Blockchain A Practical Guide To Developing Business, Law, And Technology Solutions
Blockchain%20-%20A%20Practical%20Guide
Blockchain%20-%20A%20Practical%20Guide%20to%20Developing%20Business%2C%20Law%2C%20and%20Technology%20Solutions
Blockchain%20-%20A%20Practical%20Guide%20to%20Developing%20Business%2C%20Law%2C%20and%20Technology%20Solutions
User Manual: Pdf
Open the PDF directly: View PDF
.
Page Count: 321 [warning: Documents this large are best viewed by clicking the View PDF Link!]
- Cover
- Title Page
- Copyright Page
- Dedication
- About the Authors
- About the Contributors
- Contents at a Glance
- Contents
- Acknowledgments
- Introduction
- CHAPTER 1 Introduction to Blockchain
- CHAPTER 2 Business Use Cases
- CHAPTER 3 Technology Use Cases
- CHAPTER 4 Legal and Governance Use Cases
- CHAPTER 5 Technology on Ethereum
- CHAPTER 6 Fast-Track Application Tutorial
- CHAPTER 7 Ethereum Application Best Practices
- CHAPTER 8 Private Blockchain Platforms and Use Cases
- CHAPTER 9 Challenges
- CHAPTER 10 Sample Application: Blockchain and Betting
- What Is a Dapp?
- Introduction to Lotteries, Betting, and Gambling on the Blockchain
- Setting Up a Development Environment
- Syncing an Ethereum Node
- Creating and Configuring a Private Development Chain
- Creating a Killable Contract
- Compiling the Contract
- Deploying a Contract
- Contract Debugging and Interaction
- Defining Data Structures
- Enumerables
- Storage Variables
- Events
- Functions
- Summary
- CHAPTER 11 Deploying the Sample Application: Blockchain and Betting
- Index


HowTo_Generic / Blockchain: A Practical Guide to Developing Business, Law, and Technology Solutions / Bambara / 587-9 / Front Matter / blind folio: i
Blockchain
A Practical Guide to Developing
Business, Law, and Technology
Solutions
Joseph J. Bambara
Paul R. Allen
New York Chicago San Francisco
Athens London Madrid Mexico City
Milan New Delhi Singapore Sydney Toronto
00-FM.indd 1 04/01/18 3:16 PM
Copyright © 2018 by McGraw-Hill Education. All rights reserved. Except as permitted under the United States Copyright Act
of 1976, no part of this publication may be reproduced or distributed in any form or by any means, or stored in a database or
retrieval system, without the prior written permission of the publisher.
ISBN: 978-1-26-011586-4
MHID: 1-26-011586-0
The material in this eBook also appears in the print version of this title: ISBN: 978-1-26-011587-1,
MHID: 1-26-011587-9.
eBook conversion by codeMantra
Version 1.0
All trademarks are trademarks of their respective owners. Rather than put a trademark symbol after every occurrence of a trade-
marked name, we use names in an editorial fashion only, and to the benet of the trademark owner, with no intention of infringe-
ment of the trademark. Where such designations appear in this book, they have been printed with initial caps.
McGraw-Hill Education eBooks are available at special quantity discounts to use as premiums and sales promotions or for use in
corporate training programs. To contact a representative, please visit the Contact Us page at www.mhprofessional.com.
Information has been obtained by McGraw-Hill Education from sources believed to be reliable. However, because of the pos-
sibility of human or mechanical error by our sources, McGraw-Hill Education, or others, McGraw-Hill Education does not
guarantee the accuracy, adequacy, or completeness of any information and is not responsible for any errors or omissions or the
results obtained from the use of such information.
TERMS OF USE
This is a copyrighted work and McGraw-Hill Education and its licensors reserve all rights in and to the work. Use of this work
is subject to these terms. Except as permitted under the Copyright Act of 1976 and the right to store and retrieve one copy of the
work, you may not decompile, disassemble, reverse engineer, reproduce, modify, create derivative works based upon, transmit,
distribute, disseminate, sell, publish or sublicense the work or any part of it without McGraw-Hill Education’s prior consent. You
may use the work for your own noncommercial and personal use; any other use of the work is strictly prohibited. Your right to
use the work may be terminated if you fail to comply with these terms.
THE WORK IS PROVIDED “AS IS.” McGRAW-HILL EDUCATION AND ITS LICENSORS MAKE NO GUARANTEES
OR WARRANTIES AS TO THE ACCURACY, ADEQUACY OR COMPLETENESS OF OR RESULTS TO BE OBTAINED
FROM USING THE WORK, INCLUDING ANY INFORMATION THAT CAN BE ACCESSED THROUGH THE WORK
VIA HYPERLINK OR OTHERWISE, AND EXPRESSLY DISCLAIM ANY WARRANTY, EXPRESS OR IMPLIED, IN-
CLUDING BUT NOT LIMITED TO IMPLIED WARRANTIES OF MERCHANTABILITY OR FITNESS FOR A PARTICU-
LAR PURPOSE. McGraw-Hill Education and its licensors do not warrant or guarantee that the functions contained in the work
will meet your requirements or that its operation will be uninterrupted or error free. Neither McGraw-Hill Education nor its
licensors shall be liable to you or anyone else for any inaccuracy, error or omission, regardless of cause, in the work or for any
damages resulting therefrom. McGraw-Hill Education has no responsibility for the content of any information accessed through
the work. Under no circumstances shall McGraw-Hill Education and/or its licensors be liable for any indirect, incidental, special,
punitive, consequential or similar damages that result from the use of or inability to use the work, even if any of them has been
advised of the possibility of such damages. This limitation of liability shall apply to any claim or cause whatsoever whether such
claim or cause arises in contract, tort or otherwise.
HowTo_Generic / Blockchain: A Practical Guide to Developing Business, Law, and Technology Solutions / Bambara / 587-9 / Front Matter / blind folio: iii
I would like to dedicate this book to my family (Roseanne, Vanessa, and Michael) and friends
(especially Hillary Brower and Rolando Marino) and to the hope that we in America can
properly educate our young and lead the world in technology, innovation, and freedom.
—Joseph J. Bambara
I would like to dedicate this book to my children, Sophia and Terence.
My hope is that you will always do what you love, and therefore love what you do.
—Paul R. Allen
00-FM.indd 3 04/01/18 3:16 PM
HowTo_Generic / Blockchain: A Practical Guide to Developing Business, Law, and Technology Solutions / Bambara / 587-9 / Front Matter / blind folio: iv
About the Authors
Joseph J. Bambara, CIPP/US, is an attorney/technologist. As an attorney with a private
practice, he has counseled affiliate marketing, media, and technology firms in software and
data licensing agreements, intellectual property, privacy, data security, and cybersecurity
as well as analyzing the legal implications of new technologies like blockchain and smart
contracts. As technologist/founder of UCNY, Inc., his experience includes 30 years of
implementing computing and communications architecture for Wall Street, media and law
enforcement including mobile, enterprise, database, cybersecurity, and most recently IoT
and blockchain. He has taught courses in computing at CCNY School of Engineering in
New York. He is the author of more than 10 internationally published books on software
development covering Java, SQL, and related technologies for McGraw-Hill. As lecturer and
co-chairman of the New York County Lawyers Association Law and Technology Group, he
presents frequently on law and technology. He has a juris doctorate in law and a master’s
degree in computer science.
Paul R. Allen is a director and product owner at Enterprise Engineering, Inc. Paul has been
advising on, architecting, and developing applications systems for over 25 years. During this
time, he has performed many strategic assessments of IT organizations, infrastructures,
software development processes, and application architectures and helped companies and
teams evaluate alternative technologies and products. He has developed systems for the
financial, brokerage, pharmaceutical, and manufacturing industries, specializing in web-based,
object-oriented technology and is now doing the same in the exciting world of blockchain, IoT,
and smart contracts. He has taught numerous courses in computing at Columbia University
in New York. He has authored more than a dozen books, including OCM Java EE 6 Enterprise
Architect Exam Guide (Oracle Press, 2014), Sun Certified Enterprise Architect for J2EE Study
Guide (McGraw-Hill, 2007), J2EE Unleashed (SAMS, 2001), SQL Server Developer’s Guide
(IDG, 2000), Informix: Universal Data Option (McGraw-Hill, 1998), and PowerBuilder:
A Guide to Developing Client/Server Applications (McGraw-Hill, 1995). Paul has also given
presentations on computing topics in cities around the globe, including London, Paris, Tokyo,
Los Angeles, Vienna, Berlin, New York, Washington, D.C., Copenhagen, Oslo, and Stockholm.
00-FM.indd 4 04/01/18 3:16 PM
HowTo_Generic / Blockchain: A Practical Guide to Developing Business, Law, and Technology Solutions / Bambara / 587-9 / Front Matter / blind folio: v
About the Contributors
Kedar Iyer is a software engineer who has worked with satellite systems, autonomous robotics,
and blockchain technologies. He was the co-founder of LetsChai, an India-based dating site. His
most recent focus has been on blockchain technologies. He is the creator of PeerBet, a peer-
to-peer sports betting platform on the Ethereum blockchain. He has a degree in mechanical
engineering from UCLA and currently lives in Brooklyn, New York.
Solomon Lederer, PhD, is a founder of blockmatics.tech, a blockchain training and consulting
firm, and the founder of Coinspace, a blockchain-focused co-working space. He is also partner
and head of technology at Iterative Instinct, a private investment fund focused on crypto-
assets. He has a doctorate in distributed and ad hoc sensor networks, where he developed novel
ways for networks to self-organize. Before blockchain, he worked as a software engineer in the
defense and finance industries. He has been working with/teaching blockchain technology and
Ethereum since 2014.
René Madsen is an enterprise solution architect at Progressive A/S, specializing in blockchain
development and big data for many enterprise organizations across western Europe. He is also
an adjunct lecturer at Copenhagen Business School in Denmark. He has a master’s degree in
computer science from Copenhagen University and an MBA from Edinburgh Business School,
Heriot-Watt University.
Michael Wuehler is a founder of Ethereum and INFURA. He is a blockchain evangelist
at ConsenSys, a leading blockchain venture production studio. He leads a global team in
building an ecosystem of consumer-centric products and enterprise solutions using blockchain
technologies, primarily Ethereum. He is a business and information systems leader with
25 years of experience and a broad-based background that spans technical and business
infrastructure, transformation, and operations. He attended the University of Chicago Booth
School of Business. He lives in New York City.
About the Technical Editor
Sean T. McKeough is the co-founder of Blockmatics, a leader in the blockchain education
space. He regularly meets with leaders from a variety of industries to help them understand this
transformative technology and how they might apply it to their business or passion. Sean is a
community organizer at heart and is a regular in the New York and Colorado blockchain event
scene. You can get in touch with Sean at 21.co/mckeough.
00-FM.indd 5 04/01/18 3:16 PM
HowTo_Generic / Blockchain: A Practical Guide to Developing Business, Law, and Technology Solutions / Bambara / 587-9 / Front Matter / blind folio: vi
vi
Contents at a Glance
CHAPTER 1
Introduction to Blockchain .....................................1
CHAPTER 2
Business Use Cases............................................33
CHAPTER 3
Technology Use Cases .........................................55
CHAPTER 4
Legal and Governance Use Cases...............................75
CHAPTER 5
Technology on Ethereum .....................................103
CHAPTER 6
Fast-Track Application Tutorial................................125
CHAPTER 7
Ethereum Application Best Practices ..........................145
CHAPTER 8
Private Blockchain Platforms and Use Cases ...................173
CHAPTER 9
Challenges ..................................................217
CHAPTER 10
Sample Application: Blockchain and Betting...................233
CHAPTER 11
Deploying the Sample Application: Blockchain and Betting.....265
Index ...................................................................... 291
00-FM.indd 6 04/01/18 3:16 PM
vii
HowTo_Generic / Blockchain: A Practical Guide to Developing Business, Law, and Technology Solutions / Bambara / 587-9 / Front Matter
Contents
Acknowledgments . . . . . . . . . . . . . . . . . . . . . . . . . . . . . . . . . . . . . . . . . . . . . . . . . . . . . . xiii
Introduction ............................................................ xv
CHAPTER 1
Introduction to Blockchain .....................................1
Blockchain: An Information Technology ..............................................6
A Distributed Trusted Information Technology ..................................6
Implementation Trends. . . . . . . . . . . . . . . . . . . . . . . . . . . . . . . . . . . . . . . . . . . . . . . . . . . . . . . . 7
Trust: The Byzantine Generals Problem. . . . . . . . . . . . . . . . . . . . . . . . . . . . . . . . . . . . . . . . . . . . . . . 8
The Byzantine Generals Problem Explained: Why Trust Is So Important ............8
Byzantine Fault Tolerance in Use Today: Why Airplanes Are Safe ..................10
Satoshi Nakamoto’s Blockchain Breakthrough ........................................11
Satoshi Nakamoto: The Man, the Myth, the Mystery .............................11
Satoshi Nakamoto: Timing Is Everything .......................................12
Blockchain: Underpinning of Cryptocurrency ...................................13
Types of Blockchain ...............................................................13
Public Blockchains ...........................................................13
Consortium Blockchains ......................................................14
Private Blockchains ..........................................................14
Comparing Blockchains ......................................................14
Blockchain Implementations .......................................................15
Bitcoin .....................................................................16
Namecoin ..................................................................22
Ripple ......................................................................22
Ethereum ...................................................................23
Blockchain Collaborative Implementations ...........................................24
Hyperledger .................................................................24
Corda ......................................................................25
Blockchain in Practical Use Today ...................................................26
Blockchain in the Financial Technology Space ...................................27
Blockchain in the Sharing Economy ............................................27
Blockchain and Real Estate ....................................................28
Blockchain and Identity. . . . . . . . . . . . . . . . . . . . . . . . . . . . . . . . . . . . . . . . . . . . . . . . . . . . . . . 28
00-FM.indd 7 04/01/18 3:16 PM
viii
Contents
HowTo_Generic / Blockchain: A Practical Guide to Developing Business, Law, and Technology Solutions / Bambara / 587-9 / Front Matter
Blockchain and the Practice of Law ............................................29
Blockchain Decentralized File Storage ..........................................30
Decentralized Autonomous Organizations ......................................30
Blockchain and Cloud Computing .............................................31
Blockchain Gambling and Betting ..............................................31
Summary ........................................................................31
CHAPTER 2
Business Use Cases............................................33
Currency and Tokens ..............................................................33
Cryptocurrency .............................................................33
Digital Tokens ...............................................................36
Financial Services Use Cases. . . . . . . . . . . . . . . . . . . . . . . . . . . . . . . . . . . . . . . . . . . . . . . . . . . . . . . . 37
Know Your Customer (KYC) Use Case .........................................37
Asset Management Settlement Use Case .......................................38
Insurance Claims Processing Use Case .........................................38
Trade Finance (Supply Chain) Use Case ........................................40
Global Payments Use Case ....................................................41
Smart Property ..............................................................42
Transferring Ownership of Smart Property .....................................43
Using Smart Property as Collateral .............................................45
Smart Contracts on the Blockchain ..................................................46
The Trust Problem ...........................................................46
Blockchain Details ...........................................................48
Blockchain IoT Protocol Projects ....................................................52
Summary ........................................................................53
CHAPTER 3
Technology Use Cases .........................................55
Web Versions 1 and 2 ..............................................................56
Web 3.0 ..........................................................................57
Distributed Storage Systems ........................................................59
InterPlanetary File System ....................................................59
Swarm. . . . . . . . . . . . . . . . . . . . . . . . . . . . . . . . . . . . . . . . . . . . . . . . . . . . . . . . . . . . . . . . . . . . . . 62
Storj .......................................................................65
Distributed Computation ..........................................................66
Golem ...........................................................................67
Zennet .....................................................................68
Decentralized Communications .....................................................69
Existing Decentralized Communications .......................................70
Whisper ....................................................................70
Summary ........................................................................72
CHAPTER 4
Legal and Governance Use Cases...............................75
Blockchain Changes the Legal Landscape ............................................76
Cryptocurrencies as Legal Tender .............................................76
Blockchain and Privacy Laws ..................................................79
Legal Ramifications of Blockchain Records ......................................81
00-FM.indd 8 04/01/18 3:16 PM
Contents
ix
HowTo_Generic / Blockchain: A Practical Guide to Developing Business, Law, and Technology Solutions / Bambara / 587-9 / Front Matter
The Beginning of Autonomous Law: Smart Contract ..................................82
Smart Contract Evolution .....................................................83
Smart Contract Components ..................................................83
Smart Contract Benefits ......................................................84
Smart Contract Challenges. . . . . . . . . . . . . . . . . . . . . . . . . . . . . . . . . . . . . . . . . . . . . . . . . . . . 85
Smart Contract Risks .........................................................85
Smart Contract Legal Challenges ..............................................85
Blockchain as Evidence and Digital Signature ....................................87
Smart Contract Design Example ....................................................88
Is an Advertising Payment Application a Blockchain Fit? ..........................89
Defining Contract Data Structures .............................................92
Smart Contract Events .......................................................93
Smart Contract Functions ....................................................93
Smart Contracts in Practice ...................................................95
Decentralized Autonomous Organizations ...........................................96
DAO and Jurisdiction ........................................................97
DAO Service-Level Liability ...................................................99
DAO Liability for Contract Breach .............................................99
DAO and Intellectual Property ................................................99
DAO and Who or What Is Responsible ........................................100
DAO Compliance with Financial Services Regulation ...........................100
The DAO and Exiting a Contract .............................................100
DAO Data as Property. . . . . . . . . . . . . . . . . . . . . . . . . . . . . . . . . . . . . . . . . . . . . . . . . . . . . . . 100
DAO and Due Diligence .....................................................101
Summary .......................................................................101
CHAPTER 5
Technology on Ethereum .....................................103
Ethereum Accounts ..............................................................105
Ether the Cryptocurrency ....................................................105
Obtaining Ether ............................................................106
Mining in Ethereum .........................................................107
Ethereum Work ..................................................................110
Transactions ...............................................................110
Network Fuel (Gas) .........................................................111
Messages ..................................................................111
The Ethereum Block ........................................................115
State Transition Function (STF) ..............................................116
Code Execution ............................................................117
Turing Complete ...........................................................118
Scalability ..................................................................119
Infrastructure: Storage and Communication ...................................120
Decentralized Applications ........................................................122
Profile of a Dapp ............................................................122
Decentralized Autonomous Organizations ..........................................123
Summary .......................................................................124
00-FM.indd 9 04/01/18 3:16 PM
x
Contents
HowTo_Generic / Blockchain: A Practical Guide to Developing Business, Law, and Technology Solutions / Bambara / 587-9 / Front Matter
CHAPTER 6
Fast-Track Application Tutorial................................125
Introducing Solidity ..............................................................125
Solidity Basics ..............................................................126
Solidity Functions and Parameters ............................................134
Layout of Storage ...........................................................137
Run Ethereum Dapps in Your Browser ..............................................138
Installing MetaMask ........................................................139
Developing a Contract Using MetaMask .......................................139
Remix/Browser Solidity .....................................................140
Develop a Simple Smart Contract ..................................................140
Deploy the Smart Contract ..................................................141
Validate the Smart Contract ..................................................142
Next Step: Try Truffle .......................................................143
Summary .......................................................................143
CHAPTER 7
Ethereum Application Best Practices ..........................145
Ethereum Blockchain Development ................................................145
Setting Up the Development Environment for Truffle ...........................145
Set Up a Truffle Project ......................................................146
Truffle Directory Structure ..................................................146
Ethereum Blockchain Development: Best Practices ...................................146
Blockchain Technologies ....................................................147
Solidity Basics Continued ....................................................148
Calling Contracts from Contracts .............................................149
Handling Events ............................................................151
Smart Contract Design ...........................................................154
Modules and Interfaces ......................................................154
Security and Roles ..........................................................155
Single Contract Design ......................................................156
Linked Contracts ...........................................................156
User-Specific Contracts .....................................................158
Handling Persistent Contract Addresses .......................................160
Halting a Contract ..........................................................162
Smart Contract Life Cycle: Migration ...............................................163
Smart Contract Interaction with Users and Enterprise Applications ....................164
Debugging Your Smart Contract ...................................................164
Debugging Using Remix .....................................................164
Debugging Using Events .....................................................165
Smart Contract Validation ........................................................165
Types of Tests ..............................................................165
Dry Run Using Private Nets ..................................................167
Autopsy of a Wallet Bug ..........................................................169
The Future ......................................................................171
Summary .......................................................................172
00-FM.indd 10 04/01/18 3:16 PM
Contents
xi
HowTo_Generic / Blockchain: A Practical Guide to Developing Business, Law, and Technology Solutions / Bambara / 587-9 / Front Matter
CHAPTER 8
Private Blockchain Platforms and Use Cases ...................173
Categories of Blockchain ..........................................................174
Private Blockchain Use Cases ......................................................175
Private Blockchain Technology ....................................................176
AlphaPoint Distributed Ledger Platform .......................................176
Chain Core ................................................................177
Corda .....................................................................177
Domus Tower ..............................................................177
The Elements Project .......................................................178
HydraChain ................................................................179
Hyperledger ................................................................179
Interbit ....................................................................197
Monax ....................................................................197
MultiChain ................................................................213
Openchain .................................................................214
Quorum ...................................................................214
Stellar .....................................................................215
Symbiont Assembly .........................................................215
Summary .......................................................................215
CHAPTER 9
Challenges ..................................................217
Blockchain Governance Challenges ................................................218
Bitcoin Blocksize Debate .....................................................218
The Ethereum DAO Fork ....................................................220
Ethereum’s Move to PoS and Scaling Challenges ................................221
Blockchain Technical Challenges ...................................................221
Bugs in the Core Code .......................................................221
Denial-of-Service Attacks ....................................................222
Security in Smart Contracts ..................................................223
Scaling ....................................................................228
Sharding ...................................................................229
Summary .......................................................................231
CHAPTER 10
Sample Application: Blockchain and Betting..................233
What Is a Dapp? .................................................................233
Introduction to Lotteries, Betting, and Gambling on the Blockchain ....................234
Setting Up a Development Environment ............................................236
Syncing an Ethereum Node ........................................................236
Creating and Configuring a Private Development Chain ..............................237
Creating a Killable Contract .......................................................238
Compiling the Contract ...........................................................240
Deploying a Contract .............................................................240
Contract Debugging and Interaction ................................................243
Defining Data Structures ..........................................................245
Enumerables. . . . . . . . . . . . . . . . . . . . . . . . . . . . . . . . . . . . . . . . . . . . . . . . . . . . . . . . . . . . . . . . . . . . . 247
00-FM.indd 11 04/01/18 3:16 PM
xii
Contents
HowTo_Generic / Blockchain: A Practical Guide to Developing Business, Law, and Technology Solutions / Bambara / 587-9 / Front Matter
Storage Variables .................................................................247
Events ..........................................................................248
Functions .......................................................................248
Creating a Game ............................................................249
Bidding ....................................................................250
Scoring Games and Payouts ..................................................259
Withdrawing ...............................................................260
Reading Games .............................................................261
Reading Bids ...............................................................261
Summary .......................................................................263
CHAPTER 11
Deploying the Sample Application: Blockchain and Betting....265
Deploying Full Contract. . . . . . . . . . . . . . . . . . . . . . . . . . . . . . . . . . . . . . . . . . . . . . . . . . . . . . . . . . . 265
Deploying to the Mainnet ....................................................266
Seeding Data ....................................................................266
Front-End User Interface ..........................................................271
Pages in the User Interface ...................................................271
Displaying Games ...........................................................271
Bet Page Markup ...........................................................277
Displaying Game Information ................................................280
Displaying Open Bids .......................................................281
Displaying Bets .............................................................282
Placing Bids/Bets ...........................................................283
Scoring Games .............................................................287
Withdrawing Money ........................................................288
Deploying to AWS ..........................................................290
Summary .......................................................................290
Index ...................................................................... 291
00-FM.indd 12 04/01/18 3:16 PM
xiii
HowTo_Generic / Blockchain: A Practical Guide to Developing Business, Law, and Technology Solutions / Bambara / 587-9 / Front Matter
Acknowledgments
We would like to acknowledge all the incredibly hard-working folks at McGraw-Hill Education,
especially Lisa McClain and Claire Yee. We would also like to thank Sean McKeough for his
help in editing the technical material in this book and providing valuable and timely response
to our work.
—Joseph J. Bambara and Paul R. Allen
A very special thanks to my lady, Hillary Brower, and my co-author, Paul R. Allen, especially for
his friendship and for being a great partner no matter what we try. Thanks to my family, who
are always there when I need them.
—Joseph J. Bambara
Port Washington, New York
As always, a very special thank you to my family for being a source of strength, support, and
ideas. Evelyn, thank you for encouraging me to write “the latest last book.” I won’t be writing
another . . . at least for a couple of years! A very special thank you to my co-author, Joseph J.
Bambara, who first introduced me to blockchain and then correctly predicted that we would
write about it one day!
—Paul R. Allen
New York, New York
00-FM.indd 13 04/01/18 3:16 PM
HowTo_Generic / Blockchain: A Practical Guide to Developing Business, Law, and Technology Solutions / Bambara / 587-9 / Front Matter / blind folio: xiv
00-FM.indd 14 04/01/18 3:16 PM
This page intentionally left blank
xv
HowTo_Generic / Blockchain: A Practical Guide to Developing Business, Law, and Technology Solutions / Bambara / 587-9 / Front Matter
Introduction
Blockchain technology is robust like the Internet, but unlike the web2 Internet of today, it stores
identical blocks of information across its network. For this reason, a blockchain cannot be
controlled by any single entity nor does it have a single point of failure. By storing data across its
network, the blockchain eliminates the risks that come with data being held centrally. Blockchain
networks lack centralized points of vulnerability that computer hackers can exploit easily.
Today’s Internet has security problems that are familiar to everyone. We all rely on username
and password credentials to access our assets online. Blockchain uses encryption technology
to improve security. By allowing data and information to be widely distributed, blockchain
technology has created the backbone of the new Internet, web3. Though it was originally devised
for the digital currency Bitcoin, the business and technology communities are finding many uses
for blockchain. Knowledge of this new technology will be required by not only programmers but
by all businesses. In the next five to ten years, blockchain will change the business models in all
types of industries—and perhaps change the way people work and live.
We have been involved in computing technology since its first practical use on Wall Street
circa 1974. We have used and written about the evolving technology tools starting with IBM
Assembler, Fortran, COBOL, and data access methods like QSAM, BDAM, and VSAM, all the
way to present-day REST web services, Java, and SQL and everything in between (including
client/server tools like PowerBuilder). We have been fortunate in that our passions for learning
and becoming proficient in each new and emerging technology have served us well in the
business community. We recognized blockchain technology as an ingenious invention, as it
combines the best of what came before it in database design, cryptography, and virtual machine
containers with the very capable distributed computing environment of today. Our passion for
the technology was based on love at first sight. We have brought together a robust network of
blockchain entrepreneurs, fellow blockchain technologists, and others who have made critical
contributions to the coverage and text of this book.
Target Audience
The target audience for this book includes anyone interested in blockchain technology as well
as its use cases. It is also for anyone developing a blockchain application—what is required to
build solutions in this space. Additionally, web and application developers of all levels as well
as tech-savvy businesspeople and even attorneys who want to stay current with technology in
general and blockchain specifically would find the discussions in this book of interest.
00-FM.indd 15 04/01/18 3:16 PM
xvi
Introduction
HowTo_Generic / Blockchain: A Practical Guide to Developing Business, Law, and Technology Solutions / Bambara / 587-9 / Front Matter
What This Book Covers
The book covers blockchain definition, use cases, distributed technology, and especially
blockchain development, with a good deal of code snippets and best practices. It targets the
Ethereum blockchain, introducing Solidity and other aspects of the Ethereum framework.
Additionally, there are two chapters devoted to setup, coding, validation, and deployment of a
complete and comprehensive blockchain betting application.
How to Use This Book
Each chapter in the book can stand alone, describing a particular aspect of blockchain
technology and its use cases. That said, there is a sequence whereby each chapter builds on the
previous chapters to provide a solid conceptual understanding of blockchain. This is coupled
with a comprehensive treatment for getting started as a designer and developer of blockchain
applications. This includes the Ethereum technology stack and code, and deployment
techniques and examples, including an entire application from code start to deployment finish.
How This Book Is Organized
In Chapter 1, we provide an overview of everything blockchain. We introduce it as a distributed
database technology with the capability to execute smart contracts. The expanding universe
of blockchain application is covered. The efficiencies and cost savings provided by blockchain
technologies—especially the private blockchains adopted by the financial community—are also
briefly examined. In parallel, the use of blockchain is shown to affect global transactions, and
this will push it forward toward maturity. Blockchain and its timing are critical to maintaining
global transactions and providing trust in the integrity of those transactions. For these reasons
and more, we argue that blockchain is here to stay, and the chapters herein will provide you with
a comprehensive map and toolset with what you need as a designer or developer to successfully
make the trip.
While blockchain technology is at the heart of cryptocurrencies like Bitcoin and Ethereum,
it clearly is a technology with widespread applicability in many sectors of business. Chapter2
gives some depth to real-world use cases in the financial services industry, including sections on
cryptocurrency and digital tokens. We then show how common business use cases ultimately
lead to faster throughput, reduced costs, improved accuracy, greater transparency, and quality,
reliability, simplicity, and traceability.
The chapter also discusses smart property and smart contracts and how they can be used in
conjunction in the not-too-distant future of blockchain technology. Chapter 2 closes with how
blockchain and the Internet of Things (IoT) will have a consortium of startups and companies
to help define and refine security and interoperability, management, and coordination between
connected devices. While IoT is still in its early stages of evolution and currently comprises
mostly technologies that either collect data or allow remote monitoring and control, this will
change as devices become smarter and artificial intelligence is added. This network of things
will transition toward becoming a network of autonomous devices that talk to each other and
(hopefully) make smart decisions without the need for human intervention or interpretation.
In short, we live in exciting times for blockchain technology.
00-FM.indd 16 04/01/18 3:16 PM
Introduction
xvii
HowTo_Generic / Blockchain: A Practical Guide to Developing Business, Law, and Technology Solutions / Bambara / 587-9 / Front Matter
Chapter 3 introduces some of the components of the Web 3.0 architecture. Distributed
networking and storage are happening now and promise solutions that could save the global
economy trillions annually. The Web today needs a new security model and an architecture
designed around contemporary use cases. The technology stack is just beginning to emerge.
It includes Swarm, IPFS, Storj, Golem, and Whisper, just to mention a few of a growing
number of components that represent the most ambitious solutions to this problem.
As the global infrastructure adapts to the new demands we are putting on it, unforeseen
opportunities will open before us. New tools will change not only the way we work and use web
conveniences but also the way we organize ourselves in groups. We are living in an interesting
time in history, where the Web begins to bring more knowledge and action capacity for its
users, resulting in considerable changes in several aspects of daily life. This new Web is moving
fast toward a more dynamic environment, where thedemocratization of the capacity of action
and knowledgecan speed up business in almost all areas. Imagine a future with hundreds of real
decentralized applications—for example, one in charge of registering land titles and mortgages
and handling local taxes, and a more general application in charge of managing the supply chain
of registered tenants, their monthly lease payments, as well as mortgage and expense payments.
One could easily link information from properties registered in the first application with the
tenants and their use of the properties registered in the second application. All this in an easy
way using the whole stack of semantic web technology and—something that is not possible to
date—ensuring that all data is 100 percent true, guaranteed by the smart contracts. The real
questions we must ask are: How will the world of Web 3.0 differ from the world of Web 2.0?
How will this technology penetrate beyond the cultures that created it? One thing is for sure:
blockchain will be at the center of this new world.
Chapter 4 is primarily about blockchain and the law. We show that smart contracts may
be the most transformative current blockchain component, especially for lawyers. We explore
why Professors Marco Iansiti and Karim R. Lakhani of the Harvard Business School said:
“The implications are fascinating. . . . If contracts are automated, then what will happen
totraditional firm structures, processes, and intermediaries like lawyers and accountants?
. . . Their roles would all radically change. . . . [W]e are decades away from the widespread
adoption of smart contracts. . . . A tremendous degree of coordination and clarity on how
smart contracts are designed, verified, implemented, and enforced will be required. We
believe the institutions responsible for those daunting tasks will take a long time to evolve.
And the technology challenges—especially security—are daunting. . . . [L]aw firms will
have to change to make smart contracts viable. They’ll need to develop new expertise in
software and blockchain programming.”
The chapter also explores how blockchain provides new possibilities for the way we interact and
exchange information, and as such brings forth challenging and complex legal issues and pushes
the boundaries of existing laws. We see that blockchain technology is something that our laws
will have to adapt to, just as they adapted to the Internet, medical technology, e-discovery, and
social media. There is a huge change before us as lawyers and as developers to embrace it and be
part of its evolution.
We show how regulation around blockchain is still up in the air, not only globally but also
in each state here in the United States. Businesses operating in regulated industries should seek
guidance from their regulators before integrating critical, customer-facing, or data-handling
00-FM.indd 17 04/01/18 3:16 PM
xviii
Introduction
HowTo_Generic / Blockchain: A Practical Guide to Developing Business, Law, and Technology Solutions / Bambara / 587-9 / Front Matter
processes with platforms like Ethereum. We examine the large strides made in the financial
services arena with private and consortium varieties of blockchain. We see clearly that this is an
indication that financial institutions are playing in and watching this space very closely.
Chapter 5 covers terminology (including block attributes) and concepts as well as the
technology stack, blockchain development platforms, and APIs. It also covers the Ethereum
Virtual Machine and Ethereum dapps, DAOs, and autonomous smart contracts.
In Chapter 6, we introduce the Solidity smart contract programming language and the tools
that make it simple and easy to fast-track deploy a smart contract to the Ethereum blockchain. In
this chapter, you get to create your first simple smart contract.
In Chapter 7,we introduce tools and techniques that are a little more complicated and
support a workflow to handle the development of more complex solutions.
In Chapter 8, we look into use cases for private and consortium blockchain solutions. We
review private blockchain technology such as Hyperledger, Monax, Ethereum, Hyperledger
Fabric, Quorum, and the Hyperledger tools Cello, Composer, and Explorer. We explore the
many options for permissioned private blockchains and show why the list is likely to grow. In
many cases, government/industry regulation dictates that private control will be needed. That
being said, the freedom, neutrality, and openness that started Bitcoin on the public blockchain
are important to keep in mind. The focus of decentralizing control and consensus on the public
platform is clearly something to think about. There is a great deal of chatter and concern around
privacy, identity, speed, and cost of the public blockchain solutions. It is important to note
that by creating privately administered smart contracts on public blockchains, or cross-chain
exchange layers that sit in between public and private blockchains, it is possible to deliver some
degree of the properties of private blockchains on the public platforms. Time will tell if these
types of capabilities and properties ever get built into the public blockchain.
While blockchains are heralded as a technological breakthrough that will solve many
problems, it’s clear that they face a large number of unique challenges. Chapter 9 reviews
these challenges and why they are not insurmountable, though they require a lot of work to
develop infrastructure and safety mechanisms to overcome them.
In Chapter 10, we introduce the development life cycle of a fully functioning betting
application built on Ethereum. While the focus was primarily on coding with Solidity, we made
sure to provide the reader with an entire application and explain each line of code and every
setup move required to build the application.
In Chapter 11, we show the reader how to deploy the application built in Chapter 10.
We also step through the development of a simple front end to run the application. If you have
read, understood, and tried some of the code in this chapter, you can now write new scripts
to deploy and test your own smart contracts. You can create a contract, and you can create a
front end to interact with it. In short, once you get through this whole book, you will be ready
to design, code, test, and deploy an Ethereum blockchain application.
00-FM.indd 18 04/01/18 3:16 PM
1
HowTo_Generic / Blockchain: A Practical Guide to Developing Business, Law, and Technology Solutions / Bambara / 587-9 / Chapter 1
1 Introduction to Blockchain
F
or the world of technology users, blockchain represents a dramatic improvement to the
landscape of information collection, distribution, and governance. That point has been
espoused these past few years in the books and presentations that hype and imagine this new
world. This book is one of the first to address the development of blockchain applications. As
such, we will present a development road map to the emerging options and trends. That said,
this is the first edition of what will be a series following the blockchain development evolution.
This book is aimed at all levels of developers, software engineers, and anyone interested
in the basics of blockchain technology, as well as the languages and tools required to build
decentralized applications. We will introduce everything needed to understand the technology,
write “smart contracts,” build applications that interact with them, and deploy and maintain
these applications on a host of emerging platforms.
So, let’s begin. Simply put, a blockchain is a database encompassing a physical chain of
fixed-length blocks that include 1 to N transactions, where each transaction added to a new
block is validated and then inserted into the block. When the block is completed, it is added to
the end of the existing chain of blocks. Moreover, the only two operations—as opposed to the
classic CRUD—are add transaction and view transaction. So the basic blockchain processing
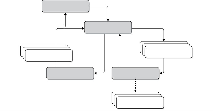
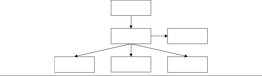
consists of the following steps, which are numbered 3, 4, and 5 in Figure 1-1:
1.
Add new and undeletable transactions and organize them into blocks.
2. Cryptographically verify each transaction in the block.
3. Append the new block to the end of the existing immutable blockchain.
More comprehensively, a blockchain is also a distributed database that maintains a doubly
linked list of ordered blocks. Each block averages 1 megabyte (see https://blockchain.info/
charts/avg-block-size) and contains control data of approximately 200 bytes, such as a
timestamp, a link to a previous block, some other fields (as depicted in Figure 1-2, to be
discussed later), and 1 to
N
transactions as can fit in the remaining space.
01-ch01.indd 1 04/01/18 3:17 PM

HowTo_Generic / Blockchain: A Practical Guide to Developing Business, Law, and Technology Solutions / Bambara / 587-9 / Chapter 1
2
Blockchain
The blocks once recorded are designed to be resistant to modification; the data in a block
cannot be altered retroactively. Through the use of a peer-to-peer network and a distributed
timestamping server, a public blockchain database is managed autonomously. Blockchains are
an open, distributed ledger that can record transactions between two parties efficiently and in
a verifiable and permanent way as depicted in Figure 1-1.
The ledger itself can also be programmed to trigger transactions automatically.
Blockchains are secure by design and an example of a distributed computing system with
high byzantine fault tolerance. Decentralized consensus can therefore be achieved with a
public blockchain. As we shall discuss in detail later, these features make blockchains ideal
for recording events, medical records and other records management activities, identity
management, transaction processing, and a host of emerging applications. Moreover,
blockchain technologies allow us to achieve large-scale and systematic cooperation in an
entirely distributed and decentralized manner. This can be considered and implemented
as a global governance tool, capable of managing social interactions on a large scale and
dismissing traditional central authorities. For example, in 2015, libertarian political activist Vit
Jedlička declared Gornja Siga—a seven-square-kilometer patch of uninhabited forest between
Croatia and Serbia—to be the “Free Republic of Liberland.” He used the Bitcoin blockchain as
a provisional government and released a constitutional document setting out how this new
country would be governed: voluntary taxation, an almost nonexistent government, and zero
restrictions whatsoever on speech and information.
FIGURE 1-1
Public blockchain transaction flow
6
4 5
A and B wish to
conduct an interaction
or transaction.
Cryptographic keys are
assigned to the interaction
that both A and B hold.
Once validated, a
new block is created.
This block is then added
to the chain.
The transaction between A
and B is completed.
The interaction is
broadcast and verified by
a distributed network.
A B
1
A
B
A
B
2 3
A
B
A
B
01-ch01.indd 2 04/01/18 3:17 PM

HowTo_Generic / Blockchain: A Practical Guide to Developing Business, Law, and Technology Solutions / Bambara / 587-9 / Chapter 1
Chapter 1 Introduction to Blockchain
3
Let’s look at some analogies that illustrate what is different about the public blockchain. It’s
both a database and the software that envelops it. As software, it is like BitTorrent, a program
that allows you to upload and download files directly with others also running the BitTorrent
software. So instead of uploading a file to a file-sharing service, such as Dropbox, and then
FIGURE 1-2
Blockchain data layout
TX3
• TX_ID
• TX_HASH
• TX_VERSION
• TX_SIZE
• TX_VALUE
• TX_KEY
TX2
• TX_ID
• TX_HASH
• TX_VERSION
• TX_SIZE
• TX_VALUE
• TX_KEY
BLOCK 1
BASIC
BLOCKCHAIN
SCHEMA
BLOCK
HEADER
• ID
• NEXT_BLOCK_ID
• PREV_BLOCK_ID
• BLOCK VERSION
• NONCE
• NUM_TX
TX1
• TX_ID
• TX_HASH
• TX_VERSION
• TX_SIZE
• TX_VALUE
• TX_KEY
TX3
• TX_ID
• TX_HASH
• TX_VERSION
• TX_SIZE
• TX_VALUE
• TX_KEY
TX2
• TX_ID
• TX_HASH
• TX_VERSION
• TX_SIZE
• TX_VALUE
• TX_KEY
BLOCK 2
BLOCK
HEADER
• ID
• NEXT_BLOCK_ID
• PREV_BLOCK_ID
• BLOCK VERSION
• NONCE
• NUM_TX
TX1
• TX_ID
• TX_HASH
• TX_VERSION
• TX_SIZE
• TX_VALUE
• TX_KEY
TX3
• TX_ID
• TX_HASH
• TX_VERSION
• TX_SIZE
• TX_VALUE
• TX_KEY
TX2
• TX_ID
• TX_HASH
• TX_VERSION
• TX_SIZE
• TX_VALUE
• TX_KEY
BLOCK N
BLOCK
HEADER
• ID
• NEXT_BLOCK_ID
• PREV_BLOCK_ID
• BLOCK VERSION
• NONCE
• NUM_TX
TX1
• TX_ID
• TX_HASH
• TX_VERSION
• TX_SIZE
• TX_VALUE
• TX_KEY
01-ch01.indd 3 04/01/18 3:17 PM

HowTo_Generic / Blockchain: A Practical Guide to Developing Business, Law, and Technology Solutions / Bambara / 587-9 / Chapter 1
4
Blockchain
sending your friend a link to download the file, you just upload the file directly to your friend’s
computer. This is what we mean by a peer-to-peer (p2p) program (see Figure 1-3).
The public blockchain is also a peer-to-peer program with one very important difference:
not only does it move files (data) from peer to peer, it also ensures that all the peers have
the same exact data. It enforces this. If the data changes on one machine, it changes on all
the machines. There are rules specifying exactly how a change can be made, and if someone
doesn’t follow them and modifies their copy illegally, they’re ignored. It’s no different from
an email program trying to send an email without the proper SMTP headers—it won’t be
recognized by other email programs. By the same token, if your version gets deleted or
corrupted, it’s not a problem, just re-sync with your peers and you get a fresh valid copy.
As noted, the way current public blockchains like Bitcoin and Ethereum work is that
instead of changing data within the dataset, new data is just appended onto the old. In other
words, data is only written, never deleted. This is how it gets the name blockchain, because
new data is added in batches, or blocks, and appended to the existing blocks, forming a chain
of blocks. Not only does everyone have the same database (blockchain), but everyone gets a
locker within the blockchain that only they can access. Normally, exclusive access to something
is managed with usernames and passwords. The public blockchain has no central authority
to manage usernames and passwords, so instead it uses cryptography. Each user is able to
generate a locker address and a private key code that allows them to unlock the locker. The
locker is only an analogy, of course. In reality it’s just an ID number (referred to as an address),
which is tagged to a user’s data. The private key is a code that allows the user to prove they’re
the creator (or owner) of that
address
. Only the person who generated the address would have
the private key, and no one can ever determine what the private key is from the address alone.
FIGURE 1- 3
Decentralized versus centralized data stores
Dropbox
Centralized
Ledger
Decentralized
Ledger
Peer-Peer
01-ch01.indd 4 04/01/18 3:17 PM
HowTo_Generic / Blockchain: A Practical Guide to Developing Business, Law, and Technology Solutions / Bambara / 587-9 / Chapter 1
Chapter 1 Introduction to Blockchain
5
So while everyone can see the data tagged with your address in the blockchain, no one is
allowed to modify it. It can only be modified by the person who can prove they’re the owner
via the private key. For example, if bitcoins are tagged with your address, they cannot be
moved (i.e., tagged with another address) unless the private key is used.
What’s also amazing about this system is that anyone can generate an address
by
themselves, in isolation,
without concern that it will clash with anyone else’s address. The
reason for this is that there are so many possible addresses, it is essentially impossible to
clash with another address, even if you tried.
It gets better. Not only is static data stored in the dataset, but you can store executable
code in it too. Say you have a piece of code written in JavaScript-type language, such as
Ethereum Solidity, sitting there on everyone’s machine waiting to be executed. Remember
that data is only written to the blockchain, never erased, so you now have a piece of code no
one can change. Everyone can be certain the way it’s written is the way it will always run.
This code is also tagged with someone’s address. The owner of that address gets to
decide what operations are open to the public and what only they can execute. They only
get to make this decision at the time the code is written. Once written, it cannot be changed.
Everyone will still be able to see the code and what it’s doing, but can only interact with it in
the ways specified by the owner.
Let’s start with the original motivation to create a blockchain: money. Our current
monetary system is based on records of how much money is out there and who has how
much of it. We rely on our governments and banks to maintain these records. But a
blockchain allows us to keep these records ourselves, since it guarantees that the record is
the same for everyone. We each keep this dataset—that is, the blockchain that contains a
record of every single transaction that happens in the particular monetary system. Since
everyone’s copy is synchronized with everyone else’s, no one has to worry about fraudulent
or conflicting entries. There’s now no need for a bank to manage our records. The blockchain
does it instead. As far as how money gets created and distributed in the first place, that is
another story, but the Bitcoin network as well as other cryptocurrencies handle that as well.
That is just on the data, or ledger, side of things. It gets far more interesting when
computer code is managed in that way too. Let’s imagine a legal contract: Certain actions are
taken under certain conditions. Even after the parties sign, they must still rely on the good
faith of the other or our justice system to carry out their side of the agreement. Let’s take an
example. Donald hates flight delays. AIGore Insurance tells him if he pays them $5 and his
flight is delayed by more than an hour, AIGore will return his $5 and pay him an additional
$20. A simple insurance scheme, or perhaps it’s a bet. In any case, when Donald gives
AIGore $5 he has to trust them that they will carry out their end of the bargain. However, by
using a blockchain he can eliminate this risk. Collectively, they write the conditions of their
agreement in computer code, and initialize the contract with enough funds to make good
on either side: Donald sends $5 worth of cryptocurrency, and AIGore Insurance sends $20.
Then an hour after Donald’s flight is scheduled to arrive, the computer code contract will do
the following:
1.
Look up Donald’s flight on www.flightstats.com.
2. If it was delayed more than an hour, send Donald $25.
3. Otherwise, send AIGore Insurance $25.
01-ch01.indd 5 04/01/18 3:17 PM
HowTo_Generic / Blockchain: A Practical Guide to Developing Business, Law, and Technology Solutions / Bambara / 587-9 / Chapter 1
6
Blockchain
This code, once it’s written to the blockchain, cannot be removed or altered. Neither
party can unilaterally remove the money. Donald and AIGore are guaranteed that the terms
of the contract will be executed. In the Ethereum blockchain, this is termed a smart contract;
much more on that as we proceed. We will examine the code for an application that does just
that. See http://fdd.etherisc.com/ for details on how this type of insurance is implemented
using the blockchain.
Blockchain: An Information Technology
As mentioned, a blockchain is a distributed ledger of transactions implemented as data
batched into blocks that use cryptographic validation to link the blocks together. Each block
references and identifies the previous block using a hashing function which forms an unbroken
chain (i.e., blockchain).
A public blockchain is not stored in one central computer. Nor is it managed by any central
entity. Instead, it is distributed and maintained by multiple computers or nodes that compete to
validate the newest block entries before the other nodes to gain a reward for doing so.
The block validation system is designed to be immutable. That is to say, all transactions
old and new are preserved forever with no ability to delete. Anyone on the network can browse
via a designated website and see the ledger. This provides a way for all participants to have an
up-to-date ledger that reflects the most recent transactions or changes. In this way, blockchain
establishes trust, which as we shall see facilitates transactions and brings many cost-saving
efficiencies to all types of transactional interactions.
A Distributed Trusted Information Technology
From a technical point of view, the blockchain is a distributed, transparent, immutable,
validated, secured, and pseudo-anonymous database existing as multiple nodes such that
if 51percent of the nodes agree then trust of the chain is guaranteed. The blockchain is
distributed because a complete copy lives on as many nodes as there are in the system. The
blockchain is immutable because none of the transactions can be changed. The blockchain is
validated (e.g., in the Bitcoin space) by the miners who are compensated for building the next
secure block. The blockchain is pseudo-anonymous because the identity of those involved in
the transaction is represented by an address key in the form of a random string.
That said, this is an evolving space and, like the cloud computing paradigm, there are
public, private, and even hybrid blockchains, which we will explore in detail later in this chapter.
These blockchain variations on the basic theme are the result of enterprise architects looking
to implement blockchain applications to save time and fees. Enterprise requirements around
scaling, performance, the need to know the identity of those involved in the transaction, and
other things provide its emerging variations. Blockchain evangelists reckon distributed ledger
technology has the potential to upend centralized database practices in institutional finance
and most other transaction-based technology. In 2017, the technology shifted from hype to
commercial reality. For blockchain to succeed, the application development life cycle, which
facilitated large web applications using tools like HTML, CSS, JavaScript, REST web services,
Java, SQL, and NOSQL data stores, will have to be amended to integrate the blockchain
01-ch01.indd 6 04/01/18 3:17 PM
HowTo_Generic / Blockchain: A Practical Guide to Developing Business, Law, and Technology Solutions / Bambara / 587-9 / Chapter 1
Chapter 1 Introduction to Blockchain
7
onto that stack. We will need integrated development environments (IDEs) and continuous
integration and testing procedures to move applications and their attendant code from
development to QA and ultimately reliable production implementations. Additionally, because
blockchains cannot access data outside their network on their own, third-party services (known
as oracles, agents, or data feeds) will also need to be integrated. These oracles or agents typically
access and verify real-world occurrences and submit this information to a blockchain to be used
by smart contracts. They provide external data when needed and push it onto the blockchain.
Such conditions could be anything, such as the flight delay information we saw in the insurance
example. The blockchain will have to operate efficiently, scale well, handle the know-your-
client (KYC) process, create the aforementioned oracles or APIs that produce and consume
off-chain services to verify events and data and handle/convert real-world money to and from
cryptocurrencies, and integrate well with different chains. This is all in progress, and we will
explore some of these IDEs and development processes in detail as we proceed.
Implementation Trends
A lot has changed since blockchain first emerged as the technology underpinning the
cryptocurrency Bitcoin as a distributed ledger of transactions and asset ownership that is
maintained by a network of computers over the Internet. More proof of its ability to reduce
costs and speed up post-trade processes has emerged in the past year. We will explore this
in detail.
A key factor to its rapid growth is the backdrop against which it has launched. Financial
institutions and infrastructures are under pressure both to comply with regulation and to
reduce cost. That pressure coincided with this technology coming into existence. It’s the
intersection of requirement and opportunity that’s causing the rapid growth. The technology
will make moves from “proof-of-concept” technology into production, especially in cross-
border payments and trade finance. In this book, we will examine the development life cycle
that is emerging with the blockchain. Having been developers for over 30 years, we have
witnessed lots of changes in technology starting from the IBM Assembler/COBOL days. We
like to kid our colleagues with the fact that we may have worked on the first blockchain.
Back in 1974, no Wall Street firm had its own computer. All processing was done by
the famous payroll firm Automatic Data Processing (ADP), located a few blocks away from
the heart of Wall Street. The licensed securities exchange firms would drop their stack of
punch cards containing the transactions into a designated dropbox. They also dropped
off one of their master data magnetic tapes containing the sort of “blockchain”—that is,
all transactions to date for that particular organization in sequential order stored in IBM’s
QSAM format. The programs written in Fortran, COBOL, or IBM assembler could only
read data sequentially front to back. The cards representing the transactions would be added
to the end of the existing chain of QSAM records, creating/writing a new tape file and hence
a new state of the database or simple blockchain. Next came the emergence of early database
technology like IBM IMS, IDMS, and ADABAS, followed by the dawn of the ever-enduring
SQL in the mid-1980s. Then the open source revolution led to the Linux/Python/Java/
SQL/NOSQL/HTML/JavaScript technology stack where web development and database
development have matured to create the big data/web-enabled world we live in. Blockchain
will further disrupt this evolution to bring trust firmly back into the picture. That said, it will
01-ch01.indd 7 04/01/18 3:17 PM
HowTo_Generic / Blockchain: A Practical Guide to Developing Business, Law, and Technology Solutions / Bambara / 587-9 / Chapter 1
8
Blockchain
have to be integrated into this existing development paradigm. These changes are emerging.
Early adopters of blockchain used first-generation IDEs to develop applications and, as
we shall see, JavaScript-type languages for things like smart contracts, to be discussed in a
later chapter. Moreover, integrating blockchain with existing applications will also present
challenges that we will examine.
As further impetus to the rise of blockchain, we expect 2018 will be dominated by last-
minute preparations for the incoming revised European Union Revised Payment Services
Directive (PSD2) effective in May of that year. As PSD2 becomes implemented, banks’
monopoly on their customers’ account information and payment services will disappear. PSD2
enables bank customers—both consumers and businesses—to use third-party providers to
manage their finances. That means you may be using Google to pay your bills, make transfers,
and analyze your spending. Banks will provide these third parties access to their customers’
accounts through open APIs (application program interfaces). The EU directive opens the door
to any interested company, with provisions that will make it easier for startups to access data
from banks. This will allow the startups to use blockchain to better penetrate some functions
currently performed by banks. With the creation of open banking platforms, there will be
opportunities for financial technology (fintech) firms to partner with banks to create new wave
customer experiences and provide increased transparency on performance and fee structures.
We believe that 2018 is the year that fintech catches up with the hype: validating blockchain-
based technologies with promise, scale, customers, and adoption. We are all seeing signs that
are consistent with a technology going mainstream in the next five years and changing the
transactional landscape for many more years to follow.
Trust: The Byzantine Generals Problem
Back in early days of business computing, circa 1980, computer scientists began to examine
reliability and computers. It was determined that a reliable computer system must be able to
cope with the failure of one or more of its components. A failed component may exhibit a
type of behavior that is overlooked and problematic, namely, sending conflicting information
to different parts of the system. The problem of coping with this type of failure is expressed
abstractly as the Byzantine Generals Problem, from the 1982 scholarly paper by Leslie Lamport,
Robert Shostak, and Marshall Pease (www-inst.eecs.berkeley.edu/~cs162/fa12/hand-outs/
Original_Byzantine.pdf ). This abstract problem and the solutions thereof are used in developing
highly reliable and trusted blockchain implementations.
The Byzantine Generals Problem Explained:
Why Trust Is So Important
The Byzantine Generals Problem (BGP) is one of many in the field of agreement protocols.
Lamport framed his paper around a story problem. This was the style of the day as evidenced
by the attention received by another computer scientist, Edsger Dijkstra and his dining
philosophers problem, based on a classic operating system synchronization problem.
To set the table for this problem—and as the musical Hamilton will be on Broadway long
after this book is out of print—we see that the BGP problem was relevant in the American
Revolution. At the start of the conflict, the Continental Congress ordered an oath of allegiance to
be administered to all army officers. George Washington, the commander-in-chief, administered
01-ch01.indd 8 04/01/18 3:17 PM

HowTo_Generic / Blockchain: A Practical Guide to Developing Business, Law, and Technology Solutions / Bambara / 587-9 / Chapter 1
Chapter 1 Introduction to Blockchain
9
it to the general officers. When Washington began to read the oath to Major General Charles
Lee, Lee withdrew his hand from the Bible. When Washington demanded a reason for the
strange conduct, according to The Writings of George Washington, Lee replied, “As to King
George, I am ready enough to absolve myself from all allegiance to him; but I have some scruples
about the Prince of Wales.” This odd reply elicited much laughter. Lee was then playing a
desperate game of treason, and probably had some problems with his conscience about taking
such an oath which he (and later Major General Benedict Arnold) would violate.
The BGP is built around a similar story line: the commanding general who makes a
decision to attack or retreat, and must communicate the decision to his lieutenant generals.
A given number of these actors are traitors (possibly including the general). Traitors cannot be
relied upon to properly communicate orders; worse yet, they may actively alter messages in an
attempt to subvert the process.
In the analogy, the generals are collectively known asprocesses, the general who initiates
the order is thesource process, and the orders sent to the other processes aremessages.
Traitorous generals and lieutenant generals arefaulty processes, and loyal generals and
lieutenant generals arecorrect processes. The order to retreat or attack is a message with a
single bit of information: a one or a zero.
A solution to an agreement problem must pass three tests:termination,agreement,
andvalidity. As applied to the Byzantine Generals Problem, these three tests are:
1.
A solution has to guarantee that all correct processes eventually reach a decision
regarding the value of the order they have been given.
2. All correct processes have to decide on the same value of the order they have been given.
3. If the source process is a correct process, all processes must decide on the value that
was original given by the source process.
The best way we know to implement a reliable trustworthy computer system (e.g.,
blockchain) is to use many different processors to compute the same result, and then to
perform a majority vote on their outputs to obtain a single value. See Figure 1-4, which views
the BGP and blockchain issues in a side-by-side analogy.
FIGURE 1-4
BGP and blockchain compared
GENERALS
Agree on a Strategy
Separated Camps
Loyal Troop and Generals
Traitors
Corrupt a Message
How to know which
Message is True
Don’t have
Don’t have
Objective
Spacial Distribution
The Good Ones
The Bad Ones
The Attack
The Problem
A Solution
Consensus
BLOCKCHAIN
Agree on Valid Transactions
Distributed Nodes in the Network
Truthful Nodes
Evil Nodes
Add an Invalid Transaction to the
Blockchain
How to know which Transaction
is Valid
Proof-of-Work
Blockchain with More Difficulty
01-ch01.indd 9 04/01/18 3:17 PM
HowTo_Generic / Blockchain: A Practical Guide to Developing Business, Law, and Technology Solutions / Bambara / 587-9 / Chapter 1
10
Blockchain
This is true whether one is implementing a blockchain using distributed nodes to
protect against the failure of reaching a consensus on the next block, or a missile defense
system using redundant computing sites to protect against the destruction of individual
sites by a nuclear attack. The only difference is in the size of the replicated processor.
The use of majority voting to achieve reliability is based upon the assumption that all the
nonfaulty processors will produce the same output. This is true so long as they all use the
same input. However, any single input message comes from a single physical component,
and a malfunctioning component can give different values to different processors. Moreover,
different processors can get different values even from a nonfaulty input unit if they read
the value while it is changing. The solution is a trust mechanism of value verification
and acceptance for each input/transaction recorded by a majority of processors and
synchronization of the input transaction across the distributed processors. The quality of
trust is a foundational element of business. Trust, particularly in the global economy where
every link in the transaction requires a separate ledger, is expensive, time-consuming, and
inefficient. The application of blockchain as it matures will provide a viable alternative to
the current procedural, organizational, and technological infrastructure required to create
institutionalized trust.
Byzantine Fault Tolerance in Use Today:
Why Airplanes Are Safe
Byzantine fault tolerance (BFT) refers to the aforementioned BGP. One example of BFT in use
is Bi
tcoin
. The
Bitcoin network
works in parallel to generate a chain of hashcash-style proof-
of-work. The proof-of-work chain is the key to overcoming Byzantine failures and reaching a
coherent global view of the system state.
Some aircraft systems, such as the Boeing 777 Aircraft Information Management System
(via its ARINC 659 SAFEbus® network), the Boeing 777 flight control system, and the Boeing
787 flight control systems, use Byzantine fault tolerance (see Figure 1-5). Because these are
real-time systems, their Byzantine fault tolerance solutions must have very low latency. For
example, SAFEbus can achieve Byzantine fault tolerance on the order of a microsecond of
added latency.
Some spacecraft, such as the
SpaceX Dragon
flight system, consider Byzantine fault
tolerance in their design. Byzantine fault tolerance mechanisms use components that repeat
an incoming message (or just its signature) to other recipients of that incoming message.
All these mechanisms make the assumption that the act of repeating a message blocks
the propagation of Byzantine symptoms. For systems that have a high degree of safety or
security criticality, these assumptions must be proven to be true to an acceptable level of
fault coverage
. When providing proof through testing, one difficulty is creating a sufficiently
wide range of signals with Byzantine symptoms. Such testing likely will require specialized
fault injectors.
01-ch01.indd 10 04/01/18 3:17 PM

HowTo_Generic / Blockchain: A Practical Guide to Developing Business, Law, and Technology Solutions / Bambara / 587-9 / Chapter 1
Chapter 1 Introduction to Blockchain
11
Satoshi Nakamoto’s Blockchain Breakthrough
Satoshi Nakamoto is the name used by the unknown person or persons who designed
Bitcoin and created its original reference implementation, Bitcoin Core
.
As a part of the
implementation, they also devised the first blockchain database and solved the double-
spending problem for digital currency. They were active in the development of Bitcoin up
until December 2010.
Satoshi Nakamoto: The Man, the Myth, the Mystery
If the mystery is of interest, we suggest you view the film Banking on Bitcoin. The film reviews
the life stories and public misconceptions surrounding the cryptocurrency’s rise. The movie
is well paced and informative, using interviews with financial columnists from the Wall Street
Journal and the New York Times, early adopting Bitcoin entrepreneurs like Charlie Shrem and
Erik Voorhees, and establishment figures such as the Winklevoss brothers and former New
York State Superintendent of Financial Services Benjamin Lawsky. It is a pretty good tour of
the history of cryptographic technology. Like lots of new technology, blockchain and Bitcoin
are the work of a small group of coders known as cypherpunks. They contributed to the
ideas that became the building blocks of Bitcoin. In the mid-1990s, just a handful of people
had the knowledge necessary to develop a blockchain currency. The movie explores theories
that Satoshi Nakamoto, the unknown creator of Bitcoin, may well have been one the original
cypherpunks as he is rumored to have lived within a few city blocks of other cypherpunks,
such as cryptographer Hal Finney.
FIGURE 1-5
BFT and airplane safety ARINC 659 SAFEbus
RAM
LINKS CPU
ARINC 429
ARINC 629
Discrete/analog
Maintenance System
Other cabinet
MEMORY
RAMMEMORY
LINKS CPU F
P
U
MEMORY RAM
CPU LINKS
MEMORY RAM
LINKS
CPM2CPM1
IOM1 IOM2
CPU
F
P
U
01-ch01.indd 11 04/01/18 3:17 PM
HowTo_Generic / Blockchain: A Practical Guide to Developing Business, Law, and Technology Solutions / Bambara / 587-9 / Chapter 1
12
Blockchain
The narrative contrasts the differences between centralized banking systems and the
public ledger at the heart of Bitcoin that removes the need for a central authority. It highlights
Bitcoin’s power to reduce remittance fees, serve the two and a half billion people on the planet
who remain unbanked, and put financial control back into the hands of the individual.
Erik Voorhees, the founder of ShapeShift, communicates this sentiment in one of the
film’s first interviews: “I discovered Bitcoin’s power when I understood it was not controlled
by a central company or central person. I knew that meant it couldn’t be shut down. And if
it can’t get shut down, all it needs is to do something useful, and it will become more and
more adopted.”
Nakamoto has claimed to be a man living in Japan, born in 1975. However, speculation
about the true identity of Nakamoto has mostly focused on a number of cryptography
and
computer science
experts of non-Japanese descent, living in the United States and Europe. It
became a bit of “I’m Spartacus” as Australian programmer Craig Steven Wright has claimed to
be Nakamoto, though he has not yet offered proof of this. As of February 2017, Nakamoto is
believed to own up to roughly 1 million bitcoins (valued at about $4 billion USD) but has never
spent even a single BTC.
Satoshi Nakamoto: Timing Is Everything
Curiously, Bitcoin’s emergence was around the same time as the financial crisis of 2008.
According to https://bitcoin.org, a purely peer-to-peer version of electronic cash allows
online payments to be sent directly from one party to another without going through a central
financial institution. Digital signatures provide part of the solution, but the main benefits are
lost if a trusted third party is still required to prevent double-spending. Bitcoin is a solution
to the double-spending problem using a peer-to-peer network. The network timestamps
transactions by hashing them into an ongoing chain of hash-based proof-of-work, forming a
record that cannot be changed without redoing the proof-of-work. The longest chain not only
serves as proof of the sequence of events witnessed, but proof that it came from the largest
pool of CPU power. As long as the majority of CPU power is controlled by nodes that are not
cooperating to attack the network, they’ll generate the longest chain and outpace attackers.
The network itself requires minimal structure. Messages are broadcast on a best-effort basis,
and nodes can leave and rejoin the network at will, accepting the longest proof-of-work chain
as proof of what happened while they were gone. If people lose faith in a currency, the typical
reaction is to start using another one.
Traditionally, money has moved to the most stable currency, which has typically been the
US dollar. But Bitcoin has a couple of advantages. The first advantage is that it is not controlled
by any central authority. In countries where people are distrustful of how central banks and
governments manage the economy, Bitcoin may seem like a more sensible alternative.
The second is that bitcoins may be easier to obtain than other fiat currencies. It can
beboughtand sold via Bitcoin exchanges online but also in direct transactions via websites.
Evidence suggests that during times of crisis, people are looking to Bitcoin as an alternative
to their own problematic currencies. As the Greek debt crisis unfolded, Bitcoin exchanges
reported an increase in volume as people traded the cryptocurrency around the world.
The price of bitcoins also rose significantly as the Greece crisis deepened, lending further
credence to the idea of Bitcoin as a “panic” currency.
01-ch01.indd 12 04/01/18 3:17 PM
HowTo_Generic / Blockchain: A Practical Guide to Developing Business, Law, and Technology Solutions / Bambara / 587-9 / Chapter 1
Chapter 1 Introduction to Blockchain
13
Blockchain: Underpinning of Cryptocurrency
As we all know by now, blockchain provides the technology underpinnings of Bitcoin, which
has been the subject of much interest and speculation within the technical, business, and law
enforcement communities. It got a bad rap when Bitcoin became the exchange currency for
dark-web sites like Silk Road. According to Coinmap (http://coinmap.org), a crowdsourced
website that tracks businesses that accept Bitcoin as a method of payment, the number of
such businesses is on a constant and growing rise. While the revenues from Bitcoin are
still a fraction of overall revenue, wider adoption of Bitcoin and other cryptocurrencies is
pretty much a given, especially as the financials see the savings of time and money gained in
global transactions. For example, Rand Merchant Bank research (https://news.bitcoin.com/
south-africa-bank-blockchain-40-revenue/) found that cryptocurrencies could make up to
40 percent of banks’ revenue if they become a global standard. Both IBM and Microsoft offer
their own versions of Blockchain-as-a-Service (BaaS) as part of their cloud platforms, and
Donald Tapscott in his book BlockChain Revolution says that “blockchains, the technology
underpinning the cryptocurrency, have the potential to revolutionize the world economy.”
Types of Blockchain
As people began to understand how blockchain works, they started using it for other purposes:
as data storage for things of value, identities, agreements, property rights, and a host of other
things. Ethereum, which will be one of the main focuses of this book, is to date the most
comprehensive blockchain innovation after Bitcoin. Like cloud computing implementations,
different types or categories of blockchain have emerged. Analogous to the cloud, you have
public blockchains that everyone can access and update, you have private blockchains for just
a limited group within an organization to be able to access and update, and you have a third
kind, a consortium of blockchains that are used in collaboration with others. While working
on Wall Street, we saw this consortium type of arrangement as very common between five of
the larger investment banking firms. The consortium facilitated trades at an institutional level
among the members, so it makes sense that blockchain as a financial technology tool would
emerge in this way. The following sections are a quick exploration of each blockchain type.
Public Blockchains
A public blockchain is one that initial creators envisioned as: a blockchain for all to be able to
access and transact with; a blockchain where transactions are included if and only if they are
valid; a blockchain where everyone can contribute to the consensus process. As discussed,
the consensus process
determines what blocks get added to the chain and what the current
state is. On the public blockchain, instead of using a central server the blockchain is secured
by cryptographic verification supported by incentives for the miners. Anyone can be a miner
to aggregate and publish those transactions. In the public blockchain, because no user is
implicitly trusted to verify transactions, all users follow an algorithm that verifies transactions
by committing software and hardware resources to solving a problem by brute force (i.e., by
solving the cryptographic puzzle). The miner who reaches the solution first is rewarded, and
each new solution, along with the transactions that were used to verify it, forms the basis for
the next problem to be solved. The verification concepts are proof-of-work or proof-of-stake.
01-ch01.indd 13 04/01/18 3:17 PM
HowTo_Generic / Blockchain: A Practical Guide to Developing Business, Law, and Technology Solutions / Bambara / 587-9 / Chapter 1
14
Blockchain
Consortium Blockchains
A consortium blockchain such as R3 (www.r3cev.com) is a distributed ledger where the
consensus process is controlled by a preselected set of nodes—for example, a consortium
of nine financial institutions, each of which operates a node, and of which five (like the US
Supreme Court) must sign every block in order for the block to be valid. The right to read the
blockchain may be public or restricted to the participants, and there are also hybrid routes
such as the root hashes of the blocks being public together with an API that allows members
of the public to make a limited number of queries and get back cryptographic proofs of some
parts of the blockchain state. These sort of blockchains are distributed ledgers that may be
considered “partially decentralized.”
Private Blockchains
A fully private blockchain is a blockchain where write permissions are kept centralized to
one organization. Read permissions may be public or restricted to an arbitrary extent. Likely
applications include database management and auditing internal to a single company, so public
readability may not be necessary in many cases at all, though in other cases public auditability
is desired. Private blockchains could provide solutions to financial enterprise problems,
including compliance agents for regulations such as the Health Insurance Portability and
Accountability Act (HIPAA), anti–money laundering (AML), and know-your-customer (KYC)
laws. The Hyperledger project from the Linux Foundation and the Gem Health network are
private blockchain projects under development. See Chapter 8 for a detailed description of
Hyperledger and other private and consortium blockchain technology.
Comparing Blockchains
The distinction between public, consortium, and private blockchains is important. Even for
“old school” distributed ledger adopters who prefer a traditional centralized system, they still
get the addition of cryptographic auditability attached. As compared to public blockchains,
private blockchains have a number of advantages. The private blockchain operator can
change the rules of a blockchain. If it is a blockchain among financial partners, then where
errors are discovered they will be able to change transactions. Likewise, they will be able to
modify balances and generally undo anything. That said, there is a trail. In some cases, this
functionality is necessary, as with property registry if a mistaken transaction is issued or some
nefarious type has gained access and made themselves the new owner. This is also true on a
public blockchain if the government has backdoor access keys like they did in the Clinton era.
On the private blockchain, transactions are less expensive, since they only need to be verified
by a few nodes that can be trusted to have very high processing power. Public blockchains tend
to have more expensive transaction fees, but this will change as scaling technologies emerge
and bring public-blockchain costs down to create an efficient blockchain system.
Nodes can be trusted to be very well connected, and faults can quickly be fixed by manual
intervention, allowing the use of consensus algorithms that offer finality after much shorter
block times. Improvements in public blockchain technology, such as Ethereum’s proof-
of-stake, can bring public blockchains much closer to the “instant confirmation” ideal, but
01-ch01.indd 14 04/01/18 3:17 PM
HowTo_Generic / Blockchain: A Practical Guide to Developing Business, Law, and Technology Solutions / Bambara / 587-9 / Chapter 1
Chapter 1 Introduction to Blockchain
15
private blockchains will always be faster, and the latency difference will never disappear as
unfortunately the speed of light does not increase by 2x every two years like Moore’s law. If
read permissions are restricted, private blockchains can provide a greater level of privacy.
Given all of this, it may seem like private blockchains are unquestionably a better choice
for institutions. However, even in an institutional context, public blockchains still have a
lot of value. In fact, this value lies to a substantial degree in the philosophical virtues that
advocates of public blockchains have been promoting all along, among the chief of which are
freedom, neutrality, and openness. The advantages of public blockchains generally fall into
two major categories:
•
Public blockchains provide a way to protect the users of an application from the
developers, establishing that there are certain things that even the developers of an
application have no authority to do.
•
Public blockchains are open, and therefore used by many entities, This provides some
networking effects. If we have asset-holding systems on a blockchain, and a currency
onthe same blockchain, then we can cut costs to near-zero with a smart contract: Party
A can send the asset to a program which immediately sends it to Party B which sends the
program money, and the program is trusted because it runs on a public blockchain. Note
that in order for this to work efficiently, two completely heterogeneous asset classes from
completely different industries must be on the same database. This can also be used by
other asset holders such as land registries and title insurance.
Blockchain Implementations
The concept of decentralized digital currency, as well as alternative applications like
property registries, has been around for decades, but none has produced viable production
implementations until now. The anonymous e-cash protocols of the 1980s and 1990s were
mostly reliant on a cryptographic primitive known as Chaumian blinding (after its developer,
David Chaum). Chaumian blinding provided these new currencies with high degrees of
privacy, but their underlying protocols largely failed to gain traction because of their reliance
on a centralized intermediary. In 1998, Wei Dai’s b-money became the first proposal to
introduce the idea of creating money through solving computational puzzles as well as
decentralized consensus, but the proposal was scant on details as to how decentralized
consensus could actually be implemented. In 2005, Hal Finney introduced a concept of
“reusable proofs of work,” a system that uses ideas from b-money together with Adam Back’s
computationally difficult Hashcash (http://hashcash.org) puzzles to create a concept for a
cryptocurrency, but this once again fell short of the ideal by relying on trusted computing as
a backend. As we all know, the blockchain concept was implemented as a core component of
the digital currency Bitcoin. This critical and perhaps first production implementation of the
blockchain made it the first digital currency to solve thedouble-spendingproblem, without
the use of a trusted authority or centralserver. The Bitcoin design, which we examine briefly
in the next section, has been the inspiration for other implementations we will explore in the
chapters to come.
01-ch01.indd 15 04/01/18 3:17 PM
HowTo_Generic / Blockchain: A Practical Guide to Developing Business, Law, and Technology Solutions / Bambara / 587-9 / Chapter 1
16
Blockchain
Bitcoin
As we mentioned, when the financial crisis of 2008 was in full throttle, Bitcoin (BTC), a
decentralized currency, was implemented for the first time in practice by Satoshi Nakamoto.
Bitcoin combines established primitives for managing ownership through public key
cryptography with a consensus algorithm for keeping track of who owns coins, known as
proof-of-work. The mechanism behind proof-of-work simultaneously solves two problems.
First, it provides an effective consensus algorithm, allowing nodes in the network to
collectively agree on a set of updates to the state of the Bitcoin ledger. Second, it provides a
mechanism for allowing free entry into the consensus process, solving the political problem of
deciding who gets to influence the consensus, while simultaneously preventing Sybil attacks—
that is, attacks where a reputation system is subverted by forging identities in peer-to-peer
networks. It is named after a case study of a woman diagnosed with dissociative identity
disorder. It works by substituting a formal barrier to participation, such as the requirement to
be registered as a unique entity on a particular list, with an economic barrier—the weight of a
single node in the consensus voting process is directly proportional to the computing power
that the node brings. More recently, an alternative approach has been proposed calledproof-
of-stake, calculating the weight of a node as being proportional to its currency holdings and
not its computational resources. The discussion concerning the relative merits of the two
approaches will be examined in the chapters that address the Ethereum-based blockchain and
derivatives thereof. At this junction in 2018, all blockchain platforms are still evolving and
will continue to do so for the foreseeable futures. As Bitcoin is the most widely used, we will
explore it in some detail in the next sections. For in-depth details for developers, see https://
bitcoin.org/en/developer-documentation.
Bitcoin State Transition
From a technical standpoint, the ledger of a cryptocurrency such as Bitcoin can be thought
of as a state transition system, where there is a state S consisting of the ownership status of all
existing bitcoins (or any asset for that matter) and a state transition function—that is, the API:
EXECTX, which takes a state S and a transaction TX and outputs a new state S' which is the
result. In a standard banking system, for example, the state is a balance sheet, a transaction
is a request to move $cash money from A to B, and the state transition function reduces the
value of A’s account by X amount of $cash money and increases the value of B’s account by
X amount of $cash money. If A’s account has less than X amount of $cash money in the first
place, the state transition function returns an error. We define an API:
EXECTX(S,TX) results in S' (new state) or ERROR and S (no change to state)
If A has enough $cash money:
EXECTX({ A:$1000, B:$500},"send $500 :A to B") results in { A:$500, B:$1000 }
But if A does not have enough $cash money:
EXECTX({ A:$1000, B:$500 },"send $1001 from A to B") results in ERROR
The state in a blockchain is the “consensus view” of all transactions at any given moment
borne out by the existing authenticated ledger distributed among all nodes. In the world
of Bitcoin, it is the collection of all unspent transaction outputs (UTXOs) that have been
minted and not yet spent, with each UTXO having a denomination and an owner (defined by
01-ch01.indd 16 04/01/18 3:17 PM
HowTo_Generic / Blockchain: A Practical Guide to Developing Business, Law, and Technology Solutions / Bambara / 587-9 / Chapter 1
Chapter 1 Introduction to Blockchain
17
a 20-byte address which is essentially a cryptographic public key). With respect to UTXOs,
because eachoutputof a particular transaction can only be spent once, the outputs of all
transactions included in theblockchaincan be categorized as eitherunspent transaction
outputs (see https://bitcoin.org/en/glossary/unspent-transaction-output) or spent
transactionoutputs. For a payment to be valid, it must only useUTXOsasinputs.
If the value of a transaction’s outputsexceed itsinputs, the transaction will be rejected.
But if theinputsexceed the value of theoutputs, any difference in value may be claimed as
atransaction feeby the Bitcoinminerwho creates theblockcontaining that transaction.
A transaction contains one or more inputs, with each input containing a reference to an
existing UTXO and a cryptographic signature produced by the private key associated with
the owner’s address, and one or more outputs, with each output containing a new UTXO for
addition to the state.
The state transition function EXECTX(S,TX) -> S' can be defined as follows:
For each input in TX:
1.
If the referenced UTXO is not inS, return an error; this prevents transaction senders
from spending coins that do not exist.
2. If the provided signature does not match the owner of the UTXO, return an error; this
prevents transaction senders from spending other people’s coins.
3. If the sum of the denominations of all input UTXO is less than the sum of the
denominations of all output UTXO, return an error.
4. ReturnS'with all input UTXO removed and all output UTXO added.
That is a simple view of the transaction flow for Bitcoin.
Bitcoin Mining
Bitcoin combines the state transition system with a consensus system in order to ensure that
everyone agrees on the order of transactions. Bitcoin’s decentralized consensus process requires
nodes in the network to continuously attempt to produce blocks, i.e., 1 to N transactions. The
Bitcoin network is intended to create one block approximately every 10minutes, with each
block containing a timestamp, a nonce, a reference to (i.e., hash of) the previous block, and a
list of all transactions that have taken place since the previous block. Every block in the Bitcoin
network has the exact same structure as shown in Figure 1-6.
Each newly created block is “chained” to the last added block of the blockchain and stores
its digital fingerprint. Let us examine the fields of a block, with byte sizes subject to change:
•
Block identifier (4 bytes): This is an identifier for the Blockchain network. It has a
constant magic number value of 0xD9B4BEF9. The magic number is not something
specific to Bitcoin. It identifies the type of the file or data structure you are consuming.
The consumer can check the magic number and immediately know the supposed type of
that file or data structure. In this case, it indicates the start of the block, and the data is
from a production network.
•
Next block identifier (4 bytes).
•
Block size (4 bytes): Indicates how large the block is. Since the very beginning, each block
has been fixed to 1 MB. This will be increased to 2 MB. The maximum capacity is 2 GB, so
the scalability factor has already been taken care of.
01-ch01.indd 17 04/01/18 3:17 PM

HowTo_Generic / Blockchain: A Practical Guide to Developing Business, Law, and Technology Solutions / Bambara / 587-9 / Chapter 1
18
Blockchain
•
Block version (4 bytes): Each node running the Bitcoin protocol has to implement the
same version and it is mentioned in this field.
•
Previous block hash (32 bytes): This is a digital fingerprint (hash) of the block header of the
previous (last added) block of the blockchain. It is calculated by taking all the fields of the
header (version, nonce, etc.) together and applying a cryptographic function (SHA-256)
twice by rearranging the bytes of the individual fields (little-endian format).
•
Block Merkle root (64 bytes).
•
Block timestamp (8 bytes).
•
Nonce (4 bytes).
Theblock headeris composed of the fields from Version to Nonce.
•
Transaction counter (variable: 4 bytes): This is the count of transactions that are included
with the block.
•
Transaction list (variable: total blocksize is 1 MB): Stores the digital fingerprint of all the
transactions in that block. Each individual transaction has its own structure.
You can also see the height of the block (aka the count of blocks) since the first block was
created, andgenesis block, the first block that was mined.
Bitcoin Blocksize and Segregated Witness
So a block has a maximum file size of 1 MB. When this block’s space capacity is full, another
block is created and added up in the blockchain. As the number of Bitcoin transactions is
increasing, more blocks are created. This is stressing the Blockchain network and causing
delays in transactions confirmation. Additionally, more mining means higher transaction. To
address this the Segregated Witness (“SegWit “) was proposed. So let’s review—each Bitcoin
transaction contains three elements:
FIGURE 1-6
Bitcoin blockchain schema
Block N
Block 2
Block 1
Genesis
01-ch01.indd 18 04/01/18 3:17 PM
HowTo_Generic / Blockchain: A Practical Guide to Developing Business, Law, and Technology Solutions / Bambara / 587-9 / Chapter 1
Chapter 1 Introduction to Blockchain
19
1.
Input (sender details)
2. Output (recipient details)
3. Digital Signature: this signature is called the witness, one who verifies that the sender
has the right amount of balance to make the transaction
All of these elements are needed to add the transaction to a block. Of the three elements, the
file size of Digital Signature is the largest, making the transactions heavy in terms of size. As
the maximum capacity of each block at present is 1 MB, therefore more heavy transactions
equals less transactions getting added to the block for confirmation. SegWit proposes to
remove the Digital Signature Element from the transaction and add it to another new block
called Extended Block. This means that any transaction that gets added in the Block for
confirmation will only contain Input and Output and not the Digital Signature. This will
make transactions lighter. As a result more space is available in the block, which means more
transactions can be added into the block. As more transactions will get verified in the same
amount of time, the Bitcoin network will be faster. Thus, we are removing the Witness—the
Digital Signature—segregating it to another block (hence the name “Segregated Witness”).
So, the advantages of SegWit are:
•
it will reduce the file size of transactions,
•
there will be faster confirmation of transactions, and
•
transaction fees will be lower.
Thus, SegWit will improve the Bitcoin network scaling ability. Moreover, consensus is not
required to make SegWit work. SegWit even works where users do not upgrade their software
versions to the newest version. That said, we will make numerous blockchain software
improvements as it gains traction in the application development world.
Bitcoin and Merkle Root
Each block contains a list of all transactions. Once the block is part of the blockchain it is
an immutable record, i.e., the transaction entry in it is permanent. It also means that if a
transaction is present in one block it will not be present in any other block of the blockchain.
The transactions are listed as Merkle tree or a binary hash tree. It is a very popular data
structure used in programming languages.
The root of the tree is the topmost node. The nodes at the bottom are called leaf
nodes.
Each node is simply a cryptographic hash of a transaction. The Merkle tree does not contain
a list of all the transactions, but rather a hash (digital fingerprint) of all transactions as a tree
structure (see Figure 1-7).
Hash of Transaction 0 = Hash[Tx(0)] = SHA256 (SHA 256 (Transaction A))
Each hash is calculated by applying the SHA-256 algorithm twice.
Similarly, to construct a parent node Hash(01), the 32-byte Hash[Tx(0)] and 32-byte
Hash[Tx(1)] is concatenated as a 64-byte hash string and then SHA-256 is applied twice to
give a 32-byte Hash(01).
01-ch01.indd 19 04/01/18 3:17 PM

HowTo_Generic / Blockchain: A Practical Guide to Developing Business, Law, and Technology Solutions / Bambara / 587-9 / Chapter 1
20
Blockchain
This concept can be further expanded to any size. The biggest advantage is that it is very
easy and highly efficient to determine whether a particular transaction has been included
within a block (since the block contains the Merkle root—which is a digital fingerprint of all
transactions contained in it).
Bitcoin and Secure Hashing
SHA stands for secure hash algorithm. It is used to prove data integrity. The same input(s) will
always produce the exact same output. This output is always 256 bits or 32 bytes in length
regardless of the length of the input (even if input is millions of bytes). Any change in the
input(s) will result in a change of output. The same output can never be derived from different
input(s). However, from the output we can never determine the inputs, which is why this is
highly secure. You can test it yourself at a few online SHA-256 tools (such as www.xorbin.com/
tools/sha256-hash-calculator). The input can be any string, even concatenating many strings.
Regardless of the input the output remains 256 bits.
Over time, this creates a persistent, ever-growing blockchain that continually updates to
represent the latest state of the Bitcoin ledger.
The algorithm for checking if a block is valid, expressed in this paradigm, is as follows:
1.
Check if the previous block referenced by the block exists and is valid.
2. Check that the timestamp of the block is greater than that of the previous block.
3. Check that the proof-of-work on the block is valid.
Let S[0] be the state at the end of the previous block.
SupposeTXis the block’s transaction list with n transactions.
For all i in 0...n-1, set S[i+1] = EXECTX({ (S[i],TX[i]) }.
If any application returns an error, exit and return false.
Return true, and register S[n] as the state at the end of this block.
Essentially, each transaction in the block must provide a valid state transition from what
was the canonical state before the transaction was executed to some new state. Note that the
state is not encoded in the block in any way; it is purely an abstraction to be remembered by
the validating node and can only be computed for any block by starting from the genesis state
FIGURE 1-7
Merkle tree
Root Hash
Hash0 Hash1
Hash01
Hash2 Hash3
Tx0Tx1Tx2Tx3
Hash23
01-ch01.indd 20 04/01/18 3:17 PM
HowTo_Generic / Blockchain: A Practical Guide to Developing Business, Law, and Technology Solutions / Bambara / 587-9 / Chapter 1
Chapter 1 Introduction to Blockchain
21
and sequentially applying every transaction in every block. Additionally, note that the order
in which the miner includes transactions into the block matters; if there are two transactions
A and B in a block such that B spends a UTXO created by A, then the block will be valid if
A comes before B but not otherwise.
The one validity condition present is the requirement for proof-of-work. The precise
condition is that the double SHA-256 hash of every block, treated as a 256-bit number, must
be less than a dynamically adjusted target. The purpose of this is to make block creation
computationally hard, thereby preventing Sybil attackers from remaking the entire blockchain
in their favor. Because SHA-256 is designed to be a completely unpredictable pseudorandom
function, the only way to create a valid block is simply trial and error, repeatedly incrementing
the nonce and seeing if the new hash matches.
In order to better understand the purpose of mining, let us examine what happens in the
event of a malicious attack. Since Bitcoin’s underlying cryptography is known to be secure, the
attacker will target the one part of the Bitcoin system that is not protected by cryptography
directly: the order of transactions. The attacker’s strategy is a simple double-spend:
1.
Send 1,000 BTC to a merchant in exchange for some product (preferably a rapid-delivery
digital good).
2. Wait for delivery of the product.
3. Produce another transaction sending the same 1,000 BTC to himself.
4. Convince the network that his transaction to himself was the one that came first.
Once step 1 has taken place, after a few minutes some miner will include the transaction
in a block. After about an hour, five more blocks will have been added to the chain after that
block, with each of those blocks indirectly pointing to the transaction and thus “confirming” it.
At this point, the merchant will accept the payment as finalized and deliver the product; since
we are assuming this is a digital good, delivery is instant. Now the attacker creates another
transaction sending the 1,000 BTC to himself. If the attacker simply releases it into the wild,
the transaction will not be processed; miners will attempt to runEXECTX({ (S, TX)})
and notice thatTX consumes a UTXO that is no longer in the state. So instead the attacker
creates a “fork” of the blockchain, starting by mining another version of the block pointing to
the same block as a parent but with the new transaction in place of the old one. Because the
block data is different, this requires redoing the proof-of-work. Furthermore, the attacker’s
new version of the block has a different hash, so the original blocks do not point to it; thus, the
original chain and the attacker’s new chain are completely separate. The rule is that in a fork
the longest blockchain is taken to be the truth. In order for the attacker to make his blockchain
the longest, he would need to have more computational power than the rest of the network
combined to catch up and effect the so-called “51% attack.”
Merkle Trees
An important scalability feature of Bitcoin is that the block is stored in a multilevel data
structure. The “hash” of a block is actually only the hash of the block header, a roughly
200-byte piece of data that contains the timestamp, nonce, previous block hash, and the root
hash of a data structure called the Merkle tree storing all transactions in the block. A Merkle
tree is a type of binary tree, composed of a set of nodes with a large number of leaf nodes at
01-ch01.indd 21 04/01/18 3:17 PM
HowTo_Generic / Blockchain: A Practical Guide to Developing Business, Law, and Technology Solutions / Bambara / 587-9 / Chapter 1
22
Blockchain
the bottom of the tree containing the underlying data, a set of intermediate nodes where each
node is the hash of its two children, and finally a single root node, also formed from the hash of
its two children, representing the “top” of the tree. The purpose of the Merkle tree is to allow
the data in a block to be delivered piecemeal: a node can download the header of a block from
one source, the small part of the tree relevant to them from another source, and still be assured
that all of the data is correct. The reason why this works is that hashes propagate upward. If
a malicious user attempts to swap in a fake transaction to the bottom of a Merkle tree, this
change will cause a change in the node above, and then a change in the node above that, finally
changing the root of the tree and therefore the hash of the block, causing the protocol to
register it as a completely different block and almost certainly with an invalid proof-of-work.
The Merkle tree protocol is arguably essential to long-term sustainability.
Bitcoin Scripting
Even without any extensions, the Bitcoin protocol provides a less than robust version of the
concept of smart contracts. UTXO in Bitcoin can be owned not just by a public key but also
by a more complicated script expressed in a simple stack-based programming language. In
this paradigm, a transaction spending that UTXO must provide data that satisfies the script.
Indeed, even the basic public key ownership mechanism is implemented via a script: the script
takes an elliptic curve signature as input, verifies it against the transaction and the address that
owns the UTXO, and returns 1 if the verification is successful and 0 otherwise. Other, more
complicated scripts exist for various additional use cases. For example, one can construct a
script that requires signatures from two out of a given three private keys to validate (multisig),
a setup useful for corporate accounts, secure savings accounts, and some merchant escrow
situations. Scripts can also be used to pay bounties for solutions to computational problems,
and one can even construct a script that says something like “this Bitcoin UTXO is yours if you
can provide an SPV proof that you sent a Dogecoin transaction of this denomination to me,”
essentially allowing decentralized cross-cryptocurrency exchange.
Namecoin
Created in 2010,Namecoin (http://namecoin.org) is a decentralized name registration database.
In decentralized protocols like Tor, Bitcoin, and Bitmessage, there needs to be some way of
identifying accounts so that other people can interact with them. Namecoin is the oldest and
most successful implementation of a name registration system using such an idea. It is open-
source technology which improves decentralization, security, censorship resistance, privacy,
and speed of certain components of the Internet infrastructure such as DNS and identities.
Namecoin is a key/value pair registration and transfer system based on the Bitcoin technology.
Ripple
Ripple (www.ripple.com) is seen as one of the most advanced distributed ledger technology
(DLT) companies in the industry. It focuses on the using of blockchain-like technology
for payments. The Ripple protocol has been adopted by an increasing number of financial
institutions to offer alternative remittance options to consumers. Ripple even has obtained a
virtual currency license from the New York State Department of Financial Services, making it
one of the few companies with a BitLicense. As of 2017, Ripple is the third-largest cryptocurrency
01-ch01.indd 22 04/01/18 3:17 PM
HowTo_Generic / Blockchain: A Practical Guide to Developing Business, Law, and Technology Solutions / Bambara / 587-9 / Chapter 1
Chapter 1 Introduction to Blockchain
23
by market capitalization, after bitcoin and ether. Ripple is a financial real-time gross settlement
solution, currency exchange, and remittance network using distributed ledger technology. Ripple
is built upon a distributed open-source Internet protocol, consensus ledger, and native currency
called XRP (ripples) enabling (cross-border) payments for retail customers, corporations, and
other banks. The Ripple protocol, described as “basic (settlement) infrastructure technology for
interbank transactions,” enables the interoperation of different ledgers and payment networks
and brings together three aspects of modern payment solutions: messaging, settlement, and
FX management. It allows banks and non-bank financial services companies to incorporate the
Ripple protocol into their own systems and thereby allow their customers to use the service.
The protocol enables the instant and direct transfer of money between two parties. As
such the protocol can circumvent the fees and wait times of the traditional correspondent
banking system. Any type of currency can be exchanged, including USD, euros, RMB, yen,
gold, airline miles, and rupees. Ripple has its own form of digital currency (dubbed XRP) in a
manner similar to Bitcoin, using the currency to allow financial institutions to transfer money
with negligible fees and wait time. One of the specific functions of XRP is as a bridge currency,
which can be necessary if no direct exchange is available between two currencies at a specific
time, for example, when transacting between two rarely traded currency pairs. Within the
network’s currency exchange, XRP are traded freely against other currencies, and their market
price fluctuates against dollars, euros, yen, bitcoins, etc.
Many financial companies have subsequently announced experimenting and integrations
with Ripple. A host of major banks have adopted Ripple to improve their cross-border
payments, and many have completed trial blockchain projects. These banking institutions—
including Santander, UniCredit, UBS, Royal Bank of Canada, Westpac Banking Corporation,
CIBC, and National Bank of Abu Dhabi, among others—view Ripple’s payment protocol and
exchange network as a valid mechanism for offering real-time affordable money transfers.
Ethereum
Ethereum (https://ethereum.org) is a decentralized platform that runs smart contracts:
applications that run exactly as programmed without any possibility of downtime, censorship,
fraud, or third-party interference. If Bitcoin was blockchain 1.0, then Ethereum is blockchain
2.0 and beyond. See Figure 1-8.
Ethereum applications run on a custom-built blockchain, a shared global infrastructure
that can move value around and represent the ownership of property. This enables developers
to create markets, store registries of debts or promises, and move funds in accordance with
instructions given long in the past (such as a will) or a futures contract without a middleman
or counterparty risk. The project was bootstrapped via an ether presale in August 2014 by
fans all around the world. It is developed by the Ethereum Foundation, a Swiss nonprofit, with
contributions from great minds across the globe. We will explore Ethereum in great detail as it
will be the focus and implementation of most of the development code we will present. From
a developer’s point of view, Ethereum is the platform that’s most likely to succeed. In March
2017, the Ethereum Enterprise Alliance was formed. The list of participating organizations
includes Microsoft, Intel, J.P. Morgan, BNY Mellon, and a host of others. Some startups have
used derivatives of the Ethereum platform to produce collaborative and private blockchains
that are not even concerned with cryptocurrency. The assets they transact with will be
securities, insurance, title registrations, and so on.
01-ch01.indd 23 04/01/18 3:17 PM

HowTo_Generic / Blockchain: A Practical Guide to Developing Business, Law, and Technology Solutions / Bambara / 587-9 / Chapter 1
24
Blockchain
Blockchain Collaborative Implementations
As large enterprises have started to take notice of how the blockchain technology could save
them time and money, their interest in creating enterprise versions of the blockchain has led to
the creation of some collaborative implementations. These collaborative implementations are
growing in number. We will examine a few of the current ones. We believe these collaborations,
although the subject of some widespread criticism, will lead to a mature blockchain technology
equipped with interactive development environments (IDE), debugging techniques, deployment
techniques, and all the trappings required for enterprise implementations.
Hyperledger
Hyperledger (https://www.hyperledger.org) is an open-source collaborative effort created to
advance cross-industry blockchain technologies. It is a consortium of companies working
together to develop standardized blockchain protocols. The project aims to develop
open protocols and standards by providing a modular framework that supports different
components for different uses. This would include a variety of blockchains with their own
consensus and storage models, and services for identity, access control, and contracts. It is a
global collaboration hosted by the Linux Foundation (see Figure 1-9).
Hyperledger Fabric is the IBM contribution, a distributed ledger technology (DLT)
implementation for the enterprise, with capabilities including network security, scalability,
confidentiality, and performance, in a modular blockchain architecture.
Hyperledger Burrow codebase is a contribution by Monax and is an Ethereum Virtual
Machine–compatible blockchain. Hyperledger Sawtooth Lakecodebase is a contribution by
Intel. They have targeted some applications integrating Internet of Things (IoT) sensors to
FIGURE 1-8
Ethereum blockchain platform
01-ch01.indd 24 04/01/18 3:17 PM

HowTo_Generic / Blockchain: A Practical Guide to Developing Business, Law, and Technology Solutions / Bambara / 587-9 / Chapter 1
Chapter 1 Introduction to Blockchain
25
track data on a blockchain, recording data including ownership, position, location, temperature,
humidity, motion, shock, and tilt.We will examine each of these branches in the “use case”
chapters to follow.
Hyperledger’s reference architecture is depicted in Figure 1-10. These categories are
a logical structure, not a physical depiction of partitioning of components into separate
processes, address spaces, or (virtual) machines. Some of these components will be built from
the ground up, some will use existing open-source code, and some will interface with existing
services to fulfill the required functions.
Corda
Corda (www.corda.net) is a distributed ledger platform designed to record, manage, and
automate legal agreements between business partners. It is a collaborative effort by R3, a group
of more than 100 financial companies. The development team is made up of financial industry
veterans, technologists, new tech entrepreneurs, and subject matter experts, bringing together
expertise to reengineer the financial markets ecosystem. Corda is a distributed ledger made
FIGURE 1-10
Hyperledger’s reference architecture
Ledger
Identities
Configuration Consensus
Manager
P2P
Protocol
Distributed
Ledger
Ledger
Storage
Access Control
Privacy
Identity
Services
Policy
Services
Smart Contract
Services
Blockchain Services
Hyperledger APIs, SDKs, CLI
Hyperledger Services
Secure Container
Registry
Life Cycle
Resource
Identities
Event Stream
IDENTITY POLICYBLOCKCHAIN TRANSACTIONS SMART
CONTRACTS
FIGURE 1-9
Hyperledger project branches
01-ch01.indd 25 04/01/18 3:17 PM
HowTo_Generic / Blockchain: A Practical Guide to Developing Business, Law, and Technology Solutions / Bambara / 587-9 / Chapter 1
26
Blockchain
up of mutually distrusting nodes that would allow for a single global database that records the
state of deals and obligations between institutions and people. This would eliminate much of
the time-consuming manual effort currently required to keep disparate ledgers synchronized
with each other. It would also allow for greater levels of code sharing than presently used in the
financial industry, reducing the cost of financial services for everyone.
From the technical point of view, Corda is a decentralized database platform with
the following novel features: New transaction types can be defined using JVM bytecode.
Transactions may execute in parallel, on different nodes, without either node being aware
of the other’s transactions. Nodes are arranged in an authenticated peer-to-peer network.
All communication is direct. There is no blockchain. More likely, Corda could accurately be
described as a messaging protocol. Transaction races are deconflicted using pluggable notaries.
A single Corda network may contain multiple notaries that provide their guarantees using a
variety of different algorithms. Thus, Corda is not tied to any particular consensus algorithm.
Data is shared on a need-to-know basis. Nodes provide the dependency graph of a
transaction they are sending to another node on demand, but there is no global broadcast
of all transactions. Bytecode-to-bytecode transpilation is used to allow complex, multistep
transaction building protocols, called flows, to be modeled as blocking code. The code is
transformed into an asynchronous state machine, with checkpoints written to the node’s
backing database when messages are sent and received. A node may potentially have millions
of flows active at once, and they may last days, across node restarts and even upgrades. Flows
expose progress information to node administrators and users and may interact with people
as well as other nodes. A flow library is provided to enable developers to reuse common flow
types such as notarization, membership broadcast, and so on.
The data model allows for arbitrary object graphs to be stored in the ledger. These graphs
are called states and are the atomic unit of data. Nodes are backed by a relational database.
Data placed in the ledger can be queried using SQL as well as joined with private tables, thanks
to slots in the state definitions that are reserved for join keys. The platform provides a rich
type system for the representation of things like dates, currencies, legal entities, and financial
entities such as cash, issuance, deals, and so on. States can declare a relational mapping and
can be queried using SQL. Integration with existing systems is considered from the start. The
network can support rapid bulk data imports from other database systems without placing
load on the network. Events on the ledger are exposed via an embedded JMS compatible
message broker. States can declare scheduled events. For example, a bond state may declare an
automatic transition to an “in default” state if it is not repaid in time. Corda follows a general
philosophy of reusing existing proven software systems and infrastructure where possible.
Blockchain in Practical Use Today
Blockchain technology has the potential to transform business operating models in the long
term. Blockchain distributed ledger technology is foundational. The use of blockchains will
garner significant efficiencies in global supply chains, financial transactions, asset ledgers, and
decentralized social networking. Some blockchain applications, as we shall see in this section,
are a disruptive innovation; they enable substantially lower-cost solutions to be created,
thereby disrupting existing business models.
01-ch01.indd 26 04/01/18 3:17 PM
HowTo_Generic / Blockchain: A Practical Guide to Developing Business, Law, and Technology Solutions / Bambara / 587-9 / Chapter 1
Chapter 1 Introduction to Blockchain
27
Blockchain in the Financial Technology Space
Having been in the financial technology (“fintech”) space before it was known as “fintech,” the
growth of global transactions has required more and more advanced technology applications
to speed up and reduce transaction costs for securities such as equities. Traditional trade
processes within asset management can be slow, manual, cumbersome, and filled with
risk when reconciling and matching—and they’re getting more complex with cross-border
transactions and for nonstandard investment products, such as loans. Each party in the trade
life cycle (e.g., broker dealers, intermediaries, custodians, clearing and settlement teams)
currently keeps their own copy of the same record of a transaction, creating significant
inefficiencies and room for error.
Unfortunately, a fair amount of trades have errors, requiring manual intervention and
extending the time required to settle trades. Because it does not require an exchange to verify,
clear, and settle security transactions (such as equities, repo, and leveraged loans), blockchain
will save a large amount in fees and capital charges globallyby moving to a shorter, and
potentially customized, settlement window. Blockchain will eliminate significant feesacross FX,
commodities, and OTC derivatives. Blockchain technology could simplify and streamline this
entire process, providing an automated trade life cycle where all parties in the transaction would
have access to the exact same data about a trade. This would lead to substantial infrastructural
cost savings, effective data management and transparency, faster processing cycles, minimal
reconciliation, and the potential removal of brokers and intermediaries altogether.
Financial derivatives are the most common application of a smart contract, and one of
the simplest to implement in code. The main challenge in implementing financial contracts
is that the majority of them require reference to an external price ticker. For example, a very
desirable application is a smart contract that hedges against the volatility of ether (or another
cryptocurrency) with respect to the US dollar, but doing this requires the contract to know
the value of ETH/USD or BTC/USD at any particular moment. They would have to leave the
zone of trust. In practice, information issuers are not always trustworthy, and in some cases
the banking infrastructure is too weak, or too hostile, for such services to exist. This approach
is not fully decentralized, because a trusted source is still needed to provide the price ticker,
although arguably this still is a massive improvement in terms of reducing infrastructure
requirements (unlike being an issuer, issuing a price feed requires no licenses and can likely
be categorized as free speech) and reducing the potential for fraud. The current industry
trailblazers working to enable a smarter and more connected financial system by digitizing
the world’s assets are Digital Asset Holdings (www.digitalasset.com), Chain.com, and the
aforementioned Ripple.
Blockchain in the Sharing Economy
One thing we have noticed is that large organizations rely on information provided by users
to generate value within their own platform. The problem with this platform is that the value
produced by the crowd is not equally distributed among those who have contributed. Most of
the profits are captured by the large intermediaries who operate the block. Uber and Airbnb
could be obviated in a world where we store people’s online identities on the blockchain. Uber
has disrupted the entire transportation industry. Some governments, however, have been
quick to limit its reach in order to protect existing taxi companies. La`Zooz (http://lazooz.org)
is an open-source and decentralized collaborative transportation system. More importantly,
01-ch01.indd 27 04/01/18 3:17 PM
HowTo_Generic / Blockchain: A Practical Guide to Developing Business, Law, and Technology Solutions / Bambara / 587-9 / Chapter 1
28
Blockchain
La`Zooz is a blockchain-based ride-sharing solution that rewards its users, developers, and
drivers with tokens called zooz. Unlike Uber, La`Zooz has no central authority and cannot
be blocked or shut down by governments. Your identity (as anonymous as you want it to be)
could be linked to reviews in the “sharing economy” on the marketplace. People can check out
your review as a trusted individual by checking your ID number. It would actually promote
good behavior because if you get a bad reputation you cannot delete accounts and re-register.
As we have mentioned, the blockchain can’t be tampered with or duplicated. Your identity
and what you choose to expose can be valuable. Onenameis a New York–based startup that
has created an ID system using the Bitcoin blockchain. Its first service allows users to create
blockchain IDs, which will soon be used to log in to websites without the need for a password.
P2P lodging sites have already begun to transform the lodging industry by making a public
market in private housing. The blockchain would enable a secure, tamper-proof system for
managing digital credentials and reputation; it could accelerate the adoption of P2P lodging.
Instead of central power providers, a distributed network built on blockchain technology
lets people generate their own electricity to sell on the network, using their blockchain’s
identity to perform the transaction. With solar and high-capacity battery technology,
individuals can potentially act as distributed power providers. Blockchain could be used to
facilitate secure transactions of power between individuals on a distributed network who do
not have an existing relationship. The fact that all transactions are verified by a consensus
network means you are protected from customers who claim the transaction did not happen.
The blockchain records are a more reliable truth than the central database of the existing
providers. The current applications are Sun Exchange, TransActive Grid, and Grid Singularity.
Blockchain and Real Estate
The real estate market will change for sure. Homeowners buying or refinancing property are
subject to significant transaction costs, including title insurance, where the title search process
can be labor intensive. An individual can put a property on the blockchain so that prospective
buyers can review and verify the owner of a property. Currently, this process of title searching
is done manually at a steep price. This specific-use case in the US could result in quickly
obtained and less expensive title insurance. Such insurance is usually required by lenders
issuing a mortgage to protect their interests. Transacting real estate is a cloudy and expensive
process because of middlemen. Brokers, government property databases, title companies,
insurance and property databases, escrow companies, inspectors and appraisers, and notary
publics are all currently needed to complete a transaction. We wait and depend on them. They
exist because they hold information that we cannot access or do not have the skills needed to
operate in the existing property transaction ecosystem. Public blockchains will eliminate most
if not all of these roadblocks and facilitate speedy and less expensive transaction fees. Current
applications providers include Bitfury (www.bitfury.com), which registers land titles via a
private blockchain, and Factom/Epigraph (www.factom.com).
Blockchain and Identity
Banking regulation requires that banks know their customers (KYC). Identity data stored on a
blockchain facilitates the bank’s verification of the identity of new customers. Storing account
and payment information in a blockchain could standardize the data required for an account,
01-ch01.indd 28 04/01/18 3:17 PM
HowTo_Generic / Blockchain: A Practical Guide to Developing Business, Law, and Technology Solutions / Bambara / 587-9 / Chapter 1
Chapter 1 Introduction to Blockchain
29
thereby improving data quality and reducing the number of falsely identified “suspicious”
transactions. A tamper-proof record could also ease the process of getting to know a client and
demonstrating compliance with AML regulations. Current users include the global financial
messenger for payments and fund transfers, i.e., the Society for Worldwide Interbank Financial
Telecommunication (SWIFT).
The blockchain can be used to keep track of digital assets. Today when we purchase a used
car the seller must physically deliver the car, title, and key. In the future, car titles may be public
on the blockchain and the key may be digital. All data could be verified through a blockchain.
To sell a car, the seller would simply send the digital key to the new owner, who would use
it to turn on and start the car. Exchanges likeShapeShift.ioalready demonstrate how simple
the exchange of stocks, bonds, and other digital assets will be should blockchain technology
take hold. How about the concept of “proof of existence” (POE) and transparency utilizing
the blockchain? Provenance (https://www.provenance.org) is a real-time data platform that
empowers brands to take steps toward greater transparency by tracing the origins and histories
of products. With their technology, luxury brands could mitigate and potentially eliminate the
sale of counterfeit goods. Outside of this area, one can only imagine what their technology
could mean for the art world as well.
Blockchain and the Practice of Law
As an attorney, the concept of a smart contract immediately hooked me, Joseph, to my current
obsession with blockchain. Some say blockchain will eliminate lawyers; I disagree. Lawyers
will just have to be able to code or at least write a syllogistic specification describing the intent
of the contract. The lawyer in the blockchain world must be a technologist as well. Creating
smart contracts requires a new team, consisting of:
•
Attorneys who can design the code and who have legal knowledge of contract structure
and enforcement
•
Technologists who provide the software engineering to implement legal constructs into
smart self-executing transactional structures using blockchain
The law and smart contracts not only represent a new practice model but also a change in the
global business model. A smart contract may start from a series of clauses drafted according
to traditional contract doctrine, but as these clauses move onto a blockchain platform and
become self-executing, doctrine becomes obscured. Don Tapscott, co-author of Blockchain
Revolution, came up with the phrase “smart contract mediator” (SCM). Due to the self-
enforcing nature of smart contracts, the nexus of disputes in transactions potentially will shift
to the stage of dynamic execution. Lawyers with blockchain knowledge will act as mediators in
this process, helping parties to navigate the smart contract process.
A smart contract looks and acts very different from a static contract. Understanding
blockchain and DLT is critical to managing this process for clients. Many of the industries
and practice areas discussed so far apply primarily to those working with large firms and
representing enterprises. Hopefully for practitioners, blockchain is yet another technology
that provides new opportunities for agile individual attorneys and small firms to compete for
business. Smart contracts enable trustless financial services like loans, automatic execution
of trade agreements, micropayments, and more. Smart contracts on the blockchain can also
01-ch01.indd 29 04/01/18 3:17 PM
HowTo_Generic / Blockchain: A Practical Guide to Developing Business, Law, and Technology Solutions / Bambara / 587-9 / Chapter 1
30
Blockchain
build on top of digital assets and stocks. The firm Steptoe and Johnson (www.steptoe.com)
serves as counsel to theBlockchain Alliance (www.blockchainalliance.org), a coalition of more
than 25 companies and 25 law enforcement and regulatory agencies around the world.
Blockchain Decentralized File Storage
Over the past few years, there have emerged a number of online file storage startups, the most
prominent being Dropbox, seeking to allow users to upload a backup of their hard drive and
have the service store the backup and allow the user to access it in exchange for a monthly
fee. However, at this point the file storage market is at times relatively inefficient; a cursory
look at variousexisting solutionsshows that, particularly at the “uncanny valley” 20 to 200 GB
level at which neither free quotas nor enterprise-level discounts kick in, monthly prices for
mainstream file storage are such that you are paying for more than the cost of the entire hard
drive in a single month.
IPFS is short for Interplanetary File System, and it does just what the name entails. Think
of it as rewiring and rerouting the entire Internet so that trains run and stop on time and go
where they need to go, all while greatly reducing redundancy. Designed by the technologist
Juan Benet, IPFS is a peer-to-peer distributed file system that seeks to connect all computing
devices with the same system of files. In some ways, IPFS is similar to the Web, but IPFS could
be seen as a single BitTorrent swarm, exchanging objects within one Git repository. In other
words, IPFS provides a high throughput content-addressed block storage model, with content-
addressed hyperlinks. Projects likeStorjintend to use blockchain technology to share files in a
decentralized network. Users with extra disk space will automatically be able to rent out unused
storage space. Users in need of cloud storage space can pay to store files on computers across
the network. Storj estimates that this system will cut costs of data storage by about 80percent.
Decentralized Autonomous Organizations
The general concept of a decentralized autonomous organization (DAO) is that of a virtual
entity that has a certain set of members or shareholders which, perhaps with a 67 percent
majority, have the right to spend the entity’s funds and modify its code. The members would
collectively decide how the organization should allocate its funds. Methods for allocating a
DAO’s funds could range from bounties and salaries to even more exotic mechanisms such
as an internal currency to reward work. This essentially replicates the legal trappings of a
traditional company or nonprofit but uses only cryptographic blockchain technology for
enforcement. So far much of the talk around DAOs has been around the “capitalist” model
of a decentralized autonomous corporation (DAC) with dividend-receiving shareholders
and tradable shares. An alternative, perhaps described as a “decentralized autonomous
community,” would have all members have an equal share in the decision making and require
67 percent of existing members to agree to add or remove a member. The requirement that
one person can only have one membership would then need to be enforced collectively by
the group. Backfeed (backfeed.cc) develops resilient technology and new economic models to
support free, large-scale, systematic collaboration. Based on a distributed governance model,
Backfeed protocols make it possible for people to easily deploy and maintain decentralized
applications and DAOs that rely on the spontaneous and voluntary contribution of hundreds,
thousands, or millions of people.
01-ch01.indd 30 04/01/18 3:17 PM
HowTo_Generic / Blockchain: A Practical Guide to Developing Business, Law, and Technology Solutions / Bambara / 587-9 / Chapter 1
Chapter 1 Introduction to Blockchain
31
Blockchain and Cloud Computing
Enigma is a decentralized cloud platform that guarantees privacy (https://www.media.mit.edu/
projects/enigma/overview/). Private data is stored, shared, and analyzed without ever being
fully revealed to any party. Enigma provides secure multiparty computation, empowered by
the blockchain. This is as futuristic and radical as blockchain gets and will be an important
innovation as it solves some of the most difficult problems in technology today: privacy and
security. These core functions, layered on top of distributed cloud technology, are a dynamic
combination that transforms how data is stored and retrieved, providing industries like
finance, health, and civil services the underlying trust and security to truly unlock the potential
of next-generation mobile applications.
Blockchain Gambling and Betting
Gambling is a multi-billion-dollar industry and was revolutionized by the Internet. Online
gambling accounts for a significant proportion of all betting. Mostly, the Internet just saw the
same big gaming players move their infrastructure online. However, blockchain technology
changes all that. It is the missing piece that protected the established gambling industry.
Now there is a host of exciting new startups reimagining the gambling industry. They are
decentralizing the entire structure and are building something truly new. VDice (vdice.io)
is one example of such a startup. It is billed as the world’s first fully decentralized gambling
platform and is wildly popular among blockchain geeks. Using the Ethereum blockchain, they
have leveraged smart contract technology and have created game codes that exist without
a server. These games live on the Ethereum P2P network. We will examine Ethereum and
betting with a sample application developed by one of the authors, PeerBet, in detail in a
later chapter that will provide a “start to finish” examination of the Ethereum blockchain
development life cycle.
Summary
In summary, blockchain—the distributed database technology with the capability to execute
smart contracts—is more than a platform for cryptography. The universe of “use cases,”
which we briefly covered, is expanding exponentially. The efficiencies and cost savings
provided by blockchain technologies, especially the private blockchains adopted by the
financial community, will result in widespread adoption. This will cause the technology to
mature at a rapid rate. In parallel, the use of blockchain to affect global transactions will also
push it forward toward maturity. Blockchain and its timing are critical to maintaining global
transactions and providing trust in the integrity of those transactions. For these reasons and
more, blockchain is here to stay. We will provide you with a comprehensive journey through
what you need as a developer to successfully make the trip.
01-ch01.indd 31 04/01/18 3:17 PM
HowTo_Generic / Blockchain: A Practical Guide to Developing Business, Law, and Technology Solutions / Bambara / 587-9 / Chapter 1 / blind folio: 32
01-ch01.indd 32 04/01/18 3:17 PM
This page intentionally left blank
33
HowTo_Generic / Blockchain: A Practical Guide to Developing Business, Law, and Technology Solutions / Bambara / 587-9 / Chapter 2
2 Business Use Cases
Currency and Tokens
When a conversation starts up on blockchain, it invariably turns to the subject of cryptocurrencies
and just as quickly to the first and most widely known one, Bitcoin. Let’s take a deeper look at
cryptocurrencies and how they relate to blockchain. But first, let’s review the essence of blockchain
and why it works for cryptocurrencies and tokens:
•
It contains proof of all transactions on the network.
•
The truth/facts are permanent; they cannot be changed after they are committed.
•
It can be likened to a linked list; this helps to prove integrity as each verified block points
back to a prior block.
•
The mining process (for Bitcoin) validates, verifies, and commits the block.
•
Automatic replication and therefore high availability and resiliency help to overcome
failure of any participating node.
•
It is simple to reconstruct local copy if it becomes corrupt or lost.
Cryptocurrency
What is a cryptocurrency? A browser search will yield results that state something like the
following:
“…digital asset in which encryption techniques are used to regulate the generation of units
of currency and verify the transfer of funds, operating independently of a central bank.”
“…encrypted decentralized digital currency transferred between peers and confirmed in a
public ledger via a process known as mining.”
So, what does this mean? A cryptocurrency is essentially a digital (electronic) form of
currency recorded in a ledger of accounts and transactions (transfers) between peers using a
method of encryption and verification. Unlike fiat currency, which is currency whose value is
backed by the government that issues it, there is no central governing body. When Bitcoin—the
first and most well-known digital currency—was created, it was built with a supply capped
02-ch02.indd 33 04/01/18 3:17 PM

HowTo_Generic / Blockchain: A Practical Guide to Developing Business, Law, and Technology Solutions / Bambara / 587-9 / Chapter 2
34
Blockchain
at 21 million coins. However, not all of these were put into circulation from day 1; they
are gradually brought into circulation via a complex process known as mining. Mining is
essentially a validation, verification, and committing process. Once all of the Bitcoins have
been mined, there will be no more coins added to the circulation. It is predicted that 80 percent
(or 16.8 million) will have been mined and in circulation by early 2018.
Cryptocurrency Explosion
A search on Bitcoin will reveal that it became the first decentralized cryptocurrency in 2009.
Since that time, numerous cryptocurrencies have been created. In fact, at the time of writing
there are more than 700 cryptocurrencies available, and a few dozen of those have even reached
a market capitalization of above $10 million (see Table 2-1). While these cryptocurrencies are
still very small in market share compared to fiat currencies, they continue to evolve and become
more widespread.
The Future of “Real” Cash
There is little doubt in our minds that cash as we know it will cease to exist, and on the way
to eradication its use will be increasingly limited and driven down to the point where it is
effectively not used. The timeframe is probably over a decade, but it could be sooner. Think
about it: what do you use cash for today? With our smartphones we can use applications to pay
for everyday items that used to be bought only with cash, such as the breakfast or coffee that
you grab on your way to work. The most common items that I (Paul) use cash for now are for
a mixture of tipping and buying gum or breath mints from the newsstand (it sounds so funny
to me to write newsstand, because I haven’t bought a real newspaper in years, but they are still
there whenever I visit).
#Name Market Cap (USD) Price (USD) Circulating Supply
1Bitcoin $36,203,662,674 $2,213.09 16,358,875 BTC
2Ethereum $16,856,972,986 $183.16 92,032,632 ETH
3Ripple $9,034,799,016 $0.236208 38,249,335,400 XRP
4NEM $1,869,255,000 $0.207695 8,999,999,999 XEM
5Ethereum Classic $1,537,182,848 $16.69 92,092,096 ETC
6Litecoin $1,252,969,571 $24.42 51,319,032 LTC
7Dash $826,722,501 $112.86 7,325,334 DASH
8Monero $603,347,476 $41.49 14,541,297 XMR
9Bytecoin $459,404,438 $0.002511 182,953,122,444 BCN
10 Stellar Lumens $361,596,835 $0.037418 9,663,661,946 XLM
TABLE 2-1
Top 10 Cryptocurrencies (by Market Cap)
02-ch02.indd 34 04/01/18 3:17 PM

HowTo_Generic / Blockchain: A Practical Guide to Developing Business, Law, and Technology Solutions / Bambara / 587-9 / Chapter 2
Chapter
2 Business Use Cases
35
Now think about this: Instead of cash we have bought into using a variety of payment
methods that have become more and more convenient in our digital age. We either use
credit or debit cards, or mobile applications, as mentioned earlier. All of these noncash
methods have various incentive programs (rewards, discounts, and cash-back). It’s pretty
straightforward and seems like a good idea because we all love to feel that we are getting
rewarded for spending our hard-earned money. If you go back just a few years, it was
uncommon to use a credit card to buy anything that totaled less than $20. Now we pay
without using cash nearly all the time. Sure, there are some places that still post a half-baked
apology stating the minimum amount for a credit or debit card is $10 (see Figure 2-1 for
a couple of examples of these notices), but there are far fewer barriers to using noncash
payment methods today. We want to take a step back and make a point that is quite obvious
to many: When cash eventually disappears, we will be paying for everything through a third
party. Be it the banks (and their credit and debit cards) or the mobile applications (Apple,
Google, Samsung, Venmo, etc.), it will still be controlled, contained, and above all viewable
by these third parties and governments.
Let’s see how cryptocurrencies compare to the third-party model. First of all, they
are public networks and open to all. You do not need permission to join the network. The
participants creating these cryptocurrency applications do not need permission to innovate;
they are free to create new applications and they will immediately work. There is no central
control. This does not mean that a user is powerless, it’s that the power is shared by all of the
participants. We think cryptocurrencies have a significant role to play in the replacement of
real cash. Do you want to replace cash with a digital equivalent that is run, controlled, and
monitored by a combination of the government and corporations? Or do you want a digital
equivalent to be independent of any central entity? After all, banking is an application; does it
really need an institution?
FIGURE 2-1
Credit/debit card minimum
02-ch02.indd 35 04/01/18 3:17 PM
HowTo_Generic / Blockchain: A Practical Guide to Developing Business, Law, and Technology Solutions / Bambara / 587-9 / Chapter 2
36
Blockchain
Digital Tokens
Another common conversation point in discussions around blockchain is tokens, or digital
tokens to be more specific. A digital token can be any kind of digital asset or any digital
representation of a physical asset. Within Ethereum a digital token can represent any fungible,
tradable good, such as currency, reward points, gift certificates, and so on. All Ethereum-
based tokens implement baseline functionality in a standard way, known as the ERC20 token
standard. These tokens remain compatible with any other client or contract that relies on and
uses the same standards.
The significance of digital tokens is that in recent years it was venture capital companies
and institutional investors that had invested in digital currency startups, to the tune of
approximately $1 billion. This was one of the typical ways that a startup raised money.
Traditionally, companies raise money in three ways:
•
Equity The company sells shares (ownership) in exchange for funds.
•
Bond The company borrows cash and promises to repay the amount with interest.
•
Presell product or service The company takes orders and payment for a product or
service that does not exist, isn’t complete, or is not available yet, such as event tickets,
mobile or console games, or Kickstarter projects.
With these traditional approaches there is a greater degree of government regulation put in
place to prevent investors from being scammed by swindlers and crooks.
What was happening in the funding aspect of these digital currency startup efforts? A
new method, called an initial coin offering (derived from IPO, initial public offering), provided
another way for a company or project to raise capital. These new projects raised money by
creating and then selling their own digital tokens through crowdfunding on a blockchain.
Some interesting aspects to this approach are that the tokens are the currency that is used in
the company/application that is being created or developed. The developers of the application
(or contributors) are paid in these tokens. The tokens can be converted to any currency at
the prevailing market rate when needed. This really provides the ability to create and launch
a project using a decentralized business model (DBM). There is a significant difference and
divergence between these decentralized approaches to raising money and the traditional
centralized ways. In effect, these ICO/DBM projects create their own financial ecosystem in
order to drive the development, innovation, and delivery of the project.
This model is decentralized in several ways. There is no central control structure
gatekeeping or preventing participation; it has shared contributions and ownership by all
participants. This business model is facilitated by platforms that are already in place—the
Internet and cryptocurrencies. This really is being tried for the first time and is looking like
the future model of blockchain and the applications that will be created to run on it. It is
nonetheless very important that these tokens are structured in a way that prevents them from
coming under regulatory scrutiny. The main tests that regulators apply when scrutinizing these
arrangements come from the U.S. Supreme Court case Securities and Exchange Commission
(SEC) v. W. J. Howey Co. This 1946 case established the test for whether an arrangement
involved an “investment contract.” The case concerned an offer of a land sales and service
02-ch02.indd 36 04/01/18 3:17 PM
HowTo_Generic / Blockchain: A Practical Guide to Developing Business, Law, and Technology Solutions / Bambara / 587-9 / Chapter 2
Chapter
2 Business Use Cases
37
contract that the court upheld to be an investment contract (in other words, a security) within
the meaning of the Securities Act of 1933. In terms of tokens on the blockchain, the following
three items must be true for a digital token to be considered an investment contract (security):
1.
An investment of money
2. In a common enterprise or business
3. An expectation of profits predominantly from the work of others
A full and detailed document is available at https://www.coinbase.com/legal/securities-
law-framework.pdf that attempts to lay out a process and best practices to help application
builders—that is, those who want to create and sell tokens to the public—avoid such tokens
being classified as a financial security.
Financial Services Use Cases
Blockchain will continue to transform the financial services industry because of the benefits
and features it can provide, some of these being faster throughput, reduced costs, less room for
error, transparency, and a multitude of “ities”—quality, reliability, simplicity, and traceability.
The financial institutions that find ways to adopt and apply blockchain technology will gain the
competitive advantages of delivering solutions with a faster time-to-market at a reduced cost.
We will now examine use cases that will show you how blockchain can be applied to real-world
challenges in the financial services industry.
Know Your Customer (KYC) Use Case
Problem: Know Your Customer (KYC) is the process by which a financial institution gathers
information about a customer. The main purpose of this process is to ensure that institutions’
services are not misused, and this process takes place when a customer opens an account.
The process varies because each financial institution is responsible for being in compliance
with the requirements laid out and specified by their local regulatory body. The process
typically requires the passing of documents back and forth between the customer and financial
institution. There is very little automation; financial institutions dedicate a huge amount of
resources to the process, but it is still very time consuming. These delays are frustrating for
a customer who wants to use the institution’s services immediately. So how does blockchain
technology help here? See Figure 2-2 for a blockchain solution.
Solution: The customer’s personal information, KYC documentation, and data are
encrypted and added as a block in the blockchain. The customer’s block is validated using
a consensus model running on the network. When the customer wants to open an account
with a bank or financial institution (FI) for the first time, the FI directs them to their block and
authorizes them with access. The FI can access all of the validated KYC information and move
the customer along the on-boarding process. The single source of KYC (identifying) data that
can easily be shared between financial institutions and external agencies will eventually result in
much faster account opening, reduced resources, and therefore lower costs. This can all be done
while maintaining the privacy of data, because the owner of the data (the customer) strictly
controls its access. Initially, there would still be a role for a third party (e.g., the initial bank),
02-ch02.indd 37 04/01/18 3:17 PM

HowTo_Generic / Blockchain: A Practical Guide to Developing Business, Law, and Technology Solutions / Bambara / 587-9 / Chapter 2
38
Blockchain
and they might be rewarded for doing the initial physical work of adding information to the
blockchain. This would happen at least until a decentralized attestation system was created as
the process evolved.
Asset Management Settlement Use Case
Problem: Typical back-office trade processing and settlement methods can be awkward,
risky, and time consuming. This is especially the case when manual steps are involved, such
as during matching and reconciliation tasks. Every entity in the value chain keeps its own
copy, or view, of the transactions that have taken place. These processes continue to get more
complicated as new instruments are being developed and traded. In short, mistakes and
associated costs are rising in proportion to the complexity of the tasks and involvement of
resources to deal with them. See Figure 2-3 for a solution to asset management settlement.
Solution: The transactions can be stored in a blockchain and made available to all parties.
This would drastically simplify and streamline this entire process for all parties. It would lead
to automation of the trade life cycle, facilitate easier management of the data, and provide
transparency as well as substantial infrastructure and resource reductions. These improvements
would lead to minimal reconciliation and ultimately faster processing times. While all of the
transactions may be visible to everyone, it is possible to arrange and set up so that only certain
parties are privy to this information.
Insurance Claims Processing Use Case
Problem: Have you ever needed to make a claim on an insurance policy? If you have, you’ll be
able to relate to this problem. The claims process is complex and often drawn out and lengthy.
Insurance contracts are typically difficult to understand, because over time they have evolved
into a complex web of legal language in reaction to prior unfavorable outcomes. So when
FIGURE 2-2
Know Your Customer (KYC) use case solution
1. Customer uploads KYC
data and documents to
the blockchain
2. Customer permits FI
access to KYC data
Customer
Financial Institution (FI)
3. FI performs KYC and
approves customer
Next Financial
Institution(s)
4. In the future customer
permits additional FI
access to KYC data
5. Next FI performs KYC
and approves customer
02-ch02.indd 38 04/01/18 3:17 PM

HowTo_Generic / Blockchain: A Practical Guide to Developing Business, Law, and Technology Solutions / Bambara / 587-9 / Chapter 2
Chapter
2 Business Use Cases
39
you need to make a claim, it takes a while for the process to complete. Insurance companies
are composed of many separate department silos, such as underwriting, policy issue and
administration, claims, actuarial and statistical, accounting, investment, legal, and audit. When
you add manual processes, legacy models, and disjointed data elements to the daily onslaught
of fraudulent claims, it stands to reason that “speedy” is not the word typically associated with
customer outcomes. See Figure 2-4 for a solution to insurance claims processing.
Solution: Create insurance policies using a smart contract on the blockchain. The
qualities of a smart contract (control, transparency, and traceability) would allow for much
more automation. A smart contract would provide the customer and insurer with the ability
to manage claims in an open, speedy, and indisputable way. The contract (policy) is uploaded
to the blockchain and validated by the network. Similarly, claims are then uploaded to the
blockchain and applied to the smart contract. That being said, blockchains cannot access
data outside their network. This data can represent external conditions such as temperature,
payment, price change, or RFID presence trigger. An oracle (or data provider) is a third-party
service designed for use by smart contracts. An oracle provides the necessary external data and
pushes it onto the blockchain. Then the contract and the network will be able to validate and
enforce the claim and either automatically reject or accept it. When the correct conditions are
met, a payment is automatically triggered.
FIGURE 2-3
Asset management settlement use case solution
A blockchain solution will remove the need for intermediaries and
provides a trusted and shared (with permission) view of data:
• Increase availability—no downtime
• Reduce costs because there are fewer reconciliation issues
• Speed up settlement because validation is fast
• Improve transparency and ability to monitor
02-ch02.indd 39 04/01/18 3:17 PM

HowTo_Generic / Blockchain: A Practical Guide to Developing Business, Law, and Technology Solutions / Bambara / 587-9 / Chapter 2
40
Blockchain
Trade Finance (Supply Chain) Use Case
Problem: Trade finance refers to financial transactions, both domestic and international, that
relate to trade receivables finance and global trade. Trade finance is a core business function
for all global banks, especially tier 1 banks. Given its importance, it still lags in its application
of technology and still resorts to using very manual processes for its document-centric flows.
This leads to interruption in business cycles, and the lack of transparency leaves the door
open to financial crime. Supply chains between many parties are complicated, distributed,
and lack trust, therefore they are very slow and need many third parties such as banks and
clearinghouses to facilitate the trust aspect and allow the commerce supply chain to flow. See
Figure 2-5 for a solution to supply chain finance.
Solution: Blockchain will hold all of the necessary information in a smart contract,
updated instantly and viewable by all members on the network. The smart contract can be
used to automate the transfer of title to goods and money. This automation and network
validation remove the need for third-party facilities, such as letters of credit (LCs), and will
help to streamline the whole process and measurably reduce costs by eliminating the third
parties and their associated fees. Applying smart contracts results in:
•
Faster cycle time. Reducing and eliminating human intervention yields a more efficient
process, resulting in much shorter cycles.
•
Reduced fraud. The open and auditable transactions available in the distributed ledger
reduce or eliminate supplier fraud.
FIGURE 2-4
Insurance claims processing use case solution
Customer
Assessor
Repair Shop
Insurance
Company
2. Assessor reviews and
approves claim
3. Insurance Company
approves claim and
funds repair
4. Customer chooses
repair shop
5. Repairs completed
6. Customer accepts
repaired car
7. Payment for repairs
Smart
Contract
1. Customer submits
claim to Smart Contract
02-ch02.indd 40 04/01/18 3:17 PM

HowTo_Generic / Blockchain: A Practical Guide to Developing Business, Law, and Technology Solutions / Bambara / 587-9 / Chapter 2
Chapter
2 Business Use Cases
41
•
Reduced costs and fees. The shared ledger is available to all banks, rating agencies,
and suppliers participating in the chain, reducing processing and storage costs and
fees. Payments between institutions in the network can potentially be made through
a cryptocurrency. This will eliminate the need for higher-cost third-party payment
networks.
Global Payments Use Case
Problem: It can take days to transfer money from a party in one country to a party in another
country. The global payments business is a large, slow, costly, and error-prone industry. It is
also attractive to those who wish to engage in money laundering because it is not completely
traceable. See Figure 2-6 for a solution for cross-border payments.
Solution: Blockchain payment technologies can add tremendous value in this space by (a)
reducing the multi-day payment cycle down to real time, (b) enhancing currency conversions,
and (c) providing transparency to improve anti–money laundering capabilities. Aside from
Bitcoin, there are several other cryptocurrency solutions that are gaining popularity in the
FIGURE 2-5
Trade finance (supply chain) use case solution
Retail Chain
(Buyer)
Factory
(Seller)
Buyer’s Bank
Goods
When product ships,
seller (or IoT device)
informs Smart Contract.
This triggers initial partial
payment.
When product arrives,
buyer (or IoT device)
informs Smart Contract.
This triggers remaining
payment and goods are
unlocked at buyer’s
warehouse.
Data
Payment
Data
Payment
Seller’s Bank
Smart
Contract
02-ch02.indd 41 04/01/18 3:17 PM

HowTo_Generic / Blockchain: A Practical Guide to Developing Business, Law, and Technology Solutions / Bambara / 587-9 / Chapter 2
42
Blockchain
payments space, notably the Ripple network and Ripple XRP. Santander became one of the
first banks to apply blockchain to payments, enabling customers using their application to
make overseas payments that clear within 24 hours. Blockchain will eventually enable real-time
payments while reducing operational costs, human error, and fraud.
Smart Property
Smart property is really the extension of smart contracts reaching out into the practical and
interactive world that includes the Internet of Things (IoT). We’ll cover smart contracts later
in this chapter, but feel free to to jump ahead and read about them first and come back to this
section.
We’ve all seen (or, if not, certainly read about) actual physical objects being connected to
the Internet. For example, with home automation the smart home has smart light bulbs, smart
locks, and a smart refrigerator and a smart oven. All of these items are called smart because
they have computer technology embedded within, they are programmable in some way,
and they are connected to the Internet. So, in the case of a light bulb, it can be customized,
scheduled, and controlled remotely. See Figure 2-7 for additional examples of smart property.
Smart property is all about ownership, access, and control of things using the blockchain
network. Smart property can be in the physical world, such as a vehicle, tablet, or even real
estate. In the virtual (non-physical) world, smart property can be a financial instrument,
trademark, copyright, or patent. The real advantage to making property smart is that it can
be traded, accessed, and controlled in a near trustless way, reducing cost as well as fraud. This
will open up and expand commerce, making everything more competitive and at the same
time less expensive. Think about this: smart property can be used as collateral by a borrower
when they borrow money from a lender using a smart contract. We envision the blockchain
becoming a tool for inventory, tracking, and exchange of assets in the future.
FIGURE 2-6
Global payments use case solution
Financial Institution (UK)
1. Transfer
(GBP)
Financial Institution (US)
FX Traders
2. Funds Transfer
(USD)
Bilateral clearing without
Nostro management
Ripple
XRP
02-ch02.indd 42 04/01/18 3:17 PM

HowTo_Generic / Blockchain: A Practical Guide to Developing Business, Law, and Technology Solutions / Bambara / 587-9 / Chapter 2
Chapter
2 Business Use Cases
43
Transferring Ownership of Smart Property
While simple forms of smart property exist, such as the combination of your car ignition
and the car key, more advanced forms will be needed in the future to allow transfer of
ownership. We will now distill a smart property approach to the ownership of a car. When the
manufacturer builds the car, the car is given a digital certificate signed by the manufacturer
and an identification key containing the public part of the certificate. The car has built in
enough technology so that it can provide valid proof of its existence, and other valuable data
like ownership, build date, maintenance history, and distance traveled or hours used. The
car would also contain a small amount of cryptocoins (C) deposited on the ownership key to
facilitate transfer in the future. See Figure 2-8 for an example flow for transferring ownership
of smart property.
Now let’s look at the steps involved when the car gets sold:
1.
The buyer generates a random number (nonce) and passes it to the seller and asks in
return for the car data.
2. e seller takes the buyer’s random number and passes it to the car (probably
implemented via a touchscreen or an application on the seller’s phone that is paired to
the car already).
3. e car returns a signed (via identification key) data structure that contains the buyer’s
random number, the car’s public key, any pertinent data (mileage, age, etc.), the current
owner’s public key, and the transaction details of the prior ownership transaction. is
data structure provides sufficient information for the buyer to know what they are
buying and who the seller is.
4. e seller identifies the key to receive payment (SellerKey) and price required (P).
5. e buyer generates a new ownership key (BuyerKey) and creates a skeleton transfer
transaction containing a pair of inputs and a pair of outputs. Note that the transaction
is not completely valid and cannot be fully executed because only Input#1 is signed:
•
Input#1 is a signed entry for P cryptocoins.
•
Input#2 identifies the ownership key (holding the C cryptocoins).
FIGURE 2-7
Smart property
Ownership rights
Access and Communication rights
Negotiating/Collateral rights
Jurisdictional legal & regulatory requirements
Smart
Property
02-ch02.indd 43 04/01/18 3:17 PM

HowTo_Generic / Blockchain: A Practical Guide to Developing Business, Law, and Technology Solutions / Bambara / 587-9 / Chapter 2
44
Blockchain
•
Output#1 is an instruction to send P cryptocoins to the SellerKey.
•
Output#2 is an instruction to send C cryptocoins to the BuyerKey.
6. e buyer passes this partially signed transaction back to the seller. e seller
signs Input#2 with the car’s current ownership key, commits the transaction to the
blockchain, and waits for it to be validated.
7. e buyer presents the car with the verified blockchain transaction. is is a Merkle
branch hash of the block header of the transaction and enough additional block
headers to fill in the gap from the car’s current ownership transaction. e car sees that
the new transaction reassigns ownership and updates its ownership information.
8. The buyer now owns the car.
As we mentioned earlier, there will most likely be a touchscreen in the smart car and an
application on the buyer’s and seller’s phones to facilitate identification and the transfer. It is
highly likely that our smartphones become even more integral with our lives and even become
part of the keys to our smart property along with some biometric or additional authentication/
authorization methods.
FIGURE 2-8
Transferring ownership
Seller
Buyer
Manufacturer generates
digital certificate and
identification key
Car technology contains valuable data:
Proof of existence, build date, recent ownership
history, maintenance history, run hours/distance, etc.
1. Buyer generates and sends nonce
4. Seller sends car data, key to receive payment and price
2. Seller
passes
buyer
nonce
to car
3. Car returns
identification
data, buyer’s
nonce, owner’s
public key,
prior ownership
transaction, and
mileage, age,
etc.
5. Buyer creates new ownership key, partially signed skeleton transfer
7. Car sees that the transaction is now
verified and committed, so it reassigns
ownership and updates its local
information
Factory
6. Buyer signs with ownership key
and submits to blockchain
Smart
Property
02-ch02.indd 44 04/01/18 3:18 PM

HowTo_Generic / Blockchain: A Practical Guide to Developing Business, Law, and Technology Solutions / Bambara / 587-9 / Chapter 2
Chapter
2 Business Use Cases
45
Using Smart Property as Collateral
While transferring ownership of smart property is an obvious necessity, using it in other ways
will also be possible. For example, what if you could leverage your smart property and use
it as collateral in another contract? This isn’t transferring ownership, although penalties for
not fulfilling a contract may lead to transferring ownership of the smart property, but while
it’s being used as collateral you will most likely want to continue to use the smart property.
What would be the sense in metaphorically sticking it in a drawer where it would do nothing
for the life of the contract? So let’s flesh this out a little with an example. You want to borrow
money. In exchange, the people lending you the money want something pledged as security for
repayment of the loan, to be forfeited in the event of a default. You put up your smart property
as collateral, but the wrinkle is that you still want to use the smart property while the loan is in
place. See Figure 2-9 for an example flow for using smart property as collateral for a loan.
FIGURE 2-9
Using smart property as collateral
Debtor
(borrower)
Creditor
(lender)
1. Debtor creates an access
key to retain use of smart
property during loan period
2. Creditor creates new ownership key, partially signed
skeleton transfer
3. Debtor signs with ownership key
and submits to blockchain
4. Car sees verified
transaction; it records
ownership to creditor
5. Debtor makes payment (multiple)
6. Smart Contract sees
when payments have
equaled loan amount,
triggers return of
ownership to debtor
7. Car sees verified
transaction; it records
ownership back to debtor
Smart
Contract
4
Car
se
es
ver
ified
02-ch02.indd 45 04/01/18 3:18 PM
HowTo_Generic / Blockchain: A Practical Guide to Developing Business, Law, and Technology Solutions / Bambara / 587-9 / Chapter 2
46
Blockchain
So how will we do this in practice? As we said earlier, smart property can manage
ownership, access, and control. These are the basic capabilities. In this scenario we will use
the ability to program into the contract the state of ownership and access for the life of the
loan. Here is a high-level digest of how a loan contract using smart property as collateral
might be set up:
1.
The debtor creates an access key for the smart property so they can keep using it for the
duration of the loan provided that they maintain the payments.
2. e creditor generates a key (CKey) that is to receive payments to repay the loan
amount (LAmt).
3. e creditor generates a new ownership key (OKey) and creates a skeleton transfer
transaction (Tran) containing three inputs and two input/outputs. e creditor passes
this transaction to the debtor. Note that the transaction is not completely valid and
cannot be fully executed because only two of the inputs are signed:
•
Input#1 is a signed entry for LAmt (loan amount).
•
Input#2 identifies the repayment amount (initially zero).
•
Input#3 identifies the current ownership key (smart property).
•
Input/Output#1 identifies the DKey and an instruction to send LAmt to DKey and
assign ownership of smart property to OKey.
•
Input/Output#2 signs entry OKey and an instruction to assign ownership to DKey
when loan is repaid.
4. e debtor signs Input#3 with the ownership key and Input/Output#1 with the DKey.
5. e debtor makes payments to the loan by adding amounts to Input#2.
6. When the transaction Input#2 reaches the value in Input#1, the instruction to take
back ownership of the smart property is executed.
There are some additional conditions that would be attached to this contract, namely
time limits. The creditor can revoke the access token if the loan is not repaid by a certain time,
because they have the ownership key. The smart property can then be taken and used by the
creditor or sold to recoup the loan amount. Now let’s take a look at the smart contract itself.
Smart Contracts on the Blockchain
Blockchain technology handles cryptocurrencies and tokens as mentioned earlier in this
chapter and throughout the book; it is the underlying platform for a new way of organizing
and managing relationships. These include legal relationships and contracts. In order to best
explain what a smart contract is, we must first look into the problem of trust.
The Trust Problem
The trust problem has been around since the dawn of time. In order to progress, a society or
group of people has to cooperate with each other. When people cooperate they can do more
collectively that they could individually. However, in doing so they are also opening themselves
up to being deceived, misled, and subsequently disappointed. To attempt to address this issue,
02-ch02.indd 46 04/01/18 3:18 PM

HowTo_Generic / Blockchain: A Practical Guide to Developing Business, Law, and Technology Solutions / Bambara / 587-9 / Chapter 2
Chapter
2 Business Use Cases
47
societies have instituted rituals, passed laws, and even installed governance processes. All of
these elaborate techniques are in place to address the trust problem. To better explain the trust
problem, let us use an example. A man frequently uses his credit card to pay for goods and
services. He can walk into a store, pick an item, go to the checkout, and pay with the credit
card. The store allows the purchase because the credit card, when swiped or inserted into the
chip reader, checks with the bank to see if the shopper is a good risk for them to authorize
the purchase and confirm that he is the person to whom the card was issued. The bank will
actually collect the payment from the shopper some time later when it bills him. So, you see,
there is trust all around here. The store trusts the bank and the shopper, and the bank trusts
the store and the shopper, and the shopper trusts the store and the bank. The shopper can
carry around a small piece of plastic instead of a wad of cash. If he loses the card, he can have
it replaced within a few days. If he had to carry the cash equivalent, he might lose it or get
robbed and would never get it back. Having the trust element makes it easier to purchase
items, and that’s also good for merchants, who always want and need to sell more items. As the
barriers to payment come down, a whole lot more commerce occurs. That brings us back to
the original point that trust is needed for cooperation, which in turn leads to progress.
Trusted Third Party
One way to solve the trust problem is to use a trusted third party. The bank and credit card
example given above is this exactly. The transactions between the customer, the merchant, and
the shopper are passed through and logged by a bank (credit card issuer). The bank facilitates
the transaction; see Figure 2-10 for a diagram depicting a trusted third party. The bank can also
step in and resolve a dispute in the event that a customer finds a transaction on their monthly
statement that they didn’t make.
FIGURE 2-10
Trusted third party
Party#1 Party#2
Trusted Third Party
Records all transactions
between two parties
02-ch02.indd 47 04/01/18 3:18 PM

HowTo_Generic / Blockchain: A Practical Guide to Developing Business, Law, and Technology Solutions / Bambara / 587-9 / Chapter 2
48
Blockchain
Distributed Ledger and Consensus
What we have just described is still a centralized way to solve the trust problem. There is
another way to solve it using a distributed ledger (or shared ledger) and combining this with
a consensus methodology. Figure 2-11 depicts a ledger that is distributed across multiple
parties. So, instead of logging transactions with a single third party, you send a single copy of
each transaction to all parties in the network. All parties in the network would be required
to keep an ongoing ledger of all transactions. Therefore, every party in the network would
have the exact same set of transactions. At a point in time, everybody would know how much
the shopper owes the merchant. If a dispute arises, the consensus majority (51 percent) of the
network of ledger keepers would decide what he owed.
Blockchain technology follows this distributed ledger and consensus method. It is a
network for resolving the trust problem through a distributed (decentralized) and publicly
verifiable (open) ledger.
Blockchain Details
Blockchain leverages and combines the networking capabilities of computers with
cryptographic technology to store and process data. Any computer on the network (known as
a node) can be located anywhere with Internet connectivity. It’s really outsourcing of intelligent
computing resources to the cloud. These resources provide a platform for developers to build
applications. It can be likened to other Platform as a Service (PaaS) offerings that exist today.
The blockchain platform logs, processes, saves, and verifies transactions. Because it is based
on the shared ledger concept, each and every node on the network stores the same copy of the
ledger and therefore all of the transactions taking place on the platform. It is this decentralized
(shared) aspect of the ledger that makes blockchain the public, comprehensive, permanent,
and verifiable authority for administering and storing records of transactions. Let’s look at an
example of how this shared ledger works.
FIGURE 2-11
Distributed ledger and consensus
02-ch02.indd 48 04/01/18 3:18 PM
HowTo_Generic / Blockchain: A Practical Guide to Developing Business, Law, and Technology Solutions / Bambara / 587-9 / Chapter 2
Chapter
2 Business Use Cases
49
In this scenario, there are two parties who want to exchange money, with Party#1 wanting
to give 100 cryptocoins to Party#2. As in the real world, each party will need a place to hold
their cryptocoins—a digital wallet. Provided Party#1 knows the address of Party#2, they will
be able to create a transaction that transfers the 100 cryptocoins to Party#2. This transaction
is added to a temporary block of data that is then stored on the network. This block contains
all of the transactions that took place on the network during a particular length of time, for
example, the last few minutes. While it is recorded on the network, this block has not been
verified. Once a set interval of time passes, all of the data collected in the temporary block is
gathered and the network holds a competition among the participants on the network. The
winner of the competition takes on the task of processing and verifying the transaction on
the block and committing it to the permanent record by adding the block to the blockchain.
Once they do this, the winner broadcasts the proof of work to the whole network; each node
then checks that the proof of work is correct. If 51 percent of the nodes agree that the proof is
correct, the block is added as a permanent block to the blockchain.
While the blockchain is often referred to as a trustless system, what that really means is
that there is no need to place any trust in any human interaction because everything is taken
care of by the platform technology. The only interesting point here is that the participants on
the network give up their computing resources to this process. What is their incentive to do
so? The winning participant is rewarded with a digital token for the underlying platform—
that is, the winner gets a newly minted cryptocoin. So, are you ready to commit your home
computer to the blockchain network and become a miner? Think again: to give yourself a
shot at winning the competition requires a large amount of computing resources. Some of
the largest companies or entities that participate are based in China, where electricity is state
subsidized. This winner-takes-all approach could have been done in a more equal way where
all participants could have shared the reward, but perhaps the competition is what made the
platform so successful. Perhaps a future platform will take another look at the reward system to
see if another way will work.
Smart Contract
In the real world, a contract is an agreement between parties that is intended to be enforceable
by law. Within these contracts are agreements that lay out what each party is to do to fulfill
the contract. In a two-party contract, the essence of this can be likened to an Aristotelian
syllogism, which is a fancy way of saying “if this is true, then the following will happen, else
the following will happen.” If one party fails to carry out their obligation, they can be taken to
court and ordered to carry it out or to provide financial compensation to the other party. In
computer programming terms, these Aristotelian syllogisms are implemented using an “if …
then … else …” construct. A smart contract is one or more of these conditions combined with
the capabilities to enforce the obligations automatically. The distributed ledger system contains
all of the data and theoretically the capabilities necessary for the smart contract to execute
autonomously. The required conditions are coded in the smart contract and once they are met
the contract obligations are automatically executed. In this digital case, though, there is no
need for the courts or mediation—the facts are available to the contract, so it cannot make the
wrong decision.
02-ch02.indd 49 04/01/18 3:18 PM

HowTo_Generic / Blockchain: A Practical Guide to Developing Business, Law, and Technology Solutions / Bambara / 587-9 / Chapter 2
50
Blockchain
Example Smart Contract
The following is the sample code that Ethereum recommends will represent a digital token
in their ecosystem. A token can represent any fungible and tradable good. This can be coins,
reward for customer loyalty, certificates, and so on. Because digital tokens implement some
basic data and functionality in a standard way, they will operate in a consistent way. If you
use this code, the token, because it is ERC20 compliant, will be instantly compatible with the
Ethereum wallet and any other client or contract that uses the same standards.
pragma solidity ^0.4.8;
contract tokenRecipient { function receiveApproval(address _from, uint256 _value, address _token,
bytes _extraData); }
contract MyToken {
/* Public variables of the token */
string public standard = 'Token 0.1';
string public name;
string public symbol;
uint8 public decimals;
uint256 public totalSupply;
/* This creates an array with all balances */
mapping (address => uint256) public balanceOf;
mapping (address => mapping (address => uint256)) public allowance;
/* This generates a public event on the blockchain that will notify clients */
event Transfer(address indexed from, address indexed to, uint256 value);
/* This notifies clients about the amount burned */
event Burn(address indexed from, uint256 value);
/* Initializes contract with initial supply tokens to the creator of the contract */
function MyToken(
uint256 initialSupply,
string tokenName,
uint8 decimalUnits,
string tokenSymbol
) {
balanceOf[msg.sender] = initialSupply; // Give the creator all initial tokens
totalSupply = initialSupply; // Update total supply
name = tokenName; // Set the name for display purposes
symbol = tokenSymbol; // Set the symbol for display purposes
decimals = decimalUnits; // Amount of decimals for display purposes
}
LISTING 2-1
Ethereum Smart Contract Token (ERC20) Example (Continued)
02-ch02.indd 50 04/01/18 3:18 PM

HowTo_Generic / Blockchain: A Practical Guide to Developing Business, Law, and Technology Solutions / Bambara / 587-9 / Chapter 2
Chapter
2 Business Use Cases
51
LISTING 2-1
Ethereum Smart Contract Token (ERC20) Example (Continued)
/* Send coins */
function transfer(address _to, uint256 _value) {
if (_to == 0x0) throw; // Prevent transfer to 0x0 address.
// Use burn() instead
if (balanceOf[msg.sender] < _value) throw; // Check if the sender has enough
if (balanceOf[_to] + _value < balanceOf[_to]) throw; // Check for overflows
balanceOf[msg.sender] -= _value; // Subtract from the sender
balanceOf[_to] += _value; // Add the same to the recipient
Transfer(msg.sender, _to, _value); // Notify anyone listening that
// this transfer took place
}
/* Allow another contract to spend some tokens in your behalf */
function approve(address _spender, uint256 _value)
returns (bool success) {
allowance[msg.sender][_spender] = _value;
return true;
}
/* Approve and then communicate the approved contract in a single tx */
function approveAndCall(address _spender, uint256 _value, bytes _extraData)
returns (bool success) {
tokenRecipient spender = tokenRecipient(_spender);
if (approve(_spender, _value)) {
spender.receiveApproval(msg.sender, _value, this, _extraData);
return true;
}
}
/* A contract attempts to get the coins */
function transferFrom(address _from, address _to, uint256 _value) returns (bool success) {
if (_to == 0x0) throw; // Prevent transfer to 0x0 address.
// Use burn() instead
if (balanceOf[_from] < _value) throw; // Check if the sender has enough
if (balanceOf[_to] + _value < balanceOf[_to]) throw; // Check for overflows
if (_value > allowance[_from][msg.sender]) throw; // Check allowance
balanceOf[_from] -= _value; // Subtract from the sender
balanceOf[_to] += _value; // Add the same to the recipient
allowance[_from][msg.sender] -= _value;
Transfer(_from, _to, _value);
return true;
}
function burn(uint256 _value) returns (bool success) {
if (balanceOf[msg.sender] < _value) throw; // Check if the sender has enough
balanceOf[msg.sender] -= _value; // Subtract from the sender
02-ch02.indd 51 04/01/18 3:18 PM

HowTo_Generic / Blockchain: A Practical Guide to Developing Business, Law, and Technology Solutions / Bambara / 587-9 / Chapter 2
52
Blockchain
totalSupply -= _value; // Updates totalSupply
Burn(msg.sender, _value);
return true;
}
function burnFrom(address _from, uint256 _value) returns (bool success) {
if (balanceOf[_from] < _value) throw; // Check if the sender has enough
if (_value > allowance[_from][msg.sender]) throw; // Check allowance
balanceOf[_from] -= _value; // Subtract from the sender
totalSupply -= _value; // Updates totalSupply
Burn(_from, _value);
return true;
}
}
LISTING 2-1
Ethereum Smart Contract Token (ERC20) Example
Blockchain IoT Protocol Projects
The Internet of Things (IoT) is a major buzzword, and there is little doubt that it is an industry
with tremendous growth in its future. According to Gartner, the number of connected devices
will exceed 20 billion by 2020, with a market worth of more than $3 trillion. A connected
device can be as simple as a small sensor (think motion detector) or scale up to a much more
complicated appliance (think house, car, boat, airplane), as depicted in Figure 2-12. One of
the biggest concerns with these connected devices is security, and this breaks down into two
aspects. The first is preventing unauthorized access to the device itself, and the second is
unauthorized access to any data being exchanged with the device.
Additionally, as with all other data processing tasks, you will eventually run into
scalability issues with a centralized approach, especially with the billions of transactions that
are expected on these devices. Centralized servers can also be vulnerable to single point of
failure conditions, making these devices susceptible to denial-of-service attacks where servers
are flooded with traffic from compromised devices spread across the world. This is exactly
how IoT systems that handle sensitive tasks will be impacted if they are not architected with
resiliency from the start. That’s where blockchain technology is being offered as a solution to
the challenges of IoT. Each device would continue to manage and administer its own behavior,
security roles, and the rules for interacting with other devices. Blockchain would be the
platform to facilitate the transactions and the coordination between these devices. Blockchain
technology will enable secure mesh networks to be created. The devices on the network can
interconnect in a reliable way and prevent security threats that use techniques like spoofing
and/or impersonation. If each valid point is registered on the blockchain, this will facilitate
identification and authentication in a decentralized way, and the network will be scalable to
support billions of anticipated devices.
In early 2017, a group of industry-leading startups and companies came together at a
summit to discuss the challenges facing blockchain and IoT innovation and the potential for a
collective effort to address them. This summit was the first step to explore and build a shared
blockchain-based Internet of Things protocol.There were presentations that exchanged
02-ch02.indd 52 04/01/18 3:18 PM

HowTo_Generic / Blockchain: A Practical Guide to Developing Business, Law, and Technology Solutions / Bambara / 587-9 / Chapter 2
Chapter
2 Business Use Cases
53
ideas on applicable use cases, findings and feedback within the industry, and recognition
of common requirements. The group agreed that security, interoperability, and integration
would be essential for adoption. Going forward, a consortium of the meeting members will
define the scope and implementation of a smart contracts protocol layer across several major
blockchain systems.
Imagine a world where your washing machine can detect when you are running low on
detergent, automatically engage with the market, negotiate the best price, and reorder the
necessary product. The same goes with items in your refrigerator—milk, eggs, and so on.
These smart devices will know your calendar and put off reordering if you are on vacation
or away from home for a while. We’re sure there will be some teething trouble with the first
iterations of these devices and the smart contracts associated with them. As early adopters of
this technology, we can imagine coming home to a pile of large boxes of fabric softener, enough
to last a lifetime. But these devices and their associated intelligence will iterate and get it right
for the mass market.
Summary
While blockchain technology is at the heart of cryptocurrencies like Bitcoin and Ethereum,
and what they can do as decentralized, stateless currency and payment platforms, it clearly
is a technology with widespread applicability in many sectors of business. This chapter
gave some depth to real-world use cases in the financial services industry. These use cases
ultimately lead to faster throughput, reduced costs, improved accuracy, greater transparency,
and quality, reliability, simplicity, and traceability. The chapter also discussed smart property
and smart contracts and showed how they can be used in conjunction in the not too distant
FIGURE 2-12
Graphic depiction of IoT examples
02-ch02.indd 53 04/01/18 3:18 PM
HowTo_Generic / Blockchain: A Practical Guide to Developing Business, Law, and Technology Solutions / Bambara / 587-9 / Chapter 2
54
Blockchain
world of blockchain technology. The chapter closed with how blockchain and the Internet
of Things (IoT) will have a consortium of startups and companies to help define and
refine security, interoperability, management, and coordination between connected devices.
While IoT is still in its early stages of evolution and is currently composed mostly of
technologies that either collect data or allow remote monitoring and control, this will change
as devices become smarter and artificial intelligence is added. This network of things will
transition toward becoming a network of autonomous devices that talk to each other and—
hopefully—make smart decisions without the need for human intervention or interpretation.
In short, we live in exciting times for blockchain technology.
02-ch02.indd 54 04/01/18 3:18 PM
55
HowTo_Generic / Blockchain: A Practical Guide to Developing Business, Law, and Technology Solutions / Bambara / 587-9 / Chapter 3
3 Technology Use Cases
I
n the 1970s, the Internet was a small, decentralized collective of DARPA computers, called
ARPANET. The personal-computer revolution that followed built upon that foundation,
stoking optimism encapsulated by John Perry Barlow’s 1996 manifesto “A Declaration of the
Independence of Cyberspace” (www.eff.org/cyberspace-independence). Barlow described
a chaotic digital utopia, where “netizens” self-govern and the institutions of old hold no
sway. “On behalf of the future, I ask you of the past to leave us alone,” he writes. “You are not
welcome among us. You have no sovereignty where we gather.”
This is not the Internet we know today. Two decades later, the vast majority of
communications flow through a set of central servers run by a small group of corporations under
the influence of those companies and other institutions. Netflix, for instance, now comprises
40 percent of all North American Internet traffic. Engineers anticipated this convergence.
In the late 1960s, key architects of the system for exchanging small packets of data that gave
birth to the Internet predictedthe rise of a centralized “computer utility” that would offer
computing much the same way that power companies provide electricity. Today, that model
is largely embodied by the cloud-computing giants Amazon, Google, Azure, and other cloud-
computing companies. They offer convenience at the expense of privacy. Internet users now
regularly submit to terms-of-service agreements that give companies a license to share their
personal data with other institutions, from advertisers to governments. In the United States,
the Electronic Communications Privacy Act of 1986 (ECPA), a law that predates the Web, allows
law enforcement to obtain without a warrantprivate datathat citizens entrust to third parties,
includinglocation datapassively gathered from cell phones and the contents of emails that
have either been opened or left unattended for 180 days. Note that under the ECPA only a
subpoena or an 18 U.S.C. §2703(d) order with little judicial review is needed to allow access
to the aforementioned private data. As Edward Snowden’s leaks have shown, this massive
information set allows intelligence agencies to focus on just a few key targets in order to monitor
large portions of the world’s population. The National Security Agency (NSA) wiretaps the
connections between data centers owned by Google and Yahoo, allowing the agency to collect
users’ data as it flows across the companies’ networks. A lack of trust surrounds the U.S. cloud
industry. The NSA collects data throughformal arrangementswith tech companies,ingests web
trafficas it enters and leaves the United States, anddeliberately weakenscryptographic standards.
03-ch03.indd 55 04/01/18 3:18 PM
HowTo_Generic / Blockchain: A Practical Guide to Developing Business, Law, and Technology Solutions / Bambara / 587-9 / Chapter 3
56
Blockchain
The solution, as we have espoused in this book, is to make the Web and cloud computing less
centralized and more distributed. For privacy advocates such as Access Now (accessnow.org),
the goal is to make it harder to do surveillance. When you couple a secure, self-hosted platform
with properly implemented cryptography, you can make NSA-style spying and network intrusion
difficult and expensive.
While the peer-to-peer technology that Bitcoin and Ethereum employ is not new, its
implementationis a breakthrough technical achievement. The system’s elegance has led
some to wonder: if money can be decentralized and somewhat anonymized, can we use the
same model for other applications such as storage, communications, and computing? We will
explore this as the chapter proceeds, but bear in mind this would require time and effort and
lots of change to the existing infrastructure. Since the World Wide Web went mainstream in
1994, we’ve seen the network expand to encompass almost every aspect of human life. The
infrastructure of the Internet and the services built on top of it are dependent on each other,
one informing the other as new service use cases and technologies arise. There have been two
clear generations in the web-based services and structure of the Web thus far, but today we are
moving into a third generation.
We will look at the storage technologies that are likely to form its backbone: the
decentralized storage network IPFS—the InterPlanetary File System—and its incentive
platform Filecoin, and Swarm, an emerging Ethereum-oriented storage platform that uses
IPFS. We will also look at decentralized supercomputers like Golem that are creating a
global market for computing power, and messaging systems like Whisper, which facilitates
secure and decentralized communications. These technologies and others will become the
foundation for a new Internet.
Web Versions 1 and 2
Web 1.0, an extension of DARPA’s ARPANET, was the first iteration of a new idea—a return
to centralization after the distributed client server idea failed. Just before the Web came into
use in the Wall Street business center, personal computers used by businesses had a “fat client”
distributed setup, in which each user had all the application code and data on their individual
machine. The “fat client” became expensive and impractical to synchronize all these machines
and data. So corporate intranets started to emerge with HTML and Java servlets leading the
way to the Web 1.0 idea: if we can connect all the computers in the world through a global
network—the Internet—then we can trade and exchange assets and for humanity’s sake make
the collective knowledge universally accessible. For this mass of data to be usable, it needed
to be indexed and browsable. This necessity was behind the innovation that led to the first
generation of the World Wide Web. The Netscape browser was the tool used to search, find,
and render the response data.
Web 2.0 furthered the use of this global resource. The pool of knowledge and content
began growing at an extreme pace. Surface net data has grown fourfold since 2012. Programs
could connect and use the Web to store information and communicate with each other.
Centralized intermediates, such as Google, created large databases and messaging, offering
scalable resources and routing traffic. While these new information-handling organizations
have changed our way of life with convenience services, they also use their centralized
position for profit and power.
03-ch03.indd 56 04/01/18 3:18 PM
HowTo_Generic / Blockchain: A Practical Guide to Developing Business, Law, and Technology Solutions / Bambara / 587-9 / Chapter 3
Chapter 3 Technology Use Cases
57
These centralized intermediates (like Google) sell context-sensitive targeted advertising
for huge profits and give back nothing more than a convenient messaging interface to the
users—the content producers. In their paper “Swap, Swear and Swindle: Incentive System
for Swarm,” Viktor Trón, Aron Fischer, Dániel A. Nagy, Zsolt Felföldi, and Nick Johnson
characterized this as: “We give you scalable hosting that would cope with any traffic your
audience throws at it, but you give us substantial control over your content; we are going to
track each member of your audience and learn—and own—as much of their personal data
as we can, we are going to pick who can and who cannot see it, we are going to proactively
censor it and we may even report on you, for the same reason.”
So the bottom line is that new media organizations and content producers created immense
value for their organizations, and we the users receive less than a quid pro quo in exchange.
To further exacerbate the problem, as the Web has grown it has been hampered by scaling
limits. Central nodes or servers required increased bandwidth to handle increasing data flow.
To compound the problem, the security available using Web 2.0 technology never achieved a
level required for the new communications and commerce services provided through the Web.
We see data breaches where nefarious syndicates steal our financial access data using SQL and
code injection and disable financial, retail, and government websites and their services with
denial-of-service attacks which take down these centralized servers almost weekly. According
to Juniper Research, “the rapid digitization of consumers’ lives and enterprise records will
increase the cost of data breaches to $2.1 trillion globally by 2019, increasing to almost four
times the estimated cost of breaches in 2015.” (https://www.juniperresearch.com/press/press-
releases/cybercrime-cost-businesses-over-2trillion) The stage is set for a paradigm shift with a
host of new technologies emerging.
Web 3.0
Following the trend set by earlier iterations, and to correct some of the issues we have
described, Web 3.0 proposes a change in the way content and programs interact. If central
intermediaries like Google are removed from the picture, many of the issues we have today
are removed with them. Blockchain technologies like Bitcoin and Ethereum use
public key
cryptography
to secure the connection and communication between programs and data.
This is an alternative to the centrally issued SSL certificates used today. There is no central
intermediary routing traffic, so connections can dynamically find the most efficient pathway
through the Internet and route around congestion or damage. Additionally, for the coming
Web 3.0 there is a debate about what is the proper definition of its characteristics. See
Figure3-1, which depicts the evolution of the Web, its actors, and components.
For some, Web 3.0 is powered by the semantic web, where people can access linked
information fast and easily. According to Tim Berners-Lee’s explanations, Web 3.0 would be
a “read-write-execute” web. Let’s take a look at two things that will form the basis of Web 3.0:
semantic markup and web services. Semantic markup refers to the communication gap between
human web users and computerized applications. One of the largest organizational challenges
of presenting information on the Web was that web applications couldn’t provide context to
data and therefore didn’t really understand what was relevant and what was not. While this is
still evolving, this notion of formatting data to be understood by software agents leads to the
“execute” portion of our definition and provides a way to discuss web service. A web service is
03-ch03.indd 57 04/01/18 3:18 PM

HowTo_Generic / Blockchain: A Practical Guide to Developing Business, Law, and Technology Solutions / Bambara / 587-9 / Chapter 3
58
Blockchain
a software system designed to support computer-to-computer interaction over the Internet.
Web services are vendor agnostic. They are based on industry standards and can be interactive
with all devices that can make service calls in standard APIs like SOAP or REST or any other
emerging standard. The use and number of web services is trending up as it is a critical part
of Web 3.0.
By combining a semantic markup and web services, Web 3.0 provides the potential for
applications that can speak to each other directly and for broader searches for information
through simpler interfaces. But now, with the emergence of a decentralized web powered by
Blockchain technology, and since it enables unmediated transactions, there is a new focus on
Web 3.0 based on the trustful nature of the blockchain. It is the “read-write-own” web. Here,
the user owns and participates in owning the protocol. It is both peer-to-peer and machine-to-
machine. And it is applicable to people, companies, and autonomous entities. For instance, the
term Web 3.0 is used by Ethereum in a different context than that suggested by Berners-Lee.
Itis proposed as the separation of content from the presentation by removing the need to
have servers at all. Stephan Tual, formerly Ethereum’s CCO, defines that what makes Ethereum
different from Web 2.0 is that “there are no web-servers, and therefore no middleman to
take commissions, steal your data or offer it to the NSA, and of course nothing to DDoS.”
The transformation to blockchain distributed application (dapp) will happen over a period
of years. The technology is currently unable to handle high-speed transactions for reasons
discussed in later chapters.
FIGURE 3-1
The evolution of the Web
USER
WEB
SERVER WEB SERVER APPLICATION
SERVER
Platform Provider
Web 2.0 Web 3.0Web 1.0
Web Developer
USER USER Cloud Service
Developers Web Service
Providers
OFF CHAIN
Services
BLOCKCHAIN
Distributed Application
DAPP
Developers
O Chain Application
Developers
USER USER USER
03-ch03.indd 58 04/01/18 3:18 PM
HowTo_Generic / Blockchain: A Practical Guide to Developing Business, Law, and Technology Solutions / Bambara / 587-9 / Chapter 3
Chapter 3 Technology Use Cases
59
Distributed Storage Systems
One of the fundamental open challenges for Web 3.0 is effective data storage. The socio-
economic value and scale of information increases day by day, and Web 3.0 developers have
been working to identify ways to ensure not only that digitally stored data endures but also that
it is readily available, reliable, secure, and consistent. In recent years, the massive generation of
data coupled with frequent storage failures has increased the popularity of distributed storage
systems, which allow data to be replicated in different, geographically dispersed, storage
devices. Due to the dissemination of data in multiple hosts, one of the major problems that
distributed storage systems face is maintaining the consistency of data when they are accessed
concurrently by multiple operations.
InterPlanetary File System
The InterPlanetary File System (IPFS) is a distributed file system that resulted from the
evolution of prior peer-to-peer systems, including DHTs, BitTorrent, Git, and SFS. The
contribution of IPFS is simplifying, evolving, and connecting proven techniques into a single
cohesive system, greater than the sum of its parts (see https://ipfs.io/). IPFS presents a new
platform for writing and deploying applications, and a new system for distributing and
versioning large data. IPFS could even evolve the Web itself. IPFS is peer-to-peer; no nodes
are privileged. IPFS nodes store IPFS objects in local storage. Described by Viktor Tron as
“the Lego kit for the third web,” IPFS is a new system for storing data on a large number of
computers. It is transport layer agnostic, meaning that it can communicate through TCP,
μTP, UDT, QUIC, TOR, and even Bluetooth. Instead of a central server, a
peer-to-peer
network
is used to establish connections. IPFS implements adistributed hash table(DHT)
that provides a lookup service similar to ahash table: (key,value) pairs are stored in a DHT,
and any participatingnodecan efficiently retrieve the value associated with a given key.
Responsibility for maintaining the mapping from keys to values is distributed among the
nodes in such a way that a change in the set of participants causes a minimal amount of
disruption. This allows a DHT toscaleto extremely large numbers of nodes and to handle
continual node arrivals, departures, and failures.
IPFS Nodes
Nodes connect to each other and transfer objects. These objects represent files and other data
structures. The IPFS protocol is divided into a stack of subprotocols responsible for different
functionalities:
•
Identities: Manage node identity generation and verification.
•
Network: Manages connections to other peers, uses various underlying network protocols.
•
Routing: Maintains information to locate specific peers and objects. Responds to both
local and remote queries. Defaults to a DHT but is swappable.
•
Exchange: A novel block exchange protocol (BitSwap) that governs efficient block
distribution. Modeled as a market, weakly incentivizes data replication.
03-ch03.indd 59 04/01/18 3:18 PM
HowTo_Generic / Blockchain: A Practical Guide to Developing Business, Law, and Technology Solutions / Bambara / 587-9 / Chapter 3
60
Blockchain
•
Objects: A Merkle DAG of content-addressed immutable objects with links. Used to
represent arbitrary data structures, such as file hierarchies and communications systems.
•
Files: Versioned file system hierarchy inspired by Git.
•
Naming: A self-certifying mutable name system.
•
Applicationscan run over the Internet and leverage the principles and features of IPFS to
create a web of Merkle links connecting data (objects and blocks) for business applications.
These subsystems are not independent; they are integrated and leverage-blended
properties. However, it is useful to describe them separately, building the protocol stack
from the bottom up.
Public key cryptographyis built into the node addressing system, and
content
addressing
is used to index content. Both node and content addresses are stored in a
decentralized naming system called IPNS. Nodes in the peer-to-peer network each hold
private keys and release public keys, just like in Bitcoin or Ethereum. Node addresses are
derived through
hashing
their public keys. This allows connection verification through
message signing. Their public keys can be used to encrypt data before it is transferred,
preventing interception and theft. Solutions to today’s security issues are built into this
addressing system. There is no need for a trusted central certificate issuer to provide
connection verification tools, and all connections can easily be encrypted by default.
IPFS Content Addressing
Acontent addressis derived byhashinga piece of content. That content address is then
hashed again to derive akey name (see Figure 3-2). The key name is associated with ahuman
readable namein IPNS (the IPFS address registry). Today, if a file is moved, all links to that file
need to be updated if they are to resolve. Because IPFS addresses are derived from the content
they refer to, if the content still exists anywhere on the network, links will always resolve. This
removes any need for duplication of content, except for the purposes of greater persistence
security or for scaling up serving capabilities. So how do we grow a decentralized storage
system to replace the current model? We need a way to incentivize the storage and serving
of content. Filecoin is one prospective solution being developed by Protocol Labs. Swarm
is another being developed by the Ethereum foundation. Both projects make use of IPFS
technology but have different philosophies on how to incentivize participation.
So, as mentioned, IPFS creates a P2P swarm that allows the exchange ofIPFS objects.
The totality of IPFS objects forms a cryptographically authenticated data structure known as
aMerkle DAG,and this data structure can be used to model many other data structures. We
will introduce IPFS objects and the Merkle DAG and give examples of structures that can be
modeled using IPFS.
IPFS Objects
An IPFS object is a data structure with two fields:
•
Data: A blob of unstructured binary data of size less than or equal to 256 kB.
•
Links: An array of link structures. These are links to other IPFS objects.
03-ch03.indd 60 04/01/18 3:18 PM

HowTo_Generic / Blockchain: A Practical Guide to Developing Business, Law, and Technology Solutions / Bambara / 587-9 / Chapter 3
Chapter 3 Technology Use Cases
61
A link structure has three data fields:
•
Name: The name of the link
•
Hash: The hash of the linked IPFS object
•
Size: The cumulative size of the linked IPFS object, including following its links
TheSizefield is mainly used for optimizing the P2P networking, and we’re going to mostly
ignore it here, since conceptually it’s not needed for the logical structure.
IPFS objects are normally referred to by their Base58 encoded hash. All hashes begin
with “Qm”. This is because the hash is amultihash, meaning that the hash itself specifies the
hash function and length of the hash in the first two bytes of the multihash. The data and
named links give the collection of IPFS objects the structure of aMerkle directed acyclic graph
(DAG)to signify that this is a cryptographically authenticated data structure that, as we noted
above, uses cryptographic hashes to address content. Visualize an IPFS object by a graph
withdatain the node and thelinksbeing directed graph edges to other IPFS objects, where
thenameof the link is a label on the graph edge. Various data structures can be represented
by IPFS objects, for example, a file system. IPFS can easily represent a file system consisting of
files and directories.
IPFS Small Files
A small file—one whose length is less than or equal to 256 kB—is represented by an IPFS
object withdatabeing the file contents (plus a small header and footer) and no links (that is,
thelinksarray is empty). Note that the file name is not part of the IPFS object, so two files with
FIGURE 3-2
Distributed hash table with content addressderived byhashing content
Distributed Hash
6F65BA8067B9490D9F47F071034A
421E3372AD57B33BA4A655B2469F
86E689EB
WEB 3.0 will change
WEB 3.0 will change
the world
PEER NODE
61F273D4427C8BD29CA849AAC
6C53EF5AEC560CEE350037772
CA9644CC7B1B5B
WEB 3.0
E03186605A7AF3FACA07B157F329
020693B6555786045D608FA2D5A0
5F140E0E
DATA
KEY Hash
sha256-hash-generator
IPFS
Distributed
Network
Participating peer nodes can
eciently retrieve the value
associated with a given KEY
03-ch03.indd 61 04/01/18 3:18 PM
HowTo_Generic / Blockchain: A Practical Guide to Developing Business, Law, and Technology Solutions / Bambara / 587-9 / Chapter 3
62
Blockchain
different names and the same content will have the same IPFS object representation and hence
the same hash.
•
Add a small file to IPFS using the commandipfs add; see https://ipfs.io/docs/commands/
for all commands.
•
View the file contents of the above IPFS object usingipfs cat.
IPFS Large Files
A large file—one whose length is greater than 256 kB—is represented by a list of links to file
chunks that are less than or equal to 256 kB, and only minimaldataspecifying that this object
represents a large file. The links to the file chunks have empty strings as names.
ipfs add ucny_dir/bigfile.js
IPFS Directory Structures
A directory is represented by a list of links to IPFS objects representing files or other
directories. The names of the links are the names of the files and directories.
IPFS Versioned File Systems
IPFS can represent the data structures used by Git to allow for versioned file systems. The Git
commit objects are described in theGit Book. The main properties of the commit object are that
it has (like any good source control tool) one or more links with namesparent0, parent1,etc.,
pointing to previous commits, and one link with a nameobject(this is calledtreein Git) that
points to the file system structure referenced by that commit.
IPFS Blockchains
So now for the most important use case for IPFS. A blockchain has a natural DAG structure
in that past blocks are always linked by their hash from later ones. More advanced blockchains
like theEthereumblockchain also have an associated state database which has atree structure
that also can be emulated using IPFS objects.
As we saw in Chapter 1, in a simplistic model of a blockchain each block contains the
following data:
•
A list of transaction objects
•
A link to the previous block
•
The hash of a state tree/database
This blockchain can then be modeled in IPFS as shown in Figure 3-3.
Swarm
Swarm is a distributed storage platform and content distribution service, a native base
layer service of the Ethereum web3 stack. The primary objective of Swarm is to provide a
decentralized and redundant store of Ethereum’s public record, in particular to store and
03-ch03.indd 62 04/01/18 3:18 PM

HowTo_Generic / Blockchain: A Practical Guide to Developing Business, Law, and Technology Solutions / Bambara / 587-9 / Chapter 3
Chapter 3 Technology Use Cases
63
distribute distributed application code (dapp) and data as well as blockchain data. Swarm
and IPFS both offer comprehensive solutions for efficient decentralized storage layers for the
next-generation Internet. Both high-level goals and the technology used are very similar. As
a result both are well suited for replacing the data layer of the current Web 2.0. They both
serve as storage layers for the Web 3.0 vision with all the required properties of distributed
document storage:
•
Low-latency retrieval
•
Efficient auto-scaling (content caching)
•
Reliable, fault-tolerant operation, resistant to node disconnections, intermittent availability
•
Zero downtime
•
Censorship resistant
•
Potentially permanent versioned archive of content
Swarm’s core storage component is an immutable content addressed chunk store rather than
a generic distributed hash, i.e., DHT. As previously shown in Figure 3-2, IPFS uses DHT. IPFS and
Swarm use different network communications layers and peer management protocols. Swarm
has deep integration with the Ethereum blockchain, and the incentive system benefits from both
smart contracts as well as the semi-stable peer pool, while Filecoin uses proof of retrievability
as part of mining. The consequences of these choices are far reaching. So to continue, from the
end user’s perspective, Swarm is not that different from Web 2.0, except that uploads are not
to a specific server. The objective is to create a peer-to-peer storage and serving solution that
FIGURE 3-3
Blockchain model
Block 0 Block 1
Previous
…
tx state
data0 data1 data1 data0 data0 data1
tx state tx state
Previous
Block n
BBB0 prv BBB1 BBBn
TTT0
TX data
TTT1
TX data
SSS1 TTTn
TX data
TTTnSSS0
SSS00 SSS10 SSSn 0 SSSn 1SSS01
03-ch03.indd 63 04/01/18 3:18 PM
HowTo_Generic / Blockchain: A Practical Guide to Developing Business, Law, and Technology Solutions / Bambara / 587-9 / Chapter 3
64
Blockchain
has the mentioned attributes such as denial-of-service resistant, zero downtime, fault tolerant,
and censorship resistant as well as self-sustaining due to a built-in incentive system that uses
peer-to-peer accounting and allows trading resources for payment. Swarm is designed to deeply
integrate with the devp2p multiprotocol network layer of Ethereum as well as with the Ethereum
blockchain for domain name resolution, service payments, and content availability insurance.
Two major features of Swarm that set it apart from other decentralized distributed
storage solutions like IPFS are “upload and disappear” and the incentive system. The former
refers to the fact that Swarm does not only serve content, it also provides a cloud storage
service. Unlike in related systems, you do not only publish the fact that you host content, but
there is a genuine sense that you can just upload stuff to Swarm and potentially disappear
(drop off as a node, disconnect, or just operate without storage entirely) right away. Swarm
aspires to be the generic storage and delivery service catering for all use cases ranging from
serving low-latency real-time interactive web applications as well as acting as guaranteed
persistent storage for rarely used content. The incentive system makes sure that participating
nodes following their rational self-interest nonetheless converge on an emergent Swarm
behavior that is beneficial for the entire system as well as economically self-sustaining. In
particular, it allows nodes in the network to pool their bandwidth and storage resources in
the most efficient way to collectively provide services.
The planned features of Swarm include integrity protection, random access (range
queries), URL-based addressing, manifest-based routing on virtual hosts, domain name
resolution via Ethereum Name Service, encryption support, plausible deniability, bandwidth
and storage incentives, associated metadata, on-demand download of Ethereum blockchain
state/receipts/contract-storage, auto-scaling by popularity (elastic cloud), auto-syncing,
client side configurable redundancy/availability. A swarm-based Internet needs to provide
solutions for web3 use cases with decentralized infrastructure, so broadly speaking, it is a
project toward the ambitious goal of building the third web in the ethersphere.
Swarm was conceived of as a storage protocol tailored for interoperation with the Ethereum
smart contract ecosystem. Like Filecoin, it will piggyback on Ethereum’s consensus process
in order to provide a decentralized alternative to our existing client/server infrastructure.
Incentivizing persistent storage is a challenge, however. The downside of a node deleting data
and losing some income is potentially much less significant than a user losing his or her valuable
data. Swarm takes the approach of rewarding nodes for serving content. Because more often
requested content is more profitable to store than rarely requested content, rewarding nodes
only for recall would incentivize the trashing of rarely accessed data. Failure to store every last
piece of a large data set can result in the entire set being rendered useless, so in these cases a
solution must exist to balance this downside asymmetry.
Using content recall as the base reward mechanism and distributing content randomly
among nodes, weighted for location, puts Swarm in a good place to start solving the
persistence problem:
•
Nodes offering “promissory” storage, or storage with a promise of persistence, must first
post a security deposit covering the time for which they are offering storage.
•
If data is lost during this period, the bond is forfeited.
•
The smart contract infrastructure of Ethereum automates this whole process, making the
“upload and forget” experience seamless.
03-ch03.indd 64 04/01/18 3:18 PM

HowTo_Generic / Blockchain: A Practical Guide to Developing Business, Law, and Technology Solutions / Bambara / 587-9 / Chapter 3
Chapter 3 Technology Use Cases
65
Storj
Storj is a protocol that creates a distributed network for the formation and execution of
storage contracts between peers. The Storj protocol enables peers on the network to negotiate
contracts, transfer data, verify the integrity and availability of remote data, retrieve data, and pay
other nodes. Each peer is an autonomous agent, capable of performing these actions without
significant human interaction. In Storj, files are stored as encrypted shards. Shardingis a type
of database partitioning that separates very large databases into smaller, faster, more easily
managed parts called data shards. The wordshardmeans a small part of a whole. So a shard is a
portion of an encrypted file to be stored on this network. Sharding has a number of advantages
to security, privacy, performance, and availability. Files should be encrypted client-side before
being sharded. The reference implementation uses AES256-CTR, but convergent encryption
or any other desirable system could be implemented. This protects the content of the data from
the storage provider, or farmer, housing the data. The data owner retains complete control
over the encryption key and thus over access to the data. The data owner may separately
secure knowledge of how a file is sharded and where in the network the shards are located. As
the set of shards in the network grows, it becomes exponentially more difficult to locate any
given shard set without prior knowledge of their locations. This implies that security of the
file is proportional to the square of the size of the network. Shard size is a negotiable contract
parameter. To preserve privacy, it is recommended that shard sizes be standardized as a byte
multiple, such as 8 or 32 MB. Smaller files may be filled with zeroes or random data.
Storj uses hash chains or Merkle trees, as they are sometimes called, to verify the
contents of a file after it has been broken up into blocks or “leaves” off a master or root hash
(see Figure 3-4).
Standardized sizes dissuade side-channel attempts to determine the content of a given
shard and can mask the flow of shards through the network. Sharding large files such as video
content and distributing the shards across nodes reduces the impact of content delivery on any
given node. Bandwidth demands are distributed more evenly across the network. In addition,
the end user can take advantage of parallel transfer, similar to BitTorrent or other peer-to-peer
networks. Because peers generally rely on separate hardware and infrastructure, data failure
is not correlated. This implies that creating redundant mirrors of shards, or applying a parity
FIGURE 3-4
Storj service sharding and data transfer
Storj service sharding and data
Confidential.doc
File
70 MB
ENCRYPTED 32 MB
32 MB Shard
#1
Shard
#1
ENCRYPTED 32 MB
32 MB Shard
#2
Shard
#2
32 MB
6 MB Shard
#3
HASH: A9627
HASH: B9627
HASH: C9627
NETWORK
The file (Confidential.doc) on the user’s machine is
protected before it is sent to the network storage provider
Shard
#3
ENCRYPTED
The 70 MB file is split into 3
shards encrypted and sent
to network
03-ch03.indd 65 04/01/18 3:18 PM
HowTo_Generic / Blockchain: A Practical Guide to Developing Business, Law, and Technology Solutions / Bambara / 587-9 / Chapter 3
66
Blockchain
scheme across the set of shards, is an extremely effective method of securing availability.
Availability is proportional to the number of nodes storing the data. So, to summarize Storj:
•
Files are encrypted.
•
Encrypted files are split into shards, or multiple files are combined to form a shard.
•
Audit preprocessing is performed for each shard.
•
Shards may be transmitted to the network.
Decentralized storage services like Storj will most certainly evolve. They provide a peer-
to-peer network that would “rent” unused capacity from a computer’s hard drive as part of a
cloud service to store files from other users. They will meet the Web 3.0 challenge to provide
effective, available, reliable, secure, and consistent data storage.
Distributed Computation
Distributed computingis the sciencethat studies and seeks to evolve the distributed systems
model. In this growing paradigm, components located onnetworked computers/nodes
communicate and coordinate their actions. These components interact with each other to
achieve a common goal. As early as 1977, computer scientists like Gérard Le Lann described
how networked distributed computing components could “solve user problems more
satisfactorily … than centralized servers.” (https://www.rocq.inria.fr/novaltis/publications/
IFIP%20Congress%201977.pdf)
These days we are on the threshold of yet another revolutionary paradigm shift of
supercomputers. As we have seen, blockchain technology allows developers to consider yet
againreducing the price of high-performance computing services and making supercomputers—
that is, networked computers—more accessible. A new model for decentralized clouds is a
classic example ofshared economy: the idea is about gathering users in a global peer-to-peer
network where every machine acts as a provider of computation services by offering a part of
its idling capacities. This distributed systems model promises a breakthrough for the industry
coupled with profit for each user. Most of us do not even use half of our computers’ capacities.
By connecting these idle capacities to a network, users will be able to make money with their
unused computing resources. Those who lease computing resources will also gain advantages
in decentralized services. First, the service will be less expensive. Decentralized cloud platforms
are free markets where demand and supply form competitive prices. Such services will be able
to compete with the likes of Microsoft, Google, IBM, or Amazon, which in turn are likely to
make relevant services cheaper. Additionally, decentralized structures have no single center to
be attacked, so they are more reliable by default. Other advantages include higher probability
of finding a node geographically close to the end user, which would also accelerate work with
big data. It also may ensure power savings as distributed clouds use the unused capacities of
subscribed users. So, the significant characteristics of distributed systems are:
•
Resource sharing
•
Openness
•
Concurrency
•
Scalability
•
Fault tolerance
•
Transparency
03-ch03.indd 66 04/01/18 3:18 PM
HowTo_Generic / Blockchain: A Practical Guide to Developing Business, Law, and Technology Solutions / Bambara / 587-9 / Chapter 3
Chapter 3 Technology Use Cases
67
Golem
As we have been discussing, asupercomputeris a computer that performs at or near the
currently highest operational rate for computers. The first supercomputers that were not
networked emerged in the 1960s. They were unique monolith devices extremely powerful
for their time and equally expensive. These supercomputers were used for scientific and
engineering applications that handled large databases or performed a great amount of
computation. Popular among supercomputers are traditional processors, interconnected and
installed in given locations with the task of solving specific data problems. Examples of the top
supercomputers in the world include:
•
Jaguar, located at the Department of Energy’s Oak Ridge Leadership Computing Facility in
Tennessee (https://www.olcf.ornl.gov/).
•
Nebulae, located at the National Supercomputing Centre in Shenzhen, China.
•
Kraken, situated at the National Institute for Computational Sciences (NICS). The NICS is
a partnership with the University of Tennessee and Oak Ridge National Lab.
(www.datacenterknowledge.com/the-top-five-supercomputers-illustrated/)
With the emergence ofdecentralized technology, the design and installation of
supercomputers appear to have shifted gears. Some engineers describe the decentralized
supercomputer as “fog computing,” where the fog exists in the singular. Fog computing can
solve some of the most challenging tasks of humanity by joining the powers of personal
computers, laptops, and even smartphones. Scientific calculations of any difficulty can be
performed quite fast due to the opportunities fog computing provides. Solutions offered
by decentralized supercomputers include the generous availability of processing power,
uninterrupted uptime, and economic incentives.
Golem is touted as the first truly decentralized supercomputer, creating a global
market for computing power. Combined with flexible tools to aid developers in securely
distributing and monetizing their software, Golem hopes to change the way computer tasks
are organized and executed. By powering decentralized microservices and asynchronous
task execution, Golem is set to become a key building block for future Internet service
providers and software development. By substantially lowering the price of computations,
complex applications such as CGI rendering, scientific calculation, and machine learning
become more accessible to everyone. Golem connects computers in a peer-to-peer network,
enabling both application owners and individual users (“requestors”) to rent resources of other
users’ (“providers”) machines. These resources can be used to complete tasks requiring any
amount of computation time and capacity. Today, such resources are supplied by centralized
cloud providers which are constrained by closed networks, proprietary payment systems,
and hard-coded provisioning operations. Core to Golem’s built-in feature set is a dedicated
Ethereum-based transaction system, which enables direct payments between requestors,
providers, and software developers. The function of Golem as the backbone of a decentralized
market for computing power can be considered both Infrastructure-as-a-Service (IaaS) as well
as Platform-as-a-Service (PaaS). However, Golem’s true potential may be adding dedicated
software integrations to the equation. Any interested party is free to create and deploy
software to the Golem network by publishing it to the application registry. Together with the
03-ch03.indd 67 04/01/18 3:18 PM

HowTo_Generic / Blockchain: A Practical Guide to Developing Business, Law, and Technology Solutions / Bambara / 587-9 / Chapter 3
68
Blockchain
transaction framework, developers can also extend and customize the payment mechanism,
resulting in unique mechanisms for monetizing software. GNT (Golem Network Tokens) are
Ethereum-based tokens used to fuel the Golem platform. The Golem supercomputers run
when the user pays GNT tokens. These tokens are given to people who have rented out their
extra computing power on the Golem network. GNT’s coin supply is fixed, which means as the
project becomes more popular, the price of GNT will likely increase (see Figure 3-5).
Zennet
Comparable to the Golem project is Zennet (zennet.sc), According to its founder, software
engineer Ohad Asor, Zennet isa distributed supercomputing project that will use blockchain
technology to remove the central administrators from the problem. Computation power is
traded on Zennet’s open market platform. Anyone can rent computation power and use it
to run arbitrary tasks. Anyone can monetize their hardware by offering unused computation
power for sale.Zennet allows“publishers”(those who need computation power) to run
arbitrary computational tasks. Computation power is supplied by“providers”for a negotiated
fee. A free-market infrastructure brings publishers and providers together. Publishers can
FIGURE 3-5
Golem network
Golem application registry
Golem infrastructure
Golem Network
Providers (workers)
Software developers
Golem Transaction Framework
…
…
Payment for
hardware usage (GNT)
Requestors
Individual hardware
Software solutions
Computing
resources
Payment for
software usage (GNT)
03-ch03.indd 68 04/01/18 3:18 PM
HowTo_Generic / Blockchain: A Practical Guide to Developing Business, Law, and Technology Solutions / Bambara / 587-9 / Chapter 3
Chapter 3 Technology Use Cases
69
hire many computers and run whatever they want on them safely, thanks to cutting-edge
virtualization technology. Payment is continuous and frictionless, thanks to Blockchain
technology.The network is 100 percent distributed and decentralized: there is no central
entity of any kind, just like Bitcoin. All software will be open source. Publishers pay providers
directly; there is no middleman. Accordingly, there are no payable commissions, except for
regular transaction fees that are being paid to Xencoin miners.It is a totally free market:
all participants are free to pay or charge by any rate they want. There are no restrictions.
Hence, projects like Zennet put additional focus on customizability. Zennet allows advanced
participants to control all parameters and conditions of their nodes in a versatile way. On
the other hand, simplicity and automation are made possible by making the client software
implement automatic risk-reward considerations by default.
Decentralized Communications
The decentralized communications model enables natively interoperable communications
services that can trustfully use peer-to-peer connections without having to use central
authorities or services. A wide range of distributed applications require confidential
communication between users. The messages exchanged between the users and the identity
of group members should not be visible to external observers. Classical approaches to
confidential group communication rely upon centralized servers, which limit scalability and
represent single points of failure. The use of confidential communication between a group of
distributed entities is at the core of many applications. Examples include private chat rooms
in social networks, information-sharing systems guaranteeing freedom of speech, control-
flow and admission-control for pay-per view live streaming, distributed content indexes
that should not be made public to prevent attacks, etc. The confidentiality of the messages
exchanged between the members of a private group is typically achieved using encrypted
channels that prevent malevolent parties from spying on the exchanged content. However,
content encryption alone is insufficient for many of the applications mentioned above, which
also require that the composition of the group remain secret—that is, one should not be able
to determine whether a node belongs to a group. The existence of the group itself can also be
hidden from unauthorized parties.
Computer networks typically use centralized solutions for supporting private group
communication, such as by relying on dedicated servers. Virtual private networks (VPNs)
allow nodes to create private communication channels with encrypted traffic. Group
communication can leverage VPNs, for instance, as part of a multisite company infrastructure,
with all communications between sites being routed through some VPN gateways. In
large-scale dynamic settings, where sizable populations of nodes are interconnected in self-
organizing and often loosely structured overlays, the use of VPN-based solutions is inadequate
for implementing private group communications. The problem is that VPN gateways act as
single points of failure. For this reason, they forfeit one of the major benefits of decentralized
systems: their robustness to targeted attacks such as denial-of-service attacks. As soon as the
attackers know the gateway, it is straightforward to disrupt communications within the private
group by concentrating the attacks on the gateway. Further disadvantages of solutions based on
VPNs or dedicated servers include their scalability to large numbers of users, their price, and
their operating costs.
03-ch03.indd 69 04/01/18 3:18 PM
HowTo_Generic / Blockchain: A Practical Guide to Developing Business, Law, and Technology Solutions / Bambara / 587-9 / Chapter 3
70
Blockchain
We should point out that these approaches do not keep the membership of private groups
hidden from malevolent nodes; only the content of exchanged messages is protected. The
process of hiding the communication partners, and hence the identity of the members of the
group, must be provided by anonymizing systems such as The Onion Router (TOR). These
systems rely on a set of dedicated servers that conceal the source of the message from the
destination, typically using onion routing mechanisms. Here again, the cost of provisioning
such a system with sufficiently many dedicated servers can be a hindrance in large-scale self-
organizing networks. These observations make the case for a fully decentralized, autonomous,
and self-organizing service to support confidential communications within groups of nodes
in large-scale systems. Unlike existing approaches, this service should let private groups be
created by ordinary nodes and emerge within the network, without relying on dedicated and
trusted third-party servers. At the same time, it must hide communications between the
members of a private group from the other nodes (content privacy), as well as keep the group
memberships secret to external observers (membership privacy). This latter point is especially
important, as it is impossible for an attacker to focus an attack on the members of a group
without being able to determine their identity.
Existing Decentralized Communications
Bitmessage (bitmessage.org) is a peer-to-peer communicationsprotocolused to send
encrypted messages to another person or to many subscribers. It is decentralized and trustless,
meaning that you need not inherently trust any entities such as root certificate authorities.
It uses strong authentication, which means that the sender of a message cannot be spoofed,
and it aims to hide “non-content” data, like the sender and receiver of messages, from passive
eavesdroppers such as those running warrantless wiretapping programs. Bitmessage works
by encrypting all the incoming and outgoing messages usingpublic-key cryptographyso that
only the receiver of the message is capable of decrypting it. In order to achieve anonymity,
Bitmessage replicates all the messages inside its ownanonymous P2Pnetwork, therefore
mixing all the encrypted messages of a given user with all the encrypted messages of all other
users of the network, thus making it difficult to track which particular computer is the actual
originator of the message and which computer is the recipient of the message.
Telehash(telehash.org) is apeer-to-peerdata distribution and communications protocol
that is designed to be decentralized and secure.The protocol is licensed under theCreative
Commonspublic domain. Telehash is likeBitTorrent Syncin that it allows users of the software
to share data securely without any central server authority.There are implementations in C,
Python, Ruby, Erlang, JavaScript, Go, and Objective-C. Similar in approach to BitTorrent, it
routes to the recipient given its hash. Telehash uses DHT to do deterministic routing, therefore
it may not be secure against simple statistical packet-analysis attacks.
Whisper
Whisper is fully decentralized middleware that supports confidential communications
within groups of nodes in large-scale systems. (See “Whisper: Middleware for Confidential
Communication in Large-Scale Networks” by Valerio Schiavoni, Etienne Rivière, and Pascal
Felber.) Whisper builds upon a peer sampling service that takes into account network limitations
03-ch03.indd 70 04/01/18 3:18 PM

HowTo_Generic / Blockchain: A Practical Guide to Developing Business, Law, and Technology Solutions / Bambara / 587-9 / Chapter 3
Chapter 3 Technology Use Cases
71
such as network address translation (NAT) and firewalls. Whisper is a part of the Ethereum
P2P protocol suite that allows for messaging between users via the same network on which the
blockchain runs.
Some dapp use cases include:
•
Dapps that need to publish small amounts of information to each other and have the
publication last some substantial amount of time. For example, a currency exchange dapp
may use it to record an offer to sell some currency at a particular rate on an exchange.
In this case, it may last anywhere between tens of minutes to days. The offer wouldn’t be
binding, merely a hint to get a potential deal started.
•
Dapps that need to signal to each other in order to ultimately collaborate on a transaction.
For example, a currency exchange dapp may use it to coordinate an offer prior to creating
transactions on the exchange.
•
Dapps that need to provide non-real-time hinting or general communication between
each other.
•
Dapps that need to provide dark communication to two correspondents that know nothing
of each other but a hash. This could be a dapp for a whistleblower to communicate to a
known journalist exchange some small amount of verifiable material and arrange between
themselves for some other protocol to handle the bulk transfer.
The Whisper architecture (see Figure 3-6) is a combination of layers. The Whisper
communication layer (WCL) operates on top of the NAT-aware peer sampling services
(PSS). It allows confidential communication between peers by protecting both exchanged
content and relationship anonymity. This is still true even when relays should be employed
for bypassing NAT limitations.
FIGURE 3-6
Whisper architecture layers
Whisper
Communication Layer
WCL API
• sendTo(node,passport,msg)
• receive(node,passport,msg)
Nylon PSS API
• init()
• getPeer()
NAT RESILIENT
Peer Sampling Service
PPSS API
• createGroup
• joinGroup
• authorizeJoin’
• getPeer()
• makePersistent(id)
PRIVATE PEER
SAMPLING SERVICE
Layers
API
PEER NODE
03-ch03.indd 71 04/01/18 3:18 PM
HowTo_Generic / Blockchain: A Practical Guide to Developing Business, Law, and Technology Solutions / Bambara / 587-9 / Chapter 3
72
Blockchain
The private peer sampling service (PPSS) operates on top of the WCL. It provides the
services of a PSS: it acts as a provider of a private view of live peers for the applications
operating in the private group. It leverages the WCL to guarantee that communications with
any node in the private view will remain strictly confidential. The PPSS also deals with group
management and membership authentication, and ensures that confidential connections
between peers can be maintained even when the destination node no longer belongs to
the view of the source node. Whisper targets large-scale, Internet-wide networked systems
in which a large majority of nodes reside behind NAT devices or firewalls. The Whisper
algorithms exploit peer sampling as an underlying approach for organizing nodes in the
network in a fully decentralized and autonomous manner. Whisper considers malevolent
nodes that spy upon other nodes in the system, but that follow the protocol specification and
do not exhibit other byzantine behavior.
Whisper implements confidentiality in two ways: it protects the content of messages
exchanged between the members of a group, and it keeps the group memberships secret to
external observers. Using multi-hop paths allows these guarantees to hold even if attackers can
observe the link between two nodes or be used as content relays for NAT bypassing. Whisper
supports the creation of confidential communication routes without the need for a trusted
third party. It additionally provides membership management and overlay maintenance among
private groups of nodes communicating in a confidential manner. Evaluation of Whisper in
real-world settings indicates that the price of confidentiality remains reasonable in terms of
network load and processing costs.
Summary
In this chapter, we introduced some of the components of the Web 3.0 architecture, including
distributed networking and storage that are happening now and promise solutions that
could save the global economy trillions annually. The Web today needs a new security model
and an architecture designed around contemporary use cases. The technology stack is just
beginning to emerge (see Figure 3-7). It includes Swarm, IPFS, Storj, Golem, and Whisper,
just to mention a few of a growing number of components that represent the most ambitious
solutions to this problem.
As the global infrastructure adapts to the new demands we are putting on it, unforeseen
opportunities will open before us. New tools will change not only the way we work and use
web conveniences but also the way we organize ourselves in groups. We are living in an
interesting time in history, where the Web begins to bring more knowledge and action capacity
to its users, resulting in considerable changes in several aspects of daily life. This new Web is
moving fast toward a more dynamic environment, where thedemocratization of the capacity
of action and knowledgecan speed up business in almost all areas. Imagine a future with
hundreds of real decentralized applications—for example, one in charge of registering land
titles and mortgages and handling local taxes, and another more general application in charge
of managing the supply chain of registered tenants and their monthly lease payments as well as
mortgage and expense payments. One could easily link information from properties registered
03-ch03.indd 72 04/01/18 3:18 PM

HowTo_Generic / Blockchain: A Practical Guide to Developing Business, Law, and Technology Solutions / Bambara / 587-9 / Chapter 3
Chapter 3 Technology Use Cases
73
in the first application with tenants and their use of the properties registered in the second
application. All this in an easy way, using the whole stack of semantic web technology and—
something that is not possible to date—ensuring that all data is 100 percent true, guaranteed
by the smart contracts. The real questions we must ask are: How will the world of Web 3.0
differ from the world of Web 2.0? How will this technology penetrate beyond the cultures that
created it? One thing is for sure: the blockchain will be at the center of this new world.
FIGURE 3-7
Web 3.0 technology stack
Messaging
(Whisper, Telehash)
State Machines
(EVM)
Consensus
(POW, POS)
Data Feeds
(Oraclize.it)
Storage
(IPFS, Swarm, Storj)
Off Chain
(Cloud)
Governance
(DAO)
Dapps Browsers
(Parity, Mist, MetaMask)
Decentralized Applications
(Gnosis, Etherisc)
Computing Platform
(Golem)
Internet Routing Protocols
(TOR)
03-ch03.indd 73 04/01/18 3:18 PM
HowTo_Generic / Blockchain: A Practical Guide to Developing Business, Law, and Technology Solutions / Bambara / 587-9 / Chapter 3 / blind folio: 74
03-ch03.indd 74 04/01/18 3:18 PM
This page intentionally left blank
75
HowTo_Generic / Blockchain: A Practical Guide to Developing Business, Law, and Technology Solutions / Bambara / 587-9 / Chapter 4
4 Legal and Governance Use Cases
T
he legal industry will also be transformed and disrupted by blockchain technology and the
associated scripting language and protocols known as smart contracts. As we have seen,
this technology is already affecting the banking, financial services, and payments industries.
They implement blockchain to facilitate transactions, save on fees, and approach instantaneous
clearing of transactions. The fintech movement, which has embraced blockchain, is always
looking to disrupt traditional banking models and the software that supports it to deliver
increased convenience, efficiency for service consumers, reduced risk, and of course lower
cost of operations for financial services providers. For too long, lawyers have been slow to
adopt new technologies. This is all changing; lawyers need to understand how to communicate
securely and protect their client data. In particular, they need to understand blockchain and
smart contracts. The New York County Law Association as well as many bar associations
nationwide provides legal technology education so their members can avoid potentially being
atodds with the new American Bar Association (ABA) rules. ABA Model Rule 1.1, Comment
8 says:
“To maintain the requisite knowledge and skill, a lawyer should keep abreast of changes
in the law and its practice, including the benefits and risks associated with relevant
technology, engage in continuing study and education and comply with all continuing
legal education requirements to which the lawyer is subject.”
Only recently, in response to demand and new standards, have lawyers started to use and rely
on computing and communications tools. For example, e-discovery software is now a standard
used to search email, documents, and other artifacts in the litigation discovery process. This
process as well as other legal procedures would be facilitated with blockchain, which is an
immutable and virtually infinite log. Blockchain when it is universally accepted will obviate
most evidentiary issues. One question is how to treat blockchain data as evidence. In the U.S.
judicial system, the standard for admissibility of evidence turns on whether a human has sworn
under penalty of perjury that the information is true.
Stand-alone documentary evidence is usually not admitted. It’s hearsay, “an out-of-court
statement offered to prove the truth of the matter asserted.” For example, to submit evidence
from government or other sources, we produce the artifact and attach an affidavit to attest that
04-ch04.indd 75 04/01/18 3:19 PM
HowTo_Generic / Blockchain: A Practical Guide to Developing Business, Law, and Technology Solutions / Bambara / 587-9 / Chapter 4
76
Blockchain
the artifact was kept in the usual course of business and that the information in the artifact
is true, to the best of the custodian’s knowledge. Blockchain technology, an immutable log of
events, will change the evidentiary rules. When we mature the technology both functionally
and legally, blockchain can create a more efficient documentary evidence standard.
That said, law firms also are relatively weak in terms of information governance. Recent
data break-ins at large law firms have resulted in stolen client information. Blockchain provides
for use cases that can secure the information held in large law firms, especially contracts and
other very confidential information. Futurists and technology vendors have already created the
vision for how blockchain will change the way lawyers operate.
To put this in context, Janet Yellen, chair of the U.S. Federal Reserve at the time of this
writing, recently said: “[blockchain] could have very significant implications for the payments
system and the conduct of business […]. I think innovation using these technologies could
be extremely helpful and bring benefits to society.” (See www.thinkconsortium.com/ on the
topic “Think Consortium Blockchain, 2017 Outlook: Blockchain Impacts on Enterprise and
Government.”)
The Harvard Business Review in February 2017 had some thought-provoking insights:
“Contracts, transactions and the records of them are among the defining structures in
our economic, legal and political systems. They protect assets and set organizational
boundaries. They establish and verify identities and chronological events. They govern
interactions among nations, organizations, communities and individuals. They guide
managerial and social action. And yet these critical tools and the bureaucracies formed to
manage them have not kept up with the economy’s digital transformation.They’re like a
rush-hour gridlock trapping a Formula 1 race car.In a digital world, the way we regulate
and maintain administrative control has to change.” (See https://hbr.org/2017/01/the-
truth-about-blockchain.)
Blockchain Changes the Legal Landscape
“Code is law,” as described inLawrence Lessig’sbook Code and Other Laws of Cyberspace,
refers to the idea that computer code has progressively established itself as a predominant
way to regulate behavior to the same degree as legal code. (See updates to these ideas on
http://codev2.cc//.) With the advent of blockchain technology, code is assuming an even
stronger role in regulating people’s interactions. However, while computer code can enforce
rules more efficiently than legal code, it also comes with a series of limitations. With vast
regulatory implications, blockchain applications have already raised many legal questions as
they offer new capabilities to engage activities in ways that don’t fit neatly into existing legal
frameworks. Let’s drill down and examine blockchain and its varied intersections with the law.
Cryptocurrencies as Legal Tender
Bitcoin, the world’s most recognizable digital currency, uses encryption techniques to regulate
the generation of units of currency and verify the transfer of funds, operating independently
of a central bank. This means that this money has not passed through a bank or other
financial institution, nor has it been screened by any government agency. If you have a major
04-ch04.indd 76 04/01/18 3:19 PM
HowTo_Generic / Blockchain: A Practical Guide to Developing Business, Law, and Technology Solutions / Bambara / 587-9 / Chapter 4
Chapter 4 Legal and Governance Use Cases
77
transaction that is normally required to be reported, it simply isn’t. This leads to significant
challenges, mostly concerning government regulators and current laws. As developers, it is
important to at least be aware of this changing landscape.
As of late 2017, lots of new laws and regulations are being proposed and may be in place
soon. That said, Bitcoin’s “monetary policy” is written into its code: New money is mined
and issued every 10 minutes. The supply is limited, and a hard money rule similar to the
gold standard is applied, i.e., the money supply is fixed to a commodity and not determined
by government. In the United States, bitcoin is deemed a commodity as per the Commodity
Futures Trading Commission (CFTC) (see www.cftc.gov/). The CFTC has jurisdiction
over local bitcoin exchanges. For the first time ever, the CFTC has given permission to a
private company to exchange and clear any number of cryptocurrency derivatives. The
New York–based startup LedgerX was granted a derivatives clearing organization (DCO)
license allowing it to clear and provide custodian services for financial instruments backed by
bitcoin,ether,and any number of blockchain-based cryptocurrencies.
Whether or not it’s a currency under certain legislation might determinewhether bitcoin
transactions can be taxed (see www.irs.gov/pub/irs-drop/n-14-21.pdf ). When it comes to
taxes, the Internal Revenue Service has ruled that bitcoins and other “convertible virtual
currencies” are “treated as property” and not treated as currency. According to the IRS, virtual
currencies are property for tax purposes:
•
There is capital gain or loss when disposing of virtual currency.
•
Income is taxable, even if you are paid in virtual currency.
•
Spending virtual currency is really two transactions in one: disposing of the virtual
currency and spending the dollar-equivalent amount.
•
Business transactions in bitcoin are subject to all the normal rules for sales tax,
withholding, and information reporting.
The IRS definitions around virtual currency are:
•
“Virtual currency is a digital representation of value that functions as a medium of
exchange, a unit of account, and/or a store of value.”
•
Virtual currency “does not have legal tender status in any jurisdiction.”
•
“Virtual currency that has an equivalent value in real currency, or that acts as a substitute
for real currency, is referred to as ‘convertible’ virtual currency.”
•
“Bitcoin is one example of a convertible virtual currency.”
•
“Bitcoin can be digitally traded between users and can be purchased for, or exchanged
into, U.S. dollars, Euros, and other real or virtual currencies.”
IRS tax treatment around virtual currency is:
•
“For federal tax purposes, virtual currency is treated as property. General tax principles
applicable to property transactions apply to transactions using virtual currency.”
•
“A taxpayer who receives virtual currency as payment for goods or services must, in
computing gross income, include the fair market value of the virtual currency, measured
in U.S. dollars, as of the date that the virtual currency was received.”
04-ch04.indd 77 04/01/18 3:19 PM
HowTo_Generic / Blockchain: A Practical Guide to Developing Business, Law, and Technology Solutions / Bambara / 587-9 / Chapter 4
78
Blockchain
•
“Transactions using virtual currency must be reported in U.S. dollars” on the tax return.
•
“Taxpayers will be required to determine the fair market value of virtual currency in U.S.
dollars as of the date of payment or receipt.”
•
“If a virtual currency is listed on an exchange and the exchange rate is established by
market supply and demand, the fair market value of the virtual currency is determined by
converting the virtual currency into U.S. dollars . . . at the exchange rate, in a reasonable
manner that is consistently applied.”
At the state level, senators in Nevada have unanimously backed a proposal that would
block local authorities from instituting taxes or fees on blockchain use (see www.coindesk
.com/nevada-senators-blockchain-tax-ban/).
With respect to money laundering and other illegal monetary transactions, Bitcoin’s
blockchain has remained somewhat resilient to attack, and it supports a robust payment
system. But this doesn’t mean the people using this technology are always upstanding
citizens. Blockchain actions are automated and fall outside of human legal action. So, despite
their incentive structure flaws, mining pools account for more than 95 percent of Bitcoin’s
computation power. An adversary with a tiny amount of computing power and capital can
execute an attack against mining pools in which a malicious party pays pool members to
withhold their solutions from their pool operator (see https://eprint.iacr.org/2017/230.pdf).
In 2013, regulatory bodies responsible for preventing financial crimes introduced
new regulationsto bring Bitcoin within the scope of its enforcement. In 2013, 22 Bitcoin
companies and investors were subpoenaed by the New York Department of Financial Services
(NYDFS), culminating in federal agentsshutting downtheir operations. The Silk Road
(see https://silkroaddrugs.org/) also created a “Bitcoin is for criminals” narrative. The Silk
Road illegal marketplace was accessible only via the “dark web,” an anonymous network that
requiresspecialized software to use, such as the Tor browser. As Silk Road grew in popularity,
so did recognition that bitcoins could be used for illicit activity, and so did the government’s
interest in it. The government shut down Silk Road and many other bitcoin operations.
Lawmakers in West Virginia have deemed it a felony to use bitcoins or other
cryptocurrencies for money laundering, with an update to the state’s anti–money laundering
(AML) statutes. The law specifically created a definition for cryptocurrency that is recognized
as a “monetary instrument” in the state. Striking the right balance in these new regulations to
promote growth but stifle illegal activity is a continuing challenge. See the Uniform Regulation
of Virtual-Currency Businesses Act (www.uniformlaws.org/), which will give you an idea of
how many of these challenges there are.
As mentioned, one of the key innovations of Bitcoin and other virtual currencies is the
ability to transact pseudonymously. Most virtual currency transactions do not require the
transacting parties to know each other, meet face-to-face, or directly interact to exchange
value. Florida House Bill 1379 (flsenate.gov/Session/Bill/2017/01379) defines virtual currency
and prohibits its use in laundering criminal proceeds. The bill adds the term “virtual currency”
to the definition of “monetary instruments” under Florida’s Money Laundering Act. The
act defines digital currency as a “medium of exchange in electronic or digital format that is
not a coin or currency of the United States or any other country.” Previously, the act only
applied money laundering to legacy financial transactions of various types, including bank
deposits, investments, and wire transfers. The resulting outcome is that criminals using
04-ch04.indd 78 04/01/18 3:19 PM
HowTo_Generic / Blockchain: A Practical Guide to Developing Business, Law, and Technology Solutions / Bambara / 587-9 / Chapter 4
Chapter 4 Legal and Governance Use Cases
79
cryptocurrencies will be charged with money laundering as well as the underlying criminal
activity. In most countries, financial services need to comply with rules pertaining to “know
your customer” (KYC) and AML. Over time, blockchains and various new payment networks
will not be exempt from such requirements. As such,some countries have severely restricted
or even banned cryptocurrencies.
Blockchain and Privacy Laws
Blockchain, like any formal ledger, will become the official record for tracking the history and
validity of transactions and other information. That record will effectively be visible to all, even
though individual elements of the transactions are encrypted and not publicly visible. Here,
the division of what information is public and what is private on a blockchain is especially
interesting.
For example, your passport or other identity information might be securely encrypted,
but the proof of the validation could be used publicly on a blockchain to prove that you are
you for purposes of that transaction, without revealing the underlying private data. To that
end, the startup ObjectTech (http://objecttechgroup.com) provides a digitized passport
that incorporates a feature called self-sovereign identity for privacy protection, which it
claimsallows passengers tocontrol which partiescanview their passport information.
In addition to these typical technology issues, the sale of illegal goods has also put a dark
cloud over the blockchain cryptocurrency Bitcoin. Public or unpermissioned blockchains
provide an opportunity for nefarious transactions such as facilitating the sale of illegal
goods and supporting the ransomware payment model, given the anonymous nature of
participants. Blockchains could raise challenges where financial institutions are forced to
comply with certain privacy laws. Some financial organizations are required by law to be able
to permanently remove data when required to do so by a court. As of late 2017, the United
States with its patchwork of privacy legislation has not determined how blockchain will be
regulated. With respect to protected health information we are not sure how blockchain
technology will match with privacy and security rules under the Health Insurance Portability
and Accountability Act of 1996 (HIPAA/HITECH, U.S. Public Law 104–191). The soon
to be enacted European privacy “right to be forgotten” laws will also present a challenge.
Data privacy legislation in Europe as of May 2018 will be dictated by the EU General Data
Protection Regulation (GDPR). The GDPR’s “right to erasure” presents issues that need to be
addressed when personal information is stored in blockchain-based storage systems like IPFS,
which was discussed in Chapter 3. We will need to consider some of the following issues.
Information stored in blockchain cannot be altered or deleted once added. Any application
will need to address how to comply with the data protection principles of accuracy and an
individual’s right to correct data; see GDPR Rec. 39; Art. 5(1)(e).
“Personal data must be kept in a form that permits identification of data subjects
for no longer than is necessary for the purposes for which the personal data are
processed.Personal data may be stored for longer periods insofar as the data will be
processed solely for archiving purposes in the public interest, or scientific, historical, or
statistical purposes in accordance with Art. 89(1) and subject to the implementation of
appropriate safeguards.”
04-ch04.indd 79 04/01/18 3:19 PM
HowTo_Generic / Blockchain: A Practical Guide to Developing Business, Law, and Technology Solutions / Bambara / 587-9 / Chapter 4
80
Blockchain
Assuming personal information is encrypted before it is written to a blockchain,
destroying the key renders the data unreadable. Is this enough to comply with the GDPR if
the data is technically still there? The destruction of a key as an erasure for the purposes of
the GDPR should probably suffice so long as the destruction is done in accordance with best
practices and in an auditable way.
Another risk exists where blockchain applications are implemented across multiple
jurisdictions without a single entity responsible for their operation in any jurisdiction.
Any application will need to address cross-border data flows, and wider legal questions of
enforceability, liability, dispute resolution, discovery, and extraterritorial application. An
amended Rule 41 of the Federal Rules of Criminal Procedure by the United States Department
of Justice facilitates U.S. law enforcement and intelligence agencies to get authorization to
hack into Americans computers and electronic communications devices. The U.S. has many
diplomatic arrangements in place with other countries to cooperate in investigations that
cross national borders, including Mutual Legal Assistance Treaties (MLATs). The new version
permits a federal judge to approve a single warrant for accessing multiple computers remotely.
This amended Rule 41 ignores the fact that “remotely” could mean in a different country. This
clearly has some serious implications for blockchain-based storage services providers operating
overseas and their customers, as blockchain can be regarded as anonymizing technology. This
FRCP Rule 41 states:
FEDERAL RULES OF CRIMINAL PROCEDURE
Rule 41. Search and Seizure
(b) Authority to Issue a Warrant. At the request of a federal law enforcement officer or
an attorney for the government:(6) a magistrate judge with authority in any district where
activities related to a crime may have occurred has authority to issue a warrant to use
remote access to search electronic storage media and to seize or copy electronically stored
information located within or outside that district, if:
(A) the district where the media or information is located has been concealed through
technological means; or
(B) in an investigation of a violation of 18 U.S.C. § 1030(a)(5), the media are protected
computers that have been damaged without authorization and are located in five or
more districts.
This rule, effective December 2016, allows law enforcement in the U.S. to circumvent
probable cause and chain of custody by allowing a federal magistrate judge to issue law
enforcement a warrant to hack or deploy malware on any number of computers/servers, even
those tangentially related to their investigations. The only prerequisite is that some effort
has been taken by the suspected party to obscure the location of said computers. Obviously,
Tor (“the onion router”) browser users are a prime candidate for abuse with this change
(see https://www.torproject.org). The vague wording and broad application means it could
also apply to virtual private networks (VPNs), which are the preferred access by banks and
businesses to secure their critical data. The change is the law enforcement equivalent of a
blank check, enabling unchecked surveillance to be applied to blockchain-based transactions.
04-ch04.indd 80 04/01/18 3:19 PM
HowTo_Generic / Blockchain: A Practical Guide to Developing Business, Law, and Technology Solutions / Bambara / 587-9 / Chapter 4
Chapter 4 Legal and Governance Use Cases
81
Tor directs Internet traffic through a free, worldwide, volunteer overlay network consisting of
more than 7,000 relays to conceal a user’s location and usage from anyone conducting network
surveillance.
In summation, open source protocols that empower individuals to conduct business can
be targeted by law enforcement. Blockchain and Bitcoin users should take notice and issue
with these events. Many parallels can be drawn between the current state of Tor and Bitcoin.
Rule 41 sets a difficult precedent for what the government deems acceptable when it comes
to other distributed, open source, privacy enabling protocols that it has a vested interest
in stopping—namely blockchain. This can stunt the growth and evolution of blockchain
technologies as businesses must assess these risks as part of their implementation.
Legal Ramifications of Blockchain Records
Owing to its stringent encryption techniques, blockchain will have more legal bearing in
court. Courts have already begun to evaluate computer-generated information, albeit in a
limited capacity as evidence. In United States v. Lizarraga-Tirado, the U.S. Federal Court for
the Ninth Circuit analyzed the use of a Google Maps entry of a crime scene in an immigration
case (see 789 F.3d 1107 [9th Cir. 2015]). Federal prosecutors introduced as evidence a Google
Maps screenshot with a computer-generated GPS “thumbtack” stuck to the alleged scene of the
defendant’s apprehension within U.S. borders.
Delaware, the corporate-friendly state, has laid the foundation for companies doing business
there to use blockchain technology for company record-keeping. Delaware General Corporation
Law (DGCL) marks a key milestone in the Delaware Blockchain Initiative to encourage the
use of blockchain technology and smart contracts in business (see http://legis.delaware.gov/
BillDetail/25730). The Delaware amendments provide for corporations to keep their “books
and records” on a blockchain or distributed ledger. Sections 219 and 224 of the DGCL would be
amended to permit the corporation to rely on the contents of a distributed ledger itself as the
stock ledger. Vermont bill H868 (http://legislature.vermont.gov/bill/status/2016/H.868) makes
records verified through blockchain technology admissible as evidence in court. Laws such as
this create a kind of legal backing for blockchain-based information. In Nevada, a bill has deemed
smart contracts and blockchain signaturesacceptable records under state law. Nevada Senate Bill
398 specifies, “If a law requires a record to be in writing, submission of a blockchain which
electronically contains the record satisfies the law.”
As blockchain ledgers and systems become more common, their possible use in cases
as evidence and discovery becomes more likely. This means lawyers will need to know
such records exist as well as how to access and handle that evidence—that is, what specific
information to request.
As we mentioned earlier, property ownership is obviously an excellent use case for a
blockchain application. In many developing countries, wealth is created through ownership.
Unfortunately, one of the most challenging aspects is determining who owns a certain piece of
land, and disputes often occurwhen corrupt governments or individualstake advantage of the
undereducated.
Having a public blockchain ledger would allow everyone to be aware of who owns
which parcel of land, and it would make the exchange of ownership much easier and more
equitable. This streamlined proof of ownership would create a better base for authentication,
04-ch04.indd 81 04/01/18 3:19 PM
HowTo_Generic / Blockchain: A Practical Guide to Developing Business, Law, and Technology Solutions / Bambara / 587-9 / Chapter 4
82
Blockchain
and governments could fairly tax individuals and businesses. To understand the potential of
a blockchain land registry system, analysts argue one must first understand how property
changes hands. When a purchaser seeks to buy property today, he or she must find and
secure the title and have the lawful owner sign it over. This search has become more difficult.
For a large number of residential mortgage holders, flawed paperwork, forged signatures,
and defects in foreclosure and mortgage documents have marred proper documentation of
property ownership. The resulting situation means that the property no longer has a “good
title” attached to it and is no longer legally sellable, leaving the prospective buyer in many
cases with no remedies. These issues are even more pronounced outside the United States.
For example, in Haiti, natural disasters, forced evacuations, and the corruption of dictatorships
have made the prospect of figuring out who actually owns the land one lives on impossible.
This was remedied by an Ethereum-based blockchain (see https://media.consensys.net/how-
blockchain-can-help-haiti-recover-b1657b609ad1). In the Gaza Strip, land speculation is made
problematic by conflicting claims by both the Israeli government and the Palestinian Authority,
as well as the possible intervention of third parties. Blockchain can help. The Republic
of Georgiateamed withthe Bitfury Group (http://bitfury.com), a provider of blockchain
infrastructure, to use the Bitcoin blockchain to validate property-related transfers, marking
the first time a national government used the Bitcoin blockchain to validate and secure
government actions. Blockchain technology has also be tapped to improve land ownership in
developing countries. A team of blockchain technology pioneers from Ghana, Denmark, and
the U.S. launched the Bitland initiative (see http://landing.bitland.world) to establish usable
land titles and free up trillions of dollars for infrastructure development in West Africa. The
Bitland initiative will educate the population about technology and provide the benefits of
documented land ownership to those who don’t have it. It will begin in Ghana and expand
throughout Africa, with hopes of catapulting infrastructure development and strengthening
democracy.
The Beginning of Autonomous Law:
Smart Contract
A computer scientist, legal scholar, and cryptography expert named Nick Szabo is credited for
developing the concept of a smart contract. He defined a smart contract as “a set of promises,
specified in digital form, including protocols within which the parties perform on these
promises.” (See Nick Szabo, “Smart Contracts: Building Blocks for Digital Markets,” 1996,
www.alamut.com/subj/economics/nick_szabo/smartContracts.html.)
So, a smart contract is a computerized algorithm (yet another way of describing it), which
performs the terms of the contract. However, this definition does not differentiate smart
contracts from some already well-known contractual constructs implementing automated
performance, such as vending machines.
Vending machines are defined as self-contained automatic machines that dispense goods
or provide services when coins are inserted or payment by, let’s say, a credit card is made.
Vending machines are programmed with certain rules and perform by these rules.
If there is no principal difference between vending machines and smart contracts, then
smart contracts are as old as Roman law itself. In the first century CE, a Greek engineer and
mathematician, Hero of Alexandria, documented the first vending machine in the published
04-ch04.indd 82 04/01/18 3:19 PM
HowTo_Generic / Blockchain: A Practical Guide to Developing Business, Law, and Technology Solutions / Bambara / 587-9 / Chapter 4
Chapter 4 Legal and Governance Use Cases
83
journal Pneumatika. His machine accepted a drachma coin and then dispensed holy water
(for the mechanical details, see www.google.com.pg/patents/US95577400). Fast-forward to the
1980s. We essentially programmed financial smart contracts for Merrill Lynch when Paul and
I used designated order turnaround (DOT) to perform automated program trading—trades
frequently executed not by a trader himself but by a computer system based on a trading
strategy implemented as a COBOL/C/SQL–based program. As of 2014, more than 75 percent
of the securities traded on stock exchanges originated from automated trading system orders.
So, smart contracts per se are not new.
Smart Contract Evolution
Most of today’s legal contracts are created using word processing templates customized by
attorneys and other legal professionals. They contain standardized legal languages which
specify terms and conditions, e.g., manifest within a Word document. They rely on third
parties for interpretation and enforcement. This process is time consuming and redundant.
Moreover, if issues occur, the parties to the contract rely on arbitrators and the courts to
remedy the situation. This is also time consuming, as well as hard to predict and expensive.
The solution is the smart contract—i.e., a computer program that can carry out the contract.
It contains code (e.g., Ethereum JavaScript Solidity) that is capable of executing the terms and
conditions of an agreement. The contract code defines the terms and conditions as a set of
if/then/else syllogisms in the same way that a legal document would. The conditions can be
validated and confirmed by RPC calls to other smart contracts or initially to “off-chain” oracles.
In this way smart contract code can then be automatically executed on the blockchain. Smart
contracts will herald the dawn of new attorney and legal professionals who by necessity will
need to be versed in both law and computer programming.
For example, a contract that automatically calculates the payments that are due and
the goods to be delivered between the parties, and then automatically arranges for those
payments to be made and the goods to be delivered, relies on software code (see Figure 4-1).
The contract terms are expressed in logic statements such as if buyer Joe orders a guitar of a
particular brand, make, and year, which becomes available via seller Gibson, then Joe’s party
pays money to Gibson’s party’s bank account, and the guitar is delivered to Joe’s home.
As we shall see in the next chapters containing smart contract code examples, it is critical
not only that the code is developed and tested but also that it is written with security checks on
the identity of the parties.
Smart Contract Components
As the smart contract evolves, there initially will be hybrids built with separate components:
on the blockchain and off the blockchain. Eventually, as blockchain technology becomes
mature and widely accepted, smart contracts will be on-blockchain-only components.
Here are some of the possibilities:
•
Smart contract code, for example, Ethereum Solidity code that is stored, verified, and
executed on a blockchain.
•
Smart legal contracts written as a specification for using smart contract code as a
complement or complete substitute for legal contracts.
04-ch04.indd 83 04/01/18 3:19 PM

HowTo_Generic / Blockchain: A Practical Guide to Developing Business, Law, and Technology Solutions / Bambara / 587-9 / Chapter 4
84
Blockchain
•
An actual contract may initially be a smart contract and some off-chain logic and execution;
as the concept evolves it will become a fully blockchain-executed smart contract. A very
simple contract can be fully automated. Other contracts may require both self-executing
terms and terms that are outside the software code. This is because not all decisions or
steps in a contract can be reduced to logic statements, especially for complex contracts.
To the dapp programmers, a smart contract is just a well-written program that executes
the contract, i.e., a contract written in code. They would say all programs are really contracts
anyway.
To lawyers, the concept of a contract has a different meaning. It requires offer and
acceptance, consideration, and specific terms and conditions. They are hard pressed to
believe that code can be law.
Smart Contract Benefits
Like any new technology, there are benefits and risks to smart contracts. As we have seen in
Chapter 1, the benefit of a distributed blockchain is that it provides a more trustworthy ledger
than relying on one trusted central ledger. With blockchain technology there is more security,
traceability, and transparency of records and transactions for participants and regulators as
well as lower operational costs. The combination of smart contracts with blockchain adds
certainty, security, and resilience. Terms can be verified by independent parties. Moreover,
the information stored on the blockchain is protected from security threats as it is maintained
on multiple nodes where more than 51 percent of the nodes would have to be compromised
before any problematic issue would be manifest.
FIGURE 4-1
Smart contract flow
Classic Law Firm
Contracts
Smart Contract
Developers
Pay
$
Cryptocurrency
Wallet Bank
Contract carries out terms and
conditions to pay and deliver
goods and services
Deliver
Warehouse
Inventory
Delivery
BLOCKCHAIN
O-Chain
Services
O-Chain Application
Developers
Domain Expert Dapp
Developers
Suppliers
04-ch04.indd 84 04/01/18 3:19 PM
HowTo_Generic / Blockchain: A Practical Guide to Developing Business, Law, and Technology Solutions / Bambara / 587-9 / Chapter 4
Chapter 4 Legal and Governance Use Cases
85
Smart Contract Challenges
The success of blockchain, as we’ll cover in Chapter 9, will depend on whether it can be
implemented practically and which applications are proper candidates. Briefly, the key
deployment risks and challenges are listed here:
•
Performance The computing resources and performance required for transaction
processing, validation, and fraud detection will determine which banking, financial, and
payment services it can best be applied to. Currently blockchain is not performant enough
to handle thousands of transactions per second. It will be relegated to asset transfers that
are not time dependent, such as buying/selling a highly traded and volatile security.
•
Interoperability Ensuring interoperability between different blockchain implementations
so they can talk to one another. What is the cost to achieve that? This will be determined by
the alliance groups who will hopefully develop standards.
•
Scalability Each node in the particular blockchain network must know about every
single transaction that occurs globally, which may create a significant drag on the network.
The goal is to perform all transactions with a higher efficiency, but in a way that doesn’t
sacrifice the decentralization and security that the network provides.
Smart Contract Risks
The use of evolving smart contracts and blockchain technologies does create a number of
potential risks, including governance, deployment, risk management, regulatory, and legal.
These risks and how they are managed fundamentally underpin market confidence in the
technology. We will discuss them in more detail in the sections that follow. To be effective,
blockchain and smart contracts require standards, i.e., a set of common rules by which all
participants operate, in order to ensure accuracy and trustworthiness. The decentralized
model poses challenges when you need to change the rules, because those changes need
to be agreed upon and accepted by all participants to function consistently. A governance
framework will be required to implement and operate blockchain as a legal application and
needs to take into account oversight and monitoring functions, rule setting, and acceptance
and change control management. Governance in general will be a requirement not only for
legal but for all technologies that manage information. This transformation to some common
rules for information governance is not only critical to blockchain but to other pursuits like
e-discovery and cybersecurity. Governance standards around the blockchain (see http://
hbr.org/2017/04/who-controls-the-blockchain) will contribute to market confidence in the
technology and the legal and regulatory environment. This will accelerate the adoption and
success of the smart contract.
Smart Contract Legal Challenges
Smart contracts also raise a number of interesting and challenging legal questions. For starters,
has a legally binding contract been formed? As mentioned, the current hybrid nature of a smart
contract combined with a traditional nonprogrammed or manual contract, e.g., Word document
with terms and conditions, creates some new issues as to its validity. Whether a smart contract
is legally binding will depend on a number of factors, including the specific use case, the type of
smart contract being used, and the applicable law.
04-ch04.indd 85 04/01/18 3:19 PM
HowTo_Generic / Blockchain: A Practical Guide to Developing Business, Law, and Technology Solutions / Bambara / 587-9 / Chapter 4
86
Blockchain
As we have seen, some states like Delaware and Arizona have passed legislation to
recognize the smart contract. Seeking to avoid any legal uncertainty surrounding blockchain
transactions and smart contracts relating to certain digital assets, in 2017 Arizona passed
the amended Arizona Electronic Transactions Act (AETA), HB 2417, which includes a very
specific definition of blockchain technology as a “distributed, decentralized, shared and
replicated ledger, which may be public or private, permissioned or permission less, or driven
by tokenized crypto economics or token less” and provides that the “data on the ledger is
protected with cryptography, is immutable and auditable and provides an uncensored truth.”
HB 2417 also includes a definition of smart contracts as an “event driven program, with state,
that runs on a distributed, decentralized, shared and replicated ledger that can take custody
over and instruct transfer of assets on that ledger.” Forward-thinking states like Delaware and
Arizona enact such legislation to encourage blockchain development in their respective states.
That said, the electronic nature of smart contracts is unlikely to be a barrier to establishing
contractual formation in many jurisdictions.
The legal requirement of “certainty” might not be satisfied easily, as not all smart contracts
operate in conjunction with natural language contract terms. How will the parties to a smart
contract get notice of its terms and conditions? When will they get to see those terms prior to
or after the smart contract is agreed and executed? How will we address those contracts that are
required by law to be in writing? Is computer code a writing? How do we deal with the formal
execution requirements for deeds, i.e., in writing and signed by specified individuals/roles?
There is a spectrum of possible smart contract models. On the one hand, there are those
who promote the “code is contract” approach. On the other hand, there are those who see
smart contracts as consisting of digitizing the performance of business logic, e.g., payment,
which is happening today and may or may not be associated with a natural language contract.
In between these two extremes a number of permutations are likely to emerge, including,
for example, a “split” smart contract model under which natural language contract terms are
connected to computer code via parameters.
There are jurisdictional variations on whether smart contracts can give rise to legally
binding contractual relations under the laws of a number of key contracting jurisdictions. The
answer may vary significantly depending on the jurisdiction. Certainty as to what constitutes
the contractual terms and whether they are comprehensive enough is often a critical factor
necessary to establish the formation of a legally binding contract in many jurisdictions. Smart
contracts that purely digitize a process but do not include, or operate in conjunction with,
contractual terms may not satisfy such requirements.
•
Enforceability Where a smart contract has a legally binding contractual effect, the
technology within which it is deployed may sometimes give rise to problems in relation to
legal enforceability. There may be no central administering authority to resolve a dispute.
Dispute resolution mechanisms could address enforceability and jurisdictional variations.
Inserting a dispute resolution mechanism into a smart contract will be pro forma to
address the issues around enforceability and jurisdictional variations.
•
Transparency Blockchain can involve a level of transparency. But what if the parties
don’t want the details divulged? How do you keep parts of the contract private and retain
the other benefits of blockchain?
04-ch04.indd 86 04/01/18 3:19 PM
HowTo_Generic / Blockchain: A Practical Guide to Developing Business, Law, and Technology Solutions / Bambara / 587-9 / Chapter 4
Chapter 4 Legal and Governance Use Cases
87
•
Changes How do you unwind transactions that shouldn’t have happened—for example,
if there has been duress—or it is a contract that is for some reason (or is somewhere)
illegal or in breach of regulatory requirements? This has already occurred on the
Ethereum platform, with a technical “hard fork” response (a split in the blockchain where
non-upgraded nodes cannot validate blocks created by upgraded nodes following new
consensus rules).
•
Coding limitations Contracts often deal with the unknown and have clauses that
aren’t easily reduced to code or that can execute automatically as a simple “if this, then
that” procedure. Force majeure is a good example. Contracts often include concepts of
subjective judgment, reasonableness, and acting in good faith. These concepts currently
cannot be readily translated into logic statements. That said, there will be code services
that can provide “reasonability” tests, which have been used in securities trading for years.
•
Liability for mistake, error, or fraud If something does go wrong with the execution
of the contract and someone suffers a loss, where do they go for recourse? We will
need a court system that is tech savvy. The courts have started to recognize blockchain
not only for cryptocurrency but also for how it can improve the administration of law.
Just as the courts got technical with e-discovery, they will need to be able to work with
blockchain evidence.
Blockchain as Evidence and Digital Signature
In addition to the benefits, challenges, and risks, for blockchain applications to have bearing in
the real world, digital signatures need to be as binding as pen and paper, and evidence recorded
on blockchains needs to be admissible in court. Courts have complex rules of evidence about
what information can come in and in what format. Right now in most legal systems, blockchain
evidence can be considered but only with the help of expensive expert witnesses to explain
what it means. This process would eliminate the potential efficiencies gained through use of
blockchain technology, and would instead increase court costs and decrease access to justice.
Under U.S. Federal Rule of Evidence 901, “[t]o satisfy the requirement of authenticating or
identifying an item of evidence, the proponent must produce evidence sufficient to support a
finding that the item is what the proponent claims it is.” This requirement is important to ensure
litigants do not try to introduce falsified or tampered evidence. How does this work in practice?
Typically, transaction and other business records can be admitted into court proceedings, but
a witness typically must testify to authenticate the records. For example, if you are involved
in a dispute with a security exchange over a trade, the exchange could introduce its computer
records of your account and trades, but one of its techies would need to testify about the
authenticity of the data. Thus, transaction records generally require a witness to explain what
the transaction record is, how it is kept or was generated, and what it represents.
On the blockchain, if signature data is kept, it is easier to later authenticate the
transaction record by referring to the digital signature used to validate the transaction. This
will help meet the evidentiary requirement that the blockchain record “is what the proponent
claims it is,” i.e., the blockchain receipt for the specific transaction. Not all digital signatures
are born equal. Sometimes there is a good reason to choose one system over another,
like avoiding a system that has been poorly designed ormodified by a surveilling agency
(see https://privacyinternational.org/node/51). But other times it’s completely arbitrary.
04-ch04.indd 87 04/01/18 3:19 PM
HowTo_Generic / Blockchain: A Practical Guide to Developing Business, Law, and Technology Solutions / Bambara / 587-9 / Chapter 4
88
Blockchain
Governments have set complicated standards for digital signatures to give them the same
weight as pen and paper (see https://www.nist.gov/). The process of signing electronic
documents is full of friction. As discussed earlier, the Arizona Electronic Transactions Act
(AETA) stipulates that records or signatures in electronic form cannot be denied legal effect
and enforceability based on the fact that they are in electronic form.There is also aFederal
E-Sign Act(15 U.S.C. § 7001), which generally provides that a signature, contract, or other
transaction record may not be deemed invalid or unenforceable solely because it is in
electronic form. It is to be determined whether the federal statute preempts AETA. Under
AETA electronic records, electronic signatures and smart contract terms secured through
blockchain technology and governed under U.C.C. Articles 2, 2A, and 7 will be considered
to be in an electronic form and to be an electronic signature. The statute also provides that
a contract relating to a transaction may not be denied legal effect, validity, or enforceability
solely because that contract contains a “smart contract term.”
The bottom line is that governments are looking to streamline rules of evidence to allow
blockchain evidence to be deemed admissible without an expert. States are leading the way.
In addition to Arizona, Vermontpassed a billthat creates a presumption of admissibility
of blockchain records that meet certain requirements. Admitted records can be used as
evidence of contractual parties or terms, effective dates, ownership, money transfers, identity,
authenticity of a document, or anything else. We can expect to see much more in terms of legal
developments in 2018.
Smart Contract Design Example
So we see that smart contract development will require a team of not only Solidity and
distributed application developers but also business and legal professionals knowledgeable in
the law and regulation of the blockchain. Let’s design a smart contract that is used by affiliate
and social media marketing businesses to receive compensation for their marketing efforts.
They are paid based on campaign performance metrics known as CPA and CPC.
CPA (cost per action or cost per acquisition) advertising is performance based and
is common in the affiliate marketing sector of the business. In this payment scheme, the
publisher takes all the risk of running the ad, and the advertiser pays only for the number of
users who complete a transaction, such as a purchase or signup. This is the best type of rate to
pay for banner advertisements and the worst type of rate to charge.
CPC (cost per click) is a payment option that compensates a publisher whenever their
referred customers click on a link for an advertiser offer. CPC is also an Internet-marketing
formula used to price banner ads. Some advertisers will pay publishers based on the number
of clicks a banner gets. We will design a smart contract that accesses HitPath performance and
payment data so that affiliate networks can streamline the entire performance-to-payment
cycle for global affiliates to reduce friction. HitPath (see www.hitpath.com/) is popular
advertising campaign tracking software which maintains a central ledger of activity around
publishers. Table 4-1 depicts a list of data rows identifying the publisher, the offer, and whether
the hit resulted in CPC and CPA. This performance tracking log for HitPath provides the basis
for payment.
We will design a smart contract for the marketers to automatically receive compensation—
cryptocurrency, USD, or tokens deposited in the wallet account—based on social media
04-ch04.indd 88 04/01/18 3:19 PM

HowTo_Generic / Blockchain: A Practical Guide to Developing Business, Law, and Technology Solutions / Bambara / 587-9 / Chapter 4
Chapter 4 Legal and Governance Use Cases
89
advertising campaigns that result in CPC or CPA. This will be accomplished and verified by
using an oracle to access the HitPath performance and payment data. An oracle is an agent that
finds and verifies real-world occurrences (such as HitPath activity) and submits this information
to be used by our smart contracts. Smart contracts contain value and only unlock that value
if certain predefined conditions are met, for example, if the publisher’s lead generated CPA or
CPC. When a particular value is reached, such as the end of the month, the smart contract
changes its state and executes the programmatically predefined algorithms to determine how
much to compensate the publisher, automatically triggering an event on the blockchain. The
primary task of oracles is to provide these values to the smart contract in a secure and trusted
manner. Blockchains cannot access data outside their network on their own. So, in short, oracles
provide external data and trigger smart contract executions when predefined conditions are
met. Oracles are part of multisignature contracts where, for example, the original trustees sign
a contract for future release of funds only if certain conditions are met.Before any funds get
released an oracle has to sign the smart contract as well (seeFigure4-2).
We can then take the number of CPA and CPC hits for our tracking period, multiply it by
the agreed-upon rate, and transfer the payment to the publisher’s address. Figure 4-3 shows an
example contract. We have extrapolated the variables from the formal contract language using
a web-based user interface. Figure 4-4 shows the advertising contract header.
Is an Advertising Payment Application a Blockchain Fit?
We will look at a practical application of blockchain technologies by designing a smart contract
for advertisers to be paid in a smart contract automated way from scratch. We will lay out a
very basic blockchain automated payment contract based on the advertising CPA and CPC we
discussed earlier. Later, in Chapters 10 and 11, we will delve in great detail into the description
and use of the JavaScript and Ethereum tools needed to create, build, and deploy an entire
application using Ethereum Solidity. That said, not all applications are well suited for blockchain.
What would be the advantages of using blockchain for our advertiser payment application?
•
Cryptographically secure authentication
•
Fast, frictionless, low-fee payments
•
A network with 100 percent uptime
•
Publicly verifiable and guaranteed code transaction execution
Hitid Offerid Pubid Action Date IP CPA CPC
123 A B 2017-09-23 65.52.100.214 Y Y
124
A B
2017-09-24
64.122.75.81 Y Y
125
A B 2017-09-27 65.52.100.212 Y Y
126
A B
2017-09-29
64.122.75.82 Y
Y
TABLE 4-1
Publisher Performance Tracking Log for HitPath
04-ch04.indd 89 04/01/18 3:19 PM

HowTo_Generic / Blockchain: A Practical Guide to Developing Business, Law, and Technology Solutions / Bambara / 587-9 / Chapter 4
90
Blockchain
There are no real disadvantages to using blockchain:
•
The relatively slow blockchain network is not an issue as it is still faster than manual billing.
•
The relatively limited transaction rate is not an issue as it is still faster than manual billing.
•
Contract code deployment cannot exceed the block gas limit.
Let’s take a look now at payment applications. Here are some required features:
•
Frequent payment processing
•
Handle contracts from multiple countries with different currencies
•
Provide verifiable and consistent payment execution
These requirements are much better suited to a blockchain solution. One of the issues
for advertising payment has been moving money around through wires and bank transfers.
Network publishers must wait three to five business days to deposit or withdraw money
from their bank accounts and must trust the advertiser site with their banking information.
The sites in turn must secure this information, take appropriate security measures to protect
their sites from hacking, and stay in compliance with a series of financial regulations in the
various countries in which they operate. Additionally, transacting in different countries
requires supporting a variety of different currencies and banks, all of which contribute to the
complexity of the operation.
FIGURE 4-2
Advertising smart contract flow
Smart Contract
Developers
{api}
ADVERTISING
AGREEMENT
createContract(…… .)
setPaymentResult(…)
payContract(……)
Web API allows
the advertiser
to pay publishers
and transfer payment to
ETH/BTC wallet account
O-Chain
HitPath
Oraclize connections
to side-chain/o-chain
handlers
…oraclize.it…
Web API
Ethereum
Blockapps
Web API
Oraclize
Rootstock
Eris
Cryptocurrency
Wallet/Bank
Via web API, we access HitPath data source
to determine whether our targeted
consumer “clicked through” data and a
payment is due.
04-ch04.indd 90 04/01/18 3:19 PM

HowTo_Generic / Blockchain: A Practical Guide to Developing Business, Law, and Technology Solutions / Bambara / 587-9 / Chapter 4
Chapter 4 Legal and Governance Use Cases
91
Affiliate Media Co., LLC ADVERTISING INSERTION ORDER
Publisher: Affiliate Media Co., LLC Campaign Name/s: Blockchain Demo
Advertiser:
Lifestyle Products, LLC
RateperCPA:
RateperCPC:
$3 per CPA
$1 per CPC
City, State, Zip:
1234 Ethereum Rd, Blockchain, NY Payable Action: Unique Clicks
Contact: John
Payment Terms:
As described in Terms
and Conditions
Prepay
Phone: 222-333-7777 Billing Contact: Joe
Fax: 333-444-7777 Phone: 444-555-7777
Publisher Email:
John@affiliatepublisher.com
Advertiser Email: Joe@lifestyleadvertiserinc.com
IM: IM:
CAMPAIGN DETAILS
Exclusive: True Network NO Suppression File Retrieval: Download via login or emailed
Channels: Email/Newsletter
Regions: English Speaking Countries
Budget Cap? Daily Weekly Monthly Dollar Amount: Initial $15,000 cap
Lead Cap? Daily Weekly Monthly Number of Leads: Based on spend amount above
Start Date: Upon Receipt End Date (if applicable):
Conditions:
All Creative requires approval from Advertiser Lifestyle Products, LLC prior to use (using non-
approved creative will result in non-payment on leads generated).
All email traffic must use approved from/subject lines that are not deceptive and are CAN-SPAM.
Must include opt-out link and opt-out physical address in EVERY email along with a scrub against
the suppression file before EVERY mailing. Publisher is responsible for its and its affiliates’ actions.
FIGURE 4-3
Example contract
FIGURE 4-4
Advertising contract header
THIS INSERTION ORDER IS SUBJECT TO THE TERMS AND CONDITIONS ATTACHED
HEREWITH. THIS DOCUMENT SUPERSEDES ANY PREVIOUSLY AGREED TERMS
AND/OR CONDITIONS.
THE SIGNATORY OF THIS INSERTION ORDER REPRESENTS THAT HE/SHE HAS READ,
UNDERSTANDS, AND AGREES TO THE TERMS OF SUCH TERMS AND CONDITIONS,
AND IS THE DULY AUTHORIZED AGENT OF PUBLISHER.
Publisher
Signature:
Advertiser
Signature:
04-ch04.indd 91 04/01/18 3:19 PM
HowTo_Generic / Blockchain: A Practical Guide to Developing Business, Law, and Technology Solutions / Bambara / 587-9 / Chapter 4
92
Blockchain
Using a blockchain solution allows advertisers and publishers to transfer money across
borders easily for international betting sites and have a guarantee that their compensation will
be paid out in a timely fashion. So we will need some functions to effect the contract:
•
createContract(…various contract attributes as depicted in Figure 4-3…) will create our
contract by pulling the variables specified in Table 4-1 and instantiating, i.e., breathing life
into this contract to be referenced as contractid.
•
setCPAPaymentResult((uint contractid)constant returns (uint)),
setCPCPaymentResult((uint contractid)constant returns (uint)) will periodically access
the HitPath tracking data to determine how many CPA/CPC hits we had during the billing
period using the rate variables specified in Figure 4-3 to calculate the payment.
•
payContract(uint contractid) will transfer an amount equal to the payment from the
advertiser’s address to the publisher’s address and send notifications to each party that
the transaction has been completed.
Defining Contract Data Structures
Before we can start coding our contract, we need to define the necessary data structures.
This structure will house all the variables from our contract. See Table 4-1 and Figure 4-3 for a
view of these variables from the contract and tracking sources. As we shall see in Chapter 10,
a variable can have data types like string, integer, boolean, the address of a blockchain wallet
account, an array of all these data types, or other structures. See Figure 4-3 for variables. In
Ethereum Solidity, it will look something like this:
struct Contract {
string publisher;
string advertiser;
address advertiseraddress;
address publisheraddress;
string offerid ;
string pubid ;
string publisheremail ;
string advertiseremail ;
string campaignname ;
int rate ;
string payable action ;
string paymentterms ;
int ratepercpa ;
int ratepercpc ;
string billingcontact ;
bool exclusivecontract ;
string channels ;
int budgetcap ;
int leadcap ;
04-ch04.indd 92 04/01/18 3:19 PM
HowTo_Generic / Blockchain: A Practical Guide to Developing Business, Law, and Technology Solutions / Bambara / 587-9 / Chapter 4
Chapter 4 Legal and Governance Use Cases
93
uint startdate ; }
struct Payment {
uint amountcpchits; /* in wei */
uint amountcpahits; /* in wei */
Contract contract;
}
Smart Contract Events
As we shall see in detail later, Solidity events are used to log transaction activity to the
blockchain. Event logs are less expensive than creating new entries in the state tree, so it is a
best way to store read-only data. Logs are not accessible from within a contract (only variables
are), but can be read by external client libraries like web3.js (more on this in Chapter 10).
Ethereum transactions are asynchronous and usually do not mine for 15–30 seconds after
they have been broadcast to the network. Because of this, transactions cannot return values.
The only way a transaction can create an output is by modifying the state or adding an event
log. Client libraries usually parse the logs to determine the output of a transaction.
A Solidity event is a schema for logs. Logs are automatically indexed by contract address
and event type for efficient querying. In addition, Solidity events allow you to define three
custom indexed fields. Only indexed fields can be queried when parsing logs.
event ContractCreated(uint indexed id, address indexed creator,
Contract contract, uint64 locktime);
event ContractCPAMonth(uint indexed contract_id, address publisher,
uint amount, uint timestamp);
event ContractCPCMonth (uint indexed contract_id, address publisher,
uint amount, uint timestamp);
event PaymentCalculated(uint indexed Contract_id, int cpcamount,
int cpaamount, uint timestamp);
event PaymentMade(address indexed user, uint amount, uint timestamp);
There is an event associated with each of the major state modifications that can occur
in our contract. Together, they provide a history of the actions taken by the contract on
the blockchain.
Smart Contract Functions
Let’s create a list of the functions we will be defining in our application. Functions, like variables,
can be either public or private. Public functions can be accessed by other contracts and client
libraries and are listed as part of the application binary interface (ABI), which isbasically how
you call functions in a contract and get data back. Private functions are only accessible by
other functions in the same contract. Web3.js is Ethereum’s JavaScript API to interact with the
Ethereum node. It contains a host of modules to facilitate blockchain functionality.
var web3 = new Web3(new Web3.providers.HttpProvider("http://localhost:8545"));
04-ch04.indd 93 04/01/18 3:19 PM
HowTo_Generic / Blockchain: A Practical Guide to Developing Business, Law, and Technology Solutions / Bambara / 587-9 / Chapter 4
94
Blockchain
When we get an ABI, and have saved it in a separate fileabi.js, we can load it from
the application into theabiArrayvariable. We also need the smart contract address, in
theadvertiserContractvariable. We can then get hold of a JavaScript instance for the contract:
var advertiserContract = web3.eth.contract(abiArray).at(contractAddress);
var pubBalance = advertiserContract.getPubBalance.call();
var advBalance = advertiserContract.getAdvBalance.call();
var balanceWei = web3.eth.getBalance(account).toNumber();
var balance = web3.fromWei(balanceWei, 'ether');
Once we have our web3 object, we can start calling some APIs to find out what is going on
in the blockchain, like getting your balance in wei and converting it to ether.
In addition, there are constant functions that read from, but do not modify, the blockchain.
Public constant functions return immediately with their result, do not send a transaction to the
network, and do not consume any gas when called.
Here are the public functions we will need:
pragma solidity ^0.4.0;
contract AdvertiserContract {
function createContract(…………..)
function setCPAPaymentResult(uint contractid)
constant returns (uint) {return cpapayment};
function setCPCPaymentResult(uint contractid)
constant returns (uint) {return cpcpayment};
function payContract( uint contracted, int cpapayment, int cpcpayment){...}
}
Once the contract has been created, we emit a ContractCreated event to log the state
modification we just made and return a variable to indicate that there were no errors. You
will probably need some publicconstantfunctions such as:
getActiveContracts constant returns (uint[])
Once a number of contracts have been created, we need to be able to identify active
contracts.
In addition, we will be defining some private functions for our own internal use:
getContractById(uint contract_id) constant private returns (Contract storage)
getContractByIdis a helper function we will use to get a pointer to a specific contract.
payContract(uint contract_id) private
Constant functions return a value whose type must be specified with the syntax above.
So our advertiser smart contract will:
•
Execute the createContract for each publisher we do business with:
createContract(. . .)
04-ch04.indd 94 04/01/18 3:19 PM

HowTo_Generic / Blockchain: A Practical Guide to Developing Business, Law, and Technology Solutions / Bambara / 587-9 / Chapter 4
Chapter 4 Legal and Governance Use Cases
95
•
Calculate how many CPAs and CPCs occurred for this publisher during the current month:
function setCPAPaymentResult(uint contractid)constant returns (uint) {return cpapayment};
function setCPCPaymentResult(uint contractid)constant returns (uint) {return cpcpayment};
•
Compensate each affiliate for CPAs and CPCs that occurred for this publisher during the
current month:
payContract(Contract contract, uint contracted, int cpapayment, int cpcpayment)
The application will probably have a web-based front end and will require MetaMask, an
extension for accessing Ethereum-enabled distributed applications, or dapps in your normal
Chrome browser. The extension injects the Ethereum web3 API into every website’s JavaScript
context, so that dapps can read from the blockchain. MetaMask also lets the user create and
manage their own identities, so when a dapp wants to perform a transaction and write to
the blockchain, the user gets a secure interface to review the transaction before approving or
rejecting it (see Figure 4-5).
This smart contract design must be coded to handle the functionality we enumerated
here. In Chapters 10 and 11, we will detail and illustrate an entire application (betting) from
the development setup all the way to production implementation, with explanations of the
coding and execution as well as a web-based front end.
Smart Contracts in Practice
As we have seen in the previous sections of this chapter, there is confusion about what
a smart contract means as well as its enforceability and evolving jurisdictional issues.
Technologists come up with a programmable component that has the word “contract” in its
name, and lawyers are intrigued and want to get involved in this new form of business and
contract execution. Drafting actual standalone contracts is not what developers want to do.
Meta-Mask
Blockchain transaction
Off-chain
result Off-chain
result
Ethereum Blockchain
Off-chain
computation
Front end
Oracle HitPath Server
FIGURE 4-5
Advertising contract oracle flow
04-ch04.indd 95 04/01/18 3:19 PM
HowTo_Generic / Blockchain: A Practical Guide to Developing Business, Law, and Technology Solutions / Bambara / 587-9 / Chapter 4
96
Blockchain
Developers build platforms and applications (see http://consensys.net/ventures/spokes/ for
an array of existing applications). Smart contracts are just components. The traditional work
of lawyers who draft contracts will change with widespread adoption of smart contracts. The
new world where lawyers draft smart contracts will involve a team of legal and technology
professionals. The makeup of these teams and the new contract development life cycle are
incubating as we speak.
Decentralized Autonomous Organizations
A decentralized autonomous organization (DAO), also known as a decentralized autonomous
corporation (DAC), is an organization that is run through rules encoded as smart contracts.
A DAO’s financial transaction record and program rules are maintained on a blockchain. The
concept of a DAO entity is initially introduced in a document. There are several examples of
this business model (see http://download.slock.it/public/DAO/WhitePaper.pdf). The use of
blockchain, smart contracts, and DAOs raises significant legal issues. As these blockchain-
based technologies become widely used, we will need laws and regulations to provide a legal
framework within which blockchain can be utilized. As developers in this new paradigm, we
need to understand these issues so we can build compliant blockchain applications. Some
developing legal issues are as follows:
•
When servers are decentralized and located around the globe, we will need to consider
jurisdiction where a breach or failure occurred and then apply cross-border laws, which
may cause expensive resolutions that undermine blockchain benefits.
•
When the entity is essentially self-governing software engaging in or facilitating
commerce, what legal status will attach to DAOs? Are they simple corporations or
something else?
•
What, if any, is the liability of DAOs and their creators? Who or what is claimed against in
the case of a legal dispute?
Additionally, DAOs render traditional concepts of ownership and liability obsolete.
However, we consider that this perhaps more futuristic view ignores the reality that coding
may suffer from errors or hosting platforms may fail. What about the impacts of fraud at
any point in the DAO’s creation or operation? How will the courts and regulators allow the
wholesale adoption of technology that bypasses established oversight?
On July 25, 2017, the U.S. Securities and Exchange Commission (
SEC
) issued a
statement on the regulatory significance of offers and sales of digital assets carried out using
distributed ledger or blockchain technology (see http://sec.gov/news/press-release/2017-131).
Thatstatementfollowed the SEC’sReport of Investigationinto the DAO, an unincorporated
organization designed to issue tokens administered on a distributed ledger that would allow
the holder to share in the anticipated earnings of the organization. The DAO and its structure
drew a great deal of attention after a hacker stole approximately one-third of its assets.
The investigation raised questions regarding the application of U.S. federal securities laws
to the offer and sale of DAO tokens, including the threshold question of whether DAO tokens
are securities. Based on the investigation, and under the facts presented, the commission
determined that DAO tokens are securities under the Securities Act of 1933 and the Securities
04-ch04.indd 96 04/01/18 3:19 PM
HowTo_Generic / Blockchain: A Practical Guide to Developing Business, Law, and Technology Solutions / Bambara / 587-9 / Chapter 4
Chapter 4 Legal and Governance Use Cases
97
Exchange Act of 1934. The report reiterates these fundamental principles of the U.S. federal
securities laws and describes their applicability toa new paradigm—virtual organizations or
capital-raising entities that use distributed ledger or blockchain technology to facilitate capital
raisingand/or investment and the related offer and sale of securities.The automation of
certain functions through this technology, smart contracts, or computer code does not remove
conduct from the purview of the U.S. federal securities laws. See “Report of Investigation
Pursuant to Section 21(a) of the Securities Exchange Act of 1934: The DAO,” https://sec.gov/
litigation/investreport/34-81207.pdf.
DAO and Jurisdiction
A DAO can cross jurisdictional boundaries as the nodes on a blockchain can be located
in any country in the world. This poses complex jurisdictional issues which will require
specialized consideration by lawyers versed in each country’s law and the relevant contractual
relationships. The principles of contract and title differ across jurisdictions and therefore
identifying the appropriate governing law will be a first step in designing and implementing
a DAO. In a decentralized environment, it will be critical to identify the appropriate set of
rules to apply.
For starters, every transaction could potentially fall under the jurisdiction of the location
of every node in the network. This could result in the blockchain needing to be compliant
with a large number of legal and regulatory regimes. Some design constraints need to be
identified early to facilitate the development of a DAO. In the event a fraudulent or erroneous
transaction is made, pinpointing its location within the blockchain will be an important
security consideration.
The inclusion of an exclusive governing law and jurisdiction clause is therefore essential. It
should ensure that a DAO member has legal certainty as to the law to be applied to determine
the rights and obligations of the parties to the agreement and which courts will handle any
disputes. One vendor, Aragon (https://blog.aragon.one), has developed a DAO arbitration
mechanism, which will be fully operational in 2018 (see Figure 4-6).
The Aragon Network Jurisdiction requires an individual who has a dispute to open a case
and post a bond. The bond will be locked for the period of the arbitration process and returned
if resolved in favor. If not in favor, the bond will be kept as a network reserve. Only applicants
who have a legitimate reason for dispute will post a bond. In extreme cases, there may be cause
to freeze operations of the organization—for example, when all stakeholder funds are at risk.
Any organization shareholder can raise an issue if the company’s contracts are frozen and
moved to a state of review. When an arbitration begins, five judges will be randomly selected
from a pool of individuals who have posted a bond indicating their interest in serving as a
judge. The judges will vote on the final judgment of the case for this round. If the applicant
is unsatisfied with the ruling of the decentralized court, they have the option to elevate the
issue to the next realm. This is done by posting an even larger bond than before. For this
round of court, Aragon uses a prediction market where all the judges of the network can take
part, providing the applicant with a much larger audience.
If the applicant still finds the issue unsatisfactory, there is the supreme court of the Aragon
Network Jurisdiction composed of the top nine judges by ANJ payout—in other words, these
are the individuals with the highest ranking in resolving Aragon Network Jurisdiction cases.
04-ch04.indd 97 04/01/18 3:19 PM

HowTo_Generic / Blockchain: A Practical Guide to Developing Business, Law, and Technology Solutions / Bambara / 587-9 / Chapter 4
98
Blockchain
This time the judgment will be final with no appeal process. The judges of the previous round
will be rewarded or penalized according to the ruling of the supreme court. If the supreme
court agrees with the previous round’s judges, the judges from that round will be rewarded.
The judges of that round are penalized for a call that was overturned. The Aragon Network
Jurisdiction purports to provide the tools needed to solve all issues that are not accounted for
in the smart contract code. It creates an incentive for Aragon organizations to join and take
Individual opens a case against
a defendant and posts a bond
Decentralized Court
of Aragon Network Jurisdiction
Defendant DAO
Applicant accepts the
outcome from the court
Applicant doesn’t accept the
outcome from the court
The same process as above repeats, judges vote, applicant
can choose whether to elevate, etc.
The same process as above repeats, judges vote, etc., but
this decision will be final
Supreme Court
of Aragon Network Jurisdiction
Top nine judges of ANJ
Defendant DAO
Defendant DAO
++
++
Judges review the rules and materials
provided to them
Five judges are
randomly selected
++
Applicant posts a bigger
bond to elevate the case
Prediction Market Court
of Aragon Network Jurisdiction
All Aragon Network
Jurisdiction Judges
FIGURE 4-6
Aragon arbitration mechanism
04-ch04.indd 98 04/01/18 3:19 PM
HowTo_Generic / Blockchain: A Practical Guide to Developing Business, Law, and Technology Solutions / Bambara / 587-9 / Chapter 4
Chapter 4 Legal and Governance Use Cases
99
part in the network. All parties that want to interact with an organization are guaranteed that,
in the case of a breach of trust not covered by the contract, their issue will be resolved. Also, if
a bug is discovered that threatens the organization’s existence, it can be stopped by opening an
arbitration that freezes all activity until the issue is resolved.
DAO Service-Level Liability
An important aspect of DAO adoption is the willingness of vendors (like Aragon) to commit
to performance assurances and service-level metrics. This will depend on considerations such
as the vendor risk/reward profile, the service delivery model, and the “multiplication factor”
of accepting significant liability for multiple customers at the same time. This is likely to mean
vendors preferring to offer the technology and service on an almost “as is” basis, with a limited
availability service level, and excluding warranties regarding performance of the services,
leaving customers without any assurance that the technology will function as described or the
service be reliable and available. For users who are utilizing the service as part of their business,
this is unlikely to be an acceptable proposal. The balance of performance risk will therefore be
a key issue.
DAO Liability for Contract Breach
The risk to customers of a systemic issue with trading related infrastructure such as blockchain
could be material if trades are not settled or are settled incorrectly. Likewise, the risk relating
to security and confidentiality will be toward the top of the risk issues for any prospective
customer. Blockchain poses different risks because of the technology and manner of
operations: one of the main issues affecting public blockchain is the inability to control and
stop its functioning. In case of a private blockchain, the lack of control on the functioning of
the platform does not apply, but whether this would be sufficient to trigger a liability of the
company managing the platform has not yet been tested. So the allocation and attribution of
risk and liability in relation to a malfunctioning blockchain service must be thought through
carefully, not just at the vendor/customer level but between all relevant participants, in
particular the parties affected by the issues.
DAO and Intellectual Property
There is value in the blockchain. The ownership of the intellectual property (IP) will form an
important consideration. Given the amount of investment and the potential financial returns of
blockchain technology, vendors will have to determine their IP strategy. Vendors will likely want
to capitalize on any other commercial benefits to be generated from the blockchain, including
commercialization of the underlying dataset. To the extent the dataset relates to the users, this
will be a carefully negotiated area. Likewise, what of specific developments or solutions that
overlay the core, developed to meet a customer’s specific requirements? Possible IP options are
no different from any other software development agreement and are likely to hinge on whether
those specific requirements could give a customer a competitive edge and/or can be used by the
blockchain vendor with another customer or by the customer with another blockchain vendor.
Depending on the answer to these questions, a customer may insist on ownership of such
developments or may only be willing to license them for the term of the agreement. A customer
04-ch04.indd 99 04/01/18 3:19 PM
HowTo_Generic / Blockchain: A Practical Guide to Developing Business, Law, and Technology Solutions / Bambara / 587-9 / Chapter 4
100
Blockchain
might restrict the vendor’s ability to use such developments in some way based upon time, use,
recipient, or a combination of all three. An “open innovation” approach is prevalent throughout
fintech. Financial organizations are working toward a viable blockchain proof of concept and are
developing a lot of code in-house. Traditionally, financial organizations have expected to own
the IP in any software they develop. However, there appears to be a realization that technology
will have to be shared in order for real value to be gained.
DAO and Who or What Is Responsible
DAOs are essentially online, digital entities that operate through the implementation of
precoded rules. These entities often need minimal to zero input into their operation, and
they are used to executing smart contracts and recording activity on the blockchain.
Modern legal systems are designed to allow organizations, as well as actual people, to
participate. Most legal systems do this by giving organizations some of the legal powers that
real people have—the power to enter into legal contracts, to sue, and to be sued. But what legal
status will attach to a DAO? Are they simple corporations, partnerships, legal entities, legal
contracts, or something else? Since the DAOs “management” is conducted automatically, legal
systems would have to decide who is responsible if laws are broken. What, if any, is the liability
of DAOs and their creators? Who or what is claimed against in the case of a legal dispute?
Courts and regulators are unlikely to allow the wholesale adoption of technology that bypasses
established oversight.
DAO Compliance with Financial Services Regulation
Many sourcing arrangements, including the use of certain technology solutions, require
regulated entities to include in the relevant contracts a series of provisions enabling them to
exert control, and seek to achieve operational continuity in relation to the services to which
the contracts relate. With blockchain (as has been the case with cloud and certain fintech
agreements) this may well be more of a challenge.
The DAO and Exiting a Contract
The need for exit assistance will be determined in large part by the specific solution and the
extent to which the blockchain vendor holds the customer’s data. If the customer does not
have its own copy of the data, it will require data migration assistance to ensure the vendor is
obliged to hand over all such data on expiry or termination of the agreement and a complete
record of all transactions stored on the blockchain.
DAO Data as Property
In common law, as a general principle, there is no property right in information itself. But
while individual items of information do not attract property rights, compilations of data
may be protected by intellectual property rights. When a database of personal information
is sold, if a buyer wants to use the personal information for a new purpose, to comply with
data protection legislation (such as the EU’s GDPR) they will have to get consent from the
individuals concerned.
04-ch04.indd 100 04/01/18 3:19 PM
HowTo_Generic / Blockchain: A Practical Guide to Developing Business, Law, and Technology Solutions / Bambara / 587-9 / Chapter 4
Chapter 4 Legal and Governance Use Cases
101
DAO and Due Diligence
Public companies and private investors have already begun to make significant capital
investments in blockchain technology startups. This trend is likely to accelerate as commercial
deployments of blockchain technology become a reality. Transactional lawyers who are
tasked with performing due diligence on the buy and/or sell side of these investments need to
understand blockchain technology and the emerging business models based on the technology.
Traditional due diligence approaches may need to be adapted. For example, there will be
unique issues concerning ownership of data residing on decentralized ledgers and intellectual
property ownership of blockchain-as-a-service offerings operating on open-source blockchain
technology platforms. These issues will need to be considered in the context of the business
value proposition and competitive barriers to entry.
Summary
By now we see that smart contracts may be the most transformative current blockchain
component. To that end, Marco Iansiti and Karim Lakhani of Harvard Business School offered
some revealing insights for business and lawyers in “The Truth About Blockchain,” in the
Harvard Business Review, January–February 2017. In their view:
“The implications are fascinating. . . . If contracts are automated, then what will happen
to traditional firm structures, processes, and intermediaries like lawyers and accountants?
. . . Their roles would all radically change. . . . [W]e are decades away from the widespread
adoption of smart contracts. . . . A tremendous degree of coordination and clarity on how
smart contracts are designed, verified, implemented, and enforced will be required. We
believe the institutions responsible for those daunting tasks will take a long time to evolve.
And the technology challenges—especially security—are daunting. . . . [L]aw firms will
have to change to make smart contracts viable. They’ll need to develop new expertise in
software and blockchain programming.”
In summary, blockchain, the distributed database technology with the capability to
execute smart contracts, is more than a platform for cryptography. The universe of use
cases, which we briefly covered, is expanding exponentially. As this technology continues
generating new possibilities for the way we interact and exchange information, it brings forth
challenging and complex legal issues and pushes the boundaries of existing laws. Our laws
will have to adapt to blockchain technology, just as they adapted to the Internet, medical
technology, e-discovery, and social media. There is a huge change before us as lawyers and as
developers. We need to embrace it and be part of its evolution.
04-ch04.indd 101 04/01/18 3:19 PM
HowTo_Generic / Blockchain: A Practical Guide to Developing Business, Law, and Technology Solutions / Bambara / 587-9 / Chapter 4 / blind folio: 102
04-ch04.indd 102 04/01/18 3:19 PM
This page intentionally left blank
103
HowTo_Generic / Blockchain: A Practical Guide to Developing Business, Law, and Technology Solutions / Bambara / 587-9 / Chapter 5
5 Technology on Ethereum
T
he simplest way to describe Bitcoin is to say that it is cryptocurrency or digital money.
Bitcoin was released in January 2009, so for approximately nine years it has been used
to transfer money in a peer-to-peer blockchain network. There is no central or world bank
entity that controls the flow or functionality of Bitcoin; it is a decentralized digital currency.
When compared to Bitcoin, Ethereum differs mainly in that it adds the functionality of the
smart contract to its base cryptocurrency, known as ether. What does smart contract mean?
Well, think of it as digital money that has logic associated with it. A smart contract can be
set up to transfer value from one entity or account to another, and to do this if—and only
if—certain conditions are met. Here’s an example. Suppose you want to purchase a piece of
real estate from someone. For those of you who have had the privilege of doing this, you know
that there are almost too many third parties involved in the purchase, including real estate
agents and brokers, lawyers, title searchers, home inspectors, surveyors, mortgage banks, and
escrow agents. These external parties are what typically make the process incredibly slow and,
of course, add cost. An Ethereum solution would have logic (or code) that could automatically
transfer the ownership (title) from seller to buyer and the funds from buyer to seller after
a deal is agreed upon in a far simpler way without needing as many third parties involved.
See Table 5-1 for more Ethereum to Bitcoin comparison items.
Ethereum was created to serve as a platform for building blockchain-based, or decentralized,
applications. It is developed by the Ethereum Foundation, a Swiss nonprofit, with contributions
from great minds around the globe. Ethereum is well positioned for applications that need to be
built quickly and that interact efficiently and securely in a blockchain ecosystem.
Ethereum uses blockchain technology, which is a transaction record that is independently
verified by others and held on a distributed ledger. The same technology underpins Bitcoin.
However, the Bitcoin blockchain is predominantly designed to do one thing: facilitate Bitcoin
transactions. Ethereum, on the other hand, is designed to act as a programmable infrastructure.
This means that Ethereum is a more adaptable and flexible development platform.
The Ethereum platform is often referred to as a Turing-complete virtual machine built
upon the foundational functionality of blockchain. Ethereum allows one to construct smart
contracts and applications with their own arbitrary rules for ownership, transaction formats,
and state transition logic. A bare-bones version of a value application can be written in two
05-ch05.indd 103 04/01/18 3:20 PM

HowTo_Generic / Blockchain: A Practical Guide to Developing Business, Law, and Technology Solutions / Bambara / 587-9 / Chapter 5
104
Blockchain
lines of code, and other protocols such as currencies and reputation systems can be built in
under twenty.
Ethereum has its own token, called ether, which provides the primary form of liquidity
allowing for exchange of value across the network. Ether also provides the mechanism for
paying and earning transaction fees that arise from supporting and using the network. Ether
has been the subject of speculation, and, as with Bitcoin, the price of ether has seen wide
fluctuations. In the past two years, the price per ether ranged from US$10 to over US$400.
It’s now back to around US$300, but it has shown classic speculative characteristics. It is
worth noting that ether is the financial incentive that pushes and fosters decentralization
(and attracting miners), which makes the platform more secure.
Ethereum contains smart contracts. A smart contract is simply any agreement that
can execute certain functions without human intervention. A smart contract in Ethereum
is a cryptographically secured box containing logic and value. The logic has specific
conditions that have to be met in order to release the value. It is the addition of logic and
state that makes Ethereum a more powerful platform than what is available with other
cryptocurrencies, including Bitcoin (and its scripting functionality). An example of a smart
contract for insurance could automatically pay out to the insured entity based on a data feed
showing that a payable event had occurred.
Smart contracts enable decentralized applications (dapps). Centralized applications
are really centralized services. For example, when we interact with a third-party app on our
smartphone, the app will communicate with centralized servers and services. A dapp can look
exactly the same in terms of the user interface, but the backend services are replaced with
smart contracts that run on the decentralized Ethereum network.
Ethereum also has decentralized autonomous organizations (DAOs). A DAO is a new
form of entity or organization that can, for example, replace articles of incorporation and
shareholder agreements with smart contracts.
Dapps and DAOs can also have their own digital tokens that serve a variety of functionality
by acting as an internal currency. The development of dapps and DAOs is now being funded by
selling these digital tokens in what is known as a token sale or an initial coin offering (ICO).
TABLE 5-1
Comparison of Ethereum to Bitcoin (Source: bitinfocharts.com)
Comparison Ethereum Bitcoin
Created 2015 2009
Market cap Over $27 billion Over $64 billion
Supply 94,832,363 16,588,550
Blockchain Proof-of-work Proof-of-work
Mining GPU ASIC
Initial distribution ICO Mining
Avg. blocktime 12 seconds 10 minutes
Avg. transaction fee 0.149 USD 3.18 USD
05-ch05.indd 104 04/01/18 3:20 PM
HowTo_Generic / Blockchain: A Practical Guide to Developing Business, Law, and Technology Solutions / Bambara / 587-9 / Chapter 5
Chapter 5 Technology on Ethereum
105
Ethereum Accounts
Within Ethereum, the current state is made up of objects that are commonly called accounts. The
internal fuel on Ethereum is ether, and it is used to pay transaction fees (more on this later in the
chapter). Ethereum can be viewed as a transaction-based state machine, starting with the genesis
state and incrementally executing transactions that morph the state into a final state. The final
state is what is considered the canonical “version” of the world of Ethereum. The state includes
anything that can currently be represented by a computer, such as account balances, reputations,
trust arrangements, and data representing information in the physical world. Transactions
therefore represent a valid transition between two states. Each account within Ethereum has a
20-byte address (or identity) and the object is made up of four attributes or fields, which are:
•
Nonce Counter that is used to ensure each and every transaction can be processed once
and once only
•
Ether balance The account’s current value
•
Contract code An optional container for logic
•
Storage Empty by default
There are two types of accounts, externally owned accounts (EOAs) and contract accounts.
EOAs, also known as normal accounts, have an ether balance, contain no logic, and are
controlled by private keys. Contract accounts also have an ether balance but are controlled by
their accompanying contract code (logic). All action on the Ethereum platform is set in motion
by transactions fired from externally owned (normal) accounts.An externally owned account
sends messages by creating, signing, and submitting a transaction. When a contract account
receives a message, its code activates and executes as instructed by the input parameters of the
transaction. The code (or logic) can read and write to the internal storage and send additional
messages or create contracts. The use of the term contract in Ethereum should not be confused
with its typical everyday use such as needing fulfillment, completion, or compliance per se. It is
used to indicate logic bound inside the Ethereum execution environment that is executed in a
defined way (by contract) when “poked” by a message or transaction (more on transactions later
in this chapter), and that controls its internal state (variables), which includes its ether value.
Ether the Cryptocurrency
Ether (ETH) is the name of the cryptocurrency that fuels the distributed application Ethereum
platform. It is used as the form of payment made by the clients of the network to the actual
machines that execute the requested tasks. As we mentioned earlier, ether is the financial
incentive that pushes and fosters decentralization and therefore attracts miners. Additional
miners make the platform more secure and viable. Ether is also the incentive ensuring that
quality applications are created, because inefficient code will usually cost more, and that the
network remains highly available and functional, because owners are compensated for their
contributed resources (computing power and storage).
As with a fiat currency, ether comes in size denominations that have their own name,
shown in Table 5-2.
In short, ether has two purposes: it is used to pay the fees associated with a transaction,
and it provides the Ethereum platform with the liquidity to exchange value between the types
of digital assets housed on the platform.
05-ch05.indd 105 04/01/18 3:20 PM

HowTo_Generic / Blockchain: A Practical Guide to Developing Business, Law, and Technology Solutions / Bambara / 587-9 / Chapter 5
106
Blockchain
Genesis Block
Ether (ETH) was first issued in order to get the Ethereum project and platform launched and
off the ground. The launch of the platform used the crowdfunding approach and took bitcoin
in exchange for ether. The fundraising started in mid-2014 and approximately 60 million
(actually 60,102,216 ETH) ether units were issued at the price of 1,000–2,000 ether per bitcoin
(BTC). Of the total amount sold, 9.9 percent were allocated to the organization to compensate
early contributors and pay ETH-denominated expenses before the genesis block on July 30,
2015. Another 9.9 percent of the total amount sold will be maintained as a long-term reserve.
This means that the total amount released prior to the launch was close to 72 million. The
bitcoin received from the sale was used to pay salaries/bounties to developers and invested into
various for-profit and nonprofit projects in the blockchain ecosystem.
Post-Genesis Block
Once the Ethereum platform was launched, the way to issue ether was defined and set in order
to secure the future success and health of the platform. It was defined that the ether units to be
released per year will be 26 percent of the initial 60 million raised during the fundraising phase.
Ether is issued at a rate of 5 ETH per block on a blocktime target of 12 seconds. This means
that the amount of ether released per year will be a constant 15.6 million ether units, and so by
July 2020 around 52 percent of the total currency issued will have been mined. See Figure 5-1
for a depiction of the issuance model (at launch) at per year for the first five years.
The issuance model for ether is similar to bitcoin, where the inflation is front loaded
into the first few years and deflation occurs down the road. The big difference is that bitcoin
is capped and no further issuance will occur. This may not matter as much given the Bitcoin
Cash (BCC) spinoff, but with ether there will continue to be an issuance of 15.6 million units
each and every year, which is marginal but nonetheless an increase in the fuel supply.
Obtaining Ether
There are multiple options to obtain ether, the fuel that drives transactions in Ethereum.
You can
1.
Buy it
2. Mine it
3. Accept it as payment
TABLE 5-2
Ether Denominations
Name Unit Typical Usage
wei 1Transaction fees
szabo 10
12
Transaction fees and protocol implementation
finney 10
15
Microtransactions
ether 10
18
Regular transactions
05-ch05.indd 106 04/01/18 3:20 PM

HowTo_Generic / Blockchain: A Practical Guide to Developing Business, Law, and Technology Solutions / Bambara / 587-9 / Chapter 5
Chapter 5 Technology on Ethereum
107
In terms of mining, this can be done within a private environment or on the public test network
(testnet). This is simple enough, but to mine within the production live environment (mainnet)
requires significant dedicated GPU time and horsepower set up locally and connected to the
Internet or to similarly powerful infrastructure available in the cloud (e.g., AWS, GCP, Azure,
etc.). To purchase ether you will need to get it via an exchange. As different regions have
different exchanges, you will need to perform a search in order to find the latest and greatest
information on the best exchange for you.
Mining in Ethereum
The Ethereum blockchain is similar to the blockchain for Bitcoin. The main differences are
in the design of the blocks. The Ethereum blocks contain a copy of both the transaction list
and the most recent state (see Figure 5-2). The Ethereum blocks also contain values for the
block number and the difficulty.
In its basic form, the Ethereum validation algorithm is as follows:
1.
Check the following:
•
Prior block reference exists and is valid.
•
Timestamp of the current block is later than the prior block referenced and also less
than 15 minutes later than the prior block timestamp.
FIGURE 5-2
Ethereum blockchain transaction list and state
Tx[0]
APPLY APPLYS[1] …
S[2] S[n]
PAY
BLOCK
REWARD
S_FINALAPPLY
Tx[1] Tx[n-1]
S[0]
FIGURE 5-1
Ether (ETH) issuance model
Description Launch Year 1Year 2Year 3Year 4
Crowdfunded/Issued (%)119.8% 145.8%171.8% 197.8% 223.8%
Currency Issued 71,880,000 87,480,000 103,080,000 118,680,000 134,280,000
Early Contributor Holding (%) 8.264% 6.790% 5.763% 5.005% 4.424%
Reserve Holding (%) 8.264% 6.790% 5.763% 5.005% 4.424%
Miners (%) 0.00 18% 30%39% 46%
Issuance Agreement Ether (ETH)
Crowdfunded60,000,000
Early Contributors/Expenses
(9.9%) 5,940,000
Reserve (9.9%) 5,940,000
Annual Increment (26%)15,600,000
Year 5
249.8%
149,880,000
3.963%
3.963%
52%
05-ch05.indd 107 04/01/18 3:20 PM
HowTo_Generic / Blockchain: A Practical Guide to Developing Business, Law, and Technology Solutions / Bambara / 587-9 / Chapter 5
108
Blockchain
•
The block number, difficulty, transaction root, uncle root, and gas limit are valid.
•
The proof-of-work on the block is valid.
•
If any of the above is not true, then return an error.
2. Set the zero-index state (i.e., S[0])equal to the state at the end of the previously
referenced block.
3. SetTX list equal to the block’s list ofntransactions. Loop through the transaction list
and apply the transaction to the appropriate state, i.e., for alliin0...n-1, setS[i+1] =
APPLY(S[i],TX[i]). If any call to APPLY returns an error, or if the total gas consumed in
the block up until this point exceeds theGASLIMIT, return an error.
4. SetS_FINALequal toS[n], but adding the block reward paid to the miner.
5. Verify that the Merkle tree root of the stateS_FINALis equal to the final state root
provided in the block header. If it is, the block is valid; otherwise, it is not valid.
It is important to note that while it looks like the entire state is stored with each block—
an inefficient use of storage—this isn’t so in reality. The states are stored in a tree structure,
and after every block only a minority of the tree needs to be changed. Typically between
two adjacent blocks the majority of the tree will be the same, and an optimization opportunity
and technique is utilized. The data can be stored once and referenced twice using pointers
(i.e., hashes of subtrees). This concept and approach with a tree is known as a Patricia tree.
This combined with a modified Merkle tree allows for nodes to be inserted, deleted, and
changed very efficiently. On the storage front, because all of the state information is part of
the last block, there is no need to store the entire blockchain history, which results in a 5–20x
savings in space when compared to the approach that Bitcoin uses.
A frequently asked question is where or when the code contained in a contract gets
executed. The answer is that the execution of contract code is part of the definition of the state
transition function (see later in this chapter), which is part of the block validation algorithm.
Therefore when a transaction is added into a block, the code execution spawned by that very
transaction will be executed by all nodes when they download and validate that same block.
GHOST Implementation
The Greedy Heaviest Observed SubTree (or GHOST) protocol was introduced in 2013 to
blockchain platforms to combat the way that quick-blocktime blockchains, like Ethereum,
suffer from a high frequency of stale blocks. Stale blocks are those that were propagated to
the network and verified by some nodes as being correct but are eventually discarded because
later, chronologically speaking, blocks get mined and propagated before the earlier ones do.
The GHOST protocol also combats the issue known as centralization bias—an example of
which is, if miner X is a mining pool with 35 percent hash power and miner Y has 15 percent
hash power, miner X will have a risk of producing a stale block 65 percent of the time and miner
Y will have a risk of producing a stale block 85 percent of the time. So, if the block interval
is short enough for the stale rate to be high, miner X will be substantially more efficient
than miner Y simply by virtue of their pool size. In other words, the larger the pool and the
smaller the block interval, the more often they are going to get a head start on other miners by
producing the block themselves and then immediately starting the race for the next block.
With these two effects combined, blockchains producing blocks very quickly are highly
likely to lead to a consolidated mining pool with a large enough percentage of the network hash
05-ch05.indd 108 04/01/18 3:20 PM
HowTo_Generic / Blockchain: A Practical Guide to Developing Business, Law, and Technology Solutions / Bambara / 587-9 / Chapter 5
Chapter 5 Technology on Ethereum
109
power to take over the mining process. In Bitcoin, the probability of finding a block at the same
time is more likely because the blocktime is 10 minutes and propagating a block to 50 percent
of the network takes approximately 12 seconds. But in Ethereum, which has a much shorter
blocktime (the target being 12 seconds), there is a need to reduce the incentive for pooled
mining. This is where GHOST comes in.
GHOST solves the first issue of network security loss by including stale blocks in the
calculation of which chain is the “longest.” So the longest chain does not just take into account
the parent and further ancestors of a block, but also the stale descendants of the block’s
ancestors (“uncles”) are added to the calculation of which block has the largest total proof-of-
work backing it.
GHOST solves the second issue of centralization bias by providing block rewards to stales.
In Ethereum a stale block receives 87.5 percent of its base reward, and the nephew (child of
the uncle) that includes the stale block receives the remaining 12.5 percent. Transaction fees,
however, are not awarded to uncles.
The Ethereum version of GHOST is a simplified version that only goes down (or back)
seven levels of the block chain.
•
A block must specify a parent and its number of uncles (zero or more).
•
An uncle included in a block must have the following properties:
•
It must be a direct child of the new block and less than seven blocks below it in terms
of height.
•
It cannot be the direct ancestor of the block being formed.
•
It must be a valid block header; it does not have to be a pre-verified or even a valid block.
•
It must be different from all uncles included in previous blocks and all other uncles
included in the same block (non-double-inclusion).
•
For every uncle included in the block, the miner gets an additional 3.125 percent and the
miner of the uncle receives 93.75 percent of a standard block reward.
This restricted version of GHOST (uncles includable only back seven generations) is used
in Ethereum for two reasons. First, having an unlimited number of levels would include too
many complications into the calculation of which uncles for a given block are valid. Second,
unlimited levels with compensation removes the incentive for a miner to mine on the main
chain as opposed to the chain of a malicious actor.
How Fees Protect
Every transaction that is published to the blockchain needs to be downloaded and verified
by the network nodes. This feature (or burden) needs to be regulated in some way to prevent
waste and abuse. In Bitcoin, the default approach is to have voluntary fees, where the miners
set minimum fees and act as the gatekeepers. This market-driven approach uses the supply
of miners and demand of transaction senders to make a market for the fee. But the issue here
is that transaction processing on a blockchain is not a true market because it is not as simple
as a single miner providing a transaction-processing service to a single sender. In actuality,
every transaction that the miner includes in a validated and committed block needs to be
processed by every node in the blockchain network. This means that the majority of the cost
of processing a transaction is spread to the whole network, while it is the miner that makes the
decision to include it or not that gets the reward.
05-ch05.indd 109 04/01/18 3:20 PM
HowTo_Generic / Blockchain: A Practical Guide to Developing Business, Law, and Technology Solutions / Bambara / 587-9 / Chapter 5
110
Blockchain
Mining Issues
The mining algorithm in the Bitcoin network has the verifying nodes (miners) compute
a SHA256 calculation on slightly modified versions of the block header. Simultaneously
repeating this calculation millions of times over and over again, eventually one miner comes up
with a version whose hash is less than the target. This presents a vulnerability to two forms of
centralization. Let’s examine this further.
Centralization
The first issue is that the hardware that the miners used became dominated
by ASICs (application-specific integrated circuits). These are computer chips designed to
be much more efficient at Bitcoin mining. By definition this stopped making mining a level
playing field and meant that it became necessary to invest higher amounts in order to buy
these specialized chips in order to compete. The second issue is that most Bitcoin miners do
not actually perform block validation locally; they use a centralized mining pool to provide
them with the block headers. The word “centralized” in the mining pool name should give it
away, but in any case there is potentially a much worse problem than the specialized chip issue.
The top three mining pools are all in China, and they indirectly control roughly 50 percent of
processing power in the Bitcoin network. The miners still have the ability to switch mining
pools, and this does present a mitigation strategy in the event of collusion when a pool or
coalition attempts a 51 percent attack.
Ethereum Handles Centralization
Ethereum is set up to use an algorithm where miners are
required to fetch random data from the state, compute some randomly selected transactions
from the prior N blocks in the blockchain, and return the hash of the result. This has a couple
of benefits. First, smart contracts can include any kind of computation, so an Ethereum ASIC
would essentially be a CPU for general computation, or GPU. Second, mining in Ethereum
requires access to the entire blockchain, forcing miners to store the entire blockchain and at
least be capable of verifying every transaction. This more importantly removes the need for
centralized mining pools and the risk and issue of centralization.
Ethereum Work
Ethereum has essentially one way for work to begin and that is via a transaction. A transaction
in Ethereum is a cryptographically signed data packet that contains a message sent from an
externally owned account. Let’s take a closer look at the transaction and message objects.
Transactions
There are essentially three types of transactions that can be found on Ethereum:
•
A transfer of value from one entity to another
•
The creation of a smart contract
•
The invocation of a smart contract
A transaction is made up of attributes, or fields, which are:
•
From A signed address for the sending account. It is signed in order to prove that the
sender intended to send the transaction to the recipient.
05-ch05.indd 110 04/01/18 3:20 PM
HowTo_Generic / Blockchain: A Practical Guide to Developing Business, Law, and Technology Solutions / Bambara / 587-9 / Chapter 5
Chapter 5 Technology on Ethereum
111
•
To The destination address of the transaction, this is left undefined for a transaction that
creates a contract.
•
Value The amount of value to be transferred (always expressed in wei). For a transaction
that creates a contract this field will typically hold the endowment.
•
Gas This is sometimes referred to as the Start Gas field. It is the amount of fuel to use
for the transaction and represents the maximum number of computational steps for the
transaction. Any unused fuel will be refunded to the sender. See more on this field below.
•
Gas Price The price of gas for this transaction (specified in wei—more on this later
in the chapter). This defaults to the mean network fuel price and represents the fee the
sender pays per computational step. See more on this field below.
•
Data This can be omitted or defined as a byte string containing data for the message.
For a transaction that creates a contract, this may contain the initialization logic.
•
Nonce This can be used to overwrite pending transactions that use the same nonce.
As you can see, the first three fields are those that are needed for any financial transaction that
transfers value. The Data field has many purposes depending on the type of transaction—as
we’ve already mentioned this can be initialization logic or data. It all depends on what is
needed to fulfill the transaction.
Network Fuel (Gas)
In order to process transactions there needs to be sufficient fuel (ether) in the account from
which the transactions are being sent. Ether is needed to pay the execution cost for the
Ethereum client that performs the transaction work on behalf of the sender, committing the
result to the Ethereum blockchain.
Interestingly, it is the Gas and Gas Price attributes on the transaction that are key
components to the denial-of-service (DoS) prevention design built into the Ethereum
network. To combat infinite loops or computational waste (whether intentional or not),
each transaction is required to specify a limit to the number of computational steps a
transaction can take to complete. The unit of computation in Ethereum is known as gas,
and each operation in Ethereum has an associated gas cost that depends on how intensive
it is from a computing power perspective (see Table 5-3 for the gas cost associated with the
majority of Ethereum’s opcodes/instructions).
Some operations cost higher amounts of gas simply because they are computationally
resource intensive. In addition to compute power fee, there is also a fee of 5 gas for every byte
in the transaction data. As we’ve stated earlier, the intent of the fee structure in this model is
to ensure that senders pay proportionately for every resource consumed, be it computation,
bandwidth, and/or storage. So it stands to reason that resource-intensive contracts and
messages must have an appropriately proportionate gas fee.
Messages
An Ethereum contract has the ability to send a message to another contract (it can do this
multiple times). A transaction initiated by an externally owned account can contain values in
the Data field that will go into a message. Within Ethereum a message is a virtual object that is
05-ch05.indd 111 04/01/18 3:20 PM

HowTo_Generic / Blockchain: A Practical Guide to Developing Business, Law, and Technology Solutions / Bambara / 587-9 / Chapter 5
112
Blockchain
Opcode (Instruction) Gas
ADD 3
ADDMOD 8
ADDRESS 2
AND 3
BALANCE 20
BLOCKHASH 20
BYTE 3
CALLDATACOPYBASE 3
CALLDATALOAD 3
CALLDATASIZE 2
CALLER 2
CALLVALUE 2
CODESIZE 2
COINBASE 2
CREATE 32,000
CREATEDATA 200
DIFFICULTY 2
DIV 5
DUP 3
ECRECOVER 3,000
EQ 3
EXPBASE 10
EXPBYTE 10
EXTCODECOPYBASE 20
EXTCODESIZE 20
GAS 2
GASLIMIT 2
GASPRICE 2
GCALL 40
GCALLNEWACCOUNT 25,000
GCALLSTIPEND 2,300
GCALLVALUETRANSFER 9,000
GCOPYWORD 3
TABLE 5-3
Ethereum Opcode (Instruction) Cost (Continued)
05-ch05.indd 112 04/01/18 3:20 PM

HowTo_Generic / Blockchain: A Practical Guide to Developing Business, Law, and Technology Solutions / Bambara / 587-9 / Chapter 5
Chapter 5 Technology on Ethereum
113
Opcode (Instruction) Gas
GLOG 375
GLOGDATA 8
GLOGTOPIC 375
GSUICIDEREFUND 24,000 refundable
GT 3
GTX 21,000
GTXDATANONZERO 67.75945113
GTXDATAZERO 4.234965696
IDENTITYBASE 15
IDENTITYWORD 3
ISZERO 3
JUMP 8
JUMPDEST 1
JUMPI 10
LT 3
MEMWORD 3
MLOAD 3
MOD 5
MSIZE 2
MSTORE 3
MSTORE8 3
MUL 5
MULMOD 8
NOT 3
NUMBER 2
OR 3
ORIGIN 2
PC 2
POP 2
PUSH 3
QUADCOEFFDIV 512 (divisor)
RETURN 0
RIPEMD160BASE 600
TABLE 5-3
Ethereum Opcode (Instruction) Cost (Continued)
05-ch05.indd 113 04/01/18 3:20 PM

HowTo_Generic / Blockchain: A Practical Guide to Developing Business, Law, and Technology Solutions / Bambara / 587-9 / Chapter 5
114
Blockchain
Opcode (Instruction) Gas
RIPEMD160WORD 120
SDIV 5
SGT 3
SHA256BASE 60
SHA256WORD 12
SHA3BASE 30
SHA3WORD 6
SIGNEXTEND 5
SLOAD 200
SLT 3
SMOD 5
SSTORE (from zero to non-zero) 20,000
SSTORE (to zero or non-zero change) 5,000
STOP 0
STORAGEKILL 5,000, plus 15,000 refund
SUB 3
SUICIDE 0
SWAP 3
TIMESTAMP 2
XOR 3
TABLE 5-3
Ethereum Opcode (Instruction) Cost
never serialized per se and exists within the execution environment only. It is made up of the
following fields:
•
Sender The sender of the message (implicit)
•
Recipient The recipient of the message
•
Amount The amount of ether to transfer alongside the message
•
Data (optional) An optional data field
•
Start Gas Avalue
As you can see, essentially a message is very similar to a transaction. The difference is
that it is produced by a contract and not an external actor (although it can be caused by one).
When the code inside a contract executes and calls theCALLopcode function, it creates
and executes a message. Similar to a transaction, the message is sent to the recipient account
running its code. So you can see that contracts can interact with other contracts the same
way that external actors accounts can. An important thing to note is that the gas allowance
specified by a contract or transaction is the governing amount for the transaction and any
05-ch05.indd 114 04/01/18 3:20 PM
HowTo_Generic / Blockchain: A Practical Guide to Developing Business, Law, and Technology Solutions / Bambara / 587-9 / Chapter 5
Chapter 5 Technology on Ethereum
115
and all dependent executions. So, for example, if account A sends (commits) a transaction to
account B with 100 gas, B performs operations that consume 70 gas and then sends a message
to C. C then performs operations that consume 25 gas before returning. Then B can use
another 5 gas before running out of fuel (Out-of-Gas exception).
The Ethereum Block
The block in Ethereum is the collection of relevant pieces of information (known as the block
header), H, together with information corresponding to the comprised transactions, T, and
a set of other block headers, U, that are known to have a parent equal to the present block’s
parent’s parent (such blocks are known as ommers2).
Below are the fields that exist in the block header:
•
parentHash The Keccak 256-bit hash of the parent block’s header, in its entirety;
formally Hp.
•
ommersHash The Keccak 256-bit hash of the ommers list portion of this block;
formally Ho.
•
beneficiary The 160-bit address to which all fees collected from the successful mining
of this block are transferred; formally Hc.
•
stateRoot The Keccak 256-bit hash of the root node of the state trie (Merkle Patricia
Tree or radix tree), after all transactions are executed and finalizations applied; formally Hr.
•
transactionsRoot The Keccak 256-bit hash of the root node of the trie structure
populated with each transaction in the transactions list portion of the block; formally Ht.
•
receiptsRoot The Keccak 256-bit hash of the root node of the trie structure populated
with the receipts of each transaction in the transactions list portion of the block; formally He.
•
logsBloom The Bloom filter composed from indexable information (logger address
and log topics) contained in each log entry from the receipt of each transaction in the
transactions list; formally Hb.
•
difficulty A scalar value corresponding to the difficulty level of this block. This can be
calculated from the previous block’s difficulty level and the timestamp; formally Hd.
•
number A scalar value equal to the number of ancestor blocks. The genesis block has a
number of zero; formally Hi.
•
gasLimit A scalar value equal to the current limit of gas expenditure per block;
formally Hl.
•
gasUsed A scalar value equal to the total gas used in transactions in this block;
formally Hg.
•
timestamp A scalar value equal to the reasonable output of Unix’s time() at this block’s
inception; formally Hs.
•
extraData An arbitrary byte array containing data relevant to this block. This must be
32 bytes or fewer; formally Hx.
•
mixHash A 256-bit hash that proves, combined with the nonce, that a sufficient amount
of computation has been carried out on this block; formally Hm.
•
nonce A 64-bit hash that proves, combined with the mix-hash, that a sufficient amount
of computation has been carried out on this block; formally Hn.
The other two components in the block are simply a list of block headers (of the same format
as above) and a series of the transactions.
05-ch05.indd 115 04/01/18 3:20 PM

HowTo_Generic / Blockchain: A Practical Guide to Developing Business, Law, and Technology Solutions / Bambara / 587-9 / Chapter 5
116
Blockchain
State Transition Function (STF)
As with Bitcoin and other cryptocurrencies, the ledger of Ethereum is essentially the result of
a state transition function (STF), which takes the state of the network prior to a transaction
and, upon executing the transaction, produces a new state as the result. See Figure 5-3 for a
graphical depiction of Ethereum state transition function.
The specifics of the Ethereum STF (i.e., APPLY(S,TX) -> S') are as follows:
1.
Check the following, and if any are not true, then return an error:
•
Transaction is well-formed and has the correct number of values.
•
Signature is valid.
•
Nonce matches the nonce in the sender’s account.
•
If any of the above is not true, return an error.
2. Calculate the fee for the transaction as Start Gas * Gas Price, and derive the sender’s
account address from the signature. Subtract the calculated transaction fee from the
sender’s account balance and increment the sender’s nonce. In the event that there is
an insufficient amount in the sender’s account, return an error.
3. Initially set Gas equal to Start Gas, and take off a certain quantity of gas per byte to pay
for the bytes in the transaction (this is the storage fee).
4. Transfer the transaction value from the sender’s account to the receiving account. If
the receiving account does not yet exist, create it. If the receiving account is a contract,
run the contract’s code either to completion or until the execution runs out of gas
(Out-of-Gas exception).
5. If the value transfer failed because the sender did not have enough money, or the code
execution ran out of gas, revert all state changes except the payment of the fees, and
add the fees to the miner’s account. Otherwise, refund the fees for all remaining gas to
the sender, and send the fees paid for gas consumed to the miner.
FIGURE 5-3
Ethereum state transition function (STF)
From:
13b2e7cb
To:
ab72b761
Value:
100
Data:
2, KITTEN
Sig:
21343ecdca4c
e8768e1dca7b
State State'
13b2e7cb:
- 2064 eth
13b2e7cb:
- 1964 eth
ab72b761:
- 1877 eth
If !contract.storage[tx.data[0]]:
contract.storage[tx.data[0]] = tx.data[1]
[0, 125783, 0, WOLF…..
ab72b761:
- 1977 eth
If !contract.storage[tx.data[0]]:
contract.storage[tx.data[0]] = tx.data[1]
[0, 125783, KITTEN, WOLF…..
8128c257:
- 69 eth
Transaction
8128c257:
- 69 eth
05-ch05.indd 116 04/01/18 3:20 PM
HowTo_Generic / Blockchain: A Practical Guide to Developing Business, Law, and Technology Solutions / Bambara / 587-9 / Chapter 5
Chapter 5 Technology on Ethereum
117
Now let’s work through an example. Suppose that a contract’s storage starts off empty,
and a transaction is sent with 10 ether value, 4,000 gas, 0.001 ether gas price, and 32 bytes
of data, with bytes 0–15 representing the number4 and bytes 16–31 representing the string
“KITTEN-AND-WOLF”. The process for the state transition function in this particular example
is as follows:
1.
Check that the transaction is valid and well formed.
2. Check that the transaction sender has at least (4,000 * 0.001) 4 ether. If it does, then
subtract 4 ether from the sender’s account.
3. Initialize gas = 4,000; assuming the transaction is 120 bytes long and the byte fee is 5,
subtract 600 from the gas, and that will leave 3,400 gas remaining.
4. Subtract 10 more ether from the sender’s account, and add it to the contract’s account.
5. Run the code. e code checks if the contract’s storage at index4is used; if it is
available, it sets the valueto KITTEN-AND-WOLF. Imagine this takes 1,177 gas, so
the remaining amount of gas is 3,400 – 1,177 = 2,223.
6. Refund (2,223 * 0.001) 2.223 ether back to the sender’s account, and return the
resulting state.
If there was no contract at the receiving end of the transaction, then the total transaction
fee would simply be equal to the provided Gas Price multiplied by the length of the transaction
in bytes, and the data sent with the transaction would be irrelevant. It is important to note
that messages work the same way as transactions in terms of reverting—that is, if a message
execution runs out of gas, the message’s execution and all dependent executions triggered by
the execution will revert, but the parent executions do not need to. This makes it okay for a
contract to call another contract, so if X calls Y with F gas then X’s execution is guaranteed to
lose at most F gas. For the CREATE opcode,which is used to create a contract, its execution
process is similar tothe CALL opcode, except that the output of the execution determines the
code (logic) of a newly created contract.
Code Execution
The EVM code that is contained in Ethereum contracts is a low-level, stack-based bytecode
language. The code is a series of bytes that represent operations. Typically, code execution
inside the EVM is an infinite loop of carrying out the operation at the current program
counter (i.e., index beginning at zero) and incrementing this counter by 1 until one of three
things happens: end of code, an exception, a STOP or RETURN instruction is encountered.
While the operation is executing, it has access to four areas for reading and in most cases
storing of data:
•
Stack This utilizes the LIFO (last-in-first-out) principle. Data is pushed to the top of the
stack or data is popped from the top of the stack. This is reset when computation ends.
•
Memory This is an infinitely expandable byte array. This is reset when computation ends.
05-ch05.indd 117 04/01/18 3:20 PM
HowTo_Generic / Blockchain: A Practical Guide to Developing Business, Law, and Technology Solutions / Bambara / 587-9 / Chapter 5
118
Blockchain
•
Storage This is the contract’s key/value store. This persists when computation ends.
•
Other The executing code can read the value, sender, and data of the message. It can
also access the block header data and optionally return a byte array.
The EVM execution model is straightforward. While EVM is running, its complete
computational state can be defined by the following tuple (collection or row) of data:
block_state, transaction, message, code, memory, stack, pc, gas
whereblock_stateis the top-level or global state containing all accounts, including
balances and the storage. At the beginning of every step of execution, the current instruction
is found by taking thepc (Program Counter) byte ofcode(or 0 ifpc is set to a value greater
than the length of the code item), and each opcode (or instruction) has its own definition
in terms of how it operates on the tuple. For example,the ADDoperation pops two items off
the top of the stack, adds them together, and pushes their sum value to the top of the stack.
It then reducesgasby 3 and incrementspcby 1, andSSTORE(save word to storage) pops the
top two items off the top of the stack and inserts the second item into the contract’s storage at
the index specified by the first item. It then reducesgasby 20,000 and incrementspcby 1.
Turing Complete
The Ethereum virtual machine (EVM) is said to be Turing complete. What does that mean? It
means that the EVM code can encode any conceivable computation and this includes looping.
There are two ways that the EVM code can loop. The first way the EVM can loop is via two
direct instructions: JUMP, which allows the execution to jump back to a previous location in
the code, and JUMPI, which allows the execution to carry out conditional jumping (using if/
then/else or while statements). The second way the EVM can loop is through recursive calls.
For example, contract A can call contract B, which in turn calls contract A, and so on. This
presents a problem whereby a malicious actor on the network can effectively shut down nodes
and the network’s associated mining by deploying contracts that contain logic that executes
infinite loops. This issue is known in computer science as the halting problem, which is the
inability to determine whether the program will finish running or continue to run forever.
Ethereum deals with this issue using simple economics. When a transaction is committed to
the blockchain, it contains a field, Gas (or Start Gas), that specifies the maximum number of
computational steps that the transaction is allowed to take. Once this threshold is exceeded
the computation is reverted, but the fees are still paid to the miner. The same mechanism is in
place for messages. Let’s work through some malicious actor scenarios to see how the design of
the Ethereum platform handles them.
•
The malicious actor builds and deploys a contract that contains an infinite loop. They send
a transaction that activates the loop. The miner processes the transaction, which kicks
off the infinite loop. Even though it runs out of gas and stops before completing fully, the
transaction is still considered valid from the miner’s perspective, and they claim the fee
from the attacker for each computational step.
05-ch05.indd 118 04/01/18 3:20 PM
HowTo_Generic / Blockchain: A Practical Guide to Developing Business, Law, and Technology Solutions / Bambara / 587-9 / Chapter 5
Chapter 5 Technology on Ethereum
119
•
The malicious actor again tries to create a very long infinite loop forcing the miner to
keep computing for a long time. By the time computation finishes, more blocks will have
come out, and it will not be possible for the miner to include the transaction in the block
they are processing in order to claim the fee. This is where the Start Gas field, which
limits the number of computational steps an execution can take, will be need to be set
sufficiently and unusually high, giving the miner sufficient clues to the malicious intent of
the transaction and a chance to reject it.
•
The malicious actor reviews contract code that is something like:
send(A, contract.storage[A]); contract.storage[A] = 0;
The malicious actor sends a transaction with enough gas to run the first step only—in
other words, to withdraw an amount. But the part that sets the amount to zero does not
execute. The network (and specifically the contract author) does not need to be concerned
about handling and protecting against such assaults, because when the transaction runs
out of gas, the changes will be reverted. Note that the miner will still get paid the gas that
was used to process the first instruction, so the malicious actor still pays.
•
A contract is created and deployed to work in the following way. It references seven data
feeds and takes the average data value of the seven as a way to calculate a risk factor.
A malicious actor finds a way to compromise one of the seven data feeds and changes its
functionality so that it runs an infinite loop instead, the idea being to force any attempts to
calculate a risk factor from the contract to run out of gas. However, the Ethereum feature
of being able to set a gas limit on the message will prevent this scenario from causing a
problem. Note that the function that combines the seven values into an average will still
need to deal with one or more feeds from failing to respond and act appropriately.
In short, the halting problem and associated Turing completeness are surprisingly easy to
manage with the Ethereum design and architecture.
Scalability
There is a concern about the scalability of the Ethereum platform. After all, it is based on
blockchain, and the design is such that it has to replicate transactions and blocks to every
node in the network, so just how scalable can it be? Let’s recap on what scalability is. It’s the
capability of a system, network, or process to handle a growing amount of work, or its potential
to be enlarged to accommodate that growth. At the time of writing, the Bitcoin blockchain
size is around 159 GB and can grow by 1 MB approximately every 10 minutes. If the Bitcoin
network had to process one of the major credit card companies’ number of transactions it
would potentially grow by 1 MB every 3 seconds or approximately 1 GB per hour or 8 TB per
year. Each node would need to have some serious resource capabilities in order to process
that amount of data at the speed necessary to handle the requests. The Ethereum blockchain
size is 57 GB and would also suffer from the same growth pattern. It would be even more
complicated by the fact that Ethereum is an application platform containing applications and
code and not solely a cryptocurrency. Ethereum has some relief in that the full nodes only need
05-ch05.indd 119 04/01/18 3:20 PM
HowTo_Generic / Blockchain: A Practical Guide to Developing Business, Law, and Technology Solutions / Bambara / 587-9 / Chapter 5
120
Blockchain
to store the state and not the complete history. However, this relief is combined with a huge
increase in blockchain size, so you will start to see fewer and fewer full nodes and more and
more simplified payment verification (SPV) nodes, increasing the risk of centralization. The
risk is that the full nodes could collude and cheat the platform by adjusting the reward in their
favor. The SPV (or light) nodes would not detect the issue immediately. Aside from the spinoff
of Bitcoin Cash (BCC), there are a few suggestions on how to alleviate the future scaling issue
for Bitcoin. For the Ethereum platform, there are two strategies in place to help deal with
the issue of scaling. First, because of the mining algorithm every miner is forced to be a full
node. Second, after processing each transaction, an intermediate state tree root is saved to
the blockchain. In the event of a centralization event, as long as there is a single honest miner
on the network the issue can be addressed via a verification process. So if a malicious miner
publishes an invalid block, the verifying node would run the same computation and see that
the state generated does not match the state provided and reject the transaction.
The switch to Casper, a proof-of-stake (PoS) consensus algorithm, is also said to improve,
among other things, the scalability issues that are associated with the current proof-of-work
(PoW) consensus approach. In PoW-based blockchains, the consensus algorithm rewards
nodes that solve cryptographic puzzles. The winning miners validate transactions and create
new blocks. In PoS-based blockchains, a set of validators take turns proposing and voting
on the next block, and the weight of each validator’s vote depends on the size of their stake
(or deposit). This PoS approach is said to be advantageous over PoW in terms of security, a
reduced risk of centralization, and energy efficiency.
Infrastructure: Storage and Communication
At their core, all successful computer platforms need to calculate, persist, and communicate
data in the most efficient and secure manner. The Ethereum Virtual Machine (EVM) covers
the calculate (or compute) aspect, so let’s take a look at what is used for persistence and
communication.
•
Decentralized file storage (persistence) Swarm is peer-to-peer (p2p) file sharing that
is paid for with micropayments of ETH. Within Swarm, data files are broken down into
chunks, distributed, and stored across the network participating nodes. The applications
and smart contracts that need to store and retrieve data compensate the nodes that persist
and serve the data.
•
Communication Whisper is an encrypted messaging protocol allowing nodes to send
messages directly to each other while hiding the sender and receiver and the message from
third-party snoopers.
INFURA
INFURA is a scalable, standards-based, globally distributed cluster and API endpoint
for Ethereum, IPFS (InterPlanetary File System), and other emerging decentralization
infrastructures. Its mission is to provide secure, stable, robust, balanced, fault tolerant, and
easily scalable Ethereum and IPFS nodes. In essence, INFURA is a shared infrastructure layer
05-ch05.indd 120 04/01/18 3:20 PM

HowTo_Generic / Blockchain: A Practical Guide to Developing Business, Law, and Technology Solutions / Bambara / 587-9 / Chapter 5
Chapter 5 Technology on Ethereum
121
acting as a bridge to the blockchain. For Ethereum dapp developers, INFURA eliminates the
requirement to install, configure, and maintain Ethereum nodes. Specifically for IPFS, which
enables distributed storage, this can be accessed seamlessly without the hassle of managing the
infrastructure. Figure 5-4 shows the high-level architecture for INFURA.
Here are highlights of INFURA capabilities:
•
Exposes TLS (Transport Layer Security)-enabled endpoints to seamlessly access IPFS
from decentralized applications running software locally.
•
Presents TLS-enabled endpoints for Ethereum that support CORS (Cross-Origin Resource
Sharing) and provides capabilities that available in the JSON-RPC API (including web3 and
eth methods).
•
Broadcasts signed raw transactions to Ethereum blockchain.
•
Provides Ferryman, a reverse proxy that helps with caching, throttling, logging, scaling,
and reliability, and provides intelligent request routing to a number of specialized backend
clients such as EthereumH, Geth, Nethereum, Parity, Strato, or any other client that
performs certain operations in an optimized way.
•
Works on Ethereum Main Net (ETH), Ethereum Testnet (Morden), and the Ethereum
ConsenSysNet.
FIGURE 5-4
INFURA
INFURA Architecture
Boomerang
Ethereum InterPlanetary
File system
Dapps
Mainnet
Load Balancer
IPFS
Load Balancer
Testnet
Load Balancer
Ferryman
Service layer
SQL Redis
Geth
Testnet
Parity
Testnet
Geth
Mainnet
Parity
Mainnet
IPFS nodes
05-ch05.indd 121 04/01/18 3:20 PM
HowTo_Generic / Blockchain: A Practical Guide to Developing Business, Law, and Technology Solutions / Bambara / 587-9 / Chapter 5
122
Blockchain
Below are the steps necessary to start using INFURA:
1.
Sign up for an INFURA access token at https://infura.io/register.html. Though the
service is free, requests do need to be identified to the RPC provider endpoints.
2. Choose a network. is can be production or one of the many test networks.
3. Issue requests to INFURA. A list of available requests can be found at https://infura.io/
docs/#supported-json-rpc-methods. (Note that if you omit the access token, calls will
probably still work, but they are subject to more restrictive throttling and filtering of
available JSON-RPC API calls.)
4. Or you can use the REST(ish) API that is documented at http://docs.infura.apiary.io/.
Decentralized Applications
A decentralized application (dapp) is like any other modern web-architected application,
typically consisting of a user interface (UI) whose functionality is supported by backend
services (reading and writing to persistent storage, processing, complex logic). These backend
services typically make use of the Ethereum platform and in particular the smart contracts that
are deployed to it. See Figure 5-5 for an example dapp.
Profile of a Dapp
While it is still early days in the lifetime of Ethereum and the decentralized applications that
are built upon it, it is nonetheless becoming clear that applications that are popping up appear
to fit the following profile:
•
Decentralized The complete record of the operation must be stored on a public
blockchain that is designed to prevent pitfalls of centralization (see earlier in the chapter
for more on Ethereum’s approach to this).
•
Incentivized The validating miners of the blockchain are incentivized with rewards of
cryptographic tokens or value.
•
Open source Ideally, it should be governed by autonomy and all changes must be
decided by the consensus, or a majority, of its users. Its code base should be available
for scrutiny.
•
Protocol The application community must agree on a cryptographic algorithm to show
proof of value (either via proof-of-work or proof-of-stake, or a combination thereof).
In retrospect, the very first dapp was Bitcoin. We think of Bitcoin as a cryptocurrency
only, but it is a distributed ledger that provides the transfer of value without intermediaries or
governing authorities and satisfies all of the above profile entries.
There are now many examples of Ethereum-based dapps. If you navigate to the State
of the Dapps website (https://dapps.ethercasts.com/) you will see there are more than
700 dapps in various states of development. Some of the most successful in terms of market
cap are Augur (prediction market), Golem (distributed computation), and Melonport
(asset management portal).
05-ch05.indd 122 04/01/18 3:20 PM

HowTo_Generic / Blockchain: A Practical Guide to Developing Business, Law, and Technology Solutions / Bambara / 587-9 / Chapter 5
Chapter 5 Technology on Ethereum
123
Decentralized Autonomous Organizations
A decentralized autonomous organization (DAO) uses the same or similar thought processes
applied to Bitcoin where it did away with central governing middlemen, and extends that to the
corporate structure. The idea is that companies and other organizations can exist and operate
without hierarchical management. A DAO attempts to codify (put into code) the rules that a
company operates under. These rules include what projects are to be funded, how to accept
investment, how to pay back investors, and how to amend and extend the governing rules
(which most likely would be to fork the DAO code or make a new DAO and transfer value
from old to new). Figure 5-6 shows an example DAO topology. Basically, a DAO works the
same way as a typical company, but its rules are digitally encoded and automatically enforced
and executed.
The biggest issue with a DAO is that when something unforeseen is encountered, its
structure and current code base may not facilitate a fix or change to overcome or address the
situation. It is still something worthwhile to keep an eye on and even participate in, so the
kinks can be worked out and iterated on.
FIGURE 5-5
Ethereum dapp
Command Line
Terminal Web Browser
Nodejs Console
Web3js
Block 1 Block 2 Block 3
Blockchain (testrpc)
Deployed
Voting
Contract
Voting App
Block 4
HTML/CSS/Javascript
Web3js
RPCRPC
Ethereum Virtual Machine (EVM)
05-ch05.indd 123 04/01/18 3:20 PM

HowTo_Generic / Blockchain: A Practical Guide to Developing Business, Law, and Technology Solutions / Bambara / 587-9 / Chapter 5
124
Blockchain
Summary
With its state transition function, Ethereum provides an open-ended platform by design,
and is well suited to serve as a framework for financial and nonfinancial decentralized
applications. Regulation is still up in the air on this. How it may even apply to a global
decentralized platform is unclear. Current laws and regulations will catch up and apply to
these platforms. However, it is still important to work through any legal and regulatory
impacts of particular applications. Businesses operating in regulated industries should seek
guidance from their regulators before integrating critical, customer-facing, or data-handling
processes with platforms like Ethereum. Large strides have been made in the financial
services arena with private and consortium varieties of blockchain, and clearly this is an
indication that financial institutions are playing in and watching the space very closely.
FIGURE 5-6
Decentralized autonomous organization (DAO)
D
A
O
A
p
p
N
e
t
w
o
r
k
P
e
e
r
D
e
c
i
s
i
o
n
M
a
k
e
r
s
05-ch05.indd 124 04/01/18 3:20 PM
125
HowTo_Generic / Blockchain: A Practical Guide to Developing Business, Law, and Technology Solutions / Bambara / 587-9 / Chapter 6
6 Fast-Track Application Tutorial
W
henever new technology comes along, especially for us developers, the first thing we
want to learn is how to use the language to invoke its functionality and manipulate
its data types. We want to know how to develop, validate, and deploy the application. The
blockchain is no different. At the current time, the Bitcoin blockchain does not provide the
comprehensive functionality required by lots of applications where blockchain can be applied
and helpful. Ethereum, however, does provide a comprehensive functionality via its smart
contracts capability using Solidity. In this chapter, we will introduce Solidity the language,
a browser-based integrated development environment (IDE) to write and deploy Ethereum
contracts. At the writing of this book mid-2017, Ethereum IDEs are not matured. That has
been typical for new technologies and development, such as Java. When Java development
started in the late 1980s, developers used tools like Notepad text editors to write Java programs
and deploy them to application servers. It was a tough time for development. Ten or so years
later, IDEs like Eclipse facilitate the development, testing, and deployment of Java applications.
This evolution will no doubt take place with blockchain Ethereum and Solidity. It is merely a
matter of time.
Introducing Solidity
Solidity the word means the quality or state of being firm or strong in structure. Solidity
the language is a contract-oriented, high-level language whose syntax is similar to that of
JavaScript. It is designed to target the Ethereum Virtual Machine (EVM). Solidity is statically
typed and supports inheritance, libraries, and complex user-defined types among other
features. This chapter provides a basic introduction to Solidity and assumes some knowledge
of programming in general. You can start using Solidity in your browser, with no need to
download or compile anything. This application only supports compilation—if you want to run
the code or inject it into the blockchain, you have to use a client or blockchain gateway service
such as INFURA.
06-ch06.indd 125 04/01/18 3:20 PM
HowTo_Generic / Blockchain: A Practical Guide to Developing Business, Law, and Technology Solutions / Bambara / 587-9 / Chapter 6
126
Blockchain
Solidity Basics
As mentioned, Solidityis anobject-oriented programminglanguage for writingsmart contracts.
Developers ask the question, “Is Solidity Turing complete?” Animperative languageis Turing
complete if it hasconditional branching(such as if, while, for), conditional looping
statements, and the ability to change an arbitrary amount ofmemory, such as the ability to
maintain an arbitrary number of variables. Since this is almost always the case, most if not
all imperative languages are Turing complete if the limitations of finite memory are ignored.
The commonly used development languages C, C++, C#,Java, Lua, and Python are allTuring
complete, as is Solidity. That said, most of the control structures from C/JavaScript are available
in Solidity except for switch.
Let’s start with some basic code examples. The first question to ask is what is the current
release of Solidity. When starting, one should always go to the GitHub site (https://github.com/
ethereum/solidity/releases), which lists the releases and new functionality for Solidity. Once
you know that, then the second statement in the contract would be the release. If you look at
the sample code below, you’ll notice the specification of the current release of Solidity at the
time of this writing.
StorageState
// COMMENT Class or Contract named StorageState
pragma solidity ^0.4.16;
contract StorageState{
// COMMENT unsigned integer variable named statedData
uint stateData;
/* COMMENT
The setter and the getter for variable named stateData
*/
function set(uint x) {
stateData = x;
}
function get() constant returns (uint) {
return stateData;
}
}
As mentioned, the first line indicates that the source code is written for Solidity version 0.4.16.
The keyword or directivepragma (from “pragmatic”) is a language construct that specifies
how a compiler or translator should process its input.
A contract in Solidity is code that includes the functionality and data that execute and
record the state of the contract. The contract resides at a specific address on the Ethereum
blockchain. This contract, StorageState, if it were written in Java would be a bean. Java beans
declare some variables and include a getter and a setter for each of the variables used to modify
or retrieve the value of the variable. The bean is usually a data structure that is passed around
class to class containing data we wish to share. The line uint stateData; declares a state
06-ch06.indd 126 04/01/18 3:20 PM

HowTo_Generic / Blockchain: A Practical Guide to Developing Business, Law, and Technology Solutions / Bambara / 587-9 / Chapter 6
Chapter 6 Fast-Track Application Tutorial
127
variable called stateData of type uint which is an unsigned integer of length 32 bytes. This
contract, as mentioned, is a bean allowing anyone to store a single number that is accessible by
anyone publishing this number. Just as in Java, by declaring the variable private we pose access
restrictions such that only the internal contract code can modify the variable. As you would
expect, single-line comments (//) and multi-line comments (/*...*/) are specified as depicted here.
Solidity Control and Flow Statements
As with most of the current computer languages, there are the familiar constructs: the
Aristotelian conditional if-then-else, the loop functionality of while and for with the break,
continue, return. See Table 6-1 for descriptions and examples.
Solidity
Statement Description Notes/Example
import Solidity supports import
statements that are very
similar to those available
in JavaScript.
import "filename";
if ( else Use the
if
statement
to specify a block of
code to be executed if a
condition is true.
if (condition) {
block of code to be executed if the condition is true
}
if (totalPoints > bet.line)
balances[bet.over] += bet.amount * 2;
else if (totalPoints < bet.line)
balances[bet.under] += bet.amount * 2;
else {
balances[bet.under] += bet.amount;
balances[bet.over] += bet.amount;
}
while Loops through a block of
code as long as a specified
condition is true.
while (
condition
) {
code block to be executed
}
while (i >= 0 && bid.amount > 0) {
uint j = uint(i);
if (matchStack[j].amount == 0) {
// matched bids
i--;
continue;
}
TABLE 6-1
Functionality and Control of Execution (Continued)
06-ch06.indd 127 04/01/18 3:20 PM

HowTo_Generic / Blockchain: A Practical Guide to Developing Business, Law, and Technology Solutions / Bambara / 587-9 / Chapter 6
128
Blockchain
Solidity
Statement Description Notes/Example
for Loops through a block of
code a number of times.
start1 is executed before
the loop (the code block)
starts.
condition2 defines the
condition for running the
loop (the code block).
test3 is executed each
time after the loop
(the code block) has
been executed.
for (start1; condition2; test3) {
code block to be executed
}
for (uint i=0; i < bets.length; i++) {
Bet bet = bets[i];
if (bet.status == BetStatus.Paid)
continue;
bet.status = BetStatus.Paid;
}
TABLE 6-1
Functionality and Control of Execution
Data Types
Solidity is a statically typed language, which means that the data type of each variable (state
and local) needs to be specified at compile time. The following data types are also known as
value types because they will always be passed by value as opposed to reference, i.e., they are
always copied when they are used as function arguments or in assignments. See Table 6-2 for
descriptions and examples.
TABLE 6-2
Solidity Data Types and Related Functions (Continued)
Data Type Description Notes/Example
Boolean
bool
Values are true and false Comparisons (<=, !=, ==, etc.)
always yield booleans.
Integer
int, uint
Signed and unsigned integers of various sizes The integer types are signed and
unsigned integers of various
bit widths (int8/uint8 to int256/
uint256 in steps of 8 bits, where
uint/int are aliases for uint256/
int256) and addresses (of 160 bits).
Address 20 byte value (Ethereum address) Address types also have members
and serve as base for all contracts.
06-ch06.indd 128 04/01/18 3:20 PM

HowTo_Generic / Blockchain: A Practical Guide to Developing Business, Law, and Technology Solutions / Bambara / 587-9 / Chapter 6
Chapter 6 Fast-Track Application Tutorial
129
TABLE 6-2
Solidity Data Types and Related Functions (Continued)
Data Type Description Notes/Example
Members of
address
<address>.balance(uint256):
<address>.transfer(amount):
<address>.send(amount)returns(bool)
<address>.call(...)returns(bool)
<address>.callcode(..)returns(bool)
<address>.delegatecall(..)returns(bool)
Query the balance of an address
using the property balance and
to send Ether (units of wei) to an
address using transfer.
send is the low-level counterpart
of transfer. If the execution fails,
the current contract will not stop
with an exception, but send will
return false. delegatecall
is identical to call apart from
the fact that the code at the
target address is executed in the
context of the calling contract
and msg.sender and msg
.value do not change their
values. A contract can dynamically
load code from a different address
at runtime. Storage, current
address, and balance still refer to
the calling contract, only the code
is taken from the called address.
This facilitates the library feature
in Solidity: reusable library code
that can be applied to a contract’s
storage, e.g., in order to implement
a complex data structure.
Fixed-size
byte arrays
bytes1,
bytes2,
bytes3,
..bytes32.
1 to 32 byte array
Index access: If x is of type bytesI,
then x[k] for 0 <= k < Ireturns the k th byte s
.length yields the fixed length of the byte array (read-only)
Bit operators: &, |, ^ (bitwise
exclusive or), ~ (bitwise negation),
<< (left shift), >> (right shift)
Array Variable and fixed-size arrays are supported in storage and
as parameters of external functions.
Assignment replaces the array; see example.
If the new size is smaller, removed array elements will be
cleared; see example.
bool[7][] mFlags;
an array of 7 boolean variables
called mFlags
delete mFlags
delete the array
mFlags.length = 6
change length of array and kill
7th item
uint[7] mIntegers
an array of 7 unsigned Integer
variables called mIntegers
06-ch06.indd 129 04/01/18 3:20 PM

HowTo_Generic / Blockchain: A Practical Guide to Developing Business, Law, and Technology Solutions / Bambara / 587-9 / Chapter 6
130
Blockchain
Data Type Description Notes/Example
String literals String literals are written with either double or single quotes. "foo" or 'bar' or 'snafu'
Hexadecimal
literals
Hexadecimal literals are prefixed with the keyword hex and
are enclosed in double or single quotes.
Their content must be a
hexadecimal string and
their value will be the binary
representation of those values,
e.g., (hex"001122FF").
Enums Data type consisting of a set of named values
called elements.
enum HairColor {
Brunette, Blonde,
Redhead}
Structures Define new data types in the form of structs. Struct
types can be used inside mappings and arrays, and they
can themselves contain mappings and arrays but not a
member of their own type, although the struct itself can
be the value type of a mapping member.
struct DataStruct1
{address addr;
uint amount;}
struct DataStruct2 {
address addr2
uint amount2;
mapping (uint
=> DataStruct1)
datastruct2;
}
Note a struct type is typically
assigned to a local variable. This
does not copy the struct but only
stores a reference.
DataStruct1 ds1 =
datastruct[1]
Mappings Mapping types are declared as mapping
(_KeyType => _ValueType).
KeyType can be almost any type except for a mapping, a
dynamically sized array, a contract, an enum, and a struct.
ValueType can actually be any type, including mappings.
Mappings can be seen as hash
tables which are virtually initialized
such that every possible key exists
and is mapped to a value whose
byte-representation is all zeros: a
type’s default value. The key data is
not actually stored in a mapping,
only its
keccak256(),
an alias to
sha3()
hash used to look up the value.
Because of this, mappings do not
have a length or a concept of a key
or value being “set.”
Date and time Putting a suffix like seconds, minutes, hours,
days, weeks, and years after literal numbers can be
used to convert between units of time where seconds are
the base unit. The now() method returns the number of
milliseconds since January 1, 1970 00:00:00 UTC.
uint start
uint hoursAfter
if (now >= start +
(hoursAfter * 3 hours))
TABLE 6-2
Solidity Data Types and Related Functions (Continued)
06-ch06.indd 130 04/01/18 3:20 PM

HowTo_Generic / Blockchain: A Practical Guide to Developing Business, Law, and Technology Solutions / Bambara / 587-9 / Chapter 6
Chapter 6 Fast-Track Application Tutorial
131
TABLE 6-2
Solidity Data Types and Related Functions
Data Type Description Notes/Example
Units of ether A literal number can take a suffix of wei, finney, szabo,
or ether to convert between the subdenominations
of ether.
2ether
2000finney
Current instance
of class
this the current contract, explicitly convertible to Address
Visibility Specifiers
Functions and storage variables can be specified as being public, internal, or private, where the
default for functions is public and for storage variables is internal. In addition, functions can
also be specified as external. See Table 6-3 for descriptions and examples.
TABLE 6-3
Visibility of Constants and Variables
Visibility Description Example
external External functions are part of the
contract interface and they can
be called from other contracts
and via transactions. An external
function f cannot be called
internally (i.e., f() is invalid, but
this.f() is valid). All function
parameters are immutable.
function f(uint a) private returns
(uint b) { return a + 1; }
public Public functions are part of the
contract interface and can be
called either internally or via
messages. For public storage
variables, an automatic accessor
function is generated.
uint public data
inherited Inherited functions and storage
variables can only be accessed
internally.
function setData(uint a) inherited
{ data = a; }
private Private functions and storage
variables are only visible for the
contract they are defined in and
not in derived contracts.
06-ch06.indd 131 04/01/18 3:20 PM

HowTo_Generic / Blockchain: A Practical Guide to Developing Business, Law, and Technology Solutions / Bambara / 587-9 / Chapter 6
132
Blockchain
Block and Transaction Properties
There are special variables and functions that exist in the global namespace. They provide
information about the blockchain. See Table 6-4 for syntax and descriptions.
TABLE 6-4
Block and Transaction Properties
Property Syntax Description
blockhash block.blockhash
(uintblockNumber)returns(bytes32):
coinbase block.coinbase (address) Current block miner’s
address
difficulty block.difficulty (uint) Current block difficulty
gaslimit block.gaslimit (uint) Current block gas limit
block.number (uint) Current block number
block.blockhash
(function(uint) returns (bytes32))
Hash of the given block
block.timestamp (uint) Current block timestamp
msg.data (bytes) Complete call data
msg.gas (uint) Remaining gas
msg.sender (address) Sender of the message
(current call)
msg.value (uint) Number of wei sent with
the message
now (uint) Current block timestamp
(alias for block.timestamp)
tx.gasprice (uint) Gas price of the
transaction
tx.origin (address) Sender of the transaction
(full call chain)
06-ch06.indd 132 04/01/18 3:20 PM

HowTo_Generic / Blockchain: A Practical Guide to Developing Business, Law, and Technology Solutions / Bambara / 587-9 / Chapter 6
Chapter 6 Fast-Track Application Tutorial
133
Order of Operations
The evaluation order of expressions is not specified (more formally, the order in which the
children of one node in the expression tree are evaluated is not specified, but they are of course
evaluated before the node itself). It is only guaranteed that statements are executed in order and
short-circuiting for boolean expressions is done. See Table 6-5 for descriptions and operators.
TABLE 6-5
Order of Operations
Precedence Description Operator
1Postfix increment and decrement ++, --
New expression new <typename>
Array subscripting <array>[<index>]
Member access <object>.<member>
Function-like call <func>(<args...>)
Parentheses (<statement>)
2Prefix increment and decrement ++, --
Unary plus and minus +, -
Unary operations delete
Logical NOT !
Bitwise NOT ~
3Exponentiation **
4Multiplication, division, and modulo *, /, %
5Addition and subtraction +, -
6Bitwise shift operators <<, >>
7Bitwise AND &
8Bitwise XOR ^
9Bitwise OR |
10 Inequality operators <, >, <=, >=
11 Equality operators ==, !=
12 Logical AND &&
13 Logical OR ||
14 Ternary operator <conditional> ? <if-true> : <if-false>
15 Assignment operators =, |=, ^=, &=, <<=, >>=, +=, -=, *=, /=, %=
16 Comma operator ,
06-ch06.indd 133 04/01/18 3:20 PM

HowTo_Generic / Blockchain: A Practical Guide to Developing Business, Law, and Technology Solutions / Bambara / 587-9 / Chapter 6
134
Blockchain
Solidity Functions and Parameters
A function is defined with thefunctionkeyword, followed by aname, followed by
parentheses(). Function names can contain letters, digits, underscores, and dollar signs (same
rules as variables). The parentheses may include parameter names separated by commas
(parameter1, parameter2, ...). The code to be executed by the function is placed inside curly
brackets{}. When the function reaches areturn statement, the function will stop executing.
If the function was invoked from a statement, the contract will "return" to execute the
code after the invoking statement. Functions often compute areturn value. The return value is
"returned" back to the "caller". See Table 6-6 for descriptions and examples.
Cryptographic Functions
Acryptographic hash functionis a special class ofhash functionwith properties that make
it suitable for use incryptography. It is a mathematicalalgorithmthatmapsdata of arbitrary
size to abit stringof a fixed size (ahash function), which is designed to also be aone-way
function—that is, a function which is infeasible to invert. The only way to recreate the input
data from an ideal cryptographic hash function’s output is to attempt abrute-force searchof
possible inputs to see if they produce a match, or to use arainbow tableof matched hashes.
TABLE 6-6
Functions and Parameters
Functions Description Notes/Example
Function
calls
Functions of the
current contract can
be called directly
and recursively;
e.g., we can invoke
function x which
takes an unsigned
integer and calls y
which recursively
calls x passing an
unsigned integer.
function x (uint a) returns (uint ret)
{ return y(); }
function y() returns (uint ret)
{ return x(7); }
Function
arguments
Function call
arguments can
be assigned by
name, in any order;
see example.
contract a {
function b(uint key, uint value) { ... }
function c() { b({value: 2, key: 3});}}
06-ch06.indd 134 04/01/18 3:20 PM

HowTo_Generic / Blockchain: A Practical Guide to Developing Business, Law, and Technology Solutions / Bambara / 587-9 / Chapter 6
Chapter 6 Fast-Track Application Tutorial
135
Thesecure hash algorithmsare a family ofcryptographic hash functionspublished by
theNational Institute of Standards and Technology (NIST) as aUSFederal Information
Processing Standard(FIPS). See Table 6-7 for syntax and descriptions.
TABLE 6-7
Cryptographic Functions
Hash Function Syntax Description
sha3 is a subset of
the cryptographic
primitive family Keccak.
sha3(...) returns
(bytes32)
Compute the SHA-3 hash of the (tightly
packed) arguments; SHA-3:
A hash function formerly called Keccak,
chosen in 2012 after a public competition
among non-NSA designers. It supports
the same hash lengths as SHA-2, and its
internal structure differs significantly from
the rest of the SHA family.
sha256 is from a
family of two similar
hash functions, with
different block sizes,
known as SHA-256.
sha256(...)
returns (bytes32)
Compute the SHA-256 hash of the
(tightly packed) arguments. SHA-256
uses 32-bit words.
ripemd160
RIPEMD (RACE Integrity
Primitives Evaluation
Message Digest) is a
family of cryptographic
hash functions.
ripemd160(...)
returns (bytes20)
Compute RIPEMD of 256.
It is similar in performance to the more
popular SHA-1.
RIPEMD-160 is an improved, 160-bit version
of the original RIPEMD, and the most
common version in the family. RIPEMD-160
was designed in the open academic
community, in contrast to the NSA-
designed SHA-1 and SHA-2 algorithms.
ecrecover
Verify a cryptographic
signature from
an Ethereum address
key pair.
ecrecover(bytes32,
byte, bytes32,
bytes32) returns
(address)
Recover public key from elliptic
curve signature.
06-ch06.indd 135 04/01/18 3:20 PM

HowTo_Generic / Blockchain: A Practical Guide to Developing Business, Law, and Technology Solutions / Bambara / 587-9 / Chapter 6
136
Blockchain
Contract-Related Functions
All functions of the current contract are callable directly, including the current function.
See Table 6-8 for syntax and descriptions.
Functions on Addresses
It is possible to query the balance of an address using the property balance and to send
ether (in units of wei) to an address using the send function. See Table 6-9 for syntax
and descriptions.
Constructor Arguments
A Solidity contract expects constructor arguments after the end of the contract data itself. This
means that you pass the arguments to a contract by putting them after the compiled bytes as
returned by the compiler in the usual application binary interface (ABI) format. The ABI ishow
you call functions in a contract and get data returned. An ABI is like an application program
interface (API). It dictates how functions are called and in which binary format parameters are
passed. An Ethereum smart contract is bytecode on the Ethereum blockchain. There are usually
many functions in a contract. An ABI provides the specification regarding how functions in the
contract are invoked, and a guarantee that the function will return data in the expected format.
FromEthereum’s ABI specification, an example:
contract AbiEx {
function abc(uint32 x, bool y) returns (bool r) { r = x > 32 || y; }
function xyz(bytes name, bool z, uint[] data) {}
}
TABLE 6-8
Contract-Related Functions
Contract
Function Syntax Description
this this (current contract’s type) The current contract, explicitly
convertible to address
suicide suicide(address) Suicide the current contract, sending
its funds to the given address
TABLE 6-9
Functions on Addresses
Address
Function Syntax Description
.balance address x = 0x123;
if (x.balance < 10)
Balance of an address
.send x.send(10); Send ether to an address
06-ch06.indd 136 04/01/18 3:20 PM
HowTo_Generic / Blockchain: A Practical Guide to Developing Business, Law, and Technology Solutions / Bambara / 587-9 / Chapter 6
Chapter 6 Fast-Track Application Tutorial
137
If we wanted to call abc with the parameters 77 and true, we would pass 68 bytes total, which
can be broken down into the following:
•
The method ID: This is derived as the first 4 bytes of the Keccak-256 hash of the ASCII
form of the signature abc(uint32,bool).
•
0x000000000000000000000000000000000000000000000000000000000000004D:
The first parameter, a uint32 value 77 padded to 32 bytes.
•
0x0000000000000000000000000000000000000000000000000000000000000001:
The second parameter, boolean true, padded to 32 bytes.
Using a higher-level library such as web3.js abstracts most of these details, but theABI in
JSON formatstill needs to be provided to web3.js.
ABI is an abstraction and not part of thecore Ethereum protocol. Anyone can define their
own ABI for their contracts. That said, it is simpler for all developers to use Solidity, Serpent,
and web3.js, which all comply with the ABI above.
Accessor Functions
The compiler automatically creates accessor functions for all public state variables. The
contract given below will have a function called data that does not take any arguments and
returns a uint, the value of the state variable data. The initialization of state variables can be
done at declaration.
contract test {
uint public data = 42;
}
Layout of Storage
Statically sized variables (everything except mapping and dynamically sized array types) are
laid out contiguously in storage starting from position 0. Multiple items that need less than
32 bytes are packed into a single storage slot if possible, according to the following rules:
•
The first item in a storage slot is stored lower-order aligned.
•
Elementary types use only as many bytes as are necessary to store them.
•
If an elementary type does not fit the remaining part of a storage slot, it is moved to the
next storage slot.
•
Structs and array data always start a new slot and occupy whole slots, but items inside a
struct or array are packed tightly according to these rules.
The elements of structs and arrays are stored after each other, just as if they were given explicitly.
Due to their unpredictable size, mapping and dynamically sized array types use a sha3
computation to find the starting position of the value or the array data. These starting positions
are always full stack slots.
The mapping or the dynamic array itself occupies an (unfilled) slot in storage at some
position according to the above rule (or by recursively applying this rule for mappings to
mappings or arrays of arrays). For a dynamic array, this slot stores the number of elements in
the array. For a mapping, the slot is unused, but it is needed so that two equal mappings after
06-ch06.indd 137 04/01/18 3:20 PM
HowTo_Generic / Blockchain: A Practical Guide to Developing Business, Law, and Technology Solutions / Bambara / 587-9 / Chapter 6
138
Blockchain
each other will use a different hash distribution. Array data is located at sha3(p) and the
value corresponding to a mapping key is located at sha3(k . p) where . is concatenation.
If the value is again a non-elementary type, the positions are found by adding an offset of
sha3(k . p).
So for the following contract snippet:
contract c {
struct S { uint a; uint b; }
uint x;
mapping(uint => mapping(uint => S)) data;
}
the position of data[4][9].b is at sha3(uint256(9) . sha3(uint256(4) .
uint(256(1))) + 1.
Run Ethereum Dapps in Your Browser
Prior to blockchain, the application development life cycle, which facilitated large “Web2”
applications, was built using tools like HTML, CSS, JavaScript, REST web services, Java,
SQL, and NOSQL data stores. Now it is being amended to integrate the blockchain onto
that stack. Ethereum enables the decentralized web, referred to as “Web3.” What makes it
different from Web2 is that on Ethereum the web servers are gone except where used to
access some verifiable condition needed to support smart contract execution. So the new
dapp (“decentralized application”) is just like most applications. It consists of two parts:
classic front-end and back-end architecture. As you would expect the frontend is written to
either handle web services like REST or provide an HTML/CSS user experience to handle
user requests and provide a response. The other part of the application is the backend, which
interacts with the blockchain, the new “database.” So how does a web browser application
converse with the blockchain?
MetaMask solves that key blockchain usability point of friction by providing a way
for normal browsers to access the blockchain and propose transactions, to help anyone
accomplish any action on the blockchain, easily and securely, enabling a new kind of web
browsing experience.
MetaMask is a browser extension that injects the web3 API into every website you visit.
Using MetaMask, you can use the browser you are comfortable with to browse the emerging
decentralized web. The key advantage of using MetaMask is simplified key management. It
encrypts your private key locally and asks users to confirm and sign transactions and messages
as requested before relaying them to the Ethereum blockchain.
In order to interact with the blockchain, a client needs access to the entire chain. This
implies that for MetaMask to interact with the blockchain, it would need to download the
entire blockchain locally for use. To circumvent this, a “zero-client” gateway can be used for
instant access via RPC to and from the blockchain. The JSON-RPC API was discussed in
the previous chapter. MetaMask uses INFURA as its gateway, which allows for instant setup
simply by installing an extension.
06-ch06.indd 138 04/01/18 3:20 PM

HowTo_Generic / Blockchain: A Practical Guide to Developing Business, Law, and Technology Solutions / Bambara / 587-9 / Chapter 6
Chapter 6 Fast-Track Application Tutorial
139
Installing MetaMask
MetaMask is currently available as a Chrome extension, with other browser support under
active development. The technology is advancing rapidly that could ultimately allow for
MetaMask to function within a browser without requiring an extension. To install MetaMask,
simply visit the Chrome Web Store, search for and install MetaMask.
Developing a Contract Using MetaMask
After installing, you will see the MetaMask fox logo in the browser toolbar. The first time
using the application you will need to generate your wallet public and private keys. The private
key will be encrypted locally using a password you set. You will also be given a recovery seed
phrase which you should save and store securely if you plan to use MetaMask to store real
value. If you forget your wallet password, lose your computer, or otherwise can’t get access to
your MetaMask wallet, you will be able to restore to a fresh browser using this seed phrase.
The Ethereum wallet is a gateway to decentralized applications on the Ethereum
blockchain. It allows you to hold and secure ether and other crypto-assets built on Ethereum,
as well as write, deploy, and use smart contracts. MetaMask provides an Ethereum wallet
inside your browser. Metamask hosts a wallet with your private key—an Ethereum wallet—
and allows you to access sites directly in your Chrome browser and trade as if you had your
wallet right there with you on the site. The MetaMask user interface is quite simple, as seen
in Figure 6-1. Your Ethereum account address is available, with links to a more detailed view
of the account activity on a popular blockchain explorer. When on the Ethereum Main Net,
FIGURE 6-1
MetaMask user interface
06-ch06.indd 139 04/01/18 3:20 PM
HowTo_Generic / Blockchain: A Practical Guide to Developing Business, Law, and Technology Solutions / Bambara / 587-9 / Chapter 6
140
Blockchain
you have the option to buy the ether token via integrations with popular exchanges such as
Coinbase, where you can buy ether for fiat currency such as USD, or ShapeShift, where you
can convert existing cryptocurrencies such as bitcoin to ether. You can send transactions as
well, including sending the ether token to another account or smart contract.
In order to interact with the Ethereum blockchain, it is necessary to pay “gas” costs
for each computational step a smart contract takes. Since this could become quite costly
during development, test networks exist where the ether has no real-world value. In this way,
development and testing can occur without risk of lost value. One such test network is called
Ropsten. MetaMask supports Ropsten natively with INFURA on the backend communicating
with the Ropsten chain. For now, you can switch MetaMask to use the Ropsten network on the
top navigation bar of the MetaMask interface.
In the next step, we will start to write our first smart contract. To deploy that to the
Ropsten test network we will need some Ropsten test ether. You can click the Buy button in
MetaMask to get a link to the Ropsten faucet. At the faucet, you can request 1 ether. As soon
as that transaction is included on the Ropsten blockchain, your ether balance in MetaMask will
be 1. We will come back to this later when we deploy a smart contract.
MetaMask is the gateway that allows your web-based decentralized application to interact
with the blockchain. Deployed smart contracts on the blockchain are the backbone of the
decentralized web. Now that we have a gateway to interact with these smart contracts, we can
look more closely at how to write and deploy them.
Remix/Browser Solidity
Smart contracts for the Ethereum blockchain are written in high-level languages and compiled
to bytecode interpreted by the Ethereum Virtual Machine (EVM). Compilers exist for the
following languages, developed specifically for Ethereum: LLL, Serpent, and Solidity. There
are active efforts to further the development of LLL and Serpent, but for now Solidity is the
most popular language used by Ethereum developers. The easiest way to get your feet wet with
Solidity is through the Remix Solidity IDE and compiler.
Remix is an online Solidity editor that enables compilation of Solidity code and even
deployment to the blockchain using MetaMask. To access Remix, visit https://remix.ethereum.org.
When you first visit the Remix interface, you will see sample Solidity code in the editor
window. For this exercise, we will be starting with a much more basic smart contract.
Develop a Simple Smart Contract
Let’s write our first smart contract! Open Remix in a browser and create an empty new file by
clicking the + at the top left. Enter the following Solidity code into the editor:
contract HelloWorld {
event log_string(bytes32 log);
function () {
log_string("Hello World!");
}
}
06-ch06.indd 140 04/01/18 3:20 PM

HowTo_Generic / Blockchain: A Practical Guide to Developing Business, Law, and Technology Solutions / Bambara / 587-9 / Chapter 6
Chapter 6 Fast-Track Application Tutorial
141
This is a very simple smart contract that when executed writes “Hello World!” to the
transaction log for that contract address. By default, Remix is set to autocompile as you are
typing. When you have completely entered the code with no syntax errors, the Contract tab
on the right side of the Remix interface will show the compiled bytecode and the application
binary interface (ABI) needed to interact with the contract. The ABI is a JSON-formatted text
string you will use in your code that interacts with a smart contract.
Remix provides a whole set of other features, including a debugger, formal verification,
and of course links to complete documentation of the Solidity language. Remix has integrated
deployment capabilities, which coupled with MetaMask make deployment painless.
Deploy the Smart Contract
As previously mentioned, the Remix compiler auto-compiles as you type into the editor
window. When the smart contract is syntactically correct, the right panel Contract tab will
provide the compiled bytecode; the ABI and web3 deploy JavaScript code on the Contract
Details tab. You should see something similar to Figure 6-2. The bytecode is what is actually
sent to the blockchain. This transaction must first be signed by your private key. MetaMask
makes this easy.
FIGURE 6-2
Remix compiler with smart contract Solidity code
06-ch06.indd 141 04/01/18 3:20 PM

HowTo_Generic / Blockchain: A Practical Guide to Developing Business, Law, and Technology Solutions / Bambara / 587-9 / Chapter 6
142
Blockchain
First, in Remix, select Injected Web3 in the option to select execution environment. This
tells Remix that you want to rely on MetaMask in your browser to intercept and handle any
interactions with the web3 APIs. Now you are ready to deploy Hello World to the Ropsten
network. Assuming you have pointed MetaMask at Ropsten and your Hello World contract
has compiled successfully, you can click the Create button.
When you click Create, Remix will create a transaction to send to the Ropsten test
network. That transaction must first be signed, so a MetaMask window will pop up asking
you to accept the transaction (see Figure 6-3). By accepting, you are effectively signing the
transaction with your private key in your MetaMask wallet and sending the signed transaction
to the Ethereum blockchain.
After accepting, you will see Remix telling you that the transaction is waiting to be mined.
As soon as this pending transaction is mined, or included in a block, you will see the contract
address where this newly deployed smart contract can be found on the blockchain. In this case,
the contract address is 0x2f8eb76Db701a36f8F44C1cEf0402bD329F6C03B. Once
this contract has been deployed to the blockchain, it cannot be changed, deleted, or tampered
with. It is now an immutable piece of software that when executed will do exactly what it
should. Namely, log Hello World.
Validate the Smart Contract
To validate that our Hello World smart contract has been deployed, we can look it up in a
block explorer. Recall that a property of most blockchains is complete transparency to the
FIGURE 6-3
MetaMask transaction signing
06-ch06.indd 142 04/01/18 3:20 PM
HowTo_Generic / Blockchain: A Practical Guide to Developing Business, Law, and Technology Solutions / Bambara / 587-9 / Chapter 6
Chapter 6 Fast-Track Application Tutorial
143
blocks and the data in each transaction. A block explorer is like a search engine that allows
you to look into all of the data contained on the chain. The leading explorer in the Ethereum
ecosystem is Etherscan (etherscan.io).
Etherscan supports multiple test networks, in addition to the main Ethereum network.
To search for your newly deployed contract, first select the Ropsten network in Etherscan.
On the MISC menu, you will be able to choose Ropsten. Then you can search for the contract
address you received from Remix when you deployed the contract. Etherscan should identify
the address as a contract, as opposed to a user account. The contract is holding 0 ether and
has had one transaction, which was the contract creation we just did. You’ll be able to see what
block this contract was created on as well, which can be useful in proving a timeline of activity.
Furthermore, you’ll see who created the contract—this is your MetaMask wallet address as
MetaMask was the wallet that signed the transaction and sent it to the test network.
Now that we know the contract exists, let’s execute it so we can validate that it behaves
as we expect. To execute the contract, we need to send a transaction to the contract itself.
There is no need to send any ether to the contract—in fact, if you do, that ether will be lost
forever because the contract isn’t written to do anything with any ether sent to it. Therefore,
we can send an empty transaction to the contract address to execute it. How will we send a
transaction? The answer again is MetaMask.
Back in MetaMask, ensure you are on the Ropsten network. You should still have plenty
of ether left since the last transaction used just a tiny bit. To create a transaction, click Send in
MetaMask. For the Recipient Address, enter the address of your smart contract. For Amount,
leave that at 0 and click Send. Again, you will be prompted to accept the transaction. After
acceptance, the transaction will be sent to Ropsten and eventually included in a block and
written to the blockchain.
Back at Etherscan, you will notice now there are two transactions for this smart contract.
The first is the contract creation, and the most recent is our transaction we just sent causing
the code to execute. If we drill into the details for that most recent transaction, we see a
handful of metadata about the transaction itself. In Etherscan, they also provide the event
logs. In the event log for our contract, the data payload is stored in hexadecimal format.
Etherscan conveniently provides a conversion to text, and we see what we are expecting to
see: Hello World! Congratulations on successfully deploying your first smart contract!
Next Step: Try Truffle
If you’re interested in some interesting tutorials or you want to start building web-based
applications with
the Ethereum blockchain
, you will find
the Truffle web framework
to be
anice fit for your needs. For many types of dapps, Truffle does everything you could want: it
compiles your blockchain contracts, injects them into your web app, and can even run a test
suite against them!See http://truffleframework.com/ for documentation and tutorials.
Summary
In this chapter, we introduced the Solidity smart contract programming language and
tools that make it simple and easy to fast-track deploy a smart contract to the Ethereum
blockchain. In the next chapter, we will introduce tools that are a little more complex and
support a development workflow to handle more complex development.
06-ch06.indd 143 04/01/18 3:20 PM
HowTo_Generic / Blockchain: A Practical Guide to Developing Business, Law, and Technology Solutions / Bambara / 587-9 / Chapter 6 / blind folio: 144
06-ch06.indd 144 04/01/18 3:20 PM
This page intentionally left blank
145
HowTo_Generic / Blockchain: A Practical Guide to Developing Business, Law, and Technology Solutions / Bambara / 587-9 / Chapter 7
7 Ethereum Application
Best Practices
Ethereum Blockchain Development
As we write this book in late 2017, integrated blockchain development environments (IDEs)
are still emerging. Truffle (http://truffleframework.com/) is a development environment,
testing framework, and asset pipeline for Ethereum.
Truffle provides:
•
Built-in smart contract compilation, linking, deployment, and binary management
•
Automated contract testing
•
Scriptable, extensible deployment and migration
•
Network management for deploying to any number of public and private networks
•
Package management with EthPM and NPM, using the ERC190 standard
•
Interactive console for direct contract communication
•
The ability to build pipeline with configuration and tight integration
•
Script runner that executes within a Truffle environment
Setting Up the Development Environment for Truffle
There are technical requirements to work with Truffle. You should install the following:
•
Node.js (https://nodejs.org/en/)
•
Git (https://git-scm.com/)
When developing your Truffle-based application, it is recommended that you use
theEthereumJS TestRPC (https://github.com/ethereumjs/testrpc). It’s a complete blockchain-
in-memory that runs only on your development machine. It processes transactions instantly
instead of waiting for the default blocktime—so you can test that your code works quickly—
and it tells you immediately when your smart contracts run into errors.
07-ch07.indd 145 04/01/18 3:21 PM
HowTo_Generic / Blockchain: A Practical Guide to Developing Business, Law, and Technology Solutions / Bambara / 587-9 / Chapter 7
146
Blockchain
You need the following two commands to install the TestRPCfor Ethereumand Truffle:
npm install -g ethereumjs-testrpc
npm install -g truffle
Set Up a Truffle Project
To verify it installed, type
truffle list
in a console window to list all Truffle commands.
Then create a new project directory, cd to it and type:
truffle init
By default,truffle initgives you a set of example contracts (MetaCoin and
ConvertLib) which act like a simple alt-coin built on top of Ethereum. You can use these
contracts to learn quickly while navigating through the Getting Started guide, or delete these
files and build a project of your own.
By default,truffle initcreates a simple project for you so you can get familiar with
writing, compiling, and deploying Solidity-based smart contracts.
Now start a client node ina new console windowby running:
testrpc
Then in another command prompt window run the following commands to compile and deploy
the code:
truffle compile
truffle deploy
Truffle Directory Structure
The default Truffle directory structure contains the following:
•
/contracts: Contains theSoliditysource files for our smart contracts.
•
/migrations: Truffle uses a migration system to handle smart contract deployments.
A migration is an additional special smart contract that keeps track of changes.
•
/test: Contains both JavaScript and Solidity tests for our smart contracts.
•
truffle.js: Truffle configuration file.
Beyond this brief overview, go to http://truffleframework.com/tutorials/ to try the latest Truffle
tutorials and documentation to continue with your Ethereum blockchain development.
Ethereum Blockchain Development: Best Practices
Before plunging into code design and implementation, let’s recap the properties that define the
possibilities and constraints we need to consider when making contracts and applications and
systems that utilize them.
07-ch07.indd 146 04/01/18 3:21 PM
HowTo_Generic / Blockchain: A Practical Guide to Developing Business, Law, and Technology Solutions / Bambara / 587-9 / Chapter 7
Chapter 7 Ethereum Application Best Practices
147
The Ethereum blockchain is a second-generation blockchain. It contains all the properties
of the first-generation blockchain, like an immutable block of transactions, proof of work, and
cryptographic verification. In addition, the Ethereum blockchain contains a Turing complete
virtual machine or EVM (Ethereum Virtual Machine). This allows for much richer applications
than what Bitcoin has with transactions. The EVM is a simple 256-bit stack machine with a
stack size of 1024. EVM code is deployed as smart contracts. All code is committed to the
blockchain and accessed from the EVM as virtual ROM. Storage is word-addressable word
arrays persisted as part of the blockchain system state.
The EVM can be considered a single instance of a worldwide virtual machine,
synchronized across all nodes in the network. All code execution (transactions and smart
contract function calls) is started by an external user—smart contracts do not execute by
themselves. A code execution is considered a single transaction. Either all code is executed
and the new state is persisted on the blockchain, or an error occurs and everything is reverted
(except the mining reward), just like an ACID transaction in a relational database management
system (RDBMS).
The EVM can be perceived as a cloud computer service, where the payment and execution
are integrated. To execute EVM code and change blockchain state and storage, cash is provided
as “gas” to the execution call. However, there is only a limited amount of execution gas available
in each block. This implies that there is a finite and restricted amount of code that can be
executed and storage to be changed in a single transaction. This is in sharp contrast to modern
development where you have access to an almost infinite amount of resources at hand in
the cloud.
The best mindset to have when programming smart contracts is to consider it as
programming a microcontroller that is launched into space. There are very limited resources to
execute, limited gas, and limited memory and stack size. If there is an error (bug) in the code,
it’s hard to fix, and one needs to think of the entire life cycle, with all of the future security and
operational needs of the contract taken into consideration.
Blockchain Technologies
The EVM itself is only part of the whole decentralized ecosystem. In order to interact with
and execute smart contracts, other components are needed. As mentioned in Chapter 3 on
blockchain technology use cases, Web 3.0 components include:
•
Dapps: decentralized applications
•
Contracts: decentralized logic
•
Swarm: decentralized storage
•
Whisper: decentralized messaging
The simplest solution is a decentralized application (dapp). This form does not need a central
server, only code running in a browser that interacts with the user and an underlying smart
contract (or set of smart contracts). The browser code (web application) can be distributed
either from a normal web server or from decentralized storage like Swarm or InterPlanetary
File System (IPFS). For the remainder of this chapter we will mostly deal with applications that
interact with traditional systems.
07-ch07.indd 147 04/01/18 3:21 PM
HowTo_Generic / Blockchain: A Practical Guide to Developing Business, Law, and Technology Solutions / Bambara / 587-9 / Chapter 7
148
Blockchain
Solidity Basics Continued
We covered Solidity and the language constructs in Chapter 6. Now let’s continue with a review
of the basic language elements. Here is a contract showing constructor, modifier, and events for
the Ownable pattern.
pragma solidity ^0.4.8;
// module handling and transfer of contract ownership
contract Ownable {
address public owner;
function Ownable() {
owner = msg.sender;
}
modifier onlyOwner {
if(msg.sender != owner) revert();
_;
}
function transferOwnership(address _newOwner) external onlyOwner {
owner = _newOwner;
TransferOwnership(msg.sender, _newOwner);
}
event TransferOwnership(address indexed _from, address indexed _to);
}
This is a good, simple base contract defining an onlyOwner modifier and function that
allows the ownership to be transferred and issues an event when the ownership is changed.
However, the transferOwnership function contains a danger. If it is called with a wrong
address, the control of the contract is lost forever. One way of dealing with this is to transfer
the ownership in a two-phase push/pull pattern. First, the old owner “pushes” a newOwner by
calling the transferOwnership function. This does not transfer the ownership right away
but rather stores the address in a contract variable in a pending state. Second, the new owner
has to accept the ownership by calling acceptOwnership. This will “pull” the ownership
to the new owner. Note that only the newOwner specified in the transferOwnership
function can actually claim the new ownership, and the ownership is actually transferred only
when the newOwner has called the acceptOwnership function. If the newOwner address
is wrong or newOwner has lost access to the account, then the ownership is never transferred,
thus avoiding the potential predicament from the first version of the contract.
In general, it is good practice to use a two-phase push/pull when dealing with irreversible
functions with high implications like transfer of ownership, refunding, etc.
pragma solidity ^0.4.8;
// module handling and transfer of contract ownership
contract Ownable {
address public owner;
function Ownable() {
owner = msg.sender;
}
modifier onlyOwner {
07-ch07.indd 148 04/01/18 3:21 PM
HowTo_Generic / Blockchain: A Practical Guide to Developing Business, Law, and Technology Solutions / Bambara / 587-9 / Chapter 7
Chapter 7 Ethereum Application Best Practices
149
require(msg.sender == owner);
_;
}
address newOwner;
function transferOwnership(address _newOwner) external onlyOwner {
newOwner = _newOwner;
}
function acceptOwnership() {
if (msg.sender == newOwner) {
var oldOwner = owner;
owner = newOwner;
TransferOwnership(oldOwner, newOwner);
}
}
event TransferOwnership(address indexed _from, address indexed _to);
}
Calling Contracts from Contracts
A unique aspect of the EVM environment is the concepts of gas and value. As mentioned, the
EVM can be conceived as a cloud computing service, where you need to pass payment to each
call to pay for cloud execution. The payment for execution is added as gas, and the payment
passed to accounts is added as value. As discussed, gas has a wei price (gasPrice) and can be
calculated as a wei amount = gas*gasPrice. Both gas*gasPrice and value are taken from the
caller’s balance.
Consider the following contract:
contract A {
function A(…)
{
…
}
function trade() public payable {
// do some trade
…
}
}
Then to instantiate it from within another contract as
A a = new A(…);
if you simply now call
a.trade();
it will by default not pass any value to the function. You need to add a .value(...)
argument to the calls like
a.trade.value(somevalue)();
07-ch07.indd 149 04/01/18 3:21 PM
HowTo_Generic / Blockchain: A Practical Guide to Developing Business, Law, and Technology Solutions / Bambara / 587-9 / Chapter 7
150
Blockchain
When you call a function on a smart contract with a value, that contract will then own the value
sent. It can in turn call functions on other contracts, transferring value to these and so on.
Let’s see that in action. Consider a contract B:
contract B {
A a;
uint commissionPercent;
address commissionWallet;
function B(address _a, address _wallet, uint _commissionPercent)
{
a = A(_a);
commissionWallet = _wallet;
commissionPercent = _ commissionPercent;
}
function trade() public payable {
var commission = msg.value * commissionPercent /100;
a.trade.value(msg.value - commission)();
commissionWallet.transfer(commission);
}
}
and instantiate B as
B b = new B(a,wallet,10);
and then call
a.trade.value(sometradevalue)();
Within the trade function of B that now has sometradevalue, you can see an example of
splitting this value passed to b.trade into a call to a.trade() with 90 percent of the value and
passing 10 percent of the value to a commission wallet.
If you want to create a cloud service for the blockchain contracts that binds outside
the EVM, this is a way to get paid by the caller directly, thus avoiding separate invoicing
and so on.
However, please note that the .value call by default passes on all available (remaining)
gas and should be considered unsafe against reentrancy. So be careful if you don’t control the
contract being called.
You can specify the amount of gas passed to a function by adding
.gas(someGasAmount) to the function call:
a.trade.value(msg.value - commission).gas(40000)();
Calling address.transfer only passes 23000 gas. That is insufficient to do any
reentrancy but might be insufficient for complex function () payable routines to
complete.
Pitfall: Remember to forward gas and ether between contracts when calling payable
functions.
07-ch07.indd 150 04/01/18 3:21 PM
HowTo_Generic / Blockchain: A Practical Guide to Developing Business, Law, and Technology Solutions / Bambara / 587-9 / Chapter 7
Chapter 7 Ethereum Application Best Practices
151
Handling Events
EVM events are a central part of the smart contract ecosystem. We saw an example of an event
in the Owner contract where the contract issues a TransferOwnership event each time
the owner changes
Events allow users and especially applications to monitor smart contract changes on the
blockchain. This is done by specifying filters and applying them on a blockchain node. Events
can be filtered on topics, values, and block intervals, thus listing to new events or scanning
through old events.
Users can be notified about changes to contracts they have interest in, such as changes
to ownership, ERC20 tokens, changes to balances, notification of multisig wallets pending
confirmations, etc. Likewise, enterprise applications that integrate to business logic and process
flows in smart contracts can be notified when enterprise application actions are needed.
User actions on smart contracts can trigger enterprise services, and enterprise status
updates on smart contracts can notify users, just like events in regular applications. In enterprise
applications, a process needs to be put in place for events to be captured. Consider the event
event MyEvent(address indexed myidx, uint myval);
Adding indexed to the event argument myidx makes the event searchable through filters
using myidx values.
In C#, using the Nethereum package monitoring for live events might look like this:
public class MyEventHelper
{
MyContract _contract;
int _sleep;
bool _stop;
public MyEventHelper(MyContract contract, int sleep)
{
_contract = contract;
_sleep = sleep;
}
public void Start()
{
_stop = false;
ThreadPool.QueueUserWorkItem(PoolEvents);
}
public event EventHandler<Exception> ErrorEvent;
public event EventHandler<MyEventDTO> MyEvent;
private async void PoolEvents(object state)
{
var event = _contract.GetEventMyEvent();
var filter = await event.CreateFilterAsync();
while (!_stop) {
if (MyEvent != null) {
var logs = await event.GetFilterChanges<MyEventDTO>(filter);
foreach (var log in logs) {
07-ch07.indd 151 04/01/18 3:21 PM
HowTo_Generic / Blockchain: A Practical Guide to Developing Business, Law, and Technology Solutions / Bambara / 587-9 / Chapter 7
152
Blockchain
MyEvent(this, log.Event);
}
}
}
Thread.Sleep(_sleep);
}
…
The example below will set up an event listener that calls two functions whenever a new
MyEvent event is seen on the blockchain.
var eventHelper = new MyEventHelper(contract, 100);
eventHelper.MyEvent += (model, event) =>
{
… execute business logic
};
eventHelper.MyEvent += (model, event) =>
{
Console.WriteLine($"MyEvent idx={event.myidx} val={event._myval");
};
eventHelper.Start();
In NodeJS the syntax is a little simpler:
var event = myContractInstance.MyEvent()
// watch for changes
event.watch(function(error, result) {
if (!error)
console.log(result);
… execute business logic
});
If the service needs to process events from the past, they can be filtered by block interval
as well as by filters on indexed parameters.
// watch for an event with {myidx: 'value'}
var myEvent = myContractInstance.MyEvent({myidx: 'value'},
{fromBlock: 0, toBlock: 'latest'});
myEvent.watch(function(error, result){
...
});
// would get all past logs again.
var myResults = myEvent.get(function(error, logs){ ... });
...
// would stop and uninstall the filter
myEvent.stopWatching();
07-ch07.indd 152 04/01/18 3:21 PM

HowTo_Generic / Blockchain: A Practical Guide to Developing Business, Law, and Technology Solutions / Bambara / 587-9 / Chapter 7
Chapter 7 Ethereum Application Best Practices
153
If an enterprise system needs to handle all events issued from a contract, it’s a good idea to
add a sequence number on each event.
event MyEvent(uint indexed eventId, address indexed myidx, uint myval);
This allows the enterprise system to easily track whether all events are handled and in case of
breakdown efficiently recover/reprocess the missing events.
Remember that enterprise system event handlers can also call functions on contracts. This
makes EVM events behave just like other kinds of events, thus allowing mixed cascade triggers
through different systems. Imagine the following system flow (see Figure 7-1).
1.
A user (web) app calls a function on a smart contract.
2. e smart contract function generates an EVM event.
3. is event is captured by a server monitor.
4. e monitor starts a job on a third-party system.
5. Retrieve the result from the third party when the job completes or some condition
is met.
6. e monitor calls a function on a smart contract with the outcome and changes
the status.
7. e smart contract function generates an event containing the outcome and the
new status.
8. The user app captures this event and updates the UI with the outcome and new status.
As seen, this allows building of complex integrated systems without building complex
infrastructures between trusted parties or agreements of cost share. It solely uses the
blockchain of the infrastructure and payment platform. The user app and the server systems
are independent of each other and do not need to establish complex agreements.
In a generalized form the server monitor acts like an intermediary between the blockchain
and the real world; this is often referred to as an oracle.
As discussed, a smart contract can’t trigger itself, since the blockchain needs to be
deterministic. So it cannot depend upon or access the real world directly from the EVM. It
needs to be activated by an external agent, as illustrated in Figure 7-2. An agent can be either a
user or an oracle. Oracles comes in two forms. They can be “callable” from the smart contract
FIGURE 7-1
Example of enterprise system flow involving smart contracts
2. Smart Contract
generates Event.
Smart Contract
8. Event captured
by User App.
7. Smart Contract
generates Event.
6. Call function on
Smart Contract.
User App
3. Event captured by
Server Monitor. 4. Start job at Third-
party System.
5. Retrieve the result.
Third-party System
Server Monitor
1. App call function
on Smart Contract.
07-ch07.indd 153 04/01/18 3:21 PM

HowTo_Generic / Blockchain: A Practical Guide to Developing Business, Law, and Technology Solutions / Bambara / 587-9 / Chapter 7
154
Blockchain
by generating an event with a request/reply interaction as shown in Figure 7-1. Or they can be
trigger based where the oracle calls the smart contract when certain conditions are met. This
could be when a currency hits a certain price or when an IoT sensor detects a certain value.
To include a third-party oracle in the smart contract flow, it needs to be trustworthy and
reliable since its interaction with the blockchain is immutable and hence irreversible.
Smart Contract Design
All the virtues of modern design certainly apply to making smart contracts. In fact, even more
so, because of the immutable nature of the blockchain: clear design, well-thought-out security,
thorough tests, and life cycle management are musts. In this section, we will elaborate on some
of the important virtues.
Modules and Interfaces
For traditional coding, it is a widespread best practice to divide the code into sections
representing separation of concerns. This is especially relevant in writing smart contracts.
There already exist a number of libraries containing typical modules that are needed when
writing a contract. And it is preferable to reuse well-established modules. A good example
of this is OpenZeppelin (https://github.com/OpenZeppelin/zeppelin-solidity). Their tagline
formulates it very well: “Reduce the risk of vulnerabilities in your applications by using
standard, tested, and community-reviewed code.”
Using such modules whenever possible reduces the risk of error and frees valuable time
to focus on the unique features of the contracts at hand. Even when a module needs to be
modified to fit some particular needs, reuse of the corresponding tests to ensure nothing gets
broken is highly recommended.
Don’t over-engineer the contract or dazzle with fanciful coding techniques. Keep it
simple, stupid—especially because most contracts used by the public are going to have the
corresponding source attached on the blockchain for anybody to inspect and validate. Having
a clear, simple contract that is easy to understand gains more trust and is actually less likely to
contain flaws than a large over-engineered contract doing way more than actually needed, as
its attach vector is much smaller.
FIGURE 7-2
Application with a user, a smart contract, and an oracle
1. User call function
on Smart Contract.
2. Smart Contract
generates Event.
Smart Contract
C. Event captured
by User App.
B. Smart Contract
generates Event.
A. Oracle call function
on Smart Contract.
User App
3. Event captured
by Oracle.
Oracle
07-ch07.indd 154 04/01/18 3:21 PM
HowTo_Generic / Blockchain: A Practical Guide to Developing Business, Law, and Technology Solutions / Bambara / 587-9 / Chapter 7
Chapter 7 Ethereum Application Best Practices
155
Security and Roles
When designing smart contracts, it is important to think about security from the very start.
Since contracts are public and visible on the blockchain, everybody can potentially call every
function. Even if you do not submit the source code, there is still the bytecode so everyone
with the right understanding of the EVM and proper endurance can figure out what the
contract does and call it, so don’t count on security by obscurity.
Most contracts implement the owner pattern that can be used to restrict the highest state
“administrator” change functions, like setup, start, stop, and kill.
Consider the kill function:
function kill() onlyOwner {
selfdestruct(owner);
}
Using the modifier signature, it becomes clear that the function is only allowed to be
called by the owner and the function body contains only the business code. However, the
private key of the owner should be stored somewhere safe and only used in major life cycle
events for the contract.
More operational functions should be modularized and restricted to special roles different
from the owner. The owner should then delegate these role rights to other addresses. The
specialized roles often run on web services or staff computers, and need to contain the private
key for their role address in order to execute. If a system is hacked and the private key of a role
gets compromised, the implications are confined to that role’s operations, and the system can
more easily be recovered by the owner by changing the compromised role address.
Examples of roles could be:
•
Minter: A role capable of minting new tokens in a token contract
•
MigrationMaster: A role responsible for the migration process from an old contract to a
new contract
•
InvitedInvestor: A role given to invited addresses to make investments in a restricted ICO
•
Trader/Executer: A role that executes trades or orders on behalf of customers
Each role can either be a single address role or multiple addresses, often referred to as
whitelisted addresses.
As we saw in the Ownable contract, a modifier for a single address role can be as simple as
modifier onlyRole { require(msg.sender == roleAddress); _; }
A multiple address role can be implemented as a mapping like
mapping (address => bool) public roleWhitelist;
function setRoleWhitelist(address _addr, bool _status) onlySomeControleRole {
roleWhitelist[_addr] = _status;
RoleWhitelisted(_addr, _status);
}
And then the modifier would change to this:
modifier onlyRole { require(roleWhitelist[msg.sender]); _; }
07-ch07.indd 155 04/01/18 3:21 PM
HowTo_Generic / Blockchain: A Practical Guide to Developing Business, Law, and Technology Solutions / Bambara / 587-9 / Chapter 7
156
Blockchain
The use of access control should not be implemented as part of the function itself, but the
use of clearly defined modifiers on the function header is highly recommended. This is because
it separates the access control logic from the function and also because it makes the functions
easier to read since they only contain the business logic.
Single Contract Design
As a contract evolves and has more and more features added to it, it’s easy to end up with a fat
contract that does way too much and becomes difficult to manage. If nothing else is done, the
development will end abruptly one day, simply because the combined cost of code deposit and
create execution exceeds the total available gas within a single block execution. This is called
block gas limit (BGL). The BGL on the public net is currently 4,712,388.
A way to keep an eye on this is to look at the gas estimates in the json output of the
compilation. As seen here, the sum of the two numbers (code deposit and execution) exceeds
BGL, so this contract will not be able to deploy.
"gasEstimates": {
"creation": [
329430,
4264400
]…
In general, if the contract creation estimate comes anywhere near to BGL, the contract
design should be revised.
Linked Contracts
Instead of putting all functionality into a single contract, it’s often advisable to divide it into
several contracts that act together. Ideally you can reuse already existing base contracts that
have been well designed, well tested, and have stood the test of time. Such contracts could be
standard tokens, multisig wallets, etc.
Let’s say that you want to build an ICO contract, where investors are invited to buy tokens
at a fixed price for a limited period of time. You want to collect all the ether into a secure
wallet, and you want all the tokens to reside in a standard ERC20 token that eventually will
be freely tradable on exchanges after the ICO. When the ICO is over and validated, the ICO
contract is in fact not needed anymore as it has completed its life cycle.
How would you construct such an ICO contract system?
Well, there are a number of implementations of both multisig wallets and standard
contracts, so no need to write those. Instead, we concentrate on writing our particular ICO
process and then just bind it to a standard multisig wallet and a standard token contract.
Each contract is deployed as a separate transaction so the size of the total contract system
can be much larger that a single BGL. Only the individual contracts need to be below BGL.
Here is the pseudocode to create the contracts and bind them together.
// specify the token
uint initialAmount = 90000000;
string tokenName = 'MyToken';
07-ch07.indd 156 04/01/18 3:21 PM
HowTo_Generic / Blockchain: A Practical Guide to Developing Business, Law, and Technology Solutions / Bambara / 587-9 / Chapter 7
Chapter 7 Ethereum Application Best Practices
157
uint8 decimalUnits = 18;
string tokenSymbol = 'XYZ';
// specify the ico owner and ico process auditor
address icoOwner = '0x…';
address auditor = '0x…';
// create a standard multisig wallet with ICO auditor as second confirmer
address[] public owners;
owners.push(icoOwner);
owners.push(auditor);
var multisigWallet = new Multisig(owners,2,0);
// create a standard token
var tokencontract = new StandardToken(
initialAmount, tokenName, decimalUnits, tokenSymbol);
// create crowd sale contract with references to ERC20 and wallet
var crowdcontract = new MyCrowdsale(
tokencontract, multisigWallet, start, end);
}
// transfer tokens from owner to crowd sale contract for sales
tokencontract.transfer(crowdcontract,salesAmount);
Once the contracts are deployed and connected, the ICO sales can start (here shown as
explicit functions, often the ICO runs within a specified blockNumber range).
// START THE ICO
crowdcontract.startSales();
// token sales transactions on crowdcontract
…
crowdcontract.stopSales();
// THE ICO IS COMPLETE
When the ICO is complete, the ICO owner can request the funds.
// request transfer of crowd funding
var balance = address(multisigWallet).balance;
var h = multisigWallet.execute(icoOwner,balance,'');
// await auditor to confirm
The auditor can validate the ICO process and state and release the funds to the ICO owner.
// An AUDITOR confirms that all is fine and dandy
multisigWallet.confirm(h);
Now that the ICO is complete and the shares are stored in the standard contract, the ICO
crowd
contract can be destroyed.
// once the funding is done the crowd contract can be killed
crowdcontract.kill();
// and even the wallet can be killed
multisigWallet.kill();
07-ch07.indd 157 04/01/18 3:21 PM
HowTo_Generic / Blockchain: A Practical Guide to Developing Business, Law, and Technology Solutions / Bambara / 587-9 / Chapter 7
158
Blockchain
User-Specific Contracts
Previously we saw an example where several (standard) contracts worked in conjunction,
forming the whole system. If we want each user to have its own individual settings and
peculiarities, then instead of polluting the core contracts with this complexity, it might be
better to keep them as user-specific contracts. As we discussed earlier, polymorphism works
well in Solidity with the interface specification.
Imagine we have a contract system that handles assets that is accessed within the main
contract master only using an asset interface like this:
pragma solidity ^0.4.11;
import "./Ownable.sol";
interface Asset
{
function isActive() external returns(bool);
function someAction(address _to) external;
}
contract Master is Ownable
{
mapping (address => bool) public userAssets;
function SetUserAsset(Asset _asset, bool _status) onlyOwner
{
if (_status && !_asset.isActive())
revert();
userAssets[_asset] = _status;
}
function someAction(Asset _asset, address _to) onlyOwner
{
if(!userAssets[_asset])
revert();
_asset.someAction(_to);
}
}
Then different asset implementations can be developed even after the master contract
is deployed.
contract AssetBase is Asset
{
address master;
modifier onlyMaster {
require(msg.sender == master);
_;
}
function AssetBase(address _master)
{
master = _master;
07-ch07.indd 158 04/01/18 3:21 PM
HowTo_Generic / Blockchain: A Practical Guide to Developing Business, Law, and Technology Solutions / Bambara / 587-9 / Chapter 7
Chapter 7 Ethereum Application Best Practices
159
}
function isActive() external returns(bool);
function someAction(address _to) onlyMaster external;
}
contract MyAsset is AssetBase
{
function MyAsset(address _master) AssetBase(_master)
{
}
function isActive() external returns(bool)
{
return true;
}
function someAction(address _to) onlyMaster external
{
… do some stuff
}
}
Some later implementation of an asset contract:
contract MyAsset2 is Asset
{
address master;
modifier onlyMaster {
require(msg.sender == master);
_;
}
function MyAsset2(address _master)
{
master = _master;
}
function isActive() external returns(bool)
{
return true;
}
function someAction(address _to) onlyMaster external
{
… do some other stuff
}
}
This allows for the following deploy sequence.
Deploy master:
Master m = new Master();
07-ch07.indd 159 04/01/18 3:21 PM
HowTo_Generic / Blockchain: A Practical Guide to Developing Business, Law, and Technology Solutions / Bambara / 587-9 / Chapter 7
160
Blockchain
Develop MyAsset, deploy it, and bind it to master:
var a = new MyAsset(m);
m.SetUserAsset(a,true);
Later, develop MyAsset2, deploy it, and bind it to master:
var b = new MyAsset2(m);
m.SetUserAsset(b,true);
Call some actions on the assets:
m.someAction(a,to);
m.someAction(b,to);
This also demonstrates that a system of linked contracts can be designed to upgrade
and extend over time without a total redeployment—in this example, especially without
redeployment of master, which address might be embedded in a lot of systems and users’ wallets.
Handling Persistent Contract Addresses
In some situations, it may be desirable to keep a persistent contract address while maintaining
the possibility of changing the implementation. For instance, if the contract address is imbedded
in many other systems or registered with many users, changing the instance address may be an
insurmountable endeavor and involve unmanageable synchronization issues.
This problem can be resolved by introducing a proxy contract that wraps the
implementation contract. This is a well-known traditional technique that is especially
relevant for this smart contract issue.
An implementation of a proxy goes like this:
You start with the interface of the desired functionality.
contract SomeInterface {
// sample function
function doSomething(address _arg1, uint256 _arg2) public;
// sample event
event DoneSomething(address _arg1, uint256 _arg2);
// service functions
function log(string _var, uint256 _value);
event Log(string _var, uint256 _value);
}
Implement the proxy contract as callthroughs to the implementation contract functions.
The log function is a helper function to issue events on the proxy contract level.
contract ProxyContract is SomeInterface, Ownable {
SomeInterface public implementation; //current implementation class
modifier onlyImplementation {
if(msg.sender != address(implementation)) revert();
_;
07-ch07.indd 160 04/01/18 3:21 PM
HowTo_Generic / Blockchain: A Practical Guide to Developing Business, Law, and Technology Solutions / Bambara / 587-9 / Chapter 7
Chapter 7 Ethereum Application Best Practices
161
}
function setImplementation( SomeInterface _newimplementation )
onlyOwner public
{
implementation = _newimplementation;
}
// this function must only be called from the implementation
function log(string _var, uint256 _value) onlyImplementation
{
// add event at proxy level
// triggering all event listeners at ProxyContract
Log(_var,_value)
}
function doSomething(address _arg1, uint256 _arg2) public
{
// forward proxy call to current implementation
implementation.doSomething(_arg1, _arg2);
DoneSomething(_arg1, _arg2);
}
}
The implementation class that implements the actual doSomething function is only
allowed to be called from the proxy call.
contract ContractImplementation1 is SomeInterface, Ownable {
SomeInterface public proxy;
modifier onlyProxy {
if(msg.sender != address(proxy)) revert();
_;
}
function ContractImplementation1(SomeInterface _proxy) {
proxy = _proxy;
}
// actual function
function doSomething(address _arg1, uint256 _arg2) onlyProxy
{
…
// fire event on proxy class
proxy.log('_arg1',uint256(_arg1));
proxy.log('_arg2',_arg2);
}
function log(string _var, uint256 _value)
{
revert();
}
}
07-ch07.indd 161 04/01/18 3:21 PM
HowTo_Generic / Blockchain: A Practical Guide to Developing Business, Law, and Technology Solutions / Bambara / 587-9 / Chapter 7
162
Blockchain
Set up the proxy.
ProxyContract proxy;
ContractImplementation1 impl1;
// create proxy class
proxy = new ProxyContract();
// set up the first implementation
impl1 = new ContractImplementation1(proxy);
proxy.setImplementation(impl1);
Correct call to implementation as a call to the proxy contract.
proxy.doSomething(this,0xFFF0);
This is not allowed:
impl1.doSomething(this,0xFF80);
impl1.log('arg',0xFF80);
proxy.log('arg',0xFF80);
If a change is needed, then change the implementation to a new class.
proxy.setImplementation(new ContractImplementation2(proxy))
Now the same proxy call will call the new implementation.
proxy.doSomething(this,0xFFF0);
Halting a Contract
If an unforeseen event happens, like a severe bug in the EVM or the discovery of a vulnerability
within the code, the assets within the contract might be in danger. In this case it will be a good
idea to have a halt functionally that stops most (but not all) of the activity within the contract
while the situation is evaluated.
This can easily be accomplished by adding a notHalted modifier to the functions.
modifier notHalted {
if(!halted) revert();
_;
}
// actual function
function doSomething(address _arg1, uint256 _arg2) notHalted
{…}
From a security perspective, the decision to halt the contract should be available for
central system operators and security agencies, while the unhalt should be restricted to the
owner—much like a normal emergency button where many people can stop the machinery,
but only a few can start it again. Better safe than sorry.
function halt() onlyPrivilegedUsers { halted = true; }
function unhalt() onlyOwner { halted = false; }
07-ch07.indd 162 04/01/18 3:21 PM
HowTo_Generic / Blockchain: A Practical Guide to Developing Business, Law, and Technology Solutions / Bambara / 587-9 / Chapter 7
Chapter 7 Ethereum Application Best Practices
163
Smart Contract Life Cycle: Migration
If case of bugs, vulnerabilities, or the need to add some new features, a new contract is needed
and should replace the old contract.
The basic idea with a smart contract migration is similar to a normal application migration.
The state of the old smart contract is transferred securely to a new smart contract, and the old
contract becomes inert or is destroyed.
Here we have a trust issue. In the best-case scenario, the benign contract owner discovers
a security issue, fixes the error and deploys a new contract, and as migration master puts
the original smart contract into migration mode pointing to the new contract. Then each
stakeholder transfers their state from the old contract to the new contract—that is, for a token
contract the user transfers their tokens from the old contract to the new contract, and so
on. Once all states (tokens, etc.) are transferred, the old contract can be destroyed or simply
become an inactive void instance. Note that the user transfers the state, not the contract owner.
A migration interface could look like this:
// agent interface
contract MigrationAgent {
function migrateFrom(address _from, uint256 _value);
}
When implementing the transfer function, we must ensure that it can only be called from
the original smart contract.
// unsafe function can be called by anyone
function migrateFrom(address _sender, uint _value)
{
balances[_sender] = balances[_sender].add(_value);
...
}
modifier onlyFromContract() {
if (msg.sender != migrationFromContract || migrationFromContract == 0)
revert();
_;
}
// safe migrate function
function migrateFrom(address _sender, uint _value) onlyFromContract
{
balances[_sender] = balances[_sender].add(_value);
MigratedFrom(msg.sender, migrationFromContract, _value);
}
event MigratedFrom(address indexed _from,
address indexed _contract,
uint256 _value);
// each user calls the migrate function on the original contract
// to migrate the users’ tokens to the migration agent
function migrate() external {
if (migrationAgent == 0) revert(); // revert if not in migrate mode
var _value = balances[msg.sender];
07-ch07.indd 163 04/01/18 3:21 PM
HowTo_Generic / Blockchain: A Practical Guide to Developing Business, Law, and Technology Solutions / Bambara / 587-9 / Chapter 7
164
Blockchain
if (_value <= 0) revert(); // revert if not value left to transfer
// set the balance to 0 before the migrateFrom call
balances[msg.sender] = 0;
totalMigrated += _value;
// this is the only place migrateFrom is allowed to be called
MigrationAgent(migrationAgent).migrateFrom(msg.sender, _value);
Migrated(msg.sender, migrationAgent, _value);
}
Smart Contract Interaction with
Users and Enterprise Applications
As we discussed earlier, smart contracts and blockchain are only a part of a whole solution.
If the bulk of the business logic is within the contract(s) and only a simple user application
is needed, it can easily be implemented as a dapp. In an enterprise solution, smart contracts
can be thought of as an asynchronous web service or a batch job component of the system.
When integrating blockchains into an existing enterprise application, in many cases it is a
good idea to expose the blockchain interaction through a standard web service. In this way, the
“old” enterprise application developers don’t need to deal with or understand the particulars
of blockchain interaction. From their perspective, it’s just an additional third-party component
with normal async WEB-API behavior.
Debugging Your Smart Contract
Debugging is an essential part of application development. This is true for smart contract
development as well. Unfortunately, in Solidity the throw keyword or calling revert()
does not take any argument and cannot return any error number or error text. In non-trivial
functions there can be several reasons for failure, and as a newbie or with complex contracts
it can be difficult to quickly identify the reason for failure. This is a limitation of the current
environment both during development debugging and debugging production problems. We
hope this will be addressed in future versions of EVM and Solidity.
Pitfall: The low-level functions send,call,delegatecall,and callcode return
false in case of an error; they do not throw an error. Take extra care when using these functions
and test thoroughly.
Debugging Using Remix
As covered in Chapter 6, Remix Solidity IDE is one of the best debugging tools presently
available. This tool allows you to code Solidity contracts, compile them, analyze them, and
even run them. It is a great tool to try things out and to get acquainted with the mechanics
and quirks of the Solidity and EVM environment. It also has a JavaScript VM that allows you
to step through the function calls and identify problems and states, and is an indispensable
tool to find those bugs that just elude your comprehension. Unfortunately, it currently only
works well for small code bases. For large code bases containing many contracts, Remix
becomes slow and even unworkable.
07-ch07.indd 164 04/01/18 3:21 PM
HowTo_Generic / Blockchain: A Practical Guide to Developing Business, Law, and Technology Solutions / Bambara / 587-9 / Chapter 7
Chapter 7 Ethereum Application Best Practices
165
Debugging Using Events
Another way to debug your code is to (mis)use an event. If you add an event like this one,
event Debug(string text, uint value);
then you can add calls like this to your code:
… code that works
Debug('addr',uint(addr));
Debug('value',addr);
Debug('status',status?1:0);
return;
… some code that throws
You can then examine the values from the event log within your test environment.
Notice the premature return to prevent having the function throw, because otherwise
all is reverted and no events are logged. It is the nearest thing to a log.writeline you
can have in EVM. We often use this approach if we inadvertently introduce a throw bug that
reveals itself within a complex Truffle test set, where the reason for the error is not obvious
and is too cumbersome to reproduce in Remix.
Smart Contract Validation
Testing smart contracts is especially important since they cannot be changed once deployed.
Therefore you definitely want to test and review every possible scenario that can unfold
in the production network, including what happens when hackers are trying to steal the assets
they contain.
Types of Tests
The relevant tests can be divided into separate types and domains and are described individually.
Functional Tests
Firstly, you have the traditional CRUD-like function tests that ensure you can create, read,
update, and delete entries, roles, users, etc., within your contract. This is just business as usual.
Normal Life Cycle Flow Tests
These tests run through the different stages of a contract such as creating, preparing, running,
halting, and terminating. They test that the contract can change stages correctly all the way
from create to destroy. For each stage, it is tested that the functions for that stage can be called
but also that functions for other stages cannot be called—for example, testing that init
functions cannot be called in the running stage.
Vulnerability Tests
There are known vulnerabilities that need to be mitigated and tested.
07-ch07.indd 165 04/01/18 3:21 PM
HowTo_Generic / Blockchain: A Practical Guide to Developing Business, Law, and Technology Solutions / Bambara / 587-9 / Chapter 7
166
Blockchain
Overflow and Underflow Attacks
Numbers like uint don’t fail on overflow or underflow like most other high-level languages,
but just wrap around, maxsize assembler style. Why this design decision was made is beyond us.
Consider the code:
uint a = 1;
uint b = a - 2;
uint c = b + 2;
Here a – 2 performed an underflow and becomes 1157920892373161954235709850086
87907853269984665640564039457584007913129639935.
And b + 2 performs an overflow and becomes 1. The same condition can be found for
most other operations.
This constitutes an attack vector that may allow a user to call a function with a carefully
designed value that triggers an arithmetic error, i.e., assigns a very large account value for an
address. Normally these kinds of errors are mitigated by safe numeric operations like this:
library SafeMath {
…
function add(uint a, uint b) internal constant returns (uint) {
uint c = a + b;
assert(c >= a);
return c;
}
and used in contracts like this:
contract XXX {
using SafeMath for uint;
…
uint a = 1;
uint b = a.sub(2);
uint c = b.add(2);
We don’t understand why this is not the default behavior since everyone has to add it to
their contract code.
Recursive Call Attacks, Reentrancy Exploit
Consider this code:
1) mapping(address => uint) balances;
2) function withdraw() public {
3) uint amount = balances[msg.sender];
4) if (!(msg.sender.call.value(amount)())) revert();
5) balances[msg.sender] = 0;
6) }
07-ch07.indd 166 04/01/18 3:21 PM

HowTo_Generic / Blockchain: A Practical Guide to Developing Business, Law, and Technology Solutions / Bambara / 587-9 / Chapter 7
Chapter 7 Ethereum Application Best Practices
167
This function withdraws all assets from an account (3), sends them to its owner (4), and
updates the account balance to zero (5). However, since the call.value potentially hits a
function at a sender’s contract, this function can call the withdraw function again before
it is set to 0, thus withdrawing the balance value again and again until the original contract
is depleted.
Note that this attack might also be executed by calling a sequence of other functions on
the original contract that exploit an incomplete state change. Normally this issue is mitigated
by applying the Checks-Effects-Interaction pattern—that is:
1.
First Check all preconditions,
2. en perform all the Effects on the global state,
3. And finally do Interactions with other contracts
function withdraw() public {
// Checks
require(balances[msg.sender]>0);
// Effects
uint amount = balances[msg.sender];
balances[msg.sender] = 0;
// Interactions
assert((msg.sender.call.value(amount)()));
}
Test Contract at Maximum Capacity
One consequence of the limited amount of gas in a block (BGL) is that you need to think about
gas usage of the different functions when you keep adding items to the contract system. What
happens at maximum capacity of the contract? Will the contract functions experience gas
overflows at maximum capacity?
Loops and recursive calls are especially critical. Will the operations have enough gas to
execute in worst-case conditions? Try to identify the longest run for loops and the deepest
recursive call. In fact, it’s best to avoid them altogether if possible. If that is not possible, ensure
that they will have a defined upper limit within BGL.
Dry Run Using Private Nets
At the end of the day, testing with TestRPC and JavaScript VM isn’t the real McCoy. To be
blunt, each test daemon implements its own particular quirks and errors that are different
from the quirks and errors in the production environment.
Therefore, it is prudent to do a dry run of the intended usage (and misusage) using the
real daemon, such as Geth or Parity. The actual code is the same in all environments. The
only difference between executing in dev, testnet, or production is the chainId. In many cases,
especially during development, it is desirable to run in a private blockchain. You don’t want to
plaster testnet or production with half-baked contracts in your name. Fortunately, it’s rather
easy to launch a private blockchain. Here it’s shown for Geth.
07-ch07.indd 167 04/01/18 3:21 PM
HowTo_Generic / Blockchain: A Practical Guide to Developing Business, Law, and Technology Solutions / Bambara / 587-9 / Chapter 7
168
Blockchain
In a test cycle, it’s preferable to start at the same state every time, so first delete all old
chain information.
RD /S /Q "%~dp0\privChain\geth\chainData"
RD /S /Q "%~dp0\privChain\geth\dapp"
RD /S /Q "%~dp0\privChain\geth\nodes"
del "%~dp0\privChain\geth\nodekey"
Then initialize a new blockchain using a configuration file.
geth --datadir=privChain init genesis_dev.json
Finally, launch a node running your private blockchain.
geth --rpc --networkid=39318 --maxpeers=0
--datadir=privChain --rpccorsdomain "*"
--rpcapi "eth,web3,personal,net,miner,admin,debug"
--verbosity 3 console
If you want your private node to run simultaneously with other nodes, add specification of
the modified port like this:
--port 30304 --rpcport=8551 --ipcpath "devgeth.ipc"
Then connect to the private node using the URL, e.g., http://localhost:8551.
The configuration file that reflects production details might look like this:
genesis_dev.json
{
"config": {
"chainId": 39318,
"homesteadBlock": 0,
"eip155Block": 0,
"eip158Block": 0
},
"nonce": "0x0000000000000042",
"difficulty": "0x200",
"alloc": {
"12890d2cce102216644c59dae5baed380d84830c": {
"balance": "10000000000000000000000"
}
},
"mixhash":
"0x0000000000000000000000000000000000000000000000000000000000000000",
"coinbase": "0x0000000000000000000000000000000000000000",
"timestamp": "0x00",
"parentHash":
"0x0000000000000000000000000000000000000000000000000000000000000000",
"extraData": "0x",
"gasLimit": "0x4c4b40"
}
07-ch07.indd 168 04/01/18 3:21 PM
HowTo_Generic / Blockchain: A Practical Guide to Developing Business, Law, and Technology Solutions / Bambara / 587-9 / Chapter 7
Chapter 7 Ethereum Application Best Practices
169
Most are default values that should match production. The main values to set are the
chainId and the alloc section where addresses can be prefilled with ether.
Autopsy of a Wallet Bug
On July 19, 2017, it was discovered that somebody had heisted three Parity multisig wallets.
This resulted in a race where the community, with the White Hat Group (WHG) in front, tried
to identify and mitigate the issue.
The constructor function looks like this:
contract Wallet is WalletEvents {
// WALLET CONSTRUCTOR
// calls the `initWallet` method of the Library in this context
function Wallet(address[] _owners, uint _required, uint _daylimit) {
// Signature of the Wallet Library's init function
bytes4 sig = bytes4(sha3("initWallet(address[],uint256,uint256)"));
address target = _walletLibrary;
// Compute the size of the call data : arrays has 2
// 32bytes for offset and length, plus 32bytes per element ;
// plus 2 32bytes for each uint
uint argarraysize = (2 + _owners.length);
uint argsize = (2 + argarraysize) * 32;
assembly {
// Add the signature first to memory
mstore(0x0, sig)
// Add the call data, which is at the end of the code
codecopy(0x4, sub(codesize, argsize), argsize)
// Delegate call to the library
delegatecall(sub(gas, 10000), target, 0x0, add(argsize, 0x4), 0x0, 0x0)
}
}
…
As you can see, it delegates the initialization to a _walletLibrary function initWallet
by constructing the call directly in memory using assembly opcodes. This code is not for the
fainthearted. This is pure brain surgery—you don’t want to sneeze while writing this code.
Also, the wallet default function uses the fact that if you call a function not defined in the
wallet contract itself, it will be caught by the default function.
The delegatecall to _walletLibrary is called with the original function call data.
This means that you will have implicit access to all the functions in _walletLibrary as
07-ch07.indd 169 04/01/18 3:21 PM
HowTo_Generic / Blockchain: A Practical Guide to Developing Business, Law, and Technology Solutions / Bambara / 587-9 / Chapter 7
170
Blockchain
they were implemented directly in the wallet contract. This is a very powerful mechanism but
potentially also very dangerous.
// gets called when no other function matches
function() payable {
// just being sent some cash?
if (msg.value > 0)
Deposit(msg.sender, msg.value);
else if (msg.data.length > 0)
_walletLibrary.delegatecall(msg.data);
}
One of the functions in the WalletLibrary is the init helper function initWallet
we saw called in the constructor of the wallet, and that is what it was meant for. However,
since there are no checks or modifiers on it, and with the delegatecall call in the default
function, this unfortunately means that everybody can call the initWallet at every moment
of the wallet life cycle. Thus, they gain owner control over the multisig wallet, making
transferring money out of it like stealing candy from a baby.
// constructor - just pass on the owner array to the multiowned and
// the limit to daylimit
function initWallet(address[] _owners, uint _required, uint _daylimit) {
initDaylimit(_daylimit);
initMultiowned(_owners, _required);
}
The fix was very simple, by just adding the missing modifier to control that the init
helper functions can only be called in the initialization phase.
// throw unless the contract is not yet initialized.
modifier only_uninitialized { if (m_numOwners > 0) revert(); _; }
function initWallet(address[] _owners,
uint _required,
uint _daylimit) only_uninitialized
{ ... }
This clearly illustrates how important it is to think very thoroughly about each and every
function:
•
What are the preconditions?
•
Who is allowed to call it?
•
When in the life cycle is it allowed to be called?
Moreover, test that when you call it at the right moment as the rightful operator, it indeed
does what it is supposed to do (normal unit testing). Even more important, test that if you
are not the rightful operator or call it in the wrong state, it will do no harm and will in fact be
rejected (security testing).
Writing thorough test cases is a job magnitude larger and more comprehensive than
writing the contract itself.
07-ch07.indd 170 04/01/18 3:21 PM
HowTo_Generic / Blockchain: A Practical Guide to Developing Business, Law, and Technology Solutions / Bambara / 587-9 / Chapter 7
Chapter 7 Ethereum Application Best Practices
171
The Future
One part of the smart contract development system that lags behind is automated testing. Using
and extending the NatSpec comments could easily facilitate the generation of skeleton testing
code that would significantly reduce the time spent on setting up unit and security testing.
However, the elephant in the room is the lack of scalability, which limits wide
adaptation. It also makes blockchain vulnerable to denial-of-service attacks by flooding it
with spam transactions. Also, to support microtransactions the transaction price needs to
be lower. To become a universal and scalable platform, this problem has to be solved. One
solution that tries to address the problem is the Lightning Network–like implementation
for Ethereum called the Raiden Network. This work-in-progress project supplements the
Ethereum blockchain with an offline chain to settle microtransactions. However, it requires
preallocation of tokens/ether that are taken offline by transferring them to the Raiden
Network before they can be utilized. This introduces a locking of assets offchain equal to the
total liquidity needed. Also, it doesn’t solve the scalability of general smart contracts. Other
types of blockchain projects try to address this problem too. One example is the EOS Project,
a generalized platform based on features from Steemit and Ethereum. This platform has no
transaction fee and offers three-second block transactions without congestion by allowing
parallelism in block execution and thereby introducing horizontal scalability beyond the
100,000 transaction per second mark.
Another example is the IOTA project, which is designed directly for massive
microtransactions between IoT devices. In IOTA when you need to add a transaction, you
need to validate two other transactions and check for conflicts before submitting into a
tangle (connected graph), so you become your own miner, thus eliminating the need to pay
somebody else for the validation. Strictly speaking, IOTA is not a chain of blocks containing
transactions but rather a mesh of linked transactions. On the roadmap, IOTA will include
smart contracts and oracles.
Absolute privacy is also an issue. Even though addresses are anonymous in the sense
that the identities behind them are not normally registered, all transactions and balances
are publicly available by design. If you use ether to pay to an address that uses some kind
of KYC, either directly or indirectly, it is possible to back-trace your spending habits and
wealth. Monero is an example of a blockchain that focuses on complete anonymity that is
secure, private, and untraceable. It uses ring signatures where decoy addresses are added to
the transaction, making it possible to hide the origin of a transaction. With stealth addresses
(one-time addresses), the destination address is obscured. By using ring confidential
transactions, the value of the transactions is hidden by cryptographical algorithms, but
still verifiable. All in all, it ensures complete anonymity end to end. As yet they don’t have
Lightning Network or smart contracts, but those are on the roadmap.
Ripple XRP is a private centralized permission-based blockchain that acts like a
worldwide transfer between bank accounts à la SWIFT. It’s designed to scale to the same
performance as VISA by implementing a peer-to-peer ledger network with a distributed
agreement protocol. Instead of including the smart contract into the core blockchain, Ripple
decided to implement a separate platform, Codius, for the smart contract and oracle part,
which also allows cross-blockchain applications.
07-ch07.indd 171 04/01/18 3:21 PM
HowTo_Generic / Blockchain: A Practical Guide to Developing Business, Law, and Technology Solutions / Bambara / 587-9 / Chapter 7
172
Blockchain
When looking at roadmaps for the different blockchains, it’s clear that they have many of
the same properties in mind. These include scaling the number of transactions to allow both
volume and micropayments, as well as the inclusion of smart contracts and integration of
oracles. All of these are where the best practices in this chapter will come in handy.
Summary
As we have seen in this chapter, the EVM provides a rich environment that enables
development of solutions ranging from simple dapps, over simple interactions with oracles to
fetch external information, all the way to full stack enterprise solutions. The smart contract
platform includes all the features for creating modern code with multiple contracts calling
and interaction with each other, including producing events to external systems. Also, we
have recognized the importance of clear design in terms of modularity, roles and security,
and life cycle management. Finally, because of blockchain’s immutable nature, testing and
validating of smart contracts need special attention prior to deployment on the blockchain.
07-ch07.indd 172 04/01/18 3:21 PM
173
HowTo_Generic / Blockchain: A Practical Guide to Developing Business, Law, and Technology Solutions / Bambara / 587-9 / Chapter 8
8 Private Blockchain
Platforms and Use Cases
B
lockchain is a peer-to-peer distributed ledger technology, which makes it easier to create
a more cost-efficient network with no central point of control. This is in contrast to
the world where members of a business ecosystem maintain their own ledger or systems of
record (SOR). These separate ledgers are continually being reconciled with one another in an
inefficient, expensive, and often nonstandard way. Over time, these separate ledgers have been
duplicated many times within each member’s datacenters. It has gotten to the point where data
governance, testing, release management, and in effect the complete software development life
cycle (SDLC) is always hampered and more or less broken or damaged. It is no wonder that
these institutions cannot innovate fast enough. It’s like trying to run a race while dragging a
trailer containing all the clothing you’ve ever owned throughout your lifetime!
However, recently the concept of private blockchains has become popular within the
discussions on blockchain technology, particularly among financial institutions. Instead of
having a fully decentralized network open to the public with anonymous parties, it is possible
to create a system where each party is identified and granted permissions to change or read
the blockchain. These private blockchains are also tackling the performance issue because
consensus is performed on fewer nodes. In fact, it is likely that there will be many blockchain
networks with each network serving a different set of goals and distinct business applications
(see Figure 8-1).
It is important to note that there is some discussion that these private blockchains are
compromising the central concept of decentralization. But for the purposes of this book let’s
take a look at the differences between the types or categories of blockchain.
08-ch08.indd 173 04/01/18 3:21 PM

HowTo_Generic / Blockchain: A Practical Guide to Developing Business, Law, and Technology Solutions / Bambara / 587-9 / Chapter 8
174
Blockchain
Categories of Blockchain
Generally speaking, there are three categories of blockchain-like database applications: public,
consortium, and private.
•
Public Anyone can read or submit transactions (submissions will be committed if valid),
and anyone can participate in the consensus process. These trustless platforms are secured
by mechanisms such as proof of work or proof of stake, a.k.a. cryptoeconomics. In other
words, influence in the consensus process is proportional to the quantity of economic
resources that entity can bring to bear.
•
Consortium Consensus is controlled by a preselected set of nodes and rules for
achieving consensus. The right to read the blockchain can be open to the public, or it can
also be restricted to a set of known participants—for example, 10 banks in a consortium
that agree to the consensus rule that 7 of 10 banks must sign (approve) a block for it to be
considered a valid representation of the truth.
•
Private Write permissions are kept centralized to a single organization or part of it.
Read permissions may be public or restricted to a set of known participants.
In short, there are really two categories, public and private. The consortium is a derivative
of the private blockchain with multiple identified and permissioned members/participants.
FIGURE 8-1
Many blockchain networks
Private
contract
between B
and C
Validator
Node C
Private
contract
between X
and Y
Validator
Node Y
Validator
Node B
Validator
Node A
Validator
Node F
Validator
Node D
Validator
Node E
Validator
Node C
Debt trading
Validator
Node B
Validator
Node B
Validator
Node A
Validator
Node A
Validator
Node E
Validator
Node E
Validator
Node D
Validator
Node D
Validator
Node C
Validator
Node C
Municipal bonds
Inter-network
transactions
Membership Service
Membership Service
Inter-network
transactions
Equities
Validator
Node X
Validator
Node B
Local Market
Network
Regional Market
Network
Global Market
Network
08-ch08.indd 174 04/01/18 3:21 PM
HowTo_Generic / Blockchain: A Practical Guide to Developing Business, Law, and Technology Solutions / Bambara / 587-9 / Chapter 8
Chapter 8 Private Blockchain Platforms and Use Cases
175
Here is a list of the advantages of a private blockchain:
•
When read permission is enforced, a private blockchain provides privacy.
•
A consortium or private entity can change the rules of a blockchain, allowing them to
revert transactions, modify (fix) balances, etc. This functionality may be deemed necessary,
although we must say these reasons look more like patches to fix defective functionality.
•
The miners (or validators) are identified, defined, and known, so any risk of a 51 percent
attack from colluding bad actors does not exist or can easily be identified and dealt with.
•
Transactions are less expensive, since they only need to be verified by a limited set of
trusted (and identified) nodes instead of by every node on the public network. There does
not have to be any transaction fee. There may still be a requirement to run a validator
node to participate in the network. This would be an expense, but would be less expensive
to participants than a transaction fee on the public network. The validator node may also
provide protection against a distributed denial-of-service (DDoS) attack.
•
With fewer miners needed, consensus finality can be achieved much faster among a
smaller group.
So, given the above, it is no surprise that financial institutions invariably choose private
(or consortium) platforms for their blockchain applications. It is also a reason that private
blockchains are also known as enterprise blockchains.
Private Blockchain Use Cases
The public blockchain has, in many cases by design, the following challenges to enterprise
adoption, particularly those industries that are highly regulated:
•
No privacy
•
Anonymous processors
•
Little to no governance
•
Limited throughput with slow transaction confirmation (performance challenge)
In short, there are essentially two aspects to privacy itself: read permission and block
generation (or write) permission. If the use case requires privacy, you will want to restrict read
permission. If the use case requires trust spread across a limited and predetermined set of
participants, you will want to restrict write permission. Both aspects individually or collectively
may push you to a private (or consortium) blockchain platform.
Throughout this chapter we mention use cases for private blockchains. The following is a
more complete collection of use cases:
•
A permissioned interfinancial institution settlement layer for digital assets (currencies
and securities)
•
An intracompany ledger (balance sheet) containing private data without any single
department being in authoritative control
•
A permissioned platform for the issuance and maintenance of rewards, loyalty points,
and gift cards
08-ch08.indd 175 04/01/18 3:21 PM

HowTo_Generic / Blockchain: A Practical Guide to Developing Business, Law, and Technology Solutions / Bambara / 587-9 / Chapter 8
176
Blockchain
•
A tracking tool for private equity, debt, and other liquid agreements
•
Database management, auditing, etc., internal to a single company
•
Any use case that requires incredibly high numbers of transactions per second
Again, the considerations for choosing a private blockchain platform can be narrowed
down to the requirements depicted in Figure 8-2.
Private Blockchain Technology
This section presents blockchain technology platforms that are applicable for the private and
consortium spaces.
AlphaPoint Distributed Ledger Platform
Website: https://www.alphapoint.com/adlp.html
AlphaPoint Distributed Ledger Platform is a private, permissioned protocol that leverages
blockchain, and it further allows firms complete control over their data. ADLP’s key benefits are:
•
Secure architecture Multiple entities communicate and link via encrypted messages
across secure networks.
•
Permissioned Parties can only access data that is explicitly shared with them.
FIGURE 8-2
Requirements leading to private blockchains
Transaction speed Privacy
Transaction cost Protect model
• Fewer nodes
• High trust • Identity
• Not publicly available
• Fewer nodes
• Validator fee control
• Bank/government
pro-fiat currency agenda
$ €
£ ¥
08-ch08.indd 176 04/01/18 3:21 PM

HowTo_Generic / Blockchain: A Practical Guide to Developing Business, Law, and Technology Solutions / Bambara / 587-9 / Chapter 8
Chapter 8 Private Blockchain Platforms and Use Cases
177
The platform enables organizations to digitize, manage, and exchange financial
instruments; deploy smart contracts along with automated workflows; and therefore reduce
operational overhead.
Chain Core
Website: https://chain.com
Chain Core is a permissioned blockchain platform that is used to issue and/or transfer
financial assets. Using it, financial institutions can launch and operate a blockchain network
or connect to other networks in order to move assets around. The Chain protocol handles this
by defining how assets are issued, transferred, and controlled. It allows a single entity (private)
or a group of organizations (consortium) to operate a network, supports the coexistence of
multiple types of assets (e.g., currencies, securities, derivatives, gift cards, and loyalty points),
and has a degree of interoperability with other independent networks.
Corda
Website: https://www.corda.net
Corda is an open-source platform that implements a distributed ledger made up of mutually
distrusting nodes that records the state of deals and obligations between entities, which can be
institutions or individuals. Unlike Ethereum, Corda’s smart contracts are currently limited to
the application of financial logic, and all nonfinancial applications are out of scope.
One of Corda’s key features is pluggable consensus within the same network. This feature
supports multiple consensus providers, and each can employ different algorithms. This type of
distributed ledger has many applications focused around commerce, such as finance, trade, and
supply chain tracking. Other key features are that this is a permissioned network, with access
controlled by a doorman (TLS certificate provided to each node participant upon successful
registration), and that all communication between nodes is point-to-point, instead of being
sent to all nodes in a global broadcast.
Domus Tower
Website: http://domustower.com
Domus Tower has a vertical blockchain product that is solely designed to settle U.S. equities.
The company’s key selling point is that its technology can record a high rate of transactions
in a scalable manner. The company’s whitepaper begins with a statement that the product has
08-ch08.indd 177 04/01/18 3:21 PM

HowTo_Generic / Blockchain: A Practical Guide to Developing Business, Law, and Technology Solutions / Bambara / 587-9 / Chapter 8
178
Blockchain
been “benchmarked at ingesting over 1 million transactions per second on hardware costing
less than $50 per hour on Amazon’s Web Services with the potential to scale to greater than 10
million transactions per second.”
It uses a double-entry approach for credits and debits, and data storage is contained in
a Merkle directional acyclic graph (MerkleDAG), which ensures that the blockchain has not
been altered or corrupted. All data transmitted to the blockchain is digitally signed and verified
before it is written to a block. Authority is centralized under this model, and any node on the
network that has write permission to a blockchain can write transactions to that chain.
The Elements Project
Website: https://elementsproject.org
Elements Core is an open-source, protocol-level technology developers can use to extend the
functionality of Bitcoin to build new applications. Combinations of Elements (functionality)
developed in this technical community can be brought together and fashioned into sidechains.
It uses the periodic table and associated chemistry approaches to the naming and combining of
functionality to build an application.
The current list of Elements are:
•
Ai (Asset Issuance) Ability to issue confidential assets that represent any asset such as
vouchers, coupons, currencies, deposits, bonds, shares, etc.
•
Ct (Confidential Transactions) In a cryptographic way this keeps the amounts
transferred visible only to participants in the transaction and those they designate, while
still guaranteeing that no more coins can be spent than are available (double-spend).
•
Dp (Deterministic Pegs) Allow cross-chain transactions to be constructed in a
decentralized fashion, where tokens can be moved from one blockchain to another.
•
Op (New Opcodes) Delivers new and re-enables some safe but disabled operation
codes in Bitcoin (i.e., string concatenation, substrings, integer shifts, and some bitwise
operations).
•
Rtl (Relative Time Lock) Allows a transaction to be time-locked, preventing its use in a
new transaction until a relative time change is achieved.
•
Sb (Signed Blocks) Allows the creator of the block to verify their identity in the future.
•
Scv (Signature Covers Value) Signature on a transaction can be invalidated if the
inputs have been spent. Transaction can be validated fast by checking its signature.
•
Ss (Schnorr Signatures) New way of constructing signatures for transactions.
•
Sw (Segregated Witness) Reduces the required space for transactions in a block by a
factor of 4.
Additionally, there are proposed Elements under development that are not yet ready for
deployment on a public sidechain.
08-ch08.indd 178 04/01/18 3:21 PM

HowTo_Generic / Blockchain: A Practical Guide to Developing Business, Law, and Technology Solutions / Bambara / 587-9 / Chapter 8
Chapter 8 Private Blockchain Platforms and Use Cases
179
HydraChain
Website: https://github.com/HydraChain/hydrachain
HydraChain is 100 percent compatible with Ethereum; it extends the platform by adding
support for creating permissioned distributed ledgers for private or consortium chain
applications. All existing tools on the Ethereum platform can be reused. The essential difference
is that HydraChain does not use proof-of-work for consensus, it relies on a registered and
accountable set of validators, which propose and validate the order of transactions.
Hyperledger
Hyperledger is the umbrella project ofopen-sourceblockchainsand supporting tools that
wasstarted in December 2015 by theLinux Foundation. The purpose of Hyperledger is to
advance blockchain technology by identifying and then addressing important features that can
transform the way business transactions are conducted on a distributed ledger.
The requirements for blockchains vary greatly across different use cases and industries, and
Hyperledger is designed and implemented to be highly modular, with pluggable options to suit
the differing industry requirements. The simplified project goals are:
•
Create framework and code base Users can then build and run robust, industry-
specific business transactions.
•
Foster a community This will benefit the ecosystem for all.
•
Promote participation Includes end users, developers, and solution providers.
•
Neutral host Establish home for infrastructure, meetings, events, and collaborative
discussions. Additionally, provide structure around the business and technical governance.
Hyperledger Frameworks
The Hyperledger initiative incubates and promotes a range of business blockchain technologies,
including distributed ledger frameworks, smart contract engines, client libraries, graphical
interfaces, utility libraries, and sample applications. The Hyperledger umbrella strategy
encourages the reuse of common building blocks and enables rapid innovation of distributed
ledger technology (DLT) components. Here are the frameworks for Hyperledger:
08-ch08.indd 179 04/01/18 3:21 PM

HowTo_Generic / Blockchain: A Practical Guide to Developing Business, Law, and Technology Solutions / Bambara / 587-9 / Chapter 8
180
Blockchain
Hyperledger Fabric
Website: http://hyperledger.org
Intended as the foundation pillar for developing applications or solutions with a modular
architecture, Fabric allows components such as consensus and membership services to be
added in a plug-and-play fashion. Ledger data can be stored in multiple formats, consensus
protocols can be switched in and out, and different identity verification methods are
supported. There is support for channels, which are separate ledgers of transactions that are
only made visible to specified groups of network participants.
Hyperledger Fabric Tutorial
Prior to running the tutorial, you will need to ensure that your
computer has the following prerequisites installed:
•
cURL (ensure your version handles redirects)
•
Docker and Docker Compose
•
Node.js runtime and NPM
The following listing contains the commands and the console output for setting up
Hyperledger Fabric on a Mac. The first order of business is to set up Go in the Path:
$ echo $GOPATH
$ vi .bashrc
[create GOPATH variable and add it to your PATH]
$ source ~/.bashrc
$ echo $GOPATH
/Users/pallen/go
$ echo $PATH
/Users/pallen/.rvm/gems/ruby-2.2.1/bin
:/Users/pallen/.rvm/gems/ruby-2.2.1@global/bin
:/Users/pallen/.rvm/rubies/ruby-2.2.1/bin
:/usr/local/bin:/usr/bin:/bin:/usr/sbin:/sbin
:/usr/local/MacGPG2/bin:/Users/pallen/.rvm/bin
$ vi .bashrc
$ source ~/.bashrc
$ echo $PATH
/Users/pallen/.rvm/gems/ruby-2.2.1/bin
:/Users/pallen/.rvm/gems/ruby-2.2.1@global/bin
:/Users/pallen/.rvm/rubies/ruby-2.2.1/bin
:/usr/local/bin:/usr/bin:/bin:/usr/sbin:/sbin
:/usr/local/MacGPG2/bin:/Users/pallen/.rvm/bin:/Users/pallen/go/bin
08-ch08.indd 180 04/01/18 3:21 PM
HowTo_Generic / Blockchain: A Practical Guide to Developing Business, Law, and Technology Solutions / Bambara / 587-9 / Chapter 8
Chapter 8 Private Blockchain Platforms and Use Cases
181
Then upgrade Node Package Manager and install Node.js:
$ npm install npm@3.10.10 -g
(node:5955) fs: re-evaluating native module sources is not supported. If you
are using the graceful-fs module, please update it to a more recent version.
/usr/local/bin/npm -> /usr/local/lib/node_modules/npm/bin/npm-cli.js
- asap@2.0.3 node_modules/npm/node_modules/dezalgo/node_modules/asap
- lodash._arraycopy@3.0.0
...[output abbreviated]...
- tar@1.0.3 node_modules/npm/node_modules/node-gyp/node_modules/tar
- ansi@0.3.0 node_modules/npm/node_modules/npmlog/node_modules/ansi
...[output abbreviated]...
/usr/local/lib
└── npm@3.10.10
Create a working directory for where the clone of Hyperledger Fabric samples should go:
$ mkdir hl-fabric
$ cd hl-fabric/
Issue the clone command:
$ git clone https://github.com/hyperledger/fabric-samples.git
Cloning into 'fabric-samples'...
remote: Counting objects: 483, done.
remote: Compressing objects: 100% (24/24), done.
remote: Total 483 (delta 11), reused 25 (delta 8), pack-reused 450
Receiving objects: 100% (483/483), 155.54 KiB | 0 bytes/s, done.
Resolving deltas: 100% (138/138), done.
Install the platform-specific Hyperledger Fabric binaries:
$ curl -sSL https://goo.gl/iX9dek | bash
===> Downloading platform binaries
% Total % Received % Xferd Average Speed Time Time Time Current
Dload Upload Total Spent Left Speed
100 22.4M 100 22.4M 0 0 4535k 0 0:00:05 0:00:05 --:--:-- 5222k
===> Pulling fabric Images
==> FABRIC IMAGE: peer
x86_64-1.0.0: Pulling from hyperledger/fabric-peer
aafe6b5e13de: Pull complete
...[output abbreviated]...
776cc74c9f73: Pull complete
Digest:
sha256:b7c1c2a6b356996c3dbe2b9554055cd2b63194cd7a492a83de2dbabf7f7e3c65
Status: Downloaded newer image for hyperledger/fabric-peer:x86_64-1.0.0
==> FABRIC IMAGE: orderer
08-ch08.indd 181 04/01/18 3:21 PM
HowTo_Generic / Blockchain: A Practical Guide to Developing Business, Law, and Technology Solutions / Bambara / 587-9 / Chapter 8
182
Blockchain
x86_64-1.0.0: Pulling from hyperledger/fabric-orderer
aafe6b5e13de: Already exists
...[output abbreviated]...
12b8c0ba3585: Pull complete
Digest:
sha256:d0ea1f7e7ca04f0c4b7484f8835fd68e9bf13e6fcb700cf3a70f00a4059fc344
Status: Downloaded newer image for hyperledger/fabric-orderer:x86_64-1.0.0
==> FABRIC IMAGE: couchdb
x86_64-1.0.0: Pulling from hyperledger/fabric-couchdb
aafe6b5e13de: Already exists
...[output abbreviated]...
725164282bae: Pull complete
Digest:
sha256:e89b0f95f6ff674fd043795090dd65a11d727ec005d925545cf0b4fc48aa221d
Status: Downloaded newer image for hyperledger/fabric-couchdb:x86_64-1.0.0
==> FABRIC IMAGE: ccenv
x86_64-1.0.0: Pulling from hyperledger/fabric-ccenv
aafe6b5e13de: Already exists
...[output abbreviated]...
b505d76bd417: Pull complete
Digest:
sha256:eb2e87ea07e29a0b6b6e51e200efcc0cbaa571b8124c6b2dcc704da93bf39f24
Status: Downloaded newer image for hyperledger/fabric-ccenv:x86_64-1.0.0
==> FABRIC IMAGE: javaenv
x86_64-1.0.0: Pulling from hyperledger/fabric-javaenv
aafe6b5e13de: Already exists
...[output abbreviated]...
556833a5f7d4: Pull complete
Digest:
sha256:b19167b2caa9a6ac7c12457e7b50d7fbd1fb7f85ed49ad2fbabe8fdc5d3f4624
Status: Downloaded newer image for hyperledger/fabric-javaenv:x86_64-1.0.0
==> FABRIC IMAGE: kafka
x86_64-1.0.0: Pulling from hyperledger/fabric-kafka
aafe6b5e13de: Already exists
...[output abbreviated]...
3ca3fff5916e: Pull complete
Digest:
08-ch08.indd 182 04/01/18 3:21 PM
HowTo_Generic / Blockchain: A Practical Guide to Developing Business, Law, and Technology Solutions / Bambara / 587-9 / Chapter 8
Chapter 8 Private Blockchain Platforms and Use Cases
183
sha256:b396a45edf73520a7e8396ba8bd7bbf80fd55c3bfb8330745b3f09fdf8f1ef05
Status: Downloaded newer image for hyperledger/fabric-kafka:x86_64-1.0.0
==> FABRIC IMAGE: zookeeper
x86_64-1.0.0: Pulling from hyperledger/fabric-zookeeper
aafe6b5e13de: Already exists
...[output abbreviated]...
6de044b974eb: Pull complete
Digest:
sha256:3bf815ebef6850d56f73f42bc6c26006df05a8e659b7acb12c2431101770432f
Status: Downloaded newer image for hyperledger/fabric-zookeeper:x86_64-1.0.0
==> FABRIC IMAGE: tools
x86_64-1.0.0: Pulling from hyperledger/fabric-tools
aafe6b5e13de: Already exists
...[output abbreviated]...
75a35cd33119: Pull complete
Digest:
sha256:c107430c14344f4f37f0882f3eb8591520abd699a0b9da2b507f7527505612a7
Status: Downloaded newer image for hyperledger/fabric-tools:x86_64-1.0.0
===> Pulling fabric ca Image
==> FABRIC CA IMAGE
x86_64-1.0.0: Pulling from hyperledger/fabric-ca
aafe6b5e13de: Already exists
...[output abbreviated]...
7152da1670d2: Pull complete
Digest:
sha256:b7094644bcbf6c28948fcdd0c38ffe65f98889a57da0e1bf23bd18731ef44800
Status: Downloaded newer image for hyperledger/fabric-ca:x86_64-1.0.0
===> List out hyperledger docker images
hyperledger/fabric-tools latest 0403fd1c72c7 3 weeks ago 1.32GB
hyperledger/fabric-tools x86_64-1.0.0 0403fd1c72c7 3 weeks ago 1.32GB
hyperledger/fabric-couchdb latest 2fbdbf3ab945 3 weeks ago 1.48GB
hyperledger/fabric-couchdb x86_64-1.0.0 2fbdbf3ab945 3 weeks ago 1.48GB
hyperledger/fabric-kafka latest dbd3f94de4b5 3 weeks ago 1.3GB
hyperledger/fabric-kafka x86_64-1.0.0 dbd3f94de4b5 3 weeks ago 1.3GB
hyperledger/fabric-zookeeper latest e545dbf1c6af 3 weeks ago 1.31GB
hyperledger/fabric-zookeeper x86_64-1.0.0 e545dbf1c6af 3 weeks ago 1.31GB
hyperledger/fabric-orderer latest e317ca5638ba 3 weeks ago 179MB
08-ch08.indd 183 04/01/18 3:21 PM
HowTo_Generic / Blockchain: A Practical Guide to Developing Business, Law, and Technology Solutions / Bambara / 587-9 / Chapter 8
184
Blockchain
hyperledger/fabric-orderer x86_64-1.0.0 e317ca5638ba 3 weeks ago 179MB
hyperledger/fabric-peer latest 6830dcd7b9b5 3 weeks ago 182MB
hyperledger/fabric-peer x86_64-1.0.0 6830dcd7b9b5 3 weeks ago 182MB
hyperledger/fabric-javaenv latest 8948126f0935 3 weeks ago 1.42GB
hyperledger/fabric-javaenv x86_64-1.0.0 8948126f0935 3 weeks ago 1.42GB
hyperledger/fabric-ccenv latest 7182c260a5ca 3 weeks ago 1.29GB
hyperledger/fabric-ccenv x86_64-1.0.0 7182c260a5ca 3 weeks ago 1.29GB
hyperledger/fabric-ca latest a15c59ecda5b 3 weeks ago 238MB
hyperledger/fabric-ca x86_64-1.0.0 a15c59ecda5b 3 weeks ago 238MB
There are four tutorials that come with Hyperledger Fabric. They are:
•
write_first_app Designed to show an application developer how to write their first
application using the Node.js SDK.
•
build_network Oriented toward a network operator going through the process of
establishing a blockchain network and deploying a simple application to test it out.
•
chaincode4ade Shows a developer how to write business logic agreed to by the
members of the network.
•
chaincode4noah Demonstrates the administration of business logic by a network
operator.
We will now step through the write_first_app tutorial, which again is designed to show the
tasks involved and to provide the basis for writing a first application against the Hyperledger
Fabric network. As with all other persistence layer–based (i.e., database or file system)
applications that you’ve worked on before, this tutorial demonstrates the two common use
cases of (1) reading from the chain and (2) writing to (or updating) the chain.
So, the first step is to navigate to the fabric directory and list its contents:
$ cd fabric-samples/fabcar
$ ls
creds invoke.js node_modules package.json query.js startFabric.sh
Now start the Fabric network, which does the following:
•
Starts a peer node, an ordering node, a Certificate Authority, and a CLI container
•
Creates a channel and joins the peer node to the new channel
•
Installs a smart contract onto the peer’s file system and instantiates this contract on the
channel by starting a chaincode (smart contract) container
•
Calls the initLedger function on the smart contract to create 10 cars in the ledger
$ ./startFabric.sh
docker-compose -f docker-compose.yml down
Removing network net_basic
WARNING: Network net_basic not found.
docker-compose -f docker-compose.yml up -d ca.example.com orderer.example.com
08-ch08.indd 184 04/01/18 3:21 PM
HowTo_Generic / Blockchain: A Practical Guide to Developing Business, Law, and Technology Solutions / Bambara / 587-9 / Chapter 8
Chapter 8 Private Blockchain Platforms and Use Cases
185
peer0.org1.example.com couchdb
Creating network "net_basic" with the default driver
Creating orderer.example.com ...
Creating couchdb ...
Creating ca.example.com ...
Creating orderer.example.com
Creating ca.example.com
Creating orderer.example.com ... done
Creating ca.example.com ... done
Creating peer0.org1.example.com ... done
# wait for Hyperledger Fabric to start
# incase of errors when running later commands, issue
export FABRIC_START_TIMEOUT=<larger number>
export FABRIC_START_TIMEOUT=10
#echo ${FABRIC_START_TIMEOUT}
sleep ${FABRIC_START_TIMEOUT}
# Create the channel
docker exec -e "CORE_PEER_LOCALMSPID=Org1MSP" -e "CORE_PEER_MSPCONFIGPATH=/etc/hyperledger
/msp/users/Admin@org1.example.com/msp"
peer0.org1.example.com peer channel create
-o orderer.example.com:7050 -c mychannel
-f /etc/hyperledger/configtx/channel.tx
...[output abbreviated]...
2017-08-12 10:12:43.324 UTC [chaincodeCmd]
chaincodeInvokeOrQuery -> INFO 00a
Chaincode invoke successful. result: status:200
2017-08-12 10:12:43.325 UTC [main] main -> INFO 00b Exiting.....
Total execution time : 53 secs ...
Now view the processes that have been started:
$ docker ps
CONTAINER ID IMAGE {abbreviated...}
faf5b4d6dd3a dev-peer0.org1.example.com-fabcar-1.0 {abbreviated...}
44c550584595 hyperledger/fabric-tools:x86_64-1.0.0 {abbreviated...}
ba112762ddd2 hyperledger/fabric-peer:x86_64-1.0.0 {abbreviated...}
be518bf52517 hyperledger/fabric-ca:x86_64-1.0.0 {abbreviated...}
b5ba01f09916 hyperledger/fabric-couchdb:x86_64-1.0.0 {abbreviated...}
19ce89d0baaa hyperledger/fabric-orderer:x86_64-1.0.0 {abbreviated...}
08-ch08.indd 185 04/01/18 3:21 PM

HowTo_Generic / Blockchain: A Practical Guide to Developing Business, Law, and Technology Solutions / Bambara / 587-9 / Chapter 8
186
Blockchain
Now install the SDK node modules so that the sample code will function:
$ npm install
Run the code to read from the blockchain:
$ node query.js
Create a client and set the wallet location
Set wallet path, and associate user PeerAdmin with application
Check user is enrolled, and set a query URL in the network
Make query
Assigning transaction_id:
dded6822d9a89d8d38967c115f0b9b39ce38ce81c446bbce4c79a4cdf3906440
returned from query
Query result count = 1
Response is [
{"Key":"CAR0", "Record":{"colour":"blue","make":"Toyota","model":"Prius",
"owner":"Tomoko"}},
{"Key":"CAR1", "Record":{"colour":"red","make":"Ford","model":"Mustang",
"owner":"Brad"}},
{"Key":"CAR2", "Record":{"colour":"green","make":"Hyundai","model":"Tucson",
"owner":"Jin Soo"}},
{"Key":"CAR3", "Record":{"colour":"yellow","make":"Volkswagen","model":"Passat",
"owner":"Max"}},
{"Key":"CAR4", "Record":{"colour":"black","make":"Tesla","model":"S",
"owner":"Adriana"}},
{"Key":"CAR5", "Record":{"colour":"purple","make":"Peugeot","model":"205",
"owner":"Michel"}},
{"Key":"CAR6", "Record":{"colour":"white","make":"Chery","model":"S22L",
"owner":"Aarav"}},
{"Key":"CAR7", "Record":{"colour":"violet","make":"Fiat","model":"Punto",
"owner":"Pari"}},
{"Key":"CAR8", "Record":{"colour":"indigo","make":"Tata","model":"Nano",
"owner":"Valeria"}},
{"Key":"CAR9", "Record":{"colour":"brown","make":"Holden","model":"Barina",
"owner":"Shotaro"}}]
{"Key":"CAR0", "Record":{"colour"
{"Key":"CAR1", "Record":{"colour"
{"Key":"CAR2", "Record":{"colour"
{"Key":"CAR3", "Record":{"colour
{"Key":"CAR4", "Record":{"colour
{"Key":"CAR5", "Record":{"colour
{"Key":"CAR6", "Record":{"colour
{"Key":"CAR7", "Record":{"colour
{"Key":"CAR8", "Record":{"colour
{"Key":"CAR9", "Record":{"colour
08-ch08.indd 186 04/01/18 3:21 PM

HowTo_Generic / Blockchain: A Practical Guide to Developing Business, Law, and Technology Solutions / Bambara / 587-9 / Chapter 8
Chapter 8 Private Blockchain Platforms and Use Cases
187
Let’s take a look at the query.js code, in particular the highlighted sections that show how
to connect to the chain and then issue a query:
'use strict';
/*
* Copyright IBM Corp All Rights Reserved
*
* SPDX-License-Identifier: Apache-2.0
*/
/*
* Hyperledger Fabric Sample Query Program
*/
var hfc = require('fabric-client');
var path = require('path');
var options = {
wallet_path: path.join(__dirname, './creds'),
user_id: 'PeerAdmin',
channel_id: 'mychannel',
chaincode_id: 'fabcar',
network_url: 'grpc://localhost:7051',
};
var channel = {};
var client = null;
Promise.resolve().then(() => {
console.log("Create a client and set the wallet location");
client = new hfc();
return hfc.newDefaultKeyValueStore({ path: options.wallet_path });
}).then((wallet) => {
console.log("Set wallet path, and associate user ",
options.user_id, " with application");
client.setStateStore(wallet);
return client.getUserContext(options.user_id, true);
}).then((user) => {
console.log(
"Check user is enrolled, and set a query URL in the network");
if (user === undefined || user.isEnrolled() === false) {
console.error("User not defined, or not enrolled - error");
}
channel = client.newChannel(options.channel_id);
channel.addPeer(client.newPeer(options.network_url));
return;
}).then(() => {
var options = {
wallet_path: path.join(__dirname, './creds'),
user_id: 'PeerAdmin',
channel_id: 'mychannel',
chaincode_id: 'fabcar',
network_url: 'grpc://localhost:7051',
};
08-ch08.indd 187 04/01/18 3:21 PM

HowTo_Generic / Blockchain: A Practical Guide to Developing Business, Law, and Technology Solutions / Bambara / 587-9 / Chapter 8
188
Blockchain
console.log("Make query");
var transaction_id = client.newTransactionID();
console.log("Assigning transaction_id: ",
transaction_id._transaction_id);
// queryCar - requires 1 argument, ex: args: ['CAR4'],
// queryAllCars - requires no arguments , ex: args: [''],
const request = {
chaincodeId: options.chaincode_id,
txId: transaction_id,
fcn: 'queryAllCars',
args: ['']
};
return channel.queryByChaincode(request);
}).then((query_responses) => {
console.log("returned from query");
if (!query_responses.length) {
console.log("No payloads were returned from query");
} else {
console.log("Query result count = ", query_responses.length)
}
if (query_responses[0] instanceof Error) {
console.error("error from query = ", query_responses[0]);
}
console.log("Response is ", query_responses[0].toString());
}).catch((err) => {
console.error("Caught Error", err);
});
A slight adjustment to the query will let us read by a single key:
// queryCar - requires 1 argument, ex: args: ['CAR4'],
// queryAllCars - requires no arguments , ex: args: [''],
const request = {
chaincodeId: options.chaincode_id,
txId: transaction_id,
fcn: 'queryCar',
args: ['CAR4']
};
Submitting the adjusted query and showing the response:
$ node query2.js
Create a client and set the wallet location
Set wallet path, and associate user PeerAdmin with application
Check user is enrolled, and set a query URL in the network
Make query
// queryCar - requires 1 argument, ex: args: ['CAR4'],
// queryAllCars - requires no arguments , ex: args: [''],
const request = {
chaincodeId: options.chaincode_id,
txId: transaction_id,
fcn: 'queryAllCars',
args: ['']
};
return channel.queryByChaincode(request);
08-ch08.indd 188 04/01/18 3:21 PM
HowTo_Generic / Blockchain: A Practical Guide to Developing Business, Law, and Technology Solutions / Bambara / 587-9 / Chapter 8
Chapter 8 Private Blockchain Platforms and Use Cases
189
Assigning transaction_id:
745d6cd549fc4206d7e99d35bb2c2821aa38a7c78d7f87a02f0c82e51b4b9c08
returned from query
Query result count = 1
Response is {"colour":"black","make":"Tesla","model":"S","owner":"Adriana"}
Now we can move on to making some changes to the ledger. We will start off with the
sample code that will add a new car to the chain. Here is the invoke.js code; again the section
for inserting CAR10 is highlighted:
'use strict';
/*
* Copyright IBM Corp All Rights Reserved
*
* SPDX-License-Identifier: Apache-2.0
*/
/*
* Chaincode Invoke
*/
var hfc = require('fabric-client');
var path = require('path');
var util = require('util');
var options = {
wallet_path: path.join(__dirname, './creds'),
user_id: 'PeerAdmin',
channel_id: 'mychannel',
chaincode_id: 'fabcar',
peer_url: 'grpc://localhost:7051',
event_url: 'grpc://localhost:7053',
orderer_url: 'grpc://localhost:7050'
};
var channel = {};
var client = null;
var targets = [];
var tx_id = null;
Promise.resolve().then(() => {
console.log("Create a client and set the wallet location");
client = new hfc();
return hfc.newDefaultKeyValueStore({ path: options.wallet_path });
}).then((wallet) => {
console.log("Set wallet path, and associate user ",
options.user_id, " with application");
08-ch08.indd 189 04/01/18 3:21 PM

HowTo_Generic / Blockchain: A Practical Guide to Developing Business, Law, and Technology Solutions / Bambara / 587-9 / Chapter 8
190
Blockchain
client.setStateStore(wallet);
return client.getUserContext(options.user_id, true);
}).then((user) => {
console.log(
"Check user is enrolled, and set a query URL in the network");
if (user === undefined || user.isEnrolled() === false) {
console.error("User not defined, or not enrolled - error");
}
channel = client.newChannel(options.channel_id);
var peerObj = client.newPeer(options.peer_url);
channel.addPeer(peerObj);
channel.addOrderer(client.newOrderer(options.orderer_url));
targets.push(peerObj);
return;
}).then(() => {
tx_id = client.newTransactionID();
console.log("Assigning transaction_id: ", tx_id._transaction_id);
// createCar - requires 5 args, ex: args: ['CAR11', 'Honda',
// 'Accord', 'Black', 'Tom'],
// changeCarOwner - requires 2 args , ex: args: ['CAR10', 'Barry'],
// send proposal to endorser
var request = {
targets: targets,
chaincodeId: options.chaincode_id,
fcn: 'createCar',
args: ['CAR10', 'Chevy', 'Volt', 'Red', 'Nick'],
chainId: options.channel_id,
txId: tx_id
};
return channel.sendTransactionProposal(request);
}).then((results) => {
var proposalResponses = results[0];
var proposal = results[1];
var header = results[2];
let isProposalGood = false;
if (proposalResponses && proposalResponses[0].response &&
proposalResponses[0].response.status === 200) {
isProposalGood = true;
console.log('transaction proposal was good');
} else {
console.error('transaction proposal was bad');
}
if (isProposalGood) {
console.log(util.format(
// createCar - requires 5 args, ex: args: ['CAR11', 'Honda',
// 'Accord', 'Black', 'Tom'],
// changeCarOwner - requires 2 args , ex: args: ['CAR10', 'Barry'],
// send proposal to endorser
var request = {
targets: targets,
chaincodeId: options.chaincode_id,
fcn: 'createCar',
args: ['CAR10', 'Chevy', 'Volt', 'Red', 'Nick'],
chainId: options.channel_id,
txId: tx_id
};
return channel.sendTransactionProposal(request);
08-ch08.indd 190 04/01/18 3:21 PM
HowTo_Generic / Blockchain: A Practical Guide to Developing Business, Law, and Technology Solutions / Bambara / 587-9 / Chapter 8
Chapter 8 Private Blockchain Platforms and Use Cases
191
'Successfully sent Proposal and received ProposalResponse: Status - %s,
message - "%s", metadata - "%s", endorsement signature: %s',
proposalResponses[0].response.status,
proposalResponses[0].response.message,
proposalResponses[0].response.payload,
proposalResponses[0].endorsement.signature));
var request = {
proposalResponses: proposalResponses,
proposal: proposal,
header: header
};
// set the transaction listener and set a timeout of 30sec
// if the transaction did not get committed within the timeout period,
// fail the test
var transactionID = tx_id.getTransactionID();
var eventPromises = [];
let eh = client.newEventHub();
eh.setPeerAddr(options.event_url);
eh.connect();
let txPromise = new Promise((resolve, reject) => {
let handle = setTimeout(() => {
eh.disconnect();
reject();
}, 30000);
eh.registerTxEvent(transactionID, (tx, code) => {
clearTimeout(handle);
eh.unregisterTxEvent(transactionID);
eh.disconnect();
if (code !== 'VALID') {
console.error(
'The transaction was invalid, code = ' + code);
reject();
} else {
console.log(
'The transaction has been committed on peer ' +
eh._ep._endpoint.addr);
resolve();
}
});
});
eventPromises.push(txPromise);
var sendPromise = channel.sendTransaction(request);
return Promise.all([sendPromise].concat(eventPromises)).then((results) => {
console.log(' event promise all complete and testing complete');
08-ch08.indd 191 04/01/18 3:21 PM

HowTo_Generic / Blockchain: A Practical Guide to Developing Business, Law, and Technology Solutions / Bambara / 587-9 / Chapter 8
192
Blockchain
return results[0];
// the first returned value is from the 'sendPromise' which is from the
// 'sendTransaction()' call
}).catch((err) => {
console.error(
'Failed to send transaction and get notifications within the timeout period.'
);
return
});
When you execute the insert, here is the response:
$ node invoke.js
Create a client and set the wallet location
Set wallet path, and associate user PeerAdmin with application
Check user is enrolled, and set a query URL in the network
Assigning transaction_id:
4dd4ddc44307aa5fbe2caa1a003fe2ef40015bf8e5b978c28ca8dba528580a74
transaction proposal was good
Successfully sent Proposal and received ProposalResponse:
Status - 200, message - "OK", metadata - "", endorsement signature:
0 D _ c A % h-
1 j 9 w '_ !$ (. @ '4 V *Q•.
info: [EventHub.js]: _connect - options {}
The transaction has been committed on peer localhost:7053
event promise all complete and testing complete
Successfully sent transaction to the orderer.
After adjusting the query.js code to read the new key (changed 'CAR4' to 'CAR10')
and executing:
$ node query.js
Create a client and set the wallet location
Set wallet path, and associate user PeerAdmin with application
Check user is enrolled, and set a query URL in the network
Make query
Assigning transaction_id:
13dd62ff7a655cffc24d8153d6fe3a7872f7d4d69764413722f68f123fa098de
returned from query
Query result count = 1
Response is {"colour":"Red","make":"Chevy","model":"Volt","owner":"Nick"}
To perform an update, change the invoke.js so that it
calls the changeCarOwner function and switches the owner
from 'Nick' to 'Barry':
// createCar - requires 5 args, ex: args:
['CAR11', 'Honda', 'Accord', 'Black', 'Tom'],
08-ch08.indd 192 04/01/18 3:21 PM

HowTo_Generic / Blockchain: A Practical Guide to Developing Business, Law, and Technology Solutions / Bambara / 587-9 / Chapter 8
Chapter 8 Private Blockchain Platforms and Use Cases
193
// changeCarOwner - requires 2 args , ex: args: ['CAR10', 'Barry'],
// send proposal to endorser
var request = {
targets: targets,
chaincodeId: options.chaincode_id,
fcn: 'changeCarOwner',
args: ['CAR10', 'Barry'],
chainId: options.channel_id,
txId: tx_id
};
return channel.sendTransactionProposal(request);
Then execute the invoke.js code:
$ node invoke2.js
Create a client and set the wallet location
Set wallet path, and associate user PeerAdmin with application
Check user is enrolled, and set a query URL in the network
Assigning transaction_id:
694ee1db40f141ae7f2614520c8b9ea24342f1d3860f0bfa0227a3f64f06bef4
transaction proposal was good
Successfully sent Proposal and received ProposalResponse:
Status - 200, message - "OK", metadata - "", endorsement signature:
0D >;2cm2 =d ~ #= 5 p• #( G jU"iz@d
info: [EventHub.js]: _connect - options {}
The transaction has been committed on peer localhost:7053
event promise all complete and testing complete
Successfully sent transaction to the orderer.
Run query.js one more time to query CAR10; here is the response:
$ node query3.js
Create a client and set the wallet location
Set wallet path, and associate user PeerAdmin with application
Check user is enrolled, and set a query URL in the network
Make query
Assigning transaction_id:
b5dbf4f3a579599a520e38ac499597e4be1cc21bc15ba32a048b4b454cad4d1a
returned from query
Query result count = 1
Response is {"colour":"Red","make":"Chevy","model":"Volt","owner":"Barry"}
Now we have stood up the blockchain, read from it, and written to it. The only thing left
to do is to shut down the docker instance by issuing the following:
Pauls-Air:fabcar pallen$ cd ../basic-network/
Pauls-Air:basic-network pallen$ docker-compose down
Stopping cli ... done
Stopping peer0.org1.example.com ... done
08-ch08.indd 193 04/01/18 3:21 PM

HowTo_Generic / Blockchain: A Practical Guide to Developing Business, Law, and Technology Solutions / Bambara / 587-9 / Chapter 8
194
Blockchain
Stopping ca.example.com ... done
Stopping couchdb ... done
Stopping orderer.example.com ... done
Removing cli ... done
Removing peer0.org1.example.com ... done
Removing ca.example.com ... done
Removing couchdb ... done
Removing orderer.example.com ... done
Removing network net_basic
This concludes the Hyperledger Fabric tutorial.
Hyperledger Iroha
Websites:
https://github.com/hyperledger/iroha
https://www.hyperledger.org/projects/iroha
Iroha was contributed to Hyperledger by the Japanese fintech company Soramitsu. It
is a business blockchain framework designed to be simple and easy to incorporate into
infrastructural projects requiring distributed ledger technology.
Some key features are:
•
Creation and management of complex assets, including currencies, rights, serial numbers,
patents, etc.
•
Management and permission of user accounts (read and write), including business rules
for transactions and queries
Iroha’s goal is to provide the following encapsulated C++ components that other projects
can use:
•
Sumeragi consensus library (inspired by BChain, a chain-style Byzantine replication
protocol that propagates transactions among the nodes with a chain topology)
•
Ed25519 digital signature library
•
SHA-3 hashing library
•
Transaction serialization library
•
P2P broadcast library
•
API server library
•
iOS, Android, and JavaScript libraries
•
Blockchain explorer/data visualization suite
08-ch08.indd 194 04/01/18 3:21 PM

HowTo_Generic / Blockchain: A Practical Guide to Developing Business, Law, and Technology Solutions / Bambara / 587-9 / Chapter 8
Chapter 8 Private Blockchain Platforms and Use Cases
195
Hyperledger Sawtooth
Websites: https://github.com/hyperledger/sawtooth-core
https://www.hyperledger.org/projects/sawtooth
Hyperledger Sawtooth is a modular platform for building, deploying, and running distributed
ledgers. Hyperledger Sawtooth includes a proprietary consensus algorithm, Proof of Elapsed
Time (PoET), which targets large distributed validator populations with minimal resource
consumption.
Hyperledger Tools
All platforms need tools and utilities, and blockchain is no different. The following are the
current tools for the Hyperledger platform.
Hyperledger Cello
Websites: https://github.com/hyperledger/cello
https://www.hyperledger.org/projects/cello
Hyperledger Cello is a toolkit that aims to bring the on-demand “as-a-service” deployment
model to the blockchain ecosystem. Its goal is to reduce the effort required for the setup,
ongoing maintenance, and teardown of blockchains. Its highlights are:
•
Instantly provision customizable blockchains, for example, Hyperledger Fabric
•
Maintain a pool of executing blockchains on top of baremetals, VMs, Docker Swarm, and
Kubernetes
•
Administration dashboard that provides system status and allows adjustment to chain
numbers or scale resources
Hyperledger Composer
Websites: https://github.com/hyperledger/composer
https://www.hyperledger.org/projects/composer
Hyperledger Composer is a collaboration tool for building blockchain business networks,
accelerating the development of smart contracts and their deployment across a distributed
ledger. See Figure 8-3 for sample screen captures of the tool. Hyperledger Composer is
an extensive, open development collaboration toolset and framework to make developing
blockchain applications easier. Its goal is to accelerate producing value by making it easier to
08-ch08.indd 195 04/01/18 3:21 PM

HowTo_Generic / Blockchain: A Practical Guide to Developing Business, Law, and Technology Solutions / Bambara / 587-9 / Chapter 8
196
Blockchain
model a business network and then integrate a blockchain application with the existing/legacy
business systems. It supports existing Hyperledger Fabric blockchains and supports pluggable
consensus protocols that have been established by permissioned network members.
Hyperledger Explorer
Websites: https://www.hyperledger.org/projects/explorer
https://github.com/hyperledger/blockchain-explorer
Hyperledger Explorer, contributed by IBM, Intel, and DTCC, can view, invoke, deploy, or query
blocks, transactions with associated data, network information (e.g., name, status), chain codes
and transaction families, and other relevant information contained in the blockchain. See
Figure 8-4 for sample screen capture of the tool.
FIGURE 8-3
Hyperledger Composer
08-ch08.indd 196 04/01/18 3:21 PM

HowTo_Generic / Blockchain: A Practical Guide to Developing Business, Law, and Technology Solutions / Bambara / 587-9 / Chapter 8
Chapter 8 Private Blockchain Platforms and Use Cases
197
Interbit
Website: http://btl.co/interbit
Interbit is an enterprise-grade blockchain platform that enables applications to be built,
managed, and run on a blockchain. Its key features are:
•
Privacy Ensures that data is only available to those who have permission to see and
change it
•
Scalability Provides a platform that can scale to hundreds of thousands of transactions
per second
•
Portability The first blockchain platform developed that is able to run full nodes on
lightweight IoT devices
Monax
Website: https://monax.io
Monax is a permissionable smart contract machine. Released in December 2014, Monax
provides a modular blockchain client with a permissioned smart contract interpreter built in
part to the specification of the Ethereum Virtual Machine (EVM). In early 2017, blockchain
FIGURE 8-4
Hyperledger Explorer
08-ch08.indd 197 04/01/18 3:21 PM
HowTo_Generic / Blockchain: A Practical Guide to Developing Business, Law, and Technology Solutions / Bambara / 587-9 / Chapter 8
198
Blockchain
startup Monax announced they were joining Hyperledger. It is the first code base with an
EVM joining the consortium. Swift, an interbank transfer platform, has experimented with
the Monax platform as part of its project to look at integrating blockchain into its payments
platform. Let’s walk through a Monax tutorial.
Monax Tutorial
One of the first things to be done for this tutorial is to establish the virtual environment; this
can be either Docker or Vagrant. We will look at a Vagrant installation. The following assumes
that you already have Vagrant installed and you have downloaded the associated monax.box
file and the Monax workshop sources.zip file.
The first step is to register the Monax virtual machine:
$ vagrant box add monax monax.box
==> box: Box file was not detected as metadata. Adding it directly...
==> box: Adding box 'monax' (v0) for provider:
box: Unpacking necessary files from: file:///Users/pallen/monax.box
==> box: Successfully added box 'monax' (v0) for 'virtualbox'!
Then change directory to the workshop material and initialize the vagrant instance:
$ cd workshop
$ vagrant init monax
A 'Vagrantfile' has been placed in this directory. You are now
ready to 'vagrant up' your first virtual environment! Please read
the comments in the Vagrantfile as well as documentation on
'vagrantup.com' for more information on using Vagrant.
Then start up the instance:
$ vagrant up
No usable default provider could be found for your system.
Vagrant relies on interactions with 3rd party systems, known as
"providers", to provide Vagrant with resources to run development
environments. Examples are VirtualBox, VMware, Hyper-V.
The easiest solution to this message is to install VirtualBox, which
is available for free on all major platforms.
If you believe you already have a provider available, make sure it
is properly installed and configured. You can see more details about
why a particular provider isn't working by forcing usage with
'vagrant up --provider=PROVIDER’, which should give you a more specific
error message for that particular provider.
08-ch08.indd 198 04/01/18 3:21 PM
HowTo_Generic / Blockchain: A Practical Guide to Developing Business, Law, and Technology Solutions / Bambara / 587-9 / Chapter 8
Chapter 8 Private Blockchain Platforms and Use Cases
199
If you get the above error, it means you haven’t installed VirtualBox. No big deal, just go
ahead and download and install it and try starting up the instance again.
$ vagrant up
Bringing machine 'default' up with 'virtualbox' provider...
==> default: Importing base box 'monax'...
==> default: Matching MAC address for NAT networking...
==> default: Setting the name of the VM: workshop_default_1501867336806_8879
==> default: Clearing any previously set network interfaces...
==> default: Preparing network interfaces based on configuration...
default: Adapter 1: nat
==> default: Forwarding ports...
default: 22 (guest) => 2222 (host) (adapter 1)
==> default: Booting VM...
==> default: Waiting for machine to boot. This may take a few minutes...
default: SSH address: 127.0.0.1:2222
default: SSH username: vagrant
default: SSH auth method: private key
==> default: Machine booted and ready!
==> default: Checking for guest additions in VM...
default: The guest additions on this VM do not match the
default: installed version of VirtualBox!
default: In most cases this is fine, but in rare cases it can
default: prevent things such as shared folders from working properly.
default: If you see shared folder errors, please make sure the guest
default: additions within the virtual machine match the version
default: of VirtualBox you have installed on your host and reload
default: your VM.
default:
default: Guest Additions Version: 4.3.36
default: VirtualBox Version: 5.1
==> default: Mounting shared folders...
default: /vagrant => /Users/pallen/workshop
The final part of the setup stage for the tutorial is to secure shell into it:
$ vagrant ssh
The programs included with the Debian GNU/Linux system are free software;
the exact distribution terms for each program are described in the
individual files in /usr/share/doc/*/copyright.
Debian GNU/Linux comes with ABSOLUTELY NO WARRANTY, to the extent
permitted by applicable law.
Last login: Thu Apr 27 19:05:28 2017 from 10.0.2.2
vagrant@contrib-jessie:~$
Note that the virtual machine login for the secure shell is contrib-jessie, the login of
the person who originally created the virtual instance.
08-ch08.indd 199 04/01/18 3:21 PM
HowTo_Generic / Blockchain: A Practical Guide to Developing Business, Law, and Technology Solutions / Bambara / 587-9 / Chapter 8
200
Blockchain
Make a Chain Configuration
With the Monax virtual machine setup completed, you
can now begin the process of making a chain configuration. This process creates all of the
necessary files for a private blockchain within the Monax platform. The following is the help
text for the chain’s make command:
vagrant@contrib-jessie:~$ monax chains make --help
Usage: monax chains make NAME [FLAG...]
create necessary files for your chain
Make is an opinionated gateway to the basic types of chains which most
Monax users will make most of the time. Make is also a command line
wizard in which you will let the marmots know how you would like your
genesis created.
Make can also be used with a variety of flags for fast chain making.
When using make with the --known flag the marmots will *not* create
keys for you and will instead assume that the keys exist somewhere.
When using make with the wizard (no flags) or when using with the
other flags then keys will be made along with the genesis.jsons and
priv_validator.jsons so that everything is ready to go for you to
[monax chains start].
Optionally chains make provides packages of outputted priv_
validator and genesis.json which you can email or send on your
slack to your coworkers. These packages can be tarballs or zip
files, and **they will contain the private keys** so please be
aware of that.
The make process will *not* start a chain for you. You will want to use
the [monax chains start NAME --init-dir ~/.monax/chains/NAME/ACCOUNT]
for that which will import all of the files which make creates into
containers and start your shiny new chain.
If you have any questions on [monax chains make], see the documentation here:
https://monax.io/docs
Examples:
----+----1----+----2----+----3----+----4----+----5----+----6----+----7----+---
$ monax chains make myChain --wizard -- will use the interactive
chain-making wizard and make your chain named myChain
$ monax chains make myChain -- will use the simplechain definition
file to make your chain named myChain (non-interactive);
use the [--chain-type] flag to specify chain types
$ monax chains make
08-ch08.indd 200 04/01/18 3:21 PM
HowTo_Generic / Blockchain: A Practical Guide to Developing Business, Law, and Technology Solutions / Bambara / 587-9 / Chapter 8
Chapter 8 Private Blockchain Platforms and Use Cases
201
myChain --account-types=Root:1,Developer:0,Validator:1,Participant:1
-- will use the flag to make your chain named myChain (non-interactive)
$ monax chains make myChain --known --validators
/path/to/validators.csv --accounts /path/to/accounts.csv -- will use the
csv file to make your chain named myChain (non-interactive)
(won't make keys)
$ monax chains make myChain --tar -- will create the chain and save
each of the "bundles" as tarballs which can be used by colleagues to
start their chains
Flags:
--account-types stringSlice specify the kind and number of account
types. find these in ~/.monax/chains/account-types; incompatible with
chain-type
--accounts string comma separated list of the accounts.csv
files you would like to utilize (requires --known flag)
--chain-type string specify the type of chain to use. find
these in ~/.monax/chains/chain-types; incompatible with account-types
--known use csv for a set of known keys to
assemble genesis.json (requires both --accounts and --validators flags)
--output should monax-cm provide an output of its
job (default true)
--seeds-ip stringSlice set a list of seeds (e.g.
IP:PORT,IP:PORT) for peers to join the chain
--tar instead of making directories in
~/.monax/chains, make tarballs; incompatible with and overrides zip
--unsafe require explicit confirmation to write
private keys from monax-keys to host during make in accounts.json
--validators string comma separated list of the validators.csv
files you would like to utilize (requires --known flag)
-w, --wizard summon the interactive chain making wizard
--zip instead of making directories in
~/.monax/chains, make zip files
Global flags:
-d, --debug debug level output
-m, --machine string machine name for docker-machine that
is running VM (default "monax")
-v, --verbose verbose output
In the following command, we make a chain configuration with one full node and three
participants:
vagrant@contrib-jessie:~$ monax chains make myChain
--account-types=Full:1,Participant:3 --unsafe
08-ch08.indd 201 04/01/18 3:21 PM
HowTo_Generic / Blockchain: A Practical Guide to Developing Business, Law, and Technology Solutions / Bambara / 587-9 / Chapter 8
202
Blockchain
Start the workshop chain:
vagrant@contrib-jessie:~$ monax chains start workshop
--init-dir /vagrant/chain-config/workshop_full_000/
Copy the user keys and import them into the development keys server:
vagrant@contrib-jessie:~$ cp -r /vagrant/chain-config/keys/*
~/.monax/keys/data/
vagrant@contrib-jessie:~$ monax keys import --all
Note that the import step may take a few minutes.
Tutorial: Phases
The next steps are the main deployment and test phases. It begins with
Phase 1, which is a job that does the following:
•
Deploys the course registry (a Solidity smart contract)
•
Registers a participant
•
Gets the number of participants registered
•
Verifies that the number of course participants is 1
Here are the above steps expressed in the epm.yaml file:
jobs:
#####
# Deploy Course Registry
#####
- name: CourseRegistry
job:
deploy:
contract: contracts/CourseRegistry.sol
- name: registerParticipant
job:
call:
destination: $CourseRegistry
function: registerParticipant
data: ["Solidity101", $defaultAddr]
- name: getCourseSize
job:
query-contract:
destination: $CourseRegistry
function: getNumberOfParticipants
data: ["Solidity101"]
08-ch08.indd 202 04/01/18 3:21 PM
HowTo_Generic / Blockchain: A Practical Guide to Developing Business, Law, and Technology Solutions / Bambara / 587-9 / Chapter 8
Chapter 8 Private Blockchain Platforms and Use Cases
203
- name: assertCourseSize
job:
assert:
key: $getCourseSize
relation: eq
val: 1
To execute the above work and view the output for Phase 1:
vagrant@contrib-jessie:~$ cd /vagrant/phase1
vagrant@contrib-jessie:/vagrant/phase1$ monax pkgs do -c workshop
-a 4CDBDE25BBAB54751C25CEB9A33D551FC1FE13D5
*****Executing Job*****
Job Name defaultAddr
*****Executing Job*****
Job Name CourseRegistry
Saving ABI abi/CourseRegistry
Deploying Contract name=CourseRegistry
addr=7096D2C824949662E922866B7E26B934828B06C5
*****Executing Job*****
Job Name registerParticipant
*****Executing Job*****
Job Name getCourseSize
Return Value 1
*****Executing Job*****
Job Name assertCourseSize
Assertion Succeeded 1 == 1
The following listing shows the contents of the Course Registry smart contract being
deployed (CourseRegistry.sol file):
pragma solidity ^0.4.4;
contract CourseRegistry {
mapping (bytes32 => address[]) courseRegistry;
function registerParticipant(bytes32 _course, address _participant) {
courseRegistry[_course].push(_participant);
08-ch08.indd 203 04/01/18 3:21 PM
HowTo_Generic / Blockchain: A Practical Guide to Developing Business, Law, and Technology Solutions / Bambara / 587-9 / Chapter 8
204
Blockchain
}
function getNumberOfParticipants(bytes32 _course) constant returns (uint) {
return courseRegistry[_course].length;
}
}
The next step in the tutorial, Phase 2, is to run a job that does the following:
•
Deploys the course manager (another Solidity smart contract)
•
Gets a handle on the course manager
•
Registers a participant
•
Gets the number of participants registered
•
Verifies that the number of course participants is 1
Here are the above steps expressed in the epm.yaml file:
jobs:
- name: CourseManager
job:
deploy:
contract: contracts/CourseManager.sol
instance: all
- name: CourseRegistry
job:
query-contract:
destination: $CourseManager
function: getRegistry
- name: registerParticipant
job:
call:
destination: $CourseRegistry
abi: DefaultCourseRegistry
function: registerParticipant
data: ["Solidity101", $defaultAddr]
- name: getCourseSize
job:
query-contract:
destination: $CourseRegistry
abi: DefaultCourseRegistry
function: getNumberOfParticipants
08-ch08.indd 204 04/01/18 3:21 PM
HowTo_Generic / Blockchain: A Practical Guide to Developing Business, Law, and Technology Solutions / Bambara / 587-9 / Chapter 8
Chapter 8 Private Blockchain Platforms and Use Cases
205
data: ["Solidity101"]
- name: assertCourseSize
job:
assert:
key: $getCourseSize
relation: eq
val: 1
To execute the above work and view the output:
vagrant@contrib-jessie:/vagrant/phase1$ cd /vagrant/phase2
vagrant@contrib-jessie:/vagrant/phase2$ monax pkgs do -c workshop
-a 4CDBDE25BBAB54751C25CEB9A33D551FC1FE13D5
*****Executing Job*****
Job Name defaultAddr
*****Executing Job*****
Job Name CourseManager
Saving ABI abi/DefaultCourseRegistry
Deploying Contract name=DefaultCourseRegistry
addr=7CE7F43206A40618852562CC6AC06F4506F5B5D3
Saving ABI abi/CourseManager
Deploying Contract name=CourseManager
addr=75FB775F6E92567AE4773696D1D1D3A32D8CBBCE
*****Executing Job*****
Job Name CourseRegistry
Return Value FBC01ADB6D0A919A09BDC8E3686971066956AEF7
*****Executing Job*****
Job Name registerParticipant
*****Executing Job*****
Job Name getCourseSize
Return Value 1
*****Executing Job*****
Job Name assertCourseSize
Assertion Succeeded 1 == 1
08-ch08.indd 205 04/01/18 3:21 PM
HowTo_Generic / Blockchain: A Practical Guide to Developing Business, Law, and Technology Solutions / Bambara / 587-9 / Chapter 8
206
Blockchain
The following listing shows the contents of the course manager smart contract being
deployed (CourseManager.sol file):
pragma solidity ^0.4.4;
import "./CourseRegistry.sol";
import "./DefaultCourseRegistry.sol";
contract CourseManager {
CourseRegistry registry = new DefaultCourseRegistry();
function getRegistry() constant returns (address) {
return registry;
}
}
The following listing shows the contents of the course registry smart contract being
deployed (CourseRegistry.sol file):
pragma solidity ^0.4.4;
contract CourseRegistry {
function registerParticipant(bytes32 _course, address _participant);
function getNumberOfParticipants(bytes32 _course) constant returns (uint);
}
The following listing shows the contents of the default course registry smart contract
being deployed (DefaultCourseRegistry.sol file):
pragma solidity ^0.4.4;
import "./CourseRegistry.sol";
contract DefaultCourseRegistry is CourseRegistry {
mapping (bytes32 => address[]) courseRegistry;
function registerParticipant(bytes32 _course, address _participant) {
courseRegistry[_course].push(_participant);
}
08-ch08.indd 206 04/01/18 3:21 PM
HowTo_Generic / Blockchain: A Practical Guide to Developing Business, Law, and Technology Solutions / Bambara / 587-9 / Chapter 8
Chapter 8 Private Blockchain Platforms and Use Cases
207
function getNumberOfParticipants(bytes32 _course) constant returns (uint) {
return courseRegistry[_course].length;
}
}
Phase 3 is to run a job that does the following:
•
Deploys the course manager (Solidity smart contract)
•
Gets a handle on the course manager
•
Registers a participant (that fails)
•
Gets the number of participants registered
•
Verifies that the number of course participants is 0
•
Registers a participant (that succeeds)
•
Gets the number of participants registered
•
Verifies that the number of course participants is 1
Here are the above steps expressed in the epm.yaml file:
jobs:
- name: CourseManager
job:
deploy:
contract: contracts/CourseManager.sol
instance: all
- name: CourseRegistry
job:
query-contract:
destination: $CourseManager
function: getRegistry
- name: registerParticipantFail
job:
call:
destination: $CourseRegistry
abi: DefaultCourseRegistry
function: registerParticipant
data: ["Solidity101", $defaultAddr]
- name: getCourseSizeFail
job:
query-contract:
destination: $CourseRegistry
abi: DefaultCourseRegistry
08-ch08.indd 207 04/01/18 3:21 PM
HowTo_Generic / Blockchain: A Practical Guide to Developing Business, Law, and Technology Solutions / Bambara / 587-9 / Chapter 8
208
Blockchain
function: getNumberOfParticipants
data: ["Solidity101"]
- name: assertCourseSizeFail
job:
assert:
key: $getCourseSizeFail
relation: eq
val: 0
- name: registerParticipantSuccess
job:
call:
destination: $CourseManager
function: registerForCourse
data: ["Solidity101", $defaultAddr]
- name: getCourseSizeSuccess
job:
query-contract:
destination: $CourseRegistry
abi: DefaultCourseRegistry
function: getNumberOfParticipants
data: ["Solidity101"]
- name: assertCourseSizeSuccess
job:
assert:
key: $getCourseSizeSuccess
relation: eq
val: 1
To execute the above work and view the output:
vagrant@contrib-jessie:/vagrant/phase2$ cd /vagrant/phase3
vagrant@contrib-jessie:/vagrant/phase3$ monax pkgs do -c workshop
-a 4CDBDE25BBAB54751C25CEB9A33D551FC1FE13D5
*****Executing Job*****
Job Name defaultAddr
*****Executing Job*****
Job Name CourseManager
Saving ABI abi/CourseManager
08-ch08.indd 208 04/01/18 3:21 PM
HowTo_Generic / Blockchain: A Practical Guide to Developing Business, Law, and Technology Solutions / Bambara / 587-9 / Chapter 8
Chapter 8 Private Blockchain Platforms and Use Cases
209
Deploying Contract name=CourseManager
addr=BF5638B9B66DE74887F5D720E289E406D6A00759
Saving ABI abi/DefaultCourseRegistry
Deploying Contract name=DefaultCourseRegistry
addr=17731DD32E466D07340506F27C7FDA3DDE62E26E
Saving ABI abi/Owned
Deploying Contract name=Owned
addr=6CE22D71B99149E3627305D8BC780D79406E48C5
*****Executing Job*****
Job Name CourseRegistry
Return Value A745CF88A10A49D6641A60CC2CFE061BE673544D
*****Executing Job*****
Job Name registerParticipantFail
*****Executing Job*****
Job Name getCourseSizeFail
Return Value 0
*****Executing Job*****
Job Name assertCourseSizeFail
Assertion Succeeded 0 == 0
*****Executing Job*****
Job Name registerParticipantSuccess
*****Executing Job*****
Job Name getCourseSizeSuccess
Return Value 1
*****Executing Job*****
Job Name assertCourseSizeSuccess
Assertion Succeeded 1 == 1
Phase 4 is a job that does the following:
•
Deploys the courses library (Solidity smart contract)
•
Deploys the course manager (link to the course library)
•
Gets a handle on the course manager
08-ch08.indd 209 04/01/18 3:21 PM
HowTo_Generic / Blockchain: A Practical Guide to Developing Business, Law, and Technology Solutions / Bambara / 587-9 / Chapter 8
210
Blockchain
•
Adds a course (Solidity 101)
•
Gets the number of courses available
•
Verifies that the number of courses available is 1
•
Registers a participant for the available course (Solidity 101)
•
Gets the number of participants registered
•
Verifies that the number of course participants is 1
Here are the above steps expressed in the epm.yaml file:
vagrant@contrib-jessie:/vagrant/phase4$ cat epm.yaml
jobs:
- name: CoursesLibrary
job:
deploy:
contract: contracts/Courses.sol
- name: CourseManager
job:
deploy:
contract: contracts/CourseManager.sol
libraries: Courses:$CoursesLibrary
instance: all
- name: CourseRegistry
job:
query-contract:
destination: $CourseManager
function: getRegistry
- name: addCourse
job:
call:
destination: $CourseManager
function: addCourse
data: ["SOL101", "Solidity 101", 2017, 25]
- name: getNumberOfCourses
job:
query-contract:
destination: $CourseRegistry
abi: DefaultCourseRegistry
function: getNumberOfCourses
08-ch08.indd 210 04/01/18 3:21 PM
HowTo_Generic / Blockchain: A Practical Guide to Developing Business, Law, and Technology Solutions / Bambara / 587-9 / Chapter 8
Chapter 8 Private Blockchain Platforms and Use Cases
211
- name: assertNumberOfCourses
job:
assert:
key: $getNumberOfCourses
relation: eq
val: 1
- name: registerParticipant
job:
call:
destination: $CourseManager
function: registerForCourse
data: ["SOL101", $defaultAddr]
- name: getCourseSize
job:
query-contract:
destination: $CourseRegistry
abi: DefaultCourseRegistry
function: getNumberOfParticipants
data: ["SOL101"]
- name: assertCourseSize
job:
assert:
key: $getCourseSize
relation: eq
val: 1
To execute the above work and view the output:
vagrant@contrib-jessie:/vagrant/phase3$ cd /vagrant/phase4
vagrant@contrib-jessie:/vagrant/phase4$ monax pkgs do -c workshop
-a 4CDBDE25BBAB54751C25CEB9A33D551FC1FE13D5
*****Executing Job*****
Job Name defaultAddr
*****Executing Job*****
Job Name CoursesLibrary
Saving ABI abi/Courses
Deploying Contract name=Courses
addr=7AEFB4119B7742FE6023A13EFA821AED7426911B
*****Executing Job*****
08-ch08.indd 211 04/01/18 3:21 PM
HowTo_Generic / Blockchain: A Practical Guide to Developing Business, Law, and Technology Solutions / Bambara / 587-9 / Chapter 8
212
Blockchain
Job Name CourseManager
Saving ABI abi/CourseManager
Deploying Contract name=CourseManager
addr=9A10DA79DD5725F331FC9CC826BA34DA36312959
Saving ABI abi/Courses
Deploying Contract name=Courses
addr=BE382E4F2205BAF53076A2A9EEACE3BA9342FECB
Saving ABI abi/DefaultCourseRegistry
Deploying Contract name=DefaultCourseRegistry
addr=79ECE36DB8D0ED195C93CEB2A78132377B7F4B1C
Saving ABI abi/Owned
Deploying Contract name=Owned
addr=169DB815EAB132DC6B11FA8AC05E1808A9DC4D27
*****Executing Job*****
Job Name CourseRegistry
Return Value C6F474E0188D8FF317F5B93D1B0B26B699AE97EF
*****Executing Job*****
Job Name addCourse
*****Executing Job*****
Job Name getNumberOfCourses
Return Value 1
*****Executing Job*****
Job Name assertNumberOfCourses
Assertion Succeeded 1 == 1
*****Executing Job*****
Job Name registerParticipant
*****Executing Job*****
Job Name getCourseSize
Return Value 1
*****Executing Job*****
Job Name assertCourseSize
Assertion Succeeded 1 == 1
08-ch08.indd 212 04/01/18 3:21 PM

HowTo_Generic / Blockchain: A Practical Guide to Developing Business, Law, and Technology Solutions / Bambara / 587-9 / Chapter 8
Chapter 8 Private Blockchain Platforms and Use Cases
213
That is the end of the tutorial. Now comes the teardown, which isn’t documented. In order
to tear down the whole virtual environment, you will first exit the secure shell, if you haven’t
already done so:
vagrant@contrib-jessie:/vagrant/phase4$ exit
logout
Connection to 127.0.0.1 closed.
Then you can start the teardown process as follows:
$ vagrant halt
==> default: Attempting graceful shutdown of VM..
$ vagrant destroy
default: Are you sure you want to destroy the 'default' VM? [y/N] y
==> default: Destroying VM and associated drives...
$ vagrant box remove monax
Removing box 'monax' (v0) with provider 'virtualbox'...
$ rm Vagrantfile
The above tutorial is a brief introduction to the Monax offering. It demonstrated defining
and starting up a chain, deploying smart contracts written in Solidity, and then calling
functions on the smart contracts.
MultiChain
Websites:
https://www.multichain.com
https://github.com/MultiChain/multichain
MultiChain is an open-source platform for private chains based on Bitcoin’s blockchain. Its key
features are:
•
Managed permissions Control over who can connect; send and receive transactions;
create assets, streams, and blocks
•
Rapid deployment Two steps to create a new blockchain and three to connect to an
existing one
•
Unlimited assets Tracked and verified at the network level
•
Data streams Allow the creation of multiple key-value, time series, or identity databases
on a blockchain
MultiChain provides maximal compatibility with the Bitcoin ecosystem, which includes
the Bitcoin Core APIs/runtime parameters, the peer-to-peer protocol, and its transaction/
block formats.
08-ch08.indd 213 04/01/18 3:21 PM

HowTo_Generic / Blockchain: A Practical Guide to Developing Business, Law, and Technology Solutions / Bambara / 587-9 / Chapter 8
214
Blockchain
Openchain
Websites:
https://www.openchain.org
https://github.com/openchain
Openchain is an open-source distributed ledger platform for issuing and managing digital
assets. The administrator of an Openchain instance defines the rules of the ledger, then
the permissioned end users can exchange value on the ledger according to its rules. Each
transaction on the ledger is digitally signed.
Openchain is a generic register of asset ownership. Some example use cases are:
•
Securities, commodities, currencies
•
Ownership titles (land, real estate, music or software licensing)
•
Reward, gift, and loyalty cards
Quorum
Websites: https://github.com/jpmorganchase/quorum
https://www.jpmorgan.com/country/US/EN/Quorum
Quorum an open-source distributed ledger platform based on the official Go implementation
of Ethereum. It is designed to support applications that require identity and (high-speed/
throughput) performance of private transactions within a permissioned group of known
participants. One of the design goals of Quorum is to reuse as much existing Ethereum
technology as possible and to keep in sync with future versions of the public Ethereum code base.
Quorum also comes with Cakeshop, which is a graphical user interface for working with
Quorum networks, smart contracts, and APIs. The Quorum consensus mechanism is based
on majority voting, which results in faster blocktimes, transaction finality, and on-demand
block creation.
Quorum uses cryptography to shield data from those who are not a party to the
transaction. Quorum is a single shared blockchain and a combination of changes to Ethereum
along with smart contracts to segment the private data. The Go-Ethereum code base changes
are to the block proposal and block validation processes. For block validation, all nodes validate
public transactions, and they also validate private transactions that they are party to when
executing the contract code associated with the transactions.
08-ch08.indd 214 04/01/18 3:21 PM

HowTo_Generic / Blockchain: A Practical Guide to Developing Business, Law, and Technology Solutions / Bambara / 587-9 / Chapter 8
Chapter 8 Private Blockchain Platforms and Use Cases
215
Stellar
Website: https://www.stellar.org
Stellar is an open-source, distributed payments infrastructure that connects banks, payment
systems, and people. It enables the building of mobile wallets, banking tools, and smart
devices. The servers in the chain communicate and sync with each other to ensure that
transactions are valid and get applied to the ledger. Stellar uses its own form of consensus
called Stellar Consensus Protocol (SCP). Its key properties are:
•
Low latency.
•
Digital signatures and hash families.
•
Decentralized control where anyone is able to participate and no central authority dictates
whose approval is required for consensus.
•
Flexible trust. Users have the freedom to trust any combination of parties they see fit. For
example, a small nonprofit may play a key role in keeping much larger institutions honest.
Symbiont Assembly
Website: https://symbiont.io/technology/introducing-
symbiont-assembly
Symbiont Assembly is an immutable (or “append-only”) database that provides a single,
global ledger whose transaction history is replicated out to all nodes in the network. It is a
permissioned ledger, where each user signs their transactions so that their identity can be
verified by all participants on the network.
Symbiont Assembly uses a proprietary Byzantine fault-tolerant consensus protocol called
BFT-SMaRt, which was designed with simplicity and modularity in mind, and has improved
performance over public blockchain consensus protocols.
Summary
There are many options for permissioned private blockchains, and the list is likely to
grow. In many cases, government/industry regulation dictates that private control is
needed. That being said, the freedom, neutrality, and openness that started Bitcoin on
the public blockchain are things to keep in mind. The focus of decentralizing control and
consensus on the public platform is clearly something to think about. There is a great deal
of chatter and concern around privacy, identity, speed, and cost of the public blockchain
solutions. It is important to note that by creating privately administered smart contracts on
public blockchains, or cross-chain exchange layers that sit in between public and private
blockchains, it is possible to deliver some degree of the properties of private blockchains on
the public platforms. Time will tell if these types of capabilities and properties ever get built
into the public blockchain.
08-ch08.indd 215 04/01/18 3:21 PM
HowTo_Generic / Blockchain: A Practical Guide to Developing Business, Law, and Technology Solutions / Bambara / 587-9 / Chapter 8 / blind folio: 216
08-ch08.indd 216 04/01/18 3:21 PM
This page intentionally left blank
217
HowTo_Generic / Blockchain: A Practical Guide to Developing Business, Law, and Technology Solutions / Bambara / 587-9 / Chapter 9
9 Challenges
A
s blockchain evolves and new applications emerge, we the developers—and perhaps
governance regulators and attorneys—will face a complex set of issues, as well as
new dependencies. A key challenge associated with blockchain is a lack of awareness and
technical skills needed to implement the technology, especially in sectors other than banking.
A blockchain represents a large shift away from the traditional ways of developing digital
technologies. It places trust and authority in a decentralized network rather than in a classic
central institution. This loss of control makes business leaders hesitant. Blockchain is perhaps
80 percent business process change and 20 percent technology implementation. The speed
and effectiveness with which blockchain networks currently execute peer-to-peer transactions
comes at a high aggregate cost. As we have seen, this inefficiency arises because each node
performs the same tasks as every other node on its own copy of the data. In this chapter,
we will explore some possible alternatives. For the Bitcoin network, for example, which
uses a proof-of-work approach in lieu of trusting participants in the network, total running
costs associated with validating and sharing transactions is $600 million in 2017 and rising.
Blockchains are a productivity paradox. Therefore, decisions about implementing blockchain
applications need to be carefully considered and analyzed before implementation. The law and
regulations they spawn have always struggled to keep up with advances in technology. Indeed,
technologies like the Bitcoin blockchain bypass regulation completely to solve inefficiencies in
conventional intermediated payment networks. That said, there are still strong arguments for
blockchain applications to work within the laws and regulatory structures, not outside of them,
but this means that lawyers and business leaders need to understand the technology and its
impact on the businesses and consumers in their sector.
While no technology is completely secure, no one has managed as yet to compromise the
encryption and decentralized architecture of a blockchain. For security and privacy, identities
created within a blockchain are unique and offer a high level of assurance that the party is
who they claim to be. We must consider how privacy and security can drive and inform the
design. Public acceptance of blockchain applications will likely mean proactively framing
the discussion of privacy around concepts of value, security, and trust. We will explore these
challenges and other issues in this chapter.
09-ch09.indd 217 04/01/18 3:22 PM
HowTo_Generic / Blockchain: A Practical Guide to Developing Business, Law, and Technology Solutions / Bambara / 587-9 / Chapter 9
218
Blockchain
All software systems as they evolve from proof of concept prototypes to virtual necessity
naturally face technical challenges. Blockchains as distributed systems not only face technical
challenges but, as we have seen, a host of governance challenges as well. We will explore
challenges around governance, including the Bitcoin rift and the Ethereum fork. On the
technical side, there are challenges such as “51 percent attacks”, and the all too familiar denial-
of-service attacks we see in the cybersecurity news each day. Some new wave challenges
include the growing use of smart contracts, and the reliability thereof, as well as the perennial
scaling problems which all popular technology faces.
Blockchain Governance Challenges
Governance challenges encompass the philosophical, economic, and social issues that
come from those already supporting a given blockchain or cryptocurrency, but disagree
on how to move the technology forward. These are challenges that will consistently arise
and be different every time. They all revolve around how to upgrade the code to deal with
some issue but cannot agree on how to do so. In other words, it’s an issue of how to achieve
consensus on the community level, of how protocol upgrades are managed. In a decentralized
environment, you can’t force anyone to upgrade, but this has presented a number of
problems, including:
•
Bitcoin blocksize debate
•
Ethereum DAO fork
•
Ethereum moving to proof-of-stake
Bitcoin Blocksize Debate
The Bitcoin blocksize debate has been a long-standing, growing rift in the Bitcoin space. It
revolves around the 1MB limitation on blocksize that is hardcoded in the code (see https://
github.com/bitcoin/bitcoin/blob/master/src/consensus/consensus.h):
static const unsigned int MAX_BLOCK_BASE_SIZE = 1000000;
The limitation was originally put there by Satoshi Nakamoto to prevent denial-of-service
attacks. The fear was that without this limitation some miners could create blocks so large
that smaller miners would not be able to process and keep up, in effect cutting them off from
participating in the network. When Satoshi first put the limitation in place, it was with the
understanding that it will be removed when the network is ready. But even after the capabilities
of the network have improved due to hardware advances, the 1 MB limit has remained.
The problem with having such a limit is simply that there are only so many transactions
that can fit into a 1MB block (roughly 2,000). Since there is a new block only every 10 minutes,
this translates into three or four transactions per second. Obviously, this is untenable for a
global system where, for comparison, Visa handles 20,000 transactions per second.
The blocksize issue first arose in 2013 with Jeff Garzik saying the blocksize needed to be
increased. Gavin Andresen and Mike Hearn decided to weigh in in 2015 when they felt the
issue needed to be taken seriously. Hearn wrote a blog post entitled “The Capacity Cliff,” urging
the Bitcoin community to increase the blocksize immediately. He argued that once blocks
reached capacity and people’s transactions were not processed they would lose faith in Bitcoin’s
09-ch09.indd 218 04/01/18 3:22 PM

HowTo_Generic / Blockchain: A Practical Guide to Developing Business, Law, and Technology Solutions / Bambara / 587-9 / Chapter 9
Chapter
9 Challenges
219
functionality, and there would be a downward spiral in Bitcoin’s market value. Hearn sold all his
bitcoins at the time. Andresen argued that by March 2016 Bitcoin blocks would be full. He was
accurate with his prediction. Hearn’s doomsday scenario did not come to pass, however.
Instead of the issue working its way closer to a resolution, it has instead drifted in the
opposite direction, toward heated technical debates, arguments over the use and nature of
Bitcoin, and name calling and infighting. The core developers felt that changing the blocksize
would disadvantage small miners and lead to further miner centralization. They also felt a
“fee market” is healthy for Bitcoin. They felt that there needs to be competition to get into a
block in order to eliminate transaction spam and increase the transaction fees in general. They
argued that a small (less than 10 cents) transaction fee is too small for a network that needs to
store that transaction forever.
The community split itself into proponents of big blocks and proponents of small blocks.
Each side accused the other of trying to destroy Bitcoin. On Reddit there was an r/btc spinoff
from r/bitcoin, where r/btc accused r/bitcoin of censoring posts that were in favor of any
size increase. There is indeed a lot of evidence backing up the claim of censorship. r/bitcoin
in turn accused r/btc of just bashing anyone who wanted to keep the status quo. There were
endless blog posts and articles from both sides, with everyone from Brian Armstrong, CEO of
Coinbase, to Vitalik Buterin weighing in.
The effects of full blocks meant that transaction fees had to rise, and by late 2017 it was
typical to pay $2 to $5 on a transaction when only a couple years back Bitcoin was heralded
as being nearly free to use. Figure 9-1 shows the rise of transaction costs in 2017, in terms of
satoshis (i.e., 0.00000001 bitcoin) per byte. In addition, instead of transactions confirming in
the first block, it would often take several blocks to get a confirmation, turning what used to be
FIGURE 9-1
Average transaction costs January–September 2017, in terms of satoshis per byte
100
200
300
400
500
600
Avg. Transaction Fee (in satoshis) – 2017
0
01–01
01–13
01–25
02–06
02–18
03–02
03–14
03–26
04–07
04–19
05–01
05–13
05–25
06–06
06–18
06–30
07–12
07–24
08–19
08–31
09-ch09.indd 219 04/01/18 3:22 PM
HowTo_Generic / Blockchain: A Practical Guide to Developing Business, Law, and Technology Solutions / Bambara / 587-9 / Chapter 9
220
Blockchain
a 10-minute wait into 30 minutes. Many transactions would not confirm at all and get stuck in
the mempool. Eventually these transactions would drop out and a user could resend it with a
higher fee, but nevertheless the ever-increasing number of transactions in the mempool does
not bode well.
These issues led many bitcoiners to argue for “forking” Bitcoin—releasing a version of
Bitcoin that can create 2MB blocks, known as Bitcoin Classic, and a version that removes the
hardcoded limit altogether, known as Bitcoin Unlimited. In early summer 2017, a new version
known as Bitcoin Cash was proposed, which would raise the blocksize to 8MB. On August 1,
it had enough support to go into effect, and Bitcoin Cash was born. The Bitcoin network split
into two.
The Bitcoin blocksize issue is disconcerting because even a relatively minor change could
not get enough support to prevent a fork. If the Bitcoin community cannot agree on a small
code change, how is there any hope for implementing significant improvements to the protocol
needed for scaling and sidechains? We may be headed toward a world of many Bitcoin
blockchains, each one born out of a modification that couldn’t get universal support.
The Ethereum DAO Fork
Before July 2016 there was only one Ethereum (ETH). Then the Ethereum network forked.
Most of the community, around 90 percent, were behind the Ethereum Foundation, which
had made just one change to the code: it undoes all transactions from one DAO transaction,
the one that moved $60 million worth of ether from the DAO contract into a hacker’s
personal contract. While most of the community was behind this change, there was some
strong opposition too—not because people wanted the hacker to get away with it, only that
it’s the lesser of two evils. The bigger evil was reneging on the promise of blockchains—
indeed, the claim made on ethereum.org: “unstoppable code.” Blockchain promised code
that cannot be changed and transactions that cannot be rolled back. If this transaction were
rolled back, how could anyone have faith that their transaction wouldn’t suffer a similar fate?
Of course, the fear is somewhat unjustified because you’re only at risk of having a transaction
rolled back if the majority of the Ethereum community unites to undo a transaction, and this
is only likely in the event of something monumental like the DAO hack. In any case, there
were some strong holdouts who did not want to upgrade.
On July 20, 2016, at block number 1920000 the new version of Ethereum went into effect.
It was a success—at least it was immediately heralded as one by most of the community. There
was very little hash power on the non-upgraded chain, and within the first two days it seemed
the old chain would die out completely—there would be no miners left creating blocks on that
chain. But then something surprising happened. The chain started getting more hash power
and more vocal proponents. Then the largest Ethereum exchange—Poloniex—listed these
“old chain” tokens, dubbed Ethereum Classic (ETC). This was a watershed moment opening
up ETC to traders and speculators, some crediting Poloniex for propping the coin up, if not
criticizing them for adding it for their own self-interests. Ethereum Classic has continued to
maintain a solid following and has been among the top coins by market cap ever since.
This all illustrates the challenge for public tokens: how to get the whole community in
agreement on changing the code in some way. If at every change it spawns a sister chain, then
the value proposition of cryptocurrencies is watered down.
09-ch09.indd 220 04/01/18 3:22 PM
HowTo_Generic / Blockchain: A Practical Guide to Developing Business, Law, and Technology Solutions / Bambara / 587-9 / Chapter 9
Chapter
9 Challenges
221
Ethereum’s Move to PoS and Scaling Challenges
In continuation with the above, Ethereum faces more governance issues in its near future.
Ethereum has always proposed to move to a proof-of-stake (PoS) mining algorithm. And while
miners knew from day one that such a change will be implemented at some point, they now
have a lot vested in proof-of-work mining equipment. It may not be in their best interests to
go along with the transition to proof-of-stake. Indeed there is already such talk among a small
percentage of Ethereum miners to maintain the consensus algorithm as is. Senior Ethereum
developer Vlad Zamfir has also argued for reducing the mining rewards before the move to
PoS, in light of the high price of ether. However good the arguments are, if they don’t satisfy
the vast majority of miners, then any change will result in yet another version of Ethereum.
Perhaps more challenging will be Ethereum’s architecture changes to allow sharding—
Ethereum’s scaling proposal. The changes will likely be quite significant—and risky. It’s hard
to imagine there not being vocal opposition to implementing changes that can potentially
introduce a bug to wipe out all of Ethereum’s market value.
In the early days of Bitcoin, it was also thought that it will undergo major changes to
allow for scaling. Today, those dreams are squashed with the recognition that it would be too
difficult to change Bitcoin now. However, unlike Ethereum, Bitcoin’s core function has always
been as a “store of value.” Ethereum, on the other hand, has been championed as a world
computer. A world computer must be able to handle more than a couple dozen transactions
per second. It’s an existential threat that Ethereum uniquely faces.
Blockchain Technical Challenges
Blockchains face some unique challenges as a piece of software. There’s very little room
for error in blockchain code, especially public blockchains. If there are billions of dollars of
cryptocurrency riding on the soundness of the platform, a bug can cost literally billions and
potentially be fatal altogether. The DAO hack has already demonstrated this: a subtle bug
resulted in the loss of tens of millions of dollars, not to mention hurting confidence in the
overall system. So blockchain code must be compared to software that flies a plane, or that
monitors an oil drill.
Technical challenges come in two main varieties: security challenges and usability
challenges. We will explore the following:
•
Security challenges: the core code, denial-of-service attacks, smart contracts
•
Usability challenges: scaling
Bugs in the Core Code
In Bitcoin’s history it’s had two issues with its core code that could have been potentially
disastrous. On August 8, 2010, Bitcoin developer Jeff Garzik announced on bitcointalk.org,
“The ‘value out’ in this block is quite strange,” referring to a block that had somehow contained
92 billion BTC, which is precisely 91,979,000,000 more bitcoins than are ever supposed to
exist. Block number 74638 exploited an integer overflow to make a negative total transaction.
Ultimately the blockchain needed to be rolled back to before the introduction of these bitcoins.
09-ch09.indd 221 04/01/18 3:22 PM

HowTo_Generic / Blockchain: A Practical Guide to Developing Business, Law, and Technology Solutions / Bambara / 587-9 / Chapter 9
222
Blockchain
Then in 2012 there was an update to Bitcoin core that had an unintentional side effect. In
the new version, 0.8, it was using an updated version of MongoDB (the backend DB of Bitcoin).
This version was incompatible with 0.7 and caused blocks produced on the older version to
not be recognized by 0.8. The blockchain forked. After a frantic few hours on the bitcointalk
message board, it was decided that all those who did upgrade would roll back to the 0.7 version
and abandon their chain. Thankfully, these miners—who were actually the more conscientious
ones, following along with upgrades—were willing to take a hit and lose their mining rewards
for the good of the network. Nevertheless, this was another demonstration of side effects
arising in subtle ways.
Denial-of-Service Attacks
Ethereum also faced a problem that isn’t so much a bug but more of a miscalibration,
which allowed for denial-of-service (DoS) attacks to be carried out against the network.
We normally think of denial-of-service attacks as an adversary overwhelming a website or
service with so many requests that the service cannot respond to legitimate users, effectively
taking the service offline. Figure 9-2 shows this scenario.
In Ethereum this happened slightly differently. In Ethereum the user needs to pay for
operations on the network. So you’d think this would block any denial-of-service attacks
by the fact that it costs money to execute. But that assumes the cost to execute operations
Attacker
Controller
Victim
Zombies
FIGURE 9-2
Denial-of-service attack
09-ch09.indd 222 04/01/18 3:22 PM
HowTo_Generic / Blockchain: A Practical Guide to Developing Business, Law, and Technology Solutions / Bambara / 587-9 / Chapter 9
Chapter
9 Challenges
223
is commensurate with the processing overhead needed to run them; this was not the case.
Each operation type in the EVM has a price associated with it. And as it happened some of
the operations were mispriced, not reflecting the computational overhead needed to fulfill
them. An attacker unleashed a smart contract and invoked it repeatedly to perform memory-
intensive work, dramatically slowing down the Ethereum network. In fact it would have
brought the network to a standstill if not for an alternative, less popular, client called Parity,
which was able to process those transactions far more efficiently and keep up with the demand.
The more popular Geth client became useless. The Geth developers quickly rolled out an
improvement, but a full fix was only possible with a hard fork to put in appropriate pricing.
Unfortunately, even with the fork there was still an operation—suicide—invoked when the
contract was killed that took up too many resources, and another fork needed to be rolled out
for that.
In short, there was a period of two months where there were repeated attacks on the
Ethereum blockchain that resulted in some form of denial-of-service attacks and demonstrated
that these networks must be vigilant and resilient against them.
Security in Smart Contracts
Perhaps the most important security concern in blockchain is the security of the smart
contracts, because while the core blockchain is heavily vetted and tested, smart contracts are
often rushed out the door. While the blockchains can be rolled back in a catastrophic attack,
a smart contract generally cannot.
The DAO Hack
The DAO hack is the most dramatic example of what happens with poor smart contract
design. The DAO contract had $150 million worth of ether when a hacker began to drain
it. The hacker successfully moved $60 million worth to an intermediate holding contact
where they were in sole control. The hack happened because the DAO allowed the user
to withdraw their funds repeatedly, known as a reinjection vulnerability. The hole was in
that when ether was withdrawn, it was sent to the withdrawer (the hacker in this case) and
only then updated the withdrawer’s balance to 0. Figure 9-3 shows the general structure of
the DAO, where users can invoke the “Split DAO” operation and request payout of their
funds from the parent DAO to the child DAO. The hacker figured out a way to request a
payout again and again before their balance was updated.
Here are the problematic lines of code in the splitDAO() function where the user can
withdraw their ether and move it into their own DAO:
withdrawRewardFor(msg.sender); // The receiver gets paid out here
totalSupply -= balances[msg.sender];
// only now is the receiver's balance updated --
balances[msg.sender] = 0;
// PROBLEM BELOW: This should have been done first before payout
paidOut[msg.sender] = 0;
return true;
09-ch09.indd 223 04/01/18 3:22 PM

HowTo_Generic / Blockchain: A Practical Guide to Developing Business, Law, and Technology Solutions / Bambara / 587-9 / Chapter 9
224
Blockchain
The DAO contract wasn’t the only one to suffer from the reinjection vulnerability. MakerDAO,
which stored millions of dollars in its decentralized exchange platform, also had this bug but
luckily the developers were able to drain the funds themselves using the vulnerability before a
hacker got to the funds.
Other Smart Contract Bugs
Many other projects suffered from bugs in their smart contracts. Ethereum Name Service
(ENS) is a well-respected project led by Nick Johnson at the Ethereum Foundation. ENS is a
system to associate user-friendly names with Ethereum addresses, whether user addresses or
contracts, just as DNS associates domain names with IP addresses. Instead of referring to a
long hexadecimal address you can refer to companyname.eth. ENS is a contract that acts as
a registry, mapping names to addresses. It has a very fair system to reserve such names. In
order to claim one, you must first open an auction for your name, which gives anyone three
days to bid on the name. After the bidding period, there are two days where everyone can
reveal their bids, with the highest bidder winning the name and being refunded whatever
money they paid above the next highest bidder. In other words, the winning bidder only
pays the amount of the second highest bid. Figure 9-4 illustrates the bidding flow. When bids
are placed they are encrypted, masking the actual bid until the reveal period, when bids are
uncovered. It’s an elegant system.
A few hours after the ENS contract went live, a bug was found that allowed someone to
keep bidding during the reveal period, overbidding any revealed bids. This flaw was especially
damaging because it didn’t depend on special circumstances as the DAO hack did. It was
FIGURE 9-3
The normal movement of funds in the DAO, including the Split DAO function
DAORewardAccount
extraBalanceAccount
DAO Main Account
rewardAccount
Tokenholder Accounts Contractor Accounts
Split DAOs
09-ch09.indd 224 04/01/18 3:22 PM

HowTo_Generic / Blockchain: A Practical Guide to Developing Business, Law, and Technology Solutions / Bambara / 587-9 / Chapter 9
Chapter
9 Challenges
225
FIGURE 9-4
The stages of an ENS bid
72-Hour
Bidding
Period
(bids are concealed)
bid
bid
bid
bid bid
bid
bid
48-Hour
Reveal
Period
Start Auction
reveal bid reveal bid
reveal bid
reveal bid
reveal bid
reveal bid
Highest
bid
so far?
Yes
Bid is returned,
less 0.5%
which is burned
(destroyed).
1. Any extra “mask”
amount is returned.
2. All other bids returned
(less 0.5%).
Finalize bid
(winner only)
Bidding ends
Auction ends
1. Any amount bid over
2nd-highest bidder
is returned.
2. Remainder locked as a
deposit for 1 year.
Yes
No
09-ch09.indd 225 04/01/18 3:22 PM
HowTo_Generic / Blockchain: A Practical Guide to Developing Business, Law, and Technology Solutions / Bambara / 587-9 / Chapter 9
226
Blockchain
an egregious error with a vital if condition completely missing. The flaw was that in the
contract there was no check to determine whether the bidding period had closed.
if(auctionState == Mode.Owned) {
// Too late! Bidder loses their bid. Gets 0.5% back.
bid.closeDeed(5);
BidRevealed(_hash, _owner, actualValue, 1
} else if(auctionState != Mode.Reveal) {
// Invalid phase
throw;
} else if (_value < minPrice) {
// Bid too low, refund 99.5%
bid.closeDeed(995);
BidRevealed(_hash, _owner, actualValue, 0);
} else if (_value > h.highestBid) {
// new winner
// cancel the other bid, refund 99.5%
if(address(h.deed) != 0) {
Deed previousWinner = h.deed;
previousWinner.closeDeed(995);
}
// set new winner
// the cost (value) becomes the previous highestBid
h.value = h.highestBid;
h.highestBid = actualValue;
h.deed = bid;
BidRevealed(_hash, _owner, actualValue, 2);
} else if (_value > h.value) {
// not winner, but affects second place
h.value = actualValue;
bid.closeDeed(995);
BidRevealed(_hash, _owner, actualValue, 3);
} else {
// bid doesn't affect auction
bid.closeDeed(995);
BidRevealed(_hash, _owner, actualValue, 4);
}
The ENS team was quick to respond and deactivate the contract, promising a fix would
be released that same evening. They blamed the bug on a last-minute refactor that introduced
it—a bad oversight but quickly addressed. The fix was to change an above check to
else if (_value < minPrice || bid.creationDate() > h.registrationDate -
revealPeriod)
It looked like all was well and back on track, but a second bug was reported a few hours
later. The contract could be tricked into making someone the highest bidder even if they put
in a very low bid. It came down to using a wrong but similarly named variable in one of the
09-ch09.indd 226 04/01/18 3:22 PM
HowTo_Generic / Blockchain: A Practical Guide to Developing Business, Law, and Technology Solutions / Bambara / 587-9 / Chapter 9
Chapter
9 Challenges
227
if conditions. The variable _value was the wrong reference and should have referred to
actualValue:
else if (_value > h.highestBid) {
// new winner
// cancel the other bid, refund 99.5%
if(address(h.deed) != 0) {
Deed previousWinner = h.deed;
previousWinner.closeDeed(995);
}
In detail, a user enters a bid into the auction. They may pay ether here, but there is no
enforced relationship between the amount of ether they pay and the value declared when
defining the bid. The value of the deed will be defined by the amount paid, and the deed will
own that amount, but this may not be the value the user declared when defining the bid.
When unsealBid is called, they must identify the bid with its declared value _value,
which may differ from the value of the Deed that represents it. The function will compute a
quantity actualValue, which will be the minimum of the value paid and the value declared.
So, if the user underpaid, actualValue will be the value that they’ve actually paid.
However, when checking to see if they’ve won the auction (or if they have at least the
minimum price), the declared value _value is used rather than actualValue to decide
if the bidder won. If the declared value is sufficiently high, they eject the previous winner of
the auction. The winning bid gets set to actualValue, which may be lower than the user’s
declared value, and lower than the prior winning bid. So someone could win auctions by
declaring very high values but underfunding them (and unsealing their bids late in the reveal
period, since their low actually paid value becomes an easily displaceable highestBid).
Two embarrassing bugs on the very first day—not a good start for ENS. The team said
they were going to take a time-out and postpone the release until a complete audit could be
carried out. Why wasn’t it fully vetted before?
The ENS incident is a good example of a high-profile project by a high-profile team failing
to meet the standards required for a blockchain program. If they couldn’t release solid code,
what hope is there for amateur teams or engineers at large to create smart contracts that are
safe and execute as intended?
The DAO and other smart contract bugs have convinced many in the community that
there must be a better approach if this technology is to work. Hoping that everyone becomes
a more vigilant coder is not enough. We will continue to see bugs. The alternative is to change
the very nature of how smart contracts are written to make it difficult for bugs to appear in
the first place—to use a formally verifiable language or formal verification tools, a feature of
functional languages.
In functional code, the output value of a function depends only on the arguments that
are passed to the function, so calling a function f twice with the same value for an argument
x will produce the same result f(x) each time. This is in contrast to procedures depending on
local or global state, which may produce different results at different times when called with
the same arguments but different program state. Eliminating side effects—i.e., changes in
state that do not depend on the function inputs—can make it much easier to understand and
predict the behavior of a program, which is one of the key motivations for the development of
functional programming.
09-ch09.indd 227 04/01/18 3:22 PM
HowTo_Generic / Blockchain: A Practical Guide to Developing Business, Law, and Technology Solutions / Bambara / 587-9 / Chapter 9
228
Blockchain
Vitalik Buterin has talked at length about the need for such techniques, and it’s considered
one of Ethereum’s existential needs. The problem is that not only does it require a lot of
resources to develop such a language or tool, but it’s far more difficult to learn and program in
such languages. Engineers will need to be retrained, and the pool of such engineers will likely
be smaller.
Scaling
For public blockchains, the biggest challenge is scalability. The Bitcoin network can process
4 to 7 transactions per second, the Ethereum network around 15. This is minuscule for a
global platform. What use is a public blockchain if it cannot actually serve a global audience?
If Bitcoin or Ethereum were to have as many users as Visa or Instagram today, the network
would grind to a halt.
When you think about it, if every transaction, every computation, is performed by every
node in the network, then the processing capability of the entire network is limited by the
processing capability of a single node. If the solution is to have super-powerful nodes that have
massive memory, CPU, and bandwidth resources, the network is not very decentralized. Only
the powerful will have powerful computers.
In reality, it’s overkill to have everyone do everything. And in order to allow blockchains to
scale to the level of Visa, we must find a way around this design paradigm. The solution must
take some form of not having everyone process everything. There are many solutions in the
works, but none have been yet implemented. Here’s an overview of what we know.
Don’t Do Everything on the Blockchain
One solution is to build an intermediate layer or many intermediate layers. These are
called second-layer solutions, and they go by the names Lightning Network (for Bitcoin)
and Raiden Network (for Ethereum). Users can create state channels that allow them
to make many transactions that effectively count as one transaction. After some period
of time, perhaps a week, the channel is closed and the total balances for each party are
updated on the blockchain.
However, even state channels only go so far. You still need to open a channel between
every two parties. If you have too many users, the blockchain won’t be able to accommodate
state channels for all of them.
Don’t Record Every Transaction on Every Node
Ultimately the only way to get around the scaling problem is to eliminate the needless
redundancy of recording everything everywhere. In a sense, this is in practice already
with transactions happening upon multiple blockchains. The existence of the Litecoin and
Ethereum blockchains takes some of the load off the Bitcoin chain. It’s almost as if there were
Bitcoin
1
, Bitcoin
2
, etc. Of course, the problem with such solutions is that there isn’t direct
interoperability between all these chains. However, this has led to research into network-of-
blockchain solutions, including Cosmos, Polkadot, and many others. The idea is that there
is an external (decentralized) system that is listening for transactions or operations on one
blockchain and relaying them to another blockchain.
09-ch09.indd 228 04/01/18 3:22 PM
HowTo_Generic / Blockchain: A Practical Guide to Developing Business, Law, and Technology Solutions / Bambara / 587-9 / Chapter 9
Chapter
9 Challenges
229
However, multiple blockchains or even interconnectivity among multiple blockchains is
not true scalability. What you want is that as your network grows and gives you more security,
the transaction throughput grows accordingly. While having multiple blockchains does grow
transaction throughput, it comes at a cost: the security of the entire system is only as strong
as the weakest blockchain.
Sharding
We can view shards as mostly independent blockchains that are designed to communicate well
with each other. Validators are assigned some shards to keep track of, which may vary hour
by hour, and users maintain a light client to all the shards. If the number of shards is S = O(c),
where c is the number of transactions a shard can support, then this approach can support up
to O(c
2
) transactions. However, with more complex shard-of-shard schemes, the maximum
number can be increased exponentially to O(exp(c)).
Since each shard now only has O(n/c) of nodes working for it, where n is the total number
of nodes across all shards, the question is, can we still leverage the O(n) strength of the entire
network for each shard? Indeed we can. If the mechanism for determining the state and history
of each shard is done intelligently, we can leverage the strength of the entire network as if they
were all working on one unified blockchain.
The easier scenario to deal with is when applications for the most part live entirely on
one shard—either they don’t have many users, or there aren’t many interactions between
them. When an interaction is needed with another shard, then cross-shard communication
via receipts can be used to pass information securely. Note that we don’t restrict which shard a
user or application has to use—everyone is free to use whatever shard they please.
When cross-shard communication is needed, shard X generates a receipt of some activity
happening on it. Shard Y will consume that receipt, do some action because of it, and possibly
pass back to X some acknowledgment that the task was completed. Generalizing this pattern
is not difficult and can be built in to a high-level programming language. Figure 9-5 illustrates
this concept.
However, the process cross-shard communication will have weaker functionality than
mechanisms for intra-shard communication, and some operations that we do on current non-
scalable blockchains will only be doable within one shard.
Also, communicating between shards in an asynchronous way is not always easy. Consider
the following example described by crypto-veteran Andrew Miller. Suppose a user wants to
purchase a plane ticket and reserve a hotel room, but wants both reservations to go through
or both fail. They don’t want to be stuck with one without the other. In the case where both
systems are on the same shard, the procedure is easy—if both reservations don’t complete,
revert everything. But in the case where the systems are on different shards, then in an
asynchronous system there’s an extra requirement. Each system must allow for a temporary
hold on a reservation. This will allow the user to confirm one booking and then the other.
There is a faster, more efficient way with synchronous cross-shard transactions, but designing
such a system is not trivial. If an application is larger than what can be supported on one
shard, it will need to live on multiple shards and would in general require transactions to be
processed serially across chains.
09-ch09.indd 229 04/01/18 3:22 PM

HowTo_Generic / Blockchain: A Practical Guide to Developing Business, Law, and Technology Solutions / Bambara / 587-9 / Chapter 9
230
Blockchain
According to Amdahl’s law, in any process that has non-parallelizable components, those
components quickly become the bottleneck in a system that can otherwise be parallelized.
Since Ethereum is in general a computation system, we can easily come up with non-
parallelizable programs. For instance, imagine a contract that keeps track of a value x and sets
sha3(x, tx_data) upon receiving a transaction. No sharding solution can give performance
better than O(c). So even though over time shared blockchains will get better and better
at handling more diverse and involved applications, they will still fall short from single-
blockchain architectures in some ways.
Security via Random Sampling
How do we coordinate all nodes to achieve the security of all of them working together?
The answer is random sampling. Each validator is assigned randomly to a shard and can be
reassigned every few hours or less. From the shard’s assigned set of validators (say, 150), one
will be chosen from the pool to create a block. Even though far fewer nodes are verifying and
FIGURE 9-5
Shard X generates a receipt to be consumed by Shard Y.
A: 300 Tokens
C: 940 Tokens
Receipts consumed
ID: 74343878734
“100 Tokens from A to B”
ID: 23237855499
A: 200 Tokens
C: 940 Tokens
A: 200 Tokens
C: 940 Tokens
Shard XShard Y
B: 70 Tokens
D: 110 Tokens
“Payment successful”
ID: 23237855499
A: 170 Tokens
C: 110 Tokens
Send proof of
receipt into Shard Y
as a transaction.
Send proof of receipt
back into Shard X as
a transaction. Clear
receipt and perform any further
execution if needed.
Receipts consumed
ID: 74343878734
ID: 23237855499
09-ch09.indd 230 04/01/18 3:22 PM
HowTo_Generic / Blockchain: A Practical Guide to Developing Business, Law, and Technology Solutions / Bambara / 587-9 / Chapter 9
Chapter
9 Challenges
231
creating blocks on each shard at any point in time, it’s almost as if all the nodes are doing so,
statistically speaking. If we assume an honest two-thirds supermajority on all the nodes, then
there is a 99.999 percent probability that two-thirds of a random sample of 150 will be honest.
The probability can be brought very close to 100 percent if we assume an even higher honest
supermajority.
Summary
While blockchains are heralded as being a technological breakthrough that will solve many
problems, it’s clear that they face a large number of unique challenges. These challenges are
not insurmountable, but they will still require a lot of work to develop infrastructure and
safety mechanisms to overcome them.
09-ch09.indd 231 04/01/18 3:22 PM
HowTo_Generic / Blockchain: A Practical Guide to Developing Business, Law, and Technology Solutions / Bambara / 587-9 / Chapter 9 / blind folio: 232
09-ch09.indd 232 04/01/18 3:22 PM
This page intentionally left blank
233
HowTo_Generic / Blockchain: A Practical Guide to Developing Business, Law, and Technology Solutions / Bambara / 587-9 / Chapter 10
10 Sample Application:
Blockchain and Betting
I
n this chapter, we’re going to take a look at a practical application of blockchain technologies
by creating a sports betting distributed application (dapp) from scratch. We will:
•
Set up a full development environment
•
Write and explain in detail the Ethereum Solidity code to perform the betting application
functionality
Our dapp will be modeled off PeerBet, an open-source peer-to-peer sports betting
platform. If you’d like to view a working version of the code we are about to implement, the
PeerBet main code repository can be foundat https://github.com/k26dr/peerbetand a working
implementation can found atpeerbet.co. A branch has been set up for the simplified version
used in the book and can be found at https://github.com/k26dr/peerbet/tree/for-book.
What Is a Dapp?
Dapp is the name given to a distributed application or smart contract that is deployed on a
blockchain like Ethereum. As opposed to a standard web application, a distributed application
has no central server for storing data or performing computations. Instead, all computation
and data storage are handled by transactions on a blockchain network. The transactions are
executed by every node in the blockchain peer-to-peer network, and the data is stored by
every node in the network. Because of this, dapps are much harder to censor and take down
than a centralized system, making them ideal for use cases where central servers could be
compromised either by the law or by attackers.
Not all blockchains are capable of hosting dapps. The Bitcoin blockchain, for example, is
not designed to handle the sort of general purpose computation required to host a proper dapp.
In fact, the majority of blockchains cannot handle dapps. This is because most blockchains have
been designed for a specific use case, such as Bitcoin for financial transactions.
10-ch10.indd 233 04/01/18 3:23 PM
HowTo_Generic / Blockchain: A Practical Guide to Developing Business, Law, and Technology Solutions / Bambara / 587-9 / Chapter 10
234
Blockchain
In order to support dapps, a blockchain must be able to encode transactions in a Turing
complete programming language. There exists a formal definition of Turing completeness that
is mathematically rigorous, but for our purposes it will suffice to define a Turing complete
language as one that supports loops and conditionals. JavaScript and Python are both examples
of Turing complete languages, while SQL and XML are not. Bitcoin has a custom scripting
language it uses for clearing transactions, but it was intentionally designed without loops and
conditionals to avoid the complications associated with Turing completeness on a blockchain.
The more features the scripting language has, the greater its “attack surface”—that is, it is more
vulnerable to security flaws and hacks.
There are currently two major blockchains that feature Turing complete transaction
languages: Hyperledger and Ethereum. Hyperledger is a permissioned private blockchain
(for more on the difference between public and private blockchains, see Chapter 8, “Private
Blockchain Use Cases”).
The largest Turing complete public blockchain by market cap is Ethereum, and that
is what we will be using to host our dapp. Ethereum uses a minimalist smart contract
programming language named Solidity for developing contracts. The Solidity compiler
converts Solidity code to Ethereum Virtual Machine (EVM) bytecode. The EVM bytecode
is what actually gets stored and executed on the blockchain, but we will be doing all our
development in Solidity. There are other languages supported by the EVM, such as Serpent
and LLL (Low-level Lisp-like Language), but Solidity is the most popular.
Introduction to Lotteries, Betting,
and Gambling on the Blockchain
Sports betting applications already exist on the Internet in various forms. In Europe and Asia,
legal betting houses such as Bet365 and Bovada offer online sports books with house odds. So
what’s the advantage of a blockchain for betting?
The majority of blockchain applications are solutions looking for a problem. Today a
blockchain is an expensive, inefficient, and slow way of performing computation and storage.
This will change as the technology matures. Cloud servers and storage offer magnitudes more
computation and storage for a fraction of the cost. In exchange, however, a blockchain offers
certain specific advantages and features. An application that does not sufficiently benefit
from or is hindered by these advantages should be implemented using traditional server
technologies instead.
Before deciding to develop your application on the blockchain, run through the following
lists and make sure your application is a good fit for the technology.
Advantages:
•
Anonymous, cryptographically secure authentication
•
Fast, frictionless, anonymous, low fee payments
•
Uncensorable network with 100 percent uptime
•
Publically verifiable and guaranteed code transaction execution
•
Immutable data storage
10-ch10.indd 234 04/01/18 3:23 PM
HowTo_Generic / Blockchain: A Practical Guide to Developing Business, Law, and Technology Solutions / Bambara / 587-9 / Chapter 10
Chapter 10 Sample Application: Blockchain and Betting
235
Disadvantages:
•
Limited, expensive storage
•
Limited, expensive computation
•
Slow network
•
Limited transaction rate
•
Contract code deployment cannot exceed the block gas limit (~1000 loc)
Other features that could go either way:
•
Transaction fees are paid by users, not contract owners.
•
All data is public.
A clear example of a class of applications that would be a poor fit for a blockchain
are social media applications. Here’s a list of requirements and features for a typical social
media application:
•
Scale to millions of users
•
Scale to thousands of requests per second
•
Large codebases
•
Big data storage for generating advertising insights
•
Users expect the service to be free
•
Users want to control their data
If you go through each of these requirements, each of them contradicts one of the principles
of blockchain development listed above.
Let’s take a look now at betting applications. Here are some features required for a betting
application:
•
Frequent payment processing
•
Handle bets from multiple countries with different currencies
•
Avoid antigambling laws in certain countries
•
Maintain an even balance of money on both sides of a bet
•
Option to bet anonymously
•
Provide verifiable and consistent bet execution
•
Provide competitive odds and fees
These requirements are much better suited to a blockchain solution. One of the biggest
pain points for online betting has been moving money around through wires and bank transfers.
Users must wait three to five business days to deposit or withdraw money from their bank
accounts and must trust the betting site with their banking information. The sites in turn must
secure this information, take appropriate security measures to protect their sites from hacking,
and stay in compliance with a series of financial regulations in the various countries in which
they operate. Additionally, transacting in different countries requires supporting a variety of
different currencies and banks, all of which contribute to the complexity of the operation.
10-ch10.indd 235 04/01/18 3:23 PM
HowTo_Generic / Blockchain: A Practical Guide to Developing Business, Law, and Technology Solutions / Bambara / 587-9 / Chapter 10
236
Blockchain
Additionally, many bettors like to preserve their anonymity and rely on the sites to
safeguard identifying information. Unfortunately, hackers regularly manage to gain access to
this data and can use it to extort clients who don’t want their gambling debts to become public.
Using a blockchain solution allows bettors to bet anonymously, transfer money across
borders easily for international betting sites, and have a guarantee that their bet will be paid
out in a timely fashion.
So let’s begin writing our peer-to-peer blockchain betting dapp!
Setting Up a Development Environment
Before getting started, we will need to download the necessary tools. This section will cover
the installation process for Windows, OS X, and Debian-based Linux systems.
In order to set up a proper development environment, we will need the following tools
installed on our machines:
•
Mist browser
•
The Go Ethereum command line client (geth)
•
NodeJS + NPM
•
Google Chrome browser
•
MetaMask Chrome extension
•
Solidity compiler
Geth comes bundled with the Mist browser, and both can be installed by downloading the latest
release and following the installation instructionsat https://github.com/ethereum/mist/releases.
NodeJS and NPM can be installed by following the instructions on the officialNodeJS
download page, https://nodejs.org/en/download/. If you are running OS X or Linux, you can
also use a package manager for the installation.
# OS X
brew install node
# Linux
sudo apt-get install nodejs
MetaMask currently only supports Chrome, so you will have to download the Google Chrome
browser (https://www.google.com/chrome/).
Once Chrome is installed, open it and navigate to theMetaMask home page, https://
metamask.io/,to download the Chrome extension/plugin.
The Solidity compiler is distributed as an NPM package. To install it globally:
npm install -g solc
Syncing an Ethereum Node
Before we can get started with development, we will need a full, synced Ethereum node running
on our computer. As opposed to a light client, a full node contains a full copy of the current
10-ch10.indd 236 04/01/18 3:23 PM
HowTo_Generic / Blockchain: A Practical Guide to Developing Business, Law, and Technology Solutions / Bambara / 587-9 / Chapter 10
Chapter 10 Sample Application: Blockchain and Betting
237
Ethereum state tree (the blockchain database) so that we can run transactions against it. Run the
following command in order to do so:
geth
Geth will automatically connect to the main Ethereum network (mainnet), locate peers,
and begin downloading a copy of the blockchain onto our local node. The syncing process can
take several hours, and it is usually best to leave it on overnight and check back in the morning
by which time it should be complete. Once the node is synced, we can begin development on
our dapp.
Creating and Configuring a
Private Development Chain
Create a folder for our betting dapp. All of our project code will go in this folder.
To be able to test our code locally, we need to run a private blockchain on our own
computer. This will allow us to deploy, interact with, and iterate on our contract without
polluting the main Ethereum network or constantly having to pay transaction fees.
The command to properly set up a private testnet is a bit verbose, so we are going to
create a file to hold the command for us. Open up a file called geth.sh and insert the following
code into it. This line of code is intended for a Linux machine. OS X users should replace all
instances of ~/.ethereum with /Library/Ethereum and Windows users should replace it with
%APPDATA%/Ethereum.
geth --dev --datadir ~/.ethereum/privatenet --ipcpath ~/.ethereum/geth.ipc
--networkid 45 --rpc --rpcapi web3,net,eth,personal --rpccorsdomain "*" --mine
console
•
--dev This convenience option bootstraps a new private chain, creates a genesis
block for the chain, and sets a series of debugging flags.
•
--datadir
This allows us to specify a custom directory to store chain data. The
default directory is being used for the mainnet, so we specify an alternate path to store
our private chain.
•
--ipcpath
By default, geth stores its interprocess communication (IPC) file at the
directory specified by
--datadir
. The Mist browser, however, can only communicate
with an IPC file located at
~/.ethereum/geth.ipc
, so we must specify this as our
IPC path.
•
--networkid
The network ID flag is used to identify to peers which network
(mainnet, Ropsten testnet, Morden testnet, etc.) our chain is synced to. Since we are
running a private network, we specify a random unused network ID so that peers do not
connect to us.
•
--rpc
This flag turns on RPC (Remote Procedure Call) mode, which allows light
clients and other nodes to access our node via the JSON RPC API. This flag is required so
that web3.js and our front ends can access our node.
•
--rpcapi
By default, RPC mode enables the web3, net, and eth modules. In order to
be able to access our node’s accounts and private keys to sign transactions, we will enable
the personal module as well.
10-ch10.indd 237 04/01/18 3:23 PM
HowTo_Generic / Blockchain: A Practical Guide to Developing Business, Law, and Technology Solutions / Bambara / 587-9 / Chapter 10
238
Blockchain
•
--rpccorsdomain
Web browsers using the JSON RPC API are restricted by the
standard browser same-origin policy. In order to allow browsers to access our API, we will
set our CORS domain to the broadest possible setting "*" (allow all access).
•
--mine
Mine our own network, so that transactions are processed and blocks created.
Normally, miners would handle this process, but we will have to do it ourselves for our
private chain. The
--dev
option by default sets a network mining difficulty that can be
reasonably mined by a single CPU.
•
console
This will open the geth console, which allows us to interact directly with our
node and private chain using JavaScript commands.
Once the script has been created and saved to geth.sh, we can execute the file directly to
run our private chain. Ensure the file is executable, then run it:
chmod +x geth.sh # make file executable
./geth.sh # run file
You should now see a series of log output indicating that the private chain is running and
being mined.
Creating a Killable Contract
Before we begin developing our full contract, we are going to develop a small test contract to
ensure that our development chain is working and can deploy and debug contracts.
All of our contracts will be written in Solidity, a smart contract language that compiles
into Ethereum Virtual Machine (EVM) bytecode. We will only have a single.solfile for this
project, namedbet.sol.
To prevent blockchain bloat and allow removal of old contracts from the blockchain, most
contracts include a kill function that allows the contract to be removed from the blockchain
by the owner.
The code for a simple killable contract looks as follows:
contract Bet {
address owner;
function Bet() {
owner = msg.sender;
}
function kill() {
if (msg.sender != owner) throw;
selfdestruct(owner);
}
}
Let’s review this contract line by line:
contract Bet {
10-ch10.indd 238 04/01/18 3:23 PM
HowTo_Generic / Blockchain: A Practical Guide to Developing Business, Law, and Technology Solutions / Bambara / 587-9 / Chapter 10
Chapter 10 Sample Application: Blockchain and Betting
239
The contract keyword creates a contract that goes by the succeeding name. The contract
name will be required in later steps and we will be referring back to it.
address owner;
This creates a variable named owner of type address and allocates space for it in the
contract storage.
Every contract has storage and memory space allocated to it. Storage variables are
stored on the blockchain and changes to it propagate across the network. Memory variables
are temporary variables created during a function execution and destroyed at the end of
the function. They do not get stored onto the blockchain. We will see examples of memory
variables later in the chapter.
All variables declared in the global scope outside of a function are declared as storage
variables.
addressis a data type unique to Solidity. It is a 20-byte field that is designed specifically
to hold Ethereum wallet and contract addresses.
function Bet() {
In the Bet contract, the Bet function is a special type of function called a constructor
function (similarly, in a Bid contract, the name of the constructor function would be Bid).
The constructor function is executed immediately upon deployment of the contract onto the
blockchain, and usually contains setup logic and variable initializations for the contract.
owner = msg.sender;
Solidity defines a series of built-in convenience functions and values. One of these is
msg.sender, which is anaddressvariable containing the value of the wallet or contract
address that initiated the current function call. Since the constructor function is executed
when the contract is deployed, msg.sender is the deployer of the contract.
function kill() {
This defines a public function (we will discuss private functions later) named kill that
can be called with no arguments.
if (msg.sender != owner) throw;
By convention, only the owner of a contract is allowed to destroy it. If anybody else
attempts to destroy the contract, this line willthrowan error. Thethrowcommand consumes
all the gas passed to the function to deter abuse.
Sometimes you will want to gracefully exit a function without forcing a user to lose all the
gas they provided. This will be covered later.
selfdestruct(owner);
Theselfdestructfunction is built into Solidity. Calling it from within a contract
deletes the contract and any data stored in the contract storage, then sends any ether contained
at that contract address to the provided address. In this case, there should be no ether
contained at the address, but in case someone accidentally sends ether to the contract address,
we can send that money to the owner.
10-ch10.indd 239 04/01/18 3:23 PM
HowTo_Generic / Blockchain: A Practical Guide to Developing Business, Law, and Technology Solutions / Bambara / 587-9 / Chapter 10
240
Blockchain
Compiling the Contract
The Ethereum blockchain can only store and execute EVM bytecode, so in order to deploy or
execute our Solidity code, we have to first convert it into EVM bytecode by using the Solidity
compiler. To compile, run:
solc --bin --abi --optimize -o bin peerbet.sol
The options we invoked do the following:
•
--bin: Include a bytecode file in the output. This will be the bytecode we deploy to
the blockchain.
•
--abi: Output a JSON file that describes the ABI interface for the contract. web3.js uses
this to make interacting with our deployed contract easy.
•
--optimize: Run optimizations to minimize the data footprint of the contract. This
is important because deploying the contract requires gas proportional to the size of the
bytecode output. As our contract gets larger, an unoptimized output can exceed the
block gas limit and make our contract undeployable.
•
-o: Specify an output directory for our bytecode and ABI files (bin/).
•
peerbet.sol: The contract file we wish to compile.
Any errors present in our contract file will prevent compilation and be displayed in the
output. Correct any errors that you see and recompile. If everything was copied properly
from the previous section, your code should compile.
The compiler should output two files into thebindirectory:
Bet.bin: The bytecode output
bet.sol:Bet.abi: The ABI JSON
Deploying a Contract
Now that we’ve written a simple killable test contract, let’s deploy it to our private chain and
try interacting with it. Deploying a contract to an Ethereum chain can be a complex operation,
so we will be writing a small script to take care of it for us. The script is going to require the
web3.js library, so let’s go ahead and install that before we get started.
npm init --yes # creates a package.json file
npm install web3@0.18.2 --save
Here’s what our basic deploy script will look like. Our script assumes that we’ve already compiled
our bytecode and ABI to the bin/ directory.
var Web3 = require('web3');
var fs = require('fs');
var exec = require('child_process').execSync;
var web3 = new Web3();
web3.setProvider(new web3.providers.HttpProvider('http://localhost:8545'));
10-ch10.indd 240 04/01/18 3:23 PM
HowTo_Generic / Blockchain: A Practical Guide to Developing Business, Law, and Technology Solutions / Bambara / 587-9 / Chapter 10
Chapter 10 Sample Application: Blockchain and Betting
241
var walletAddress = web3.eth.accounts[0];
web3.personal.unlockAccount(walletAddress, process.argv[2]);
exec(`solc --bin --abi --optimize -o bin peerbet.sol`);
var abi = fs.readFileSync('bin/peerbet.sol:PeerBet.abi');
var PeerBet = web3.eth.contract(abi);
var compiled = '0x' + fs.readFileSync("bin/PeerBet.bin");
var peerbet = PeerBet.new({
from: walletAddress,
data: compiled,
gas: 40e5,
gasPrice: 20e9
}, function (e, contract){
if (e) console.log(e);
if (typeof contract.address !== 'undefined') {
console.log('Contract mined! address: ' + contract.address +
' transactionHash: ' + contract.transactionHash);
fs.writeFileSync("contract_address", contract.address);
}
});
There’s a lot going on here, so let’s break it down.
var Web3 = require('web3');
var fs = require('fs');
var exec = require('child_process').execSync;
This opening block requires the necessary libraries. The fs and child_process libraries are built
into Node.
var web3 = new Web3();
web3.setProvider(new web3.providers.HttpProvider('http://localhost:8545'));
The web3.js library needs a provider that exposes the Ethereum JSON RPC API. By this point,
we should have a private chain synced and running on our command line. This block connects
to that node and will fail if the node is not running.
var walletAddress = web3.eth.accounts[0];
web3.personal.unlockAccount(walletAddress, process.argv[2]);
All Ethereum transactions, including contract deployments, must originate from a wallet
address. This block accesses our account address, then unlocks the account so it can be used
for the deployment transaction. Earlier when we created our private chain, we made sure the
RPC API option contained thepersonalmodule. If we hadn’t done so, we would not have
been able to access the accounts on this node from our script.
10-ch10.indd 241 04/01/18 3:23 PM
HowTo_Generic / Blockchain: A Practical Guide to Developing Business, Law, and Technology Solutions / Bambara / 587-9 / Chapter 10
242
Blockchain
The second argument to the unlockAccount function is the password. Since you may
wish to store this code on GitHub or some other public hosting service, the script is designed
to take the password in as a command line argument. DO NOT under any circumstances
include your password in a source file. While this password cannot be used maliciously on
a private chain, later on we will be using this same code on the mainnet. A node with an
exposedpersonalrpc module exposes all the public keys associated with that node. The
only thing stopping a hacker from using your private key to sign a transaction and stealing all
your ether is your password, so protect it accordingly!
exec(`solc --bin --abi --optimize -o bin peerbet.sol`);
Usually we want to compile and deploy our script at the same time, so as a convenience we can
include the compilation step as a child process. This line is not necessary. You can compile and
deploy separately if you prefer.
var abi = fs.readFileSync('bin/peerbet.sol:PeerBet.abi');
var PeerBet = web3.eth.contract(abi);
web3’s contract object allows for easy deployment and contract interaction. To set up this
object, we read in the ABI and pass it to the contract constructor.
var compiled = '0x' + fs.readFileSync("bin/PeerBet.bin");
Read in the contract hex (remember, hex is just an alternate representation for binary) bytecode.
A quirk of web3.js is that it requires all hex strings to be prefixed with '0x', so we have done so.
var peerbet = PeerBet.new({
from: walletAddress,
data: compiled,
gas: 40e5,
gasPrice: 20e9
}
The.newfunction on a contract object deploys the contract. The first arguments are the
transaction (tx) options, and the second argument is a callback.
The wallet address specified in thefromfield must be an unlocked wallet, and you must
have access to the private key for that wallet. Attempting to use a public key whose private key
is not stored in the local node will fail.
The data for a contract creation transaction is the bytecode for the contract.
We have set a very high gas limit for now, but the actual gas consumed should be much
lower (< 5e5). Any gas not used will be refunded, while transactions without enough gas will
throw an OutOfGasError, so it is better to aim too high than too low. Gas limits are typically
specified in increments of 100,000 (1e5). The block gas limit is currently set at 47e5 gas/block,
so always make sure your gas limit is below this number or your transaction will fail.
The default gas price in Ethereum is 20e9. Gas prices are typically measured in units of
gigawei (1e9 wei, 1e-9 ether). On the privatenet, this number is meaningless. On the mainnet,
it is real money, so you will have to pay attention to this number. Transactions will clear with
10-ch10.indd 242 04/01/18 3:23 PM
HowTo_Generic / Blockchain: A Practical Guide to Developing Business, Law, and Technology Solutions / Bambara / 587-9 / Chapter 10
Chapter 10 Sample Application: Blockchain and Betting
243
gas prices as low as 1 Gwei, but the clearing times will be slow. Miners will prioritize the
transactions with the highest gas prices for their blocks.
...
}, function (e, contract){
if (e) console.log(e);
if (typeof contract.address !== 'undefined') {
console.log('Contract mined! address: ' + contract.address +
' transactionHash: ' + contract.transactionHash);
fs.writeFileSync("contract_address", contract.address);
}
});
This is the callback portion of the deployment function. This callback is executed when the
miner attempts to mine the transaction. It uses the standard Node (error, data) argument
format. If there is an error, we log it. If there is no error, the contract address should be set,
and the second if statement should execute. For the user’s benefit, we will log that the
contract has been mined, then write the contract address to a file, so we can use it later to
load the contract into web3.
If you’ve understood everything above, it is now time to deploy the contract. Save the file
asdeploy.js, then in your command line run:
node deploy.js [password]
Make sure to replace[password]with the password to your wallet key. The contract may
take up to a minute to deploy. Once it is deployed, the log output will indicate that the contract
has been mined.
Congratulations! You have deployed the contract to a private dev net. Now let’s put
together a script for interacting with the contract.
Contract Debugging and Interaction
Similar to how we set up a deploy script, we are now going to set up a debugging script.
In order to have a live debugging environment, we are going to use the NPM package locus.
Let’s install locus:
npm install locus --save
Once that is installed, we are ready to write our script. Here’s the full script:
var Web3 = require('web3');
var web3 = new Web3();
var fs = require('fs');
// Connect to local node, same as in deploy script
web3.setProvider(new web3.providers.HttpProvider('http://localhost:8545'));
10-ch10.indd 243 04/01/18 3:23 PM

HowTo_Generic / Blockchain: A Practical Guide to Developing Business, Law, and Technology Solutions / Bambara / 587-9 / Chapter 10
244
Blockchain
var abi = JSON.parse(fs.readFileSync("bin/peerbet.sol:PeerBet.abi", "ascii"));
var contractAddress = fs.readFileSync("contract_address", "ascii");
var contract = web3.eth.contract(abi).at(contractAddress);
// Unlock wallet, same as in deploy script
var walletAddress = web3.eth.accounts[0];
web3.personal.unlockAccount(walletAddress, process.argv[2]);
eval(require('locus'));
There are only two new blocks in this script, so let’s break those down.
var abi = JSON.parse(fs.readFileSync("bin/peerbet.sol:PeerBet.abi", "ascii"));
var contractAddress = fs.readFileSync("contract_address", "ascii");
var contract = web3.eth.contract(abi).at(contractAddress);
The web3 existing contract constructor requires an ABI and contract address. This block loads
those in from the file system, and creates the contract object.
eval(require('locus'))
This creates an active debugging environment similar to the node console but with all of our
loaded variables.
Execute the script to view the debugging environment:
node debug.js [password]
You should see a debugging prompt that looks like this:
=> 69: eval(require('locus'));
70:
:
Solidity automatically creates getter functions for public storage variables. Typecontract
.owner()into the debugging prompt and it should return the address of your contract.
We can interact directly with the contract now. Let’s try to use the kill function we
defined earlier.
tx = contract.kill({ from: walletAddress, gas: 40e5 })
You may get back an error sayingError: authentication needed: password
or unlock. This is because the password on your wallet key has expired. Use the following
to unlock your account.
var pwd = '...' // replace this with your password
web3.personal.unlockAccount(walletAddress, pwd)
All transactions follow this same format. List the arguments to the function followed by a tx
options object. The kill function takes no arguments, so the only argument here is the tx
options object.
10-ch10.indd 244 04/01/18 3:23 PM

HowTo_Generic / Blockchain: A Practical Guide to Developing Business, Law, and Technology Solutions / Bambara / 587-9 / Chapter 10
Chapter 10 Sample Application: Blockchain and Betting
245
When using a web3 contract object, from is the only required tx option.datais
created by the library (it would be complex to create on our own),gasPricedefaults to
20e9, andgasdefaults to 0.9e5. The default gas value is usually too low to execute a contract
transaction, so it is generally specified explicitly.
When a contract transaction is sent, it returns immediately with a transaction id, but the
transaction doesn’t execute until it is actually mined. Typetxinto the debugger to view the
transaction id. To see if the transaction has been mined, use:
web3.eth.getTransactionReceipt(tx)
If the function returnsnull, that means it has not been mined yet. If it has been mined, you
will see a transaction receipt object in the console.
Just because you see a receipt does not mean the function executed properly. Transactions
that throw errors or run out of gas will still display receipts. It is up to you to verify that the
state changes you requested were made.
In this case, the Solidityselfdestructfunction deletes all the contract data by setting
their values to 0. Check the value ofcontract.ownerin the debugger. If you get back0x,
the contract has been successfully killed.
Now that we have successfully deployed and killed a simple contract, it is time to build out
a full betting contract.
Defining Data Structures
Before we can start coding our contract, we need to define the necessary data structures.
Figure 10-1 shows a rough flowchart of what we want our data relations to look like.
Solidity uses structs to group related pieces of data. Solidity structs are similar to C structs.
They contain a name and a series of member definitions.
FIGURE 10-1
Flow of contract functionality
Game
Book Result
Home Bids Away Bids Bets
10-ch10.indd 245 04/01/18 3:23 PM
HowTo_Generic / Blockchain: A Practical Guide to Developing Business, Law, and Technology Solutions / Bambara / 587-9 / Chapter 10
246
Blockchain
Let’s define our data structures using Solidity structs now so that we can use them in
ourapplication.
struct Game {
uint id;
address creator;
string home;
string away;
uint16 category;
uint64 locktime;
GameStatus status;
Book book;
GameResult result;
}
Our Game struct stores some information about the game, a mapping of books (in case
we want to add additional books later), and a GameResult. The locktime is equivalent to the
game’s start time. Bets placed after the locktime will be rejected.
GameStatus is a Solidity enum, which functions very similarly to a C enum. We will go into
more depth on enums later in this section and list the enum definitions for our application.
struct GameResult {
int home;
int away;
uint timestamp; // when the game was scored
}
The GameResult struct stores a score for each team and a timestamp.
struct Book {
Bid[] overBids;
Bid[] underBids;
Bet[] bets;
}
The Book struct is modeled after a proper Vegas book, containing over bids, under bids,
and bets. The full PeerBet application contains Spread, Money Line, and Over/Under books,
but for our sample application we will only be building an Over/Under book.
The overBids and underBids arrays will actually be sorted stacks to allow for efficient bid
matching. Unlike C structs, Solidity structs cannot be recursive, so they can’t be used to define
recursive data structures like linked lists or stacks. Instead, Solidity allows for dynamic-length
arrays, so we must use those instead.
Since bids and bets require us to track multiple pieces of information, we will define
structs for them as well.
struct Bid {
address bidder;
uint amount; /* in wei */
bool over; /* true=over, false=under */
10-ch10.indd 246 04/01/18 3:23 PM
HowTo_Generic / Blockchain: A Practical Guide to Developing Business, Law, and Technology Solutions / Bambara / 587-9 / Chapter 10
Chapter 10 Sample Application: Blockchain and Betting
247
int32 line;
}
struct Bet {
address over;
address under;
uint amount; /* in wei */
int32 line;
BetStatus status;
}
Since bids are unmatched, they only contain one address field. Matched bets have two parties,
one on each side of the bet, so the struct contains an address field for each.
Those are all the structs we will be using in our application. In addition to structs, we would
like to define a few enumerations (enum) as well to make our code easier to read. Enumerations
in Solidity are similar to enumerations in C in that they are never necessary and can always be
replaced with integer values but are convenient for readability.
Enumerables
Here are the enums we will be using in our application:
enum GameStatus { Open, Locked, Scored, Verified }
enum BetStatus { Open, Paid }
Games are Open when bets are being taken, Locked after the locktime has passed, Scored
when the game has been scored, and Verified when bets have been paid out.
Bets are Open when the result is undetermined, and Paid when the result has been
determined and the participants’ balances have been updated.
Storage Variables
Storage variables must be explicitly defined in the global scope in a Solidity contract. Storage
variables use space in the Ethereum state tree, and can be expensive to create, so minimizing
the total size of a contract’s storage variables is important.
Here are the storage variables we will be creating:
address public owner;
Game[] games;
mapping(address => uint) public balances;
ownerhas been covered in the simple killable contract we wrote earlier.
gamesis a dynamic-length array of Game structs. It will be responsible for the majority of
the storage space and is our primary storage variable. Custom structs cannot be made public,
so games will remain private. As a reminder, Solidity automatically creates getter ABI functions
for public variables but not private ones.
10-ch10.indd 247 04/01/18 3:23 PM
HowTo_Generic / Blockchain: A Practical Guide to Developing Business, Law, and Technology Solutions / Bambara / 587-9 / Chapter 10
248
Blockchain
balancesis a public mapping that stores user balances. A user is allowed to withdraw
the value of their balance from the contract whenever they want. Mappings in Solidity can be
tricky because there is no way to determine the keys of a mapping without storing them in
a separate array. So given an address, we can determine the address’s balance, but given the
amount of ether held in the contract, we cannot determine what the allocation of balances
between addresses is.
Events
Solidity events are used to log transaction activity to the blockchain. Event logs are much
cheaper to create than new entries in the state tree, so it is a great way to store read-only data.
Logs are not accessible from within a contract (only variables are) but can be read by external
client libraries such as web3.js.
Ethereum transactions are asynchronous and usually do not mine for 15–30 seconds after
they have been broadcast to the network. Because of this, transactions cannot return values.
The only way a transaction can create an output is by modifying the state or adding an event
log. Client libraries usually parse the logs to determine the output of a transaction.
A Solidity event is a schema for logs. Logs are automatically indexed by contract address
and event type for efficient querying. In addition, Solidity events allow you to define three
custom indexed fields. Only indexed fields can be queried when parsing logs. Currently, indexed
string fields cannot be parsed for a value, so it is best practice to avoid creating string indexes.
Here are the logs we will be using in our contract:
event GameCreated(uint indexed id, address indexed creator, string home,
string away, uint16 indexed category, uint64 locktime);
event BidPlaced(uint indexed game_id, address bidder, uint amount,
bool over, int32 line);
event BetPlaced(uint indexed game_id, address indexed user, bool over,
uint amount, int32 line);
event GameScored(uint indexed game_id, int homeScore, int awayScore,
uint timestamp);
event Withdrawal(address indexed user, uint amount, uint timestamp);
There is an event associated with each of the major state modifications that can occur in
our contract. Together, they provide a history of the actions taken by the contract on the
blockchain.
Functions
Before we dive into the code, let’s create a list of the functions we will be defining in our
application. Functions, like variables, can be either public or private. Public functions can be
accessed by other contracts and client libraries (like web3.js) and are listed as part of the ABI.
Private functions are only accessible by other functions in the same contract.
In addition, there are constant functions which read from but do not modify the
blockchain. Public constant functions return immediately with their result, do not send a
transaction to the network, and do not consume any gas when called.
10-ch10.indd 248 04/01/18 3:23 PM

HowTo_Generic / Blockchain: A Practical Guide to Developing Business, Law, and Technology Solutions / Bambara / 587-9 / Chapter 10
Chapter 10 Sample Application: Blockchain and Betting
249
Here are the public non-constant ABI functions we will be defining:
createGame(string home, string away, uint16 category, uint64 locktime)
bid(uint game_id, bool over, int32 line) payable
setGameResult(uint game_id, int homeScore, int awayScore)
withdraw()
Apayablefunction is one that can accept a non-zerovaluein the tx options object.
Here are the publicconstantfunctions we will be defining:
getActiveGames constant returns (uint[])
getOpenBids(uint game_id) constant returns (bytes)
Constant functions return a value whose type must be specified with the syntax above.
In addition, we will be defining some private functions for our own internal use:
getGameById(uint game_id) constant private returns (Game storage)
matchExistingBids(Bid bid, uint game_id) private
addBidToStack(Bid bid, Bid[] storage stack, bool reverse) private
cancelOpenBids(Book storage book) private
payBets(uint game_id) private
By default, variables in a function definition are presumed to be memory
variables. To specify that the variable is a pointer to an existing storage variable
in the state tree, it must be explicitly stated as above with Bid[] storage
stack and Game storage.
Let’s step through each of the functions and explain the code as we go:
Creating a Game
function createGame (string home, string away, uint16 category, uint64 locktime)
returns (int) {
uint id = counter;
counter++;
games.length += 1;
Game game = games[games.length - 1];
game.id = id;
game.creator = msg.sender;
game.home = home;
game.away = away;
game.category = category;
game.locktime = locktime;
game.status = GameStatus.Open;
Note
10-ch10.indd 249 04/01/18 3:23 PM
HowTo_Generic / Blockchain: A Practical Guide to Developing Business, Law, and Technology Solutions / Bambara / 587-9 / Chapter 10
250
Blockchain
GameCreated(id, game.creator, home, away, category, locktime);
return -1;
}
The function definition specifies that the function returns an int even though we’ve mentioned
that non-constant public functions don’t return a value because they don’t execute until the
block is mined. The reason we include a return value anyway is for debugging purposes. There
are three ways we can invoke a public function.
# sends a transaction to the network
contract.createGame.sendTransaction(...)
# To create a game we need to pass in all the information about the game (home,
# away, category, locktime).
# runs the function locally, does not send a transaction to the network
# commonly referred to as "calling" the function
contract.createGame.call(...)
# performs the default action:
# sendTransaction for non-constant functions
# call for constant functions
contract.createGame(...)
When we call a non-constant function, it returns with a value just like a constant function.
It runs the exact sequence of steps the miner would run in a transaction but doesn’t update
the state tree or broadcast the transaction, so it’s great for debugging. A call that throws an
error returns with the zero/null value of the return type. So for an int return type, an error
will return 0. By convention, we will be returning -1 in all our functions to indicate that the
function executed with no errors, and use the positive integers to indicate an error code.
Creating a game requires us to pass in the game parameters (home, away, category,
locktime). The locktime is in seconds since the UNIX epoch.
We start by creating an id from the global counter then incrementing the global counter so
that our id remains unique. We then extend the games array length by 1 to accommodate our
new game, get a reference to the game we just created, and fill in the appropriate properties on
the new game object.
Once the game has been created, we emit a GameCreated event to log the state
modification we just made and return -1 to indicate that there were no errors.
Bidding
function bid(uint game_id, bool over, int32 line) payable returns (int) {
Game game = getGameById(game_id);
Bid memory bid = Bid(msg.sender, msg.value, over, line);
// validate inputs: game status, gametime
if (game.status != GameStatus.Open)
return 1;
10-ch10.indd 250 04/01/18 3:23 PM
HowTo_Generic / Blockchain: A Practical Guide to Developing Business, Law, and Technology Solutions / Bambara / 587-9 / Chapter 10
Chapter 10 Sample Application: Blockchain and Betting
251
if (now > game.locktime) {
game.status = GameStatus.Locked;
cancelOpenBids(game.book);
return 2;
}
Bid memory remainingBid = matchExistingBids(bid, game_id);
// Use leftover funds to place open bids (maker)
if (bid.amount > 0) {
Bid[] bidStack = over ? game.book.overBids : game.book.underBids;
if (over)
addBidToStack(remainingBid, bidStack, true);
else
addBidToStack(remainingBid, bidStack, false);
BidPlaced(game_id, msg.sender, remainingBid.amount, over, line);
}
return -1;
}
To place a bid, the client must provide the game_id for the game they wish to bid on, which
side of the bet they are taking (over or under), and the line limit at which they would like to
place the bet. Bids will be matched at or below the limit for over bids and at or above the line
for under bids.
The function ispayableso clients can send avaluewith the transaction. For this
function, thatvaluewill be interpreted as the bid amount. The value sent to a payable
Solidity function is available in the built-inmsg.valuevariable.
This function is more complex than the createGame function, so let’s step through and
explain it in parts:
Game game = getGameById(game_id);
Bid memory bid = Bid(msg.sender, msg.value, over, line);
This portion grabs the desired game from storage and creates a temporary Bid in memory.
msg.sendercontains the address of the wallet/contract that signed and sent the transaction,
whilemsg.valueis auintvariable that contains the value of the ether sent to the function in
units of wei (1e-18 ether).
Struct variables by default are initialized as storage pointers, but struct constructors
always return a pointer to memory. Without specifyingBid memory, the variable assignment
will throw a compiler error saying the types of the value and variable do not match.
getGameByIdis a helper function we will use to get a pointer to a specific game. Here’s
the code for thegetGameById function:
function getGameById(uint game_id) constant private returns (Game storage) {
bool game_exists = false;
for (uint i = 0; i < games.length; i++) {
10-ch10.indd 251 04/01/18 3:23 PM
HowTo_Generic / Blockchain: A Practical Guide to Developing Business, Law, and Technology Solutions / Bambara / 587-9 / Chapter 10
252
Blockchain
if (games[i].id == game_id) {
Game game = games[i];
game_exists = true;
break;
}
}
if (!game_exists)
throw;
return game;
}
We have defined the function as both private and constant. It is constant because it does not
modify the state. It must be defined as private as well because public functions are not allowed
to return custom structs. The return type must be specified asGame storagebecause
function definitions default to memory as the variable location and the game we wish to point
to is contained in storage in the state tree.
The function loops through the games array and checks for a matching game id. It maintains
a flag that is set to true if a matching game exists in the array. If the game exists, it returns a
storage pointer to the game.
If the game does not exist, it throws an error. Thethrowkeyword ends the execution of
both the current function and the current transaction. Any changes made during the current
transaction are rolled back and all the gas provided to the transaction is consumed and given
to the miner.
// validate inputs: game status, gametime
if (game.status != GameStatus.Open)
return 1;
if (now > game.locktime) {
game.status = GameStatus.Locked;
cancelOpenBids(game.book);
return 2;
}
The game status must be open to accept a bet. Additionally, a game may still have its status set
as open when it is past the locktime. In that case, we lock the game and cancel all open bids.
Both of these validations return error codes.
nowis a built-in variable set to the value of the UNIX timestamp of the current block
being mined. This will not be the same as the time the transaction was sent.
cancelOpenBidsis a private helper function that cancels and refunds unmatched bids
in a book. Here is the code for the function:
function cancelOpenBids(Book storage book) private returns (int) {
for (uint i=0; i < book.overBids.length; i++) {
Bid bid = book.overBids[i];
balances[bid.bidder] += bid.amount;
}
delete book.overBids;
10-ch10.indd 252 04/01/18 3:23 PM
HowTo_Generic / Blockchain: A Practical Guide to Developing Business, Law, and Technology Solutions / Bambara / 587-9 / Chapter 10
Chapter 10 Sample Application: Blockchain and Betting
253
for (i=0; i < book.underBids.length; i++) {
bid = book.underBids[i];
balances[bid.bidder] += bid.amount;
}
delete book.underBids;
return -1;
}
It is important that the parameter to this function be a storage pointer. If it were a memory
pointer, we would be deleting items in local memory instead of on the state tree.
We start by looping through the over bids and refunding the bids by adding the amount of
the bid to the bidder’s balance. We do not need to worry about initializing the keys.
A key in a Solidity mapping is converted to a 32-byte address that points to a location
in the Ethereum state tree, which has a Patricia trie as the underlying data structure. The
32-byte address is generated by computing the keccak256 hash of a series of values, including
the contract address, variable address, and mapping key. If the 32-byte address does not exist
in the Patricia trie, its value is assumed to be the null value for the type. Sincebalancesis of
typemapping(address => uint), all addresses can be assumed to be set initially to the
null value for uint, 0.
Once the open bids have been refunded, the overBids array is deleted. Thedeletekeyword
sets a variable back to its null value by removing it from the state tree. The null value for a
dynamic array is an array of length 0, so overBids is now an array of length 0.
The same actions are then performed on the underBids array.
Bid memory remainingBid = matchExistingBids(bid, game_id);
Once a bid is validated, the first step in processing it is to match it against existing bids.
Here’s the code for the matchExistingBids helper function:
function matchExistingBids(Bid bid, uint game_id) private returns (Bid) {
Game game = getGameById(game_id);
Bid[] matchStack = bid.over ? game.book.underBids : game.book.overBids;
int i = int(matchStack.length) - 1;
while (i >= 0 && bid.amount > 0) {
uint j = uint(i);
if (matchStack[j].amount == 0) { // matched bids
i--;
continue;
}
if (bid.over && bid.line < matchStack[j].line
|| !bid.over && bid.line > matchStack[j].line)
break;
uint betAmount;
if (bid.amount < matchStack[j].amount)
betAmount = bid.amount;
10-ch10.indd 253 04/01/18 3:23 PM
HowTo_Generic / Blockchain: A Practical Guide to Developing Business, Law, and Technology Solutions / Bambara / 587-9 / Chapter 10
254
Blockchain
else
betAmount = matchStack[j].amount;
bid.amount -= betAmount;
matchStack[j].amount -= betAmount;
Bet memory bet = Bet(
bid.over ? bid.bidder : matchStack[j].bidder,
bid.over ? matchStack[j].bidder : bid.bidder,
betAmount,
matchStack[j].line,
BetStatus.Open
);
game.book.bets.push(bet);
BetPlaced(game_id, bid.bidder, bid.over, betAmount, matchStack[j].line);
BetPlaced(game_id, matchStack[j].bidder, !bid.over,
betAmount, matchStack[j].line);
i--;
}
return bid;
}
This is a long function that goes through the stack for the opposing side of the bid, matches
and deletes as many bids as it can, and logs every bet it places. It then returns a bid with the
remaining unmatched amount so it can be added to the proper stack later.
Let’s break this function down as well:
Game game = getGameById(game_id);
Bid[] matchStack = bid.over ? game.book.underBids : game.book.overBids;
We start by getting a storage pointer to the game and determining which stack we will be
matching against. Over bids will match the under stack, and under bids will match the over stack.
int i = int(matchStack.length) - 1;
while (i >= 0 && bid.amount > 0) {
uint j = uint(i);
We are going to assume that the array is ordered into a stack already, with the best outstanding
bid (highest bid for over stack, lowest bid for under stack) at the bottom of the stack. See
Figure 10-2 for the stack arrangements. We start looping from the bottom of the stack by
setting the iterator variable, i. We want to keep looping until the iterator is out of bounds,
which in this case will be when it’s negative. In order to do this, we have to use anintinstead
of auintbecauseuintexhibits undefined behavior when it goes negative and will never
express a value less than zero. However, array index accessing requires auint, so we create
auintversion of the iterator, j, once we enter the loop and have verified that the iterator is
not negative.
if (matchStack[j].amount == 0) { // matched bids
i--;
continue;
}
10-ch10.indd 254 04/01/18 3:23 PM

HowTo_Generic / Blockchain: A Practical Guide to Developing Business, Law, and Technology Solutions / Bambara / 587-9 / Chapter 10
Chapter 10 Sample Application: Blockchain and Betting
255
Next, we validate the stack bid by checking if the bid has already been matched. Matched bids
will have an amount of 0. In most languages, we would rid ourselves of matched bids by deleting
them from the stack. Unfortunately, our stacks are arrays instead of linked lists because Solidity
doesn’t allow recursive data structures, so deleting an item requires many rewrites and would be
an expensive operation. In order to minimize gas costs, we will be leaving matched bids in the
stack and overwriting them whenever possible when inserting new bids.
if (bid.over && bid.line < matchStack[j].line
|| !bid.over && bid.line > matchStack[j].line)
break;
The break conditions for the stack are as follows:
For an over bid, if the bid line is less than the underline pointed to by the stack iterator,
break out of the loop. Because the under stack is sorted so that lines get higher as you move up
the stack, once you encounter one under line that is too high to match, all lines above it will be
too high to match as well.
For an under bid, it is the opposite. If the bid line is greater than the over line pointed to by
the stack iterator, break out of the loop. All lines above it will be too low to match as well.
uint betAmount;
if (bid.amount < matchStack[j].amount)
betAmount = bid.amount;
else
betAmount = matchStack[j].amount;
bid.amount -= betAmount;
matchStack[j].amount -= betAmount;
If it has been determined that the break condition is not satisfied, we have ourselves a valid
bet that can be matched. The bet amount is going to be the lower of the stack bet amount and
the bid amount. The bet amount is subtracted from both the stack bid and the current bid. If
the current bid amount is lower than the stack bid, the bid amount will be 0 after subtraction
and the loop condition will fail to satisfy on the next iteration. If the stack bid is lower, the
remaining bid will be greater than 0 and the loop will continue.
Bet memory bet = Bet(
bid.over ? bid.bidder : matchStack[j].bidder,
bid.over ? matchStack[j].bidder : bid.bidder,
betAmount,
matchStack[j].line,
BetStatus.Open
);
FIGURE 10-2
Bid stack structure
190
194
199
198
195
206
204
200
201
203
Over Under
10-ch10.indd 255 04/01/18 3:23 PM
HowTo_Generic / Blockchain: A Practical Guide to Developing Business, Law, and Technology Solutions / Bambara / 587-9 / Chapter 10
256
Blockchain
game.book.bets.push(bet);
BetPlaced(game_id, bid.bidder, bid.over, betAmount, matchStack[j].line);
BetPlaced(game_id, matchStack[j].bidder, !bid.over,
betAmount, matchStack[j].line);
Once a bet has been placed, it has to be added to the stack and logged with the appropriate
event. To make it easier to parse the logs by user, the BetPlaced event is called twice, once for
each user.
i--;
}
return bid;
Decrement the iterator variable, and continue the loop. When the loop is complete, return the
remaining bid so it can be added to the appropriate bid stack.
Once bid matching is complete, we return back to the original bid function and add the
bids to the stack.
// Use leftover funds to place open bids (maker)
if (remainingBid.amount > 0) {
Bid[] bidStack = over ? game.book.overBids : game.book.underBids;
if (over)
addBidToStack(remainingBid, bidStack, true);
else
addBidToStack(remainingBid, bidStack, false);
BidPlaced(game_id, msg.sender, remainingBid.amount, over, line);
}
If the remaining bid amount is 0, this code block doesn’t execute. If it isn’t, the bid gets added to
the stack. Over and under bids get added differently. The third argument indicates the order in
which the stack will be sorted: highest line at the bottom for over and lowest line at the bottom
for under. Once the bid has been placed we emit an event, logging the action to the chain.
Let’s look into the addBidToStack helper function to see how that works:
function addBidToStack(Bid bid, Bid[] storage stack, bool reverse) private
returns (int) {
if (stack.length == 0) {
stack.push(bid);
return -1;
}
// determine position of new bid in stack
uint insertIndex = stack.length;
if (reverse) {
while (insertIndex > 0 && bid.line <= stack[insertIndex-1].line)
insertIndex--;
}
10-ch10.indd 256 04/01/18 3:23 PM
HowTo_Generic / Blockchain: A Practical Guide to Developing Business, Law, and Technology Solutions / Bambara / 587-9 / Chapter 10
Chapter 10 Sample Application: Blockchain and Betting
257
else {
while (insertIndex > 0 && bid.line >= stack[insertIndex-1].line)
insertIndex--;
}
// try to find deleted slot to fill
if (insertIndex > 0 && stack[insertIndex - 1].amount == 0) {
stack[insertIndex - 1] = bid;
return -1;
}
uint shiftEndIndex = insertIndex;
while (shiftEndIndex < stack.length && stack[shiftEndIndex].amount > 0) {
shiftEndIndex++;
}
// shift bids down (up to deleted index if one exists)
if (shiftEndIndex == stack.length)
stack.length += 1;
for (uint i = shiftEndIndex; i > insertIndex; i--) {
stack[i] = stack[i-1];
}
stack[insertIndex] = bid;
return -1;
}
This is probably the most complicated function in the whole contract because it requires us to
maintain a stack that can be sorted in both directions, add items to that stack, and replace bids
that have been already matched instead of extending the stack length whenever possible.
We mentioned earlier that adding a bid by extending the stack length or deleting an item
from the stack is a very expensive operation. Space must be allocated or destroyed for the
item in the state tree, then every item in the stack below the insertion/deletion index must be
rewritten, so a significant amount of state must be modified with each resize. Normally, using
a linked list would make these operations less expensive, but Solidity does not permit recursive
data structures so that option is not available to us.
In order to avoid performing an expensive deletion operation, we left bids with 0 amount
remaining in the stack during bid matching. Now we will perform the second part of the
optimization by rewriting 0 amount bids whenever possible instead of extending the array.
Let’s step through how:
function addBidToStack(Bid bid, Bid[] storage stack, bool reverse) private
returns (int) {
We need to specify the bid to be inserted, the stack into which it should be inserted, and
whether the stack is going sorted in normal or reverse order. For our purposes, normal order
10-ch10.indd 257 04/01/18 3:23 PM
HowTo_Generic / Blockchain: A Practical Guide to Developing Business, Law, and Technology Solutions / Bambara / 587-9 / Chapter 10
258
Blockchain
will be when the lowest bid is at the bottom and reverse order will be when the highest bid is at
the bottom.
if (stack.length == 0) {
stack.push(bid);
return -1;
}
This is the trivial case. If there are no items in the stack, there’s no need to go through the
sorting or rewriting process, just append the item to the stack and return out.
// determine position of new bid in stack
uint insertIndex = stack.length;
if (reverse) {
while (insertIndex > 0 && bid.line <= stack[insertIndex-1].line)
insertIndex--;
}
else {
while (insertIndex > 0 && bid.line >= stack[insertIndex-1].line)
insertIndex--;
}
Before inserting the item into the sorted stack, we need to determine the index at which the
insertion should occur. For a reverse stack, we start at the bottom and go up the stack while
the bid line is less than the stack line. For a normal stack, we start at the bottom and go up the
stack while the bid line is greater than the stack line.
// try to find deleted slot to fill
if (insertIndex > 0 && stack[insertIndex - 1].amount == 0) {
stack[insertIndex - 1] = bid;
return -1;
}
uint shiftEndIndex = insertIndex;
while (shiftEndIndex < stack.length && stack[shiftEndIndex].amount > 0) {
shiftEndIndex++;
}
Ordinarily, we would shift down all the items below the insert index to make room for the new
item in the sorted stack, but because creating additional storage is an expensive operation, we
will attempt to find an empty bid (bid.amount == 0) and overwrite that instead.
The first check is to see if the slotabovethe insert index is an empty bid. If it is, nothing
needs to be shifted, we can overwrite that bid with the new bid, and return out of the function.
Next, we go down the stack starting at the insert index, and attempt to find the first empty bid.
When we do, we exit the loop. If there are no empty bids, we will exit the loop once we hit the
end of the stack.
// shift bids down (up to deleted index if one exists)
if (shiftEndIndex == stack.length)
stack.length += 1;
10-ch10.indd 258 04/01/18 3:23 PM
HowTo_Generic / Blockchain: A Practical Guide to Developing Business, Law, and Technology Solutions / Bambara / 587-9 / Chapter 10
Chapter 10 Sample Application: Blockchain and Betting
259
for (uint i = shiftEndIndex; i > insertIndex; i--) {
stack[i] = stack[i-1];
}
stack[insertIndex] = bid;
If there were no empty bids in the stack below the insert index, we have to extend the stack
length by 1. Starting from right above the shift index and up to the insert index, we will shift
all bids down by 1 slot. This will overwrite the bid at the shift index and open up a slot at the
insert index, where we then insert the current bid.
Scoring Games and Payouts
Once a game has started and betting has closed, the game result can be set by the creator of
the game using thesetGameResultfunction:
function setGameResult(uint game_id, int homeScore, int awayScore)
returns (int) {
Game game = getGameById(game_id);
if (game.locktime > now) return 1;
if (game.status == GameStatus.Scored) return 2;
cancelOpenBids(game.book);
game.result.home = homeScore;
game.result.away = awayScore;
game.result.timestamp = now;
game.status = GameStatus.Scored;
payBets(game_id);
GameScored(game_id, homeScore, awayScore, now);
return -1;
}
This function sets the home and away scores for a specified game. The first part of this
function performs a series of validations. The game must be past its locktime and not have
been scored yet. Failing either of these validations returns an error code.
All open bids on the book are canceled. ThecancelOpenBidshelper function was
explained in the bidding section. The scores for the home and away teams are updated in
storage, the game status is updated, bets are paid out, and an event is logged indicating that the
game has been scored.
ThepayBetshelper function looks like this:
function payBets(uint game_id) private returns (int) {
Game game = getGameById(game_id);
Bet[] bets = game.book.bets;
10-ch10.indd 259 04/01/18 3:23 PM
HowTo_Generic / Blockchain: A Practical Guide to Developing Business, Law, and Technology Solutions / Bambara / 587-9 / Chapter 10
260
Blockchain
int totalPoints = game.result.home + game.result.away;
for (uint i=0; i < bets.length; i++) {
Bet bet = bets[i];
if (bet.status == BetStatus.Paid)
continue;
if (totalPoints > bet.line)
balances[bet.over] += bet.amount * 2;
else if (totalPoints < bet.line)
balances[bet.under] += bet.amount * 2;
else {
balances[bet.under] += bet.amount;
balances[bet.over] += bet.amount;
}
bet.status = BetStatus.Paid;
}
return -1;
}
This function first uses the game result to calculate the total points scored. It then loops
through each of the bets. If the bet has already been paid out, it skips the bet and moves to
the next one. This should never be the case, but to prevent a future version of the code from
invoking this function twice for the same game, it has been included. If the calculated point
total is greater than the bet line, double the bet amount is added to the address of the over
bet. If the calculated point total is less than the bet line, double the bet amount is added to the
address of the under bet. If the point total and bet line are the same, both sides of the bet are
refunded the bet amount. Once the bet has been paid out, the bet status is marked as paid.
Withdrawing
Once a bet has been resolved and the user balances have been updated, the winning users will
want to withdraw their money. Thewithdrawfunction allows them to do so.
function withdraw() returns (int) {
var balance = balances[msg.sender];
balances[msg.sender] = 0;
if (!msg.sender.send(balance)) {
balances[msg.sender] = balance;
return 1;
}
Withdrawal(msg.sender, balance, now);
return -1;
}
To withdraw, we retrieve the balance of the user from thebalancesmapping and store it
into a temporary variable. Then we zero out the user’s balance and send the ether to their
wallet. If the send fails, we refund the amount to their balance and return an error code. If the
send succeeds, we log the event.
10-ch10.indd 260 04/01/18 3:23 PM
HowTo_Generic / Blockchain: A Practical Guide to Developing Business, Law, and Technology Solutions / Bambara / 587-9 / Chapter 10
Chapter 10 Sample Application: Blockchain and Betting
261
The order of logic in this function is very important. The infamous DAO hack was caused
by an unidentified bug in this exact withdraw implementation. It seems a bit inefficient to zero
out the balance of the user, then refund it later if the send fails. The reason for doing this is that
the entity calling the withdraw function can be a contract. Contracts can define a fallback
function that executes as the default action when no matching ABI function can be found. If
the attacker’s contract defines a payable fallback function that runs another withdrawal on our
contract and the balance has not been zeroed, it can run withdrawals over and over again until
our contract’s balance has been drained. This was how the DAO attacker was able to drain all
the funds from the DAO contract.
Reading Games
We need a way for the front end to read active games from the blockchain. Doing so is a two-
step process because we can’t directly return a custom struct in a public ABI function. Instead,
what we will do is get a list of active game IDs from the contract, then parse the logs for the
game details.
Here is the contract ABI function for the first step of the process. The second step will be
covered in the front-end section.
function getActiveGames () constant returns (uint[]) {
uint[] memory game_ids = new uint[](games.length);
for (uint i=0; i < games.length; i++) {
game_ids[i] = (games[i].id);
}
return game_ids;
}
The function creates an empty memory array of game IDs initialized to the length of the games
array. A memory array is used instead of a storage array because it is a constant function,
meaning it can’t modify storage. We loop through the games and add each id to the memory
array, then return the array.
Reading Bids
The order book changes with each placed bid, so we need a way of getting a current snapshot
of the order book. Unfortunately, the logs aren’t going to be of much use to us here because
placed bids can be matched and deleted, so a logged bid may not exist anymore. To get a
current view of the book, we have to return bids directly from the contract. Unfortunately, as
mentioned earlier, we can’t return custom structs directly in the ABI. So instead we’re going
to run a hack job and return a byte array containing the information, then parse the byte array
back into a bid array on the front end.
Here’s the contract function to encode the bids into a byte array.
function getOpenBids(uint game_id) constant returns (bytes) {
Game game = getGameById(game_id);
uint nBids = game.book.overBids.length + game.book.underBids.length;
bytes memory s = new bytes(57 * nBids);
uint k = 0;
10-ch10.indd 261 04/01/18 3:23 PM
HowTo_Generic / Blockchain: A Practical Guide to Developing Business, Law, and Technology Solutions / Bambara / 587-9 / Chapter 10
262
Blockchain
for (uint i=0; i < nBids; i++) {
if (i < game.book.overBids.length)
Bid bid = game.book.overBids[i];
else
bid = game.book.underBids[i - game.book.overBids.length];
bytes20 bidder = bytes20(bid.bidder);
bytes32 amount = bytes32(bid.amount);
byte home = bid.over ? byte(1) : byte(0);
bytes4 line = bytes4(bid.line);
for (uint j=0; j < 20; j++) { s[k] = bidder[j]; k++; }
for (j=0; j < 32; j++) { s[k] = amount[j]; k++; }
s[k] = home; k++;
for (j=0; j < 4; j++) { s[k] = line[j]; k++; }
}
return s;
}
Let’s break this code down since it gets complicated in places.
Game game = getGameById(game_id);
uint nBids = game.book.overBids.length + game.book.underBids.length;
bytes memory s = new bytes(57 * nBids);
uint k = 0;
The function is constant to indicate that it does not modify storage. First, we grab a storage
pointer to the game. Then we count the total number of bids in the book and use that to
allocate a byte array in memory.bytesis the data type for a dynamically sized byte array.
An iterator variable,k, is initialized as well. This iterator variable will point to the current
index in the byte array that is being written. Every time a byte is written to the byte array,
we will increment the iterator.
for (uint i=0; i < nBids; i++) {
if (i < game.book.overBids.length)
Bid bid = game.book.overBids[i];
else
bid = game.book.underBids[i - game.book.overBids.length];
Loop through all the bids, and determine whether the current bid is in the over or under stack.
bytes20 bidder = bytes20(bid.bidder);
bytes32 amount = bytes32(bid.amount);
byte home = bid.over ? byte(1) : byte(0);
bytes4 line = bytes4(bid.line);
10-ch10.indd 262 04/01/18 3:23 PM

HowTo_Generic / Blockchain: A Practical Guide to Developing Business, Law, and Technology Solutions / Bambara / 587-9 / Chapter 10
Chapter 10 Sample Application: Blockchain and Betting
263
for (uint j=0; j < 20; j++) { s[k] = bidder[j]; k++; }
for (j=0; j < 32; j++) { s[k] = amount[j]; k++; }
s[k] = home; k++;
for (j=0; j < 4; j++) { s[k] = line[j]; k++; }
}
return s;
Convert each bid property into its byte representation. The bytesxx data types are defined for
all values up to 32 (bytes2, bytes3, etc.) and for a singlebyte. Next, loop through each byte
representation and add them to the main byte array, byte by byte.
Once all the bids have been encoded and concatenated, we return the byte array. We will
cover how to parse the byte array into a JavaScript object on the front end later. For now it will
suffice to define a data dictionary for the bid byte structure by byte index (see Table 10-1).
Summary
In this chapter, we have introduced the development life cycle of a full-function betting
application built on Ethereum. The focus was primarily on coding with Solidity. In the next
chapter, we will deploy the contract and develop a simple front end to run the application.
- 1-20 bidder address
- 21-52 unsigned int bid amount in wei
- 53 boolean bit 1 for over, 0 for under
- 54-57 two's complement integer bid line
TABLE 10-1
Bid Byte Structure
10-ch10.indd 263 04/01/18 3:23 PM
HowTo_Generic / Blockchain: A Practical Guide to Developing Business, Law, and Technology Solutions / Bambara / 587-9 / Chapter 10 / blind folio: 264
10-ch10.indd 264 04/01/18 3:23 PM
This page intentionally left blank
265
HowTo_Generic / Blockchain: A Practical Guide to Developing Business, Law, and Technology Solutions / Bambara / 587-9 / Chapter 11
11 Deploying the
Sample Application:
Blockchain and Betting
Deploying Full Contract
In Chapter 10, we introduced the development steps for writing a smart contract. Now that the
contract is fully written, let’s deploy it to our test chain, and interact with it.
node deploy.js ethereum && node debug.js ethereum
Fix any errors that pop up during compilation, then run the deployment again if necessary. If
everything worked properly, you should see the interactive prompt pop up. Let’s run a couple
of test functions to make sure our contract is working.
locktime = parseInt(new Date().getTime() / 1000) + 3600;
tx = contract.createGame("Golden State", "Cleveland", 1, locktime,
{ from: walletAddress, gas: 5e5 })
The first line creates a UNIX timestamp 1 hour (3600s) in the future. The JavaScript Date
type uses milliseconds after the UNIX epoch instead of seconds after the UNIX epoch like
most other languages, so a conversion is required. The third parameter is the category,
with 1 referring to NBA for our purposes. Executing the createGame function will return a
transaction id that can be used to check whether the transaction has been mined.
At any point, you can run:
web3.eth.getTransactionReceipt(tx);
to see if the transaction has been mined. If it hasn’t, it will return null. If it has, it will return a
receipt object.
11-ch11.indd 265 04/01/18 3:23 PM
HowTo_Generic / Blockchain: A Practical Guide to Developing Business, Law, and Technology Solutions / Bambara / 587-9 / Chapter 11
266
Blockchain
Once the transaction has cleared, you should be able to read the newly created game from
the contract.
// there should be one active game now with id=1
// getActiveGames is a constant function, so a _call_ is executed and returns
// immediately with a result
contract.getActiveGames()
// to get more details about the game we can parse the logs for GameCreated
// events. Helper functions for accessing events are available on the contract
// object as well. By default, fromBlock is the latest block, so that
// parameter has to be set manually
contract.GameCreated({}, { fromBlock: 1 }).get(console.log)
You should be able to view a single game in the output of both those statements.
Deploying to the Mainnet
Deploying to the mainnet is very similar to deploying to our private chain. Repeat all the exact
steps above with two exceptions.
First, exit the geth process running our private chain by navigating to that tab and typing
-. Then run the Ethereum mainnet with the command:
| geth --rpc --rpcapi web3,eth,net,personal
If you haven’t synced a full geth node in the past, this process will take up to a day. If you have,
it should only take a few minutes to sync up fully. In order to deploy to the mainnet, you will
have to create a wallet address and obtain ether from an exchange. This process is covered in
earlier chapters.
Once the node is synced and caught up to the main chain, run the deploy command
from the previous section. You should see confirmation of your deployment in the output. You
can now run the test scripts from the previous section to confirm that the contract deployed.
Seeding Data
Manually seeding our contract with data every time we deploy is a tedious and slow process, so
we’re going to write a script to seed data for us.
Here’s what our seeds.js file is going to look like:
var Web3 = require('web3');
var web3 = new Web3();
var fs = require('fs');
web3.setProvider(new web3.providers.HttpProvider('http://localhost:8545'));
11-ch11.indd 266 04/01/18 3:23 PM
HowTo_Generic / Blockchain: A Practical Guide to Developing Business, Law, and Technology Solutions / Bambara / 587-9 / Chapter 11
Chapter 11 Deploying the Sample Application: Blockchain and Betting
267
// Load ABI, contract address, contract
var abi = JSON.parse(fs.readFileSync("bin/peerbet.sol:PeerBet.abi", "ascii"));
var contractAddress = fs.readFileSync("contract_address", "ascii");
var contract = web3.eth.contract(abi).at(contractAddress);
var walletAddress = web3.eth.accounts[0];
web3.personal.unlockAccount(walletAddress, process.argv[2]);
// Create a series of locktimes
var thirty_secs = parseInt(new Date().getTime() / 1000) + 30;
var three_days = parseInt(new Date().getTime() / 1000) + 3*3600*24;
var three_hours = parseInt(new Date().getTime() / 1000) + 3*3600;
var three_minutes = parseInt(new Date().getTime() / 1000) + 3*60;
// Seed games
var games = [
["Cleveland", "Indiana", 1, thirty_secs],
["San Antonio", "Memphis", 1, three_hours],
["Boston", "Chicago", 1, three_minutes],
["Los Angeles Clippers", "Utah", 1, three_days],
["Golden State", "Portland", 1, three_hours],
["Oklahoma City", "Houston", 1, three_minutes]
]
games.forEach(function (game) {
contract.createGame.sendTransaction(...game, {
from: walletAddress,
gas: 200000
});
});
for (var i=0; i < 100; i++) {
var random_index = Math.floor(Math.random() * 6) + 1; // 1-6
var random_amount = Math.floor(Math.random() * 100 * 1e15); // 1-100 mETH
var over = Math.random() > 0.5; // true or false
var random_line = Math.floor(Math.random() * 50) + 175; // 175-225
contract.bid(random_index, over, random_line,
{ from: walletAddress, value: random_amount , gas: 500000 });
}
Let’s break this down by section:
var Web3 = require('web3');
var web3 = new Web3();
var fs = require('fs');
web3.setProvider(new web3.providers.HttpProvider('http://localhost:8545'));
11-ch11.indd 267 04/01/18 3:23 PM
HowTo_Generic / Blockchain: A Practical Guide to Developing Business, Law, and Technology Solutions / Bambara / 587-9 / Chapter 11
268
Blockchain
These are the standard includes and provider setup logic we’ve seen before.
// Load ABI, contract address, contract
var abi = JSON.parse(fs.readFileSync("bin/peerbet.sol:PeerBet.abi", "ascii"));
var contractAddress = fs.readFileSync("contract_address", "ascii");
var contract = web3.eth.contract(abi).at(contractAddress);
var walletAddress = web3.eth.accounts[0];
web3.personal.unlockAccount(walletAddress, process.argv[2]);
We load the ABI and contract address from their appropriate files and use it to create a
contract object. We then access our default wallet and unlock it with our wallet password,
which will be passed into the script as the first command line argument.
// Create a series of locktimes
var thirty_secs = parseInt(new Date().getTime() / 1000) + 30;
var three_days = parseInt(new Date().getTime() / 1000) + 3*3600*24;
var three_hours = parseInt(new Date().getTime() / 1000) + 3*3600;
var three_minutes = parseInt(new Date().getTime() / 1000) + 3*60;
To mix it up, we define four different locktimes to use in our games logic.
var games = [
["Cleveland", "Indiana", 1, thirty_secs],
["San Antonio", "Memphis", 1, three_hours],
["Boston", "Chicago", 1, three_minutes],
["Los Angeles Clippers", "Utah", 1, three_days],
["Golden State", "Portland", 1, three_hours],
["Oklahoma City", "Houston", 1, three_minutes]
]
games.forEach(function (game) {
contract.createGame(...game, { from: walletAddress, gas: 200000 });
});
We create six games here by defining an array of game property arrays, looping through
the array, then using the JavaScript spread operator,
...
, to pass the parameters into the
createGame contract function. This should create six National Basketball Association
(NBA) games (category = 1) with different locktimes and teams.
for (var i=0; i < 100; i++) {
var random_game = Math.floor(Math.random() * 6) + 1; // 1-6
var random_amount = Math.floor(Math.random() * 100 * 1e15); // 1-100 mETH
var over = Math.random() > 0.5; // true or false
var random_line = Math.floor(Math.random() * 50) + 175; // 175-225
contract.bid(random_game, over, random_line,
{ from: walletAddress, value: random_amount , gas: 500000 });
}
Run a loop 100 times and seed 100 bids into the contract. Each bid will go to a random game,
with a random amount, at a random line, to a random side of the bet.
11-ch11.indd 268 04/01/18 3:23 PM
HowTo_Generic / Blockchain: A Practical Guide to Developing Business, Law, and Technology Solutions / Bambara / 587-9 / Chapter 11
Chapter 11 Deploying the Sample Application: Blockchain and Betting
269
Save this file toseeds.js,then run our full deploy-seed-debug dev flow with:
node deploy.js [password] && node debug.js [password] node seeds.js [password]
As always, replace
[password]
with your wallet password. Wait about 1 minute for all the
transactions to clear. You can monitor the status of the transactions in the terminal tab running
the private chain.
In the debug console, examine the order book for a game:
contract.getOpenBids(2)
Since
getOpenBids
is a constant function, it should return immediately with a hex string
that looks like this:
'0xe506a922a5ae5a9855307f996cedb97f2ac0bec5000000000000000000000000000000000000000
0000000000157eeb788dd3d9e01000000b3e506a922a5ae5a9855307f996cedb97f2ac0bec50000000
000000000000000000000000000000000000000000052f7616f19157001000000b7e506a922a5ae5a9
855307f996cedb97f2ac0bec500000000000000000000000000000000000000000000000000d00dadb
b6c5af601000000bde506a922a5ae5a9855307f996cedb97f2ac0bec50000000000000000000000000
00000000000000000000000002b17fd14e5387a01000000bee506a922a5ae5a9855307f996cedb97f2
ac0bec5000000000000000000000000000000000000000000000000012e79a7fbe22d4400000000e0e
506a922a5ae5a9855307f996cedb97f2ac0bec50000000000000000000000000000000000000000000
00000014a27bcf218dfa400000000e0e506a922a5ae5a9855307f996cedb97f2ac0bec500000000000
00000000000000000000000000000000000000043ca9129f8d63000000000dbe506a922a5ae5a98553
07f996cedb97f2ac0bec50000000000000000000000000000000000000000000000000108a2dc8a22b
74100000000d5e506a922a5ae5a9855307f996cedb97f2ac0bec500000000000000000000000000000
0000000000000000000000000000000000000000000cee506a922a5ae5a9855307f996cedb97f2ac0b
ec5000000000000000000000000000000000000000000000000000000000000000000000000cb'
This is the unparsed byte array created for us by the contract function. To view the book,
we have to parse the byte array back into a bid array. Exit the debugger, then include these
functions indebug.js:
function parseBid(hex) {
return {
bidder: '0x' + hex.slice(0,40),
amount: parseInt(hex.slice(40,104), 16),
over: parseInt(hex.slice(104,106)) == 1,
line: ~~parseInt(hex.slice(106), 16)
}
}
function parseBids(hex) {
hex = hex.slice(2); // to get rid of the '0x'
var bids = []
for (var i=0; i < hex.length; i += 114)
bids.push(parseBid(hex.slice(i, i+114)));
return bids;
}
11-ch11.indd 269 04/01/18 3:23 PM
HowTo_Generic / Blockchain: A Practical Guide to Developing Business, Law, and Technology Solutions / Bambara / 587-9 / Chapter 11
270
Blockchain
The
parseBid
function takes a 114-character hex string and converts it into a bid object
using the data dictionary we defined earlier in the chapter. The
parseBids
function strips
away the leading
0x
, splits the long hex into 114-character hex strings, and turns the parsed
bids into an array. Why 114 (57 * 2) characters instead of 57, which is the length of the bid
representation in bytes? Because it takes two hex characters to encode a byte, so twice the
number of characters are required.
Enter back into the debugger:
node debug.js ethereum
// In the debug console
parseBids(contract.getOpenBids(2))
Now your parsed result should look something like this:
[ { bidder: '0xe506a922a5ae5a9855307f996cedb97f2ac0bec5',
amount: 96808389054381470,
over: true,
line: 179 },
{ bidder: '0xe506a922a5ae5a9855307f996cedb97f2ac0bec5',
amount: 23352945938077040,
over: true,
line: 183 },
{ bidder: '0xe506a922a5ae5a9855307f996cedb97f2ac0bec5',
amount: 58561834980760310,
over: true,
line: 189 },
{ bidder: '0xe506a922a5ae5a9855307f996cedb97f2ac0bec5',
amount: 12129799743289466,
over: true,
line: 190 },
{ bidder: '0xe506a922a5ae5a9855307f996cedb97f2ac0bec5',
amount: 85139205359021380,
over: false,
line: 224 },
{ bidder: '0xe506a922a5ae5a9855307f996cedb97f2ac0bec5',
amount: 92930434783567780,
over: false,
line: 224 },
{ bidder: '0xe506a922a5ae5a9855307f996cedb97f2ac0bec5',
amount: 19081548262856240,
over: false,
line: 219 },
{ bidder: '0xe506a922a5ae5a9855307f996cedb97f2ac0bec5',
amount: 74488461945648960,
over: false,
line: 213 },
11-ch11.indd 270 04/01/18 3:23 PM
HowTo_Generic / Blockchain: A Practical Guide to Developing Business, Law, and Technology Solutions / Bambara / 587-9 / Chapter 11
Chapter 11 Deploying the Sample Application: Blockchain and Betting
271
{ bidder: '0xe506a922a5ae5a9855307f996cedb97f2ac0bec5',
amount: 0,
over: false,
line: 206 },
{ bidder: '0xe506a922a5ae5a9855307f996cedb97f2ac0bec5',
amount: 0,
over: false,
line: 203 } ]
The over bids show up first, with the highest line at the bottom, then the under bids are at the
bottom half, with the lowest line at the bottom. The amounts for some of the bids will be 0,
indicating that they have been matched but have not yet been overwritten by a new bid.
There should be placed bets as well. We can check for those by searching the logs for
BetPlaced events in the debug console.
contract.BetPlaced({}, { fromBlock: 1 }).get(console.log)
Front-End User Interface
All public contract functions expose an ABI that can be accessed through the web3.js library.
If you wish to run a betting server without a user interface, your work is complete, and the
contract is ready to use. However, most sites will require a front-end interface, so we will build
out a simple one for our betting contract.
Since the focus of this book is on blockchains and not web interfaces, we will not be
building a full-fledged web UI. It is assumed that the reader has a basic understanding of
HTML, JavaScript, and jQuery, but no CSS or styling will be used. The purpose of our front
end will be to demonstrate how to use the web3.js library with an Ethereum contract, and we
will not build out further functionality beyond that. With that, let’s get started!
Pages in the User Interface
Our front end is going to have three pages with the following functionality:
•
View list of games (index.html)
•
View book for a single game (bet.html)
•
Withdraw winnings (withdraw.html)
Displaying Games
Our home page,index.html,is going to display a table with all of our active games. In addition
there is a link to the withdraw page we will be building later. Here’s the HTML for the page:
<html>
<body>
<nav>
<a href="withdraw.html">Withdraw</a>
</nav>
11-ch11.indd 271 04/01/18 3:23 PM
HowTo_Generic / Blockchain: A Practical Guide to Developing Business, Law, and Technology Solutions / Bambara / 587-9 / Chapter 11
272
Blockchain
<h1>Games</h1>
<table id="games-table">
<thead>
<tr>
<th>Home</th>
<th>Away</th>
<th>Score</th>
<th>Category</th>
<th>Date</th>
<th>Time</th>
<th></th>
</tr>
</thead>
<tbody></tbody>
</table>
<!-- jQuery CDN -->
<script src="https://code.jquery.com/jquery-3.1.1.js"
integrity="sha256-16cdPddA6VdVInumRGo6IbivbERE8p7CQR3HzTBuELA="
crossorigin="anonymous"></script>
<!-- Our JavaScript file -->
<script src="main.js"></script>
</body>
</html>
As you can see, there’s a link to the withdraw page above the header, followed by the header
and games table. The games table contains a series of descriptive columns about each game.
The column with no title is where the links to the game’s betting page will go.
There are two JavaScript files included on the page: the jQuery CDN and ourmain.jsfile.
The jQuery CDN and the MetaMask Chrome extension (which injects the web3.js library) are
the only dependencies for the front end.
Let’s take a look at the custom JavaScript required in themain.jsfile piece by piece. We will
be using themain.jsfile for all three of our HTML pages, so there will be some overlapping code
that will be explained as we go.
This first batch of code loads up some file dependencies and prepares the page for execution.
It is common to all three of our pages.
// Load ABI and contract address
var abiPromise = $.get("bin/peerbet.sol:PeerBet.abi");
var contractAddressPromise = $.get("contract_address");
// Wait for MetaMask to inject web3
var web3Promise = new Promise(function (resolve, reject) {
var interval = setInterval(function () {
11-ch11.indd 272 04/01/18 3:23 PM
HowTo_Generic / Blockchain: A Practical Guide to Developing Business, Law, and Technology Solutions / Bambara / 587-9 / Chapter 11
Chapter 11 Deploying the Sample Application: Blockchain and Betting
273
if (typeof web3 !== 'undefined') {
resolve(web3);
clearInterval(interval);
}
}, 50);
});
The first two lines use jQuery’s AJAX functionality to load up the two pieces of data we
will need to create our web3 Contract object, the ABI and contract address, and defining
promises for both AJAX calls.
For those unfamiliar with the concept, promises are a construct that allows for asynchronous
code execution. Similar to threads, promises begin execution of a function, then return without
waiting for the block of code to finish executing. Instead, the promiseresolveswhen the code is
finished executing, and bindings are provided that allow code to execute after a promise resolves
instead of immediately when the function returns. Promises are outside the scope of this book
but are an integral part of writing good front-end JavaScript code, so please familiarize yourself
with the concept before attempting to build a front end for your contract.
As we mentioned earlier, the MetaMask Chrome extension and Chrome browser are
requirements for the application. The MetaMask extension injects the web3.js library into
our application, so we don’t have to require it ourselves. However, the injection occurs
asynchronously, so any code that uses the library (in our case, the entire application) must
wait until the injection completes in order to execute. The second block of code handles the
asynchronous behavior, by defining a promise that resolves when web3 has been injected. It
does so by checking for the existence of the library every 50ms until the library is found.
var contract;
$.when(contractAddressPromise, abiPromise, web3Promise)
.always(function (contractAddress, abiJSON) {
var contractAddress = contractAddress[0];
var abi = JSON.parse(abiJSON[0]);
contract = web3.eth.contract(abi).at(contractAddress);
switch (window.location.pathname) {
case '/bet.html':
betsPage();
break;
case '/withdraw.html':
withdrawPage();
break;
default:
gamesPage();
}
});
Once web3 is available and the required files have loaded, we can create the Contract object.
$.when
is similar to the built-in
Promise.all
function, and allows us to wait for a series of
promises to return before executing a block of code. Once we have a Contract object, our code
11-ch11.indd 273 04/01/18 3:23 PM
HowTo_Generic / Blockchain: A Practical Guide to Developing Business, Law, and Technology Solutions / Bambara / 587-9 / Chapter 11
274
Blockchain
branches into three different tracks using a switch statement, one for each of the three pages.
The default track is the games page, which is the track we will be exploring in this section.
function gamesPage () {
getGames().then(function (games) {
games.forEach(addGameToTable);
});
}
The games page gets a list of games and adds them to the games table. Both of those
functionalities are handled in helper functions.
Let’s take a look at the getGames helper:
function getGames () {
var activeGamesPromise = new Promise((resolve, reject) => {
contract.getActiveGames.call(function (err, game_ids) {
if (err) reject(err);
else resolve(game_ids);
});
});
var gamesPromise = new Promise((resolve, reject) => {
activeGamesPromise.then(game_ids => {
contract.GameCreated({ id: game_ids }, { fromBlock: 1 })
.get(function (err, logs) {
var games = logs.map(log => log.args);
resolve(games);
});
});
});
var scoresPromise = new Promise((resolve, reject) => {
activeGamesPromise.then(game_ids => {
contract.GameScored({ game_id: game_ids }, { fromBlock: 1 })
.get((err, logs) => {
var scores = logs.map(log => log.args);
resolve(scores);
});
});
});
return new Promise((resolve, reject) => {
$.when(gamesPromise, scoresPromise).then((games, scores) => {
var scoresObj = {}
scores.forEach(score => scoresObj[score.game_id] = score);
games.forEach(game => {
if (scoresObj[game.id]) {
game.result = {
11-ch11.indd 274 04/01/18 3:23 PM
HowTo_Generic / Blockchain: A Practical Guide to Developing Business, Law, and Technology Solutions / Bambara / 587-9 / Chapter 11
Chapter 11 Deploying the Sample Application: Blockchain and Betting
275
home: scoresObj[game.id].homeScore,
away: scoresObj[game.id].awayScore,
timestamp: parseInt(scoresObj[game.id].timestamp)
}
}
else
game.result = { home: '-', away: '-' }
});
resolve(games);
});
});
}
The first block runs a call to the
getActiveGames
function, which returns an array of
game ids. Those game ids are then resolved through a promise, so they can be available
asynchronously to the remainder of the function. Those game ids are then used to access two
separate event logs, the GameCreated event and the GameScored event. This occurs in the
second and third logs. The results of both those log accesses are resolved through individual
promises, then the two are combined in the final block. The game scores are merged with the
game information object and the combined object is resolved through the returned promise.
If the scores are not defined because the game has not yet been scored, the home and
away scores will be represented by a single '-'. This way, when we display the scores later
with a '-' separating the home and away scores, an unscored game will show '---'.
Once we have the games, we add them to our table through another helper function,
addGameToTable:
function addGameToTable (game) {
var category = 'NBA';
var gametime = new Date(parseInt(game.locktime) * 1000);
var date = gametime.toString().slice(0,10);
var time = gametime.toTimeString().slice(0,5);
var row = `<tr class="game">
<td>${game.home}</td>
<td>${game.away}</td>
<td>${game.result.home} - ${game.result.away}</td>
<td>${category}</td>
<td>${date}</td>
<td>${time}</td>
<td class="bets-cell">
<a href="bet.html?id=${game.id}">Bet</a>
</td>
</tr>`;
$(`#games-table tbody`).append(row);
}
This function is very simple. It takes the game object, turns it into an HTML table row, then
inserts it into the table.
11-ch11.indd 275 04/01/18 3:23 PM

HowTo_Generic / Blockchain: A Practical Guide to Developing Business, Law, and Technology Solutions / Bambara / 587-9 / Chapter 11
276
Blockchain
That’s all the code for the games page. The simplest way to run the server is in the command
line for the folder:
python2 -m SimpleHTTPServer
Python 2 is preinstalled on OS X and Linux, but on Windows you may have to download the
package from https://www.python.org/downloads/.
Make sure your geth private net is running in a terminal tab. Then set your MetaMask
extension to connect to the private net by clicking the fox icon in the upper-left corner. Select
the item in the drop-down labeled Localhost 8545 (see Figure 11-1).
If everything has been set up properly, you should see a page that looks like Figure 11-2.
Congratulations, you’ve got yourself an ugly but functional games page!
FIGURE 11-1
MetaMask
FIGURE 11-2
Betting application page 1
11-ch11.indd 276 04/01/18 3:23 PM
HowTo_Generic / Blockchain: A Practical Guide to Developing Business, Law, and Technology Solutions / Bambara / 587-9 / Chapter 11
Chapter 11 Deploying the Sample Application: Blockchain and Betting
277
Bet Page Markup
We’re going to be creating a separate page to display the order book and place bets. We saw
earlier that our main thread split into three different tracks, one for each page.
switch (window.location.pathname) {
case '/bet.html':
betsPage(); // <------ betting track
break;
case '/withdraw.html':
withdrawPage();
break;
default:
gamesPage();
}
We will now be pursuing the betting track and explaining the markup and code associated
with the page. To start, here’s the basic HTML outline we will be following. There will be
other functionalities available on this page as well, and we will add them to this HTML base
as we go.
<html>
<body>
<script src="https://code.jquery.com/jquery-3.1.1.js"
integrity="sha256-16cdPddA6VdVInumRGo6IbivbERE8p7CQR3HzTBuELA="
crossorigin="anonymous"></script>
<script src="main.js"></script>
</body>
</html>
This is the same frame as for the games page. From here, we will add bet page–specific
functionality. First, we want to display some basic game information:
<h1>
<span class="home">---</span> vs <span class="away">---</span>
</h1>
<div>Gametime: <span class="locktime"></span></div>
<div id="score-row">
Final Score:
<span class="game-score">
<span class="home-score"></span> -
<span class="away-score"></span>
</span>
</div>
11-ch11.indd 277 04/01/18 3:23 PM
HowTo_Generic / Blockchain: A Practical Guide to Developing Business, Law, and Technology Solutions / Bambara / 587-9 / Chapter 11
278
Blockchain
There are display locations for the home team, away team, game time, and score. These will be
filled in by our JavaScript on page load. As before, we will not be styling the page.
Next, we need sections for placing our over and under bets.
<div id="bet-placements">
<h3>Bet Over</h3>
<label>Line</label>
<input id="over-line" type="number">
<label>Amount (ETH)</label>
<input id="over-amount" type="number">
<button id="place-bet-over">Place Bet</button>
<hr>
<h3>Bet Under</h3>
<label>Line</label>
<input id="under-line" type="number">
<label>Amount (ETH)</label>
<input id="under-amount" type="number">
<button id="place-bet-under">Place Bet</button>
</div>
This displays two identical sections, one for placing an over bet and one for placing an under
bet. Each section has two inputs, one for the line and one for the bet amount, and a button for
placing the bet.
In addition to bet placement, this page will display the order book and a section for setting
the game score. Let’s first look at the HTML for displaying open bids.
<hr>
<h3>Open Over Bids</h3>
<table id="over-bids-table">
<thead>
<tr>
<th>Line</th>
<th class="currency">Amount (ETH)</th>
<tr>
</thead>
<tbody></tbody>
</table>
<hr>
11-ch11.indd 278 04/01/18 3:23 PM
HowTo_Generic / Blockchain: A Practical Guide to Developing Business, Law, and Technology Solutions / Bambara / 587-9 / Chapter 11
Chapter 11 Deploying the Sample Application: Blockchain and Betting
279
<h3>Open Under Bids</h3>
<table id="under-bids-table">
<thead>
<tr>
<th>Line</th>
<th class="currency">Amount (ETH)</th>
<tr>
</thead>
<tbody></tbody>
</table>
<hr>
This sets up two tables, one for over bids and one for under bids. Both tables contain columns
for the bet line and the bet amount. The table body and table header are given separate sections
because later on we will be inserting rows directly into the body without touching the header.
The
<hr>
tag separates the section with a horizontal divider.
We will also be displaying bets that have already been matched and placed into the book.
<h3>Latest Bets</h3>
<table id="bets-table">
<thead>
<tr>
<th>Line</th>
<th class="currency">Amount (ETH)</th>
<tr>
</thead>
<tbody></tbody>
</table>
<hr>
This table is very similar to the bids table and contains the same columns. The only difference
will be in the data we add to the table.
Finally, we want a small form that we can use to score the game when betting has closed
and the game is complete.
<h3>Score Game</h3>
<label class="home"></label>
<input id="home-score-input" type="number">
<label class="away"></label>
<input id="away-score-input" type="number">
<button id="score-btn">Score Game</button>
The form has inputs for the home and away scores, and a button that can be used to submit
the score.
11-ch11.indd 279 04/01/18 3:23 PM
HowTo_Generic / Blockchain: A Practical Guide to Developing Business, Law, and Technology Solutions / Bambara / 587-9 / Chapter 11
280
Blockchain
That will be all for the HTML. The actual displayed data will come from web3, and we will
use JavaScript to print the data onto the page.
Displaying Game Information
To display information about a single game, we will be reusing the getGames function we
defined earlier, and defining a new helper function to grab the game we want:
function getGame(id) {
return getGames().then(function (games) {
var game = games.find(g => g.id == id);
return game;
})
}
This function gets the list of the games then finds the desired game. Returning an item within
a
.then
callback will cause that promise to resolve with the returned value. So this function
returns a promise that resolves with the desired game.
Using this function, we can display the game information on our page:
function betsPage() {
var id = parseInt(window.location.search.split('=')[1]);
getGame(id).then(function (game) {
$('.home').html(game.home);
$('.away').html(game.away);
// Display gametime
var locktime = new Date(game.locktime * 1000);
$('.locktime').html(locktime.toString());
// Display scores
var homeScore = parseInt(game.result.home);
var awayScore = parseInt(game.result.away);
$('.home-score').html(homeScore);
$('.away-score').html(awayScore);
});
...
}
The home and away team names are displayed from the game object. Then the locktime is
converted from a UNIX timestamp to a JavaScript Date and displayed. The scores will not be
defined if the game has not been scored yet. In this case, the score will display '---' because
the home and away scores will both be set to a single '-' by the getGames helper.
11-ch11.indd 280 04/01/18 3:23 PM
HowTo_Generic / Blockchain: A Practical Guide to Developing Business, Law, and Technology Solutions / Bambara / 587-9 / Chapter 11
Chapter 11 Deploying the Sample Application: Blockchain and Betting
281
Displaying Open Bids
Earlier, we definedparseBidsandparseBidhelper functions in ourdebug.jsfile to parse
the byte array returned by the contract’sgetOpenBidsABI function. We will be reusing
those functions here. The code is reproduced below without explanation. Please refer to the
“Seeding Data” section earlier in the chapter for the code explanation.
function parseBid(hex) {
return {
bidder: '0x' + hex.slice(0,40),
amount: parseInt(hex.slice(40,104), 16),
over: parseInt(hex.slice(104,106)) == 1,
line: ~~parseInt(hex.slice(106), 16)
}
}
function parseBids(hex) {
if (hex.slice(0,2) == '0x')
hex = hex.slice(2);
var bids = []
for (var i=0; i < hex.length; i += 114)
bids.push(parseBid(hex.slice(i, i+114)));
return bids;
}
In addition, we will define a
getOpenBids
helper function to make the web3 call to the
contract, parse the returned byte array, and resolve it all through a promise.
function getOpenBids(game_id) {
return new Promise(function (resolve, reject) {
contract.getOpenBids(game_id, function (err, hex) {
var bids = parseBids(hex);
bids = bids.filter(bid => bid.amount > 0);
bids.forEach(bid => bid.amount = parseFloat(bid.amount / 1e18));
resolve(bids);
});
});
}
The
getOpenBids
contract ABI function is a constant function, so web3 executes a call
that returns immediately. As always, the first argument in the callback is the error (null if
no error) and the returned byte array is the second argument in the form of a hex string
("0xf43..."). The hex string is parsed into a byte array, empty bids with an amount of 0
are removed, and the bid amount is converted from wei to ether. The resulting array is then
resolved through the returned promise.
11-ch11.indd 281 04/01/18 3:23 PM
HowTo_Generic / Blockchain: A Practical Guide to Developing Business, Law, and Technology Solutions / Bambara / 587-9 / Chapter 11
282
Blockchain
Finally, we will define a helper function that adds the bids to the table:
function addBidToTable (table, bid) {
var row = `<tr class="bid">
<td>${bid.line}</td>
<td class="currency">${bid.amount}</td>
</tr>`;
$(table + " tbody").prepend(row);
}
This function takes a table selector (e.g., "#over-bids-table") and adds a row to the
body of the table with the given bid’s information.
Putting these helper functions together, we can retrieve bids and display them on our page:
function betsPage() {
...
getOpenBids(id).then(function (bids) {
bids.filter(bid => bid.over)
.forEach(bid => addBidToTable("#over-bids-table", bid));
bids.filter(bid => !bid.over)
.forEach(bid => addBidToTable("#under-bids-table", bid));
});
...
}
The bids are filtered twice, once to get the over bids and display them on the over bids table,
and then again to get the under bids and display them on the under bids table.
Displaying Bets
We would like to display existing matched bets in addition to the open bids. In order to do so,
we will define a couple more helper functions to get the bets and add them to the bets table.
First, let’s define the helper to retrieve bets from the blockchain logs.
function getBets(game_id) {
return new Promise(function (resolve, reject) {
contract.BetPlaced({ game_id: game_id }, { fromBlock: 1 })
.get(function (err, logs) {
var bets = logs.map(log => log.args);
bets.forEach(bet =>
bet.amount = parseFloat(bet.amount / 1e18));
resolve(bets);
});
});
}
11-ch11.indd 282 04/01/18 3:23 PM
HowTo_Generic / Blockchain: A Practical Guide to Developing Business, Law, and Technology Solutions / Bambara / 587-9 / Chapter 11
Chapter 11 Deploying the Sample Application: Blockchain and Betting
283
The bets are stored in the logs with an index on the game_id field. We can take advantage
of that and parse the logs only for bets with our game id. The first object passed to a web3
contract event getter is an object of index-value pairs for the search. The second object is a
config object. As stated earlier, the only config we need to specify is the fromBlock field. The
other default values will suffice. Once we get the logs, we extract just the event data from them
through the
args
property and resolve the data through the returned promise.
We will also require a simple helper to add our bet information to the bets table.
function addBetToTable(bet) {
var row = `<tr class="bet">
<td>${bet.line}</td>
<td class="currency">${bet.amount}</td>
</tr>`;
$("#bets-table tbody").prepend(row);
}
This function takes the bet information, creates a table row with it, then adds the row to the
bets table body.
Using these helpers, we can now retrieve bets and display them on our page.
function betsPage() {
...
getBets(id).then(function (bets) {
bets.filter(bet => bet.over).forEach(addBetToTable);
});
...
}
For every two-sided bet that occurs in the contract, two separate logs are produced, one for
the over side and one for the under side. If we displayed all of the bet logs, each bet would be
displayed twice, so we filter out just the over bets and display those. The side chosen is irrelevant;
we could just as well filter out the under bets and display those. The result would be the same.
Placing Bids/Bets
When placing a bet, the user will fill in the line and amount for their chosen side and click the
corresponding Place Bet button. Our JavaScript code will be responsible for translating that
click into a real bid placement on our deployed contract.
We will have to define a helper function that gets the current user’s wallet address in order
to do this.
function getWalletAddress () {
return new Promise(function (resolve, reject) {
// MetaMask
if (web3 && web3.eth.accounts[0]) {
var walletAddress = web3.eth.accounts[0];
}
11-ch11.indd 283 04/01/18 3:23 PM

HowTo_Generic / Blockchain: A Practical Guide to Developing Business, Law, and Technology Solutions / Bambara / 587-9 / Chapter 11
284
Blockchain
// Mist
else if (typeof mist !== 'undefined') {
mist.requestAccount(function (err, accounts) {
if (err) reject(err);
else
var walletAddress = accounts[accounts.length - 1];
})
}
resolve(walletAddress);
})
}
Getting the user’s wallet address is different based on whether we are using MetaMask or the
Mist browser. While we haven’t been testing our dapp with the Mist browser up to this point,
this function is the only one that has different implementations for the different browsers, so
we will include it in the interest of interoperability.
MetaMask exposes the wallet addresses as an array atweb3.eth.accounts. The first address
will be the one that user has currently selected for use.
The Mist browser requires you to request account permission before unlocking the address.
A pop-up, shown in Figure 11-3, will be presented to the user asking them to authorize the
application before the address can be used.
FIGURE 11-3
Mist browser request for account permission
11-ch11.indd 284 04/01/18 3:23 PM
HowTo_Generic / Blockchain: A Practical Guide to Developing Business, Law, and Technology Solutions / Bambara / 587-9 / Chapter 11
Chapter 11 Deploying the Sample Application: Blockchain and Betting
285
This function abstracts away the browser-level differences and returns a promise that
resolves with the wallet address regardless of which browser is being used.
function betPage() {
...
$("#place-bet-over, #place-bet-under").click(function (e) {
getWalletAddress().then(function (walletAddress) {
var over = e.target.id == "place-bet-over";
var side = over ? "over" : "under";
var line = parseFloat($(`#${side}-line`).val());
var amount = parseFloat($(`#${side}-amount`).val()) * 1e18;
contract.bid(id, over, line,
{ from: walletAddress, value: amount , gas: 5e5 },
function (err, tx) {
// callback code would go here
});
});
});
...
}
Within the
betPage
function, we will register an event listener that listens for both the
over and under bet placement simultaneously. The listener first retrieves the wallet address
asynchronously. It then uses the id of the event target (the clicked button) to determine
whether the over or under button was clicked and grabs the corresponding line and amount
from the inputs. The user enters their bet amount in ether, but the contract expects the bet
amount to be in wei, so we multiply by 1e18 to convert the ether amount to wei.
Once all the bid parameters are parsed and determined, we call the contract’s bid ABI
function with the parameters. The callback is left empty, but any postprocessing code (such as
UI adjustments) could go there.
Let’s test this functionality by attempting to place a bet with Chrome and MetaMask. You
should at this point be looking at a page that looks like Figure 11-4. You may have to wait a few
seconds after the page loads for the game information to populate.
Enter a line of 200 and a bet amount of 0.1 into the over inputs and place your bet. MetaMask
should display a confirmation pop-up asking you to verify the transaction; see Figure 11-5.
If the gas field is empty, enter in a value of 20 Gwei. This is the default gas price on
Ethereum. Click Accept, then open up your geth tab. You should see a log output similar to
this indicating the transaction was sent:
INFO [06-16|19:24:56] Submitted transaction
fullhash=0x786637b84ee07b4853bd3341dded3fd0b879f44b6ca2c5ed5649dc06ea2c7f87
recipient=0xe5ee3208beaa162d952d8f7f627c2df450d87837
Wait a minute or so to ensure that the transaction gets mined. Now reload the page. You should
see your bet in the bets section if it was matched, or in the open bids section if it wasn’t.
11-ch11.indd 285 04/01/18 3:23 PM

HowTo_Generic / Blockchain: A Practical Guide to Developing Business, Law, and Technology Solutions / Bambara / 587-9 / Chapter 11
286
Blockchain
FIGURE 11-4
Placing a bet
11-ch11.indd 286 04/01/18 3:23 PM

HowTo_Generic / Blockchain: A Practical Guide to Developing Business, Law, and Technology Solutions / Bambara / 587-9 / Chapter 11
Chapter 11 Deploying the Sample Application: Blockchain and Betting
287
Scoring Games
When a game is complete, we want to be able to score it and pay out bets to the winners. To
do so, we have already created a form for score inputs. The JavaScript to handle the score
submission looks like this:
$("#score-btn").click(function () {
var homeScore = parseInt($("#home-score-input").val());
var awayScore = parseInt($("#away-score-input").val());
getWalletAddress().then(function (walletAddress) {
contract.setGameResult(id, homeScore, awayScore,
{ from: walletAddress, gas: 500000 },
function (err, tx) {
// callback code goes here
});
});
});
We get the home and away scores from the inputs, use the id from the parent function, get the
wallet address, and send a transaction to the contract’s setGameResult ABI function. The
callback is again left blank, but can be filled in with code in the future.
To test game scoring, go back to the games page, then navigate over to a game that has
passed its locktime. Remember, scoring a game before it has locked will throw an error and
no state changes will occur. The Cleveland-Indiana game will be a good one since it was set to
lock 30 seconds after the contract was deployed.
FIGURE 11-5
MetaMask confirmation pop-up
11-ch11.indd 287 04/01/18 3:23 PM
HowTo_Generic / Blockchain: A Practical Guide to Developing Business, Law, and Technology Solutions / Bambara / 587-9 / Chapter 11
288
Blockchain
Enter home and away scores into the inputs (e.g., 100 and 98), then submit the score. A
MetaMask pop-up should appear again. Set the gas price if necessary, then click Accept. Wait
again for a minute, then reload the page. At the top, the final score should now be updated to
the score you entered.
Withdrawing Money
The winning side of the bet needs some way of accessing the money that belongs to them in the
contract. The withdrawal ABI function allows a user to withdraw the balance of their account.
We will be building a withdraw page to allow users to withdraw their ether. Here is the
basic HTML:
<html>
<body>
<nav>
<a href="/">Games</a>
</nav>
<h3>Withdraw</h1>
<table class="table">
<tr>
<td>My Address</td>
<td id="address"></td>
</tr>
<tr>
<td>My Balance</td>
<td>
<span id="balance"></span> ETH
<button id="withdraw">Withdraw</button>
</td>
</tr>
</table>
<script src="https://code.jquery.com/jquery-3.1.1.js"
integrity="sha256-16cdPddA6VdVInumRGo6IbivbERE8p7CQR3HzTBuELA="
crossorigin="anonymous"></script>
<script src="main.js"></script>
</body>
</html>
Outside of the standard html, body, and script tags, there is a link to the games page, a table
with rows for a user’s address and balance, and a button to allow a user to withdraw their
money. The address and balance will be injected via JavaScript.
11-ch11.indd 288 04/01/18 3:23 PM
HowTo_Generic / Blockchain: A Practical Guide to Developing Business, Law, and Technology Solutions / Bambara / 587-9 / Chapter 11
Chapter 11 Deploying the Sample Application: Blockchain and Betting
289
This time we will be following the withdraw track in our switch statement:
switch (window.location.pathname) {
case '/bet.html':
betsPage();
break;
case '/withdraw.html': // <--- The withdraw track
withdrawPage();
break;
default:
gamesPage();
}
Our withdrawPage function starts by querying for the user’s balance.
function withdrawPage () {
getWalletAddress().then(function (walletAddress) {
$("#address").html(walletAddress);
contract.balances(walletAddress, function (err, balance) {
balance = parseInt(balance) / 1e18;
$("#balance").html(balance);
});
});
...
We get the wallet address, display it on the page, then use it to call the balances ABI function.
The balances function isn’t explicitly stated in the contract, but Solidity automatically creates
getters for public state variables so it’s available. Because it’s a mapping, the default getter
requires the key to be passed in. We pass in the wallet address as the key, get the balance of the
user back, and display it on the page.
If the user has a non-zero balance, they can withdraw it by clicking the Withdraw button.
Here’s the event listener code:
$("#withdraw").click(function (e) {
getWalletAddress().then(function (walletAddress) {
contract.withdraw({ from: walletAddress, gas: 50000 },
function (err, tx) {
// callback code goes here
});
});
});
When the user clicks the Withdraw button, we get their wallet address, then use the withdraw
ABI function to withdraw the user’s balance.
You can test this out by redeploying the contract, placing multiple bets on one of the
games that expires in three minutes, then scoring the game once it locks. Once you score the
game you should see a non-zero balance on the withdraw page. Withdraw your money (accept
the MetaMask pop-up when it appears), and check your balance on MetaMask. If everything
works, it should go up!
11-ch11.indd 289 04/01/18 3:23 PM
HowTo_Generic / Blockchain: A Practical Guide to Developing Business, Law, and Technology Solutions / Bambara / 587-9 / Chapter 11
290
Blockchain
Deploying to AWS
In order for your application to be available publicly on the Internet, you will have to deploy
the application to a server. For our purposes, we will be using Amazon S3 static website
hosting to host our front end.
For the full application to work, you must first deploy your smart contract to the Ethereum
Main Net using the steps outlined in “Deploying to the Mainnet” earlier in the chapter. If you
deployed the contract earlier, then replace the contents of the contract_address file with
the address of the mainnet contract. Otherwise, the front end will attempt to access the address
of the latest test contract deployed instead of the mainnet contract that you want to access.
First, if you don’t have an account with AWS, you will have to create one at
https://aws.amazon.com. Once you have created an account, navigate over to the S3 console.
S3 is a cheap storage service for static files. We will be using its static web server functionality.
Create a new bucket in the console, and give it a name. In the setup dialog, in the Set
Permissions > Manage Public Permissions section, select the “Grant public read access to this
bucket” option. This will allow the outside world to access our files.
Once you’ve created the bucket, click on the bucket in the main S3 console and upload the
following files to the bucket:
•
bin/peerbet.sol:PeerBet.abi
•
contract_address
•
index.html
•
withdraw.html
•
bet.html
•
main.js
These are the files that are required to run just the front end of our site. The back-end
smart contract should already be deployed to the Ethereum Main Net, so the back-end and test
files will not be required on the static host.
Next, go to the Properties section and click on Static Website Hosting and enable it by
selecting “Use this bucket to host a website.” Use index.html for the Index Page, then save the
settings. Your static website is now enabled.
To view the site, click back on the Static Website Hosting section and go to the URL
provided in the settings. For the site to work, MetaMask must be connected to the main
network, so go to the MetaMask network settings and select the Ethereum Main Net. Once
you have done so, the website should be visible and connected.
Summary
If you have read, understood, and tried some of the code in this chapter you can now write
new scripts to deploy and test your own contracts. You can create a contract, and you can
create a front end to interact with the contract.
11-ch11.indd 290 04/01/18 3:23 PM
291
HowTo_Generic / Blockchain: A Practical Guide to Developing Business, Law, and Technology Solutions / Bambara / 587-9 / Index
Index
A
ABI (application binary interface)
deploying sample betting application, 267–268,
272–274, 284–290
fast-track application tutorial, 136–137, 141
public functions listed on, 93–94
sample betting application, 240, 242, 244, 247–248
access, smart property and, 42–44
accessor functions, Solidity, 137
accounts, Ethereum, 105–110
addBetToTable helper function, 283
addBidToTable helper function, 282
addGameToTable helper function, 275
ADP (Automatic Data Processing), 7
AlphaPoint Distributed Ledger Platform, private
blockchain, 176–177
Amdahl’s law, 230
American Revolution, Byzantine Generals Problem,
10–11
ANJ (Aragon Network Jurisdiction), DAO, 97–99
architecture
INFURA, 120–122
Web 3.0 technology stack, 72–73
Whisper layered, 71
Arizona Electronic Transactions Act (AETA), 86–88
ARPANET, 1970s, 55–56
Asor, Ohad, 68–69
asset management settlement use case, 38–39
asset ownership, Openchain, 214
automated testing, smart contracts, 171
Automatic Data Processing (ADP), 7
AWS (Amazon Web Services), deploying application
to, 290
B
b-money (Wei Dai), 15
BaaS (Blockchain-as-a-Service), cloud platform, 13
bandwidth, Web 2.0, 57
Base58 encoded hash, IPFS objects as, 61
Berners-Lee, Tim, 57–58
best practices. See Ethereum application best practices
bets. See sample betting application; sample betting
application deployment
BFT-SMaRt consensus protocol, Symbiont Assembly
private blockchain, 215
BGL (block gas limit), 156–157, 235, 240, 242
BGP (Byzantine Generals Problem), 8–11
bids. See sample betting application; sample betting
application deployment
Bitcoin (BTC)
blocksize and SegWit, 18–19
blocksize governance challenges, 218–220
bugs in core code, 221–222
Byzantine fault tolerance and, 10
designing, 11–13
incapable of hosting dapps, 233–234
as legal tender, 76–79
and merkle root, 19–20
and merkle trees, 21–22
mining, 17–18
overview of, 16
scripting, 22
and secure hashing, 20–21
state transition, 16–17
Bitcoin Cash, 220
Bitfury, 28
Bitland initiative, 82
BitLicense, Ripple, 22
Bitmessage, 70
BitTorrent Sync, 70
block gas limit (BGL), 156–157, 235, 240, 242
blockchain
business use cases. See business use cases
Byzantine Generals Problem vs., 9
categories of, 174–175
challenges. See challenges, blockchain;
technicalchallenges
12-Index.indd 291 04/01/18 3:23 PM
292
Index
HowTo_Generic / Blockchain: A Practical Guide to Developing Business, Law, and Technology Solutions / Bambara / 587-9 / Index
blockchain (cont.)
changing legal landscape, 76–79
defined, 1
fast tracking smart contract. See Ethereum, fast
track application tutorial
legal ramifications of records, 81–82
mining in Ethereum, 107–108
model for IPFS, 62–63
obviating most evidentiary issues, 75
privacy laws and, 79–81
private. See private blockchain; private blockchain
technology
sample application. See sample betting application
technologies, 147
technology use cases. See technology use cases
Blockchain Alliance, 30
Blockchain-as-a-Service (BaaS), cloud platform, 13
blockchain, introduction
Bitcoin. See Bitcoin (BTC)
in cloud computing, 32
collaborative implementations, 24–26
DAOs, 31–32
decentralized file storage, 30–31
Ethereum, 23–24
in financial technology space, 27
in gambling and betting, 32
and identity, 28–29
implementations, 15
as information technology, 6–8
Namecoin, 22
overview of, 1–6
and practice of law, 29–30
in real estate, 28
Ripple, 22–23
Satoshi Nakamoto breakthrough, 11–13
in sharing economy, 27–28
trust, Byzantine Generals Problem, 8–11
types of, 13–15
Blockchain Revolution (Tapscott), 29
blocks
Bitcoin fields for, 17–18
contract debugging and interaction, 244
Ethereum, 115
properties for Solidity, 132
public blockchain transaction flow, 1–2
blocksize, and Bitcoin, 18–19, 218–220
browser, running Ethereum dapps in, 138–139
BTC. See Bitcoin (BTC)
bugs, smart contract, 221–228
business use cases
currency and tokens, 33–35
digital tokens, 36–37
financial services. See financial services use cases
IoT protocol projects, 52–53
smart contracts, 46–52
C
Cakeshop, Quorum networks, 214
callable oracles, 153–154
callback, sample contract deployment, 243
cancelOpenBids private helper function, 252–253
categories, blockchain, 174–175
Cello, Hyperledger, 195
central intermediaries, removing in Web 3.0, 57
centralization bias, 108–109
centralization, Ethereum and, 110
centralized applications, dapps (decentralized
applications) vs., 104
CFTC (Commodity Futures Trading Commission), 77
Chain Core, private blockchain, 177
challenges, blockchain
governance, 218–221
overview of, 217–218
technical. See technical challenges
Chaumian blinding cryptography, 15
cloud computing
blockchain and, 32
Ethereum Virtual Machine as, 147
rise of, 55
Swarm storage system, 64
trust issues with U.S., 56
Code and Other Laws of Cyberspace (Lessig), 76
code execution, EVM, 117–118, 147
"Code is law," and blockchain, 76
coding limitations, smart contract legal issues, 87
Codius platform, Ripple, 171
collaborative implementations, blockchain, 24–26
collateral, using smart property as, 45–46
commodity, Bitcoin in U.S. deemed as, 77
communication
decentralized, 69–72
Ethereum using Whisper for, 120
compilers, Remix/browser Solidity, 140
components
Ethereum transaction, 110–111
smart contract, 83–84
Composer, Hyperledger, 195–196
concurrency, distributed computation systems, 66
confidential group communication, 69–72
consensus
Bitcoin mining, 17–18
Bitcoin state transition, 16–17
consortium blockchain and, 173
private blockchain and, 173, 175
solving trust problem, 48
consortium blockchain, 14, 174
constructor arguments, Solidity, 136–137
content addressing, IPFS nodes, 60
contract accounts, Ethereum, 105
contract addresses, handling persistent, 160–162
contract function, 138
12-Index.indd 292 04/01/18 3:23 PM
Index
293
HowTo_Generic / Blockchain: A Practical Guide to Developing Business, Law, and Technology Solutions / Bambara / 587-9 / Index
contract-related functions, Solidity, 136
control and flow statements, Solidity, 127–128
control, smart property and, 42, 45–46
Corda, 25–26, 177
core code, bugs in Bitcoin, 221–222
CPA (cost per action/cost per acquisition), smart
contract design, 88–96
CPC (cost per click), smart contract design, 88–96
createGame() function, 249–250, 268
cross-shard communication, technical challenges, 229
cryptocurrencies
blockchain as underpinning of Bitcoin, 13
definition of, 33–34
explosion of, 34
as legal tender, 76–79
role in replacing real cash, 34–35
and tokens, 33–35
top ten, 35
why blockchain works for, 33
cryptography
blockchain information technology, 6
blockchain using, 4–5
NSA deliberately weakening for spying, 56
Quorum use of, 214
Solidity and, 134–135
currency
Bitcoin advantages over fiat, 12
business use cases, 33–35
current state, Ethereum accounts in, 105
cycle time, smart contracts for faster, 40
D
DAO (decentralized autonomous organization)
blockchain in, 31–32
compliance with federal services regulation, 100
data as property and, 100
defined, 96
digital tokens, 104
and due diligence, 101
Ethereum fork and, 220
examples of, 96
and exiting contracts, 100
and intellectual property, 99–100
and jurisdiction, 97–99
legal issues, 96–97
liability, 99
overview of, 123–124
who/what is responsible and, 100
DAO hack, 220–224
dapp (decentralized application)
blockchain technology for, 148
create blockchain betting. See sample betting
application
digital tokens for, 104
profile of Ethereum, 122–123
running in browser, 138–140
smart contracts implemented as,
104, 164
Swarm, 63
understanding, 233–234
Whisper use cases, 71
data
Know Your Customer use case, 37–38
layout of blockchain, 3–5
seeding in contract deployment, 266–271
data breaches
DAO legal issues, 96, 99
Web 2.0 issues, 57
data structures, 92–93, 245–247
data types/related functions, Solidity, 128–131
Date type, 138
DBM (decentralized business model), digital currency
startups, 36
DCO (derivatives clearing organization) license, 77
debugging, smart contracts, 164–165
decentralized applications, using Ethereum, 122–123
decentralized autonomous organization. See DAO
(decentralized autonomous organization)
decentralized communications, 69–72
decentralized digital currency. See also Bitcoin (BTC), 15
decentralized file storage, 30–31, 148
decentralized logic, smart contracts, 148
decentralized messaging, Whisper for, 148
decentralized name registration database, Namecoin, 22
“A Declaration of the Independence of Cyberspace”
(Barlow), 55
Delaware, blockchain legislation, 81, 86
delegatecall, 169–170
denial-of-service. See DoS (denial-of-service) attacks
deployment
Monax tutorial, 202–212
sample application. See sample betting
application deployment
smart contracts, 85, 240–243
derivatives clearing organization (DCO) license, 77
development environment, set up for blockchain
betting dapp, 235
DGCL (Delaware General Corporation Law), 81
DHT (distributed hash table)
IPFS, 59, 63
Telehash, 70
digital currency startups, 36
digital fingerprint. See hashing (digital fingerprint)
digital signatures, 19, 87–88
digital tokens. See tokens
digitized passports, privacy protection, 79
directed acyclic graph (Merkle DAG), IPFS,
60–61, 177
directory structure
IPFS, 62
Truffle, 146
12-Index.indd 293 04/01/18 3:23 PM
294
Index
HowTo_Generic / Blockchain: A Practical Guide to Developing Business, Law, and Technology Solutions / Bambara / 587-9 / Index
distributed computation, 2, 6–7, 66
distributed hash table. See DHT (distributed hash table)
distributed storage systems
InterPlanetary File System (IPFS), 59–62
overview of, 59
Storj, 64–65
Swarm, 62–64
DLT (distributed ledger technology)
blockchain details, 48–49
Corda as, 25–26
Hyperledger Fabric as, 24–25
legal ramifications of blockchain records, 81–82
potential of, 6
Ripple as advanced, 22–23
solving trust problem using, 48
Domus Tower, private blockchain, 177–178
DoS (denial-of-service) attacks
Bitcoin blocksize debate and, 218
blockchain technical challenges, 222–223
in Ethereum transactions, 111
IoT projects vulnerable to, 52
smart contract challenges, 171
Swarm resistance to, 64
VPN vulnerability to, 69
web 2.0 vulnerability to, 57
doSomething function, proxy contracts, 161–162
dry run using private nets, smart contracts, 167–169
due diligence, DAO and, 101
dynamically sized array types, layout of storage, 137–138
E
e-discovery software, litigation discovery, 75
ECPA (Electronic Communications Privacy Act
of1986), 55
electricity, sharing economy for, 28
Elements project, private blockchain technology, 178
encryption
Bitmessage, 70
Storj files, 65–66
enforceability, smart contract legal challenges, 86
Enigma cloud platform, 31
ENS (Ethereum Name Service) contract, bugs, 224–227
enterprise applications, smart contracts in, 164
EOAs (externally owned accounts), Ethereum, 105
EOS Project, 171
ERC20 token standard, Ethereum, 36
ether (ETH)
the cryptocurrency, 105–107
deploying to mainnet by obtaining, 266
as Ethereum tokens, 104
network fuel (gas) in Ethereum transactions, 111
Ethereum
blockchain development. See Truffle
blockchain support for Turing complete, 234
denial-of-service attacks on, 222–223
digital tokens, 36
Golem using transactions of, 67–68
governance challenges, 220–221
for smart contracts, 23–24
Swarm deep integration with, 62–64
Web 2.0 technology vs., 58
Whisper as part of, 70–72, 120, 148
Ethereum application best practices
autopsy of wallet bug, 169–170
blockchain development. See Ethereum
blockchain development
debugging smart contract, 164–165
future and, 171–172
smart contract design, 154–162
smart contract interaction, 164
smart contract life cycle/migration, 163–164
smart contract validation, 165–169
Ethereum blockchain development
best practices, 146–147
blockchain technologies, 147
calling contracts from contracts, 149–150
handling events, 151–154
setting up environment for Truffle, 145–146
Solidity basics continued, 148–149
Ethereum Classic (ETC), 220
Ethereum, fast track application tutorial
developing simple smart contract, 140–143
overview of, 125
running dapps in browser, 138–140
Solidity basics, 126–127
Solidity block/transaction properties, 132
Solidity control/flow statements, 127–128
Solidity data types, 128–131
Solidity functions/parameters, 134–137
Solidity order of operation, 133
Solidity storage layout, 137–138
Solidity visibility specifiers, 131
Ethereum Foundation, 103
Ethereum Name Service (ENS) contract, bugs,
224–227
Ethereum technology
accounts, 105–110
Bitcoin vs., 103–104
block, 115
code execution, 117–118
decentralized applications, 122–123
decentralized autonomous organizations, 123–124
ether the cryptocurrency, 105–106
infrastructure, storage and communication, 120
INFURA, 120–122
messages, 111, 114–115
mining, 107–110
network fuel (gas), 111
obtaining ether, 106–107
scalability, 119–120
state transition function, 116–117
12-Index.indd 294 04/01/18 3:23 PM
Index
295
HowTo_Generic / Blockchain: A Practical Guide to Developing Business, Law, and Technology Solutions / Bambara / 587-9 / Index
transactions, 110–111
Turing complete, 118–119
Ethereum Wallet, 139
events
debugging smart contracts using, 165
defining smart contract, 93
handling EVM, 151–154
sample betting application, 248
TransferOwnership, 149–150
evidence
blockchain data as, 75–76, 87–88
blockchain ledgers/systems as, 81
digital signatures as, 87–88
EVM (Ethereum Virtual Machine)
calling contracts from contracts, 149–150
denial-of-service attacks on, 222–223
halting contracts, 162
handling events, 151–154
Hyperledger Burrow as, 24–25
other blockchain technologies, 148
Solidity basics for, 148–149
understanding, 147
evolution, smart contract, 83–84
Explorer, Hyperleger, 196–197
external functions, Solidity, 131
externally owned accounts (EOAs), Ethereum, 105
F
Fabric, Hyperledger, 24–25, 180–194
Factom/Epigraph, 28
fast track application tutorial. See Ethereum, fast track
application tutorial
fat clients, 56
fault tolerance
Byzantine, 2, 10–11
distributed computation systems, 66
Federal E-Sign Act, 87–88
Federal Rules of Criminal Procedure, Rule 41, 80
fees
mining in Ethereum using protection of, 109
smart contracts reducing, 41
fiat currencies, Bitcoin vs., 12
fields
Ethereum account, 105
Ethereum block, 115
Ethereum message, 114–115
Ethereum transaction, 110–111
IPFS objects, 60–61
fields, Bitcoin block, 17–18
file storage
blockchain decentralized, 30
Ethereum using Swarm for, 120
Filecoin, Swarm vs., 64
final state, Ethereum, 105
financial crisis of 2008, emergence of Bitcoin, 12
financial services
blockchain implementation trends, 7
blockchain technology in, 27
DAO compliance with regulations, 100
private blockchains in, 173
financial services use cases
asset management settlement, 38–39
global payments, 41–42
insurance claims processing, 38–40
Know Your Customer, 37–38
smart property, 42–43
trade finance, 40–41
transferring ownership of smart property,
43–44
using smart property as collateral, 45–46
flow statements, Solidity, 127–128
fog computing, 67
for statement, Solidity, 128
forking Bitcoin, 220
fraud, reducing, 40, 42
front-end user interface, deploying sample application,
271–280
functional tests, smart contract validation, 165
functions
creating game, sample betting application,
249–250
debugging smart contract, 164
defining smart contract, 92–95
handling events, 152
sample betting application, 250–259
Solidity parameters and, 134–137
Solidity visibility specifiers, 131
G
gambling, on blockchain, 32, 234–235
game. See sample betting application; sample betting
application deployment
GameCreated event, 274–275
game_id, 251
GameScored event, 274–275
Garzick, Jeff, 221
gas
concept in EVM, 149–150
contract deployment, 242
Ethereum transactions, 111–114
single contract design, 156
testing smart contract, 167
gasPrice
concept in EVM, 149–150
contract debugging/interaction, 245
contract deployment, 242–243
Ethereum transactions, 111–114
Gaza Strip, blockchain land registry system, 82
GDPR (General Data Protection Regulation), EU,
79–80
12-Index.indd 295 04/01/18 3:23 PM
296
Index
HowTo_Generic / Blockchain: A Practical Guide to Developing Business, Law, and Technology Solutions / Bambara / 587-9 / Index
getActiveGames function, 273
getGameById helper function, 251–252, 254
getGames function, 274–275, 280
Geth (Go Ethereum) command line client
application development environment, 235
deployment to mainnet, 266
DoS attacks on Ethereum and, 223
dry run using private nets, 167–169
getOpenBids contract function, 281–282
getTransactionReceipt(tx), 138, 245
GHOST (Greedy Heaviest Observed SubTree)
protocol, 108–109
Git, Truffle development environment set up, 145
GitHub site, 126
global payments use case, financial services, 41–42
GNT (Golem Network Tokens), 68
Golem supercomputer, 67–68
Google Maps, immigration case, 81
governance
blockchain challenges, 218–221
DAO and jurisdiction, 97–99
law firms weak in information, 76
as risk of smart contracts, 85
use cases. See legal and governance use cases
Greek debt crisis, 12
H
Haiti, blockchain land registry system, 82
halting contracts, best practices, 162–163
halting problem, Ethereum Turing completeness and,
117–118
Hashcash puzzles, 15
hashing (digital fingerprint)
Bitcoin and Merkle tree, 19–20
Bitcoin and secure, 20–21
IPFS, 60–61
Health Insurance Portability and Accountability Act of
1996 (HIPAA/HITECH), and blockchain, 79
Hearn, Mike, 218–219
Hero of Alexandria, vending machine, 82–83
HIPAA/HITECH (Health Insurance Portability and
Accountability Act of 1996), and blockchain, 79
HitPath. See smart contract design example
HydraChain, private blockchain technology, 179
Hyperledger frameworks
blockchain collaborative implementation, 24–25
blockchain support for Turing complete, 234
Hyperledger Burrow, 24–25
Hyperledger Cello, 195
Hyperledger Composer, 195–196
Hyperledger Explorer, 196–197
Hyperledger Fabric, 24–25, 180
Hyperledger Fabric tutorial, 180–194
Hyperledger Iroha, 25, 194
Hyperledger Sawtooth, 24–25, 195
overview of, 179–180
private blockchain technology, 179
reference architecture, 25
I
ICO (initial coin offering), 36, 156–157
identity
blockchain and, 28–29
Know Your Customer use case, 37–38
transferring smart property ownership, 43–44
if-then-else statement, Solidity, 127
illegal monetary transactions, and Bitcoin, 78, 79
implementations, blockchain
Bitcoin. See Bitcoin (BTC)
collaborative, 24–26
Ethereum, 23–24
Namecoin, 22
Ripple, 22–23
trends, 7–8
incentive system, Swarm, 64
index.html, 271–276
information technology, blockchain, 7–8
infrastructure, Ethereum, 120
INFURA, 120–122, 138
inherited functions, Solidity, 131
init helper function, wallet bug, 170
initial coin offering (ICO), 36, 156–157
initialization, Monax tutorial, 198
initWallet, wallet bug, 169–170
input element, Bitcoin transactions, 19
insurance claims processing use case, 38–40
Interbit, private blockchain technology, 197
interface
front-end user, 271–276
smart contract design, 154
intermediate layer(s), overcoming scalability, 228
internal functions, Solidity, 131
Internet, Web 1.0 and Web 2.0, 56–57
interoperability, smart contract challenges, 85
IoT (Internet of Things), 24–25, 52–53
IOTA project, future of smart contracts, 171
IP (intellectual property), DAO and, 99–100
IPFS (InterPlanetary File System)
blockchain decentralized file storage, 30
as distributed storage system, 59–62
IPNS, IPFS naming system, 60
Iroha, Hyperledger, 25, 194
IRS, 77–78
J
Jaguar supercomputer, 67
JUMP instruction, Ethereum Turing completeness, 118
JUMPI instruction, Ethereum Turing completeness, 118
12-Index.indd 296 04/01/18 3:23 PM
Index
297
HowTo_Generic / Blockchain: A Practical Guide to Developing Business, Law, and Technology Solutions / Bambara / 587-9 / Index
jurisdiction
DAO and, 97–99
smart contract legal challenges, 86–87
K
kill function
contract debugging and interaction, 244
creating killable contract, 238–239
killable contract, code, 238–239
Kraken supercomputer, 67
KYC (Know Your Customer)
banking regulations require banks to, 28–29
financial services use case, 37–38
L
land registry system, blockchain, 82
large files, IPFS, 62
law
blockchain and practice of, 29–30
blockchain development challenges, 217
Electronic Communications Privacy Act of
1986,55
lawyers, blockchain changing operations of, 74–76
layout, storage, 137–138
La`Zooz, 27–28
ledger of transactions
blockchain as distributed, 2
blockchain information technology, 6–8
public banking systems vs. Bitcoin, 12
legal and governance use cases
beginning of autonomous law. See smart contracts
blockchain and privacy laws, 79–81
blockchain changing legal landscape, 76
blockchain development challenges, 217
cryptocurrencies as legal tender, 76–79
DAOs, 96–101
overview of, 75–76
ramifications of blockchain records, 81–82
legal challenges
DAO, 96
smart contracts, 85–87
liability
DAO and, 96, 99
smart contracts and, 87
libraries, sample contract deployment, 241
life cycle
blockchain development, 7
smart contract migration, 163–164
smart contract validation, 165
Lightning Network (for Bitcoin), 228
link fields, IPFS objects, 60–61
linked contracts, 156–157, 160
locktimes, contract deployment, 267, 268
log function, proxy contracts, 160–161
logs
events, sample betting application, 248
retrieving bets from blockchain, 282–283
looping, 117–118, 167
lotteries, on blockchain, 234–235
M
mainnet, deploying to, 266, 290
majority voting, conensus in Quorum, 214
mapping, layout of storage, 137–138
memory, EVM code execution, 117
Merkle DAG (directed acyclic graph), 60–61, 177
Merkle tree
Bitcoin and, 19–20
for long-term sustainability, 21–22
Patricia tree combined with, 108
messages, 111–114
MetaMask
betting application user interface, 272–273, 276
deploying sample betting application to AWS, 290
developing contract, 139–140
development environment, sample betting
dapp, 235
installing, 139
placing bets in betting application, 284–287
using browser for decentralized web via, 138
migration, smart contract life cycle, 163–164
mining
Bitcoin, 17–18
in Ethereum, 107–110, 221
pools, attacks against Bitcoin, 78
as validation/verification/committing process, 34
Mist browser, 235, 284
MLATs (Mutual Legal Assistance Treaties), 79–80
modules, smart contract design best practices, 154
Monax, private blockchain technology, 197–213
monetary policy, Bitcoin, 77
money laundering, 78–79
money transfers, Ripple for, 23
money, using blockchain for, 5
MongoDB, bugs in Bitcoin core code, 222
MultiChain, private blockchain technology, 213
Mutual Legal Assistance Treaties (MLATs), 79–80
N
Nakamoto, Satoshi, 11–13, 16, 218
name registration database, Namecoin as
decentralized, 22
Namecoin, 22
National Security Agency (NSA), wiretaps on user data,
55–56
Nebulae supercomputer, 67
negotiation rights, smart property, 42–43
Netflix, 40 percent of all Internet traffic, 55
12-Index.indd 297 04/01/18 3:23 PM
298
Index
HowTo_Generic / Blockchain: A Practical Guide to Developing Business, Law, and Technology Solutions / Bambara / 587-9 / Index
Nethereum package monitoring, EVM events, 151–152
Netscape browser, Web 1.0, 56
network fuel (gas), Ethereum transactions, 111–114
network-of-blockchain solutions, scalability challenges,
228–229
NodeJS, 145, 152, 235
nodes
Bitcoin and Merkle tree, 19–20
IPFS, 59–60
scalability of Ethereum platform, 119–120
syncing Ethereum, sample betting dapp, 235–236
nonce (random number)
Ethereum transactions, 111
transferring ownership for smart property, 43–44
normal accounts, Ethereum, 105
normal life cycle flow tests, smart contract validation, 165
notHalted modifier, halting contracts, 162
NPM package, 235, 243–245
NSA (National Security Agency), wiretaps on user data,
55–56
O
ObjectTech, 79–81
Onename, 28
The Onion Router (TOR), 70, 80–81
open source revolution, blockchain vs., 7–8
Openchain, private blockchain technology, 214
OpenZeppelin module, smart contract design, 154
operations
blockchain has only two, 1
order of Solidity, 132–133
oracles (data providers), 38, 153–154
output element, Bitcoin transactions, 19
overflow attacks, smart contract validation, 166
Ownable pattern, 148–149, 155
ownership
DAO legal issues, 96
legal ramifications of blockchain records, 81–82
smart property and, 42–46
Solidity best practices for Ethereum, 148–149
P
p2p (peer-to-peer) technology
Bitcoin/Ethereum and, 56
defined, 4
emergence of Bitcoin, 12
lodging sites, 28
public blockchain as, 4
swarm, IPFS content addressing, 60
pages, front-end user interface, 271
parameters, game, 250
Parity, 167–170
parseBids helper function, 269–270, 281–282
passwords
contract debugging/interaction, 244
no central authority managing in blockchain, 4
sample contract deployment, 242–243
seeding data in contract deployment, 269
Patricia tree, 108, 253
payable functions, sample betting application, 249
payments infrastructure, Stellar, 215
payouts, betting sample application, 259–260
PC (personal-computer) revolution, 55
performance, smart contracts and, 85
persistence, Swarm for, 120
persistent contract addresses, best practices, 160–162
Place Bet button, 283–284
Pneumatika (Hero of Alexandria), vending machine, 83
POE (“proof of existence”), and blockchain, 29
Poloniex, Ethereum DAO fork and, 220
portability, 197
PoS (proof-of-stake) mining algorithm, 16, 120, 221
post-genesis block, ether (ETH) issuance model,
106–107
PoW (proof-of-work)
emergence of Bitcoin, 12
Ethereum scalability and, 120
HydraChain and, 179
overview of, 16
PPSS (private peer sampling service), Whisper, 72
privacy
driving blockchain design, 217
future of smart contracts for absolute, 171
Interbit private blockchain technology, 197
laws, and blockchain, 79–81
private blockchain advantages, 175
private blockchain
creating/configuring for development, 237–238
overview of, 14–15, 173–176
private blockchain technology
AlphaPoint Distributed Ledger Platform,
176–177
Chain Core, 177
Corda, 177
Domus Tower, 177–178
Elements Core, 178
HydraChain, 179
Hyperledger, 179
Hyperledger Fabric tutorial, 180–194
Hyperledger frameworks, 179–180
Hyperledger Iroha, 194
Hyperledger Sawtooth, 195
Hyperledger tools, 195–197
Interbit, 197
Monax, 197–198
Monax tutorial, 198–213
MultiChain, 213
12-Index.indd 298 04/01/18 3:23 PM
Index
299
HowTo_Generic / Blockchain: A Practical Guide to Developing Business, Law, and Technology Solutions / Bambara / 587-9 / Index
Openchain, 214
Quorum, 214
Stellar, 215
Symbiont Assembly, 215
private functions, Solidity, 131
private key, cryptography, 4–5
private peer sampling service (PPSS), Whisper, 72
promises, 272–274
“proof of existence” (POE), and blockchain, 29
proof-of-stake (PoS) mining algorithm, 16, 120, 221
proof-of-work. See POW (proof-of-work)
properties, Solidity block/transaction, 132
property
DAO data as, 100
virtual currencies taxed as, 77
Provenance, 29
proxy contracts, 160–162
public blockchain
comparing blockchains, 14–15
defined, 174
overview of, 13
scalability challenge of, 228
transaction flow, 1–2
what is different about, 3–4
public functions, 131, 248–250
public key cryptography, 60, 70
Q
Qm, all hashes begin with, 61
Quorum, private blockchain technology, 214
R
Raiden Network, 171, 228
random sampling, blockchain security, 231–232
read permission, private blockchain use cases, 175
reading, sample betting application, 261–263, 266
real cash, cryptocurrencies replacing, 34–35
real estate, blockchain and, 28
recording transactions, and scalability, 228
records, legal ramifications of blockchain, 81–82
recursive calls, 117, 166–167
reentrancy exploit, 166–167
registration, Monax tutorial, 198
regulations
challenges of blockchain development, 217
DAO compliance with financial services, 100
reinjection vulnerability, DAO hack, 223
Remix Solidity IDE, 140, 164
Republic of Georgia, blockchain land registry, 82
resource sharing, distributed computation systems, 66
responsibility, liability of DAOs, 100
"right to be forgotten" laws, European privacy laws, 79
Ripple (XRP), 22–23, 42, 171
risk
DAO liability for, 99
legal contract, 5–6
smart contract, 85
Ropsten test network, 130
S
S3 console, deploying sample application to AWS, 290
sample betting application
bidding, 250–259
compiling contract, 240
contract debugging/interaction, 243–246
creating/configuring private development chain,
237–238
creating game, 249–250
creating killable contract, 238–239
defining data structures, 246–247
deploying contract, 240–243
deployment. See sample betting application
deployment
development environment set up, 236
enumerables, 247
events, 248
lotteries/betting/gambling, 234–235
overview of, 233, 248–249
reading bids, 261–263
reading games, 261
scoring games and payouts, 259–260
storage variables, 247–248
syncing Ethereum Node, 236–237
understanding dapp, 233–234
withdrawing, 260–261
sample betting application deployment
bet page markup, 277–280
deploying full contract, 265–266
deploying to AWS, 290
deploying to mainnet, 266
displaying bets, 282–283
displaying game information, 280
displaying open bids, 281–282
front-end user interface, 271–276
placing bids/bets, 283–287
scoring games, 287–288
seeding data, 266–271
withdrawing money, 288–289
Sawtooth, Hyperledger, 24–25, 195
scalability
Bitcoin/Merkle tree and, 21–22
blockchain challenges, 228–229
distributed computation systems and, 66
Ethereum challenges, 119–120, 221
Interbit private blockchain technology and, 197
SegWit improving Bitcoin, 19
12-Index.indd 299 04/01/18 3:23 PM
300
Index
HowTo_Generic / Blockchain: A Practical Guide to Developing Business, Law, and Technology Solutions / Bambara / 587-9 / Index
scalability (cont.)
smart contract challenges, 85, 171
Web 2.0 issues, 57
schema, Bitcoin blockchain, 17–18
scoring games, 259–260, 279–280, 287–288
SCP (Stellar Consensus Protocol), 215
scripting
Bitcoin, 22
contract debugging/interaction, 243–245
seeding data in contract deployment, 266–271
SDLC (software development life cycle), and separate
ledgers, 173
SEC (Securities and Exchange Commission), sale of
DAO tokens, 96–97
second-layer solutions, scalability, 228
secure hash algorithm (SHA), 19–21
secure hashing, and Bitcoin, 20–21
Securities and Exchange Commission (SEC), and DAO
tokens, 96–97
Securities and Exchange Commission (SEC) v. W. J. Howey
Co (1946), 36–37
security
blockchain design driven by, 217
bugs in core code, 221–222
cryptography for, 4–5
DAO and jurisdiction, 97–99
denial-of-service attacks and, 222–223
distributed computation systems, 66
issues on VPN gateways, 69–70
smart contract, 84, 155–156, 223–228
Storj advantages, 65–66
via random sampling, 231–232
Web 2.0 issues, 57
seeding data, contract deployment, 266–271
SegWit (Segregated Witness), 18–19, 178
self-sovereign identity, digitized passports, 79
selfdestruct function, killable contracts, 239
semantic Web, Web 3.0, 57–59
server monitor, as oracle, 153–154
service-level liability, DAO, 99
setGameResult function, 287–288
SHA (secure hash algorithm), 19–21
ShapeShift.io, 29
sharding
blockchain challenges, 229–231
Ethereum challenges to allow, 221
storing encrypted Storj files, 65–66
sharing economy, blockchain in, 27–28
simplified payment verification (SPV) nodes, Ethereum
scalability, 120
single contract design
difficulting of managing, 156
linked contracts vs., 156–157
small files, IPFS, 61–62
smart contract design, best practices
halting contracts, 162–163
handling persistent contract addresses, 160–162
linked contracts, 156–157
modules and interfaces, 154
security and roles, 155–156
single contract design, 156
user-specific contracts, 158–160
smart contract design example
defining data structures, 92–93
events, 93
functions, 93–95
overview of, 88–89
in practice, 95–96
using blockchain for advertiser payment
application, 89–92
smart contract mediator (SCM), 29
smart contracts
blockchain and practice of law, 29–30
blockchain details, 48–49
blockchain for decentralized logic, 148
DAO and. See DAO (decentralized autonomous
organization)
defined, 6
deploying to test chain. See sample betting
application deployment
deployment, 141–142
developing simple, 140–141
development steps for writing. See sample betting
application
in Ethereum, 103, 104
example of, 50–52
fast-tracking to Ethereum blockchain.
SeeEthereum, fast track application tutorial
insurance claim processing use case, 39–40
monitoring changes with events, 151
sample application. See sample betting application
security, 223–224
smart property extending, 42–46
trade finance (supply chain) use case, 40–41
trust problem with, 46–48
using Ethereum for, 23–24
validating, 142–143
smart contracts, best practices
debugging, 164–165
interaction with uses/enterprise applications, 164
life cycle/migration, 163–164
validation, 165–169
smart contracts, legal use cases
as beginning of autonomous law, 82–83
benefits of, 84
blockchain as evidence/digital signatures, 87–88
12-Index.indd 300 04/01/18 3:23 PM
Index
301
HowTo_Generic / Blockchain: A Practical Guide to Developing Business, Law, and Technology Solutions / Bambara / 587-9 / Index
challenges of, 85
components, 83–84
design example, 88–95
evolution of, 83–84
legal challenges of, 85–87
in practice, 95–96
risks of, 85
smart property, 42–46
Snowden, Edward, 55
Society for Worldwide Interbank Financial
Telecommunication (SWIFT), 28–29
software development life cycle (SDLC), and separate
ledgers, 173
Solidity compiler, sample betting application,
234–236, 240
Solidity events, 93, 248
Solidity programming language
basics, 126–127
block and transaction properties, 132
contract debugging and interaction, 244
control and flow statements, 127–128
creating killable contract, 238–239
data types, 128–131
defining data structures, 245–247
Ethereum application best practices, 148–149
functions and parameters, 134–137
order of operation, 133
storage layout, 137–138
visibility specifiers, 131
writing smart contracts with, 125
spacecraft, 10
SpaceX Dragon flight system, 10
Split DAO() function, DAO hack, 223–224
SPV (simplified payment verification) nodes,
Ethereum scalability, 120
stack, EVM code execution, 117
stack structure, bids, 254–259
stale blocks, using GHOST for, 108–109
state channels, scalability, 228
state, Ethereum and, 105, 107–108
state transition function (STF), Ethereum, 116–117
state transition system, Bitcoin, 16–18
Stellar Consensus Protocol (SCP), 215
Stellar, private blockchain technology, 215
STF (state transition function), Ethereum, 116–117
storage
distributed. See distributed storage systems
Ethereum technology for, 120
EVM code execution, 117
layout in Ethereum, 137–138
variables, sample betting application, 247–248
Storj, distributed storage system, 65–66
supercomputers, 67–69
Swarm, 62–64, 120, 148
SWIFT (Society for Worldwide Interbank Financial
Telecommunication), 28–29
Sybil attacks, proof-of-work preventing, 16
Symbiont Assembly, private blockchain technology, 215
Szabo, Nick, 82
T
taxation, virtual currencies and, 77–78
technical challenges
bugs in core code, 221–222
denial-of-service attacks, 222–223
scalability, 228–229
security in smart contracts, 223–228
sharding, 229–231
technology
Ethereum. See Ethereum technology
information, 6–8
technology use cases
decentralized communications, 69–72
distributed computation, 66
distributed storage systems. See distributed
storage systems
Golem, 67–68
overview of, 55–56
Web 1.0 and 2.0, 56–57
Web 3.0, 57–59
Web 3.0 technology stack, 72–73
Zennet, 68–69
Telehash, 70
testing
full contract, 265–266
Monax tutorial, 202–212
sample appliction deployment, 285–288
smart contract validation, 165–169
smart contracts lagging in automated, 171
TestRPC, Truffle development environment set up, 146
“The Truth About Blockchain,” (Iansiti/Lakhani), 101
third parties, 8, 35
throw keyword, 252
time, global blockchain payment technologies and, 41
timestamps, transaction, 12
title searching, blockchain and real estate, 28
tokens
Ethereum using ether, 104
Golem Network Tokens, 68
legal issues on sale of DAO, 96–97
overview of, 36–37
why blockchain works for, 33
tools, Hyperledger, 195–197
TOR (The Onion Router), 70, 80–81
trade finance (supply chain) use case, 40–41
transaction-based state machine, Ethereum as, 105
transaction list, mining in Ethereum, 107–108
transactions
Bitcoin and Merkle tree, 19–20
Bitcoin blocksize and fees for, 218–220
Bitcoin pseudonymous, 78
12-Index.indd 301 04/01/18 3:23 PM
302
Index
HowTo_Generic / Blockchain: A Practical Guide to Developing Business, Law, and Technology Solutions / Bambara / 587-9 / Index
transactions (cont.)
elements of Bitcoin, 18–19
Ethereum, 110–114
flow of Bitcoin, 16–17
flow of blockchain, 1–2
programming ledger to trigger automatic, 2
properties for Solidity, 132
transferring ownership for smart property, 43–44
transfer function, smart contract life cycle/migration,
163–164
TransferOwnership event, 149–151
transferOwnership function, Solidity, 148–149
transparency
of distributed computation systems, 66
of global blockchain payment technologies, 41
legal challenge of smart contracts, 86
trigger-based oracles, 153–154
Truffle, 143, 145–146
trust
Byzantine Generals Problem and, 8–11
smart contracts and, 46–48, 163–164
U.S. cloud industry and, 55
Turing complete language
blockchains supporting dapps and, 234
EVM is, 103–104, 147
overview of, 118–119
Solidity is, 126
U
Uber, La`Zooz vs., 27–28
underBids array, sample betting application, 253–255
underflow attacks, smart contracts, 166
United States v. Lizarraga-Tirado, 81
UNIX timestamp, 138
“upload and disappear,” Swarm, 64
use cases
business. See business use cases
legal and governance. See legal and governance
use cases
private blockchains, 175–176
technology. See technology use cases
user interface, deploying sample betting contract, 271–273
users
smart contract interaction with, 164
user-specific contracts, 158–160
UTXOs (unspent transaction outputs), Bitcoin, 16–17,
21–22
V
Vagrant installation, Monax tutorial, 198–213
validation
sample betting application, 255
smart contract, 85, 165–169
value, concept in EVM environment, 149–150
Value field, Ethereum transactions, 111
variables
sample betting application, 247–248
specifying in function definition, 249
visibility in Solidity, 131
VDice, decentralized gambling platform, 31
vending machines, smart contracts and, 82–83
versioned file systems, IPFS, 62
view transaction, blockchain processing, 1
visibility specifiers, Solidity, 131
Voorhees, Erik, 11–12
VPNs (virtual private networks), 69, 80
vulnerability tests, smart contract validation, 165
W
wallet address
deploying to mainnet by creating, 266
placing bets in betting application, 283–285
seeding data in contract deployment, 268
withdrawing money in betting application, 289
Washington, George, 10–11
WCL (Whisper communication layer), 71–72
Web 1.0, 56–58
Web 2.0, 56–58
Web 3.0
data storage challenges. See distributed
storagesystems
enabling decentralized web, 138
evolution of Web to, 57–59
solving trust problem, 47
technology stack, 72–73
web services, 58–59, 164
web3.js, 241–243
while statement, Solidity, 127
Whisper, decentralized communications, 70–72, 120, 148
whitelisted addresses, smart contract design, 155
withdraw.html, sample betting application, 271–273
withdrawing money, sample betting application, 260–261,
288–289
Wright, Craig Steven, 12
X
XRP (Ripple), 22–23, 42, 171
Y
Yellen, Janet, 76
Z
Zamfir, Vlad, 221
Zennet, 68–69
“zero-client” gateway, 138
12-Index.indd 302 04/01/18 3:23 PM