facsimile machines.
Aprogrammed proprietary code name that allows up to 16 alphanumeric
characters identifying your facsimile machine.
The keys that are used to enter letters and symbols for various
programming functions.
The data compression method used by facsimile machines. Your machine
utilizes Modified Huffman (MH), Modified Read (MR), and Modified
Modified Read (MMR) coding schemes.
Refers to either the Communication Journal, Relay Transmission Report,
or the Confidential XMT Report.
In a network of facsimile machines, a code can be entered to retrieve a
document that is stored in memory of a designated relay station.
The report that gives you information about the transmission of a
confidential document(s) to a relay station.
Signifies the scanning sensitivity in terms of lightness and darkness of
your original transmitting pages.
A Fax Cover Sheet can be attached to your transmit document(s) that
shows the recipient's name, originator's name and number of pages
attached.
172

wiiiiiiiiii Glossary
DDD
(Direct Distance Dialling)
Deferred polling
Deferred transmission
Department Code
Direct Dialling
Directory Search Dialling
Directory Sheet
DTMF
(Dual Tone Multi-Frequency)
ECM
(Error Correction Mode)
End receiving station
FAX Access code
FAX Forward
FAX Parameter List
File
File Transmission
Fixed print reduction
FUNCTION
G3 mode (Group 3)
Atelephone service that allows unassisted dialling, no operator
assistance is required.
The ability to retrieve documents from other stations at a later time.
The ability to send documents to other stations at a later time.
This operation require the user to input a preset 4-digit Department Code
before transmission. The Department Name of selected Department
Code is printed on the Header of each page sent, Cover Sheet, COMM.
Journal and Individual Transmission Journal.
The method of dta_ting where you enter the entire telephone number
through the keypad.
Allows you to dial a full telephone number by seamhing the station's name
entered in the One-Touch keys or Abbreviated dialling numbers.
The list that contains the station names that are programmed into your
unit.
Dialling method that sends adifferent set of frequencies for each digit of
the telephone keypad. Commonly refers to touch tone Dialling.
The ability to correct transmission errors as detected during the
transmitting phone call.
In a relay network, the final station designated to receive the document.
A 4-digit programmable code that prevents unauthorized operation of your
Fax.
The ability to forward all incoming faxes to the station registered in the
ABBR. No. [00].
The list that contains the home FAX parameters settings that you have
programmed into your machine.
Atask that has been stored into the memory of your unit. Examples are
deferred transactions.
Afeature that allows you to store a perpetual File (until it is erased) in the
memory that can be sent to a single or multiple stations repeatedly.
The method that allows you to determine one reduction rate, such as 75%,
for all incoming documents.
The control panel key that will be utilized to begin an operation or
configuration of a feature.
Refers to the standards and transmission capabilities of the current
generation of facsimile machines.
I
173

Glossary
Group dialling
HALFTONE
Handshaking
Header
ITU-T
ID
image memory capacity
Individual Transmission
Journal
Information code
Initial sending station
Journal
Keypad
LCD
LOGO
Multiple Logo
Manual reception
Memory transmission
Modem
The ability to program many telephone numbers into a single station so
that many locations can be dialed in sequence utilizing a single keystroke.
A scanning technique to distinguish levels of gray from black and white.
Your machine can detect up to 64 levels of gray in halftone mode,
The exchange of agroup of control signals that communicate between the
transmitter and receiver. These signals determine the condition at which
communication can occur.
A row of information that is transmitted by the sending machine and printed
on the top of each page by the receiving unit. This identifies the
transmitting unit and information about the transmission; such as time and
date.
International Telecommunication Union - Telecommunication, formerly
known as C.C.I.T.T.
Aprogrammable address of up to 20 digits identifying your machine.
This signifies the amount of memory available in your unit capable of
storing pages of documents. All page units of measure are based on the
ITU-T Image No.l.
A report that is printed by the transmitting unit stating information
regarding the last document transaction.
A code that is internally generated by your Fax stating aspecific
operational error or machine failure.
In arelay network, the station that is originating the document
transmission.
Areport that is printed by your unit listing the last 100" transmitting and
receiving transactions. (* UF-550 : last 32 transmitting)
A group of numeric keys located on your control panel.
Liquid Crystal Display. The display area of your machine.
Your programmed company name or identification up to 25 alphanumeric
characters.
The user can select one of 25 preset LOGOs before a fransmission.
A mode that requires operator intervention to receive an incoming
document.
The documents are scanned into memory before actual connection to the
phone line for transmission.
Adevice that converts signals from your fax machine intosignals that can
be transmitted over telephone lines,
174

Glossary <1
Multi-station transmission
Multi-file transmission
Network address
Network password
Off-hook dialling
OMR-XMT
On-hook dialling
One-Touch dialling
Overlap Printing
Panasonic Super Smoothing
Polling
Polling password
Power Failure Report
Power Saver Mode
Print Collation
Prir',t reduction modes
Program keys
PSTN
Receiving password
The ability to broadcast the same set of documents to a programmed
number of locations.
The ability to store many files into your machine's memory before actual
telephone connection occurs.
An individual 4-digit addressing number assigned to a One-Touch/
Abbreviated number that identifies a particular station in a relay network.
A 4-digit password assigned to a network address to prevent unauthorized
stations from accessing a relay station.
The direct dialling of atelephone number with the handset out of the cradle
or "off the hook."
Is used to transmit to a system, such as Fax Server, that has OMR Sheet
reading capability.
The direct dialling of atelephone number with the handset in the cradle or
"on the hook."
The ability to dial an entire telephone number by pressing one key.
Documents too long to be reduced are automatically printed on two pages
with approximately 10 mm overlap.
An electronic image enhancement (Panasonic Super Smoothing) that will
create a particular pattern for the improvement of copy quality.
The ability to retrieve a document from another facsimile machine.
A 4-digit programmed code that enables the security of a document being
polled.
A report that contains information on the last transaction that took place
during a power outage.
To reduce the power consumption of the machine in standby, setect the
time period to turn OFF the high temperature fuser unit when the printer
is idle.
The ability to stack received documents in the correct order.
The methods used to determine how an incoming document will be
reduced to print onto the paper loaded in your machtne.
Keys that are defined for storing a sequence of stations to be dialed or
polled.
Public Switched Telephone Network. Network of interconnected switching
equipment and transmission facilities.
A 4-digit password that is checked before a document is received.
9
m
m
175

Glossary ii iiiiiiiiiiiiiiiiiiiiii iiiiiiiiii i iiiiiii i|111 iii
Relay station
Relay network
Relay Transmission
Relay Transmission Report
Relay address
RESOLUTION
Selective reception
Station name
Stored documents
Sub-address
Sub-address Password
Substitute memory reception
Transmission reservation
Transmission password
User parameter
Verification stamp
View Mode -File List
View Mode -Journal
Acertain type of facsimile machine that can store and forward documents
to an end receiving station and/or a relay station in another relay network.
Your machine can not be used as a relay station.
A group of facsimile machines that communicate via a relay station.
Sending a document to a relay station, which in turn, sends the document
to the end receiving station.
A report that contains information regarding the last document
transmission to a relay station.
A 2-digit code that identifies your machine is programmed in a relay
network.
Relates to the number of dots scanned or printed per certain square. The
quality of the image increases as the number of dots per certain square
increases.
A function that can be set so that your unit will receive from only those
machines programmed into your dialer.
Alphanumeric ID which can be programmed for each One-Touch dialling
and Abbreviated dialling number.
Documents that have been scanned and now are stored inyour machine's
memory.
ITU-T recommendation for further routing, forwarding or relaying of
incoming faxes.
ITU-T recommendation for additional security that corresponds to the
Sub-address.
Your machine's ability to store an incoming document into its memory,
when it runs out of recording paper or toner.
The ability to preset a telephone number so that you may reserve a
transmission while your unit is performing another function.
A 4-digit password that is checked when a document is transmitted.
Programmed parameters that provide information to other star,ions.
Examples are logo, character ID, date and time. _"
A user selectable transmission verification stamp can be placed 0:'
scanned documents that are successfully transmitted or stored in
memory.
Allows you to view the brief contents of the memory files through the LCD
display without having to print the Memory File List.
Allows you to view the brief contents of the journal through the LCD display
without having to print the journal.
176

INDEX
A
ABBR. Number List ............................... 148
Abbreviated Dialling Numbers ....................... 29
ADF Capacity .................................... 165
Automatic Document Feeder ........................ 40
Automatic Reception ............................... 60
Automatic Reduction ............................... 61
C
Character ID ...................................... 27
Character Key .................................... 10
Communication Journal (COMM. JOURNAL) ...... 43, 145
Confidential Code ................................ 117
Confidential Communication ....................... 117
Confidential Mailbox .............................. 117
Contrast .......................................... 41
Copy ............................................ 64
Cover Sheet ...................................... 89
D
Date and Time .................................... 25
Deferred Polling ................................... 66
Deferred Transmission ............................. 70
Department Code .................................. 98
Diagnostic Password ............................... 37
Dialling Method (Tone or Pulse) ...................... 23
Dimensions ...................................... 167
Direct Transmission ................................ 51
Direct Transmission Reservation ..................... 58
Directory Search Dialling ........................... 54
Directory Sheet .................................... 33
Distinctive Ring Detection ........................... 88
Document Jam ................................... 159
Document Misfeeding ............................. 162
Document Size ................................... 165
Document Thickness .............................. 165
Document Tray .................................... 14
Dual Access ...................................... 57
E
E.dit File Mode ..................................... 76
F
Fax Access Code .................................. 84
Fax Forward ...................................... 93
Fax Parameter List ............................... 151
Fax Parameter Table ............................... 35
File List .......................................... 76
File Transmission .................................. 94
Fixed Reduction ................................... 61
Flash ............................................ 11
Function Key List ................................... 8
G
Group Dialling ..................................... 73
H
Halftone .......................................... 42
Header Format .................................... 35
Header Print ...................................... 35
I
ID Number ........................................ 28
Image Memory Capacity ........................... 166
Incomplete File .................................... 36
IND. XMT JOURNAL .............................. 142
Information Codes ................................ 155
Initial Sending Station ............................. 128
J
Journal .......................................... 141
K
Key/Buzzer Volume ................................ 35
L
Loading Documents ............................... 39
LOGO ........................................... 26
M
Memory Card ................................ 169, 171
Memory Transmission .............................. 44
Monitor Volume ................................... 24
M ulti-Station Transmission .......................... 50
Multiple LOGO ................................... 107
N
Network Address ................................. 131
Network Password ................................ 131
O
Off-Hook Dialling .................................. 55
OMR-XMT ........................................ 91
On-Hook Dialling .................................. 56
One-Touch Dialling Numbers ........................ 29
One-Touch Keys .................................. 29
One-Touch List ................................... 148
Operating Environment ............................ 167
Overlap Printing ................................... 62
Own Network Address ............................ 131
177

Own Telephone Number ........................... 131
P
Paper Specification ................................ 18
Password Reception .............................. 112
Password Transmission ........................... 112
Pause ........................................... 11
Polling ........................................... 67
Polling Password .................................. 67
Power Consurnption .............................. 167
Power Failure Report. ".............. 152
Pressure Adjusting Lever ............... ........... 162
Print Collation ..................................... 63
Print Margin ...................................... 166
Print Reduction ... ................................. 61
Print Reduction Ratio ............................... 6!
Priority Transmission Reservation .................... 58
Program Keys ..................................... 70
Program List ..................................... 150
R
Receive To Memory ................................ 86
Received Time Print ............................... 35
Receiving Password .............................. 114
Recording Paper Jam ............................. t58
Recording Paper Specification ...................... 168
RedJa! ........................................... 59
Reduction Ratio ................................... 61
Relay Address ................................... 131
Relay Network ................................... 128
Relay Station .................................... 128
Relay Station Parameter ........................... 131
Re_ay XMT Report (COMM. JOURNAL) .............. 136
Result Report .................................... 136
Retry Incomplete File .... '........................... 83
Ringer Volume .................................... 24
S
Scanner Resolution ............................... 165
Selective Reception ............................... 1!
Sub-address Password ............................. 37
Sub-addressing .................................. 138
Substitute Memory Reception ....................... 63
T
Timer Controlled Communications ................... 66
Toner Cartridge .................................... 17
Transmission Password ........................... 113
Transmission Reservation .......................... 57
U
User Parameters .................................. 25
V
Verification Stamp ............................. 42, 163
W
Weight .......................................... 167
178