741705 Instructions
2017-03-09
: Pdf 741705 Instructions 741705_Instructions product s
Open the PDF directly: View PDF
.
Page Count: 13

tuned for growing
tm
GX150HR, GX200HF
& EX100
Owners Manual
www.growonix.com

2
tuned for growing
tm
GX150HR & GX200HF
featuring 2:1 waste ratio
GX150HR/GX200HF features
150 / 200 Gallons Per Day
6.25 Gallons Per Hour
2:1 Waste Ratio
Dow Chemical Membrane
High Flow Washable Sediment Filter
Clear Filter Housings
Stainless Steel Liquid Filled Pressure Gauges
Patented Metal Housing
Auto Shutoff Valve
EZ Hookup Kit
Wall Mountable
Uses 50% less water than traditional RO
systems
The GX150/GX200. When we developed the GX150/GX200, we decided to pack all the
high end features into a tight efcient RO unit. We engineered a 50% increase in water
production over traditional ROs, lowered the waste ratio to 2:1, and still offered it to you
for the same price point of an entry level RO lter. But we didn’t stop there. We topped it
all off with a 2” stainless steel liquid-lled pressure gauge, never before seen in a lter this
size, and integrated it into our patented GX Series bracketing system. A manual ush valve
allows you to clean the membrane, purging out pollutants that could otherwise add buildup
to the system. Flushing adds considerable life to the membrane. With ow rates at 6.25/9
GPH (Gallons Per Hour), the GX150/GX200 delivers the same excellent ltration as our
larger models.
Built in the U.S.A. No Assembly Required

3
Table of Contents
4
5
5
6
7
8
9
10
11
12
13
13
14
15
Introduction
Precautions
Information on ow rates
Information on quick connect ttings
GX150/GX200 Component Diagram
Setup Instructions
Replacing Sediment and Carbon Pre-Filters
Replacing Membrane Element
Flushing the Membrane Element
Specications Charts
RO System Warranty
Return Policy
Replacement Accessories
GX Series Flow Specications

4
Our Mission
Durability, Reliability, Eciency, Purity, and Conservation form the foundation on which we design and build
all of our products. Consistent and superior quality sets us apart from other manufacturers and increases
our value to you - our customer. Whether you are a hydroponics hobbyist, serious enthusiast, or large-scale
gardener, GrowoniX is committed to bringing you the best solution for water purication systems.
What is Revers Osmosis?
Reverse osmosis (RO) is a ltration method that removes many types of large molecules and ions from
solutions by applying pressure to the solution when it is on one side of a selective membrane. This ltering
process ensures that the solute (waste water) is contained within the pressurized chamber while the pure
solvent (RO water) is allowed to pass freely through the membrane.
Tuned for Growing - In Tune with Our Customers
Traditional RO systems have waste ratios of approximately 4:1, which means there are 4 gallons of waste
water produced for every 1 gallon of puried water. GrowoniX line of water lters achieve waste ratios of 2:1
with the GX150/GX200 and GX300/GX400 and an astounding 1:1 ratio with the GX600 and GX1000.
GrowoniX has created a complete product line that will address the needs of hydroponic operations of all
sizes. Our lters will signicantly reduce your water use while dramatically increasing your yields.
Introduction
THE TRADITIONAL WAY
takes 4 gallons of waste water to produce 1 gallon of pure water
WASTE WATER PURE WATER
The GrowoniX way
WASTE WATER PURE WATER

5
Precautions
• Do not use unit with inlet water pressure exceeding 80 psi. If inlet water pressure is too high, install
water pressure regulator before the unit. Regulators and pressure limiters are available at
www.Growonix.com or your local plumbing supply.
• Keep unit away from direct light. Direct light can cause algae and other biologicals to grow inside
of the lter housings.
• Do not install unit near electrical outlets or electrical devices. Do not install in places where a leak
can cause damage.
Information on ow rates
GrowoniX GX150/GX200 RO water lters are rated using supply water that is 77°F, 475ppm, at 70psi.
Slower performance may be noted in areas with colder temperatures, higher water salinity, or lower
inlet
water pressure.
• A minimum of 40psi is recommended to operate GrowoniX water lters. If your inlet water
pressure is too low, booster pumps can be used to increase pressure. Pumps are available at
www.Growonix.com.
• Do not use a ow restrictor other than the one included with your unit.
• Flow restrictors help tune the unit for proper waste ratio.
• Using bigger ow restrictors, or using the unit in areas with exceptionally dirty water, will decrease
membrane performance and longevity.

6
Information on quick connect ttings
INSERT TUBE INTO FITTING
Push the tubing through the collet and dual o-rings until it bottoms out against the tube stop. The
collet holds the tube in place and the dual o-rings provide a leak resistant seal.
MAKE A CLEAN TUBE CUT
Cut the tube squarely and if using plastic tubing, ensure that the cut has not made the tube out of
round. Also ensure that the tube has a smooth outside diameter without any burrs or score marks
prior to inserting it into the tting.
TEST AND INSPECT
Push and pull the tubing toward and away from the tting to ensure that it has been installed properly.
Test and inspect the installation for any leaks.
TUBE REMOVAL
Relieve pressure from the tubing and tting. Push uniformly around the collet ange against the tting
body while pulling the tubing away from the tting to release it.
Growonix RO water lters use quick connect ttings that allow for easy maintenance.
O-RING COLLET TUBING
PUSH COLLET IN
PULL TUBE OUT

7
7
11
6
8
10 9
1
4
32
5
13
12
16
15
14
GX150/GX200 Component Diagram
1. Patented GX series mounting bracket
2. Sediment lter
3. Carbon lter
4. RO membrane
5. Pressure gauge
6. Supply water in
7. RO water out
8. Waste/drain tubing
9. Flow restrictor
10. Membrane ush valve
11. Auto shuto valve
12. Drain saddle clamp
13. In line shuto valve
14. Filter wrench
15. Supply, RO, and drain tubing
16. Garden hose adapter

8
7
1
3
2
Important Tips:
• Growonix 300 GPD water lters are designed to be used with between 40-80 psi of
incoming water pressure. Do not exceed 80 psi of incoming water pressure. If incoming
water pressure is too high, install pressure regulator before unit. Pressure regulators are
available at www.growonix.com
• Always turn incoming water pressure on slowly, allowing all air to be discharged before full
water pressure is restored.
Setup Instructions:
Connect the 1/4” blue drain tubing to
ow restrictor, making sure drain tubing
seats all the way in quick-connect tting.
This is the waste/drain tubing that will
also connect to the drain clamp.
Connect 1/4” white RO tubing to the auto
shut-o valve, making sure RO tubing
seats all the way in quick-connect tting.
This is the ltered RO water out line.
Connect 3/8” white supply tubing to the
inlet tting, making sure inlet line seats all
the way in quick-conect tting. This is the
supply water in line.
Mount drain clamp to available drain
pipe. Connect other end of drain tubing
to included drain clamp.
4
Connect the 1/4” blue drain tubing to the
tee tting just after the ow restrictor.
Important Tips:
• The GX150/GX200 water lters are designed to be used with between 40-80 psi of incoming
water pressure.
• Units upgraded with High Flow Membranes can work with as low as 20 psi of incoming
water pressure.
• Do not exceed 80 psi of incoming water pressure. If incoming water pressure is too high, in-
stall pressure regulator before unit. Pressure regulators are available at www.GrowoniX.com
• Always turn incoming water pressure on slowly, allowing all air to be discharged before full
water pressure is restored.
Connect 3/8” white supply tubbing to the
inlet tting, making sure inlet seats all
the way in quick-connect tting. This is the
supply water in line.
Connect 1/4” white RO tubing to the auto
shut-o valve, making sure RO tubing
seats all the way in quick-connect tting.
This is the ltered RO water out line.
Mount drain clamp to available drain
pipe. Connect other end of drain tubing
to included drain clamp.
1
3
2
4
Setup Instructions

9
1
3
2
4
Replacing Sediment and Carbon Pre-Filters
Unscrew sediment and carbon lter hous-
ings using supplied lter wrench. Wash
inside of lter housings to remove debris.
Tighten lter housings by hand, do not
use lter wrench. Do not over tighten.
When replacing lter housings, make sure
housing O-rings are seated properly. O-
rings function best when lubricated with
food grade silicone lubricant.
Install new sediment and carbon lter,
making sure they go into the correct lter
housings.
Important Tips:
• Pre-lters should be changed when either brown discoloration occurs, or system ow
rates have signicantly declined.
• Always turn incoming water pressure o before servicing the unit.
• Always turn incoming water pressure on slowly, allowing all air to be discharged before
full water pressure is restored.
Sediment Carbon

10
2
4
Replacing Membrane Element
3
1
5
Disconnect input tubes from RO
membrane housing.
Unscrew membrane housing end cap.
Caps can be dicult to remove. Be sure to
have a rm grip on opposite side of hous-
ing . Do not lose O-ring on inside of cap.
Each cap has two O-rings.
Pull out membrane using needle nose
pliers or other similar tool.
Insert new membrane into housing,
making sure the membrane-end with
the two O-rings goes in rst. Make sure
membrane is completely seated in the
housing.
Replace end cap and tighten by hand. If
O-rings are dry, lubricate with food grade
silicone lubricant. Allow system to run for
½ hour before using RO water.
Important Tips:
• Membranes should be replaced
when system output signicantly
declines. Note: system output may
decline due to other factors as well
(see: troubleshooting)
Input tube

11
1 2
Flushing the Membrane Element
After ushing is complete, simply turn
ush valve to OFF position. Membrane
has been ushed.
Let system run for 3-5 minutes.
3
Make sure valve is open
(in the ON position).
ush position
closed position
(RO on)
GrowoniX water lters come with a manual ush valve. Flushing the membrane element after each
use for approximately 3-5 minutes will remove standing salts from the membrane, signicantly ex-
tending membrane life. Even weekly ushes will improve membrane life and system performance.
The ush valve is located in the waste line of the RO membrane. To ush the membrane simply turn
the ush valve to the FLUSH position as seen in picture 1. High pressure water will bypass the ow
restrictor and shuto valve and be sent down the drain, carrying membrane pollutants with it. If
using a oat valve and the system happens to be OFF due to valve engagement, opening the ush
valve will start the system again in ush mode, and the membrane will be closed.

12
Specications Charts
Pleated Sediment Filter
2.5 “ Diameter
Materials of Construction:
• Filter Media
• End Caps
• Core
• Temperature Rating
• Non-woven Polyester
• Vinyl Plastisol
• Polypropylene
• 40˚F to 125˚F (4.4˚C to 51.7˚C)
Size Description:
• 2.5” X 9 7/8”
Initial AP(psi) @ ow rate (gpm):
• 1 psi @ 10 gpm(.01 bar @ 38 L/min)
Eco Coconut Carbon Block Filter
Materials of Construction:
• Carbon: NSF listed 61,
Coconut Shell PAC
• End Caps: Polypropylene
• Inner/Outer Wraps: Polypropylene
• Nettings: Polypropylene
• Gaskets: NBR
• Temperature Ring: 40˚F to 180˚F
OD X Length:
• 2-3/4” X 9-3/4”
Nominal UM Rating
• 10
Initial AP(psi) @ ow rate (gpm):
• 1 PSI @ 30 GPM
Chlorine, Taste, Odor
Reduction Capacity Flow
• >8,000 gallons @ 1 GPM
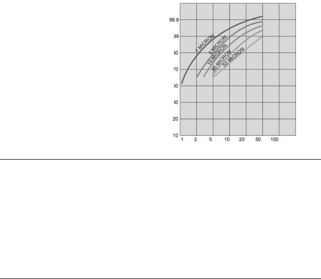
PARTICLE SIZE (MICRONS)
PERCENT EFFICIENCY*
RO Membrane Element
Operating Limits:
• Membrane Type:
Thin lm composite
• Maximum Operating Temperature:
110˚F (45˚C)
• Maximum Operating Pressure:
125 PSI
• Maximum Feed Flow Rate:
1 GPM
• Maximum Concentrate Flow Rate:
4 x Permeate
• pH Range, Continuous Operation:
3-11
• Maximum Feed Water Turbidity:
1 NTU
• Maximum Feed Silt Density Index (SDI):
5 SDI
• Chlorine Tolerance:
0 PPM
• Applied Pressure PSI (BAR):
65 (4.48)
• Permeate Flow Rate GPD:
150
• Nominal Salt Rejection(%):
98%

13
GrowoniX Return Policy
Merchandise Return Details and Procedure:
If any merchandise was defective —we will refund the full purchase price upon receiving and reviewing the merchandise returned
in undamaged condition.
RMA Number:
You must rst obtain a Return Merchandise Authorization (RMA) number from www.GrowoniX.com. Any products sent to GrowoniX
without an RMA number will not receive a refund and may be returned to the sender at their expense.
All refund amounts will be based on the manufacturer’s warranty and GrowoniX return policy. Refunds will be issued back using the
payment method you used when you placed your order. Refunds take up to 3-5 business days to process once we receive the return.
Packaging:
Please kindly re-pack the product in its original box, or a box of equivalent strength. The unit should be packed in the same manner
as it came to prevent damage in shipping. Please return everything that was in the original box, including any free items if appli-
cable. Be sure to drain out all water from wet systems and parts and wrap them in plastic bags before packing.
Return To:
We will provide you with an GrowoniX warehouse address for return merchandise when we issue the RMA number.
GrowoniX Reverse Osmosis System Warranty
For a period of one year from the date of original purchase, we will replace or repair any part of the GrowoniX reverse osmosis water
system that we nd to be defective in operation due to faulty materials or workmanship with the exception of the replaceable lters
and membranes.
GENERAL CONDITIONS
Damage to any part of this reverse osmosis system because of misuse; misapplication; negligence; alteration; accident; installation;
or operation contrary to our instructions, incompatibility with accessories not installed by GrowoniX, or damage caused by freezing,
ood, re, or Act of God, is not covered by this warranty. In all such cases, regular charges will apply. This limited warranty does not
include service to diagnose a claimed malfunction in this unit. This warranty is void if the claimer is not the original purchaser of the
unit or if the unit is not operated under normal municipal water or well water conditions.
GrowoniX assumes no liability in connection with this reverse osmosis system. GrowoniX assumes no liability for any damages
incurred through the use of this product. It is the responsibility of the end user to gauge the safe use of this product in the environ-
ment where it is applied. We do not authorize any person or representative to assume for us any other obligations on the sale of this
reverse osmosis system. The information given out in the manual we believe to be true, but are oered to you in good faith without
guarantee because each application of this product is dierent and beyond our control.
THE FOLLOWING STANDARD OPERATING CONDITIONS FOR RESIDENTIAL/COMMERCIAL REVERSE OSMOSIS SYSTEMS MUST BE
MET FOR WARRANTY TO BE VALID.
Water Pressure pH Range Maximum TDS Water Temp
Standard System 40-80 psi 2-11 2000 ppm 40-100 F