AN 4166 — Heat Sink Mounting Guide
User Manual: Pdf
Open the PDF directly: View PDF
.
Page Count: 10

To learn more about ON Semiconductor, please visit our website at
www.onsemi.com
Is Now Part of
ON Semiconductor and the ON Semiconductor logo are trademarks of Semiconductor Components Industries, LLC dba ON Semiconductor or its subsidiaries in the United States and/or other countries. ON Semiconductor owns the rights to a number
of patents, trademarks, copyrights, trade secrets, and other intellectual property. A listing of ON Semiconductor’s product/patent coverage may be accessed at www.onsemi.com/site/pdf/Patent-Marking.pdf. ON Semiconductor reserves the right
to make changes without further notice to any products herein. ON Semiconductor makes no warranty, representation or guarantee regarding the suitability of its products for any particular purpose, nor does ON Semiconductor assume any liability
arising out of the application or use of any product or circuit, and specifically disclaims any and all liability, including without limitation special, consequential or incidental damages. Buyer is responsible for its products and applications using ON
Semiconductor products, including compliance with all laws, regulations and safety requirements or standards, regardless of any support or applications information provided by ON Semiconductor. “Typical” parameters which may be provided in ON
Semiconductor data sheets and/or specifications can and do vary in different applications and actual performance may vary over time. All operating parameters, including “Typicals” must be validated for each customer application by customer’s
technical experts. ON Semiconductor does not convey any license under its patent rights nor the rights of others. ON Semiconductor products are not designed, intended, or authorized for use as a critical component in life support systems or any FDA
Class 3 medical devices or medical devices with a same or similar classification in a foreign jurisdiction or any devices intended for implantation in the human body. Should Buyer purchase or use ON Semiconductor products for any such unintended
or unauthorized application, Buyer shall indemnify and hold ON Semiconductor and its officers, employees, subsidiaries, affiliates, and distributors harmless against all claims, costs, damages, and expenses, and reasonable attorney fees arising out
of, directly or indirectly, any claim of personal injury or death associated with such unintended or unauthorized use, even if such claim alleges that ON Semiconductor was negligent regarding the design or manufacture of the part. ON Semiconductor
is an Equal Opportunity/Affirmative Action Employer. This literature is subject to all applicable copyright laws and is not for resale in any manner.

www.fairchildsemi.com
© 2014 Fairchild Semiconductor Corporation www.fairchildsemi.com
Rev. 1.0.0 • 6/25/14
AN-4166
Heat Sink Mounting Guide
Summary
This document provides guidelines for mounting heat sinks
for the proper thermal management of power semiconductor
devices in field applications. This document describes heat-
sink mounting methods, considerations, contact thermal
resistance, and mounting torque for various packages.
Heat Sink Mounting Considerations
Thermal Resistance and Heat Sink Mounting
The thermal performance of a package with a heat sink is
characterized by a junction-to-ambient thermal resistance,
Rja, which is the sum of junction-case (Rjc), case-heat sink
(Rcs), heat sink (Rsink), and heat sink-ambient (Rsa).
Thermal resistance components are shown in Figure 1.
Air convection is usually the dominant heat transfer
mechanism in electronics. The convection heat transfer
strongly depends on the air velocity and the area of the heat-
transferring surface. Since air is a good thermal insulator, it
is important that a heat sink is used to increase the overall
heat transfer area to the ambient, i.e., the overall thermal
performance, R heat sink-ambient, as shown in Figure 1. This is
especially true for power device packages.
Figure 1. Thermal Resistance Model of an Package Assembly with a Heat Sink
Heat Sink
Package
Silicon Die
Power dissipated
R
junction-case
R
case-heat sink
R
heat sink
R
heat sink-ambient

AN-4166 APPLICATION NOTE
© 2014 Fairchild Semiconductor Corporation www.fairchildsemi.com
Rev. 1.0.0 • 6/25/14 2
Applying the heat sink provides an air gap between the
package and the heat sink due to the inherent surface
roughness, as shown in Figure 2. Since the two rough
surfaces can only make contact at certain points or areas, the
remaining space is filled with air. Since air is a good
insulator, the air gap significantly increases the thermal
resistance. This is called a contact thermal resistance, R case-
heat sink and is shown in Figure 1. The contact thermal
resistance is a function of the roughness of the contacting
surfaces and the contact pressure. The technique of
mounting a heat sink is a key factor in minimizing the
contact thermal resistance.
Figure 2. Surface Model Showing the Air Gap
between a Package Case and a Heat Sink
The first way to reduce the contact thermal resistance is to
increase the contact pressure, which is the joining force.
This maximizes the contact area between the two surfaces.
Increasing the mounting torque in the fastening screw or
using a clip with a high spring constant provides for larger
contact areas, providing solid conduction heat flow paths
compared with air conduction through the air gap.
The second method is to fill the air gap with an interface
material, such as silicone grease or an insulation pad, having
better thermal conductivity than air. Table 1 shows the
typical thermal resistance values of several interface
materials[1]. Thermal information for various interface
materials is provided by leading manufactures.[2,3,4]
Table 1. List of Conventional Interface Materials
and their Properties
Material Type
Thickness
(in)
Thermal
Resistance
(°C-in2/W)
Mica / grease
0.003
0.10
BN-Filled Silicone Sheet
0.010
0.17
Kapton MT / Phase Change
0.002
0.20
Kapton MT / BN-Filled Silicone
0.006
0.25
Alumina-Filled Silicone Sheet
0.010
0.45
Mounting Surface Condition
The contact surfaces must be flat and clean. The following
surface conditions are recommended for the heat sink:
Flatness 16 m (reference length 0.8 mm)
Surface finish 0.02 mm
A milled or machined surface is satisfactory if prepared with
tools in good working condition. The heat sink mounting
surface also must be clean and free from particles, damage,
or corrosion. Drilling is preferable to punching in the
machining of the heat sink through-hole. Inappropriate
punching can cause a depressed and irregular surface near
the mounting hole. This can cause local distortion of the
package and poor thermal performance due to uneven
thermal contact.
Mounting Technique
Screw Mounting
Screw mounting is a traditional assembly method
accomplished with the fastening of a screw, nut, and
washer. Although it takes long to assemble in a mass
production environment, it is easy and quick to disassemble.
Applying the proper mounting torque is the key factor in
obtaining adequate contact pressure along the contact
surfaces of the package and the heat sink to minimize the
contact thermal resistance. With a low mounting torque, the
contact thermal resistance increases due to bad thermal
contact under insufficient contact pressure. With a high
mounting torque, the package head and mounting tab show
large deformations such that the package may be lifted away
from the heat sink, as shown in Figure 3. This also increases
the contact thermal resistance. Hence, an appropriate range
of mounting torque values must be applied to produce
minimal thermal resistance. This prevents package
destruction or changes in device characteristics.
Figure 3. Bad Assembly in Screw Mounting
A fastening torque can be transferred to the axial force of
the screw, as described in Equation (1):[5]
F =
2T
dmdmlsec
1 + dmsec
(1)
where l, dm, , and 2 are the pitch, mean diameter,
friction coefficient, and thread angle (2 =60 ° for
standard metric threads), respectively.
Heat sink
Screw
Package
Washer
Nut
Bad thermal contact
Air gap
Package
Heat sink
Bad Thermal
Contact

AN-4166 APPLICATION NOTE
© 2014 Fairchild Semiconductor Corporation www.fairchildsemi.com
Rev. 1.0.0 • 6/25/14 3
The axial force in the screw results in the contact pressure
between the package case and the heat sink surface. Table 2
shows the typical coefficients of sliding friction for common
material combinations.[5]
Table 2. Friction Coefficients for Threaded Parts
Screw
Material
Nut Material
Steel
Bronze
Brass
Cast Iron
Steel, Dry
0.15-0.25
0.15-0.23
0.15-0.19
0.15-0.25
Steel,
Machine Oil
0.11-0.17
0.10-0.16
0.10-0.15
0.11-0.17
Bronze
0.08-0.12
0.04-0.06
0.06-0.09
Clip Mounting
The clip mounting method has become popular because it is
a simple and reliable mounting process. The process is fast
and appropriate for mass production assembly. The screw
mounting is applied at the die center-off on one end of the
package during fastening. This causes uneven contact
pressure and a bad thermal contact. But the clip is mounted
on the package center over the die, and this results in more
uniform contact pressure and good thermal contact.
Although clip mounting reduces the chances of over or
under tightening the fastening screw, it is hard to place the
package correctly.
Figure 4. Example of Clip Mounting
Rivet Mounting
The rivet method enables quick assembly in mass
production, but it is difficult to disassemble and control the
force applied to the rivet. The riveting force must be
controlled to avoid shape distortion, which increases the
contact thermal resistance between the package case and the
heat sink surface.
Figure 5. Example of Rivet Assembly
Soldering
In general, devices mounted to aluminum heat sinks must be
either screw or clip mounted. A new technology,
PowerSite™ [6] allows packages to be soldered directly to
the copper patch on the aluminum heat sink without screws,
nuts, rivets, or clips. Figure 6 shows the vertical structure of
a package assembled with PowerSite™ technology, which
removes the problem of pressure dependency associated
with mounting hardware and fasteners becoming loose. The
copper patch improves thermal performance compared with
manually applied thermal pads. However, it needs special
equipment for assembly and rework requires solder reflow.
Figure 6. Package Assembly with PowerSite™ Technology
Rivet
Package
Heat sink
Application of clip force
(at the package center above the die)
Clip
Copper (0.036 mm)
Component Metal Tab
Adhesive (0.004 mm)
Solder (0.076 mm)
Kapton MT
(0.025 mm)
Heat Sink

AN-4166 APPLICATION NOTE
© 2014 Fairchild Semiconductor Corporation www.fairchildsemi.com
Rev. 1.0.0 • 6/25/14 4
Heat Sink Mounting Guide
Screw Mounting
Screw mounting is a common assembly technique for
Fairchild power packages. The screw mounting techniques
and torque values are a function of several assembly
variables: contact surface condition, washer, thermal grease,
contact pressure, and mounting torque. The thermal
resistances for packages, such as discrete (TO220, TO220F,
TO3PF, TO3P, TO264, TO247, and TO126) and module
(7PMGA, HA, IA, and SPM27-AA) are measured. The
mounting torques recommended for optimal thermal
performance are analyzed below.
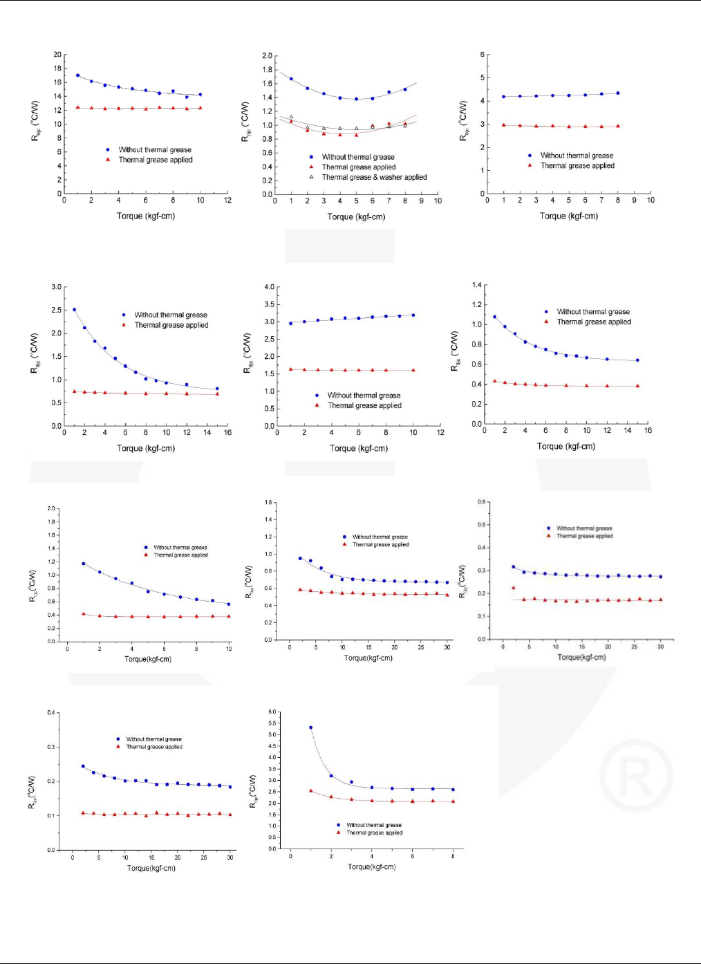
Dry Mounting
Generally speaking, increasing the mounting torques at an
initial stage reduces the junction-to-heat sink thermal
resistance or the contact thermal resistance, because the
contact area also increases with the mounting torques.
Further increasing the mounting torque increases the contact
thermal resistance due to excessive deformation of the
package. This results in a bad thermal contact, as shown in
Figure 3. Figure 7 shows variations of the thermal
resistances of each package under various conditions. The
Rjc of TO220 follows this tendency very well: the lowest
Rjc appears in the mounting torque of 4 kgf·cm to 6 kgf·
cm. Beyond that range, the Rjc rises again, which may be
due to deformation of the package. The Rjc of TO3P,
TO264, TO247, and TO126 decreases as the mounting
torque increases, not showing an increase in Rjc in the
range of measurement. TO3P, TO247, and TO264 can be
assembled to heat sink properly with mounting torque of
around 9 kgf·cm. The TO220 Rjc is low enough with a
mounting torque of 6 kgf·cm to 8 kgf·cm.

AN-4166 APPLICATION NOTE
© 2014 Fairchild Semiconductor Corporation www.fairchildsemi.com
Rev. 1.0.0 • 6/25/14 5
Figure 7. Thermal Resistance vs. Mounting Torque for Fairchild Power Packages
(h) 7PM-GA
(i) 7PM-HA
(g)TO247
(j) 7PM-IA
(k) SPM27-AA
(a) TO126
(b)TO220
(c)TO220F
(d) TO3P
(e) TO3PF
(f)TO264

AN-4166 APPLICATION NOTE
© 2014 Fairchild Semiconductor Corporation www.fairchildsemi.com
Rev. 1.0.0 • 6/25/14 6
Conversely, for the Rjc of TO220F and TO3PF, the thermal
resistances increase slightly as the mounting torque
increases. This is related to the mounting surface flatness of
the package, i.e., warping of the package during the molding
process in manufacturing. The mounting surface flatness of
TO220F and TO3PF is convex, while it is concave for
TO220 and TO3P as shown in Figure 8.
Figure 8. Package Mounting Surface
The higher the mounting torque, the larger the deformation
of the package head and mounting tab (in the case of the
convex surface). The unbalanced deformation around the
through-hole causes the package to be lifted from the heat
sink, which results in the bad thermal contact shown in
Figure 3. For the concave surface, the space between the
package and the heat sink becomes smaller as the mounting
torque increases. This is helpful in heat transfer from the
package to the heat sink. The mounting surface shape of the
package - convex or concave - depends on the package
structure and on the material properties (coefficient of
thermal expansion, elastic modulus, etc.). This indicates that
the optimal mounting torque must be chosen for each
package by measuring the thermal resistance at various
mounting torques.
In the dry mounting of TO220F and TO3PF (Figure 7(c),
(e)), there is no large dependency on the mounting torque,
so it is not appropriate to define an optimum mounting
torque range. But a low mounting torque may allow the
screw to loosen due to vibration or other external loads. This
results in the weak contact pressure between the package
surface and the heat sink. Therefore, it is reasonable to set
the mounting torque range similar to the range for packages
such as TO220 and TO3P. The appropriate mounting torque
of TO220F and TO3PF in dry mounting can be 4 kgf·cm to
5 kgf·cm and 6 kgf·cm to 8 kgf·cm, respectively.
The IGBT module package does not show the effect of
reducing the thermal resistance above 20 kgf·cm (Figure
7(h)~(j)). From the results, the torque of 18~20 kgf·cm is
recommended for 7PM-GA and 22~26 kgf ·cm is
recommended for 7PM-HA, IA. However, SPM27-AA does
show a tendency similar to TO3P or TO264. SPM27-AA
thermal resistance doesn’t decrease beyond 5 kgf·cm.
Besides optimization of thermal resistance, another criterion
for mounting torque is that physical or functional
characteristics of a product shall not deteriorate while the
package is tightened to the heat sink. A device under test
can be considered a failure if it exhibits any of the following
after package mounting: external crack visible with naked
eye, electrical function failure, or de-lamination on the
active side of die. To determine maximum recommended
torque of TO220 and TO220F packages, a torque test was
performed for FDP047AN08A0 and FDP032N08 in TO220
and FQPF13N50CF and FDPF20N50 in TO220F. These
products were selected as test vehicle because a product
with big die is prone to fail under the loading condition of
screw mounting. In the test, no package cracking and
electric failure happened until 7 kgf·cm. Table 3 shows that
de-lamination on the die didn’t change after screw
mounting. 7 kgf ·cm can be regarded as the maximum
torque for TO220 and TO220F.
Table 3. C-SAM Images Before and After Mounting
Before Mounting
After Mounting with 7 kgf·cm
TO220
(FDP047AN08A0)
TO220
(FDP032N08)
TO220F
(FQPF13N50CF)
TO220F
(FDPF20N50)
Epoxy Molding Compound
Lead frame
(b) TO220F, TO3PF
(a) TO220, TO3P

AN-4166 APPLICATION NOTE
© 2014 Fairchild Semiconductor Corporation www.fairchildsemi.com
Rev. 1.0.0 • 6/25/14 7
Thermal Grease
Thermal grease reduces the contact thermal resistance by
filling the minute air gap between the mating surfaces. The
experimental results shown in Figure 7 indicate thermal
grease is essential in heat sink mounting The thermal grease
used in the experiment is Wakefield Engineering’s thermal
compound 120 series, containing zinc oxide in a silicone oil
carrier.[4] Once the air, the main insulator along the contact
surface, is filled with thermal grease, the influence of
mounting torque on Rjc decreases. Little declination or
dependency of the Rjc on the mounting torque is observed.
Washer
The use of a washer guarantees the proper assembly
between the screw and the part being fastened. It provides a
wider contact area to transfer the axial force of the screw.
However, it creates an additional contact surface, so part of
the fastening force is consumed as friction force at the
surface. A weakened assembly force results in a shrunk
contact area and can decrease thermal resistance. To
compensate, a stronger mounting torque is required to
maintain the same axial force as that of a screw without a
washer. Figure 7(b) shows the effect of the washer on the
thermal resistance. Package mounting with a washer results
in a slight increase and more even distribution of thermal
resistance as compared to a mounting without a washer.
Widening the loading area with a washer may result in a
more stable contact between the mating surfaces.
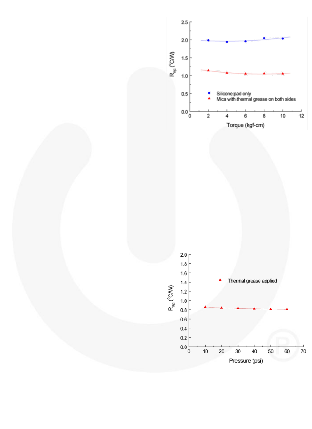
Insulating Material
Mica and silicone pads are well known insulating materials
that are used between the package and the heat sink. Mica is
usually assembled with the thermal grease on both sides.
Mica shows high thermal performance at low cost, but it is
apt to be messy, contaminate adjacent circuitry, and dry out
over time. Clean installation is possible with silicone pads.
Reworking it is easy and the cost is low. Silicone pads also
have a few disadvantages. Their thermal performance is not
very good and the heat transfer may be pressure dependent.
High mounting pressure can cause cut-through failures in
silicone pads.[6] Figure 9 shows the difference in the Rjc of
TO264 between silicone pads and mica. The higher Rjc is
observed when a silicone pad is applied. The dependency of
the Rjc on the mounting torque is low in both cases.
Figure 9. Effect of Insulating Material on Thermal
Resistance (TO264)
Pressure Loading
One of the advantages of a clip mounting is that it
distributes more uniform pressure over the entire mating
surface and results in a good thermal contact. Figure 10
shows the thermal resistance of TO220 under pressure
loading. The pressure loading on the package center is the
same as the clip mounting in principle. It indirectly
represents the clip mounting technique. Upon analysis, the
results of Figure 7(a) show that the thermal resistance under
pressure loading is lower and more even than that of a screw
mounting. It means that clip mounting is a more stable and
safe method than screw mounting.
Figure 10. Thermal Resistance vs. Mounting Pressure
(TO220)

AN-4166 APPLICATION NOTE
© 2014 Fairchild Semiconductor Corporation www.fairchildsemi.com
Rev. 1.0.0 • 6/25/14 8
Correlation with Clip Mounting and Pressure
Loading
Correlation between clip mounting and air pressure can be
achieved by two ways. One is to calculate the pressure by
clip mounting on the top surface of the package. The other
is to calculate applied force by air pressure loading on the
top surface of the package.
For pressure calculation in clip mounting, the contact area
between the package top surface and the clip must be
known. Actually, contact between the package top surface
and clip must not be in area but in contacted line. It’s very
difficult to calculate the pressure. Calculation requires
structural analysis. Air pressure and loading area are given
in air pressure test methods and the force by pressure
loading can be obtained from the definition. Calculation of
loading force by air pressure is chosen to correlate clip
mounting to air pressure test method. Calculation result of
force value show in Table 4.
Table 4. Calculation Result of Force Value
Pressure (psi)
10
20
30
40
50
60
Force (N)
14
27
40
54
68
81
Force (kgf)
1.4
2.8
4.1
5.5
6.9
8.3
The TO-220 package can use clip with clamping force of
2~8 kgf from view point of stable thermal resistance, but for
stable mounting, mounting force from 3 kgf to 6 kgf is
recommended.
Summary of Mounting Guide
In screw mounting, the thermal grease is essential in
lowering the contact thermal resistance and having
consistent thermal performance.
A washer slightly increases the thermal resistance.
Choose an insulating material between the package and
heat sink for optimal thermal performance.
Clip mounting is a more stable and safer method than
screw mounting.
The mounting torques in Table 5 are recommended for
the through-hole packages in screw mounting,
regardless of the application of thermal grease.
Table 5. Mounting Torques (in kgf·cm)
Package
Typical
Maximum
TO220
4 ~ 5
7
TO220F
4 ~ 5
7
TO3P
8 ~ 10
TO3PF
6 ~ 8
TO264
8 ~ 10
TO126
6 ~ 8
TO247
8 ~ 10
7PMGA
18 ~ 20
7PM-HA
22 ~ 26
7PM-IA
22 ~ 26
References
[1] Sorgo, M. D., “Comparison of Semiconductor Mounting Techniques Reveals Thermal Differences”, PCIM, May 2001, pp. 58 - 63.
[2] Bergquist, 2002, Sil-Pad® Selection Guide.
[3] Chomerics, Thermal Management Products.
[4] Wakefield Engineering, Accessory Products Catalog.
[5] Shigley, J. E. and Mischke, C. R., “Mechanical Engineering Design,” 6th Ed., pp. 450 - 457.
[6] Chomerics, PowerSite Automated Power Semiconductor Attachment.
DISCLAIMER
FAIRCHILD SEMICONDUCTOR RESERVES THE RIGHT TO MAKE CHANGES WITHOUT FURTHER NOTICE TO ANY PRODUCTS
HEREIN TO IMPROVE RELIABILITY, FUNCTION, OR DESIGN. FAIRCHILD DOES NOT ASSUME ANY LIABILITY ARISING OUT OF THE
APPLICATION OR USE OF ANY PRODUCT OR CIRCUIT DESCRIBED HEREIN; NEITHER DOES IT CONVEY ANY LICENSE UNDER ITS
PATENT RIGHTS, NOR THE RIGHTS OF OTHERS.
LIFE SUPPORT POLICY
FAIRCHILD’S PRODUCTS ARE NOT AUTHORIZED FOR USE AS CRITICAL COMPONENTS IN LIFE SUPPORT DEVICES OR SYSTEMS
WITHOUT THE EXPRESS WRITTEN APPROVAL OF THE PRESIDENT OF FAIRCHILD SEMICONDUCTOR CORPORATION.
As used herein:
1. Life support devices or systems are devices or systems
which, (a) are intended for surgical implant into the body, or
(b) support or sustain life, or (c) whose failure to perform
when properly used in accordance with instructions for use
provided in the labeling, can be reasonably expected to
result in significant injury to the user.
2. A critical component is any component of a life support
device or system whose failure to perform can be reasonably
expected to cause the failure of the life support device or
system, or to affect its safety or effectiveness.

www.onsemi.com
1
ON Semiconductor and are trademarks of Semiconductor Components Industries, LLC dba ON Semiconductor or its subsidiaries in the United States and/or other countries.
ON Semiconductor owns the rights to a number of patents, trademarks, copyrights, trade secrets, and other intellectual property. A listing of ON Semiconductor’s product/patent
coverage may be accessed at www.onsemi.com/site/pdf/Patent−Marking.pdf. ON Semiconductor reserves the right to make changes without further notice to any products herein.
ON Semiconductor makes no warranty, representation or guarantee regarding the suitability of its products for any particular purpose, nor does ON Semiconductor assume any liability
arising out of the application or use of any product or circuit, and specifically disclaims any and all liability, including without limitation special, consequential or incidental damages.
Buyer is responsible for its products and applications using ON Semiconductor products, including compliance with all laws, regulations and safety requirements or standards,
regardless of any support or applications information provided by ON Semiconductor. “Typical” parameters which may be provided in ON Semiconductor data sheets and/or
specifications can and do vary in different applications and actual performance may vary over time. All operating parameters, including “Typicals” must be validated for each customer
application by customer’s technical experts. ON Semiconductor does not convey any license under its patent rights nor the rights of others. ON Semiconductor products are not
designed, intended, or authorized for use as a critical component in life support systems or any FDA Class 3 medical devices or medical devices with a same or similar classification
in a foreign jurisdiction or any devices intended for implantation in the human body. Should Buyer purchase or use ON Semiconductor products for any such unintended or unauthorized
application, Buyer shall indemnify and hold ON Semiconductor and its officers, employees, subsidiaries, affiliates, and distributors harmless against all claims, costs, damages, and
expenses, and reasonable attorney fees arising out of, directly or indirectly, any claim of personal injury or death associated with such unintended or unauthorized use, even if such
claim alleges that ON Semiconductor was negligent regarding the design or manufacture of the part. ON Semiconductor is an Equal Opportunity/Affirmative Action Employer. This
literature is subject to all applicable copyright laws and is not for resale in any manner.
PUBLICATION ORDERING INFORMATION
N. American Technical Support: 800−282−9855 Toll Free
USA/Canada
Europe, Middle East and Africa Technical Support:
Phone: 421 33 790 2910
Japan Customer Focus Center
Phone: 81−3−5817−1050
www.onsemi.com
LITERATURE FULFILLMENT:
Literature Distribution Center for ON Semiconductor
19521 E. 32nd Pkwy, Aurora, Colorado 80011 USA
Phone: 303−675−2175 or 800−344−3860 Toll Free USA/Canada
Fax: 303−675−2176 or 800−344−3867 Toll Free USA/Canada
Email: orderlit@onsemi.com
ON Semiconductor Website: www.onsemi.com
Order Literature: http://www.onsemi.com/orderlit
For additional information, please contact your local
Sales Representative
© Semiconductor Components Industries, LLC