Android Security Internals : An In Depth Guide To Android's Architecture Intern S
Android_Security_Intern__An_In-Depth_Guide_to_Android_s_Security_Architecture
Android_Security_Intern__An_In-Depth_Guide_to_Android_s_Security_Architecture
User Manual: Pdf
Open the PDF directly: View PDF
.
Page Count: 434 [warning: Documents this large are best viewed by clicking the View PDF Link!]
- About the Author
- Brief Contents
- Contents in Detail
- Foreword
- Acknowledgments
- Introduction
- Chapter 1: Android’s Security Model
- Chapter 2: Permissions
- The Nature of Permissions
- Requesting Permissions
- Permission Management
- Permission Protection Levels
- Permission Assignment
- Permission Enforcement
- System Permissions
- Shared User ID
- Custom Permissions
- Public and Private Components
- Activity and Service Permissions
- Broadcast Permissions
- Content Provider Permissions
- Pending Intents
- Summary
- Chapter 3: Package Management
- Chapter 4: User Management
- Chapter 5: Cryptographic Providers
- Chapter 6: Network Security and PKI
- Chapter 7: Credential Storage
- Chapter 8: Online Account Management
- Chapter 9: Enterprise Security
- Chapter 10: Device Security
- Chapter 11: NFC and Secure Elements
- Chapter 12: SELinux
- Chapter 13: System Updates and Root Access
- Index
- Updates

There are more than one billion Android
devices in use today, each one a potential
target. Unfortunately, many fundamental
Android security features have been little
more than a black box to all but the most
elite security professionals—until now.
In Android Security Internals, top Android
security expert Nikolay Elenkov takes us
under the hood of the Android security sys-
tem. Elenkov describes Android security archi-
tecture from the bottom up, delving into the
imple mentation of major security-related
components and subsystems, like Binder IPC,
permissions, cryptographic providers, and
device administration.
You’ll learn:
How Android permissions are declared,
used, and enforced
How Android manages application
packages and employs code signing to
verify their authenticity
How Android implements the Java Cryp -
tog raphy Architecture (JCA) and Java Secure
Socket Extension (JSSE) frameworks
About Android’s credential storage system
and APIs, which let applications store
cryptographic keys securely
About the online account management
framework and how Google accounts
integrate with Android
About the implementation of verified boot,
disk encryption, lockscreen, and other
device security features
How Android’s bootloader and recovery OS
are used to perform full system updates,
and how to obtain root access
With its unprecedented level of depth and
detail, Android Security Internals is a must-
have for any security-minded Android
developer.
About the Author
Nikolay Elenkov has been working on
enter prise security–related projects for
more than 10 years. He became interested
in Android shortly after the initial public
release and has been developing Android
applications since version 1.5. His work
has led to the discovery and correction
of significant Android security flaws. He
writes about Android security on his highly
regarded blog, http://nelenkov.blogspot.com/.
A Deep Dive into Android Security
$49.95 ($51.95 CDN) Shelve In: COMPUTERS/SECURITY
THE FINEST IN GEEK ENTERTAINMENT™
www.nostarch.com
Nikolay Elenkov
Foreword by Jon Sawyer
Elenkov
Android Security
Internals
Android Security Internals
An In-Depth Guide to
Android’s Security Architecture
“I LIE FLAT.” This book uses a durable binding that won’t snap shut.
Covers Android 4.4
SFI-00000
ANDROID SECURITY INTERNALS

ANDROID
SECURITY
INTERNALS
An In-Depth Guide to
Android’s Security
Architecture
by Nikolay Elenkov
San Francisco

ANDROID SECURITY INTERNALS. Copyright © 2015 by Nikolay Elenkov.
All rights reserved. No part of this work may be reproduced or transmitted in any form or by any means,
electronic or mechanical, including photocopying, recording, or by any information storage or retrieval
system, without the prior written permission of the copyright owner and the publisher.
Printed in USA
First printing
18 17 16 15 14 1 2 3 4 5 6 7 8 9
ISBN-10: 1-59327-581-1
ISBN-13: 978-1-59327-581-5
Publisher: William Pollock
Production Editor: Alison Law
Cover Illustration: Garry Booth
Interior Design: Octopod Studios
Developmental Editor: William Pollock
Technical Reviewer: Kenny Root
Copyeditor: Gillian McGarvey
Compositor: Susan Glinert Stevens
Proofreader: James Fraleigh
Indexer: BIM Proofreading & Indexing Services
For information on distribution, translations, or bulk sales, please contact No Starch Press, Inc. directly:
No Starch Press, Inc.
245 8th Street, San Francisco, CA 94103
phone: 415.863.9900; info@nostarch.com
www.nostarch.com
Library of Congress Control Number: 2014952666
No Starch Press and the No Starch Press logo are registered trademarks of No Starch Press, Inc. Other
product and company names mentioned herein may be the trademarks of their respective owners. Rather
than use a trademark symbol with every occurrence of a trademarked name, we are using the names only
in an editorial fashion and to the benefit of the trademark owner, with no intention of infringement of the
trademark.
The Android robot is reproduced or modified from work created and shared by Google and used according
to terms described in the Creative Commons 3.0 Attribution License.
The information in this book is distributed on an “As Is” basis, without warranty. While every precaution
has been taken in the preparation of this work, neither the author nor No Starch Press, Inc. shall have any
liability to any person or entity with respect to any loss or damage caused or alleged to be caused directly or
indirectly by the information contained in it.
SFI-00000
About the Author
Nikolay Elenkov has been working on enterprise security projects for
the past 10 years. He has developed security software on various plat-
forms, ranging from smart cards and HSMs to Windows and Linux
servers. He became interested in Android shortly after the initial public
release and has been developing applications for it since version 1.5.
Nikolay’s interest in Android internals intensified after the release of
Android 4.0 (Ice Cream Sandwich), and for the past three years he’s
been documenting his findings and writing about Android security on
his blog, http://nelenkov.blogspot.com/.
About the Technical Reviewer
Kenny Root has been a core contributor to the Android platform at
Google since 2009, where his focus has been primarily on security and
cryptography. He is the author of ConnectBot, the first SSH app for
Android, and is an avid open source contributor. When he’s not hack-
ing on software, he’s spending time with his wife and two boys. He is an
alumnus of Stanford University, Columbia University, Chinese University
of Hong Kong, and Baker College, but he’s originally from Kansas City,
which has the best barbecue.
BRIEF CONTENTS
Foreword by Jon Sawyer................................................xvii
Acknowledgments ....................................................xix
Introduction .........................................................xxi
Chapter 1: Android’s Security Model ........................................1
Chapter 2: Permissions .................................................21
Chapter 3: Package Management .........................................51
Chapter 4: User Management ............................................87
Chapter 5: Cryptographic Providers.......................................115
Chapter 6: Network Security and PKI .....................................145
Chapter 7: Credential Storage...........................................171
Chapter 8: Online Account Management ...................................191
Chapter 9: Enterprise Security ...........................................215
Chapter 10: Device Security ............................................251
Chapter 11: NFC and Secure Elements.....................................289
Chapter 12: SELinux..................................................319
Chapter 13: System Updates and Root Access................................349
Index ............................................................377
CONTENTS IN DETAIL
FOREWORD by Jon Sawyer xvii
ACKNOWLEDGMENTS xix
INTRODUCTION xxi
Who This Book Is For . . . . . . . . . . . . . . . . . . . . . . . . . . . . . . . . . . . . . . . . . . . . . . . xxii
Prerequisites .....................................................xxiii
Android Versions ..................................................xxiii
How Is This Book Organized? .........................................xxiv
Conventions .....................................................xxv
1
ANDROID’S SECURITY MODEL 1
Android’s Architecture ............................................... 1
Linux Kernel ............................................... 2
Native Userspace ........................................... 2
Dalvik VM ................................................ 3
Java Runtime Libraries ........................................ 4
System Services ............................................ 4
Inter-Process Communication ................................... 4
Binder ................................................... 5
Android Framework Libraries .................................. 10
Applications.............................................. 10
Android’s Security Model ............................................ 12
Application Sandboxing ..................................... 12
Permissions .............................................. 14
IPC .................................................... 15
Code Signing and Platform Keys................................ 16
Multi-User Support.......................................... 16
SELinux ................................................. 17
System Updates ........................................... 17
Verified Boot ............................................. 18
Summary ....................................................... 19
2
PERMISSIONS 21
The Nature of Permissions............................................ 21
Requesting Permissions .............................................. 23
Permission Management ............................................. 23
Permission Protection Levels........................................... 24
Permission Assignment .............................................. 26
x Contents in Detail
Permission Enforcement.............................................. 30
Kernel-Level Enforcement ..................................... 30
Native Daemon-Level Enforcement............................... 31
Framework-Level Enforcement .................................. 33
System Permissions................................................. 37
Signature Permissions ....................................... 39
Development Permissions ..................................... 39
Shared User ID ................................................... 40
Custom Permissions ................................................ 42
Public and Private Components ........................................ 43
Activity and Service Permissions........................................ 44
Broadcast Permissions............................................... 45
Content Provider Permissions .......................................... 46
Static Provider Permissions .................................... 46
Dynamic Provider Permissions.................................. 47
Pending Intents ................................................... 49
Summary ....................................................... 50
3
PACKAGE MANAGEMENT 51
Android Application Package Format .................................... 51
Code Signing .................................................... 53
Java Code Signing ......................................... 53
Android Code Signing ...................................... 59
APK Install Process ................................................. 61
Location of Application Packages and Data ........................ 62
Active Components ......................................... 63
Installing a Local Package .................................... 66
Updating a Package ........................................ 72
Installing Encrypted APKs..................................... 76
Forward Locking........................................... 79
Android 4.1 Forward Locking Implementation ...................... 80
Encrypted Apps and Google Play ............................... 82
Package Verification................................................ 83
Android Support for Package Verification ......................... 84
Google Play Implementation................................... 85
Summary ....................................................... 86
4
USER MANAGEMENT 87
Multi-User Support Overview .......................................... 87
Types of Users .................................................... 90
The Primary User (Owner) .................................... 90
Secondary Users........................................... 91
Restricted Profiles .......................................... 92
Guest User............................................... 94
Contents in Detail xi
User Management ................................................. 95
Command-Line Tools ........................................ 95
User States and Related Broadcasts.............................. 95
User Metadata.................................................... 96
The User List File ........................................... 96
User Metadata Files ........................................ 97
User System Directory ....................................... 99
Per-User Application Management ...................................... 99
Application Data Directories.................................. 100
Application Sharing ....................................... 101
External Storage ................................................. 104
External Storage Implementations .............................. 104
Multi-User External Storage .................................. 105
External Storage Permissions ................................. 111
Other Multi-User Features ........................................... 112
Summary ...................................................... 113
5
CRYPTOGRAPHIC PROVIDERS 115
JCA Provider Architecture ........................................... 116
Cryptographic Service Providers............................... 116
JCA Engine Classes ............................................... 119
Obtaining an Engine Class Instance ............................ 119
Algorithm Names ......................................... 120
SecureRandom ........................................... 120
MessageDigest........................................... 121
Signature............................................... 122
Cipher................................................. 123
Mac .................................................. 127
Key ................................................... 128
SecretKey and PBEKey...................................... 128
PublicKey, PrivateKey, and KeyPair............................. 129
KeySpec ............................................... 129
KeyFactory.............................................. 129
SecretKeyFactory ......................................... 130
KeyPairGenerator ......................................... 131
KeyGenerator............................................ 131
KeyAgreement ........................................... 132
KeyStore ............................................... 133
CertificateFactory and CertPath ............................... 135
CertPathValidator and CertPathBuilder .......................... 136
Android JCA Providers ............................................. 137
Harmony’s Crypto Provider .................................. 137
Android’s Bouncy Castle Provider .............................. 137
AndroidOpenSSL Provider ................................... 140
OpenSSL ............................................... 142
Using a Custom Provider............................................ 142
Spongy Castle ........................................... 143
Summary ...................................................... 144
xii Contents in Detail
6
NETWORK SECURITY AND PKI 145
PKI and SSL Overview ............................................. 146
Public Key Certificates ...................................... 146
Direct Trust and Private CAs .................................. 148
Public Key Infrastructure..................................... 148
Certificate Revocation ...................................... 150
JSSE Introduction ................................................. 151
Secure Sockets ........................................... 152
Peer Authentication ........................................ 152
Hostname Verification ...................................... 154
Android JSSE Implementation ........................................ 155
Certificate Management and Validation.......................... 156
Certificate Blacklisting ...................................... 162
Reexamining the PKI Trust Model .............................. 166
Summary ...................................................... 170
7
CREDENTIAL STORAGE 171
VPN and Wi-Fi EAP Credentials....................................... 172
Authentication Keys and Certificates ............................ 172
The System Credential Store.................................. 173
Credential Storage Implementation..................................... 174
The keystore Service ....................................... 174
Key Blob Versions and Types ................................. 176
Access Restrictions ........................................ 176
keymaster Module and keystore Service Implementation .............. 176
Nexus 4 Hardware-Backed Implementation ....................... 178
Framework Integration...................................... 180
Public APIs ..................................................... 181
The KeyChain API......................................... 181
KeyChain API Implementation................................. 185
Controlling Access to the Keystore.............................. 186
Android Keystore Provider ................................... 188
Summary ...................................................... 189
8
ONLINE ACCOUNT MANAGEMENT 191
Android Account Management Overview . . . . . . . . . . . . . . . . . . . . . . . . . . . . . . . . 192
Account Management Implementation .................................. 192
AccountManagerService and AccountManager .................... 193
Authenticator Modules...................................... 194
The Authenticator Module Cache .............................. 194
AccountManagerService Operations and Permissions ................ 195
The Accounts Database ..................................... 198
Multi-User Support......................................... 201
Adding an Authenticator Module .............................. 203
Contents in Detail xiii
Google Accounts Support ........................................... 206
The Google Login Service ................................... 206
Google Services Authentication and Authorization .................. 209
Google Play Services ...................................... 211
Summary ...................................................... 213
9
ENTERPRISE SECURITY 215
Device Administration.............................................. 216
Implementation ........................................... 217
Adding a Device Administrator................................ 223
Enterprise Account Integration ................................ 226
VPN Support .................................................... 229
PPTP .................................................. 229
L2TP/IPSec.............................................. 229
IPSec Xauth ............................................. 230
SSL-Based VPNs .......................................... 230
Legacy VPN ............................................. 231
Application-Based VPNs .................................... 236
Multi-User Support......................................... 239
Wi-Fi EAP ...................................................... 242
EAP Authentication Methods.................................. 243
Android Wi-Fi Architecture................................... 244
EAP Credentials Management ................................ 245
Adding an EAP Network with WifiManager....................... 248
Summary ...................................................... 250
10
DEVICE SECURITY 251
Controlling OS Boot-Up and Installation ................................. 252
Bootloader.............................................. 252
Recovery ............................................... 253
Verified Boot .................................................... 254
dm-verity Overview ........................................ 254
Android Implementation..................................... 255
Enabling Verified Boot...................................... 256
Disk Encryption .................................................. 258
Cipher Mode ............................................ 259
Key Derivation ........................................... 260
Disk Encryption Password ................................... 261
Changing the Disk Encryption Password ......................... 262
Enabling Encryption ....................................... 263
Booting an Encrypted Device ................................. 265
Screen Security .................................................. 268
Lockscreen Implementation................................... 268
Keyguard Unlock Methods................................... 269
Brute-Force Attack Protection ................................. 276
xiv Contents in Detail
Secure USB Debugging............................................. 277
ADB Overview ........................................... 277
The Need for Secure ADB ................................... 279
Securing ADB............................................ 280
Secure ADB Implementation .................................. 281
ADB Authentication Keys .................................... 282
Verifying the Host Key Fingerprint.............................. 282
Android Backup.................................................. 283
Android Backup Overview................................... 283
Backup File Format ........................................ 284
Backup Encryption ........................................ 286
Controlling Backup Scope ................................... 287
Summary ...................................................... 288
11
NFC AND SECURE ELEMENTS 289
NFC Overview .................................................. 289
Android NFC Support.............................................. 290
Reader/Writer Mode ...................................... 290
Peer-to-Peer Mode......................................... 294
Card Emulation Mode ...................................... 295
Secure Elements.................................................. 295
SE Form Factors in Mobile Devices ............................. 296
Accessing the Embedded SE ................................. 299
Android SE Execution Environment ............................. 302
UICC as a Secure Element ................................... 305
Software Card Emulation ........................................... 310
Android 4.4 HCE Architecture ................................ 310
APDU Routing............................................ 311
Writing an HCE Service..................................... 315
Security of HCE Applications ................................. 317
Summary ...................................................... 318
12
SELINUX 319
SELinux Introduction ............................................... 320
SELinux Architecture ....................................... 320
Mandatory Access Control................................... 321
SELinux Modes ........................................... 322
Security Contexts ......................................... 322
Security Context Assignment and Persistence ...................... 324
Security Policy ........................................... 324
Policy Statements ......................................... 324
Type Transition Rules....................................... 327
Domain Transition Rules..................................... 328
Access Vector Rules........................................ 329
Android Implementation ............................................ 330
Kernel Changes .......................................... 331
Userspace Changes ....................................... 332
Device Policy Files......................................... 339
Policy Event Logging . . . . . . . . . . . . . . . . . . . . . . . . . . . . . . . . . . . . . . . 340
Contents in Detail xv
Android 4.4 SELinux Policy .......................................... 340
Policy Overview .......................................... 341
Enforcing Domains ........................................ 342
Unconfined Domains ....................................... 344
App Domains ............................................ 345
Summary ...................................................... 347
13
SYSTEM UPDATES AND ROOT ACCESS 349
Bootloader ..................................................... 350
Unlocking the Bootloader.................................... 350
Fastboot Mode ........................................... 352
Recovery....................................................... 354
Stock Recovery ........................................... 354
Custom Recoveries ........................................ 363
Root Access..................................................... 364
Root Access on Engineering Builds ............................. 365
Root Access on Production Builds ...................................... 368
Rooting by Changing the boot or system Image .................... 369
Rooting by Flashing an OTA Package ........................... 370
Rooting via Exploits........................................ 375
Summary ...................................................... 376
INDEX 377
FOREWORD
I first became aware of the quality of Nikolay’s work
in Android security with the release of Android 4.0,
Ice Cream Sandwich. I needed a better explanation of
the new Android backup format; I was struggling to
exploit a vulnerability I had found, because I didn’t
have a full grasp of the new feature and format. His clear, in-depth expla-
nation helped me understand the issue, exploit the vulnerability, and get a
patch into production devices quickly. I have since been a frequent visitor to
his blog, often referring to it when I need a refresher.
While I was honored to be asked to write this foreword, I honestly didn’t
believe I’d learn much from the book because I’ve been working on Android
security for many years. This belief could not have been more wrong. As
I read and digested new information regarding subjects I thought I knew
thoroughly, my mind whirled with thoughts of what I had missed and what
I could have done better. Why wasn’t a reference like this available when I
first engrossed myself in Android?
xviii Foreword
This book exposes the reader to a wide range of security topics, from
Android permissions and sandboxing to the Android SELinux implementa-
tion, SEAndroid. It provides excellent explanations of minute details and
rarely seen features such as dm-verify. Like me, you’ll walk away from this
book with a better understanding of Android security features.
Android Security Internals has earned a permanent spot on my office
bookshelf.
Jon “ jcase” Sawyer
CTO, Applied Cybersecurity LLC
Port Angeles, WA
ACKNOWLEDGMENTS
I would like to thank everyone at No Starch Press who worked on this book.
Special thanks to Bill Pollock for making my ramblings readable and to
Alison Law for her patience in turning them into an actual book.
A big thanks to Kenny Root for reviewing all chapters and sharing the
backstories behind some of Android’s security features.
Thanks to Jorrit “Chainfire” Jongma for maintaining SuperSU, which
has been an invaluable tool for poking at Android’s internals, and for
reviewing my coverage of it in Chapter 13.
Thanks to Jon “jcase” Sawyer for continuing to challenge our assump-
tions about Android security and for contributing a foreword to my book.
INTRODUCTION
In a relatively short period of time, Android has
become the world’s most popular mobile platform.
Although originally designed for smartphones, it
now powers tablets, TVs, and wearable devices, and
will soon even be found in cars. Android is being
developed at a breathtaking pace, with an average of two major releases
per year. Each new release brings a better UI, performance improvements,
and a host of new user-facing features which are typically blogged about
and dissected in excruciating detail by Android enthusiasts.
One aspect of the Android platform that has seen major improvements
over the last few years, but which has received little public attention, is secu-
rity. Over the years, Android has become more resistant to common exploit
techniques (such as buffer overflows), its application isolation (sandboxing)
has been reinforced, and its attack surface has been considerably reduced
by aggressively decreasing the number of system processes that run as root.
In addition to these exploit mitigations, recent versions of Android have
introduced major new security features such as restricted user support,
xxii Introduction
full-disk encryption, hardware-backed credential storage, and support for
centralized device management and provisioning. Even more enterprise-
oriented features and security improvements such as managed profile
support, improved full-disk encryption, and support for biometric authen-
tication have been announced for the next Android release (referred to as
Android L as I write this).
As with any new platform feature, discussing cutting-edge security
improvements is exciting, but it’s arguably more important to understand
Android’s security architecture from the bottom up because each new secu-
rity feature builds upon and integrates with the platform’s core security
model. Android’s sandboxing model (in which each application runs as a
separate Linux user and has a dedicated data directory) and permission sys-
tem (which requires each application to explicitly declare the platform fea-
tures it requires) are fairly well understood and documented. However, the
internals of other fundamental platform features that have an impact on
device security, such as package management and code signing, are largely
treated as a black box beyond the security research community.
One of the reasons for Android’s popularity is the relative ease with
which a device can be “flashed” with a custom build of Android, “rooted” by
applying a third-party update package, or otherwise customized. Android
enthusiast forums and blogs feature many practical “How to” guides that
take users through the steps necessary to unlock a device and apply various
customization packages, but they offer very little structured information
about how such system updates operate under the hood and what risks they
carry.
This books aims to fill these gaps by providing an exploration of how
Android works by describing its security architecture from the bottom up
and delving deep into the implementation of major Android subsystems and
components that relate to device and data security. The coverage includes
broad topics that affect all applications, such as package and user manage-
ment, permissions and device policy, as well as more specific ones such as
cryptographic providers, credential storage, and support for secure elements.
It’s not uncommon for entire Android subsystems to be replaced or
rewritten between releases, but security-related development is conserva-
tive by nature, and while the described behavior might be changed or aug-
mented across releases, Android’s core security architecture should remain
fairly stable in future releases.
Who This Book Is For
This book should be useful to anyone interested in learning more about
Android’s security architecture. Both security researchers looking to evalu-
ate the security level of Android as a whole or of a specific subsystem and
platform developers working on customizing and extending Android will
find the high-level description of each security feature and the provided
implementation details to be a useful starting point for understanding
the underlying platform source code. Application developers can gain a
Introduction xxiii
deeper understanding of how the platform works, which will enable them
to write more secure applications and take better advantage of the security-
related APIs that the platform provides. While some parts of the book are
accessible to a non-technical audience, the bulk of the discussion is closely
tied to Android source code or system files, so familiarity with the core con-
cepts of software development in a Unix environment is useful.
Prerequisites
The book assumes basic familiarity with Unix-style operating systems, pref-
erably Linux, and does not explain common concepts such as processes,
user groups, file permissions, and so on. Linux-specific or recently added
OS features (such as capability and mount namespaces) are generally intro-
duced briefly before discussing Android subsystems that use them. Most
of the presented platform code comes from core Android daemons (usu-
ally implemented in C or C++) and system services (usually implemented
in Java), so basic familiarity with at least one of these languages is also
required. Some code examples feature sequences of Linux system calls, so
familiarity with Linux system programming can be helpful in understand-
ing the code, but is not absolutely required. Finally, while the basic struc-
ture and core components (such as activities and services) of Android apps
are briefly described in the initial chapters, basic understanding of Android
development is assumed.
Android Versions
The description of Android’s architecture and implementation in this book
(except for several proprietary Google features) is based on source code
publicly released as part of the Android Open Source Project (AOSP). Most
of the discussion and code excerpts reference Android 4.4, which is the lat-
est publicly available version released with source code at the time of this
writing. The master branch of AOSP is also referenced a few times, because
commits to master are generally a good indicator of the direction future
Android releases will take. However, not all changes to the master branch
are incorporated in public releases as is, so it’s quite possible that future
releases will change and even remove some of the presented functionality.
A developer preview version of the next Android release (Android L,
mentioned earlier) was announced shortly after the draft of this book was
completed. However, as of this writing, the full source code of Android L is
not available and its exact public release date is unknown. While the pre-
view release does include some new security features, such as improvements
to device encryption, managed profiles, and device management, none of
these features are final and so are subject to change. That is why this book
does not discuss any of these new features. Although we could introduce
some of Android L’s security improvements based on their observed behav-
ior, without the underlying source code, any discussion about their imple-
mentation would be incomplete and speculative.
xxiv Introduction
How Is This Book Organized?
This book consists of 13 chapters that are designed to be read in sequence.
Each chapter discusses a different aspect or feature of Android security,
and subsequent chapters build on the concepts introduced by their pre-
decessors. Even if you’re already familiar with Android’s architecture and
security model and are looking for details about a specific topic, you should
at least skim Chapters 1 through 3 because the topics they cover form the
foundation for the rest of the book.
• Chapter 1: Android’s Security Model gives a high-level overview of
Android’s architecture and security model.
• Chapter 2: Permissions describes how Android permissions are
declared, used, and enforced by the system.
• Chapter 3: Package Management discusses code signing and details
how Android’s application installation and management process works.
• Chapter 4: User Management explores Android’s multi-user support
and describes how data isolation is implemented on multi-user devices.
• Chapter 5: Cryptographic Providers gives an overview of the Java
Cryptography Architecture ( JCA) framework and describes Android’s
JCA cryptographic providers.
• Chapter 6: Network Security and PKI introduces the architecture of
the Java Secure Socket Extension ( JSSE) framework and delves into its
Android implementation.
• Chapter 7: Credential Storage explores Android’s credential store and
introduces the APIs it provides to applications that need to store crypto-
graphic keys securely.
• Chapter 8: Online Account Management discusses Android’s online
account management framework and shows how support for Google
accounts is integrated into Android.
• Chapter 9: Enterprise Security presents Android’s device management
framework, details how VPN support is implemented, and delves into
Android’s support for the Extensible Authentication Protocol (EAP).
• Chapter 10: Device Security introduces verified boot, disk encryption,
and Android’s lockscreen implementation, and shows how secure USB
debugging and encrypted device backups are implemented.
• Chapter 11: NFC and Secure Elements gives an overview of Android’s
NFC stack, delves into secure element (SE) integration and APIs, and
introduces host-based card emulation (HCE).
• Chapter 12: SELinux starts with a brief introduction to SELinux’s archi-
tecture and policy language, details the changes made to SELinux in
order to integrate it in Android, and gives an overview of Android’s base
SELinux policy.
Introduction xxv
• Chapter 13: System Updates and Root Access discusses how Android’s
bootloader and recovery OS are used to perform full system updates,
and details how root access can be obtained on both engineering and
production Android builds.
Conventions
Because the main topic of this book is Android’s architecture and implemen-
tation, it contains multiple code excerpts and file listings, which are exten-
sively referenced in the sections that follow each listing or code example. A
few format conventions are used to set those references (which typically
include multiple OS or programming language constructs) apart from the
rest of the text.
Commands; function and variable names; XML attributes; and SQL
object names are set in monospace (for example: “the id command,” “the
getCallingUid() method,” “the name attribute,” and so on). The names of files
and directories, Linux users and groups, processes, and other OS objects
are set in italic (for example: “the packages.xml file,” “the system user,” “the
vold daemon,” and so on). String literals are also set in italic (for example:
“the AndroidOpenSSL provider”). If you use such string literals in a program,
you typically need to enclose them in double or single quotes (for example:
Signature.getInstance("SHA1withRSA", "AndroidOpenSSL")).
Java class names are typically in their unqualified format without the
package name (for example: “the Binder class”); fully qualified names are
only used when multiple classes with the same name exist in the discussed
API or package, or when specifying the containing package is otherwise
important (for example: “the javax.net.ssl.SSLSocketFactory class”). When
referenced in the text, function and method names are shown with paren-
theses, but their parameters are typically omitted for brevity (for example:
“the getInstance() factory method”). See the relevant reference documenta-
tion for the full function or method signature.
Most chapters include diagrams that illustrate the architecture or struc-
ture of the discussed security subsystem or component. All diagrams follow
an informal “boxes and arrows” style and do not conform strictly to a par-
ticular format. That said, most diagrams borrow ideas from UML class and
deployment diagrams, and boxes typically represent classes or objects, while
arrows represent dependency or communication paths.
1
ANDROID’S SECURITY MODEL
This chapter will first briefly introduce Android’s
architecture, inter-process communication (IPC)
mechanism, and main components. We then describe
Android’s security model and how it relates to the
underlying Linux security infrastructure and code
signing. We conclude with a brief overview of some
newer additions to Android’s security model, namely multi-user support,
mandatory access control (MAC) based on SELinux, and verified boot.
Android’s architecture and security model are built on top of the tra-
ditional Unix process, user, and file paradigm, but this paradigm is not
described from scratch here. We assume a basic familiarity with Unix-like
systems, particularly Linux.
Android’s Architecture
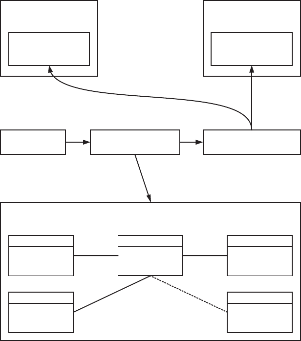
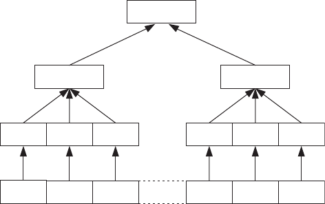
Let’s briefly examine Android’s architecture from the bottom up. Figure 1-1
shows a simplified representation of the Android stack.

2 Chapter 1
System Apps
Settings/Phone/Launcher/...
User-Installed Apps
Android Framework Libraries
android.*
System Services
Activity Mgr./Package Mgr./Window Mgr./...
Java
Runtime
Libraries
java.*
javax.*
Dalvik Runtime
Init Native
Daemons
Native
Libraries HAL
Linux Kernel
Figure 1-1: The Android architecture
Linux Kernel
As you can see in Figure 1-1, Android is built on top of the Linux kernel. As
in any Unix system, the kernel provides drivers for hardware, networking, file-
system access, and process management. Thanks to the Android Mainlining
Project,1 you can now run Android with a recent vanilla kernel (with some
effort), but an Android kernel is slightly different from a “regular” Linux
kernel that you might find on a desktop machine or a non-Android embed-
ded device. The differences are due to a set of new features (sometimes
called Androidisms2) that were originally added to support Android. Some
of the main Androidisms are the low memory killer, wakelocks (integrated
as part of wakeup sources support in the mainline Linux kernel), anony-
mous shared memory (ashmem), alarms, paranoid networking, and Binder.
The most important Androidisms for our discussion are Binder and
paranoid networking. Binder implements IPC and an associated security
mechanism, which we discuss in more detail on page 5. Paranoid net-
working restricts access to network sockets to applications that hold spe-
cific permissions. We delve deeper into this topic in Chapter 2.
Native Userspace
On top of the kernel is the native userspace layer, consisting of the init
binary (the first process started, which starts all other processes), several
native daemons, and a few hundred native libraries that are used throughout
the system. While the presence of an init binary and daemons is reminiscent
1. Android Mainlining Project, http://elinux.org/Android_Mainlining_Project
2. For a more detailed discussion of Androidisms, see Karim Yaghmour’s Embedded Android,
O’Reilly, 2013, pp. 29–38.

Android’s Security Model 3
of a traditional Linux system, note that both init and the associated startup
scripts have been developed from scratch and are quite different from their
mainline Linux counterparts.
Dalvik VM
The bulk of Android is implemented in Java and as such is executed by a
Java Virtual Machine (JVM). Android’s current Java VM implementation is
called Dalvik and it is the next layer in our stack. Dalvik was designed with
mobile devices in mind and cannot run Java bytecode (.class files) directly:
its native input format is called Dalvik Executable (DEX) and is packaged in
.dex files. In turn, .dex files are packaged either inside system Java libraries
(JAR files), or inside Android applications (APK files, discussed in Chapter 3).
Dalvik and Oracle’s JVM have different architectures—register-based
in Dalvik versus stack-based in the JVM—and different instruction sets.
Let’s look at a simple example to illustrate the differences between the two
VMs (see Listing 1-1).
public static int add(int i, int j) {
return i + j;
}
Listing 1-1: Static Java method that adds two integers
When compiled for each VM, the add() static method, which simply
adds two integers and returns the result, would generate the bytecode
shown in Figure 1-2.
public static int add(int, int);
Code:
0: iload_0
1: iload_1
2: iadd
3: ireturn
.method public static add(II)I
add-int v0, p0, p1
return v0
.end method
JVM Bytecode Dalvik Bytecode
Figure 1-2: JVM and Dalvik bytecode
Here, the JVM uses two instructions to load the parameters onto the
stack (u and v), then executes the addition w, and finally returns the
result x. In contrast, Dalvik uses a single instruction to add parameters
(in registers p0 and p1) and puts the result in the v0 register y. Finally, it
returns the contents of the v0 register z. As you can see, Dalvik uses fewer
instructions to achieve the same result. Generally speaking, register-based
VMs use fewer instructions, but the resulting code is larger than the cor-
responding code in a stack-based VM. However, on most architectures,

4 Chapter 1
loading code is less expensive than instruction dispatch, so register-based
VMs can be interpreted more efficiently.3
In most production devices, system libraries and preinstalled applica-
tions do not contain device-independent DEX code directly. As a perfor-
mance optimization, DEX code is converted to a device-dependent format
and stored in an Optimized DEX (.odex) file, which typically resides in the
same directory as its parent JAR or APK file. A similar optimization process
is performed for user-installed applications at install time.
Java Runtime Libraries
A Java language implementation requires a set of runtime libraries, defined
mostly in the java.* and javax.* packages. Android’s core Java libraries are
originally derived from the Apache Harmony project4 and are the next
layer on our stack. As Android has evolved, the original Harmony code
has changed significantly. In the process, some features have been replaced
entirely (such as internationalization support, the cryptographic provider,
and some related classes), while others have been extended and improved.
The core libraries are developed mostly in Java, but they have some native
code dependencies as well. Native code is linked into Android’s Java librar-
ies using the standard Java Native Interface (JNI),5 which allows Java code to
call native code and vice versa. The Java runtime libraries layer is directly
accessed both from system services and applications.
System Services
The layers introduced up until now make up the plumbing necessary to
implement the core of Android —system services. System services (79 as of
version 4.4) implement most of the fundamental Android features, includ-
ing display and touch screen support, telephony, and network connectivity.
Most system services are implemented in Java; some fundamental ones are
written in native code.
With a few exceptions, each system service defines a remote interface
that can be called from other services and applications. Coupled with the
service discovery, mediation, and IPC provided by Binder, system services
effectively implement an object-oriented OS on top of Linux.
Let’s look at how Binder enables IPC on Android in detail, as this is one
of the cornerstones of Android’s security model.
Inter-Process Communication
As mentioned previously, Binder is an inter-process communication (IPC)
mechanism. Before getting into detail about how Binder works, let’s briefly
review IPC.
3. Yunhe Shi et al., Virtual Machine Showdown: Stack Versus Registers, https://www.usenix.org/
legacy/events/vee05/full_papers/p153-yunhe.pdf
4. The Apache Software Foundation, Apache Harmony, http://harmony.apache.org/
5. Oracle, Java™ Native Interface, http://docs.oracle.com/javase/7/docs/technotes/guides/jni/

Android’s Security Model 5
As in any Unix-like system, processes in Android have separate address
spaces and a process cannot directly access another process’s memory (this
is called process isolation). This is usually a good thing, both for stability
and security reasons: multiple processes modifying the same memory can
be catastrophic, and you don’t want a potentially rogue process that was
started by another user to dump your email by accessing your mail client’s
memory. However, if a process wants to offer some useful service(s) to other
processes, it needs to provide some mechanism that allows other processes
to discover and interact with those services. That mechanism is referred to
as IPC.
The need for a standard IPC mechanism is not new, so several options
predate Android. These include files, signals, sockets, pipes, semaphores,
shared memory, message queues, and so on. While Android uses some of
these (such as local sockets), it does not support others (namely System V
IPCs like semaphores, shared memory segments, and message queues).
Binder
Because the standard IPC mechanisms weren’t flexible or reliable enough,
a new IPC mechanism called Binder was developed for Android. While
Android’s Binder is a new implementation, it’s based on the architecture
and ideas of OpenBinder.6
Binder implements a distributed component architecture based on
abstract interfaces. It is similar to Windows Common Object Model (COM)
and Common Object Broker Request Architectures (CORBA) on Unix, but
unlike those frameworks, it runs on a single device and does not support
remote procedure calls (RPC) across the network (although RPC support
could be implemented on top of Binder). A full description of the Binder
framework is outside the scope of this book, but we introduce its main com-
ponents briefly in the following sections.
Binder Implementation
As mentioned earlier, on a Unix-like system, a process cannot access another
process’s memory. However, the kernel has control over all processes and
therefore can expose an interface that enables IPC. In Binder, this interface
is the /dev/binder device, which is implemented by the Binder kernel driver.
The Binder driver is the central object of the framework, and all IPC calls
go through it. Inter-process communication is implemented with a single
ioctl() call that both sends and receives data through the binder_write_read
structure, which consists of a write_buffer containing commands for the
driver, and a read_buffer containing commands that the userspace needs
to perform.
But how is data actually passed between processes? The Binder driver
manages part of the address space of each process. The Binder driver-
managed chunk of memory is read-only to the process, and all writing
6. PalmSource, Inc., OpenBinder, http://www.angryredplanet.com/~hackbod/openbinder/docs/html/

6 Chapter 1
is performed by the kernel module. When a process sends a message to
another process, the kernel allocates some space in the destination pro-
cess’s memory, and copies the message data directly from the sending
process. It then queues a short message to the receiving process telling it
where the received message is. The recipient can then access that message
directly (because it is in its own memory space). When a process is finished
with the message, it notifies the Binder driver to mark the memory as free.
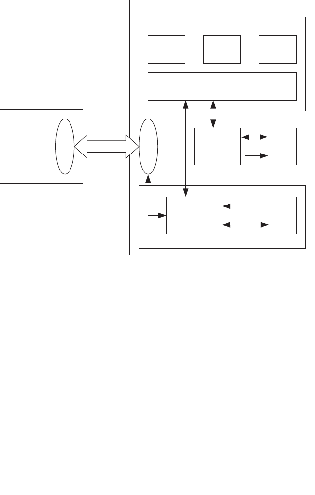
Figure 1-3 shows a simplified illustration of the Binder IPC architecture.
Linux Kernel
Binder Driver (
/dev/binder
)
Process A
Binder Client
IBinder
transact()
Process B
Binder Server
Binder : IBinder
onTransact(){
case CMD1:
...
case CMD2:
...
}
IPC
Figure 1-3: Binder IPC
Higher-level IPC abstractions in Android such as Intents (commands with
associated data that are delivered to components across processes), Messengers
(objects that enable message-based communication across processes), and
ContentProviders (components that expose a cross-process data management
interface) are built on top of Binder. Additionally, service interfaces that
need to be exposed to other processes can be defined using the Android
Interface Definition Language (AIDL), which enables clients to call remote ser-
vices as if they were local Java objects. The associated aidl tool automatically
generates stubs (client-side representations of the remote object) and proxies
that map interface methods to the lower-level transact() Binder method and
take care of converting parameters to a format that Binder can transmit (this
is called parameter marshalling/unmarshalling). Because Binder is inherently
typeless, AIDL-generated stubs and proxies also provide type safety by includ-
ing the target interface name in each Binder transaction (in the proxy) and
validating it in the stub.
Binder Security
On a higher level, each object that can be accessed through the Binder
framework implements the IBinder interface and is called a Binder object.
Calls to a Binder object are performed inside a Binder transaction, which
contains a reference to the target object, the ID of the method to execute,
and a data buffer. The Binder driver automatically adds the process ID
(PID) and effective user ID (EUID) of the calling process to the transaction

Android’s Security Model 7
data. The called process (callee) can inspect the PID and EUID and decide
whether it should execute the requested method based on its internal logic
or system-wide metadata about the calling application.
Since the PID and EUID are filled in by the kernel, caller processes
cannot fake their identity to get more privileges than allowed by the sys-
tem (that is, Binder prevents privilege escalation). This is one of the central
pieces of Android’s security model, and all higher-level abstractions, such as
permissions, build upon it. The EUID and PID of the caller are accessible
via the getCallingPid() and getCallingUid() methods of the android.os.Binder
class, which is part of Android’s public API.
NOTE The calling process’s EUID may not map to a single application if more than one
application is executing under the same UID (see Chapter 2 for details). However,
this does not affect security decisions, as processes running under the same UID are
typically granted the same set of permissions and privileges (unless process-specific
SELinux rules have been defined).
Binder Identity
One of the most important properties of Binder objects is that they main-
tain a unique identity across processes. Thus if process A creates a Binder
object and passes it to process B, which in turn passes it to process C, calls
from all three processes will be processed by the same Binder object. In
practice, process A will reference the Binder object directly by its memory
address (because it is in process A’s memory space), while process B and C
will receive only a handle to the Binder object.
The kernel maintains the mapping between “live” Binder objects
and their handles in other processes. Because a Binder object’s identity
is unique and maintained by the kernel, it is impossible for userspace
processes to create a copy of a Binder object or obtain a reference to one
unless they have been handed one through IPC. Thus a Binder object is a
unique, unforgeable, and communicable object that can act as a security
token. This enables the use of capability-based security in Android.
Capability-Based Security
In a capability-based security model, programs are granted access to a particular
resource by giving them an unforgeable capability that both references the
target object and encapsulates a set of access rights to it. Because capabili-
ties are unforgeable, the mere fact that a program possesses a capability is
sufficient to give it access to the target resource; there is no need to main-
tain access control lists (ACLs) or similar structures associated with actual
resources.
Binder Tokens
In Android, Binder objects can act as capabilities and are called Binder
tokens when used in this fashion. A Binder token can be both a capability
and a target resource. The possession of a Binder token grants the owning
8 Chapter 1
process full access to a Binder object, enabling it to perform Binder
trans actions on the target object. If the Binder object implements multiple
actions (by selecting the action to perform based on the code parameter of
the Binder transaction), the caller can perform any action when it has a
reference to that Binder object. If more granular access control is required,
the implementation of each action needs to implement the necessary permis-
sion checks, typically by utilizing the PID and EUID of the caller process.
A common pattern in Android is to allow all actions to callers running
as system (UID 1000) or root (UID 0), but perform additional permission
checks for all other processes. Thus access to important Binder objects
such as system services is controlled in two ways: by limiting who can get a
reference to that Binder object and by checking the caller identity before
performing an action on the Binder object. (This check is optional and
implemented by the Binder object itself, if required.)
Alternatively, a Binder object can be used only as a capability without
implementing any other functionality. In this usage pattern, the same
Binder object is held by two (or more) cooperating processes, and the one
acting as a server (processing some kind of client requests) uses the Binder
token to authenticate its clients, much like web servers use session cookies.
This usage pattern is used internally by the Android framework and is
mostly invisible to applications. One notable use case of Binder tokens that
is visible in the public API is window tokens. The top-level window of each
activity is associated with a Binder token (called a window token), which
Android’s window manager (the system service responsible for managing
application windows) keeps track of. Applications can obtain their own win-
dow token but cannot get access to the window tokens of other applications.
Typically you don’t want other applications adding or removing windows
on top of your own; each request to do so must provide the window token
associated with the application, thus guaranteeing that window requests are
coming from your own application or from the system.
Accessing Binder Objects
Although Android controls access to Binder objects for security purposes,
and the only way to communicate with a Binder object is to be given a refer-
ence to it, some Binder objects (most notably system services) need to be
universally accessible. It is, however, impractical to hand out references to
all system services to each and every process, so we need some mechanism
that allows processes to discover and obtain references to system services
as needed.
In order to enable service discovery, the Binder framework has a single
context manager, which maintains references to Binder objects. Android’s
context manager implementation is the servicemanager native daemon. It
is started very early in the boot process so that system services can register
with it as they start up. Services are registered by passing a service name
and a Binder reference to the service manager. Once a service is registered,

Android’s Security Model 9
any client can obtain its Binder reference by using its name. However, most
system services implement additional permission checks, so obtaining a
reference does not automatically guarantee access to all of its functional-
ity. Because anyone can access a Binder reference when it is registered with
the service manager, only a small set of whitelisted system processes can
register system services. For example, only a process executing as UID 1002
(AID_BLUETOOTH) can register the bluetooth system service.
You can view a list of registered services by using the service list com-
mand, which returns the name of each registered service and the imple-
mented IBinder interface. Sample output from running the command on
an Android 4.4 device is shown in Listing 1-2.
$ service list
service list
Found 79 services:
0 sip: [android.net.sip.ISipService]
1 phone: [com.android.internal.telephony.ITelephony]
2 iphonesubinfo: [com.android.internal.telephony.IPhoneSubInfo]
3 simphonebook: [com.android.internal.telephony.IIccPhoneBook]
4 isms: [com.android.internal.telephony.ISms]
5 nfc: [android.nfc.INfcAdapter]
6 media_router: [android.media.IMediaRouterService]
7 print: [android.print.IPrintManager]
8 assetatlas: [android.view.IAssetAtlas]
9 dreams: [android.service.dreams.IdreamManager]
--snip--
Listing 1-2: Obtaining a list of registered system services with the service list command
Other Binder Features
While not directly related to Android’s security model, two other notable
Binder features are reference counting and death notification (also known
as link to death). Reference counting guarantees that Binder objects are auto-
matically freed when no one references them and is implemented in the
kernel driver with the BC_INCREFS, BC_ACQUIRE, BC_RELEASE, and BC_DECREFS com-
mands. Reference counting is integrated at various levels of the Android
framework but is not directly visible to applications.
Death notification allows applications that use Binder objects that are
hosted by other processes to be notified when those processes are killed by
the kernel and to perform any necessary cleanup. Death notification is imple-
mented with the BC_REQUEST_DEATH_NOTIFICATION and BC_CLEAR_DEATH_NOTIFICATION
commands in the kernel driver and the linkToDeath() and unlinkToDeath()
methods of the IBinder interface7 in the framework. (Death notifications
for local binders are not sent, because local binders cannot die without the
hosting process dying as well.)
7. Google, Android APIs Reference, “IBinder,” http://developer.android.com/reference/android/os/
IBinder.html
10 Chapter 1
Android Framework Libraries
Next on the stack are the Android framework libraries, sometimes called
just “the framework.” The framework includes all Java libraries that are
not part of the standard Java runtime (java.*, javax.*, and so on) and is for
the most part hosted under the android top-level package. The framework
includes the basic blocks for building Android applications, such as the
base classes for activities, services, and content providers (in the android.app.*
packages); GUI widgets (in the android.view.* and android.widget packages);
and classes for file and database access (mostly in the android.database.* and
android.content.* packages). It also includes classes that let you interact with
device hardware, as well as classes that take advantage of higher-level ser-
vices offered by the system.
Even though almost all Android OS functionality above the kernel
level is implemented as system services, it is not exposed directly in the
framework but is accessed via facade classes called managers. Typically,
each manager is backed by a corresponding system service; for example,
the BluetoothManager is a facade for the BluetoothManagerService.
Applications
On the highest level of the stack are applications (or apps), which are the
programs that users directly interact with. While all apps have the same
structure and are built on top of the Android framework, we distinguish
between system apps and user-installed apps.
System Apps
System apps are included in the OS image, which is read-only on produc-
tion devices (typically mounted as /system), and cannot be uninstalled or
changed by users. Therefore, these apps are considered secure and are
given many more privileges than user-installed apps. System apps can be
part of the core Android OS or can simply be preinstalled user applications,
such as email clients or browsers. While all apps installed under /system
were treated equally in earlier versions of Android (except by OS features
that check the app signing certificate), Android 4.4 and higher treat apps
installed in /system/priv-app/ as privileged applications and will only grant
permissions with protection level signatureOrSystem to privileged apps, not
to all apps installed under /system. Apps that are signed with the platform
signing key can be granted system permissions with the signature protection
level, and thus can get OS-level privileges even if they are not preinstalled
under /system. (See Chapter 2 for details on permissions and code signing.)
While system apps cannot be uninstalled or changed, they can be updated
by users as long as the updates are signed with the same private key, and
some can be overridden by user-installed apps. For example, a user can
choose to replace the preinstalled application launcher or input method
with a third-party application.
Android’s Security Model 11
User-Installed Apps
User-installed apps are installed on a dedicated read-write partition (typi-
cally mounted as /data) that hosts user data and can be uninstalled at will.
Each application lives in a dedicated security sandbox and typically cannot
affect other applications or access their data. Additionally, apps can only
access resources that they have explicitly been granted a permission to use.
Privilege separation and the principle of least privilege are central to
Android’s security model, and we will explore how they are implemented
in the next section.
Android App Components
Android applications are a combination of loosely coupled components and,
unlike traditional applications, can have more than one entry point. Each
component can offer multiple entry points that can be reached based on
user actions in the same or another application, or triggered by a system
event that the application has registered to be notified about.
Components and their entry points, as well as additional metadata, are
defined in the application’s manifest file, called AndroidManifest.xml. Like
most Android resource files, this file is compiled into a binary XML format
(similar to ASN.1) before bundling it in the application package (APK)
file in order to decrease size and speed up parsing. The most important
application property defined in the manifest file is the application package
name, which uniquely identifies each application in the system. The pack-
age name is in the same format as Java package names (reverse domain
name notation; for example, com.google.email).
The AndroidManifest.xml file is parsed at application install time, and
the package and components it defines are registered with the system.
Android requires each application to be signed using a key controlled
by its developer. This guarantees that an installed application cannot be
replaced by another application that claims to have the same package name
(unless it is signed with the same key, in which case the existing application is
updated). We’ll discuss code signing and application packages in Chapter 3.
The main components of Android apps are listed below.
Activities
An activity is a single screen with a user interface. Activities are the
main building blocks of Android GUI applications. An application can
have multiple activities and while they are usually designed to be dis-
played in a particular order, each activity can be started independently,
potentially by a different app (if allowed).
Services
A service is a component that runs in the background and has no user
interface. Services are typically used to perform some long-running
operation, such as downloading a file or playing music, without block-
ing the user interface. Services can also define a remote interface using
12 Chapter 1
AIDL and provide some functionality to other apps. However, unlike
system services, which are part of the OS and are always running, appli-
cation services are started and stopped on demand.
Content providers
Content providers provide an interface to app data, which is typically
stored in a database or files. Content providers can be accessed via IPC
and are mainly used to share an app’s data with other apps. Content
providers offer fine-grained control over what parts of data are acces-
sible, allowing an application to share only a subset of its data.
Broadcast receivers
A broadcast receiver is a component that responds to systemwide events,
called broadcasts. Broadcasts can originate from the system (for example,
announcing changes in network connectivity), or from a user appli-
cation (for example, announcing that background data update has
completed).
Android’s Security Model
Like the rest of the system, Android’s security model also takes advantage
of the security features offered by the Linux kernel. Linux is a multi-
user operating system and the kernel can isolate user resources from one
another, just as it isolates processes. In a Linux system, one user cannot
access another user’s files (unless explicitly granted permission) and each
process runs with the identity (user and group ID, usually referred to as UID
and GID) of the user that started it, unless the set-user-ID or set-group-ID
(SUID and SGID) bits are set on the corresponding executable file.
Android takes advantage of this user isolation, but treats users differently
than a traditional Linux system (desktop or server) does. In a traditional
system, a UID is given either to a physical user that can log into the system
and execute commands via the shell, or to a system service (daemon) that
executes in the background (because system daemons are often accessible
over the network, running each daemon with a dedicated UID can limit
the damage if one is compromised). Android was originally designed for
smartphones, and because mobile phones are personal devices, there was
no need to register different physical users with the system. The physical
user is implicit, and UIDs are used to distinguish applications instead. This
forms the basis of Android’s application sandboxing.
Application Sandboxing
Android automatically assigns a unique UID, often called an app ID, to
each application at installation and executes that application in a dedi-
cated process running as that UID. Additionally, each application is given
a dedicated data directory which only it has permission to read and write

Android’s Security Model 13
to. Thus, applications are isolated, or sandboxed, both at the process level
(by having each run in a dedicated process) and at the file level (by having
a private data directory). This creates a kernel-level application sandbox,
which applies to all applications, regardless of whether they are executed in
a native or virtual machine process.
System daemons and applications run under well-defined and constant
UIDs, and very few daemons run as the root user (UID 0). Android does
not have the traditional /etc/password file and its system UIDs are statically
defined in the android_filesystem_config.h header file. UIDs for system ser-
vices start from 1000, with 1000 being the system (AID_SYSTEM) user, which
has special (but still limited) privileges. Automatically generated UIDs for
applications start at 10000 (AID_APP), and the corresponding usernames
are in the form app_XXX or uY_aXXX (on Android versions that support
multiple physical users), where XXX is the offset from AID_APP and Y is the
Android user ID (not the same as UID). For example, the 10037 UID cor-
responds to the u0_a37 username and may be assigned to the Google email
client application (com.google.android.email package). Listing 1-3 shows that
the email application process executes as the u0_a37 user u, while other
application processes execute as different users.
$ ps
--snip--
u0_a37 16973 182 941052 60800 ffffffff 400d073c S com.google.android.emailu
u0_a8 18788 182 925864 50236 ffffffff 400d073c S com.google.android.dialer
u0_a29 23128 182 875972 35120 ffffffff 400d073c S com.google.android.calendar
u0_a34 23264 182 868424 31980 ffffffff 400d073c S com.google.android.deskclock
--snip--
Listing 1-3: Each application process executes as a dedicated user on Android
The data directory of the email application is named after its package
name and is created under /data/data/ on single-user devices. (Multi-user
devices use a different naming scheme as discussed in Chapter 4.) All files
inside the data directory are owned by the dedicated Linux user, u0_a37, as
shown in Listing 1-4 (with timestamps omitted). Applications can option-
ally create files using the MODE_WORLD_READABLE and MODE_WORLD_WRITEABLE flags
to allow direct access to files by other applications, which effectively sets the
S_IROTH and S_IWOTH access bits on the file, respectively. However, the direct
sharing of files is discouraged, and those flags are deprecated in Android
versions 4.2 and higher.
# ls -l /data/data/com.google.android.email
drwxrwx--x u0_a37 u0_a37 app_webview
drwxrwx--x u0_a37 u0_a37 cache
drwxrwx--x u0_a37 u0_a37 databases
drwxrwx--x u0_a37 u0_a37 files
--snip--
Listing 1-4: Application directories are owned by the dedicated Linux user

14 Chapter 1
Application UIDs are managed alongside other package metadata
in the /data/system/packages.xml file (the canonical source) and also writ-
ten to the /data/system/packages.list file. (We discuss package management
and the packages.xml file in Chapter 3.) Listing 1-5 shows the UID assigned
to the com.google.android.email package as it appears in packages.list.
# grep 'com.google.android.email' /data/system/packages.list
com.google.android.email 10037 0 /data/data/com.google.android.email default 3003,1028,1015
Listing 1-5: The UID corresponding to each application is stored in /data/system/packages.list
Here, the first field is the package name, the second is the UID assigned
to the application, the third is the debuggable flag (1 if debuggable), the
fourth is the application’s data directory path, and the fifth is the seinfo label
(used by SELinux). The last field is a list of the supplementary GIDs that the
app launches with. Each GID is typically associated with an Android permis-
sion (discussed next) and the GID list is generated based on the permissions
granted to the application.
Applications can be installed using the same UID, called a shared user
ID, in which case they can share files and even run in the same process.
Shared user IDs are used extensively by system applications, which often
need to use the same resources across different packages for modularity.
For example, in Android 4.4 the system UI and keyguard (lockscreen imple-
mentation) share UID 10012 (see Listing 1-6).
# grep ' 10012 ' /data/system/packages.list
com.android.keyguard 10012 0 /data/data/com.android.keyguard platform 1028,1015,1035,3002,3001
com.android.systemui 10012 0 /data/data/com.android.systemui platform 1028,1015,1035,3002,3001
Listing 1-6: System packages sharing the same UID
While the shared user ID facility is not recommended for non-system
apps, it’s available to third-party applications as well. In order to share
the same UID, applications need to be signed by the same code signing
key. Additionally, because adding a shared user ID to a new version of an
installed app causes it to change its UID, the system disallows this (see
Chapter 2). Therefore, a shared user ID cannot be added retroactively,
and apps need to be designed to work with a shared ID from the start.
Permissions
Because Android applications are sandboxed, they can access only their
own files and any world-accessible resources on the device. Such a limited
application wouldn’t be very interesting though, and Android can grant
additional, fine-grained access rights to applications in order to allow for
richer functionality. Those access rights are called permissions, and they
can control access to hardware devices, Internet connectivity, data, or OS
services.
Applications can request permissions by defining them in the
AndroidManifest.xml file. At application install time, Android inspects

Android’s Security Model 15
the list of requested permissions and decides whether to grant them or
not. Once granted, permissions cannot be revoked and they are available
to the application without any additional confirmation. Additionally, for
features such as private key or user account access, explicit user confirma-
tion is required for each accessed object, even if the requesting application
has been granted the corresponding permission (see Chapters 7 and 8).
Some permission can only be granted to applications that are part of the
Android OS, either because they’re preinstalled or signed with the same key as
the OS. Third-party applications can define custom permissions and define
similar restrictions known as permission protection levels, thus restricting
access to an app’s services and resources to apps created by the same author.
Permission can be enforced at different levels. Requests to lower-level
system resources, such as device files, are enforced by the Linux kernel
by checking the UID or GID of the calling process against the resource’s
owner and access bits. When accessing higher-level Android components,
enforcement is performed either by the Android OS or by each component
(or both). We discuss permissions in Chapter 2.
IPC
Android uses a combination of a kernel driver and userspace libraries
to implement IPC. As discussed in “Binder” on page 5, the Binder ker-
nel driver guarantees that the UID and PID of callers cannot be forged,
and many system services rely on the UID and PID provided by Binder to
dynamically control access to sensitive APIs exposed via IPC. For example,
the system Bluetooth manager service only allows system applications to
enable Bluetooth silently if the caller is running with the system UID (1000)
by using the code shown in Listing 1-7. Similar code is found in other sys-
tem services.
public boolean enable() {
if ((Binder.getCallingUid() != Process.SYSTEM_UID) &&
(!checkIfCallerIsForegroundUser())) {
Log.w(TAG,"enable(): not allowed for non-active and non-system user");
return false;
}
--snip--
}
Listing 1-7: Checking that the caller is running with the system UID
More coarse-grained permissions that affect all methods of a service
exposed via IPC can be automatically enforced by the system by specify-
ing a permission in the service declaration. As with requested permissions,
required permissions are declared in the AndroidManifest.xml file. Like the
dynamic permission check in the example above, per-component permis-
sions are also implemented by consulting the caller UID obtained from
Binder under the hood. The system uses the package database to deter-
mine the permission required by the callee component, and then maps the

16 Chapter 1
caller UID to a package name and retrieves the set of permissions granted
to the caller. If the required permission is in that set, the call succeeds. If
not, it fails and the system throws a SecurityException.
Code Signing and Platform Keys
All Android applications must be signed by their developer, including sys-
tem applications. Because Android APK files are an extension of the Java
JAR package format,8 the code signing method used is also based on JAR
signing. Android uses the APK signature to make sure updates for an app
are coming from the same author (this is called the same origin policy) and
to establish trust relationships between applications. Both of these secu-
rity features are implemented by comparing the signing certificate of the
currently installed target app with the certificate of the update or related
application.
System applications are signed by a number of platform keys. Different
system components can share resources and run inside the same process
when they are signed with the same platform key. Platform keys are gener-
ated and controlled by whoever maintains the Android version installed
on a particular device: device manufacturers, carriers, Google for Nexus
devices, or users for self-built open source Android versions. (We’ll discuss
code signing and the APK format in Chapter 3.)
Multi-User Support
Because Android was originally designed for handset (smartphone) devices
that have a single physical user, it assigns a distinct Linux UID to each
installed application and traditionally does not have a notion of a physi-
cal user. Android gained support for multiple physical users in version 4.2,
but multi-user support is only enabled on tablets, which are more likely to
be shared. Multi-user support on handset devices is disabled by setting the
maximum number of users to 1.
Each user is assigned a unique user ID, starting with 0, and users are
given their own dedicated data directory under /data/system/users/<user ID>/,
which is called the user’s system directory. This directory hosts user-specific set-
tings such as homescreen parameters, account data, and a list of currently
installed applications. While application binaries are shared between users,
each user gets a copy of an application’s data directory.
To distinguish applications installed for each user, Android assigns a
new effective UID to each application when it is installed for a particular
user. This effective UID is based on the target physical user’s user ID and
the app’s UID in a single-user system (the app ID). This composite structure
of the granted UID guarantees that even if the same application is installed
by two different users, both application instances get their own sandbox.
Additionally, Android guarantees dedicated shared storage (hosted on an
SD card for older devices), which is world-readable, to each physical user.
8. Oracle, JAR File Specification, http://docs.oracle.com/javase/7/docs/technotes/guides/jar/jar.html

Android’s Security Model 17
The user to first initialize the device is called the device owner, and only they
can manage other users or perform administrative tasks that influence
the whole device (such as factory reset). (We discuss multi-user support in
greater detail in Chapter 4.)
SELinux
The traditional Android security model relies heavily on the UIDs and
GIDs granted to applications. While those are guaranteed by the kernel,
and by default each application’s files are private, nothing prevents an appli-
cation from granting world access to its files (whether intentionally or due
to a programming error).
Similarly, nothing prevents malicious applications from taking advan-
tage of the overly permissive access bits of system files or local sockets. In
fact, inappropriate permissions assigned to application or system files have
been the source of a number of Android vulnerabilities. Those vulner-
abilities are unavoidable in the default access control model employed by
Linux, known as discretionary access control (DAC). Discretionary here means
that once a user gets access to a particular resource, they can pass it on to
another user at their discretion, such as by setting the access mode of one
of their files to world-readable. In contrast, mandatory access control (MAC)
ensures that access to resources conforms to a system-wide set of authoriza-
tion rules called a policy. The policy can only be changed by an administra-
tor, and users cannot override or bypass it in order to, for example, grant
everyone access to their own files.
Security Enhanced Linux (SELinux) is a MAC implementation for the
Linux kernel and has been integrated in the mainline kernel for more than
10 years. As of version 4.3, Android integrates a modified SELinux version
from the Security Enhancements for Android (SEAndroid) project9 that
has been augmented to support Android-specific features such as Binder. In
Android, SELinux is used to isolate core system daemons and user applica-
tions in different security domains and to define different access policies for
each domain. As of version 4.4, SELinux is deployed in enforcing mode (viola-
tions to the system policy generate runtime errors), but policy enforcement
is only applied to core system daemons. Applications still run in permissive
mode and violations are logged but do not cause runtime errors. (We give
more details about Android’s SELinux implementation in Chapter 12.)
System Updates
Android devices can be updated over-the-air (OTA) or by connecting the
device to a PC and pushing the update image using the standard Android
debug bridge (ADB) client or some vendor-provided application with sim-
ilar functionality. Because in addition to system files, an Android update
might need to modify the baseband (modem) firmware, bootloader, and
9. SELinux Project, SE for Android, http://selinuxproject.org/page/SEAndroid

18 Chapter 1
other parts of the device that are not directly accessible from Android, the
update process typically uses a special-purpose, minimal OS with exclusive
access to all device hardware. This is called a recovery OS or simply recovery.
OTA updates are performed by downloading an OTA package file (typi-
cally a ZIP file with an added code signature), which contains a small script
file to be interpreted by the recovery, and rebooting the device in recovery
mode. Alternatively, the user can enter recovery mode by using a device-
specific key combination when booting the device, and apply the update
manually by using the menu interface of the recovery, which is usually navi-
gated using the hardware buttons (Volume up/down, Power, and so on) of the
device.
On production devices, the recovery accepts only updates signed by the
device manufacturer. Update files are signed by extending the ZIP file for-
mat to include a signature over the whole file in the comment section (see
Chapter 3), which the recovery extracts and verifies before installing the
update. On some devices (including all Nexus devices, dedicated developer
devices, and some vendor devices), device owners can replace the recov-
ery OS and disable system update signature verification, allowing them to
install updates by third parties. Switching the device bootloader to a mode
that allows replacing the recovery and system images is called bootloader
unlocking (not to be confused with SIM-unlocking, which allows a device to
be used on any mobile network) and typically requires wiping all user data
(factory reset) in order to make sure that a potentially malicious third-party
system image does not get access to existing user data. On most consumer
devices, unlocking the bootloader has the side effect of voiding the device’s
warranty. (We discuss system updates and recovery images in Chapter 13.)
Verified Boot
As of version 4.4, Android supports verified boot using the verity target10 of
Linux’s Device-Mapper. Verity provides transparent integrity checking of
block devices using a cryptographic hash tree. Each node in the tree is a
cryptographic hash, with leaf nodes containing the hash value of a physical
data block and intermediary nodes containing hash values of their child
nodes. Because the hash in the root node is based on the values of all other
nodes, only the root hash needs to be trusted in order to verify the rest of
the tree.
Verification is performed with an RSA public key included in the boot
partition. Device blocks are checked at runtime by calculating the hash
value of the block as it is read and comparing it to the recorded value in
the hash tree. If the values do not match, the read operation results in an
I/O error indicating that the filesystem is corrupted. Because all checks are
performed by the kernel, the boot process needs to verify the integrity of the
kernel in order for verified boot to work. This process is device-specific and is
typically implemented by using an unchangeable, hardware-specific key that
10. Linux kernel source tree, dm-verity, http://git.kernel.org/cgit/linux/kernel/git/torvalds/linux
.git/tree/Documentation/device-mapper/verity.txt
Android’s Security Model 19
is “burned” (written to write-only memory) into the device. That key is used
to verify the integrity of each bootloader level and eventually the kernel. (We
discuss verified boot in Chapter 10.)
Summary
Android is a privilege-separated operating system based on the Linux
kernel. Higher-level system functions are implemented as a set of cooper-
ating system services that communicate using an IPC mechanism called
Binder. Android isolates applications from each other by running each with
a distinct system identity (Linux UID). By default, applications are given
very few privileges and have to request fine-grained permission in order
to interact with system services, hardware devices, or other applications.
Permissions are defined in each application’s manifest file and are granted
at install time. The system uses the UID of each application to find out what
permissions it has been granted and to enforce them at runtime. In recent
versions, system processes isolation takes advantage of SELinux to further
constrain the privileges given to each process.
2
PERMISSIONS
In the previous chapter, we gave an overview of
Android’s security model and briefly introduced
permissions. In this chapter we’ll provide more
details about permissions, focusing on their imple-
mentation and enforcement. We will then discuss
how to define custom permissions and apply them to each of Android’s
components. Finally, we’ll say a few words about pending intents, which are
tokens that allow an application to start an intent with the identity and
privileges of another application.
The Nature of Permissions
As we learned in Chapter 1, Android applications are sandboxed and by
default can access only their own files and a very limited set of system ser-
vices. In order to interact with the system and other applications, Android
applications can request a set of additional permissions that are granted at
install time and cannot be changed (with some exceptions, as we’ll discuss
later in this chapter).

22 Chapter 2
In Android, a permission is simply a string denoting the ability to per-
form a particular operation. The target operation can be anything from
accessing a physical resource (such as the device’s SD card) or shared data
(such as the list of registered contacts) to the ability to start or access a
component in a third-party application. Android comes with a built-in set
of predefined permissions. New permissions that correspond to new fea-
tures are added in each version.
NOTE New built-in permissions, which lock down functionality that previously didn’t require
a permission, are applied conditionally, depending on the targetSdkVersion speci-
fied in an app’s manifest: applications targeting Android versions that were released
before the new permission was introduced cannot be expected to know about it, and
therefore the permission is usually granted implicitly (without being requested).
However, implicitly granted permissions are still shown in the list of permissions on
the app installer screen so that users can be aware of them. Apps targeting later ver-
sions need to explicitly request the new permission.
Built-in permissions are documented in the platform API reference.1
Additional permissions, called custom permissions, can be defined by both
system and user-installed applications.
To view a list of the permissions currently known to the system, use the
pm list permissions command (see Listing 2-1). To display additional infor-
mation about permissions, including the defining package, label, description,
and protection level, add the -f parameter to the command.
$ pm list permissions
All Permissions:
permission:android.permission.REBOOTu
permission:android.permission.BIND_VPN_SERVICEv
permission:com.google.android.gallery3d.permission.GALLERY_PROVIDERw
permission:com.android.launcher3.permission.RECEIVE_LAUNCH_BROADCASTSx
--snip--
Listing 2-1: Getting a list of all permissions
Permission names are typically prefixed with their defining package
concatenated with the string .permission. Because built-in permissions are
defined in the android package, their names start with android.permission.
For example, in Listing 2-1, the REBOOT u and BIND_VPN_SERVICE v are built-in
permissions, while GALLERY_PROVIDER w is defined by the Gallery application
(package com.google.android.gallery3d) and RECEIVE_LAUNCH_BROADCASTS x is
defined by the default launcher application (package com.android.launcher3).
1. Google, Android API Reference, “Manifest.permission class,” http://developer.android.com/
reference/android/Manifest.permission.html

Permissions 23
Requesting Permissions
Applications request permissions by adding one or more <uses-permission>
tags to their AndroidManifest.xml file and can define new permissions with the
<permission> tag. Listing 2-2 shows an example manifest file that requests the
INTERNET and WRITE_EXTERNAL_STORAGE permissions. (We show how to define
custom permission in “Custom Permissions” on page 42.)
<?xml version="1.0" encoding="utf-8"?>
<manifest xmlns:android="http://schemas.android.com/apk/res/android"
xmlns:tools="http://schemas.android.com/tools"
package="com.example.app"
android:versionCode="1"
android:versionName="1.0" >
<uses-permission android:name="android.permission.INTERNET" />
<uses-permission android:name="android.permission.WRITE_EXTERNAL_STORAGE" />
--snip--
<application android:name="SampleApp" ...>
--snip--
</application>
</manifest>
Listing 2-2: Requesting permissions using the application manifest file
Permission Management
Permissions are assigned to each application (as identified by a unique
package name) at install time by the system package manager service. The
package manager maintains a central database of installed packages, both
pre installed and user-installed, with information about the install path,
version, signing certificate, and assigned permissions of each package, as
well as a list of all permissions defined on a device. (The pm list permissions
command introduced in the previous section obtains this list by query-
ing the package manager.) This package database is stored in the XML
file /data/system/packages.xml, which is updated each time an application is
installed, updated, or uninstalled. Listing 2-3 shows a typical application
entry from packages.xml.
<package name="com.google.android.apps.translate"
codePath="/data/app/com.google.android.apps.translate-2.apk"
nativeLibraryPath="/data/app-lib/com.google.android.apps.translate-2"
flags="4767300" ft="1430dfab9e0" it="142cdf04d67" ut="1430dfabd8d"
version="30000028"
userId="10204"u
installer="com.android.vending">
<sigs count="1">
<cert index="7" />v
</sigs>

24 Chapter 2
<perms>w
<item name="android.permission.READ_EXTERNAL_STORAGE" />
<item name="android.permission.USE_CREDENTIALS" />
<item name="android.permission.READ_SMS" />
<item name="android.permission.CAMERA" />
<item name="android.permission.WRITE_EXTERNAL_STORAGE" />
<item name="android.permission.INTERNET" />
<item name="android.permission.MANAGE_ACCOUNTS" />
<item name="android.permission.GET_ACCOUNTS" />
<item name="android.permission.ACCESS_NETWORK_STATE" />
<item name="android.permission.RECORD_AUDIO" />
</perms>
<signing-keyset identifier="17" />
<signing-keyset identifier="6" />
</package>
Listing 2-3: Application entry in packages.xml
We discuss the meaning of most tags and attributes in Chapter 3, but
for now let’s focus on the ones that are related to permissions. Each pack-
age is represented by a <package> element, which contains information about
the assigned UID (in the userId attribute u), signing certificate (in the
<cert> tag v), and assigned permissions (listed as children of the <perms>
tag w). To get information about an installed package programmatically,
use the getPackageInfo() method of the android.content.pm.PackageManager
class, which returns a PackageInfo instance that encapsulates the informa-
tion contained in the <package> tag.
If all permissions are assigned at install time and cannot be changed or
revoked without uninstalling the application, how does the package manager
decide whether it should grant the requested permissions? To understand
this, we need to discuss permission protection levels.
Permission Protection Levels
According to the official documentation,2 a permission’s protection level
“characterizes the potential risk implied in the permission and indicates
the procedure that the system should follow when determining whether
or not to grant the permission.” In practice, this means that whether a
permission is granted or not depends on its protection level. The following
sections discuss the four protection levels defined in Android and how the
system handles each.
normal
This is the default value. It defines a permission with low risk to the sys-
tem or other applications. Permissions with protection level normal are
2. Google, Android API Guides, “App Manifest: <permission> tag,” http://developer.android.com/
guide/topics/manifest/permission-element.html#plevel

Permissions 25
automatically granted without requiring user confirmation. Examples
are ACCESS_NETWORK_STATE (allows applications to access information about
networks) and GET_ACCOUNTS (allows access to the list of accounts in the
Accounts Service).
dangerous
Permissions with the dangerous protection level give access to user data or
some form of control over the device. Examples are READ_SMS (allows an appli-
cation to read SMS messages) and CAMERA (gives applications access to the
camera device). Before granting dangerous permissions, Android shows a
confirmation dialog that displays information about the requested permis-
sions. Because Android requires that all requested permission be granted
at install time, the user can either agree to install the app, thus granting
the requested dangerous permission(s), or cancel the application install. For
example, for the application shown in Listing 2-3 (Google Translate), the
system confirmation dialog will look like the one shown in Figure 2-1.
Google Play and other application market clients display their own
dialog, which is typically styled differently. For the same application, the
Google Play Store client displays the dialog shown in Figure 2-2. Here, all
dangerous permissions are organized by permission group (see “System
Permissions” on page 37) and normal permissions are not displayed.
Figure 2-1: Default Android applica-
tion install confirmation dialog
Figure 2-2: Google Play Store client
application install confirmation dialog
26 Chapter 2
signature
A signature permission is only granted to applications that are signed with
the same key as the application that declared the permission. This is the
“strongest” permission level because it requires the possession of a crypto-
graphic key, which only the app (or platform) owner controls. Thus, applica-
tions using signature permissions are typically controlled by the same author.
Built-in signature permissions are typically used by system applications that
perform device management tasks. Examples are NET_ADMIN (configure net-
work interfaces, IPSec, and so on) and ACCESS_ALL_EXTERNAL_STORAGE (access
all multi-user external storage). We’ll discuss signature permissions in more
detail in “Signature Permissions” on page 39.
signatureOrSystem
Permissions with this protection level are somewhat of a compromise:
they are granted to applications that are either part of the system image,
or that are signed with the same key as the app that declared the permis-
sion. This allows vendors that have their applications preinstalled on an
Android device to share specific features that require a permission without
having to share signing keys. Until Android 4.3, any application installed on
the system partition was granted signatureOrSystem permissions automatically.
Since Android 4.4, applications need to be installed in the /system/priv-app/
directory in order to be granted permissions with this protection level.
Permission Assignment
Permissions are enforced at various layers in Android. Higher-level compo-
nents such as applications and system services query the package manager
to determine which permissions have been assigned to an application and
decide whether to grant access. Lower-level components like native daemons
typically do not have access to the package manager and rely on the UID,
GID, and supplementary GIDs assigned to a process in order to determine
which privileges to grant it. Access to system resources like device files, Unix
domain sockets (local sockets), and network sockets is regulated by the
kernel based on the owner and access mode of the target resource and the
UID and GIDs of the accessing process.
We’ll look into framework-level permission enforcement in “Permission
Enforcement” on page 30. Let’s first discuss how permissions are mapped
to OS-level constructs such as UID and GIDs and how these process IDs are
used for permission enforcement.
Permissions and Process Attributes
As in any Linux system, Android processes have a number of associated pro-
cess attributes, most importantly real and effective UID and GID, and a set
of supplementary GIDs.
As discussed in Chapter 1, each Android application is assigned a
unique UID at install time and executes in a dedicated process. When the

Permissions 27
application is started, the process’s UID and GID are set to the application
UID assigned by the installer (the package manager service). If additional
permissions have been assigned to the application, they are mapped to
GIDs and assigned as supplementary GIDs to the process. Permission to
GID mappings for built-in permissions are defined in the /etc/permission/
platform.xml file. Listing 2-4 shows an excerpt from the platform.xml file
found on an Android 4.4 device.
<?xml version="1.0" encoding="utf-8"?>
<permissions>
--snip--
<permission name="android.permission.INTERNET" >u
<group gid="inet" />
</permission>
<permission name="android.permission.WRITE_EXTERNAL_STORAGE" >v
<group gid="sdcard_r" />
<group gid="sdcard_rw" />
</permission>
<assign-permission name="android.permission.MODIFY_AUDIO_SETTINGS"
uid="media" />w
<assign-permission name="android.permission.ACCESS_SURFACE_FLINGER"
uid="media" />x
--snip--
</permissions>
Listing 2-4: Permission to GID mapping in platform.xml
Here, the INTERNET permission is associated with the inet GID u, and
the WRITE_EXTERNAL_STORAGE permission is associated with the sdcard_r and
sdcard_rw GIDs v. Thus any process for an app that has been granted the
INTERNET permission is associated with the supplementary GID correspond-
ing to the inet group, and processes with the WRITE_EXTERNAL_STORAGE permis-
sion have the GIDs of sdcard_r and sdcard_rw added to the list of associated
supplementary GIDs.
The <assign-permission> tag serves the opposite purpose: it is used to
assign higher-level permissions to system processes running under a spe-
cific UID that do not have a corresponding package. Listing 2-4 shows that
processes running with the media UID (in practice, this is the mediaserver
daemon) are assigned the MODIFY_AUDIO_SETTINGS w and ACCESS_SURFACE_FLINGER x
permissions.
Android does not have an /etc/group file, so the mapping from group
names to GIDs is static and defined in the android_filesystem_config.h header
file. Listing 2-5 shows an excerpt containing the sdcard_rw u, sdcard_r v,
and inet w groups.
--snip--
#define AID_ROOT 0 /* traditional unix root user */
#define AID_SYSTEM 1000 /* system server */
--snip--

28 Chapter 2
#define AID_SDCARD_RW 1015 /* external storage write access */
#define AID_SDCARD_R 1028 /* external storage read access */
#define AID_SDCARD_ALL 1035 /* access all users external storage */
--snip--
#define AID_INET 3003 /* can create AF_INET and AF_INET6 sockets */
--snip--
struct android_id_info {
const char *name;
unsigned aid;
};
static const struct android_id_info android_ids[] = {
{ "root", AID_ROOT, },
{ "system", AID_SYSTEM, },
--snip--
{ "sdcard_rw", AID_SDCARD_RW, },u
{ "sdcard_r", AID_SDCARD_R, },v
{ "sdcard_all", AID_SDCARD_ALL, },
--snip--
{ "inet", AID_INET, },w
};
Listing 2-5: Static user and group name to UID/GID mapping in android_filesystem_config.h
The android_filesystem_config.h file also defines the owner, access mode,
and associated capabilities (for executables) of core Android system direc-
tories and files.
The package manager reads platform.xml at startup and maintains a list of
permissions and associated GIDs. When it grants permissions to a package
during installation, the package manager checks whether each permission
has an associated GID(s). If so, the GID(s) is added to the list of supple-
mentary GIDs associated with the application. The supplementary GID list
is written as the last field of the packages.list file (see Listing 1-5 on page 14).
Process Attribute Assignment
Before we see how the kernel and lower-level system services check and
enforce permissions, we need to examine how Android application pro-
cesses are started and assigned process attributes.
As discussed in Chapter 1, Android applications are implemented
in Java and are executed by the Dalvik VM. Thus each application pro-
cess is in fact a Dalvik VM process executing the application’s bytecode.
In order to reduce the application memory footprint and improve startup
time, Android does not start a new Dalvik VM process for each application.
Instead, it uses a partially initialized process called zygote and forks it (using
the fork() system call3) when it needs to start a new application. However,
3. For detailed information about process management functions like fork(), setuid(), and
so on, see the respective man pages or a Unix programming text, such as W. Richard Stevens
and Stephen A. Rago’s Advanced Programming in the UNIX Environment (3rd edition), Addison-
Wesley Professional, 2013.

Permissions 29
instead of calling one of the exec() functions like it does when starting a
native process, it merely executes the main() function of the specified Java
class. This process is called specialization, because the generic zygote process is
turned into a specific application process, much like cells originating from
the zygote cell specialize into cells that perform different functions. Thus
the forked process inherits the memory image of the zygote process, which has
pre loaded most core and application framework Java classes. Because those
classes never change and Linux uses a copy-on-write mechanism when fork-
ing processes, all child processes of zygote (that is, all Android applications)
share the same copy of framework Java classes.
The zygote process is started by the init.rc initialization script and
receives commands on a Unix-domain socket, also named zygote. When
zygote receives a request to start a new application process, it forks itself,
and the child process executes roughly the following code (abbreviated
from forkAndSpecializeCommon() in dalvik_system_Zygote.cpp) in order to spe-
cialize itself as shown in Listing 2-6.
pid = fork();
if (pid == 0) {
int err;
/* The child process */
err = setgroupsIntarray(gids);u
err = setrlimitsFromArray(rlimits);v
err = setresgid(gid, gid, gid);w
err = setresuid(uid, uid, uid);x
err = setCapabilities(permittedCapabilities, effectiveCapabilities);y
err = set_sched_policy(0, SP_DEFAULT);z
err = setSELinuxContext(uid, isSystemServer, seInfo, niceName);{
enableDebugFeatures(debugFlags);|
}
Listing 2-6: Application process specialization in zygote
As shown here, the child process first sets its supplementary GIDs (corre-
sponding to permissions) using setgroups(), called by setgroupsIntarray() at u.
Next, it sets resource limits using setrlimit(), called by setrlimitsFromArray()
at v, then sets the real, effective, and saved user and group IDs using
setresgid() w and setresuid() x.
The child process is able to change its resource limits and all process
attributes because it initially executes as root, just like its parent process,
zygote. After the new process attributes are set, the child process executes
with the assigned UIDs and GIDs and cannot go back to executing as root
because the saved user ID is not 0.
After setting the UIDs and GIDs, the process sets its capabilities4 using
capset(), called from setCapabilities() y. Then, it sets its scheduling policy
4. For a discussion of Linux capabilities, see Chapter 39 of Michael Kerrisk’s The Linux
Programming Interface: A Linux and UNIX System Programming Handbook, No Starch Press, 2010.

30 Chapter 2
by adding itself to one of the predefined control groups z.5 At {, the pro-
cess sets its nice name (displayed in the process list, typically the applica-
tion’s package name) and seinfo tag (used by SELinux, which we discuss in
Chapter 12). Finally, it enables debugging if requested |.
NOTE Android 4.4 introduces a new, experimental runtime called Android RunTime (ART),
which is expected to replace Dalvik in a future version. While ART brings many
changes to the current execution environment, most importantly ahead-of-time (AOT)
compilation, it uses the same zygote-based app process execution model as Dalvik.
The process relationship between zygote and application process is evident
in the process list obtained with the ps command, as shown in Listing 2-7.
$ ps
USER PID PPID VSIZE RSS WCHAN PC NAME
root 1 0 680 540 ffffffff 00000000 S /initu
--snip--
root 181 1 858808 38280 ffffffff 00000000 S zygotev
--snip--
radio 1139 181 926888 46512 ffffffff 00000000 S com.android.phone
nfc 1154 181 888516 36976 ffffffff 00000000 S com.android.nfc
u0_a7 1219 181 956836 48012 ffffffff 00000000 S com.google.android.gms
Listing 2-7: zygote and application process relationship
Here, the PID column denotes the process ID, the PPID column denotes
the parent process ID, and the NAME column denotes the process name.
As you can see, zygote (PID 181 v) is started by the init process (PID 1 u)
and all application processes have zygote as their parent (PPID 181). Each
process executes under a dedicated user, either built-in (radio, nfc), or auto-
matically assigned (u0_a7) at install time. The process names are set to the
package name of each application (com.android.phone, com.android.nfc, and
com.google.android.gms).
Permission Enforcement
As discussed in the previous section, each application process is assigned a
UID, GID, and supplementary GIDs when it is forked from zygote. The ker-
nel and system daemons use these process identifiers to decide whether to
grant access to a particular system resource or function.
Kernel-Level Enforcement
Access to regular files, device nodes, and local sockets is regulated just as it
is in any Linux system. One Android-specific addition is requiring processes
that want to create network sockets to belong to the group inet. This Android
kernel addition is known as “paranoid network security” and is implemented
as an additional check in the Android kernel, as shown in Listing 2-8.
5. Linux Kernel Archives, CGROUPS, https://www.kernel.org/doc/Documentation/cgroups/cgroups.txt

Permissions 31
#ifdef CONFIG_ANDROID_PARANOID_NETWORK
#include <linux/android_aid.h>
static inline int current_has_network(void)
{ return in_egroup_p(AID_INET) || capable(CAP_NET_RAW);u}
#else
static inline int current_has_network(void)
{ return 1;v
}
#endif
--snip--
static int inet_create(struct net *net, struct socket *sock, int protocol,
int kern)
{
--snip--
if (!current_has_network())
return -EACCES;w
--snip--
}
Listing 2-8: Paranoid network security implementation in the Android kernel
Caller processes that do not belong to the AID_INET (GID 3003, name
inet) group and do not have the CAP_NET_RAW capability (allowing the use of
RAW and PACKET sockets) receive an access denied error (u and w). Non-
Android kernels do not define CONFIG_ANDROID_PARANOID_NETWORK and thus no
special group membership is required to create a socket v. In order for the
inet group to be assigned to an application process, it needs to be granted
the INTERNET permission. As a result, only applications with the INTERNET per-
mission can create network sockets. In addition to checking process creden-
tials when creating sockets, Android kernels also grant certain capabilities
to processes executing with specific GIDs: processes that execute with the
AID_NET_RAW (GID 3004) are given the CAP_NET_RAW capability, and those exe-
cuting with AID_NET_ADMIN (GID 3005) are given the CAP_NET_ADMIN capability.
Paranoid network security is also used to control access to Bluetooth
sockets and the kernel tunneling driver (used for VPN). A full list of
Android GIDs that the kernel treats in a special way can be found in the
include/linux/android_aid.h file in the kernel source tree.
Native Daemon-Level Enforcement
While Binder is the preferred IPC mechanism in Android, lower-level native
daemons often use Unix domain sockets (local sockets) for IPC. Because
Unix domain sockets are represented as nodes on the filesystem, standard
filesystem permission can be used to control access.
As most sockets are created with an access mode that only allows access
to their owner and group, clients running under a different UID and GID
cannot connect to the socket. Local sockets for system daemons are defined

32 Chapter 2
in init.rc and created by init on startup with the specified access mode. For
example, Listing 2-9 shows how the volume management daemon (vold) is
defined in init.rc:
service vold /system/bin/vold
class core
socket vold stream 0660 root mountu
ioprio be 2
Listing 2-9: vold daemon entry in init.rc
vold declares a socket called vold with the 0660 access mode, owned by
root and with group set to mount u. The vold daemon needs to run as root
in order to mount or unmount volumes, but members of the mount group
(AID_MOUNT, GID 1009) can send it commands via the local socket without
needing to run as the superuser. Local sockets for Android daemons are
created in the /dev/socket/ directory. Listing 2-10 shows that the vold socket
u has the owner and permission specified in init.rc.
$ ls -l /dev/socket
srw-rw---- system system 1970-01-18 14:26 adbd
srw------- system system 1970-01-18 14:26 installd
srw-rw---- root system 1970-01-18 14:26 netd
--snip--
srw-rw-rw- root root 1970-01-18 14:26 property_service
srw-rw---- root radio 1970-01-18 14:26 rild
srw-rw---- root mount 1970-01-18 14:26 voldu
srw-rw---- root system 1970-01-18 14:26 zygote
Listing 2-10: Local sockets for core system daemons in /dev/socket/
Unix domain sockets allow the passing and querying of client creden-
tials using the SCM_CREDENTIALS control message and the SO_PEERCRED socket
option. Like the effective UID and effective GUID that are part of a Binder
transaction, the peer credentials associated with a local socket are checked
by the kernel and cannot be forged by user-level processes. This allows
native daemons to implement additional, fine-grained control over the
operations that they allow for a particular client, as shown in Listing 2-11
using the vold daemon as an example.
int CommandListener::CryptfsCmd::runCommand(SocketClient *cli,
int argc, char **argv) {
if ((cli->getUid() != 0) && (cli->getUid() != AID_SYSTEM)) {u
cli->sendMsg(ResponseCode::CommandNoPermission,
"No permission to run cryptfs commands", false);
return 0;
}
--snip--
}
Listing 2-11: Fine-grained access control based on socket client credentials in vold

Permissions 33
The vold daemon only allows encrypted container management com-
mands to clients running as the root (UID 0) or system (AID_SYSTEM, UID 1000)
users. Here, the UID returned by SocketClient->getUid() u is initialized with
the client UID obtained using getsockopt(SO_PEERCRED) as shown in Listing 2-12
at u.
void SocketClient::init(int socket, bool owned, bool useCmdNum) {
--snip--
struct ucred creds;
socklen_t szCreds = sizeof(creds);
memset(&creds, 0, szCreds);
int err = getsockopt(socket, SOL_SOCKET, SO_PEERCRED, &creds, &szCreds);u
if (err == 0) {
mPid = creds.pid;
mUid = creds.uid;
mGid = creds.gid;
}
}
Listing 2-12: Obtaining local socket client credentials using getsockopt()
Local socket connection functionality is encapsulated in the
android.net.LocalSocket class and is available to Java applications as well,
allowing higher-level system services to communicate with native daemons
without using JNI code. For example, the MountService framework class uses
LocalSocket to send commands to the vold daemon.
Framework-Level Enforcement
As discussed in the introduction to Android permissions, access to Android
components can be controlled using permissions by declaring the required
permissions in the manifest of the enclosing application. The system keeps
track of the permissions associated with each component and checks to
see whether callers have been granted the required permissions before
allowing access. Because components cannot change the permissions they
require at runtime, enforcement by the system is static. Static permissions
are an example of declarative security. When using declarative security,
security attributes such as roles and permissions are placed in the metadata
of a component (the AndroidManifest.xml file in Android), rather than in the
component itself, and are enforced by the container or runtime environ-
ment. This has the advantage of isolating security decisions from business
logic but can be less flexible than implementing securing checks within the
component.
Android components can also check to see whether a calling process
has been granted a certain permission without declaring the permissions
in the manifest. This dynamic permission enforcement requires more work but
allows for more fine-grained access control. Dynamic permission enforce-
ment is an example of imperative security, because security decisions are
made by each component rather than being enforced by the runtime
environment.

34 Chapter 2
Let’s look at how dynamic and static permission enforcement are imple-
mented in more detail.
Dynamic Enforcement
As discussed in Chapter 1, the core of Android is implemented as a set of
cooperating system services that can be called from other processes using
the Binder IPC mechanism. Core services register with the service manager
and any application that knows their registration name can obtain a Binder
reference. Because Binder does not have a built-in access control mechanism,
when clients have a reference they can call any method of the underlying
system service by passing the appropriate parameters to Binder.transact().
Therefore, access control needs to be implemented by each system service.
In Chapter 1, we showed that system services can regulate access to
exported operations by directly checking the UID of the caller obtained
from Binder.getCallingUid() (see Listing 1-7 on page 15). However, this
method requires that the service knows the list of allowed UIDs in advance,
which only works for well-known fixed UIDs such as those of root (UID 0)
and system (UID 1000). Also, most services do not care about the actual
UID of the caller; they simply want to check if it has been granted a certain
permission.
Because each application UID in Android is associated with a unique
package (unless it is part of a shared user ID), and the package manager
keeps track of the permissions granted to each package, this is made possible
by querying the package manager service. Checking to see whether the caller
has a certain permission is a very common operation, and Android provides
a number of helper methods in the android.content.Context class that can per-
form this check.
Let’s first examine how the int Context.checkPermission(String permission,
int pid, int uid) method works. This method returns PERMISSION_GRANTED if
the passed UID has the permission, and returns PERMISSION_DENIED otherwise.
If the caller is root or system, the permission is automatically granted. As a
performance optimization, if the requested permission has been declared
by the calling app, it is granted without examining the actual permission.
If that is not the case, the method checks to see whether the target com-
ponent is public (exported) or private, and denies access to all private
components. (We’ll discuss component export in “Public and Private
Components” on page 43.) Finally, the code queries the package man-
ager service to see if the caller has been granted the requested permission.
The relevant code from the PackageManagerService class is shown in Listing 2-13.
public int checkUidPermission(String permName, int uid) {
synchronized (mPackages) {
Object obj = mSettings.getUserIdLPr(uUserHandle.getAppId(uid));
if (obj != null) {
GrantedPermissions gp = (GrantedPermissions)obj;v
if (gp.grantedPermissions.contains(permName)) {
return PackageManager.PERMISSION_GRANTED;
}

Permissions 35
} else {
HashSet<String> perms = mSystemPermissions.get(uid);w
if (perms != null && perms.contains(permName)) {
return PackageManager.PERMISSION_GRANTED;
}
}
}
return PackageManager.PERMISSION_DENIED;
}
Listing 2-13: UID-based permission check in PackageManagerService
Here the PackageManagerService first determines the app ID of the appli-
cation based on the passed UID u (the same application can be assigned
multiple UIDs when installed for different users, which we discuss in detail
in Chapter 4) and then obtains the set of granted permissions. If the
GrantedPermission class (which holds the actual java.util.Set<String> of
permission names) contains the target permission, the method returns
PERMISSION_GRANTED v. If not, it checks whether the target permission
should be automatically assigned to the passed-in UID w (based on the
<assign-permission> tags in platform.xml, as shown in Listing 2-4). If this
check fails as well, it finally returns PERMISSION_DENIED.
The other permission-check helper methods in the Context class follow
the same procedure. The int checkCallingOrSelfPermission(String permission)
method calls Binder.getCallingUid() and Binder.getCallingPid() for us, and
then calls checkPermission(String permission, int pid, int uid) using the
obtained values. The enforcePermission(String permission, int pid, int uid,
String message) method does not return a result but instead throws a
SecurityException with the specified message if the permission is not
granted. For example, the BatterStatsService class guarantees that only
apps that have the BATTERY_STATS permission can obtain battery statistics by
calling enforceCallingPermission() before executing any other code, as shown
in Listing 2-14. Callers that have not been granted the permission receive a
SecurityException.
public byte[] getStatistics() {
mContext.enforceCallingPermission(
android.Manifest.permission.BATTERY_STATS, null);
Parcel out = Parcel.obtain();
mStats.writeToParcel(out, 0);
byte[] data = out.marshall();
out.recycle();
return data;
}
Listing 2-14: Dynamic permission check in BatteryStatsService
Static Enforcement
Static permission enforcement comes into play when an application
tries to interact with a component declared by another application. The
36 Chapter 2
enforcement process takes into account the permissions declared for each
target component (if any) and allows the interaction if the caller process
has been granted the required permission.
Android uses intents to describe an operation it needs to perform, and
intents that fully specify the target component (by package and class name)
are called explicit. On the other hand, implicit intents contain some data
(often only an abstract action such as ACTION_SEND) that allows the system to
find a matching component, but they do not fully specify a target component.
When the system receives an implicit intent, it first resolves it by search-
ing for matching components. If more than one matching component is
found, the user is presented with a selection dialog. When a target compo-
nent has been selected, Android checks to see whether it has any associated
permissions, and if it does, checks whether they have been granted to the
caller.
The general process is similar to dynamic enforcement: the UID
and PID of the caller are obtained using Binder.getCallingUid() and
Binder.getCallingPid(), the caller UID is mapped to a package name, and
the associated permissions are retrieved. If the set of caller permissions con-
tains the ones required by the target component, the component is started;
otherwise, a SecurityException is thrown.
Permission checks are performed by the ActivityManagerService, which
resolves the specified intent and checks to see whether the target compo-
nent has an associated permission attribute. If so, it delegates the permission
check to the package manager. The timing and concrete sequence of per-
mission checks is slightly different depending on the target component.
(Next, we’ll examine how checks are performed for each component.)
Activity and Service Permission Enforcement
Permission checks for activities are performed if the intent passed to
Context.startActivity() or startActivityForResult() resolves to an activ-
ity that declares a permission. A SecurityException is thrown if the caller
does not have the required permission. Because Android services can be
started, stopped, and bound to, calls to Context.startService(), stopService(),
and bindService() are all subject to permission checks if the target service
declares a permission.
Content Provider Permission Enforcement
Content provider permissions can either protect the whole component or
a particular exported URI, and different permissions can be specified for
reading and writing. (You’ll learn more about permission declaration in
“Content Provider Permissions” on page 46.) If different permissions
for reading and writing have been specified, the read permission con-
trols who can call ContentResolver.query() on the target provider or URI,
and the write permission controls who can call ContentResolver.insert(),
ContentResolver.update(), and ContentResolver.delete() on the provider or one
of its exported URIs. The checks are performed synchronously when one of
these methods is called.

Permissions 37
Broadcast Permission Enforcement
When sending a broadcast, applications can require that receivers hold
a particular permission by using the Context.sendBroadcast (Intent intent,
String receiverPermission) method. Because broadcasts are asynchronous,
no permission check is performed when calling this method. The check
is performed when delivering the intent to registered receivers. If a tar-
get receiver does not hold the required permission, it is skipped and does
not receive the broadcast, but no exception is thrown. In turn, broadcast
receivers can require that broadcasters hold a specific permission in order
to be able to target them.
The required permission is specified in the manifest or when regis-
tering a broadcast dynamically. This permission check is also performed
when delivering the broadcast and does not result in a SecurityException.
Thus delivering a broadcast might require two permission checks: one for
the broadcast sender (if the receiver specified a permission) and one for the
broadcast receiver (if the sender specified a permission).
Protected and Sticky Broadcasts
Some system broadcasts are declared as protected (for example, BOOT_COMPLETED
and PACKAGE_INSTALLED) and can only be sent by a system process running as
one of SYSTEM_UID, PHONE_UID, SHELL_UID, BLUETOOTH_UID, or root. If a process run-
ning under a different UID tries to send a protected broadcast, it receives a
SecurityException when calling one of the sendBroadcast() methods. Sending
“sticky” broadcasts (if marked as sticky, the system preserves the sent Intent
object after the broadcast is complete) requires that the sender holds
BROADCAST_STICKY permission; otherwise, a SecurityException is thrown and
the broadcast is not sent.
System Permissions
Android’s built-in permissions are defined in the android package, some-
times also referred to as “the framework” or “the platform.” As we learned
in Chapter 1, the core Android framework is the set of classes shared by
system services, with some exposed via the public SDK as well. Framework
classes are packaged in JAR files found in /system/framework/ (about 40 in
latest releases).
Besides JAR libraries, the framework contains a single APK file,
framework-res.apk. As the name implies, it packages framework resources
(animation, drawables, layouts, and so on), but no actual code. Most
importantly, it defines the android package and system permissions. As
framework-res.apk is an APK file, it contains an AndroidManifest.xml file
where permission groups and permissions are declared (see Listing 2-15).
<?xml version="1.0" encoding="utf-8"?>
<manifest xmlns:android="http://schemas.android.com/apk/res/android"
package="android" coreApp="true" android:sharedUserId="android.uid.system"
android:sharedUserLabel="@string/android_system_label">

38 Chapter 2
--snip--
<protected-broadcast android:name="android.intent.action.BOOT_COMPLETED" />u
<protected-broadcast android:name="android.intent.action.PACKAGE_INSTALL" />
--snip--
<permission-group android:name="android.permission-group.MESSAGES"
android:label="@string/permgrouplab_messages"
android:icon="@drawable/perm_group_messages"
android:description="@string/permgroupdesc_messages"
android:permissionGroupFlags="personalInfo"
android:priority="360"/>v
<permission android:name="android.permission.SEND_SMS"
android:permissionGroup="android.permission-group.MESSAGES"w
android:protectionLevel="dangerous"
android:permissionFlags="costsMoney"
android:label="@string/permlab_sendSms"
android:description="@string/permdesc_sendSms" />
--snip--
<permission android:name="android.permission.NET_ADMIN"
android:permissionGroup="android.permission-group.SYSTEM_TOOLS"
android:protectionLevel="signature" />x
--snip--
<permission android:name="android.permission.MANAGE_USB"
android:permissionGroup="android.permission-group.HARDWARE_CONTROLS"
android:protectionLevel="signature|system"y
android:label="@string/permlab_manageUsb"
android:description="@string/permdesc_manageUsb" />
--snip--
<permission android:name="android.permission.WRITE_SECURE_SETTINGS"
android:permissionGroup="android.permission-group.DEVELOPMENT_TOOLS"
android:protectionLevel="signature|system|development"z
android:label="@string/permlab_writeSecureSettings"
android:description="@string/permdesc_writeSecureSettings" />
--snip--
</manifest>
Listing 2-15: System permission definitions in the manifest of framework-res.apk
As shown in this listing, the AndroidManifest.xml file also declares the
system’s protected broadcasts u. A permission group v specifies a name for a
set of related permissions. Individual permission can be added to a group
by specifying the group name in their permissionGroup attribute w.
Permission groups are used to display related permissions in the system
UI, but each permission still needs to be requested individually. That is, appli-
cations cannot request that they be granted all the permissions in a group.
Recall that each permission has an associated protection level declared
using the protectionLevel attribute, as shown at x.
Protection levels can be combined with protection flags to further con-
strain how permissions are granted. The currently defined flags are system
(0x10) and development (0x20). The system flag requires that applications be
part of the system image (that is, installed on the read-only system partition)
in order to be granted a permission. For example, the MANAGE_USB permis-
sion, which allows applications to manage preferences and permissions for

Permissions 39
USB devices, is only granted to applications that are both signed with the
platform signing key and installed on the system partition y. The development
flag marks development permissions z, which we’ll discuss after presenting
signature permissions.
Signature Permissions
As discussed in Chapter 1, all Android applications are required to be code
signed with a signature key controlled by the developer. This applies to sys-
tem applications and the framework resource package as well. We discuss
package signing in detail in Chapter 3, but for now let’s say a few words
about how system applications are signed.
System applications are signed by a platform key. By default, there are four
different keys in the current Android source tree: platform, shared, media, and
testkey (releasekey for release builds). All packages considered part of the core
platform (System UI, Settings, Phone, Bluetooth, and so on) are signed with
the platform key; the search- and contacts-related packages with the shared
key; the gallery app and media related providers with the media key; and
everything else (including packages that don’t explicitly specify the signing
key in their makefile) with the testkey (or releasekey). The framework-res.apk
APK that defines system permissions is signed with the platform key. Thus
any app trying to request a system permission with signature protection level
needs to be signed with the same key as the framework resource package.
For example, the NET_ADMIN permission shown in Listing 2-15 (which
allows a granted application to control network interfaces), is declared with
the signature protection level x and can only be granted to applications
signed with the platform key.
NOTE The Android open source repository (AOSP) includes pregenerated test keys that
are used by default when signing compiled packages. They should never be used
for production builds because they are public and available to anyone who down-
loads Android source code. Release builds should be signed with newly generated
private keys that belong only to the build owner. Keys can be generated using the
make_key script, which is included in the development/tools/ AOSP directory.
See the build/target/product/security/README file for details on platform key
generation.
Development Permissions
Traditionally, the Android permission model does not allow for dynamically
granting and revoking permissions, and the set of granted permission for
an application is fixed at install time. However, since Android 4.2, this rule
has been relaxed a little by adding a number of development permissions (such
as READ_LOGS and WRITE_SECURE_SETTINGS). Development permission can be
granted or revoked on demand using the pm grant and pm revoke commands
on the Android shell.

40 Chapter 2
NOTE Of course, this operation is not available to everyone and is protected by the
GRANT_REVOKE_PERMISSIONS signature permission. It is granted to the android
.uid.shell shared user ID (UID 2000), and to all processes started from the
Android shell (which also runs as UID 2000).
Shared User ID
Android applications signed with the same key can request the ability to
run as the same UID, and optionally in the same process. This feature
is referred to as shared user ID and is extensively used by core framework
services and system applications. Because it can have subtle effects on
process accounting and application management, the Android team does
not recommend that third-party applications use it, but it is available to
user-installed applications as well. Additionally, switching an existing appli-
cations that does not use a shared user ID to a shared user ID is not sup-
ported, so cooperating applications that need to use shared user ID should
be designed and released as such from the start.
Shared user ID is enabled by adding the sharedUserId attribute to
AndroidManifest.xml’s root element. The user ID specified in the mani-
fest needs to be in Java package format (containing at least one dot [.])
and is used as an identifier, much like package names for applications. If
the specified shared UID does not exist, it is created. If another package
with the same shared UID is already installed, the signing certificate is
compared to that of the existing package, and if they do not match, an
INSTALL_FAILED_SHARED_USER_INCOMPATIBLE error is returned and installation fails.
Adding the sharedUserId attribute to a new version of an installed app
will cause it to change its UID, which would result in losing access to its
own files (that was the case in some early Android versions). Therefore,
this is disallowed by the system, which will reject the update with the
INSTALL_FAILED_UID_CHANGED error. In short, if you plan to use shared UID
for your apps, you have to design for it from the start, and must have used
it since the very first release.
The shared UID itself is a first class object in the system’s package
database and is treated much like applications: it has an associated signing
certificate(s) and permissions. Android has five built-in shared UIDs, which
are automatically added when the system is bootstrapped:
• android.uid.system (SYSTEM_UID, 1000)
• android.uid.phone (PHONE_UID, 1001)
• android.uid.bluetooth (BLUETOOH_UID, 1002)
• android.uid.log (LOG_UID, 1007)
• android.uid.nfc (NFC_UID, 1027)
Listing 2-16 shows how the android.uid.system shared user is defined:
<shared-user name="android.uid.system" userId="1000">
<sigs count="1">

Permissions 41
<cert index="4" />
</sigs>
<perms>
<item name="android.permission.MASTER_CLEAR" />
<item name="android.permission.CLEAR_APP_USER_DATA" />
<item name="android.permission.MODIFY_NETWORK_ACCOUNTING" />
--snip--
<shared-user/>
Listing 2-16: Definition of the android.uid.system shared user
As you can see, apart from having a bunch of scary permissions (about
66 on a 4.4 device), the definition is very similar to the package declara-
tions shown earlier. Conversely, packages that are part of a shared user
do not have an associated granted permission list. Instead, they inherit
the permissions of the shared user, which are a union of the permissions
requested by all currently installed packages with the same shared user ID.
One side effect of this is that if a package is part of a shared user, it can
access APIs that it hasn’t explicitly requested permissions for, as long as
some package with the same shared user ID has already requested them.
Permissions are dynamically removed from the <shared-user> definition as
packages are installed or uninstalled though, so the set of available permis-
sions is neither guaranteed nor constant.
Listing 2-17 shows how the declaration of the KeyChain system app that
runs under a shared user ID looks like. As you can see, it references the
shared user with the sharedUserId attribute and lacks explicit permission
declarations:
<package name="com.android.keychain"
codePath="/system/app/KeyChain.apk"
nativeLibraryPath="/data/app-lib/KeyChain"
flags="540229" ft="13cd65721a0"
it="13c2d4721f0" ut="13cd65721a0"
version="19"
sharedUserId="1000">
<sigs count="1">
<cert index="4" />
</sigs>
<signing-keyset identifier="1" />
</package>
Listing 2-17: Package declaration of an application that runs under a shared user ID
The shared UID is not just a package management construct; it actu-
ally maps to a shared Linux UID at runtime as well. Listing 2-18 shows an
example of two system apps running as the system user (UID 1000):
system 5901 9852 845708 40972 ffffffff 00000000 S com.android.settings
system 6201 9852 824756 22256 ffffffff 00000000 S com.android.keychain
Listing 2-18: Applications running under a shared UID (system)

42 Chapter 2
Applications that are part of a shared user can run in the same pro-
cess, and because they already have the same Linux UID and can access
the same system resources, this typically does not require any additional
modifications. A common process can be requested by specifying the same
process name in the process attribute of the <application> tag in the mani-
fests of all apps that need to run in one process. While the obvious result of
this is that the apps can share memory and communicate directly instead of
using IPC, some system services allow special access to components running
in the same process (for example, direct access to cached passwords or get-
ting authentication tokens without showing UI prompts). Google applica-
tions (such as Play Services and the Google location service) take advantage
of this by requesting to run in the same process as the Google login service
in order to be able to sync data in the background without user interaction.
Naturally, they are signed with the same certificate and are part of the
com.google.uid.shared shared user.
Custom Permissions
Custom permissions are simply permissions declared by third-party applica-
tions. When declared, they can be added to application components for static
enforcement by the system, or the application can dynamically check to see
if callers have been granted the permission using the checkPermission() or
enforcePermission() methods of the Context class. As with built-in permissions,
applications can define permission groups that their custom permissions are
added to. For example, Listing 2-19 shows the declaration of a permission
group v and the permission belonging to that group w.
<?xml version="1.0" encoding="utf-8"?>
<manifest xmlns:android="http://schemas.android.com/apk/res/android"
package="com.example.app"
android:versionCode="1"
android:versionName="1.0" >
--snip--
<permission-tree
android:name="com.example.app.permission"
android:label="@string/example_permission_tree_label" />u
<permission-group
android:name="com.example.app.permission-group.TEST_GROUP"
android:label="@string/test_permission_group_label"
android:description="@string/test_permission_group_desc"/>v
<permission
android:name="jcom.example.app.permission.PERMISSION1"
android:label="@string/permission1_label"
android:description="@string/permission1_desc"
android:permissionGroup="com.example.app.permission-group.TEST_GROUP"
android:protectionLevel="signature" />w

Permissions 43
--snip--
</manifest>
Listing 2-19: Custom permission tree, permission group, and permission declaration
As with system permissions, if the protection level is normal or danger-
ous, custom permission will be granted automatically when the user okays
the confirmation dialog. In order to be able to control which applications
are granted a custom permission, you need to declare it with the signature
protection level to guarantee that it will only be granted to applications
signed with the same key.
NOTE The system can only grant a permission that it knows about, which means that appli-
cations that define custom permissions need to be installed before the applications that
make use of those permissions are installed. If an application requests a permission
unknown to the system, it is ignored and not granted.
Applications can also add new permissions dynamically using the
android.content.pm.PackageManager.addPermission() API and remove them with
the matching removePermision() API. Such dynamically added permissions
must belong to a permission tree defined by the application. Applications can
only add or remove permissions from a permission tree in their own pack-
age or another package running as the same shared user ID.
Permission tree names are in reverse domain notation and a per-
mission is considered to be in a permission tree if its name is pre-
fixed with the permission tree name plus a dot (.). For example, the
com.example.app.permission.PERMISSION2 permission is a member of the
com.example.app.permission tree defined in Listing 2-19 at u. Listing 2-20
shows how to add a dynamic permission programmatically.
PackageManager pm = getPackageManager();
PermissionInfo permission = new PermissionInfo();
permission.name = "com.example.app.permission.PERMISSION2";
permission.labelRes = R.string.permission_label;
permission.protectionLevel = PermissionInfo.PROTECTION_SIGNATURE;
boolean added = pm.addPermission(permission);
Log.d(TAG, "permission added: " + added);
Listing 2-20: Adding a dynamic permission programmatically
Dynamically added permissions are added to the package database
(/data/system/packages.xml ). They persist across reboots, just like permis-
sions defined in the manifest, but they have an additional type attribute set
to dynamic.
Public and Private Components
Components defined in the AndroidManifest.xml file can be public or pri-
vate. Private components can be called only by the declaring application,
while public ones are available to other applications as well.

44 Chapter 2
With the exception of content providers, all components are private
by default. Because the purpose of content providers is to share data with
other applications, content providers were initially public by default, but
this behavior changed in Android 4.2 (API Level 17). Applications that tar-
get API Level 17 or later now get private content providers by default, but
they are kept public for backward compatibility when targeting a lower
API level.
Components can be made public by explicitly setting the exported attri-
bute to true, or implicitly by declaring an intent filter. Components that have
an intent filter but that do not need to be public can be made private by set-
ting the exported attribute to false. If a component is not exported, calls from
external applications are blocked by the activity manager, regardless of the
permissions the calling process has been granted (unless it is running as root
or system). Listing 2-21 shows how to keep a component private by setting the
exported attribute to false.
<service android:name=".MyService" android:exported="false" >
<intent-filter>
<action android:name="com.example.FETCH_DATA" />
</intent-filter>
</service>
Listing 2-21: Keeping a component private by setting exported="false"
Unless explicitly intended for public consumption, all public compo-
nents should be protected by a custom permission.
Activity and Service Permissions
Activities and services can each be protected by a single permission set
with the permission attribute of the target component. The activity permis-
sion is checked when other applications call Context.startActivity() or Con
text.startActivityForResult() with an intent that resolves to that activity.
For services, the permission is checked when other applications call one
of Context.startService(), stopService(), or bindService() with an intent that
resolves to the service.
For example, Listing 2-22 shows two custom permissions, START_MY_ACTIVITY
and USE_MY_SERVICE, set to an activity u and service v, respectively. Applications
that want to use these components need to request the respective permissions
using the <uses-permission> tag in their manifest.
<?xml version="1.0" encoding="utf-8"?>
<manifest xmlns:android="http://schemas.android.com/apk/res/android"
package="com.example.myapp"
... >
<permission android:name="com.example.permission.START_MY_ACTIVITY"
android:protectionLevel="signature"
android:label="@string/start_my_activity_perm_label"
android:description="@string/start_my_activity_perm_desc" />
<permission android:name="com.example.permission.USE_MY_SERVICE"

Permissions 45
android:protectionLevel="signature"
android:label="@string/use_my_service_perm_label"
android:description="@string/use_my_service_perm_desc" />
--snip--
<activity android:name=".MyActivity"
android:label="@string/my_activity"
android:permission="com.example.permission.START_MY_ACTIVITY">u
<intent-filter>
--snip--
</intent-filter>
</activity>
<service android:name=".MyService"
android:permission="com.example.permission.USE_MY_SERVICE">v
<intent-filter>
--snip--
</intent-filter>
</service>
--snip--
</manifest>
Listing 2-22: Protecting activities and services with custom permissions
Broadcast Permissions
Unlike activities and services, permissions for broadcast receivers can be
specified both by the receiver itself and by the application sending the
broadcast. When sending a broadcast, applications can either use the
Context.sendBroadcast(Intent intent) method to send a broadcast to be
delivered to all registered receives, or limit the scope of components that
receive the broadcast by using the Context.sendBroadcast(Intent intent,
String receiverPermission). The receiverPermission parameter specifies the
permission that interested receivers need to hold in order to receive the
broadcast. Alternatively, starting with Android 4.0, senders can use the
Intent.setPackage(String packageName) to limit the scope of receivers to those
defined in the specified package. On multi-user devices, system applications
that hold the INTERACT_ACROSS_USERS permission can send a broadcast that is
delivered only to a specific user by the using the sendBroadcastAsUser(Intent
intent, UserHandle user) and sendBroadcastAsUser(Intent intent, UserHandle
user, String receiverPermission) methods.
Receivers can limit who can send them broadcasts by specifying a per-
mission using the permission attribute of the <receiver> tag in the manifest
for statically registered receivers, or by passing the required permission to
the Context.registerReceiver(BroadcastReceiver receiver, IntentFilter filter,
String broadcastPermission, Handler scheduler) method for dynamically regis-
tered receivers.
Only broadcasters that have been granted the required permission
will be able to send a broadcast to that receiver. For example, device
administration applications that enforce systemwide security policies (we
discuss device administration in Chapter 9) require the BIND_DEVICE_ADMIN

46 Chapter 2
permission in order to receive the DEVICE_ADMIN_ENABLED broadcast. Because
this is a system permission with protection level signature, requiring the per-
mission guarantees that only the system can activate device administration
applications. For example, Listing 2-23 shows how the default Android
Email application specifies the BIND_DEVICE_ADMIN u permission for its
PolicyAdmin receiver.
<?xml version="1.0" encoding="utf-8"?>
<manifest xmlns:android="http://schemas.android.com/apk/res/android"
package="com.android.email"
android:versionCode="500060" >
--snip--
<receiver
android:name=".SecurityPolicy$PolicyAdmin"
android:label="@string/device_admin_label"
android:description="@string/device_admin_description"
android:permission="android.permission.BIND_DEVICE_ADMIN" >u
<meta-data
android:name="android.app.device_admin"
android:resource="@xml/device_admin" />
<intent-filter>
<action
android:name="android.app.action.DEVICE_ADMIN_ENABLED" />
</intent-filter>
</receiver>
--snip--
</manifest>
Listing 2-23: Specifying a permission for a statically registered broadcast receiver
As with other components, private broadcast receivers can only receive
broadcasts originating from the same application.
Content Provider Permissions
As mentioned in “The Nature of Permissions” on page 21, content pro-
viders have a more complex permission model than other components, as
we’ll describe in detail in this section.
Static Provider Permissions
While a single permissions that controls access to the whole provider can be
specified using the permission attribute, most providers employ different per-
mission for reading and writing, and can also specify per-URI permissions.
One example of a provider that uses different permissions for reading and
writing is the built-in ContactsProvider. Listing 2-24 shows the declaration of
its ContactsProvider2 class.
<manifest xmlns:android="http://schemas.android.com/apk/res/android"
package="com.android.providers.contacts"
android:sharedUserId="android.uid.shared"
android:sharedUserLabel="@string/sharedUserLabel">

Permissions 47
--snip--
<provider android:name="ContactsProvider2"
android:authorities="contacts;com.android.contacts"
android:label="@string/provider_label"
android:multiprocess="false"
android:exported="true"
android:readPermission="android.permission.READ_CONTACTS"u
android:writePermission="android.permission.WRITE_CONTACTS">v
--snip--
<path-permission
android:pathPattern="/contacts/.*/photo"
android:readPermission="android.permission.GLOBAL_SEARCH" />w
<grant-uri-permission android:pathPattern=".*" />
</provider>
--snip--
</manifest>
Listing 2-24: ContactsProvider permission declarations
The provider uses the readPermission attribute to specify one permission
for reading data (READ_CONTACTS u), and a separate permission for writing
data using the writePermission attribute (WRITE_CONTACTS v). Thus, applica-
tions that only hold the READ_CONTACTS permission can only call the query()
method of the provider, and calls to insert(), update(), or delete() require
the caller to hold the WRITE_CONTACTS permission. Applications that need to
both read and write to the contacts provider need to hold both permissions.
When the global read and write permission are not sufficiently flexible,
providers can specify per-URI permissions to protect a certain subset of their
data. Per-URI permissions have higher priority than the component-level
permission (or read and write permissions, if specified separately). Thus if
an application wants to access a content provider URI that has an associated
permission, it needs to hold only the target URI’s permission, and not the
component-level permission. In Listing 2-24, the ContactsProvider2 uses the
<path-permission> tag to require that applications trying to read photos of con-
tacts hold the GLOBAL_SEARCH permission w. As per-URI permissions override
the global read permission, interested applications do not need to hold the
READ_CONTACTS permission. In practice, the GLOBAL_SEARCH permission is used
to grant read-only access to some of the system providers’ data to Android’s
search system, which cannot be expected to hold read permissions to all
providers.
Dynamic Provider Permissions
While statically defined per-URI permissions can be quite powerful, appli-
cations sometimes need to grant temporary access to a particular piece
of data (referred to by its URI) to other apps, without requiring that they
hold a particular permission. For example, an email or messaging applica-
tion may need to cooperate with an image viewer app in order to display
an attachment. Because the app cannot know the URIs of attachments in
advance, if it used static per-URI permissions, it would need to grant read
access to all attachments to the image viewer app, which is undesirable.

48 Chapter 2
To avoid this situation and potential security concern, applications
can dynamically grant temporary per-URI access using the Context
.grantUriPermission(String toPackage, Uri uri, int modeFlags) method and
revoke access using the matching revokeUriPermission(Uri uri, int modeFlags)
method. Temporary per-URI access is enabled by setting the global
grantUriPermissions attribute to true or by adding a <grant-uri-permission> tag
in order to enable it for a specific URI. For example, Listing 2-25 shows how
the Email application uses the grantUriPermissions attribute u to allow tempo-
rary access to attachments without requiring the READ_ATTACHMENT permission.
<?xml version="1.0" encoding="utf-8"?>
<manifest xmlns:android="http://schemas.android.com/apk/res/android"
package="com.android.email"
android:versionCode="500060" >
<provider
android:name=".provider.AttachmentProvider"
android:authorities="com.android.email.attachmentprovider"
android:grantUriPermissions="true"u
android:exported="true"
android:readPermission="com.android.email.permission.READ_ATTACHMENT"/>
--snip--
</manifest>
Listing 2-25: AttachmentProvider declaration from the Email app
In practice, applications rarely use the Context.grantPermission() and
revokePermission() methods directly to allow per-URI access. Instead, they
set the FLAG_GRANT_READ_URI_PERMISSION or FLAG_GRANT_WRITE_URI_PERMISSION flags
to the intent used to start the cooperating application (image viewer in our
example). When those flags are set, the recipient of the intent is granted per-
mission to perform read or write operations on the URI in the intent’s data.
Beginning with Android 4.4 (API Level 19), per-URI access
grants can be persisted across device reboots with the ContentResolver
.takePersistableUriPermission() method, if the received intent has the
FLAG_GRANT_PERSISTABLE_URI_PERMISSION flag set. Grants are persisted to
the /data/system/urigrants.xml file and can be revoked by calling the
releasePersistableUriPermission() method. Both transient and persistent
per-URI access grants are managed by the system ActivityManagerService,
which APIs related to per-URI access call internally.
Beginning with Android 4.1 (API level 16), applications can use the
ClipData facility6 of intents to add more than one content URI to temporar-
ily be granted access to.
Per-URI access is granted using one of the FLAG_GRANT_* intent flags, and
automatically revoked when the task of the called application finishes, so
there is no need to call revokePermission(). Listing 2-26 shows how the Email
application creates an intent that launches an attachment viewer application.
6. Google, Android API Reference, “ClipData,” http://developer.android.com/reference/android/
content/ClipData.html

Permissions 49
public Intent getAttachmentIntent(Context context, long accountId) {
Uri contentUri = getUriForIntent(context, accountId);
Intent intent = new Intent(Intent.ACTION_VIEW);
intent.setDataAndType(contentUri, mContentType);
intent.addFlags(Intent.FLAG_GRANT_READ_URI_PERMISSION |
Intent.FLAG_ACTIVITY_CLEAR_WHEN_TASK_RESET);
return intent;
}
Listing 2-26: Using the FLAG_GRANT_READ_URI_PERMISSION flag to start a viewer application
Pending Intents
Pending intents are neither an Android component nor a permission, but
because they allow an application to grant its own permissions to another
application, we discuss them here.
Pending intents encapsulate an intent and a target action to perform
with it (start an activity, send a broadcast, and so on). The main difference
from “regular” intents is that pending intents also include the identity of the
applications that created them. This allows pending intents to be handed to
other applications, which can use them to perform the specified action using
the identity and permissions of the original application. The identity stored
in pending intents is guaranteed by the system ActivityManagerService, which
keeps track of the currently active pending intents.
Pending intents are used to implement alarms and notifications in
Android. Alarms and notifications allow any application to specify an action
that needs to be performed on its behalf, either at a specified time for alarms,
or when the user interacts with a system notification. Alarms and notifications
can be triggered when the application that created them is no longer running,
and the system uses the information in the pending intent to start it and per-
form the intent action on its behalf. Listing 2-27 shows how the Email applica-
tion uses a pending intent created with the PendingIntent.getBroadcast() u to
schedule broadcasts that trigger email synchronization.
private void setAlarm(long id, long millis) {
--snip--
Intent i = new Intent(this, MailboxAlarmReceiver.class);
i.putExtra("mailbox", id);
i.setData(Uri.parse("Box" + id));
pi = PendingIntent.getBroadcast(this, 0, i, 0);u
mPendingIntents.put(id, pi);
AlarmManager am =
(AlarmManager)getSystemService(Context.ALARM_SERVICE);
m.set(AlarmManager.RTC_WAKEUP,
System.currentTimeMillis() + millis, pi);
--snip--
}
Listing 2-27: Using a pending intent to schedule an alarm
50 Chapter 2
Pending intents can be handed to non-system applications as well.
The same rules apply: applications that receive a PendingIntent instance
can perform the specified operation with the same permissions and iden-
tity as creator applications. Therefore, care should be taken when building
the base intent, and base intents should generally be as specific as possible
(with component name explicitly specified) to ensure that the intent is
received by the intended components.
The implementation of pending intents is rather complex, but it is
based on the same IPC and sandboxing principles that other Android
components are built upon. When an application creates a pending
intent, the system retrieves its UID and PID using Binder.getCallingUid()
and Binder.getCallingPid(). Based on those, the system retrieves the package
name and user ID (on multi-user devices) of the creator and stores them
in a PendingIntentRecord along with the base intent and any additional meta-
data. The activity manager keeps a list of active pending intents by storing
the corresponding PendingIntentRecords, and when triggered, retrieves the
necessary record. It then uses the information in the record to assume the
identity of the pending intent creator and execute the specified action.
From there, the process is the same as when starting any Android compo-
nent and the same permission checks are performed.
Summary
Android runs each application in a restricted sandbox and requires that
applications request specific permissions in order to interact with other
apps or the system. Permissions are strings that denote the ability to per-
form a particular action. They are granted at application install time and
(with the exception of development permissions) remain fixed during an
application’s lifetime. Permissions can be mapped to Linux supplemen-
tary group IDs, which the kernel checks before granting access to system
resources.
Higher-level system services enforce permissions by obtaining the UID
of the calling application using Binder and looking up the permissions it
holds in the package manager database. Permissions associated with a com-
ponent declared in an application’s manifest file are automatically enforced
by the system, but applications can also choose to perform additional per-
mission checks dynamically. In addition to using built-in permissions, appli-
cations can also define custom permissions and associate them with their
components in order to control access.
Each Android component can require a permission, and content pro-
viders can additionally specify read and write permissions on a per-URI
basis. Pending intents encapsulate the identity of the application that
created them as well as an intent and an action to perform, which allows
the system or third-party applications to perform actions on behalf of the
original applications with the same identity and permissions.
3
PACKAGE MANAGEMENT
In this chapter, we take an in-depth look at Android
package management. We begin with a description
of Android’s package format and code signing imple-
mentation, and then detail the APK install process.
Next, we explore Android’s support for encrypted
APKs and secure application containers, which are used to implement a
form of DRM for paid applications. Finally, we describe Android’s pack-
age verification mechanism and its most widely used implementation: the
Google Play application verification service.
Android Application Package Format
Android applications are distributed and installed in the form of application
package (APK) files, which are usually referred to as APK files. APK files are
container files that include both application code and resources, as well as
the application manifest file. They can also include a code signature. The

52 Chapter 3
APK format is an extension of the Java JAR format,1 which in turn is an exten-
sion of the popular ZIP file format. APK files typically have the .apk extension
and are associated with the application/vnd.android.package-archive MIME type.
Because APK files are simply ZIP files, you can easily examine their con-
tents by extracting them with any compression utility that supports the ZIP
format. Listing 3-1 shows the contents of a typical APK file after it has been
extracted.
apk/
|-- AndroidManifest.xmlu
|-- classes.dexv
|-- resources.arscw
|-- assets/x
|-- lib/y
| |-- armeabi/
| | `-- libapp.so
| `-- armeabi-v7a/
| `-- libapp.so
|-- META-INF/z
| |-- CERT.RSA
| |-- CERT.SF
| `-- MANIFEST.MF
`-- res/{
|-- anim/
|-- color/
|-- drawable/
|-- layout/
|-- menu/
|-- raw/
`-- xml/
Listing 3-1: Contents of a typical APK file
Every APK file includes an AndroidManifest.xml file u which declares the
application’s package name, version, components, and other metadata. The
classes.dex file v contains the executable code of the application and is in
the native DEX format of the Dalvik VM. The resources.arsc w packages all
of the application’s compiled resources such as strings and styles. The assets
directory x is used to bundle raw asset files with the application, such as
fonts or music files.
Applications that take advantage of native libraries via JNI contain a lib
directory y, with subdirectories for each supported platform architecture.
Resources that are directly referenced from Android code, either directly
using the android.content.res.Resources class or indirectly via higher-level
APIs, are stored in the res directory {, with separate directories for each
resource type (animations, images, menu definitions, and so on). Like JAR
files, APK files also contain a META-INF directory z, which hosts the pack-
age manifest file and code signatures. We’ll describe the contents of this
directory in the next section.
1. Oracle, JAR File Specification, http://docs.oracle.com/javase/7/docs/technotes/guides/jar/jar.html

Package Management 53
Code Signing
As we learned in Chapter 2, Android uses APK code signing, in particular
the APK signing certificate, in order to control which applications can be
granted permission with the signature protection level. The APK signing
certificate is also used for various checks during the application installa-
tion process, so before we get into details about APK installation, we should
become more familiar with code signing in Android. This section provides
some details about Java code signing in general and highlights the differ-
ences with Android’s implementation.
Let’s start with a few words about code signing in general. Why would
anyone want to sign code? For the usual reasons: integrity and authenticity.
Before executing any third-party program, you want to make sure that it
hasn’t been tampered with (integrity) and that it was actually created by the
entity that it claims to come from (authenticity). These features are usually
implemented by a digital signature scheme, which guarantees that only the
entity owning the signing key can produce a valid code signature.
The signature verification process verifies both that the code has not
been tampered with and that the signature was produced with the expected
key. But one problem that code signing doesn’t solve directly is whether the
code signer (software publisher) can be trusted. The usual way to estab-
lish trust is to require that the code signer holds a digital certificate and
attaches it to the signed code. Verifiers decide whether to trust the certifi-
cate based on a trust model (such as PKI or web of trust) or on a case-by-
case basis.
Another problem that code signing does not even attempt to solve is
whether the signed code is safe to run. As Flame2 and other code-signed
malware have demonstrated, even code that appears to have been signed
by a trusted third party might not be safe.
Java Code Signing
Java code signing is performed at the JAR file level. It reuses and extends
JAR manifest files in order to add a code signature to the JAR archive. The
main JAR manifest file (MANIFEST.MF) has entries with the filename and
digest value of each file in the archive. For example, Listing 3-2 shows the
start of the JAR manifest file of a typical APK file. (We’ll use APKs instead
of regular JARs for all examples in this section.)
Manifest-Version: 1.0
Created-By: 1.0 (Android)
Name: res/drawable-xhdpi/ic_launcher.png
SHA1-Digest: K/0Rd/lt0qSlgDD/9DY7aCNlBvU=
2. Microsoft Corporation, Flame malware collision attack explained, http://blogs.technet.com/b/srd/
archive/2012/06/06/more-information-about-the-digital-certificates-used-to-sign-the-flame-malware.aspx

54 Chapter 3
Name: res/menu/main.xml
SHA1-Digest: kG8WDil9ur0f+F2AxgcSSKDhjn0=
Name: ...
Listing 3-2: JAR manifest file excerpt
Implementation
Java code signing is implemented by adding another manifest file called a
signature file (with extension .SF), which contains the data to be signed, and
a digital signature over it. The digital signature is called a signature block file
and is stored in the archive as a binary file with one of the .RSA, .DSA, or
.EC extensions, depending on the signature algorithm used. As shown in
Listing 3-3, the signature file is very similar to the manifest.
Signature-Version: 1.0
SHA1-Digest-Manifest-Main-Attributes: ZKXxNW/3Rg7JA1r0+RlbJIP6IMA=
Created-By: 1.7.0_51 (Sun Microsystems Inc.)
SHA1-Digest-Manifest: zb0XjEhVBxE0z2ZC+B4OW25WBxo=u
Name: res/drawable-xhdpi/ic_launcher.png
SHA1-Digest: jTeE2Y5L3uBdQ2g40PB2n72L3dE=v
Name: res/menu/main.xml
SHA1-Digest: kSQDLtTE07cLhTH/cY54UjbbNBo=w
Name: ...
Listing 3-3: JAR signature file excerpt
The signature file contains the digest of the whole manifest file (SHA1-
Digest-Manifest u), as well as digests for each entry in MANIFEST.MF (v
and w). SHA-1 was the default digest algorithm until Java 6, but Java 7 and
later can generate file and manifest digests using the SHA-256 and SHA-512
hash algorithms, in which case the digest attributes become SHA-256-Digest
and SHA-512-Digest, respectively. Since version 4.3, Android supports SHA-256
and SHA-512 digests.
The digests in the signature file can easily be verified by using the fol-
lowing OpenSSL commands, as shown in Listing 3-4.
$ openssl sha1 -binary MANIFEST.MF |openssl base64u
zb0XjEhVBxE0z2ZC+B4OW25WBxo=
$ echo -en "Name: res/drawable-xhdpi/ic_launcher.png\r\nSHA1-Digest: \
K/0Rd/lt0qSlgDD/9DY7aCNlBvU=\r\n\r\n"|openssl sha1 -binary |openssl base64v
jTeE2Y5L3uBdQ2g40PB2n72L3dE=
Listing 3-4: Verifying JAR signature file digests using OpenSSL
The first command u takes the SHA-1 digest of the entire manifest file
and encodes it to Base64 to produce the SHA1-Digest-Manifest value. The

Package Management 55
second command v simulates the way the digest of a single manifest entry
is calculated. It also demonstrates the attribute canonicalization format
required by the JAR specification.
The actual digital signature is in binary PKCS#73 (or more generally,
CMS4) format and includes the signature value and signing certificate.
Signature block files produced using the RSA algorithm are saved with the
extension .RSA, and those generated with DSA or EC keys are saved with
.DSA or .EC extensions. Multiple signatures can also be performed, resulting
in multiple .SF and .RSA/DSA/EC files in the JAR file’s META-INF directory.
The CMS format is rather involved, allowing for signing and encryp-
tion, both with different algorithms and parameters. It’s also extensible via
custom signed or unsigned attributes. A thorough discussion is beyond the
scope of this chapter (see RFC 5652 for details about CMS), but as used
for JAR signing, a CMS structure basically contains the digest algorithm,
signing certificate, and signature value. The CMS specifications allows for
including signed data in the SignedData CMS structure (a format variation
called attached signature), but JAR signatures don’t include it. When the
signed data is not included in the CMS structure, the signature is called a
detached signature and verifiers need to have a copy of the original signed
data in order to verify it. Listing 3-5 shows an RSA signature block file
parsed into ASN.1,5 with the certificate details trimmed:
$ openssl asn1parse -i -inform DER -in CERT.RSA
0:d=0 hl=4 l= 888 cons: SEQUENCE
4:d=1 hl=2 l= 9 prim: OBJECT :pkcs7-signedDatau
15:d=1 hl=4 l= 873 cons: cont [ 0 ]
19:d=2 hl=4 l= 869 cons: SEQUENCE
23:d=3 hl=2 l= 1 prim: INTEGER :01v
26:d=3 hl=2 l= 11 cons: SET
28:d=4 hl=2 l= 9 cons: SEQUENCE
30:d=5 hl=2 l= 5 prim: OBJECT :sha1w
37:d=5 hl=2 l= 0 prim: NULL
39:d=3 hl=2 l= 11 cons: SEQUENCE
41:d=4 hl=2 l= 9 prim: OBJECT :pkcs7-datax
52:d=3 hl=4 l= 607 cons: cont [ 0 ]y
56:d=4 hl=4 l= 603 cons: SEQUENCE
60:d=5 hl=4 l= 452 cons: SEQUENCE
64:d=6 hl=2 l= 3 cons: cont [ 0 ]
66:d=7 hl=2 l= 1 prim: INTEGER :02
69:d=6 hl=2 l= 1 prim: INTEGER :04
72:d=6 hl=2 l= 13 cons: SEQUENCE
74:d=7 hl=2 l= 9 prim: OBJECT :sha1WithRSAEncryption
85:d=7 hl=2 l= 0 prim: NULL
87:d=6 hl=2 l= 56 cons: SEQUENCE
3. EMC RSA Laboratories, PKCS #7: Cryptographic Message Syntax Standard, http://www.emc.com/
emc-plus/rsa-labs/standards-initiatives/pkcs-7-cryptographic-message-syntax-standar.htm
4. Housley, RFC 5652 – Cryptographic Message Syntax (CMS), http://tools.ietf.org/html/rfc5652
5. Abstract Syntax Notation One (ASN.1) is a standard notation that describes rules and
structures for encoding data in telecommunications and computer networking. It’s used
extensively in cryptography standards to define the structure of cryptographic objects.

56 Chapter 3
89:d=7 hl=2 l= 11 cons: SET
91:d=8 hl=2 l= 9 cons: SEQUENCE
93:d=9 hl=2 l= 3 prim: OBJECT :countryName
98:d=9 hl=2 l= 2 prim: PRINTABLESTRING :JP
--snip--
735:d=5 hl=2 l= 9 cons: SEQUENCE
737:d=6 hl=2 l= 5 prim: OBJECT :sha1z
744:d=6 hl=2 l= 0 prim: NULL
746:d=5 hl=2 l= 13 cons: SEQUENCE
748:d=6 hl=2 l= 9 prim: OBJECT :rsaEncryption{
759:d=6 hl=2 l= 0 prim: NULL
761:d=5 hl=3 l= 128 prim: OCTET STRING [HEX DUMP]:892744D30DCEDF74933007...|
Listing 3-5: Contents of a JAR file signature block
The signature block contains an object identifier u that describes the
type of data (ASN.1 object) that follows: SignedData, and the data itself. The
included SignedData object contains a version v (1); a set of hash algorithm
identifiers used w (only one for a single signer, SHA-1 in this example); the
type of data that was signed x (pkcs7-data, which simply means “arbitrary
binary data”); the set of signing certificates y; and one or more (one for
each signer) SignerInfo structures that encapsulates the signature value (not
shown in full in Listing 3-5). SignerInfo contains a version; a SignerIdentifier
object, which typically contains the DN of the certificate issuer and the
certificate serial number (not shown); the digest algorithm used z (SHA-1,
included in w); the digest encryption algorithm used to generate the signa-
ture value {; and the encrypted digest (signature value) itself |.
The most important elements of the SignedData structure, with regard to
JAR and APK signatures, are the set of signing certificates y and the signa-
ture value | (or values, when signed by multiple signers).
If we extract the contents of a JAR file, we can use the OpenSSL smime
command to verify its signature by specifying the signature file as the con-
tent or signed data. The smime command prints the signed data and the veri-
fication result as shown in Listing 3-6:
$ openssl smime -verify -in CERT.RSA -inform DER -content CERT.SF signing-cert.pem
Signature-Version: 1.0
SHA1-Digest-Manifest-Main-Attributes: ZKXxNW/3Rg7JA1r0+RlbJIP6IMA=
Created-By: 1.7.0_51 (Sun Microsystems Inc.)
SHA1-Digest-Manifest: zb0XjEhVBxE0z2ZC+B4OW25WBxo=
Name: res/drawable-xhdpi/ic_launcher.png
SHA1-Digest: jTeE2Y5L3uBdQ2g40PB2n72L3dE=
--snip--
Verification successful
Listing 3-6: Verifying a JAR file signature block

Package Management 57
JAR File Signing
The official JDK tools for JAR signing and verification are the jarsigner and
keytool commands. Since Java 5.0 jarsigner also supports timestamping the
signature by a Timestamping Authority (TSA), which can be quite useful
when you need to ascertain whether a signature was produced before or
after the signing certificate expired. However, this feature is not widely
used and is not supported on Android.
A JAR file is signed using the jarsigner command by specifying a key-
store file (see Chapter 5) together with the alias of the key to use for sign-
ing (the first eight characters of the alias become the base name for the
signature block file, unless the -sigfile option is specified) and optionally
a signature algorithm. See u in Listing 3-7 for an example invocation of
jarsigner.
NOTE Since Java 7, the default algorithm has changed to SHA256withRSA, so you need
to specify it explicitly if you want to use SHA-1 for backward compatibility. SHA-256-
and SHA-512-based signatures have been supported since Android 4.3.
$ jarsigner -keystore debug.keystore -sigalg SHA1withRSA test.apk androiddebugkeyu
$ jarsigner -keystore debug.keystore -verify -verbose -certs test.apkv
--snip--
smk 965 Sat Mar 08 23:55:34 JST 2014 res/drawable-xxhdpi/ic_launcher.png
X.509, CN=Android Debug, O=Android, C=US (androiddebugkey)w
[certificate is valid from 6/18/11 7:31 PM to 6/10/41 7:31 PM]
smk 458072 Sun Mar 09 01:16:18 JST 2013 classes.dex
X.509, CN=Android Debug, O=Android, C=US (androiddebugkey)x
[certificate is valid from 6/18/11 7:31 PM to 6/10/41 7:31 PM]
903 Sun Mar 09 01:16:18 JST 2014 META-INF/MANIFEST.MF
956 Sun Mar 09 01:16:18 JST 2014 META-INF/CERT.SF
776 Sun Mar 09 01:16:18 JST 2014 META-INF/CERT.RSA
s = signature was verified
m = entry is listed in manifest
k = at least one certificate was found in keystore
i = at least one certificate was found in identity scope
jar verified.
Listing 3-7: Signing an APK file and verifying the signature using the jarsigner command
The jarsigner tool can use all keystore types supported by the platform,
as well as keystores that are not natively supported and that require a dedi-
cated JCA provider, such as those backed by a smart card, HSM, or another
hardware device. The type of store to be used for signing is specified with

58 Chapter 3
the -storetype option, and the provider name and class with the -providerName
and -providerClass options. Newer versions of the Android-specific signapk
tool (discussed in “Android Code Signing Tools” on page 60), also sup-
port the -providerClass option.
JAR File Verification
JAR file verification is performed using the jarsigner command by specify-
ing the -verify option. The second jarsigner command at v in Listing 3-7
first verifies the signature block and signing certificate, ensuring that the
signature file has not been tampered with. Next it verifies that each digest
in the signature file (CERT.SF ) matches its corresponding section in the
manifest file (MANIFEST.MF ). (The number of entries in the signature file
does not have to match those in the manifest file. Files can be added to a
signed JAR without invalidating its signature: as long as none of the origi-
nal files have been changed, verification succeeds.)
Finally, jarsigner reads each manifest entry and checks that the file
digest matches the actual file contents. If a keystore has been specified
with the -keystore option (as in our example), jarsigner also checks to see
whether the signing certificate is present in the specified keystore. As of
Java 7, there is a new -strict option that enables additional certificate vali-
dations, including a time validity check and certificate chain verification.
Validation errors are treated as warnings and are reflected in the exit code
of the jarsigner command.
Viewing or Extracting Signer Information
As you can see in Listing 3-7, by default, jarsigner prints certificate details
for each entry (w and x) even though they are the same for all entries.
A slightly better way to view signer info when using Java 7 is to specify the
-verbose:summary or -verbose:grouped options, or alternatively use the keytool
command, as shown in Listing 3-8.
$ keytool -list -printcert -jarfile test.apk
Signer #1:
Signature:
Owner: CN=Android Debug, O=Android, C=US
Issuer: CN=Android Debug, O=Android, C=US
Serial number: 4dfc7e9a
Valid from: Sat Jun 18 19:31:54 JST 2011 until: Mon Jun 10 19:31:54 JST 2041
Certificate fingerprints:
MD5: E8:93:6E:43:99:61:C8:37:E1:30:36:14:CF:71:C2:32
SHA1: 08:53:74:41:50:26:07:E7:8F:A5:5F:56:4B:11:62:52:06:54:83:BE
Signature algorithm name: SHA1withRSA
Version: 3
Listing 3-8: Viewing APK signer information using the keytool command
Once you have found the signature block filename (by listing the archive
contents for example), you can use OpenSSL with the unzip command to eas-
ily extract the signing certificate to a file, as shown in Listing 3-9. (If the

Package Management 59
SignedData structure includes more than one certificate, all certificates will
be extracted. In that case, you will need to parse the SignedInfo structure to
find the identifier of the actual signing certificate.)
$ unzip -q -c test.apk META-INF/CERT.RSA|openssl pkcs7 -inform DER -print_certs -out cert.pem
Listing 3-9: Extracting the APK signing certificate using the unzip and OpenSSL pkcs7 commands
Android Code Signing
Because Android code signing is based on Java JAR signing, it uses public
key cryptography and X.509 certificates like many code signing schemes,
but that’s where the similarities end.
In practically all other platforms that use code signing (such as Java
ME and Windows Phone), code signing certificates must be issued by a CA
that the platform trusts. While there are many CAs that issue code signing
certificates, it can prove quite difficult to obtain a certificate that is trusted
by all targeted devices. Android solves this problem quite simply: it doesn’t
care about the contents or signer of the signing certificate. Thus you do not
need to have it issued by a CA, and virtually all code signing certificates used
in Android are self-signed. Additionally, you don’t need to assert your iden-
tity in any way: you can use pretty much anything as the subject name. (The
Google Play Store does have a few checks to weed out some common names,
but not the Android OS itself.) Android treats signing certificates as binary
blobs, and the fact that they are in X.509 format is merely a consequence of
using the JAR format.
Android doesn’t validate certificates in the PKI sense (see Chapter 6).
In fact, if a certificate is not self-signed, the signing CA’s certificate does not
have to be present or trusted; Android will even happily install apps with an
expired signing certificate. If you are coming from a traditional PKI back-
ground, this may sound like heresy, but keep in mind that Android does
not use PKI for code signing, it only uses the same certificate and signature
formats.
Another difference between Android and “standard” JAR signing is
that all APK entries must be signed by the same set of certificates. The JAR
file format allows each file to be signed by a different signer and permits
unsigned entries. This makes sense in the Java sandboxing and access con-
trol mechanism, which was originally designed for applets, because that
model defines a code source as a combination of a signer certificate and code
origin URL. However, Android assigns signers per-APK (usually only one,
but multiple signers are supported) and does not allow different signers for
different APK file entries.
Android’s code signing model, coupled with the poor interface of the
java.util.jar.JarFile class, which is not a good abstraction for the complexi-
ties of the underlying CMS signature format, makes it rather difficult to
properly verify the signature of APK files. While Android manages to both
verify APK integrity and ensure that all APK file entries have been signed by

60 Chapter 3
the same set of certificates by adding additional signing certificate checks
to its package parsing routines, it is evident that the JAR file format was not
the best choice for Android code signing.
Android Code Signing Tools
As the examples in the “Java Code Signing” section showed, you can use the
regular JDK code signing tools to sign or verify APKs. In addition to these
tools, the AOSP build/ directory contains an Android-specific tool called
signapk. This tool performs pretty much the same task as jarsigner in signing
mode, with a few notable differences. For one, while jarsigner requires that
keys be stored in a compatible keystore file, signapk takes a separate signing
key (in DER-encoded PKCS#8 format6) and certificate file (in DER-encoded
X.509 format) as input. The advantage of the PKCS#8 format, which is the
standard key encoding format in Java, is that it includes an explicit algorithm
identifier that describes the type of the encoded private key. The encoded
private key might include key material, possibly encrypted, or it might con-
tain only a reference, such as a key ID, to a key stored in a hardware device.
As of Android 4.4, the signapk can only produce signatures with the
SHA1withRSA or SHA256withRSA (added to the platform in Android 4.3)
mechanisms. As of this writing, the version of signapk found in AOSP’s mas-
ter branch has been extended to support ECDSA signatures.
While raw private keys in PKCS#8 format are somewhat hard to come
by, you can easily generate a test key pair and a self-signed certificate using
the make_key script found in development/tools/. If you have existing OpenSSL
keys, you’ll have to convert them to PKCS#8 format first, using something
like OpenSSL’s pkcs8 command as shown in Listing 3-10:
$ echo "keypwd"|openssl pkcs8 -in mykey.pem -topk8 -outform DER -out mykey.pk8 -passout stdin
Listing 3-10: Converting an OpenSSL key to PKCS#8 format
Once you have the needed keys, you can sign an APK using signapk as
shown in Listing 3-11.
$ java -jar signapk.jar cert.cer key.pk8 test.apk test-signed.apk
Listing 3-11: Signing an APK using the signapk tool
OTA File Code Signing
Besides its default APK signing mode, the signapk tool also has a “sign whole
file” mode that can be enabled with the -w option. When in this mode, in
addition to signing each individual JAR entry, the tool generates a signature
over the whole archive as well. This mode is not supported by jarsigner and
is specific to Android.
6. EMC RSA Laboratories, PKCS #8: Private-Key Information Syntax Standard, http://www.emc.com/
emc-plus/rsa-labs/standards-initiatives/pkcs-8-private-key-information-syntax-stand.htm
Package Management 61
Why sign the whole archive when each file is already signed? In order
to support over-the-air (OTA) updates. OTA packages are ZIP files in a for-
mat similar to JAR files that contain updated files and the scripts to apply
them. The packages include a META-INF/ directory, manifests, a signature
block, and a few extra files, including META-INF/com/android/otacert, which
contains the update signing certificate (in PEM format). Before booting
into recovery to apply updates, Android verifies the package signature
and then checks to see if the signing certificate is trusted to sign updates.
OTA-trusted certificates are separate from the “regular” system trust store
(see Chapter 6), and reside in a ZIP file that is usually stored as /system/
etc/security/otacerts.zip. On a production device, this file typically contains
a single file usually named releasekey.x509.pem. After the device reboots, the
recovery OS verifies the OTA package signature once again before apply-
ing it in order to make sure that the OTA file has not been tampered with
in the meantime.
If OTA files are like JAR files, and JAR files don’t support whole-file
signatures, where does the signature go? The Android signapk tool slightly
abuses the ZIP format by adding a null-terminated string comment in the
ZIP comment section, followed by the binary signature block and a 6-byte
final record containing the signature offset and the size of the entire com-
ment section. Adding the offset record to the end of the file makes it easy to
verify the package by first reading and verifying the signature block from the
end of the file, and only reading the rest of the file (which could be in the
hundreds of megabytes) if the signature checks out.
APK Install Process
There are a few ways to install Android applications:
• Via an application store client (such as the Google Play Store). This is
how most users install applications.
• Directly on the device by opening downloaded app files (if the “Unknown
sources” option in system settings is enabled). This method is commonly
referred to as sideloading an app.
• From a USB-connected computer with the adb install Android SDK com-
mand which, in turn invokes the pm command line utility with the install
parameter. This method is used mostly by application developers.
• By directly copying an APK file to one of the system application direc-
tories using the Android shell. Because application directories are not
accessible on production builds, this method can only be used on
devices running an engineering (development) build.
When an APK file is copied directly to one of the application direc-
tories it is automatically detected and installed by the package manager,
which watches these directories for changes. In the case of all other install
methods, the installer application (whether Google Play Store client, default
system package install activity, pm command, or other) invokes one of the

62 Chapter 3
installPackage() methods of the system package manager, which then copies
the APK to one of the application directories and installs it. In the following
sections, we’ll explore the main steps of the Android package install process,
and discuss some of the more complex installation steps like encrypted con-
tainer creation and package verification.
Android’s package management functionality is distributed across
several system components that interact with each other during package
installation, as shown in Figure 3-1. Solid arrows in the figure represent
dependencies between components, as well as function calls. Dashed
arrows point to files or directories that are monitored for changes by a
component, but which are not directly modified by that component.
installd
daemon
AppDirObserver
app-asec/
app-lib/
dalvik-cache/
data/
media/
user/
app-private/
app/
system partition
framework/
app/
priv-app/
vendor/app/
Installer
PackageManager
packages.xml
packages.list
vold
daemon
PackageInstaller
system app
pm
command
MountService
/dev/socket/vold
/dev/socket/installd
MediaContainerService
userdata partition
Figure 3-1: Package management components
Location of Application Packages and Data
Recall from Chapter 1 that Android distinguishes between system- and user-
installed applications. System applications are found on the read-only system
partition (bottom left in Figure 3-1) and cannot be changed or uninstalled
on production devices. System applications are therefore considered trusted
and are given more privileges, and have some signature checks relaxed. Most
system applications are found in the /system/app/ directory, while /system/
priv-app/ holds privileged apps that can be granted permission with the

Package Management 63
signatureOrSystem protection level (as discussed in Chapter 2). The /system/
vendor/app/ directory hosts vendor-specific applications. User-installed
applications live on the read-write userdata partition (shown at the bottom
right in Figure 3-1) and can be uninstalled or replaced at any time. Most
user-installed applications are installed in the /data/app/ directory.
Data directories for both system and user-installed applications are cre-
ated on the userdata partition under the /data/data/ directory. The userdata
partition also hosts the optimized DEX files for user-installed applications
(in /data/dalvik-cache/), the system package database (in /data/system/packages
.xml), and other system databases and settings files. (We’ll discuss the rest
of the userdata partition directories shown in Figure 3-1 when we cover the
APK install process.)
Active Components
Having established the roles of the userdata and system partitions, let’s intro-
duce the active components that play a role during package installation.
PackageInstaller System Application
This is the default APK file handler. It
provides a basic GUI for package man-
agement and when passed an APK file
URI with the VIEW or INSTALL_ACTION
intent action, it parses the package
and displays an install confirmation
screen showing the permissions the
application requires (see Figure 2-1
on page 25). Installation using the
PackageInstaller application is only
possible if the user has enabled the
Unknown Sources option in the
device’s security settings (see Fig-
ure 3-2). If Unknown Sources is not
enabled, PackageInstaller will show a
dialog informing the user that installa-
tion of apps obtained from unknown
sources is blocked.
What is considered an “unknown
source”? While the on-screen hint
defines it as “apps from sources other
than the Play Store,” the actual defini-
tion is a bit more broad. When started,
PackageInstaller retrieves the UID and
package of the app that requested
APK installation and checks to see
if it is a privileged app (installed in
Figure 3-2: Application install security
settings

64 Chapter 3
/system/priv-app/). If the requesting app is unprivileged, it is considered
an unknown source. If the Unknown Sources option is selected and the
user okays the install dialog, PackageInstaller calls the PackageManagerService,
which performs the actual installation. The PackageInstaller GUI is also
shown when upgrading side-loaded packages or uninstalling apps from the
Apps screen of System Settings.
pm command
The pm command (introduced in Chapter 2) provides a command-line
interface to some of the functions of the system package manager. It can
be used to install or uninstall packages when invoked as pm install or pm
uninstall from the Android shell, respectively. Additionally, the Android
Debug Bridge (ADB) client provides the adb install/uninstall shortcuts.
Unlike the PackageInstaller, pm install does not depend on the Unknown
Sources system option and does not display a GUI, and it provides various
useful options for testing package installation that cannot be specified
via the PackageInstaller GUI. To start the install process, it calls the same
PackageManager API as the GUI installer.
PackageManagerService
The PackageManagerService (PackageManager in Figure 3-1) is the central object
in Android’s package management infrastructure. It is responsible for pars-
ing APK files, starting the application install, upgrading and uninstalling
packages, maintaining the package database, and managing permissions.
The PackageManagerService also provides a number of installPackage()
methods that can perform package installation with various options. The
most general of these is the installPackageWithVerificationAndEncryption(),
which allows for the installation of an encrypted APK file, and package
verification by a verification agent. (We’ll discuss app encryption and veri-
fication later in “Installing Encrypted APKs” on page 76 and “Package
Verification” on page 83.)
NOTE The android.content.pm.PackageManager Android SDK facade class exposes a subset
of the functionality of the PackageManagerService to third-party applications.
Installer class
While the PackageManagerService is one of the most privileged Android system
services, it still runs inside the system server process (with the system UID)
and lacks root privileges. However, because creating, deleting, and chang-
ing the ownership of application directories requires superuser capabilities,
the PackageManagerService delegates those operations to the installd daemon
(discussed next). The Installer class connects to the installd daemon through
the /dev/socket/installd Unix domain socket and encapsulates the installd
command-oriented protocol.

Package Management 65
installd Daemon
The installd daemon is a native daemon with elevated privileges that provides
application and user directory management functionality (for multi-user
devices) to the system package manager. It is also used to start the dexopt
command, which generates optimized DEX files for newly installed packages.
The installd daemon is accessed via the installd local socket, which is only
accessible to processes running as the system UID. The installd daemon does
not execute as root (although it used to do so in earlier Android versions),
but instead takes advantage of the CAP_DAC_OVERRIDE and CAP_CHOWN Linux capa-
bilities7 in order to be able to set the owner and group UID of the application
directories and files it creates to those of the owning application.
MountService
The MountService is responsible for mounting detachable external storage
such as SD cards, as well as opaque binary blob (OBB) files, which are used as
expansion files for applications. It is also used to kick off device encryption
(see Chapter 10) and to change the encryption password.
MountService also manages secure containers, which hold applications files
that should not be accessible to non-system applications. Secure containers
are encrypted and used to implement a form of DRM called forward locking
(discussed in “Forward Locking” on page 79 and “Android 4.1 Forward
Locking Implementation” on page 80). Forward locking is used primar-
ily when installing paid applications in order to ensure that their APK files
cannot be easily copied off the device and redistributed.
vold daemon
vold is Android’s volume management daemon. While the MountService
contains most system APIs that deal with volume management, because it
runs as the system user it lacks the privileges required to actually mount and
unmount disk volumes. Those privileged operations are implemented in
the vold daemon, which runs as root.
vold has a local socket interface which is exposed via the /dev/socket/
vold Unix domain socket that is only accessible to root and members of the
mount group. Because the list of supplementary GIDs of the system_server
process (which hosts MountService) includes mount (GID 1009), MountService
is allowed to access vold’s command socket. Besides mounting and unmount-
ing volumes, vold can also create and format filesystems and manage secure
containers.
MediaContainerService
The MediaContainerService copies APK files to their final install location or to
an encrypted container, and allows the PackageManagerService to access files
on removable storage. APK files obtained from a remote location (either
7. For a discussion of Linux capabilities, see Chapter 39 of Michael Kerrisk’s The Linux
Programming Interface: A Linux and UNIX System Programming Handbook, No Starch Press, 2010.

66 Chapter 3
directly or through an application market) are downloaded using Android’s
DownloadManager service and the downloaded files are accessed through
DownloadManager’s content provider interface. The PackageManager grants tem-
porary access to each downloaded APK to the MediaContainerService process.
If the APK file is encrypted, MediaContainerService decrypts the file first
(as discussed in “Installing an Encrypted APK with Integrity Check” on
page 79). If an encrypted container was requested, MediaContainerService
delegates encrypted container creation to the MountService and copies the
protected part of the APK (both code and assets) into the newly created
container. Files that do not need to be protected by a container are copied
directly to the filesystem.
AppDirObserver
An AppDirObserver is a component that monitors an application direc-
tory for APK file changes8 and calls the appropriate PackageManagerService
method based on the event type. When an APK file is added to the system,
AppDirObserver kicks off a package scan which either installs or updates the
application. When an APK file is removed, AppDirObserver starts the uninstall
process, which removes app directories and the app entry in the system
package database.
Figure 3-1 shows a single AppDirObserver instance due to space con-
straints, but there is a dedicated instance for each watched directory.
The directories monitored on the system partition are /system/framework/
(which holds the framework resource package framework-res.apk); /system/
app/ and /system/priv-app/ (system packages); and the vendor package
directory /system/vendor/app/. The directories monitored on the userdata
partition are /data/app/ and /data/app-private/ which hosts “old style” (pre-
Android 4.1) forward locked APKs and temporary files produced during
APK decryption.
Installing a Local Package
Now that we know what Android components are involved in package installa-
tion, we’ll cover the install process, beginning with the simplest case: installing
an unencrypted local package without verification and forward locking.
Parsing and Verifying the Package
Opening a local APK file starts the application/vnd.android.package-archive
handler, typically the PackageInstallerActivity from the PackageInstaller system
application. PackageInstallerActivity first checks to see if the application that
requested the install is trusted (that is, not considered from an “unknown
source”). If it is not, and the Settings.Global.INSTALL_NON_MARKET_APPS is false (it
8. File monitoring is implemented using Linux’s inotify facility. For more details about inotify,
see Chapter 19 of Michael Kerrisk’s The Linux Programming Interface: A Linux and UNIX System
Programming Handbook, No Starch Press, 2010.

Package Management 67
is set to true when the Unknown sources checkbox in Figure 3-2 is checked),
PackageInstaller shows a warning dialog and ends the install process.
If the installation is allowed, the PackageInstallerActivity parses the APK
file and collects information from the AndroidManifest.xml file and pack-
age signature. The integrity of the APK file is verified automatically while
extracting the signing certificates for each of its entries using the java.util
.jar.JarFile and related classes. This implementation is necessary because
the API of the JarFile class lacks any explicit methods to verify the signature
of the whole file or of a particular entry. (System applications are implicitly
trusted and only the integrity of the AndroidManifest.xml file is verified when
parsing their APK files. However, all APK entries are verified for packages
that are not part of the system image, such as user-installed applications or
updates for system applications.) The hash value of the AndroidManifest.xml
file is also calculated as part of APK parsing and passed to subsequent install
steps, which use it to verify that the APK file was not replaced between the
time when the user pressed OK in the install dialog and the APK copy pro-
cess was started.
NOTE Another noteworthy detail is that while at install time, APK file integrity is verified
using standard Java library classes, at runtime, the Dalvik virtual machine loads
APK files using its own native implementation of a ZIP/JAR file parser. Subtle dif-
ferences in their implementations have been the source of several Android bugs, most
notably bug #8219321 (commonly known as the Android Master Key) which allows
a signed APK file to be modified and still considered valid without resigning. A
StrictJarFile class, which uses the same ZIP file parsing implementation as Dalvik,
has been added in AOSP’s master branch in order to address this. StrictJarFile
is used by the system package manager when parsing APK files, ensuring that both
Dalvik and the package manager parse APK files in the same way. This new unified
implementation should be incorporated in future Android versions.
Accepting Permissions and Starting the Install Process
Once the APK has been parsed, PackageInstallerActivity displays infor-
mation about the application and the permissions it requires in a dialog
similar to the one shown in Figure 2-1 (see page 25). If the user OK’s the
install, PackageInstallerActivity forwards the APK file and its manifest digest,
along with install metadata such as the referrer URL, the installer package
name, and originating UID to the InstallAppProgress activity, which starts
the actual package install process. InstallAppProgress then passes the APK
URI and install metadata to the installPackageWithVerificationAndEncryption()
method of the PackageManagerService, starting the install process. It then waits
for the process to complete and handles any errors.
The install method first verifies that the caller has the INSTALL_PACKAGES
permission, which has a protection-level signature and is reserved for system
applications. On multi-user devices, the method also verifies whether the
calling user is allowed to install applications. Next, it determines the pre-
ferred install location, which is either internal or external storage.

68 Chapter 3
Copying to the Application Directory
If the APK file is not encrypted and no verification is required, the next
step is to copy it to the application directory (/data/app/). To copy the file,
the PackageManagerService first creates a temporary file in the application
directory (with the vmdl prefix and .tmp extension) and then delegates
copying to the MediaContainerService. The file is not copied directly because
it might need to be decrypted, or an encrypted container created for it if it
will be forward locked. Because the MediaContainerServices encapsulates
these tasks, the PackageManagerService does not need to be concerned with
the underlying implementation.
When the APK file is successfully copied, any native libraries it contains
are extracted to a dedicated app directory under the system’s native library
directory (/data/app-lib/). Next, the temporary APK file and the library direc-
tory are renamed to their final names, which are based on the package name,
such as com.example.app-1.apk for the APK and /data/app-lib/com.example.app-1
for the library directory. Finally, the APK file permissions are set to 0644 and
its SELinux context is set (see Chapter 12).
NOTE By default, APK files are world-readable and any other application can access them.
This facilitates sharing public app resources and allows the development of third-
party launchers and other applications that need to show a list of all installed packages.
However, those default permissions also allow anyone to extract APK files from a
device, which is problematic for paid applications distributed via an application
market. APK file forward locking provides a way for APK resources to remain public,
while limiting access to code and assets.
The Package Scan
The next step in the install process is to trigger a package scan by calling
the scanPackageLI() method of PackageManagerService. (If the install process
stops before scanning the new APK file, it will eventually be picked up by
the AppDirObserver instance which monitors the /data/app/ directory and
also triggers a package scan.)
In the case of a new install, the package manager first creates a new
PackageSettings structure that contains the package name, code path, a
separate resource path if the package is forward-locked, and a native library
path. It then assigns a UID to the new package and stores it in the settings
structure. Once the new app has a UID, its data directory can be created.
Creating Data Directories
Because the PackageManagerService does not have enough privileges to cre-
ate and set ownership of app directories, it delegates directory creation
to the installd daemon by sending it the install command which takes the
package name, UID, GID, and seinfo tag (used by SELinux) as parameters.
The installd daemon creates the package data directory (for example,

Package Management 69
/data/data/com.example.app/ when installing the com.example.app package),
shared native library directory (/data/app-lib/com.example.app/), and local
library directory (/data/data/com.example.app/lib/). It then sets the package
directory permissions to 0751 and creates symbolic links for the app’s native
libraries (if any) in the local library directory. Finally, it sets the SELinux
context of the package directory and changes its owner to the UID and GID
assigned to the app.
If the system has more than one user, the next step is to create data
directories for each user by sending the mkuserdata command to installd
(see Chapter 4). When all the necessary directories are created, control
returns to the PackageManagerService, which extracts any native libraries
to the application’s native library directory and creates symbolic links in
/data/data/com.example.app/lib/.
Generating Optimized DEX
The next step is to generate optimized DEX for the application’s code.
This operation is also delegated to installd by sending it the dexopt com-
mand. The installd daemon forks a dexopt process, which creates the opti-
mized DEX file in the /data/dalivk-cache/ directory. (The optimization
process is also referred to as “sharpening.”)
NOTE If the device is using the experimental Android Runtime (ART) introduced in ver-
sion 4.4 instead of generating optimized DEX, installd generates native code using
the dex2oat command.
File and Directory Structure
When all of the above processes have completed, the application’s files and
directories might look something like Listing 3-12. (Timestamps and file
sizes have been omitted.)
-rw-r--r-- system system ... /data/app/com.example.app-1.apku
-rwxr-xr-x system system ... /data/app-lib/com.example.app-1/libapp.sov
-rw-r--r-- system all_a215 ... /data/dalvik-cache/data@app@com.example.app-1.apk@classes.dexw
drwxr-x--x u0_a215 u0_a215 ... /data/data/com.example.appx
drwxrwx--x u0_a215 u0_a215 ... /data/data/com.example.app/databasesy
drwxrwx--x u0_a215 u0_a215 ... /data/data/com.example.app/files
lrwxrwxrwx install install ... /data/data/com.example.app/lib -> /data/app-lib/com.example.app-1z
drwxrwx--x u0_a215 u0_a215 ... /data/data/com.example.app/shared_prefs
Listing 3-12: Files and directories created after installing an application
Here, u is the APK file and v is the extracted native library file. Both
files are owned by system and are world readable. The file at w is the opti-
mized DEX file for the application’s code. Its owner is set to system and its
group is set to the special all_a215 group, which includes all device users

70 Chapter 3
that have installed the app. This allows all users to share the same optimized
DEX file, thus avoiding the need to create a copy for each user, which could
take up too much disk space on a multi-user device. The application’s data
directory x and its subdirectories (such as databases/ y) are owned by the
dedicated Linux user created by combining the ID of the device user that
installed the application (u0, the sole user on single-user devices) and the
app ID (a215) to produce u0_a215. (App data directories are not read-
able or writable by other users in accordance with Android’s sandboxing
security model. The lib/ directory z is merely a symbolic link to the app’s
shared library directory in /data/app-lib/.)
Adding the New Package to packages.xml
The next step is to add the package to the system package database. A
new package entry that looks like Listing 3-13 is generated and added to
packages.xml.
<package name="com.google.android.apps.chrometophone"
codePath="/data/app/com.google.android.apps.chrometophone-2.apk"
nativeLibraryPath="/data/app-lib/com.google.android.apps.chrometophone-2"
flags="572996"
ft="142dfa0e588"
it="142cbeac305"
ut="142dfa0e8d7"
version="16"
userId="10088"
installer="com.android.vending">u
<sigs count="1">
<cert index="7" key="30820252..." />
</sigs>v
<perms>
<item name="android.permission.USE_CREDENTIALS" />
<item name="com.google.android.apps.chrometophone.permission.C2D_MESSAGE" />
<item name="android.permission.GET_ACCOUNTS" />
<item name="android.permission.INTERNET" />
<item name="android.permission.WAKE_LOCK" />
<item name="com.google.android.c2dm.permission.RECEIVE" />
</perms>w
<signing-keyset identifier="2" />x
</package>
Listing 3-13: Package database entry for a newly installed application
Here, the <sigs> v element holds the DER-encoded values of the pack-
age signing certificates (typically only one) in hexadecimal string format, or
a reference to the first occurrence of the certificate in the case of multiple
apps signed by the same key and certificate. The <perms> w elements holds
the permissions granted to the application, as described in Chapter 2.
The <signing-keyset> x element is new in Android 4.4 and holds a
reference to the signing key set of the application, which contains all pub-
lic keys (but not certificates) that have signed files inside the APK. The

Package Management 71
PackageManagerService collects and stores signing keys for all applications in a
global <keyset-settings> element, but key sets are not checked or otherwise
used as of Android 4.4.
Package Attributes
The root element <package> u (shown in Listing 3-13) holds the core attri-
butes of each package, such as install location and version. The main pack-
age attributes are listed in Table 3-1. The information in each package
entry can be obtained via the getPackageInfo(String packageName, int flags)
method of the android.content.pm.PackageManager SDK class, which should
return a PackageInfo instance that encapsulates the attributes available in
each packages.xml entry, as well as information about components, permis-
sions, and features defined in the application’s manifest.
Table 3-1: Package Attributes
Attribute Name Description
name The package name.
codePath Full path to the location of the package.
resourcePath Full path to the location of the publicly available parts of the
package (primary resource package and manifest). Only set
on forward-locked apps.
nativeLibraryPath Full path to the directory where native libraries are stored.
flags Flags associated with the application.
ft APK file timestamp (Unix time in milliseconds, as per
System.currentTimeMillis()).
it The time at which the app was first installed (Unix time in
milliseconds).
ut The time the app was last updated (Unix time in milliseconds).
version The version number of the package, as specified by the
versionCode attribute in the app manifest.
userId The kernel UID assigned to the application.
installer The package name of the application that installed the app.
sharedUserId The shared user ID name of the package, as specified by the
sharedUserId attribute in the manifest.
Updating Components and Permissions
After creating the packages.xml entry, the PackageManagerService scans all
Android components defined in the new application’s manifests and adds
them to its internal on-memory component registry. Next, any permission
groups and permissions the app declares are scanned and added to the per-
mission registry.

72 Chapter 3
NOTE Custom permissions defined by applications are registered using a “first one wins”
strategy: if both app A and B define permission P, and A is installed first, A’s permis-
sion definition is registered and B’s permission definition is ignored (because P is
already registered). This is possible because permission names are not bound to the
defining app package in any way, and thus any app can define any permission. This
“first one wins” strategy can result in permission protection level downgrade: if A’s
permission definition has a lower protection level (for example, normal) than B’s
definition (for example, signature), and A is installed first, access to B’s components
protected by P will not require callers to be signed with the same key as B. Therefore,
when using custom permissions to protect components, be sure to check whether the
currently registered permission has the protection level your app expects.9
Finally, changes to the package database (the package entry and any
new permissions) are saved to disk and the PackageManagerService sends the
ACTION_PACKAGE_ADDED to notify other components about the newly added
application.
Updating a Package
The process of updating a package follows most of the same steps as install-
ing a package, so we’ll highlight only the differences here.
Signature Verification
The first step is to check whether the new package has been signed by the
same set of signers as the existing one. This rule is referred to as same origin
policy, or Trust On First Use (TOFU). This signature check guarantees that the
update is produced by the same entity as the original application (assuming
that the signing key has not been compromised) and establishes a trust rela-
tionship between the update and the existing application. As we shall see in
“Updating Non-System Apps” on page 75, the update inherits the data of
the original application.
NOTE When signing certificates are compared for equality, the certificates are not validated
in the PKI sense of the word (time validity, trusted issuer, revocation, and so on are
not checked).
The certificate equality check is performed by the PackageManagerService
.compareSignatrues() method as shown in Listing 3-14.
static int compareSignatures(Signature[] s1, Signature[] s2) {
if (s1 == null) {
return s2 == null
? PackageManager.SIGNATURE_NEITHER_SIGNED
: PackageManager.SIGNATURE_FIRST_NOT_SIGNED;
}
9. See CommonsWare, CWAC-Security, https://github.com/commonsguy/cwac-security, for further
discussion and a sample project that shows how to perform the check.

Package Management 73
if (s2 == null) {
return PackageManager.SIGNATURE_SECOND_NOT_SIGNED;
}
HashSet<Signature> set1 = new HashSet<Signature>();
for (Signature sig : s1) {
set1.add(sig);
}
HashSet<Signature> set2 = new HashSet<Signature>();
for (Signature sig : s2) {
set2.add(sig);
}
// Make sure s2 contains all signatures in s1.
if (set1.equals(set2)) {u
return PackageManager.SIGNATURE_MATCH;
}
return PackageManager.SIGNATURE_NO_MATCH;
}
Listing 3-14: Package signature comparison method
Here, the Signature class serves as an “opaque, immutable representa-
tion of a signature associated with an application package.”
10 In practice, it
is a wrapper for the DER-encoded signing certificate associated with an APK
file. Listing 3-15 shows an excerpt, focusing on its equals() and hashCode()
methods.
public class Signature implements Parcelable {
private final byte[] mSignature;
private int mHashCode;
private boolean mHaveHashCode;
--snip--
public Signature(byte[] signature) {
mSignature = signature.clone();
}
public PublicKey getPublicKey() throws CertificateException {
final CertificateFactory certFactory =
CertificateFactory.getInstance("X.509");
final ByteArrayInputStream bais = new ByteArrayInputStream(mSignature);
final Certificate cert = certFactory.generateCertificate(bais);
return cert.getPublicKey();
}
@Override
public boolean equals(Object obj) {
try {
if (obj != null) {
Signature other = (Signature)obj;
return this == other
|| Arrays.equals(mSignature, other.mSignature);u
}
10. Google, Android API Reference, “Signature,” https://developer.android.com/reference/android/
content/pm/Signature.html

74 Chapter 3
} catch (ClassCastException e) {
}
return false;
}
@Override
public int hashCode() {
if (mHaveHashCode) {
return mHashCode;
}
mHashCode = Arrays.hashCode(mSignature);v
mHaveHashCode = true;
return mHashCode;
}
--snip--
}
Listing 3-15: Package signature representation
As you can see at u, two signature classes are considered equal if the
DER-encoding of the underlying X.509 certificates match exactly, and the
Signature class hash code is calculated solely based on the encoded certificate
v. If the signing certificates do not match, the compareSignatures() methods
returns the INSTALL_PARSE_FAILED_INCONSISTENT_CERTIFICATES error code.
This binary certificate comparison naturally knows nothing about CAs
or expiration dates. One consequence of this is that after an app (identified
by a unique package name) is installed, updates need to use the same sign-
ing certificates (with the exception of system app updates, as discussed in
“Updating System Apps” on page 75).
While multiple signatures on Android apps are rare, they do occur. If
the original application was signed by more than one signer, any updates
need to be signed by the same signers, each using its original signing cer-
tificate (enforced by u in Listing 3-14). This means that if a developer’s
signing certificate(s) expires or he loses access to his signing key, he cannot
update the app and must release a new one instead. This would result in not
only losing any existing user base or ratings, but more importantly losing
access to the legacy app’s data and settings.
The solution to this problem is straightforward, if not ideal: back up
your signing key and don’t let your certificate expire. The currently rec-
ommended validity period is at least 25 years, and the Google Play Store
requires validity until at least October 2033. While technically this only
amounts to putting off the problem, proper certificate migration support
might eventually be added to the platform.
When the package manager establishes that the update has been signed
with the same certificate, it proceeds with updating the package. The process
is different for system and user-installed apps, as described next.

Package Management 75
Updating Non-System Apps
Non-system apps are updated by essentially reinstalling the app while retain-
ing its data directory. The first step is to kill any process of the package being
updated. Next, the package is removed from internal structures and the
package database, which removes all components that the app has registered
as well. Next, the PackageManagerService triggers a package scan by calling
the scanPackageLI() method. The scan proceeds as it would with new installs,
except that it updates the package’s code, resource path, version, and time-
stamp. The package manifest is scanned and any defined components are
registered with the system. Next, permissions for all packages are re-granted
to ensure that they match any definitions in the updated package. Finally, the
updated packaged database is written to disk and a PACKAGE_REPLACED system
broadcast is sent.
Updating System Apps
As with user-installed apps, preinstalled apps (usually found in /system/app/)
can be updated without a full-blown system update, usually via the Google
Play Store or a similar app distribution service. Though because the system
partition is mounted read-only, updates are installed in /data/app/, while
the original app is left intact. In addition to a <package> entry, the updated
app will also have an <updated-package> entry that might look like the example
in Listing 3-16.
<package name="com.google.android.keep"
codePath="/data/app/com.google.android.keep-1.apk"u
nativeLibraryPath="/data/app-lib/com.google.android.keep-1"
flags="4767461"v
ft="142ee64d980"
it="14206f3e320"
ut="142ee64dfcb"
version="2101"
userId="10053"w
installer="com.android.vending">
<sigs count="1">
<cert index="2" />
</sigs>
<signing-keyset identifier="3" />
<signing-keyset identifier="34" />
</package>
--snip--
<updated-package name="com.google.android.keep"
codePath="/system/app/Keep.apk"
nativeLibraryPath="/data/app-lib/Keep"
ft="ddc8dee8"
it="14206f3e320"
ut="ddc8dee8"
version="2051"
userId="10053">x

76 Chapter 3
<perms>
<item name="android.permission.READ_EXTERNAL_STORAGE" />
<item name="android.permission.USE_CREDENTIALS" />
<item name="android.permission.WRITE_EXTERNAL_STORAGE" />
--snip--
</perms>
</updated-package>
Listing 3-16: Package database entries for an updated system package
The update’s codePath attribute is set to the path of the new APK
in /data/app/ u. It inherits the original app’s permissions and UID (w
and x) and is marked as an update to a system app by adding the
FLAG_UPDATED_SYSTEM_APP (0x80) to its flags attribute v.
System apps can be updated directly in the system partition as well, usu-
ally as the result of an OTA system update, and in such case the updated
system APK is allowed to be signed with a different certificate. The rationale
behind this is that if the installer has enough privileges to write to the system
partition, it can be trusted to change the signing certificate as well. The
UID, and any files and permissions, are retained. The exception is that
if the package is part of a shared user (discussed in Chapter 2), the sig-
nature cannot be updated, because doing so would affect other apps. In
the reverse case, when a new system app is signed by a different certificate
than that of the currently installed non-system app (with the same package
name), the non-system app will be deleted first.
Installing Encrypted APKs
Support for installing encrypted APKs was added in Android 4.1 along
with support for forward locking using ASEC containers. Both features
were announced as app encryption, but we’ll discuss them separately, begin-
ning with support for encrypted APK files. But first let’s see how to install
encrypted APKs.
Encrypted APKs can be installed using the Google Play Store client, or
with the pm command from the Android shell, but the system PackageInstaller
does not support encrypted APKs. Because we can’t control the Google
Play Store installation flow, in order to install an encrypted APK we need
to either use the pm command or write our own installer app. We’ll take the
easy route and use the pm command.
Creating and Installing an Encrypted APK
The adb install command both copies the APK file to a temporary file on
the device and starts the install process. The command provides a conve-
nient wrapper to the adb push and pm install commands. adb install gained
three new parameters in Android 4.1 in order to support encrypted APKs
(see Listing 3-17).

Package Management 77
adb install [-l] [-r] [-s] [--algo <algorithm name> --key <hex-encoded key>
--iv <hex-encoded iv>] <file>
Listing 3-17: adb install command options
The --algo, --key, and --iv parameters let you specify the encryption
algorithm, key, and initialization vector (IV), respectively. But in order to
use those new parameters, we need to create an encrypted APK first.
An APK file can be encrypted using the enc OpenSSL commands
as shown in Listing 3-18. Here we use AES in CBC mode with a 128-bit
key, and specify an IV that is the same as the key in order to make things
simpler.
$ openssl enc -aes-128-cbc -K 000102030405060708090A0B0C0D0E0F
-iv 000102030405060708090A0B0C0D0E0F -in my-app.apk -out my-app-enc.apk
Listing 3-18: Encrypting an APK file using OpenSSL
Next, we install our encrypted APK by passing the encryption algo-
rithm key (in javax.crypto.Cipher transformation string format, which is
discussed in Chapter 5) and IV bytes to the adb install command as shown
in Listing 3-19.
$ adb install --algo 'AES/CBC/PKCS5Padding' \
--key 000102030405060708090A0B0C0D0E0F \
--iv 000102030405060708090A0B0C0D0E0F my-app-enc.apk
pkg: /data/local/tmp/my-app-enc.apk
Success
Listing 3-19: Installing an encrypted APK using adb install
As the Success output indicates, the APK installs without errors. The
actual APK file is copied into /data/app/, and comparing its hash with our
encrypted APK reveals that it is in fact a different file. The hash value is
exactly the same as that of the original (unencrypted) APK, so we conclude
that the APK is decrypted at install time using the provided encryption
parameters (algorithm, key, and IV).
Implementation and Encryption Parameters
Let’s see how this is implemented. After it has transferred the APK
to the device, adb install calls the pm Android command-line utility with
the install parameter and the path to the copied APK file. The compo-
nent responsible for installing apps on Android is PackageManagerService
and the pm command is just a convenient frontend for some of its func-
tionality. When started with the install parameter, pm calls the method
installPackageWithVerificationAndEncryption(), converting its options to the
relevant parameters as necessary. Listing 3-20 shows the method’s full
signature.

78 Chapter 3
public void installPackageWithVerificationAndEncryption(Uri packageURI,
IPackageInstallObserver observer, int flags,
String installerPackageName,
VerificationParams verificationParams,
ContainerEncryptionParams encryptionParams) {
--snip--
}
Listing 3-20: PackageManagerService.installPackageWithVerificationAndEncryption()
method signature
We discussed most of the method’s parameters in “APK Install
Process” earlier, but we have yet to encounter the VerificationParams and
ContainerEncryptionParams classes. As the name implies, the VerificationParams
class encapsulates a parameter used during package verification, which we will
discuss in “Package Verification” on page 83. The ContainerEncryptionParams
class holds encryption parameters, including the values passed via the --algo,
--key, and --iv options of adb install. Listing 3-21 shows its data members.
public class ContainerEncryptionParams implements Parcelable {
private final String mEncryptionAlgorithm;
private final IvParameterSpec mEncryptionSpec;
private final SecretKey mEncryptionKey;
private final String mMacAlgorithm;
private final AlgorithmParameterSpec mMacSpec;
private final SecretKey mMacKey;
private final byte[] mMacTag;
private final long mAuthenticatedDataStart;
private final long mEncryptedDataStart;
private final long mDataEnd;
--snip--
}
Listing 3-21: ContainerEncryptionParams data members
The adb install parameters above correspond to the first three fields
of the class. While not available through the adb install wrapper, the
pm install command also takes the --macalgo, --mackey, and --tag param-
eters, which correspond to the mMacAlgorithm, mMacKey, and mMacTag fields of
the ContainerEncryptionParams class. In order to use those parameters, we
need to calculate the MAC value of the encrypted APK first, which we
accomplish with the OpenSSL dgst command as shown in Listing 3-22.
$ openssl dgst -hmac 'hmac_key_1' -sha1 -hex my-app-enc.apk
HMAC-SHA1(my-app-enc.apk)= 962ecdb4e99551f6c2cf72f641362d657164f55a
Listing 3-22: Calculating the MAC of an encrypted APK

Package Management 79
NOTE The dgst command doesn’t allow you to specify the HMAC key using hexadecimal or
Base64, so we’re limited to ASCII characters. This may not be a good idea for produc-
tion use, so consider using a real key and calculating the MAC in some other way (for
example, using a JCE program).
Installing an Encrypted APK with Integrity Check
We can now install an encrypted APK and verify its integrity by opening
the Android shell using adb shell and executing the command shown in
Listing 3-23.
$ pm install -r --algo 'AES/CBC/PKCS5Padding' \
--key 000102030405060708090A0B0C0D0E0F \
--iv 000102030405060708090A0B0C0D0E0F \
--macalgo HmacSHA1 --mackey 686d61635f6b65795f31 \
--tag 962ecdb4e99551f6c2cf72f641362d657164f55a /sdcard/my-app-enc.apk
pkg: /sdcard/kr-enc.apk
Success
Listing 3-23: Installing an encrypted APK with integrity verification using pm install
The app’s integrity is checked by comparing the specified MAC tag
with the value calculated based on the actual file contents, the contents are
decrypted, and the decrypted APK is copied to /data/app/. (To test that MAC
verification is indeed performed, change the tag value slightly. Doing so
should result in an install error with error code INSTALL_FAILED_INVALID_APK.)
As we saw in Listings 3-19 and 3-23, the APK files that are ultimately
copied to /data/app/ are not encrypted and thus the installation process
is the same as for unencrypted APKs, except for file decryption and the
optional integrity verification. Decryption and integrity verification are
performed transparently by the MediaContainerService while copying the
APK to the application directory. If a ContainerEncryptionParams instance
is passed to its copyResource() method, it uses the provided encryption
parameters to instantiate the JCA classes Cipher and Mac (see Chapter 5)
that can perform decryption and integrity checking.
NOTE The MAC tag and encrypted APK can be bundled in a single file, in which case the
MediaContainerService uses the mAuthenticatedDataStart, mEncryptedDataStart, and
mDataEnd members to extract the MAC and APK data from the file.
Forward Locking
Forward locking appeared around the time ringtones, wallpapers, and
other digital “goods” started selling on feature phones. Because installed
APK files are world readable on Android, it’s relatively easy to extract apps
from even a production device. In an attempt to lock down paid apps (and
prevent a user from forwarding them to another user) without losing any of
the OS’s flexibility, early Android versions introduced forward locking (also
called copy protection).

80 Chapter 3
The idea behind forward locking was to split app packages into two
parts: a world-readable part that contains resources and the manifest
(in /data/app/), and a package that is readable only by the system user and
which contains executable code (in /data/app-private/). The code package
was protected by filesystem permissions, which made it inaccessible to users
on most consumer devices, but it could be extracted from devices with root
access, and this early forward locking mechanism was quickly deprecated
and replaced with an online application licensing service called Google
Play Licensing.
The problem with Google Play Licensing was that it shifted app pro-
tection implementation from the OS to app developers, and it had mixed
results. The forward locking implementation was redesigned in Android 4.1,
and now offers the ability to store APKs in an encrypted container that
requires a device-specific key to be mounted at runtime. Let’s look at it in a
bit more detail.
Android 4.1 Forward Locking Implementation
While the use of encrypted app containers as a forward locking mechanism
was introduced in Android version 4.1, encrypted containers were originally
introduced in Android 2.2. At that time (mid-2010), most Android devices
came with limited internal storage and relatively large (a few gigabytes)
external storage, usually in the form of a microSD card. To make file shar-
ing easier, external storage was formatted using the FAT filesystem, which
lacks file permissions. As a result, files on the SD card could be read and
written by any application.
To prevent users from simply copying paid apps from the SD card,
Android 2.2 created an encrypted filesystem image file and stored the
APK in it when a user opted to move an app to external storage. The sys-
tem would then create a mount point for the encrypted image, and mount
it using Linux’s device-mapper. Android loaded each app’s files from its
mount point at runtime.
Android 4.1 built on this idea by making the container use the ext4
filesystem, which allows for file permissions. A typical forward-locked app’s
mount point now looks like Listing 3-24 (timestamps omitted).
# ls -l /mnt/asec/com.example.app-1
drwxr-xr-x system system lib
drwx------ root root lost+found
-rw-r----- system u0_a96 1319057 pkg.apk
-rw-r--r-- system system 526091 res.zip
Listing 3-24: Contents of a forward-locked app’s mount point
Here, the res.zip holds app resources and the manifest file and is world
readable, while the pkg.apk file that holds the full APK is only readable by
the system and the app’s dedicated user (u0_a96). The actual app contain-
ers are stored in /data/app-asec/ in files with the .asec extension.

Package Management 81
Encrypted App Containers
Encrypted app containers are referred to as Android Secure External Caches, or
ASEC containers. ASEC container management (creating, deleting, mount-
ing, and unmounting) is implemented in the system volume daemon (vold),
and the MountService provides an interface to its functionality to framework
services. We can also use the vdc command-line utility to interact with vold in
order to manage forward-locked apps from Android’s shell (see Listing 3-25).
# vdc asec listu
vdc asec list
111 0 com.example.app-1
111 0 org.foo.app-1
200 0 asec operation succeeded
# vdc asec path com.example.app-1v
vdc asec path com.example.app-1
211 0 /mnt/asec/com.example.app-1
# vdc asec unmount org.example.app-1w
200 0 asec operation succeeded
# vdc asec mount com.example.app-1 000102030405060708090a0b0c0d0e0f 1000x
com.example.app-1 000102030405060708090a0b0c0d0e0f 1000
200 0 asec operation succeeded
Listing 3-25: Issuing ASEC management commands with vdc
Here, the asec list command u lists the namespace IDs of mounted
ASEC containers. Namespace IDs are based on the package name and have
the same format as APK filenames for non-forward-locked applications. All
other commands take a namespace ID as a parameter.
The asec path command v shows the mount point of the specified ASEC
container, while the asec unmount command unmounts it w. In addition to a
namespace ID, asec mount x requires that you specify the encryption key and
the mount point’s owner UID (1000 is system).
The ASEC container encryption algorithm and the key length are
unchanged from the original Android 2.2 apps-to-SD implementation: Twofish
with a 128-bit key stored in /data/misc/systemkeys/, as shown in Listing 3-26.
# ls -l /data/misc/systemkeys
-rw------- system system 16 AppsOnSD.sks
# od -t x1 /data/misc/systemkeys/AppsOnSD.sks
0000000 00 01 02 03 04 05 06 07 08 09 0a 0b 0c 0d 0e 0f
0000020
Listing 3-26: ASEC container encryption key location and contents
Forward locking an application is triggered by specifying the -l option
of pm install or by specifying the INSTALL_FORWARD_LOCK flag when calling one of
PackageManager’s installPackage() methods.

82 Chapter 3
Installing Forward-Locked APKs
The install process of forward-locked APKs involves two additional steps: cre-
ating and mounting the secure container, and extracting the public resource
files from the APK file. As with encrypted APKs, those steps are encapsulated
by the MediaContainerService and are performed while copying the APK to
the application directory. As the MediaContainerService does not have enough
privileges to create and mount secure containers, it delegates container man-
agement to the vold daemon by calling the appropriate MountService methods
(createSecureContainer(), mountSecureContainer(), and so on).
Encrypted Apps and Google Play
Because installing apps without user interaction, encrypted or otherwise,
requires system permissions, only system applications can install applica-
tions. Google’s own Play Store Android client takes advantage of both
encrypted apps and forward locking. While describing exactly how the
Google Play client works would require detailed knowledge of the under-
lying protocol (which is not open and is constantly evolving), a casual look
into the implementation of a recent Google Play Store client reveals a few
useful pieces of information.
Google Play servers send quite a bit of metadata about the app you are
about to download and install, such as download URL, APK file size, ver-
sion code, and refund window. Among these, the EncryptionParams shown
in Listing 3-27 looks very similar to the ContainerEncryptionParams shown in
Listing 3-21.
class AndroidAppDelivery$EncryptionParams {
--snip--
private String encryptionKey;
private String hmacKey;
private int version;
}
Listing 3-27: EncryptionParams used in the Google Play Store protocol
The encryption algorithm and the HMAC algorithm of paid applications
downloaded from Google Play are always set to AES/CBC/PKCS5Padding and
HMACSHA1, respectively. The IV and the MAC tag are bundled with the
encrypted APK in a single blob. After all parameters are read and verified,
they are essentially converted to a ContainerEncryptionParams instance, and
the app is installed using the PackageManager.installPackageWithVerification()
method.
The INSTALL_FORWARD_LOCK flag is set when installing a paid app in order
to enable forward locking. The OS takes it from here, and the process is
as described in the previous two sections: free apps are decrypted and the
APKs end up in /data/app/, while an encrypted container in /data/app-asec/
is created and mounted under /mnt/asec/<package-name> for paid apps.

Package Management 83
How secure is this in practice? Google Play can now claim that paid
apps are always transferred and stored in encrypted form, and so can your
own app distribution channel if you decide to implement it using the app
encryption facilities that Android provides. The APK file contents have
to be made available to the OS at some point though, so if you have root
access to a running Android device, it’s still possible to extract a forward-
locked APK or the container encryption key.
Package Verification
Package verification was introduced
as an official Android feature in ver-
sion 4.2 as application verification and
was later backported to all versions
running Android 2.3 and later and the
Google Play Store. The infrastructure
that makes package verification pos-
sible is built into the OS, but Android
doesn’t ship with any built-in verifiers.
The most widely used package veri-
fication implementation is the one
built into the Google Play Store client
and backed by Google’s app analysis
infrastructure. It’s designed to protect
Android devices from what Google calls
“potentially harmful applications”11
(backdoors, phishing applications, spy-
ware, and so on), commonly known
simply as malware.
When package verification is
turned on, APKs are scanned by a veri-
fier prior to installation, and the sys-
tem shows a warning (see Figure 3-3)
or blocks installation if the verifier
deems the APK potentially harmful.
Verification is on by default on sup-
ported devices but requires one-time
user approval on first use, as it sends application data to Google. Appli-
cation verification can be toggled via the Verify Apps option on the system
settings Security screen (see Figure 3-2 on page 25).
The following sections discuss the Android package verification infra-
structure and then take a brief look at Google Play’s implementation.
11. Google, Android Practical Security from the Ground Up, presented at VirusBulletin 2013.
Retrieved from https://docs.google.com/presentation/d/1YDYUrD22Xq12nKkhBfwoJBfw2Q
-OReMr0BrDfHyfyPw
Figure 3-3: Application verification
warning dialog

84 Chapter 3
Android Support for Package Verification
As with most things that deal with application management, package veri-
fication is implemented in the PackageManagerService, and has been available
since Android 4.0 (API level 14). Package verification is performed by one
or more verification agents, and has a required verifier and zero or more suf-
ficient verifiers. Verification is considered complete when the required veri-
fier and at least one of the sufficient verifiers return a positive result. An
application can register itself as a required verifier by declaring a broadcast
receiver with an intent filter that matches the PACKAGE_NEEDS_VERIFICATION
action and the APK file MIME type (application/vnd.android.package-archive),
as shown in Listing 3-28.
<receiver android:name=".MyPackageVerificationReceiver"
android:permission="android.permission.BIND_PACKAGE_VERIFIER">
<intent-filter>
<action
android:name="android.intent.action.PACKAGE_NEEDS_VERIFICATION" />
<action android:name="android.intent.action.PACKAGE_VERIFIED" />
<data android:mimeType="application/vnd.android.package-archive" />
</intent-filter>
</receiver>
Listing 3-28: Required verification declaration in AndroidManifest.xml
In addition, the declaring application needs to be granted the
PACKAGE_VERIFICATION_AGENT permission. As this is a signature permission
reserved for system applications (signature|system), only system applica -
tions can become the required verification agent.
Applications can register sufficient verifiers by adding a <package-verifier>
tag to their manifest and listing the sufficient verifier’s package name and
public key in the tag’s attributes, as shown in Listing 3-29.
<manifest xmlns:android="http://schemas.android.com/apk/res/android"
package="com.example.app">
<package-verifier android:name="com.example.verifier"
android:publicKey="MIIB..." />
<application ...>
--snip--
</application>
</manifest>
Listing 3-29: Sufficient verifier declaration in AndroidManifest.xml
When installing a package, the PackageManagerService performs verifica-
tion when a required verifier is installed and the Settings.Global.PACKAGE_
VERIFIER_ENABLE system setting is set to true. Verification is enabled by adding
the APK to a queue of pending installs and sending the ACTION_PACKAGE_NEEDS_
VERIFICATION broadcast to registered verifiers.

Package Management 85
The broadcasts contains a unique verification ID, and various metadata
about the package being verified. Verification agents respond by calling the
verifyPendingInstall() method and passing the verification ID and a veri-
fication status. Calling the method requires the PACKAGE_VERIFICATION_AGENT
permission, which guarantees that non-system apps cannot participate
in package verification. Each time the verifyPendingInstall() is called, the
PackageManagerService checks to see whether sufficient verification for the
pending install has been received. If so, it removes the pending install from
the queue, sends the PACKAGE_VERIFIED broadcast, and starts the package instal-
lation process. If the package is rejected by verification agents, or sufficient
verification is not received within the allotted time, installation fails with
the INSTALL_FAILED_VERIFICATION_FAILURE error.
Google Play Implementation
Google’s application verification implementation is built into the Google
Play Store client. The Google Play Store app registers itself as a required
verification agent and if the Verify apps option is turned on, it receives
a broadcast each time an application is about to be installed, whether
through the Google Play Store client itself, the PackgeInstaller application,
or via adb install.
The implementation is not open source, and few details are publicly
available, but Google’s “Protect against harmful apps” Android help page
states, “When you verify applications, Google receives log information, URLs
related to the app, and general information about the device, such as the
Device ID, version of the operating system, and IP address.”12 We can observe
that, as of this writing, in addition to this information, the Play Store client
sends the APK file’s SHA-256 hash value, file size, the app package name, the
names of its resources along with their SHA-256 hashes, the SHA-256 hashes
of the app’s manifest and classes files, its version code and signing certificates,
as well as some metadata about the installing application and referrer URLs,
if available. Based on that information, Google’s APK analysis algorithms
determine whether the APK is potentially harmful and return a result to the
Play Store client that includes a status code and an error message to display
in case the APK is deemed potentially harmful. In turn, the Play Store client
calls the verifyPendingInstall() method of the PackageManagerService with the
appropriate status code. Application install is accepted or rejected based on
the algorithm described in the previous section.
In practice (at least on “Google experience” devices), the Google Play
Store verifier is usually the sole verification agent, so whether the package is
installed or rejected depends only on the response of Google’s online verifi-
cation service.
12. Google, Protect against harmful apps, https://support.google.com/accounts/answer/2812853
86 Chapter 3
Summary
Android application packages (APK files) are an extension of the JAR
file format and contain resources, code, and a manifest file. APK files are
signed using the JAR file code signing format, but require that all files
are signed with the same set of certificates. Android uses the code signer
certificate to establish the same origin of apps and their updates and to
establish trust relationships between apps. APK files are installed by copy-
ing them to the /data/app/ directory and creating a dedicated data direc-
tory for each application under /data/data/.
Android supports encrypted APK files and secure app containers for
forward locked apps. Encrypted apps are automatically decrypted before
being copied to the application directory. Forward locked apps are split into
a resource and manifest part, which is publicly accessible, and a private code
and asset part, which is stored in a dedicated encrypted container, directly
accessible only by the OS.
Android can optionally verify apps before installing them by consulting
one or more verification agents. Currently, the most widely used verifica-
tion agent is built into the Google Play Store client applications and uses
Google’s online app verification service in order to detect potentially harm-
ful applications.
4
USER MANAGEMENT
Android originally targeted personal devices such as
smartphones and assumed that each device had only
one user. With the increase in popularity of tablets
and other shared devices, multi-user support was
added in version 4.2 and extended in later versions.
In this chapter, we’ll discuss how Android manages users who share
devices and data. We begin with a look at the types of users Android sup-
ports and how it stores user metadata. We then discuss how Android shares
installed applications between users while isolating application data and
keeping it private to each user. Finally, we cover how Android implements
isolated external storage.
Multi-User Support Overview
Android’s multi-user support allows multiple users to share a single device
by providing each user with an isolated, personal environment. Each user

88 Chapter 4
can have their own home screen, widgets, apps, online accounts, and files
that are not accessible to other users.
Users are identified by a unique user ID (not to be confused with
Linux UIDs) and only the system can switch between users. User switch-
ing is normally triggered by selecting a user from the Android lockscreen
and (optionally) authenticating using a pattern, PIN, password, and so on
(see Chapter 10). Applications can get information about the current user
via the UserManager API, but typically code modification is not required in
order to support a multi-user environment. Applications that need to mod-
ify their behavior when used by a restricted profile are an exception: these
applications require additional code that checks what restrictions (if any)
are imposed on the current user (see “Restricted Profiles” on page 92 for
details).
Multi-user support is built into the core Android platform and is thus
available on all devices that run Android 4.2 or later. However, the default
platform configuration only allows for a single user, which effectively dis-
ables multi-user support. In order to enable support for multiple users, the
config_multiuserMaximumUsers system resource must be set to a value greater
than one, typically by adding a device-specific overlay configuration file.
For example, on the Nexus 7 (2013), the overlay is placed in the device/
asus/flo/overlay/frameworks/base/core/res/res/values/config.xml file and the
config_multiuserMaximumUsers setting is defined as shown in Listing 4-1,
to allow a maximum of eight users.
<?xml version="1.0" encoding="utf-8"?>
<resources xmlns:xliff="urn:oasis:names:tc:xliff:document:1.2">
--snip--
<!-- Maximum number of supported users -->
<integer name="config_multiuserMaximumUsers">8</integer>
--snip--
</resources>
Listing 4-1: Enabling multi-user support with a resource overlay file
NOTE The Android Compatibility Definition requires that devices that support telephony
(such as mobile phones) must not enable multi-user support because “the behav-
ior of the telephony APIs on devices with multiple users is currently undefined.”
1
Therefore, in current production builds, all handsets are configured as single-user
devices.
1. Google, Android 4.4 Compatibility Definition, “9.5. Multi-User Support,” http://static
.googleusercontent.com/media/source.android.com/en//compatibility/4.4/android-4.4-cdd.pdf

User Management 89
When multi-user support is enabled, the system Settings application
displays a Users entry that allows the device owner (the first user created,
as discussed in the next section) to create and manage users. The user man-
agement screen is shown in Figure 4-1.
Figure 4-1: User management screen
As soon as more than one user has been created, the lockscreen shows
a user widget that displays the current users and allows switching to a differ-
ent user. Figure 4-2 shows how the lockscreen might look on a device with
eight users.

90 Chapter 4
Figure 4-2: Lockscreen with user switcher widget
Types of Users
Even though Android lacks the full user management features of most
multi-user operating systems, which typically allow users to add multiple
administrators and define user groups, it does support configuring user
types with different privileges. Each user type and its privileges will be
described in the following sections.
The Primary User (Owner)
The primary user, also known as the device owner, is the first user created
on a multi-user device, or the sole user on single-user devices. The owner
is created by default and is always present. The primary user is assigned
user ID 0. On single-user devices where the primary user is the only user,
Android behaves much like previous versions that lacked multi-user sup-
port: directories and UIDs assigned to installed applications maintain
User Management 91
the same format and permissions as in previous versions (see “User
Management” on page 95 and “Application Sharing” on page 101 for
details).
The primary user is assigned all privileges and can create and delete
other users, as well as change system settings that affect all users, including
settings related to device security, network connectivity, and application
management. Device and user management privileges are granted to the
primary user by showing the respective settings screens in system settings
and hiding them from other users. Additionally, the underlying system ser-
vices check the identity of the calling user before performing operations
that can affect all users, and only allow execution when called by the device
owner.
As of Android version 4.4, the following screens in the Wireless and
Networks section of system settings are displayed to only the primary user:
• Cell broadcasts
• Manage mobile plan
• Mobile network
• Tethering and portable hotspot
• VPN
• WiMAX (shown if supported by the device)
The following screens in the Security section are also reserved for the
primary user:
• Device encryption
• SIM card lock
• Unknown sources (controls app sideloading; see Chapter 3)
• Verify apps (controls package verification; see Chapter 3)
Secondary Users
With the exception of restricted profiles (discussed in the next section), all
added users are secondary users. Each gets a dedicated user directory (see
“User Management” on page 95), their own list of installed apps, and pri-
vate data directories for each installed app.
Secondary users cannot add or manage users; they can only set their
own username via the Users screen (see Figure 4-1). Additionally, they can-
not perform any privileged operation reserved for the primary user as listed
in the previous sections. Otherwise, secondary users can perform all the
operations that a primary user can, including installing and using applica-
tions, and changing the system appearance and settings.
Although secondary users are restricted, their actions can still affect
device behavior and other users. For example, they can add and connect to a
new Wi-Fi network. Because Wi-Fi connectivity state is shared across the sys-
tem, switching to a different user does not reset the wireless connection, and
that user will be connected to the wireless network selected by the previous
92 Chapter 4
user. Secondary users can also toggle airplane mode and NFC, and change
the global sound and display settings. Most importantly, as application pack-
ages are shared across all users (as discussed in “Application Sharing” on
page 101), if a secondary user updates an application that adds new permis-
sions, permissions are granted to the application without requiring the con-
sent of other users, and other users are not notified of permission changes.
Restricted Profiles
Unlike secondary users, restricted profiles (added in Android 4.3) are
based on the primary user and share its applications, data, and accounts,
with certain restrictions. As such, the primary user must set up a lockscreen
password in order to protect their data. If no lockscreen password is in
place when the primary user creates a restricted profile, Android prompts
them to set up one.
User Restrictions
Android defines the following default restrictions in order to control what
users are allowed to do. All restrictions are false by default. The list below
shows their value for restricted users in parentheses.
DISALLOW_CONFIG_BLUETOOTH Specifies whether a user is prevented from
configuring Bluetooth. (default: false)
DISALLOW_CONFIG_CREDENTIALS Specifies whether a user is prevented
from configuring user credentials. When this restriction is set to true,
restricted profiles cannot add trusted CA certificates or import private
keys into the system credential store; see Chapters 6 and 7 for details.
(default: false)
DISALLOW_CONFIG_WIFI Specifies whether a user is prevented from chang-
ing Wi-Fi access points. (default: false)
DISALLOW_INSTALL_APPS Specifies whether a user is prevented from
installing applications. (default: false)
DISALLOW_INSTALL_UNKNOWN_SOURCES Specifies whether a user is prevented
from enabling the Unknown sources setting (see Chapter 3). (default:
false)
DISALLOW_MODIFY_ACCOUNTS Specifies whether a user is prevented from
adding and removing accounts. (default: true)
DISALLOW_REMOVE_USER Specifies whether a user is prevented from remov-
ing users. (default: false)
DISALLOW_SHARE_LOCATION Specifies whether a user is prevented from
toggling location sharing. (default: true)
DISALLOW_UNINSTALL_APPS Specifies whether a user is prevented from
uninstalling applications. (default: false)
DISALLOW_USB_FILE_TRANSFER Specifies whether a user is prevented from
transferring files over USB. (default: false)

User Management 93
Applying Restrictions
At runtime, applications can use the UserManager.getUserRestrictions()
method to get a Bundle (a universal container class that maps string keys
to various value types) containing the restrictions imposed on a user.
Restrictions are defined as key-value pairs, where the key is the restriction
name and the Boolean value specifies whether it is in effect. Applications
can use that value in order to disable certain functionality when running
within a restricted profile. For example, the system Settings app checks the
value of the DISALLOW_SHARE_LOCATION restriction when displaying location pref-
erences. If the value is true, it disables the location mode setting. Another
example is the PackageManagerService: it checks the DISALLOW_INSTALL_APPS and
DISALLOW_UNINSTALL_APPS restrictions before installing or uninstalling apps
and returns the INSTALL_FAILED_USER_RESTRICTED error code if any of those
restrictions are set to true for the calling user.
The primary user can select which applications will be available to a
restricted profile. When a restricted profile is created, all installed applica-
tions are initially disabled, and the owner must explicitly enable the ones
that they want to make available to the restricted profile (see Figure 4-3).
Figure 4-3: Restricted profile management screen

94 Chapter 4
In addition to the built-in restrictions defined by the OS, applications
can define custom restrictions by creating a BroadcastReceiver that receives
the ACTION_GET_RESTRICTION_ENTRIES intent. Android invokes this intent to
query all apps for available restrictions and automatically builds a UI that
allows device owners to toggle the app’s custom restrictions.
At runtime, applications can use the UserManager.getApplicationRestrictions()
method to obtain a Bundle that contains saved restrictions as key-value pairs.
The application can then disable or modify certain features based on the
applied restrictions. The device owner can toggle system and custom restric-
tions on the same settings screen used to manage applications available to a
restricted profile. For example, in Figure 4-3, the single application restric-
tion supported by the Settings app (whether to let apps use location informa-
tion) is shown below the main application toggle.
Access to Online Accounts
Restricted profiles can also access the online accounts of the primary user
via the AccountManager API (see Chapter 8), but this access is disabled by
default. Applications that need access to accounts when running within
a restricted profile must explicitly declare the account types they require
using the restrictedAccountType attribute of the <application> tag, as shown in
Listing 4-2.
<?xml version="1.0" encoding="utf-8"?>
<manifest xmlns:android="http://schemas.android.com/apk/res/android"
package="com.example.app" ...>
<application android:restrictedAccountType="com.google" ... >
--snip--
</application>
</manifest>
Listing 4-2: Allowing access to the owner’s accounts from a restricted profile
On the other hand, applications that do not want to expose account
information to restricted profiles can declare this by specifying the account
type (an asterisk can be used to match all account types) as the value of the
requiredAccountType attribute of the <application> tag. If the requiredAccountType
attribute is specified, Android will automatically disable such applications
for restricted profiles. For example, because the Android Calendar appli-
cation declares android:requiredAccountType="*" in its manifest, it cannot be
made available to restricted profiles and is disabled in the restrictions set-
tings screen (see Figure 4-3).
Guest User
Android supports a single guest user, but this functionality is disabled
by default. While the guest user can be enabled by calling the UserManager
.setGuestEnabled() method, the guest user does not appear to be referenced
anywhere other than by the UserManager and related classes in current

User Management 95
Android versions. Code comments indicate that the guest user might be
transient, but as of this writing its exact purpose is not clear. It appears
to be a remnant of a proposed feature that was rejected or never fully
implemented.
User Management
Android users are managed by the UserManagerService, which is responsible
for reading and persisting user information and maintaining the list of active
users. Because user management is closely related to package management,
the PackageManagerService calls the UserManagerService to query or modify users
when packages are installed or removed. The android.os.UserManager class pro-
vides a facade to the UserManagerService and exposes a subset of its function-
ality to third-party applications. Applications can get the number of users
on a system, a user’s serial number, the name and list of restrictions for the
current user, as well as the list of restrictions for a package without the need
for any special permissions. All other user operations, including querying,
adding, removing, or modifying users, require the MANAGE_USERS system signa-
ture permission.
Command-Line Tools
User management operations can also be performed on the Android shell
with the pm command. These commands can be run via the shell without root
permissions, because the shell user (UID 2000) is granted the MANAGE_USERS
permission. You can use the pm create-user command to create a new user,
and the pm remove-user to remove it. The command pm get-max-users returns
the maximum number of users supported by the OS, and pm list users lists
all users. The output of the pm list users command might look like Listing 4-3
on a device with five users. The numbers in curly braces are the user ID,
name, and flags, in that order.
$ pm list users
Users:
UserInfo{0:Owner:13}
UserInfo{10:User1:10}
UserInfo{11:User2:10}
UserInfo{12:User3:10}
UserInfo{13:Profile1:18}
Listing 4-3: Listing users using the pm list command
User States and Related Broadcasts
The UserManagerService sends several broadcasts to notify other compo-
nents of user-related events. When a user is added, it sends the USER_ADDED
broadcast, and when a user is removed, it sends USER_REMOVED. If the user-
name or their profile icon is changed, the UserManagerService sends the

96 Chapter 4
USER_INFO_CHANGED broadcast. Switching users triggers the USER_BACKGROUND,
USER_FOREGROUND, and USER_SWITCHED broadcasts, all of which contain the rel-
evant user ID as an extra.
While Android supports a maximum of eight users, only three users
can be running at a time. A user is started when it is first switched to via
the lockscreen user switcher. Android stops inactive users based on a least
recently used (LRU) cache algorithm to ensure that no more than three
users are active.
When a user is stopped, its processes are killed and it no longer receives
any broadcasts. When users are started or stopped, the system sends the
USER_STARTING, USER_STARTED, USER_STOPPING, and USER_STOPPED broadcasts. The
primary user is started automatically when the system boots and is never
stopped.
Starting, stopping, and switching users, as well as targeting a specific
user with a broadcast, requires the INTERACT_ACROSS_USERS permission.
This is a system permission with signature protection, but it also has the
development flag set (see Chapter 2) so it can be dynamically granted to
non-system applications that declare it (using the pm grant command). The
INTERACT_ACROSS_USERS_FULL signature permission allows sending broadcasts
to all users, changing the device administrator, as well as other privileged
operations that affect all users.
User Metadata
Android stores user data in the /data/system/users/ directory that hosts
metadata about users in XML format, as well as user directories. On a
device with five users, its contents may look like Listing 4-4 (timestamps
have been omitted).
# ls -lF /data/system/users
drwx------ system system 0u
-rw------- system system 230 0.xmlv
drwx------ system system 10
-rw------- system system 245 10.xml
drwx------ system system 11
-rw------- system system 245 11.xml
drwx------ system system 12
-rw------- system system 245 12.xml
drwx------ system system 13
-rw------- system system 299 13.xml
-rw------- system system 212 userlist.xmlw
Listing 4-4: Contents of /data/system/users/
The User List File
As shown in Listing 4-4, each user has a dedicated directory called the
user system directory with a name that matches the assigned user ID (u for

User Management 97
the primary user) and an XML file that stores metadata about the user,
again with a filename based on the user ID (v for the primary user). The
userlists.xml file w holds data about all users created on a system and may
look like Listing 4-5 on a system with five users.
<users nextSerialNumber="19" version="4">
<user id="0" />
<user id="10" />
<user id="11" />
<user id="12" />
<user id="13" />
</users>
Listing 4-5: Contents of userlist.xml
The file format is basically a list of <user> tags holding the ID assigned to
each user. The root <users> element has a version attribute specifying the cur-
rent file version and a nextSerialNumber attribute holding the serial number to
be assigned to the next user. The primary user is always assigned user ID 0.
The fact that UIDs assigned to applications are based on the user ID of
the owning user ensures that on single-user devices, UIDs assigned to appli-
cations are the same as they were before multi-user support was introduced.
(For more on application UIDs, see “Application Data Directories” on
page 100.) Secondary users and restricted profiles are assigned IDs begin-
ning with the number 10.
User Metadata Files
The attributes of each user are stored in a dedicated XML file. Listing 4-6
shows an example for a restricted profile.
<?xml version='1.0' encoding='utf-8' standalone='yes' ?>
<user id="13"
serialNumber="18"
flags="24"
created="1394551856450"
lastLoggedIn="1394551882324"
icon="/data/system/users/13/photo.png">u
<name>Profile1</name>v
<restrictions no_modify_accounts="true" no_share_location="true" />w
</user>
Listing 4-6: User metadata file contents
Here, the <name> tag v holds the user’s name and the <restrictions>
tag w has attributes for each enabled restriction. (See “Restricted Profiles”
on page 92 for a list of built-in restrictions.) Table 4-1 summarizes the
attributes of the root <user> element shown at u in Listing 4-6.

98 Chapter 4
Table 4-1: <user> Element Attributes
Name Format Description
id integer User ID
serialNumber integer User serial number
flags integer Flags that indicate the type of user
created milliseconds since the
Unix epoch, as per
System.currentTimeMillis()
User creation time
lastLoggedIn milliseconds since the
Unix epoch, as per
System.currentTimeMillis()
Last login time
icon string Full path to the user icon file
partial Boolean Indicates that the user is partially
initialized. Partial users may
not have all of their files and
directories created yet.
pinHash hexadecimal string The salted SHA1+MD5 PIN hash
for PIN-protected restrictions
salt long integer The PIN salt for PIN-protected
restrictions
failedAttempts integer The number of failed PIN entry
attempts for PIN-protected
restrictions
lastAttemptMs milliseconds since the
Unix epoch, as per
System.currentTimeMillis()
The time of the last PIN entry
attempt for PIN-protected
restrictions (in milliseconds
since the Unix epoch, per
System.currentTimeMillis())
The flags attribute is one of the most important as it determines the user
type. As of this writing, six bits of the flag value are used for the user type
and the rest are reserved with the following flags currently defined:
FLAG_PRIMARY (0x00000001) Marks the primary user.
FLAG_ADMIN (0x00000002) Marks administrator users. Administrator
can create and delete users.
FLAG_GUEST (0x00000004) Marks the guest user.
FLAG_RESTRICTED (0x00000008) Marks restricted users.
FLAG_INITIALIZED (0x00000010) Marks a user as fully initialized.
While different flag combinations are possible, most combinations don’t
represent a valid user type or state, and in practice the attributes for the pri-
mary owner are set to 19 (0x13 or FLAG_INITIALIZED|FLAG_ADMIN|FLAG_PRIMARY),
secondary users have flags 16 (0x10 or FLAG_INITIALIZED), and restricted pro-
files have flags 24 (0x18 or FLAG_INITIALIZED|FLAG_RESTRICTED).

User Management 99
User System Directory
Each user system directory contains user-specific system settings and data
but no application data. As we’ll see in the next section, each application
that a user installs gets a dedicated data directory under /data, much like
on single-user devices. (See Chapter 3 for more on application data directo-
ries.) For example, in the case of a secondary user with user ID 12, the user
system directory would be named /data/system/users/12/ and might contain
the files and directories listed in Listing 4-7.
- accounts.dbu
- accounts.db-journal
- appwidgets.xmlv
- device_policies.xmlw
- gesture.keyx
d inputmethody
- package-restrictions.xmlz
- password.key{
- photo.png|
- settings.db}
- settings.db-journal
- wallpaper~
- wallpaper_info.xml
Listing 4-7: Contents of a user directory
The file accounts.db u is an SQLite database that holds online account
details. (We discuss online account management in Chapter 8.) The file
appwidgets.xml v holds information about widgets that the user has added
to their home screen. The device_policies.xml w file describes the current
device policy (see Chapter 9 for details), and gesture.key x and password.key {
contain the hash of the currently selected lockscreen pattern or PIN/pass-
word, respectively (see Chapter 10 for format details).
The inputmethod directory y contains information about input meth-
ods. The photo.png file | stores the user’s profile image or picture. The file
settings.db } holds system settings specific to that user, and wallpaper ~ is the
currently selected wallpaper image. The package-restrictions.xml file z defines
what applications the user has installed and stores their state. (We discuss
application sharing and per-user application data in the next section.)
Per-User Application Management
As mentioned in “Multi-User Support Overview” on page 87, besides
dedicated accounts and settings, each user gets their own copy of applica-
tion data that cannot be accessed by other users. Android achieves this by
assigning a new, per-user effective UID for each application and creating a
dedicated application data directory owned by that UID. We’ll discuss the
details of this implementation in the following sections.

100 Chapter 4
Application Data Directories
As we covered in Chapter 3, Android installs APK packages by copying them
to the /data/app/ directory, and creates a dedicated data directory for each
application under /data/data/. When multi-user support is enabled, this lay-
out is not changed but extended to support additional users. Application data
for the primary user is still stored in /data/data/ for backward compatibility.
If other users exist on the system when a new application is being
installed, the PackageManagerService creates application data directories for
each user. As with the data directory for the primary user, those directories
are created with the help of the installd daemon (using the mkuserdata com-
mand) because the system user does not have enough privileges to change
directory ownership.
User data directories are stored in /data/user/ and named after the
user’s ID. The device owner directory (0/) is a symbolic link to /data/data/,
as shown in Listing 4-8.
# ls -l /data/user/
lrwxrwxrwx root root 0 -> /data/data/
drwxrwx--x system system 10
drwxrwx--x system system 11
drwxrwx--x system system 12
drwxrwx--x system system 13
Listing 4-8: Contents of /data/user/ on a multi-user device
The contents of each application data directory are the same as /data/
data/, but application directories for each user’s instance of the same appli-
cation are owned by a different Linux user, as shown in Listing 4-9.
# ls -l /data/data/u
drwxr-x--x u0_a12 u0_a12 com.android.apps.tag
drwxr-x--x u0_a0 u0_a0 com.android.backupconfirm
drwxr-x--x bluetooth bluetooth com.android.bluetooth
drwxr-x--x u0_a16 u0_a16 com.android.browserv
drwxr-x--x u0_a17 u0_a17 com.android.calculator2
drwxr-x--x u0_a18 u0_a18 com.android.calendar
--snip--
# ls -l /data/user/13/w
ls -l /data/user/13
drwxr-x--x u13_system u13_system android
drwxr-x--x u13_a12 u13_a12 com.android.apps.tag
drwxr-x--x u13_a0 u13_a0 com.android.backupconfirm
drwxr-x--x u13_bluetooth u13_bluetooth com.android.bluetooth
drwxr-x--x u13_a16 u13_a16 com.android.browserx
drwxr-x--x u13_a17 u13_a17 com.android.calculator2
drwxr-x--x u13_a18 u13_a18 com.android.calendar
--snip--
Listing 4-9: Contents of application data directories for the primary user and one
secondary user

User Management 101
This listing shows the contents of the app data directories for the pri-
mary user u and the secondary user with user ID 13 w. As you can see,
even though both users have data directories for the same apps, such as
the browser app (v for the owner and x for the secondary user), those
directories are owned by different Linux users: u0_a16 in the case of the
owner and u13_a16 in the case of the secondary user. If we check the UID
for those users using the su and id commands, we find that u0_a16 has
UID=10016, and u13_a16 has UID=1310016.
The fact that both UIDs contain the number 10016 is no coinci-
dence. The repeating part is called the app ID and is the same as the UID
assigned to the app when first installed on a single-user device. On multi-
user devices, the app UID is derived from the user ID and the app ID
using the following code:
uid = userId * 100000 + (appId % 100000)
Because the owner’s user ID is always 0, the UIDs for the device owner’s
apps are always the same as their app IDs. When the same application is
executed in the context of different users, it executes under the respec-
tive UIDs assigned to each user’s application instance. For example, if the
browser application is executed simultaneously by the device owner and
a secondary user with user ID 13, two separate processes running as the
u0_a16 and u13_a16 Linux users will be created (UID 10016, for the owner u
and UID 1310016, for the secondary user v) as shown in Listing 4-10.
USER PID PPID VSIZE RSS WCHAN PC NAME
--snip--
u13_a16 1149 180 1020680 72928 ffffffff 4006a58c R com.android.browseru
--snip--
u0_a16 30500 180 1022796 73384 ffffffff 4006b73c S com.android.browserv
--snip--
Listing 4-10: Process information for the browser application when executed by different
device users
Application Sharing
While installed applications have a dedicated data directory for each
user, the APK files are shared among all users. The APK files are copied
to /data/app/ and are readable by all users; shared libraries used by apps
are copied to /data/app-lib/<package name>/ and are symlinked to /data/
user/<user ID>/<package name>/lib/; and the optimized DEX files for each
app are stored in /data/dalvik-cache/ and are also shared by all users. Thus
once an application is installed, it is accessible to all device users, and an
app data directory is automatically created for each user.
Android makes it possible for users to have different applications by
creating a package-restrictions.xml file (z in Listing 4-7) in the system direc-
tory of each user, which it uses to track whether an app is enabled for a user

102 Chapter 4
or not. Besides the install state of packages, this file contains information
about the disabled components of each application, as well as a list of pre-
ferred applications to start when processing intents that can be handled by
more than one application (such as opening a text file, for example). The
contents of package-restrictions.xml might look like Listing 4-11 for a second-
ary user.
<?xml version='1.0' encoding='utf-8' standalone='yes' ?>
<package-restrictions>
<pkg name="com.example.app" inst="false" stopped="true" nl="true" />u
<pkg name="com.example.app2" stopped="true" nl="true" />v
--snip--
<pkg name="com.android.settings">
<disabled-components>
<item name="com.android.settings.CryptKeeper" />
</disabled-components>
</pkg>
<preferred-activities />
</package-restrictions>
Listing 4-11: Contents of the package-restrictions.xml file
Here, the com.example.app package is available on the system but is not
installed for that secondary user, as expressed by adding a <pkg> for the
app and setting the inst attribute to false u. Based on this information,
the PackageManagerService marks the com.example.app package as not installed
for that user and the package doesn’t show up in the launcher or the list of
apps in Settings.
Applications can be installed but still marked as stopped, as shown at v.
Here, the com.example.app2 package is installed but marked as stopped by set-
ting the stopped attribute to true. Android has a special state for applications
that have never been launched; a state that is persisted with the nl attribute
of the <pkg> tag. The device owner can block a package for a certain user,
in which case the blocked attribute is set to true, though this is not shown in
Figure 4-4.
When a device user installs an application, a <pkg> tag with inst="false"
is added to the package-restrictions.xml files for all users. When another user
installs the same application, the inst attribute is removed and the applica-
tion is considered installed for that user. (Depending on how the second
user started the install process, the APK file in /data/app/ may be replaced,
as it is in an application update.)
Restricted users cannot install applications, but the same proce -
dure is applied when the device owner enables an app for a restricted
user: the application is installed by calling the PackageManagerService
.installExistingPackageAsUser() method, which sets the installed flag
for the package and updates package-restrictions.xml accordingly.

User Management 103
Figure 4-4: Warning shown when the device owner tries to
uninstall an app for all users
When a user uninstalls a package, their app data is deleted and the
internal per-user package installed flag is set to false. This state is then
persisted by setting inst="false" to the removed package’s tag in the user’s
package-restrictions.xml file. The APK file and native library directory are
only removed when the last user that has the app installed uninstalls it.
However, the owner can see all apps installed on the system in the All tab
of the Apps Settings screen, including ones they haven’t installed, and they
can un install those apps for all users. The Uninstall for all users action
is hidden in the overflow menu so that it isn’t selected accidentally. It pro-
duces the warning shown in Figure 4-4. If the owner selects OK in this
warning dialog, app directories for all users are removed and the APK file
is deleted from the device.

104 Chapter 4
The app-sharing scheme implemented on multi-user Android devices
is backward-compatible with previous versions and saves device space by
not copying APK files for all users. However, it has one major disadvantage:
any user can update an application, even if it was originally installed by
another user.
This scheme is usually not a problem, because every user’s app instance
has a separate data directory, except when the update adds new permis-
sions. Because Android grants permissions at install time, if a user updates
an app and accepts a new permission that affects user privacy (for example,
READ_CONTACTS), that permission will apply to all users who use the app. Other
users are not notified that the app has been granted a new permission and
may never notice the change, unless they manually inspect the app’s details
in system Settings. Android does show a warning that notifies users about
this fact when they first enable multi-user support, but does not send subse-
quent notifications about specific apps.
External Storage
Android has included support for external storage since the first public
versions. Because the first few generations of Android devices imple-
mented external storage by simply mounting a FAT-formatted removable
SD card, external storage is often referred to as “the SD card.” However, the
definition of external storage is broader and simply requires that external
storage be a “case-insensitive filesystem with immutable POSIX permission
classes and modes.”2 The underlying implementation may be anything that
satisfies this definition.
External Storage Implementations
Newer devices tend to implement external storage by emulation, and some
don’t have an SD card slot at all. For example, the last Google Nexus device
that had an SD card slot was the Nexus One, released in January 2010, and
all Nexus devices released after the Nexus S (which uses a dedicated parti-
tion for external storage) implement external storage by emulation. On
devices that lack an SD card, external storage is implemented either by
directly mounting a FAT-formatted partition, which resides on the same
block device as primary storage, or by using a helper daemon to emulate it.
Beginning with Android version 4.4, apps have been able to manage
their package-specific directories (Android/data/com.example.app/ for an app
with the com.example.app package) on external storage without requiring the
WRITE_EXTERNAL_STORAGE permission, which grants access to all data on external
2. Google, “External Storage Technical Information,” http://source.android.com/devices/tech/
storage/index.html

User Management 105
storage, including camera pictures, videos, and other media. This feature
is called synthesized permissions and its AOSP implementation is based on a
FUSE daemon that wraps the raw device storage and manages file access
and permission based on a specified permission emulation mode.
NOTE Filesystem in Userspace, or FUSE,3 is a Linux feature that allows the implementa-
tion of a fully functional filesystem in a userspace program. This is achieved by using
a generic FUSE kernel module that routes all Virtual Filesystem (VFS) system calls for
the target filesystem to its userspace implementation. The kernel module and the user-
space implementation communicate via a special file descriptor obtained by opening
/dev/fuse.
As of Android version 4.4, multiple external storage devices can be
accessed by applications, but the applications are only allowed to write arbi-
trary files on primary external storage (if they hold the WRITE_EXTERNAL_STORAGE
permission), and they have only limited access to other external storage
devices, referred to as secondary external storage. Our discussion will focus on
primary external storage as it’s most closely related to multi-user support.
Multi-User External Storage
In order to uphold the Android security model in a multi-user environ-
ment, the Android Compatibility Definition Document (CDD) places
numerous requirements on external storage. The most important of these
is that “Each user instance on an Android device MUST have separate and
isolated external storage directories.”
4
Unfortunately, implementing this requirement poses a problem because
external storage has traditionally been world-readable and implemented
using the FAT filesystem, which does not support permissions. Google’s
implementation of multi-user external storage leverages three Linux kernel
features in order to provide backward-compatible, per-user external storage:
mount namespaces, bind mounts, and shared subtrees.
Advanced Linux Mount Features
As in other Unix systems, Linux manages all files from all storage devices as
part of a single directory tree. Each filesystem is linked to a specific subtree
by mounting it at a specified directory, called the mount point. Traditionally,
the directory tree has been shared by all processes, and each process sees the
same directory hierarchy.
3. “Filesystem in Userspace,” http://fuse.sourceforge.net/
4. Google, Android 4.4 Compatibility Definition, “9.5. Multi-User Support,” http://static
.googleusercontent.com/media/source.android.com/en//compatibility/4.4/android-4.4-cdd.pdf

106 Chapter 4
Linux 2.4.19 and later versions added support for per-process mount
namespaces, which allows each process to have its own set of mount points
and thus use a directory hierarchy different from that of other processes.5
The current list of mounts for each process can be read from the /proc/PID/
mounts virtual file, where PID is the process ID. A forked Linux process can
request a separate mount namespace by specifying the CLONE_NEWNS flag
to the Linux-specific clone()6 and unshare()7 system calls. In this case, the
namespace of the parent process is referred to as the parent namespace.
A bind mount allows a directory or file to be mounted at another path in
the directory tree, making the same file or directory visible at multiple loca-
tions. A bind mount is created by specifying the MS_BIND flag to the mount()
system call, or by passing the --bind parameter to the mount command.
Finally, shared subtrees,8 which were first introduced in Linux 2.6.15, pro-
vide a way to control how filesystem mounts are propagated across mount
namespaces. Shared subtrees make it possible for a process to have its
own namespace but still access filesystems that are mounted after it starts.
Shared subtrees provide four different mount types, of which Android uses
the shared and slave mount. A shared mount created in a parent namespace
propagates to all child namespaces and is thus visible to all processes that
have cloned off a namespace. A slave mount has a master mount that is a
shared mount, and also propagates new mounts. However, the propagation
is one-way only: mounts at the master propagate to the slave, but mounts at
the slave do not propagate to the master. This scheme allows a process to
keep its mounts invisible to any other process, while still being able to see
shared system mounts. Shared mounts are created by passing the MS_SHARED
flag to the mount() system call, while creating slave mounts requires passing
the MS_SLAVE flag.
Android Implementation
Since Android 4.4, mounting external storage directly is no longer sup-
ported but is emulated using the FUSE sdcard daemon, even when the
underlying device is a physical SD card. We’ll base our discussion on a con-
figuration that is backed by a directory on internal storage, which is typical
for devices without a physical SD card. (The official documentation9 con-
tains more details on other possible configurations.)
On a device where primary external storage is backed by internal stor-
age, the sdcard FUSE daemon uses the /data/media/ directory as a source and
5. Michael Kerrisk, The Linux Programming Interface: A Linux and UNIX System Programming
Handbook, No Starch Press, 2010, pp. 261
6. Ibid., 598
7. Ibid., 603
8. Linux Kernel, Shared Subtrees, https://www.kernel.org/doc/Documentation/filesystems/
sharedsubtree.txt
9. Google, “External Storage: Typical Configuration Examples,” http://source.android.com/
devices/tech/storage/config-example.html

User Management 107
creates an emulated filesystem at /mnt/shell/emulated. Listing 4-12 shows how
the sdcard service is declared in the device-specific init.rc file in this case {.
--snip--
on init
mkdir /mnt/shell/emulated 0700 shell shellu
mkdir /storage/emulated 0555 root rootv
export EXTERNAL_STORAGE /storage/emulated/legacyw
export EMULATED_STORAGE_SOURCE /mnt/shell/emulatedx
export EMULATED_STORAGE_TARGET /storage/emulatedy
# Support legacy paths
symlink /storage/emulated/legacy /sdcardz
symlink /storage/emulated/legacy /mnt/sdcard
symlink /storage/emulated/legacy /storage/sdcard0
symlink /mnt/shell/emulated/0 /storage/emulated/legacy
# virtual sdcard daemon running as media_rw (1023)
service sdcard /system/bin/sdcard -u 1023 -g 1023 -l /data/media /mnt/shell/emulated{
class late_start
--snip--
Listing 4-12: sdcard service declaration for emulated external storage
Here, the -u and -g options specify the user and group the daemon
should run as, and -l specifies the layout used for emulated storage (dis-
cussed later in this section). As you can see at u, the /mnt/shell/emulated/
directory (available via the EMULATED_STORAGE_SOURCE environment variable x)
is owned and only accessible by the shell user. Its contents might look like
Listing 4-13 on a device with five users.
# ls -l /mnt/shell/emulated/
drwxrwx--x root sdcard_r 0
drwxrwx--x root sdcard_r 10
drwxrwx--x root sdcard_r 11
drwxrwx--x root sdcard_r 12
drwxrwx--x root sdcard_r 13
drwxrwx--x root sdcard_r legacy
drwxrwx--x root sdcard_r obb
Listing 4-13: Contents of /mnt/shell/emulated/
As with app data directories, each user gets a dedicated external stor-
age data directory named after their user ID. Android uses a combina-
tion of mount namespaces and bind mounts in order to make each user’s
external storage data directory available only to the applications that the
user starts, without showing them other users’ data directories. Because all
applications are forked off the zygote process (discussed in Chapter 2), exter-
nal storage setup is implemented in two steps: the first one is common to all
processes, and the second is specific to each process. First, mount points

108 Chapter 4
that are shared by all forked app processes are set up in the unique zygote
process. Then dedicated mount points, which are visible only to that pro-
cess, are set up as part of each app’s process specialization.
Let’s first look at the shared part in the zygote process. Listing 4-14 shows
an excerpt of the initZygote() function (found in dalvik/vm/Init.cpp) that
highlights mount point setup.
static bool initZygote()
{
setpgid(0,0);
if (unshare(CLONE_NEWNS) == -1) {u
return -1;
}
// Mark rootfs as being a slave so that changes from default
// namespace only flow into our children.
if (mount("rootfs", "/", NULL, (MS_SLAVE | MS_REC), NULL) == -1) {v
return -1;
}
const char* target_base = getenv("EMULATED_STORAGE_TARGET");
if (target_base != NULL) {
if (mount("tmpfs", target_base, "tmpfs", MS_NOSUID | MS_NODEV,w
"uid=0,gid=1028,mode=0751") == -1) {
return -1;
}
}
--snip--
return true;
}
Listing 4-14: Mount point setup in zygote
Here, zygote passes the CLONE_NEWNS flag to the unshare() system call u in
order to create a new, private mount namespace that will be shared by all
its children (app processes). It then marks the root filesystem (mounted
at /) as a slave by passing the MS_SLAVE flag to the mount() system call v. This
ensures that changes from the default mount namespace, such as mounting
encrypted containers or removable storage, only propagate to its children,
while at the same time making sure that any mounts created by children do
not propagate into the default namespace. Finally, zygote creates the memory-
backed EMULATED_STORAGE_TARGET (usually /storage/emulated/) mount point by
creating a tmpfs filesystem w, which children use to bind mount external
storage into their private namespaces.
Listing 4-15 shows the process-specific mount point setup found in
dalvik/vm/native/dalvik_system_Zygote.cpp that is executed when forking each
app process off zygote. (Error handling, logging, and some variable declara-
tions have been omitted.)

User Management 109
static int mountEmulatedStorage(uid_t uid, u4 mountMode) {
userid_t userid = multiuser_get_user_id(uid);u
// Create a second private mount namespace for our process
if (unshare(CLONE_NEWNS) == -1) {v
return -1;
}
// Create bind mounts to expose external storage
if (mountMode == MOUNT_EXTERNAL_MULTIUSER
|| mountMode == MOUNT_EXTERNAL_MULTIUSER_ALL) {
// These paths must already be created by init.rc
const char* source = getenv("EMULATED_STORAGE_SOURCE");w
const char* target = getenv("EMULATED_STORAGE_TARGET");x
const char* legacy = getenv("EXTERNAL_STORAGE");y
if (source == NULL || target == NULL || legacy == NULL) {
return -1;
}
--snip--
// /mnt/shell/emulated/0
snprintf(source_user, PATH_MAX, "%s/%d", source, userid);z
// /storage/emulated/0
snprintf(target_user, PATH_MAX, "%s/%d", target, userid);{
--snip--
if (mountMode == MOUNT_EXTERNAL_MULTIUSER_ALL) {
// Mount entire external storage tree for all users
if (mount(source, target, NULL, MS_BIND, NULL) == -1) {
return -1;
}
} else {
// Only mount user-specific external storage
if (mount(source_user, target_user, NULL, MS_BIND, NULL) == -1) {|
return -1;
}
}
--snip--
// Finally, mount user-specific path into place for legacy users
if (mount(target_user, legacy, NULL, MS_BIND | MS_REC, NULL) == -1) {}
return -1;
}
} else {
return -1;
}
return 0;
}
Listing 4-15: External storage setup for app processes

110 Chapter 4
Here, the mountEmulatedStorage() function first obtains the current user
ID from the process UID u, then uses the unshare() system call to create a
new mount namespace for the process by passing the CLONE_NEWNS flag v.
The function then obtains the values of the EMULATED_STORAGE_SOURCE w,
EMULATED_STORAGE_TARGET x, and EXTERNAL_STORAGE y environment variables,
which are all initialized in the device-specific init.rc file (see w, x, and y in
Listing 4-12). It then prepares the mount source z and target { directory
paths based on the values of EMULATED_STORAGE_SOURCE, EMULATED_STORAGE_TARGET,
and the current user ID.
The directories are created if they don’t exist, and then the method
bind mounts the source directory (such as /mnt/shell/emulated/0 for the
owner user) at the target path (for example, /storage/emulated/0 for the
owner user) |. This ensures that external storage is accessible from the
Android shell (started with the adb shell command), which is used exten-
sively for application development and debugging.
The final step is to recursively bind mount the target directory at the
fixed legacy directory (/storage/emulated/legacy/) }. The legacy directory is
symlinked to /sdcard/ in the device-specific init.rc file (z in Listing 4-12)
for backward compatibility with apps that hardcode this path (normally
obtained using the android.os.Environment.getExternalStorageDirectory() API).
After all steps have been executed, the newly created app process is
guaranteed to see only the external storage allotted to the user that started
it. We can verify this by looking at the list of mounts for two app process
executed by different users as shown in Listing 4-16.
# cat /proc/7382/mounts
--snip--
/dev/fuse /mnt/shell/emulated fuse rw,nosuid,nodev,relatime,user_id=1023,
group_id=1023,default_permissions,allow_other 0 0u
/dev/fuse /storage/emulated/0 fuse rw,nosuid,nodev,relatime,user_id=1023,
group_id=1023,default_permissions,allow_other 0 0v
/dev/fuse /storage/emulated/legacy fuse rw,nosuid,nodev,relatime,user_id=1023,
group_id=1023,default_permissions,allow_other 0 0w
# cat /proc/7538/mounts
--snip--
/dev/fuse /mnt/shell/emulated fuse rw,nosuid,nodev,relatime,user_id=1023,
group_id=1023,default_permissions,allow_other 0 0x
/dev/fuse /storage/emulated/10 fuse rw,nosuid,nodev,relatime,user_id=1023,
group_id=1023,default_permissions,allow_other 0 0y
/dev/fuse /storage/emulated/legacy fuse rw,nosuid,nodev,relatime,user_id=1023,
group_id=1023,default_permissions,allow_other 0 0z
Listing 4-16: List of mount points for process started by different users
Here, the process started by the owner user with PID 7382 has a /storage/
emulated/0 mount point v, which is a bind mount of /mnt/shell/emulated/0/,
and process 7538 (started by a secondary user) has a /storage/emulated/10
mount point y, which is a bind mount of /mnt/shell/emulated/10/.
Because neither process has a mount point for the other process’s exter-
nal storage directory, each process can only see and modify its own files.

User Management 111
Both processes have a /storage/emulated/legacy mount point (w and z), but
because it is bound to different directories (/storage/emulated/0/ and /mnt/
shell/emulated/10/, respectively), each process sees different contents. Both
process can see /mnt/shell/emulated/ (u and x), but because this directory
is only accessible to the shell user (permissions 0700), app processes cannot
see its contents.
External Storage Permissions
In order to emulate the FAT filesystem that was originally used for external
storage, the sdcard FUSE daemon assigns fixed owner, group, and access per-
missions to each file or directory on external storage. Additionally, permis-
sions are not changeable, and symlinks and hardlinks are not supported. The
assigned owner and permission are determined by the permission derivation
mode that the sdcard daemon uses.
In legacy mode (specified with the -l option), which is backward-
compatible with previous Android versions and which is still the default in
Android 4.4, most files and directories are owned by the root user and their
group is set to sdcard_r. Applications that are granted the READ_EXTERNAL_STORAGE
permission have sdcard_r as one of their supplementary groups, and thus
can read most files on external storage even if they were originally created
by a different application. Listing 4-17 shows the owner and permission of
files and directories in the root of external storage.
# ls -l /sdcard/
drwxrwx--- root sdcard_r Alarms
drwxrwx--x root sdcard_r Android
drwxrwx--- root sdcard_r DCIM
--snip--
-rw-rw---- root sdcard_r 5 text.txt
Listing 4-17: Owner and permissions of files on external storage
In previous versions of Android, all files and directories on external stor-
age were assigned the same owner and permissions, but Android 4.4 treats the
application-specific external files directory (Android/data/<package-name>/, the
exact path is returned by the Context.getExternalFilesDir() method) differ-
ently. Applications don’t have to hold the WRITE_EXTERNAL_STORAGE permission
in order to read and write files in this directory because it is owned by the
creating application.
That said, even in Android 4.4, the application’s external files direc-
tory is accessible by any application that holds the READ_EXTERNAL_STORAGE or
WRITE_EXTERNAL_STORAGE permissions because the group of the directory is set
to sdcard_r, as shown in Listing 4-18.
$ ls -l Android/data/
drwxrwx--- u10_a16 sdcard_r com.android.browser
Listing 4-18: Owner and permissions of an app’s external files directory

112 Chapter 4
Android 4.4 supports a more flexible permission derivation mode
that is based on directory structure, and which is specified by passing
the -d option to the sdcard daemon. This derivation mode sets dedi-
cated groups to the directories Pictures/ and Music/ (sdcard_pics u and
sdcard_av v, as shown in Listing 4-19), which allows for fine-grained con-
trol over which files applications can access. As of this writing, Android
doesn’t support such fine-grained access control, but it can easily be imple-
mented by defining additional permissions that map to the sdcard_pics and
sdcard_av groups. In the directory-structure-based permission mode, user
directories are hosted under Android/user/ w.
NOTE While this new permission derivation mode is supported in Android 4.4, as of this
writing, Nexus devices still use the legacy permission mode.
rwxrwx--x root:sdcard_rw /
rwxrwx--- root:sdcard_pics /Picturesu
rwxrwx--- root:sdcard_av /Musicv
rwxrwx--x root:sdcard_rw /Android
rwxrwx--x root:sdcard_rw /Android/data
rwxrwx--- u0_a12:sdcard_rw /Android/data/com.example.app
rwxrwx--x root:sdcard_rw /Android/obb/
rwxrwx--- u0_a12:sdcard_rw /Android/obb/com.example.app
rwxrwx--- root:sdcard_all /Android/userw
rwxrwx--x root:sdcard_rw /Android/user/10
rwxrwx--- u10_a12:sdcard_rw /Android/user/10/Android/data/com.example.app
Listing 4-19: Directory owners and permission in the new permission derivation mode
Other Multi-User Features
Besides dedicated app directories, external storage and settings, other
Android features also support a multi-user device configuration. For
example, as of version 4.4, Android’s credential storage (which allows
for secure management of cryptographic keys) lets each user have their own
key storage. (We discuss credential storage in more detail in Chapter 7.)
In addition, Android’s online account database, accessible via the
AccountManager API, has been extended to allow secondary users to have their
own accounts, as well as to allow restricted profiles to share some of the pri-
mary user’s accounts (if the app that needs account access supports it). We
discuss online account support and the AccountManager API in Chapter 8.
And finally, Android allows setting different device administration
policies for each user. As of version 4.4, it also supports setting up per-user
VPNs that only route a single user’s traffic and which are not accessible by
other users. (We discuss device administration, VPNs, and other enterprise
features in Chapter 9.)
User Management 113
Summary
Android allows multiple users to share a device by providing dedicated
internal and external storage to each user. Multi-user support follows the
established security model and each user’s applications are assigned a
unique UID and run in dedicated processes that cannot access other user’s
data. User isolation is achieved by combining a UID assignment scheme
that takes into account the user ID and storage mounting rules that allow
each user to only see their own storage.
As of this writing, multi-user support is only available on devices with-
out telephony support (usually tablets), as the behavior of telephony in a
multi-user environment is currently undefined. Most Android features,
including account database management, credential storage, device poli-
cies, and VPN support are multi-user-aware and allow each user to have
their own configuration.
5
CRYPTOGRAPHIC PROVIDERS
This chapter introduces Android’s cryptographic
provider architecture and discusses the built-in pro-
viders and the algorithms they support. Because
Android builds on the Java Cryptography Architecture
( JCA), we introduce its design in brief, starting with
the cryptographic service provider (CSP) framework. We then discuss the main
JCA classes and interfaces, and the cryptographic primitives they imple-
ment. (We will briefly introduce each cryptographic primitive, but a thor-
ough discussion is beyond the scope of this book and some familiarity with
basic cryptography is assumed.) Next, we present Android’s JCA providers
and cryptographic libraries as well as the algorithms each provider sup-
ports. Finally, we show how to use additional cryptography algorithms by
installing a custom JCA provider.

116 Chapter 5
JCA Provider Architecture
JCA provides an extensible cryptographic provider framework and a set
of APIs covering the major cryptographic primitives in use today (block
ciphers, message digests, digital signatures, and so on). This architecture
aims to be implementation-independent and extensible. Applications that
use the standard JCA APIs only need to specify the cryptographic algo-
rithm they want to use and (in most cases) do not depend on a particular
provider implementation. Support for new cryptographic algorithms can
be added by simply registering an additional provider that implements the
required algorithms. Additionally, cryptographic services offered by differ-
ent providers are generally interoperable (with certain restrictions when
keys are hardware-protected or key material is otherwise not directly avail-
able) and applications are free to mix and match services from different
providers as needed. Let’s look at JCA’s architecture in more detail.
Cryptographic Service Providers
JCA splits cryptographic functionality into a number of abstract crypto-
graphic services called engines and defines APIs for each service in the
form of an engine class. For example, digital signatures are represented by
the Signature engine class, and encryption is modeled with the Cipher class.
(You’ll find a comprehensive list of engine classes in the next section.)
In the context of JCA, a cryptographic service provider (CSP, or simply
provider) is a package (or set of packages) that provides a concrete imple-
mentation of certain cryptographic services. Each provider advertises
the services and algorithms it implements, allowing the JCA framework
to maintain a registry of supported algorithms and their implementing
providers. This registry maintains a preference order for providers, so if a
certain algorithm is offered by more than one provider, the one with higher
preference order is returned to the requesting application. An exception
to this rule is made for engine classes that support delayed provider selection
(Cipher, KeyAgreement, Mac, and Signature). With delayed provider selection,
the provider is selected not when an instance of the engine class is created,
but when the engine class is initialized for a particular cryptographic oper-
ation. Initialization requires a Key instance, which the system uses to find a
provider that can accept the specified Key object. Delayed provider selection
is helpful when using keys that are stored in hardware because the system
cannot find the hardware-backed provider based on the algorithm name
alone. However, concrete Key instances passed to initialization methods usu-
ally have enough information to determine the underlying provider.
NOTE Current Android versions don’t support delayed provider selection, but some related
work is being done in the master branch, and delayed provider selection will likely be
supported in a future version.
Let’s look at an example using the provider configuration illustrated in
Figure 5-1.

Cryptographic Providers 117
ApplicationProvider
Framework
ProviderA
SHA-1
SHA-384
1
ProviderB
SHA-256
SHA-512
2
ProviderC
SHA-1
SHA-256
3
NG
OK
MessageDigest.
getInstance("SHA-256")
Provider B
SHA-256 implementation
Figure 5-1: JCA algorithm implementation selection when provider is not specified
If an application requests an implementation of the SHA-256 digest
algorithm without specifying a provider (as shown in Listing 5-1), the pro-
vider framework returns the implementation found in ProviderB (number 2
in the list in Figure 5-1), not the one in ProviderC, which also supports SHA-
256, but which is number 3 in the list in Figure 5-1.
MessageDigest md = MessageDigest.getInstance("SHA-256");
Listing 5-1: Requesting a SHA-256 implementation without specifying a provider
On the other hand, if the application specifically requests ProviderC
(as shown in Listing 5-2), its implementation will be returned even though
ProviderB has a higher preference order.
MessageDigest md = MessageDigest.getInstance("SHA-256", "ProviderC");
Listing 5-2: Requesting a SHA-256 implementation from a specific provider
Generally, applications should not explicitly request a provider unless
they include the requested provider as part of the application or can handle
fallback if the preferred provider is not available.
Provider Implementation
The JCA framework guarantees implementation independence by requir-
ing all implementations of a particular cryptographic service or algorithm
to conform to a common interface. For each engine class that represents a
particular cryptographic service, the framework defines a corresponding
abstract Service Provider Interface (SPI) class. Providers that offer a particular
cryptographic service implement and advertise the corresponding SPI class.
For example, a provider that implements a given encryption algorithm
would have an implementation of the CipherSpi class that corresponds to
the Cipher engine class. When an application calls the Cipher.getInstance()
factory method, the JCA framework finds the appropriate provider by using
the process outlined in “Cryptographic Service Providers” on page 116 and
returns a Cipher instance that routes all of its method calls to the CipherSpi
subclass implemented in the selected provider.

118 Chapter 5
In addition to SPI implementation classes, each provider has a subclass of
the abstract java.security.Provider class that defines the name and version
of the provider and, more importantly, a list of the supported algorithms
and matching SPI implementation classes. The JCA provider framework
uses this Provider class to build the provider registry, and queries it when
searching for algorithm implementations to return to its clients.
Static Provider Registration
In order for a provider to be visible to the JCA framework, it must be regis-
tered first. There are two ways to register a provider: statically and dynami-
cally. Static registration requires editing the system security properties file
and adding an entry for the provider. (On Android, this properties file is
called security.properties and is only present inside the core.jar system library.
Therefore, it cannot be edited and static provider registration is not sup-
ported. We describe it here only for completeness.)
A provider entry in the security properties file is formatted as shown in
Listing 5-3.
security.provider.n=ProviderClassName
Listing 5-3: Static registration of a JCA provider
Here, n is the provider’s preference order that is used when search-
ing for requested algorithms (when no provider name is specified). The
order is 1-based; that is, 1 is the most preferred, followed by 2, and so on.
ProviderClassName is the name of the java.security.Provider class implementa-
tion described in “Provider Implementation” on page 117.
Dynamic Provider Registration
Providers are registered dynamically (at runtime) with the addProvider()
and insertProviderAt() methods of the java.security.Security class. These
methods return the actual position in which the provider was added, or −1
if the provider was not added because it was already installed. Providers can
also be removed dynamically by calling the removeProvider() method.
The Security class manages the list of security Providers and effectively
acts as the provider registry described in the previous sections. In Java SE,
programs require special permissions in order to register providers and
modify the provider registry because by inserting a new provider at the top
of the provider list, they can effectively replace the system security imple-
mentation. In Android, modifications to the provider registry are limited to
the current app process and cannot affect the system or other applications.
Therefore, no special permissions are required in order to register a JCA
provider.
Dynamic modifications to the provider registry are typically placed in
a static block to ensure that they are executed before any application code.
Listing 5-4 shows an example of replacing the default (top priority) pro-
vider with a custom one.

Cryptographic Providers 119
static {
Security.insertProviderAt(new MyProvider(), 1);
}
Listing 5-4: Dynamically inserting a custom JCA provider
NOTE If the class is loaded more than once (for example, by different class loaders), the static
block may be executed multiple times. You can work around this by checking whether
the provider is already available or by using a holder class that is loaded only once.
JCA Engine Classes
An engine class provides the interface to a specific type of cryptographic
service. JCA engines provide one of the following services:
• Cryptographic operations (encrypt/decrypt, sign/verify, hash, and so on)
• Generation or conversion of cryptographic material (keys and algo-
rithm parameters)
• Management and storage of cryptographic objects, such as keys and
digital certificates
Obtaining an Engine Class Instance
In addition to providing a unified interface to cryptographic operations,
engine classes decouple client code from the underlying implementation,
which is why they cannot be instantiated directly; instead, they provide a
static factory method called getInstance() that lets you request an implemen-
tation indirectly. The getInstance() method typically has one of the signa-
tures shown in Listing 5-5.
static EngineClassName getInstance(String algorithm)u
throws NoSuchAlgorithmException
static EngineClassName getInstance(String algorithm, String provider)v
throws NoSuchAlgorithmException, NoSuchProviderException
static EngineClassName getInstance(String algorithm, Provider provider)w
throws NoSuchAlgorithmException
Listing 5-5: JCA engine class factory method signatures
Usually, you would use the signature at u and specify only the algorithm
name. The signatures at v and w allow you to request an implementa-
tion from a specific provider. All variants throw a NoSuchAlgorithmException
if an implementation for the requested algorithm is not available and v
throws NoSuchProviderException if a provider with the specified name is not
registered.

120 Chapter 5
Algorithm Names
The string algorithm parameter that all factory methods take maps to a
particular cryptographic algorithm or transformation, or specifies an
implementation strategy for higher-level objects that manage collections
of certificates or keys. Usually, the mapping is straightforward. For example,
SHA-256 maps to an implementation of the SHA-256 hashing algorithm
and AES requests an implementation of the AES encryption algorithm.
However, some algorithm names have structure and specify more than one
parameter of the requested implementation. For example, SHA256withRSA
specifies a signature implementation that uses SHA-256 for hashing the
signed message and RSA to perform the signature operation. Algorithms
can also have aliases, and more than one algorithm name can map to the
same implementation.
Algorithm names are case-insensitive. The standard algorithm names
supported by each JCA engine class are defined in the JCA Standard Algorithm
Name Documentation (sometimes referred to as just Standard Names).1 In addi-
tion to those, providers can define their own algorithm names and aliases.
(See each provider’s documentation for details.) You can use the code in
Listing 5-6 to list all providers, the algorithm names of cryptographic ser-
vices offered by each provider, and the implementation classes they map to.
Provider[] providers = Security.getProviders();
for (Provider p : providers) {
System.out.printf("%s/%s/%f\n", p.getName(), p.getInfo(), p.getVersion());
Set<Service> services = p.getServices();
for (Service s : services) {
System.out.printf("\t%s/%s/%s\n", s.getType(),
s.getAlgorithm(), s.getClassName());
}
}
Listing 5-6: Listing all JCA providers and the algorithms they support
We will show the format for the algorithm name of major engine classes
as we introduce them in the following sections.
SecureRandom
The SecureRandom class represents a cryptographic Random Number Generator
(RNG). While you may not directly use it too often, it is used internally by
most cryptographic operations to generate keys and other cryptographic
material. The typical software implementation is usually a Cryptographically
Secure Pseudo Random Number Generator (CSPRNG), which produces a sequence
of numbers that approximate the properties of true random numbers based
on an initial value called a seed. As the quality of random numbers produced
1. Oracle, Java™ Cryptography Architecture Standard Algorithm Name Documentation, http://docs
.oracle.com/javase/7/docs/technotes/guides/security/StandardNames.html

Cryptographic Providers 121
by a CSPRNG largely depends on its seed, it is chosen carefully, usually based
on the output of a true RNG.
On Android, CSPRNG implementations are seeded by reading seed
bytes from the standard Linux /dev/urandom device file, which is an inter-
face to the kernel CSPRNG. As the kernel CSPRNG itself may be in a
fairly predictable state right after starting, Android periodically saves the
state (which is 4096 bytes as of Android 4.4) of the kernel CSPRNG to
the /data/system/entropy.dat file. The contents of that file are written back
to /dev/urandom on boot in order to carry over the previous CSPRNG
state. This is performed by the EntropyMixer system service.
Unlike most engine classes, SecureRandom has public constructors that
you can use to create an instance. The recommended way to get a properly
seeded instance on Android is to use the default (no argument) constructor
(u in Listing 5-7). If you use the getInstance() factory method, you need to
pass SHA1PRNG as the algorithm name, which is the only universally sup-
ported algorithm name for SecureRandom. Because SHA1PRNG is not exactly
a cryptographic standard, implementations from different providers might
behave differently. To have SecureRandom generate random bytes, you pass
a byte array to its nextBytes() method (v in Listing 5-7). It will generate as
many bytes as the array length (16 in Listing 5-7) and store them in it.
SecureRandom sr = new SecureRandom();u
byte[] output = new byte[16];
sr.nextBytes(output);v
Listing 5-7: Using SecureRandom to generate random bytes
Seeding SecureRandom manually is not recommended because seeding
the system CSPRNG improperly may result in it producing a predictable
sequence of bytes, which could compromise any higher-level operations that
require random input. However, if you need to manually seed SecureRandom
for some reason (for example, if the default system seeding implementation
is known to be flawed), you can do so by using the SecureRandom(byte[] seed)
constructor or by calling the setSeed() method. When seeding manually,
make sure that the seed you are using is sufficiently random; for example,
by reading it from /dev/urandom.
Additionally, depending on the underlying implementation, calling
setSeed() may not replace, but instead only add to the internal CSPRNG
state; so two SecureRandom instances seeded with the same seed value may not
produce the same number sequence. Therefore, SecureRandom should not be
used when deterministic values are required. Instead, use a cryptographic
primitive that is designed to produce deterministic output from a given
input, such as a hash algorithm or a key derivation function.
MessageDigest
The MessageDigest class represents the functionality of a cryptographic mes-
sage digest, also referred to as a hash function. A cryptographic message
digest takes an arbitrarily long sequence of bytes and generates a fixed-size

122 Chapter 5
byte sequence called a digest or hash. A good hash function guarantees that
even a small change in its input results in completely different output and
that it is very difficult to find two inputs that are different but produce the
same hash value (collision resistance), or generate an input that has a given
hash (pre-image resistance). Another important property of hash functions
is second pre-image resistance. In order to withstand second pre-image
attacks, a hash function should make it difficult to find a second input m2
that hashes to the same value as a given input m1.
Listing 5-8 shows how to use the MessageDigest class.
MessageDigest md = MessageDigest.getInstance("SHA-256");u
byte[] data = getMessage();
byte[] digest = md.digest(data);v
Listing 5-8: Using MessageDigest to hash data
A MessageDigest instance is created by passing the hash algorithm name
to the getInstance() factory method u. Input may be provided in chunks
by using one of the update() methods, and then calling one of the digest()
methods to get the calculated hash value. Alternatively, if the input data
size is fixed and relatively short, it can be hashed in one step by using the
digest(byte[] input) method v, as shown in Listing 5-8.
Signature
The Signature class provides a common interface for digital signature algo-
rithms based on asymmetric encryption. A digital signature algorithm takes
an arbitrary message and a private key and produces a fixed-sized byte string
called a signature. Digital signatures typically apply a digest algorithm to the
input message, encode the calculated hash value, and then use a private
key operation to produce the signature. The signature can then be verified
using the corresponding public key by applying the reverse operation, cal-
culating the hash value of the signed message, and comparing it to the one
encoded in the signature. Successful verification guarantees the integrity of
the signed message and, on the condition that the signing private key has
remained indeed private, its authenticity.
Signature instances are created with the standard getInstance() factory
method. The algorithm name used is generally in the form <digest>with
<encryption>, where <digest> is a hash algorithm name as used by MessageDigest
(such as SHA256), and <encryption> is an asymmetric encryption algorithm
(such as RSA or DSA). For example, a SH A512 withR S A Signature would first
use the SHA-512 hash algorithm to produce a digest value and then encrypt
the encoded digest with an RSA private key to produce the signature. For
signature algorithms that use a mask generation function such as RSA-PSS,
the algorithm name takes the form <digest>with<encryption>and<mgf> (for
example, SHA256withRSAandMGF1).
Listing 5-9 shows how to use the Signature class to generate and verify a
cryptographic signature.

Cryptographic Providers 123
PrivateKey privKey = getPrivateKey();
PublicKey pubKey = getPublicKey();
byte[] data = "sign me".getBytes("ASCII");
Signature sig = Signature.getInstance("SHA256withRSA");
sig.initSign(privKey);u
sig.update(data);v
byte[] signature = sig.sign();w
sig.initVerify(pubKey);x
sig.update(data);
boolean valid = sig.verify(signature);y
Listing 5-9: Generating and verifying a signature with the Signature class
After obtaining an instance, the Signature object is initialized for either
signing, by passing a private key to the initSign() method (u in Listing 5-9),
or verification, by passing a public key or certificate to the initVerify()
method x for verification.
Signing is similar to calculating a hash with MessageDigest: the data to be
signed is fed in chunks to one of the update() methods v or in bulk to the
sign() method w, which returns the signature value. To verify a signature,
the signed data is passed to one of the update() methods. Finally, the signa-
ture is passed to the verify() method y, which returns true if the signature
is valid.
Cipher
The Cipher class provides a common interface to encryption and decryption
operations. Encryption is the process of using some algorithm (called a
cipher) and a key to transform data (called plaintext, or plaintext message) into
a randomly looking form (called ciphertext). The inverse operation, called
decryption, transforms the ciphertext back into the original plaintext.
The two major types of encryption widely used today are symmetric
encryption and asymmetric encryption. Symmetric, or secret key, encryption uses
the same key to encrypt and decrypt data. Asymmetric encryption uses a
pair of keys: a public key and a private key. Data encrypted with one of the
keys can only be decrypted with the other key of the pair. The Cipher class
supports both symmetric and asymmetric encryption.
Depending on how they process input, ciphers can be block or stream.
Block ciphers work on fixed-sized chunks of data called blocks. If the input
cannot be divided into an integral number of blocks, the last block is pad-
ded by adding the necessary number of bytes to match the block size. Both
the operation and the added bytes are called padding. Padding is removed
in the decryption process and is not included in the decrypted plaintext. If
a padding algorithm is specified, the Cipher class can add and remove pad-
ding automatically. On the other hand, stream ciphers process input data
one byte (or even bit) at a time and do not require padding.

124 Chapter 5
Block Cipher Modes of Operation
Block ciphers employ different strategies when processing input blocks in
order to produce the final ciphertext (or plaintext when decrypting). Those
strategies are called modes of operation, cipher modes, or simply modes. The sim-
plest processing strategy is to split the plaintext into blocks (padding as nec-
essary), apply the cipher to each block, and then concatenate the encrypted
blocks to produce the ciphertext. This mode is called Electronic Code Book
(ECB) mode, and while it’s straightforward and easy to use, it has the major
disadvantage that identical plaintext blocks produce identical ciphertext
blocks. Thus, plaintext structure is reflected in the ciphertext, which com-
promises message confidentiality and facilitates cryptanalysis. This has often
been illustrated with the infamous “ECB Penguin” from the Wikipedia entry
on block cipher modes.2 We present our Android version in Figure 5-2.3 Here,
u is the original image, v is the image encrypted in ECB mode, and w is the
same image encrypted in CBC mode. As you can see, the pattern of the origi-
nal image is distinguishable in v, while w looks like random noise.
Figure 5-2: Ciphertext patterns produced by different cipher modes
Feedback modes add randomness to the ciphertext by combining the pre-
vious encrypted block with the current plaintext block before encrypting.
In order to produce the first cipher block, they combine the first plaintext
block with a block-sized string of bytes not found in the original plain text,
called an initialization vector (IV). When configured to use a feedback mode,
the Cipher class can use a client-specified IV or generate one automatically.
Commonly used feedback modes are Cipher-block chaining (CBC), Cipher feed-
back (CFB), and Output feedback (OFB).
Another way to add randomness to the ciphertext, employed by
the Counter (CTR) mode, is to encrypt the successive values of a counter
sequence in order to produce a new key for each plaintext block that needs
to be encrypted. This effectively turns the underlying block cipher into a
stream cipher and no padding is required.
2. Wikipedia, “Block cipher mode of operation,” https://en.wikipedia.org/wiki/
Block_cipher_mode_of_operation
3. The Android robot is reproduced or modified from work created and shared by Google
and used according to terms described in the Creative Commons 3.0 Attribution License.
u wv

Cryptographic Providers 125
Newer cipher modes, such as Galois/Counter Mode (GCM), not only dif-
fuse patterns in the original plaintext but also authenticate the ciphertext,
making sure it has not been tampered with. They provide authenticated
encryption (AE) or Authenticated Encryption with Associated Data (AEAD).4 The
Cipher APIs have been extended to support authenticated encryption in Java
SE 7, and those extensions have been available since Android 4.4, which
has a Java 7–compatible runtime library API. AE ciphers concatenate the
authentication tag output by the encryption operation to the ciphertext
that operation produces in order to form their final output. In the Java
Cipher API, the tag is included (or verified, when decrypting) implicitly
after calling doFinal(), so you should not use the output of update() until
you’re sure the implicit tag at the end validates.
Obtaining a Cipher Instance
Having reviewed the major parameters of a cipher, we can finally discuss
how to create Cipher instances. Like the other engine classes, Cipher objects
are created with the getInstance() factory method, which requires not just a
simple algorithm name, but that you fully specify the cryptographic transfor-
mation that the requested cipher will perform.
Listing 5-10 shows how to create a Cipher instance by passing a transfor-
mation string to getInstance().
Cipher c = Cipher.getInstance("AES/CBC/PKCS5Padding");
Listing 5-10: Creating a Cipher instance
A transformation needs to specify the encryption algorithm, cipher
mode, and padding. The transformation string passed to getInstance() is in
the algorithm/mode/padding format. For example, the transformation string
used in Listing 5-10 would create a Cipher instance that uses AES as the
encryption algorithm, CBC as the cipher mode, and PKCS#5 padding.
NOTE The term PKCS will appear quite a few times in our discussion of JCA providers and
engine classes. The acronym stands for Public Key Cryptography Standard
and refers to a group of cryptography standards that were originally developed and
published by RSA Security, Inc. in the early 1990s. Most have evolved into public
Internet standard and are now published and maintained as RFCs (Requests for
Comments, formal documents describing Internet standards), but they are still referred
to by their original name. Notable standards include PKCS#1, which defines the basic
algorithms for RSA encryption and signatures; PKCS#5, which defines password-
based encryption; PKCS#7, which defines message encryption and signing under a
PKI and became the basis of S/MIME; and PKCS#12, which defines a container for
keys and certificates. A full list can be found on EMC’s website.5
4. D. McGrew, RFC 5116 – An Interface and Algorithms for Authenticated Encryption, http://www.ietf
.org/rfc/rfc5116.txt
5. RSA Laboratories, Public-Key Cryptography Standards (PKCS), http://www.emc.com/emc-plus/
rsa-labs/standards-initiatives/public-key-cryptography-standards.htm

126 Chapter 5
A Cipher instance can be created by passing only the algorithm name,
but in that case the returned implementation would use provider-specific
defaults for the cipher mode and padding. This is not only not portable
across providers, but could severely impact the security of the system if, for
example, a less-secure-than-intended cipher mode (such as ECB) is used at
runtime. This “shortcut” is a major design flaw of the JCA provider frame-
work and should never be used.
Using a Cipher
Once a Cipher instance has been obtained, it needs to be initialized before
encrypting or decrypting data. A Cipher is initialized by passing an inte-
ger constant that denotes the operation mode (ENCRYPT_MODE, DECRYPT_MODE,
WRAP_MODE, or UNWRAP_MODE), a key or certificate, and, optionally, algorithm
parameters, to one of the corresponding init() methods. ENCRYPT_MODE and
DECRYPT_MODE are used to encrypt and decrypt arbitrary data, while WRAP_MODE
and UNWRAP_MODE are specialized modes used when encrypting (wrapping) and
decrypting (unwrapping) the key material of a Key object with another key.
Listing 5-11 shows how to use the Cipher class to encrypt and decrypt data.
SecureRandom sr = new SecureRandom();
SecretKey key = getSecretKey();
Cipher cipher = Cipher.getInstance("AES/CBC/PKCS5Padding");u
byte[] iv = new byte[cipher.getBlockSize()];
sr.nextBytes(iv);
IvParameterSpec ivParams = new IvParameterSpec(iv);v
cipher.init(Cipher.ENCRYPT_MODE, key, ivParams);w
byte[] plaintext = "encrypt me".getBytes("UTF-8");
ByteArrayOutputStream baos = new ByteArrayOutputStream();
byte[] output = cipher.update(plaintext);x
if (output != null) {
baos.write(output);
}
output = cipher.doFinal();y
baos.write(output);
byte[] ciphertext = baos.toByteArray();
cipher.init(Cipher.DECRYPT_MODE, key, ivParams);z
baos = new ByteArrayOutputStream();
output = cipher.update(ciphertext);{
if (output != null) {
baos.write(output);
}
output = cipher.doFinal();|
baos.write(output);
byte[] decryptedPlaintext = baos.toByteArray();}
Listing 5-11: Using the Cipher class to encrypt and decrypt data

Cryptographic Providers 127
In this example, we create a Cipher instance that uses AES in CBC
mode and PKCS#5 padding u; generate a random IV and wrap it into an
IvParameterSpec object v; and then initialize the Cipher for encryption by
passing ENCRYPT_MODE, the encryption key, and the IV to the init() method w.
We can then encrypt data by passing data chunks to the update() method x,
which returns intermediate results (or null if the input data is too short
to result in a new block), and obtain the last block by calling the doFinal()
method y. The final ciphertext is obtained by concatenating the intermedi-
ate result(s) with the final block.
To decrypt, we initialize the cipher in DECRYPT_MODE z, passing the same
key and the IV used for encryption. We then call update() {, this time using
the ciphertext as input, and finally call doFinal() | to obtain the last chunk
of plaintext. The final plaintext is obtained by concatenating the intermedi-
ate result(s) with the final chunk }.
Mac
The Mac class provides a common interface to Message Authentication Code
(MAC) algorithms. A MAC is used to check the integrity of messages trans-
mitted over an unreliable channel. MAC algorithms use a secret key to
calculate a value, the MAC (also called a tag), which can be used to authen-
ticate the message and check its integrity. The same key is used to perform
verification, so it needs to be shared between the communicating parties.
(A MAC is often combined with a cipher to provide both confidentiality and
integrity.)
KeyGenerator keygen = KeyGenerator.getInstance("HmacSha256");
SecretKey key = keygen.generateKey();
Mac mac = Mac.getInstance("HmacSha256");u
mac.init(key);v
byte[] message = "MAC me".getBytes("UTF-8");
byte[] tag = mac.doFinal(message);w
Listing 5-12: Using the Mac class to generate a message authentication code
A Mac instance is obtained with the getInstance() factory method u
(as shown in Listing 5-12) by requesting an implementation of the HMAC6
MAC algorithm that uses SHA-256 as the hash function. It is then initial-
ized v with a SecretKey instance, which may be generated with a KeyGenerator
(see “KeyGenerator” on page 131), derived from a password or directly
instantiated from raw key bytes. For MAC implementations based on hash
functions (such as HMAC SHA-256 in this example), the type of key does
not matter, but implementations that use a symmetric cipher may require
a matching key type to be passed. We can then pass the message in chunks
using one of the update() methods and call doFinal() to obtain the final
MAC value, or perform the operation in one step by passing the message
bytes directly to doFinal() w.
6. H. Krawczyk, M. Bellare, and R. Canetti, HMAC: Keyed-Hashing for Message Authentication,
http://tools.ietf.org/html/rfc2104

128 Chapter 5
Key
The Key interface represents opaque keys in the JCA framework. Opaque
keys can be used in cryptographic operations, but usually do not provide
access to the underlying key material (raw key bytes). This allows us to use
the same JCA classes and interfaces both with software implementations
of cryptographic algorithms that store key material on memory, and with
hardware-backed ones, where the key material may reside in a hardware
token (smart card, HSM,7 and so on) and is not directly accessible.
The Key interface defines only three methods:
String getAlgorithm() Returns the name of the encryption algorithm
(symmetric or asymmetric) that this key can be used with. Examples
are AES or RSA.
byte[] getEncoded() Returns a standard encoded form of the key that
can be used when transmitting the key to other systems. This can be
encrypted for private keys. For hardware-backed implementations that
do not allow exporting key material, this method typically returns null.
String getFormat() Returns the format of the encoded key. This is usu-
ally R AW for keys that are not encoded in any particular format. Other
formats defined in JCA are X.509 and PKCS#8.
You can obtain a Key instance in the following ways:
• Generate keys using a KeyGenerator or a KeyPairGenerator.
• Convert from some encoded representation using a KeyFactory.
• Retrieve a stored key from a KeyStore.
We discuss different Key types and how they are created and accessed in
the next sections.
SecretKey and PBEKey
The SecretKey interface represents keys used in symmetric algorithms. It is
a marker interface and does not add any methods to those of the parent Key
interface. It has only one implementation that can be directly instantiated,
namely SecretKeySpec. It is both a key implementation and a key specifica-
tion (as discussed in the “KeySpec” section that follows) and allows you to
instantiate SecretKey instances based on the raw key material.
The PBEKey subinterface represents keys derived using Password Based
Encryption (PBE).8 PBE defines algorithms that derive strong cryptographic
keys from passwords and passphrases, which typically have low entropy and
thus cannot be used directly as keys. PBE is based on two main ideas: using a
salt to protect from table-assisted (pre-computed) dictionary attacks (salting),
and using a large iteration count to make the key derivation computationally
7. Hardware Security Module
8. B. Kaliski, PKCS #5: Password-Based Cryptography Specification, Version 2.0, http://www.ietf.org/rfc/
rfc2898.txt

Cryptographic Providers 129
expensive (key stretching). The salt and iteration count are used as param-
eters to PBE algorithms and thus need to be retained in order to generate
the same key from a particular password. Thus PBEKey implementations
are required to implement getSalt() and getIterationCount() along with
getPassword().
PublicKey, PrivateKey, and KeyPair
Public and private keys for asymmetric encryption algorithms are modeled
with the PublicKey and PrivateKey interfaces. They are marker interfaces and
do not add any new methods. JCA defines specialized classes for concrete
asymmetric algorithms that hold the parameters of the corresponding keys,
such as RSAPublicKey and RSAPrivateCrtKey. The KeyPair interface is simply a
container for a public key and a private key.
KeySpec
As discussed in “Key” on page 128, the JCA Key interface represents opaque
keys. On the other hand, KeySpec models a key specification, which is a transpar-
ent key representation that allows you to access individual key parameters.
In practice, most Key and KeySpec interfaces for concrete algorithms over-
lap considerably because the key parameters need to be accessible in order
to implement the encryption algorithms. For example, both RSAPrivateKey
and RSAPrivateKeySpec define getModulus() and getPrivateExponent() methods.
The difference is only important when an algorithm is implemented in
hardware, in which case the KeySpec will only contain a reference to the
hardware-managed key and not the actual key parameters. The correspond-
ing Key will hold a handle to the hardware-managed key and can be used to
perform cryptographic operations, but it will not hold any key material. For
example, an RSAPrivateKey that is stored in hardware will return null when
its getPrivateExponent() method is called.
KeySpec implementations can hold an encoded key representation, in which
case they are algorithm independent. For example, the PKCS8EncodedKeySpec can
hold either an RSA key or a DSA key in DER-encoded PKCS#8 format.9 On the
other hand, an algorithm-specific KeySpec holds all key parameters as fields. For
example, RSAPrivateKeySpec contains the modulus and private exponent for an
RSA key, which can be obtained using the getModulus() and getPrivateExponent()
methods, respectively. Regardless of their type, KeySpecs are converted to Key
objects using a KeyFactory.
KeyFactory
A KeyFactory encapsulates a conversion routine needed to turn a transparent
public or private key representation (some KeySpec subclass) into an opaque10
9. RSA Laboratories, PKCS #8: Private-Key Information Syntax Standard, http://www.emc.com/
emc-plus/rsa-labs/standards-initiatives/pkcs-8-private-key-information-syntax-stand.htm
10. Some Key subclasses, such as RSAPrivateKey, expose all key material and thus are not
technically opaque.

130 Chapter 5
key object (some Key subclass) that can be used to perform a cryptographic
operation, or vice versa. A KeyFactory that converts an encoded key typically
parses the encoded key data and stores each key parameter in the cor-
responding field of the concrete Key class. For example, to parse an X.509-
encoded RSA public key, you can use the following code (see Listing 5-13).
KeyFactory kf = KeyFactory.getInstance("RSA");u
byte[] encodedKey = readRsaPublicKey();
X509EncodedKeySpec keySpec = new X509EncodedKeySpec(encodedKey);v
RSAPublicKey pubKey = (RSAPublicKey) kf.generatePublic(keySpec);w
Listing 5-13: Using a KeyFactory to convert an X.509 encoded key to an RSAPublicKey
object
Here we create an RSA KeyFactory by passing RSA to KeyFactory
.getInstance() u. We then read the encoded RSA key, use the encoded
key bytes to instantiate an X509EncodedKeySpec v, and finally pass the KeySpec
to the factory’s generatePublic() method w in order to obtain an RSAPublicKey
instance.
A KeyFactory can also convert an algorithm-specific KeySpec, such
as RSAPrivateKeySpec, to a matching Key (RSAPrivateKey, in this example)
instance, but in that case it merely copies the key parameters (or key
handle) from one class to the other. Calling the KeyFactory.getKeySpec()
method converts a Key object to a KeySpec, but this usage is not very common
because an encoded key representation can be obtained simply by calling
getEncoded() directly on the key object, and algorithm-specific KeySpecs gen-
erally do not provide any more information than a concrete Key class does.
Another feature of KeyFactory is converting a Key instance from a differ-
ent provider into a corresponding key object compatible with the current
provider. The operation is called key translation and is performed using the
translateKey(Key key) method.
SecretKeyFactory
SecretKeyFactory is very similar to KeyFactory except that it only operates on
secret (symmetric) keys. You can use it to convert a symmetric key specifica-
tion into a Key object and vice versa. In practice though, if you have access to
the key material of a symmetric key, it is much easier to use it to instantiate
directly a SecretKeySpec that is also a Key, so it is not used very often in this
fashion.
A much more common use case is generating a symmetric key from a
user-supplied password using PBE (see Listing 5-14).
byte[] salt = generateSalt();
int iterationCount = 1000;
int keyLength = 256;
KeySpec keySpec = new PBEKeySpec(password.toCharArray(), salt,
iterationCount, keyLength);u

Cryptographic Providers 131
SecretKeyFactory skf = SecretKeyFactory.getInstance("PBKDF2WithHmacSHA1");v
SecretKey key = skf.generateSecret(keySpec);w
Listing 5-14: Generating a secret key from a password using SecretKeyFactory
In this case, a PBEKeySpec is initialized with the password, a randomly
generated salt, iteration count, and the desired key length u. A SecretKey fac-
tory that implements a PBE key derivation algorithm (in this case, PBKDF2)
is then obtained with a call to getInstance() v. Passing the PBEKeySpec to
generateSecret() executes the key derivation algorithm and returns a SecretKey
instance w that can be used for encryption or decryption.
KeyPairGenerator
The KeyPairGenerator class generates pairs of public and private keys. A
KeyPairGenerator is instantiated by passing an asymmetric algorithm name
to the getInstance() factory method (u in Listing 5-15).
KeyPairGenerator kpg = KeyPairGenerator.getInstance("ECDH");u
ECGenParameterSpec ecParamSpec = new ECGenParameterSpec("secp256r1");v
kpg.initialize(ecParamSpec);w
KeyPair keyPair = kpg.generateKeyPair();x
Listing 5-15: Initializing KeyPairGenerator with algorithm-specific parameters
There are two ways to initialize a KeyPairGenerator: by specifying the
desired key size and by specifying algorithm-specific parameters. In both
cases, you can optionally pass a SecureRandom instance to be used for key gen-
eration. If only a key size is specified, key generation will use default param-
eters (if any). To specify additional parameters, you must instantiate and
configure an AlgorithmParameterSpec instance appropriate for the asymmetric
algorithm you are using and pass it to the initialize() method, as shown
in Listing 5-15. In this example, the ECGenParameterSpec initialized in v is an
AlgorithmParameterSpec that allows you to specify the curve name used when
generating Elliptic Curve (EC) cryptography keys. After it is passed to the
initialize() method in w, the subsequent generateKeyPair() call in x will
use the specified curve (secp256r1) to generate the key pair.
NOTE While named curves have been defined by various standards, the Oracle JCA specifi-
cation does not explicitly define any elliptic curve names. As there is no official JCA
standard, curve names supported by Android may vary based on platform version.
KeyGenerator
The KeyGenerator is very similar to the KeyPairGenerator class, except that it
generates symmetric keys. While you can generate most symmetric keys
by requesting a sequence of random bytes from SecureRandom, KeyGenerator
implementations perform additional checks for weak keys and set key

132 Chapter 5
parity bytes where appropriate (for DES and derived algorithms) and
can take advantage of available cryptography hardware, so it’s best to use
KeyGenerator instead of generating keys manually.
Listing 5-16 shows how to generate an AES key using KeyGenerator.
KeyGenerator keygen = KeyGenerator.getInstance("AES");u
kg.init(256);v
SecretKey key = keygen.generateKey();w
Listing 5-16: Generating an AES key with KeyGenerator
To generate a key using KeyGenerator, create an instance u, specify the
desired key size with init() v, and then call generateKey() w to generate
the key.
KeyAgreement
The KeyAgreement class represents a key agreement protocol that allows two or
more parties to generate a shared key without needing to exchange secret
information. While there are different key agreement protocols, the ones
most widely used today are based on the Diffie-Hellman (DH) key exchange—
either the original one based on discrete logarithm cryptography11 (simply
known as DH), or the newer variant based on elliptic key cryptography
(ECDH
12).
Both variants of the protocol are modeled in JCA using the KeyAgreement
class and can be performed in the same way, with the only difference being
the keys. For both variants, each communicating party needs to have a key
pair, with both key pairs generated with the same key parameters (prime
modulus and base generator for DH, and typically the same well-defined
named curve for ECDH). Then the parties only need to exchange public
keys and execute the key agreement algorithm to arrive at a common secret.
Listing 5-17 illustrates using the KeyAgreement class to generate a shared
secret using ECDH.
PrivateKey myPrivKey = getPrivateKey();
PublicKey remotePubKey = getRemotePubKey();
KeyAgreement keyAgreement = KeyAgreement.getInstance("ECDH");u
keyAgreement.init(myPrivKey);v
keyAgreement.doPhase(remotePubKey, true);w
byte[] secret = keyAgreement.generateSecret();x
Listing 5-17: Using KeyAgreement to generate a shared secret
A KeyAgreement instance is first created by passing the algorithm name,
ECDH, to the getInstance() factory method u. Then the agreement
11. RSA Laboratories, PKCS #3: Diffie-Hellman Key-Agreement Standard, ftp://ftp.rsasecurity.com/
pub/pkcs/ascii/pkcs-3.asc
12. NIST, Recommendation for Pair-Wise Key Establishment Schemes Using Discrete Logarithm
Cryptography, http://csrc.nist.gov/publications/nistpubs/800-56A/SP800-56A_Revision1_Mar08
-2007.pdf
Cryptographic Providers 133
is initialized by passing the local private key to the init() method v.
Next, the doPhase() method is called N – 1 times, where N is the number
of communicating parties, passing each party’s public key as the first
parameter, and setting the second parameter to true when executing the
last phase of the agreement w. (For two communicating parties, as in
this example, the doPhase() method needs to be called only once.) Finally,
calling the generateSecret() method x produces the shared secret.
Listing 5-17 shows the call flow for only one of the parties (A), but the
other party (B) needs to execute the same sequence using its own private
key to initialize the agreement, and passing A’s public key to doPhase().
Note that while the value (or part of it) returned by generateSecret() can
be used directly as a symmetric key, the preferred method is to use it as the
input for a key-derivation function (KDF) and use the output of the KDF as
key(s). Directly using the generated shared secret may lead to some loss of
entropy, and doing so limits the number of keys that can be produced using
a single DH key agreement operation. On the other hand, using a KDF dif-
fuses any structure that the secret may have (such as padding) and allows
for generating multiple derived keys by mixing in a salt.
KeyAgreement has another generateSecret() method which takes an algo-
rithm name as a parameter and returns a SecretKey instance that can be used
to initialize a Cipher directly. If the KeyAgreement instance has been created
with an algorithm string that includes a KDF specification (for example,
ECDHwithSHA1KDF ), this method will apply the KDF to the shared secret
before returning a SecretKey. If a KDF has not been specified, most implemen-
tations simply truncate the shared secret in order to obtain key material for
the returned SecretKey.
KeyStore
JCA uses the term keystore to refer to a database of keys and certificates.
A keystore manages multiple cryptographic objects, referred to as entries
that are each associated with a string alias. The KeyStore class offers a well-
defined interface to a keystore that defines three types of entries:
PrivateKeyEntry A private key with an associated certificate chain. For a
software implementation, the private key material is usually encrypted
and protected by a user-supplied passphrase.
SecretKeyEntry A secret (symmetric) key. Not all KeyStore implementa-
tions support storing secret keys.
TrustedCertificateEntry A public key certificate of another party.
TrustedCertificateEntrys often contain CA certificates that can be
used to establish trust relationships. A keystore that contains only
TrustedCertificateEntrys is called a truststore.
KeyStore Types
A KeyStore implementation does not need to be persistent, but most imple-
mentations are. Different implementations are identified by a keystore type

134 Chapter 5
that defines the storage and data format of the keystore, as well as the meth-
ods used to protect stored keys. The default KeyStore type is set with the
keystore.type system property.
The default KeyStore implementation of most JCA providers is usually
a keystore type that stores its data in a file. The file format may be proprie-
tary or based on a public standard. Proprietary formats include the original
Java SE JKS format and its security enhanced version JCEKS, as well as the
Bouncy Castle KeyStore (BKS) format, which is the default in Android.
PKCS#12 File-Backed KeyStores
The most widely used public standard that allows for bundling private keys
and associated certificates in a file is the Personal Information Exchange Syntax
Standard, commonly referred to as PKCS#12. It is a successor of the Personal
Information Exchange Syntax (PFX) standard, so the terms PKCS#12 and PFX
are used somewhat interchangeably, and PKCS#12 files are often called
PFX files.
PKCS#12 is a container format that can contain multiple embedded
objects, such as private keys, certificates, and even CRLs. Like the previ-
ous PKCS standards, which PKCS#12 builds upon, the container contents
are defined in ASN.113 and are essentially a sequence of nested structures.
The internal container structures are called SafeBags, with different bags
defined for certificates (CertBag), private keys (KeyBag), and encrypted pri-
vate keys (PKCS8ShroudedKeyBag).
The integrity of the whole file
is protected by a MAC that uses
a key derived from an integrity
password, and each individual
private key entry is encrypted
with a key derived from a pri-
vacy password. In practice, the
two passwords are usually the
same. PKCS#12 can also use
public keys to protect the pri-
vacy and integrity of the archive
contents, but this usage is not
very common.
A typical PKCS#12 file that
contains a user’s encrypted
password key and an associated
certificate might have structure
like that illustrated in Fig ure 5-3
(note that some of the wrapper
structures have been removed
for clarity).
13. Abstract Syntax Notation One (ASN.1): A standard notation that describes rules and struc-
tures for encoding data in telecommunications and computer networking. Extensively used
in cryptography standards to define the structure of cryptographic objects.
PFX
MacData
AuthenticatedSafe
PKCS8ShroudedKeyBag
CertBag
encAlgorithm:
pbeWithSHA1And3DES−CBC
Encrypted RSA private key
X.509 Certificate
mac:
SHA1/97365F305DF3F3ECA79C...
macSalt: FC18D34D9D322AD0
iterations: 2048
Figure 5-3: Structure of a PKCS#12 file holding
a private key and an associated certificate

Cryptographic Providers 135
Listing 5-18 shows how to obtain a private key and certificate from a
PKCS#12 file.
KeyStore keyStore = KeyStore.getInstance("PKCS12");u
InputStream in = new FileInputStream("mykey.pfx");
keyStore.load(in, "password".toCharArray());v
KeyStore.PrivateKeyEntry keyEntry =
(KeyStore.PrivateKeyEntry)keyStore.getEntry("mykey", null);w
X509Certificate cert = (X509Certificate) keyEntry.getCertificate();x
RSAPrivateKey privKey = (RSAPrivateKey) keyEntry.getPrivateKey();y
Listing 5-18: Using the KeyStore class to extract a private key and certificate from a
PKCS#12 file
The KeyStore class can be used to access the contents of a PKCS#12 file
by specifying PKCS12 as the keystore type when creating an instance (u
in Listing 5-18). To load and parse the PKCS#12 file, we call the load()
method v, passing an InputStream from which to read the file, and the file
integrity password. Once the file is loaded, we can obtain a private key entry
by calling the getEntry() method and passing the key alias w and, option-
ally, a KeyStore.PasswordProtection instance initialized with the password for
the requested entry, if it’s different from the file integrity password. If the
alias is unknown, all aliases can be listed with the aliases() method. Once
we have a PrivateKeyEntry, we can access the public key certificate x or the
private key y. New entries can be added with the setEntry() method and
deleted with the deleteEntry() method. Changes to the KeyStore contents
can be persisted to disk by calling the store() method, which accepts an
OutputStream (to which the keystore bytes are written) and an integrity pass-
word (which is used to derive MAC and encryption keys) as parameters.
A KeyStore implementation does not have to use a single file for storing
key and certificate objects. It can use multiple files, a database, or any other
storage mechanism. In fact, keys may not be stored on the host system at all,
but on a separate hardware device such as a smart card or a hardware security
module (HSM). (Android-specific KeyStore implementations that provide an
interface to the system’s trust store and credential storage are introduced in
Chapters 6 and 7.)
CertificateFactory and CertPath
CertificateFactory acts as a certificate and CRL parser and can build cer-
tificate chains from a list of certificates. It can read a stream that contains
encoded certificates or CRLs and output a collection (or a single instance) of
java.security.cert.Certificate and java.security.cert.CRL objects. Usually, only
an X.509 implementation that parses X.509 certificates and CRLs is available.
Listing 5-19 shows how to parse a certificate file using CertificateFactory.

136 Chapter 5
CertificateFactory cf = CertificateFactory.getInstance("X.509");u
InputStream in = new FileInputStream("certificate.cer");
X509Certificate cert = (X509Certificate) cf.generateCertificate(in);v
Listing 5-19: Parsing an X.509 certificate file with CertificateFactory
To create a CertificateFactory, we pass X.509 as the factory type to
getInstance() u, and then call generateCertificate(), passing an InputStream
from which to read v. Because this is an X.509 factory, the obtained object
can be safely cast to java.security.cert.X509Certificate. If the read file includes
multiple certificates that form a certificate chain, a CertPath object can be
obtained by calling the generateCertPath() method.
CertPathValidator and CertPathBuilder
The CertPathValidator class encapsulates a certificate chain validation algo-
rithm as defined by the Public-Key Infrastructure (X.509) or PKIX standard.14
We discuss PKIX and certificate chain validation in more detail in Chapter 6,
but Listing 5-20 shows how to use CertificateFactory and CertPathValidator to
build and validate a certificate chain.
CertPathValidator certPathValidator = CertPathValidator.getInstance("PKIX");u
CertificateFactory cf = CertificateFactory.getInstance("X.509");
X509Certificate[] chain = getCertChain();
CertPath certPath = cf.generateCertPath(Arrays.asList(chain));v
Set<TrustAnchor> trustAnchors = getTrustAnchors();
PKIXParameters result = new PKIXParameters(trustAnchors);w
PKIXCertPathValidatorResult result = (PKIXCertPathValidatorResult)
certPathValidator.validate(certPath, pkixParams);x
Listing 5-20: Building and validating a certificate chain with CertPathValidator
As you can see, we first obtain a CertPathValidator instance by pass-
ing PKIX to the getInstance() method u. We then build a certificate chain
using CertificateFactory’s generateCertPath() method v. Note that if the
passed list of certificates does not form a valid chain, this method throws a
CertificateException. If we do not already have all the certificates needed to
form a chain, we can use a CertPathBuilder initialized with a CertStore to find
the needed certificates and build a CertPath (not shown).
Once we have a CertPath, we initialize the PKIXParameters class with a set
of trust anchors (typically, these are trusted CA certificates; see Chapter 6 for
details) w, and then call CertPathValidator.validate() x, passing the CertPath
that we built in v and the PKIXParameters instance. If validation succeeds,
validate() returns a PKIXCertPathValidatorResult instance; if not, it throws a
CertPathValidatorException that contains detailed information about why it
failed.
14. D. Cooper et al., Internet X.509 Public Key Infrastructure Certificate and Certificate Revocation
List (CRL) Profile, May 2008, http://tools.ietf.org/html/rfc5280

Cryptographic Providers 137
Android JCA Providers
Android’s cryptography providers are based on JCA and follow its architec-
ture with some relatively minor exceptions. While low-level Android compo-
nents directly use native cryptography libraries (such as OpenSSL), JCA is
the main cryptographic API and is used by system components and third-
party applications alike.
Android has three core JCA providers that include implementations
of the engine classes outlined in the previous section and two Java Secure
Socket Extension ( JSSE) providers that implement SSL functionality. ( JSSE is
discussed in detail in Chapter 6.)
Let’s examine Android’s core JCA providers.
Harmony’s Crypto Provider
Android’s Java runtime library implementation is derived from the retired
Apache Harmony project,15 which also includes a limited JCA provider simply
named Crypto that provides implementations for basic cryptographic services
like random number generation, hashing, and digital signatures. Crypto is
still included in Android for backward compatibility but has the lowest pri-
ority of all JCA providers, so engine class implementations from Crypto are
not returned unless explicitly requested. Table 5-1 shows the engine classes
and algorithms that Crypto supports.
Table 5-1: Algorithms Supported by the Crypto Provider as of Android 4.4.4
Engine Class Name Supported Algorithms
KeyFactory DSA
MessageDigest SHA-1
SecureRandom SHA1PRNG
Signature SHA1withDSA
NOTE While the algorithms listed in Table 5-1 are still available in Android 4.4, all except
SHA1PRNG have been removed in the Android master branch and may not be
available in future versions.
Android’s Bouncy Castle Provider
Before Android version 4.0, the only full-featured JCA provider in Android
was the Bouncy Castle provider. The Bouncy Castle provider is part of the
Bouncy Castle Crypto APIs,16 a set of open source Java implementations of
cryptographic algorithms and protocols.
15. The Apache Software Foundation, “Apache Harmony,” http://harmony.apache.org/
16. Legion of the Bouncy Castle Inc., “Bouncy Castle Crypto APIs,” https://www.bouncycastle
.org/java.html

138 Chapter 5
Android includes a modified version of the Bouncy Castle provider,
which is derived from the mainstream version by applying a set of Android-
specific patches. Those patches are maintained in the Android source tree
and updated for each new release of the mainstream Bouncy Castle provider.
The main differences from the mainstream version are summarized below.
• Algorithms, modes, and algorithm parameters not supported by Java’s
reference implementation (RI) have been removed (RIPEMD, SHA-224,
GOST3411, Twofish, CMAC, El Gamal, RSA-PSS, ECMQV, and so on).
• Insecure algorithms such as MD2 and RC2 have been removed.
• Java-based implementations of MD5 and the SHA family of digest algo-
rithms have been replaced with a native implementation.
• Some PBE algorithms have been removed (for example,
PBEwithHmacSHA256).
• Support for accessing certificates stored in LDAP has been removed.
• Support for certificate blacklists has been added (blacklists are dis-
cussed in Chapter 6).
• Various performance optimizations have been made.
• The package name has been changed to com.android.org.bouncycastle to
avoid conflict with apps that bundle in Bouncy Castle (since Android 3.0).
The engine classes and algorithms supported by Android’s Bouncy
Castle provider as of version 4.4.4 (based on Bouncy Castle 1.49) are listed
in Table 5-2.
Table 5-2: Algorithms Supported by Android’s Bouncy Castle Provider as of
Android 4.4.4
Engine Class Name Supported Algorithms
CertPathBuilder PKIX
CertPathValidator PKIX
CertStore Collection
CertificateFactory X.509
Cipher AES
AESWRAP
ARC4
BLOWFISH
DES
DESEDE
DESEDEWRAP
PBEWITHMD5AND128BITAES-CBC-OPENSSL
PBEWITHMD5AND192BITAES-CBC-OPENSSL
PBEWITHMD5AND256BITAES-CBC-OPENSSL
PBEWITHMD5ANDDES
PBEWITHMD5ANDRC2
PBEWITHSHA1ANDDES
PBEWITHSHA1ANDRC2

Cryptographic Providers 139
Engine Class Name Supported Algorithms
Cipher (continued) PBEWITHSHA256AND128BITAES-CBC-BC
PBEWITHSHA256AND192BITAES-CBC-BC
PBEWITHSHA256AND256BITAES-CBC-BC
PBEWITHSHAAND128BITAES-CBC-BC
PBEWITHSHAAND128BITRC2-CBC
PBEWITHSHAAND128BITRC4
PBEWITHSHAAND192BITAES-CBC-BC
PBEWITHSHAAND2-KEYTRIPLEDES-CBC
PBEWITHSHAAND256BITAES-CBC-BC
PBEWITHSHAAND3-KEYTRIPLEDES-CBC
PBEWITHSHAAND40BITRC2-CBC
PBEWITHSHAAND40BITRC4
PBEWITHSHAANDTWOFISH-CBC
RSA
KeyAgreement DH
ECDH
KeyFactory DH
DSA
EC
RSA
KeyGenerator AES
ARC4
BLOWFISH
DES
DESEDE
HMACMD5
HMACSHA1
HMACSHA256
HMACSHA384
HMACSHA512
KeyPairGenerator DH
DSA
EC
RSA
KeyStore BKS (default)
BouncyCastle
PKCS12
Mac HMACMD5
HMACSHA1
HMACSHA256
HMACSHA384
HMACSHA512
PBEWITHHMACSHA
PBEWITHHMACSHA1
MessageDigest MD5
SHA-1
SHA-256
SHA-384
SHA - 512
(continued)

140 Chapter 5
Engine Class Name Supported Algorithms
SecretKeyFactory DES
DESEDE
PBEWITHHMACSHA1
PBEWITHMD5AND128BITAES-CBC-OPENSSL
PBEWITHMD5AND192BITAES-CBC-OPENSSL
PBEWITHMD5AND256BITAES-CBC-OPENSSL
PBEWITHMD5ANDDES
PBEWITHMD5ANDRC2
PBEWITHSHA1ANDDES
PBEWITHSHA1ANDRC2
PBEWITHSHA256AND128BITAES-CBC-BC
PBEWITHSHA256AND192BITAES-CBC-BC
PBEWITHSHA256AND256BITAES-CBC-BC
PBEWITHSHAAND128BITAES-CBC-BC
PBEWITHSHAAND128BITRC2-CBC
PBEWITHSHAAND128BITRC4
PBEWITHSHAAND192BITAES-CBC-BC
PBEWITHSHAAND2-KEYTRIPLEDES-CBC
PBEWITHSHAAND256BITAES-CBC-BC
PBEWITHSHAAND3-KEYTRIPLEDES-CBC
PBEWITHSHAAND40BITRC2-CBC
PBEWITHSHAAND40BITRC4
PBEWITHSHAANDTWOFISH-CBC
PBKDF2WithHmacSHA1
PBKDF2WithHmacSHA1And8BIT
Signature ECDSA
MD5WITHRSA
NONEWITHDSA
NONEwithECDSA
SHA1WITHRSA
SHA1withDSA
SHA256WITHECDSA
SHA256WITHRSA
SHA384WITHECDSA
SHA384WITHRSA
SHA512WITHECDSA
SHA512WITHRSA
AndroidOpenSSL Provider
As mentioned in “Android’s Bouncy Castle Provider” on page 137, hash
algorithms in Android’s Bouncy Castle provider have been replaced with
native code for performance reasons. In order to further improve crypto-
graphic performance, the number of supported engine classes and algo-
rithms in the native AndroidOpenSSL provider has been steadily growing
with each release since 4.0.
Originally, AndroidOpenSSL was only used to implement SSL sockets,
but as of Android 4.4, it covers most of the functionality offered by Bouncy
Castle. Because it is the preferred provider (with the highest priority, 1),
engine classes that don’t explicitly request Bouncy Castle get an implemen-
tation from the AndroidOpenSSL provider. As the name implies, its cryp-
tographic functionality is provided by the OpenSSL library. The provider
Table 5-2 (continued)

Cryptographic Providers 141
implementation uses JNI to link OpenSSL’s native code to the Java SPI
classes required to implement a JCA provider. The bulk of the implementa-
tion is in the NativeCrypto Java class, which is called by most SPI classes.
AndroidOpenSSL is part of Android’s libcore library, which implements
the core part of Android’s Java runtime library. Starting with Android 4.4,
AndroidOpenSSL has been decoupled from libcore so that it can be com-
piled as a standalone library and included in applications that want a
stable cryptographic implementation that does not depend on the plat-
form version. The standalone provider is called Conscrypt and lives in the
org.conscrypt package, renamed to com.android.org.conscrypt when built as
part of the Android platform.
The engine classes and algorithms supported by the AndroidOpenSSL
provider as of version 4.4.4 are listed in Table 5-3.
Table 5-3: Algorithms Supported by the AndroidOpenSSL Provider as of
Android 4.4.4
Engine Class Name Supported Algorithms
CertificateFactory X509
Cipher AES/CBC/NoPadding
AES/CBC/PKCS5Padding
AES/CFB/NoPadding
AES/CTR/NoPadding
AES/ECB/NoPadding
AES/ECB/PKCS5Padding
AES/OFB/NoPadding
ARC4
DESEDE/CBC/NoPadding
DESEDE/CBC/PKCS5Padding
DESEDE/CFB/NoPadding
DESEDE/ECB/NoPadding
DESEDE/ECB/PKCS5Padding
DESEDE/OFB/NoPadding
RSA/ECB/NoPadding
RSA/ECB/PKCS1Padding
KeyAgreement ECDH
KeyFactory DSA
EC
RSA
KeyPairGenerator DSA
EC
RSA
Mac HmacMD5
HmacSHA1
HmacSHA256
HmacSHA384
HmacSHA512
MessageDigest MD5
SHA-1
SHA-256
SHA-384
SHA - 512
(continued)

142 Chapter 5
Engine Class Name Supported Algorithms
SecureRandom SHA1PRNG
Signature ECDSA
MD5WithRSA
NONEwithRSA
SHA1WithRSA
SHA1withDSA
SHA256WithRSA
SHA256withECDSA
SHA384WithRSA
SHA384withECDSA
SHA512WithRSA
SHA512withECDSA
OpenSSL
OpenSSL is an open source cryptographic toolkit that implements the
SSL and TLS protocols and is widely used as a general purpose cryptogra-
phy library.17 It is included in Android as a system library and used to
implement the AndroidOpenSSL JCA provider that was introduced in
“AndroidOpenSSL Provider” on page 140, as well as by some other system
components.
Different Android releases use different OpenSSL versions (generally
the latest stable version, which is 1.0.1e in Android 4.4), with an evolving
set of patches applied. Therefore, Android does not offer a stable public
OpenSSL API, so applications that need to use OpenSSL should include
the library and not link to the system version. The only public cryptographic
API is the JCA one, which offers a stable interface decoupled from the under-
lying implementation.
Using a Custom Provider
While Android’s built-in providers cover most widely used cryptographic
primitives, they do not support some more exotic algorithms and even some
newer standards. As mentioned in our discussion of the JCA architecture,
Android applications can register custom providers for their own use, but
cannot affect system-wide providers.
17. The OpenSSL Project, “OpenSSL: The Open Source toolkit for SSL/TLS,” http://www
.openssl.org/
Table 5-3 (continued)

Cryptographic Providers 143
One of the most widely used and full-featured JCA providers is Bouncy
Castle, also the base of one of Android’s built-in providers. However, as
discussed in “Android’s Bouncy Castle Provider” on page 137, the version
shipped with Android has had a number of algorithms removed. If you
need to use any of those algorithms, you can try simply bundling the full
Bouncy Castle library with your application—but that may cause class load-
ing conflicts, especially on versions of Android earlier than 3.0, which do
not change the system’s Bouncy Castle’s package name. To avoid this, you
can change the library’s root package with a tool such as jarjar,18 or use
Spongy Castle.19
Spongy Castle
Spongy Castle is a repackaged version of Bouncy Castle. It moves all pack-
age names from org.bouncycastle.* to org.spongycastle.* in order to avoid
class loader conflicts, and changes the provider name from BC to SC.
No class names are changed, so the API is the same as Bouncy Castle.
To use Spongy Castle, you simply need to register it with the JCA frame-
work using Security.addProvider() or Security.insertProviderAt(). You can
then request algorithms not implemented by Android’s built-in provid-
ers simply by passing the algorithm name to the respective getInstance()
method.
To explicitly request an implementation from Spongy Castle, pass the
SC string as the provider name. If you bundle the Spongy Castle library
with your app, you can also directly use Bouncy Castle’s lightweight cryp-
tographic API (which is often more flexible) without going through the
JCA engine classes. Additionally, some cryptographic operations, such
as signing an X.509 certificate or creating an S/MIME message, have
no matching JCA APIs and can only be performed using the lower-level
Bouncy Castle APIs.
Listing 5-21 shows how to register the Spongy Castle provider and
request an RSA-PSS (originally defined in PKCS#120) Signature implemen-
tation, which is not supported by any of Android’s built-in JCA providers.
static {
Security.insertProviderAt(
new org.spongycastle.jce.provider.BouncyCastleProvider(), 1);
}
Signature sig = Signature.getInstance("SHA1withRSA/PSS", "SC");
Listing 5-21: Registering and using the Spongy Castle provider
18. Chris Nokleberg, “Jar Jar Links,” https://code.google.com/p/jarjar/
19. Roberto Tyley, “Spongy Castle,” http://rtyley.github.io/spongycastle/
20. J. Jonsson and B. Kaliski, Public-Key Cryptography Standards (PKCS) #1: RSA Cryptography
Specifications Version 2.1, http://tools.ietf.org/html/rfc3447
144 Chapter 5
Summary
Android implements the Java Cryptography Architecture (JCA) and comes
bundled with a number of cryptographic providers. JCA defines inter-
faces to common cryptographic algorithms in the form of engine classes.
Cryptographic providers offer implementations of those engine classes
and allow clients to request an algorithm implementation by name, with-
out having to know about the actual underlying implementation. The two
main JCA providers in Android are the Bouncy Castle provider and the
AndroidOpenSSL provider. Bouncy Castle is implemented in pure Java,
while AndroidOpenSSL is backed by native code and offers better perfor-
mance. As of Android 4.4, AndroidOpenSSL is the preferred JCA provider.
6
NETWORK SECURITY AND PKI
As discussed in the previous chapter, Android includes
various cryptographic providers that implement most
modern cryptographic primitives: hashing, symmetric
and asymmetric encryption, and message authentica-
tion codes. Those primitives can be combined to
implement secure communication, but even a subtle mistake can result
in serious vulnerabilities, so the preferred way to implement secure com-
munication is to use standard protocols that are designed to protect the
privacy and integrity of data transferred across a network.
The most widely used secure protocols are Secure Sockets Layer (SSL)
and Transport Layer Security (TLS). Android supports these protocols by
providing an implementation of the standard Java Secure Socket Extension
(JSSE). In this chapter, we’ll briefly discuss the JSSE architecture and then
provide some details about Android’s JSSE implementation. Our description
of Android’s SSL stack is focused on certificate validation and trust anchor
management, which are tightly integrated into the platform and are one of
the biggest differences that set it apart from other JSSE implementations.

146 Chapter 6
NOTE While TLS and SSL are technically different protocols, we will usually use the more com-
mon term SSL to refer to both, and will only distinguish between SSL and TLS when
discussing protocol differences.
PKI and SSL Overview
TLS1 and SSL2 (its predecessor) are secure point-to-point communication
protocols designed to provide (optional) authentication, message confi-
dentiality, and message integrity between two parties communicating over
TCP/IP. They use a combination of symmetric and asymmetric encryption
to implement message confidentiality and integrity, and rely heavily on pub-
lic key certificates to implement authentication.
To start a secure SSL channel, a client contacts a server and sends the
SSL protocol version it supports, as well as a list of suggested cipher suites.
A cipher suite is a set of algorithms and key sizes used for authentication, key
agreement, encryption, and integrity. In order to establish a secure channel,
the server and client negotiate a commonly supported cipher suite, and then
verify each other’s identity based on their certificates. Finally, the commu-
nicating parties agree on a symmetric encryption algorithm and compute
a shared symmetric key that is used to encrypt all subsequent communica-
tion. Typically, only the server’s identity is verified (server authentication) and
not the client’s. The SSL protocol supports verifying client identity as well
(client authentication), but it is used much more rarely.
NOTE While anonymous (unauthenticated) cipher suites such as TLS_DH_anon_WITH_
AES_128_CBC_SHA are defined in SSL specifications, they are vulnerable to man-
in-the-middle (MITM) attacks and are typically only employed when SSL is used as
part of a more complex protocol that has other means to ensure authentication.
Public Key Certificates
As mentioned in the previous section, SSL relies on public key certificates
to implement authentication. A public key certificate is a construct that
binds an identity to a public key. For X.509 certificates, which are used in
SSL communication, the “identity” is a set of attributes typically including a
common name (CN), organization, and location that form the entity’s dis-
tinguished name (DN). Other major attributes of X.509 certificates are the
issuer DN, validity period, and a set of extensions, which may be additional
entity attributes or pertain to the certificate itself (for example, intended
key usage).
The binding is formed by applying a digital signature over the entity’s
public key and all additional attributes to produce a digital certificate. The
1. T. Dierks and E. Rescorla, The Transport Layer Security (TLS) Protocol Version 1.2, August 2008,
http://tools.ietf.org/html/rfc5246
2. A. Freier, P. Karlton, and P. Kocher, The Secure Sockets Layer (SSL) Protocol Version 3.0,
August 2011, http://tools.ietf.org/html/rfc6101

Network Security and PKI 147
signing key used may be the certified entity’s own private key, in which case
the certificate is referred to as self-signed, or it may belong to a trusted third
party called a certificate authority (CA).
The contents of a typical X.509 server certificate as parsed by the
OpenSSL x509 command are shown in Listing 6-1. This particular cer-
tificate binds the C=US, ST=California, L=Mountain View, O=Google Inc,
CN=*.googlecode.com DN v and a set of alternative DNS names x to the
server’s 2048-bit RSA key w and is signed with the private key of the Google
Internet Authority G2 CA u.
Certificate:
Data:
Version: 3 (0x2)
Serial Number:
09:49:24:fd:15:cf:1f:2e
Signature Algorithm: sha1WithRSAEncryption
Issuer: C=US, O=Google Inc, CN=Google Internet Authority G2u
Validity
Not Before: Oct 9 10:33:36 2013 GMT
Not After : Oct 9 10:33:36 2014 GMT
Subject: C=US, ST=California, L=Mountain View, O=Google Inc, CN=*.googlecode.comv
Subject Public Key Info:
Public Key Algorithm: rsaEncryption
Public-Key: (2048 bit)w
Modulus:
00:9b:58:02:90:d6:50:03:0a:7c:79:06:99:5b:7a:
--snip--
Exponent: 65537 (0x10001)
X509v3 extensions:
X509v3 Extended Key Usage:
TLS Web Server Authentication, TLS Web Client Authentication
X509v3 Subject Alternative Name:
DNS:*.googlecode.com, DNS:*.cloud.google.com, DNS:*.code.google.com,x
--snip--
Authority Information Access:
CA Issuers - URI:http://pki.google.com/GIAG2.crt
OCSP - URI:http://clients1.google.com/ocsp
X509v3 Subject Key Identifier:
65:10:15:1B:C4:26:13:DA:50:3F:84:4E:44:1A:C5:13:B0:98:4F:7B
X509v3 Basic Constraints: critical
CA:FALSE
X509v3 Authority Key Identifier:
keyid:4A:DD:06:16:1B:BC:F6:68:B5:76:F5:81:B6:BB:62:1A:BA:5A:81:2F
X509v3 Certificate Policies:
Policy: 1.3.6.1.4.1.11129.2.5.1
X509v3 CRL Distribution Points:
Full Name:
URI:http://pki.google.com/GIAG2.crl
Signature Algorithm: sha1WithRSAEncryption
3f:38:94:1b:f5:0a:49:e7:6f:9b:7b:90:de:b8:05:f8:41:32:
--snip--
Listing 6-1: X.509 certificate contents, as parsed by OpenSSL

148 Chapter 6
Direct Trust and Private CAs
If an SSL client communicates with a limited number of servers, it can
be preconfigured with a set of server certificates that it trusts (called trust
anchors), and deciding whether to trust a remote party becomes simply a
matter of checking whether its certificate is in that set. This model allows
for fine-grained control over whom clients trust, but makes it harder to
rotate or upgrade server keys, which requires issuing a new self-signed
certificate.
This problem can be solved by using a private CA and configuring both
clients and servers to use it as the single trust anchor. In this model, SSL
parties do not check for a particular entity certificate, but trust any certifi-
cate issued by the private CA. This allows for transparent key and certificate
upgrades, without the need to upgrade SSL clients and servers as long as
the CA certificate is still valid. The downside is that at the same time, this
single-CA model creates a single point of failure; if the CA key is compro-
mised, whoever has obtained access to it can issue fraudulent certificates
that all clients will trust (as we will see later, this is not limited to private
CAs). Recovering from this situation requires updating all clients and
replacing the CA certificate.
Another problem with this model is that it cannot be used for clients
that do not know in advance what servers they will need to connect to—
usually generic Internet clients such as web browsers, email applications,
and messaging or VoIP clients. Such generic clients are typically config-
ured with a set of trust anchors that includes well-known issuers, which
we call public CAs. While certain guidelines and requirements exist, the
process of selecting public CAs to include as default trust anchors varies
widely between browsers and OSes. For example, in order to include a CA
certificate as a trust anchor in its products, Mozilla requires that the CA has
a public Certificate Policy and Certification Practice Statement (CP/CPS) docu-
ment, enforces multi-factor authentication for operator accounts, and that
the CA certificate does not issue end-entity certificates directly.3 Other ven-
dors can have less stringent requirements. Current versions of most OSes
and browsers ship with more than 100 CA certificates included as trust
anchors.
Public Key Infrastructure
When certificates are issued by public CAs, some sort of identity verification
is performed before issuing the certificate. The verification process varies
vastly between CAs and types of certificates issued, ranging from accept-
ing automatic email address confirmation (for cheap server certificates) to
requiring multiple forms of government-issued ID and company registra-
tion documents (for Extended Validation, or EV, certificates).
Public CAs depend on multiple people, systems, procedures, and policies
in order to perform entity verification and to create, manage, and distribute
3. Mozilla, Mozilla CA Certificate Inclusion Policy (Version 2.2), https://www.mozilla.org/en-US/
about/governance/policies/security-group/certs/policy/inclusion/

Network Security and PKI 149
certificates. The set of those parties and systems is referred to as a Public
Key Infrastructure (PKI). PKIs can be infinitely complex, but in the context
of secure communication, and SSL in particular, the most important pieces
are the CA certificates, which act as trust anchors and are used when vali-
dating the identity of communication parties. Therefore, managing trust
anchors will be one of the key points in our discussion of Android’s SSL
and PKI implementation. Figure 6-1 shows a simplified representation of
a typical PKI.
Root CA
Issuing CA
Registration
Authority
Certificate/CRL
Repository
End Entity 1
(Alice)
Sign
certificate
Request
certificate
and submit
proof of ID
Sign
certificate
Request
certificate
Verify EE ID
Publish
certificate/CRL
Publish
certificate/CRL
End Entity 2
(Bob)
Fetch
certificate/CRL
Secure
communication
Figure 6-1: PKI entities
Here, a person or server that holds a certificate is referred to as an end
entity (EE). To obtain a certificate, an end entity sends a certificate request
to a registration authority (RA). The RA obtains some proof of identity
from the EE and verifies its identity according to the CA’s policy require-
ments. After the RA has established the identity of the EE, it checks that
it matches the contents of the certificate request, and if so, forwards the
request to the issuing CA. An issuing CA signs the EE certificate request
in order to generate EE certificates and maintains revocation informa-
tion (discussed in the next section) about the issued certificates. On the
other hand, a root CA does not sign EE certificates directly but only signs

150 Chapter 6
certificates for issuing CAs and revocation information concerning issuing
CAs. A root CA is used very rarely and is usually kept offline in order to
increase the security of its keys.
For the PKI sketched in Figure 6-1, an EE certificate is associated with
two CA certificates: the issuing CA’s certificate, which signed it, and the
root CA’s certificate, which signed the issuing CA’s certificate. The three
certificates form a certificate chain (also called a certification path). The
chain begins with the EE certificate and terminates with the root CA cer-
tificate. In order for an EE certificate to be trusted, its certification path
needs to lead to a certificate the system trusts implicitly (trust anchor).
While intermediate certificates can be used as trust anchors, this role is
usually performed by root CA certificates.
Certificate Revocation
In addition to issuing certificates, CAs can mark a certificate as invalid
by revoking it. Revoking involves adding the certificate serial number
and a revocation reason to a certificate revocation list (CRL) that the
CA signs and periodically publishes. Entities validating a certificate can
then check to see if it has been revoked by searching for its serial num-
ber (which is unique within a given CA) in the issuing CA’s current CRL.
Listing 6-2 shows the contents of a sample CRL file, issued by the Google
Internet Authority G2. In this example, certificates with the serial numbers
40BF8571DD53E3BB u and 0A9F21196A442E45 v have been revoked.
Certificate Revocation List (CRL):
Version 2 (0x1)
Signature Algorithm: sha1WithRSAEncryption
Issuer: /C=US/O=Google Inc/CN=Google Internet Authority G2
Last Update: Jan 13 01:00:02 2014 GMT
Next Update: Jan 23 01:00:02 2014 GMT
CRL extensions:
X509v3 Authority Key Identifier:
keyid:4A:DD:06:16:1B:BC:F6:68:B5:76:F5:81:B6:BB:62:1A:BA:5A:81:2F
X509v3 CRL Number:
219
Revoked Certificates:
Serial Number: 40BF8571DD53E3BBu
Revocation Date: Sep 10 15:19:22 2013 GMT
CRL entry extensions:
X509v3 CRL Reason Code:
Affiliation Changed
--snip--
Serial Number: 0A9F21196A442E45v
Revocation Date: Jun 12 17:42:06 2013 GMT
CRL entry extensions:
X509v3 CRL Reason Code:
Superseded
Signature Algorithm: sha1WithRSAEncryption
40:f6:05:7d:...
Listing 6-2: CRL file contents

Network Security and PKI 151
Revocation status can also be checked without fetching the full list
of all revoked certificates by using the Online Certificate Status Protocol
(OCSP).4 CRL and OCSP URIs are often included as extensions in cer-
tificates so that verifying parties do not need to know their location in
advance. All public CAs maintain revocation information, but in practice a
lot of SSL clients either do not check revocation at all or allow connections
(possibly with a warning) even if the remote party’s certificate is revoked.
The main reasons for this lenient behavior of SSL clients are the overhead
associated with fetching current revocation information, and ensuring con-
nectivity. While delta CRLs (CRLs that only contain the difference, or delta,
from the previous CRL version) and local caching alleviate the problem to
some extent, CRLs for major CAs are typically huge and need to be down-
loaded before an SSL connection is established, which adds user-visible
latency. OCSP improves this situation but still requires a connection to a
different server, which again adds latency.
In either case, revocation information may simply be unavailable, due
to a network or configuration problem in a CA’s infrastructure. For a major
CA, a revocation database outage could disable a large number of secure
sites, which translates directly to financial loss for their operators. Lastly,
nobody likes connection errors and when faced with a revocation error,
most users will simply find another, less strict SSL client that simply “works.”
JSSE Introduction
We’ll briefly introduce the architecture and main components of JSSE here.
(For complete coverage, see the official JSSE Reference Guide.5)
The JSSE API lives in the javax.net and javax.net.ssl packages and pro-
vides classes that represent the following features:
• SSL client and server sockets
• An engine for producing and consuming SSL streams (SSLEngine)
• Factories for creating sockets
• A secure socket context class (SSLContext) that creates secure socket
factories and engines
• PKI-based key and trust managers and factories to create them
• A class for HTTPS (HTTP over TLS, specified in RFC 2818 6) URL con-
nections (HttpsURLConnection)
Just as with JCA cryptographic service providers, a JSSE provider sup-
plies implementations for the engine classes defined in the API. Those
implementation classes are responsible for creating the underlying sockets,
4. S. Santesson et al., X.509 Internet Public Key Infrastructure Online Certificate Status Protocol -
OCSP, June 2013, http://tools.ietf.org/html/rfc6960
5. Oracle, Java™ Secure Socket Extension (JSSE) Reference Guide, http://docs.oracle.com/javase/7/
docs/technotes/guides/security/jsse/JSSERefGuide.html
6. E. Rescorla, HTTP Over TLS, May 2000, http://tools.ietf.org/html/rfc2818

152 Chapter 6
and key and trust managers required to establish a connection, but JSSE
API users never directly interact with them, only with the respective engine
classes. Let’s briefly review the key classes and interfaces in the JSSE API, as
well as how they relate to each other.
Secure Sockets
JSSE supports both stream-based, blocking I/O using sockets and NIO
(New I/O) channel-based, nonblocking I/O. The central class for stream-
based communication is javax.net.ssl.SSLSocket, which is created either by
an SSLSocketFactory or by calling the accept() method of the SSLServerSocket
class. In turn, SSLSocketFactory and SSLServerSocketFactory instances are created
by calling the appropriate factory methods of the SSLContext class. SSL socket
factories encapsulate the details of creating and configuring SSL sockets,
including authentication keys, peer certificate validation strategies, and
enabled cipher suites. Those details are typically common for all SSL sockets
that an application uses and are configured when initializing the applica-
tion’s SSLContext. They are then passed to all SSL socket factories created by
the shared SSLContext instance. If an SSLContext is not explicitly configured,
it uses the system defaults for all SSL parameters.
Nonblocking SSL I/O is implemented in the javax.net.ssl.SSLEngine
class. This class encapsulates an SSL state machine and operates on byte
buffers supplied by its clients. While SSLSocket hides much of the complexity
of SSL, in order to offer greater flexibility, SSLEngine leaves I/O and threading
to the calling application. Therefore, SSLEngine clients are expected to have
some understanding of the SSL protocol. SSLEngine instances are created
directly from an SSLContext and inherit its SSL configuration, just like SSL
socket factories.
Peer Authentication
Peer authentication is an integral part of the SSL protocol and relies on
the availability of a set of trust anchors and authentication keys. In JSSE,
peer authentication configuration is provided with the help of the KeyStore,
KeyManagerFactory, and TrustManagerFactory engine classes. A KeyStore repre-
sents a storage facility for cryptographic keys and certificates and can be
used to store both trust anchors certificates, and end entity keys along with
their associated certificates. KeyManagerFactory and TrustManagerFactory create
KeyManagers or TrustManagers, respectively, based on a specified authentication
algorithm. While implementations based on different authentication strate-
gies are possible, in practice SSL uses only a X.509-based PKI (PKIX)7 for
authentication, and the only algorithm supported by those factory classes
is PKIX (aliased to X.509). An SSLContext can be initialized with a set of
7. D. Cooper et al., Internet X.509 Public Key Infrastructure Certificate and Certificate Revocation
List (CRL) Profile, May 2008, http://tools.ietf.org/html/rfc5280

Network Security and PKI 153
KeyManager and TrustManager instances by calling the following method. All
parameters are optional, and if null is specified, the system default is used
(see Listing 6-3).
void init(KeyManager[] km, TrustManager[] tm, SecureRandom random);
Listing 6-3: SSLContext initialization method
A TrustManager determines whether the presented peer authentication
credentials should be trusted. If they are, the connection is established; if
not, the connection is terminated. In the context of PKIX, this translates to
validating the certificate chain of the presented peer certificate based on
the configured trust anchors. This is also reflected in the X509TrustManager
interface JSSE uses (see Listing 6-4):
void checkClientTrusted(X509Certificate[] chain, String authType);
void checkServerTrusted(X509Certificate[] chain, String authType);
X509Certificate[] getAcceptedIssuers();
Listing 6-4: X509TrustManager interface methods
Certificate chain validation is performed using the system Java
Certification Path API (or CertPath API) implementation,8 which is
responsible for building and validating certificate chains. While the API
has a somewhat algorithm-independent interface, in practice it’s closely
related to PKIX and implements the chain building and validation algo-
rithms defined in PKIX standards. The default PKIX TrustManagerFactory
implementation can create an X509TrustManager instance that preconfigures
the underlying CertPath API classes with the trust anchors stored in a
KeyStore object.
The KeyStore object is typically initialized from a system keystore
file referred to as a trust store. When more fine-grained configuration is
required, a CertPathTrustManagerParameters instance that contains detailed
CertPath API parameters can be used to initialize the TrustManagerFactory
as well. When the system X509TrustManager implementation cannot be con-
figured as required using the provided APIs, a custom instance can be
created by implementing the interface directly, possibly delegating base
cases to the default implementation.
A KeyManager determines which authentication credentials to send to the
remote host. In the context of PKIX, this means selecting the client authenti-
cation certificate to send to an SSL server. The default KeyManagerFactory can
create a KeyManager instance that uses a KeyStore to search for client authen-
tication keys and related certificates. Just as with TrustManagers, the concrete
interfaces, X509KeyManager (shown in Listing 6-5) and X509ExtendedKeyManager
8. Oracle, Java™ PKI Programmer’s Guide, http://docs.oracle.com/javase/7/docs/technotes/guides/
security/certpath/CertPathProgGuide.html

154 Chapter 6
(which allows for connection-specific key selection), are PKIX-specific and
select a client certificate based on the list of trusted issuers that the server
has provided. If the default KeyStore -backed implementation is not suffi-
ciently flexible, a custom implementation can be provided by extending the
abstract X509ExtendedKeyManager class.
String chooseClientAlias(String[] keyType, Principal[] issuers, Socket socket);
String chooseServerAlias(String keyType, Principal[] issuers, Socket socket);
X509Certificate[] getCertificateChain(String alias);
String[] getClientAliases(String keyType, Principal[] issuers);
PrivateKey getPrivateKey(String alias);
String[] getServerAliases(String keyType, Principal[] issuers);
Listing 6-5: X509KeyManager interface
In addition to support for “raw” SSL sockets, JSSE also provides
support for HTTPS with the HttpsURLConnection class. HttpsURLConnection
uses the default SSLSocketFactory to create secure sockets when opening
a connection to a web server. If additional SSL configuration such as
specifying app-private trust anchors or authentication keys is required,
the default SSLSocketFactory can be replaced for all HttpsURLConnection
instances by calling the static setDefaultSSLSocketFactory() method.
Alternatively, you can configure the socket factory for a particular
instance by calling its setSSLSocketFactory() method.
Hostname Verification
While SSL verifies server identity by checking its certificate, the protocol
does not mandate any hostname verification, and when using raw SSL
sockets, the certificate subject is not matched against the server host-
name. The HTTPS standard does mandate such a check however, and
HttpsURLConnection performs one internally. The default hostname verifica-
tion algorithm can be overridden by assigning a HostnameVerifier instance
to the class or on a per-instance basis. The verify() callback it needs to
implement is shown in Listing 6-6. The SSLSession class used in the call-
back encapsulates details about the current SSL connection, including
selected protocol and cipher suite, local and peer certificate chains, and
peer hostname and connection port number.
boolean verify(String hostname, SSLSession session);
Listing 6-6: HostnameVerifier hostname verification callback
We have discussed the major classes and interfaces that form the JSSE
API and introduced how they related to each other. Their relationships can
be visualized as shown in Figure 6-2.

Network Security and PKI 155
Key Material Trust Anchors
KeyManagerFactory TrustManagerFactory
KeyManagerTrustManager
SSLContext
SSLSocketFactorySSLServerSocketFactory
SSLServerSocket
SSLSocket SSLSocket
SSLSession
SSLEngine
SecureRandom
I/O
Custom
KMF
Custom
TMF
I/O
Figure 6-2: JSSE classes and their relationships
Android JSSE Implementation
Android comes with two JSSE providers: the Java-based HarmonyJSSE and
the AndroidOpenSSL provider, which is implemented largely in native code
bridged to the public Java API using JNI. HarmonyJSSE builds on Java sockets
and JCA classes in order to implement SSL, while AndroidOpenSSL imple-
ments most of its functionality by using OpenSSL library calls. As discussed
in Chapter 5, AndroidOpenSSL is the preferred JCA provider in Android,
and it also provides the default SSLSocketFactory and SSLServerSocketFactory
implementations that are returned by SSLSocketFactory.getDefault() and
SSLServerSocketFactory.getDefault(), respectively.

156 Chapter 6
Both JSSE providers are part of the core Java library (found in core.jar
and libjavacore.so), and the native part of the AndroidOpenSSL provider
is compiled into libjavacrypto.so. HarmonyJSSE provides only SSLv3.0 and
TLSv1.0 support, while AndroidOpenSSL supports TLSv1.1 and TLSv1.2
as well. While the SSL socket implementation is different, both providers
share the same TrustManager and KeyManager code.
NOTE The HarmonyJSSE provider is still available in Android 4.4, but it is considered
deprecated and is not actively maintained. It may be removed in future Android
versions.
In addition to current TLS protocol versions, the OpenSSL-based
provider supports the Server Name Indication (SNI) TLS extension (defined
in RFC 3546 9), which allows SSL clients to specify the intended hostname
when connecting to servers hosting multiple virtual hosts. SNI is used by
default when establishing a connection using the HttpsURLConnection class
in Android 3.0 and later versions (version 2.3 has partial SNI support).
However, SNI is not supported when using the Apache HTTP client library
bundled with Android (in the org.apache.http package).
Before Android 4.2, the HTTP stack in Android’s core Java library,
including HttpsURLConnection, was based on Apache Harmony code. In
Android 4.2 and later, the original implementation is replaced with
Square’s HTTP & SPDY client library, OkHttp.10
Certificate Management and Validation
Android’s JSSE implementations mostly conform to the JSSE API specifica-
tion, but there are some notable differences as well. The biggest one is how
Android handles the system trust store. In Java SE JSSE implementations,
the system trust store is a single keystore file (typically called cacerts) whose
location can be set with the javax.net.ssl.trustStore system property, but
Android follows a different strategy. Recent versions of Android also pro-
vide modern certificate validation features such as blacklisting and pinning
that are not specified in the original JSSE architecture document. We will
discuss Android’s trust store implementation and advanced certificate vali-
dation features in the next sections.
System Trust Stores
As discussed in “Peer Authentication” on page 152, JSSE implementa-
tions use a trust store to authenticate connection peers. While SSL does
support encryption-only, non-authenticated connections, in practice raw
SSL clients usually perform server authentication and it is mandatory for
HTTPS. When a per-application trust store is not explicitly provided, JSSE
9. S. Blake-Wilson et al., Transport Layer Security (TLS) Extensions, June 2003, http://tools.ietf.org/
html/rfc3546
10. Square, Inc., OkHttp: An HTTP & SPDY client for Android and Java applications,
http://square.github.io/okhttp/

Network Security and PKI 157
uses the system trust store to perform SSL peer authentication. The system
trust store is especially important for generic Internet clients such as brows-
ers, because they typically do not manage their own trust store on mobile
devices (desktop versions of Mozilla clients do maintain private credential
and certificate stores, but not on Android). Because system trust stores are
central to the security of all applications that use JSSE, we will look into
their implementation in detail.
Until Android 4.0, the OS trust store was hardwired into the system and
users had no control over it whatsoever. Certificates bundled in the store
were chosen solely by the device manufacturer or carrier. The only way to
make changes was to root your device, repackage the trusted certificates
file, and replace the original one—a procedure that’s obviously not too
practical, and a major obstacle to using Android in enterprise PKIs. In the
wake of the compromise of multiple major CAs, third-party tools that could
change the system-trusted certificates were developed, but using them still
required a rooted phone. Fortunately, Android 4.0 made managing the
trust store much more flexible, and gave the much-needed control over who
to trust to the user.
Android 4.x System Trust Store
Prior to Android 4.0, the system trust store was a single file: /system/etc/
security/cacerts.bks, a Bouncy Castle (one of the cryptographic providers
used in Android; see Chapter 5 for details) native keystore file. It contained
all the CA certificates that Android trusts and was used both by system apps
such as the email client and browser, and third-party apps. Because it resided
on the read-only system partition, it could not be changed even by system
applications.
Android 4.0 introduced a new, more flexible TrustedCertificateStore
class that allows for maintaining built-in trust anchors and adding new
ones. It still reads system-trusted certificates from /system/etc/security/, but
adds two new, mutable locations to store CA certificates in /data/misc/
keychain/: the cacerts-added/ and cacerts-removed/ directories. Listing 6-7
shows what their contents looks like:
# ls -l /data/misc/keychain
drwxr-xr-x system system cacerts-added
drwxr-xr-x system system cacerts-removed
-rw-r--r-- system system 81 pubkey_blacklist.txt
-rw-r--r-- system system 7 serial_blacklist.txt
# ls -l /data/misc/keychain/cacerts-added
-rw-r--r-- system system 653 30ef493b.0u
# ls -l /data/misc/keychain/cacerts-removed
-rw-r--r-- system system 1060 00673b5b.0v
Listing 6-7: Contents of the cacerts-added/ and cacerts-removed/ directories
Each file in these directories contains one CA certificate. The file
names may look familiar: they are based on the MD5 hashes of the CA
subject names (computed using OpenSSL’s X509_NAME_hash_old() function),

158 Chapter 6
as used in mod_ssl and other cryptographic software implemented using
OpenSSL. This makes it easy to quickly find certificates without scanning
the entire store by directly converting the DN to a filename.
Also note the permissions of the
directories: 0775 system system guaran-
tees that only the system user is able to
add or remove certificates, but anyone
can read them. As expected, adding
trusted CA certificates is implemented
by storing the certificate in the cacerts-
added/ directory under the appropriate
file name. The certificate stored in the
30ef493b.0 file (u in Listing 6-7) will
also be displayed in the User tab of
the Trusted credentials system applica-
tion (Settings4Security4Trusted
credentials).
But how are OS-trusted certificates
disabled? Because preinstalled CA cer-
tificates are still stored in /system/etc/
security/ (which is mounted read-only), a
CA is marked as not trusted by placing
a copy of its certificate in the cacerts-
removed/ directory. Re-enabling is per-
formed by simply removing the file. In
this particular case, 00673b5b.0 (v in
Listing 6-7) is the thawte Primary Root
CA, shown as disabled in the System tab
(see Figure 6-3).
Using the System Trust Store
TrustedCertificateStore is not part of the Android SDK, but it has a wrapper
(TrustedCertificateKeyStoreSpi) accessible via the standard JCA KeyStore API
that applications can use (see Listing 6-8).
KeyStore ks = KeyStore.getInstance("AndroidCAStore");u
ks.load(null, null);v
Enumeration<String> aliases = ks.aliases();w
while (aliases.hasMoreElements()) {
String alias = aliases.nextElement();
Log.d(TAG, "Certificate alias: " + alias);
X09Certificate cert = (X509Certificate) ks.getCertificate(alias);x
Log.d(TAG, "Subject DN: " + cert.getSubjectDN().getName());
Log.d(TAG, "Issuer DN: " + cert.getIssuerDN().getName());
}
Listing 6-8: Listing trusted certificates using AndroidCAStore
Figure 6-3: Preinstalled CA certifi-
cate marked as untrusted

Network Security and PKI 159
To get a list of the current trusted certificates, we:
1. Create a KeyStore instance by specifying AndroidCAStore as the type
parameter u.
2. Call its load() method and pass null for both parameters v.
3. Get a list of certificate aliases with the aliases() method w.
4. Pass each alias to the getCertificate() method to get the actual certifi-
cate object x.
When you examine the output of this code, you’ll notice that certificate
aliases start with either the user: (for user-installed certificates) or system:
(for preinstalled ones) prefix, followed by the subject’s hash value.
The AndroidCAStore KeyStore implementation lets us easily access the
OS’s trusted certificates, but a real-world application would be more inter-
ested in whether it should trust a particular server certificate, not what the
current trust anchors are. Android makes this very easy by integrating the
TrustedCertificateKeyStoreSpi with its JSSE implementation. The default
TrustManagerFactory uses it to get a list of trust anchors, and thus automati-
cally validates server certificates against the system’s currently trusted cer-
tificates. Higher-level code that uses HttpsURLConnection or HttpClient (both
built on top of JSSE) should thus work without needing to worry about
creating and initializing a custom SSLSocketFactory.
In order to install our own CA certificate (such as one from a pri-
vate enterprise CA) into the system trust store, we need to convert it
to DER (binary) format and copy it to the device. On versions prior to
Android 4.4.1, the certificate file needs to be copied to the root of exter-
nal storage with a .crt or .cer extension. Android 4.4.1 and later uses the
storage access framework introduced in Android 4.4 and allow you to
select a certificate file from any storage backend that the device can
access, including integrated cloud providers like Google Drive. We can
then import the certificate using the system Settings app by selecting
Settings4Personal4Security4Credential storage4Install from storage.
A list of available certificate files is displayed and tapping on a filename
brings up the import dialog, as shown in Figure 6-4.
The imported certificate will be displayed in the User tab of the Trusted
credentials screen (see Figure 6-5). You can view certificate details by tap-
ping the list entry, and remove it by scrolling down to the bottom of the
details screen and tapping the Remove button.
NOTE If the certificate is successfully imported, the certificate file in external storage file will
be deleted on versions prior to Android 4.4.1.

160 Chapter 6
Beginning with Android 4.4, the system displays a notification that
warns the user that network activity could be monitored if there are any
user-installed trusted certificates. SSL connection monitoring can be
accomplished by using an intercepting proxy server that returns automati-
cally generated certificates for the sites that the user is trying to access.
As long as those certificates are issued by a CA that Android trusts (such
as the one manually installed in the trust store), most applications would
not know the difference between a connection to the original host and
the intercepting proxy (unless they are have pinned the target host; see
“Certificate Pinning” on page 168 for details). A warning icon is shown
in Quick Settings and next to the Security preference entry in the system
Settings. When tapped, the notification displays the warning message
shown in Figure 6-6.
Figure 6-4: CA certificate import dialog Figure 6-5: User-imported CA
certificates

Network Security and PKI 161
Figure 6-6: Network monitoring warning
in Android 4.4
System Trust Store APIs
Third-party applications can prompt the user to import a needed cer-
tificate into the system trust store by using the KeyChain API, introduced
in Android 4.0 as well. (We’ll discuss the KeyChain API in Chapter 7.)
Beginning with Android 4.4, device administrator applications can
silently install CA certificates in the system trust store if they hold the
MANAGE_CA_CERTIFICATES system permission. (We’ll introduce device
administration and related APIs in Chapter 9.)
Once a CA certificate is imported into the system trust store, we can
use it to validate certificates using the JSSE TrustManager API as shown in
Listing 6-9.
// Certificate chain including the end entity (server) certificate
// and any intermediate issuers.
X509Certificate[] chain = { endEntityCert };
TrustManagerFactory tmf = TrustManagerFactory.getInstance("X509");u
tmf.init((KeyStore) null);v

162 Chapter 6
TrustManager[] tms = tmf.getTrustManagers();
X509TrustManager xtm = (X509TrustManager) tms[0];w
Log.d(TAG, "checking chain with " + xtm.getClass().getName());
xtm.checkServerTrusted(chain, "RSA");x
Log.d(TAG, "chain is valid");
Listing 6-9: Initializing a TrustManager with system trust anchors and validating a certificate
To do so, we first get the system PKIX (aliased to X509) TrustManagerFactory
(u in Listing 6-9); initialize it using the system trust store by passing null to
its init(KeyStore ks) method v; then get the first TrustManager implementation
for the specified algorithm (there is usually only one, but do check in produc-
tion code) and cast it to the validation algorithm-specific X509TrustManager
interface w. Finally, we pass the certificate chain and the key exchange algo-
rithm used (RSA, DHE_DSS, and so on) to the checkServerTrusted() method x.
If a chain leading to a trusted CA certifi cate can be built, validation passes
and the method returns. If any of the certificates in the chain is expired or
invalid, or if the chain does not lead to a system trust anchor, the method
will throw a java.security.cert.CertificateException (or one of its subclasses).
Connections established with SSLSocket and HttpsURLConnection perform similar
validation automatically.
This works pretty well, but there is one major problem with this code: it
does not check revocation. Android’s default TrustManager explicitly turns off
revocation when validating the certificate chain. So even if the certificate
had a CRL Distribution Point (CDP) extension, pointing to a valid CRL, or
the OCSP responder URI was included in the Authority Information Access
(AIA) extension, and the certificate was actually revoked, it would still vali-
date in Android. What’s missing here is online revocation checking: the ability
to dynamically fetch, cache, and update revocation information as needed,
based on information available in certificate extensions.
Certificate Blacklisting
Instead of using online revocation checks, Android relies on CA and end
entity certificate blacklisting, which we will discuss in this section. Certificate
blacklisting refers to the explicit blocking of certain certificates by verifiers,
regardless of their state in the PKI’s repository. Blacklisting is not part of
the original PKI philosophy and is not defined in any of the related stan-
dards. So why is it necessary in practice?
In a perfect world, a working PKI takes care of issuing, distributing,
and revoking certificates as necessary. All that a system needs to verify the
identities of previously unknown machines and users are a few trust anchor
certificates: any end entity certificates encountered will be issued by one
of the trusted CAs, or one of their subordinate issuing CAs (sub-CA). In
practice, though, there are a number of issues, mostly related to handling
compromised keys. End entity certificates have a relatively short validity
period (usually one year), which limits the time a compromised key can be
exploited. However, CA certificates have very long validity (20 or more years
Network Security and PKI 163
is typical) and because CAs are implicitly trusted, a key compromise may
go undetected for quite some time. Recent breaches in top-level CAs have
shown that CA key compromise is not a theoretical problem, and the conse-
quences of a CA breach can be quite far-reaching.
Handling CA Key Compromises
Probably the biggest PKI issue is that revocation of root certificates is not
really supported. Most OSes and browsers come with a preconfigured set of
trusted CA certificates (dozens of them!) and when a CA certificate is com-
promised, there are two main ways to handle it: tell users to remove it from
the trust store, or issue an emergency update that removes the affected cer-
tificate. Expecting users to handle this is obviously unrealistic, so that leaves
the second option.
Windows modifies OS trust anchors by distributing patches via Windows
Update, and browser vendors simply release a new patch version. However,
even if an update removes a CA certificate from the system trust store, a
user can still install it again, especially when presented with a “do this, or
you can’t access this site” ultimatum.
To make sure removed trust anchors are not brought back, the hashes
of their public keys are added to a blacklist and the OS or browser rejects
them even if they are in the user trust store. This approach effectively
revokes CA certificates (within the scope of the OS or browser, of course)
and addresses PKI’s inability to handle compromised trust anchors. However,
it is not exactly ideal because even an emergency update takes some time to
prepare, and after it’s released, some users won’t update right away no mat-
ter how often they’re nagged about it. (Fortunately, CA compromises are
relatively rare and widely publicized, so it seems to work well in practice—
for now, at least.) Other approaches have been proposed as well, but most
are not widely used. We discuss some of the proposed solutions in “Radical
Solutions” on page 167.
Handling End Entity Key Compromises
While CA breaches are fairly uncommon, end entity (EE) key compromise
occurs much more often. Whether due to a server breach, stolen laptop,
or a lost smart card, these compromises occur daily. Fortunately, modern
PKI systems are designed with this in mind and CAs can revoke certificates
and publish revocation information in the form of CRLs, or provide online
revocation status using OCSP.
Unfortunately, this doesn’t work too well in the real world. Revocation
checking generally requires network access to a machine different from the
one we are trying to connect to, and as such has a fairly high failure rate.
To mitigate this, most browsers try to fetch fresh revocation information,
but if that effort fails for some reason, they simply ignore the error (soft-
fail), or at best show some visual indication that revocation information is
not available.

164 Chapter 6
NOTE To address this problem, Google Chrome disables online revocation checks11 altogether,
and now uses its update mechanism to proactively push revocation information to
browsers, without requiring an application update or restart.12 Thus Chrome can
have an up-to-date local cache of revocation information, which makes certificate val-
idation both faster and more reliable. This is can be considered yet another blacklist
(Chrome calls it a CRL set), this time based on information published by each CA.
The browser vendor effectively managing revocation data on the user’s behalf is quite
novel; not everyone thinks it’s a good idea, but it has worked well so far.
An alternative to directly pushing revocation information as part of
browser updates is OCSP stapling, formerly known as the TLS Certificate Status
Request extension.13 Instead of requiring clients to issue an OCSP request
for the server certificate, the relevant response is included (“stapled”) with
the SSL handshake via the Certificate Status Request extension response.
Because the response is signed by the CA, the client can trust it just as if
it had fetched it directly from the CA’s OCSP server. If the server did not
include an OCSP response in the SSL handshake, the client is expected to
fetch one itself. OCSP stapling is supported by all major HTTP servers, but
browser support is still patchy, especially on mobile versions where latency is
an issue.
Android Certificate Blacklisting
As we learned in “Android 4.x System Trust Store” on page 157, Android 4.0
added a management UI, as well as an SDK API, that allows for adding and
removing trust anchors to the system trust store. This didn’t quite solve PKI’s
number one problem, though: aside from the user manually disabling a com-
promised trust anchor, an OS update was still required to remove a compro-
mised CA certificate. Additionally, because Android does not perform online
revocation checks when validating certificate chains, there was no way to
detect compromised end entity certificates, even if they have been revoked.
To solve this problem, Android 4.1 introduced certificate blacklists that
can be modified without requiring an OS update. There are now two sys-
tem blacklists:
• A public key hash blacklist (to handle compromised CAs)
• A serial number blacklist (to handle compromised EE certificates)
The certificate chain validator component takes those two lists into
consideration when verifying websites or user certificates. Let’s look at how
this is implemented in a bit more detail.
11. Adam Langley, Revocation checking and Chrome’s CRL, Feb 2012, https://www.imperialviolet
.org/2012/02/05/crlsets.html
12. Online revocation checks can still be enabled by setting the EnableOnlineRevocationChecks
option to true (default is false).
13. D. Eastlake 3rd, Transport Layer Security (TLS) Extensions: Extension Definitions, Section 8,
January 2011, http://tools.ietf.org/html/rfc6066#section-8

Network Security and PKI 165
Android uses a content provider to store OS settings in a system data-
base. Some of those settings can be modified by third-party apps holding
the necessary permissions, while some are reserved for the system and can
only be changed in the system Settings, or by another system application.
The settings reserved for the system are known as secure settings. Android 4.1
adds two new secure settings under the following URIs:
• content://settings/secure/pubkey_blacklist
• content://settings/secure/serial_blacklist
As the names imply, the first one stores public key hashes of com-
promised CAs and the second one a list of EE certificate serial numbers.
Additionally, the system server now starts a CertBlacklister component that
registers itself as a ContentObserver for the two blacklist URIs. Whenever a new
value is written to any of the blacklist secure settings, the CertBlacklister is
notified and writes the value to a file on disk. The files are comprised of a
comma-delimited list of hex-encoded public key hashes or certificate serial
numbers. The files are:
• Certificate blacklist: /data/misc/keychain/pubkey_blacklist.txt
• Serial number blacklist: /data/misc/keychain/serial_blacklist.txt
Why write the files to disk when they are already available in the set-
tings database? Because the component that actually uses the blacklists
is a standard Java CertPath API class that doesn’t know anything about
Android and its system databases. The certificate path validator class,
PKIXCertPathValidatorSpi, is part of the Bouncy Castle JCA provider modi-
fied to handle certificate blacklists, which are an Android-specific feature
and not defined in the standard CertPath API. The PKIX certificate vali-
dation algorithm that the class implements is rather complex, but what
Android 4.1 adds is fairly straightforward:
• When verifying an EE (leaf) certificate, check to see if its serial number
is in the serial number blacklist. If so, return the same error (exception)
as if the certificate has been revoked.
• When verifying a CA certificate, check to see if the hash of its public
key is in the public key blacklist. If so, return the same error as if the
certificate has been revoked.
NOTE Using the unqualified serial number to index blacklisted EE certificates could be a
problem if two or more certificates from different CAs happen to have the same serial
number. In this case, blacklisting just one of the certificates will effectively blacklist
all others with the same serial number. In practice, though, most public CAs use long
and randomly generated serial numbers so the probability of collision is quite low.
The certificate path validator component is used throughout the whole
system, so blacklists affect applications that use HTTP client classes, as well
as the native Android browser and WebView. As mentioned above, modifying

166 Chapter 6
the blacklists requires system permissions, so only core system apps can
change it. There are no apps in the AOSP source that actually call those
APIs, but a good candidate to manage blacklists are the Google services
components, available on “Google Experience” devices (that is, devices
with the Play Store client preinstalled). These manage Google accounts
and access to Google services, and provide push-style notifications via
Google Client Messaging (GCM). Because GCM allows for real-time
server-initiated push notifications, it’s a safe bet that those will be used
to trigger certificate blacklist updates.
Reexamining the PKI Trust Model
Android has taken steps to make its trust store more flexible by allowing
on-demand modification of both trust anchors and certificate blacklists
without requiring a system update. While certificate blacklisting does make
Android more resilient to some PKI-related attacks and vulnerabilities, it
doesn’t quite solve all problems related to using certificates issued by public
CAs. We present some of those problems and the proposed solutions next.
We then conclude our discussion of PKI and SSL with a description of
Android’s implementation of one of those solutions: certificate pinning.
Trust Problems in Today’s PKI
In the highly unlikely case that you haven’t heard about it, the trustworthi-
ness of the existing public CA model has been severely compromised in
recent years. It has been suspect for a while, but recent high profile CA secu-
rity breaches have brought this problem into the spotlight. Attackers have
managed to issue certificates for a wide range of sites, including Windows
Update servers and Gmail. Although not all were used (or at least they were
not detected) in real attacks, the incidents have shown just how much of cur-
rent Internet technology depends on certificates.
Fraudulent certificates can be used for anything from installing malware
to spying on Internet communication, all while fooling users into think-
ing that they are using a secure channel or installing a trusted executable.
Unfortunately, better security for CAs is not a solution because major CAs
have willingly issued hundreds of certificates for unqualified names such
as localhost, webmail, and exchange.14 Certificates issued for unqualified host
names can be used to launch a MITM attack against clients that accesses
internal servers using their unqualified name, thus making it easy to eaves-
drop on internal corporate traffic. And, of course, there is also the matter of
compelled certificate creation, where a government agency could compel a
CA to issue a false certificate to be used for intercepting secure traffic.
Clearly the current PKI system, which is largely based on a preselected
set of trusted CAs (whose certificates are preinstalled as trust anchors),
is problematic, but what are some of the actual problems? There are dif-
ferent takes on this, but for starters, there are too many public CAs. The
14. Electronic Frontier Foundation, Unqualified Names in the SSL Observatory, April 2011,
https://www.eff.org/deeplinks/2011/04/unqualified-names-ssl-observatory

Network Security and PKI 167
Electronic Frontier Foundation’s SSL Observatory project15 has shown that
more than 650 public CAs are trusted by major browsers. Recent Android
versions ship with more than 100 trusted CA certificates and until version 4.0,
the only way to remove a trusted certificate was through a vendor-initiated
OS update.
Additionally, there is generally no technical restriction on which cer-
tificates CAs can issue. As the Comodo and DigiNotar attacks, as well as
the recent ANNSI16 intermediate CA incident, have shown, anyone can
issue a certificate for *.google.com (name constraints don’t apply to root
CAs and don’t really work for a public CA). Furthermore, because CAs
don’t publicize the certificates they have issued, there is no way for site
operators (in this case, Google) to know when someone issues a new, pos-
sibly fraudulent certificate for one of their sites and take appropriate action
(certificate transparency standards17 aim to address this). In short, with
the current system, if any of the built-in trust anchors are compromised, an
attacker could issue a certificate for any site, and neither users accessing it
nor the site’s owner would notice.
Radical Solutions
Proposed solutions range from radical—scrap the whole PKI idea alto-
gether and replace it with something new and better (DNSSEC is a usual
favorite); to moderate—use the current infrastructure but do not implicitly
trust CAs; to evolutionary—maintain compatibility with the current system
but extend it in ways that limit the damage of CA compromise.
Unfortunately, DNSSEC is still not universally deployed, although the
key TLD domains have already been signed. Additionally, it is inherently
hierarchical—with country top-level domains controlled by the respective
countries—and actually more rigid than PKI, so it doesn’t really fit the bill
too well. Improving the current PKI situation is an area of active research,
and other viable radical solutions have yet to emerge.
Moving toward the moderate side, the SSH model has also been
suggested (sometimes called Trust on First Use, or TOFU). In this model,
no sites or CAs are initially trusted, and users decide which site to trust
on first access. Unlike SSH however, the number of sites that you access
directly or indirectly (via CDNs, embedded content, and so on) is virtually
unlimited, and user-managed trust is quite unrealistic.
Convergence and Trust Agility
In a similar vein but much more practical is Convergence.18 Convergence is
a system based on the idea of trust agility, defined as “the ability to easily
15. Electronic Frontier Foundation, The EFF SSL Observatory, https://www.eff.org/observatory
16. Agence nationale de la sécurité des systèmes d’information, French Network and Information
Security Agency
17. B. Laurie, A. Langley, and E. Kasper, Certificate Transparency, June 2013, http://tools.ietf.org/
html/rfc6962
18. Thoughtcrime Labs, Convergence, http://convergence.io/

168 Chapter 6
choose who you trust and to revise that decision at any time.” It both abol-
ishes the browser (or OS) preselected trust anchor set, and recognizes that
users cannot be relied on to independently make trust decisions about all
the sites they visit. Trust decisions are delegated to a set of notaries that can
vouch for a site by confirming that the certificate you receive from a site is
one they have seen before. If multiple notaries point out that the same cer-
tificate as correct, users can be reasonably sure that it is genuine and there-
fore trustworthy.
Convergence is not a formal standard, but a working implementation
has been released, including a Firefox plugin (client) and server-side notary
software. While this system is promising, the number of available notaries
is currently limited, and Google has publicly stated that it won’t add it to
Chrome. Additionally, it cannot currently be implemented as a browser
extension, because Chrome does not allow third-party extensions to over-
ride the default certificate validation module.
Certificate Pinning
That leads us to the current evolutionary solutions, which have been deployed
to a fairly large user base, mostly courtesy of the Chrome browser. One is
certificate blacklisting, which we already discussed, and the other is certifi-
cate pinning.
Certificate pinning (or more accurately, public key pinning) takes a con-
verse to the blacklisting approach: it whitelists the keys that are trusted to
sign certificates for a particular site. Pinning was introduced in Google
Chrome version 13 in order to limit the CAs that can issue certificates for
Google properties. It is implemented by maintaining a list of public keys
that are trusted to issue certificates for a particular DNS name. The list is
consulted when validating the certificate chain for a host, and if the chain
doesn’t include at least one of the whitelisted keys, validation fails. In prac-
tice, the browser keeps a list of SHA-1 hashes of the SubjectPublicKeyInfo
(SPKI) field of trusted certificates. Pinning the public keys instead of the
actual certificates allows for updating host certificates without breaking
validation and requiring pinning information updates.
However, a hardcoded pin list doesn’t really scale and a couple of
new Internet standards have been proposed to help solve this scalability
problem: Public Key Pinning Extension for HTTP (PKPE)19 by Google
and Trust Assertions for Certificate Keys (TACK)20 by Moxie Marlinspike.
The first one is simpler and proposes a new HTTP header (Public-Key-Pin,
or PKP) that holds pinning information about a host’s certificate. The
header value can include public key hashes, pin lifetime, and a flag that
specifies whether pinning should be applied to subdomains of the current
host. Pinning information (or simply pins) is cached by the browser and
used when making trust decisions until it expires. Pins are required to be
19. C. Evans, C. Palmer, and R. Sleevi, Public Key Pinning Extension for HTTP, August 7, 2014,
http://tools.ietf.org/html/draft-ietf-websec-key-pinning-20
20. M. Marlinspike, Trust Assertions for Certificate Keys, January 7, 2013, http://tack.io/draft.html

Network Security and PKI 169
delivered over a secure (SSL) connection, and the first connection that
includes a PKP header is implicitly trusted (or optionally validated against
pins built into the client). The protocol also supports an endpoint to
report failed validations via the report-uri directive and allows for a non-
enforcing mode (specified with the Public-Key-Pins-Report-Only header),
where validation failures are reported but connections are still allowed.
This makes it possible to notify host administrators about possible MITM
attacks against their sites, so that they can take appropriate action.
The TACK proposal, on the other hand, is somewhat more complex
and defines a new TLS extension (also called TACK) that carries pinning
information signed with a dedicated TACK key. TLS connections to a pinned
hostname require the server to present a “tack” containing the pinned key
and a corresponding signature over the TLS server’s public key. Thus, both
pinning information exchange and validation are carried out at the TLS
layer. In contrast, PKPE uses the HTTP layer (over TLS) to send pinning
information to clients, but also requires validation to be performed at the
TLS layer, dropping the connection if validation against the pins fails.
Now that we have an idea how pinning works, let’s see how it’s imple-
mented on Android.
Certificate Pinning in Android
Pinning is one of the many security enhancements introduced in Android 4.2.
The OS doesn’t come with any built-in pins, but instead reads them from a
file in the /data/misc/keychain/ directory (where user-added certificates and
blacklists are stored). The file is simply called pins and is in the following
format (see Listing 6-10):
hostname=enforcing|SPKI SHA512 hash, SPKI SHA512 hash,...
Listing 6-10: System pins file format
Here, enforcing is either true or false and is followed by a list of SPKI
SHA-512 hashes separated by commas. Note that there is no validity period,
so pins are valid until deleted. The file is used not only by the browser, but
system-wide by virtue of pinning being integrated in libcore. In practice, this
means that the default (and only) system X509TrustManager implementation
(TrustManagerImpl) consults the pin list when validating certificate chains.
But there’s a twist: the standard checkServerTrusted() method doesn’t
consult the pin list. Thus, any legacy libraries that do not know about cer-
tificate pinning would continue to function exactly as before, regardless of
the contents of the pin list. This has probably been done for compatibility
reasons and is something to be aware of: running on Android 4.2 or above
doesn’t necessarily mean that you get the benefit of system-level certificate
pins. The pinning functionality is exposed to third-party libraries and apps
via the new X509TrustManagerExtensions SDK class. It has a single method,
checkServerTrusted() (full signature shown in Listing 6-11) that returns a
validated chain on success or throws a CertificateException if validation fails.

170 Chapter 6
List<X509Certificate> checkServerTrusted(X509Certificate[] chain, String authType, String host)
Listing 6-11: X509TrustManagerExtensions certificate validation method
The last parameter, host, is what the underlying implementation
(TrustManagerImpl) uses to search the pin list for matching pins. If one is
found, the public keys in the chain being validated will be checked against
the hashes in the pin entry for that host. If none matches, validation will
fail and you will get a CertificateException.
What part of the system uses the new pinning functionality then?
The default SSL engine (JSSE provider), namely the client handshake
(ClientHandshakeImpl), and SSL socket (OpenSSLSocketImpl) implementations
check their underlying X509TrustManager and if it supports pinning, they per-
form additional validation against the pin list. If validation fails, the con-
nection won’t be established, thus implementing pin validation on the TLS
layer as required by the standards discussed in the previous section.
The pins file is not written directly by the OS. Its updates are triggered
by a broadcast (android.intent.action.UPDATE_PINS) that contains the new pins
in its extras. The extras contain the path to the new pins file, its new ver-
sion (stored in /data/misc/keychain/metadata/version/), a hash of the current
pins, and a SH A512 with R SA signature over all the above. The receiver of the
broadcast (CertPinInstallReceiver) then verifies the version, hash, and signa-
ture, and if valid, atomically replaces the current pins file with new content
(the same procedure is used for updating the premium SMS numbers list).
Signing the new pins ensures that they can only by updated by whoever con-
trols the private signing key. The corresponding public key used for valida-
tion is stored as a system secure setting under the config_update_certificate key
(usually in the secure table of the /data/data/com.android.providers.settings/
databases/settings.db). (As of this writing, the pins file on Nexus devices con-
tains more than 40 pin entries, which cover most Google properties, includ-
ing Gmail, YouTube, and Play Store servers.)
Summary
Android builds on standard Java APIs such as JSSE and CertPath to imple-
ment SSL connections and the required authentication mechanisms. Most of
the secure sockets functionality is provided by the largely native, OpenSSL-
based JSSE implementation, while certificate validation and trust store man-
agement are implemented in Java. Android provides a shared system trust
store that can be managed via the Settings UI or the KeyStore API. All appli-
cations that use SSL or certificate validation APIs inherit the system trust
anchors, unless an app-specific trust store is explicitly specified. Certificate
validation in Android does not use online revocation checking but relies
on the system certificate blacklist to detect compromised CA or end entity
certificates. Finally, recent versions of Android support system-level certifi-
cate pinning in order to be able to constrain the set of certificates that are
allowed to issue a server certificate for a particular host.
7
CREDENTIAL STORAGE
The previous chapter introduced PKI and the chal-
lenges involved in managing trust. While the most
prevalent use of PKI is for authenticating the entity
you connect to (server authentication), it’s also used
to authenticate you to those entities (client authen-
ti cation). Client authentication is mostly found in
enterprise environments, where it is used for everything from desktop
logon to remotely accessing company servers. PKI-based client authenti-
cation requires the client to prove that it possesses an authentication key
(typically an RSA private key) by performing certain cryptographic opera-
tions that the server can verify independently. Therefore, the security of
client authentication relies heavily on protecting authentication keys from
unauthorized use.
Most operating systems provide a system service that applications can
use to securely store and access authentication keys without having to imple-
ment key protection themselves. Android has had such a service since ver-
sion 1.6, and it has improved significantly since Android 4.0.
172 Chapter 7
Android’s credential store can be used to store credentials for built-in
features such as Wi-Fi and VPN connectivity, as well as for third-party apps.
Apps can access the credential store via standard SDK APIs and use it to
manage their keys securely. Recent Android versions feature hardware-
backed key storage, which provides enhanced key protection. This chapter
discusses the architecture and implementation of Android’s credential
store and introduces the public APIs that it provides.
VPN and Wi-Fi EAP Credentials
Virtual Private Networks (VPNs) are the preferred way to offer remote access
to private enterprise services. We’ll discuss VPNs and related technologies
in more detail in Chapter 9, but simply put, a VPN allows a remote client
to join a private network by creating an encrypted tunnel between it and
a public tunnel endpoint. VPN implementations differ in their use of
tunneling technology, but all need to authenticate the client before they
establish a secure connection. While some VPNs use a shared key or pass-
word for authentication, enterprise solutions often rely on PKI-based client
authentication.
Extensible Authentication Protocol (EAP) is an authentication framework
frequently used in wireless networks and point-to-point (P2P) connections.
(EAP is discussed in more detail in Chapter 9.) Like VPN, EAP can use
many different authentication methods, but EAP-Transport Layer Security
(EAP-TLS) is preferred in enterprise environments, especially when a com-
pany PKI has already been deployed.
Authentication Keys and Certificates
In the case of both EAP-TLS and PKI-based VPNs, clients have an authen-
tication key and are issued a matching certificate, often by the company
certificate authority (CA). Keys are sometimes stored in a portable, tamper-
resistant device such as a smart card or USB token. This greatly increases
security because keys cannot be exported or extracted from the device and
thus authentication requires both physical possession of the token and the
knowledge of the associated PIN or passphrase.
When the security policy allows using authentication keys that are
not protected by a hardware device, keys and associated certificates are
typically stored in the standard PKCS#12 file format. Private keys stored
in PKCS#12 files are encrypted with a symmetric key derived from a user-
supplied password, and thus extracting the keys requires knowledge of the
password. Some applications use PKCS#12 files as secure containers and
only extract keys and certificates into memory when required, but typically
they’re imported into a system- or application-specific credential storage
before use. This is how Android works as well.

Credential Storage 173
The user-facing implementation
of importing credentials on Android
is rather simple: to import an authen-
tication key and related certificates,
users copy their PKCS#12 files (and, if
necessary, any related CA certificates)
to the device’s external storage (often
an SD card) and select Install from
storage from the Security system set-
tings screen. Android searches the
root of the external storage for match-
ing files (with the .pfx or .p12 exten-
sions) and presents an import dialog
(see Figure 7-1). If the correct pass-
word is supplied, keys are extracted
from the PKCS#12 file and imported
into the system credential store.
The System Credential Store
The system credential store is a system
service that encrypts imported cre-
dentials before storing them on disk.
The encryption key is derived from
a user-supplied password: a dedicated
credential store protection password
in pre-4.0 versions, or the device
unlock swipe pattern, PIN, or password in post-4.0 versions of Android.
Additionally, the credential store system service regulates access to stored
credentials and guarantees that only apps explicitly granted access can
access keys.
The original credential store was introduced in Android 1.6 and was
limited to storing VPN and Wi-Fi EAP credentials. Only the system—not
third-party apps—could access stored keys and certificates. Additionally,
the only supported way to import credentials was to go through the system
settings UI outlined in the previous section, and no public APIs for creden-
tial store management were available.
APIs for accessing the system credential store were first introduced
in Android 4.0. The system credential store was later extended to support
hardware-backed credential storage and to offer not only shared system
keys, but app-private keys as well. Table 7-1 shows a summary of the major
credential store enhancements added in each Android version. We’ll intro-
duce these enhancements and the related APIs in the following sections.
Figure 7-1: PKCS#12 file password
dialog

174 Chapter 7
Table 7-1: Credential Store Feature Progression
Android version API level Credential store changes
1.6 4 Added credential store for VPN and Wi-Fi.
4.0 14 Added public API for credential store (KeyChain API).
4.1 16 Added the ability to generate and use keys without
exporting them. Introduced keymaster HAL module and
initial support for hardware-backed RSA key storage.
4.3 18 Added support for generating and accessing app-
private keys using the AndroidKeyStore JCA provider,
and APIs to check whether the device supports
hardware-backed key storage for RSA keys.
4.4 19 Added ECDSA and DSA support to the
AndroidKeyStore JCA provider.
Credential Storage Implementation
We now know that Android can encrypt imported credentials and manage
access to them. Let’s see how this is implemented under the hood.
The keystore Service
Credential storage management in Android was originally implemented by
a single native daemon called keystore. Its functionality was initially limited
to storing arbitrary blobs in encrypted form and verifying the credential
store password, but it was extended with new features as Android evolved.
It offered a local socket-based interface to its clients, and each client was
responsible for managing their own state and socket connections. The key-
store daemon was replaced with a centralized Binder service in Android 4.3
in order to better integrate it with other framework services and facilitate
extension. Let’s see how this keystore service works.
The keystore service is defined in init.rc, as shown in Listing 7-1.
service keystore /system/bin/keystore /data/misc/keystore
class main
user keystore
group keystore drmrpc
Listing 7-1: keystore service definition in init.rc
As you can see, the keystore service runs as a dedicated keystore user and
stores its files in /data/misc/keystore/. Let’s peek into /data/misc/keystore/ first.
If you’re using a single-user device, such as a phone, you will only find a
single user_0/ directory inside the keystore/ directory (see Listing 7-2, time-
stamps removed), but on multi-user enabled devices you should find one
directory for each Android user.

Credential Storage 175
# ls -la /data/misc/keystore/user_0
-rw------- keystore keystore 84 .masterkey
-rw------- keystore keystore 980 1000_CACERT_cacert
-rw------- keystore keystore 756 1000_USRCERT_test
-rw------- keystore keystore 884 1000_USRPKEY_test
-rw------- keystore keystore 724 10019_USRCERT_myKey
-rw------- keystore keystore 724 10019_USRCERT_myKey1
Listing 7-2: Sample contents of the keystore directory on a single-user device
In this example, each file name consists of the UID of the app that
created it (1000 is system), the entry type (CA certificate, user certificate,
or private key), and the key name (alias), all connected with underscores.
Since Android 4.3, system and app-private keys are supported as well, and
the UID reflects the Android user ID as well as the app ID. On multi-user
devices the user ID is UID / 100000, as discussed in Chapter 4.
In addition to system or app-owned key blobs, there is also a single
.masterkey file, which we’ll discuss shortly. When an app that owns store-
managed keys is uninstalled for a user, only keys created by that user are
deleted. If an app is completely removed from the system, its keys are
deleted for all users. Because key access is tied to the app ID, this feature
prevents a different app that happens to get the same UID from accessing
an uninstalled app’s keys. (Keystore reset, which deletes both key files and
the master key, also affects only the current user.)
In the default software-based implementation, these files have the fol-
lowing contents (contents may be different for hardware-backed implemen-
tations; instead of encrypted key material, they often store only a reference
to hardware-managed key objects):
• The master key (stored in .masterkey) is encrypted with a 128-bit AES key
derived from the screen unlock password by applying the PBKDF2 key
derivation function with 8192 iterations and a randomly generated 128-
bit salt. The salt is stored in the .masterkey file’s info header.
• All other files store key blobs. A key blob (binary large object) con-
tains a serialized, optionally encrypted key along with some data
that describes the key (metadata). Each keystore key blob contains a
metadata header, the initial vector (IV) used for encryption, and a
concatenation of an MD5 hash value of the data with the data itself,
encrypted with the 128-bit AES master key in CBC mode. Or more
concisely: metadata || Enc(MD5(data) || data).
In practice, this architecture means that the Android keystore is pretty
secure for a software solution. Even if you had access to a rooted device
and managed to extract the key blobs, you would still need the keystore
password to derive the master key. Trying different passwords in an attempt
to decrypt the master key would require at least 8192 iterations to derive a
key, which is prohibitively expensive. In addition, because the derivation
function is seeded with a 128-bit random number, pre-calculated password
tables cannot be used. However, the MD5-based integrity mechanism used
176 Chapter 7
does not employ a standard Message Authentication Code (MAC) algo-
rithm such as HMAC and is a remnant of the original implementation. It’s
kept for backward compatibility, but may be replaced in a future version.
Key Blob Versions and Types
Beginning with Android 4.1, two fields were added to key blobs: version and
type. The current version (as of Android 4.4) is 2 and keys blobs are auto-
matically upgraded to the latest version when an application first accesses
them. As of this writing, the following key types are defined:
• TYPE_ANY
• TYPE_GENERIC
• TYPE_MASTER_KEY
• TYPE_KEY_PAIR
TYPE_ANY is a meta key type that matches any key type. TYPE_GENERIC is
used for key blobs that are saved using the original get/put interface, which
stores arbitrary binary data, and TYPE_MASTER_KEY is, of course, only used for
the keystore master key. The TYPE_KEY_PAIR type is used for key blobs created
using the generate_keypair and import_keypair operations, newly introduced
in Android 4.1. We’ll discuss these in the “keymaster Module and keystore
Service Implementation” section.
Android 4.3 is the first version to use the flags field of key blobs. It uses
this field to distinguish encrypted (the default) from non-encrypted key
blobs. Key blobs that are protected by a hardware-based implementation
(available on some devices) are stored without additional encryption.
Access Restrictions
Key blobs are owned by the keystore user, so on a regular (not rooted)
device, you need to go through the keystore service in order to access them.
The keystore service applies the following access restrictions:
• The root user cannot lock or unlock the keystore, but can access
system keys.
• The system user can perform most keystore management operations
(like initialization, reset, and so on) in addition to storing keys.
However, the system user cannot use or retrieve other users’ keys.
• Non-system users can insert, delete, and access keys, but can only see
their own keys.
Now that we know what the keystore service does, let’s look at the actual
implementation.
keymaster Module and keystore Service Implementation
While the original daemon-based implementation included both key blob
management and encryption in a single binary, Android 4.1 introduced a
Credential Storage 177
new keymaster Hardware Abstraction Layer (HAL) system module responsible
for generating asymmetric keys and signing/verifying data without the
need to export the keys first.
The keymaster module is meant to decouple the keystore service from the
underlying asymmetric key operations implementation and to allow for eas-
ier integration of device-specific, hardware-backed implementations. A typi-
cal implementation would use a vendor-provided library to communicate
with the crypto-enabled hardware and provide a “glue” HAL library, which
the keystore daemon links with.
Android also comes with a default softkeymaster module that performs
all key operations in software only (using the system OpenSSL library).
This module is used on the emulator and included in devices that lack
dedicated cryptographic hardware. The key size of generated keys was
initially fixed at 2048 bits and only RSA keys were supported. Android 4.4
added support for specifying key size, as well as the Digital Signature
Algorithm (DSA) and Elliptic Curve DSA (ECDSA) algorithms and their
respective keys.
As of this writing, the default softkeymaster module supports RSA and
DSA keys with sizes between 512 and 8192 bits. If the key size is not explic-
itly specified, DSA keys default to 1024 bits, and RSA ones to 2048 bits. For
EC keys, the key size is mapped to a standard curve with the respective field
size. For example, when 384 is specified as the key size, the secp384r1 curve
is used to generate keys. Currently the following standard curves are sup-
ported: prime192v1, secp224r1, prime256v1, secp384r1, and secp521r1. Keys for
each of the supported algorithms can be imported as well if they are con-
verted to the standard PKCS#8 format.
The HAL module interface is defined in hardware/keymaster.h and
defines the operations listed below.
• generate_keypair
• import_keypair
• sign_data
• verify_data
• get_keypair_public
• delete_keypair
• delete_all
All asymmetric key operations exposed by the keystore service are imple-
mented by calling the system keymaster module. Thus if the keymaster HAL
module is backed by a hardware cryptographic device, all upper-level com-
mands and APIs that use the keystore service interface automatically get to
use hardware crypto. Aside from asymmetric key operations, all other cre-
dential store operations are implemented by the keystore system service and
do not depend on HAL modules. The service registers itself to Android’s
ServiceManager with the android.security.keystore name and is started at boot.
Unlike most Android services, it is implemented in C++ and the implemen-
tation resides in system/security/keystore/.

178 Chapter 7
Nexus 4 Hardware-Backed Implementation
To give some perspective to the whole “hardware-backed” idea, let’s briefly
discuss how it’s implemented on the Nexus 4. The Nexus 4 is based on
Qualcomm’s Snapdragon S4 Pro APQ8064 system on a chip (SoC). Like
most recent ARM SoCs, it is TrustZone-enabled, with Qualcomm’s Secure
Execution Environment (QSEE) implemented on top of that.
ARM’s TrustZone technology provides two virtual processors backed by
hardware-based access control, which allows a SoC system to be partitioned
into two virtual “worlds”: the Secure world for the security subsystem, and the
Normal world for everything else. Applications running in the Secure world
are referred to as trusted applications and can only be accessed by Normal
world applications (which the Android OS and apps run in) through a lim-
ited interface that they explicitly expose. Figure 7-2 shows a typical software
configuration for a TrustZone-enabled system.
ARM CPU with TrustZone
Normal World Secure World
Trusted
app
Trusted
app
Trusted
app
Normal
apps
Apps w/
Secure OS
Support
(e.g., keystore)
Rich OS
(Android)
TZ API/
driver Secure OS
Monitor
Figure 7-2: TrustZone software architecture
As usual, implementation details are quite scarce, but on the Nexus 4
the only way to interact with trusted applications is through the controlled
interface that the /dev/qseecom device provides. Android applications that
wish to interact with the QSEE load the proprietary libQSEEComAPI.so
library and use its functions to send commands to the QSEE.
As with most other SEEs, the QSEECom communication API is quite
low level and basically only allows for exchanging opaque blobs (typically
commands and replies), the contents of which depend entirely on the
secure app you’re communicating with. In the case of the Nexus 4 keymaster,
the commands used are: GENERATE_KEYPAIR, IMPORT_KEYPAIR, SIGN_DATA, and

Credential Storage 179
VERIFY_DATA. The keymaster implementation merely creates command struc-
tures, sends them via the QSEECom API, and parses the replies. It does not
contain any cryptographic code.
One interesting detail is that the QSEE keystore trusted app (which
may not be a dedicated app, but part of a more general-purpose trusted
application) doesn’t return simple references to protected keys; it uses pro-
prietary encrypted key blobs. In this model, the only thing that is actually
protected by hardware is some form of master key-encryption key (KEK);
user-generated keys are only indirectly protected by being encrypted with
the KEK.
This method allows for a practically unlimited number of protected keys,
but it has the disadvantage that if the KEK is compromised, all externally
stored key blobs are compromised as well. (Of course, the actual implemen-
tation might generate a dedicated KEK for each key blob created, or the
key can be fused in hardware; either way no details are available about the
internal implementation.) That said, Qualcomm keymaster key blobs are
defined in AOSP code (shown in Listing 7-3) and the definition suggests
that private exponents are encrypted using AES u, most probably in CBC
mode, with an added HMAC-SHA256 v to check encrypted data integrity.
#define KM_MAGIC_NUM (0x4B4D4B42) /* "KMKB" Key Master Key Blob in hex */
#define KM_KEY_SIZE_MAX (512) /* 4096 bits */
#define KM_IV_LENGTH (16) u/* AES128 CBC IV */
#define KM_HMAC_LENGTH (32) v/* SHA2 will be used for HMAC */
struct qcom_km_key_blob {
uint32_t magic_num;
uint32_t version_num;
uint8_t modulus[KM_KEY_SIZE_MAX];w
uint32_t modulus_size;
uint8_t public_exponent[KM_KEY_SIZE_MAX];x
uint32_t public_exponent_size;
uint8_t iv[KM_IV_LENGTH];y
uint8_t encrypted_private_exponent[KM_KEY_SIZE_MAX];z
uint32_t encrypted_private_exponent_size;
uint8_t hmac[KM_HMAC_LENGTH];{
};
Listing 7-3: QSEE keymaster blob definition (for Nexus 4)
As you can see in Listing 7-3, the QSEE key blob contains the key mod-
ulus w, public exponent x, the IV y used for private exponent encryption,
the private exponent itself z, and the HMAC value {.
Since the QSEE used in the Nexus 4 is implemented using the TrustZone
functions of the processor, in this case the “hardware” of the hardware-
backed credential store is simply the ARM SoC. Are other implementations
possible? Theoretically, a hardware-backed keymaster implementation does
not need to be based on TrustZone. Any dedicated device that can gener-
ate and store keys securely can be used, with the usual candidates being
embedded Secure Elements (SE) and Trusted Platform Modules (TPMs).

180 Chapter 7
We’ll discuss SEs and other tamper-resistant devices in Chapter 11, but
as of this writing no mainstream Android devices have dedicated TPMs
and recent flagship devices have begun shipping without embedded SEs.
Therefore, implementations using dedicated hardware are unlikely to show
up in mainstream devices.
NOTE Of course, all mobile devices have some form of Universal Integrated Circuit Card
(UICC), colloquially known as a SIM card, which typically can generate and store
keys, but Android still doesn’t have a standard API to access the UICC even though
vendor firmware often includes one. So while one could theoretically implement a
UICC-based keymaster module, it would only work on custom Android builds and
would depend on network operators to include support in their UICCs.
Framework Integration
While managing credentials securely is the key feature of Android’s creden-
tial storage, its main purpose is to provide this service seamlessly to the rest
of the system. Let’s briefly discuss how it integrates with the rest of Android
before presenting the public APIs that are available for third-party apps.
Because the keystore service is a standard Binder service, in order to use
it potential clients only need to get a reference to it from the ServiceManager.
The Android framework provides the singleton android.security.KeyStore
hidden class, which is responsible for obtaining a reference to the keystore
service and serves as a proxy to the IKeystoreService interface it exposes. Most
system applications, such as the PKCS#12 file importer (see Figure 7-1), and
the implementations of some of the public APIs use the KeyStore proxy class
to communicate with the keystore service.
In the case of lower-level libraries that are not part of the Android
framework, such as native libraries and JCA classes in the core Java library,
integration with the system credential store is provided indirectly through
an OpenSSL engine called the Android keystore engine.
An OpenSSL engine is a pluggable cryptographic module implemented
as a dynamic shared library. The keystore engine is one such module that
implements all of its operations by calling the system keymaster HAL mod-
ule. It supports only loading and signing with RSA, DSA, or EC private
keys, but that’s enough to implement key-based authentication (such as
SSL client authentication). The keystore engine makes it possible for native
code that uses OpenSSL APIs to use private keys saved in the system creden-
tial store without the need for code modifications. It also has a Java wrapper
(OpenSSLEngine), which is used to implement access to keystore-managed pri-
vate keys in the JCA framework.

Credential Storage 181
Public APIs
While system applications can access the keystore daemon AIDL interface
directly or through the android.security.KeyStore proxy class, those interfaces
are too closely coupled with the implementation to be part of the public
API. Android provides higher-level abstractions for third-party apps with
the KeyChain API and the AndroidKeyStoreProvider JCA provider. We’ll show
how these APIs are used and provide some implementation details in the
following sections.
The KeyChain API
Android has offered a system-wide credential store since version 1.6, but
it was only usable by built-in VPN and Wi-Fi EAP clients. It was possible to
install a private key/certificate pair using the Settings app, but the installed
keys were not accessible by third-party applications.
Android 4.0 introduced SDK APIs for both trusted certificate manage-
ment and secure credential storage via the KeyChain class. This feature was
extended in Android 4.3 to support the newly introduced hardware-backed
features. We’ll discuss how it’s used and review its implementation in the
following sections.
The KeyChain Class
The KeyChain class is quite simple: it offers six public static methods, which
are sufficient for most certificate- and key-related tasks. We’ll look at how
to install a private key/certificate pair and then use that pair to access the
credential-store-managed private key.
The KeyChain API lets you install a private key/certificate pair bundled
in a PKCS#12 file. The KeyChain.createInstallIntent() factory method is the
gateway to this functionality. It takes no parameters and returns a system
intent that can parse and install keys and certificates. (This is actually the
same intent that is used internally by the Settings system app.)
Installing a PKCS#12 File
To install a PKCS#12 file, you have to read it to a byte array, store it under
the EXTRA_PKCS12 key in the intent’s extras, and start the associated activity
(see Listing 7-4):
Intent intent = KeyChain.createInstallIntent();
byte[] p12 = readFile("keystore-test.pfx");
intent.putExtra(KeyChain.EXTRA_PKCS12, p12);
startActivity(intent);
Listing 7-4: Installing a PKCS#12 file using the KeyChain API

182 Chapter 7
This should prompt you for
the PKCS#12 password in order
to extract and parse the key and
certificate. If the password is cor-
rect, you should be prompted for
a certificate name, as shown in
Figure 7-3. If the PKCS#12 has a
friendly name attribute, it will be
shown as the default; if not, you’ll
just get a long hexadecimal hash
string. The string you enter here is
the key or certificate alias you can
use later to look up and access keys
via the KeyChain API. You should be
prompted to set a lock screen PIN
or password to protect the creden-
tial storage if you haven’t already
set one.
Using a Private Key
To use a private key stored in the
system credential store, you need
to obtain a reference to the key
using its alias and request key access
permission from the user. If you’ve
never accessed a key before and don’t
know its alias, you need to first call KeyChain.choosePrivateKeyAlias() and pro-
vide a callback implementation that receives the selected alias as shown in
Listing 7-5.
public class KeystoreTest extends Activity implements OnClickListener,
KeyChainAliasCallback {
@Override
public void onClick(View v) {
KeyChain.choosePrivateKeyAlias(uthis, v(KeyChainAliasCallback)this,
wnew String[] { "RSA" }, xnull, ynull, z-1, {null);
}
@Override
public void alias(final String alias) {|
Log.d(TAG, "Thread: " + Thread.currentThread().getName());
Log.d(TAG, "selected alias: " + alias);
}
}
Listing 7-5: Using a private key stored in the system credential store
The first parameter u is the current context; the second v is the call-
back to invoke; and the third and fourth specify the acceptable keys w (RSA,
DSA, or null for any) and acceptable certificate issuers x for the certificate
Figure 7-3: Private key and certificate
import dialog

Credential Storage 183
matching the private key. The next
two parameters are the host y and
port number z of the server request-
ing a certificate, and the last one {
is the alias to preselect in the key
selection dialog. We leave all but
the key type as unspecified (null or
-1) here in order to be able to select
from all available certificates. Note
that the alias() | callback will not
be called on the main thread, so
don’t try to directly manipulate the
UI from it. (It’s called on a binder
thread.)
Using the key requires user
authorization, so Android should
display a key selection dialog (see
Figure 7-4) which also serves to
grant access to the selected key.
Once the user has granted key
access to an app, it can look up
that key directly without going
through the key selection dialog.
Listing 7-6 shows how to use the
KeyChain API to obtain a reference to
a private key managed by the system
keystore.
PrivateKey pk = KeyChain.getPrivateKey(context, alias);u
X509Certificate[] chain = KeyChain.getCertificateChain(context, alias);v
Listing 7-6: Getting a key instance and its certificate chain
To get a reference to a private key, you need to call the KeyChain
.getPrivateKey() u method, passing it the key alias name received in the
previous step. If you try to call this method on the main thread, you’ll get
an exception, so make sure to call it from a background thread like the one
created by the AsyncTask utility class. The getCertificateChain() v method
returns the certificate chain associated with the private key (see Listing 7-6). If
a key or certificate with the specified alias doesn’t exist, the getPrivateKey()
and getCertificateChain() methods will return null.
Installing a CA Certificate
Installing a CA certificate is not very different from installing a PKCS#12
file. To do so, load the certificate in a byte array and pass it as an extra to
the install intent under the EXTRA_CERTIFICATE key, as shown in Listing 7-7.
Figure 7-4: Key selection dialog

184 Chapter 7
Intent intent = KeyChain.createInstallIntent();
intent.putExtra(KeyChain.EXTRA_CERTIFICATE, cert);
startActivity(intent);
Listing 7-7: Installing a CA certificate using the KeyChain API
Android parses the certificate, and if its Basic Constraints extension is
set to CA:TRUE, considers it a CA certificate and imports it into the user trust
store. You need to authenticate in order to import the certificate.
Unfortunately, the import dialog (see Figure 7-5) shows neither the cer-
tificate DN nor its hash value. The user has no way of knowing what they’re
importing until it’s done. Very few people bother to check a certificate’s
validity, so this could be a potential security threat because malicious appli-
cations could trick people into installing rogue certificates.
After the certificate is imported, it should show up in the Trusted creden-
tials screen’s User tab (Settings4Security4Trusted credentials). Tap the
certificate entry to display a details dialog where you can check the subject,
issuer, validity period, serial number, and SHA-1/SHA-256 fingerprints. To
remove a certificate, press the Remove button (see Figure 7-6).
Figure 7-5: CA certificate import dialog Figure 7-6: Certificate details dialog

Credential Storage 185
Deleting Keys and User Certificates
While you can delete individual CA certificates, there is no way to delete
individual keys and user certificates, although the Clear credentials option
in the Credential Storage section of the security settings will delete all keys
and user certificates.
NOTE As long as you have keys in the credential store, you can’t remove the screen lock
because it is used to protect access to the keystore.
Getting Information about Supported Algorithms
Android 4.3 added two methods to the KeyChain class related to the newly
introduced hardware support. According to the API documentation,
isBoundKeyAlgorithm(String algorithm) “returns true if the current device’s
KeyChain imple mentation binds any PrivateKey of the given algorithm to the
device once imported or generated.” In other words, if you pass the string
RSA to this method, it should return true if generated or imported RSA keys
have hardware protection and cannot simply be copied off the device. The
isKeyAlgorithmSupported(String algorithm) method should return true if the
current KeyChain implementation supports keys of the specified type (RSA,
DSA, EC, and so on).
We’ve introduced the main features of the KeyChain API. Now let’s look
at the underlying Android implementation.
KeyChain API Implementation
The public KeyChain class and supporting interfaces reside in the android
.security Java package. The package also contains two hidden AIDL files:
IKeyChainService.aidl and IKeyChainAliasCallback. This is a hint that the
actual keystore functionality, like most Android OS services, is imple-
mented as a remote service to which the public APIs bind. The inter-
face IKeyChainAliasCallback is called when you select a key via KeyStore
.choosePrivateKeyAlias(), so it’s of little interest. IKeyChainService.aidl
defines the actual system interface that services use, so we’ll describe it
in more detail.
The IKeyChainService interface has one implementation, the KeyChainService
class in the KeyChain system application. In addition to KeyChainService,
the application includes an activity, KeyChain, and a broadcast receiver,
KeyChainBroadcastReceiver. The KeyChain application has its sharedUserId is set
to android.uid.system and therefore inherits all privileges of the system user.
This allows its components to send management commands to the native
keystore service. Let’s examine the service first.
The KeyChainService is a wrapper for the android.security.KeyStore proxy
class that directly communicates with the native keystore service. It provides
four main services:
• Keystore management: methods for getting private keys and certificates.
• Trust store management: methods for installing and deleting CA certifi-
cates in the user trust store.

186 Chapter 7
• Key and trust store initialization: a reset() method that deletes all key-
store entries, including the master key, thus returning the keystore
to an uninitialized state; it also removes all user-installed trusted
certificates.
• Methods for querying and adding entries to the key access grant database.
Controlling Access to the Keystore
Since the KeyChain application runs as the system user, any process that binds
to its remote interface would technically be able to perform all key and
trust store operations. To prevent this, the KeyChainService imposes addi-
tional access control on its users by controlling access to credential store
operations based on the caller’s UID and using a key access grant database
to regulate access to individual keys. Only the system user can delete a CA
certificate and reset the key and trust stores (operations typically called via
the Settings app’s UI, which runs as system). By the same token, only the
system user or the certificate installer application (com.android.certinstaller
package) can install a trusted CA certificate.
Controlling access to individual keys in the credential store is a little bit
more interesting than operation restrictions. The KeyChainService maintains
a grants database (in /data/data/com.android.keychain/databases/grants.db)
that maps UIDs to the key aliases they are allowed to use. Let’s have a look
inside in Listing 7-8.
# sqlite3 grants.db
sqlite> .schema
.schema
CREATE TABLE android_metadata (locale TEXT);
CREATE TABLE grants (alias STRING NOT NULL, uid INTEGER NOT NULL, UNIQUE (alias,uid));
sqlite> select * from grants;
select * from grants;
utest|10044v
wkey1|10044
Listing 7-8: Schema and contents of the grants database
In this example, the application with UID 10044 v is granted access to
the keys with the test u and key1 w aliases.
Each call to getPrivateKey() or getCertificate() is subject to a check
against the grants database, and results in an exception if a grant for the
required alias is not found. As stated before, KeyChainService has APIs for
adding and querying grants, and only the system user can call them. But
who is responsible for actually granting and revoking access?
Remember the private key selection dialog (Figure 7-4)? When you call
KeyChain.choosePrivateKeyAlias(), it starts the KeyChainActivity (introduced
above), which checks to see if the keystore is unlocked; if so, KeyChainActivity
shows the key selection dialog. Clicking the Allow button returns to the
KeyChainActivity, which then calls KeyChainService.setGrant() with the selected

Credential Storage 187
alias, adding it to the grants database. Thus, even if the activity requesting
access to a private key has the needed permissions, the user must unlock
the keystore and explicitly authorize access to each individual key.
Besides controlling private key storage, the KeyChainService also offers
trust store management by using the newly added TrustedCertificateStore
class (part of libcore). This class provides both the ability to add user-installed
trusted CA certificates and remove (mark as not trusted) system (preinstalled)
CAs. Chapter 6 discusses the details of its implementation.
KeyChainBroadcastReceiver
The last component of the KeyChain app is the KeyChainBroadcastReceiver.
It listens for the android.intent.action.PACKAGE_REMOVED system broadcast
and simply forwards control to the KeyChainService. On receiving the
PACKAGE_REMOVED action, the service does some grant database maintenance:
it goes through all entries and deletes any referencing packages that are
no longer available (that is, ones that have been uninstalled).
Credential and Trust Store Summary
Android 4.0 introduces a new service that grants access to both the sys-
tem keystore (managed by the keystore system service) and the trust store
(managed by the TrustedCertificateStore class) that backs the KeyChain API
exposed in the public SDK. This feature makes it possible to control access
to keys based on both the calling process’s UID and the key access grant
database, thus allowing for fine-grained, user-driven control over which
keys each application can access. The components of Android’s credential
and trust store and their relationship are presented in Figure 7-7.
CertInstaller
KeyChain
KeyChainActivity grant.db
KeyChainService keystore
system service
/data/misc/keystore/
TrustedCertificateStore /etc/security/cacerts/
/data/misc/keychain/
Figure 7-7: System credential store components

188 Chapter 7
Android Keystore Provider
While the KeyChain API introduced in Android 4.0 allows applications to
import keys into the system credential store, those keys are owned by the
system user and any application can request access to them. Android 4.3
adds support for app-private keys, which allows any app to generate and save
private keys that can only be accessed and used by itself and are not visible
to other apps.
Instead of introducing yet another Android-specific API, keystore access
is exposed via standard JCA APIs, namely java.security.KeyPairGenerator and
java.security.KeyStore. Both are backed by a new Android JCA provider,
AndroidKeyStoreProvider, and are accessed by passing AndroidKeyStore as the
type parameter of the respective factory methods. Listing 7-9 shows how to
generate and access RSA keys using the AndroidKeyStoreProvider.
// generate a key pair
Calendar notBefore = Calendar.getInstance()
Calendar notAfter = Calendar.getInstance();
notAfter.add(1, Calendar.YEAR);
KeyPairGeneratorSpec spec = new KeyPairGeneratorSpec.Builder(ctx)
.setAlias("key1")
.setKeyType("RSA")
.setKeySize(2048)
.setSubject(new X500Principal("CN=test"))
.setSerialNumber(BigInteger.ONE).setStartDate(notBefore.getTime())
.setEndDate(notAfter.getTime()).build();u
KeyPairGenerator kpGenerator = KeyPairGenerator.getInstance("RSA",
"AndroidKeyStore");
kpGenerator.initialize(spec);v
KeyPair kp = kpGenerator.generateKeyPair();w
// in another part of the app, access the keys
KeyStore ks = KeyStore.getInstance("AndroidKeyStore");
ks.load(null);
KeyStore.PrivateKeyEntry keyEntry = (KeyStore.PrivateKeyEntry)keyStore.getEntry("key1", null);x
RSAPublic pubKey = (RSAPublicKey)keyEntry.getCertificate().getPublicKey();
RSAPrivateKey privKey = (RSAPrivateKey) keyEntry.getPrivateKey();
Listing 7-9: Generating and accessing RSA keys using the AndroidKeyStoreProvider
First u you create a KeyPairGeneratorSpec describing the keys you want
to generate and the automatically created self-signed certificate each key is
associated with. You can specify the key type (RSA, DSA, or EC) using the
setKeyType() method, and key size with the setKeySize() method.
NOTE Each PrivateKeyEntry managed by a KeyStore object needs to be associated with a
certificate chain. Android automatically creates a self-signed certificate when you gen-
erate a key, but you can replace the default certificate with one signed by a CA later.
Credential Storage 189
Next, you initialize a KeyPairGenerator v with the KeyPairGeneratorSpec
instance and then generate the keys by calling generateKeyPair() w.
The most important parameter is the alias. You pass the alias to
KeyStore.getEntry() x in order to get a reference to the generated keys later.
The returned key object does not contain the actual key material; it is only
a pointer to a hardware-managed key object. Therefore, it is not usable with
cryptographic providers that rely on key material being directly accessible.
If the device has a hardware-backed keystore implementation, keys will
be generated outside the Android OS and won’t be directly accessible even
to the system (or root) user. If the implementation is software only, keys will
be encrypted with a per-user key-encryption master key derived from the
unlock PIN or password.
Summary
As you’ve learned in this chapter, Android has a system credential store
that can be used to store credentials for built-in features such as Wi-Fi and
VPN connectivity, as well as for use by third-party apps. Android 4.3 and
later versions provide standard JCA APIs for generating and accessing
app-private keys, which makes it easier for non-system apps to store their
keys securely without needing to implement key protection themselves.
Hardware-backed key storage, which is available on supported devices,
guarantees that even apps with system or root privileges cannot extract
the keys. Most current hardware-backed credential storage implementa-
tions are based on ARM’s TrustZone technology and do not use dedicated
tamper-resistant hardware.
8
ONLINE ACCOUNT MANAGEMENT
While enterprise services usually employ PKI for user
authentication, most publicly available online services
rely on passwords to authenticate their users. How-
ever, typing complex passwords on a touch screen
mobile device multiple times a day for different sites
is not a very pleasant exercise.
In an effort to improve the user experience when accessing online
services, Android provides a centralized registry of user accounts that can
cache and reuse credentials. This account registry can be accessed by third-
party applications, allowing them to access web services on behalf of the
device user without the need for apps to handle passwords directly. In this
chapter, we discuss how Android manages a user’s online account creden-
tials and the APIs that applications can use to take advantage of cached
credentials and to register custom accounts. We then show how Google
experience devices (devices on which the Google Play Store is preinstalled)
store Google account information and allow access to Google APIs and
other online services by using the stored credentials.

192 Chapter 8
Android Account Management Overview
While early Android devices had built-in support for Google accounts and
automatic background data synchronization with Google services such as
Gmail, no APIs for this functionality were originally provided. Android 2.0
(API Level 5) introduced the concept of centralized account manage-
ment with a public API. The central piece in the API is the AccountManager
class, which “provides access to a centralized registry of the user’s online
accounts. The user enters credentials (username and password) once per
account, granting applications access to online resources with ‘one-click’
approval.”1 Another major feature of the class is that it lets you get an
authentication token for supported accounts, allowing third-party applica-
tions to authenticate to online services without needing to actually handle
the user password. On some older Android versions, the AccountManager
would also monitor your SIM card and wipe cached credentials if you
swapped cards, but this feature was removed in Android 2.3.4 and later
versions.
Account Management Implementation
As with most Android system APIs, the AccountManager is just a facade for the
AccountManagerService, which does the actual work. The service doesn’t pro-
vide an implementation for any particular form of authentication, though.
It merely coordinates a number of pluggable authenticator modules for
different account types (Google, Twitter, Microsoft Exchange, and so on).
Any application can register an authenticator module by implementing an
account authenticator and related classes, if needed. We show how to write
and register a custom authenticator module in “Adding an Authenticator
Module” on page 203.
Registering a new account type with the system lets you take advantage
of a number of Android infrastructure services, including the ability to:
• Use a centralized credential storage in a system database
• Issue tokens to third-party apps
• Take advantage of Android’s automatic background synchronization
(via a sync adapter)
Figure 8-1 shows the main components of Android’s account manage-
ment subsystems and their relationships. Each component and its role will
be described in the following sections.
1. Google, Android API Reference, “AccountManager,” http://developer.android.com/reference/
android/accounts/AccountManager.html

Online Account Management 193
AccountManagerService
accounts
name
type
password
authtokens
type
authtoken
extras
key
value
grants
auth_token_type
uid
shared_accounts
name
type
AccountAuthenticatorCache
Accounts Database
/data/system/users/<user ID>/accounts.db
* 1 1 *
1
*
1
0..1
type: org.foo.account type: com.example.account
ExAuthenticator :
IAccountAuthenticator
com.example.app
FooAuthenticator :
IAccountAuthenticator
org.foo.app
AccountManager
Figure 8-1: Account management components
AccountManagerService and AccountManager
The central piece here is the AccountManagerService, which coordinates all
other components and persists account data in the accounts database.
The AccountManager class is the facade that exposes a subset of its func-
tionality to third-party applications. It starts worker threads for asynchro-
nous methods and posts the results (or error details) back to the caller.
Additionally, AccountManager shows an account chooser when the requested
token or feature can be provided by more than one account. However, it
doesn’t enforce any permissions; all caller permissions are checked by the
AccountManagerService and we’ll discuss the concrete permissions shortly.

194 Chapter 8
Authenticator Modules
As mentioned above, the functionality of each registered account is
provided by a pluggable authenticator module, but what exactly is an
authenticator module? Authenticator modules are defined and hosted by
applications, and each is simply a bound service that implements the
android.accounts.IAccountAuthenticator AIDL interface. This interface has
methods for adding an account, prompting the user for their credentials,
getting an authentication token, and for updating account metadata. In
practice, applications don’t implement this interface directly, but instead
extend the android.accounts.AbstractAccountAuthenticator class which links
implementation methods to an internal AIDL stub.
The AbstractAccountAuthenticator also ensures that all callers of the AIDL
stub hold the ACCOUNT_MANAGER permission; a system signature permission that
only allows system components to call authenticator modules directly. All
other clients need to go through the AccountManagerService.
Each authenticator module implements an account identified uniquely
by a string called the account type. Account types are typically in reverse
domain notation (like Java packages) and are usually named using the base
package name of the defining application concatenated with the account
type, or the account or auth strings (Android does not enforce this rule, how-
ever, and there are no explicit guidelines). For example, in Figure 8-1, the
com.example.app application defines an account with type com.example.account,
and the org.foo.app application defines an account with type org.foo.account.
Authenticator modules are implemented by adding a service that can
be bound to by using the android.accounts.AccountAuthenticator intent action
to the host application. The account type, as well as other metadata, is
linked to the service by adding a <meta-data> tag to the service declara-
tion. The resource attribute of the tag points to an XML file that contains
account metadata (see Listing 8-8 for an example).
NOTE A <meta-data> tag allows a name-value pair containing arbitrary data to be associ-
ated with its parent component. The data can be a literal value, such as a string or an
integer, or a reference to an Android resource file. Multiple <meta-data> tags per compo-
nent are also supported. The values from all <meta-data> tags are collected in a single
Bundle object and made available as the metaData field of the PackageItemInfo class
(the base class of concrete classes that encapsulate component attribute values, such as
ServiceInfo). The interpretation of the associated metadata is component-specific.
The Authenticator Module Cache
“Pluggability” is provided by the AccountAuthenticatorCache class, which
scans for packages that define authenticator modules and makes them
available to the AccountManagerService. The AccountAuthenticatorCache is one
implementation of the more general registered service cache facility that
Android provides. The cache is built on demand (lazily) by interrogating
the PackageManagerService about installed packages that register a particular
intent action and metadata file. The cache is kept up-to-date by a broadcast

Online Account Management 195
receiver that triggers an update when packages are added, updated, or
removed. The cache is persistent and written to disk each time a change
is detected, with cache files written to the /data/system/registered_services/
directory and named after the intent action they scan for. The authentica-
tor module cache is saved to the android.accounts.AccountAuthenticator.xml file
and might look like Listing 8-1.
<?xml version='1.0' encoding='utf-8' standalone='yes' ?>
<services>
<service uid="10023" type="com.android.exchange" />u
<service uid="10023" type="com.android.email" />v
<service uid="10069" type="com.example.account" />w
<service uid="10074" type="org.foo.account" />x
--snip--
<service uid="1010023" type="com.android.email" />y
<service uid="1010023" type="com.android.exchange" />z
<service uid="1010069" type="com.example.account" />{
--snip--
</services>
Listing 8-1: Contents of the AccountAuthenticator.xml registered services cache file
Here, the com.android.exchange and com.android.email account types (u
and v) are registered by the stock Email application, and com.example.
account and org.foo.account (w and x) are registered by third-party appli-
cations. On a multi-user device, the cache file will have entries for the
accounts available to each user.
In this example, the first secondary user (user ID 10) can use com
.android.exchange, com.android.email, and com.example.account (y, z, and {),
but not the org.foo.account account (because there is no entry for it in the file).
When the AccountManagerService needs to perform an action with a particular
account, it queries the AccountAuthenticatorCache for the implementing service
by passing the account type. If an account implementation for that type is
registered for the current user, AccountAuthenticatorCache returns details about
the implementing service that contain the name of the implementing com-
ponent and the UID of the host package. The AccountManagerService uses this
information to bind to the service in order to be able to call methods of the
IAccountAuthenticator interface that the service implements.
AccountManagerService Operations and Permissions
As shown in Figure 8-1, AccountManagerService implements its functionality
by either calling into authenticator modules or by using cached data from
the accounts database. Third-party components can only use the API that
AccountManagerService exposes; they can’t access authenticator modules or
the accounts database. This centralized interface guarantees operation
workflow and enforces access rules for each operation.
AccountManagerService implements access control using a combination of
permissions and caller UID and signature checks. Let’s look at the opera-
tions it provides and the respective permission checks.

196 Chapter 8
Listing and Authenticating Accounts
Clients can get a list of accounts that match certain criteria (including type,
declaring package, and other features) by calling one of the getAccounts()
methods, and they can check to see if a particular account has the required
features by calling the hasFeatures() method. These operations require the
GET_ACCOUNTS permission, which has the normal protection level. A new account
of a particular type can be added by calling the addAccount() method (which
starts an implementation-specific authenticator activity that collects credentials
from the user) or silently by calling the addAccountExplicitly() method, which
takes the account, password, and any associated user data as parameters. The
first method requires callers to hold the MANAGE_ACCOUNTS permission, and the
second requires that they both hold the AUTHENTICATE_ACCOUNTS permission and
have the same UID as the account’s authenticator. Both permissions have
protection level dangerous and therefore require user confirmation when
the app is installed. Requiring callers of addAccountExplicitly() to have the
same UID as the authenticator ensures that only the same app, or apps
that belong to the same shared user ID (see Chapter 2 for details), can add
accounts without user interaction.
Other operations that require the caller to both hold the AUTHENTICATE_
ACCOUNTS permission and have the same UID as the account’s authenticator
are listed below. (We’ve omitted AccountManager method parameters here and
in the following sections for clarity. See the reference documentation of the
AccountManager class2 for full method signatures and additional information.)
getPassword() Returns the raw cached password.
getUserData() Returns authenticator-specific account metadata that
matches a specified key.
peekAuthToken() Returns a cached token of the specified type (if available).
setAuthToken() Adds or replaces an authentication token for an account.
setPassword() Sets or clears the cached password for an account.
setUserData() Sets or clears the metadata entry with the specified key.
Managing Accounts
Just as when adding a new account, removing an existing account requires
the MANAGE_ACCOUNTS permission. However, if the calling device user has the
DISALLOW_MODIFY_ACCOUNTS restriction set (see Chapter 4 for more details on
user restrictions), they cannot add or remove accounts, even if the call-
ing application holds the MANAGE_ACCOUNTS permission. Other methods that
require this permission are those that modify account properties or creden-
tials as listed next.
2.Google, Android API Reference, “AccountManager,” http://developer.android.com/reference/
android/accounts/AccountManager.html.
Online Account Management 197
clearPassword() Clears a cached password.
confirmCredentials() Explicitly confirms that the user knows the pass-
word (even if it is already cached) by showing a password entry UI.
editProperties() Shows a UI that allows the user to change global
authenticator settings.
invalidateAuthToken() Removes an authentication token from the
cache. (This can also be called if the caller holds the USE_CREDENTIALS
permission.)
removeAccount() Removes an existing account.
updateCredentials() Asks the user the enter the current password and
updates the saved credentials accordingly.
Using Account Credentials
The final permission the AccountManagerService might require its clients to
hold is USE_CREDENTIALS. This permission protects methods that return or
modify authentication tokens, a service-dependent credential string that cli-
ents can use to authenticate requests to the server without sending their
password with each request.
Typically, servers return an authentication token after the client success-
fully authenticates with their username and password (or other permanent
credentials). The token is identified by a string called the token type, which
describes what type of access the token grants (for example, read-only
or read-write). The token is reusable and can be used for sending mul-
tiple requests, but might have a limited validity period. Additionally, if a
user account is believed to have been compromised, or if a user changes
their password, all existing authentication tokens for that user are usu-
ally invalidated on the server. In this case, requests that use cached
authentication tokens will fail with an authentication error. Because the
AccountManagerService is protocol- and application-agnostic, it doesn’t auto-
matically invalidate cached tokens, even if they have expired or been invali-
dated on the server. Applications are responsible for cleaning up such
invalid cached tokens by calling the invalidateAuthToken() method.
These are the methods that require USE_CREDENTIALS:
getAuthToken() Gets an authentication token of the specified type for a
particular account.
invalidateAuthToken() Removes an authentication token from the
cache. (This can also be called if the caller holds the MANAGE_ACCOUNTS
permission.)

198 Chapter 8
Requesting Authentication Token Access
Besides holding the USE_CREDENTIALS permission, in order to obtain an
authentication token of a particular type, callers of the getAuthToken() (or
any of its wrapper methods as provided by the AccountManager facade class)
must explicitly be granted access to the requested token type. This is accom-
plished by showing a confirmation dia-
log like the one shown in Figure 8-2.
The dialog shows both the name of
the requesting application (in the first
bullet, “Account Requestor,” in this
example), the account type and name
(in the second bullet, “Example” and
“example_user”, respectively), and a
short description (below the bullets,
“Full access to example data”) of the
type of data access that will be permit-
ted if the access request is granted.
If the user grants access, this decision
is cached and the dialog won’t be
shown if a token of the same type is
requested again. Applications run-
ning under the same UID as the
authenticator module are allowed
access to its tokens without showing
a confirmation dialog. Additionally,
privileged system applications are
implicitly allowed access to all token
types without user confirmation, so
the dialog is not shown if the token
request comes from a privileged
application.
The Accounts Database
We’ve introduced authenticator modules, the authenticator cache, and the
main features of the AccountManagerService. Now let’s see how this service uses
the accounts database, an SQLite database stored in each user’s system direc-
tory with the accounts.db filename, to register accounts and cache credentials.
The accounts database is found at /data/system/users/0/accounts.db on
single-user devices. On multi-user devices, this file stores account informa-
tion for the primary user, and secondary users each have their own instance
at /data/system/users/<user ID>/accounts.db. The database consists of six tables:
accounts, extras, authtokens, grants, shared_users, and meta. As of this writing,
the meta table appears to be unused; all other tables and their relationships
are shown in Figure 8-1.
Figure 8-2: Account access request
dialog

Online Account Management 199
Table Schema
The accounts table stores the name, type, and password of registered accounts,
and all other tables directly or indirectly link to it. It might contain data
similar to Listing 8-2.
sqlite> select * from accounts;
_id|name |type |password
1 |user1@gmail.com |com.google |1/......u
2 |user1@example.com|com.google.android.pop3|passwordv
3 |example_user |com.example.account |pass1234w
Listing 8-2: Contents of the accounts table
Here, u is a Google account (type com.google) which allows access to
Gmail, the Google Play Store, and other Google services. Google accounts
depend on proprietary system components and are only available on Google
experience devices. (You’ll find more details on Google accounts in “The
Google Login Service” on page 206.) The account at v is a POP3 mail
account (type com.google.android.pop3) registered by the stock email applica-
tion, and w is a custom account (type com.example.account) registered by a
third-party application. Each account can be associated with zero or more
metadata key-value pairs that are stored in the extras table and link to the
account by using its primary key (in the _id column). For example, if our
custom application (w in Listing 8-2, _id=3) does background data synchro-
nization, it might have entries similar to those in Listing 8-3.
sqlite> select * from extras where accounts_id=3;
_id|accounts_id|key |value
11 |3 |device_id|0123456789
12 |3 |last_sync|1395297374
13 |3 |user_id |abcdefghij
14 |3 |option1 |1
Listing 8-3: Contents of the extras table
The authtokens table stores tokens that have been issued for an account.
For our custom application, it might look like Listing 8-4.
sqlite> select * from authtokens where accounts_id=3;
_id|accounts_id|type |authtoken
16 |3 |com.example.auth|abcdefghij0123456789
Listing 8-4: Contents of the authtokens table
The grants table associates application UIDs with the types of tokens
they’re allowed to use. Grants are added when the user OK’s the access con-
firmation dialog for a particular account type and token (see Figure 8-2). For
example, if an application with UID 10291 has requested and been granted
access to tokens of type com.example.auth as in our sample application (see

200 Chapter 8
Listing 8-4), the grant will be represented by the following row in the grants
table (see Listing 8-5). A new row is added for each combination of account
ID, token type, and granted application UID.
sqlite> select * from grants;
accounts_id|auth_token_type |uid
3 |com.example.auth|10291
Listing 8-5: Contents of the grants table
The shared_accounts table is used when sharing the device owner’s
accounts with one of the restricted users on the device. (You’ll find more
details on its contents and usage in “Multi-User Support” on page 201.)
Table Access
Now we’ll examine the relationship between tables and data in the accounts
database and the key methods of the AccountManagerService. At a high level the
relationship is fairly straightforward (if we ignore caching and synchroniza-
tion): methods that retrieve or manipulate account details access the accounts
table, and methods that handle user data associated with an account access
the extras table. APIs that handle authentication tokens access the authtokens
table, and save per-application token access grants in the grants table. We
describe each method and the data it accesses next.
When you add an account of a particular type by calling one of
the addAccount() methods, the AccountManagerService inserts a row in the
accounts table containing its type, username, and password. Calling one
of the getPassword(), setPassword(), or clearPassword() methods results in
the AccountManagerService accessing or updating the password column of
the accounts table. If you get or set user data for the account using the
getUserdata() or setUserdata() methods, the AccountManagerService fetches
the matching entry from or saves it to the extras table.
When you request a token for a particular account, things become a
bit more complex. If a token with the specified type has never been issued
before, AccountManagerService shows a confirmation dialog (see Figure 8-2)
asking the user to approve access for the requesting application. If they
accept, the UID of the requesting app and the token type are saved to the
grants table. (Authenticators can declare that they use custom tokens by
setting the customTokens account metadata attribute to true. In this case,
they’re responsible for managing tokens, and Android neither shows the
token access dialog nor automatically saves tokens to the authtokens table).
If a grant already exits, AccountManagerService checks the authtokens table for
tokens matching the request. If a valid one exists, it’s returned. If a match-
ing token is not found, the AccountManagerService finds the authenticator for
the specified account type in the cache and calls its getAuthToken() method
to request a token. This usually involves the authenticator fetching the user-
name and password from the accounts table (via the getPassword() method)
and calling its respective online service to get a fresh token. When a token
is returned, it gets cached in the authtokens table and then is returned to the

Online Account Management 201
requesting app (usually asynchronously via a callback). Invalidating a token
results in deleting the row that stores it from the authtokens table. Finally,
when an account is removed by calling the removeAccount() method, its row is
deleted from the accounts table and a database trigger cleans up all linked
rows from the authtokens, extras, and grants tables.
Password Security
One thing to note is that while credentials (usually usernames and pass-
words) are stored in a central database under /data/system/ that is only
accessible to system applications, credentials are not encrypted; encrypt-
ing or otherwise protecting credentials is left to the authenticator module
to implement as necessary. In fact, if you have a rooted device, you’ll likely
find that a listing of the contents of the accounts table will show certain
passwords in cleartext, especially for the stock email application (the
com.android.email or com.google.android.email package). For example, in
Listing 8-2, the strings password v and pass1234 w are the cleartext pass-
words for a POP account used by the stock application and a custom
com.example.account account, respectively.
NOTE Email applications may need to store the password instead of a password hash or an
authentication token in order to support several challenge-response authentication
methods that take the password as input, such as DIGEST-MD5 and CRAM-MD5.
Because the AccountManger.getPassword() method can be called only
by apps with the same UID as the account’s authenticator, cleartext pass-
words are not accessible to other applications at runtime, but they may
be included in backups or device dumps. In order to avoid this potential
security risk, applications can encrypt passwords with a device-specific key
or choose to replace a password with a revokable master token after ini-
tial authentication succeeds. For example, the official Twitter client does
not store the user password in the accounts table, but only saves obtained
authentication tokens (in the authtokens table). Google accounts are another
example (account type com.google): as shown in “The Google Login Service”
on page 206, instead of the user password, Google accounts store a master
token that is exchanged for service-specific authentication tokens.
Multi-User Support
Recall from Chapter 4 that on multi-user devices, Android allows each
user to have their own set of applications, application data, and system set-
tings. This user isolation extends to online accounts as well and users can
have their own accounts registered with the system’s account manager ser-
vice. Android 4.3 added support for restricted profiles, which are not fully
independent users but share installed applications with the primary user.
Additionally, restricted profiles can have a number of restrictions applied.
Apps that use the AccountManager APIs can add explicit support for restricted

202 Chapter 8
profiles, thus allowing restricted profiles to see and use a subset of the
primary user’s accounts within supported apps. We explain this feature in
detail in “Shared Accounts” below.
The following sections discuss how Android implements account isola-
tion and sharing on multi-user devices.
Per-User Account Databases
As mentioned in “The Accounts Database” on page 198, the accounts
databases that AccountManagerServices uses to store account information
and cache authentication tokens are stored in each user’s system directory
in /data/system/users/<user ID>/accounts.db. This allows each user to have
dedicated account storage, and different users might even have separate
instances of the same type of online account. Aside from the database
location, everything else works in exactly the same way as it does for the
owner user, including permissions, access grants, and so on. When a user is
removed, the system deletes all of its data, including the accounts database.
Shared Accounts
Primary user accounts are shared with a restricted profile by simply clon-
ing the account data into the restricted profile’s accounts database. Thus,
restricted profiles do not access the primary user’s account data directly,
but have their own copy. When a new restricted profile is added, the name
and type of all current accounts of the primary user are copied into the
shared_accounts table of the restricted profile’s accounts database. However,
because the new user is not started yet, the accounts table is empty at this
point and the shared accounts are not yet usable.
The shared_accounts table has the same structure as the accounts table,
without the password column. It might look like Listing 8-6 for a restricted
profile.
sqlite> select * from shared_accounts;
_id|name |type
1 |user1@gmail.com |com.google
2 |user1@example.com|com.google.android.pop3
3 |example_user |com.example.account
Listing 8-6: Contents of the shared_accounts table
Shared accounts are not cloned directly by copying data from the own-
er’s accounts table; instead, cloning is performed via the authenticator that
declared the account. By default, the AbstractAccountAuthenticator, which all
authenticator classes derive from, does not support account cloning.
Implementations that want to support shared accounts for restricted
profiles need to do so explicitly, by overriding a couple of methods that
were introduced in Android 4.3, along with restricted profile support:
getAccountCredentialsForCloning(), which returns a Bundle containing all data
needed to clone the account, and addAccountFromCredentials(), which receives
this Bundle as a parameter and is responsible for creating the account based

Online Account Management 203
on credentials in the Bundle. The AccountManagerService delays the cloning of
a shared account until a restricted user is actually started. If the owner user
adds any new accounts, they are added to the shared_accounts table and simi-
larly cloned.
Even when accounts are successfully cloned, they may not be available
to an application started by a restricted profile. Recall from Chapter 4 that
if an application wants to support shared accounts, it must explicitly declare
the account type it requires with the restrictedAccountType attribute of the
<application> manifest tag. The AccountManagerServices uses the value of the
restrictedAccountType attribute to filter accounts before passing them to
applications running within a restricted profile. As of this writing, an appli-
cation can declare only one type of account with this attribute.
NOTE Secondary users do not share accounts with the owner, and therefore their
shared_accounts tables are always empty and owner accounts are never cloned.
Adding an Authenticator Module
In “Authenticator Modules” on page 194, we showed that an authent-
cator module is a bound service that implements the android.accounts
.IAccountAuthenticator AIDL interface and which can be bound to by using
the android.accounts.AccountAuthenticator intent action. In this section, we’ll
show how an application can implement and declare an authenticator
module.
Most of the authenticator logic, including adding accounts, checking
user-supplied credentials, and fetching authentication tokens, is imple-
mented in an authenticator class derived from the base class that Android
provides—namely, AbstractAccountAuthenticator.3 The authenticator class
needs to provide implementation of all abstract methods, but if not all
functionality is needed, implemented methods can return null or throw
UnsupportedOperationException. In order to store the account password, an
implementation should implement at least the addAccount() method and dis-
play a UI that collects the password from the user. The password can then be
added to the accounts database by calling the addAccountExplicitly() method
of AccountManager. Activities that implement credential collection and login
can extend from the AccountAuthenticatorActivity,4 which provides a conve-
nience method to pass back collected credentials to the AccountManager.
NOTE Remember that the addAccountExplicitly() method does not encrypt or otherwise pro-
tect the password that is stored in cleartext by default. If required, encryption should
be implemented separately, and the encrypted password or token should be passed to
addAccountExplicitly() instead of the cleartext version.
3. Google, Android API Reference, “AbstractAccountAuthenticator,” http://developer.android
.com/reference/android/accounts/AbstractAccountAuthenticator.html
4. Google, Android API Reference, “AccountAuthenticatorActivity,” http://developer.android
.com/reference/android/accounts/AccountAuthenticatorActivity.html

204 Chapter 8
Once you have an account authenticator implementation, you simply
create a service that returns its Binder interface when invoked with the
android.accounts.AccountAuthenticator intent action, as shown in Listing 8-7
(AbstractAccountAuthenticator method implementations have been omitted).
public class ExampleAuthenticatorService extends Service {
public static class ExampleAuthenticator extends
AbstractAccountAuthenticator{
// ...
}
private ExampleAuthenticator authenticator;
@Override
public void onCreate() {
super.onCreate();
authenticator = new ExampleAuthenticator(this);
}
@Override
public IBinder onBind(Intent intent) {
if (AccountManager.ACTION_AUTHENTICATOR_INTENT.equals(intent.
getAction())) {
return authenticator.getIBinder();
}
return null;
}
}
Listing 8-7: Account authenticator service implementation
In order to be picked up by the AccountAuthenticatorCache and made
available via the AccountManagerService, the service needs to declare the
android.accounts.AccountAuthenticator intent action and matching metadata
as shown in Listing 8-8. Permissions needed to access accounts and tokens
need to be added to the manifest as well. In this example, we only add the
AUTHENTICATE_ACCOUNTS permission, which is the minimum required in order
to be able to add an account with addAccountExplicitly().
<?xml version="1.0" encoding="utf-8"?>
<manifest xmlns:android="http://schemas.android.com/apk/res/android"
package="com.example.app"
android:versionCode="1" android:versionName="1.0" >
<uses-permission android:name="android.permission.AUTHENTICATE_ACCOUNTS" />
<application ...>
--snip--
<service android:name=".ExampleAuthenticatorService" >
<intent-filter>
<action android:name="android.accounts.AccountAuthenticator" />
</intent-filter>

Online Account Management 205
<meta-data
android:name="android.accounts.AccountAuthenticator"
android:resource="@xml/authenticator" />
</service>
</application>
</manifest>
Listing 8-8: Declaring an account authenticator service in AndroidManifest.xml
Finally, the account type, label, and icons must be declared in the refer-
enced XML resource file as shown in Listing 8-9. Here, the account type is
com.example.account and we’re simply using the app icon as the account icon.
<?xml version="1.0" encoding="utf-8"?>
<account-authenticator
xmlns:android="http://schemas.android.com/apk/res/android"
android:accountType="com.example.account"
android:label="@string/account_label"
android:icon="@drawable/ic_launcher"
android:smallIcon="@drawable/ic_launcher"/>
Listing 8-9: Declaring account metadata in an XML resource file
After the application that de-
clares our new account is installed,
com.example.account accounts can
be added via the AccountManager
API or the system Settings UI by
selecting Add an account. The new
account should show up in the list
of supported accounts, as shown in
Figure 8-3.
Custom accounts can be used for
convenience only by the declaring
application, or when creating a sync
adapter, which requires a dedicated
account. In order to allow third-party
applications to authenticate using your
custom account, you must implement
authentication tokens, because as we
saw in “Listing and Authenticating
Accounts” on page 196, third-party
applications cannot access an account
password via the AccountManager
.getPassword() API, unless they are
signed with the same key and certifi-
cate as the application hosting the tar-
get account’s authenticator module.
Figure 8-3: Adding a custom account
via the system Settings UI
206 Chapter 8
Google Accounts Support
The main goal of Android’s account management facility is to make it easier
to integrate online services into the OS, and to allow for seamless access to
user data via background synchronization. The first versions of the system
account management service were built to support Android integration with
Google online services, and the service was later decoupled and made part
of the OS. In Android versions 2.0 and later, Google account and online ser-
vice support is bundled as a set of components that provide account authen-
ticators (for the com.google account type) and sync adapters (for Gmail,
Calendar, contacts, and so on), using standard OS APIs. However, there are
a few notable differences from other third-party authenticator modules and
sync adapters:
• The Google accounts components are bundled with the system and
thus are granted extra permissions.
• A lot of the actual functionality is implemented on the server side.
• The account authenticator does not store passwords in plain text on
the device.
The Google Login Service
The two main components that implement Google account and service
support are the Google Services Framework (GSF) and the Google Login
Service (GLS, displayed as Google Account Manager in recent versions). The
former provides common services to all Google apps, such as centralized
settings and feature toggle management, while the latter implements the
authentication provider for Google accounts and will be the main topic of
this section.
Google provides numerous online services, and supports a handful of
different methods to authenticate to those services, both via a user-facing
web UI and several dedicated authentication APIs. Android’s Google
Login Service, however, doesn’t call those public authentication APIs
directly, but rather via a dedicated online service, which lives at https://
android.clients.google.com. It has endpoints both for authentication, authori-
zation token issuing, and different data feeds (mail, calendar, and so on)
that are used for data synchronization.
While a lot of the authentication and authorization logic is imple-
mented on the server side, some sort of locally stored credentials are also
required, especially for background syncing. On-device credential manage-
ment is one of the services GLS provides, and while as of this writing there
is no source code or reference documentation publicly available, we can
observe what data GLS stores on the device and infer how authentication is
implemented.
As mentioned earlier, GLS plugs into the system account framework,
so cached credentials, tokens, and associated extra data are stored in the
system’s accounts database of the current user, just as it is for other account

Online Account Management 207
types. Unlike most other applications, however, GLS doesn’t store Google
account passwords directly. Instead, in place of a password, GLS stores an
opaque master token (probably some form of an OAuth refresh token) in
the password column of the accounts table and exchanges it for authentica-
tion tokens for different Google services by calling an associated web service
endpoint. The token is obtained when a Google account is first added to
the device by sending the username and password entered in the sign-in
activity shown in Figure 8-4.
If the target Google account is using the default password-only authenti-
cation method and the correct password is entered, the GLS online service
returns the master token and the account is added to the user’s accounts
database. All subsequent authentication requests use the master token to
obtain service- or scope-specific tokens that are used for synchronization or
automatic web login. If the Google account is set to use two-factor authenti-
cation (2FA), the user is prompted to enter their one-time password (OTP,
called verification code in the web UI) in an embedded web view like the one
shown in Figure 8-5.
If the OTP is successfully verified, the master token is added to the
accounts database and a list of services that support background synchroni-
zation is shown (see Figure 8-6).
Figure 8-4: Google account sign-in
activity Figure 8-5: One-time password entry
as part of adding a Google account

208 Chapter 8
Note that only the initial login
process differs for Google accounts
that have 2FA enabled: all subse-
quent authentication requests use
the cached master token and do not
require entering an OTP. Thus, once
cached, the master token grants full
access to a Google account and can
be used not only for data synchroniza-
tion, but for other types of account
access as well, including web login.
While it’s very handy to have an
all-powerful authentication token
cached, this trade-off in favor of con-
venience has enabled several attacks
on Google accounts, and as a result
many Google services now require
additional authentication when sensi-
tive data is displayed or account set-
tings are changed. The master token
can be invalidated by changing the
Google account password, by en -
abling two-factor authentication, or
by removing the Android device from
the Account Permissions page of the
associated Google account (see Fig-
ure 8-7). Any of these actions will
require the user to reauthenticate with their new credentials on the
device the next time it tries to get a Google authentication token via the
AccountManager API.
Figure 8-7: Android device entry in the Account Permissions page of a Google account
Figure 8-6: List of Google services that
support background synchronization

Online Account Management 209
Google Services Authentication and Authorization
Besides user-facing online services with a web UI such as Gmail, Google
Calendar and, of course, search, Google provides programmatic access to
many of its services via different web APIs. Most of these require authentica-
tion, either in order to be able to access a subset of a particular user’s data,
or for quota and billing purposes. Several standard or Google-proprietary
authentication and authorization methods have been used over the years,
with the current trend being to migrate everything to OAuth 2.05 and
OpenID Connect.6 However, many services still use older, proprietary pro-
tocols, so we’ll briefly look into those as well.
Most authentication protocols have two variations: one for web applica-
tions and one for the so-called installed applications. Web applications run
in a browser and are expected to be able to take advantage of all standard
browser features including rich UI, free-form user interaction, cookie store,
and the ability to follow redirects. Installed applications, on the other hand,
don’t have a native way to preserve session information, and may not have
the full web capabilities of a browser. Android native applications (mostly)
fall into the “installed applications” category, so let’s see what protocols are
available for them.
ClientLogin
The oldest and, as of this writing, still widely used authorization protocol
for installed applications is ClientLogin.7 This protocol assumes that the
application has access to the user’s account name and password and lets you
get an authorization token for a particular service that can be saved and
used for accessing that service on behalf of the user. Services are identified
by proprietary service names, such as cl for Google Calendar and ah for
Google App engine. You’ll find a list of many supported service names in
the Google Data API reference,8 but here are a few Android-specific ones
not listed in the reference: ac2dm, android, androidsecure, androiddeveloper,
and androidmarket.
The authorization tokens for these services can be fairly long-lived (up
to two weeks), but cannot be refreshed and the application must obtain a
new token when the current token expires. Unfortunately, there is no way
to validate a token short of accessing the associated service: if you get an
OK HTTP status (200) the token is valid, but if 403 is returned you need to
consult the additional error code and retry or get a new token.
Another limitation of ClientLogin authorization tokens is that they don’t
offer fine-grained access to a service’s resources: access is all or nothing, and
you cannot specify read-only access or access to a particular resource only.
5. D. Hardt, The OAuth 2.0 Authorization Framework, http://tools.ietf.org/html/rfc6749
6. N. Sakimura et al., OpenID Connect Core 1.0, http://openid.net/specs/openid-connect-core-1_0.html
7. Google, Google Accounts Authentication and Authorization, “ClientLogin for Installed
Applications,” https://developers.google.com/accounts/docs/AuthForInstalledApps
8. Google, Google Data APIs, “Frequently Asked Questions,” https://developers.google.com/gdata/
faq#clientlogin
210 Chapter 8
The biggest drawback for mobile apps though is that ClientLogin requires
access to the actual user password. Therefore, unless you want to force users
to enter their password each time a new token is required, the password must
be saved on the device, which poses various problems and potential security
issues. Android avoids storing the raw password by storing a master token on
the device and uses GLS and the associated online service to exchange the
master token for ClientLogin tokens. Getting a token is as simple as calling
the appropriate AccountManger method, which either returns a cached token
or issues an API request to fetch a fresh one.
Despite its many limitations, the ClientLogin protocol is easy to under-
stand and straightforward to implement, so it has been widely used. It was
officially deprecated in April 2012 though, and apps using it are encour-
aged to migrate to OAuth 2.0.
OAuth 2.0
The OAuth 2.0 authorization framework became an official Internet stan-
dard in late 2012. It defines different authorization flows for different use
cases, but we won’t try to present all of them here. We’ll only discuss how
OAuth 2.0 relates to native mobile applications. (For more detail on the
actual protocol, see RFC 6749.)
The OAuth 2.0 specification defines four basic flows for getting an
authorization token for a resource. It also defines two that don’t require the
client (in our scenario, an Android app) to directly handle user credentials
(such as the Google account username and password), namely the autho-
rization code grant flow and the implicit grant flow. Both of these require the
authorization server (Google’s) to authenticate the resource owner (the
Android app user) in order to establish whether to grant or deny the access
request (say, read-only access to profile information). In a typical browser-
based web application, this is straightforward: the user is redirected to
an authentication page, then to an access grant page that basically says
“Do you allow app X to access data Y and Z?” If the user agrees, another
redirect, which includes an authorization token, takes the user back to the
original application. The browser simply needs to pass the token in the next
request in order to gain access to the target resource.
Things are not so simple with a native app. A native app can either use
the system browser to handle the grant permission step, or embed a WebView
or a similar control in the app’s UI. Using the system browser requires
launching a third-party application (the browser), detecting success or fail-
ure, and finally figuring out a way to return the token back to the calling
application. Embedding a WebView is a bit more user-friendly, as it doesn’t
involve switching back and forth between applications, but still results in
showing a non-native web UI, and requires complex code to detect success
and extract the access token. Neither option is ideal, and both are confus-
ing to the user.

Online Account Management 211
This integration complexity and UI impedance mismatch are the prob-
lems that OAuth 2.0 support via native Android APIs aims to solve. Android
offers two APIs that can be used to obtain OAuth 2.0 tokens: the platform
AccountManager via the special oauth2:scope token type syntax, and Google Play
Services (discussed in the next section). When using either of those APIs to
obtain a token, user authentication is implemented transparently by passing
the saved master token to the server-side component of GLS, which pro-
duces the native AccountManager access grant dialog (see Figure 8-8) instead
of a WebView with a permission grant page. If you grant token access to the
requesting application, a second request is sent to convey this to the server,
which returns the requested token. The access token is then directly deliv-
ered to the app, without passing through an intermediary component such
as a WebView. This is essentially the same flow as for web applications, except
that it doesn’t require context switching from native to browser and back,
and it’s much more user-friendly. Of course, this native authorization flow
only works for Google accounts, and writing a client for some other online
service that uses OAuth 2.0 still requires integrating its web interface into
your app. For example, Twitter clients often use WebView to process the per-
mission grant callback URL returned by the Twitter API.
Google Play Services
Google Play Services (GPS)9 was an -
nounced at Google I/O 2012 as an
easy-to-use platform that offers third-
party Android apps a way to integrate
with Google products. Since then, it
has grown into a giant all-in-one pack-
age (with over 14,000 Java methods!)
that provides access to Google APIs
and proprietary OS extensions.
As mentioned in the previous sec-
tion, getting OAuth 2.0 tokens via the
standard AccountManager interface has
been supported since Android 2.2
and higher, but it didn’t work reliably
across different Android builds
because their different bundled GLS
versions resulted in slightly different
behavior between devices. Addi-
tionally, the permission grant dialog
shown when requesting a token was
not particularly user friendly because
it showed the raw OAuth 2.0 scope
in some cases, which meant little to
most users (see Figure 8-8). While
9. Google, “Google Play Services,” http://developer.android.com/google/play-services/index.html
Figure 8-8: OAuth token access request
dialog

212 Chapter 8
human-readable aliases for certain scopes were partially supported (for
example, the Manage your tasks string was displayed instead of the raw
OAuth scope oauth2:https://www.googleapis.com/auth/tasks in some versions),
that solution was neither ideal nor universally available, as it too depended
on the pre-installed GLS version.
Generally, while Android’s account management framework is well-
integrated into the OS and extensible via third-party authenticator mod-
ules, its API is not particularly flexible, and adding support for multi-step
authentication or authorization flows such as those used in OAuth 2.0 is
far from straightforward. GPS manages to achieve this with the help of an
online service, which does its best to hide the complexity of OAuth 2.0 and
provides web APIs compatible with Android’s account management frame-
work. We discuss the details of this integration next.
GPS adds universal supports for displaying a user-friendly OAuth scope
description by making token issuance a two-step process:
1. Much like before, the first request
includes the account name, mas-
ter token, and requested service,
in the oauth2:scope format. GPS
adds two new parameters to the
request: the app’s package name
and the SHA-1 hash of its signing
certificate. The response includes
some human-readable details
about the requested scope and
requesting application, which GPS
shows in a permission grant dialog
like the one shown in Figure 8-9.
2. If the user grants permission, that
decision is recorded in the extras
table in a proprietary format that
includes the requesting app’s
package name, signing certificate
hash, and granted OAuth 2.0
scope. (Note that the grants table
is not used.) GPS then resends the
authorization request, setting the
has_permission parameter to 1. On
success, this results in an OAuth
2.0 token and its expiration date
in the response. The expiration
date is saved in the extras table,
and the token is cached in the
authtokens table in a similar
format.
Figure 8-9: Google Play Services
account access permission dialog

Online Account Management 213
The GPS app has the same shared user ID as the GSF and GLS pack-
ages (com.google.uid.shared), so it can directly interact with those services.
This allows it, among other things, to directly get and write Google account
credentials and tokens to the accounts database. As can be expected, GPS
runs in a remote service that’s accessed by a client library which is linked into
apps that use GPS. The major selling point against the legacy AccountManager
API is that while its underlying authenticator modules (GLS and GSF) are
part of the system (and as such cannot be updated without an OTA), GPS
is a user-installable app that can be easily updated via Google Play. In fact,
it is auto-updating, so app developers presumably won’t have to rely on
users to update it if they want to use newer features (unless GPS is disabled
altogether). This update mechanism is designed to provide “agility in roll-
ing out new platform capabilities,” but as GPS has come to integrate very
diverse APIs and functionalities that require extensive testing, updates have
been infrequent. That said, if your app uses OAuth 2.0 tokens to authenti-
cate to Google APIs (the preferred method as of this writing), you should
definitely consider using GPS over “raw” AccountManager access.
NOTE In order to be able to actually use a Google API, you must register your app’s package
name and signing key in Google’s API console. The registration lets services validat-
ing the token query Google about what app the token was issued for, thus identifying
the calling app. This validation process has one subtle but important side effect: you
don’t have to embed an API key in your app and send it with every request. Of course,
for a third-party published app, you can easily discover both the package name and
the signing certificate so it’s not particularly hard to get a token issued in the name of
some other app (though not via the official API, of course).
Summary
Android provides a centralized registry of user online accounts via the
AccountManager class, which lets you get tokens for existing accounts without
having to handle the raw user credentials and register your own custom
account types. Registering a custom account type gives you access to pow-
erful system features, such as authentication token caching and automatic
background synchronization. Google experience devices include built-in
support for Google accounts, which lets third-party apps access Google
online services without having to directly request authentication informa-
tion from the user. The Google Play Services app and companion client
library further improve support for Google accounts by making it easy to
use OAuth 2.0 tokens from third-party applications.
9
ENTERPRISE SECURITY
Initial Android versions were mostly consumer-
oriented, with limited enterprise features. However,
as the platform has grown in popularity, Android
devices have entered the workplace and are increas-
ingly used to access corporate email, customer infor-
mation, and other company data. As a result of this
trend, the need for increased platform security and tools that allow effec-
tive management of employee devices has steadily grown. While Android’s
primary focus remains general-purpose consumer devices, recent versions
have introduced numerous enterprise features and Android will likely
become even more enterprise-friendly as it develops.
In this chapter, we discuss Android’s major enterprise-oriented fea-
tures and demonstrate how they can be used to both increase device security
and provide centralized device policy management. We’ll begin with device
administration, and show how it can be integrated into third-party applica-
tions. We then look into Android’s VPN support and describe the APIs that
allow new VPN solutions to be developed as third-party, user-installed appli-
cations. Next we show how Android implements different authentication

216 Chapter 9
methods supported by the EAP authentication framework and describe how
it manages credentials. Finally, we demonstrate how to add an EAP profile
programmatically using the extended Wi-Fi management APIs added in
Android 4.3.
Device Administration
Android 2.2 introduced support for a Device Administration API, which
makes it possible to develop applications that can both enforce a system-
wide security policy and dynamically adapt their features based on the
device’s current security level. Such applications are called device administra-
tors. Device administrators must be explicitly enabled in the device’s secu-
rity settings and cannot be uninstalled if they are active. When enabled,
they’re granted special privileges that allow them to lock the device, change
the lockscreen password, and even wipe the device (delete all user data).
Device administrators are often coupled with a specific type of enterprise
account (such as a Microsoft Exchange or Google Apps account), which
allows enterprise administrators to control access to corporate data by
allowing access only to devices that conform to the required security policy.
Security policies can be static and built into the device administrator appli-
cation, or they can be configured on the server side and sent to the device
as part of a provisioning or synchronization protocol.
As of version 4.4, Android supports the policy types listed in Table 9-1.
The policy constants are defined in the DeviceAdminInfo class.1
Table 9-1: Supported Device Administration Policies
Policy Constant/XML Tag Value
(bit to set)
Description API
Level
USES_POLICY_LIMIT_PASSWORD
<limit-password>
0 Limit the passwords that
the user can select by
setting a minimum length
or complexity.
8
USES_POLICY_WATCH_LOGIN
<watch-login>
1Watch login attempts by
a user. 8
USES_POLICY_RESET_PASSWORD
<reset-password>
2Reset a user’s password. 8
USES_POLICY_FORCE_LOCK
<force-lock>
3 Force the device to lock,
or limit the maximum lock
timeout.
8
USES_POLICY_WIPE_DATA
<wipe-data>
4 Factory reset the device,
erasing all user data. 8
USES_POLICY_SETS_GLOBAL_PROXY
<set-global-proxy>
5 Specify the device global
proxy. (This is hidden from
SDK applications.)
9
1. Google, Android APIs Reference, “DeviceAdminInfo,” https://developer.android.com/reference/
android/app/admin/DeviceAdminInfo.html

Enterprise Security 217
Policy Constant/XML Tag Value
(bit to set)
Description API
Level
USES_POLICY_EXPIRE_PASSWORD
<expire-password>
6 Force the user to change
their password after an
administrator-defined time
limit.
11
USES_ENCRYPTED_STORAGE
<encrypted-storage>
7 Require stored data to be
encrypted. 11
USES_POLICY_DISABLE_CAMERA
<disable-camera>
8 Disable the use of all
device cameras. 14
USES_POLICY_DISABLE_KEYGUARD_FEATURES
<disable-keyguard-features>
9 Disable the use of
keyguard features such
as lockscreen widgets or
camera support.
17
Each device administration applica-
tion must list the policies it intends to
use in a metadata file (see “Privilege
Management” on page 218 for details).
The list of supported policies is dis-
played to the user when they activate
the administrator app, as shown in
Figure 9-1.
Implementation
Now that we know which policies
can be enforced with the Device
Administration API, let’s look at
the internal implementation. Like
most public Android APIs, a man-
ager class called DevicePolicyManager2
exposes part of the functionality
of the underlying system service,
DevicePolicyManagerService. However,
because the DevicePolicyManager facade
class defines constants and translates
service exceptions to return codes but
otherwise adds little functionality, we’ll
focus on the DevicePolicyManagerService
class.
Like most system services, DevicePolicyManagerService is started by and
runs within the system_server process as the system user, and thus can exe-
cute almost all Android privileged actions. Unlike most system services,
2. Google, Android APIs Reference, “DevicePolicyManager,” https://developer.android.com/
reference/android/app/admin/DevicePolicyManager.html
Figure 9-1: Device administrator acti-
vation screen
218 Chapter 9
it can grant access to certain privileged actions (such as changing the
lockscreen password) to third-party applications, which do not need to
hold any special system permissions. This makes it possible for users to
enable and disable device administrators on demand, and guarantees that
device administrators can only enforce policies that they have explicitly
declared. However, this level of flexibility cannot be easily implemented
with standard Android permissions that are only granted at install time
and cannot be revoked (with some exceptions, as discussed in Chapter 2).
Therefore, DevicePolicyManagerService employs a different method for privi-
lege management.
Another interesting aspect of Android’s device administration imple-
mentation relates to how policies are managed and enforced. We describe
device administrator privilege management and policy enforcement in
detail next.
Privilege Management
At runtime, the DevicePolicyManagerService keeps an internal, on-memory list
of policy structures for each device user. (Policies are also persisted on disk
in an XML file, as described in the next section.)
Each policy structure contains the currently effective policy for a certain
user and a list of metadata about each active device administrator. Because
each user can enable more than one application with device administra-
tor functionality, the currently active policy is calculated by selecting the
strictest defined policy among all administrators. The metadata about each
active device administrator contains information about the declaring appli-
cation, and a list of declared policies (represented by a bitmask).
The DevicePolicyManagerService decides whether to grant access to privi-
leged operations to a calling application based on its internal list of active
policies: if the calling application is currently an active device administra-
tor, and it has requested the policy that corresponds to the current request
(API call), only then is the request granted and the operation executed. In
order to confirm that an active administrator component really belongs to
the calling application, DevicePolicyManagerService compares the UID of the
calling process (returned by Binder.getCallingUid()) with the UID associated
with the target administrator component. For example, an application that
calls the resetPassword() needs to be an active device administrator, have the
same UID as the registered administrator component, and have requested
the USES_POLICY_RESET_PASSWORD policy in order for the call to succeed.
Policies are requested by adding an XML resource file that lists all poli-
cies that a device administrator application wants to use as children of the
<uses-policies> tag. Before a device administrator is activated, the system
parses the XML file and displays a dialog similar to the one in Figure 9-1,
allowing the user to review the requested policies before enabling the
administrator. Much like Android permissions, administrator policies are
granted on an all-or-nothing basis, and there is no way to selectively enable

Enterprise Security 219
only certain policies. A resource file that requests all policies might look
like Listing 9-1 (for the policy corresponding to each tag, see the first col-
umn of Table 9-1). You can find more details about adding this file to a
device administrator application in “Adding a Device Administrator” on
page 223.
<?xml version="1.0" encoding="utf-8"?>
<device-admin xmlns:android="http://schemas.android.com/apk/res/android">
<uses-policies>
<limit-password />
<watch-login />
<reset-password />
<force-lock />
<wipe-data />
<expire-password />
<encrypted-storage />
<disable-camera />
<disable-keyguard-features />
<set-global-proxy />
</uses-policies>
</device-admin>
Listing 9-1: Declaring policies in a device administrator application
In order to be notified about policy-related system events and to be
allowed access to the Device Administration API, device administrators
must be activated first. This is achieved by calling the setActiveAdmin()
method of the DevicePolicyManagerService. Because this method requires
the MANAGE_DEVICE_ADMINS permission, which is a system signature permis-
sion, only system applications can add a device administrator without user
interaction.
User-installed device administrator applications can only request to be
activated by starting the ACTION_ADD_DEVICE_ADMIN implicit intent with code
similar to Listing 9-2. The only handler for this intent is the system Settings
application, which holds the MANAGE_DEVICE_ADMINS permission. Upon receiv-
ing the intent, the Settings applications checks whether the requesting
application is a valid device administrator, extracts the requested policies,
and builds the confirmation dialog shown in Figure 9-1. The user pressing
the Activate button calls the setActiveAdmin() method, which adds the appli-
cation to the list of active administrators for the current device user.
Intent intent = new Intent(DevicePolicyManager.ACTION_ADD_DEVICE_ADMIN);
ComponentName admin = new ComponentName(this, MyDeviceAdminReceiver.class);
intent.putExtra(DevicePolicyManager.EXTRA_DEVICE_ADMIN, admin);
intent.putExtra(DevicePolicyManager.EXTRA_ADD_EXPLANATION,
"Required for corporate email access.");
startActivityForResult(intent, REQUEST_CODE_ENABLE_ADMIN);
Listing 9-2: Requesting device administrator activation

220 Chapter 9
Policy Persistence
When a device administrator is activated, deactivated, or its policies are
updated, changes are written to the device_policies.xml file for the target user.
For the owner user, that file is stored under /data/system/, and for all other
users it’s written to the user’s system directory (/data/users/<user-ID>/). The
file is owned by and only modifiable by the system user (file permissions 0600).
The device_policies.xml file contains information about each active
administrator and its policies, as well some global information about the
current lockscreen password. The file might look like Listing 9-3.
<?xml version='1.0' encoding='utf-8' standalone='yes' ?>
<policies>
<admin name="com.google.android.gms/com.google.android.gms.mdm.receivers.MdmDeviceAdminReceiver">u
<policies flags="28" />
</admin>
<admin name="com.example.android.apis/com.example.android.apis.app.DeviceAdminSampleReceiver">v
<policies flags="1023" />w
<password-quality value="327680" />x
<min-password-length value="6" />
<min-password-letters value="2" />
<min-password-numeric value="2" />
<max-time-to-unlock value="300000" />
<max-failed-password-wipe value="100" />
<encryption-requested value="true" />
<disable-camera value="true" />
<disable-keyguard-features value="1" />
</admin>
<admin name="com.android.email/com.android.email.SecurityPolicy$PolicyAdmin">y
<policies flags="475" />
</admin>
<password-owner value="10076" />z
<active-password quality="327680" length="6"
uppercase="0" lowercase="3"
letters="3" numeric="3" symbols="0" nonletter="3" />{
</policies>
Listing 9-3: Contents of the devices_policies.xml file
This example has three active device administrators, each represented
by an <admin> element (u, v, and y). The policies of each administrator
app are stored in the flags attribute of the <policies> tag w.
A policy is considered enabled if its corresponding bit is set (see the
Value column of Table 9-1). For example, because the DeviceAdminSample
application has requested all currently available policies, its flags attribute
has the value 1023 (0x3FF, or 1111111111 in binary).
If the administrator defines password quality restrictions (for example,
alphanumeric or complex), they are persisted as the value attribute of the
<password-quality> tag x. In this example, the value 327680 (0x50000) cor-
responds to PASSWORD_QUALITY_ALPHANUMERIC. (Password quality constants are
defined in the DevicePolicyManager class.)

Enterprise Security 221
The values of other policy requirements, such as password length and
device encryption, are also stored as children of each <admin> element. If
the password has been set programmatically by using the resetPassword()
method, device_policies.xml contains a <password-owner> tag that stores the
UID of the application that sets the password in its value attribute z.
Finally, the <active-password> tag contains details about the complexity of
the current password {.
Policy Enforcement
Device administrator policies have different granularity and can be enforced
either for the current user or for all users on a device. Some policies are not
enforced by the system at all—the system only notifies the declaring admin-
istration application, which is then responsible for taking an appropriate
action. In this section, we describe how each type of policy is implemented
and enforced.
USES_POLICY_LIMIT_PASSWORD
After one or more password restric-
tions have been set, users cannot
enter a password that does not fulfill
the current policy. However, the sys-
tem does not require passwords to
be changed immediately, so the cur-
rent password remains in effect until
changed. Administrator applications
can prompt the user for a new pass-
word by starting an implicit intent
with the DevicePolicyManager.ACTION_
SET_NEW_PASSWORD action.
Because each device user has
a separate unlock password, pass-
word quality policies are applied
per-user. When password quality
is set, unlock methods that do not
allow for a password of the desired
quality are disabled. For example,
setting password quality to PASSWORD_
QUALITY_ALPHANUMERIC disables the
Pattern and PIN unlock methods,
as shown in Figure 9-2.
USES_POLICY_WATCH_LOGIN
This policy enables device administrators to receive notifications
about the outcome of login attempts. Notifications are sent with
the ACTION_PASSWORD_FAILED and ACTION_PASSWORD_SUCCEEDED broadcasts.
Broadcast receivers that derive from DeviceAdminReceiver are automatically
notified via the onPasswordFailed() and onPasswordSucceeded() methods.
Figure 9-2: Setting a password qual-
ity policy disables incompatible
unlock methods

222 Chapter 9
USES_POLICY_RESET_PASSWORD
This policy enables administrator applications to set the current user’s
password via the resetPassword() API. The specified password must satisfy
the current password quality requirements and takes effect immediately.
Note that if the device is encrypted, setting the lockscreen password for
the owner user also changes the device encryption password. (Chapter 10
provides more detail on device encryption.)
USES_POLICY_FORCE_LOCK
This policy allows administrators to lock the device immediately by
calling the lockNow() method, or to specify the maximum time for user
inactivity until the device locks automatically via setMaximumTimeToLock().
Setting the maximum time to lock takes effect immediately and lim-
its the inactivity sleep time that users can set via the system Display
settings.
USES_POLICY_WIPE_DATA
This policy allows device administrators to wipe user data by calling the
wipeData() API. Applications that also request the USES_POLICY_WATCH_LOGIN
policy can set the number of failed login attempts before the device
is wiped automatically via the setMaximumFailedPasswordsForWipe() API.
When the number of failed passwords is set to a value greater than zero,
the lockscreen implementation notifies the DevicePolicyManagerService
and displays a warning dialog after each failed attempt, and triggers
a data wipe once the threshold is reached. If the wipe is triggered by
an unsuccessful login attempt by the owner user, a full device wipe is
performed. If, on the other hand, the wipe is triggered by a secondary
user, only that user (and any associated data) is deleted and the device
switches to the owner user.
NOTE Full device wipe is not immediate, but is implemented by writing a wipe_data com-
mand in the cache partition and rebooting into recovery mode. The recovery OS is
responsible for executing the actual device wipe. Therefore, if the device has a custom
recovery image that ignores the wipe command, or if the user manages to boot into a
custom recovery and delete or modify the command file, the device wipe might not be
executed. (Chapters 10 and 13 discuss recovery images in more detail.)
USES_POLICY_SETS_GLOBAL_PROXY
As of Android 4.4, this policy is not available to third-party applica-
tions. It allows device administrators to set the global proxy server host
(Settings.Global.GLOBAL_HTTP_PROXY_HOST), port (GLOBAL_HTTP_PROXY_PORT),
and the list of excluded hosts (GLOBAL_HTTP_PROXY_EXCLUSION_LIST) by writ-
ing to the global system settings provider. Only the device owner is
allowed to set global proxy settings.
Enterprise Security 223
USES_POLICY_EXPIRE_PASSWORD
This policy allows administrators to set the password expiration time-
out via the setPasswordExpirationTimeout() API. If an expiration timeout
is set, the system registers a daily alarm that checks for password expi-
ration. If the password has already expired, DevicePolicyManagerService
posts daily password change notifications until it is changed. Device
administrators are notified about password expiration status via the Dev
iceAdminReceiver.onPasswordExpiring() method.
USES_ENCRYPTED_STORAGE
This policy allows administrators to request that device storage be
encrypted via the setStorageEncryption() API. Only the owner user can
request storage encryption. Requesting storage encryption does not auto-
matically start the device encryption process if the device is not encrypted;
device administrators must check the current storage status by using
the getStorageEncryptionStatus() API (which checks the ro.crypto.state
read-only system property), and start the encryption process. Device
encryption can be kicked off by starting the associated system activity
with the ACTION_START_ENCRYPTION implicit intent.
USES_POLICY_DISABLE_CAMERA
This policy allows device administrators to disable all cameras on the
device via the setCameraDisabled() API. Camera is disabled by setting
the sys.secpolicy.camera.disabled system property to 1. The native system
CameraService checks this property and disallows all connections if it is
set to 1, effectively disabling the camera for all users of the device.
USES_POLICY_DISABLE_KEYGUARD_FEATURES
This policy allows administrators to disable keyguard customizations
such as lockscreen widgets by calling the setKeyguardDisabledFeatures()
method. The system keyguard implementation checks if this policy is
in effect and disables the corresponding features for the target user.
Adding a Device Administrator
As with other applications, device administrators can either be included in
the system image or they can be installed by users. If an administrator is
part of the system image, it can be set as the device owner app in Android 4.4
and later, which is a special kind of device admin that cannot be disabled by
the user and cannot be uninstalled. In this section, we’ll show how to imple-
ment a device admin app and then demonstrate how a system app can be
set as the device owner.

224 Chapter 9
Implementing a Device Administrator
A device administrator application needs to declare a broadcast receiver
that requires the BIND_DEVICE_ADMIN permission (u in Listing 9-4), declares
an XML resource file that lists the policies it uses v, and responds to the
ACTION_DEVICE_ADMIN_ENABLED intent w. Listing 9-1 shows a sample policy
declaration.
<?xml version="1.0" encoding="utf-8"?>
<manifest xmlns:android="http://schemas.android.com/apk/res/android"
package="com.example.deviceadmin">
--snip--
<receiver android:name=".MyDeviceAdminReceiver"
android:label="@string/device_admin"
android:description="@string/device_admin_description"
android:permission="android.permission.BIND_DEVICE_ADMIN">u
<meta-data android:name="android.app.device_admin"
android:resource="@xml/device_admin_policy" />v
<intent-filter>
<action android:name="android.app.action.DEVICE_ADMIN_ENABLED" />w
</intent-filter>
</receiver>
--snip--
</manifest>
Listing 9-4: Device administrator broadcast receiver declaration
The Android SDK provides a base class that you can derive your receiver
from, namely android.app.admin.DeviceAdminReceiver. This class defines a
number of callback methods that you can override in order to handle the
device policy-related broadcasts sent by the system. The default implemen-
tations are empty, but at a minimum you should override the onEnabled()
and onDisabled() methods in order to be notified when the administrator is
enabled or disabled. Device administrators cannot use any privileged APIs
before onEnabled() is called or after onDisabled() is called.
You can use the isAdminActive() API at any time to see if an applica-
tion is currently an active device administrator. As mentioned in “Privilege
Management” on page 218, an administrator cannot activate itself auto-
matically, but must start a system activity to prompt for user confirmation
with code similar to Listing 9-2. However, when already active, an adminis-
trator can deactivate itself by calling the removeActiveAdmin() method.
NOTE See the official Device Administration API guide3 for more details and a full working
example application.
Setting the Device Owner
A device administrator application that’s part of the system image (that is, its
APK file is installed on the system partition) can be set as the device owner by
3. Google, API Guides, “Device Administration,” https://developer.android.com/guide/topics/
admin/device-admin.html

Enterprise Security 225
calling the setDeviceOwner(String packageName, String ownerName) method (not
visible in the public SDK API). The first parameter in this method specifies
the package name of the target application, and the second specifies the
name of the owner to be displayed in the UI. While this method requires no
special permissions, it can only be called before a device is provisioned (that
is, if the global setting Settings.Global.DEVICE_PROVISIONED is set to 0), which
means that it can only be called by system applications that execute as part
of device initialization.
A successful call to this method writes a device_owner.xml file (like the one
in Listing 9-5) to /data/system/. Information about the current device owner
can be obtained using the getDeviceOwner(), isDeviceOwner() (which is exposed
as isDeviceOwnerApp() in the Android SDK API) and getDeviceOwnerName()
methods.
<?xml version='1.0' encoding='utf-8' standalone='yes' ?>
<device-owner package="com.example.deviceadmin" name="Device Owner" />
Listing 9-5: Contents of the device_owner.xml file
When a device owner is activated, either as part of the provisioning
process or by the user, it cannot be disabled and uninstalled, as shown in
Figure 9-3.
Figure 9-3: A device owner adminis-
trator cannot be disabled.

226 Chapter 9
Managed Devices
A device with an owner administrator installed is called a managed device,
and it reacts differently to configuration changes that affect device security
than unmanaged devices. As discussed in Chapters 6 and 7, Android allows
users to install certificates in the system trust store either via the system
Settings application, or by using third-
party applications that call the KeyChain
API. If there are user-installed certifi-
cates in the system trust store, as of ver-
sion 4.4 Android shows a warning (see
Figure 6-6 on page 161) notifying
users that their communications can
be monitored.
Enterprise networks often require
trusted certificates (for example, the
root certificate of a corporate PKI) to
be installed in order to access enter-
prise services. Such certificates can be
silently installed or removed by device
administrators that hold the MANAGE_CA_
CERTIFICATES system permissions via the
installCaCert() and uninstallCaCert()
methods of the DevicePolicyManager class
(these methods are reserved for system
applications and aren’t visible in the
public SDK API). If an additional
trusted certificate is installed on a
managed device, the network monitor-
ing warning changes to a less scary
information message, as shown in
Figure 9-4.
Enterprise Account Integration
As mentioned in “Device Administration” on page 216, device adminis-
trator applications are often coupled with enterprise accounts, in order to
allow some control over devices that access company data. In this section,
we’ll discuss two such implementations: one in the stock Email application,
which works with Microsoft Exchange ActiveSync accounts, and the other
in the dedicated Google Apps Device Policy application, which works with
corporate Google accounts.
Microsoft Exchange ActiveSync
Microsoft Exchange ActiveSync (usually abbreviated as EAS) is a protocol
that supports email, contacts, calendar, and task synchronization from a
Figure 9-4: Network monitoring infor-
mation message shown on managed
devices

Enterprise Security 227
groupware server to a mobile device.
It’s supported both by Microsoft’s own
Exchange Server, and by most compet-
ing products, including Google Apps.
The Email application included in
Android supports ActiveSync accounts
and data synchronization via dedicated
account authenticators (see Chapter 8)
and sync adapters. In order to allow
enterprise administrators to enforce a
security policy on devices that access
email and other corporate data, the
Email application doesn’t allow syn-
chronization until the built-in device
administrator is enabled by the user.
The administrator can set lockscreen
password rules, erase all data, require
storage encryption, and disable device
cameras, as shown in Figure 9-5.
However, the policies are not built
into the app but fetched from the ser-
vice using the EAS Provision protocol.
Google Apps
The corporate version of Google’s
Gmail service, Google Apps, also sup-
ports setting mobile device security pol-
icies. If the feature is enabled by the domain administrator, Google Apps
account holders can also remotely locate, ring, lock, or wipe their Android
devices. Domain administrators can also selectively delete a Google Apps
account and all of its associated content from a managed device, without
performing a full wipe. Both security policy enforcement and remote device
management are implemented in the dedicated Google Apps Device Policy
application (see y in Listing 9-3 on page 220).
When first started, the application requests that the user enable the
built-in device administrator and displays the current domain policy set-
tings as shown in Figure 9-6.
Domain administrators define policies in the Google Apps admin
console (see Figure 9-7), and policy settings are pushed to devices using
Google’s proprietary sync protocol.
While free Google accounts do not support setting a device policy,
Google experience devices can use the basic device administrator built
into Google Play Services (see u in Listing 9-3 on page 220). This admin-
istrator allows Google account holders to remotely locate or wipe their
devices using the Android Device Manager website or the associated
Android application.
Figure 9-5: Device administrator
policies required for using an EAS
account

228 Chapter 9
Figure 9-6: Policy enforcement con-
firmation in the Google Apps Device
Policy application
Figure 9-7: Google Apps device policy management UI
Enterprise Security 229
VPN Support
A Virtual Private Network (VPN) allows a private network to be extended
across a public network without requiring a dedicated physical connection,
thus enabling all connected devices to send and receive data as if colocated
and physically connected to the same private network. When a VPN is
used to allow individual devices to connect to a target private network, it’s
referred to as a remote access VPN, and when used to connect two remote net-
works, as a site-to-site VPN.
Remote-access VPNs can connect fixed devices with a static IP address,
such as a computer in a remote office, but configurations where mobile
clients use variable network connections and dynamic addresses are much
more common. Such a configuration is often called a road warrior configura-
tion and is the configuration most commonly used with Android VPN clients.
In order to ensure that data transmitted over a VPN remains private,
VPNs typically authenticate remote clients and provide data confidentiality
and integrity by using a secure tunneling protocol. VPN protocols are com-
plex because they work at multiple network layers simultaneously and often
involve multiple levels of encapsulation in order to be compatible with vari-
ous network configurations. A thorough discussion of them is beyond the
scope of his book, but in the following sections you’ll find a brief overview
of the major types of VPN protocols, with a focus on the ones available on
Android.
PPTP
The Point-to-Point Tunneling Protocol (PPTP) uses a TCP control channel
to establish connections and the Generic Routing Encapsulation (GRE)
tunneling protocol to encapsulate Point-to-Point Protocol (PPP) packets.
Several authentication methods such as Password Authentication Protocol
(PAP), Challenge-Handshake Authentication Protocol (CHAP), and its
Microsoft extension MS-CHAP v1/v2, as well as EAP-TLS, are supported,
but only EAP-TLS is currently considered secure.
The PPP payload can be encrypted using the Microsoft Point-to-Point
Encryption (MPPE) protocol, which uses the RC4 stream cipher. Because
MPPE does not employ any form of ciphertext authentication, it is vulner-
able to bit-flipping attacks. In addition, multiple problems with the RC4
cipher have been uncovered in recent years, which further reduces the secu-
rity of MMPE and PPTP.
L2TP/IPSec
The Layer 2 Tunneling Protocol (L2TP) is similar to PPTP and exists at the
data link layer (Layer 2 in the OSI model). Because L2TP provides no
encryption or confidentiality of its own (it relies on the tunneled protocol
to implement these features), an L2TP VPN is typically implemented using
a combination of L2TP and the Internet Protocol Security (IPSec) protocol
suite, which adds authentication, confidentiality, and integrity.

230 Chapter 9
In an L2TP/IPSec configuration, a secure channel is first established
using IPSec, and an L2TP tunnel is then established over the secure chan-
nel. L2TP packets are always wrapped inside IPSec packets and are there-
fore secure. An IPSec connection requires establishing a Security Association
(SA), which is a combination of cryptographic algorithm and mode, encryp-
tion key, and other parameters required to establish a secure channel.
SAs are established using the Internet Security Association and Key
Management Protocol (ISAKMP). ISAKMP does not define a particular key
exchange method and is typically implemented either by manual configura-
tion of pre-shared secrets, or by using the Internet Key Exchange (IKE and
IKEv2) protocol. IKE uses X.509 certificates for peer authentication (much
like SSL), and a Diffie-Hellman key exchange in order to establish a shared
secret, which is used to derive the actual session encryption keys.
IPSec Xauth
IPSec Extended Authentication (Xauth) extends IKE to include additional
user authentication exchanges. This allows an existing user database or a
RADIUS infrastructure to be used to authenticate remote access clients,
and makes it possible to integrate two-factor authentication.
Mode-configuration (Modecfg) is another IPSec extension that is often
used in a remote access scenario. Modecfg allows VPN servers to push net-
work configuration information such as the private IP address and DNS
server addresses to clients. When used in combination, Xauth and Modecfg
make it possible to create a pure-IPSec VPN solution, which doesn’t rely on
additional protocols for authentication and tunneling.
SSL-Based VPNs
SSL-based VPNs use SSL or TLS (see Chapter 6) to establish a secure con-
nection and tunnel network traffic. No single standard defines SSL-based
VPNs, and different implementations use different strategies in order to
establish a secure channel and encapsulate packets.
OpenVPN is a popular open source application that uses SSL for
authentication and key exchange (preconfigured shared static keys are
also supported), and a custom encryption protocol4 to encrypt and authen-
ticate packets. OpenVPN multiplexes the SSL session used for authentica-
tion and key exchange, and the encrypted packets stream over a single UDP
(or TCP) port. The multiplexing protocol provides a reliable transport layer
for SSL on top of UDP, but it tunnels encrypted IP packets over UDP with-
out adding reliability. Reliability is provided by the tunneled protocol itself,
which is usually TCP.
The main advantages of OpenVPN over IPSec are that it is much simpler
and can be implemented entirely in userspace. IPSec, on the other hand,
requires kernel-level support and implementation of multiple interoperating
4. OpenVPN Technologies, Inc, “OpenVPN Security Overview,” http://openvpn.net/index.php/
open-source/documentation/security-overview.html

Enterprise Security 231
protocols. Additionally, it’s easier to get OpenVPN traffic through firewalls,
NAT, and proxies because it uses the common network protocols TCP and
UDP and can multiplex tunneled traffic over a single port.
The following sections examine Android’s built-in VPN support and
the APIs it provides for applications that want to implement additional VPN
solutions. We’ll also review the components that make up Android’s VPN
infrastructure and show how it protects VPN credentials.
Legacy VPN
Prior to Android 4.0, VPN support
was entirely built into the platform
and wasn’t extensible. Support for new
VPN types could only be added as part
of platform updates. To distinguish it
from application-based implementa-
tions, built-in VPN support is referred
to as legacy VPN.
Early Android versions supported
different VPN configurations based
on PPTP and L2TP/IPsec, with sup-
port for “pure-IPSec” VPNs using
IPSec Xauth added in version 4.0. In
addition to new built-in VPN configu-
rations, Android 4.0 also introduced
application-based VPNs by supplying
the base platform class VpnService,
which applications could extend in
order to implement a new VPN
solution.
Legacy VPN is controlled via the
system Settings application and is only
available to the owner (also called the
primary user) on multi-user devices.
Figure 9-8 shows the dialog for adding
a new IPSec legacy VPN profile.
Implementation
Legacy VPNs are implemented using a combination of kernel drivers as
well as native daemons, commands, and system services. The lower-level
implementation of PPTP and L2TP tunneling uses an Android-specific
PPP daemon called mtpd and the PPPoPNS and PPPoLAC (only available in
Android kernels) kernel drivers.
Because legacy VPNs support only a single VPN connection per device,
mtpd can create only a single session. IPSec VPNs leverage the built-in ker-
nel support for IPSec and a modified racoon IKE key management daemon
Figure 9-8: Legacy VPN profile defini-
tion dialog

232 Chapter 9
(part of the IPSec-Tools5 utilities package that complements the Linux ker-
nel IPSec implementation; racoon supports only IKEv1). Listing 9-6 shows
how these two daemons are defined in init.rc.
service racoon /system/bin/racoonu
class main
socket racoon stream 600 system systemv
# IKE uses UDP port 500. Racoon will setuid to vpn after binding the port.
group vpn net_admin inetw
disabled
oneshot
service mtpd /system/bin/mtpdx
class main
socket mtpd stream 600 system systemy
user vpn
group vpn net_admin inet net_rawz
disabled
oneshot
Listing 9-6: racoon and mtpd definition in init.rc
Both racoon u and mtpd x create control sockets (v and y), which are
only accessible by the system user and are not started by default. Both dae-
mons have vpn, net_admin (mapped by the kernel to the CAP_NET_ADMIN Linux
capability), and inet added to their supplementary groups (w and z), which
allow them to create sockets and control network interface devices. The
mtpd daemon also receives the net_raw group (mapped to the CAP_NET_RAW
Linux capability), which allows it to create GRE sockets (used by PPTP).
When a VPN is started via the system Settings app, Android starts the
racoon and mtpd daemons and sends them control commands via their local
sockets in order to establish the configured connection. The daemons create
the requested VPN tunnel, and then create and configure a tunnel network
interface with the received IP address and network mask. While mtpd per-
forms interface configuration internally, racoon uses the helper command
ip-up-vpn to bring up the tunnel interface, which is usually tun0.
In order to communicate connection parameters back to the framework,
VPN daemons write a state file in /data/misc/vpn/ as shown in Listing 9-7.
# cat /data/misc/vpn/state
tun0u
10.8.0.1/24v
192.168.1.0/24w
192.168.1.1x
example.comy
Listing 9-7: Contents of the VPN state file
5. IPSec-Tools, http://ipsec-tools.sourceforge.net/

Enterprise Security 233
The file contains the tunnel interface name u, its IP address and mask v,
configured routes w, DNS servers x, and search domains y, with each on a
new line.
After the VPN daemons start running, the framework parses the state
file and calls the system ConnectivityService in order to configure routing,
DNS servers, and search domains for the newly established VPN connec-
tion. In turn, ConnectivityService sends control commands via the local
control socket of the netd daemon, which can modify the kernel’s packet
filtering and routing tables because it runs as root. Traffic from all applica-
tions started by the owner user and restricted profiles is routed through the
VPN interface by adding a firewall rule that matches the application UID
and corresponding routing rules. (We discuss per-application traffic rout-
ing and multi-user support in detail in “Multi-User Support” on page 239).
Profile and Credential Storage
Each VPN configuration created via the Settings app is called a VPN profile
and is saved on disk in encrypted form. Encryption is performed by the
Android credential storage daemon keystore, with a device-specific key. (See
Chapter 7 for more on credential storage implementation.)
VPN profiles are serialized by concatenating all configured properties,
which are delimited by a NUL character (\0) in a single profile string that
is saved to the system keystore as a binary blob. VPN profile filenames are
generated by appending the current time in milliseconds (in hexadecimal
format) to the VPN_ prefix. For example, Listing 9-8 shows the keystore direc-
tory of a user with three configured VPN profiles (file timestamps omitted):
# ls -l /data/misc/keystore/user_0
-rw------- keystore keystore 980 1000_CACERT_cacertu
-rw------- keystore keystore 52 1000_LOCKDOWN_VPNv
-rw------- keystore keystore 932 1000_USRCERT_vpnclientw
-rw------- keystore keystore 1652 1000_USRPKEY_vpnclientx
-rw------- keystore keystore 116 1000_VPN_144965b85a6y
-rw------- keystore keystore 84 1000_VPN_145635c88c8z
-rw------- keystore keystore 116 1000_VPN_14569512c80{
Listing 9-8: Contents of the keystore directory when VPN profiles are configured
The three VPN profiles are stored in the 1000_VPN_144965b85a6 y,
1000_VPN_145635c88c8 z, and 1000_VPN_14569512c80 { files. The 1000_
prefix represents the owner user, which is system (UID 1000). Because VPN
profiles are owned by the system user, only system applications can retrieve
and decrypt profile contents.
Listing 9-9 shows the decrypted contents of the three VPN profile files.
(The NUL character has been replaced with vertical bar [|] for readability.)

234 Chapter 9
psk-vpn|1|vpn1.example.com|test1|pass1234||||true|l2tpsecret|l2tpid|PSK|||u
pptpvpn|0|vpn2.example.com|user1|password||||true||||||v
certvpn|4|vpn3.example.com|user3|password||||true||||vpnclient|cacert|w
Listing 9-9: Contents of VPN profile files
The profile files contain all fields shown in the VPN profile edit dialog
(see Figure 9-8), with missing properties represented by an empty string.
The first five fields represent the name of the VPN, the type of VPN, the VPN
gateway host, the username, and the password, respectively. In Listing 9-9,
the first VPN profile u is for an L2TP/IPsec VPN with pre-shared key
(type 1); the second profile v is for a PPTP VPN (type 0), and the last one w
is for a IPSec VPN that uses certificates and Xauth authentication (type 4).
In addition to the username and password, VPN profile files also contain
all other credentials required to connect to the VPN. In the case of the first
VPN profile u in Listing 9-9, the additional credential is the pre-shared key
required to establish an IPSec secure connection (represented by the PSK
string in this example). In the case of the third profile w, the additional cre-
dentials are the user’s private key and certificate. However, as you can see in
the listing, the full key and certificate are not included; instead, the profile
contains only the alias (vpnclient) of the key and certificate (both share a
common alias). The private key and certificate are stored in the system cre-
dential store, and the alias included in the VPN profile serves only as an iden-
tifier, which is used to access or retrieve the key and certificate.
Accessing Credentials
The racoon daemon, which originally used keys and certificates stored in
PEM files, was modified to use Android’s keystore OpenSSL engine. As dis-
cussed in Chapter 7, the keystore engine is a gateway to the system credential
store, which can take advantage of hardware-backed credential store imple-
mentations when available. When passed a key alias, it uses the correspond-
ing private key to sign authentication packets, without extracting the key
from the keystore.
The VPN profile w in Listing 9-9 also contains the alias of the CA cer-
tificate (cacert), which is used as a trust anchor when validating the server’s
certificate. At runtime, the framework retrieves the client certificate (w in
Listing 9-8) and the CA certificate (u in Listing 9-8) from the system key-
store and passes them to racoon via the control socket, along with other con-
nection parameters. The private key blob (x in Listing 9-8) is never directly
passed to the racoon daemon, only its alias (vpnclient).
NOTE While private keys are protected by hardware on devices with a hardware-backed
keystore, pre-shared keys or passwords stored in a VPN profile content are not. The
reason for this is that as of this writing, Android doesn’t support importing symmetric
keys in the hardware-backed keystore; it only supports asymmetric keys (RSA, DSA,
and EC). As a result, credentials for VPNs that use pre-shared keys are stored in the
VPN profile in plaintext form and can be extracted from devices that allow root access
after the profile is decrypted on memory.

Enterprise Security 235
Always-On VPN
Android 4.2 and later supports an
always-on VPN configuration, which
blocks all network connections from
applications until a connection to the
specified VPN profile is established.
This prevents applications from send-
ing data across insecure channels, such
as public Wi-Fi networks.
Setting up an always-on VPN
requires setting up a VPN profile that
specifies the VPN gateway as an IP
address, and specifies an explicit DNS
server IP address. This explicit configu-
ration is required in order to make sure
that DNS traffic isn’t sent to the locally
configured DNS server, which is blocked
when an always-on VPN is in effect. The
VPN profile selection dialog is shown in
Figure 9-9.
The profile selection is saved with
other VPN profiles in the encrypted file
LOCKDOWN_VPN (v in Listing 9-8)
which contains only the name of
the selected profile; in our example,
144965b85a6. If the LOCKDOWN_VPN
file is present, the system automatically
connects to the specified VPN when the device boots. If the underlying net-
work connection reconnects or changes (for example, when switching Wi-Fi
hotspots), the VPN is automatically restarted.
An always-on VPN guarantees that all traffic goes through the VPN
by installing firewall rules that block all packets except those which go
through the VPN interface. The rules are installed by the LockdownVpnTracker
class (always-on VPN is referred to as lockdown VPN in Android source
code), which monitors VPN state and adjusts the current firewall state by
sending commands to the netd daemon, which in turn executes the iptables
utility in order to modify the kernels packet filtering tables. For example,
when an always-on L2TP/IPSec VPN has connected to a VPN server with IP
address 11.22.33.44 and has created a tunnel interface tun0 with IP address
10.1.1.1, the installed firewall rules (as reported by iptables; some columns
have been omitted for brevity) might look like Listing 9-10.
# iptables -v -L n
--snip--
Chain fw_INPUT (1 references)
target prot opt in out source destination
RETURN all -- * * 0.0.0.0/0 10.1.1.0/24u
RETURN all -- tun0 * 0.0.0.0/0 0.0.0.0/0v
Figure 9-9: Always-on VPN profile
selection dialog

236 Chapter 9
RETURN udp -- * * 11.22.33.44 0.0.0.0/0 udp spt:1701w
RETURN tcp -- * * 11.22.33.44 0.0.0.0/0 tcp spt:1701
RETURN udp -- * * 11.22.33.44 0.0.0.0/0 udp spt:4500
RETURN tcp -- * * 11.22.33.44 0.0.0.0/0 tcp spt:4500
RETURN udp -- * * 11.22.33.44 0.0.0.0/0 udp spt:500
RETURN tcp -- * * 11.22.33.44 0.0.0.0/0 tcp spt:500
RETURN all -- lo * 0.0.0.0/0 0.0.0.0/0
DROP all -- * * 0.0.0.0/0 0.0.0.0/0x
Chain fw_OUTPUT (1 references)
target prot opt in out source destination
RETURN all -- * * 10.1.1.0/24 0.0.0.0/0y
RETURN all -- * tun0 0.0.0.0/0 0.0.0.0/0z
RETURN udp -- * * 0.0.0.0/0 11.22.33.44 udp dpt:1701{
RETURN tcp -- * * 0.0.0.0/0 11.22.33.44 tcp dpt:1701
RETURN udp -- * * 0.0.0.0/0 11.22.33.44 udp dpt:4500
RETURN tcp -- * * 0.0.0.0/0 11.22.33.44 tcp dpt:4500
RETURN udp -- * * 0.0.0.0/0 11.22.33.44 udp dpt:500
RETURN tcp -- * * 0.0.0.0/0 11.22.33.44 tcp dpt:500
RETURN all -- * lo 0.0.0.0/0 0.0.0.0/0
REJECT all -- * * 0.0.0.0/0 0.0.0.0/0 reject-with icmp-port-unreachable|
--snip--
Listing 9-10: Always-on VPN firewall rules
As you can see in the listing, all traffic to and from the VPN network
is allowed (u and y), as is all traffic on the tunnel interface (v and z).
Traffic to and from the VPN server (w and {) is allowed only on the ports
used by IPSec (500 and 4500) and L2TP (1701). All other incoming traffic
is dropped x, and all other outgoing traffic is rejected |.
Application-Based VPNs
Android 4.0 added a VpnService public API6 that third-party applications can
use to build VPN solutions that are neither built into the OS nor require
system-level permissions. The VpnService and associated Builder class let
applications specify network parameters such as interface IP address and
routes, which the system uses to create and configure a virtual network
interface. Applications receive a file descriptor associated with that network
interface and can tunnel network traffic by reading from or writing to the
file descriptor of the interface.
Each read retrieves an outgoing IP packet, and each write injects an
incoming IP packet. Because raw access to network packets effectively
lets applications intercept and modify network traffic, application-based
VPNs cannot be started automatically and always require user interaction.
Additionally, an ongoing notification is shown while a VPN is connected.
The connection warning dialog for an application-based VPN might look
like Figure 9-10.
6. Google, Android APIs Reference, “VpnService,” https://developer.android.com/reference/android/
net/VpnService.html

Enterprise Security 237
Figure 9-10: Application-based VPN
connection warning dialog
Declaring a VPN
An application-based VPN is implemented by creating a service component
that extends the VpnService base class and registering it in the application
manifest, as shown in Listing 9-11.
<?xml version="1.0" encoding="utf-8"?>
<manifest xmlns:android="http://schemas.android.com/apk/res/android"
package="com.example.vpn">
--snip--
<application android:label="@string/app">
--snip--
<service android:name=".MyVpnService"
android:permission="android.permission.BIND_VPN_SERVICE">u
<intent-filter>
<action android:name="android.net.VpnService"/>v
</intent-filter>
</service>
</application>
</manifest>:
Listing 9-11: Registering a VPN service in the application manifest
The service must have an intent filter that matches the android.net
.VpnSe r vic e intent action v so that the system can bind to the service and
238 Chapter 9
control it. In addition, the service must require the BIND_VPN_SERVICE system
signature permission u, which guarantees that only system applications can
bind to it.
Preparing the VPN
To register a new VPN connection with the system, the application first calls
VpnService.prepare() in order to be granted permission to run, and then calls
the establish() method in order to create a network tunnel (discussed in the
next section). The prepare() method returns an intent that’s used to start the
warning dialog shown in Figure 9-10. The dialog serves to obtain the user’s
permission and ensure that only one VPN connection per user is running
at any time. If prepare() is called while a VPN connection created by another
application is running, that connection is terminated. The prepare() method
saves the package name of the calling application, and only that application
is allowed to start a VPN connection until the method is called again, or
the system tears down the VPN connection (for example, if the VPN app’s
process crashes). When a VPN connection is deactivated for any reason,
the system calls the onRevoke() method of the current VPN application’s
VpnService implementation.
Establishing a VPN Connection
After a VPN application has been prepared and granted permission to run,
it can start its VpnService component, which would then typically create a
tunnel to the VPN gateway and negotiate the network parameters for the
VPN connection. Next, it sets up the VpnService.Builder class using those
parameters and calls VpnService.establish() in order to receive a file descrip-
tor to read and write packets. The establish() method first ensures that it’s
being called by the application currently granted permission to establish a
VPN connection by comparing the UID of the caller to the granted appli-
cation’s UID. establish() then checks whether the current Android user is
allowed to create VPN connections, and verifies that the service requires
the BIND_VPN_SERVICE permission; if the service doesn’t require that permis-
sion, it’s considered insecure and a SecurityException is thrown. Next, the
establish() method creates and configures a tunnel interface using native
code, and sets up routing and DNS servers.
Notifying the User About the VPN Connection
The last step in establishing a VPN connection is to show an ongoing noti-
fication that tells the user that network traffic is been tunneled through
a VPN, which allows them to monitor and control the connection via the
associated control dialog. The dialog for the OpenVPN for Android applica-
tion is shown in Figure 9-11.

Enterprise Security 239
This dialog is part of the dedicated
package com.android.vpndialogs, which
is the only package explicitly allowed
to manage application-based VPN con-
nections, other than the system user.
This ensures that a VPN connection
can only be started and managed via
the system-mandated UI.
Using the application-based VPN
framework, applications are free to
implement network tunneling, with any
required authentication and encryp-
tion methods. Because all packets the
device sends or receives pass through
the VPN application, it can be used not
only for tunneling but also for traffic
logging, filtering, or modification
(such as removing advertisements).
NOTE For a full-featured implementation of an
application-based VPN that takes advan-
tage of Android’s credential store to manage
authentication keys and certificates, see the
source code for OpenVPN for Android.7 This
application implements an SSL VPN client
that is fully compatible with the OpenVPN
server.
Multi-User Support
As mentioned earlier, on multi-user devices, legacy VPNs can be controlled
only by the owner user. However, with its introduction of multi-user support,
Android 4.2 and higher allows all secondary users (with the exception of
restricted profiles, which must share the primary user’s VPN connection)
to start application-based VPNs. While this change technically allowed
each user to start their own VPN, because only one application-based VPN
could be activated at a time, traffic for all device users was routed through
the currently active VPN regardless of who started it. Android 4.4 finally
brought full multi-user VPN support by introducing per-user VPN, which
allows traffic from any user to be routed through their VPN, thus isolating
it from other users’ traffic.
Linux Advanced Routing
Android uses several advanced packet filtering and routing features of
the Linux kernel in order to implement per-user VPNs. These features
(implemented by the netfilter kernel framework) include the owner module
7. Arne Schwabe, “Openvpn for Android 4.0+,” https://code.google.com/p/ics-openvpn/
Figure 9-11: Application-based VPN
management dialog

240 Chapter 9
of the Linux iptables tool, which allows matching of locally generated pack-
ets based on the UID, GID, or PID of the process that created them. For
example, the command shown at u in Listing 9-12 creates a packet-filtering
rule that drops all outgoing packets generated by the user with UID 1234.
# iptables -A OUTPUT -m owner --uid-owner 1234 -j DROPu
# iptables -A PREROUTING -t mangle -p tcp --dport 80 -j MARK --set-mark 0x1v
# ip rule add fwmark 0x1 table webw
# ip route add default via 1.2.3.4 dev em3 table webx
Listing 9-12: Using owner matching and packet marking with iptables
Another important netfilter feature is the ability to mark packets
that match a certain selector with a specified number (called a mark).
For example, the rule at v marks all packets destined for port 80 (which
is typically used by a web server) with the mark 0x1. This mark can then
be matched in later filtering or routing rules in order to, for example, send
marked packets through a particular interface by adding a routing rule that
sends marked packets to a predefined routing table, which is web in our
example w. Finally, a route that sends packets matching the web table to
the em3 interface can be added with the command shown at x.
Multi-User VPN Implementation
Android uses these packet filtering and routing features to mark pack-
ets originating from all apps of a particular Android user and send them
through the tunneling interface created by the VPN app started by that user.
When the owner user starts a VPN, that VPN is shared with any restricted
profiles on the device that cannot start their own VPNs by matching all
packets originating from restricted profiles and routing them through the
owner’s VPN tunnel.
This split-routing is implemented at the framework level by the
NetworkManagementService, which provides APIs to manage package match-
ing and routing by UID or UID range. NetworkManagementService implements
those APIs by sending commands to the native netd daemon which runs as
root, and thus can modify the kernel’s packet filtering and routing tables.
netd manipulates the kernel’s filtering and routing configuration by calling
the iptables and ip userland utilities.
Let’s illustrate Android’s per-user VPN routing with an example as
shown in Listing 9-13. The primary user (user ID 0) and the first secondary
user (user ID 10) have each started an application-based VPN. The owner
user’s VPN is assigned the tun0 tunneling interface, and the secondary user’s
VPN is assigned the tun1 interface. The device also has a restricted profile
with user ID 13. Listing 9-13 shows the state of the kernel’s packet filtering
tables when both VPNs are connected (with some details omitted).
# iptables -t mangle -L –n
--snip--
Chain st_mangle_OUTPUT (1 references)
target prot opt source destination

Enterprise Security 241
RETURN all -- 0.0.0.0/0 0.0.0.0/0 mark match 0x1u
RETURN all -- 0.0.0.0/0 0.0.0.0/0 owner UID match 1016v
--snip--
st_mangle_tun0_OUTPUT all -- 0.0.0.0/0 0.0.0.0/0 [goto] owner UID match
0-99999w
st_mangle_tun0_OUTPUT all -- 0.0.0.0/0 0.0.0.0/0 [goto] owner UID match
1300000-1399999x
st_mangle_tun1_OUTPUT all -- 0.0.0.0/0 0.0.0.0/0 [goto] owner UID match
1000000-1099999y
Chain st_mangle_tun0_OUTPUT (3 references)
target prot opt source destination
MARK all -- 0.0.0.0/0 0.0.0.0/0 MARK and 0x0
MARK all -- 0.0.0.0/0 0.0.0.0/0 MARK set 0x3cz
Chain st_mangle_tun1_OUTPUT (2 references)
target prot opt source destination
MARK all -- 0.0.0.0/0 0.0.0.0/0 MARK and 0x0
MARK all -- 0.0.0.0/0 0.0.0.0/0 MARK set 0x3d{
Listing 9-13: Packet matching rules for VPNs started by two different device users
Outgoing packets are first sent to the st_mangle_OUTPUT chain, which
is responsible for matching and marking packets. Packets exempt from per-
user routing (those already marked with 0x1 u), and packets originating
from legacy VPNs (UID 1016 v, assigned to the built-in vpn user, which
both mtd and racoon run as) pass without modification.
Next, packets created by processes running with UIDs between 0 and
99999 (the range of UIDs assigned to apps started by the primary user,
as discussed in Chapter 4) are matched and sent to the st_mangle_tun0_
OUTPUT chain w. Packets originating from UIDs 1300000–1399999, the
range assigned to our restricted profile (user ID 13), are sent to the same
chain x. Thus, traffic originating from the owner user and the restricted
profile is treated the same way. Packets originating from the first second-
ary user (user ID 10, UID range 1000000-1099999) are, however, sent to a
different chain, st_mangle_tun1_OUTPUT y. The target chains themselves
are simple: st_mangle_tun0_OUTPUT first clears the packet mark and then
marks them with 0x3c z; st_mangle_tun1_OUTPUT does the same but uses
the mark 0x3d {. After packets have been marked, the marks are used to
implement and match different routing rules, as shown in Listing 9-14.
# ip rule ls
0: from all lookup local
100: from all fwmark 0x3c lookup 60u
100: from all fwmark 0x3d lookup 61v
--snip--
# ip route list table 60
default dev tun0 scope linkw
# ip route list table 61
default dev tun1 scope linkx
Listing 9-14: Routing rules for VPNs started by two different device users

242 Chapter 9
Notice that two rules that match each mark have been created, and that
they’re associated with different routing tables. Packets marked with 0x3c
go to routing table 60 (0x3c in hexadecimal u), while those marked with
0x3d go to table 61 (0x3d in hexadecimal v). Table 60 routes everything
through the tun0 tunneling interface w, which was created by the owner user,
and table 61 routes everything through the tun1 interface x, created by the
secondary user.
NOTE While the VPN traffic routing method introduced in Android 4.4 offers greater flex-
ibility and allows user VPN traffic to be isolated, as of this writing the implementa-
tion appears to have some problems, especially related to switching between different
physical networks (for example, mobile to Wi-Fi or vice versa). Those problems should
be addressed in future versions, possibly by modifying how packet filtering chains are
associated with interfaces, but the basic implementation strategy is likely to remain
the same.
Wi-Fi EAP
Android supports different wireless network protocols, including Wi-Fi
Protected Access (WPA) and Wi-Fi Protected Access II (WPA2), which
are currently deployed on most wireless devices. Both protocols support a
simple pre-shared key (PSK) mode, also referred to as Personal mode, in which
all devices that access the network must be configured with the same 256-
bit authentication key.
Devices can be configured either with the raw key bytes or with an
ASCII passphrase that’s used to derive the authentication key using the
PBKDF2 key derivation algorithm. While the PSK mode is simple, it doesn’t
scale as the number of network users increases. If access for a certain user
needs to be revoked, for example, the only way to cancel their network
credentials is to change the shared passphrase, which would force all other
users to reconfigure their devices. Additionally, as there is no practical way
to distinguish users and devices, it is difficult to implement flexible access
rules or accounting.
To address this problem, both WPA and WPA2 support the IEEE 802.1X
network access control standard, which offers an encapsulation of the
Extensible Authentication Protocol (EAP). Authentication in a wireless net-
work that uses 802.1X and involves a supplicant, an authenticator, and an
authentication server is shown in Figure 9-12.
Authentication
server
(RADIUS server)
Authenticator
(Wi-Fi AP)
Supplicant
(Android device)
EAPEAP
EAPOLRADIUS
Figure 9-12: 802.1X authentication participants

Enterprise Security 243
The supplicant is a wireless device such as an Android phone that wants
to connect to the network, and the authenticator is the gateway to the net-
work that validates the supplicant’s identity and provides authorization. In
a typical Wi-Fi configuration, the authenticator is the wireless access point
(AP). The authentication server, typically a RADIUS server, verifies client
credentials and decides whether they should be granted access based on a
preconfigured access policy.
Authentication is implemented by exchanging EAP messages between
the three nodes. These are encapsulated in a format suitable for the medium
connecting each two nodes: EAP over LAN (EAPOL) between the suppli-
cant and the authenticator, and RADIUS between the authenticator and
the authentication server.
Because EAP is an authentication framework that supports different
concrete authentication types and not a concrete authentication mechanism,
the supplicant and authentication server (with the help of the authenti-
cator) need to negotiate a commonly supported authentication method
before authentication can be performed. There are various standard and
proprietary EAP authentication methods, and current Android versions
support most of the methods used in wireless networks.
The sections below offer a brief overview of the EAP authentication
methods that Android supports, and show how it protects credentials for
each method. We’ll also demonstrate how to configure access to a Wi-Fi
network that uses EAP for authentication using Android’s wireless network
management APIs.
EAP Authentication Methods
As of version 4.4, Android supports the PEAP, EAP-TLS, EAP-TTLS, and
EAP-PWD authentication methods. Before exploring how Android stores
credentials for each authentication method, let’s briefly discuss how each
one works.
PEAP
The Protected Extensible Authentication Protocol (PEAP) transmits
EAP messages through an SSL connection in order to provide confi-
dentiality and integrity. It uses PKI and a server certificate to authenti-
cate the server and establish an SSL connection (Phase 1), but does not
mandate how clients are authenticated. Clients are authenticated using
a second, inner (Phase 2) authentication method, which is transmitted
inside the SSL tunnel. Android supports the MSCHAPv2 (specified in
PEAPv08) and Generic Token Card (GTC, specified in PEAPv29) meth-
ods for Phase 2 authentication.
8. Vivek Kamath, Ashwin Palekar, and Mark Woodrich, Microsoft’s PEAP version 0
(Implementation in Windows XP SP1), https://tools.ietf.org/html/draft-kamath-pppext-peapv0-00/
9. Ashwin Palekar et al., Protected EAP Protocol (PEAP) Version 2, https://tools.ietf.org/html/
draft-josefsson-pppext-eap-tls-eap-10/

244 Chapter 9
EAP-TLS
The EAP-Transport Layer Security (EAP-TLS) method10 uses TLS for
mutual authentication and was formerly the only EAP method certified
for use with WPA Enterprise. EAP-TLS uses both a server certificate to
authenticate the server to supplicants, and a client certificate that the
authentication server verifies in order to establish supplicant identity.
Granting network access requires issuing and distributing X.509 client
certificates, and thus maintaining a public key infrastructure. Existing
clients can be blocked from accessing the network by revoking their
supplicant certificates. Android supports EAP-TLS and manages client
keys and certificates using the system credential store.
EAP-TTLS
Like EAP-TLS, the EAP-Tunneled Transport Layer Security (EAP-TTLS)
protocol11 is based on TLS. However, EAP-TTLS does not require client
authentication using X.509 certificates. Clients can be authenticated
either using a certificate during the handshake phase (Phase 1), or
with another protocol during the tunnel phase (Phase 2). Android
does not support authentication during Phase 1, but supports the PAP,
MSCHAP, MSCHAPv2, and GTC protocols for Phase 2.
EAP-PWD
The EAP-PWD authentication method12 uses a shared password for
authentication. Unlike legacy schemes that rely on a simple challenge-
response mechanism, EAP-PWD is designed to be resistant to passive
attacks, active attacks, and dictionary attacks. The protocol also provides
forward secrecy and guarantees that even if a password is compromised,
earlier sessions cannot be decrypted. EAP-PWD is based on discrete
logarithm cryptography and can be implemented using either finite
fields or elliptic curves.
Android Wi-Fi Architecture
Like most hardware support in Android, Android’s Wi-Fi architecture
consists of a kernel layer (WLAN adapter driver modules), native daemon
(wpa_supplicant), a Hardware Abstraction Layer (HAL), system services, and
a system UI. Wi-Fi adapter kernel drivers are usually specific to the system
on a chip (SoC) that an Android device is built upon, and are typically closed
source and loaded as kernel modules. The wpa_supplicant13 is a WPA suppli-
cant daemon that implements key negotiation with a WPA authenticator and
10. D. Simon, B. Aboba, and R. Hurst, The EAP-TLS Authentication Protocol, http://tools.ietf.org/
html/rfc5216/
11. P. Funk and S. Blake-Wilson, Extensible Authentication Protocol Tunneled Transport Layer
Security Authenticated Protocol Version 0 (EAP-TTLSv0), https://tools.ietf.org/html/rfc5281/
12. D. Harkins and G. Zorn, Extensible Authentication Protocol (EAP) Authentication Using Only a
Password, https://tools.ietf.org/html/rfc5931/
13. Jouni Malinen, Linux WPA/WPA2/IEEE 802.1X Supplicant, http://hostap.epitest.fi/wpa_supplicant/

Enterprise Security 245
controls 802.1X association of the WLAN driver. However, Android devices
rarely include the original wpa_supplicant code; the included implementa-
tion is often modified for better compatibility with the underlying SoC.
The HAL is implemented in the libharware_legacy native library and is
responsible for relaying commands from the framework to wpa_supplicant
via its control socket. The system service that controls Wi-Fi connectivity is
WifiService, which offers a public interface via the WifiManager facade class.
The WifiService delegates Wi-Fi state management to a rather complex
WifiStateMachine class, which can go through more than a dozen states while
connecting to a wireless network.
WLAN connectivity is controlled via the Wi-Fi screen of the system
Settings app, and connectivity status is displayed in the status bar and
Quick Settings, both of which are part of the SystemUI package.
Android stores Wi-Fi-related configuration files in the /data/misc/wifi/
directory because wireless connectivity daemons persist configuration
changes directly to disk and thus need a writable directory. The direc-
tory is owned by the wifi user (UID 1010), which is also the user that the
wpa_supplicant runs as. Configurations files, including wpa_supplicant.conf,
have permissions set to 0660 and are owned by the system user, and their
group is set to wifi. This ensures that both system applications and the sup-
plicant daemon can read and modify configurations files, but they are not
accessible to other applications. The wpa_supplicant.conf file contains config-
uration parameters formatted as key-value pairs, both global and specific to
a particular network. Network-specific parameters are enclosed in network
blocks, which may look like Listing 9-15 for a PSK configuration.
network={
ssid="psk-ap"u
key_mgmt=WPA-PSKv
psk="password"w
priority=805x
}
Listing 9-15: PSK network configuration block in wpa_supplicant.conf
As you can see, the network block specifies the network SSID u, authen-
tication key management protocol v, the pre-shared key itself w, and a pri-
ority value x. The PSK is saved in plaintext, and while the wpa_supplicant
.conf access bits disallow non-system applications from accessing it, it can be
easily extracted from devices that allow root access.
EAP Credentials Management
In this section, we’ll examine how Android manages Wi-Fi credentials
for each of the supported EAP authentication methods and discuss the
Android-specific wpa_supplicant changes that allow the supplicant daemon
to take advantage of Android’s system credential store.
Listing 9-16 shows the network block in wpa_supplicant.conf for a net-
work configured to use PEAP.

246 Chapter 9
network={
ssid="eap-ap"
key_mgmt=WPA-EAP IEEE8021Xu
eap=PEAPv
identity="android1"w
anonymous_identity="anon"
password="password"x
ca_cert="keystore://CACERT_eapclient"y
phase2="auth=MSCHAPV2"z
proactive_key_caching=1
}
Listing 9-16: PEAP network configuration block in wpa_supplicant.conf
Here, the key management mode is set to WPA-EAP IEEE8021X u, the
EAP method to PEAP v, and Phase 2 authentication to MSCHAPv2 z.
Credentials, namely the identity w and password x, are stored in plaintext
in the configuration file, as they are in PSK mode.
One notable difference from a general-purpose wpa_supplicant.conf is
the format of the CA certificate path y. The CA certificate path (ca_cert)
is used when validating the server certificate, and in Android ca_cert is in a
URI-like format with the keystore scheme. This Android-specific extension
allows the wpa_supplicant daemon to retrieve certificates from the system
credential store. When the daemon encounters a certificate path that starts
with keystore://, it connects to the IKeystoreService remote interface of the
native keystore service and retrieves the certificate bytes using the URI path
as the key.
EAP-TLS configuration is similar to the PEAP one, as shown in
Listing 9-17.
network={
ssid="eap-ap"
key_mgmt=WPA-EAP IEEE8021X
eap=TLS
identity="android1"
ca_cert="keystore://CACERT_eapclient"
client_cert="keystore://USRCERT_eapclient"u
engine_id="keystore"v
key_id="USRPKEY_eapclient"w
engine=1
priority=803
proactive_key_caching=1
}
Listing 9-17: EAP-TLS network configuration block in wpa_supplicant.conf
New here is the addition of a client certificate URI u, an engine ID v,
and a key ID w. The client certificate is retrieved from the system creden-
tial store, just like the CA certificate. The engine ID refers to the OpenSSL
engine that should be used for cryptographic operations when connecting
to the SSID configured in the network block. The wpa_supplicant has native
Figure 9-13: Setting the credential
owner to Wi-Fi in the PKCS#12 import
dialog

Enterprise Security 247
support for configurable OpenSSL
engines, and is often used with an
PKCS#11 engine in order to use keys
stored in a smart card or other hard-
ware device.
As discussed in Chapter 7,
Android’s keystore engine uses keys
stored in the system credential store.
If a device supports hardware-backed
credential storage, the keystore engine
can transparently take advantage of it
by virtue of the intermediate keymaster
HAL module. The key ID in Listing 9-17
references the alias of the private key to
use for authentication.
As of version 4.3, Android allows
you to select the owner of private
keys and certificates when importing
them. Previously, all imported keys
were owned by the system user, but if
you set the Credential use parameter
to Wi-Fi in the import dialog (see
Figure 9-13), the key owner is set to
the wifi user (UID 1010), and the key
can only be accessed by system com-
ponents that run as the wifi user, like
wpa_supplicant.
Because Android does not support client authentication when using the
EAP-TTLS authentication method, the configuration only contains a CA
certificate reference v, as shown in Listing 9-18. The password u is stored
in plaintext.
network={
ssid="eap-ap"
key_mgmt=WPA-EAP IEEE8021X
eap=TTLS
identity="android1"
anonymous_identity="anon"
password="pasword"u
ca_cert="keystore://CACERT_eapclient"v
phase2="auth=GTC"
proactive_key_caching=1
}
Listing 9-18: EAP-TTLS network configuration block in wpa_supplicant.conf
The EAP-PWD method does not depend on TLS to establish a
secure channel and thus requires no certificate configuration, as shown
in Listing 9-19. Credentials are stored in plaintext (u and v), as with
other configurations that use passwords.
network={
ssid="eap-ap"
key_mgmt=WPA-EAP IEEE8021Xu
eap=PEAPv
identity="android1"w
anonymous_identity="anon"
password="password"x
ca_cert="keystore://CACERT_eapclient"y
phase2="auth=MSCHAPV2"z
proactive_key_caching=1
}
Listing 9-16: PEAP network configuration block in wpa_supplicant.conf
Here, the key management mode is set to WPA-EAP IEEE8021X u, the
EAP method to PEAP v, and Phase 2 authentication to MSCHAPv2 z.
Credentials, namely the identity w and password x, are stored in plaintext
in the configuration file, as they are in PSK mode.
One notable difference from a general-purpose wpa_supplicant.conf is
the format of the CA certificate path y. The CA certificate path (ca_cert)
is used when validating the server certificate, and in Android ca_cert is in a
URI-like format with the keystore scheme. This Android-specific extension
allows the wpa_supplicant daemon to retrieve certificates from the system
credential store. When the daemon encounters a certificate path that starts
with keystore://, it connects to the IKeystoreService remote interface of the
native keystore service and retrieves the certificate bytes using the URI path
as the key.
EAP-TLS configuration is similar to the PEAP one, as shown in
Listing 9-17.
network={
ssid="eap-ap"
key_mgmt=WPA-EAP IEEE8021X
eap=TLS
identity="android1"
ca_cert="keystore://CACERT_eapclient"
client_cert="keystore://USRCERT_eapclient"u
engine_id="keystore"v
key_id="USRPKEY_eapclient"w
engine=1
priority=803
proactive_key_caching=1
}
Listing 9-17: EAP-TLS network configuration block in wpa_supplicant.conf
New here is the addition of a client certificate URI u, an engine ID v,
and a key ID w. The client certificate is retrieved from the system creden-
tial store, just like the CA certificate. The engine ID refers to the OpenSSL
engine that should be used for cryptographic operations when connecting
to the SSID configured in the network block. The wpa_supplicant has native
Figure 9-13: Setting the credential
owner to Wi-Fi in the PKCS#12 import
dialog

248 Chapter 9
network={
ssid="eap-ap"
key_mgmt=WPA-EAP IEEE8021X
eap=PWD
identity="android1"u
password="password"v
proactive_key_caching=1
}
Listing 9-19: EAP-PWD network configuration block in wpa_supplicant.conf
To sum up, configurations for all EAP methods that use a password for
authentication store credential information in plaintext in the wpa_supplicant
.conf file. When using EAP-TLS, which relies on client authentication, the cli-
ent key is stored in the system keystore, and thus offers the highest level of
credential protection.
Adding an EAP Network with WifiManager
While Android supports a number of WPA Enterprise authentication meth-
ods, setting them up properly might challenge some users because of the
number of parameters that need to be configured and the need to install
and select authentication certificates. Because Android’s official API for
managing Wi-Fi networks, called WifiManager, did not support EAP configu-
rations prior to Android 4.3, the only way to set up an EAP network was to
add it via the system Settings app and configure it manually. Android 4.3
(API level 18) extended the WifiManager API to allow for programmatic EAP
configuration, thus enabling automatic network provisioning in enterprise
environments. In this section, we’ll show how to use WifiManager to add an
EAP-TLS network and discuss the underlying implementation.
WifiManager allows an app that holds the CHANGE_WIFI_STATE permis-
sion (protection level dangerous) to add a Wi-Fi network by initializing
a WifiConfiguration instance with the network’s SSID, authentication algo-
rithms, and credentials, and pass it to the addNetwork() method of WifiManager.
Android 4.3 extends this API by adding an enterpriseConfig field of type
WifiEnterpriseConfig to the WifiConfiguration class, which allows you to con-
figure the EAP authentication method to use, client and CA certificates,
the Phase 2 authentication method (if any), and additional credentials such
as username and password. Listing 9-20 shows how to use this API to add a
network that uses EAP-TLS for authentication.
X509Certificate caCert = getCaCert();
PrivateKey clientKey = getClientKey();
X509Certificate clientCert = getClientCert();
WifiEnterpriseConfig enterpriseConfig = new WifiEnterpriseConfig();
enterpriseConfig.setCaCertificate(caCert);u
enterpriseConfig.setClientKeyEntry(clientKey, clientCert);v
enterpriseConfig.setEapMethod(WifiEnterpriseConfig.Eap.TLS);w
enterpriseConfig.setPhase2Method(WifiEnterpriseConfig.Phase2.NONE);x
enterpriseConfig.setIdentity("android1");y

Enterprise Security 249
WifiConfiguration config = new WifiConfiguration();
config.enterpriseConfig = enterpriseConfig;z
config.SSID = "\"eap-ap\"";
config.allowedKeyManagement.set(WifiConfiguration.KeyMgmt.IEEE8021X);{
config.allowedKeyManagement.set(WifiConfiguration.KeyMgmt.WPA_EAP);|
int netId = wm.addNetwork(config);}
if (netId != -1) {
boolean success = wm.saveConfiguration();~
}
Listing 9-20: Adding an EAP-TLS network using WifiManager
In order to set up EAP-TLS authentication, we first need to obtain the
CA certificate used to verify the server’s identity, and the client’s private key
and certificate. Because these are typically distributed as a PKCS#12 file,
we can use a KeyStore of type PKCS12 to extract them (not shown). (Android
will automatically import the specified keys and certificates into the system
keystore when you add an EAP profile that uses them, so you don’t need
to import the PKCS#12 file.) After we have the CA certificate and client
credentials, we set them to our WifiEnterpriseConfig instance using the
setCaCertificate() u and setClientKeyEntry() v methods. We then set the
EAP method to Eap.TLS w and the Phase 2 method to NONE x, as EAP-TLS
authenticates users as part of establishing an SSL connection (Phase 1).
Android also requires us to set the
identity y even though it might
not be used by the authentication
server. After we’ve configured the
WifiEnterpriseConfig object, we can
add it to the main WifiConfiguration
instance z. The set of key management
protocols also needs to be configured
({ and |) because it defaults to WPA
PSK. Finally, we can add the network }
and save the configuration ~, which
updates the wpa_supplicant.conf file to
include the newly configured network.
Android automatically generates
aliases for the configured private key
and certificates, and then imports the
PKI credentials into the system key-
store. The aliases are based on the AP
name, key management scheme, and
EAP authentication method. A pro-
grammatically configured network is
automatically shown in the Wi-Fi
screen of the system Settings applica-
tion, and might look like Figure 9-14
for the example shown in Listing 9-20. Figure 9-14: An EAP-TLS network
added using WifiManager
250 Chapter 9
Summary
Android supports a Device Adminis tration API that allows device adminis-
tration apps to configure a security policy, which can include requirements
for lockscreen password complexity, device encryption, and camera usage.
Device administrators are often used with corporate accounts, such as those
for Microsoft Exchange and Google Apps, in order to limit access to corpo-
rate data based on the policy and device settings. The Device Administration
API also provides features that enable remote device locking and data wipe.
Android devices can connect to various types of VPNs, including PPTP,
L2TP/IPSec, and SSL-based VPNs. Support for PPTP and L2TP/IPSec
is built into the platform and can only be extended through OS updates.
Android 4.0 adds support for application-based VPNs, which allows third-
party applications to implement custom VPN solutions.
In addition to the widely used pre-shared key Wi-Fi authentication
mode, Android supports various WPA Enterprise configurations, namely
PEAP, EAP-TLS, EAP-TTLS, and EAP-PWD. Certificates and private keys
for EAP authentication methods that use SSL to establish a secure channel
or authenticate users are stored in the system keystore and can use hard-
ware protection when available. Wi-Fi networks that use EAP for authenti-
cation can be automatically provisioned using the WifiManager API in recent
Android versions, beginning with Android 4.3.
10
DEVICE SECURITY
Until now, we’ve focused on how Android implements
sandboxing and privilege separation in order to iso-
late applications from one another and the core OS.
In this chapter, we look at how Android ensures OS
integrity and protects device data from attackers that
have physical access to a device. We start with a brief
description of Android’s bootloader and recovery OS,
then discuss Android’s verified boot feature, which guarantees that the
system partition is not modified by malicious programs. Next we look at
how Android encrypts the userdata partition, which hosts OS configuration
files and application data. This guarantees that the device can’t be booted
without the decryption password and that user data can’t be extracted even
by direct access to the device’s flash memory. We then show how Android’s
screen locking functionality is implemented, and how unlock patterns,
PINs, and passphrases are hashed and stored on the device.
We’ll also discuss secure USB debugging, which authenticates hosts that
connect to the Android Debug Bridge (ADB) daemon over USB and requires

252 Chapter 10
users to explicitly allow access for each host. Because ADB access over
USB allows execution of privileged operations such as application instal-
lation, full backup, and filesystem access (including full access to external
storage), this feature helps prevent unauthorized access to device data
and applications on devices that have ADB debugging enabled. Finally, we
describe the implementation and archive encryption format of Android’s
full backup feature.
Controlling OS Boot-Up and Installation
Given physical access to a device, an attacker can access or modify user and
system data not only via higher-level OS constructs such as files and directo-
ries, but also by accessing memory or raw disk storage directly. Such direct
access can be achieved by physically interfacing with the device’s electronic
components by, for example, disassembling the device and connecting to
hidden hardware debug interfaces or desoldering flash memory and read-
ing the contents with a specialized device.
NOTE Such hardware attacks are beyond the scope of this book; see Chapter 10 of the
Android Hacker’s Handbook (Wiley, 2014) for an introduction to this topic.
A less intrusive, but still powerful way to gain access to this data is
to use the device update mechanism to modify system files and remove
access restrictions, or boot an alternative operating system that allows
direct access to storage devices. Most consumer Android devices are
locked down by default so that those techniques are either not possible
or require possession of a code signing key, typically available only to
the device manufacturer.
In the next sections, we briefly discuss how Android’s bootloader and
recovery OS regulate access to boot images and device update mechanisms.
(We’ll explore bootloader and recovery functionality in more detail in
Chapter 13.)
Bootloader
A bootloader is a specialized, hardware-specific program that executes when
a device is first powered on (coming out of reset for ARM devices). Its pur-
pose is to initialize device hardware, optionally provide a minimal device
configuration interface, and then find and start the operating system.
Booting a device typically requires going through different stages,
which may involve a separate bootloader for each stage—but we’ll refer to
a single, aggregate bootloader that includes all boot stages, for the sake of
simplicity. Android bootloaders are typically proprietary and specific to
the system on a chip (SoC) that the device is built upon. Device and SoC
manufacturers provide different functionality and levels of protection in
their bootloaders, but most bootloaders support a fastboot, or more gener-
ally, download mode, which allows for the writing (usually called flashing) of
raw partition images to the device’s persistent storage, as well as booting
Device Security 253
transient system images (without flashing them to the device). Fastboot
mode is enabled by a special hardware key combination applied while the
device is booting, or by sending the reboot bootloader command via ADB.
In order to ensure device integrity, consumer devices are shipped with
locked bootloaders, which either disallow flashing and booting system
images completely or allow it only for images that have been signed by the
device manufacturer. Most consumer devices allow for unlocking the boot-
loader, which removes fastboot restrictions and image signature checks.
Unlocking the bootloader typically requires formatting the userdata parti-
tion, thus ensuring that a malicious OS image cannot get access to existing
user data.
On some devices, unlocking the bootloader is an irreversible proce-
dure, but most devices provide a way to relock the bootloader and return
it to its original state. This is typically implemented by storing a bootloader
state flag on a dedicated system partition (typically called param or misc) that
hosts various device metatdata. Relocking the bootloader simply resets the
value of this flag.
Recovery
A more flexible way to update a device is via its recovery OS. The recovery
OS, or simply recovery, is a minimal Linux-based OS that includes a kernel,
RAM disk with various low-level tools, and a minimal UI that is typically
operated using the device’s hardware buttons. The recovery is used to apply
post-ship updates, generally delivered in the form of over-the-air (OTA)
update packages. OTA packages include the new versions (or a binary
patch) of updated system files and a script that applies the update. As we
learned in Chapter 3, OTA files are also code signed with the private key
of the device manufacturer. The recovery includes the public part of that
key and verifies OTA files before applying them. This ensures that only
OTA files that originate from a trusted party can modify the device OS.
The recovery OS is stored on a dedicated partition, just like the main
Android OS. Therefore, it can be replaced by putting the bootloader into
download mode and flashing a custom recovery image, which replaces the
embedded public key, or does not verify OTA signatures at all. Such a recov-
ery OS allows the main OS to be completely replaced with a build produced
by a third party. A custom recovery OS can also allow unrestricted root
access via ADB, as well as raw partition data acquisition. While the userdata
partition could be encrypted (see “Disk Encryption” on page 258), mak-
ing direct data access impossible, it is trivial to install a malicious program
(rootkit) on the system partition while in recovery mode. The rootkit can
then enable remote access to the device when the main OS is booted and
thus allow access to user data that is transparently decrypted when the
main OS boots. Verified boot (discussed in the next section) can prevent
this, but only if the device verifies the boot partition using an unmodifiable
verification key, stored in hardware.
An unlocked bootloader allows booting or flashing custom system
images and direct access to system partitions. While Android security

254 Chapter 10
features such as verified boot and disk encryption can limit the damage
that a malicious system image flashed via an unlocked bootloader can do,
controlling access to the bootloader is integral to protecting an Android
device. Therefore the bootloader should only be unlocked on test or devel-
opment devices, or relocked and returned to its original state immediately
after modifying the system.
Verified Boot
Android’s verified boot implementation is based on the dm-verity device-
mapper block integrity checking target.1 Device-mapper2 is a Linux kernel
framework that provides a generic way to implement virtual block devices.
It’s the basis of Linux’s Logical Volume Manager (LVM), and it’s used to
implement full-disk encryption (using the dm-crypt target), RAID arrays,
and even distributed replicated storage.
Device-mapper works by essentially mapping a virtual block device
to one or more physical block devices and optionally modifying trans-
ferred data in transit. For example, dm-crypt (which is also the basis of
Android’s userdata partition encryption, as discussed in “Disk Encryption”
on page 258) decrypts read physical blocks and encrypts written blocks
before committing them to disk. Thus, disk encryption is transparent to
users of the virtual dm-crypt block device. Device-mapper targets can be
stacked on top of each other, making it possible to implement complex data
transformations.
dm-verity Overview
Because dm-verity is a block integrity checking target, it transparently
verifies the integrity of each device block as it’s being read from disk. If
the block checks out, the read succeeds; if not, the read generates an I/O
error as if the block were physically corrupted.
Under the hood, dm-verity is implemented using a precalculated hash
tree (also called a Merkle tree) that includes the hashes of all device blocks.
The leaf nodes of the tree include hashes of physical device blocks, while
intermediate nodes are hashes of their child nodes (hashes of hashes). The
root node is called the root hash and is based on all hashes in lower levels,
as shown in Figure 10-1. Thus, a change even in a single device block will
result in a change of the root hash, and in order to verify that a hash tree is
genuine we only need to verify its root hash.
At runtime, dm-verity calculates the hash of each block when it’s read
and verifies it by traversing the precalculated hash tree. Because reading
data from a physical device is already a time-consuming operation, the
1. Milan Broz, “dm-verity: device-mapper block integrity checking target,” https://
code.google.com/p/cryptsetup/wiki/DMVerity
2. Red Hat, Inc., “Device-Mapper Resource Page,” https://www.sourceware.org/dm/

Device Security 255
latency added by hashing and verification is relatively low. Furthermore,
once verified, disk blocks are cached, and subsequent reads of the same
block do not trigger integrity verification.
Block1 Block2 Block3 ...BlockX BlockY BlockZ
Hash123
Hash1Hash2Hash3HashXHashYHashZ
HashXYZ
Root Hash
Figure 10-1: dm-verity hash tree
Because dm-verity depends on a precalculated hash tree over all blocks
of a device, the underlying device must be mounted read-only in order for
verification to be possible. Most filesystems record mount times and other
metadata in their superblock, so even if no files are changed at runtime,
block integrity checks will fail if the underlying block device is mounted
read-write. Even though this can be seen as a limitation, it works well for
devices or partitions that hold system files, which are only changed by OS
updates. Any other change indicates either OS or disk corruption, or that a
malicious program is trying to modify the OS or masquerade as a system file.
Ultimately, dm-verity’s read-only requirement fits well with Android’s
security model, which hosts only application data on a read-write partition
and keeps OS files on the read-only system partition.
Android Implementation
The dm-verity device-mapper target was originally developed in order to
implement verified boot in Chrome OS and was integrated into the main-
line Linux kernel in version 3.4. It’s enabled with the CONFIG_DM_VERITY kernel
configuration item.
Like Chrome OS, Android 4.4 also uses the dm-verity target, but the
cryptographic verification of the root hash and mounting of verified parti-
tions are implemented differently. The RSA public key used for verification
is embedded in the boot partition under the verity_key filename and is used
to verify the dm-verity mapping table, which holds the locations of the tar-
get device and the offset of the hash table, as well as the root hash and salt.
The mapping table and its signature are part of the verity metadata
block, which is written to disk directly after the last filesystem block of the
target device. A partition is marked as verifiable by adding the verify flag
to the Android-specific fs_mgr_flags field of the device’s fstab file. When
Android’s filesystem manager encounters the verify flag in fstab, it loads

256 Chapter 10
the verity metadata from the block device specified in fstab and verifies its
signature using the included verity key. If the signature check succeeds, the
filesystem manager parses the dm-verity mapping table and passes it to the
Linux device-mapper, which uses the information contained in the map-
ping table in order to create a virtual dm-verity block device. This virtual
block device is then mounted at the mount point specified in fstab in place
of the corresponding physical device. As a result, all reads from the under-
lying physical device are transparently verified against the pre-generated
hash tree. Modifying or adding files, or even remounting the partition as
read-write results in an integrity verification and an I/O error.
NOTE Because dm-verity is a kernel feature, in order for its integrity protection to be effec-
tive, the kernel that the device boots needs to be trusted. On Android, this requires
verifying the boot partition, which also contains the root filesystem RAM disk (initrd)
and the verity public key. Kernel or boot image verification is a device-specific process,
which is typically implemented in the device bootloader and relies on an unmodifiable
signature verification key stored in hardware.
Enabling Verified Boot
The official Android documentation describes the procedure required
to enable verified boot on Android as a multi-step process, which involves
generating a hash tree, creating a dm-verity mapping table for the hash
tree, signing the table, and generating and writing a verity metadata block
to the target device.3 In this section, we briefly describe the key steps of this
process.
A dm-verity hash tree is generated with the veritysetup program, which
is part of the cryptsetup cryptographic volume management tools package.
The veritysetup program can operate directly on block devices or gener-
ate a hash tree using a filesystem image, and write the hash table to a file.
Android’s dm-verity implementation expects that the hash tree data to be
stored on the same device as the target filesystem, so an explicit hash offset
that points to a location after the verity metadata block must be specified
when invoking veritysetup. Figure 10-2 shows the layout of a disk partition
prepared for use with dm-verity.
Verity
Metadata
Block
Hash Tree Data
Superblock
Superblock
Block N
Filesystem Data
Block 1
Figure 10-2: Layout of a disk partition prepared for dm-verity verification
Generating the hash tree produces the root hash, which is used to build
the dm-verity mapping table for the target device. A sample mapping table
is shown in Listing 10-1.
3. Google, “dm-verity on boot,” https://source.android.com/devices/tech/security/dm-verity.html

Device Security 257
1u /dev/block/mmcblk0p21v /dev/block/mmcblk0p21w 4096x 4096y
204800z 204809{ sha256|
1F951588516c7e3eec3ba10796aa17935c0c917475f8992353ef2ba5c3f47bcb}
5f061f591b51bf541ab9d89652ec543ba253f2ed9c8521ac61f1208267c3bfb1~
Listing 10-1: Android dm-verity device mapping table
As shown in the listing, the table is a single line (split across multiple
lines for readability) that, besides the root hash }, contains the dm-verity
version u, name of the underlying data and hash device (v and w), data
and hash block sizes (x and y), data and hash disk offsets (z and {),
hash algorithm |, and salt ~.
The mapping table is signed using a 2048-bit RSA key, and along with
the resulting PKCS#1 v1.5 signature, is used to form the 32 KB verity
metadata block. Table 10-1 shows the contents and size of each field of
the metadata block.
Table 10-1: Verity Metadata Block Contents
Field Description Size Value
Magic number Used by fs_mgr as a
sanity check 4 bytes 0xb001b001
Version Metadata block version 4 bytes Currently 0
Signature Mapping table signature
(PKCS#1 v1.5) 256 bytes
Mapping table length Mapping table length
in bytes 4 bytes
Mapping table dm-verity mapping table variable
Padding Zero-byte padding to
32k byte length variable
The RSA public key used for verification needs to be in mincrypt for-
mat (a minimalistic cryptographic library, also used by the stock recovery
when verifying OTA file signatures), which is a serialization of mincrypt’s
RSAPublicKey structure. The interesting thing about this structure is that it
doesn’t simply include the key’s modulus and public exponent values, but
contains pre-computed values used by mincrypt’s RSA implementation
(based on Montgomery reduction). The public key is included in the root
of the boot image under the verity_key filename.
The last step needed to enable verified boot is to modify the device’s
fstab file in order to enable block integrity verification for the system parti-
tion. This is simply a matter of adding the verify flag, as shown in Listing 10-2
(example fstab file for Nexus 4).
/dev/block/platform/msm_sdcc.1/by-name/system /system ext4 ro,barrier=1 wait,verify
Listing 10-2: fstab entry for a dm-verity-formatted partition verified

258 Chapter 10
When the device boots, Android automatically creates a virtual dm-verity
device based on the fstab entry and the information in the mapping table
(contained in the metadata block), and mounts it at /system as shown in
Listing 10-3.
# mount|grep system
/dev/block/dm-0 /system ext4 ro,seclabel,relatime,data=ordered 0 0
Listing 10-3: dm-verity virutal block device mounted at /system
Now, any modifications to the system partition will result in read errors
when reading the corresponding file(s). Unfortunately, system modifications
by file-based OTA updates, which modify file blocks without updating verity
metadata, also invalidate the hash tree. As mentioned in the official docu-
mentation, in order to be compatible with dm-verity-based verified boot,
OTA updates should operate at the block level, ensuring that both file
blocks and the hash tree and metadata are updated. This requires chang-
ing the current OTA update infrastructure, which is probably one of the
reasons verified boot has yet to be deployed to production devices.
Disk Encryption
Android 3.0 introduced disk encryption along with device administrator
policies (see Chapter 9 for details) that can enforce mandatory device
encryption as one of the several “enhancements for the enterprise”
included in that release. Disk encryption has been available in all sub-
sequent versions with relatively few changes until version 4.4, which intro-
duced a new key derivation function (scrypt). This section describes how
Android implements disk encryption and how encryption keys and meta-
data are stored and managed.
NOTE The Android Compatibility Definition requires that “IF the device has lockscreen, the
device MUST support full-disk encryption.”
4
Disk encryption uses an encryption algorithm to convert every bit of data
that goes to disk to ciphertext, ensuring that data cannot be read from the
disk without the decryption key. Full-disk encryption (FDE) promises that
everything on disk is encrypted, including operating system files, cache,
and temporary files. In practice, a small part of the OS, or a separate OS
loader, must be kept unencrypted so that it can obtain the decryption key
and then decrypt and mount the disk volume(s) used by the main OS. The
disk decryption key is usually stored encrypted and requires an additional
key encryption key (KEK) in order to be decrypted. The KEK can either
be stored in a hardware module, such as a smart card or a TPM, or derived
4. Google, Android 4.4 Compatibility Definition, “9.9. Full-Disk Encryption,” https://static
.googleusercontent.com/media/source.android.com/en//compatibility/4.4/android-4.4-cdd.pdf

Device Security 259
from a passphrase obtained from the user on each boot. When stored in a
hardware module, the KEK can also be protected by a user-supplied PIN or
password.
Android’s FDE implementation encrypts only the userdata partition,
which stores system configuration files and application data. The boot and
system partitions, which store the kernel and OS files, are not encrypted,
but system can optionally be verified using the dm-verity device-mapper
target as described earlier in “Verified Boot” on page 254. Android’s disk
encryption is not enabled by default, and the disk encryption process must
be triggered either by the user or by a device policy on managed devices.
We examine Android’s disk encryption implementation in the following
sections.
Cipher Mode
Android’s disk encryption uses dm-crypt,5 currently the standard disk
encryption subsystem in the Linux kernel. Like dm-verity, dm-crypt is a
device-mapper target that maps an encrypted physical block device to
a virtual device-mapper device. All data access to the virtual device is
decrypted (for reads) or encrypted (for writes) transparently.
The encryption mechanism employed in Android uses a randomly
generated 128-bit key together with AES in CBC mode. As we learned in
Chapter 5, CBC mode requires an initialization vector (IV) that needs to
be both random and unpredictable in order for encryption to be secure.
This presents a problem when encrypting block devices, because blocks
are accessed non-sequentially, and therefore each sector (or device block)
requires a separate IV.
Android uses the encrypted salt-sector initialization vector (ESSIV)
method with the SHA-256 hash algorithm (ESSIV:SHA256) in order to
generate per-sector IVs. ESSIV employs a hash algorithm to derive a sec-
ondary key s from the disk encryption key K, called a salt. It then uses the
salt as an encryption key and encrypts the sector number SN of each sec-
tor to produce a per-sector IV. In other words, IV(SN) = AESs(SN), where
s = SHA256(K).
Because the IV of each sector depends on a secret piece of information
(the disk encryption key), per-sector IVs cannot be deduced by an attacker.
However, ESSIV does not change CBC’s malleability property and does not
ensure the integrity of encrypted blocks. In fact, it’s been demonstrated
that an attacker who knows the original plaintext stored on disk can manip-
ulate stored data and even inject a backdoor on volumes that use CBC for
disk encryption.6
5. Milan Broz, “dm-crypt: Linux kernel device-mapper crypto target,” https://code.google.com/
p/cryptsetup/wiki/DMCrypt
6. Jakob Lell, “Practical malleability attack against CBC-Encrypted LUKS partitions,” http://
www.jakoblell.com/blog/2013/12/22/practical-malleability-attack-against-cbc-encrypted-luks-partitions/

260 Chapter 10
Key Derivation
The disk encryption key (called the “master key” in Android source code) is
encrypted with another 128-bit AES key (KEK), derived from a user-supplied
password. In Android versions 3.0 to 4.3, the key derivation function used
was PBKDF2 with 2,000 iterations and a 128-bit random salt value. The
resulting encrypted master key and the salt are stored, along with other
metadata like the number of failed decryption attempts, in a footer struc-
ture occupying the last 16 KB of the encrypted partition, called a crypto
footer. Storing an encrypted key on disk instead of using a key derived from
the user-supplied password directly allows for changing the decryption
password quickly, because the only thing that needs to be re-encrypted with
the key derived from the new password is the master key (16 bytes).
While using a random salt makes it impossible to use precomputed
tables to speed up key cracking, the number of iterations (2,000) used for
PBKDF2 is not sufficiently large by today’s standards. (The keystore key
derivation process uses 8,192 iterations as discussed in Chapter 7. Backup
encryption uses 10,000 iterations, as discussed later in “Android Backup” on
page 283.) Additionally, PBKDF2 is an iterative algorithm, based on stan-
dard and relatively easy to implement hash functions, which makes it pos-
sible for PBKDF2 key derivation to be parallelized, taking full advantage of
the processing power of multi-core devices such as GPUs. This allows even
fairly complex alphanumeric passphrases to be brute-forced in a matter of
days, or even hours.
In order to make it harder to brute-force disk encryption passwords,
Android 4.4 introduced support for a new key derivation function called
ALTERNATIVE CIPER MODES: XTS
This particular attack against the ESSIV mode can be avoided by switching to a
tweakable encryption cipher mode such as XTS (XEX-based tweaked-codebook
mode with ciphertext stealing), which uses a combination of the sector address
and index of the cipher block inside the sector to derive a unique “tweak” (vari-
able parameter) for each sector.
Using a distinct tweak for each sector has the same effect as encrypting
each sector with a unique key: the same plaintext will result in different cipher-
text when stored in different sectors, but has much better performance than
deriving a separate key (or IV) for each sector. However, while better than the
CBC ESSIV mode, XTS is still susceptible to data manipulation in some cases
and does not provide ciphertext authentication.
As of this writing, Android does not support the XTS mode for disk encryp-
tion. However, the underlying dm-crypt device-mapper target supports XTS,
and it can easily be enabled with some modifications to Android’s volume dae-
mon (vold) implementation.

Device Security 261
scrypt.7 Scrypt employs a key derivation algorithm specifically designed to
require large amounts of memory, as well as multiple iterations (such an
algorithm is called memory hard). This makes it harder to mount brute-
force attacks on specialized hardware such as ASICs or GPUs, which typi-
cally operate with a limited amount of memory.
Scrypt can be tuned by specifying the variable parameters N, r, and p,
which influence the required CPU resources, memory amount, and par-
allelization cost, respectively. The values used in Android by default are
N = 32768 (215), r = 8, and p = 2. They can be changed by setting the value of
the ro.crypto.scrypt_params system property using the N_factor:r_factor:p_factor
format; for example, 15:3:1 (the default). The value of each parameter is
computed by raising 2 to the power of the respective factor. Android 4.4
devices automatically update the key derivation algorithm in the crypto
footer from PBKDF2 to scrypt and re-encrypt the master key using a scrypt-
derived encryption key. When the encrypted master key is updated, the N,
r, and p parameters that were used for KEK derivation are written to the
crypto footer.
NOTE On the same desktop machine, brute-forcing a 4-digit PIN (using a naive, single-
threaded algorithm that generates all possible PINs starting from 0000) takes about
5 milliseconds per PIN when using PBKDF2, and about 230 milliseconds per PIN
when using scrypt as the KEK derivation function. In other words, brute-forcing
PBKDF2 is almost 50 times cheaper (that is, faster) compared to scrypt.
Disk Encryption Password
As discussed in the previous section, the KEK used to encrypt the disk
encryption key is derived from a user-supplied password. When you first
start the device encryption process, you’re asked to either confirm your
device unlock PIN or password, or set one if you haven’t already or you’re
using the pattern screen lock (see Figure 10-3). The entered password
or PIN is then used to derive the master key encryption key, and you’re
required to enter the password or PIN each time you boot the device, and
then once more to unlock the screen after it starts.
Android doesn’t have a dedicated setting to manage the encryption pass-
word after the device is encrypted, and changing the screen lock password or
PIN will also silently change the device encryption password. This is most
probably a usability-driven decision: most users would be confused by having
to remember and enter two different passwords at different times and would
probably quickly forget the less frequently used, and possibly more complex,
disk encryption password. While this design is good for usability, it effectively
forces users to use a simple disk encryption password, because they have to
enter it each time they unlock the device, usually dozens of times a day. No
one wants to enter a complex password that many times, and thus most users
opt for a simple numeric PIN (unless a device policy requires otherwise).
7. C. Percival and S. Josefsson, The scrypt Password-Based Key Derivation Function, http://tools.ietf
.org/html/draft-josefsson-scrypt-kdf-01/

262 Chapter 10
Additionally, passwords are limited to
16 characters (a limit that is hardwired
in the framework and not configu-
rable), so using a passphrase is not an
option.
What’s the problem with using the
same password for both disk encryp-
tion and the lockscreen? After all,
to get to the data on the phone you
need to guess the lockscreen password
anyway, so why bother with a separate
one for disk encryption? The reason
is that the two passwords protect your
phone against two different types of
attack. Most screen lock attacks would
be online, brute-force ones: essen-
tially someone trying out different
passwords on a running device when
they get brief access to it. After a few
unsuccessful attempts, Android will
lock the screen for 30 seconds (rate
limiting), and even wipe the device if
there are more failed unlock attempts
(if required by device policy). Thus,
even a relatively short screen-lock
PIN offers adequate protection against online attacks in most cases (see
“Brute-Force Attack Protection” on page 276 for details).
Of course, if someone has physical access to the device or a disk image
of it, they can extract password hashes and crack them offline without wor-
rying about rate-limiting or device wiping. This, in fact, is the scenario that
full disk encryption is designed to protect against: when a device is stolen
or confiscated, the attacker can either brute-force the actual device, or copy
its data and analyze it even after the device is returned or disposed of. As
mentioned earlier in “Key Derivation” on page 260, the encrypted master
key is stored on disk, and if the password used to derive its encryption key is
based on a short numeric PIN, it can be brute-forced in minutes8 (or even
seconds on pre-4.4 devices that use PBKDF2 for key derivation). A remote
wipe solution could prevent this attack by deleting the master key, which
only takes a moment and renders the device useless, but this is often not an
option because the device might be offline or turned off.
Changing the Disk Encryption Password
The user-level part of disk encryption is implemented in the cryptfs module
of Android’s volume management daemon (vold). crypfs has commands for
8. Demonstrated by viaForensics in the “Into The Droid” talk, presented at DEF CON 20.
Slides are available at https://www.defcon.org/images/defcon-20/dc-20-presentations/Cannon/
DEFCON-20-Cannon-Into-The-Droid.pdf
Figure 10-3: Device encryption screen

Device Security 263
both creating and mounting an encrypted volume, and for verifying and
changing the master key encryption password. Android system services
communicate with cryptfs by sending commands to vold through a local
socket (also named vold), and vold sets system properties that describe the
current state of the encryption or mount process based on the received
command. (This results in a fairly complex boot procedure, described in
detail in “Enabling Encryption” below and “Booting an Encrypted Device”
on page 265.)
Android does not provide a UI to change only the disk encryption
password, but one can do so by communicating directly with the vold dae-
mon using the vdc command-line utility. However, access to the vold control
socket is limited to the root user and members of the mount group, and fur-
thermore, cryptfs commands are only available to the root and system users. If
you’re using an engineering build, or your device provides root access via a
“superuser” app (see Chapter 13), you can send the cryptfs command shown
in Listing 10-4 to vold in order to change the disk encryption password.
# vdc cryptfs changepw <newpass>
200 0 0
Listing 10-4: Changing the disk encryption password using vdc
NOTE If you change your lockscreen password, the disk encryption password will be changed
automatically. (This does not apply to secondary users on multi-user devices.)
Enabling Encryption
As mentioned in the previous section, the user-level part of Android’s
disk encryption is implemented by a dedicated cryptfs module of the vold
daemon. cryptfs provides the checkpw, restart, cryptocomplete, enablecrypto,
changepw, verifypw, getfield, and setfield commands, which the framework
sends at various points of the encryption or encrypted volume mount pro-
cess. In addition to the permissions set on the vold local socket, crypfs explic-
itly checks the identity of the command sender, and only allows access to the
root and system users.
Controlling Device Encryption Using System Properties
The vold daemon sets a number of system properties in order to trigger the
various stages of device encryption or mounting and to communicate the
current encryption state to framework services. The ro.crypto.state property
holds the current encryption state, which is set to encrypted when the data
partition has been successfully encrypted, and to unencrypted when it has
not yet been encrypted. The property can also be set to unsupported if the
device does not support disk encryption. The vold daemon also sets various
predefined values to the vold.decrypt property in order to signal the current
state of device encryption or mounting. The vold.encrypt_progress property
holds the current encryption progress (from 0 to 100), or an error string if
an error occurred during device encryption or mounting.

264 Chapter 10
The ro.crypto.fs_crypto_blkdev system property contains the name of the
virtual device allocated by the device mapper. After successfully decrypting
the disk encryption key, this virtual device is mounted at /data in place of the
underlying physical volume, as shown in Listing 10-5 (with output split for
readability).
# mount|grep '/data'
/dev/block/dm-0 /data ext4 rw,seclabel,nosuid,nodev,noatime,
errors=panic,user_xattr,barrier=1,nomblk_io_submit,data=ordered 0 0
Listing 10-5: Encrypted virtual block device mounted at /data
Unmounting /data
The Android framework expects /data to be available, but it needs to be
unmounted in order to be encrypted. This creates a catch-22 situation, which
Android solves by unmounting the physical userdata partition and mounting
an on-memory filesystem (tempfs) in its place while performing encryption.
Switching partitions at runtime in turn requires stopping and restarting cer-
tain system services, which vold triggers by setting the value of the vold.decrypt
system property to trigger_restart_framework, trigger_restart_min_framework, or
trigger_shutdown_framework. These values trigger different parts of init.rc, as
shown in Listing 10-6.
--snip--
on post-fs-datau
chown system system /data
chmod 0771 /data
restorecon /data
copy /data/system/entropy.dat /dev/urandom
--snip--
on property:vold.decrypt=trigger_reset_mainv
class_reset main
on property:vold.decrypt=trigger_load_persist_props
load_persist_props
on property:vold.decrypt=trigger_post_fs_dataw
trigger post-fs-data
on property:vold.decrypt=trigger_restart_min_frameworkx
class_start main
on property:vold.decrypt=trigger_restart_frameworky
class_start main
class_start late_start
on property:vold.decrypt=trigger_shutdown_frameworkz
class_reset late_start
class_reset main
--snip-
Listing 10-6: vold.decrypt triggers in init.rc

Device Security 265
Triggering the Encryption Process
When the user starts the encryption process via the system Settings UI with
Security4Encrypt phone, the Settings app calls MountService, which in turn
sends the cryptfs enablecrypto inplace password command to vold, where password
is the lockscreen password. In turn, vold unmounts the userdata partition
and sets vold.decrypt to trigger_shutdown_framework (z in Listing 10-6), which
shuts down most system services except for those that are part of the core
service class. The vold daemon then unmounts /data, mounts a tempfs file-
system in its place, and then sets vold.encrypt_progress to 0 and vold.decrypt
to trigger_restart_min_framework (x in Listing 10-6). This starts a few more
system services (in the main class) that are required for showing the encryp-
tion progress UI.
Updating the Crypto Footer and Encrypting Data
Next, vold sets up the virtual dm-crypt device and writes the crypto footer.
The footer can be written to the end of the userdata partition or to a dedi-
cated partition or file, and its location is specified in the fstab file as the
value of the encryptable flag. For example, on the Nexus 5 the crypto footer
is written to the dedicated partition metadata, as shown in Listing 10-7 as u
(with the single line broken for readability). When the crypto footer is writ-
ten at the end of the encrypted partition, the encryptable flag is set to the
string footer.
--snip--
/dev/block/platform/msm_sdcc.1/by-name/userdata /data ext4
noatime,nosuid,nodev,barrier=1,data=ordered,nomblk_io_submit,noauto_da_alloc,errors=panic
wait,check,encryptable=/dev/block/platform/msm_sdcc.1/by-name/metadatau
--snip--
Listing 10-7: The encryptable fstab flag specifies the location of the crypto footer
The crypto footer contains the encrypted disk encryption key (master
key), the salt used for KEK derivation, and other key derivation parameters
and metadata. Its flags field is set to CRYPT_ENCRYPTION_IN_PROGRESS (0x2) to
signal that device encryption has started but not been completed.
Finally, each block is read from the physical userdata partition and writ-
ten to the virtual dm-crypt device, which encrypts read blocks and writes
them to disk, thus encrypting the userdata partition in place. If encryption
completes without errors, vold clears the CRYPT_ENCRYPTION_IN_PROGRESS flag
and reboots the device.
Booting an Encrypted Device
Booting an encrypted device requires asking the user for the disk encryption
password. Rather then use a specialized bootloader UI, Android sets the vold.
decrypt system property to 1 and then starts a minimal set of system services in
order to show a standard Android UI. As with device encryption, this again
requires mounting a tmpfs filesystem at /data in order to allow core system

266 Chapter 10
services to start. When the core framework is up, Android detects that vold.
decrypt is set to 1 and starts the userdata partition mount process.
Obtaining the Disk Encryption Password
The first step in this process is to check whether the partition has been suc-
cessfully encrypted by sending the cryptfs cryptocomplete command to vold,
which in turn checks whether the crypto footer is properly formatted and
that the CRYPT_ENCRYPTION_IN_PROGRESS flag is not set. If the partition is found
to be successfully encrypted, the framework launches the password entry UI
shown in Figure 10-4 provided by CryptKeeper, part of the system Settings app.
This activity acts as a home screen (launcher), and because it has higher pri-
ority than the default launcher, it’s started first after the device boots.
If the device is unencrypted, CryptKeeper disables itself and finishes,
which causes the system activity manager to launch the default home screen
application. If the device is encrypted or in the process of being encrypted
(that is, the vold.crypt property is not empty or set to trigger_restart_framework),
the CryptKeeper activity starts and hides the status and system bars. In addi-
tion, CryptKeeper ignores hardware back button presses, thus disallowing navi-
gation away from the password input UI.
If the encrypted device is corrupted, or the encryption process inter-
rupted and the userdata partition left only partially encrypted, the device
cannot be booted. In this case, CryptKeeper displays the UI shown in Fig-
ure 10-5, allowing the user to trigger a factory reset, which reformats the
userdata partition.
Figure 10-4: Device encryption pass-
word input UI
Figure 10-5: UI shown if device
encryption fails

Device Security 267
Decrypting and Mounting /data
When the user enters their password, CryptKeeper sends the cryptfs checkpw
command to vold by calling the decryptStorage() method of the system
MountService. This instructs vold to check whether the entered password
is correct by trying to mount the encrypted partition at a temporary
mount point and then unmounting it. If the procedure succeeds, vold
sets the name of the virtual block device allocated by the device-mapper
as the value of ro.crypto.fs_crypto_blkdev property and returns control to
MountService, which in turn sends the cryptfs restart command, instructing
vold to restart all system services in the main class (v in Listing 10-6). This
allows the tempfs filesystem to be unmounted, and the newly allocated vir-
tual dm-crypt block device to be mounted at /data.
Starting All System Services
After the encrypted partition is mounted and prepared, vold sets vold.decrypt
to trigger_post_fs_data (w in Listing 10-6), thus triggering the post-fs-data u
section of init.rc. The commands in this section set up file and directory
permissions, restore SELinux contexts, and create required directories
under /data if necessary.
Finally, post-fs-data sets the vold.post_fs_data_done property to 1, which
vold polls periodically. When vold detects a value of 1, it sets the vold.decrypt
property to trigger_restart_framework (y in Listing 10-6), which restarts all
services in the main class, and starts all delayed services (class late_start). At
this point, the framework is fully initialized and the device boots using the
decrypted view of the userdata partition mounted at /data. From this point
on, all data written by applications or the system is automatically encrypted
before being committed to disk.
LIMITATIONS OF DISK ENCRYPTION
Disk encryption only protects data at rest; that is, when the device is turned off.
Because disk encryption is transparent and implemented at the kernel level,
after an encrypted volume is mounted, it is indistinguishable from a plaintext
volume to user-level processes. Therefore disk encryption does not protect data
from malicious programs running on the device. Applications that deal with
sensitive data should not rely solely on full-disk encryption, but should imple-
ment their own, file-based encryption instead. The file encryption key should
be encrypted with a KEK derived from a user-supplied password, or some
unchangeable hardware property if the data needs to be bound to the device.
To ensure file integrity, encrypted data must be authenticated using either an
authenticated encryption scheme like GCM, or an additional authentication
function such as HMAC.

268 Chapter 10
Screen Security
One way to control access to an Android
device is by requiring user authentica-
tion in order to access the system UI
and applications. User authentication
is implemented by showing a lockscreen
each time the device boots or its screen
is turned on. The lockscreen on a single-
user device, configured to require a
numeric PIN to unlock, might look like
Figure 10-6.
In early Android versions, the lock-
screen was only designed to protect
access to the device’s UI. As the plat-
form evolved, the lockscreen has been
extended with features that display
widgets that show up-to-date device
or application state, allow switching
between users on multi-user devices,
and the ability to unlock the system
keystore. Similarly, the screen unlock
PIN or password is now used to derive
the credential storage encryption key
(for software implementations), as well
as the disk encryption key KEK.
Lockscreen Implementation
Android’s lockscreen (or keyguard) is implemented like regular Android
applications: with widgets laid out on a window. It’s special because its win-
dow lives on a high window layer that other applications cannot draw on top
of or control. Additionally, the keyguard intercepts the normal navigation
buttons, which makes it impossible to bypass and thus “locks” the device.
The keyguard window layer is not the highest layer, however; dialogs
originating from the keyguard itself, and the status bar, are drawn over
the keyguard. You can see a list of the currently shown windows using the
Hierarchy Viewer tool available with the ADT. When the screen is locked,
the active window is the Keyguard window, as shown in Figure 10-7.
NOTE Prior to Android 4.0, third-party applications could show windows in the keyguard
layer, which allowed applications to intercept the Home button and implement
“kiosk”-style applications. However, because this functionality was abused by certain
malware applications, since Android 4.0 adding windows to the keyguard layer
requires the INTERNAL_SYSTEM_WINDOW signature permission, which is available only to
system applications.
Figure 10-6: PIN lockscreen

Device Security 269
Figure 10-7: Keyguard window position in Android’s
window stack
For a long time, the keyguard was an implementation detail of Android’s
window system and was not separated into a dedicated component. With
the introduction of lockscreen widgets, dreams (that is, screensavers), and
support for multiple users, the keyguard gained quite a lot of new functional-
ity and was eventually extracted in a dedicated system application, Keyguard, in
Android 4.4. The Keyguard app lives in the com.android.systemui process, along
with the core Android UI implementation.
The UI for each unlock method (discussed next) is implemented as a
specialized view component. This component is hosted by a dedicated view
container class called KeyguardHostView, along with keyguard widgets and
other helper UI components. For example, the PIN unlock view shown in
Figure 10-6 is implemented in the KeyguardPINView class, and password unlock
is implemented by the KeyguardPasswordView class. The KeyguardHostView class
automatically selects and displays the appropriate keyguard view for the cur-
rently configured unlock method and device state. Unlock views delegate
password checks to the LockPatternUtils class, which is responsible for compar-
ing user input to saved unlock credentials, as well as for persisting password
changes to disk and updating authentication-related metadata.
Besides the implementations of keyguard unlock views, the Keyguard
system application includes the exported KeyguardService service, which
exposes a remote AIDL interface, IKeyguardService. This service allows its
clients to check the current state of the keyguard, set the current user,
launch the camera, and hide or disable the keyguard. Operations that
change the state of the keyguard are protected by a system signature per-
mission, CONTROL_KEYGUARD.
Keyguard Unlock Methods
Stock Android provides several keyguard unlock methods (also called secu-
rity modes in Android’s source code). Of these, five can be directly selected
in the Choose screen lockscreen: Slide, Face Unlock, Pattern, PIN, and
Password, as shown in Figure 10-8.

270 Chapter 10
The Slide unlock method requires no user authentication and its
security level is therefore equivalent to selecting None. Both states
are represented internally by setting the current security mode to the
KeyguardSecurityModel.SecurityMode.None enum value. As of this writing, Face
Unlock is the only implementation of the SecurityMode.Biometric security
mode and is internally referred to as “weak biometric” (a “strong bio-
metric” could be implemented with fingerprint or iris recognition in a
future version). Unlock methods that are not compatible with the current
device security policy (the top three in Figure 10-8) are disabled and can-
not be selected. The security policy can be set either explicitly by a device
administrator, or implicitly by enabling a security-related OS feature such
as credential storage or full-disk encryption.
The Pattern unlock method (SecurityMode.Pattern) is Android-specific
and requires drawing a predefined pattern on a 3×3 grid to unlock the
device, as shown in Figure 10-9.
The PIN (SecurityMode.PIN) and Password (SecurityMode.Password) unlock
methods are implemented similarly, but differ by the scope of allowed char-
acters: only numeric (0-9) for the PIN, or alphanumeric for Password are
allowed.
Figure 10-8: Directly selectable
keyguard unlock methods
Figure 10-9: Configuring the Pattern
unlock method

Device Security 271
The SecurityMode enum defines three more unlock methods that are not
directly selectable in the Choose screen lockscreen: SecurityMode.Account,
SecurityMode.SimPin, and SecurityMode.SimPuk. The SecurityMode.Account
method is available only on devices that support Google accounts (Google
experience devices) and is not an independent unlock method. It can
only be used as a fallback method for another security mode. Similarly,
SecurityMode.SimPin and SecurityMode.SimPuk are not lockscreen unlock meth-
ods per se; they’re only available if the device’s SIM card requires a PIN
before use. Because the SIM card remembers the PIN authentication sta-
tus, the PIN or PUK must be entered only once—when the device boots
(or if the SIM card state is otherwise reset). We’ll delve deeper into the
implementation of each lockscreen security mode in the next sections.
Face Unlock
Face Unlock is a relatively new unlock
method introduced in Android 4.0. It
uses the device’s front-facing camera to
register an image of the owner’s face
(see Figure 10-10) and relies on image
recognition technology to recognize
the face captured when unlocking the
device. Although improvements to Face
Unlock’s accuracy have been made
since its introduction, it’s considered
the least secure of all unlock methods,
and even the setup screen warns users
that “someone who looks similar to you
could unlock your phone.” In addition,
Face Unlock requires a backup unlock
method—either a pattern or a PIN, to
handle situations when face recogni-
tion is not possible (such as poor light-
ing, camera malfunction, and so on).
The Face Unlock implementation is
based on facial recognition technology
developed by the PittPatt (Pittsburgh
Pattern Recognition) company, which
Google acquired in 2011. The code
remains proprietary and no details are
available about the format of the stored
data or the recognition algorithms employed. As of this writing, the imple-
mentation of Face Unlock resides in the com.android.facelock package.
Figure 10-10: Face Unlock setup
screen

272 Chapter 10
Pattern Unlock
As shown in Figure 10-9, the code for pattern unlock is entered by join-
ing at least four points on a 3×3 matrix. Each point can be used only once
(crossed points are disregarded) and the maximum number of points is
nine. Internally, the pattern is stored as a byte sequence, with each point
represented by its index, where 0 is top left and 8 is bottom right. Thus the
pattern is similar to a PIN with a minimum of four and maximum of nine
digits, which uses only nine distinct digits (0 to 8). However, because points
cannot be repeated, the number of variations in an unlock pattern is con-
siderably lower compared to those of a nine-digit PIN.
The hash for the pattern lock is stored in /data/system/gesture.key (/data/
system/users/<user ID>/gesture.key on multi-user devices) as an unsalted SHA-1
value. By simply dumping this file, we can easily see that the contents of the
gesture.key file for the pattern in Figure 10-9 (represented as 00010204060708
in hexadecimal) shown in Listing 10-8 matches the SHA-1 hash of the pat-
tern byte sequence, which is 6a062b9b3452e366407181a1bf92ea73e9ed4c48 for
this example.
# od -t x1 /data/system/gesture.key
0000000 6a 06 2b 9b 34 52 e3 66 40 71 81 a1 bf 92 ea 73
0000020 e9 ed 4c 48
Listing 10-8: Contents of the /data/system/gesture.key file
Because a random salt value isn’t used when calculating the hash,
each pattern is always hashed to the same value, which makes it relatively
easy to generate a precomputed table of all possible patterns and their
respective hashes. (Such tables are readily available online.) This allows
for instant recovery of the pattern once the gesture.key file is obtained.
However, the file is owned by the system user and its permissions are set
to 0600, so recovery is not usually possible on production devices. The
entered pattern is checked against the saved hash using the checkPattern()
method of the LockScreenUtils class, and the pattern hash is calculated and
persisted using the saveLockPattern() method of that class. Saving the pat-
tern also sets the current password quality value to DevicePolicyManager
.PASSWORD_QUALITY_SOMETHING.
Another unfortunate property of the pattern unlock method is that
because capacitive touch screens are operated directly using a finger (not
with a stylus or a similar tool), drawing the unlock pattern multiple times
leaves a distinct trace on a touch screen, making it vulnerable to the so
called “smudge attack.” Using appropriate lighting and cameras, finger
smudges on the screen can be detected, and the unlock pattern can be
inferred with a very high probability. For these reasons, the pattern unlock
method’s security level is considered very low. In addition, because the
number of combinations is limited, the unlock pattern is a poor source
of entropy and is disallowed when the user’s unlock credential is used

Device Security 273
to derive an encryption key, such as
those used for system’s keystore and
device encryption.
Like Face Unlock, the pattern
unlock method supports a backup
unlock mechanism that is only made
available after the user enters an invalid
pattern more than five times. Backup
authentication must be manually acti-
vated by pressing the Forgot Pattern
button shown at the bottom of the lock-
screen. After the button is pressed, the
device goes into the SecurityMode.Account
security mode and displays the screen
shown in Figure 10-11.
The user can enter the creden-
tials of any Google account registered
on the device to unlock it, and then
reset or change the unlock method.
Therefore, having a Google account
with an easy to guess (or shared) pass-
word registered on the device could
be a potential backdoor to the device’s
lockscreen.
NOTE As of this writing, Google accounts that have been configured to require two-factor
authentication cannot be used to unlock the device.
PIN and Password Unlock
The PIN and password methods are essentially equivalent: they compare
the hash of the user’s input to a salted hash stored on the device and unlock
it if the values match. The hash of the PIN or password is a combination
of the SHA-1 and MD5 hash values of the user input, salted with a 64-bit
random value. The calculated hash is stored in the /data/misc/password.key
(/data/system/users/<user ID>/password.key on multi-user devices) file as a
hexadecimal string and may look like Listing 10-9.
# cat /data/system/password.key && echo
9B93A9A846FE2FC11D49220FC934445DBA277EB0AF4C9E324D84FFC0120D7BAE1041FAAC
Listing 10-9: Contents of the /data/misc/password.key file
The salt used for calculating the hash values was saved in the secure
table of the system’s SettingsProvider content provider under the lockscreen
.password_salt key in Android versions prior to 4.2, but was moved to a dedi-
cated database, along with other lockscreen-related metadata in order to
Figure 10-11: Google account unlock
mode

274 Chapter 10
support multiple users per device. As of Android 4.4, the database is located
in /data/system/locksettings.db and is accessed via the ILockSettings AIDL
interface of the LockSettingsService.
Accessing the service requires the ACCESS_KEYGUARD_SECURE_STORAGE signature
permission, which is only allowed to system applications. The locksettings.db
database has a single table, also called locksettings, which may contain data
like Listing 10-10 for a particular user (the user column contains the Android
user ID).
sqlite> select name, user, value from locksettings where user=0;
name |user|value
--snip--
lockscreen.password_salt |0 |6909501022570534487u
--snip--
lockscreen.password_type_alternate|0 |0v
lockscreen.password_type |0 |131072w
lockscreen.passwordhistory |0 |5BFE43E89C989972EF0FA0EC00BA30F356EE7B
7C7BF8BC08DEA2E067FF6C18F8CD7134B8,EE29A531FE0903C2144F0618B08D1858473C50341A7
8DEA85D219BCD27EF184BCBC2C18Cx
Listing 10-10: Contents of /data/system/locksettings.db for the owner user
Here, the lockscreen.password_salt setting u stores the 64-bit (represented
as a Java long type) salt value, and the lockscreen.password_type_alternate set-
ting v contains the type of the backup (also called alternate) unlock method
type (0 means none) for the current unlock method. lockscreen.password_type w
stores the currently selected password type, represented by the value of the
corresponding PASSWORD_QUALITY constant defined in the DevicePolicyManager
class. In this example, 131072 (0x00020000 in hexadecimal) corresponds to
the PASSWORD_QUALITY_NUMERIC constant, which is the password quality provided
by a numeric PIN. Finally, lockscreen.passwordhistory x contains the password
history, saved as a sequence of previous PIN or password hashes, separated by
commas. The history is only saved if the history length has been set to a value
greater than zero using one of the setPasswordHistoryLength() methods of the
DevicePolicyManager class. When password history is available, entering a new
password that is the same as any password in the history is forbidden.
The password hash can be easily calculated by concatenating the pass-
word or PIN string (1234 for this example) with the salt value formatted as a
hexadecimal string (5fe37a926983d657 for this example) and calculating the
SHA-1 and MD5 hashes of the resulting string, as shown in Listing 10-11.
$ SHA1=`echo -n '12345fe37a926983d657'|sha1sum|cut -d- -f1|tr '[a-z]' '[A-Z]'`u
$ MD5=`echo -n '12345fe37a926983d657'|md5sum|cut -d- -f1|tr '[a-z]' '[A-Z]'`v
$ echo "$SHA1$MD5"|tr -d ' 'w
9B93A9A846FE2FC11D49220FC934445DBA277EB0AF4C9E324D84FFC0120D7BAE1041FAAC
Listing 10-11: Calculating a PIN or password hash using sha1sum and md5sum
In this example the hashes are calculated using the sha1sum u and md5sum
v commands. When concatenated w, the output of the two commands pro-
duces the string contained in the password.key file shown in Listing 10-9.
Device Security 275
Note that while using a random hash makes it impossible to use a single
precalculated table for brute-forcing the PIN or password of any device, cal-
culating the password or hash requires a single hash invocation, so generat-
ing a targeted hash table for a particular device (assuming the salt value is
also available) is still relatively cheap. Additionally, while Android calculates
both the SHA-1 and MD5 hashes of the PIN or password, this provides no
security value, as it is sufficient to target the shorter hash (MD5) in order to
uncover the PIN or password.
The entered password is checked against the stored hash using the
LockPatternUtils.checkPassword() method, and the hash of a user-supplied
password is calculated and persisted using the one of the saveLockPassword()
methods of that class. Calling saveLockPassword() updates the password.key
file for the target (or current) user. Like gesture.key, this file is owned by the
system user and has permissions 0600. In addition to updating the password
hash, saveLockPassword() calculates the complexity of the entered password
and updates the value column corresponding to the lockscreen.password_type
key (w in Listing 10-10) in locksettings.db with the calculated complexity
value. If password history is enabled, saveLockPassword() also adds the PIN
or password hash to the locksettings table (x in Listing 10-11).
Recall that when the device is encrypted, the PIN or password is used
to derive a KEK that encrypts the disk encryption key. Therefore, changing
the PIN or password of the owner user also re-encrypts the disk encryp-
tion key by calling the changeEncryptionPassword() method of the system’s
MountService. (Changing the PIN or password of a secondary user does not
affect the disk encryption key.)
PIN and PUK Unlock
The PIN and PUK security modes are not lockscreen unlock methods per se
because they depend on the state of the device’s SIM card and are only shown
if the SIM card is in a locked state. A SIM card can require users to enter a
preconfigured PIN code in order to unlock the card and get access to any
network authentication keys stored inside, which are required to register with
the mobile network and place non-emergency calls.
Because a SIM card retains its unlock state until reset, the PIN code
typically must be entered only when the device first boots. If an incorrect
code is entered more than three times, the SIM card locks and requires the
user to enter a separate code to unlock it called the PIN unlock key (PUK), or
personal unblocking code (PUC).
When the lockscreen is shown, Android checks the state of the SIM
card, and if it’s State.PIN_REQUIRED (defined in the IccCardConstants class), it
shows the SIM unlock keyguard view shown in Figure 10-12. When the user
enters a SIM unlock PIN, it’s passed to the supplyPinReportResult() method
of the ITelephony interface (implemented in the TeleService system appli-
cation), which in turn passes it to the device’s baseband processor (the
device component that implements mobile network communication, also
sometimes referred to as the modem or radio) via the radio interface dae-
mon (rild). Finally, the baseband processor, which is directly connected to

276 Chapter 10
the SIM, sends the PIN to the SIM card
and receives a status code in exchange.
The status code is passed back to the
unlock view via the same route. If the
status code indicates that the SIM card
accepted the PIN and no screen lock is
configured, the home screen (launcher)
is displayed next. If, on the other hand,
a screen lock has been configured, it’s
shown after unlocking the SIM card, and
the user must enter their credentials in
order to unlock the device.
If the SIM card is locked (that is, in
the PUK_REQUIRED state), Android shows a
PUK entry screen and allows the user to
set up a new PIN after they unlock the
card. The PUK and new PIN are passed
to the supplyPukReportResult() method of
the ITelephony interface, which delivers
them to the SIM card. If a screen lock is
configured, it is shown when the PUK is
validated and the new PIN configured.
The Keyguard system application
monitors SIM state changes by register-
ing for the TelephonyIntents.ACTION_SIM_
STATE_CHANGED broadcast and shows the
lockscreen if the card becomes locked
or permanently disabled. Users can
toggle the SIM card’s PIN protection
by navigating to Settings4Security4
Set up SIM card lock and using the
Lock SIM card checkbox.
Brute-Force Attack Protection
Because complex passwords can be
tricky to input on a touch screen key-
board, users typically use relatively
short unlock credentials, which can
easily be guessed or brute-forced.
Android protects against brute-force
attacks executed directly on the device
(online attacks) by requiring users to
wait 30 seconds after each five sub-
sequent failed authentication attempts,
as shown in Figure 10-13. This tech-
nique is referred to as rate limiting. Figure 10-13: Rate limiting after five
subsequent failed authentication
attempts
Figure 10-12: SIM unlock screen
Device Security 277
To further deter brute-force attacks, password complexity, expiration,
and history rules can be set and enforced using the DevicePolicyManager
API, as discussed in Chapter 9. If the device stores or allows access to
sensitive corporate data, device administrators can also set a threshold
for the allowed failed authentication attempts using the DevicePolicyManager
.setMaximumFailedPasswordsForWipe() method. When the threshold is reached,
all user data on the device is automatically deleted, preventing attackers
from gaining unauthorized access to it.
Secure USB Debugging
One reason for Android’s success is the low entry barrier to application
development; apps can be developed on any OS, in a high-level language,
without the need to invest in developer tools or hardware (when using the
Android emulator). Developing software for embedded or other dedicated
devices has traditionally been difficult, because it’s usually hard (or in some
cases impossible) to inspect a program’s internal state or otherwise interact
with the device in order to debug programs.
Since its earliest versions, Android has included a powerful device
interaction toolkit that allows interactive debugging and inspecting device
state, called the Android Debug Bridge (ADB). ADB is typically turned off
on consumer devices, but can be turned on via the system UI in order to
enable app development and debugging on the device. Because ADB pro-
vides privileged access to the device’s filesystem and applications, it can be
used to obtain unauthorized access to data. In the following sections, we’ll
discuss ADB’s architecture, then discuss the steps recent Android versions
have taken to restrict access to ADB.
ADB Overview
ADB keeps track of all devices (or emulators) connected to a host, and
offers various services to its clients (command line clients, IDEs, and so on).
It consists of three main components: the ADB server, the ADB daemon
(adbd), and the default command-line client (adb). The ADB server runs
on the host machine as a background process and decouples clients from
the actual devices or emulators. It monitors device connectivity and sets
their state appropriately (CS_CONNECTED, CS_OFFLINE, CS_RECOVERY, and so on).
The ADB daemon runs on an Android device (or emulator) and pro-
vides the actual services client use. It connects to the ADB server through
USB or TCP/IP, and receives and processes commands from it. The adb
command-line client lets you send commands to a particular device. In prac-
tice, it is implemented in the same binary as the ADB server and thus shares
much of its code. Figure 10-14 shows an overview of ADB’s architecture.

278 Chapter 10
Host (PC) Android Device
adbd
ADB Server (adb)
ADB Client 1
(adb command)
ADB Client 2
(Eclipse ADT)
TCP
localhost:5037
USB or TCP
Figure 10-14: ADB architecture
NOTE In addition to the native implementation in the adb command and the Java-based one
in the Android Development Tools (ADT) Eclipse plugin, various third-party imple-
mentations of the ADB protocol are also available, including a Python client
9 and
an ADB server implemented in JavaScript,10 which can be embedded in the Chrome
browser as an extension.
The client talks to the local ADB server via TCP (typically via
localhost:5037) using text-based commands, and receives OK or FAIL
responses in return. Some commands, like enumerating devices, port for-
warding, or daemon restart are handled by the local daemon, while oth-
ers (like shell or log access) require a connection to the target Android
device. Device access is generally accomplished by forwarding input and
output streams to/from the host. The transport layer that implements
this uses simple messages with a 24-byte header, which contains a com-
mand identifier, two arguments, the length and CRC32 of the optional
payload that follows, and a magic value, which simply flips all bits of the
command. The message structure is defined in system/core/adb/adb.h and
is shown in Listing 10-12 for reference. Messages are in turn encapsulated
in packets, which are sent over the USB or TCP link to the ADB server
running on the device.
struct amessage {
unsigned command; /* command identifier constant */
unsigned arg0; /* first argument */
unsigned arg1; /* second argument */
unsigned data_length; /* length of payload (0 is allowed) */
9. Anthony King, “PyAdb: basic ADB core for python using TCP,” https://github.com/cybojenix/
PyAdb/
10. Kenny Root, “adb-on-chrome: ADB (Android Debug Bridge) server as a Chrome exten-
sion,” https://github.com/kruton/adb-on-chrome/

Device Security 279
unsigned data_check; /* checksum of data payload */
unsigned magic; /* command ^ 0xffffffff */
};
Listing 10-12: ADB message structure
We won’t discuss the ADB protocol in more detail other than to note
the authentication commands added to the protocol in order to implement
secure USB debugging. (For more details on ADB, see the protocol descrip-
tion in the system/core/adb/protocol.txt file in Android’s source tree.)
NOTE You can enable trace logs for all ADB services by setting the ADB_TRACE environment
variable to 1 on the host and the persist.adb.trace_mask system property on the
device. Selected services can be traced by setting the value of ADB_TRACE or persist
.adb.trace_mask to a comma- or space-separated (columns or semi-columns as a sepa-
rator are also supported) list of service tags. See system/core/adb/adb.c for the full
list of supported tags.
The Need for Secure ADB
If you’ve done any development, you know that “debugging” is usually the
exact opposite of “secure.” Debugging typically involves inspecting (and
sometimes even changing) internal program state, dumping encrypted
communication data to log files, universal root access, and other scary but
necessary activities. Debugging is hard enough without having to bother
with security, so why further complicate things by adding additional secu-
rity layers? Android debugging, as provided by the ADB, is quite versatile
and gives you almost complete control over a device when enabled. This fea-
ture is, of course, very welcome when developing or testing an application
(or the OS itself), but it can also be used for other purposes.
Here’s a selective list of things ADB lets you do:
• Copy files to and from the device
• Debug apps running on the device (using JWDP or gdbserver)
• Execute shell commands on the device
• Get the system and apps logs
• Install and remove apps
If debugging is enabled on a device, you can do all of the above and
more (for example, inject touch events or input text in the UI) simply by
connecting the device to a computer with a USB cable. Because ADB does
not depend on the device’s screen lock, you don’t have to unlock the device
in order to execute ADB commands, and on most devices that provide
root access, connecting via ADB allows you to access and change every file,
including system files and password databases. Worse, you don’t actually
need a computer with development tools in order to access an Android
device via ADB; another Android device and a USB On-The-Go (OTG)
cable are sufficient. Android tools that can extract as much data as possible

280 Chapter 10
from another device in a very short time are readily available.11 If the device
is rooted, such tools can extract all of your credentials, disable or brute-
force the screen lock, and even log into your Google account. But even with-
out root, anything on external storage, most notably photos, is accessible, as
are your contacts and text messages.
Securing ADB
Android 4.2 was the first version to try to make ADB access harder by hid-
ing the Developer options settings screen, requiring you to use a “secret
knock” (tapping the build number seven times) in order to enable it. While
not a very effective access protection method, it makes sure that most users
don’t accidentally enable ADB access. This is, of course, only a stop-gap
measure, and as soon as you man-
age to turn USB debugging on, your
device is once again vulnerable.
Android 4.2.2 introduced a proper
solution with the so-called secure USB
debugging feature. “Secure” here
refers to the fact that only hosts that
are explicitly authorized by the user
can now connect to the adbd daemon
on the device and execute debugging
commands. Thus if someone tries to
connect a device to another one via USB
in order to access ADB, they must first
unlock the target device and authorize
access from the debug host by clicking
OK in the confirmation dialog shown
in Figure 10-15.
You can make your decision persis-
tent by checking the Always allow from
this computer checkbox and debug-
ging will work just as before, as long as
you’re on the same machine.
Naturally, this secure USB debug-
ging is only effective if you have a rea-
sonably secure lockscreen password in
place.
NOTE On tablets with multi-user support, the confirmation dialog is only shown to the
primary (owner) user.
11. Kyle Osborn, “p2p-adb Framework,” https://github.com/kosborn/p2p-adb/
Figure 10-15: USB debugging autho-
rization dialog

Device Security 281
Secure ADB Implementation
The ADB host authentication functionality is enabled by default when the
ro.adb.secure system property is set to 1, and there is no way to disable it via
the system interface. When a device connects to a host, it is initially in the
CS_UNAUTHORIZED state and only goes into the CS_DEVICE state after the host has
authenticated. Hosts use RSA keys in order to authenticate to the ADB dae-
mon on the device, typically following this three-step process:
1. When a host tries to connect, the device sends an A_AUTH message with
an argument of type ADB_AUTH_TOKEN that includes a 20-byte random
value (read from /dev/urandom/).
2. The host responds with an A_AUTH message with an argument of type
ADB_AUTH_SIGNATURE, which includes a SHA1withRSA signature of the ran-
dom token with one of the host’s private keys.
3. The device tries to verify the received signature, and if signature veri-
fication succeeds, it responds with an A_CNXN packet and goes into the
CS_DEVICE state. If verification fails, either because the signature value
doesn’t match, or because there is no corresponding public key to verify
with, the device sends another ADB_AUTH_TOKEN with a new random value
so that the host can try authenticating again (slowing down if the num-
ber of failures goes over a certain threshold).
Signature verification typically fails the first time you connect the device
to a new host because it doesn’t yet have the host’s key. In that case the host
sends its public key in an A_AUTH message with an ADB_AUTH_RSAPUBLICKEY argu-
ment. The device takes the MD5 hash of that key and displays it in the Allow
USB debugging confirmation dialog shown in Figure 10-15. Since adbd is a native
daemon, the key must be passed to the main Android OS in order for its hash
to be displayed on screen. This is accomplished by simply writing the key to a
local socket (also named adbd), which the adbd daemon monitors.
When you enable ADB debugging from the developer settings screen, a
thread that listens to that adbd socket is started. When the thread receives a
message starting with PK, it treats it as a public key, parses it, calculates the
MD5 hash and displays the confirmation dialog (implemented in a dedi-
cated activity, UsbDebuggingActivity, part of the SystemUI package). If you tap
OK, the activity sends a simple OK response to adbd, which uses the key to
verify the authentication message. If you check the Always allow from this
computer checkbox, the public key is written to disk and automatically used
for signature verification the next time you connect to the same host.
NOTE As of version 4.3, Android allows you to clear all saved host authentication keys.
This functionality can be triggered by selecting Settings4Developer options4Revoke
USB debugging authorizations.

282 Chapter 10
The UsbDeviceManager class provides public methods for allowing and
denying USB debugging, clearing cached authentication keys, as well as
for starting and stopping the adbd daemon. Those methods are made avail-
able to other applications via the IUsbManager AIDL interface of the system
UsbService. Calling IUsbManager methods that modify device state requires the
MANAGE_USB system signature permission.
ADB Authentication Keys
Although we described the ADB authentication protocol above, we haven’t
said much about the actual keys used in the process: 2048-bit RSA keys gen-
erated by the local ADB server. These keys are typically stored in $HOME/
.android (%USERPOFILE%\.android on Windows) as adbkey (private key)
and adbkey.pub (public key). The default key directory can be overridden by
setting the ANDROID_SDK_HOME environment variable. If the ADB_VENDOR_KEYS envi-
ronment variable is set, the directory it points to is also searched for keys. If
no keys are found in any of the above locations, a new key pair is generated
and saved.
The private key file (adbkey), which is only stored on the host, is in stan-
dard OpenSSL PEM format. The public key file (adbkey.pub) contains the
Base 64–encoded mincrypt-compatible representation of the public key,
which is basically a serialization of mincrypt’s RSAPublicKey structure (see
“Enabling Verified Boot” on page 256), followed by a user@host user identi-
fier, separated by space. The user identifier doesn’t seem to be used as of
this writing and is only meaningful on Unix-based OSes; on Windows, it is
always unknown@unknown.
Keys are stored on the device in the /data/misc/adb/adb_keys/ file, and
new authorized keys are appended to the same file as you accept them.
Read-only “vendor keys” are stored in the /adb_keys file, but it doesn’t seem
to exist on current Nexus devices. Public keys are in the same format as on
the host, making it easy to load in libmincrypt, which adbd links statically.
Listing 10-13 shows some sample adb_keys. The file is owned by the system
user, its group is set to shell, and its permissions to 0640.
# cat data/misc/adb/adb_keys
QAAAAJs1UDFt17wyV+Y2GNGF+EgWoiPfsByfC4frNd3s64w3IGt25fKERnl7O8/A+iVPGv1W
--snip--
yZ61cFd7R6ohLFYJRPB6Dy7tISUPRpb+NF4pbQEAAQA= unknown@unknown
QAAAAKFLvP+fp1cB4Eq/6zyV+hnm1S1eV9GYd7cYe+tmwuQZFe+O4vpeow6huIN8YbBRkr7
--snip--
m7+bGd6F0hRkO82gopy553xywXU7rI/aMl6FBAEAAQA= user1@host2
Listing 10-13: Contents of the adb_keys file
Verifying the Host Key Fingerprint
While the USB debugging confirmation dialog helpfully displays a key fin-
gerprint to let you verify that you’re connected to the expected host, the
adb client doesn’t have a handy command to print the fingerprint of the

Device Security 283
host key. Although it may seem that there’s little room for confusion (after
all, there is only one cable plugged in to a single machine) when running a
couple of VMs, things can get a little fuzzy. Listing 10-14 shows one way to
display the host key’s fingerprint in the same format used by the confirma-
tion dialog shown in Figure 10-15 (run in $HOME/.android or specify the
full path to the public key file).
$ cut -d' ' -f1 adbkey.pub|openssl base64 -A -d -a | \
openssl md5 -c|cut -d' ' -f2|tr '[a-z]' '[A-Z]'
69:D4:AC:0D:AF:6B:17:88:BA:6B:C4:BE:0C:F7:75:9A
Listing 10-14: Displaying the host key’s fingerprint
Android Backup
Android includes a backup framework that allows application data to be
backed up to Google’s cloud storage and supports full backup of installed
APK files, application data, and external storage files to a host machine
connected via USB. While device backup is not exactly a security feature,
backups allow application data to be extracted from the device, which can
present a security issue.
Android Backup Overview
Android’s backup framework was publicly announced in Android 2.2, but
it was probably available internally earlier. The framework lets applications
declare special components called backup agents, which are called by the sys-
tem when creating a backup for an application and when restoring its data.
While the backup framework did support pluggable backup transports
internally, initially the only transport that was usable in practice was a pro-
prietary one that stores application data in Google’s cloud storage.
Cloud Backup
Because backups are associated with a user’s Google account, when they
install an application that has a backup agent on a new device, the applica-
tion’s data can be automatically restored if the user has registered the same
Google account as the one used when the backup was created. Backup and
restore is managed by the system and cannot typically be triggered or con-
trolled by users (though developer commands that trigger cloud backup are
accessible via the Android shell). By default, backups are triggered periodi-
cally, and restore only when an app is first installed on a device.
Local Backup
Android 4.0 added a new, local backup transport that lets users save back-
ups to a file on their desktop computer as well. Local backup (also called
full backup) requires ADB debugging to be enabled and authorized because

284 Chapter 10
backup data is streamed to the host
computer using the same method that
ADB (via adb pull) employs to transfer
device files to a host.
Full backup is started by executing
the adb backup command in a shell. This
command starts a new Java process on
the device, which binds to the system’s
BackupManagerService and requests a
backup with the parameters specified
to adb backup. The BackupManagerService
in turn starts a confirmation activity
like the one shown in Figure 10-16,
prompting the user to authorize the
backup and specify a backup encryp-
tion password if desired. If the device
is already encrypted, the user must enter
the device encryption password to pro-
ceed. This password will be used to
encrypt the backup as well, because
using a dedicated backup encryp-
tion password is not supported. The
full backup process is started when
the user presses the Back up my data
button.
Full backup calls the backup agent of each target package in
order to obtain a copy of its data. If a backup agent is not defined, the
BackupManagerService uses an internal FullBackupAgent class, which copies
all of the package’s files. Full backup honors the allowBackup attribute of
the <application> tag in the package’s AndroidManifest.xml file, and will not
extract package data if allowBackup is set to false.
In addition to application data, full backup can include user-installed
and system application APK files, as well as external storage contents, with
some limitations: full backup doesn’t back up protected (with DRM) apps,
and skips some system settings such as mobile network APNs and Wi-Fi
access points’ connection details.
Backups are restored using the adb restore command. Backup restore
is quite limited and doesn’t allow any options to be specified, as it can only
perform a full restore.
Backup File Format
Android backup files start with a few lines of text, followed by binary data.
These lines are the backup header and they specify the backup format and
encryption parameters (if a backup password was specified) used to create
the backup. The header of an unencrypted backup is shown in Listing 10-15.
Figure 10-16: Backup confirmation
dialog

Device Security 285
ANDROID BACKUPu
1v
1w
nonex
Listing 10-15: Unencrypted backup header
The first line u is the file magic (format identifier), the second v is
the backup format version (1 up till Android 4.4.2, 2 in later versions; ver-
sion 2 denotes a change in the key derivation method, which now takes into
account multibyte password characters), the third w is a compression flag
(1 if compressed), and the last x is the encryption algorithm used (none or
AES-256).
The actual backup data is a compressed and optionally encrypted tar
file that includes a backup manifest file, followed by the application APK
(if any), and app data (files, databases, and shared preferences). The data
is compressed using the deflate algorithm and can be decompressed using
OpenSSL’s zlib command, as shown in Listing 10-16.
$ dd if=mybackup.ab bs=24 skip=1|openssl zlib -d > mybackup.tar
Listing 10-16: Uncompressing an Android backup using OpenSSL
After the backup is uncompressed, you can view its contents or extract
it with the standard tar command, as shown in Listing 10-17.
$ tar tvf mybackup.tar
-rw------- 1000/1000 1019 apps/org.myapp/_manifestu
-rw-r--r-- 1000/1000 1412208 apps/org.myapp/a/org.myapp-1.apkv
-rw-rw---- 10091/10091 231 apps/org.myapp/f/share_history.xmlw
-rw-rw---- 10091/10091 0 apps/org.myapp/db/myapp.db-journalx
-rw-rw---- 10091/10091 5120 apps/org.myapp/db/myapp.db
-rw-rw---- 10091/10091 1110 apps/org.myapp/sp/org.myapp_preferences.xmly
Listing 10-17: Viewing the contents of an uncompressed backup using tar
Inside the tar file, app data is stored in the apps/ directory, which con-
tains a subdirectory for each backed-up package. Each package directory
includes a _manifest file u in its root, the APK file (if requested) in a/ v,
app files in f/ w, databases in db/ x, and shared preferences in sp/ y. The
manifest contains the app’s package name and version code, the platform’s
version code, a flag indicating whether the archive contains the app APK,
and the app’s signing certificate.
The BackupManagerService uses this information when restoring an app
in order to check whether it’s been signed with the same certificate as the
currently installed one. If the certificates don’t match, it will skip installing
the APK, except for system packages, which might be signed with a differ-
ent (manufacturer-owned) certificate on different devices. Additionally,
BackupManagerService expects the files to be in the order shown in Listing 10-17

286 Chapter 10
and restore will fail if they are out for order. For example, if the manifest
states that the backup includes an APK, the BackupManagerService will try to
read and install the APK first, before restoring the app’s files. This restore
order is required because you cannot restore files for an app you don’t have
installed. However, BackupManagerService will not search for the APK in the
archive, and if it is not right after the manifest, all other files will be skipped.
If the user requested external storage backup (by passing the -shared
option to adb backup), there will also be a shared/ directory in the archive,
containing external storage files.
Backup Encryption
If the user supplied an encryption password when requesting the backup,
the backup file is encrypted with a key derived from the password. The
password is used to generate a 256-bit AES key using 10,000 rounds of
PBKDF2 with a randomly generated 512-bit salt. This key is then used to
encrypt another, randomly generated 256-bit AES bit master key, which is
in turn used to encrypt the actual archive data in CBC mode (using the
AES/CBC/PKCS5Padding Cipher transformation). A master key checksum is
also calculated and saved in the backup file header. In order to generate
the checksum, the generated raw master key is converted to a Java charac-
ter array by casting each byte to char, with the result treated as a password
string, and run through the PBKDF2 function to effectively generate
another AES key, whose bytes are used as the checksum.
NOTE Because an AES key is essentially a random byte sequence, the raw key usually con-
tains several bytes that don’t map to printable characters. Because PKCS#5 does not
specify the actual encoding of a password string, Android’s encryption checksum gen-
eration method produces implementation and version-dependent results.
The checksum is used to verify whether the user-supplied decryption
password is correct before actually decrypting the backup data. When
the master key is decrypted, its checksum is calculated using the method
described above and then compared to the checksum in the archive header.
If the checksums don’t match, the password is considered incorrect, and the
restore process is aborted. Listing 10-18 shows an example backup header
for an encrypted archive.
ANDROID BACKUP
1
1
AES-256u
68404C30DF8CACA5FA004F49BA3A70...v
909459ADCA2A60D7C2B117A6F91E3D...w
10000x
789B1A01E3B8FA759C6459AF1CF1F0FD y
8DC5E483D3893EC7F6AAA56B97A6C2...z
Listing 10-18: Encrypted backup header

Device Security 287
Here, AES-256 u is the backup encryption algorithm used, the next
line v is the user password salt as a hexadecimal string, followed by the
master key checksum salt w, the number of PBKDF2 rounds used to
derive a key x, and the user key IV y. The final line z is the master key
blob, which contains the archive data encryption IV, the actual master
key and its checksum, all encrypted with the key derived from the user-
supplied password. Listing 10-19 shows the detailed format of the master
key blob.
byte Nivu
byte[Niv] IVv
byte Nmkw
byte [Nmk] MKx
byte Ncky
byte [Nck] MKckz
Listing 10-19: Master key blob format
The first field u is the IV length, followed by the IV value v, the master
key (MK) length w, and the actual master key x. The last two fields store
the master key checksum hash length y, and the master key checksum hash
itself z.
Controlling Backup Scope
Android’s security model guarantees that each application runs within its
own sandbox and that its files cannot be accessed by other applications or
the device user, unless the application explicitly allows access. Therefore,
most applications do not encrypt their data before storing it to disk. However,
both legitimate users and attackers that have somehow obtained the device
unlock password can easily extract applications data using Android’s full
backup feature. For this reason, applications that store sensitive data should
either encrypt it or provide an explicit backup agent that limits exportable
data in order to guarantee that sensitive data cannot be easily extracted
via backup.
As mentioned in “Android Backup Overview” on page 283, if applica-
tion data backup isn’t needed or desirable, applications can disallow it com-
pletely by setting their allowBackup attribute to false in AndroidManifest.xml,
as shown in Listing 10-20.
<?xml version="1.0" encoding="utf-8"?>
<manifest xmlns:android="http://schemas.android.com/apk/res/android"
package="org.example.app"
android:versionCode="1"
android:versionName="1.0" >
--snip--
<application
android:icon="@drawable/ic_launcher"
android:label="@string/app_name"
android:theme="@style/AppTheme"
android:allowBackup="false">

288 Chapter 10
--snip--
</application>
</manifest>
Listing 10-20: Disallowing application data backup in AndroidManifest.xml
Summary
Android employs various measures in order to protect user data and appli-
cations, and ensure the integrity of the operating system. On production
devices, the bootloader is locked, and the recovery OS only allows OTA
updates signed by the device manufacturer to be installed, thus ensuring
that only authorized OS builds can be booted or flashed to a device. When
enabled, dm-verity-based verified boot guarantees that the system partition
is not modified by checking the hash value of each device block against a
trusted hash tree, which prevents the installation of malicious programs
such as rootkits on the system partition. Android can also encrypt the
userdata partition, making it harder to extract applications data by directly
accessing storage devices.
Android supports various screen lock methods and applies rate limit-
ing to unsuccessful authentication attempts, thus deterring online attacks
against a booted device. The type and complexity of the unlock PIN or
password can be specified and enforced by device administrator applica-
tions. A device policy that wipes the device after too many unsuccessful
authentication attempts is also supported. Secure USB debugging requires
debug hosts to be explicitly authorized by the user and added to a whitelist,
thus preventing information extraction via USB.
Finally, full device backups can be encrypted with a key derived from
a user-supplied password, making it harder to access device data that has
been extracted into a backup. To achieve a higher level of device secu-
rity, all supported security measures should be enabled and configured
accordingly.
11
NFC AND SECURE ELEMENTS
This chapter gives a brief overview of near field com-
munication (NFC) and secure elements (SEs), and
explains how they’re integrated into mobile devices.
While NFC has many uses, we focus on its card emula-
tion mode, which is used to provide an interface to an
SE integrated into a mobile device. Secure elements offer protected storage
for private data, such as authentication keys, and provide a secure execution
environment that can protect security-critical code. We’ll describe which
types of SEs Android supports and introduce the APIs that Android appli-
cations can use to communicate with SEs. Finally, we’ll discuss host-based
card emulation (HCE) and its Android implementations, and demonstrate
how to implement an HCE application.
NFC Overview
NFC is a technology that allows devices that are in close proximity (usually
10 centimeters or less) to establish radio communication with each other
and exchange data. NFC is not a single standard, but is based on a set of
290 Chapter 11
standards that define radio frequencies, communication protocols, and
data exchange formats. NFC builds upon radio-frequency identification
(RFID) technology and operates at the 13.56 MHz frequency, allowing vari-
ous data transmission rates such as 106kbps, 212kbps, and 424kbps.
NFC communication involves two devices: an initiator and a target. In
active mode, both the initiator and the target have their own power supplies
and each can transmit a radio signal in order to communicate with the
other party. In passive mode, the target device does not have its own power
source and is activated and powered by the electromagnetic field emitted
by the initiator.
When communicating in passive mode, the initiator is often called
a reader, and the target a tag. The reader can be a dedicated device or be
embedded in a general purpose device, such as a personal computer or a
mobile phone. Tags come in various shapes and sizes and range from simple
stickers with very limited amount of memory to contactless smart cards,
which have an embedded CPU.
NFC devices can operate in three different modes: reader/writer (R/W),
peer-to-peer (P2P), and card emulation (CE). In R/W mode, a device acts
as an active initiator and can read and write data to external tags. In P2P
mode, two NFC devices can actively exchange data using a bidirectional
communication protocol. The CE mode allows an NFC device to emulate
a tag or a contactless smart card. Android supports all three modes with
some limitations. We give an overview of Android’s NFC architecture and
show how to use each mode in the next section.
Android NFC Support
NFC support in Android was introduced in version 2.3 and the related
architecture and features remained largely unchanged until version 4.4,
which introduced HCE support.
Android’s NFC implementation resides in the NfcService system service,
part of the Nfc system application (package com.android.nfc). It wraps the
native libraries required to drive each supported NFC controller; implements
access control, tag discovery, and dispatch; and controls card emulation.
Android doesn’t expose a low-level API to the functionality of NfcService,
but instead offers an event-driven framework that allows interested applica-
tions to register for NFC events. This event-driven approach is used in all
three NFC operating modes.
Reader/Writer Mode
NFC-enabled Android applications can’t directly set the device in R/W
mode. Instead, they declare the type of tags they’re interested in, and
Android’s tag dispatch system selects and starts the matching application
when it discovers a tag.
The tag dispatch system both uses the tag technology (discussed shortly)
and parses tag contents in order to decide which application to dispatch the
tag to. The tag dispatch system uses three intent actions to notify applications

NFC and Secure Elements 291
about the discovered tag: ACTION_NDEF_DISCOVERED, ACTION_TECH_DISCOVERED, and
ACTION_TAG_DISCOVERED. The ACTION_NDEF_DISCOVERED intent has the highest
priority and is sent when Android discovers a tag that is formatted using
the standard NFC Data Exchange Format (NDEF)1 and that contains a
recognized data type. The ACTION_TECH_DISCOVERED intent is sent when the
scanned tag does not contain NDEF data or the data format is not recog-
nized by applications that can handle the discovered tag technology. If no
applications can handle ACTION_NDEF_DISCOVERED or ACTION_TECH_DISCOVERED, the
NfcService sends the generic ACTION_TAG_DISCOVERED intent. Tag dispatch events
are delivered only to activities, and therefore cannot be processed in the
background without user interaction.
Registering for Tag Dispatch
Applications register for NFC events using the standard intent filter sys-
tem by declaring the intents that an NFC-enabled activity supports in
AndroidManifest.xml, as shown in Listing 11-1.
<?xml version="1.0" encoding="utf-8"?>
<manifest xmlns:android="http://schemas.android.com/apk/res/android"
package="com.example.nfc" ...>
--snip--
<uses-permission android:name="android.permission.NFC" />u
--snip--
<application ...>
<activity
android:name=".NfcActivity"v
android:launchMode="singleTop" >
<intent-filter>
<action android:name="android.nfc.action.NDEF_DISCOVERED"/>w
<category android:name="android.intent.category.DEFAULT"/>
<data android:mimeType="text/plain" />
</intent-filter>
<intent-filter>
<action android:name="android.nfc.action.TECH_DISCOVERED" />x
</intent-filter>
<intent-filter>
<action android:name="android.nfc.action.TAG_DISCOVERED" />y
</intent-filter>
<meta-data
android:name="android.nfc.action.TECH_DISCOVERED"z
android:resource="@xml/filter_nfc" >
</meta-data>
</activity>
--snip--
1. The NDEF format and its implementation using various tag technologies are described
in the NFC Forum specification, available on its website: http://nfc-forum.org/our-work/
specifications-and-application-documents/specifications/nfc-forum-technical-specifications/

292 Chapter 11
</application>
</manifest>
Listing 11-1: Manifest file of an NFC-enabled application
As you can see in this listing, the application first requests the
android.permission.NFC permission u, which is required to access the
NFC controller, and then declares an activity that handles NFC events,
NfcActivity v. The activity registers three intent filters; one for each tag
discovery event. The application declares that it can handle NDEF data
with the text/plain MIME type by specifying the mimeType attribute of the
<data> tag in the NDEF_DISCOVERED intent filter w. NfcActivity also declares
that it can handle the TECH_DISCOVERED intent x, which is sent if the scanned
tag uses one of the technologies specified in the associated metadata XML
resource file z. Finally, the application requests that it be notified about all
discovered NFC tags by adding the catch-all TAG_DISCOVERED intent filter y.
If more than one activity that supports the scanned tag is found, Android
shows a selection dialog, allowing the user to select which activity should
handle the tag. Applications already in the foreground can short-circuit this
selection by calling the NfcAdapter.enableForegroundDispatch() method. Such
an application will be given priority over all other matching applications
and will automatically receive the NFC intent when it’s in the foreground.
Tag Technologies
A tag technology is an abstract term that describes a concrete NFC tag. The
tag technology is determined by the communication protocol the tag uses,
its internal structure, or the features it offers. For example, a tag that uses the
NFC-A protocol (based on ISO 14443-3A)2 for communication matches the
NfcA technology, and a tag that contains NDEF-formatted data matches
the Ndef technology, regardless of the underlying communication protocol.
(See the TagTechnology class reference documentation3 for a full list of tag
technologies supported by Android.)
An activity that specifies the TECH_DISCOVERED intent filter must provide
an XML resource file that in turn specifies the concrete technologies it sup-
ports with a <tech-list> element. An activity is considered a match for a tag
if one of the tech lists it declares is a subset of the technologies supported
by the tag. Multiple tech lists can be declared in order to match different
tags, as shown in Listing 11-2.
<?xml version="1.0" encoding="utf-8"?>
<resources>
<tech-list>u
<tech>android.nfc.tech.IsoDep</tech>
2. Official versions of all ISO standards can be purchased on its website, http://www.iso.org/
iso/home/store/catalogue_ics.htm. Draft versions of standards can usually be obtained from the
website of the standard working group.
3. Google, Android API Reference, “TagTechnology,” https://developer.android.com/reference/
android/nfc/tech/TagTechnology.html

NFC and Secure Elements 293
<tech>android.nfc.tech.NfcA</tech>
</tech-list>
<tech-list>v
<tech>android.nfc.tech.NfcF</tech>
</tech-list>
</resources>
Listing 11-2: Declaring technologies to match using tech lists
Here, the first tech list u will match tags that provide a communica-
tion interface compatible with ISO 14443-4 (ISO-DEP), and which are
implemented using the NFC-A technology (usually used by NXP contact-
less smart cards); the second tech list v matches tags that use the NFC-F
technology (typically Felica cards). Because both tech lists are defined inde-
pendently, our example NfcActivity (see Listing 11-1) will be notified when
either a contactless NXP smart card or a Felica card or tag is scanned.
Reading a Tag
After the tag dispatch system selects an activity to handle the scanned tag, it
creates an NFC intent object and passes it to the selected activity. The activ-
ity can then use the EXTRA_TAG extra to obtain a Tag object representing the
scanned tag and call its methods in order to read or write to the tag. (Tags
that contain NDEF data also provide the EXTRA_NDEF_MESSAGES extra, which
contains an array of NDEF messages parsed from the tag.)
A concrete Tag object representing the underlying tag technology can
be obtained using the static get() method of the corresponding technol-
ogy class, as shown in Listing 11-3. If the Tag object does not support the
requested technology, the get() method returns null.
protected void onNewIntent(Intent intent) {
setIntent(intent);
Tag tag = intent.getParcelableExtra(NfcAdapter.EXTRA_TAG);
IsoDep isoDep = IsoDep.get(tag);
if (isoDep != null) {
isoDep.connect();
byte[] command = {...};
byte[] response = isoDep.transceive(command);
--snip--
}
}
Listing 11-3: Obtaining a concrete Tag instance from the NFC intent
Using Reader Mode
In addition to the intent-based tag dispatch system, Android 4.4 adds a
new method that activities can use to obtain a live Tag object, called reader
mode. Reader mode guarantees that while the target activity is in the
foreground, all other operation modes supported by the NFC controller

294 Chapter 11
(such as peer-to-peer and card emulation) are disabled. This mode is help-
ful when scanning an active NFC device, such as another Android device in
host-based emulation mode, which could trigger point-to-point communica-
tion and thus take control away from the current foreground activity.
Activities can enable reader mode by calling the enableReaderMode()
method of the NfcAdapter class,4 as shown in Listing 11-4.
public class NfcActivity extends Activity implements NfcAdapter.ReaderCallback {
private NfcAdapter adapter;
--snip--
@Override
public void onResume() {
super.onResume();
if (adapter != null) {
adapter.enableReaderMode(this, this, NfcAdapter.FLAG_READER_NFC_Au
| NfcAdapter.FLAG_READER_SKIP_NDEF_CHECK, null);
}
}
@Override
public void onTagDiscovered(Tag tag) {v
IsoDep isoDep = IsoDep.get(tag);
if (isoDep != null) {
isoDep.connect();
byte[] command = {...};
byte[] response = isoDep.transceive(command);
--snip--
}
}
--snip--
}
Listing 11-4: Enabling reader mode and obtaining a Tag object using ReaderCallback
In this case, the activity enables reader mode when it comes to the
foreground by calling the enableReaderMode() method u (the activity should
disable reader mode using the matching disableReaderMode() method when
it leaves the foreground), and obtains a Tag instance directly (without an
intermediate intent) via the onTagDiscovered() callback v. The Tag object is
then used in the same way as in intent-based dispatch.
Peer-to-Peer Mode
Android implements a limited NFC P2P mode data exchange between
devices using the proprietary NDEF push and the standard Simple NDEF
Exchange Protocol (SNEP) protocols.5 Android devices can exchange a
4. Google, Android API Reference, “NfcAdapter,” https://developer.android.com/reference/android/
nfc/NfcAdapter.html
5. NFC Forum, “NFC Forum Technical Specifications,” http://nfc-forum.org/our-work/
specifications-and-application-documents/specifications/nfc-forum-technical-specifications/

NFC and Secure Elements 295
single NDEF message with any device that supports either of these proto-
cols, but the P2P mode is typically used with another Android device in
order to implement the so-called Android Beam feature.
In addition to NDEF messages, Android Beam allows for the transfer of
larger data objects, such as photos and videos, which cannot fit in a single
NDEF message by creating a temporary Bluetooth connection between
devices. This process is called NFC handover and was added in Android 4.1.
NDEF message exchange in P2P mode is enabled by calling the
setNdefPushMessage() or setNdefPushMessageCallback() methods of the
NfcAdapter class. (See the official NFC API guide6 for more details and
sample code.)
Card Emulation Mode
As mentioned in “NFC Overview” on page 289, CE mode allows an
Android device to emulate a contactless smart card or an NFC tag. In
CE mode, the device receives commands over NFC, processes them, and
sends replies, again over NFC. The component responsible for process-
ing commands can be either a hardware secure element (as discussed
in the next section) connected to the device’s NFC controller, or an
Android application running on the device (when in host-based card
emulation, HCE).
In the following sections, we’ll discuss secure elements in mobile
devices, and the Android APIs that applications can use to communicate
with SEs. We’ll also describe how Android implements HCE and demon-
strate how to create an application that enables card emulation.
Secure Elements
A secure element (SE) is a tamper-resistant smart card chip capable of run-
ning smart card applications (called applets or cardlets) with a certain level
of security and isolation. A smart card is essentially a minimal computing
environment on a single chip, complete with a CPU, ROM, EEPROM, RAM,
and I/O port. Recent cards also include cryptographic co-processors that
implement common algorithms such as AES and RSA.
Smart cards use various techniques to implement tamper resistance,
making it quite hard to extract data by disassembling or analyzing the
chip. Modern smart cards come pre-programmed with a multi-application
OS that takes advantage of the hardware’s memory protection features to
ensure that each application’s data is only available to itself. Application
installation and (optionally) access is controlled by requiring the use of
cryptographic keys for each operation.
6. Google, Android API Guides, “NFC Basics,” https://developer.android.com/guide/topics/
connectivity/nfc/nfc.html#p2p
296 Chapter 11
The SE can be integrated in mobile devices as a Universal Integrated
Circuit Card (UICC, commonly known as a SIM card) embedded in the
handset or connected to a SD card slot. If the device supports NFC, the SE
is usually connected to (or embedded into) the NFC controller, making it
possible to communicate with the SE wirelessly.
Smart cards have been around since the 1970s and are now used in app-
lications ranging from pre-paid phone calls and transit ticketing to credit
cards and VPN credential storage. Because an SE installed in a mobile
device has equivalent or superior capabilities to that of a smart card, it
can theoretically be used for any application that physical smart cards are
currently used for. Additionally, because an SE can host multiple applica-
tions, it has the potential to replace the bunch of cards people use daily
with a single device. Furthermore, because the SE can be controlled by the
device’s OS, access to it can be restricted by requiring additional authenti-
cation (PIN, passphrase, or code signature) to enable it.
One of the main applications of SEs in mobile devices is that of emu-
lating contactless payment cards, and the goal of enabling mobile pay-
ments has indeed been the driving force behind SE deployment. Aside
from financial applications, mobile SEs could be used to emulate other
contactless cards that are in wide use, such as access cards, loyalty cards,
and so on.
Mobile SEs could also be used to enhance the security of apps that deal
with sensitive information or algorithms: The security-critical part of the
app, such as credential storage or license verification, can be implemented
inside the SE in order to guarantee that it’s impervious to reverse engineer-
ing and information extraction. Other apps that can benefit from being
implemented in the SE are One Time Password (OTP) generators and, of
course, credential storage (for shared secret keys, or private keys in a PKI).
While it’s possible to implement SE-enabled apps today with stan-
dard tools and technologies, using them in practice on current commer-
cial Android devices isn’t straightforward. We’ll discuss this in detail in
“Android SE Execution Environment” on page 302, but let’s first explore
the types of SEs available on mobile devices, and the level of support they
have in Android.
SE Form Factors in Mobile Devices
Figure 11-1 shows a simplified block diagram of the components of an
Android device as they relate to NFC and SE support, including the embed-
ded SE (eSE) and the UICC. We’ll refer to the components in this diagram
in our discussion of secure elements and host-based card emulation in the
rest of this chapter.
In the following subsections, we briefly review the types of SEs available
on Android devices, how they’re connected to other device components,
and the methods the OS uses to communicate with each type of SE.

NFC and Secure Elements 297
NFC Controller
(PN544)
eSE
Baseband
ProcessorUICC
S2C
NFC Chip (PN65N)
SWP
Android OS
AppHCE
AppApp
Antenna
Android Device
Antenna
Contactless
Reader
13.56 MHz
Application Processor
NFC-A
NFC-B
Figure 11-1: Android NFC and SE components
UICC
Most mobile devices today have some kind of UICC. Although UICCs are
smart cards that can host applications, because the UICC has tradition-
ally only been connected to the baseband processor (not the application
processor that runs the main device OS), they can’t be accessed directly
from Android. All communication goes through the Radio Interface Layer
(RIL), which is essentially a proprietary IPC interface to the baseband.
Communication with the UICC SE is carried out using extended AT
commands (AT+CCHO, AT+CCHC, AT+CGLA as defined by 3GPP TS 27.007),7 which
the current Android telephony manager does not support. The SEEK for
Android project8 provides patches to implement the needed commands,
allowing for communication with the UICC via the SmartCard API, which
is a reference implementation of the SIMalliance Open Mobile API specifi-
cation9 (discussed in “Using the OpenMobile API” on page 308). However,
as with most components that talk directly to the hardware in Android,
7. 3GPP, AT command set for User Equipment (UE), http://www.3gpp.org/ftp/Specs/html-info/
27007.htm
8. “Secure Element Evaluation Kit for the Android platform,” https://code.google.com/p/
seek-for-android/
9. SIMalliance Limited, Open Mobile API Specification v2.05, http://www.simalliance.org/en?t=/
documentManager/sfdoc.file.supply&fileID=1392314878580

298 Chapter 11
the RIL consists of an open source part (rild), and a proprietary library
(libXXX-ril.so). In order to support communication with the UICC secure
element, support must be added both to the rild and to the underlying pro-
prietary library. The choice of whether to add that support is left to hard-
ware vendors.
As of this writing, the SmartCard API has not been integrated into main-
line Android (although the AOSP source tree includes an empty packages/
apps/SmartCardService/ directory). However, Android devices from major
vendors ship with an implementation of the SmartCard API, which allows
communication from the UICC to third-party applications (subject to vari-
ous access restrictions).
The Single Wire Protocol (SWP) offers an alternative way to use the
UICC as an SE. SWP is used to connect the UICC to a NFC controller,
allowing the NFC controller to expose the UICC to external readers when
in card emulation mode. The NFC controllers built into recent Nexus
devices (such as the Broadcom BCM20793M in the Nexus 5) support SWP,
but this functionality is disabled by default. (It can be enabled by changing
the configuration file of the libnfc-brcm library on the Nexus 5.) A standard
API to switch between the UICC, the embedded SE (if available), and HCE
when in card emulation mode is currently not exposed, but the “off-host”
routing functionality available in Android 4.4 can theoretically route com-
mands to the UICC (see “APDU Routing” on page 311 for details).
microSD-Based SE
Another form factor for an SE is an Advanced Security SD card (ASSD),10 which
is basically an SD card with an embedded SE chip. When connected to an
Android device with an SD card slot, running a SEEK-patched Android
version, the SE can be accessed via the SmartCard API. However, Android
devices with an SD card slot are becoming the exceptions rather than the
norm, so it’s unlikely that ASSD Android support will make it to the main-
stream. Additionally, even when available, recent Android versions treat SD
cards as secondary storage devices and allow access to them only via a very
high-level, restrictive API.
Embedded SE
An embedded SE (eSE) is not a distinct device but is usually integrated with
the NFC controller and housed in the same enclosure. An example of an
eSE is NXP’s PN65N chip, which combines the PN544 NFC radio controller
with the P5CN072 SE (part of the SmartMX series).
The first mainstream Android device to feature an embedded SE was the
Nexus S, which also introduced NFC support to Android and was built using
the PN65N controller. Its successors, the Galaxy Nexus and the Nexus 4, also
10. SD Association, “Advanced Security SD Card: ASSD,” https://www.sdcard.org/developers/
overview/ASSD/

NFC and Secure Elements 299
came equipped with an eSE. However, recent Google-branded devices, such
as the Nexus 5 and Nexus 7 (2013), have deprecated the eSE in favor of
host-based card emulation and do not include an eSE.
The embedded SE is connected to the NFC controller through a
SignalIn/SignalOut connection (S2C), standardized as NFC Wired
Interface (NFC-WI),11 and has three modes of operation: off, wired,
and virtual. In off mode, there’s no communication with the SE. In wired
mode, the SE is visible to the Android OS as if it were a contactless smart
card connected to the NFC reader. In virtual mode, the SE is visible to
external readers as if the phone were a contactless smart card. These modes
are mutually exclusive, so we can communicate with the SE either via the
contactless interface (that is, from an external reader), or through the
wired interface (that is, from an Android app). The next section shows how
to use the wired mode to communicate with the eSE from an Android app.
Accessing the Embedded SE
As of this writing, no public Android SDK API allows communication with
the embedded SE, but recent Android versions include an optional library
called nfc_extras, which offers a stable interface to the eSE. This section
demonstrates how to configure Android to allow eSE access to certain
Android applications, as well as how to use the nfc_extras library.
Card emulation, and consequently, internal APIs for accessing the
embedded SE were introduced in Android 2.3.4 (the version that intro-
duced Google Wallet). Those APIs are hidden from SDK applications and
using them required system signature permissions (WRITE_SECURE_SETTINGS or
NFCEE_ADMIN) in Android 2.3.4 and subsequent 2.3.x releases, as well as in the
initial Android 4.0 release (API Level 14). A signature permission is quite
restrictive because it allows only parties that control the platform signature
keys to distribute apps that can use the eSE.
Android 4.0.4 (API Level 15) lifted this restriction by replacing the
signature permission with signing certificate whitelisting at the OS level.
While this still requires modifying core OS files, and thus vendor coopera-
tion, there is no need to sign SE applications with the vendor key, which
greatly simplifies distribution. Additionally, since the whitelist is maintained
in a file, it can easily be updated using an OTA to add support for more SE
applications.
Granting Access to the eSE
The new whitelisting access control approach is implemented by the
NfceeAccessControl class and enforced by the system NfcService. The
NfceeAccessControl class reads the whitelist from /etc/nfcee_access.xml, which
is an XML file that stores a list of signing certificates and package names
that are allowed to access the eSE. Access can be granted both to all apps
11. ECMA International, ECMA-373: Near Field Communication Wired Interface (NFC-WI),
http://www.ecma-international.org/publications/files/ECMA-ST/ECMA-373.pdf

300 Chapter 11
signed by a particular certificate’s private key (if no package name is speci-
fied), or to a single package (app) only. Listing 11-5 shows how the contents
of the nfcee_access.xml file might appear:
<?xml version="1.0" encoding="utf-8"?>
<resources xmlns:xliff="urn:oasis:names:tc:xliff:document:1.2">
<signer android:signature="308204a830820390a003020102020900b399...">u
<package android:name="com.example.nfc">v
</package>
</signer>
</resources>
Listing 11-5: Contents of the nfcee_access.xml file
This configuration allows SE access to the com.example.nfc package v
if it is signed by the specified signing certificate u. On production devices,
this file usually contains only the Google Wallet app signing certificate, thus
restricting eSE access to Google Wallet.
NOTE As of April 2014, Google Wallet is supported only on Android 4.4 and later, and uses
HCE rather than the eSE.
After an application’s signing certificate has been added to nfcee_access
.xml, no permissions other than the standard NFC permission are required
to access the eSE. In addition to whitelisting the app’s signing certificate,
the nfc_extras library must be explicitly added to the app’s manifest and
marked as required with the <uses-library> tag in order to enable eSE
access (because the library is optional, it’s not loaded by default), as
shown in Listing 11-6 at u.
<manifest xmlns:android="http://schemas.android.com/apk/res/android"
package="com.example.nfc" ...>
--snip--
<uses-permission android:name="android.permission.NFC" />
<application ...>
--snip--
<uses-library
android:name="com.android.nfc_extras"u
android:required="true" />
</application>
</manifest>
Listing 11-6: Adding the nfc_extras library to AndroidManifest.xml
Using the NfcExecutionEnvironment API
Android’s eSE access API isn’t based on a standard smart card communica-
tion API, such as JSR 17712 or the Open Mobile API, but instead offers a very
12. Oracle, “JSR 177: Security and Trust Services API for J2METM,” https://jcp.org/en/jsr/
de tail?id =177

NFC and Secure Elements 301
basic communication interface, implemented in the NfcExecutionEnvironment
class. The class has only three public methods, as shown in Listing 11-7.
public class NfcExecutionEnvironment {
public void open() throws EeIOException {...}
public void close() throws IOException {...}
public byte[] transceive(byte[] in) throws IOException {...}
}
Listing 11-7: NfcExecutionEnvironment API
This simple interface is sufficient to communicate with the SE, but in order
to use it you first need to obtain an instance of the NfcExecutionEnvironment class.
An instance can be obtained from the NfcAdapterExtras class, which is in
turn accessed via its static get() method, as shown in Listing 11-8.
NfcAdapterExtras adapterExtras =
NfcAdapterExtras.get(NfcAdapter.getDefaultAdapter(context));u
NfcExecutionEnvironment nfceEe =
adapterExtras.getEmbeddedExecutionEnvironment();v
nfcEe.open();w
byte[] emptySelectCmd = { 0x00, (byte) 0xa4, 0x04, 0x00, 0x00 };
byte[] response = nfcEe.transceive(emptySelectCmd);x
nfcEe.close();y
Listing 11-8: Using the NfcExecutionEnvironment API
Here, we first obtain an NfcAdapterExtras instance u, and then call its
getEmbeddedExecutionEnvironment() method in order to obtain an interface to
the eSE v. To be able to communicate with the eSE, we first open a connec-
tion w, and then use the transceive() method to send a command and get a
response x. Finally, we close the connection using the close() method y.
eSE-Related Broadcasts
An SE-enabled app needs to be notified of NFC events such as RF field detec-
tion, as well as of events pertaining to the eSE and the applets installed on it,
such as applet selection via the NFC interface, in order to be able to change
state accordingly. Because disclosure of such events to malicious applica-
tions can lead to leaking of sensitive information and denial of service attacks,
access to eSE-related events must be limited to trusted applications only.
In Android, global events are implemented by using broadcasts, and
applications can create and register broadcast receivers that receive the
broadcasts the app is interested in. Access to eSE-related broadcasts can
be controlled with standard Android signature-based permissions, but this
approach has the disadvantage that only apps signed with the platform
certificate can receive eSE events, thus limiting SE-enabled apps to those
created by the device manufacturer or mobile network operator (MNO).
To avoid this limitation, Android uses the same mechanism employed to

302 Chapter 11
control eSE access; namely, whitelisting application certificates, in order
to control the scope of applications that can receive eSE-related broadcasts.
Any application whose signing certificate (and optionally package name) is
registered in nfcee_access.xml can receive eSE-related broadcasts by register-
ing a receiver like the one shown in Listing 11-9.
<receiver android:name="com.example.nfc.SEReceiver" >
<intent-filter>
<action android:name="com.android.nfc_extras.action.RF_FIELD_ON_DETECTED" />u
<action android:name="com.android.nfc_extras.action.RF_FIELD_OFF_DETECTED" />v
<action android:name="com.android.nfc_extras.action.APDU_RECEIVED" />w
<action android:name="com.android.nfc_extras.action.AID_SELECTED" />x
<action android:name="com.android.nfc_extras.action.MIFARE_ACCESS_DETECTED" />y
<action android:name="com.android.nfc_extras.action.EMV_CARD_REMOVAL" />z
<action android:name="com.android.nfc.action.INTERNAL_TARGET_DESELECTED" />{
<action android:name="android.intent.action.MASTER_CLEAR_NOTIFICATION" />|
</intent-filter>
</receiver>
Listing 11-9: Declaring a broadcast receiver for eSE-related events in AndroidManifest.xml
As you can see, Android offers notifications for lower-level commu-
nication events, such as RF field detection uv, APDU reception w, and
applet selection x, as well as for higher-level events, such as MIFARE sec-
tor access y and EMV card removal z. (APDUs are Application Protocol
Data Units, the basic building block of smart card protocols; see “SE
Communication Protocols” on page 303. The APDU_RECIEVED broadcast is
not implemented, because in practice the NFC controller routes incom-
ing APDUs directly to the eSE, which makes them invisible to the OS.)
SE-enabled apps register for these broadcasts in order to be able to change
their internal state or start a related activity when each event occurs (for
example, to start a PIN entry activity when an EMV applet is selected).
The INTERNAL_TARGET_DESELECTED broadcast { is sent when card emulation is
deactivated, and the MASTER_CLEAR_NOTIFICATION broadcast | is sent when the
contents of the eSE are cleared. (Pre-HCE versions of Google Wallet offered
users the option to clear the eSE remotely if their device was lost or stolen.)
Android SE Execution Environment
The Android SE is essentially a smart card in a different package, so most
standards and protocols originally developed for smart cards apply. Let’s
briefly review the most important ones.
Smart cards have traditionally been filesystem-oriented and the main
role of their OS has been to handle file access and enforce access permis-
sions. Newer cards support a virtual machine running on top of the native
OS that allows for the execution of “platform independent” applications
called applets, which use a well-defined runtime library to implement their
functionality. While different implementations of this paradigm exist, by
far the most popular one is the Java Card runtime environment ( JCRE).
Applets are implemented in a restricted version of the Java language and

NFC and Secure Elements 303
use a limited runtime library, which offers basic classes for I/O, message
parsing, and cryptographic operations. While the JCRE specification13 fully
defines the applet runtime environment, it does not specify how to load, ini-
tialize, and delete applets on actual physical cards (tools are only provided
for the JCRE emulator).
Because one of the main applications of smart cards are various payment
services, the application loading and initialization process (often referred
to as card personalization) needs to be controlled, and only authorized enti-
ties should be able to alter the state of the card and installed applications.
Visa originally developed a specification for securely managing applets,
called Open Platform, which is now maintained and developed by the
GlobalPlatform (GP) organization under the name GlobalPlatform Card
Specification.14 The gist of this specification is that each GP-compliant
card has a mandatory Issuer Security Domain (ISD) component (informally
referred to as the Card Manager) that offers a well-defined interface for card
and application life cycle management. Executing ISD operations requires
authentication using cryptographic keys saved on the card, and thus only
an entity that knows those keys can change the state of the card (one of
OP_READY, INITIALIZED, SECURED, CARD_LOCKED, or TERMINATED) or manage applets.
Additionally, the GP card specification defines various secure communica-
tion protocols (called Secure Channels) that offer authentication, confiden-
tiality, and message integrity when communicating with the card.
SE Communication Protocols
As discussed in “Using the NfcExecutionEnvironment API” on
page 300, Android’s interface for communicating with the SE is the
byte[] transceive(byte[] command) method of the NfcExecutionEnvironment
class. The messages exchanged using this API are in practice APDUs,
and their structure is defined in the ISO/IEC 7816-4: Organization, security
and commands for interchange standard.15 The reader (also known as a Card
Acceptance Device, or CAD) sends command APDUs (sometimes referred to
as C-APDUs) to the card, composed of a mandatory four-byte header with a
command class (CLA), instruction (INS), and two parameters (P1 and P2).
This is followed by the optional command data length (Lc), the actual data,
and finally the maximum number of response bytes expected, if any (Le).
The card returns a response APDU (R-APDU ) with a mandatory status word
(SW, consisting of two bytes: SW1 and SW2) and optional response data.
Historically, command APDU data has been limited to 255 bytes (total
APDU length 261 bytes) and response APDU data to 256 bytes (total APDU
length 258 bytes). Recent cards and readers support extended APDUs with
data length up to 65536 bytes, but extended APDUs are not always usable,
13. Oracle, “Java Card Classic Platform Specification 3.0.4,” http://www.oracle.com/technetwork/
java/javacard/specs-jsp-136430.html
14. GlobalPlatform, “Card Specifications,” http://www.globalplatform.org/specificationscard.asp
15. A summary of ISO 7816 and other smart card-related standards is available on CardWerk’s
website: http://www.cardwerk.com/smartcards/smartcard_standards.aspx

304 Chapter 11
mostly for reasons of compatibility. The lower-level communication between
the reader and the card is carried out by one of several transmission proto-
cols, the most widely used of which are T=0 (byte-oriented) and T=1 (block-
oriented). Both are defined in ISO 7816-3: Cards with contacts — Electrical
interface and transmission protocols. The APDU exchange is not completely
protocol-agnostic, because T=0 cannot directly send response data, but only
notify the reader of the number of available bytes. Additional command
APDUs (GET RESPONSE) need to be sent in order to retrieve the response data.
The original ISO 7816 standards were developed for contact cards, but
the same APDU-based communication model is used for contactless cards
as well. It’s layered on top of the wireless transmission protocol defined by
ISO/IEC 14443-4, which behaves much like T=1 for contact cards.
Querying the eSE Execution Environment
As discussed in “Embedded SE” on page 298, the eSE in the Galaxy Nexus
is a chip from NXP’s SmartMX series. It runs a Java Card–compatible
operating system and comes with a GlobalPlatform-compliant ISD. The
ISD is configured to require authentication for most card management
operations, and the authentication keys are, naturally, not publicly avail-
able. Additionally, a number of subsequent failed authentication attempts
(usually 10) will lock the ISD and make it impossible to install or remove
applets, so trying to brute-force the authentication keys is not an option.
However, the ISD does provide some information about itself and the run-
time environment on the card without requiring authentication in order to
make it possible for clients to adjust their behavior dynamically and be com-
patible with different cards.
Because both Java Card and GlobalPlatform define a multi-application
environment, each application needs a unique identifier called the Application
Identifier (AID). The AID consists of a 5-byte Registered Application Provider
Identifier (RID, also called a Resource Identifier) and a Proprietary Identifier
eXtension (PIX), which can be up to 11 bytes long. Thus, the length of
an AID can be 5 to 16 bytes long. Before being able to send commands to
a particular applet, it needs to be made active, or selected, by issuing the
SELECT (CLA=00, INS=A4) command with its AID. As all applications, the ISD
is also identified by an AID, which varies between card manufacturers and
GP implementations. We can find out the AID of the ISD by sending an
empty SELECT command, which both selects the ISD and returns informa-
tion about the card and the ISD configuration. An empty SELECT is simply
a select without an AID specified, so the SELECT command APDU becomes
00 A4 04 00 00. If we send this command using the transcieve() method of
the NfcExecutionEnvironment class (Listing 11-8 at x), the returned response
might look like Listing 11-10 at v (u is the SELECT command).
--> 00A4040000u
<-- 6F658408A000000003000000A5599F6501FF9F6E06479100783300734A06072A86488

NFC and Secure Elements 305
6FC6B01600C060A2A864886FC6B02020101630906072A864886FC6B03640B06092A86488
6FC6B040215650B06092B8510864864020103660C060A2B060104012A026E0102 9000v
Listing 11-10: Galaxy Nexus eSE’s response to empty SELECT
The response includes a successful status (0x9000) and a long string of
bytes. The format of this data is defined in “APDU Command Reference,”
Chapter 9 of the GlobalPlatform Card Specification and, as with most things
in the smart card world, is in tag-length-value (TLV) format. In TLV, each
unit of data is described by a unique tag, followed by its length in bytes,
and finally the actual data. Most structures are recursive, so the data can
host another TLV structure, which in turns wraps another, and so on. The
structure shown in Listing 11-10 is called File Control Information (FCI) and
in this case it wraps a Security Domain Management Data structure, which
describes the ISD. When parsed, the FCI might look like Listing 11-11.
SD FCI: Security Domain FCI
AID: a0 00 00 00 03 00 00 00u
RID: a0 00 00 00 03 (Visa International [US])
PIX: 00 00 00
Data field max length: 255
Application prod. life cycle data: 479100783300
Tag allocation authority (OID): globalPlatform 01
Card management type and version (OID): globalPlatform 02020101
Card identification scheme (OID): globalPlatform 03
Global Platform version: 2.1.1v
Secure channel version: SC02 (options: 15)w
Card config details: 06092B8510864864020103x
Card/chip details: 060A2B060104012A026E0102y
Li s t i n g 11-11: Parsed FCI of the ISD on the eSE in Galaxy Nexus
Here, the AID of the ISD is A0 00 00 00 03 00 00 00 u, the version
of the GlobalPlatform implementation is 2.1.1 v, the supported Secure
Channel protocol is SC02 w, and the last two fields of the structure contain
some proprietary data about the card configuration (x and y). The only
other GP command that doesn’t require authentication is GET DATA, which
can be used to return additional data about the ISD configuration.
UICC as a Secure Element
As discussed in “SE Form Factors in Mobile Devices” on page 296, the UICC
in a mobile device can be used as a general-purpose SE when accessed
using the Open Mobile API or a similar programming interface. This sec-
tion gives a brief overview of UICCs and the applications they typically host,
and then shows how to access the UICC via the Open Mobile API.
SIM Cards and UICCs
The predecessor of the UICC is the SIM card, and UICCs are still collo-
quially referred to as “SIM cards.” SIM stands for Subscriber Identity Module
306 Chapter 11
and refers to a smart card that securely stores the subscriber identifier and
the associated key used to identify and authenticate a device to a mobile
network. SIMs were initially used on GSM networks and the original GSM
standards were later extended to support 3G and LTE. Because SIMs are
smart cards, they conform to ISO-7816 standards regarding physical char-
acteristics and electrical interface. The first SIM cards were the same size as
“regular” smart cards (Full-size, FF), but by far the most popular sizes today
are Mini-SIM (2FF) and Micro-SIM (3FF), with Nano-SIM (4FF), which was
introduced in 2012, also gaining market share.
Of course, not every smart card that fits in the SIM slot can be used in
a mobile device, so the next question is: What makes a smart card a SIM
card? Technically, it’s conformance to mobile communication standards
such as 3GPP TS 11.11 and certification by the SIMalliance. In practice, it
is the ability to run an application that allows it to communicate with the
phone (referred to as Mobile Equipment or Mobile Station in related standards)
and connect to a mobile network. While the original GSM standard did
not distinguish between the physical smart card and the software required
to connect to the mobile network, with the introduction of 3G standards,
a clear distinction has been made. The physical smart card is referred to
as a Universal Integrated Circuit Card (UICC), and different mobile network
applications that run on it have been defined: GSM, CSIM, USIM, ISIM,
and so on. A UICC can host and run more than one network application
(hence the name universal), and thus can be used to connect to different
networks. While network application functionality depends on the specific
mobile network, their core features are quite similar: store network param-
eters securely and identify to the network, as well as authenticate the user
(optionally) and store user data.
UICC Applications
Let’s take GSM as an example and briefly review how a network applica-
tion works. For GSM, the main network parameters are network identity
(International Mobile Subscriber Identity, IMSI; tied to the SIM), phone
number (MSISDN, used for routing calls and changeable), and a shared
network authentication key Ki. To connect to the network, the phone needs
to authenticate and negotiate a session key. Both authentication and session
keys are derived using Ki, which is also known to the network and looked
up by IMSI. The phone sends a connection request that includes its IMSI,
which the network uses to find the corresponding Ki. The network then
uses the Ki to generate a challenge (RAND), expected challenge response
(SRES), and session key Kc. When those parameters have been generated,
the network sends RAND to the phone and the GSM application running
on the SIM card comes into play: the mobile passes the RAND to the SIM
card, which generates its own SRES and Kc. The SRES is sent to the network
and if it matches the expected value, encrypted communication is estab-
lished using the session key Kc.
As you can see, the security of this protocol hinges solely on the secrecy
of the Ki. Because all operations involving the Ki are implemented inside
NFC and Secure Elements 307
the SIM card, and it never comes in direct contact with the phone or the
network, the scheme is kept reasonably secure. Of course, security depends
on the encryption algorithms used as well, and major weaknesses that allow
intercepted GSM calls to be decrypted using off-the-shelf hardware were found
in the original versions of the A5/1 stream cipher (which was initially secret).
In Android, network authentication is implemented by the baseband
processor (more on this in “Accessing the UICC” below) and is never directly
visible to the main OS.
UICC Application Implementation and Installation
We’ve seen that UICCs need to run applications; now let’s see how those
applications are implemented and installed. Initial smart cards were based
on a filesystem model, where files (called elementary files, or EF ) and direc-
tories (called dedicated files, or DF ) were named with a two-byte identifier.
Thus, developing “an application” involved selecting an ID for the DF that
hosts the application’s files (called ADF ), and specifying the formats and
names of the EFs that store data. For example, the GSM application is
under the 7F20 ADF, and the USIM ADF hosts the EF_imsi, EF_keys, EF_sms,
and other required files.
Because practically all UICCs in use today are based on Java Card
technology and implement GlobalPlatform card specifications, all net-
work applications are implemented as Java Card applets and emulate the
legacy file-based structure for backward compatibility. Applets are installed
according to GlobalPlatform specifications by authenticating to the ISD
and issuing LOAD and INSTALL commands.
One application management feature specific to SIM cards is support
for OTA updates via binary SMS. This functionality is not used by all car-
riers, but it allows carriers to remotely install applets on SIM cards they’ve
issued. OTA is implemented by wrapping card commands (APDUs) in SMS
T-PDUs (transport protocol data units), which the phone forwards to the
UICC. In most UICCs, this is the only way to load applets on the card, even
during initial personalization.
The major use case for this OTA functionality is to install and maintain
SIM Toolkit (STK) applications that can interact with the handset via stan-
dard “proactive” commands (which in reality are implemented via polling),
and to display menus or even open web pages and send SMS. Android sup-
ports STK with a dedicated STK system app, which is automatically disabled
if the UICC card has no STK applets installed.
Accessing the UICC
As we discussed in “UICC Applications” on page 306, mobile network–
related functionality in Android, including UICC access, is implemented
by the baseband software. The main OS (Android) is limited in what it can
do with the UICC by the features the baseband exposes. Android supports
STK applications and can look up and store contacts on the SIM, so it’s
clear that it has internal support for communicating to the SIM. However,
the Android security overview explicitly states that “low-level access to the

308 Chapter 11
SIM card is not available to third-party apps.”16 How can we use the SIM
card (UICC) as an SE then? Some Android builds from major vendors,
most notably Samsung, provide an implementation of the SIMalliance
Open Mobile API, and an open source implementation (for compatible
devices) of the API is available from the SEEK for Android project. The
Open Mobile API aims to provide a unified interface for accessing SEs on
Android, including the UICC.
To understand how the Open Mobile API works and the cause of its lim-
itations, let’s review how access to the SIM card is implemented in Android.
On Android devices, all mobile network functionality (dialing, sending SMS,
and so on) is provided by the baseband processor (also referred to as modem
or radio). Android applications and system services communicate with the
baseband only indirectly via the Radio Interface Layer (RIL) daemon (rild).
The rild in turn talks to the actual hardware by using a manufacturer-
provided RIL HAL library, which wraps the proprietary interface that the
baseband provides. The UICC card is typically connected only to the base-
band processor (though sometimes also to the NFC controller via SWP),
and thus all communication needs to go through the RIL.
While the proprietary RIL implementation can always access the UICC
in order to perform network identification and authentication, as well as
read and write contacts and access STK applications, support for transpar-
ent APDU exchange is not always available. As we mentioned in “UICC” on
page 297, the standard way to provide this feature is to use extended AT
commands such AT+CSIM (Generic SIM access) and AT+CGLA (Generic UICC
Logical Channel Access), but some vendors implement APDU exchange
using proprietary extensions, so support for the necessary AT commands
doesn’t automatically provide UICC access.
SEEK for Android implements a resource manager service
(SmartCardService) that can connect to any supported SE (eSE, ASSD,
or UICC) and extensions to the Android telephony framework that allow
for transparent APDU exchange with the UICC. Because access through
the RIL is hardware- and HAL-dependent, you need both a compatible
device and a build that includes the SmartCardService and related framework
extensions, such as those found in most recent Samsung Galaxy devices.
Using the OpenMobile API
The OpenMobile API is relatively small and defines classes that represent
the card reader that an SE is connected to (Reader), a communication ses-
sion with an SE (Session), and a basic (channel 0, as per ISO 7816-4) or logi-
cal channel with the SE (Channel). The Channel class allows applications to
exchange APDUs with the SE using the transmit() method. The entry point
to the API is the SEService class, which connects to the remote resource
manager service (SmartcardService) and provides a method that returns a list
16. Google, Android Security Overview, “SIM Card Access,” https://source.android.com/devices/tech/
security/#sim-card-access

NFC and Secure Elements 309
of Reader objects available on the device. (For more information about the
OpenMobile API and the architecture of the SmartcardService, refer to the
SEEK for Android Wiki.17)
In order to be able to use the OpenMobile API, applications need to
request the org.simalliance.openmobileapi.SMARTCARD permission and add the
org.simalliance.openmobileapi extension library to their manifest as shown in
Listing 11-12.
<manifest ...>
--snip--
<uses-permission android:name="org.simalliance.openmobileapi.SMARTCARD" />
<application ...>
<uses-library
android:name="org.simalliance.openmobileapi"
android:required="true" />
--snip--
</application>
</manifest>
Listing 11-12: AndroidManifest.xml configuration required to use the OpenMobile API
Listing 11-13 demonstrates how an application can use the OpenMobile
API to connect and send a command to the first SE on the device.
Context context = getContext();
SEService.CallBack callback = createSeCallback();
SEService seService = new SEService(context, callback);u
Reader[] readers = seService.getReaders();v
Session session = readers[0].openSession();w
Channel channel = session.openLogicalChannel(aid);x
byte[] command = { ... };
byte[] response = channel.transmit(command);y
Listing 11-13: Sending a command to the first SE using the OpenMobile API
Here, the application first creates an SEService u instance, which con-
nects to the SmartCardService asynchronously and notifies the application
via the serviceConnected() method (not shown) of the SEService.CallBack
interface when the connection is established. The app can then get a list of
the available SE readers using the getReaders() method v, and then open
a session to the selected reader using the openSession() method w. If the
device does not contain an eSE (or another form of SE besides the UICC),
or the SmartCardService hasn’t been configured to use it, the list of readers
contains a single Reader instance that represents the built-in UICC reader in
the device. When the app has an open Session with the target SE, it calls the
openLogicalChannel() method x in order to obtain a Channel, which it then
uses to send APDUs and receive responses using its transmit() method y.
17. SEEK for Android, “SmartCardAPI,” https://code.google.com/p/seek-for-android/wiki/
SmartcardAPI

310 Chapter 11
Software Card Emulation
Software card emulation (also referred to as host-based card emulation or HCE)
allows commands received by the NFC controller to be delivered to the
application processor (main OS), and to be processed by regular Android
applications, instead of by applets installed on a hardware SE. Responses
are then sent back to the reader via NFC, allowing an app to act as a virtual
contactless smart card.
Before being officially added to the Android API, HCE was first avail-
able as an experimental feature of the CyanogenMod Android distribu-
tion.18 Beginning with version 9.1, CyanogenMod integrated a set of
patches (developed by Doug Yeager) that unlock the HCE functionality
of the popular PN544 NFC controller and provide a framework interface
to HCE. In order to support HCE, two new tag technologies (IsoPcdA and
IsoPcdB, representing external contactless readers based on NFC Type A
and Type B technology, respectively) were added to the NFC framework.
(The letters Pcd stand for Proximity Coupling Device, which is just another
technical term for contactless reader.)
The IsoPcdA and IsoPcdB classes reversed the role of Tag objects in the
Android NFC API: because the external contactless reader is presented as
a “tag,” “commands” you send from the phone are actually replies to the
reader-initiated communication. Unlike the rest of Android’s NFC stack, this
architecture was not event driven and required applications to handle block-
ing I/O while waiting for the reader to send its next command. Android 4.4
introduced a standard, event-driven framework for developing HCE applica-
tions, which we discuss next.
Android 4.4 HCE Architecture
Unlike the R/W and P2P mode, which are only available to activities, HCE
applications can work in the background and are implemented by defining
a service that processes commands received from the external reader and
returns responses. Such HCE services extend the HostApduService abstract
framework class and implement its onDeactivated() and processCommand()
methods. HostApduService itself is a very thin mediator class that enables two-
way communication with the system NfcService by using Messenger objects.19
For example, when the NfcService receives an APDU that needs to be
routed (APDU routing is discussed in the next section) to a HCE ser-
vice, it sends a MSG_COMMAND_APDU to HostApduService, which then extracts the
APDU from the message and passes it to its concrete implementation by
calling the processCommand() method. If processCommand() returns an APDU,
HostApduService encapsulates it in a MSG_RESPONSE_APDU message and sends it
to the NfcService, which in turn forwards it to the NFC controller. If the
concrete HCE service cannot return a response APDU immediately, it
18. CyanogenMod, http://www.cyanogenmod.org/
19. Google, Android API Reference, “Messenger,” https://developer.android.com/reference/android/
os/Messenger.html

NFC and Secure Elements 311
returns null and sends the response later (when it is available) by calling
the sendResponseApdu(), which sends the response to the NfcService wrapped
in a MSG_RESPONSE_APDU message.
APDU Routing
When the device is in card emulation mode, the NFC controller receives all
APDUs coming from external readers and decides whether to send them
to a physical SE (if any), or to an HCE service based on its internal APDU
routing table. The routing table is AID-based and is populated using the
metadata SE-enabled applications and HCE services declared in their
application manifests. When the external reader sends a SELECT command
that is not directly routed to the SE, the NFC controller forwards it to the
NfcService, which extracts the target AID from the command and searches
the routing table for a matching HCE service by calling the resolveAidPrefix()
method of the RegisteredAidCache class.
If a matching service is found, NfcService binds to it and obtains a
Messenger instance, which it then uses to send subsequent APDUs (wrapped
in MSG_COMMAND_APDU messages, as discussed in the previous section). For this
to work, the app’s HCE service needs to be declared in AndroidManifest.xml
as shown in Listing 11-14.
<?xml version="1.0" encoding="utf-8"?>
<manifest xmlns:android="http://schemas.android.com/apk/res/android"
package="com.example.hce" ...>
--snip--
<uses-permission android:name="android.permission.NFC" />
<application ...>
--snip--
<service
android:name=".MyHostApduService"u
android:exported="true"
android:permission="android.permission.BIND_NFC_SERVICE" >v
<intent-filter>
<action
android:name="android.nfc.cardemulation.action.HOST_APDU_SERVICE" />w
</intent-filter>
<meta-data
android:name="android.nfc.cardemulation.host_apdu_service"x
android:resource="@xml/apduservice" />
</service>
--snip--
</application>
</manifest>
Listing 11-14: Declaring a HCE service in AndroidManifest.xml
The application declares its HCE service u as usual, using the <service>
tag, but there are a few additional requirements. First, the service must
be protected with the BIND_NFC_SERVICE system signature permission v, to

312 Chapter 11
guarantee that only system apps (in practice, only the NfcService) can bind
to it. Next, the service needs to declare an intent filter that matches the
android.nfc.cardemulation.action.HOST_APDU_SERVICE action w so that it can be
identified as a HCE service when scanning installed packages, and be bound
to when a matching APDU is received. Finally, the service must have an XML
resource metadata entry under the name android.nfc.cardemulation.host_apdu_
service x, which points to an XML resource file listing the AIDs that the
service can handle. The contents of this file is used to build the AID routing
table, which the NFC stack consults when it receives a SELECT command.
Specifying Routing for HCE Services
For HCE applications, the XML file must include a <host-apdu-service> root
element as shown in Listing 11-15.
<host-apdu-service
xmlns:android="http://schemas.android.com/apk/res/android"
android:description="@string/servicedesc"
android:requireDeviceUnlock="false">u
<aid-group android:description="@string/aiddescription"v
android:category="other">w
<aid-filter android:name="A0000000010101"/>x
</aid-group>
</host-apdu-service>
Listing 11-15: HCE service AID metadata file
The <host-apdu-service> tag has a description attribute and a
requireDeviceUnlock attribute u, which specifies whether the corresponding
HCE service should be activated when the device is locked. (The device’s
screen must be on for NFC to work.) The root element contains one or
more <aid-group> entries v, which each have a category attribute w and con-
tain one or more <aid-filter> x tags that specify an AID in their name attri-
bute (A0000000010101 in this example).
An AID group defines a set of AIDs that is always handled by a par-
ticular HCE service. The NFC framework guarantees that if a single AID
is handled by an HCE service, then all other AIDs in the group are also
handled by the same service. If two or more HCE services define the same
AID, the system shows a selection dialog letting the user choose which
application should handle the incoming SELECT command. When an app is
chosen, all subsequent commands are routed to it after the user confirms
the selection by tapping on the dialog shown in Figure 11-2.
Each AID group is associated with a category (specified with the category
attribute), which allows the system to set a default handler per category,
rather than per AID. An application can check if a particular service is the
default handler for a category by calling the isDefaultServiceForCategory()
method of the CardEmulation class, and get the selection mode for a category
by calling the getSelectionModeForCategory() method. As of this writing, only
two categories are defined: CATEGORY_PAYMENT and CATEGORY_OTHER.

NFC and Secure Elements 313
Android enforces a single active payment category in order to ensure
that the user has explicitly selected which app should handle payment
transactions. The default app for the payment category is selected in the
Tap & pay screen of the system Settings app, as shown in Figure 11-3. (See
the official HCE documentation20 for more on payment applications.)
Specifying Routing for SE Applets
If a device supports HCE and also has a physical SE, a SELECT command
sent by an external reader can target either an HCE service, or an applet
installed on the SE. Because Android 4.4 directs all AIDs not listed in the
AID routing table to the host, the AIDs of applets installed on the SE must
be explicitly added to the NFC controller’s routing table. This is accom-
plished with the same mechanism used for registering HCE services: by
adding a service entry to the application’s manifest, and linking it to a meta-
data XML file that specifies a list of AIDs that should be routed to the SE.
When the route is established, command APDUs are sent directly to the SE
(which processes them and returns a response via the NFC controller), so
the service is used only as a marker and provides no functionality.
20. Google, Host-based Card Emulation, “Payment Applications,” https://developer.android.com/
guide/topics/connectivity/nfc/hce.html#PaymentApps
Figure 11-2: HCE application selec-
tion confirmation dialog
Figure 11-3: Selecting the default pay-
ment application in the Tap & pay
screen

314 Chapter 11
The Android SDK includes a helper service (OffHostApduService) that
can be used to list AIDs that should be routed directly to the SE. This
OffHostApduService class defines some useful constants, but is otherwise
empty. An application can extend it and declare the resulting service com-
ponent in its manifest as shown in Listing 11-16.
<manifest xmlns:android="http://schemas.android.com/apk/res/android"
package="com.example.hce" ...>
--snip--
<uses-permission android:name="android.permission.NFC" />
<application ... >
--snip--
<service android:name=".MyOffHostApduService"
android:exported="true"
android:permission="android.permission.BIND_NFC_SERVICE">
<intent-filter>
<action
android:name="android.nfc.cardemulation.action.OFF_HOST_APDU_SERVICE"/>u
</intent-filter>
<meta-data
android:name="android.nfc.cardemulation.off_host_apdu_service"v
android:resource="@xml/apduservice"/>
</service>
--snip--
</application>
</manifest>
Listing 11-16: Declaring an off-host APDU service in AndroidManifest.xml
The service declaration is similar to that of Listing 11-14, except that
the declared intent action is android.nfc.cardemulation.action.OFF_ HOST_
APDU_SERVICE u and the XML metadata name is android.nfc.cardemulation
.off_host_apdu_service v. The metadata file is also slightly different, as shown
in Listing 11-17.
<offhost-apdu-service
xmlns:android="http://schemas.android.com/apk/res/android"
android:description="@string/servicedesc">u
<aid-group android:description="@string/se_applets"
android:category="other">v
<aid-filter android:name="F0000000000001"/>w
<aid-filter android:name="F0000000000002"/>x
</aid-group>
</offhost-apdu-service>
Listing 11-17: Off-host APDU service metadata file
As you can see, the format is the same as that of an HCE service,
but the root element of the file is <offhost-apdu-service> u instead of
<host-apdu-service>. Another subtle difference is that <offhost-apdu-service>
does not support the requireDeviceUnlock attribute, because transactions are
sent directly to the SE and therefore the host cannot intervene regardless

NFC and Secure Elements 315
of the state of the lockscreen. The AIDs of the applets residing on the SE
(w and x) are included in a <aid-group> v. Those AIDs are sent directly to
the NFC controller, which saves them in its internal routing table in order
to be able to send matching APDUs directly to the SE, without interacting
with the Android OS. If the received APDU is not in the NFC controller’s
routing table, it forwards it to the NfcService, which sends it to the matching
HCE service, or returns an error if no matches are found.
Writing an HCE Service
When the HCE service of an application has been declared in its manifest
as shown in Listing 11-14, HCE functionality can be added by extending the
HostApduService base class and implementing its abstract methods as shown
in Listing 11-18.
public class MyHostApduService extends HostApduService {
--snip--
static final int OFFSET_CLA = 0;u
static final int OFFSET_INS = 1;
static final int OFFSET_P1 = 2;
static final int OFFSET_P2 = 3;
--snip--
static final short SW_SUCCESS = (short) 0x9000;v
static final short SW_CLA_NOT_SUPPORTED = 0x6E00;
static final short SW_INS_NOT_SUPPORTED = 0x6D00;
--snip--
static final byte[] SELECT_CMD = { 0x00, (byte) 0xA4,
0x04, 0x00, 0x06, (byte) 0xA0,
0x00, 0x00, 0x00, 0x01, 0x01, 0x01 };w
static final byte MY_CLA = (byte) 0x80;x
static final byte INS_CMD1 = (byte) 0x01;
static final byte INS_CMD2 = (byte) 0x02;
boolean selected = false;
public byte[] processCommandApdu(byte[] cmd, Bundle extras) {
if (!selected) {
if (Arrays.equals(cmd, SELECT_CMD)) {y
selected = true;
return toBytes(SW_SUCCESS);
}
--snip--
}
if (cmd[OFFSET_CLA] != MY_CLA) {z
return toBytes(SW_CLA_NOT_SUPPORTED);
}
byte ins = cmd[OFFSET_INS];{
switch (ins) {
case INS_CMD1:|

316 Chapter 11
byte p1 = cmd[OFFSET_P1];
byte p2 = cmd[OFFSET_P2];
--snip--
return toBytes(SW_SUCCESS);
case INS_CMD2:
--snip--
return null;}
default:
return toBytes(SW_INS_NOT_SUPPORTED);
}
}
@Override
public void onDeactivated(int reason) {
--snip--
selected = false;~
}
--snip--
}
Listing 11-18: Implementing a HostApduService
Here, the example HCE service first declares a few constants that will
be helpful when accessing APDU data u and returning a standard status
result v. The service defines the SELECT command that is used to activate
it, including the AID w. The next few constants x declare the instruction
class (CLA) and instructions that the service can handle.
When the HCE service receives an APDU, it passes it to the
processCommandApdu() method as a byte array, which the service analyzes.
If the service hasn’t been selected yet, the processCommandApdu() method
checks if the APDU contains a SELECT command y, and sets the selected
flag if it does. If the APDU contains some other command, the code checks
to see if it has a class byte (CLA) the services supports z, and then extracts
the instruction byte (INS) included in the command {. If the command
APDU contains the INS_CMD1 instruction |, the service extracts the P1 and
P2 parameters, possibly parses the data included in the APDU (not shown),
sets some internal state, and returns a success status.
If the command includes INS_CMD2, which in our example maps to a
hypothetical operation that requires some time to process (for example,
asymmetric key generation), the service starts a worker thread (not shown),
and returns null } in order not to block the main thread of the application.
When the worker thread completes execution, it can return its result using the
inherited sendResponseApdu() (defined in the parent HostApduService class). When
another service or SE applet is selected, the system calls the onDeactivated()
method, which should release any used resources before returning, but in
our example simply sets the selected flag to false ~.

NFC and Secure Elements 317
Because an HCE service essentially parses command APDUs and
returns responses, the programming model is very similar to that of
Java Card applets. However, because a HCE service lives inside a regular
Android application, it does not execute in a constrained environment
and can take advantage of all available Android features. This makes it
easy to implement complex functionality, but also impacts the security of
HCE apps, as discussed next.
Security of HCE Applications
Because any Android application can declare an HCE service and receive
and process APDUs, the system guarantees that a malicious application
cannot inject rogue APDU commands into an HCE service by requiring the
BIND_NFC_SERVICE system signature permission in order to bind to HCE ser-
vices. Additionally, Android’s sandboxing model ensures that other applica-
tions cannot access sensitive data stored by the HCE application by reading
its files or calling any data access APIs it might expose without permission
(assuming such APIs have been properly secured, of course).
Nevertheless, a malicious application that manages to obtain root
privileges on a device (for example, by exploiting a privilege escalation
vulnerability) can both inspect and inject APDUs targeted at an HCE ser-
vice, and read its private data. The HCE application can take some mea-
sures to detect this situation, for example by inspecting the identity and
signing certificate of the caller of its processCommandApdu() method, but such
measures can ultimately be defeated given unconstrained access to the
OS. Like all applications that store sensitive data, HCE applications should
also take steps to protect stored data, such as by encrypting it on disk or by
storing it in the system credential store in the case of cryptographic keys.
Another way to protect both the code and data of HCE applications is to
forward all received commands to a remote server, over an encrypted chan-
nel, and relay only its replies. However, because most of these measures are
implemented in software, they can ultimately be disabled or bypassed by a
sufficiently sophisticated malicious application with root access.
In contrast, hardware security elements offer physical tamper resis-
tance, reduced attack surface due to their constrained functionality, and
tight control over installed applets. Therefore, physical SEs are much harder
to attack and provide much stronger protection of sensitive data used in
typical card emulation scenarios like contactless payments, even when the
default security guarantees of the host OS have been bypassed.
NOTE For a detailed discussion of the difference in security level of card emulation applica-
tions when implemented in secure elements as opposed to in software using HCE, see
the “HCE vs embedded secure element” blog post series by Cem Paya (who worked on the
original eSE-backed Google Wallet implementation).21
21. Cem Paya, Random Oracle, “HCE vs embedded secure element,” parts I to VI, http://
randomoracle.wordpress.com/2014/03/08/hce-vs-embedded-secure-element-comparing-risks-part-i/
318 Chapter 11
Summary
Android supports the three NFC modes: reader/writer, point-to-point, and
card emulation. In reader/writer mode, Android devices can access NFC
tags, contactless cards, and NFC emulation devices, while the point-to-point
mode provides simple data exchange functionality. The card emulation
mode can be backed either by a physical secure element (SE) such as a
UICC, one that is integrated with the NFC controller (embedded SE), or
by regular Android applications since Android 4.4. Hardware security ele-
ments provide the highest security by offering physical tamper resistance
and stringent control over SE application (typically implemented as Java
Card applets) management. However, because the authentication keys
required to install an application on an SE are typically controlled by a
single entity (such as the device manufacturer or MNO), distributing SE
applications can be problematic. Host-based card emulation (HCE), intro-
duced in Android 4.4, makes it easy to develop and distribute applications
that work in card emulation mode, but it relies solely on the OS to enforce
security and therefore offers weaker protection of sensitive application code
and data.
12
SELINUX
While previous chapters mentioned Security-Enhanced
Linux (SELinux) and its Android integration, our
discussion of Android’s security model up until now
has focused on Android’s “traditional” sandbox imple-
mentation, which relies heavily on Linux’s default
discretionary access control (DAC). The Linux DAC is lightweight and
well understood, but it has certain disadvantages, most notably the coarse
granularity of DAC permissions, the potential for misconfigured programs
to leak data, and the inability to apply fine-grained privilege constraints to
processes that run as the root user. (While POSIX capabilities, which are
implemented as an extension to the traditional DAC in Linux, offer a way
to grant only certain privileges to root processes, the granularity of POSIX
capabilities is fairly coarse and the granted privileges extend to all objects
accessed by the process.)
Mandatory access control (MAC), as implemented by SELinux, seeks to
overcome these limitations of Linux’s DAC by enforcing a systemwide,
more finely grained security policy that can be changed only by the system
administrator, and not by unprivileged users and programs. This chapter
320 Chapter 12
first gives a brief overview of the architecture and concepts used in SELinux
and then describes the major modifications made to SELinux in order to
support Android. Finally, we give an overview of the SELinux policy that’s
deployed in the current version of Android.
SELinux Introduction
SELinux is a mandatory access control mechanism for the Linux kernel,
implemented as a Linux security module. The Linux Security Modules
(LSM) framework allows third-party access control mechanisms to be
linked into the kernel and to modify the default DAC implementation.
LSM is implemented as a series of security function hooks (upcalls) and
related data structures that are integrated into the various modules of the
Linux kernel responsible for access control.
Some of the main kernel services that have LSM hooks inserted are pro-
gram execution, file and inode operations, netlink messaging, and socket
operations. If no security module is installed, Linux uses its built-in DAC
mechanism to regulate access to kernel objects managed by these services. If a
security module is installed, Linux consults it in addition to the DAC in order
to reach a final security decision when access to a kernel object is requested.
Besides providing hooks into major kernel services, the LSM framework
also extends the procfs virtual filesystem (/proc) to include per-process and
per-task (thread) security attributes, and adds support for using filesystem
extended attributes as persistent security attribute storage. SELinux was the
first LSM module integrated into the Linux kernel and has been officially
available since version 2.6 (previous SELinux implementations were distrib-
uted as a set of patches). Since the integration of SELinux, other security
modules have also been accepted into the mainline kernel, which as of this
writing includes AppArmor, Smack, and TOMOYO Linux as well. These
modules provide alternative MAC implementations and are based on differ-
ent security models than those of SELinux.
We’ll explore the SELinux security model and architecture in the
next sections.
SELinux Architecture
While the SELinux architecture is quite complex, at a high level it consists
of four main components: object managers (OM), an access vector cache
(AVC), a security server, and a security policy, as shown in Figure 12-1.
When a subject asks to perform an action on an SELinux object (for
example, when a process tries to read a file), the associated object manager
queries the AVC to see if the attempted action is allowed. If the AVC con-
tains a cached security decision for the request, the AVC returns it to the
OM, which enforces the decision by allowing or denying the action (steps 1,
2, and 5 in Figure 12-1). If the cache does not contain a matching security
decision, the AVC contacts the security server, which makes a security deci-
sion based on the currently loaded policy and returns it to the AVC, which
caches it. The AVC in turn returns it to the OM, which ultimately enforces

SELinux 321
the decision (steps 1, 2, 3, 4, and 5 in Figure 12-1). The security server is
part of the kernel, while the policy is loaded from userspace via a series of
functions contained in the supporting userspace library.
Subject
(process)
Object
Manager
Object
(file, dir, etc.)
Access Vector Cache
(AVC)
Security Server Security
Policy
Linux Kernel
2. query permission
3. query permission
1. action: write
4. search policy
5. allow/deny write
Figure 12-1: SELinux components
The OM and AVC can reside either in kernel space (when the OM is
managing kernel-level objects) or userspace (when the OM is part of a so-
called SELinux-aware application, which has built-in MAC support).
Mandatory Access Control
SELinux’s MAC model is based on three main concepts: subjects, objects,
and actions. In this model, subjects are the active actors that perform
actions on objects, and the action is carried out only if the security policy
allows it.
In practice, subjects are usually running processes (a process can also
be an object), and objects are OS-level resources managed by the kernel,
such as files and sockets. Both subjects and objects have a set of security
attributes (collectively known as the security context, discussed in the next
section), which the OS queries in order to decide whether the requested
action should be allowed or not. When SELinux is enabled, subjects cannot
bypass or influence policy rules; therefore, the policy is mandatory.
NOTE The MAC policy is only consulted if the DAC allows access to a resource. If the DAC
denies access (for example, based on file permissions), the denial is taken as the final
security decision.
SELinux supports two forms of MAC: type enforcement (TE) and multi-
level security (MLS). MLS is typically used to enforce different levels of access
to restricted information and is not used in Android. The type enforcement

322 Chapter 12
implemented in SELinux requires that all subjects and objects have an asso-
ciated type and SELinux uses this type to enforce the rules of its security
policy.
In SELinux, a type is simply a string that’s defined in the policy and
associated with objects or subjects. Subject types reference processes or
groups of processes and are also referred to as domains. Types referring to
objects usually specify the role an object plays within the policy, such as
system file, application data file, and so on. The type (or domain) is an inte-
gral part of the security context, as discussed in “Security Contexts” below.
SELinux Modes
SELinux has three modes of operation: disabled, permissive, and enforcing.
When SELinux is disabled, no policy is loaded and only the default DAC
security is enforced. In permissive mode, the policy is loaded and object
access is checked, but access denial is only logged—not enforced. Finally, in
enforcing mode, the security policy is both loaded and enforced, with viola-
tions logged.
In Android, the SELinux mode can be checked and changed with the
getenforce and setenforce commands, as shown in Listing 12-1. However,
the mode set with setenforce is not persistent and will be reset to the default
mode when the device reboots.
# getenforce
Enforcing
# setenforce 0
# getenforce
Permissive
Listing 12-1: Using the getenforce and setenforce commands
Additionally, even when SELinux is in enforcing mode, the policy can
specify permissive mode per domain (process) using the permissive state-
ment. (See “Object Class and Permission Statements” on page 326 for an
example.)
Security Contexts
In SELinux, a security context (also referred to as a security label, or just label)
is a string with four fields delimited with colons: username, role, type, and
an optional MLS security range. An SELinux username is typically associ-
ated with a group or class of users; for example, user_u for unprivileged
users and admin_u for administrators.
Users can be associated with one or more roles in order to implement
role-based access control, where each role is associated with one or more
domain types. The type is used to group processes in a domain or to spec-
ify an object logical type.

SELinux 323
The security range (or level) is used to implement MLS and specifies
the security levels a subject is allowed to access. As of this writing, Android
only uses the type field of the security context, and the user and security
range are always set to u and s0. The role is set to either r for domains (pro-
cesses) or to the built-in object_r role for objects.
The security context of processes can be displayed by specifying the
-Z option to the ps command, as shown in Listing 12-2 (in the LABEL column).
# ps -Z
LABEL USER PID PPID NAME
u:r:init:s0u root 1 0 /init
u:r:kernel:s0 root 2 0 kthreadd
u:r:kernel:s0 root 3 2 ksoftirqd/0
--snip--
u:r:healthd:s0v root 175 1 /sbin/healthd
u:r:servicemanager:s0w system 176 1 /system/bin/
servicemanager
u:r:vold:s0x root 177 1 /system/bin/vold
u:r:init:s0 nobody 178 1 /system/bin/rmt_storage
u:r:netd:s0 root 179 1 /system/bin/netd
u:r:debuggerd:s0 root 180 1 /system/bin/debuggerd
u:r:rild:s0 radio 181 1 /system/bin/rild
--snip--
u:r:platform_app:s0 u0_a12 950 183 com.android.systemui
u:r:media_app:s0 u0_a5 1043 183 android.process.media
u:r:radio:s0 radio 1141 183 com.android.phone
u:r:nfc:s0 nfc 1163 183 com.android.nfc
u:r:untrusted_app:s0 u0_a7 1360 183 com.google.android.gms
--snip--
Listing 12-2: Process security contexts in Android
Similarly, the context of files can be viewed by passing the -Z to the ls
command, as shown in Listing 12-3.
# ls -Z
drwxr-xr-x root root u:object_r:cgroup:s0 acct
drwxrwx--- system cache u:object_r:cache_file:s0 cache
-rwxr-x--- root root u:object_r:rootfs:s0 charger
--snip--
drwxrwx--x system system u:object_r:system_data_file:s0 data
-rw-r--r-- root root u:object_r:rootfs:s0 default.prop
drwxr-xr-x root root u:object_r:device:s0 dev
lrwxrwxrwx root root u:object_r:rootfs:s0 etc -> /system/etc
-rw-r--r-- root root u:object_r:rootfs:s0 file_contexts
dr-xr-x--- system system u:object_r:sdcard_external:s0 firmware
-rw-r----- root root u:object_r:rootfs:s0 fstab.hammerhead
-rwxr-x--- root root u:object_r:rootfs:s0 init
--snip--
Listing 12-3: File and directory security contexts in Android
324 Chapter 12
Security Context Assignment and Persistence
We’ve established that all subject and objects have a security context, but
how is the context assigned and persisted? For objects (which are usually
associated with a file on the filesystem), the security context is persistent
and is usually stored as an extended attribute in the file’s metadata.
Extended attributes are not interpreted by the filesystem and can con-
tain arbitrary data (though any such data is usually limited in size). The
ext4 filesystem, the default in most Linux distributions and current versions
of Android, supports extended attributes in the form of name-value pairs,
where the name is a null-terminated string. SELinux uses the security.selinux
name to store the security context of file objects. The security context of
objects can be set explicitly as part of a filesystem initialization (also called
labeling), or be implicitly assigned when an object is created. Objects typi-
cally inherit the type label of their parent (for example, newly created files
in a directory inherit the label of the directory). However, if the security
policy allows, objects can receive a label that’s different from that of their
parent, a process referred to as type transition.
Like objects, subjects (processes) inherit the security context of their
parent process, or they can change their context via domain transition, if
allowed by the security policy. The policy can specify automatic domain
transition as well, which automatically sets the domain of newly started
processes based on the domain of their parent and the type of the executed
binary. For example, because all system daemons are started by the init
process, which has the u:r:init:s0 security context (u in Listing 12-2), they
would normally inherit this context, but Android’s SELinux policy uses
automatic domain transitions to set a dedicated domain to each daemon as
needed (v, w, and x in Listing 12-2).
Security Policy
The SELinux security policy is used by the security server in the kernel to
allow or disallow access to kernel objects at runtime. For performance rea-
sons, the policy is typically in a binary form generated by compiling a number
of policy source files. The policy source files are written in a dedicated policy
language, which consists of statements and rules. Statements define policy
entities such as types, users, and roles. Rules allow or deny access to objects
(access vector rules); specify the type of transitions allowed (type enforce-
ment rules); and designate how default users, roles, and types are assigned
(default rules). A thorough discussion of SELinux’s policy grammar is
beyond the scope of this book, but the following sections will introduce
some of the most widely used statements and rules.
Policy Statements
The SELinux policy language supports various types of statements, but type,
attribute, and permission statements make up the bulk of a security policy.
We introduce these three types of statements in the following sections.

SELinux 325
Type and Attribute Statements
type and attribute statements declare types and their attributes, as shown in
Listing 12-4.
attribute file_type;u
attribute domain;v
type system_data_file, file_type, data_file_type;w
type untrusted_app, domain;x
Listing 12-4: type and attribute statements
Here, the first u and second v statements declare the file_type and
domain attributes, and the next statement w declares the system_data_file
type and associates it with the file_type and data_file_type attributes. The
code at x declares the untrusted_app type and associates it with the domain
attribute (which marks all types used for processes).
Depending on its granularity, an SELinux policy can have dozens
or even hundreds of type and attribute declarations spread across mul-
tiple source files. However, because access to all kernel objects needs to be
checked against the policy at runtime, a large policy can have a negative
impact on performance. The effect on performance is especially apparent
when running on devices with limited computing resources, and that is
why Android strives to keep its SELinux policy relatively small.
User and Role Statements
The user statement declares an SELinux user identifier, associates it with its
role(s), and optionally specifies its default security level and the range of
security levels that the user can access. Listing 12-5 shows the declarations
of the default and only user identifier in Android.
user u roles { r } level s0 range s0 - mls_systemhigh;
Listing 12-5: Declarations of the default SELinux user identifier in Android
As you can see in Listing 12-5, the u user is associated with the r role
(inside the braces), which in turn is declared using the role statement u as
shown in Listing 12-6.
role r;u
role r types domain;v
Listing 12-6: Declaration of the default SELinux role in Android
The second statement v associates the r role with the domain attribute,
which marks it as a role assigned to processes (domains).

326 Chapter 12
Object Class and Permission Statements
The permissive statement allows a named domain to run in permissive mode
(a mode that only logs MAC policy violations but doesn’t actually enforce
the policy, as discussed next), even if SELinux is running in enforcing
mode. As we will see in “Enforcing Domains” on page 342, most domains
in Android’s current base policy are permissive. For example, processes in
the adbd domain (in practice adbd daemon processes) run in permissive
mode, as shown in Listing 12-7 u.
type adbd, domain;
permissive adbd;u
--snip--
Listing 12-7: Setting a named domain to permissive mode
The class statement defines an SELinux object class, as shown in
Listing 12-8. Object classes and their associated permissions are deter-
mined by the respective object manager implementations in the Linux
kernel, and are static within a policy. Object classes are usually defined in
the security_classes policy source file.
--snip--
# file-related classes
class filesystem
class file
class dir
class fd
class lnk_file
class chr_file
class blk_file
class sock_file
class fifo_file
--snip--
Listing 12-8: Object class declarations in the security_classes file
SELinux permissions (also referred to as access vectors) are usually
defined and associated with object classes in a policy source file called
access_vectors. Permissions can be either class-specific (defined with the
class keyword) or inheritable by one or more object classes, in which case
they’re defined with the common keyword. Listing 12-9 shows the definition of
the set of permissions common to all file objects u, and the association of the
dir class (which represents directories) with all common file permissions
(using the inherits keyword), and a set of directory-specific permissions
(add_name, remove_name, and so on) v.
--snip--
common file
{
ioctl
read

SELinux 327
write
create
getattr
setattr
lock
--snip--
}u
--snip--
class dir
inherits file
{
add_name
remove_name
reparent
search
rmdir
--snip--
}v
--snip--
Listing 12-9: Permission definitions in the access_vectors file
Type Transition Rules
Type enforcement rules and access vector rules (discussed in “Domain
Transition Rules” on page 328 and “Access Vector Rules” on page 329)
typically make the bulk of an SELinux policy. In turn, the most commonly
used type of enforcement rule is the type_transition rule, which specifies when
domain and type transitions are allowed. For example, the wpa_supplicant
daemon, which manages Wi-Fi connections in Android, uses the type transi-
tion rule shown in Listing 12-10 at x in order to associate the control sock-
ets it creates in the /data/misc/wifi/ directory with the wpa_socket type. In
the absence of this rule, the sockets would inherit the type of their parent
directory: wifi_data_file.
# wpa - wpa supplicant or equivalent
type wpa, domain;
permissive wpa;u
type wpa_exec, exec_type, file_type;
init_daemon_domain(wpa)v
unconfined_domain(wpa)w
type_transition wpa wifi_data_file:sock_file wpa_socket;x
Listing 12-10: Type transitions in the wpa domain (from wpa_supplicant.te)
Here, wpa, wifi_data_file:sock_file, and wpa_socket are the source type
(in this case, the domain of the wpa_supplicant process), the target type and
class (the type and class of the object before the transition), and the type of
the object after the transition, respectively.

328 Chapter 12
NOTE In order to be able to create the socket file and change its label, the wpa domain
needs additional permissions on the parent directory and the socket file itself—the
type_transition rule alone is not sufficient. However, because the wpa domain is both
permissive u and unconfined (granted most permissions by default) w, the transition
is allowed without explicitly allowing each required permission.
Domain Transition Rules
In Android, native system daemons like wpa_supplicant are started by the init
process, and therefore inherit its security context by default. However, most
daemons are associated with a dedicated domain and use domain transitions
to switch their domain when started. This is typically accomplished using
the init_daemon_domain() macro (v in Listing 12-10), which under the hood is
implemented using the type_transition keyword, just like type transitions.
The binary SELinux policy build process uses the m4 macro preprocessor1
to expand macros before merging all source files in order to create the
binary policy file. The init_daemon_domain() macro takes one parameter (the
new domain of the process) and is defined in the te_macros file using two
other macros: domain_trans() and domain_auto_trans(), which are used to
allow transition to a new domain and to execute the transition automati-
cally, respectively. Listing 12-11 shows the definitions of these three macros
(u, v, and w). The lines beginning with the allow keyword are access vec-
tor (AV) rules, which we discuss in the next section.
# domain_trans(olddomain, type, newdomain)
define(`domain_trans', `
allow $1 $2:file { getattr open read execute };
allow $1 $3:process transition;
allow $3 $2:file { entrypoint read execute };
allow $3 $1:process sigchld;
dontaudit $1 $3:process noatsecure;
allow $1 $3:process { siginh rlimitinh };
')u
# domain_auto_trans(olddomain, type, newdomain)
define(`domain_auto_trans', `
domain_trans($1,$2,$3)
type_transition $1 $2:process $3;
')v
# init_daemon_domain(domain)
define(`init_daemon_domain', `
domain_auto_trans(init, $1_exec, $1)
tmpfs_domain($1)
')w
--snip--
Listing 12-11: Domain transition macros definition in the te_macros file
1. Free Software Foundation, Inc., “GNU M4 - GNU Project - Free Software Foundation
(FSF),” https://www.gnu.org/software/m4/

SELinux 329
Access Vector Rules
AV rules define what privileges processes have at runtime by specifying the
set of permissions they have over their target objects. Listing 12-12 shows
the general format of an AV rule.
rule_name source_type target_type : class perm_set;
Listing 12-12: Format of AV rules
The rule_name can be allow, dontaudit, auditallow, or neverallow. To form
a rule, the source_type and target_type elements are replaced with one or
more previously defined type or attribute identifiers, where source_type is the
identifier of a subject (process), and target_type is the identifier of an object
the process is trying to access. The class element is replaced with the object
class of the target, and perm_set specifies the set of permissions that the
source process has over the target object. You can specify multiple types,
classes, and permissions by enclosing them in braces ({}). In addition, some
rules support use of the wildcard (*) and complement (~) operators, which
allow you to specify that all types should be included or that all types except
those explicitly listed should be included, respectively.
allow Rules
The most commonly used rule is allow, which specifies the operations that
a subject (process) of the specified source type is allowed to perform on
an object of the target type and class specified in the rule. Let’s take the
SELinux policy for the vold daemon (see Listing 12-13) as an example to
illustrate how to use the allow rule.
type vold, domain;
type vold_exec, exec_type, file_type;
init_daemon_domain(vold)
--snip--
allow vold sdcard_type:filesystem { mount remount unmount };u
--snip--
allow vold self:capability { sys_ptrace kill };v
--snip--
Listing 12-13: allow rules for the vold domain (from vold.te)
In this listing, rule u allows the vold daemon (which runs in the vold
domain) to mount, unmount, and remount filesystems of type sdcard_type.
Rule v allows the daemon to use the CAP_SYS_PTRACE (which allows ptrace()
to be called on any process) and CAP_KILL (which allows signals to be sent to
any process) Linux capabilities, which correspond to the permission set
specified in the rule (inside the {}). In rule v, the self keyword means that
the target domain is the same as the source, which in this case is vold.

330 Chapter 12
auditallow Rules
The auditallow rule is used with allow to record audit events when an opera-
tion is allowed. This is useful because by default, SELinux logs only access
denied events. However, auditallow itself doesn’t grant access, and there-
fore a matching allow rule must be used in order to grant the necessary
permissions.
dontaudit Rules
The dontaudit rule is used to suppress the auditing of denial messages
when a specified event is known to be safe. For example, the rule at u in
Listing 12-14 specifies that no audit log be created if the installd daemon is
denied the CAP_SYS_ADMIN capability. However, dontaudit rules can mask pro-
gram errors and the use of dontaudit is discouraged.
type installd, domain;
--snip--
dontaudit installd self:capability sys_admin;u
--snip--
Listing 12-14: dontaudit rule for the installd domain (from installd.te)
neverallow Rules
The neverallow rule says that the declared operation should never be allowed,
even if an explicit allow rule that allows it exists. For example, the rule
shown in Listing 12-15 forbids all domains but the init domain to load the
SELinux policy.
--snip--
neverallow { domain -init } kernel:security load_policy;
Listing 12-15: neverallow rule that forbids domains other than init from loading the SELinux
policy (from domain.te)
NOTE This section provides only a brief overview of SELinux, focusing on the features used
in Android. For a more detailed discussion of the architecture and implementation of
SELinux, as well its policy language, see the SELinux Notebook.2
Android Implementation
As discussed in Chapters 1 and 2, Android’s sandboxing security model
relies heavily on the use of separate Linux UIDs for system daemons and
applications. Process isolation and access control is ultimately enforced by
2. Richard Haines, The SELinux Notebook: The Foundations, 3rd edition, 2012, http://www
.freetechbooks.com/efiles/selinuxnotebook/The_SELinux_Notebook_The_Foundations_3rd_Edition.pdf

SELinux 331
the Linux kernel based on process UID and GIDs. Because SELinux is also
part of the Linux kernel, SELinux is a natural candidate for hardening the
Android sandboxing model using a MAC policy.
As SELinux is integrated into the mainline Linux kernel, it would
seem that enabling it in Android should be a simple matter of configuring
the kernel and designing an appropriate MAC policy. However, because
Android introduces some unique extensions to the Linux kernel and its
userspace structure is quite different from that of desktop and server Linux
distributions, several changes in both kernel and userspace were needed in
order to integrate and enable SELinux into Android. While the initial work
required to integrate SELinux was started by Google, most of the required
changes were implemented in the Security Enhancements for Android
project (formally Security-Enhanced Android, or SEAndroid),3 and were
later integrated into the mainline Android source tree. The following sec-
tions survey these major changes. For a comprehensive list of changes and the
rationale behind them, see the Security Enhanced (SE) Android: Bringing Flexible
MAC to Android paper by the original authors of the SEAndroid project.4
Kernel Changes
Recall from earlier that SELinux is a security module that implements
the various LSM hooks inserted in kernel services related to object access
control. Android’s Binder IPC mechanism is also implemented as a kernel
driver, but because its implementation originally did not contain any LSM
hooks, its runtime behavior could not be controlled by an SELinux policy.
In order to add SELinux support to Binder, LSM hooks were inserted into
the Binder driver, and support for the binder object class and related per-
missions was added to SELinux code.
SELinux security hooks are declared in include/linux/security.h, and
Listing 12-16 shows the Binder-related declarations added to support Android.
--snip--
int security_binder_set_context_mgr(struct task_struct *mgr);u
int security_binder_transaction(struct task_struct *from,
struct task_struct * to);v
int security_binder_transfer_binder(struct task_struct *from,
struct task_struct *to);w
int security_binder_transfer_file(struct task_struct *from,
struct task_struct *to, struct file *file);x
--snip--
Listing 12-16: Binder security hooks declarations in include/linux/security.h
3. Security Enhancements for Android, https://bitbucket.org/seandroid/manifests/
4. Craig Smalley, Security Enhanced (SE) Android: Bringing Flexible MAC to Android, http://
www.internetsociety.org/sites/default/files/02_4.pdf

332 Chapter 12
The first hook u controls what process can become the binder context
manager, and the second one v controls the ability of a process to invoke
a binder transaction. The next two functions are used to regulate who can
transfer a Binder reference to another process w, and transfer an open file
to another process x using Binder.
In order to allow the SELinux policy to set restrictions for Binder,
support for the binder object class and its permissions (impersonate, call,
set_context_mgr, and transfer) was also added to the kernel, as shown in
Listing 12-17.
--snip--
struct security_class_mapping secclass_map[] = {
--snip--
{"binder", {"impersonate", "call", "set_context_mgr", "transfer", NULL} },
{ NULL }
};
Listing 12-17: Binder object class and permission declaration in selinux/include/classmap.h
Userspace Changes
In addition to kernel changes, a number of userspace modifications and
extensions were also required in order to integrate SELinux into Android.
Among these, the most important ones are support for filesystem labeling
in the core C library (bionic); extensions to init and the core native dae-
mons and executables; framework-level SELinux APIs; and modifications
to core framework services to make them SELinux-aware. This section
describes each change and how it’s integrated into the Android runtime.
Libraries and Tools
Because SELinux uses extended attributes to store the security contexts of
filesystem objects, wrapper functions for the system calls used to manage
extended attributes (listxattr(), getxattr(), setxattr(), and so on) were first
added to Android’s C library in order to be able to get and set the security
labels of files and directories.
In order to be able to take advantage of SELinux features from user-
space, SEAndroid added an Android-compatible port of the libselinux
library, as well as a set of utility commands to manage labeling, the security
policy, and to switch the SELinux mode between enforcing and permissive.
Like most Android command-line utilities, SELinux tools are implemented
in the toolbox binary and are installed as symbolic links to it. Table 12-1
summarizes the added or modified command-line tools.

SELinux 333
Table 12-1: SELinux Command-Line Utilities
Command Description
chcon Changes a file’s security context
getenforce Gets the current SELinux mode
getsebool Gets policy Boolean values
id Displays a process’s security context
load_policy Loads a policy file
ls -Z Displays the security context of a file
ps -Z Displays the security context of running processes
restorecon Restores the security context of a file(s)
runcon Runs a program in the specified security context
setenforce Sets the enforcing mode
setsebool Sets the value of a policy Boolean
System Initialization
As in traditional Linux systems, in Android all userspace daemons and
programs are started by the init process, the first process the kernel starts
(PID=1). However, unlike other Linux-based systems, Android’s initializa-
tion scripts (init.rc and its variants) are not interpreted by a general-purpose
shell, but by init itself. Each initialization script contains built-in commands
that are executed by init as it reads the script. SEAndroid extends Android’s
init language with a number of new commands required to initialize SELinux
and set the security contexts of services and files, as summarized in Table 12-2.
Table 12-2: init Built-in Commands for SELinux Support
init Built-In Command Description
seclabel Sets the security context of a service
restorecon Restores the security context of a file or directory
setcon Set the security context of the init process
setenforce Sets the enforcing mode
setsebool Sets the value of a policy Boolean
When init starts, it loads the SELinux policy from the /sepolicy binary
policy file, and then sets the enforcing mode based on the value of the
ro.boot.selinux system property (which init sets based on the value of the
androidboot.selinux kernel command-line parameter). When the property
value is permissive, SELinux goes into permissive mode; when set to any
other value or not set at all, the mode is set to enforcing.

334 Chapter 12
Next, init loads and parses the init.rc file and executes the commands
specified there. Listing 12-18 shows an excerpt of init.rc, focusing on the
parts responsible for SELinux initialization.
--snip--
on early-init
--snip--
setcon u:r:init:s0u
start ueventd
--snip--
on post-fs-data
chown system system /data
chmod 0771 /data
restorecon /datav
--snip--
service ueventd /sbin/ueventd
class core
critical
seclabel u:r:ueventd:s0w
--snip--
on property:selinux.reload_policy=1x
restart ueventd
restart installd
--snip--
Listing 12-18: SELinux initialization in init.rc
In this example, init sets its own security context using the setcon
command u before starting the core system daemons. Because a child
process inherits the security context of its parent, init explicitly sets the
security context of the ueventd daemon (the first daemon to be started) to
u:r:ueventd:s0 w using the seclabel command. Most other native services
have their domain set automatically by type transition rules defined in the
policy (as in Listing 12-10). (The seclabel command is only used to set the
security contexts of processes that start very early in the system initializa-
tion process.)
When writable filesystems are mounted, init uses the restorecon com-
mand to restore the default labels of their mount points, because a factory
reset could have cleared their labels. Listing 12-18 shows the command v
that labels the userdata partition’s mount point—/data.
Finally, because a policy reload can be triggered by setting the selinux
.reload_policy system property to 1 x, init restarts the ueventd and installd
daemons when this property is set so that the new policy can take effect.
Labeling Files
Recall that persistent SELinux objects, such as files, have a persistent security
context that is typically saved in a file’s extended attribute. In Android, the
initial security context of all files is defined in a text file called file_contexts,
which might look like Listing 12-19.

SELinux 335
/ u:object_r:rootfs:s0u
/adb_keys u:object_r:rootfs:s0
/default.prop u:object_r:rootfs:s0
/fstab\..* u:object_r:rootfs:s0
--snip--
/dev(/.*)? u:object_r:device:s0v
/dev/akm8973.* u:object_r:akm_device:s0
/dev/accelerometer u:object_r:accelerometer_device:s0
--snip--
/system(/.*)? u:object_r:system_file:s0w
/system/bin/ash u:object_r:shell_exec:s0
/system/bin/mksh u:object_r:shell_exec:s0
--snip--
/data(/.*)? u:object_r:system_data_file:s0x
/data/backup(/.*)? u:object_r:backup_data_file:s0
/data/secure/backup(/.*)? u:object_r:backup_data_file:s0
--snip--
Listing 12-19: Contents of the file_contexts file
As you can see, the file contains a list of paths (sometimes using wild-
card characters) and their associated security contexts, each on a new
line. The file_contexts file is consulted at various times during Android’s
build and bootup process. For example, because on-memory filesystems
such as Android’s root filesystem (mounted at /) and the device filesystem
(mounted at /dev) are not persistent, all files are usually associated with the
same security context as specified in the genfs_contexts file, or assigned using
the context= mount option. In order to assign individual security contexts
to specific files in such filesystems, init uses the restorecon command to
look up the security context of each file in file_contexts (u for the root file-
system, and v as the default for the device filesystem) and sets it accord-
ingly. When building Android from source, the make_ext4fs command also
consults file_contexts in order to set the initial contexts of files on the system
(mounted at /system w) and userdata partition (mounted at /data x) images.
The security contexts of data partitions’ mount points are also restored
on each boot (as shown in Listing 12-18) in order to make sure they’re
in a consistent state. Finally, Android’s recovery OS also includes a copy of
file_contexts, which is used to set the correct labels of files created by the
recovery during system updates. This guarantees that the system remains
in a securely labeled stated across updates and avoids the need for full rela-
beling after each update.
Labeling System Properties
Android uses global system properties that are visible to all processes for
various purposes such as communicating hardware state, starting or stop-
ping system services, triggering disk encryption, and even reloading the
SELinux policy. Access to read-only system properties isn’t restricted, but
because changing the values of key read-write properties alters the behav-
ior of the system, write access to these properties is restricted and allowed
only to system processes running under privileged UIDs, such as system and

336 Chapter 12
radio. SEAndroid augments this UID-based access control by adding MAC
rules that regulate write access to system properties based on the domain of
the process attempting property modification. In order for this to work, sys-
tem properties (which are not native SELinux objects) must be associated
with security contexts. This is accomplished by listing the security contexts
of properties in a property_contexts file, much the same way that file_contexts
specifies the security labels of files. The file is loaded into memory by the
property_service (part of init), and the resulting security context lookup table
is used to determine whether a process should be allowed access to a spe-
cific property based on the security contexts of both the process (subject)
and the property (object). The SELinux policy defines a new property_service
object class, with a single permission, set, which is used to specify access
rules, as shown in Listing 12-20.
type vold, domain;
--snip--
allow vold vold_prop:property_service set;u
allow vold powerctl_prop:property_service set;v
allow vold ctl_default_prop:property_service set;w
--snip--
Listing 12-20: System property access rules in vold.te
In this listing, the vold domain is allowed to set system properties of
type vold_prop u, powerctl_prop v, and ctl_default_prop w.
These types are associated with actual properties based on the property
name in property_contexts, as shown in Listing 12-21.
--snip--
vold. u:object_r:vold_prop:s0u
sys.powerctl u:object_r:powerctl_prop:s0v
ctl. u:object_r:ctl_default_prop:s0w
--snip--
Listing 12-21: Association of property names with their security contexts in property_contexts
The effect of this policy is that vold can set the values of all properties
whose name starts with vold. u, sys.powerctl v, or ctl. w.
Labeling Application Processes
Recall from Chapter 2 that all app processes in Android are forked from
the zygote process in order to reduce memory usage and improve application
startup time. The system_server process, which runs as the system user and
hosts most system services, is also forked from zygote, albeit via a slightly dif-
ferent interface.
The zygote process, which runs as root, is responsible for setting each
app process’s DAC credentials (UID, GID, and supplementary GIDs), as
well as its capabilities and resource limits. In order to support SELinux,
zygote has been extended to check the security context of its clients (imple-
mented in the ZygoteConnection class) and set the security context of each

SELinux 337
app process that it forks. The security context is determined according
to the assignment rules specified in the seapp_contexts configuration file,
according to the app’s UID, its package name, a flag that marks the system
server process, and an SELinux-specific string attribute called seinfo. The
seapp_contexts configuration file contains security context assignment rules
(one per line) that consist of input selector attributes and output attributes.
In order for a rule to be matched, all input selectors should match (logical
AND). Listing 12-22 shows the contents of the seapp_contexts file in the refer-
ence Android SELinux policy as of version 4.4.3.
NOTE The seapp_contexts, like all files in the reference policy, can be found in the
external/sepolicy/ directory of Android’s source tree. See the file’s comments for
the full list of input selectors, the selector matching precedence rules, and outputs.
isSystemServer=true domain=systemu
user=system domain=system_app type=system_data_filev
user=bluetooth domain=bluetooth type=bluetooth_data_file
user=nfc domain=nfc type=nfc_data_file
user=radio domain=radio type=radio_data_file
user=_app domain=untrusted_app type=app_data_file levelFrom=nonew
user=_app seinfo=platform domain=platform_app type=platform_app_data_filex
user=_app seinfo=shared domain=shared_app type=platform_app_data_filey
user=_app seinfo=media domain=media_app type=platform_app_data_file
user=_app seinfo=release domain=release_app type=platform_app_data_file
user=_isolated domain=isolated_appz
user=shell domain=shell type=shell_data_file
Listing 12-22: Contents of the seapp_contexts file
The first line u in this listing specifies the domain of the system server
(system), because the isSystemServer selector (which can be used only once)
is set to true. Because Android uses a fixed SELinux user identifier, role and
security level, the resulting security context becomes u:r:system:s0.
The second assignment rule v matches the user selector against the
target process’s username, which is derived from its UID. If a process runs
as one of the built-in Android Linux users (system, radio, nfc, and so on, as
defined in android_filesystem_config.h), the associated name is used when
matching the user selector. Isolated services are given the _isolated user-
name string, and any other process is given the _app username string. Thus,
system apps that match this selector are assigned the system_app domain.
The type attribute specifies the object type that’s assigned to files owned
by the target process. Because in this case the type is system_data_file, the
security context of system files becomes u:object_r:system_data_file:s0.
Rule w matches all apps that execute under a non-system UID and
assigns their processes to the untrusted_app domain. The private app data
directory of each untrusted app is recursively assigned the app_data_file
object type, which results in the u:object_r:app_data_file:s0 security context.
The security context of the data directory is set by the installd daemon when
it creates it as part of the app install process (see Chapter 3).

338 Chapter 12
Rules x and y use the seinfo selector to differentiate between non-
system apps and assign them to different domains: apps processes that
match seinfo=platform are assigned the platform_app domain, and those
matching seinfo=shared are assigned the shared_app domain. (As we’ll see
in the next section, an app’s seinfo attribute is determined by its signing
certificate, so in effect, rules x and y use each app’s signing certificate
as a process domain selector.)
Finally, rule z assigns the isolated_app domain to all isolated services.
(Isolated services run under a UID separate from their hosting app’s UID
and cannot access any system services.)
Middleware MAC
The seinfo attribute introduced in the previous section is part of an
SEAndroid feature called middleware MAC (MMAC), which is a higher-
level access control scheme, separate from the kernel-level MAC (imple-
mented in the SELinux LSM module).
The MMAC was designed to provide MAC restrictions over Android’s
permission model, which works at the framework level and cannot be eas-
ily mapped to the default kernel-level MAC. The original implementation
includes an install-time MAC feature, which restricts the permissions that
can be granted to each package based on its package name and signing
certificate, regardless of a user’s permission grant decision. That is, even if
a user decides to grant an app all the permissions it requests, the install can
still be blocked by the MMAC if the policy doesn’t allow certain permissions
to be granted.
SEAndroid’s MMAC implementation also includes an intent MMAC fea-
ture that uses a policy to control which intents can be exchanged between
applications. Another SEAndroid feature is the content provider MMAC,
which defines a policy for content provider data access. However, the original
SEAndroid MMAC implementation has been merged in mainline Android
only partially, and the only supported feature is seinfo assignment based on
the app signing certificate.
NOTE As of version 4.3, Android has an experimental intent firewall feature that
restricts what intents can be sent and received using “firewall”-style rules. This
feature is similar to SEAndroid’s intent MMAC but is not integrated with the
SELinux implementation.
The MMAC configuration file is called mac_permission.xml and resides
in the /system/etc/security/ directory on the device. Listing 12-23 shows the
template used to generate this file, typically stored as external/sepolicy/
mac_permission.xml in Android’s source tree.

SELinux 339
<?xml version="1.0" encoding="utf-8"?>
<policy>
<!-- Platform dev key in AOSP -->
<signer signature="@PLATFORM" >u
<seinfo value="platform" />
</signer>
<!-- Media dev key in AOSP -->
<signer signature="@MEDIA" >v
<seinfo value="media" />
</signer>
<!-- shared dev key in AOSP -->
<signer signature="@SHARED" >w
<seinfo value="shared" />
</signer>
<!-- release dev key in AOSP -->
<signer signature="@RELEASE" >x
<seinfo value="release" />
</signer>
<!-- All other keys -->
<default>y
<seinfo value="default" />
</default>
</policy>
Listing 12-23: Template for the mac_permission.xml file
Here, the @PLATFORM u, @MEDIA v, @SHARED w, and @RELEASE x
macros represent the four platform signing certificates used in Android
(platform, media, shared, and release) and are replaced with their respective
certificates, encoded as hexadecimal strings, when building the SELinux
policy.
When scanning each installed package, the system PackageManagerService
matches its signing certificate against the contents of the mac_permission.xml
file and assigns the specified seinfo value to the package if it finds a match.
If no match is found, it assigns the default seinfo value as specified by the
<default> tag y.
Device Policy Files
Android’s SELinux policy consists of a binary policy file and four support-
ing configuration files, which are used for process, app, system property,
and file labeling, as well as for MMAC initialization. Table 12-3 shows where
each of these files is located on a device and provides a brief description of
the file’s purpose and contents.

340 Chapter 12
Table 12-3: Android SELinux Policy Files
Policy File Description
/sepolicy Binary kernel policy
/file_contexts File security contexts, used for
labeling filesystems
/property_contexts System property security contexts
/seapp_contexts Used to derive security contexts of
app processes and files
/system/etc/security/mac_permissions.xml Maps app signing certificates to
seinfo values
NOTE SELinux-enabled Android releases before version 4.4.3 supported overriding the
default policy files shown in Table 12-3 with their counterparts stored in the /data/
security/current/ and /data/system/ (for the MMAC configuration file) direc-
tories in order to enable online policy updates without a full OTA update. However,
Android 4.4.3 removed this feature because it could create discrepancies between the
security labels set on the filesystem and the labels referenced from the new policy. Policy
files are now loaded only from the default, read-only locations shown in Table 12-3.
Policy Event Logging
Access denial and access grants that have matching auditallow rules are
logged to the kernel log buffer and can be viewed using dmesg, as shown in
Listing 12-24.
# dmesg |grep 'avc:'
--snip--
<5>[18743.725707] type=1400 audit(1402061801.158:256): avc: denied { getattr
} for pid=9574 comm="zygote" path="socket:[8692]" dev="sockfs" ino=8692
scontext=u:r:untrusted_app:s0 tcontext=u:r:zygote:s0 tclass=unix_stream_socket
--snip--
Listing 12-24: SELinux access denials logged in the kernel log buffer
Here, the audit log shows that a third-party application (source security
context u:r:untrusted_app:s0) was denied access to the getattr permission
on the zygote Unix domain socket (target context u:r:zygote:s0, object class
unix_stream_socket).
Android 4.4 SELinux Policy
Android 4.2 was the first release to contain SELinux code, but SELinux was
disabled at compile time in release builds. Android 4.3 enabled SELinux
in all builds, but its default mode was set to permissive. Additionally, all
domains were also individually set to permissive and were based on the
unconfined domain, essentially allowing them full access (within the confines
of DAC), even if the global SELinux mode was set to enforcing.

SELinux 341
Android 4.4 was the first version to ship with SELinux in enforcing
mode, and it included enforcing domains for core system daemons. This
section gives an overview of Android’s SELinux policy, as deployed in ver-
sion 4.4, and introduces some of the major domains that make up the policy.
Policy Overview
The source code of Android’s base SELinux policy is hosted in the external/
sepolicy/ directory of the Android source tree. Besides the files introduced
in this chapter so far (access_vectors, file_contexts, mac_permissions.xml, and so
on), the policy source consists mostly of type enforcement (TE) statements
and rules split into multiple .te files, typically one for each defined domain.
These files are combined to produce the binary policy file sepolicy, which is
included in the root of the boot image as /sepolicy.
You can examine the binary policy file using standard SELinux tools
such as seinfo, sesearch, sedispol, and so on. For example, we can use the
seinfo command to get a summary of the number of policy objects and
rules, as shown in Listing 12-25.
$ seinfo sepolicy
Statistics for policy file: sepolicy
Policy Version & Type: v.26 (binary, mls)
Classes: 84 Permissions: 249
Sensitivities: 1 Categories: 1024
Types: 267 Attributes: 21
Users: 1 Roles: 2
Booleans: 1 Cond. Expr.: 1
Allow: 1140 Neverallow: 0
Auditallow: 0 Dontaudit: 36
Type_trans: 132 Type_change: 0
Type_member: 0 Role allow: 0
Role_trans: 0 Range_trans: 0
Constraints: 63 Validatetrans: 0
Initial SIDs: 27 Fs_use: 14
Genfscon: 10 Portcon: 0
Netifcon: 0 Nodecon: 0
Permissives: 42 Polcap: 2
Listing 12-25: Querying a binary policy file using the seinfo command
As you can see, the policy is fairly complex: it defines 84 classes, 267 types,
and 1,140 allow rules.
You can get additional information about policy objects by specifying
filtering options to the seinfo command. For example, because all domains
are associated with the domain attribute, the command shown in Listing 12-26
lists all domains defined in the policy.

342 Chapter 12
$ seinfo -adomain -x sepolicy
domain
nfc
platform_app
media_app
clatd
netd
sdcardd
zygote
--snip--
Listing 12-26: Getting a list of all defined domains using the seinfo command
You can search for policy rules using the sesearch command. For
example, all allow rules that have the zygote domain as their source can
be displayed using the command shown in Listing 12-27.
$ sesearch --allow -s zygote -d sepolicy
Found 40 semantic av rules:
allow zygote zygote_exec : file { read execute execute_no_trans entrypoint open } ;
allow zygote init : process sigchld ;
allow zygote rootfs : file { ioctl read getattr lock open } ;
allow zygote rootfs : dir { ioctl read getattr mounton search open } ;
allow zygote tmpfs : filesystem mount ;
allow zygote tmpfs : dir { write create setattr mounton add_name search } ;
--snip--
Listing 12-27: Searching for policy rules using the sesearch commands
NOTE For details about building and customizing the SELinux policy, see the Validating
Security-Enhanced Linux in Android document.5
Enforcing Domains
Even though SELinux is deployed in enforcing mode in Android 4.4, only
the domains assigned to a few core daemons are currently enforcing, namely:
installd (responsible for creating application data directories), netd (respon-
sible for managing network connections and routes), vold (responsible for
mounting external storage and secure containers), and zygote. All of these
daemons run as root or are granted special capabilities because they need
to perform administrative operations such as changing directory ownership
(installd), manipulating packet filtering and routing rules (netd), mounting
filesystems (vold), and changing process credentials (zygote) on behalf of
other processes.
Because they have elevated privileges, these daemons have been
the target of various privilege escalation exploits, which have allowed
non-privileged processes to obtain root access on a device. Therefore,
5. Google, “Validating Security-Enhanced Linux in Android,” http://source.android.com/devices/
tech/security/se-linux.html

SELinux 343
specifying a restrictive MAC policy for the domains associated with these
system daemons is an important step towards strengthening Android’s
sandboxing security model and preventing similar exploits in the future.
Let’s look at the type enforcement rules defined for the installd domain
(in instald.te) to see how SELinux restricts what system daemons can access
(see Listing 12-28).
type installd, domain;
type installd_exec, exec_type, file_type;
init_daemon_domain(installd)u
relabelto_domain(installd)v
typeattribute installd mlstrustedsubject;w
allow installd self:capability { chown dac_override fowner fsetid setgid setuid };x
--snip--
allow installd dalvikcache_data_file:file create_file_perms;y
allow installd data_file_type:dir create_dir_perms;z
allow installd data_file_type:dir { relabelfrom relabelto };{
allow installd data_file_type:{ file_class_set } { getattr unlink };|
allow installd apk_data_file:file r_file_perms;}
--snip--
allow installd system_file:file x_file_perms;~
--snip--
Listing 12-28: installd type enforcement policy (from installd.te)
In this listing, the installd daemon is first automatically transitioned
to a dedicated domain (also named installd) when started u using the
init_daemon_domain() macro. It is then granted the relabelto permission so
that it can set the security labels of the files and directories it creates v.
Next, the domain is associated with the mlstrustedsubject attribute w, which
allows it to bypass MLS access rules. Because installd needs to set the owner
of the files and directories it creates to that of their owner application, it’s
granted the chown, dac_override, and other capabilities pertaining to file
ownership x.
As part of the app install process, installd also triggers the DEX opti-
mization process, which creates ODEX files in the /data/dalvik-cache/ direc-
tory (security context u:object_r:dalvikcache_data_file:s0), which is why the
installer daemon is granted permission to create files in that directory y.
Next, because installd creates private data directories for applications in the
/data/ directory, it is given permission to create and relabel directories (z
and {), as well as get the attributes and delete files | under /data/ (which
is associated with the data_file_type attribute). Because installd also needs
to read downloaded APK files in order to perform DEX optimization, it’s
granted access to APK files stored under /data/app/ }, a directory associ-
ated with the apk_data_file type (security context u:object_r:apk_data_file:s0).
Finally, installd is allowed to execute system commands (security context
u:object_r:system_file:s0) ~ in order to start the DEX optimization process.
Listing 12-28 omits a few of them, but the remaining policy rules follow the

344 Chapter 12
same principle: allow installd the least amount of privileges it needs to com-
plete package installation. As a result, even if the daemon is compromised
and a malicious program is executed under installd’s privileges, it would
only have access to a limited number of files and directories, and would be
denied any permissions not explicitly allowed by the MAC policy.
NOTE While Android 4.4 has only four enforcing domains, as the platform evolves and
the base SELinux policy is refined, eventually all domains are likely to be deployed
in enforcing mode. For example, as of this writing, in the base policy in the master
branch of the Android Open Source Project (AOSP), all domains are set to enforcing
mode in release builds and the permissive domains are only used in development builds.
Even if a domain is in enforcing mode, it can be allowed effectively
unrestricted access if it’s derived from a base domain that is granted all or
most access permissions. In Android’s SELinux policy, such a domain is the
unconfineddomain domain, which we discuss next.
Unconfined Domains
Android’s SELinux policy contains a base (also referred to as template)
domain called unconfineddomain, which is allowed almost all system privileges
and is used as a parent for other policy domains. As of Android 4.4, the
unconfineddomain is defined as shown in Listing 12-29.
allow unconfineddomain self:capability_class_set *;u
allow unconfineddomain kernel:security ~load_policy;v
allow unconfineddomain kernel:system *;
allow unconfineddomain self:memprotect *;
allow unconfineddomain domain:process *;w
allow unconfineddomain domain:fd *;
allow unconfineddomain domain:dir r_dir_perms;
allow unconfineddomain domain:lnk_file r_file_perms;
allow unconfineddomain domain:{ fifo_file file } rw_file_perms;
allow unconfineddomain domain:socket_class_set *;
allow unconfineddomain domain:ipc_class_set *;
allow unconfineddomain domain:key *;
allow unconfineddomain fs_type:filesystem *;
allow unconfineddomain {fs_type dev_type file_type}:{ dir blk_file lnk_file sock_file fifo_file
} ~relabelto;
allow unconfineddomain {fs_type dev_type file_type}:{ chr_file file } ~{entrypoint relabelto};
allow unconfineddomain node_type:node *;
allow unconfineddomain node_type:{ tcp_socket udp_socket rawip_socket } node_bind;
allow unconfineddomain netif_type:netif *;
allow unconfineddomain port_type:socket_class_set name_bind;
allow unconfineddomain port_type:{ tcp_socket dccp_socket } name_connect;
allow unconfineddomain domain:peer recv;
allow unconfineddomain domain:binder { call transfer set_context_mgr };
allow unconfineddomain property_type:property_service set;
Listing 12-29: unconfineddomain domain definition in Android 4.4

SELinux 345
As you can see, the unconfineddomain domain is allowed all kernel capa-
bilities u, full access to the SELinux security server v (except for load-
ing the MAC policy), all process-related permissions w, and so on. Other
domains “inherit” the permissions of this domain via the unconfined_domain()
macro, which assigns the unconfineddomain attribute to the domain passed
as an argument. In Android 4.4’s SELinux policy, all permissive domains
are also unconfined, and thus are granted practically unrestricted access
(within the limits of the DAC).
NOTE While the unconfineddomain still exists in AOSP’s master branch, it has been consider-
ably restricted and is no longer used as an unrestricted domain, but as the base policy
for system daemons and other privileged Android components. As more domains are
switched to enforcing mode and their policies are fine-tuned, unconfineddomain is
expected to be removed.
App Domains
Recall that SEAndroid assigns several different domains to application pro-
cesses based on their process UID or signing certificate. These application
domains are assigned common permissions by inheriting the base appdomain
using the app_domain() macro which, as defined in app.te, includes rules that
allow the common operations all Android apps require. Listing 12-30 shows
an excerpt from the app.te file.
--snip--
allow appdomain zygote:fd use;u
allow appdomain zygote_tmpfs:file read;v
--snip--
allow appdomain system:fifo_file rw_file_perms;
allow appdomain system:unix_stream_socket { read write setopt };
binder_call(appdomain, system)w
allow appdomain surfaceflinger:unix_stream_socket { read write setopt };
binder_call(appdomain, surfaceflinger)x
allow appdomain app_data_file:dir create_dir_perms;
allow appdomain app_data_file:notdevfile_class_set create_file_perms;y
--snip--
Listing 12-30: appdomain policy excerpt (from app.te)
This policy allows the appdomain to receive and use file descriptors from
zygote u; read system properties managed by zygote v; communicate with
the system_server via pipes, local sockets, or Binder w; communicate with the
surfaceflinger daemon (responsible for drawing on screen) x; and create files
and directories in its sandbox data directory y. The rest of the policy defines
rules that allow other required permissions, such as network access, access
to downloaded files, and Binder access to core system services. Operations

346 Chapter 12
that apps do not typically require, such as raw block device access, kernel
memory access, and SELinux domain transitions, are explicitly prohibited
using neverallow rules.
Concrete app domains such as untrusted_app (which is assigned to all
non-system applications according to the assignment rules in seapp_contexts
shown in Listing 12-22) extend appdomain and add additional access rules, as
required by the target application(s). Listing 12-31 shows an excerpt from
untrusted_app.te.
type untrusted_app, domain;
permissive untrusted_app;u
app_domain(untrusted_app)v
net_domain(untrusted_app)w
bluetooth_domain(untrusted_app)x
allow untrusted_app tun_device:chr_file rw_file_perms;y
allow untrusted_app sdcard_internal:dir create_dir_perms;
allow untrusted_app sdcard_internal:file create_file_perms;z
allow untrusted_app sdcard_external:dir create_dir_perms;
allow untrusted_app sdcard_external:file create_file_perms;{
allow untrusted_app asec_apk_file:dir { getattr };
allow untrusted_app asec_apk_file:file r_file_perms;|
--snip--
Listing 12-31: untrusted_app domain policy excerpt (from untrusted_app.te)
In this policy file, the untrusted_app domain is set to permissive
mode u, after which it inherits the policies of appdomain v, netdomain w,
and bluetoothdomain x via the respective macros. The domain is then
allowed access to tunnel devices (used for VPNs) y, external storage (SD
cards, z and {), and encrypted application containers |. The rest of
the rules (not shown) grant access to sockets, pseudoterminals, and a
few other needed OS resources.
All other app domains (isolated_app, media_app, platform_app, release_app,
and shared_app in version 4.4) also inherit from appdomain and add additional
allow rules, either directly or by extending additional domains. In Android 4.4,
all app domains are set to permissive mode.
NOTE The SELinux policy in AOSP’s mater branch simplifies the app domain hierarchy by
removing the dedicated media_app, shared_app, and release_app domains and merg-
ing them into the untrusted_app domain. Additionally, only the system_app domain
is unconfined.
SELinux 347
Summary
As of version 4.3, Android has integrated SELinux in order to reinforce the
default sandbox model using the mandatory access control (MAC) available
in the Linux kernel. Unlike the default discretionary access control (DAC),
MAC offers a fine-grained object and permission model and a flexible secu-
rity policy that cannot be overridden or changed by malicious processes (as
long as the kernel itself isn’t compromised).
Android 4.4 is the first version to switch SELinux to enforcing mode
in release builds, but all domains other than a few highly privileged core
daemons are set to permissive mode in order to maintain compatibility
with existing applications. Android’s base SELinux policy continues to be
refined with each release, and future releases will likely switch most domains
to enforcing mode and remove the supporting unconfined domain, which
is currently inherited by the majority of domains associated with privileged
services.
13
SYSTEM UPDATES
AND ROOT ACCESS
In the preceding chapters, we introduced Android’s
security model and discussed how integrating SELinux
into Android has reinforced it. In this chapter, we take
a bit of a right turn and introduce methods that can
be used to circumvent Android’s security model.
In order to perform a full OS update or to restore the device to its
factory state, it’s necessary to escape the security sandbox and gain full
access to a device, because even the most privileged Android components
are not given complete access to all system partitions and storage devices.
Additionally, while having full administrative (root) access at runtime is
clearly against Android’s security design, executing with root privileges can
be useful in order to implement functionality not offered by Android, such
as the addition of custom firewall rules or full (including system partitions)
device backup. Indeed, the wide availability of custom Android builds (often
called ROMs) and apps that allow users to extend or replace OS functionality
using root access (commonly known as root apps) has been one of the reasons
for Android’s success.
In this chapter, we explore the design of Android’s bootloader and
recovery OS, and show how they can be used to replace the system software

350 Chapter 13
of a device. We then show how root access is implemented on engineering
builds and how Android production builds can be modified to allow execut-
ing code with superuser privileges by installing a “superuser” application.
Finally, we discuss how custom Android distributions implement and con-
trol root access.
Bootloader
A bootloader is a low-level program that is executed when a device is pow-
ered. Its main purpose is to initialize the hardware and find and start the
main operating system.
As briefly discussed in Chapter 10, Android bootloaders are usually
locked and only allow booting or installing an operating system image that
has been signed by the device manufacturer. This is an important step in
establishing a verified boot path, because it ensures that only trusted and
unmodified system software can be installed on a device. However, while
most users are not interested in modifying the core OS of their devices,
installing a third-party Android build is a valid user choice and may even
be the only way to run a recent version of Android on devices that have
stopped receiving OS updates from their manufacturer. That is why most
recent devices provide a way to unlock the bootloader and install third-
party Android builds.
NOTE While Android bootloaders are typically closed source, the bootloaders of most ARM
devices based on Qualcomm SoCs are derived from the Little Kernel (LK) bootloader,1
which is open source.2
In the following sections, we’ll look at how to interact with Android
bootloaders and how the bootloader can be unlocked on Nexus devices.
We then describe the fastboot protocol used to update devices via the
bootloader.
Unlocking the Bootloader
The bootloaders of Nexus devices are unlocked by issuing the oem unlock
command when the device is in fastboot mode (discussed in the next sec-
tion). Therefore, in order to unlock a device, it must first be started in
fastboot mode, either by issuing the adb reboot bootloader command (if the
device already allows ADB access), or by pressing a special key combination
while the device is booting. For example, holding down the Volume down,
Volume up, and Power buttons simultaneously on a powered-down Nexus 5
interrupts the normal boot process and brings up the fastboot screen
shown in Figure 13-1.
1. Code Aurora Forum, “(L)ittle (K)ernel based Android bootloader,” https://www.codeaurora.org/
blogs/little-kernel-based-android-bootloader/
2. Code Aurora Forum, https://www.codeaurora.org/cgit/quic/la/kernel/lk/

System Updates and Root Access 351
The bootloader has a simple UI that can be driven by the Volume
up/down and Power buttons. It allows users to continue the boot process,
restart the device in fastboot or recovery mode, and power down the device.
Connecting the device to a host machine via a USB cable allows addi-
tional commands to be sent to the device using the fastboot command-line
tool (part of the Android SDK). Issuing the fastboot oem unlock command
brings up the confirmation screen shown in Figure 13-2.
The confirmation screen warns that unlocking the bootloader allows
installation of untested third-party OS builds and clears all user data.
Because a third-party OS build might not follow Android’s security model
and might allow unrestricted access to data, clearing all user data is an
important security measure; it ensures that existing user data cannot be
extracted after the bootloader is unlocked.
The bootloader can be locked again by issuing the fastboot oem lock
command. Relocking the bootloader returns it to its original state, and
loading or booting third-party OS images is no longer possible. However,
besides a locked/unlocked flag, some bootloaders keep an additional, “tam-
pered” flag that is set when the bootloader is first unlocked. This flag allows
the bootloader to detect if it has ever been locked and disallow some opera-
tions or show a warning even if it is in a locked state.
Figure 13-1: Nexus 5 bootloader
screen
Figure 13-2: Nexus 5 bootloader
unlock screen

352 Chapter 13
Fastboot Mode
While the fastboot command and protocol can be used to unlock the boot-
loader, their original purpose was to make it easy to clear or overwrite
device partitions by sending partition images to the bootloader, which
are then written to the specified block device. This is particularly useful
when porting Android to a new device (referred to as “device bring-up”)
or restoring a device to factory state using partition images provided by the
device manufacturer.
Android Partition Layout
Android devices typically have several partitions, which fastboot refers to by
name (rather than by the corresponding Linux device file). A list of parti-
tions and their names can be obtained by listing the files in the by-name/
directory corresponding to the device’s SoC in /dev/block/platform/. For
example, because the Nexus 5 is based on Qualcomm SoC, which includes
a Mobile Station Modem (MSM) baseband processor, the corresponding
directory is called msm_sdcc.1/ as shown in Listing 13-1 (timestamps omitted).
# ls -l /dev/block/platform/msm_sdcc.1/by-name
lrwxrwxrwx root root DDR -> /dev/block/mmcblk0p24
lrwxrwxrwx root root aboot -> /dev/block/mmcblk0p6u
lrwxrwxrwx root root abootb -> /dev/block/mmcblk0p11
lrwxrwxrwx root root boot -> /dev/block/mmcblk0p19v
lrwxrwxrwx root root cache -> /dev/block/mmcblk0p27w
lrwxrwxrwx root root crypto -> /dev/block/mmcblk0p26
lrwxrwxrwx root root fsc -> /dev/block/mmcblk0p22
lrwxrwxrwx root root fsg -> /dev/block/mmcblk0p21
lrwxrwxrwx root root grow -> /dev/block/mmcblk0p29
lrwxrwxrwx root root imgdata -> /dev/block/mmcblk0p17
lrwxrwxrwx root root laf -> /dev/block/mmcblk0p18
lrwxrwxrwx root root metadata -> /dev/block/mmcblk0p14
lrwxrwxrwx root root misc -> /dev/block/mmcblk0p15x
lrwxrwxrwx root root modem -> /dev/block/mmcblk0p1y
lrwxrwxrwx root root modemst1 -> /dev/block/mmcblk0p12
lrwxrwxrwx root root modemst2 -> /dev/block/mmcblk0p13
lrwxrwxrwx root root pad -> /dev/block/mmcblk0p7
lrwxrwxrwx root root persist -> /dev/block/mmcblk0p16
lrwxrwxrwx root root recovery -> /dev/block/mmcblk0p20z
lrwxrwxrwx root root rpm -> /dev/block/mmcblk0p3
lrwxrwxrwx root root rpmb -> /dev/block/mmcblk0p10
lrwxrwxrwx root root sbl1 -> /dev/block/mmcblk0p2{
lrwxrwxrwx root root sbl1b -> /dev/block/mmcblk0p8
lrwxrwxrwx root root sdi -> /dev/block/mmcblk0p5
lrwxrwxrwx root root ssd -> /dev/block/mmcblk0p23
lrwxrwxrwx root root system -> /dev/block/mmcblk0p25|
lrwxrwxrwx root root tz -> /dev/block/mmcblk0p4
lrwxrwxrwx root root tzb -> /dev/block/mmcblk0p9
lrwxrwxrwx root root userdata -> /dev/block/mmcblk0p28}
Listing 13-1: List of partitions on a Nexus 5
System Updates and Root Access 353
As you can see, the Nexus 5 has 29 partitions, most of which store
device-specific and proprietary data, such as the Android bootloader in
aboot u, the baseband software in modem y, and the second stage bootloader
in sbl1 {. The Android OS is hosted in the boot v partition, which stores
the kernel and the rootfs RAM disk image, and the system partition |, which
stores all other system files. User files are stored in the userdata partition },
and temporary files, such as downloaded OTA images and recovery OS com-
mands and logs, are stored in the cache partition w. Finally, the recovery OS
image resides in the recovery partition z.
The Fastboot Protocol
The fastboot protocol works over USB and is driven by the host. That is,
communication is initiated by the host, which uses USB bulk transfers to
send text-based commands and data to the bootloader. The USB client (boot-
loader) responds with a status string such as OKAY or FAIL; an information
message starting with INFO; or DATA, which signifies that the bootloader
is ready to accept data from the host. When all data is received, the boot-
loader responds with one of the OKAY, FAIL, or INFO messages describing
the final status of the command.
Fastboot Commands
The fastboot command-line utility implements the fastboot protocol, and
allows you to get a list of connected devices that support fastboot (using
the devices command), obtain information about the bootloader (with the
getvar command), reboot the device in various modes (with continue, reboot,
reboot-bootloader), and erase or format a partition.
The fastboot command supports various ways to write a disk image to a
partition. A single named partition can be flashed using the flash partition
image-filename command, and multiple partition images contained in a ZIP
file can be flashed at once using the update ZIP-filename command.
The flashall command automatically flashes the contents of the boot.img,
system.img, and recovery.img files in its working directory to the boot, system,
and recovery partitions of the device, respectively. Finally, the flash:raw boot
kernel ramdisk command automatically creates a boot image from the speci-
fied kernel and RAM disk and flashes it to the boot partition. In addition
to flashing partition images, fastboot can also be used to boot an image
without writing it to the device when invoked with the boot boot-image or
boot kernel ramdisk commands.
Commands that modify device partitions, such as the various flash vari-
ations, and commands that boot custom kernels, such as the boot command,
are not allowed when the bootloader is locked.

354 Chapter 13
Listing 13-2 shows an example fastboot session.
$ fastboot devicesu
004fcac161ca52c5 fastboot
$ fastboot getvar version-bootloaderv
version-bootloader: MAKOZ10o
finished. total time: 0.001s
$ fastboot getvar version-basebandw
version-baseband: M9615A-CEFWMAZM-2.0.1700.98
finished. total time: 0.001s
$ fastboot boot custom-recovery.imgx
downloading 'boot.img'...
OKAY [ 0.577s]
booting...
FAILED (remote: not supported in locked device)
finished. total time: 0.579s
Listing 13-2: Example fastboot session
Here, the first command u lists the serial numbers of devices con-
nected to the host, which are currently in fastboot mode. The commands
at v and w obtain the bootloader and baseband version strings, respectively.
Finally, the command at x tries to boot a custom recovery image but fails
because the bootloader is currently locked.
Recovery
The recovery OS—also called recovery console or simply, recovery—is a minimal
OS that is used for tasks that cannot be executed directly from Android, such
as factory reset (erasing the userdata partition) or applying OTA updates.
Like the bootloader’s fastboot mode, the recovery OS can be started
either by pressing a specific key combination while the device boots, or via
ADB by using the adb reboot recovery command. Some bootloaders also pro-
vide a menu interface (see Figure 13-1) that can be used to start the recov-
ery. In the following sections, we take a look at the “stock” Android recovery
that ships with Nexus devices and is included in AOSP, and then introduce
custom recoveries, which offer much richer functionality but require an
unlocked bootloader in order to be installed or booted.
Stock Recovery
Android’s stock recovery implements the minimal functionality needed to
satisfy the “Updatable Software” section of the Android Compatibility Definition
Document (CDD), which requires that “device implementations MUST include
a mechanism to replace the entirety of the system software…” and that “the
update mechanism used MUST support updates without wiping user data.”3
3. Google, Android Compatibility Definition, https://static.googleusercontent.com/media/
source.android.com/en//compatibility/android-cdd.pdf

System Updates and Root Access 355
That said, the CDD doesn’t specify the concrete update mechanism that
should be used, so different approaches to system updates are possible and
the stock recovery implements both OTA updates and tethered updates. For
OTA updates, the main OS downloads the update file and then instructs the
recovery to apply it. In the case of tethered updates, users download the
update package on their PC and push it to the recovery using the adb sideload
otafile.zip command. The actual update process for both approaches is the
same; only the method of obtaining the OTA package differs.
The stock recovery has a simple menu interface (shown in Figure 13-3)
that is operated using the device’s hardware buttons, usually the Power but-
ton and Volume up/down. However, the menu is hidden by default and
needs to be activated by pressing a dedicated key combination. On Nexus
devices, the recovery menu can usually be displayed by holding down the
Power and Volume down buttons simultaneously for a few seconds.
The system recovery menu has four options: reboot, apply update from
ADB, factory reset, and wipe cache partition. The apply update from ADB option
starts the ADB server on the device and enables the tethered update (side-
load) mode. However, as you can see, there is no option for applying an OTA
update because once the user chooses to apply an OTA update from the
main OS (see Figure 13-4), it is applied automatically, without further user
interaction. Android accomplishes this by sending control commands to the
recovery, which are automatically executed when the recovery starts. (We dis-
cuss the mechanisms used to control the recovery in the next section.)
Figure 13-4: Applying a system update
from the main OS
Figure 13-3: Stock recovery menu

356 Chapter 13
Controlling the Recovery
The main OS controls the recovery via the android.os.RecoverySystem API,
which communicates with the recovery by writing option strings, each on a
new line, to the /cache/recovery/command file. The contents of the command
file are read by the recovery binary (located at /sbin/recovery in the recovery
OS), which is automatically started from init.rc when the recovery boots.
The options modify the behavior of the recovery binary and cause it to wipe
the specified partition, apply an OTA update, or simply reboot. Table 13-1
shows the options supported by the stock recovery binary.
Table 13-1: Options for the Stock recovery Binary
recovery Option Description
--send_intent=<string> Save and communicate the specified intent
action back to the main OS when finished
--update_package=<OTA package path> Verify and install the specified OTA package
--wipe_data Erase the userdata and cache partitions,
then reboot
--wipe_cache Erase the cache partition, then reboot
--show_text Message to display
--just_exit Exit and reboot
--locale Locale to use for recovery messages and UI
--stages Set the current stage of the recovery process
In order to ensure that the specified command(s) are always com-
pleted, the recovery binary copies its arguments to the bootloader control
block (BCB), which is hosted on the misc partition (x in Listing 13-1). The
BCB is used to communicate the current state of the recovery process to
the bootloader. The format of the BCB is specified in the bootloader_message
structure, shown in Listing 13-3.
struct bootloader_message {
char command[32];u
char status[32];v
char recovery[768];w
char stage[32];x
char reserved[224];y
};
Listing 13-3: BCB format structure definition
If a device is rebooted or powered down in the middle of the recovery
process, the next time it is started the bootloader inspects the BCB and
starts the recovery again if the BCB contains the boot-recovery command. If
the recovery process completes successfully, the recovery binary clears the
BCB before exiting (sets all bytes to zero), and on the next reboot the boot-
loader starts the main Android OS.

System Updates and Root Access 357
In Listing 13-3, the command at u is the command to the bootloader
(usually boot-recovery); v is a status file written by the bootloader after per-
forming a platform-specific action; w contains the options for the recovery
binary (--update_package, --wipe-data, and so on); and x is a string describ-
ing the install stage of OTA packages that require multiple restarts, for
example 2/3 if the installation requires three reboots. The last field y is
reserved and not used as of this writing.
Sideloading an OTA Package
Besides being downloaded by the main OS, an OTA package can be directly
passed to the recovery from a host PC. In order to enable this update mode,
the user must choose the apply update from ADB option from the recovery
menu first. This starts a trimmed down version of the standard ADB dae-
mon, which supports only the sideload command. Executing adb sideload
OTA-package-file on the host transfers the OTA file to /tmp/update.zip on the
device and installs it (see “Applying the Update” on page 359).
OTA Signature Verification
As we learned in Chapter 3, OTA packages are code signed, with the signa-
ture applied over the whole file (unlike JAR and APK files, which include
a separate signature for each file in the archive). When the OTA process
is started from the main Android OS, the OTA package (ZIP file) is first
verified using the verifyPackage() method of the RecoverySystem class. This
method receives both the path to the OTA package and a ZIP file con-
taining a list of X.509 certificates that are allowed to sign OTA updates as
parameters. If the OTA package is signed with the private key correspond-
ing to any of the certificates in the ZIP file, the OTA is considered valid and
the system reboots into recovery in order to apply it. If no certificate ZIP file
is specified, the system default, /system/etc/security/otacerts.zip, is used.
The recovery verifies the OTA package that it is instructed to apply
independently of the main OS in order to ensure that the OTA package
has not been replaced before starting the recovery. The verification is per-
formed with a set of public keys built into the recovery image. When build-
ing the recovery, these keys are extracted from the specified set of OTA
signing certificates, converted to mincrypt format using the DumpPublicKey
tool, and written to the /res/keys file. When RSA is used as the signature
algorithm, the keys are mincrypt’s RSAPublicKey structures, serialized as C
literals (as they would appear in a C source file), optionally preceded by a
version identifier that specifies the hash used when signing the OTA pack-
age and the RSA key public exponent of the key. The keys file may look like
Listing 13-4.
{64,0xc926ad21,{1795090719,...,3599964420},{3437017481,...,1175080310}},u
v2 {64,0x8d5069fb,{393856717,...,2415439245},{197742251,...,1715989778}},v
--snip--
Listing 13-4: Contents of the /res/keys file in the recovery OS

358 Chapter 13
Here, the first line u is a serialized version 1 key (implicit if a version
identifier is not specified), which has a public exponent e=3 and can be
used to verify signatures created using SHA-1; the second line v contains a
version 2 key that has a public exponent e = 65537 and is also used with SHA-1
signatures. The currently supported signature algorithms are 2048-bit RSA
with SHA-1 (key versions 1 and 2) or SHA-256 (key versions 3 and 4), and
ECDSA with SHA-256 (key version 5, available in AOSP’s mater branch)
and 256-bit EC keys using the NIST P-256 curve.
Starting the System Update Process
If the signature of the OTA package verifies, the recovery applies the sys-
tem update by executing the update command included in the OTA file.
The update command is saved in the META-INF/com/google/android/ direc-
tory of the recovery image as update-binary u, as shown in Listing 13-5.
.
|-- META-INF/
| |-- CERT.RSA
| |-- CERT.SF
| |-- com/
| | |-- android/
| | | |-- metadata
| | | `-- otacert
| | `-- google/
| | `-- android/
| | |-- update-binaryu
| | `-- updater-scriptv
| `-- MANIFEST.MF
|-- patch/
| |-- boot.img.p
| `-- system/
|-- radio.img.p
|-- recovery/
| |-- etc/
| | `-- install-recovery.sh
| `-- recovery-from-boot.p
`-- system/
|-- etc/
| |-- permissions/
| | `-- com.google.android.ble.xml
| `-- security/
| `-- cacerts/
|-- framework/
`-- lib/
Listing 13-5: Contents of a system update OTA package
The recovery extracts update-binary from the OTA file to /tmp/update_binary
and starts it, passing it three parameters: the recovery API version (version 3 as
of this writing); the file descriptor of a pipe that update-binary uses to com-
municate progress and messages back to the recovery; and the path to the
OTA package. The update-binary process in turn extracts the updater script,

System Updates and Root Access 359
included as META-INF/com/google/android/updater-script v in the OTA pack-
age, and evaluates it. The updater script is written in a dedicated scripting
language called edify (since version 1.6; previous versions used an older vari-
ant called amend). The edify language supports simple control structures
such as if and else, and is extensible via functions, which can also act as
control structures (by deciding which of their arguments to evaluate). The
updater script includes a sequence of function calls that trigger the opera-
tions necessary to apply the update.
Applying the Update
The edify implementation defines and registers various functions that are
used for copying, deleting, and patching files; formatting and mounting
volumes; setting file permissions and SELinux labels; and more. Table 13-2
shows a summary of the most often used edify functions.
Table 13-2: Summary of Important edify Functions
Function Name Description
abort Aborts the install process with an error message.
apply_patch Safely applies a binary patch. Ensures that the
patched file has the expected hash value, before
replacing the original. Can also patch disk
partitions.
apply_patch_check Checks if a file has the specified hash value.
assert Checks if a condition is true.
delete/delete_recursive Deletes a file/all files in a directory.
file_getprop Gets a system property from the specified
property file.
format Formats a volume with the specified filesystem.
getprop Gets a system property.
mount Mounts a volume at the specified path.
package_extract_dir Extracts the specified ZIP directory to a path on
the filesystem.
package_extract_file Extracts the specified ZIP file to a path on the
filesystem or returns it as a blob.
run_program Executes the specified program in a subprocess
and waits for it to finish.
set_metadata/set_metadata_recursive Sets the owner, group, permission bits, file
capabilities, and SELinux label on file/all files
in a directory.
show_progress Reports back progress to the parent process.
symlink Creates a symbolic link(s) to a target, deleting
existing symbolic link files first.
ui_print Sends a message back to the parent process.
umount Unmounts a mounted volume.
write_raw_image Writes a raw image to the specified disk partition.

360 Chapter 13
Listing 13-6 shows the (abbreviated) contents of a typical system update
edify script.
mount("ext4", "EMMC", "/dev/block/platform/msm_sdcc.1/by-name/system", "/system");
file_getprop("/system/build.prop", "ro.build.fingerprint") == "google/...:user/release-keys" ||
file_getprop("/system/build.prop", "ro.build.fingerprint") == "google/...:user/release-keys" ||
abort("Package expects build fingerprint of google/...:user/release-keys; this device has " +
getprop("ro.build.fingerprint") + ".");
getprop("ro.product.device") == "hammerhead" ||
abort("This package is for \"hammerhead\" devices; this is a \"" +
getprop("ro.product.device") + "\".");u
--snip--
apply_patch_check("/system/app/BasicDreams.apk", "f687...", "fdc5...") ||
abort("\"/system/app/BasicDreams.apk\" has unexpected contents.");v
set_progress(0.000063);
--snip--
apply_patch_check("EMMC:/dev/block/platform/msm_sdcc.1/by-name/boot:8835072:21...:8908800:a3...")
|| abort("\"EMMC:/dev/block/...\" has unexpected contents.");w
--snip--
ui_print("Removing unneeded files...");
delete("/system/etc/permissions/com.google.android.ble.xml",
--snip--
"/system/recovery.img");x
ui_print("Patching system files...");
apply_patch("/system/app/BasicDreams.apk", "-",
f69d..., 32445,
fdc5..., package_extract_file("patch/system/app/BasicDreams.apk.p"));y
--snip--
ui_print("Patching boot image...");
apply_patch("EMMC:/dev/block/platform/msm_sdcc.1/by-name/boot:8835072:2109...:8908800:a3bd...",
"-", a3bd..., 8908800,
2109..., package_extract_file("patch/boot.img.p"));z
--snip--
delete("/system/recovery-from-boot.p",
"/system/etc/install-recovery.sh");
ui_print("Unpacking new recovery...");
package_extract_dir("recovery", "/system");{
ui_print("Symlinks and permissions...");
set_metadata_recursive("/system", "uid", 0, "gid", 0, "dmode", 0755, "fmode", 0644,
"capabilities", 0x0, "selabel", "u:object_r:system_file:s0");|
--snip--
ui_print("Patching radio...");
apply_patch("EMMC:/dev/block/platform/msm_sdcc.1/by-name/modem:43058688:7493...:46499328:52a...",
"-", 52a5..., 46499328,
7493..., package_extract_file("radio.img.p"));}
--snip--
unmount("/system");~
Listing 13-6: Contents of updater-script in a full system update OTA package

System Updates and Root Access 361
Copying and Patching Files
The updater script first mounts the system partition, then checks to see if
the device model and its current build are what it expects u. This check
is required because trying to install a system update over an incompatible
build can leave a device in an unusable state. (This is often called a “soft
brick,” because it can usually be recovered by reflashing all partitions with
a working build; a “hard brick” cannot be recovered.)
Because an OTA update usually does not contain complete system files,
only binary patches against the previous version of each changed file (pro-
duced using bsdiff),4 applying an update can succeed only if each file-to-
be-patched is the same as the one used to produce the respective patch. To
ensure this, the updater script checks that the hash value of each file-to-be-
patched is one it expects using the apply_patch_check function v.
In addition to system files, the update process also patches partitions
that don’t contain a filesystem, such as the boot and modem partitions. To
guarantee that patching such partitions will succeed, the updater script
checks the contents of target partitions as well and aborts if they are not in
the expected state w. When all system files and partitions have been veri-
fied, the updater script deletes unnecessary files, as well as files that will be
replaced completely instead of being patched x. The script then goes on
to patch all system files y and partitions z. It then removes any previous
recovery patches and unpacks the new recovery in /system/ {.
Setting File Ownership, Permissions, and Security Labels
The next step is to set the user, owner, permissions, and file capabilities of
all created or patched files and directories using the set_metadata_recursive
function |. As of version 4.3, Android supports SELinux (see Chapter 12),
so all files must be properly labeled in order for access rules to be effective.
That is why the set_metadata_recursive function has been extended to set the
SELinux security label (the last parameter, u:object_r:system_file:s0 in |) of
files and directories.
Finishing the Update
Next, the updater script patches the device’s baseband software }, which
is typically stored in the modem partition. The final step of the script is to
unmount the system partition ~.
After the update-binary process exits, the recovery wipes the cache parti-
tion if it was started with the –wipe_cache option and copies the execution
logs to /cache/recovery/ so that they are accessible from the main OS. Finally,
if no errors are reported, the recovery clears the BCB and reboots into the
main OS.
4. Colin Percival, “Binary diff/patch utility,” http://www.daemonology.net/bsdiff/

362 Chapter 13
If the update process is aborted due to an error, the recovery reports
this to the user, and prompts them to reboot the device in order to try
again. Because the BCB has not been cleared, the device automatically
reboots in recovery mode, and the update process is started from scratch.
Updating the Recovery
If you examine the entire updater script in Listing 13-6 in detail, you’ll
notice that while it patches the boot z and modem } partitions and unpacks
a patch for the recovery partition { (which hosts the recovery OS), it does
not apply the unpacked patch. This is by design. Because an update can
be interrupted at any moment, the update process needs to be restarted
from the same state the next time the device is powered on. If, for example,
power is interrupted while writing to the recovery partition, updating the
recovery OS would change that initial state and might leave the system in an
unusable condition. Therefore, the recovery OS is updated from the main
OS only when the main OS update has completed and the main OS boots
successfully.
The update is triggered by the flash_recovery service in Android’s init.rc
file, as shown in Listing 13-7.
--snip--
service flash_recovery /system/etc/install-recovery.shu
class main
oneshot
--snip--
Listing 13-7: Definition of the flash_recovery service in init.rc
As you can see, this service simply starts the /system/etc/install-recovery.sh
shell script u. The shell script, along with a patch file for the recovery parti-
tion, is copied by the OTA updater script ({ in Listing 13-6) if the recov-
ery requires an update. The contents of install-recovery.sh might look like
Listing 13-8.
#!/system/bin/sh
if ! applypatch -c EMMC:/dev/block/platform/msm_sdcc.1/by-name/recovery:9506816:3e90...; thenu
log -t recovery "Installing new recovery image"
applypatch -b /system/etc/recovery-resource.dat \
EMMC:/dev/block/platform/msm_sdcc.1/by-name/boot:8908800:a3bd... \
EMMC:/dev/block/platform/msm_sdcc.1/by-name/recovery \
3e90... 9506816 a3bd...:/system/recovery-from-boot.pv
else
log -t recovery "Recovery image already installed"w
fi
Listing 13-8: Contents of install-recovery.sh
The script uses the applypatch command to check whether the recovery OS
needs to be patched by checking the hash value of the recovery partition u.
If the hash of the device’s recovery partition matches the hash of the version

System Updates and Root Access 363
against which the patch was created, the script applies the patch v. If the
recovery has already been updated or has an unknown hash, the script logs
a message and exits w.
Custom Recoveries
A custom recovery is a recovery OS build created by a third party (not
the device manufacturer). Because it is created by a third party, a cus-
tom recovery is not signed with the manufacturer’s keys, and therefore
a device’s bootloader needs to be unlocked in order to boot or flash it.
A custom recovery can be booted without installing it on the device with
the fastboot boot custom-recovery.img command, or it may be permanently
flashed using the fastboot flash recovery custom-recovery.img command.
A custom recovery provides advanced functionality that is typically not
available in stock recoveries, such as full partition backup and restore, a
root shell with a full set of device management utilities, support for mount-
ing external USB devices, and so on. A custom recovery can also disable
OTA package signature checking, which allows for installing third-party OS
builds or modification, such as framework or theme customizations.
Various custom recoveries are
available, but as of this writing, by
far the most full-featured and actively
maintained is the Team Win Recovery
Project (TWRP).5 It is based on the
AOSP stock recovery and is also an
open source project.6 TWRP has a
theme-able, touch screen interface
that is very similar to the native
Android UI. It supports encrypted
partition backups, installing system
updates from USB devices, and backup
and restore to/from external devices,
and it has an integrated file manager.
The startup screen of TWRP ver-
sion 2.7 is shown in Figure 13-5.
Like the stock AOSP recovery,
custom recoveries can be controlled
from the main OS. In addition to pass-
ing parameters via the /cache/recovery/
command file, custom recoveries usually
allow some (or all) of their extended
features to be triggered from the main
OS. For example, TWRP supports a
minimal scripting language, which
5. TeamWin, “TWRP 2.7,” http://teamw.in/project/twrp2/
6. TeamWin, “Team Win Recovery Project (TWRP),” https://github.com/TeamWin/
Team-Win-Recovery-Project/
Figure 13-5: TWRP recovery startup
screen

364 Chapter 13
describes what recovery actions should be executed upon booting the recov-
ery. This allows Android apps to queue recovery commands via a convenient
GUI interface. For example, requesting a compressed backup of the boot,
userdata, and system partitions generates the script shown in Listing 13-9.
# cat /cache/recovery/openrecoveryscript
backup DSBOM 2014-12-14--01-54-59
Listing 13-9: TWRP backup script example
WARNING Permanently flashing a custom recovery that has an option to ignore OTA package
signatures might allow the system software of your device to be replaced and back-
doored given brief physical access to the devices. Therefore, it is not recommended to
flash a custom recovery on a device you use daily and which stores personal or sensi-
tive information.
Root Access
Android’s security model applies the principle of least privilege and strives
to isolate system and app processes from each other by running each pro-
cess as a dedicated user. However, Android is also based on a Linux kernel,
which implements a standard Unix-style DAC (unless SELinux is enabled;
see Chapter 12).
One of the greatest shortcomings of this DAC security model is that a
certain system user, typically called root (UID=0), also known as the superuser,
is given absolute power over the system. Root can read, write, and change
the permission bits of any file or directory; kill any process; mount and
unmount volumes; and so on. While such unconstrained permissions are
necessary for managing a traditional Linux system, having superuser access
on an Android device allows one to effectively bypass Android’s sandbox,
and read or write the private files of any application.
Root access also allows changing the system configuration by modifying
partitions that are designed to be read-only, starting or stopping system ser-
vices at will, and removing or disabling core system applications. This can
adversely affect the stability of a device, or even render it unusable, which is
why root access is typically not allowed on production devices.
Furthermore, Android tries to limit the number of system processes that
execute as root, because a programming error in any such process can open
the doors to privilege escalation attacks, which could result in third-party
applications gaining root access. With the deployment of SELinux in enforc-
ing mode, processes are limited by the global security policy, and therefore
compromising a root process does not necessarily grant unrestricted access
to a device but could still allow access to sensitive data or allow modifying
system behavior. Additionally, even a process constrained by SELinux could
exploit a kernel vulnerability in order to circumvent the security policy or
otherwise obtain unrestricted root access.
System Updates and Root Access 365
With all that said, root access could be very convenient for debugging
or reverse engineering applications on development devices. Additionally,
while allowing root access to third-party applications does compromise
Android’s security model, it also allows various system customizations that
are typically not available on production devices to be performed.
Because one of Android’s biggest selling points has always been its
ease of customization, the demand for ever greater flexibility via modifying
the core OS (also called modding), has always been high, especially during
Android’s early years. Besides customizing the system, having root access on
an Android device allows for the implementation of applications that are
not possible without modifying the framework and adding system services,
such as firewalls, full device backup, network sharing, and so on.
In the following sections, we describe how root access is implemented
in development (engineering) Android builds and custom Android builds
(ROMs), and how it can be added to production builds. We then show how
apps that require superuser access (typically called root apps) can request
and use root privileges in order to execute processes as root.
Root Access on Engineering Builds
Android’s build system can produce several build variants for a particular
device that differ by the number of applications and utilities included, as
well as by the values of several key system properties that modify system
behavior. Some of these build variants allow root access from the Android
shell, as we’ll show in the following sections.
Starting ADB as Root
Commercial devices use the user build variant (the current build variant is
set as the value of the ro.build.type system property), which doesn’t include
diagnostics and development tools, disables the ADB daemon by default,
disallows debugging of applications that don’t explicitly set the debuggable
attribute to true in their manifests, and disallows root access via the shell.
The userdebug build variant is very close to user, but it also includes some
additional modules (those with the debug module tag), allows debugging of
all apps, and enables ADB by default.
Engineering, or eng, builds include most available modules, allow debug-
ging, enable ADB by default, and set the ro.secure system property to 0, which
changes the behavior of the ADB daemon running on a device. When set
to 1 (secure mode), the adbd process, which initially runs as root, drops all
capabilities from its capability bounding set with the exception of CAP_SETUID
and CAP_SETGID (which are required to implement the run-as utility). It then
adds several supplementary GIDs that are required to access network inter-
faces, external storage, and system logs, and finally changes its UID and
GID to AID_SHELL (UID=2000). On the other hand, when ro.secure is set to 0
(the default for engineering builds), the adbd daemon continues to run as
root and has the full capability bounding set. Listing 13-10 shows the pro-
cess IDs and capabilities for the adbd process on a user build.

366 Chapter 13
$ getprop ro.build.type
user
$ getprop ro.secure
1
$ ps|grep adb
shell 200 1 4588 220 ffffffff 00000000 S /sbin/adbd
$ cat /proc/200/status
Name: adbd
State: S (sleeping)
Tgid: 200
Pid: 200
Ppid: 1
TracerPid: 0
Uid: 2000 2000 2000 2000u
Gid: 2000 2000 2000 2000v
FDSize: 32
Groups: 1003 1004 1007 1011 1015 1028 3001 3002 3003 3006w
--snip--
CapInh: 0000000000000000
CapPrm: 0000000000000000
CapEff: 0000000000000000
CapBnd: fffffff0000000c0x
--snip--
Listing 13-10: adbd process details on a user build
As you can see, the process’s UID u and GID v are both set to 2000
(AID_SHELL), and the adbd process has a number of supplementary GIDs
added w. Finally, the process’s capability bounding set, which determines
what capabilities child processes are allowed, is set to 0x0000000c0
(CAP_SETUID|CAP_SETGID) x. This capability setting guarantees that, on user
builds, processes started from Android’s shell are limited to the CAP_SETUID
and CAP_SETGID capabilities, even if the executed binary has the SUID bit set,
or its file capabilities permit additional privileges.
In contrast, on an eng or userdebug build, the ADB daemon can execute
as root, as shown in Listing 13-11.
# getprop ro.build.type
userdebugu
# getprop ro.secure
1v
# ps|grep adb
root 19979 1 4656 264 ffffffff 0001fd1c S /sbin/adbd
root@maguro:/ # cat /proc/19979/status
Name: adbd
State: S (sleeping)
Tgid: 19979
Pid: 19979
Ppid: 1
TracerPid: 0
Uid: 0 0 0 0w
Gid: 0 0 0 0x
FDSize: 256

System Updates and Root Access 367
Groups:y
--snip--
CapInh: 0000000000000000
CapPrm: ffffffffffffffffz
CapEff: ffffffffffffffff{
CapBnd: ffffffffffffffff|
--snip--
Listing 13-11: adbd process details on an eng build
Here, the adbd process runs with UID w and GID x 0 (root), has no
supplementary groups y, and has the full set of Linux capabilities (z, {,
and |). However, as you can see at v, the ro.secure system property is set to 1,
which suggests that adbd should not be running as root.
While the ADB daemon does drop its root privileges on userdebug builds
(as in this example, u), it can be manually restarted in insecure mode by
issuing the adb root command from a host, as shown in Listing 13-12.
$ adb shell id
uid=2000(shell) gid=2000(shell)u groups=1003(graphics),1004(input),1007
(log),1009(mount),1011(adb),1015(sdcard_rw),1028(sdcard_r),3001(net_bt_
admin),3002(net_bt),3003(inet),3006(net_bw_stats) context=u:r:shell:s0
$ adb rootv
restarting adbd as root
$ adb shell ps|grep adb
root 2734 1 4644 216 ffffffff 0001fbec R /sbin/adbdw
$ adb shell id
uid=0(root) gid=0(root) context=u:r:shell:s0x
Listing 13-12: Restarting adbd as root on userdebug builds
Here, the adbd daemon is initially running as shell (UID=2000), and
any shells started from the host also have UID=2000 and GID=2000 u.
Issuing the adb root command v (which internally sets the service.adb.root
system property to 1) restarts the ADB daemon as root w, and any subse-
quently started shells have UID and GUID=0 x.
NOTE Because this particular device has SELinux enabled, even though the UID and GID
of the shell change, its security context (security label) stays the same: u:r:shell:s0
in both u and x. Therefore, even after obtaining a root shell via ADB, all processes
started from the shell are still bound by the permissions granted to the shell domain
(unless allowed to transition to another domain by the MAC policy; see Chapter 12
for details). In practice, as of Android 4.4, the shell domain is unconfined, so when
running as root, processes in this domain are allowed almost full control over the device.
Using the su Command
On userdebug builds, root access can also be obtained without restarting
ADB as root. This can be accomplished using the su (short for substitute user,
also referred to as switch user and superuser) command, which is installed
with the SUID bit set, thus allowing calling processes to obtain a root

368 Chapter 13
shell or execute a command as the specified UID (including UID=0). The
default su implementation is very basic and only allows the root and shell
users to use it, as shown in Listing 13-13.
int main(int argc, char **argv)
{
--snip--
myuid = getuid();
if (myuid != AID_ROOT && myuid != AID_SHELL) {u
fprintf(stderr,"su: uid %d not allowed to su\n", myuid);
return 1;
}
if(argc < 2) {
uid = gid = 0;v
} else {
--snip--
}
if(setgid(gid) || setuid(uid)) {w
fprintf(stderr,"su: permission denied\n");
return 1;
}
--snip--
execlp("/system/bin/sh", "sh", NULL);x
fprintf(stderr, "su: exec failed\n");
return 1;
}
Listing 13-13: Default su implementation for userdebug builds
The main function first checks whether the calling UID is AID_ROOT (0)
or AID_SHELL (2000) u, and exits if called by a user with a different UID. It
then sets the process UID and GID to 0 (v and w), and finally starts the
Android shell x. Any commands executed from this shell inherit its privi-
leges by default, thus allowing superuser access to the device.
Root Access on Production Builds
As we learned in “Root Access on Engineering Builds” on page 365, com-
mercial Android devices are usually based on the user build variant. This
means that the ADB daemon is running as the shell user, and no su command
is installed on the device.
This is a secure configuration, and most users should be able to achieve
their device configuration and customization tasks with the tools provided
by the platform, or with third-party applications such as custom launchers,

System Updates and Root Access 369
keyboards, or VPN clients. However, operations that modify the look and
feel or core configuration of Android are not possible, and neither is low-
level access to the underlying Linux OS. Such operations can only be per-
formed by running certain commands with root privileges, which is why
many power users seek to enable root access on their devices.
Obtaining root access on an Android device is commonly known as root-
ing and can be fairly simple on devices that have an unlockable bootloader
or nearly impossible on devices that don’t allow bootloader unlocking and
take additional measures to prevent system partition modifications. In the
next sections, we describe the typical rooting process and introduce some
of the most popular “superuser” apps that enable and manage root access.
Rooting by Changing the boot or system Image
On some Android devices, given an unlocked bootloader, a user build can
easily be turned into an engineering or userdebug build by simply flashing a
new boot image (often called a kernel, or custom kernel), which changes the
values of the ro.secure and ro.debuggable system properties. Changing these
properties allows the ADB daemon to execute as root and enables root
access via the Android shell, as described in“Root Access on Engineering
Builds” on page 365. However, most current Android user builds disable
this behavior at compile time (by not defining the ALLOW_ADBD_ROOT macro)
and the values of the ro.secure and ro.debuggable system properties are
ignored by the adbd daemon.
Another way to enable root access is to unpack the system image, add
a SUID su binary or a similar utility, and overwrite the system partition with
the new system image. This would typically allow root access not only from
the shell, but from third-party applications as well. However, several secu-
rity enhancements in Android 4.37 and later versions disallow apps from
executing SUID programs by dropping all capabilities from the bounding
set of Zygote-spawned processes, and mounting the system partition with the
nosetuid flag.
Additionally, on Android versions that set SELinux to enforcing mode,
executing a process with root privileges does not typically change its secu-
rity context, and such a process is still limited by the MAC policy. For these
reasons, enabling root access on a recent Android version may not be as
simple as changing a few system properties or copying a SUID binary to
the device. Of course, replacing the boot or system image allows SELinux to
be disabled and any security mitigation to be reverted, thus relaxing the
device’s security level and enabling root access. However, such a radical
approach is not unlike replacing the whole OS and may prevent the device
from receiving system updates from the device manufacturer. This is unde-
sirable in most cases, and several root methods that try to coexist with the
stock OS of the device have been developed.
7. Google, “Security Enhancements in Android 4.3,” http://source.android.com/devices/tech/
security/enhancements43.html

370 Chapter 13
Rooting by Flashing an OTA Package
An OTA package can add or modify system files, without replacing the
whole OS image, and is therefore a good candidate for adding root access
to a device. Most popular superuser apps are distributed as a combination
of an OTA package, which needs to be installed once, and a companion
manager application, which can be updated online.
SuperSU
We’ll use the SuperSU OTA package8 and app9 (developed by Jorrit “Chainfire”
Jongma) to demonstrate how this approach works. SuperSU is currently the
most popular superuser application and is actively maintained, keeping in
step with the latest modifications to the Android platform. The SuperSU
OTA package is similar in structure to a full system update package but
contains only a small number of files, as shown in Listing 13-14.
.
|-- arm/u
| |-- chattr
| |-- chattr.pie
| `-- su
|-- common/
| |-- 99SuperSUDaemonv
| |-- install-recovery.shw
| `-- Superuser.apkx
|-- META-INF/
| |-- CERT.RSA
| |-- CERT.SF
| |-- com/
| | `-- google/
| | `-- android/
| | |-- update-binaryy
| | `-- updater-scriptz
| `-- MANIFEST.MF
`-- x86/{
|-- chattr
|-- chattr.pie
`-- su
Listing 13-14: Contents of the SuperSU OTA package
The package contains a few native binaries compiled for the ARM u
and x86 { platforms, scripts for starting and installing the SuperSU dae-
mon (v and w), the APK file of the management GUI application x, and
two updater scripts (y and z) that apply the OTA package.
In order to understand how SuperSU enables root access, we need to
first examine its install process. To do so, let’s analyze the contents of the
8. Jorrit “Chainfire” Jongma, “CF-Root download page,” http://download.chainfire.eu/supersu/
9. Jorrit “Chainfire” Jongma, “Google Play Apps: SuperSU,” https://play.google.com/store/apps/
details?id=eu.chainfire.supersu&hl=en

System Updates and Root Access 371
update-binary script y, shown in Listing 13-15. (SuperSU uses a regular shell
script instead of a native binary, so updater-script is simply a placeholder.)
#!/sbin/sh
--snip--
ui_print "- Mounting /system, /data and rootfs"u
mount /system
mount /data
mount -o rw,remount /system
--snip--
mount -o rw,remount /
--snip--
ui_print "- Extracting files"v
cd /tmp
mkdir supersu
cd supersu
unzip -o "$ZIP"
--snip--
ui_print "- Placing files"
mkdir /system/bin/.ext
cp $BIN/su /system/xbin/daemonsuw
cp $BIN/su /system/xbin/su
--snip--
cp $COM/Superuser.apk /system/app/Superuser.apkx
cp $COM/install-recovery.sh /system/etc/install-recovery.shy
cp $COM/99SuperSUDaemon /system/etc/init.d/99SuperSUDaemon
echo 1 > /system/etc/.installed_su_daemon
--snip--
ui_print "- Setting permissions"
set_perm 0 0 0777 /system/bin/.extz
set_perm 0 0 $SUMOD /system/bin/.ext/.su
set_perm 0 0 $SUMOD /system/xbin/su
--snip--
set_perm 0 0 0755 /system/xbin/daemonsu
--snip--
ch_con /system/bin/.ext/.su{
ch_con /system/xbin/su
--snip--
ch_con /system/xbin/daemonsu
--snip--
ui_print "- Post-installation script"
/system/xbin/su --install|
ui_print "- Unmounting /system and /data"}
umount /system
umount /data
ui_print "- Done !"
exit 0
Listing 13-15: SuperSU OTA install script

372 Chapter 13
The update script first mounts the rootfs filesystem and the system and
userdata partitions in read-write mode u, and then it extracts v and copies
the included files to their intended locations on the filesystem. The su and
daemonsu native binaries w are copied to /system/xbin/, which is the usual
location of extra native binaries (binaries that are not necessary for run-
ning the Android OS). The root access management application is copied
to /system/app/ x and is automatically installed by the package manager
when the device reboots. Next, the update script copies the install-recovery.sh
script to /system/etc/ y.
NOTE As discussed in “Updating the Recovery” on page 362, this script is typically used
to update the recovery image from the main OS, so you might be wondering why the
SuperSU install is trying to update the recovery of the device. SuperSU uses this script
to start some of its components at boot time, which we’ll discuss shortly.
The next step of the OTA package install process is to set the per-
missions z and SELinux security labels { of the installed binaries
(ch_con is a shell function that calls the chcon SELinux utility and sets the
u:object_r:system_file:s0 label). Finally, the script calls the su command with
the --install option | in order to perform some post-install initialization,
and then unmounts /system and /data }. When the script exits successfully,
the recovery reboots the device into the main Android OS.
How SuperSU Is Initialized
To understand how SuperSU is initialized, let’s look at the contents of the
install-recovery.sh script (see Listing 13-16, with comments omitted), which is
automatically executed by init on boot.
#!/system/bin/sh
/system/xbin/daemonsu --auto-daemon &u
/system/etc/install-recovery-2.shv
Listing 13-16: Contents of SuperSU’s install-recovery.sh script
The script first executes the daemonsu binary u, which starts a daemon
process with root privileges. The next step executes the install-recovery-2.sh
script v, which may be used to perform additional initialization, necessary
for other root apps. Using a daemon in order to allow apps to execute code
with root privileges is required in Android 4.3 and later, because all apps
(which are forked from zygote) have their capability bounding set zeroed
out, thus preventing them from executing privileged operations, even if
they manage to start a process as root. Additionally, as of Android 4.4,
SELinux is in enforcing mode, so any processes started by an application
inherit its security context (typically untrusted_app), and therefore are sub-
ject to the same MAC restrictions as the app itself.
SuperSU gets around these security restrictions by having apps use
the su binary to execute commands as root, which in turn pipes those
commands via a Unix domain socket to the daemonsu daemon, which

System Updates and Root Access 373
ultimately executes the received commands as root within the u:r:init:s0
SELinux context. The processes in play are illustrated in Listing 13-17.
$ ps -Z
LABEL USER PID PPID NAME
u:r:init:s0 root 1 0 /initu
--snip--
u:r:zygote:s0 root 187 1 zygotev
--snip--
u:r:init:s0 root 209 1 daemonsu:mount:masterw
u:r:init:s0 root 210 209 daemonsu:masterx
--snip--
u:r:init:s0 root 3969 210 daemonsu:10292y
--snip--
u:r:untrusted_app:s0 u0_a292 13637 187 com.example.appz
u:r:untrusted_app:s0 u0_a209 15256 187 eu.chainfire.supersu{
--snip--
u:r:untrusted_app:s0 u0_a292 16831 13637 su|
u:r:init:s0 root 16835 3969 /system/bin/sleep}
Listing 13-17: Processes started when an app requests root access via SuperSU
Here, the com.example.app app z (whose parent process is zygote v)
requests root access by passing a command to the su binary using its
-c option. As you can see, the su process | executes as the same user
(u0_a292, UID=10292) and in the same SELinux domain (untrusted_app)
as the requesting app. However, the process } of the command the app
requested to be executed as root (sleep
in this example) indeed executes as
root in the init SELinux domain (secu-
rity context u:r:init:s0). If we trace its
parent PID (PPID, in the fourth col-
umn), we find that the sleep process is
started by the daemonsu:10292 pro-
cess y, which is a daemonsu instance
dedicated to our example app (with
UID=10292). The daemonsu:10292
process y inherits its init SELinux
domain from the daemonsu:master
instance x, which is in turn started by
the first daemonsu instance w. This is the
instance started via the install-recovery.sh
script (see Listing 13-16), and it runs
within the domain of its parent—the init
process u (PID=1).
The eu.chainfire.supersu process {
belongs to the SuperSU management
application, which shows the root access
grant dialog shown in Figure 13-6.
Figure 13-6: SuperSU root access
request grant dialog

374 Chapter 13
Superuser access can be granted one time only, for a certain period of
time, or permanently. SuperSU keeps an internal whitelist of apps that have
been granted root access and does not show the grant dialog if the request-
ing app is already in the whitelist.
NOTE SuperSU has a companion library, libsuperuser,10 which makes it easier to write
root apps by providing Java wrappers for the different patterns of calling the su binary.
The author of SuperSU also provides a comprehensive guide to writing root apps
called How-To SU.11
Root Access on Custom ROMs
Custom ROMs that provide root access don’t have to go through install-recovery
.sh in order to start their superuser daemon (equivalent to SuperSU’s
daemonsu) because they can customize the startup process at will. For
example, the popular CyanogenMod open source Android distribution
starts its su daemon from init.superuser.rc, as shown in Listing 13-18.
service su_daemon /system/xbin/su --daemonu
oneshot
on property:persist.sys.root_access=0v
stop su_daemon
on property:persist.sys.root_access=2w
stop su_daemon
on property:persist.sys.root_access=1x
start su_daemon
on property:persist.sys.root_access=3y
start su_daemon
Listing 13-18: Startup script for the su daemon in CyanogenMod
This init script defines the su_daemon service u, which can be started
or stopped by changing the value of the persist.sys.root_access persistent system
property (v through y). The value of this property also determines whether
root access should be granted only to apps, ADB shells, or both. Root access is
disabled by default and can be configured via CyanogenMod’s Development
options, as shown in Figure 13-7.
WARNING While SuperSU and custom ROMs that allow root access take certain measures to
regulate what apps are allowed to execute commands as root (usually by adding them
to a whitelist), an implementation flaw could allow apps to bypass these measures and
obtain root access without user confirmation. Therefore, root access should be disabled
on everyday-use devices and used only when necessary for development or debugging.
10. Jorrit “Chainfire” Jongma, libsuperuser, https://github.com/Chainfire/libsuperuser/
11. Jorrit “Chainfire” Jongma, “How-To SU Guidelines for problem-free su usage,” http://
su.chainfire.eu/

System Updates and Root Access 375
Figure 13-7: CyanogenMod root access
options
Rooting via Exploits
On production devices that don’t have an unlockable bootloader, root
access can be obtained by exploiting a privilege escalation vulnerability,
which allows an app or shell process to start a root shell (also called soft root)
and modify the system. The exploits are typically packaged into “one-click”
apps or scripts, which try to persist root access by installing a su binary
or modifying system configuration. For example, the so-called towelroot
exploit (which is distributed as an Android app) takes advantage of a vul-
nerability in the Linux kernel (CVE-2014-3153) to obtain root access and
installs SuperSU in order to persist it. (Root access can also be persisted
by overwriting the recovery partition with a custom recovery, thus allowing
the installation of arbitrary software, including superuser applications.
However, some devices have additional protections that prevent modifica-
tions to the boot, system, and recovery partitions, so permanent root access
might not be possible.)
NOTE See Chapter 3 of the Android Hacker’s Handbook (Wiley, 2014) for a detailed
description of the major privilege-escalation vulnerabilities that have been used to
obtain root access in various Android versions. Chapter 12 of the same book intro-
duces the main exploit-mitigation techniques that have been implemented in Android
in order to prevent privilege-escalation attacks and generally harden the system.
376 Chapter 13
Summary
In order to allow for updating the system software or returning a device to
its factory state, Android devices allow unrestricted, low-level access to their
storage via the bootloader. The bootloader typically implements a manage-
ment protocol, usually fastboot, that allows for transferring and flashing
partition images from a host machine. Bootloaders on production devices
are usually locked and allow flashing only of signed images. However, most
bootloaders can be unlocked, thus allowing flashing images from third parties.
Android uses a dedicated partition to store a second, minimal OS,
called a recovery, which is used to apply OTA update packages or clear all
data on the device. Like bootloaders, recoveries on production devices typi-
cally allow applying only those OTA packages signed by the device manu-
facturer. If the bootloader is unlocked, a custom recovery, which allows
installing updates signed by third parties or completely forgoes signature
verification, can be booted or permanently installed.
Engineering or debug builds of Android allow root access via the
Android shell, but root access is typically disabled on production devices.
Root access on such devices can be enabled by installing a third-party OTA
package that includes a “superuser” daemon and a companion applica-
tion that allow controlled root access to applications. Third-party Android
builds (ROMs) typically allow root access out of the box, although it can
also be disabled via the system settings interface.
Numbers
2FA (two-factor authentication), 207
A
A_AUTH messages, 281
abort function, 359
AbstractAccountAuthenticator class,
194, 202, 203
accept() method, 152
ACCESS_ALL_EXTERNAL_STORAGE
permission, 26
access control lists (ACLs), 7
ACCESS_KEYGUARD_SECURE_STORAGE
permission, 274
ACCESS_SURFACE_FLINGER permission, 27
access vectors (AVs), 326
rules, 329–330
allow rule, 329
auditallow rule, 330
dontaudit rule, 330
neverallow rule, 330
AccountAuthenticatorCache class,
194, 195
AccountAuthenticator.xml file, 195
account management
AccountManager class, 193
AccountManagerService
listing and authenticating
accounts, 196
managing accounts, 196 –197
overview, 193
requesting authentication
token access, 198
using account credentials, 197
accounts database
password security, 201
table access, 200–201
table schema, 199–200
authenticator modules
adding, 203–205
cache, 194–195
overview, 194
Google accounts
ClientLogin protocol,
209–210
Google Account Manager,
206–209
Google Login Service,
206–209
Google Play Services, 211–213
OAuth 2.0, 210–212
overview, 206
multi-user support
overview, 201–202
per-user account
databases, 202
shared accounts, 202–203
overview, 192–193
AccountManager class, 94, 112, 192, 193
ACCOUNT_MANAGER permission, 194
AccountManagerService
listing and authenticating
accounts, 196
managing accounts, 196 –197
overview, 193
requesting authentication token
access, 198
using account credentials, 197
accounts database
password security, 201
table access, 200–201
table schema, 199–200
accounts.db file, 99
ACLs (access control lists), 7
ACTION_ADD_DEVICE_ADMIN intent
action, 219
ACTION_DEVICE_ADMIN_ENABLED intent
action, 224
ACTION_GET_RESTRICTION_ENTRIES intent
action, 94
ACTION_NDEF_DISCOVERED intent
action, 291
INDEX
378 Index
ACTION_PACKAGE_ADDED broadcast, 72
ACTION_PASSWORD_FAILED broadcast, 221
ACTION_PASSWORD_SUCCEEDED
broadcast, 221
ACTION_SET_NEW_PASSWORD action, 221
ACTION_START_ENCRYPTION intent
action, 223
ACTION_TAG_DISCOVERED intent action, 291
ACTION_TECH_DISCOVERED intent
action, 291
<active-password> tag, 221
activities
app architecture, 11
permissions, 44–45
enforcement, 36
ActivityManagerService, 49
ADB (Android Debug Bridge), 17, 64,
277–283
authentication keys, 282
daemon overview, 277–279
implementation, 281–282
need for secure, 279–280
root access
on engineering builds,
365–367
on production builds, 368–369
securing, 280
verifying host key fingerprint,
282–283
ADB_AUTH_RSAPUBLICKEY argument, 281
ADB_AUTH_SIGNATURE argument, 281
ADB_AUTH_TOKEN argument, 281
adbd (ADB) daemon, 277–278. See
also ADB
adb install command, 61, 76–78
adb push command, 76
adb reboot bootloader command, 350
adb reboot recovery command, 354
adb restore command, 284
adb shell command, 110
adb sideload OTA-package-file
command, 357
ADB_TRACE environment variable, 279
ADB_VENDOR_KEYS environment
variable, 282
addAccountExplicitly() method, 196,
203, 204
addAccountFromCredentials()
method, 202
addAccount() method, 196, 203
addNetwork() method, 248
addPermission() method, 43
addProvider() method, 118, 143
ADT (Android Development Tools)
Eclipse plugin, 278
Advanced Security SD (ASSD)
cards, 298
AEAD (Authenticated Encryption
with Associated Data), 125
AES algorithm, 120, 125, 132, 138,
139, 141, 175, 286–287
AIA (Authority Information
Access), 162
AID (Application Identifier), 304–
305, 312–314
<aid-group> tag, 312, 315
AIDL (Android Interface Definition
Language), 6
airplane mode, 92
--algo parameter, 77
algorithm parameter, 120
aliases() method, 135
allowBackup attribute, 284, 287
allow rule, 329
always-on VPN configuration,
235–236
Android Beam feature, 295
Android Debug Bridge. See ADB
Android Development Tools (ADT)
Eclipse plugin, 278
Android Interface Definition
Language (AIDL), 6
AndroidKeyStoreProvider, 188 –189
Android Mainlining Project, 2
AndroidManifest.xml file
overview, 11
permission requests in, 14, 15, 23
protected broadcasts in, 38
verifying packages and, 67
Android Master Key, 67
Android Open Source Project
(AOSP), 39, 344
AndroidOpenSSL provider,
140–142, 156
Android Runtime (ART), 69
ANDROID_SDK_HOME environment
variable, 282
Android Secure External Caches
(ASEC) containers, 76, 81
Index 379
ANNSI intermediate CA incident, 167
AOSP (Android Open Source
Project), 39, 344
APDU_RECIEVED broadcast, 302
APDUs (Application Protocol Data
Units), 302–305, 311–315
specifying routing
for SE applets, 313–315
for HCE services, 312–314
APKs
code signing and, 16
Dalvik VM and, 3
appdomain domain, 345–346
app_domain() macro, 345
app ID, 12
application-based VPNs, 236–239
declaring, 237–238
establishing connection, 238
notifying user about connection,
238–239
preparing, 238
Application Identifier (AID), 304–
305, 312–314
Application Protocol Data Units.
See APDUs
application/vnd.android.package
-archive MIME type, 52
apply_patch_check function, 359, 361
applypatch command, 362
apply_patch function, 359
apps
activities, 11
broadcast receivers, 12
components of, 11
content providers, 12
multi-user support, 92
sandboxing, 12–14
services, 11–12
system, 10
user-installed, 11, 63
user management
application sharing, 101–104
data directories, 100–101
overview, 99
ARC4 algorithm, 138, 139, 141, 229
architecture
apps
activities, 11
broadcast receivers, 12
content providers, 12
components, 11
services, 11–12
system, 10
user-installed, 11
Binder
accessing objects, 8–9
capability-based security, 7
death notification, 9
implementation, 5–6
object identity, 7
overview, 5
reference counting, 9
security, 6–7
tokens, 7–8
Dalvik VM, 3–4
framework libraries, 10
inter-process communication,
4–5
Java runtime libraries, 4
JCA
dynamic provider registration,
118–119
overview, 116 –117
provider implementation,
117–118
static provider
registration, 118
Linux kernel, 2
native userspace layer, 2–3
system services, 4
ART (Android Runtime), 69
ASEC (Android Secure External
Caches) containers, 76, 81
asec mount command, 81
asec path command, 81
asec unmount command, 81
ASSD (Advanced Security SD)
cards, 298
assert function, 359
assigning permissions, 26–28
asymmetric encryption, 122, 123
AT commands, 297
attribute statement, 325
auditallow rule, 330, 340
AUTHENTICATE_ACCOUNTS permission,
196, 204
Authenticated Encryption with
Associated Data
(AEAD), 125
380 Index
authenticator modules
account management and, 192
adding, 203–205
cache, 194–195
overview, 194
Authority Information Access
(AIA), 162
authtokens table, 199, 201
AVs. See access vectors
B
backdoors, 83
backup framework, 283–288
cloud backup, 283
controlling scope, 287–288
encryption, 286–287
file format, 284–286
local backup, 283–284
BackupManagerService, 284, 285–286
BCB (bootloader control block), 356
BIND_DEVICE_ADMIN permission, 45, 224
Binder
accessing objects, 8–9
capability-based security, 7
death notification, 9
implementation, 5–6
keystore service and, 174
object identity, 7
overview, 5
permissions and, 34
reference counting, 9
security, 6–7
tokens, 7–8
BIND_NFC_SERVICE permission, 311, 317
--bind parameter, 106
BKS (Bouncy Castle KeyStore),
134, 139
blacklisting certificates
Android, 164–166
handling CA key
compromises, 163
handling EE key compromises,
163–164
block cipher modes, 124–125
BLOWFISH algorithm, 138, 139
Bluetooth, 92
BOOT_COMPLETED broadcast, 37
bootloader control block (BCB), 356
bootloader program, 252–253,
350–354
fastboot mode, 352–354
commands, 353–354
partition layout, 352–353
protocol, 353
unlocking, 18, 350–352
Bouncy Castle KeyStore (BKS),
134, 139
Bouncy Castle provider, 137–140
broadcasts
permissions, 45–46
permissions enforcement, 37
receivers, 12
user management and, 95–96
BROADCAST_STICKY permission, 37
brute-force attacks, 276–277
C
CA (certificate authority)
defined, 147
handling compromises, 163
installing certificates, 183–184
private, 148
camera, disabling, 223
CAMERA permission, 25
CameraService, 223
capability-based security, 7
CAP_CHOWN capability, 65
CAP_DAC_OVERRIDE capability, 65
CAP_KILL capability, 329
CAP_NET_ADMIN capability, 31
CAP_NET_RAW capability, 31
CAP_SETGID capability, 365–366
CAP_SETUID capability, 365–366
CAP_SYS_ADMIN capability, 330
CAP_SYS_PTRACE capability, 329
card emulation (CE) mode, 290, 295
category attribute, 312
CBC (Cipher-block chaining),
124, 259
CDD (Compatibility Definition
Document), 105
CDP (CRL Distribution Point), 162
CE (card emulation) mode, 290, 295
certificate authority. See CA
CertificateException, 162, 170
CertificateFactory class, 135–136, 138
certificate revocation list (CRL), 150
Index 381
certificates
Android, 164–166
blacklisting
handling CA key
compromises, 163
handling EE key
compromises, 163–164
certificate pinning, 168–170
deleting, 185
direct trust and private CAs, 148
EAP credentials, 172–173
installing CA, 183–184
management of
Android 4.x system trust store,
157–158
system trust store APIs,
161–162
system trust stores, 156–157
using system trust store,
158–161
PK I, 148 –150
public key, 146–147
revocation of, 150–151
CertPathBuilder class, 136, 138
CertPath class, 135–136, 153
CertPathTrustManagerParameters
class, 153
CertPathValidator class, 136, 138
CERT.SF file, 58
CertStore class, 138
CFB (Cipher feedback), 124
Challenge-Handshake
Authentication Protocol
(CHAP), 229
changeEncryptionPassword()
method, 275
CHANGE_WIFI_STATE permission, 248
Channel class, 308–309
CHAP (Challenge-Handshake
Authentication
Protocol), 229
chcon utility, 333
checkPassword() method, 275
checkPattern() method, 272
checkPermission() method, 35, 42
checkServerTrusted() method, 162, 169
choosePrivateKeyAlias() method,
182, 186
Cipher-block chaining (CBC),
124, 259
Cipher class
block cipher modes, 124–125
obtaining instance of, 125–126
overview, 123
supported algorithms, 138, 141
using, 126–127
Cipher feedback (CFB), 124
cipher mode, 259–260
cipher suites, 146
ciphertext, 123, 124
classes.dex file, 52
class keyword, 326
class statement, 326–327
clearPassword() method, 197, 200
client credentials, passing and
querying, 32
ClientLogin protocol, 209–210
clone() method, 106
CLONE_NEWNS flag, 106, 108, 110
CN (common name), 146
codePath attribute, 71
code signing, 16
COM (Common Object Model), 5
common keyword, 326
common name (CN), 146
Common Object Model (COM), 5
Common Object Request Broker
Architecture (CORBA), 5
Comodo attack, 167
compareSignatures() method, 74
Compatibility Definition Document
(CDD), 105
CONFIG_ANDROID_PARANOID_NETWORK
permission, 31
CONFIG_DM_VERITY kernel configuration
item, 255
config_multiuserMaximumUsers system
resource, 88
confirmCredentials() method, 197
Conscrypt provider, 141
ContainerEncryptionParams class, 78, 79
content providers
app architecture, 12
defined, 6
permissions
dynamic, 47–49
enforcement, 36
static, 46–47
CONTROL_KEYGUARD permission, 269
-c option, 373
382 Index
copyResource() method, 79
CORBA (Common Object Request
Broker Architecture), 5
Counter (CTR) mode, 124
created attribute, 98
createInstallIntent() method, 181
createSecureContainer() method, 82
credentials
access control to keystore, 186–187
Android implementation
access restrictions, 176
framework integration, 180
key blobs, 176
keymaster module, 176–177
keystore ser vice, 174 –176
Nexus 4 hardware-backed
implementation, 178–180
AndroidKeyStoreProvider, 188 –189
EAP credentials
authentication keys and
certificates, 172–173
overview, 172
system credential store,
173 –174
KeyChain API
deleting keys and user
certificates, 185
installing CA certificate,
183–184
KeyChain class, 181–182
overview, 181, 185–186
supported algorithms, 185
using private key, 182
overview, 187
passing and querying, 32
CRL (certificate revocation list), 150
CRL Distribution Point (CDP), 162
CRYPT_ENCRYPTION_IN_PROGRESS flag, 265
cryptfs checkpw command, 267
cryptfs enablecrypto inplace
command, 265
cryptfs module, 262–263
CryptKeeper class, 266
crypto footer, 260, 265
Cryptographically Secure Pseudo
Random Number
Generator (CSPRNG),
120, 121
cryptographic service provider
(CSP), 115
cryptography
Android providers
AndroidOpenSSL, 140 –142
Bouncy Castle, 137–140
Crypto, 137
OpenSSL and, 142
overview, 137
Spong y Castle, 143–144
custom providers, 142–143
hashes, 18
JCA architecture
dynamic provider registration,
118–119
overview, 116 –117
provider implementation,
117–118
static provider
registration, 118
JCA engine classes
algorithm names, 120
CertificateFactory class,
135–136
CertPathBuilder class, 136
CertPath class, 135–136
CertPathValidator class, 136
Cipher class, 123–127
KeyAgreement class, 132–133
KeyFactory class, 129–130
KeyGenerator class, 131–132
Key interface, 128
KeyPairGenerator class, 131
KeyPair interface, 129
KeySpec interface, 129
KeyStore class, 133–135
Mac class, 127
MessageDigest class, 120–121
obtaining engine class
instance, 119
overview, 119
PBEKey interface, 128–129
PrivateKey interface, 129
PublicKey interface, 129
SecretKeyFactory class, 130–131
SecretKey interface, 128–129
SecureRandom class, 120–121
Signature class, 122–123
Crypto provider, 137
CSP (cryptographic service
provider), 115
Index 383
CSPRNG (Cryptographically Secure
Pseudo Random Number
Generator), 120, 121
ctl_default_prop type, 336
CTR (Counter) mode, 124
CyanogenMod Android distribution,
310, 374
D
DAC (discretionary access control),
17, 319–320, 364
daemons
native daemon-level enforcement,
31–33
security model and, 12
daemonsu binary, 372
Dalvik Executable (DEX), 3, 63
Dalvik VM, 3–4
dangerous protection level, 25
data_file_type attribute, 325
death notification, 9
debuggable flag, 14
debugging, USB, 277–283
authentication keys, 282
daemon overview, 277–279
implementation, 281–282
need for secure, 279–280
securing, 280
verifying host key fingerprint,
282–283
DECRYPT_MODE, 126, 127
decryptStorage() method, 267
delayed provider selection, 116
delete_all() method, 177
deleteEntry() method, 135
delete function, 359
delete_keypair() method, 177
delete_recursive function, 359
derivation mode, 112
DES algorithm, 138, 139, 140
description attribute, 312
development permissions, 39–40
DEVICE_ADMIN_ENABLED broadcast, 46
DeviceAdminInfo class, 216
Device Administration API, 216–228
account integration, 226–228
Google Apps, 227–228
Microsoft Exchange
ActiveSync, 226–227
device administrator, 223–227
implementing, 224
managed devices, 226
setting device owner, 224–225
policy enforcement, 221–223
policy persistence, 220–221
privilege management, 218–219
device administrators, 216, 223–227
implementing, 224
managed devices, 226
setting device owner, 224–225
DeviceAdminReceiver class, 224
Device-mapper framework, 254
device_policies.xml file, 99, 220, 221
DevicePolicyManager class, 217, 220,
226, 274
DevicePolicyManagerService, 217–219
device security, 251–288
backup framework, 283–288
cloud backup, 283
controlling scope, 287–288
encryption, 286–287
file format, 284–286
local backup, 283–284
disk encryption, 258–268
booting encrypted devices,
265–267
changing password, 262–263
cipher mode, 259–260
enabling, 263–265
key derivation, 260–261
password, 261–262
OS boot-up and installation
control, 252–254
bootloader program, 252–253
recovery OS, 253–254
screen security, 268–277
brute-force attack protection,
276–277
keyguard unlock methods,
269–277
lockscreen implementation,
268–269
secure USB debugging, 277–283
authentication keys, 282
daemon overview, 277–279
implementation, 281–282
need for, 279–280
384 Index
device security, secure USB
debugging (continued)
securing, 280
verifying host key fingerprint,
282–283
verified boot feature, 254–258
enabling, 256–258
implementation, 255–256
overview, 254–255
device storage encryption, 223
dex2oat command, 69
DEX (Dalvik Executable), 3, 63
dexopt command, 65
DH (Diffie-Hellman), 132, 139
digest() method, 122
DigiNotar attack, 167
Digital Signature Algorithm (DSA),
137, 139, 141, 177
<disable-camera> tag, 217
<disable-keyguard-features> tag, 217
disableReaderMode() method, 294
DISALLOW_CONFIG_BLUETOOTH
restriction, 92
DISALLOW_CONFIG_CREDENTIALS
restriction, 92
DISALLOW_CONFIG_WIFI restriction, 92
DISALLOW_INSTALL_APPS restriction,
92, 93
DISALLOW_INSTALL_UNKNOWN_SOURCES
restriction, 92
DISALLOW_MODIFY_ACCOUNTS restriction,
92, 196
DISALLOW_REMOVE_USER restriction, 92
DISALLOW_SHARE_LOCATION restriction,
92, 93
DISALLOW_UNINSTALL_APPS restriction,
92, 93
DISALLOW_USB_FILE_TRANSFER
restriction, 92
discretionary access control (DAC),
17, 319–320, 364
disk encryption, 258–268
booting encrypted devices,
265–267
decrypting and mounting
/data, 267
obtaining password, 267
starting all system
services, 267
cipher mode, 259–260
enabling, 263–265
controlling encryption
using system properties,
263–264
triggering encryption
process, 265
unmounting /data, 264
updating crypto footer, 265
key derivation, 260–261
limitations of, 267
password for, 261–262
changing, 262–263
distinguished name (DN), 146
dm-crypt device-mapper target, 254,
259, 265
dm-verity device-mapper block
integrity checking target,
254–258
enabling, 256–258
implementation, 255–256
overview, 254–255
DN (distinguished name), 146
doFinal() method, 125
domain attribute, 325
domain_auto_trans() macro, 328
domain_trans() macro, 328
dontaudit rule, 330
doPhase() method, 133
DownloadManager service, 66
DSA (Digital Signature Algorithm),
137, 139, 141, 177
E
EAP (Extensible Authentication
Protocol), 242–250
adding networks with WifiManager,
248–250
Android Wi-Fi architecture,
244–245
authentication keys and
certificates, 172–173
authentication methods, 243–244
EAP-PWD, 244
EAP-TLS, 244
EAP-TTLS, 244
PEAP, 243
credentials management, 245–248
overview, 172
system credential store, 173–174
Index 385
EAP-PWD (EAP Using Only a
Password), 244, 247
EAP-TLS (EAP-Transport Layer
Security), 172, 244, 246,
248, 249
EAP-TTLS (EAP-Tunneled Transport
Layer Security), 244, 247
EAS (Exchange ActiveSync) account
integration, 226–227
ECB (Electronic Code Book), 124
ECDSA (Elliptic Curve DSA), 60, 177
EC (Elliptic Curve), 131
edify functions, 359
editProperties() method, 197
EE (end entity)
defined, 149
handling compromises, 163–164
effective user ID (EUID), 6
Electronic Code Book (ECB), 124
Electronic Frontier Foundation, 167
Elliptic Curve DSA (ECDSA), 60, 177
Elliptic Curve (EC), 131
embedded secure elements (eSEs),
298–302
broadcasts, 301–302
granting access to, 299–300
NfcExecutionEnvironment class,
300–301
emulated external storage, 104
EMULATED_STORAGE_SOURCE environment
variable, 107, 110
EMULATED_STORAGE_TARGET environment
variable, 108, 110
enableForegroundDispatch()
method, 292
enableReaderMode() method, 294
encrypted salt-sector initialization
vector (ESSIV), 259, 260
<encrypted-storage> tag, 217
encryption. See also disk encryption
backup, 286–287
device storage, 223
ENCRYPT_MODE, 126
end entity. See EE
enforcement, permissions
framework-level
activity permission
enforcement, 36
broadcast permission
enforcement, 37
content provider permission
enforcement, 36
dynamic enforcement, 34–36
protected broadcasts, 37
service permission
enforcement, 36
sticky broadcasts, 37
kernel-level, 30–31
native daemon-level, 31–33
enforcePermission() method, 35, 42
enterprise security, 215–250
Device Administration API,
216 –228
account integration, 226–228
device administrator, 223–227
policy enforcement, 221–223
policy persistence, 220–221
privilege management,
218–219
EAP framework, 242–250
adding networks with
WifiManager API, 248–250
Android Wi-Fi architecture,
244–245
authentication methods,
243–244
credentials management,
245–248
VPNs, 227–250
application-based, 236–239
L2TP, 22 9 –23 0
legacy, 231–236
multi-user support, 239–242
PPTP, 229
SSL-based, 230–231
Xauth, 230
EntropyMixer service, 121
eSEs. See embedded secure elements
ESSIV (encrypted salt-sector
initialization vector),
259, 260
establish() method, 238
EUID (effective user ID), 6
EV (Extended Validation)
certificates, 148
Exchange ActiveSync (EAS) account
integration, 226–227
<expire-password> tag, 217
ext4 filesystem, 80, 324
386 Index
Extended Validation (EV)
certificates, 148
Extensible Authentication Protocol.
See EAP
Extensible Authentication Protocol-
Transport Layer Security
(EAP-TLS), 172, 244, 246,
248, 249
Extensible Authentication Protocol-
Tunneled Transport Layer
Security (EAP-TTLS),
244, 247
Extensible Authentication Protocol
Using Only a Password
(EAP-PWD), 244, 247
external storage
Android implementation,
106–111
Linux mount features, 105–106
overview, 104–105
permissions, 111–112
EXTERNAL_STORAGE environment
variable, 110
EXTRA_CERTIFICATE key, 183
F
Face Unlock method, 271
factory reset, 18
failedAttempts attribute, 98
fastboot boot command, 353, 363
fastboot command-line utility, 353
fastboot devices command, 353
fastboot flashall command, 353
fastboot flash command, 353, 363
fastboot flash:raw command, 353
fastboot mode, 252–253, 352–354
commands, 353–354
partition layout, 352–353
protocol, 353
fastboot oem lock command, 351
fastboot oem unlock command, 351
fastboot update command, 353
fastboot update ZIP-filename
command, 353
FAT filesystem, 80
FDE (full-disk encryption), 258–259
File Control Information (FCI), 305
file_getprop function, 359
Filesystem in Userspace (FUSE), 105
file_type attribute, 325
FLAG_ADMIN flag, 98
FLAG_GRANT_PERSISTABLE_URI_PERMISSION
flag, 48
FLAG_GRANT_READ_URI_PERMISSION flag, 48
FLAG_GRANT_WRITE_URI_PERMISSION flag, 48
FLAG_GUEST flag, 98
FLAG_INITIALIZED flag, 98
FLAG_PRIMARY flag, 98
FLAG_RESTRICTED flag, 98
flags attribute, 71, 98, 220
FLAG_UPDATED_SYSTEM_APP flag, 76
Flame, 53
<force-lock> tag, 216
fork() system call, 28
format function, 359
framework
credential storage
implementation, 180
libraries making up, 10
permissions enforcement at
framework-level
activity permission
enforcement, 36
broadcast permission
enforcement, 37
content provider permission
enforcement, 36
dynamic enforcement, 34–36
protected broadcasts, 37
service permission
enforcement, 36
sticky broadcasts, 37
ft attribute, 71
FullBackupAgent class, 284
full-disk encryption (FDE), 258–259
FUSE (Filesystem in Userspace), 105
G
GCM (Galois/Counter Mode), 125
GCM (Google Client Messaging), 166
generateCertificate() method, 136
generateCertPath() method, 136
GENERATE_KEYPAIR command, 178
generate_keypair() method, 177
generateKeyPair() method, 131
generatePublic() method, 130
Index 387
generateSecret() method, 133
Generic Routing Encapsulation
(GRE), 229
getAccountCredentialsForCloning()
method, 202
GET_ACCOUNTS permission, 196
getAlgorithm() method, 128
getApplicationRestrictions()
method, 94
getAuthToken() method, 197, 200
getCallingPid() method, 36
getCallingUid() method, 36
getCertificateChain() method, 183
getCertificate() method, 186
getDeviceOwner() method, 225
getDeviceOwnerName() method, 225
getEmbeddedExecutionEnvironment()
method, 301
getEncoded() method, 128, 130
getEncryptionStatus() method, 223
getenforce utility, 333
getEntry() method, 189
getExternalFilesDir() method, 111
getExternalStorageDirectory()
method, 110
getFormat() method, 128
getInstance() method, 119
get_keypair_public() method, 177
getKeySpec() method, 130
get() method, 293
getModulus() method, 129
getPassword() method, 196, 200, 201
getPrivateExponent() method, 129
getPrivateKey() method, 183, 186
getprop function, 359
getReaders() method, 309
getsebool utility, 333
getSelectionModeForCategory()
method, 312
getUserData() method, 196
getvar command, 353
GID, associating permissions with, 27
GlobalPlatform Card Specification,
303, 304–305
global proxy settings, 222
GLOBAL_SEARCH permission, 47
GLS (Google Login Service),
206–209
Google Account Manager, 206–209
Google accounts
ClientLogin protocol, 209–210
Google Account Manager,
206–209
Google Login Service, 206–209
Google Play Services, 211–213
OAuth 2.0, 210–211
overview, 206
Google Apps account integration,
227–228
Google Client Messaging (GCM), 166
Google experience devices, 191
Google Login Service (GLS), 206–209
Google Play, 25
Google Services Framework
(GSF), 206
Google Wallet, 299–300, 302
GPS (Google Play Services), 211–213
GrantedPermission class, 35
grantPermission() method, 48
grants table, 199
GRE (Generic Routing
Encapsulation), 229
GSF (Google Services
Framework), 206
guest user, 94–95
H
HAL (Hardware Abstraction Layer),
177, 244–245
hardware security module (HSM), 135
HCE. See host-based card emulation
HMAC algorithm, 82
HostApduService, 310, 315, 316
<h ost-a pd u-ser v ic e> tag, 312
host-based card emulation (HCE;
software card emulation),
311–318
Android 4.4 architecture, 310–311
APDU routing, 311–315
specifying for HCE services,
312–314
specifying for SE applets,
313–315
application security, 317–318
writing services, 315–317
hostname verification, 154
HostnameVerifier class, 154
388 Index
HSM (hardware security
module), 135
HttpClient class, 159
HTTPS (Hypertext Transfer Protocol
Secure), 151
HttpsURLConnection class, 151, 154,
156, 159
I
IAccountAuthenticator interface,
194, 203
icon attribute, 98
id attribute, 98
id utility, 333
IKE (Internet Key Exchange), 230
IKeyguardService, 269
IMPORT_KEYPAIR command, 178
import_keypair() method, 177
inherits keyword, 326
init_daemon_domain() macro, 328
initialization vector (IV), 124, 175
initSign() method, 123
insertProviderAt() method, 118, 143
INSTALL_ACTION intent, 63
InstallAppProgress activity, 67
installCaCert() method, 226
installd daemon, 342–344
installer attribute, 71
installExistingPackageAsUser()
method, 102
INSTALL_FAILED_INVALID_APK error, 79
INSTALL_FAILED_SHARED_USER_INCOMPATIBLE
error, 40
INSTALL_FAILED_UID_CHANGED error, 40
INSTALL_FAILED_USER_RESTRICTED error, 93
INSTALL_FAILED_VERIFICATION_FAILURE
error, 85
INSTALL_FORWARD_LOCK flag, 82
INSTALL_NON_MARKET_APPS setting, 66
INSTALL_PACKAGES permission, 67
installPackageWithVerification
AndEncryption() method,
64, 77
INSTALL_PARSE_FAILED_INCONSISTENT_
CERTIFICATES error, 74
INTERACT_ACROSS_USERS_FULL
permission, 96
INTERACT_ACROSS_USERS permission,
45, 96
INTERNAL_SYSTEM_WINDOW permission, 268
INTERNAL_TARGET_DESELECTED
broadcast, 302
Internet Key Exchange (IKE), 230
INTERNET permission, 23
Internet Protocol Security (IPSec)
protocol, 229–230
Internet Security Association and
Key Management Protocol
(ISAKMP), 230
invalidateAuthToken() method, 197
IPC (inter-process communication)
architecture and, 4–5
security model, 15–16
IPSec Extended Authentication
(Xauth), 230
IPSec (Internet Protocol Security)
protocol, 229–230
isAdminActive() method, 224
ISAKMP (Internet Security
Association and
Key Management
Protocol), 230
isBoundKeyAlgorithm() method, 185
isDefaultServiceForCategory()
method, 312
isDeviceOwnerApp() method, 225
isDeviceOwner() method, 225
isKeyAlgorithmSupported() method, 185
Issuer Security Domain (ISD)
component (Card
Manager), 303
isSystemServer selector, 337
it attribute, 71
ITelephony interface, 275–276
IV (initialization vector), 124, 175
--iv parameter, 77
J
jarsigner command, 57, 58
Java Card runtime environment
( JCRE), 302–303
Java Cryptography Architecture ( JCA)
algorithm names, 120
architecture
dynamic provider registration,
118–119
overview, 116 –117
Index 389
provider implementation,
117–118
static provider registration, 118
CertificateFactory class, 135–136
CertPath class, 135–136
CertPathValidator class, 136
Cipher class
block cipher modes, 124–125
obtaining instance of, 125–126
overview, 123
using, 126–127
engine classes, 119
obtaining instance of, 119
KeyAgreement class, 132–133
KeyFactory class, 129–130
KeyGenerator class, 131–132
Key interface, 128
KeyPairGenerator class, 131
KeyPair interface, 129
KeySpec interface, 129
KeyStore class, 133–135
Mac class, 127
MessageDigest class, 121–122
PBEKey interface, 128–129
PrivateKey interface, 129
PublicKey interface, 129
SecretKeyFactory class, 130–131
SecretKey interface, 128–129
SecureRandom class, 120–121
Signature class, 122–123
Java runtime libraries, 4
Java Secure Socket Extension ( JSSE)
Android implementation, 155–156
certificate blacklisting
Android, 164–166
handling CA key
compromises, 163
handling EE key
compromises, 163–164
certificate management and
validation
Android 4.x system trust store,
157–158
system trust store APIs,
161–162
system trust stores, 156–157
using system trust store,
158–161
hostname verification, 154
overview, 151–152
peer authentication, 152–154
providers for, 137
secure sockets, 152
Java Virtual Machine ( JVM), 3
JCA. See Java Cryptography
Architecture
JCRE (Java Card runtime
environment), 302–303
JSSE. See Java Secure Socket Extension
--just_exit option, 356
JVM (Java Virtual Machine), 3
K
KDF (key-derivation function), 133
KEK (key-encryption key), 179, 258,
260, 261
kernel-level permissions
enforcement, 30–31
KeyAgreement class, 132–133, 139, 141
key blobs, 175, 176
KeyChain API, 226
deleting keys and user
certificates, 185
installing CA certificate, 183–184
KeyChain class, 181–182
overview, 181, 185–186
supported algorithms, 185
using private key, 182
KeyChainBroadcastReceiver, 185, 187
KeyChain class, 181–182
KeyChainService class, 185
key derivation, 260–261
key-derivation function (KDF), 133
key-encryption key (KEK), 179, 258,
260, 261
KeyFactory class, 129–130, 137, 139, 141
KeyGenerator class, 131–132, 139
keyguard customizations,
disabling, 223
KeyguardHostView class, 269
KeyguardPINView class, 269
KeyguardService, 269
keyguard unlock methods, 269–277
Face Unlock, 271
Password unlock, 270, 273–275
Pattern unlock, 270, 272–273
PIN unlock, 270–271, 273–276
PUK unlock, 271, 275–276
Slide unlock, 270
390 Index
Key interface, 128
KeyManager class, 153
KeyManagerFactory class, 152
keymaster module, 176 –177
KeyPairGenerator class, 131, 139, 141,
188, 189
KeyPairGeneratorSpec class, 189
KeyPair interface, 129
--key parameter, 77
KeySpec interface, 129
KeyStore class, 133–135, 139, 152, 158,
181, 188
-keystore option, 58
keystore ser vice, 174 –176
key stretching, 129
L
L2TP (Layer 2 Tunneling Protocol),
229–230
labels. See security contexts
lastAttemptMs attribute, 98
lastLoggedIn attribute, 98
least recently used (LRU), 96
legacy VPNs, 231–236
accessing credentials, 234
always-on, 235–236
implementation, 231–233
profile and credential storage,
233–234
<limit-password> tag, 216
link to death, 9
Linux kernel, 2. See also SELinux
advanced routing, 239–240
Device-mapper framework, 254
Logical Volume Manager, 254
Linux Security Modules (LSM)
framework, 320
load_policy utility, 333
--locale option, 356
location, multi-user support, 92
lock down functionality, 22, 222
LOCKDOWN_VPN file, 235
LockdownVpnTracker class, 235
lockNow() method, 222
LockPatternUtils class, 269, 275
lockscreen, multi-user support, 90.
See also keyguard unlock
methods
LockScreenUtils class, 272
LockSettingsService, 274
Logical Volume Manager (LVM), 254
login attempt notifications, 221
-l option, 111
low memory killer, 2
LRU (least recently used), 96
ls command, 323, 333
LSM (Linux Security Modules)
framework, 320
LVM (Logical Volume Manager), 254
M
--macalgo parameter, 78
Mac class, 127, 139, 141
--mackey parameter, 78
MAC (mandatory access control), 1,
17, 319–320, 321–322, 331
MAC (Message Authentication
Code), 127, 176
MANAGE_ACCOUNTS permission, 196, 197
MANAGE_CA_CERTIFICATES permission,
161, 226
MANAGE_DEVICE_ADMINS permission, 219
MANAGE_USERS permission, 95
mandatory access control, 1, 17,
319–320, 321–322, 331
MANIFEST.MF file, 53, 58
marking packets, 240, 242
MASTER_CLEAR_NOTIFICATION
broadcast, 302
master key, 175
MediaContainerService, 68, 79, 82
@MEDIA macro, 339
Message Authentication Code
(MAC), 127, 176
MessageDigest class, 121–122, 137,
139, 141
META-INF directory, 52
microSD-based secure elements, 298
microSD cards, 80
Microsoft Exchange ActiveSync
(EAS) account
integration, 226–227
Microsoft Point-to-Point Encryption
(MPPE) protocol, 229
middleware MAC (MMAC), 338–339
MITM attack, 166
mkuserdata command, 69, 100
MLS (multi-level security), 321–323
Index 391
mMacAlgorithm field, 78
mMacKey field, 78
MMAC (middleware MAC), 338–339
mMacTag field, 78
Modecfg (mode-configuration), 230
MODIFY_AUDIO_SETTINGS permission, 27
mountEmulatedStorage() function, 110
mount function, 359
mount() method, 106, 108
mountSecureContainer() method, 82
MountService, 265, 267, 275
MPPE (Microsoft Point-to-Point
Encryption) protocol, 229
MS_BIND flag, 106
MSG_COMMAND_APDU broadcast, 310
MS_SHARED f lag, 106
MS_SLAVE flag, 108
mtpd daemon, 231–232
multi-level security (MLS), 321–323
multi-user support
account management
overview, 201–202
per-user account
databases, 202
shared accounts, 202–203
app management
application sharing, 101–104
data directories, 100–101
overview, 99
broadcasts and, 95–96
command-line tools, 95
external storage
Android implementation,
106–111
Linux mount features,
105–106
overview, 104–105
permissions, 111–112
features of, 112
metadata
user list file, 96–97
user metadata files, 97–98
user system directory, 99
overview, 87–89
security model, 16–17
user types
guest user, 94–95
primary user, 90–91
restricted profiles, 92–93
secondary users, 91–92
VPNs, 239–242
implementation, 240–241
Linux advanced routing,
239–240
N
name attribute, 71
nativeLibraryPath attribute, 71
native userspace layer, 2–3
NDEF_DISCOVERED intent, 292
NDEF (NFC Data Exchange Format),
291–294
near-field communication. See NFC
NET_ADMIN permission, 26
netd daemon, 233, 235, 342
netfilter kernel framework, 239–240
NetworkManagementService, 240
network security
certificate pinning, 168–170
certificate revocation, 150–151
Convergence and, 167–168
direct trust and private CAs, 148
issues with current PKI system,
166–167
JSSE
Android 4.x system trust store,
157–158
Android implementation,
155–156
certificate blacklisting,
162–165
hostname verification, 154
overview, 151–152
peer authentication, 152–154
secure sockets, 152
system trust store APIs,
161–162
system trust stores overview,
156–157
using system trust store,
158–161
PK I, 148 –150
public key certificates, 146–147
neverallow rule, 330
nextBytes() method, 121
nextSerialNumber attribute, 97
Nexus devices, 104
credential storage, 178–180
stock recovery, 354–355
392 Index
NfcActivity class, 292–293
NfcAdapter class, 292, 294, 295
NfcAdapterExtras class, 301
NFC Data Exchange Format (NDEF),
291–294
NfceeAccessControl class, 299
NFCEE_ADMIN permission, 299
NfcExecutionEnvironment class, 300–
301, 303
NFC (near-field communication), 92,
289–318. See also secure
elements
Android support for, 290–295
card emulation mode, 295
peer-to-peer mode, 294–295
reader/writer mode, 290–294
host-based card emulation,
311–318
Android 4.4 architecture,
310–311
APDU routing, 311–315
application security, 317–318
writing services, 315–317
overview, 289–290
NfcService, 290–291, 299, 310–311
normal protection level, 24–25
nosetuid flag, 369
NoSuchAlgorithmException, 119
NoSuchProviderException, 119
O
OAuth 2.0, 210–212
OBB (opaque binary blob) files, 65
objects, Binder
accessing, 8–9
identity of, 7
OCSP (Online Certificate Status
Protocol), 151
OFB (Output feedback), 124
OffHostApduService class, 314
<offhost-apdu-service> element, 314
OFF_HOST_APDU_SERVICE intent, 314
onDeactivated() method, 310, 316
onDisabled() method, 224
onEnabled() method, 224
one-time password (OTP), 207, 296
Online Certificate Status Protocol
(OCSP), 151
onPasswordExpiring() method, 223
onTagDiscovered() method, 294
opaque binary blob (OBB) files, 65
OpenID Connect, 209
openLogicalChannel() method, 309
OpenMobile API, 308–309
openSession() method, 309
OpenSSL
Android keystore engine, 180
converting to PKCS#8 format, 60
cryptography providers and, 142
enc command, 77
openssl enc command, 77
OpenVPN application, 230–231,
238–239
Optimized DEX files, 4, 63
OS boot-up and installation control,
252–254
bootloader program, 252–253
recovery OS, 253–254
OTA (over-the-air), 17
flashing packages, 370–375
sideloading packages, 357
signature verification, 357–358
SIM card updates, 307
update packages, 253, 258, 355–
356, 358–359
OTP (one-time password), 207, 296
Output feedback (OFB), 124
over-the-air. See OTA
P
P2P (point-to-point) connections, 172
package_extract_dir function, 359
package_extract_file function, 359
PACKAGE_INSTALLED broadcast, 37
PackageInstallerActivity, 66, 67
package management
Android Application Package
Format, 51–86
APK install process
active components, 63–67
Android 4.1 forward locking
implementation, 82
encrypted apps and Google
Play, 82–83
forward locking, 79–80
installing encrypted APKs,
76–79
installing local package, 66–76
Index 393
location of application
packages and data, 62–63
updating package, 72–76
code signing
in Android, 59–61
in Java, 54–59
package verification
Android support for, 84–85
Google Play implementation,
85–86
PackageManagerService, 35, 68, 77, 84,
85, 95, 100, 102, 194, 339
PACKAGE_NEEDS_VERIFICATION action, 84
PACKAGE_REMOVED broadcast, 187
PACKAGE_REPLACED broadcast, 75
package-restrictions.xml file, 99, 101
packages. See APKs
packages.xml file, 63
PACKAGE_VERIFICATION_AGENT permission,
84, 85
PACKAGE_VERIFIED broadcast, 85
PACKAGE_VERIFIER_ENABLE setting, 84
padding, 123
PAP (Password Authentication
Protocol), 229
partial attribute, 98
password expiration timeout, 223
<password-owner> tag, 221
PASSWORD_QUALITY_ALPHANUMERIC
constant, 220, 221
PASSWORD_QUALITY constant, 274
PASSWORD_QUALITY_NUMERIC constant, 274
Password unlock method, 270,
273–275
Pattern unlock method, 270, 272–273
PBEKey interface, 128–129
PBKDF2 algorithm, 260–262, 262, 286
PEAP (Protected Extensible
Authentication Protocol),
243, 246
peekAuthToken() method, 196
peer authentication, 152–154
peer-to-peer (P2P) mode, 290,
294–295
pending intents, 49–50
PERMISSION_DENIED response, 34
PERMISSION_GRANTED response, 34
permissions
activity, 44–45
assigning, 26–28
broadcast, 45–46
content provider
dynamic, 47–49
static, 46–47
custom, 42–43
enforcement of
framework-level, 33–37
kernel-level, 30–31
native daemon-level, 31–33
external storage, 111–112
management of, 21–23
overview, 21–22
pending intents, 49–50
PID assignment and, 28–30
private components, 43–44
protection levels
dangerous, 25
defined, 24
normal, 24–25
signature, 26
signatureOrSystem, 26
public components, 43–44
requesting, 22
security model, 14–15
service, 44–45
shared user ID, 40–42
system
development permissions,
39–40
overview, 37–39
signature permissions, 39
viewing list of known, 22
when granted, 104
permissive statement, 326
PFX (Personal Information
Exchange Syntax), 134
phishing applications, 83
PID (process ID)
assignment of, 28–30
Binder and, 6
pinHash attribute, 98
PIN unlock key (PUK) unlock
method, 271, 275–276
PIN unlock method, 270–271, 273–
275, 275–276
PittPatt (Pittsburgh Pattern
Recognition) company, 271
PKCS#12 files, 172
PKCS (Public Key Cryptography
Standard), 125
394 Index
PKI (Public Key Infrastructure)
certificate revocation, 150–151
direct trust and private CAs, 148
overview, 148–150
public key certificates, 146–147
PKIX (X.509-based PKI), 138, 152
PKPE (Public Key Pinning Extension
for HTTP), 168
platform keys
security model, 16
system apps and, 39
@PLATFORM macro, 339
platform signing key, 10
pm command, 61
pm create-user command, 95
pm get-max-users command, 95
pm install command, 76, 78
pm list users command, 95
point-to-point (P2P) connections, 172
<policies> tag, 220
powerctl_prop type, 336
PPP (Point-to-Point Protocol), 229
PPTP (Point-to-Point Tunneling
Protocol), 229
prepare() method, 238
primary user, 90–91
private CAs, 148
PrivateKeyEntry, 133
PrivateKey interface, 129
private keys, using, 182
processCommandApdu() method, 317
processCommand() method, 310
process ID. See PID
process isolation, 5
protected broadcasts, 37
Protected Extensible Authentication
Protocol (PEAP), 243, 246
protection levels
dangerous, 25
defined, 24
normal, 24–25
signature, 10, 26
signatureOrSystem, 26, 63
Provider class, 118
providers
AndroidKeyStoreProvider, 188 –189
cryptography
AndroidOpenSSL, 140 –142
Bouncy Castle, 137–140
Crypto, 137
custom, 142–143
OpenSSL and, 142
overview, 137
Spong y Castle, 143–144
ps command, 323, 333
public components, 43–44
public key certificates, 146–147
Public Key Cryptography Standard
(PKCS), 125
Public Key Infrastructure. See PKI
PublicKey interface, 129
Public-Key-Pin header, 168
Public Key Pinning Extension for
HTTP (PKPE), 168
Public-Key-Pins-Report-Only header, 169
PUK (PIN unlock key) unlock
method, 271, 275–276
Q
QSEE (Qualcomm’s Secure Execution
Environment), 178
R
racoon daemon, 231–232, 234
radio-frequency identification
(RFID) technology, 290
Random Number Generator
(RNG), 120
RA (registration authority), 149
RC4 algorithm, 138, 139, 141, 229
READ_CONTACTS permission, 47
reader/writer (R/W) mode, 290–294
reader mode, 293–294
reading tags, 293
registering for tag dispatch,
291–292
tag technologies, 292–293
READ_EXTERNAL_STORAGE permission, 111
READ_LOGS permission, 39
read-only partition, 10
READ_SMS permission, 25
read-write partition, 11
recovery binary, 356–357
recovery OS, 253–254, 354–364
custom recoveries, 363–364
stock recovery, 354–363
applying updates, 359–360
controlling, 356–357
copying and patching files, 361
Index 395
finishing updates, 361–362
OTA signature verification,
357–358
setting file ownership,
permissions, and security
labels, 361
sideloading OTA
packages, 357
starting system update
process, 358–359
updating recovery, 362–363
RecoverySystem class, 357
reference counting, 9
reference implementation (RI), 138
registration authority (RA), 149
relabelto permission, 343
@RELEASE macro, 339
remote procedure calls (RPC), 5
removeAccount() method, 197, 201
removeActiveAdmin() method, 224
removeProvider() method, 118
requesting permissions, 22
Requests for Comments (RFCs), 125
requireDeviceUnlock attribute, 312
resetPassword() method, 221, 222
<reset-password> tag, 216
resource attribute, 194
resourcePath attribute, 71
Resources class, 52
restorecon command, 333, 335
restrictedAccountType attribute,
94, 203
restricted profiles
access to online accounts, 94
applying restrictions, 93–94
user restrictions, 92
revokePermission() method, 48
revokeUriPermission() method, 48
RFCs (Requests for Comments), 125
RFID (radio-frequency identification)
technology, 290
rild (radio interface) daemon, 275
RI (reference implementation), 138
RNG (Random Number
Generator), 120
ro.crypto.fs_crypto_blkdev property,
264, 267
ro.crypto.state property, 263
ro.debuggable property, 369
root access, 364–376
engineering builds, 365–368
starting ADB as root, 365–367
using su command, 367–368
production builds, 368–376
changing boot or system
image, 369
flashing OTA packages,
370–375
via exploits, 375–376
root user, 65
ro.secure property, 369
RPC (remote procedure calls), 5
RSA algorithm, 55, 120, 139, 141, 255,
257, 357
runcon utility, 333
run_program function, 359
runtime libraries, 4
R/W mode. See reader/writer mode
S
S2C (SignalIn/SignalOut
connection), 299
salt attribute, 98
same origin policy, 16
sandboxing, app, 12–14
SA (Security Association), 230
saveLockPassword() method, 275
saveLockPattern() method, 272
scanPackageLI() method, 68, 75
SCM_CREDENTIALS control message, 32
screen security, 268–277
brute-force attack protection,
276–277
keyguard unlock methods,
269–277
Face Unlock, 271
Password unlock, 270,
273–275
Pattern unlock, 270, 272–273
PIN unlock, 270–271, 273–
275, 275–276
PUK unlock, 271, 275–276
Slide unlock, 270
lockscreen implementation,
268–269
scrypt key derivation function, 261
SD card, 104
seclabel command, 333, 334
396 Index
secondary users, 91–92
SecretKeyEntry, 133
SecretKeyFactory class, 130–131, 140
SecretKey interface, 128–129
secure elements (SEs), 179, 295–309.
See also host-based card
emulation
embedded, 298–301
broadcasts, 301–302
granting access to, 299–300
NfcExecutionEnvironment class,
300–301
execution environment, 302–305
querying, 304–305
microSD-based SEs, 298
UICCs, 297–298, 305–309
accessing, 307–308
application implementation
and installation, 307
applications, 306–307
SIM cards and, 305–306
using OpenMobile API,
308–309
SecureRandom class, 120–121, 137, 142
Secure Socket Layer. See SSL
Security Association (SA), 230
security contexts (labels), 322–323
assignment and persistence, 324
labeling
application processes,
336–338
files, 334–335
system properties, 335–336
Security-Enhanced Linux.
See SELinux
SecurityException, 36
security model
application sandboxing, 12–14
code signing, 16
IPC, 15–16
multi-user support, 16–17
overview, 12
permissions, 14–15
platform keys, 16
SELinux, 17
system updates, 17–18
verified boot, 18–20
security.properties file, 118
sedispol command, 341
SEEK for Android project, 297, 308
seinfo command, 341
seinfo tag, 30, 68, 338–339
self keyword, 329
SELinux (Security-Enhanced Linux),
319–347
access vector rules, 329–330
allow rule, 329
auditallow rule, 330
dontaudit rule, 330
neverallow rule, 330
Android 4.4 policy, 340–347
app domains, 345–347
enforcing domains, 342–344
overview, 341–342
unconfined domains,
344–345
architecture of, 320–321
defined, 17
domain transition rules, 328
implementation, 330–340
device policy files, 339–340
kernel changes, 331–332
policy event logging, 340
userspace changes, 332–339
mandatory access control,
319–323
modes, 322
security contexts (labels), 322–323
assignment and
persistence, 324
security model, 17
security policy, 324–328
object class and permission
statements, 326–327
type and attribute
statements, 325
user and role statements, 325
type transition rules, 327–328
sendBroadcast() method, 37, 45
--send_intent option, 356
sendResponseApdu() method, 316
serialNumber attribute, 98
Server Name Indication (SNI), 156
Service Provider Interface (SPI), 117
services
app architecture, 11–12
permissions enforcement, 36
SEs. See secure elements
sesearch command, 341, 342
SEService class, 308–309
Index 397
setActiveAdmin() method, 219
setAuthToken() method, 196
setCameraDisabled() method, 223
setcon command, 333
setDefaultSSLSocketFactory()
method, 154
setDeviceOwner() method, 225
setenforce command, 333
<set-global-proxy> tag, 216
setGrant() method, 187
set-group-ID (SGID), 12
setKeyguardDisabledFeatures()
method, 223
setMaximumFailedPasswordsForWipe()
method, 222
setMaximumTimeToLock() method, 222
set_metadata function, 359
set_metadata_recursive function,
359, 361
setNdefPushMessageCallback()
method, 295
setNdefPushMessage() method, 295
setPasswordExpirationTimeout()
method, 223
setPassword() method, 196, 200
setsebool command, 333
setSeed() method, 121
setSSLSocketFactory() method, 154
setStorageEncryption() method, 223
setUserData() method, 196
set-user-ID (SUID), 12
SGID (set-group-ID), 12
SHA-1 algorithm, 137, 139, 141, 358
SHA1PRNG algorithm, 137, 142
SHA1withDSA algorithm, 137
SHA-256 algorithm, 117, 120, 127,
139, 141, 259, 358
shared_accounts table, 200, 202
@SHARED macro, 339
shared user ID, 40–42
sharedUserId attribute, 71
sharpening, 69
show_progress function, 359
--show_text option, 356
-sigfile option, 57
SignalIn/SignalOut connection
(S2C), 299
signapk tool, 58, 60
Signature class, 73, 122–123, 137,
140, 142
signature files, 54
signatureOrSystem protection level,
26, 63
signature permissions, 39
signature protection level, 10, 26
SIGN_DATA command, 178
sign_data() method, 177
SIMalliance Open Mobile API
specification, 297
SIM cards. See also UICCs
multi-user support, 91
UICCs and, 305–306
unlocking, 18
Simple NDEF Exchange Protocol
(SNEP) protocol, 294
SIM Toolkit (STK) applications, 307
Single Wire Protocol (SWP), 298
Slide unlock method, 270
SmartCard API, 297–298
SMARTCARD permission, 309
SmartcardService, 308–309
SNEP (Simple NDEF Exchange
Protocol) protocol, 294
SNI (Server Name Indication), 156
SoC (system on a chip), 178
software card emulation. See host-
based card emulation
SO_PEERCRED socket option, 32
SPI (Service Provider Interface), 117
Spongy Castle provider, 143–144
spyware, 83
SQLite, 99
SSLContext class, 151
SSLEngine class, 151
SSL Observatory project, 167
SSL (Secure Socket Layer)
certificate revocation, 150–151
direct trust and private CAs, 148
PK I, 148 –150
public key certificates, 146–147
SSL-based VPNs, 230–231
SSLServerSocket class, 152
SSLSocket class, 152
SSLSocketFactory class, 154
--stages option, 356
startActivityForResult() method,
36, 44
startActivity() method, 36, 44
sticky broadcasts, 37
STK (SIM Toolkit) applications, 307
398 Index
store() method, 135
StrictJarFile class, 67
su command, 367–368, 372–373
SUID (set-user-ID), 12
SuperSU application, 370–372
initializing, 372–374
superuser, 64
supplyPinReportResult() method, 275
supplyPukReportResult() method, 276
surfaceflinger daemon, 345
SWP (Single Wire Protocol), 298
symlink function, 359
symmetric encryption, 123
system
apps, 10
credential store, 173 –174
permissions
development permissions,
39–40
overview, 37–39
signature permissions, 39
services, 4
system_data_file type, 325
system on a chip (SoC), 178
system partition, 10
system trust stores
Android 4.x, 157–158
APIs, 161–162
overview, 156 –157
using, 158–161
system updates, 17–18, 349–364
bootloader program, 350–354
fastboot mode, 352–354
unlocking, 350–352
recovery OS, 354–364
custom recoveries, 363–364
stock recovery, 354–363
T
TACK (Trust Assertions for
Certificate Keys), 168–169
TAG_DISCOVERED intent, 292
--tag parameter, 78
Team Win Recovery Project
(TWRP), 363
TECH_DISCOVERED intent, 292
<tech-list> element, 292
tethering, 91
TE (type enforcement), 321–322, 341
Timestamping Authority (TSA), 57
TLS (Transport Layer Security), 145
TOFU (Trust on First Use), 72, 167
tokens, Binder, 7–8
towelroot exploit, 375
TPMs (Trusted Platform
Modules), 179
transceive() method, 303
translateKey() method, 130
transmit() method, 308
Transport Layer Security (TLS), 145
trust anchors, 148
Trust Assertions for Certificate Keys
(TACK), 168–169
TrustedCertificateEntry class, 133
TrustedCertificateStore class, 157, 187
Trusted Platform Modules
(TPMs), 179
TrustManager class, 153
TrustManagerFactory class, 152, 159
Trust on First Use (TOFU), 72, 167
trustStore property, 156
TrustZone, 179
TSA (Timestamping Authority), 57
two-factor authentication (2FA), 207
TWRP (Team Win Recovery
Project), 363
TYPE_ANY, 176
type enforcement (TE), 321–322, 341
TYPE_GENERIC, 176
TYPE_KEY_PAIR, 176
TYPE_MASTER_KEY, 176
type statement, 325
type_transition rule, 327–328
U
ueventd daemon, 334
UICCs (Universal Integrated Circuit
Cards), 180, 296, 297–298,
305–309
accessing, 307–308
application implementation and
installation, 307
applications, 306–307
SIM cards and, 305–306
using OpenMobile API, 308–309
Index 399
UIDs
associating permissions with, 27
Linux UIDs and, 88
multi-user support, 16
sharing, 14
ui_print function, 359
umount function, 359
unconfineddomain domain, 344–345
uninstallCaCert() method, 226
Universal Integrated Circuit Cards.
See UICCs
Unknown Sources
multi-user support and, 91, 92
PackageInstaller and, 63, 66
unshare() method, 106
UnsupportedOperationException, 203
untrusted_app type, 325, 346
U N W R AP_ M O DE, 126
updateCredentials() method, 197
update() method, 122
--update_package option, 356
UPDATE_PINS broadcast, 170
updates. See system updates
USB
multi-user support, 92
secure debugging, 277–283
authentication keys, 282
daemon overview, 277–279
implementation, 281–282
need for, 279–280
securing, 280
verifying host key fingerprint,
282–283
UsbDebuggingActivity, 281
UsbDeviceManager class, 282
USE_CREDENTIALS permission, 197, 198
userdata partition, 11
decrypting and mounting, 267
unmounting for encryption, 264
userId attribute, 71
user-installed apps, 11
userlists.xml file, 97
user management
app management
application sharing, 101–104
data directories, 100–101
overview, 99
broadcasts and, 95–96
command-line tools, 95
external storage
Android implementation,
106–111
Linux mount features,
105–106
overview, 104–105
permissions, 111–112
metadata
user list file, 96–97
user metadata files, 97–98
user system directory, 99
multi-user support
features of, 112
overview, 87–89
user types
guest user, 94–95
primary user, 90–91
restricted profiles, 92–93
secondary users, 91–92
UserManager API, 88
UserManagerService, 95
USER_STARTED broadcast, 96
USER_STARTING broadcast, 96
user statement, 325
USER_STOPPED broadcast, 96
USER_STOPPING broadcast, 96
USES_ENCRYPTED_STORAGE constant,
217, 223
<uses-policies> tag, 218
USES_POLICY_DISABLE_CAMERA constant,
217, 223
USES_POLICY_DISABLE_KEYGUARD_FEATURES
constant, 217, 223
USES_POLICY_EXPIRE_PASSWORD constant,
217, 223
USES_POLICY_FORCE_LOCK constant,
216, 222
USES_POLICY_LIMIT_PASSWORD constant,
216, 221
USES_POLICY_RESET_PASSWORD constant,
216, 218, 222
USES_POLICY_SETS_GLOBAL_PROXY
constant, 216, 222
USES_POLICY_WATCH_LOGIN constant, 216,
221, 222
USES_POLICY_WIPE_DATA constant,
216, 222
ut attribute, 71
400 Index
V
validate() method, 136
VerificationParams class, 78
verified boot feature, 18–20, 254–258
enabling, 256–258
implementation, 255–256
overview, 254–255
VERIFY_DATA command, 179
verify_data() met hod, 177
verify flag, 255
verify() method, 123, 154
verifyPackage() method, 357
verifyPendingInstall() method, 85
verity metadata block, 257
version attribute, 71, 97
VFS (Virtual Filesystem), 105
virtual private networks. See VPNs
vold daemon, 263, 267, 342
vold_prop type, 336
VPNs (virtual private networks),
227–250
application-based, 236–239
declaring, 237–238
establishing connection, 238
notifying user about
connection, 238–239
preparing, 238
configuration screen for, 91
EAP credentials
authentication keys and
certificates, 172–173
overview, 172
system credential store,
173 –174
L2TP, 22 9 –23 0
legacy, 231–236
accessing credentials, 234
always-on, 235–236
implementation, 231–233
profile and credential storage,
233–234
multi-user support, 239–242
implementation, 240–241
Linux advanced routing,
239–240
PPTP, 229
SSL-based, 230–231
Xauth, 230
VpnService class, 236–238
W
wakelocks, 2
<watch-login> tag, 216
WebView control, 210
Wi-Fi
EAP credentials
authentication keys and
certificates, 172–173
overview, 172
system credential store,
173 –174
EAP framework, 242–250
adding networks with
WifiManager API, 248–250
Android Wi-Fi architecture,
244–245
authentication methods,
243–244
credentials management,
245–248
multi-user support and, 91
user restrictions, 92
WifiConfiguration class, 248
wifi_data_file type, 327
WifiEnterpriseConfig class, 249
WifiManager API, 248–250
WifiManager class, 245
Wi-Fi Protected Access II (WPA2), 242
Wi-Fi Protected Access (WPA), 242
WifiService, 245
WifiStateMachine class, 245
WiMAX, 91
--wipe_cache option, 356, 361
<wipe-data> tag, 216
wipeData() method, 222
--wipe_data option, 356
wiping user data, 222
-w option, 60
WPA2 (Wi-Fi Protected Access II), 242
wpa_socket type, 327
wpa_supplicant daemon, 244–246, 327
WPA (Wi-Fi Protected Access), 242
W R AP_ M O DE , 126
WRITE_CONTACTS permission, 47
WRITE_EXTERNAL_STORAGE permission, 23,
104, 111
write_raw_image function, 359
WRITE_SECURE_SETTINGS permission,
39, 299
Index 401
X
X.509-based PKI (PKIX), 138, 152
X.509 certificates, 130, 135, 138, 141,
143, 146, 357
X509ExtendedKeyManager interface, 153
X509KeyManager interface, 153
X509_NAME_hash_old() function, 157
X509TrustManagerExtensions class, 169
X509TrustManager interface, 153
Xauth (IPSec Extended
Authentication), 230
XTS (XEX-based tweaked-codebook
mode with ciphertext
stealing), 260
Z
ZIP format, 52, 353
-Z option, 323, 333
ZygoteConnection class, 336
zygote process, 28, 107, 336, 342, 345
Android Security Internals is set in New Baskerville, Futura, TheSansMono
Condensed, and Dogma. The book was printed and bound by Lake Book
Manufacturing in Melrose Park, Illinois. The paper is 60# Husky Opaque
Offset Smooth, which is certified by the Sustainable Forestry Initiative (SFI).
The book uses a layflat binding, in which the pages are bound together
with a cold-set, flexible glue and the first and last pages of the resulting book
block are attached to the cover. The cover is not actually glued to the book’s
spine, and when open, the book lies flat and the spine doesn’t crack.


UPDATES
Visit http://www.nostarch.com/androidsecurity/ for updates, errata, and
other information.
IOS APPLICATION SECURITY
The Definitive Guide for
Hackers and Developers
by david thiel
january 2015, 352 pp., $49.95
isbn 978-1-59327-601-0
PRACTICAL MALWARE
ANALYSIS
The Hands-On Guide to Dissecting
Malicious Software
by michael sikorski and
andrew honig
february 2012, 800 pp., $59.95
isbn 978-1-59327-290-6
THE IDA PRO BOOK,
2ND EDITION
The Unofficial Guide to the World’s
Most Popular Disassembler
by chris eagle
july 2011, 672 pp., $69.95
isbn 978-1-59327-289-0
THE PRACTICE OF NETWORK
SECURITY MONITORING
Understanding Incident Detection
and Response
by richard bejtlich
july 2013, 376 pp., $49.95
isbn 978-1-59327-509-9
BLACK HAT PYTHON
Python Programming for
Hackers and Pentesters
by justin seitz
november 2014, 216 pp., $34.95
isbn 978-1-59327-590-7
METASPLOIT
The Penetration Tester’s Guide
by david k ennedy, jim o’gorman,
devon kearns, and mati aharoni
july 2011, 328 pp., $49.95
isbn 978-1-59327-288-3
More no-nonsense books from NO STARCH PRESS
phone:
800.420.7240 or
415.863.9900
email:
sales@nostarch.com
web:
www.nostarch.com

There are more than one billion Android
devices in use today, each one a potential
target. Unfortunately, many fundamental
Android security features have been little
more than a black box to all but the most
elite security professionals—until now.
In Android Security Internals, top Android
security expert Nikolay Elenkov takes us
under the hood of the Android security sys-
tem. Elenkov describes Android security archi-
tecture from the bottom up, delving into the
imple mentation of major security-related
components and subsystems, like Binder IPC,
permissions, cryptographic providers, and
device administration.
You’ll learn:
How Android permissions are declared,
used, and enforced
How Android manages application
packages and employs code signing to
verify their authenticity
How Android implements the Java Cryp -
tog raphy Architecture (JCA) and Java Secure
Socket Extension (JSSE) frameworks
About Android’s credential storage system
and APIs, which let applications store
cryptographic keys securely
About the online account management
framework and how Google accounts
integrate with Android
About the implementation of verified boot,
disk encryption, lockscreen, and other
device security features
How Android’s bootloader and recovery OS
are used to perform full system updates,
and how to obtain root access
With its unprecedented level of depth and
detail, Android Security Internals is a must-
have for any security-minded Android
developer.
About the Author
Nikolay Elenkov has been working on
enter prise security–related projects for
more than 10 years. He became interested
in Android shortly after the initial public
release and has been developing Android
applications since version 1.5. His work
has led to the discovery and correction
of significant Android security flaws. He
writes about Android security on his highly
regarded blog, http://nelenkov.blogspot.com/.
A Deep Dive into Android Security
$49.95 ($51.95 CDN) Shelve In: COMPUTERS/SECURITY
THE FINEST IN GEEK ENTERTAINMENT™
www.nostarch.com
Nikolay Elenkov
Foreword by Jon Sawyer
Elenkov
Android Security
Internals
Android Security Internals
An In-Depth Guide to
Android’s Security Architecture
“I LIE FLAT.” This book uses a durable binding that won’t snap shut.
Covers Android 4.4
SFI-00000