IC 7000 SERVICE MANUAL ICOM All Mode
User Manual: Pdf ICOM--IC-7000-All-mode-Service-Manual
Open the PDF directly: View PDF
.
Page Count: 92

SERVICE
MANUAL
HF/VHF/UHF ALL MODE TRANSCEIVER
S-14214HZ-C1
Dec. 2005

INTRODUCTION
This service manual describes the latest service information
for the IC-7000 HF/VHF/UHF ALL MODE TRANSCEIVER
at the time of publication.
ORDERING PARTS
Be sure to include the following four points when ordering
replacement parts:
1. 10-digit Icom parts number
2. Component name and informations
3. Equipment model name and unit name
4. Quantity required
<SAMPLE ORDER>
5030002820 LCD LTA025A161A IC-7000 Front unit 5 pieces
8810009610 Screw FH M2.6 × 6 ZK IC-7000
To p c ove r
10 pieces
Addresses are provided on the inside back cover for your
convenience.
REPAIR NOTES
1. Make sure the problem is internal before disassembling
the transceiver.
2. DO NOT open the transceiver until the transceiver is
disconnected from its power source.
3. DO NOT force any of the variable components. Turn
them slowly and smoothly.
4. DO NOT short any circuits or electronic parts. An
insulated turning tool MUST be used for all adjustments.
5. DO NOT keep power ON for a long time when the
transceiver is defective.
6. DO NOT transmit power into a signal generator or a
sweep generator.
7. ALWAYS connect a 50 dB to 60 dB attenuator between
the transceiver and a deviation meter or spectrum
analyzer when using such test equipment.
8. READ the instructions of test equipment thoroughly
before connecting equipment to the transceiver.
To upgrade quality, all electrical or mechanical parts and internal
circuits are subject to change without notice or obligation.
VER.NO. VERSION SYMBOL
#02 Europe EUR
#03 France FRA
#04 Spain ESP
#05 U.S.A. USA
#08 Export EXP
#10 United Kingdom UK
Icom, Icom Inc. and logo are registered trademarks of Icom Incorporated (Japan) in the United States, the United
Kingdom, Germany, France, Spain, Russia and/or other countries.
NEVER connect the transceiver to an AC outlet or to a DC
power supply that uses more than 16 V. Such a connection
could cause a fire or electric hazard.
DO NOT expose the transceiver to rain, snow or any liquids.
DO NOT reverse the polarities of the power supply when
connecting the transceiver.
DO NOT apply an RF signal of more than 20 dBm (100 mW)
to the antenna connector. This could damage the trans-
ceiver's front end.
DANGER

TABLE OF CONTENTS
SECTION 1 SPECIFICATIONS
SECTION 2 INSIDE VIEWS
SECTION 3 CIRCUIT DESCRIPITON
3 - 1 RECEIVER CIRCUITS . . . . . . . . . . . . . . . . . . . . . . . . . . . . . . . . . . . . . . . . . . . . . . . . . . . . . . . . . . . . . . 3 - 1
3 - 2 TRANSMITTER CIRCUITS . . . . . . . . . . . . . . . . . . . . . . . . . . . . . . . . . . . . . . . . . . . . . . . . . . . . . . . . . . . 3 - 4
3 - 3 DDS CIRCUITS . . . . . . . . . . . . . . . . . . . . . . . . . . . . . . . . . . . . . . . . . . . . . . . . . . . . . . . . . . . . . . . . . . . . 3 - 6
3 - 4 LOGIC CIRCUITS . . . . . . . . . . . . . . . . . . . . . . . . . . . . . . . . . . . . . . . . . . . . . . . . . . . . . . . . . . . . . . . . . . 3 - 8
3 - 5 POWER SUPPLY CIRCUITS. . . . . . . . . . . . . . . . . . . . . . . . . . . . . . . . . . . . . . . . . . . . . . . . . . . . . . . . . . 3 - 8
3 - 6 PORT ALLOCATIONS . . . . . . . . . . . . . . . . . . . . . . . . . . . . . . . . . . . . . . . . . . . . . . . . . . . . . . . . . . . . . . . 3 - 9
SECTION 4 ADJUSTMENT PROCEDURES
4 - 1 PREPARATION . . . . . . . . . . . . . . . . . . . . . . . . . . . . . . . . . . . . . . . . . . . . . . . . . . . . . . . . . . . . . . . . . . . . 4 - 1
4 - 2 DDS ADJUSTMENT . . . . . . . . . . . . . . . . . . . . . . . . . . . . . . . . . . . . . . . . . . . . . . . . . . . . . . . . . . . . . . . . 4 - 3
4 - 3 DISPLAY ADJUSTMENT. . . . . . . . . . . . . . . . . . . . . . . . . . . . . . . . . . . . . . . . . . . . . . . . . . . . . . . . . . . . . 4 - 3
4 - 4 TRANSMITTER ADJUSTMENT . . . . . . . . . . . . . . . . . . . . . . . . . . . . . . . . . . . . . . . . . . . . . . . . . . . . . . . 4 - 3
4 - 5 RECEIVER ADJUSTMENT . . . . . . . . . . . . . . . . . . . . . . . . . . . . . . . . . . . . . . . . . . . . . . . . . . . . . . . . . . 4 - 11
SECTION 5 PARTS LIST
SECTION 6 MECHANICAL PARTS AND DISASSEMBLY
SECTION 7 SEMI-CONDUCTOR INFORMATION
SECTION 8 BOARD LAYOUTS
8 - 1 DISPLAY UNIT. . . . . . . . . . . . . . . . . . . . . . . . . . . . . . . . . . . . . . . . . . . . . . . . . . . . . . . . . . . . . . . . . . . . . 8 - 1
8 - 2 VR UNIT . . . . . . . . . . . . . . . . . . . . . . . . . . . . . . . . . . . . . . . . . . . . . . . . . . . . . . . . . . . . . . . . . . . . . . . . . 8 - 1
8 - 3 MAIN UNIT . . . . . . . . . . . . . . . . . . . . . . . . . . . . . . . . . . . . . . . . . . . . . . . . . . . . . . . . . . . . . . . . . . . . . . . 8 - 3
8 - 4 PA UNIT . . . . . . . . . . . . . . . . . . . . . . . . . . . . . . . . . . . . . . . . . . . . . . . . . . . . . . . . . . . . . . . . . . . . . . . . . . 8 - 5
8 - 5 DDS UNIT . . . . . . . . . . . . . . . . . . . . . . . . . . . . . . . . . . . . . . . . . . . . . . . . . . . . . . . . . . . . . . . . . . . . . . . . 8 - 7
8 - 6 LOGIC UNIT . . . . . . . . . . . . . . . . . . . . . . . . . . . . . . . . . . . . . . . . . . . . . . . . . . . . . . . . . . . . . . . . . . . . . . 8 - 9
8 - 7 CONNECT UNIT . . . . . . . . . . . . . . . . . . . . . . . . . . . . . . . . . . . . . . . . . . . . . . . . . . . . . . . . . . . . . . . . . . 8 - 11
8 - 8 DRIVER UNIT . . . . . . . . . . . . . . . . . . . . . . . . . . . . . . . . . . . . . . . . . . . . . . . . . . . . . . . . . . . . . . . . . . . . 8 - 11
8 - 9 HM-151 . . . . . . . . . . . . . . . . . . . . . . . . . . . . . . . . . . . . . . . . . . . . . . . . . . . . . . . . . . . . . . . . . . . . . . . . . 8 - 11
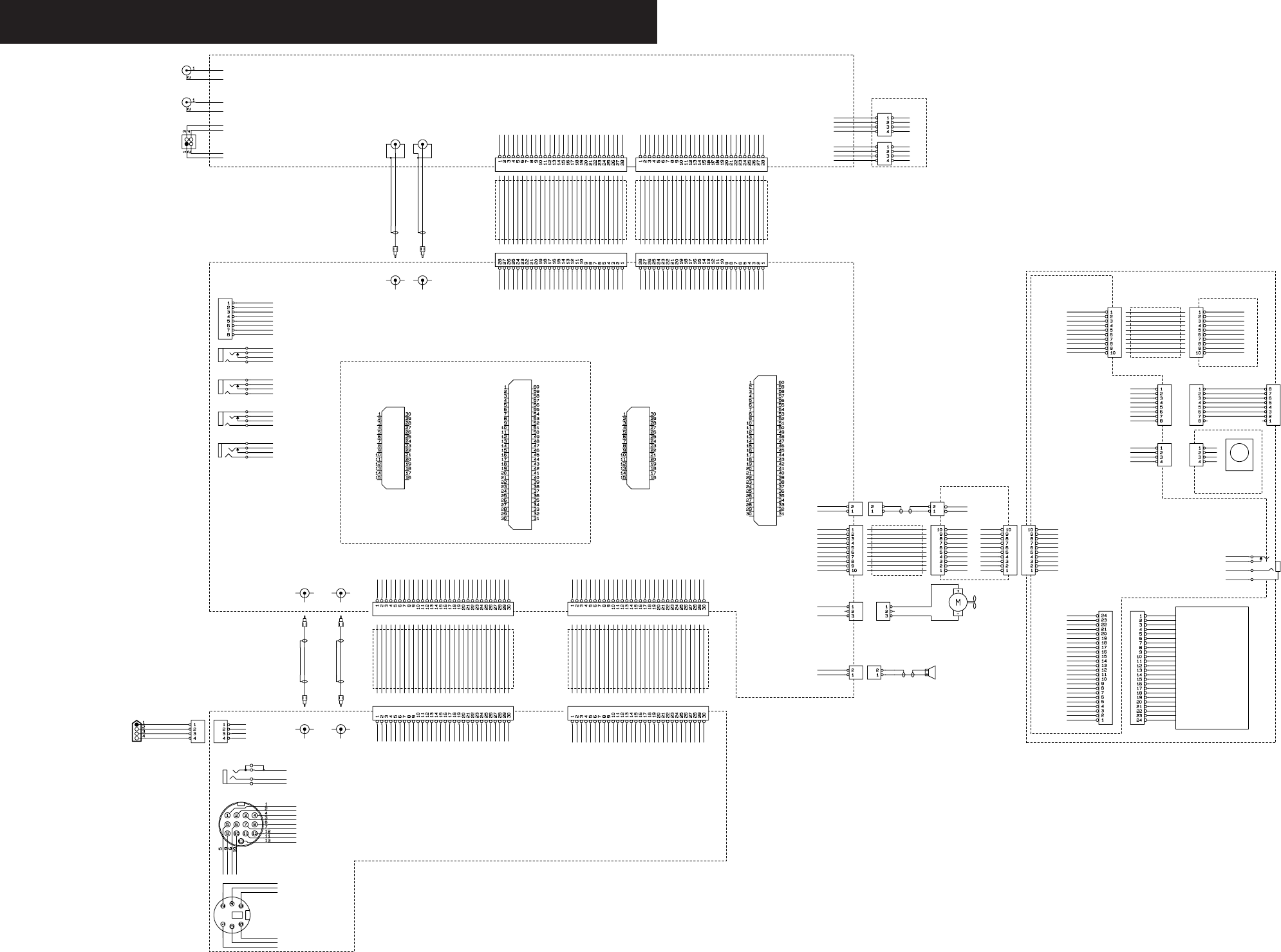
SECTION 9 WIRING DIAGRAM
SECTION 10 BLOCK DIAGRAM
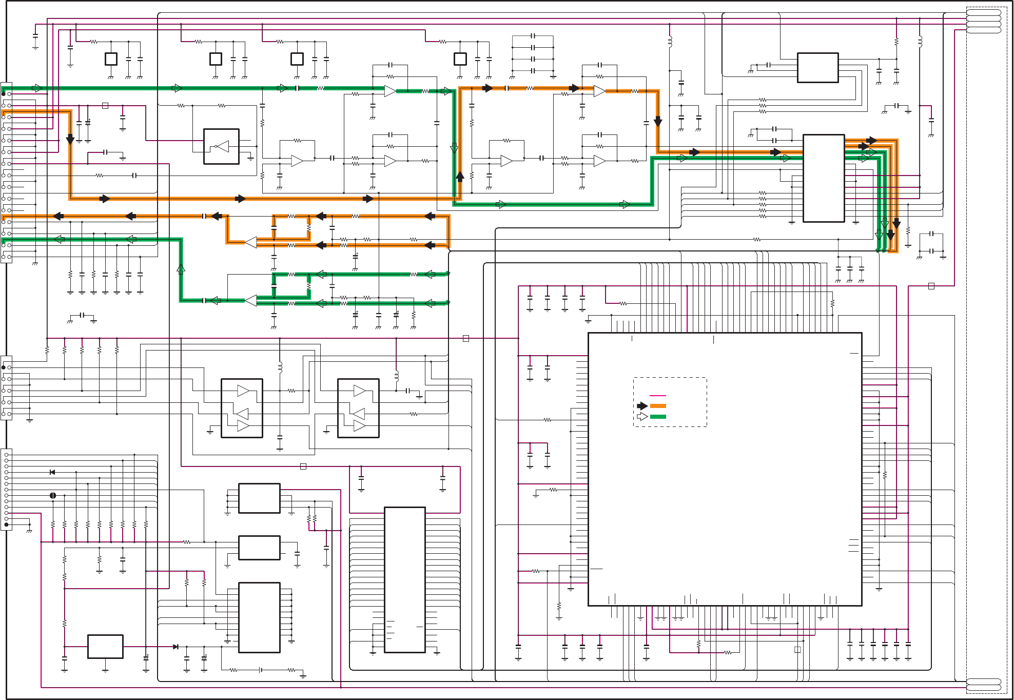
SECTION 11 CIRCUIT DIAGRAMS
11 - 1 DISPLAY/VR/CONNECT UNITS . . . . . . . . . . . . . . . . . . . . . . . . . . . . . . . . . . . . . . . . . . . . . . . . . . . . . 11 - 1
11 - 2 MAIN UNIT . . . . . . . . . . . . . . . . . . . . . . . . . . . . . . . . . . . . . . . . . . . . . . . . . . . . . . . . . . . . . . . . . . . . . . 11 - 3
11 - 3 LOGIC UNIT . . . . . . . . . . . . . . . . . . . . . . . . . . . . . . . . . . . . . . . . . . . . . . . . . . . . . . . . . . . . . . . . . . . . . 11 - 7
11 - 4 PA/DRIVER UNITS . . . . . . . . . . . . . . . . . . . . . . . . . . . . . . . . . . . . . . . . . . . . . . . . . . . . . . . . . . . . . . . 11 - 10
11 - 5 DDS UNIT . . . . . . . . . . . . . . . . . . . . . . . . . . . . . . . . . . . . . . . . . . . . . . . . . . . . . . . . . . . . . . . . . . . . . . 11 - 13

SECTION 1 SPECIFICATIONS
1 - 1
¤ GENERAL
• Frequency coverage :
Receive 0.030 – 199.999999 MHz*1,*2
400.000 – 470.000000 MHz*1,*2
Transmit 1.800 – 1.999999 MHz*2
3.500 – 3.999999 MHz*2
5.260 – 5.405000 MHz*2
7.000 – 7.300000 MHz*2
10.100 – 10.150000 MHz
14.000 – 14.350000 MHz
18.068 – 18.168000 MHz
21.000 – 21.450000 MHz
24.890 – 24.990000 MHz
28.000 – 29.700000 MHz
50.000 – 54.000000 MHz*2
144.000 – 148.000000 MHz*2
430.000 – 450.000000 MHz*2
*
1 Some frequency bands are not guaranteed.
*
2 Depending on version.
• Mode : USB, LSB, CW, RTTY (FSK), AM,
FM, WFM (WFM is for receiver only)
• Number of memory ch. : 503 (495 split, 6 scan edges, 2 call)
• Antenna connector : SO-239 × 2
(for HF/50 MHz and 144/430 MHz)/50
Ω
• Power supply requirement : 13.8 V DC ±15% (negative ground)
• Frequency stability : Less than ±0.5 ppm
(0˚C to +50˚C ;+32˚F to +122˚F)
• Current drain :
Transmit at 100 W 22 A
Receive standby 1.3 A
max. audio 1.6 A
• Usable temperature range : –10˚C to +60˚C (+14˚F to +140˚F)
• Dimensions : 167(W) × 58(H) × 180(D) mm
(proj. not included) 69⁄16(W) × 29⁄32(H) × 73⁄32(D) inch
• Weight (approx.) : 2.3 kg (5 lb 1 oz)
• CI-V connectors : 2-conductor 3.5 (d) mm (1⁄8″)
• Video connector : 2-conductor 3.5 (d) mm (1⁄8″)
• ACC connector : 13-pin
• Data connector : 6-pin
¤ TRANSMITTER
• Output power :
• Modulation system :
SSB Digital PSN modulation
AM Digital Low Power modulation
FM Digital Phase modulation
• Spurious emissions :
below 30 MHz bands Less than –50 dB
above 50 MHz bands Less than –60 dB
• Carrier suppression : More than 50 dB
• Unwanted sideband : More than 50 dB
• Microphone connector : 8-pin modular jack (600 Ω)
• KEY connector : 3-conductor 6.35 (d) mm (1⁄4″)
• RTTY connector : 3-conductor 3.5 (d) mm (1⁄8″)
¤ RECEIVER
• Receive system :
SSB/CW/AM/FM Triple conversion superheterodyne
WFM Double conversion superheterodyne
• Intermediate frequencies :
• Receive sensitivity : (pre-amp ON)
Note: SSB, CW and AM modes are measured at 10 dB S/N; FM mode at
12 dB SINAD.
*1 Except 4–4.5 MHz, 8–9 MHz.
*2 FM mode: 28–29.7 MHz
• Squelch Sensitivity : (pre-amp ON)
SSB Less than 5.6 µV
FM Less than 0.3 µV
• Selectivity : (Sharp filter is selected)
SSB (BW=2.4 kHz) More than 2.4 kHz/–6 dB
Less than 3.6 kHz/–60 dB
CW (BW=500 Hz) More than 500 Hz/–6 dB
Less than 900 Hz/–60 dB
RTTY (BW=350 Hz) More than 360 kHz/–6 dB
Less than 650 kHz/–60 dB
AM (BW=6 kHz) More than 6.0 kHz/–6 dB
Less than 15 kHz/–60 dB
FM (BW=15 kHz) More than 12 kHz/–6 dB
Less than 20 kHz/–60 dB
• Spurious and image rejection ratio:
HF bands More than 70 dB
50 MHz band More than 70 dB (except IF/2 through)
144/430 MHz bands More than 65 dB
(except 144 MHz band IF through)
• Audio output power : More than 2.0 W at 10% distortion
(at 13.8 V DC) with an 8 Ω load
• RIT variable range : ±9.99 kHz
• PHONES connector : 3-conductor 3.5 (d) mm (1⁄8″)/8 Ω
• EXT SP connector : 2-conductor 3.5 (d) mm (1⁄8″)/8 Ω
SSB/
CW/
RTTY
AM FM WFM
0.5–1.8 MHz –– 13 µV –– ––
1.8–28 MHz*1
0.15 µV 2.0 µV –– ––
28–29.995 MHz*20.5 µV ––
50 MHz band 0.12 µV 1.0 µV 0.25 µV ––
76–108 MHz –– –– –– 10 µV
144/430 MHz
bands 0.11 µV 1.0 µV 0.18 µV ––
1st IF 2nd IF 3rd IF
SSB/CW/AM/
RTTY/FM 124.487 MHz 455 kHz 16.15 kHz
WFM 134.732 MHz 10.700 MHz ––
SSB/CW/
RTTY/FM AM
1.8–50 MHz bands 2–100 W 1–40 W
144 MHz band 2–50 W 2–20 W
430 MHz band 2–35 W 2–14 W

SECTION 2 INSIDE VIEWS
2 - 1
DDS UNIT
DDS UNIT
RX 1st mixer
RX 1st mixer
(IC401: SPM5001)
(IC401: SPM5001)
YGR amplifier
YGR amplifier
(IC1:
(IC1:
µPC2709T)
PC2709T)
2nd Lo amplifier
2nd Lo amplifier
(Q151*: 2SC4673)
(Q151*: 2SC4673)
3rd Lo DDS
3rd Lo DDS
(IC51*: AD9833BRM)
(IC51*: AD9833BRM)
1st Lo DDS
1st Lo DDS
(IC301*: AD9951YSV)
(IC301*: AD9951YSV)
MAIN UNIT
MAIN UNIT
LOGIC UNIT
LOGIC UNIT
RX 3rd mixer
RX 3rd mixer
(IC1301: TA4107F)
(IC1301: TA4107F)
RX 2nd mixer
RX 2nd mixer
(D801: HSB88WS-E)
(D801: HSB88WS-E)
RF switch
RF switch
(Q101: 2SC4213)
(Q101: 2SC4213)
CPU
CPU
(IC1302: HD64F2377VFQ33V)
(IC1302: HD64F2377VFQ33V)
DDS UNIT
1st mixer
(IC401: SPM5001)
YGR amplifier
(IC1: µPC2709T)
2nd Lo amplifier
(Q151*: 2SC4673)
3rd Lo DDS
(IC51*: AD9833BRM)
1st Lo DDS
(IC301*: AD9951YSV)
MAIN UNIT
LOGIC UNIT
TX 3rd mixer
(IC1301: TA4107F)
2nd mixer
(D801: HSB88WS-E)
RF switch
(Q101: 2SC4213)
CPU
(IC1302: HD64F2377VFQ33V)
430 MHz pre amplifier
430 MHz pre amplifier
(Q451: 3SK291)
(Q451: 3SK291)
PA UNIT
PA UNIT
144 MHz power amplifier
144 MHz power amplifier
(Q501: RD70HVF1)
(Q501: RD70HVF1)
430 MHz power amplifier
430 MHz power amplifier
(Q401: RD60HUF1)
(Q401: RD60HUF1)
DRIVER BOARD*
DRIVER BOARD*
HF/50 MHz power amplifier
HF/50 MHz power amplifier
(Q301, Q302: RD70HHF1)
(Q301, Q302: RD70HHF1)
144 MHz pre amplifier
144 MHz pre amplifier
(Q551*: 3SK291)
(Q551*: 3SK291)
LPF circuit
LPF circuit
430 MHz pre amplifier
(Q451: 3SK291)
PA UNIT
144 MHz power amplifier
(Q501: RD70HVF1)
430 MHz power amplifier
(Q401: RD60HUF1)
DRIVER UNIT*
*Located under side of the point
144 MHz pre amplifier
(Q551*: 3SK291)
LPF circuit
HF/50 MHz power amplifiers
(Q301, Q302: RD70HHF1)
• TOP VIEW
• BOTTOM VIEW

SECTION 3 CIRCUIT DESCRIPTION
3 - 1
3-1 RECEIVER CIRCUITS
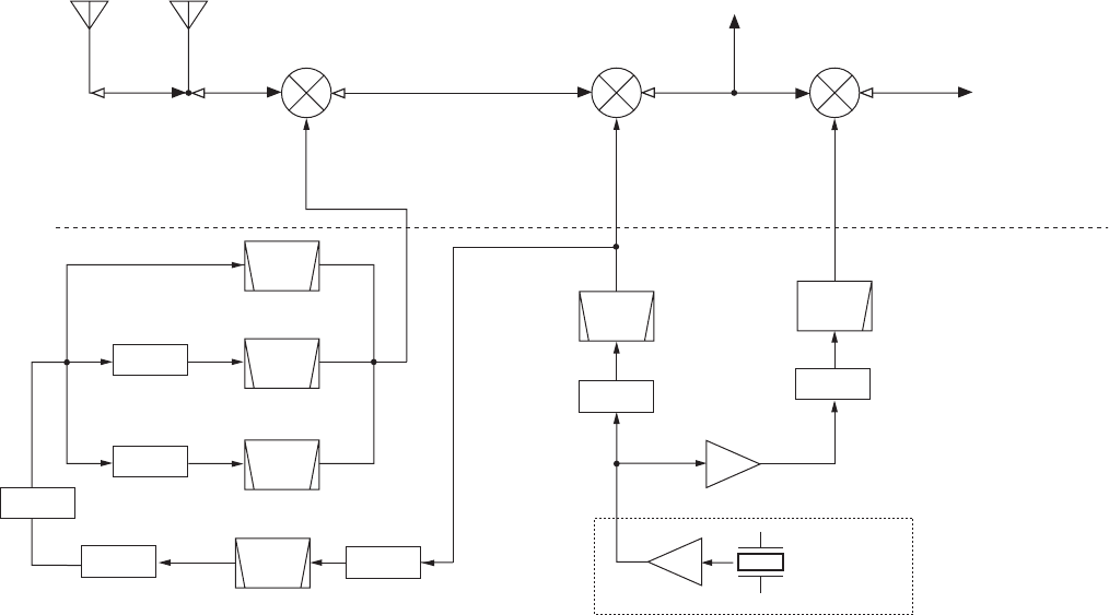
3-1-1 HF/50 MHz RF CIRCUIT (MAIN AND PA UNITS)
The HF/50 MHz RF filters pass only the desired band sig-
nals and suppress undesired band signals. The HF/50 MHz
RF circuit has 7 low-pass and 5 high-pass filters for speci-
fied band use.
The HF/50 MHz RF signals from the [ANT1] connector, pass
through one of 7 low-pass filters as below, the TX/RX switch
(PA unit; RL801), low-pass filter (PA unit; L801, L802, C801
–C805) and band switch (D151), and are then applied to the
MAIN unit via J101 (MAIN unit).
The signals from the PA unit are applied to the RF switch
(Q101) via the band switch (D113) and then passed through
the 20 dB attenuator (D101, D102).
The signals below 1.8 MHz are passed through the low-pass
filter (L103, L104, C106, C110, C111) and then applied to
the preamplifier circuit.
The other band signals (1.8–60 MHz) are passed through
the high-pass filter (L105, L109, L110, L116, L117, C108,
C109, C114–C116) to suppress strong signals below
1.8 MHz and then applied to the low-pass and high-pass fil-
ter circuits.
(1) 1.8–2 MHz
The filtered signals from the high-pass filter are passed
through the low-pass filter (L205, L207, C209–C213) and
then applied to the preamplifier circuits.
(2) 2–30 MHz
The filtered signals from the high-pass filter are applied to
one of 5 high-pass filters as at right above after passed
through the low-pass filter (L205, L207, C209–C213) and
are then applied to the preamplifier circuit.
(3) 30–60 MHz
The filtered signals from the high-pass filter are passed
through another high-pass filter (L215, L217, C228, C229,
C237, C238) and then amplified at the RF amplifier (Q211).
The amplified signals are applied to the preamplifier circuit.
3-1-2 VHF AND UHF RF CIRCUITS (PA UNIT)
The VHF and UHF RF circuits filter and amplify only the
desired band signals and suppress undesired band signals.
The both RF circuits have preamplifiers and bandpass filters.
• VHF RF CIRCUIT
The VHF RF signals from the [ANT2] connector pass
through the low-pass filters (L506, L508, L510, L601–L603,
C516, C519, C521, C601, C602) and antenna switching cir-
cuit (D507–D509). The switched signals are passed through
the attenuator (D551, D552) and bandpass filter (D553,
D554, D556). The filtered signals are applied to the pream-
plifier (Q551) and then passed through another bandpass
filter (D558–D560).
The filtered signals are passed through the band switch
(D462) and then applied to the 1st mixer circuit (MAIN unit)
via J101 (MAIN unit).
• UHF RF CIRCUIT
The UHF RF signals from the [ANT2] connector pass
through the low-pass (L601–L603, C601, C602) and high-
pass (L413, L414, C428, C429, C431, C433) filters and
then applied to the antenna switching circuit (D408–D410).
The switched signals are passed through the attenuator
(D451, D452) and then amplified at the preamplifier (Q451)
between the 2 bandpass filters (D453–D456). The filtered
signals are amplified at another preamplifier (IC471, pins 1, 4).
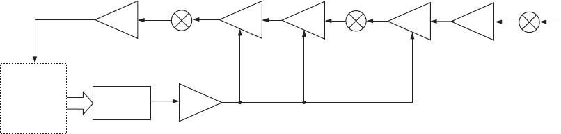
1st LO:
124.517 MHz–
594.587 MHz
BPF
LPF HPF
1st mixer
IC401
2nd LO:
124.032 MHz
2nd mixer
D801 3rd mixer
IC1101
[ANT1]
0.03–60 MHz
LPF
[ANT2]
60–470 MHz
Crystal
filter
FI601
124.487 MHz
(WFM; 134.732 MHz)
Crystal
filter
FI901
to WFM detector
circuit (IC1401)
to DSP circuit
455 kHz
PA UNIT MAIN UNIT
amp.
Preamp.
Q301
3rd LO:
438.85 kHz
Crystal
filter
FI1101
455 kHz
• Used RF low-pass fi lter (PA unit)
Frequency
(MHz)
Control
signal
Entrance
relay
Frequency
(MHz)
Control
signal
Entrance
relay
0.03–2 MHz L1 RL881 15–22 MHz L5 RL941
2–4 MHz L2 RL921 22–30 MHz L6 RL821
4–8 MHz L3 RL841 30–60 MHz L7 RL861
8–15 MHz L4 RL901
• Used RF high-pass fi lter (MAIN unit)
Frequency
(MHz)
Control
signal
Entrance
diode
Frequency
(MHz)
Control
signal
Entrance
diode
1.8–2 MHz B1 D204 13.9–20.9 MHz B5 D210
2–3.4 MHz B2 D205 20.9–30 MHz B6 D211
3.4–6.9 MHz B3 D208 30–60 MHz B7 D212
6.9–13.9 MHz B4 D209
• RECEIVER CONSTRUCTION

The amplified signals are passed through the band switch
(D461) and then applied to the 1st mixer circuit (MAIN unit)
via J101 (MAIN unit).
D453–D456, D553, D554, D556 and D558–D560 are
varactor diodes that tune the center frequency of an RF
passband for wide bandwidth receiving and good image
response rejection.
When receiving the signals, higher than 129 MHz, are
received, the switching diodes (D555, D557) are turned off
by the control signal “2MBL” from the CPU (LOGIC unit;
IC1302) via Q2150, then the varactor diodes (D556, D558)
are disconnected to shift the filtering frequencies.
3-1-3 PREAMPLIFIER CIRCUIT (MAIN UNIT)
The preamplifier circuit amplifies received RF signals for
wide band frequency range.
When the preamplifier is turned ON, the RF signals
(HF/50 MHz bands) from the high-pass filters are applied to
the preamplifier (Q301) via the preamplifier switches (D301,
D302).
When the preamplifier is turned OFF, the RF signals (HF/50
MHz bands) are passed through the bypass switches (D301,
D303).
The amplified or bypassed signals are applied to the 1st
mixer circuit (IC401).
3-1-4 1ST MIXER CIRCUIT (MAIN UNIT)
The 1st mixer circuit mixes the received RF signals with the
1st LO signal to convert the receive signal frequencies to
the 1st IF frequency.
While receiving the HF/50 MHz bands signals, the amplified
signals from the preamplifier switch (D304) or the bypassed
signals from the bypass switch (D303) are passed through
the low-pass filter (L310, L312, C314, C316, C318, C320,
C322) and then applied to the 1st mixer circuit (IC401) via
the band switch (D305).
While receiving the VHF/UHF bands signals, the signals
from the VHF/UHF RF circuit (PA unit) are passed through
the low-pass filter (L309, L311, L313, C313, C315, C317,
C319, C321, C323, C325) and then applied to the 1st mixer
circuit (IC401) via the band switch (D306).
The applied signals are mixed with the 1st LO signal (124.517
–594.487 MHz) and convert into the 1st IF signal.
The 1st LO signal is generated in the DDS unit, and applied
to the 1st mixer circuit (IC401, pins 1, 6) after being ampli-
fied and attenuated at the 1st LO amplifier (IC421, pins 1, 4)
and the attenuators (R416–R418, R421–R423), respectively.
The converted 1st IF signal is applied to the 1st IF circuit.
3-1-5 1ST IF CIRCUIT (MAIN UNIT)
The 1st IF circuit filters and amplifies the 1st IF signal.
The converted 1st IF signal is
applied to the IF amplifier (Q502)
via RX switches (D502, D505).
The 124.487 MHz 1st IF signal
(except WFM mode) passes
through the crystal filter (FI601)
via the mode switches (D602,
D604), and the 134.732 MHz 1st
IF signal (WFM mode) passes through the bandpass filter
(L607, L609, C602, C606, C608–C610, C617, C618) via the
mode switches (D601, D603) to suppress out-of-band sig-
nals.
Then the filtered signal is applied to the IF amplifier (Q702)
and then applied to the 2nd mixer circuit (D801) via the RX
switches (D702, D704).
3-1-6 2ND MIXER CIRCUIT (MAIN UNIT)
The 2nd mixer circuit mixes the 1st IF signal with the 2nd
LO signal to convert into the 2nd IF frequency.
The amplified signal from the IF amplifier (Q702) is applied
to the 2nd mixer circuit (D801) and then mixed with the 2nd
LO signal (124.032 MHz) to convert into the 455 kHz (other
than WFM) or 10.7 MHz (WFM) 2nd IF signal.
The 2nd LO signal is generated in the DDS unit, and applied
to the 2nd mixer circuit (D801) after being filtered and
attenuated at the low-pass filter (L808, C816, C817) and the
attenuators (R801, R805, R806, R809–R811), respectively.
The converted 2nd IF signal is applied to the 2nd IF circuit.
3-1-7 2ND IF CIRCUIT (MAIN UNIT)
The 2nd IF circuit amplifies and filters the 2nd IF signal.
The converted 2nd IF signal is applied to the bandpass filter
(FI901) to suppress undesired signals.
The 455 kHz 2nd IF signal (except
WFM mode) is passed through the
bandpass filter (FI901) via the mode
switch (D803) and then amplified
at the IF amplifier (Q902). The
amplified signal is passed through
the bandpass filter (FI1001) and
then applied to another IF amplifier
(Q1001).
The amplified signal is applied to the 3rd mixer circuit.
The 10.7 MHz 2nd IF signal for WFM mode is passed
through the low-pass filter (L1402, C1402–C1404) via
the mode switch (D802) and then applied to the IF ampli-
fier (Q1401). The amplified signal is passed through the
bandpass filter (FI1401) and then applied another IF ampli-
fier (Q1402).
3 - 2
• 1st IF frequency
Mode 1st IF
USB 124.48850 MHz
LSB 124.48550 MHz
CW 124.48700 MHz
RTTY 124.48683 MHz
AM/FM 124.48700 MHz
WFM 134.73200 MHz
• 2nd IF frequency
Mode 2nd IF
USB 456.500 kHz
LSB 453.500 kHz
CW 455.000 kHz
RTTY 454.830 kHz
AM/FM 455.000 kHz
WFM 10.700 MHz

3 - 3
The amplified IF signal is passed through the bandpass filter
(FI1402) and then applied to the WFM demodulator circuit
(IC1401).
3-1-8 3RD MIXER CIRCUIT (MAIN UNIT)
The 3rd mixer circuit mixes the 2nd IF signal with the 3rd LO
signal to convert into the 3rd IF frequency.
The amplified signal from the IF amplifier (Q1001) are mixed
with the 3rd LO signal (438.85 kHz), where come from the
DDS unit via J2406, at the 3rd mixer circuit (IC1101) to con-
vert into the 16.15 kHz 3rd IF signal.
The converted 3rd IF signal is applied to the 3rd IF circuit.
3-1-9 3RD IF CIRCUIT (MAIN UNIT)
The 3rd IF circuit filters and amplifies the 3rd IF signal.
The converted 3rd IF signal is amplified at the 3rd IF ampli-
fier (IC1203, pins 5, 7) and then passed through the low-
pass filter (IC1203, pins 1, 3). The filtered signal is passed
through the mode switches (IC1201, pins 1, 7; IC1202, pins
1, 7) and then applied to the analog switch (IC1256, pins 11,
13).
The switched signal is applied to the DSP circuit (LOGIC
unit) via the J2251 (pin 1).
3-1-10 DEMODULATOR CIRCUITS (MAIN UNIT)
• WFM mode
The demodulator circuit converts the 2nd IF signal into the
AF signals.
The filtered signal from the bandpass filter (FI1402) is
applied to the IF amplifier section inside the WFM demodu-
lator (IC1401, pin 1) and then applied to the quadrature
detector section to convert into AF signals. The detected AF
signals are output from pin 6 (IC1401) and then applied to
the mode switches (IC1201, pins 1, 7; IC1202, pins 1, 6).
The switched AF signals are applied to the analog switch
(IC1256, pins 11, 13) and then applied to the DSP circuit
(LOGIC unit) via J2251 (pin 1).
3-1-11 DSP CIRCUIT (LOGIC UNIT)
The DSP (Digital Signal Processor) circuit enables digital IF
filter, manual notch, digital twin PBT and phase demodula-
tion, etc.
The 3rd IF or demodulated AF (WFM mode) signals are
passed through the low-pass filter (IC451, pins 1, 2) and
then applied to the A/D converter (IC551, pin 4). The con-
verted signals are applied to the DSP ICs (IC301, IC2201)
for the digital IF filter, demodulation, automatic notch and
noise reduction, etc.
The output digital audio signals from the DSP IC (IC301) are
applied to the D/A converter (IC551) to convert into the ana-
log audio signals.
The converted audio signals from the D/A converter (IC551,
pins 25, 26) are passed through the low-pass filter (IC601,
pins 5–7), and then applied to the AF amplifier circuit (MAIN
unit) via J701 (pin 14).
3-1-12 AF AMPLIFIER CIRCUIT (MAIN UNIT)
The AF amplifier amplifies the demodulated AF signals to
drive speaker.
The filtered signal from the low-pass filter (LOGIC unit;
IC601, pins 5–7) are passed through another low-pass filter
(IC2551, pins 1, 3).
While in FM mode, the filtered AF signals from the low-pass
filter (IC2551, pin 1) are applied to the de-emphasis circuit
(IC2551, pins 5–7) to obtain the –6 dB/octave characteristics
and then applied to the AF switch (IC2601, pins 1, 6).
While except FM mode, the filtered AF signals from low-pass
filter (IC2551, pin 1) are applied to the AF switch (IC2601,
pins 1, 7).
The switched AF signals are amplified at the AF power
amplifier (IC2602, pins 1, 4) and then applied to the speaker
switch (Q2602).
The switched signal is applied to the internal speaker that is
connected to J2601 via [EXT SP] jack (J2602).
IC2551 IC2601 Q2602
IC2602
AF
IC2551
DSPO1
LOGIC UNIT MAIN UNIT
315 7
7
1
6
666
[EXT SP]
AF amp.
SP1
CHASSIS
LPF De-
emphasis
• AF CIRCUIT
LPF LPF
IC451
LOGIC unit
MAIN UNIT
CODEC IC (IC551)
IC301
IC601
DSPO2
AF
signals
DSPI2
(16.15 kHz)
3rd IF
signal
A/D
converter
D/A
converter
DSP IC
IC2201
DSP IC
• DSP CIRCUIT

3-1-13 AGC CIRCUIT (MAIN UNIT)
The AGC (Automatic Gain Control) circuit adjusts IF amplify
gain to keep the audio output at a constant level. The
receiver gain is determined by the voltage on the AGC line
from the DSP circuit.
The AGC voltage is detected at the AGC detector section
inside the DSP ICs (LOGIC unit; IC301, IC2201) and the
AGC voltage is applied to the D/A converter (IC2155). The
converted AGC voltage is applied to the IF amplifiers (Q702,
Q902, Q1001) after being amplified at IC1201 (pin 12) and
sets the receiver gain with [RF/SQL] control.
When receiving strong signals, the detected voltage increas-
es and the AGC voltage decreases. As the AGC voltage is
used for the bias voltage of the IF amplifiers (Q702, Q902,
Q1001), IF amplifier gain is decreased.
3-1-14 S-METER CIRCUIT (LOGIC UNIT)
The S-meter circuit indicates the relative received signal
strength while receiving.
The received signal strength is detected inside the DSP ICs
(IC301, IC2201) and then applied to the main CPU (IC1302).
The S-meter signal for WFM mode is output from the FM
detector IC (IC401, pin 4) and then applied to the to the
main CPU (IC1302, pin 123).
The S-meter signal from the main CPU (IC1302) is applied
to the sub CPU (DISPLAY unit; IC2003) and is then dis-
played on the LCD display.
3-1-15 SQUELCH CIRCUIT (MAIN UNIT)
The squelch circuit mutes audio output when the S-meter
signal is lower than the [RF/SQL] control setting level.
The S-meter signal from the DSP IC is applied to the main
CPU (LOGIC unit; IC1302) and is compared with the thresh-
old level set by the [RF/SQL] control. The [RF/SQL] setting
is picked up at the sub CPU (DISPLAY unit; IC2003, pin 74).
The main CPU (LOGIC unit; IC1302) compares the S-meter
signal and [RF/SQL] setting, and outputs the mute signal via
the DSP IC (IC301, pin B4) to the AF switch (IC2601, pin 2)
to cut AF signals via Q2607.
While receiving WFM mode, the S-meter signal is output
from the WFM demodulator (IC401, pin 4) and applied to the
to the main CPU (LOGIC unit; IC1302, pin 123). The main
CPU (LOGIC unit; IC1302) compares the S-meter signal and
[RF/SQL] setting, and outputs the mute signal via the DSP
IC (IC301, pin B4) to the AF switch (IC2601, pin 2) to cut AF
signals via Q2607.
3-2 TRANSMITTER CIRCUITS
3-2-1 MICROPHONE AMPLIFIER CIRCUIT (MAIN UNIT)
The microphone amplifier circuit amplifies microphone audio
signal to a level needed for the DSP circuit.
Audio signals from the [MIC] connector (FRONT unit; J303
or MAIN unit; J2003) are amplified at the microphone ampli-
fier (IC2007, pins 1, 2) and then applied to the DSP circuit
(LOGIC unit) via J2251 (pin 3).
3-2-2 DSP CIRCUIT (LOGIC UNIT)
The DSP (Digital Signal Processor) circuit enables digital
PSN modulator, digital Low Power modulator, digital Phase
modulator, transmitter monitor and side tone, etc.
The amplified microphone signals are passed through the
low-pass filter (IC502, pins 1, 2) and then applied to the A/D
converter (IC551, pin 3). The converted digital audio signal
are applied to the DSP ICs (IC301, IC2201) to covert into
the modulated 16.15 kHz 3rd IF signal. The modulated 3rd
IF signal from the DSP IC (IC301) is applied to the D/A con-
vertor (IC551) to convert into the analog 3rd IF signal. The
converted analog 3rd IF signal is output from pins 27, 28
(IC551) and then passed through the low-pass filter (IC601,
pins 1–3).
The filtered IF signal is applied to the 3rd mixer circuit (MAIN
unit) via the J701 (pin 12).
3-2-3 3RD MIXER CIRCUIT (MAIN UNIT)
The 3rd mixer circuit mixes the 3rd IF signal with the 3rd LO
signal to convert into the 2nd IF frequency.
The filtered signal from the low-pass filter (LOGIC unit;
IC601) is applied to the analog switch (IC2251, pins 1,
7) and then applied to the 3rd mixer circuit (IC1301, pins
3, 5). The applied signal is mixed with the 3rd LO signal
(438.85 kHz) coming from DDS unit via J2406 (pin 13) and
converted into the 455 kHz 2nd IF signal.
The converted 2nd IF signal is applied to the 2nd IF circuit.
3-2-4 2ND IF CIRCUIT (MAIN UNIT)
The 2nd IF circuit filters and amplifies the 2nd IF signal.
The converted 2nd IF signal is applied to the 2nd IF ampli-
fier (Q901) and then passed through the bandpass filter
(FI901) via the TX switch (D903) to suppress unwanted sig-
nals.
The filtered signal is applied to the 2nd mixer circuit.
3 - 4
DSP
CIRCUIT
IC301
IC2201
IC2101
3rd mixer 2nd mixer 1st mixer
IC2155
12
12 14
AGC
D/A
converter
IC1203
DSPI1 IF
amp.
Q1001IF
amp.
Q902 IF
amp.
Q702 From the
antenna
IF
amp.
Q502 IF
amp.
• AGC CIRCUIT

3-2-5 2ND MIXER CIRCUIT (MAIN UNIT)
The 2nd mixer circuit mixes the 2nd IF signal with the 2nd
LO signal to convert into the 1st IF frequency.
The filtered signal from the bandpass filter (FI901) is applied
to the 2nd mixer circuit (D801) and mixed with 2nd LO sig-
nal (124.032 MHz) to convert into the 1st IF signal.
The 2nd LO signal is generated in the DDS unit, and applied
to the 2nd mixer circuit (D801) after being filtered and
attenuated at the low-pass filter (L808, C816, C817) and the
attenuators (R801, R805, R806, R809–R811), respectively.
The converted 1st IF signal is applied to the 1st IF circuit.
3-2-6 1ST IF CIRCUIT (MAIN UNIT)
The 1st IF circuit amplifies and filters the 1st IF signal.
The converted 1st IF signal is applied to the IF amplifier
(Q701) via the TX switch (D703) and then passed through
the bandpass filter (FI601) to suppress unwanted signals via
the filter switches (D601, D602).
The filtered signals are applied to the 1st mixer circuit.
3-2-7 1ST MIXER CIRCUIT (MAIN UNIT)
The 1st mixer circuit mixes the 1st IF signal with the 1st LO
signal to convert into the RF frequency.
The filtered signal is applied to the 1st mixer circuit (IC401)
via the TX switches (D501, D504) and mixed with the 1st LO
signal (124.517–594.487 MHz) to convert into the RF signal.
The 1st LO signal is generated in the DDS unit, and applied
to the 1st mixer circuit (IC401, pins 1, 6) after being ampli-
fied and attenuated at the 1st LO amplifier (IC421, pins 1, 4)
and the attenuators (R416–R418, R421–R423), respectively.
The converted RF signal is applied to the RF circuit.
3-2-8 RF CIRCUIT (MAIN UNIT)
The RF circuit amplifies and filters the RF signal from the
1st mixer circuit.
The HF/50 MHz bands signal from the 1st mixer circuit
(IC401) is passed through the low-pass filter (L310, L312,
C314, C316, C318, C320, C322) via the band switch (D305).
The HF band signal is passed through one of 5 high-pass
(Refer to 3-1 for used RF high-pass filter) and low-pass
(L205, L207, C209–C213) filters.
The 50 MHz band signal is passed through the bandpass
filter (L219, L220, L246–L248, C240–C242, C282, C285–
C291).
The filtered HF/50 MHz bands signal is amplified at the YGR
amplifier (IC1) after passed through the high-pass filter (L109,
L110, L116, L117, C109, C114–C116) and attenuator (R5–
R7).
The amplified HF/50 MHz bands signal is applied to the
drive and power amplifier circuits (PA unit) via J1.
The VHF/UHF bands signal from the 1st mixer circuit (IC401)
is passed through the low-pass filter (L309, L311, L313,
C313, C315, C317, C319, C321, C323, C325) via the band
switch (D306).
The VHF band signal is passed through the bandpass filter
(L8, L10–L13, C18, C25, C26, C28, C29, C31–C33) via
the band switches (D3, D10) and then amplified at the RF
amplifier (IC2, pins 1, 3). The amplified signal is passed
through the band switch (D1) and attenuator (R5–R7), and
then applied to the YGR amplifier (IC1, pins 1, 4).
The amplified signal is passed through the high pass filter
(L21, C50–C52) via the filter switches (D6, D8) and then
applied to the drive and power amplifier circuits (PA unit) via
J1.
The UHF band signal is amplified at the RF amplifier (IC3,
pins 1, 3) via the band switch (D4) and passed through the
bandpass filters (FI2, FI3). The filtered signal is amplified at
the YGR amplifier (IC1, pins 1, 4) after passed through the
band switch (D2), attenuator (R5–R7) and bypass switches
(D7, D9).
The amplified signal is applied to the drive and power ampli-
fier circuits (PA unit) via J1.
3 - 5
• TRANSMITTER CONSTRUCTION
FI901
MIC BPF
Ceramic
455 kHz
3rd LO
(438.85 kHz)
IC2201 IC551
IC551 IC301
Controller A/D DSP
ICs D/A
FI601
BPF
Crystal
1st mixer
IC401
1st LO
(124.517−
594.487 MHz)
HPFs
BPF
IC504
LPFs
PA UNIT
LOGIC UNIT (DSP circuit)
MAIN UNIT DRIVER
UNIT
ANT1
ANT2
Q301
Q302
Q401
Q501
145 MHz
430 MHz
HF/50 MHz
Q901
AMP.
Q801
AMP.
2nd mixer
D801
2nd LO
(124.032 MHz)
124.487 MHz
AMP. PA
PA
PA

3 - 6
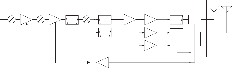
3-2-9 DRIVE AND POWER AMPLIFIER CIRCUITS
(PA AND DRIVER UNITS)
The drive and power amplifier circuits amplify the RF signal
from the RF circuit (MAIN unit) to obtain 100 W of RF output
power for the HF/50 MHz bands, 50 W for the VHF band
and 35 W for the UHF band.
The RF signal from the MAIN unit is applied to the pre drive
amplifiers (PA unit; Q101, Q102) after passed through the
attenuator (PA unit; R101–R103). The amplified signal is
applied to the drive amplifier (DRIVER unit; Q504) to amplify
a level needed for the power amplifiers.
The amplified HF/50 MHz bands signal from the drive ampli-
fier is amplified at the power amplifiers (PA unit; Q301,
Q302) to obtain a stable 100 W of RF output power. The
power amplified signal is passed through the TX/RX switch
(RL801), one of the 7 low-pass filters, APC detector (PA
unit; D961, D962) and then applied to the [ANT1] connector
(CHASSIS; J1).
The amplified VHF RF signal from the drive amplifier is
amplified at the power amplifier (Q501) to obtain a stable
50 W of RF output power. The power amplified signals are
applied to the low-pass filter, APC detector (D501–D504),
TX/RX switch (D506, D510), low-pass filters (L506, L508,
L510, L601–L603, C516, C519, C521, C601, C602) and
[ANT2] connector (CHASSIS; J2).
The amplified UHF RF signal from the drive amplifier is
amplified at the power amplifier (Q401) to obtain a stable
35 W of RF output power. The power amplified signal is
applied to the low-pass filter, APC detector (D401–D404),
TX/RX switch (D406, D407), high-pass filter (L413, L414,
C428, C429, C431, C433), low-pass filter (L601–L603,
C601, C602) and [ANT2] connector (CHASSIS; J2).
3-2-10 ALC CIRCUIT (MAIN UNIT)
The ALC (Automatic Level Control) circuit reduces the gain
of IF amplifiers in order for the transceiver to output a con-
stant RF power set by the RF power setting even when the
supplied voltage shifts, etc.
The HF/50 MHz power amplified signal from the power
amplifiers (PA unit; Q301, Q302) is detected at the APC
detector (PA unit; D961). The detected voltage is applied
to the buffer amplifier (PA unit; IC960, pins 5, 7) and then
applied to the MAIN unit as the “HFOR” voltage.
The VHF and UHF RF power amplified signal from the
power amplifiers (PA unit; Q401, Q501) are detected at the
APC detectors (PA unit; D401, D404, D501, D504) respec-
tively. The detected voltages ("VFOR" and "UFOR") are
combined to "VUFOR" voltage and then applied to the MAIN
unit.
The “HFOR” and “VUFOR” voltages are combined to the
“FORL” voltage and then applied to the ALC amplifier
(IC1601, pins 1, 2). The “POCV” voltage from the D/A con-
verter (IC2155, pin 19) via the buffer amplifier (IC2101,
pins 5, 7), determined by the RF power setting, is applied to
the ALC amplifier (IC1601, pin 3) as the reference voltage.
When the “FORL” voltage exceeds the “POCV” voltage, ALC
bias voltage from IC1601 (pin 1) controls the IF amplifiers
(Q701, Q901). This adjusts the output power to the level
determined by the RF power setting until the “FORL” and
“POCV” voltages are equalized.
In AM mode, IC1601 functions as an averaging ALC ampli-
fier with Q1601. The AM switch (Q1602) is turn ON and
shifts the “POCV” voltage to adjust the TX output power for
the AM mode (maximum; 40 W for HF/50 MHz bands, 20 W
for VHF band, 14 W for UHF band).
The ALC bias voltage from IC1601 is also applied to the
main CPU (LOGIC unit; IC1302, pin 115) as the “ALCL” volt-
age for ALC meter indication.
The external ALC input (negative voltage) from the [ACC]
socket (pin 6) is converted to a positive voltage at D1609
and is applied to the buffer amplifier (Q1604). External ALC
operation is identical to that of the internal ALC.
3-2-11 APC CIRCUIT (MAIN UNIT)
The APC (Automatic Power Control) circuit protects the
power amplifiers on the PA unit from high SWR and exces-
sive current.
The reflected wave signal appears and increases on the
antenna connector when the antenna is mismatched.
The HF/50 MHz reflected signal level is detected at D962 (PA
unit), and is amplified at the buffer amplifier (PA unit; IC960,
pins 1, 3) and applied to the ALC amplifier (IC1601, pins 8, 9)
as the "HREF" voltage.
IC1601
HF/50 MHz
145 MHz
430 MHz
2
1
HPFs LPFs
BPF
ALC
ALC amplifier
ANT1 ANT2
PA UNIT
DRIVER
UNIT
IF
ALC
FI601
Q701
Q901
TX
signals
Crystal
BPF
3rd mixer 2nd mixer 1st mixer
AMP PA
IF
PA
PA
APC
DET
APC
DET
APC
DET
• ALC CIRCUIT

The VHF/UHF APC detector circuits (PA unit; D501, D504,
D401, D404) detect the forward and reflection signals and
convert into DC voltages. The converted DC voltages are
combined and applied to the ALC amplifier (pins 1, 2) as
"VUFOR" voltage.
For the current APC, the driving current at the power ampli-
fiers is detected in the voltages (“ICH” and “ICL”) which
appear at both terminals of detector resistors (PA unit; R721,
R722). The detected voltages are applied to the APC ampli-
fier (IC1601, pins 5–7).
When the current of the power amplifier exceeds 22 A, The
output voltage from the APC amplifier (IC1601, pin 7) con-
trols the ALC line to prevent excessive current flow.
3-2-12 RF, ALC, SWR METER CIRCUITS (LOGIC UNIT)
While transmitting, RF, ALC or SWR meter readings are
available and can be selected with the [F3 (MET)] switch.
(1) Power meter
The “FOR,” “VFOR” and “UFOR” voltages are combined to
the “FORL” voltage, and it is then applied to the main CPU
(IC1302, pin 113) for indicating the TX output power.
(2) ALC meter
The ALC bias voltage from the buffer amplifier (MAIN unit;
IC1601, pin 14) is applied to the main CPU (IC1302, pin 115)
via the “ALCL” signal line for indicating the ALC level.
(3) SWR meter
The “FORL” and “REFL” voltages are applied to the main
CPU (IC1302, pins 113, 114) respectively. The main CPU
compares the ratio of “FORL” to “REFL” voltage and indi-
cates the SWR for the [ANT1] connector.
3-3 DDS CIRCUITS
3-3-1 GENERAL
The DDS unit generates a 1st LO (124.517–594.487 MHz),
a 2nd LO (124.032 MHz) and a 3rd LO (438.85 kHz) fre-
quencies.
3-3-2 1ST LO CIRCUIT (DDS UNIT)
The 1st LO circuit generates a 1st LO signal based on the
system clock that is tripled the 2nd LO frequency.
The 124.032 MHz 2nd LO signal is applied to the tripler
circuit (Q201) and then passed through the high-pass filter
(L205, L206, L210, C206–C210, C217–C219). The filtered
signal is amplified at Q211 and then passed through the
bandpass filter (FI201). The filtered signal is applied to the
DDS IC (IC301) as the 372.096 MHz system clock. The
DDS IC generates 38.62189–199.999999 MHz frequency
based on the system clock. The output signal from the DDS
IC (IC301, pins 20, 21) is applied to the doubler circuit
(D301) and then amplified at IC401 (pins 1, 4) after being
passed through the low-pass filter (L331, L332, C331, C332,
C335). The amplified signal is applied to one of the multiplier
circuits which is selected from the readout frequency and
then amplified at IC451 (pins 1, 5). The amplified signal is
passed through the bandpass filters.
The filtered signal is applied to the 1st mixer circuit (MAIN
unit) via J851.
3 - 7
124.517–
594.487 MHz
(1st LO) 124.032 MHz
(2nd LO)
24.8064 MHz
(system clock)
372.096 MHz
(system clock)
524.487–
594.487 MHz
124.517–
154.486999 MHz
154.487–
324.486999 MHz
[ANT1] [ANT2]
1st mixer
IC401
0.03–
60 MHz
60–
470 MHz
438.85 kHz
(3rd LO)
IC51
IC301
Q101
FI101
IC61
×5
DDS UNIT
MAIN UNIT
DDS
BPF
2nd mixer
D801
3rd mixer
IC1101
1st IF: 124.487 MHz
(WFM: 134.732 MHz)
to DSP circuit
Ref. Osc.
24.8064 MHz
LPF
2nd IF: 455 kHz 3rd IF: 16.15 kHz
Q1
to WFM detector
(IC1401)
×2
×3
×2 BPF
D456
BPF
×4 BPF
D471
FI201 Q201
Q
301
BPF
DDS
X1
AMP.
AMP.
• FREQUENCY CONSTRUCTION

3-5 POWER SUPPLY CIRCUITS
3-5-1 FRONT UNIT VOLTAGE LINE
Line Description
3.3 V
Common 3.3 V converted from the 5 V line
by the 3.3 V regulator circuit (IC151). The out-
put voltage is applied to the sub CPU (IC2003),
etc.
5 V
Common 5 V converted from the 8 V line by
the 5 V regulator circuit (IC101). The output
voltage is applied to the LCD driver (IC506),
etc.
3-3-3 2ND LO AND REFERENCE OSCILLATOR
CIRCUITS (DDS UNIT)
The reference oscillator (X1, Q1) generates a 24.8064 MHz
frequency used for the 1st LO, 3rd LO and DSP circuits as a
system clock and for the 2nd LO signal.
The oscillated signal is multiplied by 5 at Q101 and then
passed through the bandpass filter (FI101). The filtered
124.032 MHz signal is amplified at Q151 and then applied to
the 2nd mixer circuit (MAIN unit) after being passed through
the low-pass filter (L153, C154–C156) and attenuator (R157
–R159) via J151 as the 2nd LO signal.
3-3-4 3RD LO CIRCUIT (DDS UNIT)
The 3rd LO circuit generates a 3rd LO signal and shift the
frequency for the operating mode needed.
The DDS IC (IC51) generates a 10-bit digital signal. The
24.8064 MHz system clock signal from the reference oscil-
lator (X1, Q1) is buffer amplified at IC61 (pins 2, 4) and then
applied to DDS IC (IC51, pins 5, 10). The DDS IC (IC51)
generates the 438.85 kHz frequency signal and then output
from pin 10. The output signal is applied to the low-pass fil-
ter (L53, C59–C61) and then applied to the 3rd mixer circuit
(MAIN unit) via J952 (pin 13) as the 3rd LO signal.
• 3RD LO FREQUENCY
Mode RX frequency
[kHz]
TX frequency
[kHz]
USB 440.350 440.350
LSB 437.350 437.350
CW 438.850
(–CW PITCH) 438.850
CW-R 438.850
(+CW PITCH) 438.850
RTTY 436.555* 436.555*
RTTY-R 440.975* 436.555*
AM 438.850 438.850
FM 438.850 438.850
*RTTY TONE: 2125 Hz, RTTY SHIFT: 170 Hz
3-4 LOGIC CIRCUITS
3-4-1 BAND SELECTION DATA
Frequency
[MHz]
IC2151
(MAIN)
IC2152
(MAIN)
IC2152
(MAIN)
IC981
(PA)
IC901
(DDS)
HPF
(MAIN) LPF (PA) LOF
(DDS)
0.03–1.599999 B0 L1
LOF1
1.6–1.999999 B1
2.0–3.399999 B2 L2
3.4–3.999999 B3
4.0–6.899999 L3
6.9–7.300000
B4
7.300001–7.999999
L4
8.0–10.999999
11.0–13.899999
13.9–14.350000
B5
14.350001–
14.999999 L5
15.0–20.899999
20.9–21.45
B6
21.450001–
21.999999 L6
22.0–29.999999
30.0–49.999999 T: B1
R: B7
L7 LOF250.0–54.0 B7
54.000001–
59.999999
T: B1
R: B7
60.0–115.512999
L8 L8
LOF3
115.513–
128.999999 LOF4
129.0-148.0
148.000001–
199.999999 LOF5
400.0–470.0 L9 L9 LOF6
3 - 8

3-5-2 MAIN UNIT VOLTAGE LINE
Line Description
3.3 V
Common 3.3 V converted from the 5 V line
by the 3.3 V regulator circuit (IC1801). The
output voltage is applied to the D/A convert-
er ICs (IC2151–IC5155), etc.
5 V
Common 5 V converted from the H V line by
the 5 V regulator circuit (IC1951). The output
voltage is applied to the CODEC IC (LOGIC
unit; IC551), low-pass filters (LOGIC unit;
IC451, IC502), etc.
8 V
Common 8 V line converted from the HV
line by the 8 V regulator circuit (IC1901).
The output voltage is applied to the buffer
amplifiers (IC2101–IC2103), analog switches
(IC2156, IC2251), etc.
T8
Transmit 8 V controlled by the T8 regulator
circuit (Q1703, Q1704) using TXS signal
from the CPU (LOGIC unit; IC1302, pin
106). The output voltage is applied to the RF
switch (Q101), 2nd IF amplifier (Q701), 3rd
IF amplifier (Q901), etc.
R8
Receive 8 V controlled by the R8 regulator
circuit (Q1701, Q1702) using RXS signal
from the CPU (LOGIC unit; IC1302, pin 105).
The output voltage is applied to the 2nd IF
amplifier (Q702), 3rd IF amplifier (Q1001),
3rd mixer (Q1101), etc.
3 - 9
3-6 PORT ALLOCATIONS
3-6-1 SUB-CPU (DISPLAY UNIT; IC2003)
Pin
number
Port
name Description
3, 5 MDBK,
MDAK Input ports for [DIAL].
13, 14 S1AK,
S1BK Input ports for [PBT2/M-ch] control.
15, 16 S2AK,
S2BK Input ports for [PBT1/RIT] control.
21 VRK Input port for [AF] switch.
22 PBTK Input port for [PBT/M-ch] switch.
23 TUNK Input port for [TUNER/CALL] key.
24 TSK Input port for [TS] key.
25 LCKK Input port for [LOCK] key.
26 BUPK Input port for [Y(BAND)] key.
27 BDNK Input port for [Z(BAND)] key.
28 FMSL Input port for the HM-151 connection
detection.
35 PHNK Input port for the headphones
connection detection.
37 LCK Outputs clock signal for the LCD driv-
er (IC506).
Pin
number
Port
name Description
38 LDT Outputs data signal for the LCD driver
(IC506).
39 LDST Outputs strobe signal for the LCD
driver (IC506).
47 FSQS Outputs the squelch control signal.
High : Squelch is opened.
48 RXD
Outputs the RX LED control signal.
High : While receiving or squelch is
opened.
54 BLV Outputs the dimmer control signal for
the LCD backlights.
55 KLV Outputs the dimmer control signal for
the key backlights.
56 TXD Outputs TX LED control signal.
Low : While transmitting.
57 PBT1D
Outputs control signal for [PBT/M-ch/
RIT] indicator.
Low : While the RIT function is ON.
58 PBT2D
Outputs control signal for [PBT/M-ch/
RIT] indicator.
Low : While the PBT function is ON.
70 LRXD Input port for data signal from the
main CPU (LOGIC unit; IC1302).
71 LTXD Outputs data signal to the main CPU
(LOGIC unit; IC1302).
73 AFGL Input port for [AF] control.
74 SQLL Input port for [RF/SQL] control.
75 PTTL
Input port for PTT control signal from
the microphone that is connected to
the FRONT unit.
77 FUDL
Input port for [UP] and [DN] switch-
es from the optional microphone
(HM-103, SM-20) that is connected to
the FRONT [MIC] connector.
78 KI0L
Input port for [MODE], [P.AMP/ATT],
[Y(MENU/GRP)] and [Z(MENU/
GRP)] keys.
79 KI1L Input port for [F-1], [F-2], [F-3] and
[F-4] keys.
80 KI2L Input port for [NB LEV], [NR LEV], [N/
ANF] and [SET/REC] keys.

3 - 10
3-6-2 MAIN CPU (LOGIC UNIT; IC1302)
Pin
number
Port
name Description
26 CYDT Outputs data signal for the clock gen-
erator (IC1201) for display control.
27 CYCK Outputs clock signal for the clock gen-
erator (IC1201) for display control.
29 RTCDT
I/O port for the data signal from/to the
clock IC (IC1304) for clock indication
and timer function.
30 RTCCK
Outputs clock signal for the clock IC
(IC1304) for clock indication and timer
function.
42 LOST Outputs strobe signal for the D/A con-
verter (DDS unit; IC901).
43 MST
Outputs strobe signal for the D/A
converter ICs (MAIN unit; IC2151–
IC2154).
46 MMDK
Input port for the data signal from the
microphone that is connected to the
rear [MIC] connector.
47 DRES Outputs the reset signal for the DSP
ICs (IC301, IC2201).
48 PRES#
Outputs the reset signal for the LCD
controller (IC1226) and DDS IC (DDS
unit; IC301).
49 SQSS
Outputs the squelch control signal for
the ACC connector and connected
microphone.
51 MCK
Outputs clock signal for the D/A
converter ICs (MAIN unit; IC2151–
IC2154).
52 MDT
Outputs serial data signal for the D/A
converter ICs (MAIN unit; IC2151–
IC2154).
57 SDSS
Outputs the signal for H SEND or V
SEND selection.
High : While V SEND is selected.
58 TDAT • Outputs data signal for AT-180.
• Outputs start signal for AH-3/AH-4.
81 DTXD Outputs data signal for the DSP IC
(IC301).
82 DRXD Input port for data signal from the
DSP IC (IC301).
83 2T8V
Outputs the TX band signal.
High : While transmitting the 144 MHz
band.
104 4T8V
Outputs the TX band signal.
High: While transmitting the 430 MHz
band.
105 RXS
Outputs R8 regulator (Q1701, Q1702)
control signal.
Low : While receiving.
106 TXS
Outputs T8 regulator (Q1703, Q1704)
control signal.
Low :While transmitting.
107 POWS Outputs the power control signal .
High :When IC-7000 is power ON.
Pin
number Port name Description
109 ECK Outputs clock signal to the EE-
PROM (IC1301).
110 EDT I/O port for the EEPROM (IC1301).
113 FORL Input port for the forward voltage.
114 REFL Input port for the refl ection voltage .
115 ALCL Input port for ALC level.
116 SNDL
Input port for PTT control signal
from the FRONT unit or ACC con-
nector.
117 DPTL Input port for PTT control signal
from the DATA connector.
118 THML Input port for the temperature de-
tection signal.
119 MUDL
Input port for [UP] and [DN] switch-
es from the optional microphone
(HM-103, SM-20) that is connected
to the rear [MIC] connector.
121,
122
DASK,
DOTK Input ports for [KEY] jack.
124 MMSL Input port for the HM-151 connec-
tion detection.
127 TKEY Input port for tuner ON.
128 TRD Input port for the detected signal for
the tuner unit connection.
133 LTXD Outputs data signal to the sub CPU
(DISPLAY unit; IC2003).
134 LRXD Inputs data signal from the sub
CPU (DISPLAY unit; IC2003).
135 PWRK Input port for [PWR] key.
Low : While [PWR] key is pushed.
137 3DST
Outputs strobe signal to the DDS
IC (DDS unit; IC51) for the 3rd LO
signal.
138 PCK
Outputs clock signal for the DDS
ICs (DDS unit; IC51, IC301) and
D/A converter (DDS unit; IC901).
140 1DST
Output strobe signal to the DDS IC
(DDS unit; IC301) for the 1st LO
signal.
142 PDT
Outputs serial data signal for the
DDS ICs (DDS unit; IC51, IC301)
and D/A converter (DDS unit;
IC901).

2-conductor 3.5 (d) mm (1⁄8″) plug
to [REMOTE] jack
Rear panel
Front panel
JIG plug
Shorten the both terminals
[P.AMP/ATT]
[TUNER/CALL]
[PWR]
KEY ACC DATA MIC
ANT2 ANT1
DC 13.8V
GND
4 - 1
SECTION 4 ADJUSTMENT PROCEDURES
4-1 PREPARATION
Some adjustment must be performed on the adjustment mode.
M REQUIRED TEST EQUIPMENT
EQUIPMENT GRADE AND RANGE EQUIPMENT GRADE AND RENGE
DC power supply Output voltage : 13.8 V DC
Current capacity : 30 A or more Distortion meter Frequency range : 1 kHz ±10 %
Measuring range : 1–100 %
RF power meter
(treminated type)
Measuring range : 0.5–200 W
Frequency range : 1.8–500 MHz
Impedance : 50 Ω
SWR : 1.2 : 1 or better
Oscilloscope Frequency range : DC–100 MHz
Measuring range : 0.01–10 V
Digital multimeter Imput impeadance : 10 MΩ/DC or more
AC millivoltmeter Measuring range : 10 mV to 10 V
Frequency counter
Frequency range : 0.1–500 MHz
Frequency accuracy : ±1 ppm or better
Sensitivity : 100 mV or better
DC voltmeter Input impedance : 50 kΩ/V DC or more
DC ammeter Measuring capability : 5 A/30 A
RF voltmeter Frequency range : 0.1–500 MHz
Measuring range : 0.01–10 V Audio generator Frequency range : 300–3000 Hz
Measuring range : 1–500 mV
Standard signal
generator (SSG)
Frequency range : 0.1–500 MHz
Output level : 0.1 µV to 32 mV
(–127 to –17 dBm)
External speaker Input impedance : 8 Ω
Capacity : 5 W or more
M ENTERING THE ADJUSTMENT MODE
q Turn the transceiver’s power OFF.
w Connect the JIG plug (see illustration below) to [REMOTE] jack on the rear panel.
e While pushing and holding [P.AMP/ATT] and [TUNE/CALL], turn the transceiver power ON.
NOTE: Exiting from the adjustment mode when the transceiver's power is OFF.
M OPERATING ON THE ADJUSTMENT MODE
• Enter DDS adjustment mode. : Push [F-1 (REF)]
• Enter TX adjustment mode. : Push [F-2 (TX)]
• Enter RX adjustment mode. : Push [F-3 (RX)]
• Store the set value. : Push [F-4 (SET)]
• Adjust the value. : Rotate [DIAL]
CAUTION: Connect a dummy load to the antenna con-
nectors during the transmitter adjustment,
when the adjustment condition does not re-
quire a test equipment.
[F-1(REF)] [F-3 (RX)]
[DIAL]
[F-2 (TX)] [F-4 (SET)]

Audio
generator
RF power meter
A200 W/50 Ω
DC power supply
AA13.8 V/30 A Standard signal
aagenerator
AC
millivoltmeter
CAUTION!
DO NOT connect the
signal generator while
transmitting.
Speaker
to [EXT SP]
to [MIC]
to [DC 13.8 V]
to [ANT 1/2]
• Microphone connector (Rear panel view)
Frequency counter
Ammeter
5 A, 30 A
Pin 5
MIC GND
Pin 6
MIC INPUT
–
+
Pin 4
PTT
Millivoltmerter
18
Pin 7
GND
–
+
NOTE! Connect the test equipment to the
micropho0ne connector on the rear panel,
otherwise the transmitter adjustment will not
adjusted properly.
4 - 2
• CONNECTION

4-3 DISPLAY ADJUSTMENT
ADJUSTMENT ADJUSTMENT CONDITION MEASUREMENT VALUE ADJUSTMENT
UNIT LOCATION UNIT ADJUST
DISPLAY 1 • Connect between DISPLAY unit
ground and MAIN unit ground.
• Disconnect J2231 (MAIN unit).
• Receiving
DIS-
PLAY
Connect a frequency
counter to CP536
through a capacitor
(0.0047 µF) and resistor
(1 kΩ) in series.
3.579545 MHz
[USA]
4.433619 MHz
[Others]
DIS-
PLAY
C536
2 • Receiving Connect a frequency
counter to CP505.
15.734 kHz
[USA]
15.625 kHz
[Others]
DIS-
PLAY
R541
After the adjustment, connect J2231 (MAIN unit) and disconnect jumper wire between DISPLAY unit ground
and MAIN unit ground.
4 - 3
4-2 DDS ADJUSTMENT
ADJUSTMENT ADJUSTMENT CONDITION DISPLAY OPERATION
REFERENCE
FREQUENCY
1 • Enter the adjustment mode.
• Push [F1 (REF)].
2• Disconnect P4 from J801 (MAIN
unit).
• Receiving
REF OSC Connect a frequency counter to P4 and
set 124.032000 MHz using [DIAL]. Then
push [F-4 (SET)].
After the adjustment, exit the adjustment mode and connect P4 to J801 (MAIN unit).
4-4 TRANSMITTER ADJUSTMENT
ADJUSTMENT ADJUSTMENT CONDITION DISPLAY OPERATION
DRIVE/FINAL
IDLING
CURRENT
1 • Enter the adjustment mode.
• Push [F-2 (TX)].
2• Connect an RF power meter to
[ANT1] and [ANT2] connectors.
• Apply no audio signals to [MIC]
jack.
• Connect a DC ammeter (5 A
type) between power supply and
transceiver.
• Transmitting
Driver Idle Cur Preset the adjustment value to "00" using
with [DIAL], and check the driving current.
3 Rotate [DIAL] to set adjustment value to
1 A value from the driving current of "00"
value. Then push [F-4 (SET )].
4Final Idle Cur(HF/50M)-1 Preset the adjustment value to "00" using
with [DIAL], and check the driving current.
5 Rotate [DIAL] to set adjustment value to
1 A value from the driving current of "00"
value. Then push [F-4 (SET )].
6Final Idle Cur(HF/50M)-2 Preset the adjustment value to "00" using
with [DIAL], and check the driving current.
7 Rotate [DIAL] to set adjustment value to
1 A value from the driving current of "00"
value. Then push [F-4 (SET )].
8Final Idle Cur(144M) Preset the adjustment value to "00" using
with [DIAL], and check the driving current.
9 Rotate [DIAL] to set adjustment value to
2 A value from the driving current of "00"
value. Then push [F-4 (SET )].
10 Final Idle Cur(430M) Preset the adjustment value to "00" using
with [DIAL], and check the driving current.
11 Rotate [DIAL] to set adjustment value to
2.5 A value from the driving current of
"00" value. Then push [F-4 (SET )].
After the adjustment, exit the adjustment mode.

CP536
Display check point
R541
Display adjustment point
Display check point
CP505
Display adjustment point
Frequency
counter
C536
0.0047µF 1kΩ
4 - 4
• FRONT UNIT
• MAIN UNIT
J2231
Display adjustment
presetting
P4
Reference frequency
check point
J801
Ammeter
DC power
supply
Rear panel view

4 - 5
4-4 TRANSMITTER ADJUSTMENT (continue)
ADJUSTMENT ADJUSTMENT CONDITION MEASUREMENT VALUE ADJUSTMENT
UNIT LOCATION UNIT ADJUST
SWR
DETECTOR
1 • Operating freq : 10.10000 MHz
• MODE : USB
• RF Power : 100%
• MIC Gain : 50%
• Connect an audio generator to
[MIC] connector and set as;
Frequency : 1.5 kHz
• Connect a wire between CP1601
(MAIN unit) and ground.
• Transmitting
REAR
panel
Connect an RF power
meter to [ANT1] connec-
tor.
80 W Audio
genera-
tor
Output
level
2 PA Connect a DC voltmeter
to CP961.
Minimum volt-
age
PA C964
After adjustment, disconnect the wire between CP1601 (MAIN unit) and ground.
TX PEAK 1 REAR
panel
Connect an RF power
meter to [ANT1] connec-
tor.
Maximum out-
put power
MAIN L701
• Operating freq. : 10.10000 MHz
• MODE : USB
• RF Power : 100%
• MIC Gain : 50%
• Preset R1618 (MAIN
unit) as the illustration at
right.
• Preset L604, L612
and L904 (MAIN
unit) as the illustra-
tion at right.
• Connect an audio generator to
[MIC] connector and set as ;
Level : 1.5 kHz/3 mV
( Adjust the audio generator
output level to keep less than
50 W output power.)
• Transmitting
ADJUSTMENT ADJUSTMENT CONDITION DISPLAY OPERATION
TX TOTAL
GAIN
1 • Enter the adjustment mode.
• Push [F-2 (TX)].
2• Connect an RF power meter to
[ANT1] connector.
• Connect an audio generator to
[MIC] connector and set as;
Level : 1.5 kHz/3 mV
• Transmitting
TX Total Gain(HF1)
Set the output power to 50 W using
[DIAL]. Then push [F-4 (SET)].
3
TX Total Gain(HF2)
Set the output power to 50 W using
[DIAL]. Then push [F-4 (SET)].
4
TX Total Gain(HF3)
Set the output power to 50 W using
[DIAL]. Then push [F-4 (SET)].
5
TX Total Gain(50M)
Set the output power to 50 W using
[DIAL]. Then push [F-4 (SET)].
6• Connect an RF power to [ANT2]
connector.
• Transmitting
TX Total Gain(144M)
Set the output power to 25 W using
[DIAL]. Then push [F-4 (SET)].
7
TX Total Gain(430M)
Set the output power to 17.5 W using
[DIAL]. Then push [F-4 (SET)].
Core’s
top

4 - 6
TX peak
adjustment point
TX peak adjustment point
L904
L701
L604
L612
R1618
SWR DETECTOR preset point
CP1601
C964
SWR DETECTOR
adjustment point
CP961
SWR DETECTOR
check point
• MAIN UNIT
• PA UNIT

4-4 TRANSMITTER ADJUSTMENT (Continue)
ADJUSTMENT ADJUSTMENT CONDITION DISPLAY OPERATION
TX OUTPUT
POWER (HF)
1• Connect an RF power meter to
[ANT1] connector.
• Connect an audio generator to
[MIC] connector and set as;
Level : 1.5 kHz/30 mV
• Transmitting
Po Min(HF) Set the output power to 1 W using [DIAL].
Then push [F-4 (SET)] .
2Po Tune(HF) Set the output power to 10 W using
[DIAL]. Then push [F-4 (SET)].
3Po 25%(HF) Set the output power to 25 W using
[DIAL]. Then push [F-4 (SET)].
4Po 50%(HF) Set the output power to 50 W using
[DIAL]. Then push [F-4 (SET)].
5Po(HF APC Low Volt) Set the output power to 75 W using
[DIAL]. Then push [F-4 (SET)].
6Po 100%(HF) Set the output power to 95 W using
[DIAL]. Then push [F-4 (SET)].
7Po Max(HF) Set the output power to 105 W using
[DIAL]. Then push [F-4 (SET)] key.
APC (HF) 1 APC(HF) Push [F-4 (SET)].
TX OUTPUT
POWER (AM)
1• Connect an RF power meter to
[ANT1] connector.
• Apply no audio signal to [MIC]
connector.
• Transmitting
AM POCV Ratio Set the output power to 35 W using
[DIAL]. Then push [F-4 (SET)].
TX OUTPUT
POWER
(50 MHz)
1• Connect an RF power meter to
[ANT1] connector.
• Connect an audio generator to
[MIC] connector and set as;
Level : 1.5 kHz/30 mV
• Transmitting
Po Min(50 M) Set the output power to 1 W using [DIAL].
Then push [F-4 (SET)].
2Po Tune(50 M) Set the output power to 10 W using
[DIAL]. Then push [F-4 (SET)].
3Po 25%(50 M) Set the output power to 25 W using
[DIAL]. Then push [F-4 (SET)].
4Po 50%(50 M) Set the output power to 50 W using
[DIAL]. Then push [F-4 (SET)].
5Po 100%(50 M) Set the output power to 90 W using
[DIAL]. Then push [F-4 (SET)].
6Po Max(50 M) Set the output power to 100 W using
[DIAL]. Then push [F-4 (SET)].
4 - 7

4-4 TRANSMITTER ADJUSTMENT (continue)
ADJUSTMENT ADJUSTMENT CONDITION DISPLAY OPERATION
TX OUTPUT
POWER
(144 MHz)
1• Connect an RF power to [ANT2]
connector.
• Connect an audio generator to
[MIC] connector and set as;
Level : 1.5 kHz/30 mV
• Transmitting
Po Min(144 M) Set the output power to 1 W using [DIAL].
Then push [F-4 (SET)].
2Po 25%(144 M) Set the output power to 12.5 W using
[DIAL]. Then push [F-4 (SET)].
3Po 50%(144 M) Set the output power to 25 W using
[DIAL]. Then push [F-4 (SET)].
4Po 100%(144 M) Set the output power to 45 W using
[DIAL]. Then push [F-4 (SET)].
5Po Max(144 M) Set the output power to 50 W using
[DIAL]. Then push [F-4 (SET)].
APC (VHF) 1 APC(VHF) Push [F-4 (SET)].
TX OUTPUT
POWER
(430 MHz)
1• Connect an RF power meter to
[ANT2] connector.
• Connect an audio generator to
[MIC] connector and set as;
Level : 1.5 kHz/30 mV
• Transmitting
Po Min(430 M) Set the output power to 1 W using [DIAL].
Then push [F-4 (SET)].
2Po 25%(430 M) Set the output power to 8.75 W using
[DIAL]. Then push [F-4 (SET)].
3Po 50%(430 M) Set the output power to 17.5 W using
[DIAL]. Then push [F-4 (SET)].
4Po 100%(430 M) Set the output power to 31.5 W using
[DIAL]. Then push [F-4 (SET)].
5Po Max(430 M) Set the output power to 35 W using
[DIAL]. Then push [F-4 (SET)].
4 - 8

4-4 TRANSMITTER ADJUSTMENT (continue)
ADJUSTMENT ADJUSTMENT CONDITION DISPLAY OPERATION
ALC 1 • Connect an RF power meter to
[ANT1] connector.
• Connect an audio generator to
[MIC] connector and set as;
Level : 1.5 kHz/30 mV
• Transmitting
ALC Push [F-4 (SET)].
Drive Min
(HF/50 MHz)
1• Set an audio generator as;
Level : 1.5 kHz/20 mV
• Transmitting
Drive Min(HF/50 M) Push [F-4 (SET)].
ALC (144 MHz) 1 • Connect an RF power meter to
[ANT2] connector.
• Connect an audio generator to
[MIC] connector and set as;
Level : 1.5 kHz/30 mV
• Transmitting
ALC(144 M) Push [F-4 (SET)].
Drive Min
(144 MHz)
1• Set an audio generator as;
Level : 1.5 kHz/20 mV
• Transmitting
Drive Min(144 M) Push [F-4 (SET)].
ALC (430 MHz) 1 • Connect an RF power meter to
[ANT2] connector.
• Connect an audio generator to
[MIC] connector and set as;
Level : 1.5 kHz/30 mV
• Transmitting
ALC(430 M) Push [F-4 (SET)].
Drive Min
(430 MHz)
1• Set an audio generator as;
Level : 1.5 kHz/20 mV
• Transmitting
Drive Min(430 M) Push [F-4 (SET)].
SWR 1 • Connect a 50 Ω dummy load to
[ANT1] connector.
• Transmitting
SWR=1 Push [F-4 (SET)].
2• Connect a 100 Ω dummy load to
[ANT1] connector.
• Transmitting
SWR=2 Push [F-4 (SET)].
After the adjustment, exit the adjustment mode.
4 - 9
ADJUSTMENT ADJUSTMENT CONDITION
MEASUREMENT
VALUE
ADJUSTMENT
UNIT LOCATION UNIT ADJUST
ID APC 1
REAR
panel
Connect a DC ammeter
(30 A type) between the
DC power supply and
transceiver.
22 A MAIN R1618
After the adjustment, disconnect the wire between CP1601 and ground.
RESIDUAL
AM
1 • Operating freq. : 10.10000 MHz
• MODE : FM
• Connect an audio generator to
[MIC] connector and set as;
Level : 1 kHz/30 mV
• Transmitting
REAR
panel
Connect an RF power
meter to [ANT1] connec-
tor.
Maximum
output power
MAIN L701
• Operating freq. : 18.10000 MHz
• MODE : USB
• Preset R1618 (MAIN
unit) as illustration at
right.
• Connect a wire between CP1601
(MAIN unit) and ground.
• Connect an RF power meter or
dummy load to [ANT1] connec-
tor.
• Connect an audio generator to
[MIC ] connector and set as;
Level : 1.5 kHz/30 mV
• Transmitting

4 - 10
Residual AM
adjustment point
ID APC adjustment point
L701
R1618
ID APC preset point
CP1601
Ammeter
DC power
supply
Rear panel view
• MAIN UNIT

4 - 11
4-5 RECEIVER ADJUSTMENT
ADJUSTMENT ADJUSTMENT CONDITION MEASUREMENT VALUE ADJUSTMENT
UNIT LOCATION UNIT ADJUST
RX PEAK
(HF/50 MHz)
1 • Operating freq : 14.15000 MHz
• MODE : USB
• RIT : OFF
• AGC : FAST
• NB : OFF
• Preamp : ON
• Connect an SSG to [ANT1] con-
nector and set as;
Frequency : 14.15150 MHz
Level : 500 µV* (–53 dBm)
Modulation : OFF
• Receiving
REAR
panel
Connect an AC
millivoltmeter to [EXT
SP] jack with an 8 Ω
load.
Maximum AF
output level
MAIN L702,
L703
*The output level of a standard signal generator (SSG) is indicated as SSG's open circuit.
ADJUSTMENT ADJUSTMENT CONDITION DISPLAY OPERATION
TOTAL GAIN
(HF/50 MHz)
1 • Enter the adjustment mode.
• Push [F-3 (RX)].
2• Connect an SSG to [ANT1] con-
nector and set as;
Level : 500 µV* (–53 dBm)
or OFF
Modulation : OFF
• Connect an AC millivoltmeter to
[EXT SP] jack with an 8 Ω load.
• Receiving
Total Gain(HF/50 M) Set 30 dB of AF level difference between
500 µV and no signal input from the SSG
using with [DIAL]. Then push [F-4 (SET)].
S-METER
(HF/50 MHz)
1• Connect an SSG to [ANT1] con-
nector and set as;
Frequency : 14.15150 MHz
Level : OFF
• Receiving
S0 Level Push [F-4 (SET)].
2• Set an SSG as;
Level : 50 µV* (–73 dBm)
• Receiving
S9 Level Push [F-4 (SET)].
3• Set an SSG as;
Level : 32 mV* (–17 dBm)
• Receiving
S9+60 Level Push [F-4 (SET)].
RECEIVE
SENSITIVITY
(VHF/UHF)
1• Connect an SSG to [ANT2] con-
nector and set as;
Frequency : 60.2015 MHz
Level : 10 µV* (–87 dBm)
Modulation : OFF
• Receiving
Tuned BPF(60 M) Push [F-4 (SET)].
2• Set an SSG as ;
Frequency : 90.8015 MHz
• Receiving
Tuned BPF(90 M) Push [F-4 (SET)].
3• Set an SSG as ;
Frequency : 128.8015 MHz
• Receiving
Tuned BPF(128 M) Push [F-4 (SET)].
4• Set an SSG as ;
Frequency : 129.2015 MHz
• Receiving
Tuned BPF(129 M) Push [F-4 (SET)].
5• Set an SSG as ;
Frequency : 145.3015 MHz
• Receiving
Tuned BPF(145 M) Push [F-4 (SET)].

4 - 12
L703
L702
RX peak
adjustment point
• MAIN UNIT

4 - 13
4-5 RECEIVER ADJUSTMENT (continue)
ADJUSTMENT ADJUSTMENT CONDITION DISPLAY OPERATION
RECEIVE
SENSITIVITY
(VHF/UHF)
6• Set an SSG as ;
Frequency : 169.8015 MHz
• Receiving
Tuned BPF(170 M) Push [F-4 (SET)].
7• Set an SSG as ;
Frequency : 400.2015 MHz
• Receiving
Tuned BPF(400 M) Push [F-4 (SET)].
8• Set an SSG as ;
Frequency : 435.2015 MHz
• Receiving
Tuned BPF(435 M) Push [F-4 (SET)].
9• Set an SSG as ;
Frequency : 469.8015 MHz
• Receiving
Tuned BPF(470 M) Push [F-4 (SET)].
RX
TOTAL GAIN
(VHF/UHF)
1• Connect an SSG to [ANT2] con-
nector and set as;
Frequency : 435.2015 MHz
Level : 500 µV* (–53 dBm)
or OFF
Modulation : OFF
• Connect an AC millivolt meter to
[EXT SP] jack with an 8 Ω load.
• Receiving
Total Gain(144M/430M) Set 25 dB of AF level difference between
500 µV and no signal input from the SSG
using with [DIAL]. Then push [F-4 (SET)].
S-METER
(WFM)
1• Connect an SSG to the [ANT2]
connector and set as;
Frequency : 90.80 MHz
Level : 0.56 µV* (–112 dBm)
Modulation : OFF
• Receiving
S0 Level(WFM) Push [F-4 (SET)].
2• Set an SSG as;
Level : 3.2 µV* (–97 dBm)
• Receiving
S9 Level(WFM) Push [F-4 (SET)].
3• Set an SSG as;
Level : 32 µV* (–77 dBm)
• Receiving
S9+60 Level(WFM) Push [F-4 (SET)].
After the adjustment, exit the adjustment mode.
*The output level of a standard signal generator (SSG) is indicated as SSG's open circuit.
ADJUSTMENT ADJUSTMENT CONDITION MEASUREMENT VALUE ADJUSTMENT
UNIT LOCATION UNIT ADJUST
WFM
DISTORTION
1• Operating freq : 90.00000 MHz
MODE : WFM
Preamp : ON
• Connect an SSG to [ANT2] con-
nector and set as;
Frequency : 90.0000 MHz
Level : 3.2 µV* (–97 dBm)
Modulation : 1 kHz
Deviation : 50 kHz
• Receiving
REAR
panel
Connect a distortion me-
ter to [EXT SP] jack with
an 8 Ω load.
Minimum AF
distortion level
MAIN C1423

4 - 14
C1423
WFM distortion
adjustment point
• MAIN UNIT

5 - 1
SECTION 5 PARTS LIST
M.=Mounted side (T: Mounted on the Top side, B: Mounted on the Bottom side)
REF ORDER DESCRIPTION M. H/V
NO. NO.
LOCATION
[FRONT UNIT]
DS1 5030002820 LCD LTA025A161A
W1 8900013940 CBL OPC-1447 (N=10, L=30)
W2 8900013990 CBL OPC-1445
EP1 880001670 UBD EX-2822 #01
L1 6190001561 S.COL CDRH5D18NP-101NC B 68.4/6.3
L2 6190001561 S.COL CDRH5D18NP-101NC B 34.6/5.2
L3 6200002041 S.COL NLV25T-101J B 30.7/10.4
L51 6190001561 S.COL CDRH5D18NP-101NC B 55.9/6.2
L53 6200002041 S.COL NLV25T-101J B 60.9/10.9
L101 6200001831 S.COL NLV32T-100J B 96/11.6
L151 6200001831 S.COL NLV32T-100J B 96/8.6
L152 6200001831 S.COL NLV32T-100J B 100.6/11.4
L251 6200003950 S.COL HF50ACC 322513-T B 145.9/44
L252 6200003950 S.COL HF50ACC 322513-T B 146/50.6
L301 6200002041 S.COL NLV25T-101J B 109.6/16.7
L302 6200005011 S.COL NLV25T-100J T 112.6/24
L303 6200002041 S.COL NLV25T-101J T 112/20.3
L306 6200003261 S.COL NLV32T-101J T 109.8/25.5
L307 6200002041 S.COL NLV25T-101J T 115.4/26.6
L309 6200002041 S.COL NLV25T-101J T 115.3/24
L310 6200002041 S.COL NLV25T-101J T 115.4/21.5
L312 6200002041 S.COL NLV25T-101J T 115.4/19
L313 6200002041 S.COL NLV25T-101J T 115.7/16.3
L505 6200005521 S.COL NLV25T-470J B 71.2/47.9
L506 6200005011 S.COL NLV25T-100J B 67.9/20.2
L507 6200005011 S.COL NLV25T-100J B 50.2/29
L508 6200005011 S.COL NLV25T-100J B 49.3/24.3
L509 6200005011 S.COL NLV25T-100J B 17.4/35.6
L601 6200002041 S.COL NLV25T-101J B 70.6/25.2
L602 6200005011 S.COL NLV25T-100J B 53.5/36.2
L603 6200005011 S.COL NLV25T-100J B 51/43.6
L604 6200005011 S.COL NLV25T-100J B 53.5/43.6
L605 6200005011 S.COL NLV25T-100J B 50.9/36.2
L651 6200002041 S.COL NLV25T-101J B 19.1/42.7
L701 6200002041 S.COL NLV25T-101J B 21.1/37.5
L702 6200002041 S.COL NLV25T-101J B 65.4/10.9
L703 6200002041 S.COL NLV25T-101J B 27.9/11.3
L801 6200005011 S.COL NLV25T-100J B 63.4/16.9
L802 6200002041 S.COL NLV25T-101J B 19.1/47.5
L851 6200003950 S.COL HF50ACC 322513-T B 33.2/17.2
L852 6200003950 S.COL HF50ACC 322513-T B 35/21.3
L853 6200002041 S.COL NLV25T-101J B 34.4/26.6
L854 6200002041 S.COL NLV25T-101J B 34.4/24.1
L855 6200003950 S.COL HF50ACC 322513-T B 36.4/17.2
R1 7030008141 S.RES ERA3YKD 224V (220 kΩ) B 33.4/9.6
R2 7030005671 S.RES ERA3YKD 393V (39 kΩ) B 33.4/11.6
R3 7030008051 S.RES ERA3YKD 184V (180 kΩ) B 42.6/6.4
R4 7030005050 S.RES ERJ2GEJ 103 X (10 kΩ) B 40.9/6.8
R5 7030005050 S.RES ERJ2GEJ 103 X (10 kΩ) B 40.9/7.7
R51 7030008141 S.RES ERA3YKD 224V (220 kΩ) B 49.7/10.8
R52 7030007911 S.RES ERA3YKD 563V (56 kΩ) B 48.5/10.8
R53 7030006561 S.RES ERA3YED 223V (22 kΩ) B 46.5/11.8
R54 7030005050 S.RES ERJ2GEJ 103 X (10 kΩ) B 47.9/8.4
R55 7030005050 S.RES ERJ2GEJ 103 X (10 kΩ) B 48.8/8.4
R201 7030010040 S.RES ERJ2GEJ-JPW B 109.6/38
R202 7030010040 S.RES ERJ2GEJ-JPW B 109.6/39
R251 7030005120 S.RES ERJ2GEJ 102 X (1 kΩ) B 136.5/49.6
R252 7030000300 S.RES MCR10EZHJ 220
Ω B 133.9/47.3
R253 7030000300 S.RES MCR10EZHJ 220
Ω B 142/50.8
R254 7030000300 S.RES MCR10EZHJ 220
Ω B 133.9/49
R255 7030000300 S.RES MCR10EZHJ 220
Ω T 143.2/50.7
R301 7030005120 S.RES ERJ2GEJ 102 X (1 kΩ) B 113.2/32
R302 7030005050 S.RES ERJ2GEJ 103 X (10 kΩ) T 114/30.4
R303 7030005120 S.RES ERJ2GEJ 102 X (1 kΩ) B 111/33.4
R304 7030007300 S.RES ERJ2GEJ 332 X (3.3 kΩ) B 111.9/33.4
R305 7030007300 S.RES ERJ2GEJ 332 X (3.3 kΩ) B 113.2/32.9
R306 7030005120 S.RES ERJ2GEJ 102 X (1 kΩ) T 114.9/11
R307 7030005050 S.RES ERJ2GEJ 103 X (10 kΩ) B 111.3/8.4
R308 7030005230 S.RES ERJ2GEJ 334 X (330 kΩ) B 113.8/5.3
R309 7030005310 S.RES ERJ2GEJ 124 X (120 kΩ) B 112/5.3
R310 7030008010 S.RES ERJ2GEJ 123 X (12 kΩ) B 110.2/5.3
R521 7030008370 S.RES ERJ2GEJ 561 X (560 Ω) B 60.8/46.1
R522 7030010040 S.RES ERJ2GEJ-JPW B 65.3/47.4
R523 7030010040 S.RES ERJ2GEJ-JPW B 65.4/48.7
R524 7030010900 S.RES ERJ3GEYJ 750 V (75 Ω) B 63.1/48.9
R528 7030010040 S.RES ERJ2GEJ-JPW B 60.8/42.6
R529 7030005050 S.RES ERJ2GEJ 103 X (10 kΩ) B 58.6/43.8
R530 7030005080 S.RES ERJ2GEJ 823 X (82 kΩ) B 60.8/43.6
R531 7030009290 S.RES ERJ2GEJ 562 X (5.6 kΩ) B 76.3/42.9
R532 7030005050 S.RES ERJ2GEJ 103 X (10 kΩ) B 60.8/37.2
R533 7030010040 S.RES ERJ2GEJ-JPW B 56.5/32.3
R534 7030010040 S.RES ERJ2GEJ-JPW B 60.8/36
R536 7030010040 S.RES ERJ2GEJ-JPW B 62.6/29
R537 7030010040 S.RES ERJ2GEJ-JPW B 64.6/29
R538 7030010040 S.RES ERJ2GEJ-JPW B 66.6/29
S.=Surface mount
REF ORDER DESCRIPTION M. H/V
NO. NO.
LOCATION
[DISPLAY UNIT]
IC1 6910016730 S.DCC XC9504B092ARN B 44.4/9.4
IC101 1180001071 S.IC TA7805F (TE16L, Q) B 90.3/6.9
IC151 1180002201 S.IC RN5RZ33BA-TR-F B 99.9/4.8
IC301 1110002751 S.IC TA75S01F (TE85R, F) B 113.8/7.5
IC506 1120003010 S.IC AN2533FH-V B 69/38.5
IC651 1110005420 S.IC BA15532F-E2 B 4.1/25.6
IC2003 1140013140 S.IC HD64338020SB68HV B 93/26.3
IC2007 1110005821 S.IC R3112N281A-TR-F B 108.7/46.9
Q1 1550000090 S.FET RSQ035P03TR B 39.4/9.8
Q51 1560001330 S.FET RSR025N03 B 52.1/10.6
Q301 1560001290 S.FET 2SK3065 T100 T 110.8/31.4
Q302 1590003520 S.TR BCR108T T 116.7/10.2
Q303 1590003530 S.TR BCR08PN T 113.1/11.5
Q651 1590001650 S.TR XP4601 (TX) B 10.6/28.8
Q652 1590001650 S.TR XP4601 (TX) B 11.1/20.6
Q653 1590001650 S.TR XP4601 (TX) B 10.6/26.2
Q654 1590001650 S.TR XP4601 (TX) B 11.1/17
Q701 1530002060 S.TR 2SC4081 T106 R T 19.1/50.3
Q721 1530002060 S.TR 2SC4081 T106 R T 22/5.8
Q741 1530002060 S.TR 2SC4081 T106 R T 94/50.1
Q761 1530002060 S.TR 2SC4081 T106 R T 104.2/50.1
Q771 1530002060 S.TR 2SC4081 T106 R T 18.4/25.1
Q781 1530002060 S.TR 2SC4081 T106 R T 5.3/23.6
Q802 1520000460 S.TR 2SB1132 T100 R B 58.8/21.6
Q2001 1590003520 S.TR BCR108T B 81.6/23.7
Q2002 1590003570 S.TR BCR183T B 81.2/30.1
D1 1790000970 S.DIO MA729 (TX) B 36.8/10.1
D51 1750000730 S.DIO MA2SD1000L B 51/8
D301 1790001250 S.DIO MA2S111-(TX) B 111/32
D302 1790001520 S.ZEN MA8075-L (TX) B 109.9/7.6
D601 1750000950 S.DIO MA732 (TX) B 51.5/40
D602 1750000950 S.DIO MA732 (TX) B 53.3/40
D801 1730002340 S.ZEN MA8047-M (TX) B 35/40.4
D802 1730002340 S.ZEN MA8047-M (TX) B 39.8/25.8
D803 1730002340 S.ZEN MA8047-M (TX) B 38.6/22
D804 1730002340 S.ZEN MA8047-M (TX) B 41.8/23
D2001 1750000950 S.DIO MA732 (TX) T 107.4/26.5
D2002 1790001670 S.DIO RB706F-40T106 B 76.6/16.8
D2003 1790001670 S.DIO RB706F-40T106 T 116.4/36.7
D2004 1750000370 S.DIO DA221 TL T 100.6/41.8
D2005 1750000370 S.DIO DA221 TL B 101.7/42.8
D2006 1750000370 S.DIO DA221 TL B 107.3/5.9
X501 6050012140 S.XTL CR-805 [USA] B 87/43.5
6050012150 S.XTL CR-806 [Others] B 87/43.5
X2001 6050011550 S.XTL CR-747 B 106.5/27
REF ORDER DESCRIPTION M. H/V
NO. NO.
LOCATION
[DISPLAY UNIT]
[REPLACEMENT UNITS]
ORDER NO. UNIT NAME
0324270102
0324270105
U 7000 #02 FRONT
U 7000 #05 FRONT
[EUR], [FRA], [ESP], [EXP], [UK]
[USA]

5 - 2
M.=Mounted side (T: Mounted on the Top side, B: Mounted on the Bottom side)
REF ORDER DESCRIPTION M. H/V
NO. NO.
LOCATION
[DISPLAY UNIT]
R539 7030005720 S.RES ERJ2GEJ 563 X (56 kΩ) B 69.6/29
R540 7030010040 S.RES ERJ2GEJ-JPW B 68.6/29
R541 7310004650 S.TRI EVM-2WSX80 B53 B 53.3/49.2
R544 7030010040 S.RES ERJ2GEJ-JPW B 60.8/39.6
R545 7030005720 S.RES ERJ2GEJ 563 X (56 kΩ) B 60.8/32
R546 7030010040 S.RES ERJ2GEJ-JPW B 60.8/34
R547 7030010040 S.RES ERJ2GEJ-JPW B 59.2/34.8
R548 7030010040 S.RES ERJ2GEJ-JPW B 60.8/33
R549 7030010040 S.RES ERJ2GEJ-JPW B 63.6/29
R550 7030010040 S.RES ERJ2GEJ-JPW B 65.6/29
R551 7030010040 S.RES ERJ2GEJ-JPW B 67.6/29
R553 7030010040 S.RES ERJ2GEJ-JPW B 59.5/43.8
R601 7030008410 S.RES ERJ2GEJ 392 X (3.9 kΩ) B 72.7/24.9
R602 7030008410 S.RES ERJ2GEJ 392 X (3.9 kΩ) B 74.5/24.9
R603 7030008410 S.RES ERJ2GEJ 392 X (3.9 kΩ) B 75.4/24.9
R604 7030008410 S.RES ERJ2GEJ 392 X (3.9 kΩ) B 77.2/24.9
R605 7030008410 S.RES ERJ2GEJ 392 X (3.9 kΩ) B 75.3/30.2
R606 7030008410 S.RES ERJ2GEJ 392 X (3.9 kΩ) B 76.3/24.9
R608 7030010040 S.RES ERJ2GEJ-JPW B 48.8/36.8
R609 7030005040 S.RES ERJ2GEJ 472 X (4.7 kΩ) B 48.8/45.3
R610 7030010040 S.RES ERJ2GEJ-JPW B 48.8/42.3
R612 7030005040 S.RES ERJ2GEJ 472 X (4.7 kΩ) B 48.8/43.3
R651 7030005050 S.RES ERJ2GEJ 103 X (10 kΩ) B 5.5/19.6
R652 7030005220 S.RES ERJ2GEJ 223 X (22 kΩ) B 0.8/25.7
R653 7030005060 S.RES ERJ2GEJ 333 X (33 kΩ) B 5.5/21.4
R654 7030005070 S.RES ERJ2GEJ 683 X (68 kΩ) B 0.8/23.9
R655 7030005090 S.RES ERJ2GEJ 104 X (100 kΩ) B 4.1/30.7
R656 7030005110 S.RES ERJ2GEJ 224 X (220 kΩ) B 0.8/27.4
R657 7030005060 S.RES ERJ2GEJ 333 X (33 kΩ) B 1.8/30.3
R658 7030005090 S.RES ERJ2GEJ 104 X (100 kΩ) B 4.1/29.8
R659 7030003600 S.RES ERJ3GEYJ 223 V (22 kΩ) B 8.4/28.5
R660 7030005720 S.RES ERJ2GEJ 563 X (56 kΩ) B 13.2/29.9
R661 7030005220 S.RES ERJ2GEJ 223 X (22 kΩ) B 13.7/27.1
R662 7030007350 S.RES ERJ2GEJ 393 X (39 kΩ) B 13.7/28.7
R663 7030005220 S.RES ERJ2GEJ 223 X (22 kΩ) B 13.2/20.6
R664 7030007340 S.RES ERJ2GEJ 153 X (15 kΩ) B 5.7/29.8
R665 7030003600 S.RES ERJ3GEYJ 223 V (22 kΩ) B 8.9/20.6
R666 7030004980 S.RES ERJ2GEJ 101 X (100 Ω) B 13.1/25.3
R667 7030004980 S.RES ERJ2GEJ 101 X (100 Ω) B 11.1/18.8
R668 7030004980 S.RES ERJ2GEJ 101 X (100 Ω) B 9.7/24.2
R669 7030004980 S.RES ERJ2GEJ 101 X (100 Ω) B 13.6/16.2
R701 7030004990 S.RES ERJ2GEJ 221 X (220 Ω) T 18.4/48
R702 7030007280 S.RES ERJ2GEJ 331 X (330 Ω) T 19.7/48
R703 7030007290 S.RES ERJ2GEJ 222 X (2.2 kΩ) T 25.1/41
R704 7030005040 S.RES ERJ2GEJ 472 X (4.7 kΩ) T 16.6/17.2
R705 7030007340 S.RES ERJ2GEJ 153 X (15 kΩ) T 18.7/6.4
R721 7030004990 S.RES ERJ2GEJ 221 X (220 Ω) T 20.2/6.2
R722 7030007280 S.RES ERJ2GEJ 331 X (330 Ω) T 23.8/5.6
R723 7030003480 S.RES ERJ3GEYJ 222 V (2.2 kΩ) T 47.5/2.4
R724 7030003520 S.RES ERJ3GEYJ 472 V (4.7 kΩ) T 61.8/2.4
R725 7030003580 S.RES ERJ3GEYJ 153 V (15 kΩ) T 75.9/2.4
R741 7030004990 S.RES ERJ2GEJ 221 X (220 Ω) T 92.2/49.7
R742 7030007280 S.RES ERJ2GEJ 331 X (330 Ω) T 95.7/49.6
R743 7030007290 S.RES ERJ2GEJ 222 X (2.2 kΩ) T 102.1/35
R744 7030005040 S.RES ERJ2GEJ 472 X (4.7 kΩ) T 102.1/25.5
R745 7030007340 S.RES ERJ2GEJ 153 X (15 kΩ) T 100.6/8.6
R761 7030004990 S.RES ERJ2GEJ 221 X (220 Ω) T 103.1/48.2
R762 7030007280 S.RES ERJ2GEJ 331 X (330 Ω) T 104.8/47.8
R771 7030004990 S.RES ERJ2GEJ 221 X (220 Ω) T 18.7/28.9
R772 7030007280 S.RES ERJ2GEJ 331 X (330 Ω) T 18.1/29.9
R781 7030004990 S.RES ERJ2GEJ 221 X (220 Ω) T 3.5/22.4
R782 7030007280 S.RES ERJ2GEJ 331 X (330 Ω) T 3.5/24.2
R801 7030005240 S.RES ERJ2GEJ 473 X (47 kΩ) B 62/21.8
R802 7030007270 S.RES ERJ2GEJ 151 X (150 Ω) B 62/20
R803 7030005120 S.RES ERJ2GEJ 102 X (1 kΩ) B 62/23.6
R2002 7030005240 S.RES ERJ2GEJ 473 X (47 kΩ) T 110.4/40.7
R2003 7030005050 S.RES ERJ2GEJ 103 X (10 kΩ) T 24.6/24.3
R2004 7030005050 S.RES ERJ2GEJ 103 X (10 kΩ) T 24.6/26.3
R2005 7030005050 S.RES ERJ2GEJ 103 X (10 kΩ) T 24.6/23.3
R2006 7030005050 S.RES ERJ2GEJ 103 X (10 kΩ) T 24.6/25.3
R2007 7030007290 S.RES ERJ2GEJ 222 X (2.2 kΩ) T 107.6/24.4
R2008 7030005220 S.RES ERJ2GEJ 223 X (22 kΩ) B 78.2/18.4
R2009 7030005240 S.RES ERJ2GEJ 473 X (47 kΩ) T 107.8/33
R2010 7030005090 S.RES ERJ2GEJ 104 X (100 kΩ) B 79.6/16.9
R2011 7030005160 S.RES ERJ2GEJ 105 X (1 MΩ) B 103.3/26.9
R2012 7030008010 S.RES ERJ2GEJ 123 X (12 kΩ) B 103.3/23.3
R2013 7030005240 S.RES ERJ2GEJ 473 X (47 kΩ) B 96.7/37.9
R2014 7030005290 S.RES ERJ2GEJ 682 X (6.8 kΩ) T 24.1/41
R2015 7030005050 S.RES ERJ2GEJ 103 X (10 kΩ) B 106/44.6
R2016 7030005240 S.RES ERJ2GEJ 473 X (47 kΩ) B 92.1/37.9
R2017 7030005290 S.RES ERJ2GEJ 682 X (6.8 kΩ) T 33.4/3.7
R2018 7030005290 S.RES ERJ2GEJ 682 X (6.8 kΩ) T 102.2/41.8
R2019 7030005240 S.RES ERJ2GEJ 473 X (47 kΩ) B 82/32.6
R2020 7030003450 S.RES ERJ3GEYJ 122 V (1.2 kΩ) B 91.2/43.1
R2021 7030005240 S.RES ERJ2GEJ 473 X (47 kΩ) B 97.1/40.8
R2022 7030005240 S.RES ERJ2GEJ 473 X (47 kΩ) B 92.3/42.3
R2023 7030005240 S.RES ERJ2GEJ 473 X (47 kΩ) B 100.1/42.8
R2024 7030005240 S.RES ERJ2GEJ 473 X (47 kΩ) B 94.3/42.3
R2025 7030005240 S.RES ERJ2GEJ 473 X (47 kΩ) B 93.3/42.3
R2026 7030005240 S.RES ERJ2GEJ 473 X (47 kΩ) B 72.5/16.9
R2027 7030005240 S.RES ERJ2GEJ 473 X (47 kΩ) B 70.6/16.9
R2028 7030005240 S.RES ERJ2GEJ 473 X (47 kΩ) B 98.9/42.8
R2029 7030005240 S.RES ERJ2GEJ 473 X (47 kΩ) B 73.5/16.9
R2030 7030007270 S.RES ERJ2GEJ 151 X (150 Ω) T 108/11.8
R2031 7030007280 S.RES ERJ2GEJ 331 X (330 Ω) T 108.8/40.1
R2033 7030007270 S.RES ERJ2GEJ 151 X (150 Ω) T 19.4/20.3
R2034 7030005120 S.RES ERJ2GEJ 102 X (1 kΩ) B 32.1/28.3
R2035 7030005120 S.RES ERJ2GEJ 102 X (1 kΩ) B 32.5/30.9
R2036 7030005240 S.RES ERJ2GEJ 473 X (47 kΩ) B 94.9/37.9
R2037 7030005240 S.RES ERJ2GEJ 473 X (47 kΩ) B 93.9/37.9
R2039 7030005240 S.RES ERJ2GEJ 473 X (47 kΩ) T 107.6/23.5
R2040 7030007340 S.RES ERJ2GEJ 153 X (15 kΩ) B 116.3/8.7
R2041 7030007340 S.RES ERJ2GEJ 153 X (15 kΩ) B 116.2/7.7
R2042 7030005050 S.RES ERJ2GEJ 103 X (10 kΩ) B 81.6/31.7
C2 4030018960 S.CER C3216 JB 1C 106MT-N B 62.2/7
C3 4030018960 S.CER C3216 JB 1C 106MT-N B 77/9.8
C4 4030017420 S.CER ECJ0EC1H470J B 35.3/10.6
C6 4030018960 S.CER C3216 JB 1C 106MT-N B 28/6
C8 4030018960 S.CER C3216 JB 1C 106MT-N B 30.1/6
C9 4030018960 S.CER C3216 JB 1C 106MT-N B 39.1/4.4
C51 4030017420 S.CER ECJ0EC1H470J B 49.7/8.4
C53 4030018960 S.CER C3216 JB 1C 106MT-N B 51.6/4.3
C55 4030018960 S.CER C3216 JB 1C 106MT-N B 56.2/11
C56 4030018960 S.CER C3216 JB 1C 106MT-N B 61.9/3.6
C57 4030017490 S.CER C1608 JB 1A 105K-T B 43.9/11.8
C101 4030018960 S.CER C3216 JB 1C 106MT-N B 85.7/6.3
C102 4030018960 S.CER C3216 JB 1C 106MT-N B 94.7/4.6
C103 4030016930 S.CER ECJ0EB1A104K B 91.1/12.2
C104 4030016930 S.CER ECJ0EB1A104K B 89.5/12.2
C151 4550006250 S.TAN TEESVA 1A 106M8R B 97/4.6
C152 4550006250 S.TAN TEESVA 1A 106M8R B 100.7/7.7
C153 4030016930 S.CER ECJ0EB1A104K B 99.7/2.6
C154 4030016930 S.CER ECJ0EB1A104K B 99.6/9.3
C251 4030017730 S.CER ECJ0EB1E471K B 147.5/46.4
C252 4030017730 S.CER ECJ0EB1E471K B 147.5/48.3
C253 4030017730 S.CER ECJ0EB1E471K B 144.4/48.3
C254 4030017730 S.CER ECJ0EB1E471K B 144.4/46.4
C301 4030017780 S.CER ECJ0EB1E472K T 108.3/19.9
C302 4030017780 S.CER ECJ0EB1E472K T 108.2/28.7
C303 4030006880 S.CER C1608 JB 1H 472K-T T 113/27
C304 4030017780 S.CER ECJ0EB1E472K B 113.2/33.8
C305 4030017780 S.CER ECJ0EB1E472K T 114.9/12.6
C306 4030017780 S.CER ECJ0EB1E472K B 113.8/4.3
C312 4030017780 S.CER ECJ0EB1E472K T 108.2/29.6
C315 4030017780 S.CER ECJ0EB1E472K B 25.2/19.9
C316 4030017780 S.CER ECJ0EB1E472K B 26.1/19.9
C317 4030017780 S.CER ECJ0EB1E472K B 27/19.9
C318 4030017780 S.CER ECJ0EB1E472K B 23.9/19.8
C319 4030017780 S.CER ECJ0EB1E472K B 27.2/32.5
C320 4030017780 S.CER ECJ0EB1E472K B 26.3/32.5
C321 4030017780 S.CER ECJ0EB1E472K B 25.5/31.1
C322 4030017780 S.CER ECJ0EB1E472K T 24.6/27.3
C501 4550007140 S.TAN TEESVD 1C 107M12R B 53.3/20.9
C502 4550007140 S.TAN TEESVD 1C 107M12R B 45.3/20.9
C513 4030016930 S.CER ECJ0EB1A104K B 64.3/47.4
C514 4030016930 S.CER ECJ0EB1A104K B 63.3/47.4
C515 4030017490 S.CER C1608 JB 1A 105K-T B 61.5/44.9
C516 4030018910 S.CER C1608 JB 0J 475K-T B 67.7/48.9
C517 4030017490 S.CER C1608 JB 1A 105K-T B 75.6/47.9
C518 4030017650 S.CER ECJ0EC1H270J [Others] B 73.4/47.4
4030017670 S.CER ECJ0EC1H390J [USA] B 73.4/47.4
C519 4030016930 S.CER ECJ0EB1A104K B 76.9/48.4
C520 4030016930 S.CER ECJ0EB1A104K B 74.4/47.4
C521 4030018960 S.CER C3216 JB 1C 106MT-N B 65.6/20.6
C522 4030016930 S.CER ECJ0EB1A104K B 69.7/19.8
C523 4030018970 S.CER C3225 JB 1C 226MT-N B 53.4/28.9
C524 4030017700 S.CER ECJ0EC1H151J B 59/42.6
C525 4030016930 S.CER ECJ0EB1A104K B 55.4/30.3
C526 4030018090 S.CER ECJ0EB1C822K B 59.2/35.8
C527 4030018100 S.CER ECJ0EB1H681K B 59/45.9
C528 4030017730 S.CER ECJ0EB1E471K B 59/45
C529 4030018970 S.CER C3225 JB 1C 226MT-N B 58.4/40
C530 4030016930 S.CER ECJ0EB1A104K B 77.2/39.1
C531 4030018970 S.CER C3225 JB 1C 226MT-N B 81.3/35.9
C532 4030016930 S.CER ECJ0EB1A104K B 77.2/36.6
C533 4030017490 S.CER C1608 JB 1A 105K-T B 77/44.5
C534 4030016970 S.CER ECJ0EB1C223K B 77.5/42.5
C536 4610001850 S.TRI TZB4R200AB10R00 B 81/39.7
C537 4030016930 S.CER ECJ0EB1A104K B 77.2/40.1
C538 4030016930 S.CER ECJ0EB1A104K B 77.2/37.6
C539 4030018910 S.CER C1608 JB 0J 475K-T B 77.7/34.9
C540 4030018910 S.CER C1608 JB 0J 475K-T B 58.5/37
C541 4030018970 S.CER C3225 JB 1C 226MT-N B 59.2/28.9
C542 4030018910 S.CER C1608 JB 0J 475K-T B 77.7/33.6
C543 4030018960 S.CER C3216 JB 1C 106MT-N B 80/46.5
C544 4030018910 S.CER C1608 JB 0J 475K-T B 77.7/32.3
C545 4030011600 S.CER C1608 JB 1E 104K-T B 77/46.3
C549 4030018960 S.CER C3216 JB 1C 106MT-N B 71.7/28.8
C550 4030018960 S.CER C3216 JB 1C 106MT-N B 77/28.8
C551 4030018960 S.CER C3216 JB 1C 106MT-N B 73.8/28.8
S.=Surface mount
REF ORDER DESCRIPTION M. H/V
NO. NO.
LOCATION
[DISPLAY UNIT]

M.=Mounted side (T: Mounted on the Top side, B: Mounted on the Bottom side)
REF ORDER DESCRIPTION M. H/V
NO. NO.
LOCATION
[DISPLAY UNIT]
C559 4030017460 S.CER ECJ0EB1E102K B 29.3/43.9
C560 4030018960 S.CER C3216 JB 1C 106MT-N B 17/33.2
C561 4030017330 S.CER ECJ0EF1C104Z B 7.3/30.7
C562 4030017780 S.CER ECJ0EB1E472K B 6.1/30.9
C601 4030016930 S.CER ECJ0EB1A104K B 73.6/24.9
C602 4030016930 S.CER ECJ0EB1A104K B 48.8/44.3
C603 4030016930 S.CER ECJ0EB1A104K B 55/39.4
C604 4030018960 S.CER C3216 JB 1C 106MT-N B 55.8/36.3
C605 4030016930 S.CER ECJ0EB1A104K B 52.5/46.6
C606 4030018960 S.CER C3216 JB 1C 106MT-N B 50.7/48
C607 4030011600 S.CER C1608 JB 1E 104K-T B 55.4/40.6
C608 4030018960 S.CER C3216 JB 1C 106MT-N B 55.8/43.7
C609 4030011600 S.CER C1608 JB 1E 104K-T B 50.5/31.8
C610 4030018960 S.CER C3216 JB 1C 106MT-N B 52.3/33.5
C611 4550007220 S.TAN F931A476MCMBMA B 73.4/22.1
C651 4030018960 S.CER C3216 JB 1C 106MT-N B 16.9/17.6
C652 4030018960 S.CER C3216 JB 1C 106MT-N B 6.7/17.1
C653 4030011600 S.CER C1608 JB 1E 104K-T B 15.7/19.3
C654 4030017490 S.CER C1608 JB 1A 105K-T B 3.5/20.4
C655 4030016790 S.CER ECJ0EB1C103K B 0.8/30.3
C656 4030019090 S.CER C2012 JB 1C 225M-T B 7.8/25.5
C657 4030018520 S.CER C1608 JB 0J 225M-T B 7/20.6
C658 4030017650 S.CER ECJ0EC1H270J B 5.5/20.5
C659 4030017780 S.CER ECJ0EB1E472K B 15.2/20.3
C701 4030018960 S.CER C3216 JB 1C 106MT-N B 4.6/32.4
C702 4030018960 S.CER C3216 JB 1C 106MT-N B 48.9/19
C801 4030016930 S.CER ECJ0EB1A104K B 62.9/19.7
C802 4030011600 S.CER C1608 JB 1E 104K-T B 21.5/48.5
C851 4030017780 S.CER ECJ0EB1E472K B 32.1/23.9
C852 4030018960 S.CER C3216 JB 1C 106MT-N B 40.3/15.8
C2001 4030018520 S.CER C1608 JB 0J 225M-T B 78.5/16.7
C2002 4030017780 S.CER ECJ0EB1E472K T 114.8/34.7
C2003 4030017630 S.CER ECJ0EC1H120J B 103.3/28.7
C2004 4030017630 S.CER ECJ0EC1H120J B 103.3/25.1
C2005 4030016790 S.CER ECJ0EB1C103K B 103.3/35.7
C2006 4030016930 S.CER ECJ0EB1A104K B 98/37.9
C2007 4030018960 S.CER C3216 JB 1C 106MT-N B 105.8/47.7
C2008 4030017030 S.CER ECJ0EB1A273K B 109.7/44.6
C2009 4030016930 S.CER ECJ0EB1A104K B 99/37.9
C2010 4030016930 S.CER ECJ0EB1A104K B 100/37.9
C2011 4030016930 S.CER ECJ0EB1A104K B 79.6/29.7
C2012 4030017780 S.CER ECJ0EB1E472K B 95.8/37.9
C2013 4030017780 S.CER ECJ0EB1E472K B 93/37.9
C2014 4030016930 S.CER ECJ0EB1A104K T 110.4/41.7
C2015 4030016930 S.CER ECJ0EB1A104K B 103.3/35.7
C2016 4030016930 S.CER ECJ0EB1A104K B 83.5/28
J202 6510023801 S.CNR S4B-ZR-SM4A-TF (LF) (SN) B 115.9/39.4
J251 6510024680 S.CNR HSJ1636-011020 B 154.7/45.8
J303 6510021431 S.CNR S8B-ZR-SM4A-TF (LF) (SN) B 115.9/20.9
J401 6510024840 S.CNR 52746-1070 B 21.3/26.3
J601 6510024780 S.CNR 52437-2472 B 45.1/42
J2001 6510024790 S.CNR 52559-1072 B 96.9/47.6
DS805 5040003190 S.LED NSSW008B T 29.5/39.4
DS806 5040003190 S.LED NSSW008B T 29.4/31.4
DS807 5040003190 S.LED NSSW008B T 29.4/24.1
DS808 5040003190 S.LED NSSW008B T 29.5/16.1
DS2001 5040002930 S.LED SML-512MW T86 T 110.2/15.8
DS2002 5040002020 S.LED CL-170UR-CD-T T 110.2/36.8
DS2004 5040002930 S.LED SML-512MW T86 T 11.4/20.5
S201 2230001160 S.SW SPVP110100 T 157.7/34.3
S251 2220000330 S.SW HSW0880-01-210 B 139.7/46.5
S701 2230001150 S.SW LS9J2M-1FG-T T 22.2/48.3
S702 2230001150 S.SW LS9J2M-1FG-T T 21.7/36.5
S703 2230001150 S.SW LS9J2M-1FG-T T 20.9/17
S704 2230001150 S.SW LS9J2M-1FG-T T 21.6/2.7
S721 2230001150 S.SW LS9J2M-1FG-T T 40.1/2.4
S722 2230001150 S.SW LS9J2M-1FG-T T 54.3/2.4
S723 2230001150 S.SW LS9J2M-1FG-T T 68.4/2.4
S724 2230001150 S.SW LS9J2M-1FG-T T 82.6/2.4
S741 2230001150 S.SW LS9J2M-1FG-T T 98.1/47.8
S742 2230001150 S.SW LS9J2M-1FG-T T 99.1/32.1
S743 2230001150 S.SW LS9J2M-1FG-T T 99.1/20.5
S744 2230001150 S.SW LS9J2M-1FG-T T 98.1/5.7
S761 2230001150 S.SW LS9J2M-1FG-T T 109.5/49.1
S762 2230001150 S.SW LS9J2M-1FG-T T 109.5/3.5
S763 2230001150 S.SW LS9J2M-1FG-T T 154.8/47.4
S764 2230001150 S.SW LS9J2M-1FG-T T 154.8/5.1
S781 2230001150 S.SW LS9J2M-1FG-T T 4.6/29
S782 2230001150 S.SW LS9J2M-1FG-T T 21.7/25.8
EP1 6910014730 S.BEA MPZ2012S331A-T B 64.1/6.6
R1 7210003230 VAR TP96D00A-17F-10KBX2
R2 7030003860 S.RES ERJ3GE JPW V T 1.3/32.6
R3 7030003860 S.RES ERJ3GE JPW V T 2.3/30
J1 6510024850 S.CNR 54550-1094 T 3.3/22.2
S1 2250000170 ECR TP90D96AE20-17F (1352)
EP4 6910012350 S.BEA MMZ1608Y 102BT T 2.7/32.6
EP5 6910012350 S.BEA MMZ1608Y 102BT T 3.7/30
EP6 6910012350 S.BEA MMZ1608Y 102BT T 0.9/30
EP7 6910012350 S.BEA MMZ1608Y 102BT T 0.9/14.5
EP8 6910012350 S.BEA MMZ1608Y 102BT T 3.7/14.5
EP9 6910012350 S.BEA MMZ1608Y 102BT T 2.7/11.8
EP10 6910012350 S.BEA MMZ1608Y 102BT T 2.3/14.5
EP11 6910012350 S.BEA MMZ1608Y 102BT T 1.3/11.8
S.=Surface mount
REF ORDER DESCRIPTION M. H/V
NO. NO.
LOCATION
[VR UNIT]
IC1 1110004080 S.IC µPC2709T-E3 T 75.6/12.7
IC2 1110004101 S.IC TA4001F (TE85L,F) T 63.9/18.8
IC3 1110004091 S.IC TA4002F (TE85L,F) T 48.3/17.4
IC401 1190002051 S.IC SPM5001-YL-E T 77.5/27.9
IC421 1110004080 S.IC µPC2709T-E3 T 86.4/19.4
IC801 1110004080 S.IC µPC2709T-E3 T 86/57.4
IC1101 1110006730 S.IC NJM2594V-TE1 T 5/83.3
IC1201 1130006221 S.IC TC4W53FU (TE12L,F) T 24.2/81.6
IC1202 1130006221 S.IC TC4W53FU (TE12L,F) T 19.8/81.4
IC1203 1110006570 S.IC TS462CPT T 12.8/81.7
IC1301 1110005461 S.IC TA4107F (TE12L,F) T 13.7/63.4
IC1401 1110006541 S.IC LA1225M-TLM-E B 23.4/82.2
IC1501 1110006530 S.IC TA4019F (TE12L,F) B 74.8/39
IC1502 1110005040 S.IC M52342FP 600C B 79.7/57
IC1601 1110005320 S.IC NJM13403V-TE1 T 8.6/41.5
IC1801 1180002020 S.REG BA033FP-E2 B 22.8/106.5
IC1901 1180001251 S.IC TA7808F (TE16L,Q) B 10.4/55.2
IC1951 1190002120 S.IC XC9201D09AKR B 41.9/107.8
IC1952 1180002020 S.REG BA033FP-E2 B 14.7/125.8
IC2001 1180001251 S.IC TA7808F (TE16L,Q) B 8.5/19
IC2007 1110006570 S.IC TS462CPT T 15.8/121
IC2101 1110005320 S.IC NJM13403V-TE1 T 28.5/118.2
IC2102 1110005320 S.IC NJM13403V-TE1 T 49.5/111.9
IC2103 1110005140 S.IC NJM3403AV-TE1 T 49.5/121.2
IC2151 1130012720 S.IC CD74HC4094PWR T 47.1/95.9
IC2152 1130012720 S.IC CD74HC4094PWR T 37.9/95.9
IC2153 1130012720 S.IC CD74HC4094PWR T 28.1/95.8
IC2154 1130012720 S.IC CD74HC4094PWR T 28.2/101.5
IC2155 1110006680 S.IC BH2221FV-E2 T 38.2/118.1
IC2156 1130009100 S.IC BU4052BCFV-E2 T 10.1/107.6
IC2231 1110006640 S.IC NJM2244M-TE1 T 34.7/109.4
IC2251 1130008510 S.IC TC7W53FU (TE12L) T 16.7/89.5
IC2501 1110006570 S.IC TS462CPT B 12.7/91.7
IC2551 1110006570 S.IC TS462CPT B 49.2/122
IC2601 1130006221 S.IC TC4W53FU (TE12L,F) B 63.2/123.9
IC2602 1110003091 IC LA4425A-E
Q101 1530003091 S.TR 2SC4213-B (TE85R,F) T 11.2/17.5
Q102 1590003520 S.TR BCR108T T 21.3/5.6
Q103 1590003530 S.TR BCR08PN T 38.4/20.2
Q201 1590003520 S.TR BCR108T T 16.1/31.1
Q202 1590003520 S.TR BCR108T T 23.5/28.5
Q204 1590003520 S.TR BCR108T B 44.7/38.6
Q205 1590003520 S.TR BCR108T T 42.9/61.5
Q206 1590003520 S.TR BCR108T B 24.5/55
Q207 1590003520 S.TR BCR108T B 24.5/51.9
Q208 1590003520 S.TR BCR108T B 24.2/48.8
Q209 1590003520 S.TR BCR108T B 23.5/45.7
Q210 1590003520 S.TR BCR108T B 42.9/41.4
Q211 1530003851 S.TR 2SC5551F-TD-E T 27.6/30.1
Q301 1530003851 S.TR 2SC5551F-TD-E T 56.7/32.4
Q402 1590003530 S.TR BCR08PN T 82.8/22.8
Q403 1590003530 S.TR BCR08PN T 70.6/23.6
Q502 1530003851 S.TR 2SC5551F-TD-E T 82.8/37.1
Q701 1580000780 S.FET 3SK195 (TE85L,F) T 62/56.5
Q702 1580000780 S.FET 3SK195 (TE85L,F) T 54.6/51.8
Q901 1580000780 S.FET 3SK195 (TE85L,F) T 36.6/65.7
Q902 1580000780 S.FET 3SK195 (TE85L,F) T 35.9/73.2
Q1001 1580000780 S.FET 3SK195 (TE85L,F) T 17.9/76
Q1201 1590003530 S.TR BCR08PN T 28/78.6
Q1401 1530002060 S.TR 2SC4081 T106 R B 42.5/74.3
REF ORDER DESCRIPTION M. H/V
NO. NO.
LOCATION
[MAIN UNIT]
5 - 3

5 - 4
M.=Mounted side (T: Mounted on the Top side, B: Mounted on the Bottom side)
REF ORDER DESCRIPTION M. H/V
NO. NO.
LOCATION
[MAIN UNIT]
Q1402 1530002060 S.TR 2SC4081 T106 R B 36.7/80.1
Q1501 1590003530 S.TR BCR08PN T 30.6/78.5
Q1521 1530002060 S.TR 2SC4081 T106 R B 86.6/48.6
Q1601 1530003091 S.TR 2SC4213-B (TE85R,F) T 8.3/52.9
Q1602 1590001870 S.TR DTA114EE TL T 4.5/53
Q1603 1590003520 S.TR BCR108T T 2.8/40.7
Q1604 1510000771 S.TR 2SA1586-GR (TE85R,F) T 5.1/32.7
Q1606 1560001260 S.FET 2SK3018 T106 T 12.5/36.8
Q1701 1540000441 S.TR 2SD1619T-TD-E B 52.4/48.2
Q1702 1590003520 S.TR BCR108T B 54.3/52.1
Q1703 1540000441 S.TR 2SD1619T-TD-E B 52.4/67.4
Q1704 1590003520 S.TR BCR108T B 54.1/72.9
Q1901 1590003530 S.TR BCR08PN T 35.8/78.5
Q1902 1590003530 S.TR BCR08PN T 33.3/78.5
Q1903 1590003530 S.TR BCR08PN B 23.6/17
Q1904 1590003530 S.TR BCR08PN B 32.9/87.9
Q1905 1590003530 S.TR BCR08PN B 46/40.9
Q1906 1590003530 S.TR BCR08PN B 26.3/30.8
Q1907 1590003530 S.TR BCR08PN T 40.9/78.5
Q1908 1590003530 S.TR BCR08PN T 38.3/78.5
Q1909 1590003530 S.TR BCR08PN B 22.1/11.8
Q1960 1550000090 S.FET RSQ035P03TR B 37.9/103.6
Q2150 1590003530 S.TR BCR08PN T 48.4/100.1
Q2151 1520000460 S.TR 2SB1132 T100 R T 55.3/103.8
Q2152 1520000460 S.TR 2SB1132 T100 R T 21.3/111
Q2153 1520000460 S.TR 2SB1132 T100 R T 49.8/104.5
Q2154 1590003530 S.TR BCR08PN T 44.7/100.1
Q2155 1590003530 S.TR BCR08PN T 39.9/100.1
Q2156 1590003520 S.TR BCR108T T 58.9/104.5
Q2157 1590003520 S.TR BCR108T T 25.4/109.7
Q2158 1590003520 S.TR BCR108T T 45.5/107.1
Q2159 1590003530 S.TR BCR08PN T 6.7/118.2
Q2160 1590003530 S.TR BCR08PN T 7.7/122.2
Q2231 1590003520 S.TR BCR108T T 4.7/121.7
Q2232 1590003530 S.TR BCR08PN T 57.3/114.8
Q2233 1590003530 S.TR BCR08PN T 54.7/115.7
Q2301 1530002060 S.TR 2SC4081 T106 R T 30.6/109
Q2401 1540000441 S.TR 2SD1619T-TD-E B 80.1/26.4
Q2601 1560001260 S.FET 2SK3018 T106 B 36.2/125.3
Q2602 1560001220 S.FET ECH8301-TL B 37.3/128.2
Q2603 1530002060 S.TR 2SC4081 T106 R T 65.3/111.3
Q2605 1590003520 S.TR BCR108T T 11.7/112.7
Q2606 1540000451 S.TR 2SD1623T-TD-E B 89.5/119.9
Q2607 1590003520 S.TR BCR108T B 65.4/120.5
Q2608 1590003520 S.TR BCR108T B 45/128.6
D1 1750000581 S.DIO 1SV307 (TPH3, F) T 70.2/16.6
D2 1750000581 S.DIO 1SV307 (TPH3, F) T 70.1/14.8
D3 1750000581 S.DIO 1SV307 (TPH3, F) T 45.2/19.8
D4 1750000581 S.DIO 1SV307 (TPH3, F) T 41.9/19
D5 1750000581 S.DIO 1SV307 (TPH3, F) T 70.6/18.3
D6 1790000620 S.DIO MA77 (TX) B 80.5/16.4
D7 1790000620 S.DIO MA77 (TX) T 78.5/15.8
D8 1790000620 S.DIO MA77 (TX) B 81.5/10.6
D9 1790000620 S.DIO MA77 (TX) T 79/11.5
D10 1750000581 S.DIO 1SV307 (TPH3, F) T 42.4/20.9
D101 1750000581 S.DIO 1SV307 (TPH3, F) T 13.3/22.5
D102 1750000581 S.DIO 1SV307 (TPH3, F) T 15.7/19.2
D103 1750000581 S.DIO 1SV307 (TPH3, F) T 19.9/8.5
D104 1750000581 S.DIO 1SV307 (TPH3, F) T 34.7/17.9
D105 1750000581 S.DIO 1SV307 (TPH3, F) T 23.1/12.7
D106 1750000581 S.DIO 1SV307 (TPH3, F) T 29.6/21
D107 1750000581 S.DIO 1SV307 (TPH3, F) T 44/23.6
D108 1750000950 S.DIO MA732 (TX) B 27.1/18.2
D109 1750000950 S.DIO MA732 (TX) B 24.7/20.3
D110 1790001240 S.DIO MA2S728-(TX) B 51.6/26.4
D111 1790001240 S.DIO MA2S728-(TX) B 51.6/24.7
D112 1750000581 S.DIO 1SV307 (TPH3, F) T 15.7/20.9
D113 1750000581 S.DIO 1SV307 (TPH3, F) T 10.2/19.7
D114 1790001250 S.DIO MA2S111-(TX) T 35.7/21.3
D203 1750000581 S.DIO 1SV307 (TPH3, F) T 19.3/35.7
D204 1750000581 S.DIO 1SV307 (TPH3, F) T 25.7/58.2
D205 1750000581 S.DIO 1SV307 (TPH3, F) T 25.7/56.3
D208 1750000581 S.DIO 1SV307 (TPH3, F) T 25.7/53.4
D209 1750000581 S.DIO 1SV307 (TPH3, F) T 25.7/50.6
D210 1750000581 S.DIO 1SV307 (TPH3, F) T 25.7/47.7
D211 1750000581 S.DIO 1SV307 (TPH3, F) T 25.7/44.8
D212 1750000581 S.DIO 1SV307 (TPH3, F) T 25.7/39.2
D213 1750000581 S.DIO 1SV307 (TPH3, F) T 25.7/41.5
D214 1750000581 S.DIO 1SV307 (TPH3, F) T 47.7/59.3
D215 1750000581 S.DIO 1SV307 (TPH3, F) T 47.7/56.3
D216 1750000581 S.DIO 1SV307 (TPH3, F) T 47.9/53.6
D217 1750000581 S.DIO 1SV307 (TPH3, F) T 47.8/49.7
D218 1750000581 S.DIO 1SV307 (TPH3, F) B 41.7/47.2
D219 1750000581 S.DIO 1SV307 (TPH3, F) B 38.9/41.6
D220 1750000581 S.DIO 1SV307 (TPH3, F) B 44.6/28.5
D221 1750000581 S.DIO 1SV307 (TPH3, F) B 40.4/36
D301 1750000581 S.DIO 1SV307 (TPH3, F) T 47.3/28.5
D302 1750000581 S.DIO 1SV307 (TPH3, F) T 49.5/30.3
D303 1750000581 S.DIO 1SV307 (TPH3, F) T 64/29.9
D304 1750000581 S.DIO 1SV307 (TPH3, F) T 62.4/35.2
D305 1750000581 S.DIO 1SV307 (TPH3, F) T 73.4/35.2
D306 1750000581 S.DIO 1SV307 (TPH3, F) T 64.5/25.1
D501 1750000531 S.DIO 1SV271 (TPH3, F) T 90.5/32.2
D502 1750000581 S.DIO 1SV307 (TPH3, F) T 86.2/31.4
D503 1750000581 S.DIO 1SV307 (TPH3, F) T 89.4/29.7
D504 1750000531 S.DIO 1SV271 (TPH3, F) T 89.7/37.7
D505 1750000581 S.DIO 1SV307 (TPH3, F) T 86.7/40.1
D506 1750000581 S.DIO 1SV307 (TPH3, F) B 87.2/35.5
D601 1750000581 S.DIO 1SV307 (TPH3, F) B 90/38.5
D602 1750000581 S.DIO 1SV307 (TPH3, F) T 92.4/41.5
D603 1750000581 S.DIO 1SV307 (TPH3, F) B 76.2/46.5
D604 1750000581 S.DIO 1SV307 (TPH3, F) T 66.7/43.7
D701 1750000581 S.DIO 1SV307 (TPH3, F) T 61.2/43.7
D702 1750000581 S.DIO 1SV307 (TPH3, F) T 65.1/41.3
D703 1750000581 S.DIO 1SV307 (TPH3, F) T 62.7/61.4
D704 1750000581 S.DIO 1SV307 (TPH3, F) T 62.7/63.2
D801 1750000431 S.DIO HSB88WSTR-E T 74.1/60.3
D802 1750000581 S.DIO 1SV307 (TPH3, F) T 63/73.3
D803 1750000581 S.DIO 1SV307 (TPH3, F) T 65.5/64.6
D903 1750000581 S.DIO 1SV307 (TPH3, F) T 39.5/69.4
D904 1750000581 S.DIO 1SV307 (TPH3, F) T 39.5/72.8
D1301 1750000581 S.DIO 1SV307 (TPH3, F) T 12.8/72.6
D1302 1750000581 S.DIO 1SV307 (TPH3, F) T 13.9/70.8
D1521 1750000531 S.DIO 1SV271 (TPH3, F) B 79.4/40.7
D1522 1750000531 S.DIO 1SV271 (TPH3, F) B 79.4/42.4
D1601 1790001240 S.DIO MA2S728-(TX) T 15.1/48.7
D1602 1790001240 S.DIO MA2S728-(TX) T 18.3/53.1
D1604 1790001250 S.DIO MA2S111-(TX) T 7.7/31.5
D1605 1790001250 S.DIO MA2S111-(TX) T 7.7/32.8
D1606 1790001250 S.DIO MA2S111-(TX) T 14.1/44.8
D1607 1790001250 S.DIO MA2S111-(TX) T 14.1/43.5
D1608 1790001250 S.DIO MA2S111-(TX) T 14.1/42.2
D1609 1790001330 S.ZEN MA8036-L (TX) T 7.5/29.9
D1610 1790001250 S.DIO MA2S111-(TX) T 12.3/34.9
D1701 1790001670 S.DIO RB706F-40T106 B 50.2/52.2
D1702 1790001670 S.DIO RB706F-40T106 B 51.8/71.8
D1951 1750001110 S.DIO SM240A-T B 36.2/99.9
D2151 1790001250 S.DIO MA2S111-(TX) [USA] only T 39/87.1
D2153 1790001250 S.DIO MA2S111-(TX) [USA] only T 36.5/87.1
D2154 1790001250 S.DIO MA2S111-(TX) T 36.5/88.4
D2155 1790001250 S.DIO MA2S111-(TX) T 36.5/89.7
D2156 1790001250 S.DIO MA2S111-(TX) T 39/90.5
D2157 1790001250 S.DIO MA2S111-(TX) except [FRA] T 48.5/87.1
D2158 1790001250 S.DIO MA2S111-(TX) T 48.5/88.4
D2159 1790001250 S.DIO MA2S111-(TX) T 48.5/89.7
D2160 1790001250 S.DIO MA2S111-(TX) T 48.5/91
D2162 1790001250 S.DIO MA2S111-(TX) [USA] only T 46/88.4
D2163 1790001250 S.DIO MA2S111-(TX)
[EUR], [FRA], [ESP], [UK] only T 46/89.7
D2166 1790001250 S.DIO MA2S111-(TX) [ESP] only T 29.4/88.2
D2168 1790001250 S.DIO MA2S111-(TX)
[EUR], [ESP], [UK] only T 29.4/90.6
D2169 1790001250 S.DIO MA2S111-(TX)
[EUR], [ESP], [USA], [EXP] only T 26.9/87.1
D2170 1790001250 S.DIO MA2S111-(TX)
[EUR], [USA], [EXP] only T 26.9/88.4
D2171 1790001250 S.DIO MA2S111-(TX)
[FRA], [ESP], [EXP] only T 26.9/89.7
D2172 1790001250 S.DIO MA2S111-(TX) T 26.9/91
D2173 1790001250 S.DIO MA2S111-(TX) T 6.4/120.2
D2174 1790001250 S.DIO MA2S111-(TX) T 52/88.2
D2175 1790001250 S.DIO MA2S111-(TX) T 52/87
D2176 1790001250 S.DIO MA2S111-(TX) T 54.5/88.2
D2177 1790001250 S.DIO MA2S111-(TX) T 54.5/87
D2201 1730002340 S.ZEN MA8047-M (TX) T 10.5/123
D2205 1790001010 S.ZEN MA8043-L (TX) T 13.5/115.2
D2211 1790001010 S.ZEN MA8043-L (TX) T 21.5/118
D2231 1160000070 S.DIO DAN202K T146 T 57.6/117.8
D2232 1790001670 S.DIO RB706F-40T106 T 56.8/112.2
D2401 1160000070 S.DIO DAN202K T146 B 85.7/27.2
D2402 1790001250 S.DIO MA2S111-(TX) T 63.5/113.2
D2551 1790001140 S.ZEN MA8039-L (TX) B 45.3/116.8
D2601 1160000070 S.DIO DAN202K T146 B 42/126.3
D2602 1790001250 S.DIO MA2S111-(TX) B 41.2/128.5
FI2 2040001420 S.LC LFB32440MSC1-955 T 59.4/13.9
FI3 2040001420 S.LC LFB32440MSC1-955 T 53.3/13.4
FI601 2010002640 S.XTL FL-374 (124.487 MHz) T 81/43.7
FI901 2020002010 S.CER CFUCG455KF4A-R0 T 44.7/69.7
FI1001 2020002010 S.CER CFUCG455KF4A-R0 T 27.8/66.9
FI1401 2020001810 S.CER SFECV10M7FA00-R0 B 37.5/76.4
FI1402 2020001810 S.CER SFECV10M7FA00-R0 B 29.5/77.5
FI1501 2040001560 SAW WFSTSB6321D [Others]
2040001570 SAW WFSTSB6221D [USA]
FI1502 2020001700 S.CER SFSKA4M50CF00-R1 [USA] B 69.3/57.8
2020001720 S.CER SFSKA5M50CF00-R1 [Others] B 69.3/57.8
FI1503 2020001710 S.CER TPSKA4M50B00-R1 [USA] B 73.5/78.7
2020001730 S.CER TPSKA5M50B00-R1 [Others] B 73.5/78.7
S.=Surface mount
REF ORDER DESCRIPTION M. H/V
NO. NO.
LOCATION
[MAIN UNIT]

5 - 5
M.=Mounted side (T: Mounted on the Top side, B: Mounted on the Bottom side)
REF ORDER DESCRIPTION M. H/V
NO. NO.
LOCATION
[MAIN UNIT]
L3 6200004480 S.COL MLF1608D R82K-T T 76.4/10.1
L4 6200002041 S.COL NLV25T-101J T 76.1/19
L5 6200004780 S.COL MLF1608A 1R5K-T T 67.2/18.6
L8 6200011320 S.COL ELJQE 56NJ T 57/16.6
L10 6200011320 S.COL ELJQE 56NJ T 57.3/17.9
L11 6200011380 S.COL ELJNJ R18J T 56.5/20
L12 6200011400 S.COL ELJNJ R12J T 53.8/19.8
L13 6200011380 S.COL ELJNJ R18J T 52.8/18.5
L14 6200011350 S.COL ELJQE 18NJ T 57.5/11.5
L16 6200011320 S.COL ELJQE 56NJ T 49.6/19.8
L18 6200005041 S.COL NLV25T-220J T 73.4/9.8
L19 6200002041 S.COL NLV25T-101J T 66.6/14.8
L21 6200006671 S.COL ELJRE 68NGFA B 80.4/14
L22 6200002861 S.COL NLV25T-4R7J B 80.5/19.6
L23 6200002861 S.COL NLV25T-4R7J B 84/9.2
L24 6200011520 S.COL SLF7045T-102MR14-PF B 8.8/69
L101 6200002041 S.COL NLV25T-101J T 15.7/17
L102 6200002041 S.COL NLV25T-101J T 20.4/10.8
L103 6200010800 S.COL C2520C-4R7G-A T 23.7/7.8
L104 6200010800 S.COL C2520C-4R7G-A T 27.9/9.9
L105 6200002041 S.COL NLV25T-101J T 28.1/12.8
L106 6200002041 S.COL NLV25T-101J B 17.5/16.3
L107 6200002041 S.COL NLV25T-101J B 31.6/21.6
L108 6200002041 S.COL NLV25T-101J T 25.2/20.8
L109 6200001831 S.COL NLV32T-100J T 28.5/15.5
L110 6200003121 S.COL NLV32T-8R2J T 21.1/15.1
L112 6200002041 S.COL NLV25T-101J B 43.5/23
L113 6200002041 S.COL NLV25T-101J T 7.2/17.6
L114 6200002041 S.COL NLV25T-101J T 7.2/15
L116 6200003131 S.COL NLV32T-120J T 28.5/18.6
L117 6200001831 S.COL NLV32T-100J T 21.1/18.1
L204 6200002041 S.COL NLV25T-101J T 18.7/32.9
L205 6200010740 S.COL C2520C-R27G-A T 20.2/38.1
L207 6200010680 S.COL C2520C-R22G-A T 21.8/41.3
L213 6200005011 S.COL NLV25T-100J T 22.7/34.9
L215 6200010330 S.COL C2012C-R18G-A B 27.7/38.6
L217 6200009990 S.COL C2012C-R22G-A T 22.7/32.5
L218 6200005011 S.COL NLV25T-100J B 25.6/43.3
L219 6200011050 S.COL C2012C-R12G-A B 29/41.4
L220 6200010320 S.COL C2012C-R15G-A B 34.1/37.9
L221 6200002041 S.COL NLV25T-101J T 15.1/52.6
L222 6200002041 S.COL NLV25T-101J T 45.6/61.4
L223 6200002041 S.COL NLV25T-101J B 40.4/55.3
L224 6200002041 S.COL NLV25T-101J B 27.5/55.7
L225 6200002041 S.COL NLV25T-101J B 27.4/52
L226 6200002861 S.COL NLV25T-4R7J T 40.3/57.6
L227 6200003711 S.COL NLV25T-2R7J T 29.1/55.5
L228 6200002861 S.COL NLV25T-4R7J T 44.6/54.7
L229 6200004671 S.COL NLV25T-3R9J T 35.1/51.5
L230 6200002041 S.COL NLV25T-101J B 40.4/52.2
L231 6200002041 S.COL NLV25T-101J B 40.4/49.4
L232 6200002041 S.COL NLV25T-101J B 27.1/49.1
L233 6200002041 S.COL NLV25T-101J B 26.4/46.2
L234 6200010780 S.COL C2520C-1ROG-A T 35.5/48.5
L235 6200010530 S.COL C2520C-R56G-A B 32.9/49.5
L236 6200010950 S.COL C2520C-1R5G-A T 43.4/50.4
L237 6200010450 S.COL C2520C-R82G-A B 32.9/46.3
L238 6200002041 S.COL NLV25T-101J B 43.9/45
L239 6200002041 S.COL NLV25T-101J B 38.8/39.5
L240 6200002041 S.COL NLV25T-101J T 29.5/42.1
L241 6200010870 S.COL C2520C-R33G-A B 35.1/41.6
L242 6200005011 S.COL NLV25T-100J T 33.5/29.9
L243 6140004601 S.COL LR-518A T 28.4/35.2
L244 6200010960 S.COL C2520C-R47G-A B 39.7/44.1
L245 6200005011 S.COL NLV25T-100J B 41.2/28.3
L246 6200009990 S.COL C2012C-R22G-A B 30.7/36.4
L247 6200010320 S.COL C2012C-R15G-A B 42.1/38.7
L248 6200005011 S.COL NLV25T-100J B 43.8/36.3
L301 6200002041 S.COL NLV25T-101J T 36.1/27.4
L302 6200002041 S.COL NLV25T-101J T 52.6/31.8
L303 6200002041 S.COL NLV25T-101J T 52.3/35.4
L304 6140004591 S.COL LR-517A T 56.4/39
L305 6200002041 S.COL NLV25T-101J T 52.8/29.3
L306 6200002041 S.COL NLV25T-101J T 61.7/39.3
L307 6200002041 S.COL NLV25T-101J T 60.9/32
L308 6200002041 S.COL NLV25T-101J T 64.9/33.1
L309 6200011350 S.COL ELJQE 18NJ T 49.3/24
L310 6200010650 S.COL C2520C-R12G-A T 65.7/38.2
L311 6200011360 S.COL ELJQE 15NJ T 53.5/23.2
L312 6200010660 S.COL C2520C-R15G-A T 69.6/34.3
L313 6200011570 S.COL ELJQE 10NJ T 61.5/25.7
L314 6200002041 S.COL NLV25T-101J T 72.5/37.3
L315 6200002041 S.COL NLV25T-101J T 75.8/32
L402 6140004610 S.COL LR-520 T 70.8/27.9
L403 6200002041 S.COL NLV25T-101J T 81.1/19.7
L404 6130002961 S.COL #617DB-1327=P3 T 84.4/27.9
L406 6130002961 S.COL #617DB-1327=P3 T 77.5/24.2
L421 6200004590 S.COL MLF1608D R18K-T T 86.4/21.7
L501 6200004660 S.COL MLF1608A 1R8K-T T 93.4/35.7
L503 6200004660 S.COL MLF1608A 1R8K-T T 83.2/31.1
L507 6200001981 S.COL NLV25T-1R0J T 79.2/33.5
L508 6200010650 S.COL C2520C-R12G-A T 86.3/34.4
L509 6200004660 S.COL MLF1608A 1R8K-T T 93.1/38.7
L511 6200004150 S.COL MLF1608D 47NM-T T 92.7/37.2
L512 6200011700 S.COL ELJQE 39NJ B 89.6/32.8
L601 6200004660 S.COL MLF1608A 1R8K-T B 85.7/38.6
L603 6200004660 S.COL MLF1608A 1R8K-T T 89.3/42.2
L604 6150005330 S.COL LS-548 T 90.5/46.2
L605 6200004660 S.COL MLF1608A 1R8K-T T 93.1/39.9
L607 6200011800 S.COL C2520C-47NG-A B 85.6/43.5
L609 6200011800 S.COL C2520C-47NG-A B 81.5/46
L610 6200004660 S.COL MLF1608A 1R8K-T B 78.1/44.8
L611 6200004660 S.COL MLF1608A 1R8K-T T 68/46.3
L612 6150005330 S.COL LS-548 T 72.2/42.4
L701 6150005350 S.COL LS-550 T 62.9/48.6
L702 6150005340 S.COL LS-549 T 54.8/45.4
L703 6150005350 S.COL LS-550 T 55.3/59.5
L704 6200004940 S.COL MLF1608D R27K-T T 62.3/59.6
L705 6200009920 S.COL C2012C-R10G-A T 61.8/41.7
L801 6140002810 S.COL LR-317 T 68.6/61.3
L802 6200005190 S.COL MLF1608D R56K-T T 89/58.4
L803 6140002810 S.COL LR-317 T 79.6/60.1
L804 6200005011 S.COL NLV25T-100J T 57.5/69.1
L805 6200009871 S.COL NLV25T-120J T 57.6/71.9
L806 6200004741 S.COL NLV25T-1R2J T 63.1/71.2
L807 6200004741 S.COL NLV25T-1R2J T 63.2/66.7
L808 6200004100 S.COL MLF1608D 68NM-T T 86.1/61.6
L901 6200003520 S.COL ELJFB 102K-F B 37.6/72.4
L904 6150005360 S.COL LS-551 T 51.6/70.9
L905 6200003520 S.COL ELJFB 102K-F B 40.2/59.9
L906 6200003520 S.COL ELJFB 102K-F B 33.6/62.4
L908 6200003520 S.COL ELJFB 102K-F B 31.5/69.7
L1003 6200003520 S.COL ELJFB 102K-F B 12.9/75.3
L1102 6200002041 S.COL NLV25T-101J T 7.1/89.7
L1301 6200002041 S.COL NLV25T-101J T 8.3/55.8
L1302 6200002041 S.COL NLV25T-101J T 11.8/58.5
L1303 6200002041 S.COL NLV25T-101J T 4.8/55.8
L1401 6200002041 S.COL NLV25T-101J B 43.3/79.6
L1402 6200004790 S.COL MLF1608D R47K-T B 44.1/70.4
L1403 6200002041 S.COL NLV25T-101J B 43/77.1
L1404 6200003711 S.COL NLV25T-2R7J B 18.2/80.4
L1405 6200002041 S.COL NLV25T-101J B 17.7/85
L1491 6200010740 S.COL C2520C-R27G-A [USA] B 84.9/30.7
6200010870 S.COL C2520C-R33G-A [Others] B 84.9/30.7
L1492 6200010650 S.COL C2520C-R12G-A [Others] B 80.6/33.1
6200010740 S.COL C2520C-R27G-A [USA] B 80.6/33.1
L1492 6200010870 S.COL C2520C-R33G-A [Others] B 80.6/33.1
L1501 6200005011 S.COL NLV25T-100J B 91.1/27.1
L1502 6200011380 S.COL ELJNJ R18J B 79.4/38.2
L1503 6200011380 S.COL ELJNJ R18J B 82/37.5
L1504 6200005011 S.COL NLV25T-100J B 75.6/43.4
L1505 6200005190 S.COL MLF1608D R56K-T B 73.2/48.5
L1506 6150005070 S.COL LS-534 (4KMH) [USA] T 68.7/55.4
6150005080 S.COL LS-535 (4KMH) [Others] T 68.7/55.4
L1507 6200005031 S.COL NLV25T-180J B 71.7/62.2
L1508 6200005021 S.COL NLV25T-150J B 77.3/79.5
L1951 6180003610 S.COL 7E10L-101M 100U B 34.6/110.9
L1952 6180003610 S.COL 7E10L-101M 100U B 54.7/113.3
L1953 6180003610 S.COL 7E10L-101M 100U B 14/111.9
L1954 6180003610 S.COL 7E10L-101M 100U B 24.4/119.8
L2001 6200005011 S.COL NLV25T-100J B 72.5/16.4
L2002 6200002041 S.COL NLV25T-101J B 84.5/3.8
L2003 6200002041 S.COL NLV25T-101J B 81.1/4.3
L2004 6200002041 S.COL NLV25T-101J B 76.3/20.4
L2006 6200002041 S.COL NLV25T-101J B 64.2/12.8
L2007 6200002041 S.COL NLV25T-101J B 70.9/3.8
L2008 6200002041 S.COL NLV25T-101J B 67.9/6.1
L2009 6200005011 S.COL NLV25T-100J B 70.8/10.6
L2010 6200002041 S.COL NLV25T-101J B 60.7/13.7
L2011 6200011300 S.COL EXCML16A 270U T 86.6/9.1
L2012 6200011300 S.COL EXCML16A 270U B 84.7/21.9
L2013 6200002041 S.COL NLV25T-101J B 71.8/19.6
L2015 6200002041 S.COL NLV25T-101J B 52.5/10.4
L2016 6200002041 S.COL NLV25T-101J B 59.2/11.2
L2017 6200002041 S.COL NLV25T-101J B 57/14
L2018 6200002041 S.COL NLV25T-101J B 19.7/129.4
L2019 6200002041 S.COL NLV25T-101J T 22.2/126.9
L2020 6200002041 S.COL NLV25T-101J B 27.9/131.3
L2021 6200005011 S.COL NLV25T-100J B 27.9/126.5
L2022 6200002041 S.COL NLV25T-101J B 22.9/127.8
L2023 6200002041 S.COL NLV25T-101J B 23.2/131.2
L2024 6200002041 S.COL NLV25T-101J T 12.7/128.2
L2025 6200002041 S.COL NLV25T-101J B 87.5/6.2
L2026 6200002041 S.COL NLV25T-101J B 77.6/5
L2027 6200002041 S.COL NLV25T-101J B 76.5/12.2
L2028 6200002041 S.COL NLV25T-101J B 67.4/10.8
L2029 6200002041 S.COL NLV25T-101J B 64/10.3
L2030 6200002041 S.COL NLV25T-101J B 67.5/3.6
L2031 6200002041 S.COL NLV25T-101J B 76.5/14.7
L2032 6200002041 S.COL NLV25T-101J B 66.2/15.3
L2033 6200011300 S.COL EXCML16A270U B 69.6/14.5
L2034 6200009300 S.COL ELJPA 100KF 10U B 67.8/19.6
S.=Surface mount
REF ORDER DESCRIPTION M. H/V
NO. NO.
LOCATION
[MAIN UNIT]

5 - 6
M.=Mounted side (T: Mounted on the Top side, B: Mounted on the Bottom side)
REF ORDER DESCRIPTION M. H/V
NO. NO.
LOCATION
[MAIN UNIT]
L2035 6200002041 S.COL NLV25T-101J B 59.8/18.4
L2036 6200002041 S.COL NLV25T-101J B 64.1/3.8
L2037 6200002041 S.COL NLV25T-101J B 88.3/3.7
L2041 6180003610 S.COL 7E10L-101M 100U B 62.6/86.9
L2042 6200002861 S.COL NLV25T-4R7J B 62.9/79.3
L2053 6200002041 S.COL NLV25T-101J B 28.7/90.9
L2151 6200002041 S.COL NLV25T-101J B 36.9/121
L2152 6200002041 S.COL NLV25T-101J B 52.3/14.7
L2201 6200005011 S.COL NLV25T-100J T 27.2/126
L2202 6200005011 S.COL NLV25T-100J T 16.5/124.3
L2231 6200002041 S.COL NLV25T-101J T 34/104.2
L2256 6200002041 S.COL NLV25T-101J T 15/103.4
L2257 6200002041 S.COL NLV25T-101J T 10.5/89.7
L2260 6200002041 S.COL NLV25T-101J T 68.5/110.9
L2263 6200002041 S.COL NLV25T-101J T 62.3/99.4
L2264 6200002041 S.COL NLV25T-101J T 62.3/96.9
L2265 6200002041 S.COL NLV25T-101J T 62.4/94.3
L2266 6200002041 S.COL NLV25T-101J T 62.4/91.5
L2267 6200002041 S.COL NLV25T-101J T 66/89.6
L2268 6200002041 S.COL NLV25T-101J T 62.4/87.1
L2272 6200002041 S.COL NLV25T-101J T 71.1/90.2
L2402 6200002041 S.COL NLV25T-101J B 89.4/98
L2403 6200002041 S.COL NLV25T-101J B 89.2/84
L2404 6200002041 S.COL NLV25T-101J T 81.6/96.8
L2405 6200002041 S.COL NLV25T-101J B 89.3/95.5
L2406 6200002041 S.COL NLV25T-101J T 84.8/93.7
L2408 6200011300 S.COL EXCML16A 270U T 82.1/92.3
L2409 6200002041 S.COL NLV25T-101J B 89.3/88.5
L2411 6200011300 S.COL EXCML16A 270U T 85.1/89.7
L2601 6200009330 S.COL SLF12555T-681MR43 T 87.5/119.6
L2605 6200009330 S.COL SLF12555T-681MR43 T 71/119.6
R1 7030011400 S.RES ERJ2GE 5R6 X (5.6 Ω) T 80.1/17
R2 7030009270 S.RES ERJ2GEJ 821 X (820 Ω) T 80.1/17.9
R3 7030009270 S.RES ERJ2GEJ 821 X (820 Ω) T 80.1/16.1
R5 7030011400 S.RES ERJ2GE 5R6 X (5.6 Ω) T 74.1/17.4
R6 7030009270 S.RES ERJ2GEJ 821 X (820 Ω) T 75.2/16.4
R7 7030009270 S.RES ERJ2GEJ 821 X (820 Ω) T 73.4/16.4
R8 7030009200 S.RES ERJ2GEJ 390 X (39 Ω) T 72.7/19.2
R9 7030003400 S.RES ERJ3GEYJ 471 V (470 Ω) T 69.9/13.3
R10 7030005120 S.RES ERJ2GEJ 102 X (1 kΩ) T 72.5/17.4
R11 7030005300 S.RES ERJ2GEJ 150 X (15 Ω) T 62.1/15.9
R12 7030010040 S.RES ERJ2GEJ-JPW T 63.7/13.8
R13 7030005090 S.RES ERJ2GEJ 104 X (100 kΩ) T 66.6/20.6
R15 7030005090 S.RES ERJ2GEJ 104 X (100 kΩ) T 68.8/10.6
R16 7030003860 S.RES ERJ3GE JPW V T 62.4/12.3
R17 7030005090 S.RES ERJ2GEJ 104 X (100 kΩ) T 76.8/15.8
R18 7030007270 S.RES ERJ2GEJ 151 X (150 Ω) T 44.2/17.2
R19 7030003860 S.RES ERJ3GE JPW V T 50.4/14.6
R20 7030009530 S.RES ERJ2GEJ 270 X (27 Ω) T 69.5/19.7
R21 7030009530 S.RES ERJ2GEJ 270 X (27 Ω) T 66.1/22.8
R22 7030010040 S.RES ERJ2GEJ-JPW T 78.1/13.8
R23 7030007290 S.RES ERJ2GEJ 222 X (2.2 kΩ) T 79.8/13.8
R24 7030005010 S.RES ERJ2GEJ 681 X (680 Ω) T 78.1/12.9
R25 7030005120 S.RES ERJ2GEJ 102 X (1 kΩ) B 79.6/17.8
R27 7030005120 S.RES ERJ2GEJ 102 X (1 kΩ) B 81.3/8.5
R29 7030004980 S.RES ERJ2GEJ 101 X (100 Ω) T 73.1/12.3
R30 7030009160 S.RES ERJ2GEJ 181 X (180 Ω) T 46.4/15.4
R31 7030007270 S.RES ERJ2GEJ 151 X (150 Ω) T 42.6/17.2
R32 7030009200 S.RES ERJ2GEJ 390 X (39 Ω) T 44.1/18.2
R33 7030010040 S.RES ERJ2GEJ-JPW T 60/18
R34 7030010040 S.RES ERJ2GEJ-JPW T 62/18
R35 7030003860 S.RES ERJ3GE JPW V T 64/18
R101 7030005050 S.RES ERJ2GEJ 103 X (10 kΩ) T 13.2/16
R102 7030005120 S.RES ERJ2GEJ 102 X (1 kΩ) T 11.9/14.6
R103 7030005050 S.RES ERJ2GEJ 103 X (10 kΩ) T 10.3/14.6
R104 7030005090 S.RES ERJ2GEJ 104 X (100 kΩ) T 15.7/13.4
R105 7030005580 S.RES ERJ2GEJ 560 X (56 Ω) T 15.7/22.3
R106 7030005000 S.RES ERJ2GEJ 471 X (470 Ω) T 13.2/20.5
R107 7030005000 S.RES ERJ2GEJ 471 X (470 Ω) T 10.8/22.1
R108 7030005000 S.RES ERJ2GEJ 471 X (470 Ω) T 10.8/23
R111 7030005000 S.RES ERJ2GEJ 471 X (470 Ω) T 10.8/21.2
R112 7030005090 S.RES ERJ2GEJ 104 X (100 kΩ) T 25.6/12.5
R113 7030005090 S.RES ERJ2GEJ 104 X (100 kΩ) T 26.7/5.7
R114 7030009280 S.RES ERJ2GEJ 391 X (390 Ω) B 33.1/23.4
R115 7030009280 S.RES ERJ2GEJ 391 X (390 Ω) B 34.1/22.2
R116 7030009280 S.RES ERJ2GEJ 391 X (390 Ω) T 22.3/21.3
R117 7030009280 S.RES ERJ2GEJ 391 X (390 Ω) T 20.7/21.3
R118 7030009280 S.RES ERJ2GEJ 391 X(390
Ω) B 40.9/23.2
R119 7030009280 S.RES ERJ2GEJ 391 X(390
Ω) B 40.9/22.3
R120 7030005090 S.RES ERJ2GEJ 104 X (100 kΩ) B 50.3/23.5
R121 7030005090 S.RES ERJ2GEJ 104 X (100 kΩ) T 44/22.2
R122 7030009280 S.RES ERJ2GEJ 391 X (390 Ω) T 7.8/20.3
R123 7030009280 S.RES ERJ2GEJ 391 X(390
Ω) T 7.8/19.4
R125 7030009280 S.RES ERJ2GEJ 391 X (390 Ω) T 35.5/20.2
R126 7030009280 S.RES ERJ2GEJ 391 X (390 Ω) T 26.7/4.8
R127 7030009280 S.RES ERJ2GEJ 391 X (390 Ω) T 25/4.8
R128 7030009280 S.RES ERJ2GEJ 391 X (390 Ω) T 35.5/19.3
R202 7030005090 S.RES ERJ2GEJ 104 X (100 kΩ) T 18.1/31.2
R203 7030005090 S.RES ERJ2GEJ 104 X (100 kΩ) T 42.9/59.9
R204 7030005090 S.RES ERJ2GEJ 104 X (100 kΩ) B 42.9/54.3
R205 7030009280 S.RES ERJ2GEJ 391 X (390 Ω) T 19.4/54.2
R206 7030005090 S.RES ERJ2GEJ 104 X (100 kΩ) B 42.9/51.4
R207 7030005090 S.RES ERJ2GEJ 104 X (100 kΩ) B 42.9/50.5
R208 7030005090 S.RES ERJ2GEJ 104 X (100 kΩ) B 46.4/45
R216 7030005090 S.RES ERJ2GEJ 104 X (100 kΩ) B 44.2/43.3
R217 7030005050 S.RES ERJ2GEJ 103 X (10 kΩ) T 18.1/30.3
R218 7030004970 S.RES ERJ2GEJ 470 X (47 Ω) T 21.9/29.9
R225 7030005050 S.RES ERJ2GEJ 103 X (10 kΩ) T 19.1/29.1
R226 7030009280 S.RES ERJ2GEJ 391 X (390 Ω) T 17.6/54.2
R227 7030005120 S.RES ERJ2GEJ 102 X (1 kΩ) T 30.9/30.9
R228 7030009140 S.RES ERJ2GEJ 272 X (2.7 kΩ) T 30.9/29.1
R301 7030009280 S.RES ERJ2GEJ 391 X (390 Ω) T 44.5/28.8
R302 7030009280 S.RES ERJ2GEJ 391 X (390 Ω) T 38.6/27.8
R303 7030004970 S.RES ERJ2GEJ 470 X (47 Ω) T 52.5/38.9
R304 7030004980 S.RES ERJ2GEJ 101 X (100 Ω) T 55.1/35.6
R305 7030005120 S.RES ERJ2GEJ 102 X (1 kΩ) T 59.9/33.8
R306 7030008280 S.RES ERJ2GEJ 271 X (270 Ω) T 55.3/28.7
R307 7030004980 S.RES ERJ2GEJ 101 X (100 Ω) T 56.7/35.6
R308 7030007290 S.RES ERJ2GEJ 222 X (2.2 kΩ) T 59.2/30.1
R309 7030008280 S.RES ERJ2GEJ 271 X (270 Ω) T 58.5/29.1
R310 7030005090 S.RES ERJ2GEJ 104 X (100 kΩ) T 50.1/31.7
R311 7030009280 S.RES ERJ2GEJ 391 X (390 Ω) T 65.3/31.3
R312 7030009280 S.RES ERJ2GEJ 391 X (390 Ω) T 63.7/31.3
R314 7030009280 S.RES ERJ2GEJ 391 X (390 Ω) T 73.3/32.5
R315 7030009280 S.RES ERJ2GEJ 391 X (390 Ω) T 74.8/33.8
R401 7030010040 S.RES ERJ2GEJ-JPW T 75/29.7
R402 7030010040 S.RES ERJ2GEJ-JPW T 75/27
R403 7030004980 S.RES ERJ2GEJ 101 X (100 Ω) T 76.7/29.7
R404 7030010040 S.RES ERJ2GEJ-JPW T 73.1/23.5
R405 7030010040 S.RES ERJ2GEJ-JPW T 85/24.1
R406 7030004970 S.RES ERJ2GEJ 470 X (47 Ω) T 73.1/30.6
R407 7030004970 S.RES ERJ2GEJ 470 X (47 Ω) T 73.1/25.3
R411 7030007260 S.RES ERJ2GEJ 330 X (33 Ω) T 80/29.5
R412 7030007260 S.RES ERJ2GEJ 330 X (33 Ω) T 80/26.8
R414 7030004980 S.RES ERJ2GEJ 101 X (100 Ω) T 78.3/29.6
R416 7030010090 S.RES ERJ2GEJ 180 X (18 Ω) T 87.8/24
R417 7030008280 S.RES ERJ2GEJ 271 X (270 Ω) T 87.8/24.9
R418 7030008280 S.RES ERJ2GEJ 271 X (270 Ω) T 87.8/22.9
R421 7030010090 S.RES ERJ2GEJ 180 X (18 Ω) B 88.5/20.2
R422 7030008280 S.RES ERJ2GEJ 271 X (270 Ω) B 90.1/20.2
R423 7030008280 S.RES ERJ2GEJ 271 X (270 Ω) B 90.1/19.3
R424 7030005530 S.RES ERJ2GEJ 100 X (10 Ω) T 88.5/21.6
R501 7030005120 S.RES ERJ2GEJ 102 X (1 kΩ) T 91.3/35.6
R502 7030005120 S.RES ERJ2GEJ 102 X (1 kΩ) T 92.9/33.8
R509 7030005580 S.RES ERJ2GEJ 560 X (56 Ω) T 83.4/33.1
R510 7030007250 S.RES ERJ2GEJ 220 X (22 Ω) T 83.4/34.1
R512 7030004980 S.RES ERJ2GEJ 101 X (100 Ω) T 81.7/34.1
R517 7030010040 S.RES ERJ2GEJ-JPW B 80/31
R518 7030007290 S.RES ERJ2GEJ 222 X (2.2 kΩ) T 79.3/37
R519 7030007290 S.RES ERJ2GEJ 222 X (2.2 kΩ) T 79.3/38.8
R520 7030005120 S.RES ERJ2GEJ 102 X (1 kΩ) T 89.1/39.2
R521 7030005000 S.RES ERJ2GEJ 471 X (470 Ω) T 84.2/40.4
R523 7030005120 S.RES ERJ2GEJ 102 X (1 kΩ) T 91.3/34.7
R524 7030005120 S.RES ERJ2GEJ 102 X (1 kΩ) B 86.9/37
R601 7030005000 S.RES ERJ2GEJ 471 X (470 Ω) B 88.5/40
R602 7030005000 S.RES ERJ2GEJ 471 X (470 Ω) T 91/39.6
R603 7030005000 S.RES ERJ2GEJ 471 X (470 Ω) T 89.1/41
R604 7030005000 S.RES ERJ2GEJ 471 X (470 Ω) B 78.6/45.9
R605 7030010040 S.RES ERJ2GEJ-JPW T 68.2/45.2
R606 7030005090 S.RES ERJ2GEJ 104 X (100 kΩ) T 67.1/47.4
R607 7030005120 S.RES ERJ2GEJ 102 X (1 kΩ) T 66.6/45.2
R701 7030005220 S.RES ERJ2GEJ 223 X (22 kΩ) T 61.1/53
R702 7030005120 S.RES ERJ2GEJ 102 X (1 kΩ) T 64.2/43.9
R703 7030004970 S.RES ERJ2GEJ 470 X (47 Ω) T 50.8/44.1
R705 7030004990 S.RES ERJ2GEJ 221 X (220 Ω) T 59/51.5
R706 7030009270 S.RES ERJ2GEJ 821 X (820 Ω) T 64.5/55.9
R707 7030004980 S.RES ERJ2GEJ 101 X (100 Ω) T 59.5/57
R708 7030007290 S.RES ERJ2GEJ 222 X (2.2 kΩ) T 63.9/58.6
R709 7030005210 S.RES ERJ2GEJ 822 X (8.2 kΩ) T 59.5/55.1
R710 7030005120 S.RES ERJ2GEJ 102 X (1 kΩ) T 59.8/62.5
R711 7030009140 S.RES ERJ2GEJ 272 X (2.7 kΩ) T 50.5/51.4
R712 7030005120 S.RES ERJ2GEJ 102 X (1 kΩ) T 51.2/50.5
R713 7030005050 S.RES ERJ2GEJ 103 X (10 kΩ) T 57.1/51.5
R715 7030004970 S.RES ERJ2GEJ 470 X (47 Ω) T 52.1/54.1
R716 7030005710 S.RES ERJ2GEJ 121 X (120 Ω) T 51.3/57.5
R717 7030007300 S.RES ERJ2GEJ 332 X (3.3 kΩ) T 52.1/51.4
R718 7510001461 S.TMR NTCG16 3NH 471JT T 63.3/54
R801 7030008280 S.RES ERJ2GEJ 271 X (270 Ω) T 86.8/55.1
R802 7030005120 S.RES ERJ2GEJ 102 X (1 kΩ) T 65.3/60.9
R803 7030005120 S.RES ERJ2GEJ 102 X (1 kΩ) T 71.9/64.9
R804 7030005530 S.RES ERJ2GEJ 100 X (10 Ω) T 91.1/57.1
R805 7030010090 S.RES ERJ2GEJ 180 X (18 Ω) T 86.3/54.1
R806 7030008280 S.RES ERJ2GEJ 271 X (270 Ω) T 85.2/55.1
R807 7030005120 S.RES ERJ2GEJ 102 X (1 kΩ) T 62.8/64.6
R808 7030004970 S.RES ERJ2GEJ 470 X (47 Ω) T 62.3/69.4
R809 7030008280 S.RES ERJ2GEJ 271 X (270 Ω) T 82.8/60.6
R810 7030010090 S.RES ERJ2GEJ 180 X (18 Ω) T 84.4/60.6
R811 7030008280 S.RES ERJ2GEJ 271 X (270 Ω) T 82.8/59.7
R904 7030003860 S.RES ERJ3GE JPW V T 36.5/68.1
R905 7030004980 S.RES ERJ2GEJ 101 X (100 Ω) T 39.2/64.6
S.=Surface mount
REF ORDER DESCRIPTION M. H/V
NO. NO.
LOCATION
[MAIN UNIT]

5 - 7
M.=Mounted side (T: Mounted on the Top side, B: Mounted on the Bottom side)
REF ORDER DESCRIPTION M. H/V
NO. NO.
LOCATION
[MAIN UNIT]
R906 7030007290 S.RES ERJ2GEJ 222 X (2.2 kΩ) T 39.2/66.5
R907 7030004990 S.RES ERJ2GEJ 221 X (220 Ω) T 36.8/70
R908 7030005000 S.RES ERJ2GEJ 471 X (470 Ω) T 35.6/61.9
R909 7030008410 S.RES ERJ2GEJ 392 X (3.9 kΩ) T 34.2/68.4
R912 7030005210 S.RES ERJ2GEJ 822 X (8.2 kΩ) T 34.2/66.6
R913 7030007300 S.RES ERJ2GEJ 332 X (3.3 kΩ) T 40.5/75
R914 7030009290 S.RES ERJ2GEJ 562 X (5.6 kΩ) T 35.6/75.4
R915 7030007290 S.RES ERJ2GEJ 222 X (2.2 kΩ) T 36.6/70.9
R916 7030005050 S.RES ERJ2GEJ 103 X (10 kΩ) T 37.2/75.4
R917 7030004970 S.RES ERJ2GEJ 470 X (47 Ω) T 34.2/69.3
R918 7030007290 S.RES ERJ2GEJ 222 X (2.2 kΩ) B 31.4/72.1
R919 7030004980 S.RES ERJ2GEJ 101 X (100 Ω) T 31.5/72.1
R1009 7030009290 S.RES ERJ2GEJ 562 X (5.6 kΩ) T 25.8/72.9
R1018 7030007290 S.RES ERJ2GEJ 222 X (2.2 kΩ) T 18.1/73.7
R1019 7030005050 S.RES ERJ2GEJ 103 X (10 kΩ) T 20.3/76.9
R1020 7030005000 S.RES ERJ2GEJ 471 X (470 Ω) T 12.7/77.6
R1022 7510001461 S.TMR NTCG16 3NH 471JT T 14.8/75.9
R1023 7030008370 S.RES ERJ2GEJ 561 X (560 Ω) T 15.2/74.7
R1024 7030004980 S.RES ERJ2GEJ 101 X (100 Ω) T 12.7/74.9
R1025 7030007260 S.RES ERJ2GEJ 330 X (33 Ω) T 12.7/76.7
R1027 7030005120 S.RES ERJ2GEJ 102 X (1 kΩ) T 4.6/87.8
R1201 7030005000 S.RES ERJ2GEJ 471 X (470 Ω) T 25.7/77.6
R1202 7030005240 S.RES ERJ2GEJ 473 X (47 kΩ) T 24/78.5
R1203 7030005240 S.RES ERJ2GEJ 473 X (47 kΩ) T 25.6/78.5
R1204 7030005240 S.RES ERJ2GEJ 473 X (47 kΩ) T 20.2/79.2
R1205 7030005000 S.RES ERJ2GEJ 471 X (470 Ω) T 20.2/78.3
R1206 7030005090 S.RES ERJ2GEJ 104 X (100 kΩ) T 21.8/79.2
R1207 7030005240 S.RES ERJ2GEJ 473 X (47 kΩ) T 17.9/83.6
R1208 7030004980 S.RES ERJ2GEJ 101 X (100 Ω) T 9.4/79.8
R1209 7030004980 S.RES ERJ2GEJ 101 X (100 Ω) T 16.4/79.9
R1211 7030005120 S.RES ERJ2GEJ 102 X (1 kΩ) T 12.7/79.4
R1212 7030005120 S.RES ERJ2GEJ 102 X (1 kΩ) T 12.7/78.5
R1213 7030005120 S.RES ERJ2GEJ 102 X (1 kΩ) T 11.1/79.4
R1215 7030007350 S.RES ERJ2GEJ 393 X (39 kΩ) T 8.1/81.3
R1216 7030007290 S.RES ERJ2GEJ 222 X (2.2 kΩ) T 9.5/83.4
R1217 7030007290 S.RES ERJ2GEJ 222 X (2.2 kΩ) T 8/82.8
R1218 7030005050 S.RES ERJ2GEJ 103 X (10 kΩ) T 7.5/78.5
R1219 7030005050 S.RES ERJ2GEJ 103 X (10 kΩ) T 7.5/79.7
R1301 7030010040 S.RES ERJ2GEJ-JPW T 16.8/72.9
R1302 7030005120 S.RES ERJ2GEJ 102 X (1 kΩ) T 15.2/72.7
R1303 7030005120 S.RES ERJ2GEJ 102 X (1 kΩ) T 12.7/74
R1304 7030005120 S.RES ERJ2GEJ 102 X (1 kΩ) T 14.9/68.3
R1305 7030005120 S.RES ERJ2GEJ 102 X (1 kΩ) T 16.2/63.8
R1306 7030005120 S.RES ERJ2GEJ 102 X (1 kΩ) T 10.9/56.8
R1308 7030007300 S.RES ERJ2GEJ 332 X (3.3 kΩ) T 12.9/67.3
R1309 7030005120 S.RES ERJ2GEJ 102 X (1 kΩ) T 11.3/66.4
R1310 7510001451 S.TMR NTCG16 4BH 472JT T 12.2/68.4
R1401 7030005120 S.RES ERJ2GEJ 102 X (1 kΩ) B 45.3/72.3
R1402 7030008010 S.RES ERJ2GEJ 123 X (12 kΩ) B 43.6/72.3
R1403 7030007290 S.RES ERJ2GEJ 222 X (2.2 kΩ) B 44.5/73.4
R1404 7030007280 S.RES ERJ2GEJ 331 X (330 Ω) B 44.5/75.2
R1405 7030004970 S.RES ERJ2GEJ 470 X (47 Ω) B 42/71.5
R1406 7030005290 S.RES ERJ2GEJ 682 X (6.8 kΩ) B 38.7/79.9
R1407 7030005120 S.RES ERJ2GEJ 102 X (1 kΩ) B 38.7/79
R1408 7030007280 S.RES ERJ2GEJ 331 X (330 Ω) B 38.7/80.8
R1409 7030004970 S.RES ERJ2GEJ 470 X (47 Ω) B 34.6/80
R1414 7030007340 S.RES ERJ2GEJ 153 X (15 kΩ) B 20.2/76.4
R1416 7030008410 S.RES ERJ2GEJ 392 X (3.9 kΩ) B 19.4/83
R1420 7030004990 S.RES ERJ2GEJ 221 X (220 Ω) B 25/76.8
R1421 7030007270 S.RES ERJ2GEJ 151 X (150 Ω) B 23.2/75.9
R1422 7030004990 S.RES ERJ2GEJ 221 X (220 Ω) B 23.2/76.8
R1501 7030010040 S.RES ERJ2GEJ-JPW B 72.4/38.2
R1502 7030005100 S.RES ERJ2GEJ 154 X (150 kΩ) B 86.4/55.3
R1503 7030005100 S.RES ERJ2GEJ 154 X (150 kΩ) B 85.7/54.1
R1504 7030004970 S.RES ERJ2GEJ 470 X (47 Ω) B 72.4/40.3
R1505 7030007290 S.RES ERJ2GEJ 222 X (2.2 kΩ) B 73.6/54.8
R1506 7030007350 S.RES ERJ2GEJ 393 X (39 kΩ) B 85.7/52.3
R1507 7030007350 S.RES ERJ2GEJ 393 X (39 kΩ) B 85.7/53.2
R1508 7030005220 S.RES ERJ2GEJ 223 X (22 kΩ) B 74.2/61.6
R1509 7030006610 S.RES ERJ2GEJ 394 X (390 kΩ) B 85.9/59
R1510 7030005050 S.RES ERJ2GEJ 103 X (10 kΩ)
[USA] only B 76.6/61.9
R1511 7030005590 S.RES ERJ2GEJ 680 X (68 Ω) B 85.8/60.8
R1512 7030005120 S.RES ERJ2GEJ 102 X (1 kΩ) B 71.5/73.7
R1513 7030007280 S.RES ERJ2GEJ 331 X (330 Ω) B 73.1/73.7
R1514 7030007290 S.RES ERJ2GEJ 222 X (2.2 kΩ) B 73.1/52.8
R1515 7030007290 S.RES ERJ2GEJ 222 X (2.2 kΩ) B 71.8/53.6
R1516 7030004970 S.RES ERJ2GEJ 470 X (47 Ω) B 82.5/35.3
R1521 7030005090 S.RES ERJ2GEJ 104 X (100 kΩ) B 86.5/50.3
R1522 7030005240 S.RES ERJ2GEJ 473 X (47 kΩ) B 86.7/46.8
R1523 7030005120 S.RES ERJ2GEJ 102 X (1 kΩ) B 77.3/39.5
R1524 7030005120 S.RES ERJ2GEJ 102 X (1 kΩ) B 81.9/40.3
R1525 7030007300 S.RES ERJ2GEJ 332 X (3.3 kΩ) B 81.9/42.2
R1526 7030005120 S.RES ERJ2GEJ 102 X (1 kΩ) B 83.5/40.5
R1602 7030005120 S.RES ERJ2GEJ 102 X (1 kΩ) T 6.3/54
R1603 7030010040 S.RES ERJ2GEJ-JPW T 13/49.6
R1604 7030007290 S.RES ERJ2GEJ 222 X (2.2 kΩ) T 13/50.5
R1605 7030005090 S.RES ERJ2GEJ 104 X (100 kΩ) T 8.8/46.9
R1606 7030005070 S.RES ERJ2GEJ 683 X (68 kΩ) T 6.1/46.6
R1607 7030005070 S.RES ERJ2GEJ 683 X (68 kΩ) T 5.1/42.1
R1608 7030005090 S.RES ERJ2GEJ 104 X (100 kΩ) T 10.4/47.8
R1609 7030007320 S.RES ERJ2GEJ 225 X (2.2 MΩ) T 10.4/46
R1610 7030005060 S.RES ERJ2GEJ 333 X (33 kΩ) T 4.5/43.5
R1611 7030005230 S.RES ERJ2GEJ 334 X (330 kΩ) T 8.8/47.8
R1612 7030005060 S.RES ERJ2GEJ 333 X (33 kΩ) T 3.4/42.3
R1613 7030003860 S.RES ERJ3GE JPW V T 6.7/48.7
R1614 7030007310 S.RES ERJ2GEJ 155 X (1.5 MΩ) T 6.1/45.7
R1615 7030005040 S.RES ERJ2GEJ 472 X (4.7 kΩ) T 4.2/35.4
R1616 7030005090 S.RES ERJ2GEJ 104 X (100 kΩ) T 6.7/35.4
R1617 7030005720 S.RES ERJ2GEJ 563 X (56 kΩ) T 3.4/38.2
R1618 7310005020 S.TRI RH03ADC14X (10 kΩ) T 3.5/46.3
R1619 7030005080 S.RES ERJ2GEJ 823 X (82 kΩ) T 2.6/43.3
R1620 7030008290 S.RES ERJ2GEJ 183 X (18 kΩ) T 3.4/37.3
R1621 7030005160 S.RES ERJ2GEJ 105 X (1 MΩ) T 6.7/37.2
R1622 7030010040 S.RES ERJ2GEJ-JPW T 5/37.3
R1623 7030005000 S.RES ERJ2GEJ 471 X (470 Ω) T 12/46.8
R1624 7030007250 S.RES ERJ2GEJ 220 X (22 Ω) T 14.9/38.3
R1625 7030004990 S.RES ERJ2GEJ 221 X (220 Ω) T 13.6/32.6
R1626 7030005050 S.RES ERJ2GEJ 103 X (10 kΩ) T 10.3/34.5
R1627 7030007320 S.RES ERJ2GEJ 225 X (2.2 MΩ) T 10.3/35.4
R1628 7030005120 S.RES ERJ2GEJ 102 X (1 kΩ) T 4.9/30.8
R1629 7030005050 S.RES ERJ2GEJ 103 X (10 kΩ) T 4.9/29.9
R1630 7030004980 S.RES ERJ2GEJ 101 X (100 Ω) T 8.3/45.7
R1631 7030005090 S.RES ERJ2GEJ 104 X (100 kΩ) T 9.8/37.2
R1634 7030005040 S.RES ERJ2GEJ 472 X (4.7 kΩ) T 10.3/33.6
R1636 7030007320 S.RES ERJ2GEJ 225 X (2.2 MΩ) T 13/31.7
R1637 7030007320 S.RES ERJ2GEJ 225 X (2.2 MΩ) T 12/45.9
R1638 7030008280 S.RES ERJ2GEJ 271 X (270 Ω) T 10.9/48.8
R1639 7030005120 S.RES ERJ2GEJ 102 X (1 kΩ) T 14.6/50.5
R1640 7030005090 S.RES ERJ2GEJ 104 X (100 kΩ) T 10.9/31.6
R1641 7030007320 S.RES ERJ2GEJ 225 X (2.2 MΩ) T 13/30.7
R1642 7030005120 S.RES ERJ2GEJ 102 X (1 kΩ) T 56/24
R1701 7030009320 S.RES ERJ2GEJ 4R7 X (4.7 Ω) T 48/45.3
R1702 7030007280 S.RES ERJ2GEJ 331 X (330 Ω) B 52.1/44.7
R1703 7030007280 S.RES ERJ2GEJ 331 X (330 Ω) B 53.7/43.8
R1704 7030007280 S.RES ERJ2GEJ 331 X (330 Ω) B 53.7/44.7
R1705 7030009320 S.RES ERJ2GEJ 4R7 X (4.7 Ω) T 48/46.2
R1706 7030007280 S.RES ERJ2GEJ 331 X (330 Ω) B 53.6/64.2
R1707 7030007280 S.RES ERJ2GEJ 331 X (330 Ω) B 55.6/64.8
R1708 7030007280 S.RES ERJ2GEJ 331 X (330 Ω) B 55.6/65.7
R1901 7030005090 S.RES ERJ2GEJ 104 X (100 kΩ) B 20/13.9
R1902 7030011290 S.RES ERJ12YJ1R8U (1.8
Ω) B 12.4/45.8
R1952 7030009980 S.RES ERJ12RSJR15U B 42.6/102.7
R1953 7030009980 S.RES ERJ12RSJR15U B 42.6/99
R1954 7030005170 S.RES ERJ2GEJ 474 X (470 kΩ) B 42.7/111.3
R1955 7030005511 S.RES ERA3YED 303V (30 kΩ) B 44.9/108
R1956 7030005110 S.RES ERJ2GEJ 224 X (220 kΩ) B 33.7/105.1
R1957 7030007350 S.RES ERJ2GEJ 393 X (39 kΩ) B 35.3/104.2
R1958 7030005720 S.RES ERJ2GEJ 563 X (56 kΩ) B 35.3/103.3
R1981 7030008240 S.RES ERJ12YJ0R00U B 83.1/109
R2002 7030010040 S.RES ERJ2GEJ-JPW B 36.9/12.7
R2003 7030008240 S.RES ERJ12YJ0R00U T 55.7/8
R2004 7030004990 S.RES ERJ2GEJ 221 X (220 Ω) B 59.8/9.2
R2005 7030004990 S.RES ERJ2GEJ 221 X (220 Ω) B 59.1/3
R2006 7030004990 S.RES ERJ2GEJ 221 X (220 Ω) B 60.7/3.7
R2007 7030004990 S.RES ERJ2GEJ 221 X (220 Ω) B 60.7/4.6
R2008 7030010040 S.RES ERJ2GEJ-JPW B 34/17.6
R2010 7030010040 S.RES ERJ2GEJ-JPW B 32.5/15.1
R2011 7030006210 S.RES ERJ12YJ4R7U (4.7
Ω) B 13.1/26.3
R2012 7030005120 S.RES ERJ2GEJ 102 X (1 kΩ) B 32.4/17.3
R2101 7030005090 S.RES ERJ2GEJ 104 X (100 kΩ) T 26.1/113.8
R2102 7030005090 S.RES ERJ2GEJ 104 X (100 kΩ) T 33.1/114.3
R2103 7030005090 S.RES ERJ2GEJ 104 X (100 kΩ) T 30.7/123.4
R2104 7030005090 S.RES ERJ2GEJ 104 X (100 kΩ) T 28.1/123.4
R2105 7030005090 S.RES ERJ2GEJ 104 X (100 kΩ) T 32.3/119
R2106 7030005720 S.RES ERJ2GEJ 563 X (56 kΩ) T 25/115.5
R2107 7030005720 S.RES ERJ2GEJ 563 X (56 kΩ) T 31.5/114.8
R2108 7030005100 S.RES ERJ2GEJ 154 X (150 kΩ) T 30.7/122.5
R2109 7030007350 S.RES ERJ2GEJ 393 X (39 kΩ) T 27.1/122.5
R2110 7030005090 S.RES ERJ2GEJ 104 X (100 kΩ) T 44.3/111.8
R2111 7030005090 S.RES ERJ2GEJ 104 X (100 kΩ) T 44.7/110
R2112 7030005090 S.RES ERJ2GEJ 104 X (100 kΩ) T 54.1/110.8
R2113 7030005090 S.RES ERJ2GEJ 104 X (100 kΩ) T 54.1/111.7
R2114 7030005100 S.RES ERJ2GEJ 154 X (150 kΩ) T 44.7/112.7
R2115 7030005100 S.RES ERJ2GEJ 154 X (150 kΩ) T 44.7/109.1
R2116 7030005100 S.RES ERJ2GEJ 154 X (150 kΩ) T 54.4/109.9
R2117 7030005100 S.RES ERJ2GEJ 154 X (150 kΩ) T 54.1/112.6
R2118 7030005090 S.RES ERJ2GEJ 104 X (100 kΩ) T 54.1/120.6
R2119 7030005090 S.RES ERJ2GEJ 104 X (100 kΩ) T 54.1/121.8
R2120 7030008300 S.RES ERJ2GEJ 184 X (180 kΩ) T 44.8/122.1
R2121 7030008300 S.RES ERJ2GEJ 184 X (180 kΩ) T 42.9/121.3
R2122 7030005100 S.RES ERJ2GEJ 154 X (150 kΩ) T 54.1/119.7
R2123 7030006610 S.RES ERJ2GEJ 394 X (390 kΩ) T 54.2/122.8
R2124 7030005110 S.RES ERJ2GEJ 224 X (220 kΩ) T 44.8/123
R2125 7030005110 S.RES ERJ2GEJ 224 X (220 kΩ) T 44.8/119.4
R2126 7030010040 S.RES ERJ2GEJ-JPW T 33.1/116.6
R2128 7030005000 S.RES ERJ2GEJ 471 X (470 Ω) T 32.3/123.4
R2129 7030005000 S.RES ERJ2GEJ 471 X (470 Ω) T 54.1/118.8
R2131 7030005090 S.RES ERJ2GEJ 104 X (100 kΩ) B 39.8/122
R2132 7030005090 S.RES ERJ2GEJ 104 X (100 kΩ) T 42.8/115.1
R2133 7030005090 S.RES ERJ2GEJ 104 X (100 kΩ) T 40.6/114.1
R2134 7030005090 S.RES ERJ2GEJ 104 X (100 kΩ) T 36.5/114.1
S.=Surface mount
REF ORDER DESCRIPTION M. H/V
NO. NO.
LOCATION
[MAIN UNIT]

5 - 8
M.=Mounted side (T: Mounted on the Top side, B: Mounted on the Bottom side)
REF ORDER DESCRIPTION M. H/V
NO. NO.
LOCATION
[MAIN UNIT]
R2135 7030005090 S.RES ERJ2GEJ 104 X (100 kΩ) T 34.9/114.2
R2136 7030005000 S.RES ERJ2GEJ 471 X (470 Ω) T 26.5/123.4
R2137 7030005230 S.RES ERJ2GEJ 334 X (330 kΩ) T 43.3/123.7
R2138 7030005230 S.RES ERJ2GEJ 334 X (330 kΩ) T 42.9/122.2
R2139 7030004980 S.RES ERJ2GEJ 101 X (100 Ω) T 25/116.4
R2140 7030004980 S.RES ERJ2GEJ 101 X (100 Ω) T 32/115.7
R2141 7030010040 S.RES ERJ2GEJ-JPW T 44.7/113.6
R2142 7030010040 S.RES ERJ2GEJ-JPW T 52.7/108.9
R2143 7030010040 S.RES ERJ2GEJ-JPW T 56/109.9
R2144 7030010040 S.RES ERJ2GEJ-JPW T 51.3/115.1
R2145 7030010040 S.RES ERJ2GEJ-JPW T 58.1/123.6
R2146 7030010040 S.RES ERJ2GEJ-JPW T 46.3/124
R2147 7030010040 S.RES ERJ2GEJ-JPW T 46/118.5
R2151 7030005240 S.RES ERJ2GEJ 473 X (47 kΩ) T 52.3/101.7
R2152 7030005120 S.RES ERJ2GEJ 102 X (1 kΩ) T 56.5/107.1
R2153 7030005240 S.RES ERJ2GEJ 473 X (47 kΩ) T 24.8/112.5
R2154 7030005120 S.RES ERJ2GEJ 102 X (1 kΩ) T 25.6/111.6
R2155 7030005240 S.RES ERJ2GEJ 473 X (47 kΩ) T 46.1/104.6
R2156 7030005120 S.RES ERJ2GEJ 102 X (1 kΩ) T 46.1/105.5
R2157 7030005530 S.RES ERJ2GEJ 100 X (10 Ω) B 33.3/120.8
R2158 7030005530 S.RES ERJ2GEJ 100 X (10 Ω) B 33.3/119.8
R2159 7030005530 S.RES ERJ2GEJ 100 X (10 Ω) B 35/118.3
R2160 7030005530 S.RES ERJ2GEJ 100 X (10 Ω) B 40.7/94.3
R2161 7030005530 S.RES ERJ2GEJ 100 X (10 Ω) B 40.7/95.2
R2162 7030005530 S.RES ERJ2GEJ 100 X (10 Ω) B 30.2/93.8
R2163 7030005530 S.RES ERJ2GEJ 100 X (10 Ω) B 30.9/95.9
R2164 7030005530 S.RES ERJ2GEJ 100 X (10 Ω) B 30.2/94.7
R2165 7030005530 S.RES ERJ2GEJ 100 X (10 Ω) B 29.3/95.9
R2166 7030005530 S.RES ERJ2GEJ 100 X (10 Ω) T 51.8/93.3
R2167 7030005530 S.RES ERJ2GEJ 100 X (10 Ω) T 51.8/94.2
R2168 7030005530 S.RES ERJ2GEJ 100 X (10 Ω) T 51.8/95.1
R2169 7030005120 S.RES ERJ2GEJ 102 X (1 kΩ) T 8.8/118.5
R2170 7030005170 S.RES ERJ2GEJ 474 X (470 kΩ) T 5/104.5
R2171 7030005240 S.RES ERJ2GEJ 473 X (47 kΩ) T 9.7/114.2
R2172 7030005240 S.RES ERJ2GEJ 473 X (47 kΩ) T 5/112.4
R2174 7030005170 S.RES ERJ2GEJ 474 X (470 kΩ) T 5/105.4
R2175 7030005170 S.RES ERJ2GEJ 474 X (470 kΩ) T 5/111.5
R2176 7030005170 S.RES ERJ2GEJ 474 X (470 kΩ) T 11.3/114.2
R2177 7030005210 S.RES ERJ2GEJ 822 X (8.2 kΩ) T 3.3/108
R2202 7030010040 S.RES ERJ2GEJ-JPW T 26.5/124.3
R2203 7030005080 S.RES ERJ2GEJ 823 X (82 kΩ) T 25/122.4
R2204 7030005050 S.RES ERJ2GEJ 103 X (10 kΩ) T 23.4/122.7
R2205 7030005040 S.RES ERJ2GEJ 472 X (4.7 kΩ) T 18.2/118.2
R2206 7030007270 S.RES ERJ2GEJ 151 X (150 Ω) T 12.6/118.8
R2207 7030005090 S.RES ERJ2GEJ 104 X (100 kΩ) T 23.1/121.5
R2208 7030005090 S.RES ERJ2GEJ 104 X (100 kΩ) T 19/119.2
R2209 7030004980 S.RES ERJ2GEJ 101 X (100 Ω) T 21/116.5
R2211 7030005230 S.RES ERJ2GEJ 334 X (330 kΩ) T 12.9/123.5
R2212 7030005310 S.RES ERJ2GEJ 124 X (120 kΩ) T 12/124.4
R2213 7030008010 S.RES ERJ2GEJ 123 X (12 kΩ) T 10.4/124.4
R2214 7030005050 S.RES ERJ2GEJ 103 X (10 kΩ) T 8.8/117.6
R2215 7030005040 S.RES ERJ2GEJ 472 X (4.7 kΩ) T 11.1/120.6
R2217 7030007280 S.RES ERJ2GEJ 331 X (330 Ω) T 24.9/121.5
R2218 7030007270 S.RES ERJ2GEJ 151 X (150 Ω) T 15.5/127.5
R2219 7030007280 S.RES ERJ2GEJ 331 X (330 Ω) T 17.7/126.1
R2220 7030008280 S.RES ERJ2GEJ 271 X (270 Ω) T 16.1/126.1
R2221 7030005050 S.RES ERJ2GEJ 103 X (10 kΩ) T 9.5/120.5
R2230 7030010900 S.RES ERJ3GEYJ 750 V (75 Ω) T 40.4/105.8
R2231 7030005050 S.RES ERJ2GEJ 103 X (10 kΩ) T 4.5/118.2
R2232 7030005050 S.RES ERJ2GEJ 103 X (10 kΩ) T 54.7/117.5
R2251 7030004990 S.RES ERJ2GEJ 221 X (220 Ω) T 6.1/96.9
R2254 7030004990 S.RES ERJ2GEJ 221 X (220 Ω) B 6.8/100.7
R2255 7030004990 S.RES ERJ2GEJ 221 X (220 Ω) B 6.8/101.6
R2256 7030004990 S.RES ERJ2GEJ 221 X (220 Ω) B 6.8/102.5
R2257 7030004990 S.RES ERJ2GEJ 221 X (220 Ω) B 75.3/109
R2258 7030004990 S.RES ERJ2GEJ 221 X (220 Ω) B 70.9/106.5
R2259 7030004990 S.RES ERJ2GEJ 221 X (220 Ω) B 75.3/107.8
R2260 7030004990 S.RES ERJ2GEJ 221 X (220 Ω) B 71/105.6
R2261 7030004990 S.RES ERJ2GEJ 221 X (220 Ω) B 75.3/106.6
R2262 7030004990 S.RES ERJ2GEJ 221 X (220 Ω) B 71.4/104.5
R2263 7030004990 S.RES ERJ2GEJ 221 X (220 Ω) B 75.6/104.5
R2264 7030004990 S.RES ERJ2GEJ 221 X (220 Ω) B 72.2/103.6
R2267 7030004990 S.RES ERJ2GEJ 221 X (220 Ω) T 78.6/104.1
R2268 7030004990 S.RES ERJ2GEJ 221 X (220 Ω) T 78.6/103.2
R2269 7030004990 S.RES ERJ2GEJ 221 X (220 Ω) T 78.6/102.3
R2270 7030004970 S.RES ERJ2GEJ 470 X (47 Ω) T 76.6/101.8
R2271 7030004990 S.RES ERJ2GEJ 221 X (220 Ω) T 76.6/100.9
R2272 7030004990 S.RES ERJ2GEJ 221 X (220 Ω) B 78.1/97.8
R2273 7030004990 S.RES ERJ2GEJ 221 X (220 Ω) B 78.1/98.9
R2274 7030005000 S.RES ERJ2GEJ 471 X (470 Ω) T 14.1/89.7
R2277 7030005090 S.RES ERJ2GEJ 104 X (100 kΩ) T 19.2/89.5
R2278 7030005090 S.RES ERJ2GEJ 104 X (100 kΩ) T 19.2/90.4
R2279 7030005120 S.RES ERJ2GEJ 102 X (1 kΩ) T 66.2/107
R2280 7030004980 S.RES ERJ2GEJ 101 X (100 Ω) B 69.7/110.2
R2281 7030004990 S.RES ERJ2GEJ 221 X (220 Ω) T 7.1/101.5
R2301 7030007250 S.RES ERJ2GEJ 220 X (22 Ω) T 28.3/106.6
R2302 7030008290 S.RES ERJ2GEJ 183 X (18 kΩ) T 28.9/108
R2303 7030005710 S.RES ERJ2GEJ 121 X (120 Ω) T 31.2/110.8
R2304 7030010900 S.RES ERJ3GEYJ 750 V (75 Ω) T 77.7/112
R2311 7030006101 S.RES ERA3YED 183V (18 kΩ) B 67.6/107.1
R2312 7030006571 S.RES ERA3YED 392V (3.9 kΩ) B 68.5/108.3
R2401 7030005000 S.RES ERJ2GEJ 471 X (470 Ω) B 78.7/29.6
R2402 7030005050 S.RES ERJ2GEJ 103 X (10 kΩ) B 81.3/29.6
R2405 7030010040 S.RES ERJ2GEJ-JPW T 91.9/5.8
R2406 7030004990 S.RES ERJ2GEJ 221 X (220 Ω) B 90.3/100.7
R2408 7030004970 S.RES ERJ2GEJ 470 X (47 Ω) B 90.3/99.8
R2409 7030004990 S.RES ERJ2GEJ 221 X (220 Ω) B 87.1/68.1
R2410 7030004990 S.RES ERJ2GEJ 221 X (220 Ω) B 90.3/65.5
R2411 7030004990 S.RES ERJ2GEJ 221 X (220 Ω) B 87.3/67.2
R2412 7030004990 S.RES ERJ2GEJ 221 X (220 Ω) B 91.3/68.5
R2413 7030004990 S.RES ERJ2GEJ 221 X (220 Ω) B 87.3/66.3
R2414 7030004990 S.RES ERJ2GEJ 221 X (220 Ω) B 90.3/64.6
R2415 7030004990 S.RES ERJ2GEJ 221 X (220 Ω) B 87.3/65.4
R2416 7030004990 S.RES ERJ2GEJ 221 X (220 Ω) B 90.3/63.7
R2417 7030010040 S.RES ERJ2GEJ-JPW B 43/141.4
R2418 7030010040 S.RES ERJ2GEJ-JPW T 93.3/7.8
R2501 7030005090 S.RES ERJ2GEJ 104 X (100 kΩ) B 8.3/93.3
R2502 7030005090 S.RES ERJ2GEJ 104 X (100 kΩ) B 8/95.1
R2503 7030008410 S.RES ERJ2GEJ 392 X (3.9 kΩ) B 8/91.5
R2505 7030008410 S.RES ERJ2GEJ 392 X (3.9 kΩ) B 10.6/89.2
R2506 7030005720 S.RES ERJ2GEJ 563 X (56 kΩ) B 9.4/90
R2507 7030004980 S.RES ERJ2GEJ 101 X (100 Ω) B 16.4/89.9
R2508 7030005120 S.RES ERJ2GEJ 102 X (1 kΩ) B 10.4/88.3
R2509 7030005120 S.RES ERJ2GEJ 102 X (1 kΩ) B 15.7/88.3
R2510 7030005120 S.RES ERJ2GEJ 102 X (1 kΩ) B 17.4/92.8
R2513 7030005000 S.RES ERJ2GEJ 471 X (470 Ω) B 15.8/94
R2551 7030005120 S.RES ERJ2GEJ 102 X (1 kΩ) B 42.9/123.2
R2552 7030005120 S.RES ERJ2GEJ 102 X (1 kΩ) B 42.9/122.3
R2555 7030004980 S.RES ERJ2GEJ 101 X (100 Ω) B 51.4/119.3
R2556 7030005040 S.RES ERJ2GEJ 472 X (4.7 kΩ) B 44.5/125.2
R2559 7030010040 S.RES ERJ2GEJ-JPW B 49.5/124.6
R2560 7030008410 S.RES ERJ2GEJ 392 X (3.9 kΩ) B 49.5/125.5
R2561 7030008410 S.RES ERJ2GEJ 392 X (3.9 kΩ) B 52.9/124.7
R2562 7030008410 S.RES ERJ2GEJ 392 X (3.9 kΩ) B 53.9/122.8
R2564 7030005090 S.RES ERJ2GEJ 104 X (100 kΩ) B 46.1/126.1
R2565 7030009280 S.RES ERJ2GEJ 391 X (390 Ω) B 42/117
R2566 7030005050 S.RES ERJ2GEJ 103 X (10 kΩ) B 59/126.8
R2567 7030005050 S.RES ERJ2GEJ 103 X (10 kΩ) B 60.6/126.8
R2568 7030005040 S.RES ERJ2GEJ 472 X (4.7 kΩ) B 47.8/124.7
R2569 7030005040 S.RES ERJ2GEJ 472 X (4.7 kΩ) B 46.1/125.2
R2601 7030010040 S.RES ERJ2GEJ-JPW B 66.7/123.4
R2602 7030005000 S.RES ERJ2GEJ 471 X (470 Ω) B 57.2/122.6
R2603 7030005240 S.RES ERJ2GEJ 473 X (47 kΩ) B 63.4/121.7
R2604 7030008400 S.RES ERJ2GEJ 182 X (1.8 kΩ) B 66.7/124.3
R2605 7030005120 S.RES ERJ2GEJ 102 X (1 kΩ) B 65.5/126
R2607 7030010040 S.RES ERJ2GEJ-JPW T 40.4/132.4
R2608 7030009320 S.RES ERJ2GEJ 4R7 X (4.7 Ω) B 85.4/134.1
R2611 7030005050 S.RES ERJ2GEJ 103 X (10 kΩ) B 33.9/125.2
R2612 7030005090 S.RES ERJ2GEJ 104 X (100 kΩ) B 38.4/126
R2613 7030005080 S.RES ERJ2GEJ 823 X (82 kΩ) B 38.4/124.2
R2614 7030005050 S.RES ERJ2GEJ 103 X (10 kΩ) B 34.5/127.2
R2617 7030005040 S.RES ERJ2GEJ 472 X (4.7 kΩ) T 63.3/111.1
R2618 7030007340 S.RES ERJ2GEJ 153 X (15 kΩ) T 69.3/112.6
R2619 7030005060 S.RES ERJ2GEJ 333 X (33 kΩ) T 63.3/112.1
R2620 7030005120 S.RES ERJ2GEJ 102 X (1 kΩ) T 78.1/100.3
R2621 7030005120 S.RES ERJ2GEJ 102 X (1 kΩ) T 78.1/99.4
R2623 7030005240 S.RES ERJ2GEJ 473 X (47 kΩ) T 9.8/112.9
R2624 7030004970 S.RES ERJ2GEJ 470 X (47 Ω) B 86.8/122
R2628 7030005240 S.RES ERJ2GEJ 473 X (47 kΩ) B 61.8/121.7
C5 4030017460 S.CER ECJ0EB1E102K B 47.5/30.7
C6 4030018960 S.CER C3216 JB 1C 106MT-N T 66.3/12
C7 4030017330 S.CER ECJ0EF1C104Z T 73.1/13.2
C8 4030017330 S.CER ECJ0EF1C104Z T 77.2/9
C9 4030017330 S.CER ECJ0EF1C104Z T 73.1/15
C10 4030017330 S.CER ECJ0EF1C104Z T 75/15.5
C11 4030017330 S.CER ECJ0EF1C104Z T 72.7/20.1
C12 4030017330 S.CER ECJ0EF1C104Z T 76.8/16.7
C13 4030017330 S.CER ECJ0EF1C104Z T 73.4/18.3
C14 4030017460 S.CER ECJ0EB1E102K T 67.7/16.5
C15 4030017460 S.CER ECJ0EB1E102K T 63.7/15.6
C16 4030017460 S.CER ECJ0EB1E102K T 63.6/16.5
C17 4030017460 S.CER ECJ0EB1E102K T 60.7/16.7
C18 4030017620 S.CER ECJ0EC1H100C T 60.8/19
C21 4030017730 S.CER ECJ0EB1E471K T 63.7/14.7
C25 4030017580 S.CER ECJ0EC1H060C T 55.2/17.8
C26 4030017660 S.CER ECJ0EC1H330J T 55.2/18.7
C27 4030017780 S.CER ECJ0EB1E472K T 51.6/20.5
C28 4030017530 S.CER ECJ0EC1H0R5B T 53.8/17.1
C29 4030017600 S.CER ECJ0EC1H080C T 51.7/19.6
C30 4030017730 S.CER ECJ0EB1E471K T 45.8/17.5
C31 4030017530 S.CER ECJ0EC1H0R5B T 53.8/16.2
C32 4030017660 S.CER ECJ0EC1H330J T 52.1/17.4
C33 4030017580 S.CER ECJ0EC1H060C T 52.2/16.5
C34 4030017380 S.CER ECJ0EC1H050B T 56/15
C35 4030017380 S.CER ECJ0EC1H050B T 55.9/12.4
C36 4030017730 S.CER ECJ0EB1E471K T 51/15.6
C37 4030017780 S.CER ECJ0EB1E472K T 70.4/10.6
C38 4030017780 S.CER ECJ0EB1E472K T 45.8/18.4
C40 4030017730 S.CER ECJ0EB1E471K T 73.1/14.1
C41 4030017730 S.CER ECJ0EB1E471K T 66.8/19.6
S.=Surface mount
REF ORDER DESCRIPTION M. H/V
NO. NO.
LOCATION
[MAIN UNIT]

5 - 9
M.=Mounted side (T: Mounted on the Top side, B: Mounted on the Bottom side)
REF ORDER DESCRIPTION M. H/V
NO. NO.
LOCATION
[MAIN UNIT]
C42 4030017730 S.CER ECJ0EB1E471K T 70.4/11.5
C43 4030017420 S.CER ECJ0EC1H470J T 45.8/16.6
C44 4030017420 S.CER ECJ0EC1H470J T 48/11.7
C50 4030017640 S.CER ECJ0EC1H150J B 81.5/12.6
C51 4030017640 S.CER ECJ0EC1H150J B 79.9/11.8
C52 4030017430 S.CER ECJ0EC1H101J B 79.9/12.7
C53 4030016930 S.CER ECJ0EB1A104K B 79.6/21.3
C54 4030016930 S.CER ECJ0EB1A104K T 79.8/12.9
C55 4030016930 S.CER ECJ0EB1A104K T 78.5/17.9
C56 4030018860 S.CER ECJ0EB0J105K B 66.9/22.7
C58 4030017710 S.CER ECJ0EC1H181J T 71.1/19.7
C59 4030017710 S.CER ECJ0EC1H181J T 66.3/23.7
C101 4030017330 S.CER ECJ0EF1C104Z T 10.3/15.5
C102 4030017330 S.CER ECJ0EF1C104Z T 13.2/16.9
C103 4030017330 S.CER ECJ0EF1C104Z T 13.2/17.8
C104 4030017330 S.CER ECJ0EF1C104Z T 3.3/29.9
C105 4030017330 S.CER ECJ0EF1C104Z T 13.2/19.6
C106 4030017850 S.CER C2012 CH 1H 272J-T T 23.7/10.9
C107 4030017330 S.CER ECJ0EF1C104Z T 19.2/12.9
C108 4030017330 S.CER ECJ0EF1C104Z T 36.5/16.6
C109 4030017330 S.CER ECJ0EF1C104Z T 25.2/14
C110 4030017800 S.CER C1608 CH 1H 561J-T T 27.8/7.6
C111 4030018590 S.CER C1608 CH 1H 122J-T T 28.8/5
C112 4030017330 S.CER ECJ0EF1C104Z T 25/5.7
C114 4030018600 S.CER C1608 CH 1H 152J-T T 25.1/15
C115 4030008490 S.CER C2012 JB 1H 682K-T T 24.8/16.7
C116 4030017850 S.CER C2012 CH 1H 272J-T T 24.8/18.4
C117 4030017330 S.CER ECJ0EF1C104Z T 19.3/5.8
C118 4030017330 S.CER ECJ0EF1C104Z T 38.2/17.5
C119 4030017780 S.CER ECJ0EB1E472K T 7.8/22.2
C120 4030017330 S.CER ECJ0EF1C104Z T 7.8/21.3
C121 4030017330 S.CER ECJ0EF1C104Z T 5.7/12.9
C122 4030017330 S.CER ECJ0EF1C104Z T 13.2/18.7
C123 4030017330 S.CER ECJ0EF1C104Z T 15.4/14.3
C124 4030017330 S.CER ECJ0EF1C104Z T 16.3/15.3
C125 4030017460 S.CER ECJ0EB1E102K T 40/21.7
C126 4030017460 S.CER ECJ0EB1E102K T 37/22.3
C127 4030017460 S.CER ECJ0EB1E102K B 19.2/23
C208 4030017330 S.CER ECJ0EF1C104Z T 19.7/31.2
C209 4030017680 S.CER ECJ0EC1H820J T 18.5/41.4
C210 4030017610 S.CER ECJ0EC1H090C T 18.5/40.5
C211 4030017700 S.CER ECJ0EC1H151J T 18.5/42.3
C212 4030017650 S.CER ECJ0EC1H270J T 23.2/39.2
C213 4030017510 S.CER ECJ0EC1H680J T 21.8/43.4
C214 4030018820 S.CER ECJ0EB1H561K T 31.7/54.4
C215 4030017440 S.CER ECJ0EC1H221J T 37/54.6
C226 4030017330 S.CER ECJ0EF1C104Z T 24.1/43.4
C227 4030017330 S.CER ECJ0EF1C104Z T 19.7/30.3
C228 4030017430 S.CER ECJ0EC1H101J T 28.1/39.2
C229 4030017440 S.CER ECJ0EC1H221J T 29.7/39.2
C237 4030017500 S.CER ECJ0EC1H560J T 28.1/38.2
C238 4030017330 S.CER ECJ0EF1C104Z T 21.9/30.9
C239 4030017330 S.CER ECJ0EF1C104Z B 24.7/41.4
C240 4030017400 S.CER ECJ0EC1H220J B 28.1/43.6
C241 4030017580 S.CER ECJ0EC1H060C B 31.5/40.1
C242 4030017680 S.CER ECJ0EC1H820J B 31.5/41
C243 4030018630 S.CER C2012 CH 1H 472J-T T 32.5/57.8
C244 4030018680 S.CER C2012 CH 1H 822J-T T 36.8/57.8
C245 4030017330 S.CER ECJ0EF1C104Z T 45.8/63.2
C246 4030018600 S.CER C1608 CH 1H 152J-T T 36.5/56.1
C247 4030017860 S.CER C2012 CH 1H 332J-T T 40.3/54.1
C248 4030018630 S.CER C2012 CH 1H 472J-T T 43.8/57.9
C249 4030017330 S.CER ECJ0EF1C104Z B 24.9/56.4
C250 4030017330 S.CER ECJ0EF1C104Z B 24.9/53.3
C251 4030018590 S.CER C1608 CH 1H 122J-T T 30.5/51
C252 4030011340 S.CER C1608 CH 1H 471J-T T 31.9/48.6
C253 4030018630 S.CER C2012 CH 1H 472J-T T 29.1/53.3
C254 4030018620 S.CER C1608 CH 1H 222J-T T 38.1/50.8
C255 4030018580 S.CER C1608 CH 1H 821J-T T 32.6/55.9
C256 4030010760 S.CER C1608 CH 1H 331J-T T 38.1/52.1
C257 4030018610 S.CER C1608 CH 1H 182J-T T 34.4/53.4
C258 4030017870 S.CER C1608 CH 1H 681J-T T 40.7/52.2
C259 4030018590 S.CER C1608 CH 1H 122J-T T 37.1/53.4
C260 4030017870 S.CER C1608 CH 1H 681J-T T 40.7/47.9
C261 4030017780 S.CER ECJ0EB1E472K B 37.9/56.2
C262 4030017780 S.CER ECJ0EB1E472K B 37.9/53.8
C263 4030017330 S.CER ECJ0EF1C104Z B 24.5/50.2
C264 4030017330 S.CER ECJ0EF1C104Z B 23.9/47.1
C265 4030011280 S.CER C1608 CH 1H 271J-T B 36.4/46
C266 4030017700 S.CER ECJ0EC1H151J B 31/44.1
C267 4030018590 S.CER C1608 CH 1H 122J-T B 36.4/49.6
C268 4030018580 S.CER C1608 CH 1H 821J-T B 31.7/42.9
C269 4030017710 S.CER ECJ0EC1H181J B 36.5/47.1
C270 4030017430 S.CER ECJ0EC1H101J B 32.6/44.1
C271 4030011330 S.CER C1608 CH 1H 391J-T B 36.4/48.3
C272 4030011280 S.CER C1608 CH 1H 271J-T B 36.3/43.8
C273 4030011330 S.CER C1608 CH 1H 391J-T B 38.8/47.3
C274 4030017730 S.CER ECJ0EB1E471K B 34.2/43.7
C275 4030017780 S.CER ECJ0EB1E472K B 42.9/49.6
C276 4030017780 S.CER ECJ0EB1E472K B 39.2/46.2
C278 4030017330 S.CER ECJ0EF1C104Z T 30.9/31.8
C279 4030017330 S.CER ECJ0EF1C104Z T 31/43.8
C281 4030017330 S.CER ECJ0EF1C104Z T 33/31.7
C282 4030017580 S.CER ECJ0EC1H060C B 31.5/39.2
C283 4030017330 S.CER ECJ0EF1C104Z B 35.8/35.8
C284 4030017780 S.CER ECJ0EB1E472K B 42.6/43.3
C285 4030017380 S.CER ECJ0EC1H050B B 33.1/39.5
C286 4030017510 S.CER ECJ0EC1H680J B 34.7/39.5
C287 4030017690 S.CER ECJ0EC1H121J B 36.5/37.8
C288 4030017680 S.CER ECJ0EC1H820J B 34.2/36.3
C289 4030017420 S.CER ECJ0EC1H470J B 36.3/36.7
C290 4030018600 S.CER C1608 CH 1H 152J-T B 38.8/37.6
C291 4030017680 S.CER ECJ0EC1H820J B 37.9/36.5
C292 4030017330 S.CER ECJ0EF1C104Z T 30.9/30
C293 4030017780 S.CER ECJ0EB1E472K B 38.1/34.8
C294 4030017440 S.CER ECJ0EC1H221J T 38.6/49.6
C295 4030017510 S.CER ECJ0EC1H680J T 40.4/51.2
C301 4030017330 S.CER ECJ0EF1C104Z T 47/30.1
C302 4030017330 S.CER ECJ0EF1C104Z B 56.1/30.7
C303 4030017330 S.CER ECJ0EF1C104Z T 51.5/33.6
C305 4030017330 S.CER ECJ0EF1C104Z T 59.9/34.7
C307 4030017330 S.CER ECJ0EF1C104Z T 59.9/35.6
C308 4030017330 S.CER ECJ0EF1C104Z T 60.7/36.5
C309 4030017330 S.CER ECJ0EF1C104Z T 62.8/36.9
C310 4030017330 S.CER ECJ0EF1C104Z T 60.9/30.1
C311 4030017330 S.CER ECJ0EF1C104Z T 50.1/32.6
C312 4030017330 S.CER ECJ0EF1C104Z T 64.5/36.1
C313 4030017380 S.CER ECJ0EC1H050B T 46.4/23
C314 4030017660 S.CER ECJ0EC1H330J T 64.8/35.2
C315 4030017340 S.CER ECJ0EC1H010B T 49.2/22.9
C316 4030017630 S.CER ECJ0EC1H120J T 66.1/36.1
C317 4030017600 S.CER ECJ0EC1H080C T 51.4/23.8
C318 4030017680 S.CER ECJ0EC1H820J T 66.4/35.2
C319 4030017570 S.CER ECJ0EC1H040B T 53/24.3
C320 4030017570 S.CER ECJ0EC1H040B T 69.6/37.1
C321 4030017580 S.CER ECJ0EC1H060C T 58.6/24.4
C322 4030017670 S.CER ECJ0EC1H390J T 69/32.2
C323 4030017590 S.CER ECJ0EC1H070C T 60.4/24.2
C324 4030017330 S.CER ECJ0EF1C104Z T 74.7/38.6
C325 4030017360 S.CER ECJ0EC1H030B T 62/24.6
C326 4030017780 S.CER ECJ0EB1E472K T 47.6/47.1
C401 4030017330 S.CER ECJ0EF1C104Z T 71/30.8
C413 4030017330 S.CER ECJ0EF1C104Z T 80.6/23.9
C415 4030017330 S.CER ECJ0EF1C104Z T 73.1/24.4
C418 4030017330 S.CER ECJ0EF1C104Z T 67.9/24.8
C422 4030017330 S.CER ECJ0EF1C104Z T 80/28.6
C423 4030017330 S.CER ECJ0EF1C104Z T 68.3/23.9
C424 4030017330 S.CER ECJ0EF1C104Z T 83.2/21
C425 4030017330 S.CER ECJ0EF1C104Z T 86.9/27.6
C426 4030017330 S.CER ECJ0EF1C104Z T 78.6/19.8
C427 4030017330 S.CER ECJ0EF1C104Z T 80/27.7
C429 4030017460 S.CER ECJ0EB1E102K T 81.6/25.3
C431 4030017330 S.CER ECJ0EF1C104Z T 88.5/25.9
C432 4030017780 S.CER ECJ0EB1E472K B 88.5/19.3
C433 4030017780 S.CER ECJ0EB1E472K T 88.8/20.3
C434 4030017780 S.CER ECJ0EB1E472K T 86.2/22.9
C511 4030017460 S.CER ECJ0EB1E102K T 41.8/26.8
C512 4030017780 S.CER ECJ0EB1E472K T 93.1/32.9
C513 4030017330 S.CER ECJ0EF1C104Z T 88.4/28.3
C514 4030017330 S.CER ECJ0EF1C104Z B 88.3/31.7
C515 4030017780 S.CER ECJ0EB1E472K T 81.7/33.2
C516 4030017580 S.CER ECJ0EC1H060C T 86.1/38.7
C518 4030017570 S.CER ECJ0EC1H040B T 86.8/36.7
C525 4030017330 S.CER ECJ0EF1C104Z T 81.8/32.3
C526 4030016790 S.CER ECJ0EB1C103K T 77.7/38
C527 4030017330 S.CER ECJ0EF1C104Z T 79.3/37.9
C528 4030017330 S.CER ECJ0EF1C104Z T 89.7/35.1
C529 4030017670 S.CER ECJ0EC1H390J T 91.3/33.8
C530 4030017460 S.CER ECJ0EB1E102K B 87.7/34.1
C602 4030017570 S.CER ECJ0EC1H040B B 85.7/39.6
C603 4030017780 S.CER ECJ0EB1E472K T 89.1/40.1
C604 4030017780 S.CER ECJ0EB1E472K T 94/46.5
C605 4030017620 S.CER ECJ0EC1H100C T 86/43.9
C606 4030017620 S.CER ECJ0EC1H100C B 85.7/41.4
C608 4030017550 S.CER ECJ0EC1H1R5B B 82.7/43.8
C609 4030017580 S.CER ECJ0EC1H060C B 78.6/46.8
C610 4030017620 S.CER ECJ0EC1H100C B 80.7/48.1
C611 4030017780 S.CER ECJ0EB1E472K B 85.1/37.5
C612 4030017610 S.CER ECJ0EC1H090C T 79.5/40.5
C613 4030017620 S.CER ECJ0EC1H100C T 76.5/43.7
C614 4030017780 S.CER ECJ0EB1E472K T 69.6/38.8
C615 4030017780 S.CER ECJ0EB1E472K T 64.3/43
C616 4030017780 S.CER ECJ0EB1E472K T 77.4/39.5
C617 4030017620 S.CER ECJ0EC1H100C B 85.7/40.5
C618 4030017620 S.CER ECJ0EC1H100C B 80.7/49
C701 4030017330 S.CER ECJ0EF1C104Z T 59/50.6
C702 4030017330 S.CER ECJ0EF1C104Z T 63/45
C703 4510008630 S.ELE 16 CE 47 FE B 59/44.9
C704 4030017780 S.CER ECJ0EB1E472K T 58.6/42.9
C705 4030017600 S.CER ECJ0EC1H080C T 59.6/45.1
C707 4030017330 S.CER ECJ0EF1C104Z T 64.2/52.9
C708 4030017460 S.CER ECJ0EB1E102K T 64.5/55
S.=Surface mount
REF ORDER DESCRIPTION M. H/V
NO. NO.
LOCATION
[MAIN UNIT]

5 - 10
M.=Mounted side (T: Mounted on the Top side, B: Mounted on the Bottom side)
REF ORDER DESCRIPTION M. H/V
NO. NO.
LOCATION
[MAIN UNIT]
C709 4030017780 S.CER ECJ0EB1E472K T 60.7/58.6
C710 4030017780 S.CER ECJ0EB1E472K T 62.3/58.6
C711 4030017460 S.CER ECJ0EB1E102K T 57.1/50.6
C712 4030017600 S.CER ECJ0EC1H080C T 53/49.7
C714 4030017460 S.CER ECJ0EB1E102K T 55.5/49.7
C715 4030017780 S.CER ECJ0EB1E472K T 52.1/53.2
C716 4030017340 S.CER ECJ0EC1H010B T 55.3/55.1
C717 4030017780 S.CER ECJ0EB1E472K T 51.2/52.3
C718 4030017780 S.CER ECJ0EB1E472K T 56.9/55.1
C719 4030017340 S.CER ECJ0EC1H010B T 61.1/53.9
C720 4030017380 S.CER ECJ0EC1H050B T 59.3/42
C721 4030017780 S.CER ECJ0EB1E472K T 51.2/49.6
C801 4030017330 S.CER ECJ0EF1C104Z T 71.5/64
C803 4030017780 S.CER ECJ0EB1E472K T 65.3/61.8
C804 4030017330 S.CER ECJ0EF1C104Z T 91.9/58
C805 4030017460 S.CER ECJ0EB1E102K T 83.5/55.8
C807 4030017330 S.CER ECJ0EF1C104Z T 60.6/66.7
C808 4030017870 S.CER C1608 CH 1H 681J-T T 60.3/65.5
C809 4030018630 S.CER C2012 CH 1H 472J-T T 57.4/66.8
C810 4030017700 S.CER ECJ0EC1H151J T 63.9/68.5
C811 4030017700 S.CER ECJ0EC1H151J T 63.9/69.4
C812 4030017700 S.CER ECJ0EC1H151J T 60.1/69.4
C813 4030017700 S.CER ECJ0EC1H151J T 60.1/68.5
C814 4030017330 S.CER ECJ0EF1C104Z T 88.5/57.1
C815 4030017460 S.CER ECJ0EB1E102K T 86.6/60.6
C816 4030017400 S.CER ECJ0EC1H220J T 85.7/59.7
C817 4030017400 S.CER ECJ0EC1H220J T 84/61.7
C818 4030018590 S.CER C1608 CH 1H 122J-T T 54.6/65.6
C819 4030017850 S.CER C2012 CH 1H 272J-T T 51.6/65.8
C901 4030017330 S.CER ECJ0EF1C104Z T 38.4/71.3
C910 4030017710 S.CER ECJ0EC1H181J T 39.2/65.6
C911 4030017700 S.CER ECJ0EC1H151J T 47.9/74.7
C913 4030017330 S.CER ECJ0EF1C104Z T 38.2/61.1
C914 4030017330 S.CER ECJ0EF1C104Z T 39.2/63.6
C915 4030017330 S.CER ECJ0EF1C104Z T 36.8/69.1
C916 4030017330 S.CER ECJ0EF1C104Z T 33.9/61.9
C917 4030017780 S.CER ECJ0EB1E472K T 35.6/63.2
C918 4030017330 S.CER ECJ0EF1C104Z T 34.2/67.5
C920 4030017460 S.CER ECJ0EB1E102K T 38.4/74.2
C921 4030017330 S.CER ECJ0EF1C104Z T 34.2/70.2
C922 4030017330 S.CER ECJ0EF1C104Z T 29.4/73
C923 4030017330 S.CER ECJ0EF1C104Z T 29.9/72.1
C924 4030017780 S.CER ECJ0EB1E472K T 41.2/74.1
C925 4030017700 S.CER ECJ0EC1H151J B 31.4/73
C1001 4030017780 S.CER ECJ0EB1E472K T 31.7/71.2
C1009 4030017780 S.CER ECJ0EB1E472K T 25.8/72
C1016 4030017330 S.CER ECJ0EF1C104Z T 25.8/73.8
C1018 4030017460 S.CER ECJ0EB1E102K T 20.3/76
C1019 4030017330 S.CER ECJ0EF1C104Z T 15.2/76.9
C1020 4030017330 S.CER ECJ0EF1C104Z T 12.7/75.8
C1021 4030017330 S.CER ECJ0EF1C104Z T 4.6/78.9
C1022 4510008630 S.ELE 16 CE 47 FE B 6.1/86
C1023 4510008630 S.ELE 16 CE 47 FE B 5.7/77.4
C1101 4030017490 S.CER C1608 JB 1A 105K-T T 2.5/78.9
C1102 4030017330 S.CER ECJ0EF1C104Z T 4.6/78
C1104 4030017490 S.CER C1608 JB 1A 105K-T T 2.5/87.8
C1105 4030018960 S.CER C3216 JB 1C 106MT-N T 2.9/89.7
C1108 4030017330 S.CER ECJ0EF1C104Z T 2.3/91.3
C1201 4030017330 S.CER ECJ0EF1C104Z T 26.6/80.6
C1202 4030017330 S.CER ECJ0EF1C104Z T 28.7/80.5
C1203 4030017330 S.CER ECJ0EF1C104Z T 18.6/79.2
C1204 4030018960 S.CER C3216 JB 1C 106MT-N T 9/76.9
C1206 4030017780 S.CER ECJ0EB1E472K T 14.3/79.4
C1207 4030017780 S.CER ECJ0EB1E472K T 14.3/78.5
C1208 4030018080 S.CER ECJ0EB1H182K T 12.9/85
C1209 4030018820 S.CER ECJ0EB1H561K T 12.9/84.1
C1210 4030017780 S.CER ECJ0EB1E472K T 11.3/84.1
C1211 4030017490 S.CER C1608 JB 1A 105K-T T 9.2/84.5
C1212 4030017490 S.CER C1608 JB 1A 105K-T T 6.7/87.8
C1213 4030017330 S.CER ECJ0EF1C104Z T 21.8/78.3
C1301 4030017330 S.CER ECJ0EF1C104Z T 15.2/73.6
C1302 4030017330 S.CER ECJ0EF1C104Z T 15.1/67.3
C1303 4030018860 S.CER ECJ0EB0J105K T 11.3/67.3
C1304 4030017330 S.CER ECJ0EF1C104Z T 14.3/69.2
C1305 4030017330 S.CER ECJ0EF1C104Z T 11.6/65.5
C1306 4030017330 S.CER ECJ0EF1C104Z T 10.9/60.3
C1307 4030017330 S.CER ECJ0EF1C104Z T 16.2/65.6
C1308 4030017330 S.CER ECJ0EF1C104Z T 14.5/60.3
C1309 4030017330 S.CER ECJ0EF1C104Z T 3.8/50.8
C1310 4030017330 S.CER ECJ0EF1C104Z T 16.2/62.9
C1311 4030018960 S.CER C3216 JB 1C 106MT-N T 5.4/58.5
C1312 4030018860 S.CER ECJ0EB0J105K T 13/66.4
C1401 4030017330 S.CER ECJ0EF1C104Z B 46.6/77.3
C1402 4030017700 S.CER ECJ0EC1H151J B 42/69.6
C1403 4030017650 S.CER ECJ0EC1H270J B 45.5/71.4
C1404 4030017700 S.CER ECJ0EC1H151J B 41.9/70.5
C1405 4030017780 S.CER ECJ0EB1E472K B 43.6/71.4
C1406 4030017780 S.CER ECJ0EB1E472K B 42/72.4
C1407 4030017780 S.CER ECJ0EB1E472K B 44.6/74.3
C1408 4030017780 S.CER ECJ0EB1E472K B 40.3/79
C1409 4030017780 S.CER ECJ0EB1E472K B 34.7/79
C1411 4030018860 S.CER ECJ0EB0J105K B 27/79.9
C1412 4030016950 S.CER ECJ0EB1A473K B 27/80.8
C1413 4030017490 S.CER C1608 JB 1A 105K-T B 20.7/77.4
C1414 4030016950 S.CER ECJ0EB1A473K B 25/77.8
C1415 4510008640 S.ELE 6 CE 100 FE B 13.2/81.2
C1416 4030016950 S.CER ECJ0EB1A473K B 20.2/78.5
C1418 4030017350 S.CER ECJ0EC1H020B B 23/86.6
C1419 4030018390 S.CER ECJ0EB1A563K B 23/87.5
C1420 4030017420 S.CER ECJ0EC1H470J B 17.8/83
C1421 4030018960 S.CER C3216 JB 1C 106MT-N B 19.8/87.3
C1422 4030017640 S.CER ECJ0EC1H150J B 17.8/82.1
C1423 4610001970 S.TRI TZC3P200A110R00 T 3.8/72.5
C1491 4030017400 S.CER ECJ0EC1H220J [USA] B 88.2/29.3
4030017670 S.CER ECJ0EC1H390J [Others] B 88.2/29.3
C1493 4030017660 S.CER ECJ0EC1H330J B 86.1/33.7
C1494 4030017420 S.CER ECJ0EC1H470J [USA] B 83.6/34
4030017670 S.CER ECJ0EC1H390J [Others] B 83.6/34
C1495 4030010760 S.CER C1608 CH 1H 331J-T [USA] B 84/32.9
4030011280 S.CER C1608 CH 1H 271J-T [Others] B 84/32.9
C1496 4030017660 S.CER ECJ0EC1H330J B 79.3/35.2
C1498 4030017400 S.CER ECJ0EC1H220J [USA] B 79.3/36.3
4030017670 S.CER ECJ0EC1H390J [Others] B 79.3/36.3
C1501 4030017410 S.CER ECJ0EC1H240J B 79.3/37.2
C1503 4030017330 S.CER ECJ0EF1C104Z B 78.9/61.9
C1504 4030017510 S.CER ECJ0EC1H680J B 80.9/36.3
C1506 4030017780 S.CER ECJ0EB1E472K B 92.1/28.8
C1507 4030017410 S.CER ECJ0EC1H240J B 82.5/36.2
C1508 4030017780 S.CER ECJ0EB1E472K B 77.3/38.6
C1509 4030017780 S.CER ECJ0EB1E472K B 72.4/39.1
C1510 4030017780 S.CER ECJ0EB1E472K B 72.4/41.2
C1511 4030016790 S.CER ECJ0EB1C103K B 86.4/56.2
C1512 4030017780 S.CER ECJ0EB1E472K B 77/41.6
C1513 4030018900 S.CER ECJ0EB0J474K B 71.7/54.8
C1514 4030017780 S.CER ECJ0EB1E472K B 73.5/42.1
C1515 4030018960 S.CER C3216 JB 1C 106MT-N B 68.3/53.7
C1516 4030017330 S.CER ECJ0EF1C104Z B 77.6/49
C1517 4030017730 S.CER ECJ0EB1E471K B 73.6/53.9
C1518 4030016790 S.CER ECJ0EB1C103K B 85.7/51.4
C1519 4030018960 S.CER C3216 JB 1C 106MT-N B 69.3/47.4
C1520 4510008630 S.ELE 16 CE 47 FE B 91/45.4
C1521 4030017680 S.CER ECJ0EC1H820J B 85.9/58
C1522 4030017670 S.CER ECJ0EC1H390J T 73.2/55.3
C1523 4030017330 S.CER ECJ0EF1C104Z T 31.2/80.4
C1524 4030017420 S.CER ECJ0EC1H470J [Others] B 73.6/60.5
4030017510 S.CER ECJ0EC1H680J [USA] B 73.6/60.5
C1525 4030018900 S.CER ECJ0EB0J474K B 85.8/59.9
C1526 4030018960 S.CER C3216 JB 1C 106MT-N B 69.3/51.5
C1531 4030017490 S.CER C1608 JB 1A 105K-T B 82.8/48.3
C1532 4030017780 S.CER ECJ0EB1E472K B 81.9/41.3
C1533 4030017780 S.CER ECJ0EB1E472K B 81.9/39.4
C1534 4030017780 S.CER ECJ0EB1E472K B 83.5/38.5
C1601 4030017780 S.CER ECJ0EB1E472K T 6.3/52.2
C1604 4030017780 S.CER ECJ0EB1E472K T 5.6/50.8
C1605 4030017330 S.CER ECJ0EF1C104Z T 8.8/48.7
C1607 4030017780 S.CER ECJ0EB1E472K T 14.7/46
C1609 4030017490 S.CER C1608 JB 1A 105K-T T 14.1/33.6
C1610 4030017330 S.CER ECJ0EF1C104Z T 12.1/44.7
C1611 4030017330 S.CER ECJ0EF1C104Z T 14.6/41.1
C1613 4030017330 S.CER ECJ0EF1C104Z T 18.9/47.1
C1614 4030017730 S.CER ECJ0EB1E471K T 15/36.1
C1615 4030017420 S.CER ECJ0EC1H470J T 10.4/46.9
C1616 4550007260 S.TAN F931C475MAABMA T 9.6/50.5
C1618 4030017430 S.CER ECJ0EC1H101J T 12.7/26.3
C1701 4030017490 S.CER C1608 JB 1A 105K-T B 55.1/50.4
C1702 4030017490 S.CER C1608 JB 1A 105K-T B 55/69.6
C1801 4030017330 S.CER ECJ0EF1C104Z B 18.4/105
C1802 4510008630 S.ELE 16 CE 47 FE B 14.4/101.2
C1803 4030018960 S.CER C3216 JB 1C 106MT-N B 22.3/112.1
C1804 4030017330 S.CER ECJ0EF1C104Z B 22.8/110.6
C1901 4030017330 S.CER ECJ0EF1C104Z T 36.2/80.4
C1902 4030017330 S.CER ECJ0EF1C104Z T 33.7/80.4
C1903 4030017330 S.CER ECJ0EF1C104Z B 23.3/18.8
C1904 4030017330 S.CER ECJ0EF1C104Z B 32.5/89.8
C1905 4030017330 S.CER ECJ0EF1C104Z B 25.9/33.8
C1906 4030017330 S.CER ECJ0EF1C104Z B 25.9/32.9
C1907 4030017330 S.CER ECJ0EF1C104Z T 41.6/80.3
C1908 4030017330 S.CER ECJ0EF1C104Z T 38.4/80.7
C1909 4030017330 S.CER ECJ0EF1C104Z B 21.6/13.9
C1910 4030017460 S.CER ECJ0EB1E102K B 45.4/25.4
C1916 4030018960 S.CER C3216 JB 1C 106MT-N B 14.7/50.5
C1917 4030018960 S.CER C3216 JB 1C 106MT-N B 5.3/52.7
C1951 4030018960 S.CER C3216 JB 1C 106MT-N B 48.1/103.1
C1952 4030018960 S.CER C3216 JB 1C 106MT-N B 48.1/98.9
C1953 4030018960 S.CER C3216 JB 1C 106MT-N B 48.1/96.8
C1954 4030018960 S.CER C3216 JB 1C 106MT-N B 48.2/105.2
C1955 4030018960 S.CER C3216 JB 1C 106MT-N B 48.1/101
C1956 4030018960 S.CER C3216 JB 1C 106MT-N B 60.9/118.7
C1957 4030017330 S.CER ECJ0EF1C104Z B 63.8/116.7
C1958 4030018910 S.CER C1608 JB 0J 475K-T B 20.9/125.7
C1959 4550007090 S.TAN TEESVA 1A 226M8R B 11.4/120.2
C1960 4030010210 S.CER C3216 JB 1C 105M-T B 47.3/109.7
S.=Surface mount
REF ORDER DESCRIPTION M. H/V
NO. NO.
LOCATION
[MAIN UNIT]

5 - 11
M.=Mounted side (T: Mounted on the Top side, B: Mounted on the Bottom side)
REF ORDER DESCRIPTION M. H/V
NO. NO.
LOCATION
[MAIN UNIT]
C1961 4030017730 S.CER ECJ0EB1E471K B 44/110
C1962 4030017440 S.CER ECJ0EC1H221J B 44.4/107
C1963 4030017500 S.CER ECJ0EC1H560J B 35.3/105.1
C1964 4030017330 S.CER ECJ0EF1C104Z B 44.3/111.3
C1965 4030018960 S.CER C3216 JB 1C 106MT-N B 7.4/108
C1966 4030017330 S.CER ECJ0EF1C104Z B 10.1/103
C1968 4030018960 S.CER C3216 JB 1C 106MT-N B 31.7/103.6
C1969 4030018970 S.CER C3225 JB 1C 226MT-N B 30.8/100.9
C1970 4030018970 S.CER C3225 JB 1C 226MT-N B 30.8/97.9
C1971 4030017330 S.CER ECJ0EF1C104Z B 45.9/111.3
C1972 4030017330 S.CER ECJ0EF1C104Z B 47.6/106.7
C1973 4030017330 S.CER ECJ0EF1C104Z B 32.1/105.1
C2001 4030017780 S.CER ECJ0EB1E472K T 33.2/10.3
C2002 4030017330 S.CER ECJ0EF1C104Z B 71.7/14.6
C2003 4030017780 S.CER ECJ0EB1E472K B 58.8/15.8
C2004 4030017780 S.CER ECJ0EB1E472K B 83/5.9
C2005 4030017780 S.CER ECJ0EB1E472K B 69.2/16.5
C2006 4030017330 S.CER ECJ0EF1C104Z B 83/6.8
C2007 4030017780 S.CER ECJ0EB1E472K B 84.6/5.9
C2008 4030017330 S.CER ECJ0EF1C104Z B 56.7/10.1
C2009 4030017330 S.CER ECJ0EF1C104Z B 75.8/18.6
C2010 4030017780 S.CER ECJ0EB1E472K B 75.9/6.7
C2011 4030017330 S.CER ECJ0EF1C104Z B 75/7.7
C2012 4030017780 S.CER ECJ0EB1E472K B 63.1/15.5
C2013 4030017330 S.CER ECJ0EF1C104Z B 88.9/2
C2014 4030017780 S.CER ECJ0EB1E472K B 32.5/11.8
C2015 4030017780 S.CER ECJ0EB1E472K B 32.5/12.7
C2016 4030017780 S.CER ECJ0EB1E472K B 19/131.2
C2017 4030017330 S.CER ECJ0EF1C104Z T 86.4/10.2
C2018 4030017780 S.CER ECJ0EB1E472K B 42.7/17.7
C2019 4030017780 S.CER ECJ0EB1E472K T 24.7/126.7
C2020 4030017330 S.CER ECJ0EF1C104Z B 85/23.1
C2021 4030017780 S.CER ECJ0EB1E472K B 32.5/16
C2022 4030017780 S.CER ECJ0EB1E472K B 30.3/130.2
C2024 4030017780 S.CER ECJ0EB1E472K B 29.1/128.2
C2025 4030017780 S.CER ECJ0EB1E472K B 45.7/12.8
C2026 4030018960 S.CER C3216 JB 1C 106MT-N B 10.1/23.4
C2027 4030018960 S.CER C3216 JB 1C 106MT-N B 10.1/14.6
C2028 4030017330 S.CER ECJ0EF1C104Z B 51.7/12.7
C2029 4030017330 S.CER ECJ0EF1C104Z B 58.1/9.4
C2030 4030017330 S.CER ECJ0EF1C104Z B 55.8/15.8
C2032 4030017780 S.CER ECJ0EB1E472K B 27.4/129
C2033 4030017330 S.CER ECJ0EF1C104Z B 71.1/21.9
C2034 4030017780 S.CER ECJ0EB1E472K B 64.8/5.6
C2035 4030017780 S.CER ECJ0EB1E472K B 25.6/130.2
C2036 4030017330 S.CER ECJ0EF1C104Z B 88.2/8
C2037 4030017330 S.CER ECJ0EF1C104Z B 76/16.5
C2038 4030017780 S.CER ECJ0EB1E472K T 14.5/126.4
C2039 4030017780 S.CER ECJ0EB1E472K B 80.2/6.7
C2040 4030017780 S.CER ECJ0EB1E472K B 64.6/17.7
C2041 4030017330 S.CER ECJ0EF1C104Z B 75.2/10.5
C2042 4030017330 S.CER ECJ0EF1C104Z B 62.7/18.1
C2043 4030017780 S.CER ECJ0EB1E472K B 55.4/8.8
C2044 4030017780 S.CER ECJ0EB1E472K B 62.7/19.5
C2045 4030017780 S.CER ECJ0EB1E472K B 65.3/22.3
C2046 4030017780 S.CER ECJ0EB1E472K B 63.6/14.6
C2047 4030017780 S.CER ECJ0EB1E472K B 57.7/21.9
C2048 4030017780 S.CER ECJ0EB1E472K B 63.1/5.6
C2049 4030017780 S.CER ECJ0EB1E472K T 45.1/101.8
C2050 4030017780 S.CER ECJ0EB1E472K T 42.8/100.3
C2051 4030017330 S.CER ECJ0EF1C104Z T 56.3/99.9
C2052 4030017780 S.CER ECJ0EB1E472K T 21.6/108
C2053 4030017780 S.CER ECJ0EB1E472K T 49.8/107.5
C2054 4030018960 S.CER C3216 JB 1C 106MT-N B 55.3/83.4
C2055 4030018960 S.CER C3216 JB 1C 106MT-N B 28.1/88.5
C2058 4030018960 S.CER C3216 JB 1C 106MT-N B 16.4/95.5
C2062 4550007710 S.TAN TEESVB2 1A 476M8R B 26.6/13
C2063 4030017730 S.CER ECJ0EB1E471K B 46/13.7
C2064 4030018960 S.CER C3216 JB 1C 106MT-N B 62.1/23
C2065 4030016930 S.CER ECJ0EB1A104K B 73.3/1.2
C2066 4030016930 S.CER ECJ0EB1A104K B 75.1/1.2
C2067 4030017430 S.CER ECJ0EC1H101J B 55.3/25
C2068 4030017460 S.CER ECJ0EB1E102K B 59.1/26.1
C2069 4030017730 S.CER ECJ0EB1E471K B 44/12
C2101 4030017330 S.CER ECJ0EF1C104Z T 28.3/114
C2102 4030017330 S.CER ECJ0EF1C104Z T 44.7/110.9
C2103 4030018960 S.CER C3216 JB 1C 106MT-N T 28.8/112.4
C2104 4030017330 S.CER ECJ0EF1C104Z T 56.1/123.5
C2105 4030018960 S.CER C3216 JB 1C 106MT-N T 54.7/125
C2156 4030017330 S.CER ECJ0EF1C104Z T 36.2/122.1
C2157 4030017330 S.CER ECJ0EF1C104Z B 34.4/91
C2158 4030017330 S.CER ECJ0EF1C104Z B 27.4/93.7
C2159 4030017330 S.CER ECJ0EF1C104Z T 22.4/94.4
C2160 4030017330 S.CER ECJ0EF1C104Z B 38.2/88.8
C2161 4030018960 S.CER C3216 JB 1C 106MT-N T 36.8/123.6
C2162 4030018960 S.CER C3216 JB 1C 106MT-N B 37.7/90.4
C2163 4030017780 S.CER ECJ0EB1E472K T 4.6/116.5
C2164 4030018960 S.CER C3216 JB 1C 106MT-N T 6.5/114.9
C2166 4030012610 S.CER C2012 JB 1C 474K-T T 5.2/106.8
C2167 4030018960 S.CER C3216 JB 1C 106MT-N T 4.9/109.9
C2168 4030012610 S.CER C2012 JB 1C 474K-T T 16.5/116.8
C2169 4030016930 S.CER ECJ0EB1A104K T 13.6/124.4
C2201 4030017780 S.CER ECJ0EB1E472K T 24.7/125.8
C2203 4030018520 S.CER C1608 JB 0J 225M-T T 16/118.4
C2204 4030017330 S.CER ECJ0EF1C104Z T 11.1/119.7
C2205 4030018960 S.CER C3216 JB 1C 106MT-N T 12.4/117.1
C2206 4030017780 S.CER ECJ0EB1E472K T 21.7/115.6
C2208 4030017730 S.CER ECJ0EB1E471K T 19/116.9
C2211 4030018960 S.CER C3216 JB 1C 106MT-N T 22.4/119.9
C2212 4030018960 S.CER C3216 JB 1C 106MT-N T 23.2/124.3
C2213 4550007140 S.TAN TEESVD 1C 107M12R T 37.4/139.1
C2214 4030018910 S.CER C1608 JB 0J 475K-T T 20.9/122.6
C2231 4030017330 S.CER ECJ0EF1C104Z T 38.2/105.6
C2232 4030018960 S.CER C3216 JB 1C 106MT-N T 38.1/104
C2233 4030017780 S.CER ECJ0EB1E472K T 4.7/123.2
C2234 4550007310 S.TAN F930J227MNMBMA T 70.1/130.6
C2235 4030018960 S.CER C3216 JB 1C 106MT-N T 40.9/108.8
C2236 4030018960 S.CER C3216 JB 1C 106MT-N T 39.8/111.1
C2237 4030017460 S.CER ECJ0EB1E102K T 60.6/123.3
C2254 4030017330 S.CER ECJ0EF1C104Z T 7.6/92.5
C2255 4030017330 S.CER ECJ0EF1C104Z B 2.4/98.1
C2256 4030017330 S.CER ECJ0EF1C104Z B 2.6/95.6
C2257 4030017330 S.CER ECJ0EF1C104Z T 9.9/87.9
C2260 4030017330 S.CER ECJ0EF1C104Z T 18.5/103.6
C2261 4030017330 S.CER ECJ0EF1C104Z T 6.7/104.4
C2262 4030017330 S.CER ECJ0EF1C104Z T 58.5/100.3
C2264 4030017330 S.CER ECJ0EF1C104Z T 61.8/88.9
C2266 4030017330 S.CER ECJ0EF1C104Z T 72/85.2
C2268 4030017330 S.CER ECJ0EF1C104Z T 68.5/89.4
C2269 4030017330 S.CER ECJ0EF1C104Z B 78.4/92.4
C2270 4030017780 S.CER ECJ0EB1E472K T 61.8/89.8
C2272 4030017330 S.CER ECJ0EF1C104Z T 56.2/92.2
C2274 4030017330 S.CER ECJ0EF1C104Z T 55.8/95
C2275 4030017330 S.CER ECJ0EF1C104Z B 68.1/99.3
C2276 4030017330 S.CER ECJ0EF1C104Z B 64.2/100.6
C2277 4030017330 S.CER ECJ0EF1C104Z T 63.6/103.4
C2278 4030017330 S.CER ECJ0EF1C104Z T 63.6/107.9
C2279 4030017330 S.CER ECJ0EF1C104Z T 62.7/108.8
C2280 4030017420 S.CER ECJ0EC1H470J T 51.8/37.9
C2281 4030017330 S.CER ECJ0EF1C104Z T 68.5/90.3
C2282 4030017330 S.CER ECJ0EF1C104Z B 80.4/93
C2283 4030017330 S.CER ECJ0EF1C104Z B 81.6/92.1
C2285 4030017330 S.CER ECJ0EF1C104Z T 50.8/99
C2286 4030017330 S.CER ECJ0EF1C104Z T 14.1/88.8
C2301 4030018910 S.CER C1608 JB 0J 475K-T T 30.8/106.9
C2302 4030018910 S.CER C1608 JB 0J 475K-T T 27.8/109.4
C2303 4550007310 S.TAN F930J227MNMBMA T 84.4/110.3
C2311 4030017330 S.CER ECJ0EF1C104Z B 68.1/110.2
C2312 4030018910 S.CER C1608 JB 0J 475K-T B 67.3/104.9
C2401 4030017330 S.CER ECJ0EF1C104Z B 90.8/103.3
C2402 4030017330 S.CER ECJ0EF1C104Z B 81.2/100.7
C2403 4030017780 S.CER ECJ0EB1E472K B 77.2/28.8
C2405 4030017330 S.CER ECJ0EF1C104Z T 74.2/79.3
C2406 4030017460 S.CER ECJ0EB1E102K B 88.5/99.7
C2407 4030017330 S.CER ECJ0EF1C104Z T 74.1/78.2
C2408 4030017330 S.CER ECJ0EF1C104Z B 84.9/96.1
C2409 4030017330 S.CER ECJ0EF1C104Z T 75.6/77.6
C2410 4030017330 S.CER ECJ0EF1C104Z B 88.5/85.8
C2411 4030017330 S.CER ECJ0EF1C104Z B 81.1/96.4
C2412 4510008630 S.ELE 16 CE 47 FE B 62.1/30.4
C2413 4030017330 S.CER ECJ0EF1C104Z B 88.5/93.7
C2414 4030017780 S.CER ECJ0EB1E472K T 84/95.6
C2415 4030017780 S.CER ECJ0EB1E472K B 88.3/28
C2417 4030017330 S.CER ECJ0EF1C104Z B 88.3/27.1
C2418 4030017330 S.CER ECJ0EF1C104Z B 82.6/94
C2419 4030017330 S.CER ECJ0EF1C104Z B 88.5/86.7
C2422 4030017330 S.CER ECJ0EF1C104Z T 84.8/87.3
C2423 4030017420 S.CER ECJ0EC1H470J B 63.9/140.5
C2424 4510008630 S.ELE 16 CE 47 FE B 69.2/31.3
C2426 4030017330 S.CER ECJ0EF1C104Z B 68.8/82.1
C2427 4030012600 S.CER C2012 JB 1A 105M-T T 85.1/91.4
C2501 4030017330 S.CER ECJ0EF1C104Z B 8/94.2
C2502 4030018960 S.CER C3216 JB 1C 106MT-N B 11.5/95.2
C2503 4030016970 S.CER ECJ0EB1C223K B 14.9/89.3
C2505 4030016940 S.CER ECJ0EB1A393K B 17.4/91.4
C2506 4030017780 S.CER ECJ0EB1E472K B 18.2/93.8
C2507 4030017490 S.CER C1608 JB 1A 105K-T B 12.7/89.2
C2551 4030017330 S.CER ECJ0EF1C104Z B 42.9/124.1
C2552 4030018960 S.CER C3216 JB 1C 106MT-N B 47.8/118.8
C2553 4030016970 S.CER ECJ0EB1C223K B 51.3/124.7
C2554 4030018390 S.CER ECJ0EB1A563K B 53.9/121.9
C2555 4030017760 S.CER ECJ0EB1H222K B 53.9/121
C2556 4030017770 S.CER ECJ0EB1E332K B 52.8/123.8
C2557 4030017330 S.CER ECJ0EF1C104Z B 41.7/120.8
C2558 4030018960 S.CER C3216 JB 1C 106MT-N B 42.9/118.8
C2561 4030018960 S.CER C3216 JB 1C 106MT-N B 56.5/124.3
C2562 4030018960 S.CER C3216 JB 1C 106MT-N B 52.8/126.6
C2563 4550007110 S.TAN SY6-1A107M-RC B 75.3/122.8
C2564 4030018080 S.CER ECJ0EB1H182K B 47.8/125.6
C2565 4030017430 S.CER ECJ0EC1H101J B 44.6/122.6
C2566 4030018090 S.CER ECJ0EB1C822K B 46.2/124.3
C2601 4030017330 S.CER ECJ0EF1C104Z B 59.7/125.1
S.=Surface mount
REF ORDER DESCRIPTION M. H/V
NO. NO.
LOCATION
[MAIN UNIT]

5 - 12
M.=Mounted side (T: Mounted on the Top side, B: Mounted on the Bottom side)
REF ORDER DESCRIPTION M. H/V
NO. NO.
LOCATION
[MAIN UNIT]
C2603 4030010210 S.CER C3216 JB 1C 105M-T B 87.5/126
C2604 4030016790 S.CER ECJ0EB1C103K B 89.1/128.6
C2605 4030017330 S.CER ECJ0EF1C104Z B 85.4/135
C2606 4510009250 S.ELE EEEFK1C471P T 69.2/137.4
C2607 4510008650 S.ELE EEEFK1C221P T 58.6/138.3
C2608 4030017330 S.CER ECJ0EF1C104Z B 87.5/128.6
C2610 4510009250 S.ELE EEEFK1C471P T 6.2/65.3
C2612 4030017330 S.CER ECJ0EF1C104Z B 33.9/124.3
C2613 4510009250 S.ELE EEEFK1C471P T 31.7/132.1
C2616 4030017780 S.CER ECJ0EB1E472K B 30/134.2
C2617 4030017780 S.CER ECJ0EB1E472K T 33.2/126
C2618 4030017430 S.CER ECJ0EC1H101J B 30/133.1
C2619 4030017780 S.CER ECJ0EB1E472K T 67.7/112.6
C2620 4510008630 S.ELE 16 CE 47 FE B 82.9/119.1
C2621 4510008500 S.ELE EEE1CA101WP T 49.3/138.3
C2622 4510008500 S.ELE EEE1CA101WP T 60.1/130.4
C2624 4030017330 S.CER ECJ0EF1C104Z B 38.4/125.1
CP1601 6910009670 S.CHK HK3-S-T T 11.7/54.7
J1 6510007020 CNR TMP-J01X-V6
J101 6510007020 CNR TMP-J01X-V6
J401 6510007020 CNR TMP-J01X-V6
J801 6510007020 CNR TMP-J01X-V6
J2002 6510019971 S.CNR 52808-1071 T 39/12.6
J2003 6510024860 S.CNR 406721-2 T 18.7/137.8
J2004 6510023510 S.CNR 28FLT-SM1-TB T 82.4/4.9
J2005 6510023510 S.CNR 28FLT-SM1-TB T 66/4.9
J2231 6510018961 S.CNR B2B-PH-SM4-TB (LF) (SN) T 51.6/129.5
J2251 6510022880 S.CNR AXK5S30340P T 12.3/96.6
J2252 6510024820 S.CNR AXK5S60340P T 72.4/101.1
J2401 6510024680 S.CNR HSJ1636-011020 B 57.7/137.1
J2402 6510024680 S.CNR HSJ1636-011020 B 47/137.1
J2403 6510019371 S.CNR B3B-ZR-SM4-TF (LF) (SN) T 94.8/1.8
J2405 6510024880 S.CNR 52689-3087 T 90.3/93.8
J2406 6510024880 S.CNR 52689-3087 T 90.3/70.9
J2407 6510024680 S.CNR HSJ1636-011020 B 68.4/137.1
J2601 6510014961 S.CNR B2B-ZR-SM4-TF (LF) (SN) T 42.6/128.8
J2602 6510024680 S.CNR HSJ1636-011020 B 36.3/137.1
W1 9029701008 WIR 72/98/020/X98/X98
W601 9029701008 WIR 72/98/020/X98/X98
EP104 6910012350 S.BEA MMZ1608Y 102BT T 61.2/28.1
EP511 6910012350 S.BEA MMZ1608Y 102BT T 44.1/26.5
EP1951 6910014730 S.BEA MPZ2012S331A-T B 61.3/116.7
EP1952 6910014730 S.BEA MPZ2012S331A-T B 26.8/113.3
EP1953 6910014730 S.BEA MPZ2012S331A-T B 9.9/104.5
EP1954 6910014730 S.BEA MPZ2012S331A-T B 50.3/107.3
EP2001 6910012350 S.BEA MMZ1608Y 102BT B 74.2/5.3
EP2002 6910012350 S.BEA MMZ1608Y 102BT B 34.7/12.6
EP2003 6910012350 S.BEA MMZ1608Y 102BT B 33.5/13.8
EP2004 6910012350 S.BEA MMZ1608Y 102BT B 39.5/15.9
EP2006 6910014730 S.BEA MPZ2012S331A-T B 42.2/13.3
EP2007 6910012350 S.BEA MMZ1608Y 102BT B 45.2/11.4
EP2008 6910012350 S.BEA MMZ1608Y 102BT B 45.1/14.8
EP2231 6910012350 S.BEA MMZ1608Y 102BT T 59.8/125.7
EP2251 6910012350 S.BEA MMZ1608Y 102BT T 4.5/95.5
EP2252 6910012350 S.BEA MMZ1608Y 102BT T 7.5/95.8
EP2253 6910012350 S.BEA MMZ1608Y 102BT T 66.1/109.3
EP2254 6910012350 S.BEA MMZ1608Y 102BT T 65.7/108.1
EP2255 6910012350 S.BEA MMZ1608Y 102BT T 17.8/101.5
EP2256 6910012350 S.BEA MMZ1608Y 102BT T 65.1/106
EP2257 6910012350 S.BEA MMZ1608Y 102BT T 65.1/104.8
EP2258 6910012350 S.BEA MMZ1608Y 102BT B 77.9/93.4
EP2259 6910012350 S.BEA MMZ1608Y 102BT B 68.1/102.5
EP2260 6910012350 S.BEA MMZ1608Y 102BT B 68.1/101.3
EP2261 6910012350 S.BEA MMZ1608Y 102BT B 66/98.2
EP2262 6910012350 S.BEA MMZ1608Y 102BT T 69.9/85.5
EP2263 6910014730 S.BEA MPZ2012S331A-T T 6.5/93.9
EP2264 6910012350 S.BEA MMZ1608Y 102BT B 69.3/111.3
EP2265 6910012350 S.BEA MMZ1608Y 102BT B 68.6/98.2
EP2266 6910012350 S.BEA MMZ1608Y 102BT T 56.2/93.3
EP2271 6910012350 S.BEA MMZ1608Y 102BT T 74.6/91.1
EP2402 6910012350 S.BEA MMZ1608Y 102BT B 50.4/130.2
EP2403 6910012350 S.BEA MMZ1608Y 102BT B 47.8/130.2
EP2404 6910012350 S.BEA MMZ1608Y 102BT B 67.2/130.2
EP2405 6910012350 S.BEA MMZ1608Y 102BT B 52.6/135.9
EP2408 6910012350 S.BEA MMZ1608Y 102BT B 91.3/102.2
EP2409 6910012350 S.BEA MMZ1608Y 102BT T 85.3/101.2
EP2410 6910012350 S.BEA MMZ1608Y 102BT T 84.7/98.3
EP2411 6910012350 S.BEA MMZ1608Y 102BT T 85.2/79.2
EP2412 6910012350 S.BEA MMZ1608Y 102BT T 82.5/78.4
EP2413 6910012350 S.BEA MMZ1608Y 102BT B 71.5/130.1
EP2414 6910012350 S.BEA MMZ1608Y 102BT B 89.3/91
EP2415 6910012350 S.BEA MMZ1608Y 102BT T 84.9/100
EP2416 6910012350 S.BEA MMZ1608Y 102BT T 80/77.6
EP2417 6910012350 S.BEA MMZ1608Y 102BT B 87.2/78.8
EP2602 6910014730 S.BEA MPZ2012S331A-T T 35.7/125.6
EP2604 6910014730 S.BEA MPZ2012S331A-T B 29.8/135.6
EP2605 6910014730 S.BEA MPZ2012S331A-T T 41.6/135.5
EP2606 6910014730 S.BEA MPZ2012S331A-T T 40.9/133.8
S.=Surface mount
REF ORDER DESCRIPTION M. H/V
NO. NO.
LOCATION
[MAIN UNIT]
IC471 1110005630 S.IC µPC3215TB-E3-A B 67.5/96.4
IC701 1180002010 S.REG BA08FP-E2 B 126.3/41.9
IC960 1110002700 S.IC NJM2904M-TE1 B 41/132.1
IC981 1130012720 S.IC CD74HC4094PWR T 26.2/5.9
Q101 1560001091 S.FET 2SK2854 (T2L ICOM, F) T 149.2/28.5
Q102 1560001241 S.FET RD01MUS1-T113 T 146/40.1
Q301 1560001391 FET RD70HHF1-101
Q302 1560001391 FET RD70HHF1-101
Q401 1560001401 FET RD60HUF1-101
Q402 1590000680 S.TR DTC114EUA T106 B 88/133
Q403 1590000680 S.TR DTC114EUA T106 B 90.4/129.9
Q451 1580000691 S.FET 3SK291 (TE85L, F) B 75.3/108.4
Q452 1590003520 S.TR BCR108T B 67.5/115.8
Q453 1590003520 S.TR BCR108T B 73.2/119.2
Q501 1560001191 FET RD70HVF1-121
Q502 1590000680 S.TR DTC114EUA T106 T 87.7/107.5
Q503 1590000680 S.TR DTC114EUA T106 T 87.7/110
Q551 1580000691 S.FET 3SK291 (TE85L, F) T 68.4/108.9
Q552 1590003520 S.TR BCR108T T 63/110.1
Q700 1590003520 S.TR BCR108T B 127/24.9
Q741 1590003520 S.TR BCR108T B 80.1/11
Q742 1520000460 S.TR 2SB1132 T100 R B 82.7/7.3
Q980 1590003520 S.TR BCR108T T 51.3/84.6
Q981 1590003520 S.TR BCR108T T 51.5/13.8
Q982 1590003520 S.TR BCR108T T 53.8/97.3
Q983 1590003520 S.TR BCR108T T 51.2/56.9
Q984 1590003520 S.TR BCR108T T 51.6/97.2
Q985 1590003520 S.TR BCR108T T 51.3/27.9
Q986 1590003520 S.TR BCR108T T 51.3/71.4
Q987 1590003520 S.TR BCR108T T 52.5/41.6
Q988 1590003530 S.TR BCR08PN T 58.3/90.3
D101 1750000301 S.DIO 1SS302 (TE85R, F) T 152.4/22.7
D102 1750000301 S.DIO 1SS302 (TE85R, F) T 152.4/19.8
D151 1750000581 S.DIO 1SV307 (TPH3, F) T 59.5/56.4
D152 1790001250 S.DIO MA2S111-(TX) T 56.3/58.5
D301 1160000060 S.DIO DAN202U T106 T 105.1/80.8
D302 1160000060 S.DIO DAN202U T106 T 74.9/87.3
D401 1790001240 S.DIO MA2S728-(TX) B 128/133.6
D402 1790001240 S.DIO MA2S728-(TX) B 127.5/139.5
D403 1790001240 S.DIO MA2S728-(TX) B 123.4/140.5
D404 1790001240 S.DIO MA2S728-(TX) B 125.6/132.8
D406 1710001060 DIO XB15A407
D407 1710001060 DIO XB15A407
D408 1750000511 S.DIO UX9401F-STD/TR B 97.7/136.4
D409 1750000511 S.DIO UX9401F-STD/TR B 103.5/133
D410 1750000511 S.DIO UX9401F-STD/TR B 104.7/130
D411 1790001250 S.DIO MA2S111-(TX) B 94.2/129.2
D412 1160000070 S.DIO DAN202K T146 B 92/127
D451 1750000581 S.DIO 1SV307 (TPH3, F) B 85.5/116.3
D452 1750000581 S.DIO 1SV307 (TPH3, F) B 82.4/116
D453 1720000701 S.VCP 1SV305 (TPL3,F) T 75.5/117.3
D454 1720000701 S.VCP 1SV305 (TPL3,F) T 77.8/116.6
D455 1720000701 S.VCP 1SV305 (TPL3,F) B 75.6/99.1
D456 1720000701 S.VCP 1SV305 (TPL3,F) B 67.3/104.1
D461 1750000581 S.DIO 1SV307 (TPH3, F) B 65/93.3
D462 1750000581 S.DIO 1SV307 (TPH3, F) T 65.6/94.7
D501 1790000970 S.DIO MA729 (TX) B 113.7/123.4
D502 1790000970 S.DIO MA729 (TX) B 116.3/122.8
D503 1790000970 S.DIO MA729 (TX) B 114.5/129.4
D504 1790000970 S.DIO MA729 (TX) B 111/129.4
D506 1710001060 DIO XB15A407
D507 1750000511 S.DIO UX9401F-STD/TR B 92.1/117.4
D508 1750000511 S.DIO UX9401F-STD/TR T 86.9/114.4
D509 1750000511 S.DIO UX9401F-STD/TR T 81.9/120.3
D510 1710001060 DIO XB15A407
D511 1750000581 S.DIO 1SV307 (TPH3, F) B 95.4/112.2
D551 1750000581 S.DIO 1SV307 (TPH3, F) T 74/116.7
D552 1750000581 S.DIO 1SV307 (TPH3, F) T 72.2/116.7
D553 1750000610 S.VCP MA2SV0500L T 67.2/118.5
D554 1750000610 S.VCP MA2SV0500L T 69.6/117.8
REF ORDER DESCRIPTION M. H/V
NO. NO.
LOCATION
[PA UNIT]

5 - 13
M.=Mounted side (T: Mounted on the Top side, B: Mounted on the Bottom side)
REF ORDER DESCRIPTION M. H/V
NO. NO.
LOCATION
[PA UNIT]
D555 1750000581 S.DIO 1SV307 (TPH3, F) T 66.9/116.7
D556 1720000590 S.VCP MA357 (TX) T 71.6/113.3
D557 1750000581 S.DIO 1SV307 (TPH3, F) T 68.1/104.9
D558 1720000590 S.VCP MA357 (TX) T 72.2/104.3
D559 1750000610 S.VCP MA2SV0500L T 68.9/102.7
D560 1750000610 S.VCP MA2SV0500L T 71.7/101.3
D701 1790000700 DIO DSA3A1
D702 1790000700 DIO DSA3A1
D703 1160000070 S.DIO DAN202K T146 B 127/22.1
D704 1790001240 S.DIO MA2S728-(TX) B 87.9/113.9
D705 1160000070 S.DIO DAN202K T146 B 137.1/13.5
D706 1790001240 S.DIO MA2S728-(TX) B 86/113
D801 1750000301 S.DIO 1SS302 (TE85R, F) B 43/42
D820 1750000301 S.DIO 1SS302 (TE85R, F) B 53.5/94.2
D840 1750000301 S.DIO 1SS302 (TE85R, F) B 43.1/99.6
D860 1750000301 S.DIO 1SS302 (TE85R, F) B 43/86
D880 1750000301 S.DIO 1SS302 (TE85R, F) B 43/71.6
D900 1750000301 S.DIO 1SS302 (TE85R, F) B 43.7/56.9
D920 1750000301 S.DIO 1SS302 (TE85R, F) B 43/27.4
D940 1750000301 S.DIO 1SS302 (TE85R, F) B 41.1/14.6
D961 1790000491 S.DIO HSM88ASTR-E B 28.1/130.2
D962 1790000491 S.DIO HSM88ASTR-E B 28.1/133.7
D964 1750000511 S.DIO UX9401F-STD/TR B 40.1/43.9
D965 1750000511 S.DIO UX9401F-STD/TR B 42.8/48
L101 6200005051 S.COL NLV25T-330J T 151.3/33.6
L102 6200008570 S.COL LQW2BHN6N8D03L T 152.3/37.3
L103 6180000990 COL LAL 04NA 101K
L104 6180000990 COL LAL 04NA 101K
L105 6200003950 S.COL HF50ACC 322513-T B 135.7/34.1
L107 6200002631 S.COL NLV25T-R10J T 141/47.9
L108 6200003031 S.COL NLV32T-R47J B 138/41.7
L151 6200003941 S.COL NLV25T-5R6J B 64.1/41
L152 6200005521 S.COL NLV25T-470J B 64.8/38
L201 6140004580 S.COL LR-515 T 150.4/52.5
L203 6200010040 S.COL AS100340-10N T 113.8/79.5
L204 6200010040 S.COL AS100340-10N T 123.5/69.7
L301 6140003410 COL LR-383
L302 2040000490 COL EXC-ELDR25C
L303 6140003590 COL LR-400 (TR10X5X5 6H3)
L304 6140004570 COL LR-507
L305 6140004560 COL LR-506
L404 6200010060 S.COL AS080647-56N T 141/108.9
L407 6200010170 S.COL AS080447-33N T 146.6/110.7
L408 2040000490 COL EXC-ELDR25C
L409 2040000490 COL EXC-ELDR25C
L410 6200010040 S.COL AS100340-10N T 126.5/137.8
L411 6200010420 S.COL FHW1210HC 1R0JGT T 118.3/136.7
L412 6200010160 S.COL AS080440-22N T 104.4/134.4
L413 6200010150 S.COL AS080340-15N T 88.2/139.5
L414 6200010150 S.COL AS080340-15N T 81/133.5
L415 6200008330 S.COL 0.45-1.4-4TL 15N T 99.2/134
L416 6200008360 S.COL 0.25-1.9-13TL T 93.8/132.1
L417 6200007790 S.COL LQW2BHNR15J03L B 98.3/131.1
L441 6200010040 S.COL AS100340-10N T 133.4/137.8
L451 6200005621 S.COL ELJRE 4N7ZFA B 81.5/120.1
L452 6200008530 S.COL 0.30-1.0-4TR 12N T 76.7/114.9
L453 6200007230 S.COL LQW2BHN15NJ03L B 73.8/104
L454 6200007230 S.COL LQW2BHN15NJ03L B 69.9/102.3
L501 6200010780 S.COL C2520C-1ROG-A T 117.1/86.6
L502 6200010060 S.COL AS080647-56N T 118.1/125
L504 6200010780 S.COL C2520C-1ROG-A T 105.7/123.4
L505 6200010070 S.COL AS080747-68N T 90.2/118.5
L506 6200010170 S.COL AS080447-33N T 91.9/124.3
L507 6200008170 S.COL 0.35-1.6-8TL 54N T 84.7/118
L508 6200010050 S.COL AS080547-47N T 81.8/127.7
L509 6200010780 S.COL C2520C-1ROG-A T 93.2/113.1
L510 6200010050 S.COL AS080547-47N T 75.5/127.5
L531 6110003980 COL LA-604
L541 6200010070 S.COL AS080747-68N T 128.5/129.8
L551 6200007700 S.COL LQW2BHN22NJ03L T 76.1/120.8
L552 6200007720 S.COL LQW2BHN33NJ03L T 70.8/121.2
L553 6200008090 S.COL LQW2BHN68NJ03L T 65.1/121.6
L554 6200003640 S.COL MLF1608E 100K-T T 64.9/114.8
L555 6200003711 S.COL NLV25T-2R7J T 65.2/105.4
L556 6200003640 S.COL MLF1608E 100K-T B 65.5/106.1
L557 6200007760 S.COL LQW2BHN82NJ03L T 66.8/100.5
L558 6200007710 S.COL LQW2BHN27NJ03L T 69.9/98.3
L560 6200002611 S.COL NLV25T-R47J T 62.9/97.3
L601 6200010040 S.COL AS100340-10N T 69.2/127.5
L602 6200010160 S.COL AS080440-22N T 65.7/132.8
L603 6200010150 S.COL AS080340-15N T 60.8/133.5
L705 6200003550 S.COL MLF1608A 4R7K-T B 68.2/10.3
L706 6200011300 S.COL EXCML16A 270U T 91/6.9
L707 6200011300 S.COL EXCML16A 270U T 91/5.6
L801 6200011410 S.COL C2520C-82NG-A T 55.8/55.5
L802 6200010650 S.COL C2520C-R12G-A T 58.5/52.1
L803 6200007420 S.COL ELJFC 101K-F B 50.4/39.8
L820 6200006430 S.COL ELJFC 180K-F B 53.5/97.3
L821 6140002020 COL LR-229 (T50-10)
L822 6140003540 COL LR-396
L823 6200006430 S.COL ELJFC 180K-F B 2.7/106.8
L840 6200007420 S.COL ELJFC 101K-F B 50.1/98.6
L841 6140001820 COL LR-218 (T50-10)
L842 6140001800 COL LR-216 (T50-2)
L843 6140001800 COL LR-216 (T50-2)
L844 6200007420 S.COL ELJFC 101K-F B 2.6/90.7
L860 6200004440 S.COL ELJFC 4R7M-F B 50.3/83.8
L861 6110003550 COL LA-547 (LA-214A)
L862 6110003570 COL LA-550
L863 6110003540 COL LA-548 (LA-215A)
L864 6200004440 S.COL ELJFC 4R7M-F B 2.8/74.5
L880 6200007420 S.COL ELJFC 101K-F B 50.3/69.1
L881 6140002570 COL LR-294 (T50-2)
L882 6140002580 COL LR-295 (T50-2)
L883 6200007420 S.COL ELJFC 101K-F B 2.6/58.4
L900 6200008600 S.COL ELJFC 560K-F B 50/54.6
L901 6140002560 COL LR-293 (T50-10)
L902 6140002560 COL LR-293 (T50-10)
L903 6140002560 COL LR-293 (T50-10)
L904 6200008600 S.COL ELJFC 560K-F B 2.6/42.3
L920 6200007420 S.COL ELJFC 101K-F B 50.4/25.4
L921 6140001780 COL LR-214 (T50-2)
L922 6140001780 COL LR-214 (T50-2)
L923 6200007420 S.COL ELJFC 101K-F B 2.6/26.1
L940 6200007390 S.COL ELJFC 120K-F B 47.3/9.9
L941 6140003450 COL LR-387 (T50-10)
L942 6140003460 COL LR-388 (T50-10)
L943 6200007420 S.COL ELJFC 101K-F B 41.1/11.1
L944 6200007390 S.COL ELJFC 120K-F B 9/10.5
L960 6200007420 S.COL ELJFC 101K-F B 45.3/130.6
L961 6140003490 COL LR-391 (TR10X5X5 3A6)
L980 6200007420 S.COL ELJFC 101K-F B 30.7/8
L981 6200007420 S.COL ELJFC 101K-F T 51.7/9
L982 6200007420 S.COL ELJFC 101K-F T 48.3/2.3
R101 7030003370 S.RES ERJ3GEYJ 271 V (270
Ω) B 150.9/21
R102 7030003230 S.RES ERJ3GEYJ 180 V (18
Ω) B 150.9/22.5
R103 7030003370 S.RES ERJ3GEYJ 271 V (270
Ω) B 151.9/25.2
R104 7030003300 S.RES ERJ3GEYJ 680 V (68
Ω) B 150.8/27.7
R105 7030003420 S.RES ERJ3GEYJ 681 V (680
Ω) T 152.7/29.8
R106 7030003480 S.RES ERJ3GEYJ 222 V (2.2 kΩ) B 147.8/29.7
R107 7030003530 S.RES ERJ3GEYJ 562 V (5.6 kΩ) B 147.8/28.3
R108 7030003400 S.RES ERJ3GEYJ 471 V (470
Ω) T 151.4/31.7
R109 7030008190 S.RES ERJ12YJ330U (33
Ω) B 145.5/32.7
R110 7030000230 S.RES MCR10EZHJ 56
Ω T 149.4/39.8
R111 7030003410 S.RES ERJ3GEYJ 561 V (560
Ω) B 143.8/42.1
R112 7030003510 S.RES ERJ3GEYJ 392 V (3.9 kΩ) B 146.1/37.5
R113 7030003540 S.RES ERJ3GEYJ 682 V (6.8 kΩ) B 146.1/35.7
R116 7030000340 S.RES MCR10EZHJ 470
Ω B 141.3/40.8
R117 7030003860 S.RES ERJ3GE JPW V T 146.7/47.7
R151 7030003380 S.RES ERJ3GEYJ 331 V (330
Ω) B 61.6/37.8
R152 7030003440 S.RES ERJ3GEYJ 102 V (1 kΩ) B 61.7/60.1
R153 7030003520 S.RES ERJ3GEYJ 472 V (4.7 kΩ) T 59.2/57.9
R201 7030003320 S.RES ERJ3GEYJ 101 V (100
Ω) B 123/49.9
R202 7030003520 S.RES ERJ3GEYJ 472 V (4.7 kΩ) B 135.2/50.6
R204 7030003440 S.RES ERJ3GEYJ 102 V (1 kΩ) B 138/52.8
R205 7030010420 S.RES ERJ1TYJ 560U (56
Ω) B 145/51.5
R301 7030009300 S.RES ERJ1WY0R00U B 92.2/84.4
R302 7030010520 S.RES ERJ1TYJ 101U (100
Ω) T 89.4/86.1
R303 7030009300 S.RES ERJ1WY0R00U B 85.4/84.4
R304 7030003320 S.RES ERJ3GEYJ 101 V (100
Ω) T 107.1/79.8
R305 7030010410 S.RES ERJ1TYJ 220U (22
Ω) T 100.2/84.1
R306 7030003320 S.RES ERJ3GEYJ 101 V (100
Ω) B 71.2/83.3
R307 7030010410 S.RES ERJ1TYJ 220U (22
Ω) T 77.5/84.1
R308 7030003480 S.RES ERJ3GEYJ 222 V (2.2 kΩ) B 98.3/85.7
R309 7030003480 S.RES ERJ3GEYJ 222 V (2.2 kΩ) B 79.5/85.7
R310 7030007630 S.RES MCR100JZHJ 0.68
Ω B 100.1/82.2
R311 7030007630 S.RES MCR100JZHJ 0.68
Ω B 78.3/82.1
R312 7030011250 S.RES ERJ1TY 390U (39
Ω) T 100.9/77.7
R313 7030010540 S.RES ERJ1TYJ 330U (33
Ω) T 97.2/77.7
R314 7030010540 S.RES ERJ1TYJ 330U (33
Ω) T 81.6/77.7
R315 7030011250 S.RES ERJ1TY 390U (39
Ω) T 77.9/77.7
R317 7030010950 S.RES ERJ1TYJ 100U (10
Ω) B 104/20.6
R318 7030010950 S.RES ERJ1TYJ 100U (10
Ω) B 99.6/20.6
R319 7030010660 S.RES ERJ1TYJ 6R8U (6.8
Ω) B 89.4/54.5
R402 7030003320 S.RES ERJ3GEYJ 101 V (100
Ω) B 151.7/73.1
R403 7030003520 S.RES ERJ3GEYJ 472 V (4.7 kΩ) T 151.8/71.2
R404 7030000260 S.RES MCR10EZHJ 100
Ω T 149.4/76
R405 7030003540 S.RES ERJ3GEYJ 682 V (6.8 kΩ) B 126.7/137.5
R406 7030003860 S.RES ERJ3GE JPW V B 128.4/136.1
R407 7030003440 S.RES ERJ3GEYJ 102 V (1 kΩ) B 129.7/133.6
R408 7030003860 S.RES ERJ3GE JPW V B 124.1/137.6
R409 7030003440 S.RES ERJ3GEYJ 102 V (1 kΩ) B 127/130.4
R410 7030003440 S.RES ERJ3GEYJ 102 V (1 kΩ) B 131.6/133
R411 7030003540 S.RES ERJ3GEYJ 682 V (6.8 kΩ) B 125.1/135.5
R412 7030003500 S.RES ERJ3GEYJ 332 V (3.3 kΩ) B 131.1/129.7
R413 7030007160 S.RES ERJ12YJ3R3U (3.3
Ω) B 123.5/125.1
R415 7030008350 S.RES ERJ12YJ390U B 86.7/136.4
R416 7030000140 S.RES MCR10EZHJ 10
Ω B 94.6/130.7
S.=Surface mount
REF ORDER DESCRIPTION M. H/V
NO. NO.
LOCATION
[PA UNIT]

5 - 14
M.=Mounted side (T: Mounted on the Top side, B: Mounted on the Bottom side)
REF ORDER DESCRIPTION M. H/V
NO. NO.
LOCATION
[PA UNIT]
R417 7030000140 S.RES MCR10EZHJ 10
Ω B 95.5/132.5
R418 7030000010 S.RES MCR10EZHJ JPW B 99.3/133.9
R451 7030003470 S.RES ERJ3GEYJ 182 V (1.8 kΩ) B 81.5/121.7
R452 7030004040 S.RES ERJ3GEYJ 4R7 V (4.7 Ω) B 85.5/119.3
R453 7030003260 S.RES ERJ3GEYJ 330 V (33 Ω) B 81.6/118.4
R454 7030003860 S.RES ERJ3GE JPW V B 77.3/116
R455 7030003640 S.RES ERJ3GEYJ 473 V (47 kΩ) B 73.2/117.5
R456 7030003700 S.RES ERJ3GEYJ 154 V (150 kΩ) B 72/114.4
R457 7030003750 S.RES ERJ3GEYJ 394 V (390 kΩ) B 71.2/111.9
R458 7030003710 S.RES ERJ3GEYJ 184 V (180 kΩ) B 73.8/112.4
R459 7030003740 S.RES ERJ3GEYJ 334 V (330 kΩ) B 69.6/111.3
R460 7030003740 S.RES ERJ3GEYJ 334 V (330 kΩ) B 76.6/112.1
R461 7030003270 S.RES ERJ3GEYJ 390 V (39 Ω) B 77.7/103.3
R462 7030003680 S.RES ERJ3GEYJ 104 V (100 kΩ) B 72.9/99.6
R463 7030003520 S.RES ERJ3GEYJ 472 V (4.7 kΩ) B 74.4/102.4
R464 7030003210 S.RES ERJ3GEYJ 120 V (12 Ω) B 74.2/105.7
R465 7030003680 S.RES ERJ3GEYJ 104 V (100 kΩ) B 66.5/101.7
R466 7030003860 S.RES ERJ3GE JPW V B 62.1/100.2
R467 7030003640 S.RES ERJ3GEYJ 473 V (47 kΩ) B 75/118.9
R468 7030008240 S.RES ERJ12YJ0R00U B 89.1/121.9
R470 7030003320 S.RES ERJ3GEYJ 101 V (100 Ω) B 67.7/98.8
R471 7030003270 S.RES ERJ3GEYJ 390 V (39 Ω) B 69.6/98.3
R472 7030003340 S.RES ERJ3GEYJ 151 V (150 Ω) B 69.6/99.5
R473 7030003340 S.RES ERJ3GEYJ 151 V (150 Ω) B 69.6/100.7
R474 7030003340 S.RES ERJ3GEYJ 151 V (150 Ω) B 63.5/96.9
R475 7030003340 S.RES ERJ3GEYJ 151 V (150 Ω) B 64.9/96.7
R476 7030003270 S.RES ERJ3GEYJ 390 V (39 Ω) B 64.8/94.9
R477 7030003360 S.RES ERJ3GEYJ 221 V (220 Ω) B 61.8/97.6
R502 7030003320 S.RES ERJ3GEYJ 101 V (100 Ω) T 112.1/87.9
R503 7030003520 S.RES ERJ3GEYJ 472 V (4.7 kΩ) T 112.6/86
R504 7030000260 S.RES MCR10EZHJ 100
Ω T 114.2/86.2
R505 7030003540 S.RES ERJ3GEYJ 682 V (6.8 kΩ) B 119.9/124.8
R507 7030003440 S.RES ERJ3GEYJ 102 V (1 kΩ) B 110.2/123.1
R508 7030003520 S.RES ERJ3GEYJ 472 V (4.7 kΩ) B 107.1/121.9
R510 7030003440 S.RES ERJ3GEYJ 102 V (1 kΩ) B 110.3/125.7
R511 7030003540 S.RES ERJ3GEYJ 682 V (6.8 kΩ) B 112.1/133.9
R512 7030003560 S.RES ERJ3GEYJ 103 V (10 kΩ) B 107.1/123.1
R513 7030010520 S.RES ERJ1TYJ 101U (100 Ω) B 103.7/114.2
R515 7030006060 S.RES ERJ12YJ100U (10
Ω) T 92.1/108.9
R516 7030003860 S.RES ERJ3GE JPW V T 90.6/114.3
R517 7030010520 S.RES ERJ1TYJ 101U (100 Ω) B 103.7/118.4
R518 7030003440 S.RES ERJ3GEYJ 102 V (1 kΩ) B 97.5/112.7
R519 7030000010 S.RES MCR10EZHJ JPW B 111.1/119.5
R551 7030003470 S.RES ERJ3GEYJ 182 V (1.8 kΩ) T 78.2/117.8
R552 7030004040 S.RES ERJ3GEYJ 4R7 V (4.7 Ω) T 76.7/119.1
R553 7030003260 S.RES ERJ3GEYJ 330 V (33 Ω) T 73/118.9
R554 7030003680 S.RES ERJ3GEYJ 104 V (100 kΩ) T 66.8/120.4
R555 7030003440 S.RES ERJ3GEYJ 102 V (1 kΩ) T 68.1/114.7
R556 7030003680 S.RES ERJ3GEYJ 104 V (100 kΩ) T 69.9/116.6
R557 7030003740 S.RES ERJ3GEYJ 334 V (330 kΩ) T 65.7/112.9
R558 7030003710 S.RES ERJ3GEYJ 184 V (180 kΩ) T 70.5/111.2
R559 7030003720 S.RES ERJ3GEYJ 224 V (220 kΩ) T 65.7/111.7
R560 7030003720 S.RES ERJ3GEYJ 224 V (220 kΩ) T 65.6/110.5
R561 7030003740 S.RES ERJ3GEYJ 334 V (330 kΩ) T 68.3/112.4
R562 7030003270 S.RES ERJ3GEYJ 390 V (39 Ω) T 70.1/106.6
R563 7030003420 S.RES ERJ3GEYJ 681 V (680 Ω) T 65.4/107.3
R564 7030003210 S.RES ERJ3GEYJ 120 V (12 Ω) T 63.5/103
R565 7030003440 S.RES ERJ3GEYJ 102 V (1 kΩ) B 65.8/108.1
R567 7030003680 S.RES ERJ3GEYJ 104 V (100 kΩ) T 70.1/104
R568 7030003680 S.RES ERJ3GEYJ 104 V (100 kΩ) T 69.7/100.7
R570 7030003380 S.RES ERJ3GEYJ 331 V (330 Ω) T 62.8/100.3
R575 7030003520 S.RES ERJ3GEYJ 472 V (4.7 kΩ) T 68.4/100.7
R576 7030003540 S.RES ERJ3GEYJ 682 V (6.8 kΩ) T 71.8/100
R577 7030003520 S.RES ERJ3GEYJ 472 V (4.7 kΩ) T 68/120.4
R578 7030003540 S.RES ERJ3GEYJ 682 V (6.8 kΩ) T 69.9/119
R701 7030003500 S.RES ERJ3GEYJ 332 V (3.3 kΩ) B 82.2/16.9
R702 7030003500 S.RES ERJ3GEYJ 332 V (3.3 kΩ) B 83/14.5
R703 7030003500 S.RES ERJ3GEYJ 332 V (3.3 kΩ) B 80.6/16.9
R704 7030003500 S.RES ERJ3GEYJ 332 V (3.3 kΩ) B 79.7/14.5
R705 7030009300 S.RES ERJ1WY0R00U B 134.6/23.8
R721 7030011240 S.RES LRF3W-LF-01-R020F B 83/22.3
R722 7030011240 S.RES LRF3W-LF-01-R020F B 83/29.6
R723 7030004040 S.RES ERJ3GEYJ 4R7 V (4.7 Ω) B 140.5/14.7
R733 7030009591 S.RES ERA3YED 472V (4.7 kΩ) B 138.6/10.4
R734 7510001470 S.TMR NTCG20 4AG 473JT T 111.9/58.2
R735 7030009591 S.RES ERA3YED 472V (4.7 kΩ) B 140.2/12.5
R736 7510001470 S.TMR NTCG20 4AG 473JT T 153.3/77.1
R742 7030003640 S.RES ERJ3GEYJ 473 V (47 kΩ) B 86.4/6.5
R743 7030003440 S.RES ERJ3GEYJ 102 V (1 kΩ) B 82.5/10.5
R744 7030003860 S.RES ERJ3GE JPW V T 67.8/9.6
R749 7030003860 S.RES ERJ3GE JPW V B 65/5.2
R750 7030003860 S.RES ERJ3GE JPW V B 66.6/5.2
R773 7030003860 S.RES ERJ3GE JPW V T 103.4/9.5
R960 7030003860 S.RES ERJ3GE JPW V B 43.2/125.7
R961 7030003380 S.RES ERJ3GEYJ 331 V (330 Ω) B 42/138.3
R962 7030003440 S.RES ERJ3GEYJ 102 V (1 kΩ) B 37.4/137.8
R963 7030003440 S.RES ERJ3GEYJ 102 V (1 kΩ) B 40.3/126.3
R964 7030003860 S.RES ERJ3GE JPW V B 24.8/131.2
R965 7030003640 S.RES ERJ3GEYJ 473 V (47 kΩ) B 32.6/130.5
R966 7030008190 S.RES ERJ12YJ330U (33
Ω) B 11.1/129.6
R967 7030003640 S.RES ERJ3GEYJ 473 V (47 kΩ) B 34.2/130.5
R968 7030003860 S.RES ERJ3GE JPW V B 24.8/132.8
R969 7030003600 S.RES ERJ3GEYJ 223 V (22 kΩ) B 32.6/133.6
R970 7030003680 S.RES ERJ3GEYJ 104 V (100 kΩ) B 34.2/133.6
R971 7540000130 ABS 2P-50A-301
R972 7030003620 S.RES ERJ3GEYJ 333 V (33 kΩ) B 17.4/140.1
R973 7030003620 S.RES ERJ3GEYJ 333 V (33 kΩ) B 18.9/138.5
R974 7030003620 S.RES ERJ3GEYJ 333 V (33 kΩ) B 19.4/136.6
R994 7030003560 S.RES ERJ3GEYJ 103 V (10 kΩ) B 22.4/2.6
R995 7030003560 S.RES ERJ3GEYJ 103 V (10 kΩ) B 22.4/6.8
R996 7030003560 S.RES ERJ3GEYJ 103 V (10 kΩ) B 21.6/5.4
R997 7030003560 S.RES ERJ3GEYJ 103 V (10 kΩ) B 21.6/8.2
R998 7030003320 S.RES ERJ3GEYJ 101 V (100 Ω) T 54.1/4.4
R999 7030003320 S.RES ERJ3GEYJ 101 V (100 Ω) T 54.5/3.1
R1000 7030003320 S.RES ERJ3GEYJ 101 V (100 Ω) T 51.2/3.5
R1001 7030003320 S.RES ERJ3GEYJ 101 V (100 Ω) T 49.3/4.9
R1002 7030000280 S.RES MCR10EZHJ 150
Ω T 48/9.7
R1003 7030000290 S.RES MCR10EZHJ 180
Ω T 47.5/7.9
C101 4030011600 S.CER C1608 JB 1E 104K-T T 151.9/25.1
C102 4030011600 S.CER C1608 JB 1E 104K-T B 150.8/29.3
C103 4030011340 S.CER C1608 CH 1H 471J-T T 152.7/27.2
C104 4030011600 S.CER C1608 JB 1E 104K-T T 147.8/32.2
C105 4510004591 ELE 16 ME 470 HC
C106 4030011600 S.CER C1608 JB 1E 104K-T B 142.7/29.2
C107 4030011600 S.CER C1608 JB 1E 104K-T T 151.6/39.7
C108 4030011600 S.CER C1608 JB 1E 104K-T T 149.2/36.5
C109 4030007130 S.CER C1608 CH 1H 101J-T B 146.6/42.1
C112 4030011600 S.CER C1608 JB 1E 104K-T B 139.2/35.1
C113 4030011600 S.CER C1608 JB 1E 104K-T T 144.6/44.4
C114 4030011600 S.CER C1608 JB 1E 104K-T B 134.1/37
C116 4030007060 S.CER C1608 CH 1H 270J-T T 144.6/45.8
C118 4030007130 S.CER C1608 CH 1H 101J-T T 143.5/48.5
C119 4030007130 S.CER C1608 CH 1H 101J-T T 144/50.4
C120 4030007020 S.CER C1608 CH 1H 120J-T T 143.5/47.2
C122 4510008500 S.ELE EEE1CA101WP T 121.5/11.2
C151 4030011600 S.CER C1608 JB 1E 104K-T T 59.2/54.8
C152 4030006880 S.CER C1608 JB 1H 472K-T B 61.6/36.2
C153 4030011600 S.CER C1608 JB 1E 104K-T B 63.1/56
C154 4030006860 S.CER C1608 JB 1H 102K-T B 63.1/54.7
C201 4030006860 S.CER C1608 JB 1H 102K-T T 145.6/53
C202 4030006860 S.CER C1608 JB 1H 102K-T T 143/53
C204 4030011600 S.CER C1608 JB 1E 104K-T B 139.3/48.4
C205 4030006860 S.CER C1608 JB 1H 102K-T B 123.3/48.6
C206 4030017810 S.CER C1608 CH 1H 102J-T B 133.5/50.6
C207 4030017810 S.CER C1608 CH 1H 102J-T B 139.3/49.7
C208 4030011600 S.CER C1608 JB 1E 104K-T B 132/50.6
C209 4030007170 S.CER C1608 CH 1H 221J-T B 139.3/51
C214 4030018940 S.CER GRM31A7U2J331JW31D T 116.3/76.1
C215 4030018930 S.CER GRM31A7U2J221JW31D T 122.2/73.9
C217 4030011600 S.CER C1608 JB 1E 104K-T T 144.3/53
C218 4030018930 S.CER GRM31A7U2J221JW31D T 101/88.5
C219 4030018930 S.CER GRM31A7U2J221JW31D B 82.4/99.7
C251 4030011180 S.CER GRM31M2C2H220JV01L B 134.9/66
C252 4030011180 S.CER GRM31M2C2H220JV01L B 142.2/70.6
C253 4030011080 S.CER GRM31M2C2H6R0DV01L B 145.5/79
C254 4030011160 S.CER GRM31M2C2H150JV01L B 127.7/65.3
C261 4030012480 S.CER GRM31M2C2H121JV01L B 131.7/75.1
C262 4030018940 S.CER GRM31A7U2J331JW31D B 126/80.1
C263 4030018770 S.CER C3216 CH 2J 102J-T B 122.1/80.7
C266 4030018950 S.CER GRM31A7U2J681JW31D B 119.7/80.2
C267 4030018930 S.CER GRM31A7U2J221JW31D B 124/85.3
C301 4030001100 S.CER GRM216B11H102KA01D B 91.7/100.6
C302 4030001020 S.CER GRM2162C1H121JA01D B 93.8/100.6
C303 4030011600 S.CER C1608 JB 1E 104K-T B 110.8/85.5
C304 4030017320 S.CER GRM21BB11H104KA11L B 94.8/97.6
C305 4510004591 ELE 16 ME 470 HC
C306 4030006860 S.CER C1608 JB 1H 102K-T B 80/39.6
C307 4030006860 S.CER C1608 JB 1H 102K-T B 98/39.5
C308 4030006860 S.CER C1608 JB 1H 102K-T B 88/11.2
C309 4030011600 S.CER C1608 JB 1E 104K-T T 105.8/78.3
C311 4030018750 S.CER C3225 CH 2J 682K-T B 92.7/78.5
C312 4030018750 S.CER C3225 CH 2J 682K-T B 84.9/78.5
C313 4030011600 S.CER C1608 JB 1E 104K-T T 76.8/87.8
C314 4030018750 S.CER C3225 CH 2J 682K-T B 96.9/77.6
C315 4030018750 S.CER C3225 CH 2J 682K-T B 80.6/77.6
C319 4030011730 S.CER GRM31M2C2H101JV01L B 110/48.8
C320 4030011730 S.CER GRM31M2C2H101JV01L B 71.1/48.9
C323 4030003810 S.MIC UC342H 1200J-T B 91.4/46.4
C324 4320001050 S.MIC UC342H 3900J-T T 94.4/40.2
C325 4320001070 S.MIC UC342H 3300J-T B 94.4/40.7
C327 4030011790 S.CER GRM55RF52A684ZD01L T 65.9/46.3
C331 4030011600 S.CER C1608 JB 1E 104K-T T 108.3/78.3
C332 4030011600 S.CER C1608 JB 1E 104K-T B 69.5/81.4
C333 4030018940 S.CER GRM31A7U2J331JW31D B 88.4/101.8
C340 4030006860 S.CER C1608 JB 1H 102K-T B 80.2/107.1
C341 4030006860 S.CER C1608 JB 1H 102K-T B 90.2/107.1
C342 4030006860 S.CER C1608 JB 1H 102K-T B 85.2/91.9
C404 4030006860 S.CER C1608 JB 1H 102K-T B 151.7/71.4
C405 4030011740 S.CER GRM32N2C2H201JV01L T 145.3/105.7
C406 4030006860 S.CER C1608 JB 1H 102K-T B 132.4/129.7
S.=Surface mount
REF ORDER DESCRIPTION M. H/V
NO. NO.
LOCATION
[PA UNIT]

5 - 15
M.=Mounted side (T: Mounted on the Top side, B: Mounted on the Bottom side)
REF ORDER DESCRIPTION M. H/V
NO. NO.
LOCATION
[PA UNIT]
C408 4030018040 S.CER ERF22X 6C2H 180J D01L B 134.2/93
C409 4030018040 S.CER ERF22X 6C2H 180J D01L B 145.4/93
C410 4030018260 S.CER ERF22X 6C2H 150J D01L B 145.4/96.4
C411 4030018260 S.CER ERF22X 6C2H 150J D01L B 134.2/96.4
C412 4030018770 S.CER C3216 CH 2J 102J-T T 136/111.5
C413 4030018770 S.CER C3216 CH 2J 102J-T T 139.8/102.7
C415 4030018410 S.CER ERF22X 6C2H 2R0C D01L T 143.1/139.4
C416 4030006880 S.CER C1608 JB 1H 472K-T T 103.1/96.7
C417 4030018040 S.CER ERF22X 6C2H 180J D01L T 139.2/136.2
C418 4030011120 S.CER GRM31M2C2H100JV01L B 134.1/134.2
C419 4030011020 S.CER GRM31M4C2H1R0CY21L B 132.6/138.2
C420 4030011080 S.CER GRM31M2C2H6R0DV01L B 129.2/139.5
C421 4030011020 S.CER GRM31M4C2H1R0CY21L B 120.6/136.8
C422 4030011120 S.CER GRM31M2C2H100JV01L B 121.7/141.1
C423 4030007090 S.CER C1608 CH 1H 470J-T B 127.8/131.7
C424 4030011090 S.CER GRM31M2C2H7R0DV01L B 119/140.3
C425 4030011180 S.CER GRM31M2C2H220JV01L T 121.6/137.4
C426 4030006860 S.CER C1608 JB 1H 102K-T B 106.7/133.9
C427 4030011040 S.CER GRM31M4C2H2R0CY21L B 102.6/139.6
C428 4030011090 S.CER GRM31M2C2H7R0DV01L T 97/138.1
C429 4030017940 S.CER ERF22X 6C2H 680J D01L T 92.3/136.9
C430 4030017190 S.CER GRM31AR32J471KW01D B 92.7/136.5
C431 4030011070 S.CER GRM31M2C2H5R0CY21L T 86.9/133.8
C432 4030004820 S.CER C2012 CH 1H 050C-T B 99.2/139.3
C433 4030011090 S.CER GRM31M2C2H7R0DV01L T 76.1/132.2
C434 4030006860 S.CER C1608 JB 1H 102K-T B 90.1/125.4
C435 4030006860 S.CER C1608 JB 1H 102K-T B 97.2/127.7
C436 4030006860 S.CER C1608 JB 1H 102K-T T 98.4/130.9
C438 4030006850 S.CER C1608 JB 1H 471K-T B 90.8/134
C439 4030006860 S.CER C1608 JB 1H 102K-T B 92.8/133.1
C440 4030004710 S.CER C2012 JB 1H 471K-T B 103.5/135.5
C441 4030011090 S.CER GRM31M2C2H7R0DV01L T 137.6/140.4
C443 4030011020 S.CER GRM31M4C2H1R0CY21L B 122.1/131
C452 4030007020 S.CER C1608 CH 1H 120J-T B 87.3/119.3
C453 4030006860 S.CER C1608 JB 1H 102K-T T 63.9/117.3
C456 4030009350 S.CER C1608 CH 1H 3R5B-T B 78.2/118.4
C458 4030006860 S.CER C1608 JB 1H 102K-T T 73.8/113.1
C461 4030011600 S.CER C1608 JB 1E 104K-T B 68.8/113.3
C462 4030011600 S.CER C1608 JB 1E 104K-T B 77.1/110.8
C463 4030006860 S.CER C1608 JB 1H 102K-T B 78.1/109.4
C464 4030011600 S.CER C1608 JB 1E 104K-T B 77.7/105.9
C465 4030011600 S.CER C1608 JB 1E 104K-T B 68.9/108.9
C466 4030006860 S.CER C1608 JB 1H 102K-T B 77.7/104.6
C467 4030006860 S.CER C1608 JB 1H 102K-T B 68.9/107.6
C468 4030007020 S.CER C1608 CH 1H 120J-T B 73.7/101.1
C470 4030011600 S.CER C1608 JB 1E 104K-T B 77.7/101.7
C471 4030006860 S.CER C1608 JB 1H 102K-T B 77.7/100.4
C472 4030009500 S.CER C1608 CH 1H 0R5B-T B 69.7/105.2
C473 4030007040 S.CER C1608 CH 1H 180J-T B 69.7/104
C474 4030009530 S.CER C1608 CH 1H 030B-T B 67.7/101.7
C475 4030006860 S.CER C1608 JB 1H 102K-T B 66.5/98.8
C476 4030006860 S.CER C1608 JB 1H 102K-T B 68/111.3
C477 4030006860 S.CER C1608 JB 1H 102K-T B 79.1/120.8
C478 4030006860 S.CER C1608 JB 1H 102K-T B 58.1/119.3
C479 4030006860 S.CER C1608 JB 1H 102K-T B 57.6/121.2
C480 4030007090 S.CER C1608 CH 1H 470J-T B 63.4/100.8
C481 4030006860 S.CER C1608 JB 1H 102K-T B 69.6/96.3
C482 4030006860 S.CER C1608 JB 1H 102K-T B 67.9/94.5
C483 4030006860 S.CER C1608 JB 1H 102K-T B 64.2/98.8
C484 4030007010 S.CER C1608 CH 1H 100D-T B 71.5/106
C485 4030017810 S.CER C1608 CH 1H 102J-T B 69.5/106
C501 4030006860 S.CER C1608 JB 1H 102K-T T 109.3/87.9
C503 4030011070 S.CER GRM31M2C2H5R0CY21L T 119.4/130.3
C504 4030017960 S.CER ERF22X 6C2H 330J D01L T 111.8/122.1
C505 4030011040 S.CER GRM31M4C2H2R0CY21L B 114.4/125.4
C506 4030011120 S.CER GRM31M2C2H100JV01L B 118.2/125.6
C507 4030011040 S.CER GRM31M4C2H2R0CY21L B 113.8/131.5
C508 4030011070 S.CER GRM31M2C2H5R0CY21L B 110.4/132.8
C509 4030007150 S.CER C1608 CH 1H 151J-T B 110.2/121.9
C511 4030018770 S.CER C3216 CH 2J 102J-T T 109.6/125.4
C513 4030006860 S.CER C1608 JB 1H 102K-T B 97.1/117.6
C514 4030011170 S.CER GRM31M2C2H180JV01L T 98.4/118.1
C515 4030018770 S.CER C3216 CH 2J 102J-T T 96.9/120.4
C516 4030011100 S.CER GRM31M2C2H8R0DV01L T 88.2/124.1
C517 4030004880 S.CER C2012 CH 1H 120J-T B 92.5/115.1
C518 4030018770 S.CER C3216 CH 2J 102J-T B 94.1/121.4
C519 4030011190 S.CER GRM31M2C2H270JV01L T 86.1/124.1
C520 4030004870 S.CER C2012 CH 1H 100D-T B 934/112.5
C521 4030011290 S.CER GRM31M2C2H240JV01L T 81.2/123.9
C522 4030006850 S.CER C1608 JB 1H 471K-T T 96.3/107.7
C523 4030006860 S.CER C1608 JB 1H 102K-T T 79.3/119.1
C524 4030006910 S.CER C1608 CH 1H 0R5C-T T 79.9/120.9
C525 4030004720 S.CER C2012 JB 1H 102K-T T 86.7/112.1
C526 4030007150 S.CER C1608 CH 1H 151J-T B 113.3/121.9
C527 4030007150 S.CER C1608 CH 1H 151J-T B 111.1/127.8
C528 4030006860 S.CER C1608 JB 1H 102K-T B 96.2/114.5
C530 4030011230 S.CER GRM31M2C2H390JV01L T 120.8/113.3
C531 4030018770 S.CER C3216 CH 2J 102J-T B 106/109.3
C532 4030018770 S.CER C3216 CH 2J 102J-T B 103.1/109.2
C533 4030018770 S.CER C3216 CH 2J 102J-T T 118.6/107
C534 4030017880 S.CER ERF22X 6C2H 560J D01L B 112.7/103.9
C535 4030017880 S.CER ERF22X 6C2H 560J D01L B 124.1/103.9
C536 4030017980 S.CER ERF22X 6C2H 470J D01L T 101/110.8
C537 4030017940 S.CER ERF22X 6C2H 680J D01L T 101/114.2
C538 4030017880 S.CER ERF22X 6C2H 560J D01L T 131.2/117.5
C541 4030011060 S.CER GRM31M2C2H4R0CY21L T 125.1/123.7
C542 4030012480 S.CER GRM31M2C2H121JV01L T 123.4/128.7
C544 4030011730 S.CER GRM31M2C2H101JV01L T 129.9/123.5
C545 4030017940 S.CER ERF22X 6C2H 680J D01L B 112.7/109.9
C551 4030006880 S.CER C1608 JB 1H 472K-T T 80.1/117.1
C552 4030006860 S.CER C1608 JB 1H 102K-T T 73/120.5
C553 4030006850 S.CER C1608 JB 1H 471K-T T 69.4/114.7
C554 4030006860 S.CER C1608 JB 1H 102K-T T 66.8/114.7
C555 4030006860 S.CER C1608 JB 1H 102K-T T 63.1/111.7
C556 4030011600 S.CER C1608 JB 1E 104K-T T 68.3/111.2
C557 4030006860 S.CER C1608 JB 1H 102K-T T 70.8/108.5
C558 4030006860 S.CER C1608 JB 1H 102K-T T 65.4/108.6
C559 4030006860 S.CER C1608 JB 1H 102K-T T 66/103.5
C560 4030006860 S.CER C1608 JB 1H 102K-T B 65.3/112.9
C561 4030006850 S.CER C1608 JB 1H 471K-T T 70.1/105.3
C562 4030006860 S.CER C1608 JB 1H 102K-T T 69.2/94.9
C563 4030006860 S.CER C1608 JB 1H 102K-T T 62.3/106.1
C564 4030006860 S.CER C1608 JB 1H 102K-T T 65/97
C565 4030006860 S.CER C1608 JB 1H 102K-T T 62.3/103
C567 4030006860 S.CER C1608 JB 1H 102K-T T 69.2/120.9
C601 4030011070 S.CER GRM31M2C2H5R0CY21L T 69.5/132.7
C602 4030011090 S.CER GRM31M2C2H7R0DV01L T 67/136.8
C701 4030017320 S.CER GRM21BB11H104KA11L B 109.8/33.4
C702 4030006860 S.CER C1608 JB 1H 102K-T B 107.7/33.2
C703 4030011600 S.CER C1608 JB 1E 104K-T B 83.8/16.9
C704 4510004601 ELE 16 ME 1000 HC
C705 4030011600 S.CER C1608 JB 1E 104K-T B 79/16.9
C706 4510004601 ELE 16 ME 1000 HC
C707 4030017320 S.CER GRM21BB11H104KA11L B 67.1/18.6
C708 4030006900 S.CER C1608 JB 1H 103K-T T 63.2/27.8
C709 4030006860 S.CER C1608 JB 1H 102K-T T 63.2/26.5
C710 4030006850 S.CER C1608 JB 1H 471K-T T 63.2/25.2
C711 4030007170 S.CER C1608 CH 1H 221J-T T 63.2/23.9
C712 4030007170 S.CER C1608 CH 1H 221J-T B 70.4/18.7
C713 4510004591 ELE 16 ME 470 HC
C715 4030006860 S.CER C1608 JB 1H 102K-T B 97.1/118.9
C718 4030011600 S.CER C1608 JB 1E 104K-T B 128.4/19.3
C719 4030011600 S.CER C1608 JB 1E 104K-T T 125.8/16.4
C720 4030011600 S.CER C1608 JB 1E 104K-T B 130.5/38.7
C722 4030007130 S.CER C1608 CH 1H 101J-T T 88.9/6.7
C723 4030007130 S.CER C1608 CH 1H 101J-T T 78.3/3.1
C724 4030011340 S.CER C1608 CH 1H 471J-T B 134.8/12.2
C725 4550007350 S.TAN F931C226MCMBMA B 126.6/35.3
C726 4030006860 S.CER C1608 JB 1H 102K-T B 91.3/111
C727 4030006860 S.CER C1608 JB 1H 102K-T B 84.4/114.1
C728 4030006860 S.CER C1608 JB 1H 102K-T B 91.2/112.6
C732 4030011600 S.CER C1608 JB 1E 104K-T T 71.8/2.6
C733 4030011600 S.CER C1608 JB 1E 104K-T T 66.8/12.9
C734 4030006860 S.CER C1608 JB 1H 102K-T B 63.5/1.8
C735 4030011600 S.CER C1608 JB 1E 104K-T T 74.1/13.2
C736 4030011600 S.CER C1608 JB 1E 104K-T B 67.3/1.8
C737 4030011600 S.CER C1608 JB 1E 104K-T B 65.4/1.8
C738 4030011600 S.CER C1608 JB 1E 104K-T B 68.2/14.5
C739 4030011600 S.CER C1608 JB 1E 104K-T B 69.8/14.5
C741 4030011600 S.CER C1608 JB 1E 104K-T B 78.5/6.4
C742 4030011600 S.CER C1608 JB 1E 104K-T T 69.4/12.9
C743 4030006860 S.CER C1608 JB 1H 102K-T T 68.1/12.9
C744 4030011600 S.CER C1608 JB 1E 104K-T T 70.7/12.9
C745 4030011600 S.CER C1608 JB 1E 104K-T B 77.7/14.3
C746 4030011600 S.CER C1608 JB 1E 104K-T B 76.2/15.1
C747 4030011600 S.CER C1608 JB 1E 104K-T T 98.5/4.1
C749 4030011600 S.CER C1608 JB 1E 104K-T T 96.6/6.4
C750 4030006880 S.CER C1608 JB 1H 472K-T T 94.2/6.4
C751 4030006860 S.CER C1608 JB 1H 102K-T T 95.4/6.4
C752 4030011600 S.CER C1608 JB 1E 104K-T T 93/6.4
C753 4030006880 S.CER C1608 JB 1H 472K-T B 59.9/10.7
C754 4030006860 S.CER C1608 JB 1H 102K-T B 66.6/14.5
C757 4030011600 S.CER C1608 JB 1E 104K-T B 76.4/8
C759 4030006880 S.CER C1608 JB 1H 472K-T T 72.8/13.2
C760 4030006880 S.CER C1608 JB 1H 472K-T B 74.8/8
C761 4030006880 S.CER C1608 JB 1H 472K-T B 73.2/8
C762 4030006880 S.CER C1608 JB 1H 472K-T B 70/8
C763 4030006880 S.CER C1608 JB 1H 472K-T B 71.6/8
C764 4030006880 S.CER C1608 JB 1H 472K-T B 61.9/1.8
C765 4030011600 S.CER C1608 JB 1E 104K-T B 68.9/1.8
C766 4030006860 S.CER C1608 JB 1H 102K-T B 66.5/8.7
C781 4030006860 S.CER C1608 JB 1H 102K-T T 72.8/90.1
C782 4030006900 S.CER C1608 JB 1H 103K-T T 71.8/84.3
C783 4030006880 S.CER C1608 JB 1H 472K-T T 71.8/83.1
C801 4030007070 S.CER C1608 CH 1H 330J-T T 55/58.5
C802 4030009470 S.CER C1608 CH 1H R75C-T T 53.7/58.5
C803 4030007100 S.CER C1608 CH 1H 560J-T T 53.8/53.2
C804 4030007030 S.CER C1608 CH 1H 150J-T T 56.2/52.5
C805 4030007080 S.CER C1608 CH 1H 390J-T T 53.8/51.6
C806 4030006880 S.CER C1608 JB 1H 472K-T B 47.1/39.8
C807 4030011600 S.CER C1608 JB 1E 104K-T B 43.2/38.6
C808 4030011600 S.CER C1608 JB 1E 104K-T B 43.1/44.5
S.=Surface mount
REF ORDER DESCRIPTION M. H/V
NO. NO.
LOCATION
[PA UNIT]

5 - 16
M.=Mounted side (T: Mounted on the Top side, B: Mounted on the Bottom side)
REF ORDER DESCRIPTION M. H/V
NO. NO.
LOCATION
[PA UNIT]
C820 4030011600 S.CER C1608 JB 1E 104K-T B 54.1/91.2
C821 4030006880 S.CER C1608 JB 1H 472K-T B 53.5/99.2
C822 4030011510 S.CER GRM31M2C2H560JV01L B 42.2/21.9
C823 4030011160 S.CER GRM31M2C2H150JV01L B 32.9/18.3
C824 4030012480 S.CER GRM31M2C2H121JV01L B 25.1/17.1
C825 4030011240 S.CER GRM31M2C2H470JV01L B 17.9/15.7
C826 4030011550 S.CER GRM31M2C2H680JV01L B 11.2/19.9
C827 4030011510 S.CER GRM31M2C2H560JV01L B 8.8/19.9
C828 4030006880 S.CER C1608 JB 1H 472K-T T 5.2/106.7
C829 4030011600 S.CER C1608 JB 1E 104K-T T 2.6/106.7
C830 4030011210 S.CER GRM31M2C2H330JV01L B 22.4/17.1
C831 4030006880 S.CER C1608 JB 1H 472K-T B 7.5/109.2
C832 4030006880 S.CER C1608 JB 1H 472K-T B 51.5/95.4
C833 4030011730 S.CER GRM31M2C2H101JV01L B 27.5/17.1
C835 4030012480 S.CER GRM31M2C2H121JV01L B 16.6/107.1
C836 4030012480 S.CER GRM31M2C2H121JV01L B 12.5/107.3
C837 4030012480 S.CER GRM31M2C2H121JV01L B 12.5/105.2
C840 4030011600 S.CER C1608 JB 1E 104K-T B 42.8/97.3
C841 4030006880 S.CER C1608 JB 1H 472K-T B 47/98.5
C842 4030011730 S.CER GRM31M2C2H101JV01L B 39/106.8
C843 4010008160 CER HM13SJ SL 431J 500V
C844 4030011730 S.CER GRM31M2C2H101JV01L B 25.9/102.9
C845 4030014460 S.CER GRM31M2C2H820JV01L B 19.7/91.9
C846 4010005370 CER HM11SJ SL 331J 500V
C847 4010005930 CER HM11SJ SL 391J 500V
C848 4030011190 S.CER GRM31M2C2H270JV01L B 11.4/98.7
C849 4030011180 S.CER GRM31M2C2H220JV01L B 11.4/102.6
C850 4010005930 CER HM11SJ SL 391J 500V
C851 4030012480 S.CER GRM31M2C2H121JV01L B 20.2/112
C852 4030006880 S.CER C1608 JB 1H 472K-T T 5.3/90.5
C853 4030011600 S.CER C1608 JB 1E 104K-T T 2.6/90.5
C854 4030006880 S.CER C1608 JB 1H 472K-T B 7.7/92.8
C855 4030011730 S.CER GRM31M2C2H101JV01L B 27.9/104.9
C856 4030011510 S.CER GRM31M2C2H560JV01L B 31.2/105.5
C857 4030012480 S.CER GRM31M2C2H121JV01L B 43.1/108.3
C858 4030011730 S.CER GRM31M2C2H101JV01L B 20.2/109.9
C860 4030011600 S.CER C1608 JB 1E 104K-T B 43.4/83.8
C861 4030006880 S.CER C1608 JB 1H 472K-T B 46.6/83.8
C863 4030011170 S.CER GRM31M2C2H180JV01L B 37.5/93.5
C864 4030011510 S.CER GRM31M2C2H560JV01L B 28.5/82.6
C865 4030011110 S.CER GRM31M2C2H9R0DV01L B 29.4/78.6
C866 4030011230 S.CER GRM31M2C2H390JV01L B 24.4/78
C867 4030011060 S.CER GRM31M2C2H4R0CY21L B 17/71.9
C868 4030011240 S.CER GRM31M2C2H470JV01L B 26.8/78.6
C869 4030011180 S.CER GRM31M2C2H220JV01L B 8.7/83.5
C870 4030011170 S.CER GRM31M2C2H180JV01L B 17/77.7
C871 4030006880 S.CER C1608 JB 1H 472K-T T 5.2/74.4
C872 4030011600 S.CER C1608 JB 1E 104K-T T 2.5/74.4
C873 4030011070 S.CER GRM31M2C2H5R0CY21L B 33.2/92.6
C874 4030006880 S.CER C1608 JB 1H 472K-T B 9/74.5
C876 4030011160 S.CER GRM31M2C2H150JV01L B 22/77.4
C880 4030011600 S.CER C1608 JB 1E 104K-T B 43.4/69.1
C881 4030006880 S.CER C1608 JB 1H 472K-T B 47/69.1
C882 4010007590 CER HM15SJ SL 681J 500V
C883 4010007590 CER HM15SJ SL 681J 500V
C884 4010005930 CER HM11SJ SL 391J 500V
C885 4320000981 DMI KD20C 222J5A
C886 4030012480 S.CER GRM31M2C2H121JV01L B 31.5/57.2
C887 4030011730 S.CER GRM31M2C2H101JV01L B 33.9/57.2
C889 4030014460 S.CER GRM31M2C2H820JV01L B 18/65.3
C890 4320001200 DIP KD19C 162J5A
C893 4030006880 S.CER C1608 JB 1H 472K-T T 5.3/58.3
C894 4030011600 S.CER C1608 JB 1E 104K-T T 2.6/58.3
C900 4030011600 S.CER C1608 JB 1E 104K-T B 44/54.4
C901 4030006880 S.CER C1608 JB 1H 472K-T B 46.8/54.4
C902 4010005870 CER HM95SJ SL 221J 500V
C903 4030011190 S.CER GRM31M2C2H270JV01L B 30.9/42.7
C904 4030014460 S.CER GRM31M2C2H820JV01L B 28.4/42.7
C905 4010005870 CER HM95SJ SL 221J 500V
C906 4030011510 S.CER GRM31M2C2H560JV01L B 17/44
C907 4030011510 S.CER GRM31M2C2H560JV01L B 10.8/49.5
C908 4030006880 S.CER C1608 JB 1H 472K-T T 5.3/42.1
C909 4030011600 S.CER C1608 JB 1E 104K-T T 2.6/42.1
C920 4030011600 S.CER C1608 JB 1E 104K-T B 43.2/25.1
C921 4030006880 S.CER C1608 JB 1H 472K-T B 47.1/25.4
C922 4010007590 CER HM15SJ SL 681J 500V
C923 4030011730 S.CER GRM31M2C2H101JV01L B 31.4/27.3
C924 4010006410 CER HM13SJ SL 471J 500V
C925 4030014460 S.CER GRM31M2C2H820JV01L B 15.7/29.5
C926 4010006410 CER HM13SJ SL 471J 500V
C927 4010005930 CER HM11SJ SL 391J 500V
C928 4010005930 CER HM11SJ SL 391J 500V
C929 4030006880 S.CER C1608 JB 1H 472K-T T 5.3/25.8
C930 4030011600 S.CER C1608 JB 1E 104K-T T 2.6/25.8
C931 4030014460 S.CER GRM31M2C2H820JV01L B 34.1/27.3
C932 4030011730 S.CER GRM31M2C2H101JV01L B 33.3/32.4
C933 4030011730 S.CER GRM31M2C2H101JV01L B 29.7/30.9
C940 4030011600 S.CER C1608 JB 1E 104K-T B 43.6/11.1
C941 4030006880 S.CER C1608 JB 1H 472K-T B 43.6/14.2
C942 4030014460 S.CER GRM31M2C2H820JV01L B 39.5/119.2
C943 4030011230 S.CER GRM31M2C2H390JV01L B 28.9/111.7
C944 4030014460 S.CER GRM31M2C2H820JV01L B 24.7/118.4
C945 4030011160 S.CER GRM31M2C2H150JV01L B 16.5/118.1
C947 4030006880 S.CER C1608 JB 1H 472K-T T 5.3/9.9
C948 4030011600 S.CER C1608 JB 1E 104K-T T 2.6/9.9
C949 4030011050 S.CER GRM31M3C2H3R0CY21L B 28.9/109.6
C960 4030010760 S.CER C1608 CH 1H 331J-T T 18.1/130.2
C961 4030011600 S.CER C1608 JB 1E 104K-T B 45.1/134.1
C962 4030006880 S.CER C1608 JB 1H 472K-T B 39/137.8
C963 4030006880 S.CER C1608 JB 1H 472K-T B 38.7/126.3
C964 4610002120 S.TRI TZB4Z100EB10R00 T 3.3/126.6
C966 4030006880 S.CER C1608 JB 1H 472K-T B 21.2/131.2
C968 4030011340 S.CER C1608 CH 1H 471J-T B 31/130.5
C969 4030011340 S.CER C1608 CH 1H 471J-T B 31/133.6
C970 4030010760 S.CER C1608 CH 1H 331J-T B 22/132.8
C971 4030011340 S.CER C1608 CH 1H 471J-T B 35.8/133.6
C972 4030011790 S.CER GRM55RF52A684ZD01L B 3.4/136.4
C973 4030007090 S.CER C1608 CH 1H 470J-T B 8.3/129.8
C979 4030006880 S.CER C1608 JB 1H 472K-T T 51.8/38.6
C987 4030006880 S.CER C1608 JB 1H 472K-T B 28.9/3.3
C988 4030006880 S.CER C1608 JB 1H 472K-T B 26.3/3.3
C989 4030006880 S.CER C1608 JB 1H 472K-T B 25/2.6
C990 4030006880 S.CER C1608 JB 1H 472K-T T 20.6/3
C991 4030006880 S.CER C1608 JB 1H 472K-T T 20.6/4.2
C992 4030006880 S.CER C1608 JB 1H 472K-T T 20.6/5.4
C993 4030006880 S.CER C1608 JB 1H 472K-T T 20.6/6.6
C994 4030011600 S.CER C1608 JB 1E 104K-T B 29.5/6.1
C995 4030006880 S.CER C1608 JB 1H 472K-T B 23.7/3.4
C996 4030007090 S.CER C1608 CH 1H 470J-T T 20.6/9
C997 4030007090 S.CER C1608 CH 1H 470J-T T 20.6/7.8
C998 4030007090 S.CER C1608 CH 1H 470J-T T 20.6/10.2
C999 4030006860 S.CER C1608 JB 1H 102K-T T 56.8/9.5
C1000 4030006860 S.CER C1608 JB 1H 102K-T B 55.5/5
C1001 4030011600 S.CER C1608 JB 1E 104K-T B 51.6/1.7
C1002 4030006880 S.CER C1608 JB 1H 472K-T B 27.6/2.6
C1003 4030011600 S.CER C1608 JB 1E 104K-T T 49.8/7.6
C1004 4030011510 S.CER GRM31M2C2H560JV01L B 39.8/21.9
C1005 4030011550 S.CER GRM31M2C2H680JV01L B 16.8/91.9
C1006 4030014460 S.CER GRM31M2C2H820JV01L B 39/109.2
C1007 4030011550 S.CER GRM31M2C2H680JV01L B 18.1/62.1
C1009 4030011510 S.CER GRM31M2C2H560JV01L B 20.6/118.7
C1010 4030014460 S.CER GRM31M2C2H820JV01L B 27.1/119.5
C1121 4010006410 CER HM13SJ SL 471J 500V
RL701 6330001550 RLY JV-12-KT
RL801 6330001721 RLY ATN207-K1
RL820 6330001721 RLY ATN207-K1
RL821 6330001721 RLY ATN207-K1
RL840 6330001721 RLY ATN207-K1
RL841 6330001721 RLY ATN207-K1
RL860 6330001721 RLY ATN207-K1
RL861 6330001721 RLY ATN207-K1
RL880 6330001721 RLY ATN207-K1
RL881 6330001721 RLY ATN207-K1
RL900 6330001721 RLY ATN207-K1
RL901 6330001721 RLY ATN207-K1
RL920 6330001721 RLY ATN207-K1
RL921 6330001721 RLY ATN207-K1
RL940 6330001721 RLY ATN207-K1
RL941 6330001721 RLY ATN207-K1
J2 6510023510 S.CNR 28FLT-SM1-TB T 80.1/6
J980 6510023510 S.CNR 28FLT-SM1-TB T 63.7/6
F1 5220000341 HOL FHA010-03F
F2 5210000940 FUS 1205
W101 9024270070 WIR 1.5D COAXIAL 175 mm
W401 9009130165 WIR 1.5D COAXIAL 200 mm
W701 8900013900 CBL OPC-1455
W702 8900013910 CBL OPC-1456
W801 7120000480 S.JMP MJP-0.4-T B 8.3/100.9
W901 7120000480 S.JMP MJP-0.4-T T 56.7/22
EP202 6910012350 S.BEA MMZ1608Y 102BT B 136.7/50.6
EP703 6910012350 S.BEA MMZ1608Y 102BT B 142.6/13.9
EP741 6910012350 S.BEA MMZ1608Y 102BT B 76.4/11.9
EP742 6910012350 S.BEA MMZ1608Y 102BT B 77.8/11.3
EP743 6910012350 S.BEA MMZ1608Y 102BT B 59.8/99.5
EP747 6910012350 S.BEA MMZ1608Y 102BT T 65/9.6
EP748 6910012350 S.BEA MMZ1608Y 102BT T 63.8/9.6
EP751 6910012350 S.BEA MMZ1608Y 102BT T 74.1/9.6
EP752 6910012350 S.BEA MMZ1608Y 102BT B 63.4/5.2
EP753 6910012350 S.BEA MMZ1608Y 102BT T 66.4/9.6
EP754 6910012350 S.BEA MMZ1608Y 102BT B 59.3/116.1
EP756 6910012350 S.BEA MMZ1608Y 102BT T 68.6/2.6
EP758 6910012350 S.BEA MMZ1608Y 102BT T 70.3/9.6
S.=Surface mount
REF ORDER DESCRIPTION M. H/V
NO. NO.
LOCATION
[PA UNIT]

5 - 17
M.=Mounted side (T: Mounted on the Top side, B: Mounted on the Bottom side)
REF ORDER DESCRIPTION M. H/V
NO. NO.
LOCATION
[PA UNIT]
EP759 6910012350 S.BEA MMZ1608Y 102BT T 69.1/9.6
EP760 6910012350 S.BEA MMZ1608Y 102BT T 60.6/10
EP761 6910012350 S.BEA MMZ1608Y 102BT T 62.5/9.6
EP762 6910012350 S.BEA MMZ1608Y 102BT B 61/4.6
EP763 6910012350 S.BEA MMZ1608Y 102BT B 63.3/105.6
EP767 6910012350 S.BEA MMZ1608Y 102BT B 76.4/5.2
EP772 6910012350 S.BEA MMZ1608Y 102BT T 96.4/3.8
EP774 6910012350 S.BEA MMZ1608Y 102BT T 72.8/9.6
EP775 6910012350 S.BEA MMZ1608Y 102BT B 74.8/5.2
EP776 6910012350 S.BEA MMZ1608Y 102BT B 73.2/5.2
EP777 6910012350 S.BEA MMZ1608Y 102BT B 70/5.2
EP778 6910012350 S.BEA MMZ1608Y 102BT B 71.6/5.2
EP779 6910012350 S.BEA MMZ1608Y 102BT B 68.2/5.2
IC1 1130013280 S.IC TC58FVM6T5BTG65GCH T 27.9/30.2
IC2 1130011151 S.IC SN74AHC2G08HDCT3 B 40.2/38.2
IC3 1130011151 S.IC SN74AHC2G08HDCT3 B 40.2/32.5
IC4 1130012600 S.IC SN74AHC1G04DCKR B 43.3/33.8
IC51 1130012841 S.IC CY7C1021CV33-15BAXIT B 24.5/28.5
IC301 1140012541 S.IC ADSP-BF532SBBCZ400 B 28.6/39.2
IC401 1110004770 S.IC BU9480F-E2 B 17.4/21.6
IC451 1110006570 S.IC TS462CPT B 29.1/7.9
IC452 1110006570 S.IC TS462CPT T 39.1/8.5
IC502 1110006570 S.IC TS462CPT T 30.7/5.4
IC551 1190001611 S.IC AK4528VFP-E2/P T 17.9/8.1
IC601 1110006570 S.IC TS462CPT B 12.7/10.8
IC701 1130012600 S.IC SN74AHC1G04DCKR B 2.7/15.9
IC1201 1130012791 S.IC CY22150FZXCT B 44.5/4.5
IC1212 1140012170 S.IC BH7236AF-E2 T 57.7/7.3
IC1217 1130007181 S.IC TC7WU04FU (TE12L, F) B 63.4/9.8
IC1218 1130012760 S.IC SN74AHC2G86HDCTR B 52.7/6.5
IC1226 1130010870 S.IC S1D13706F00A B 53.7/19.8
IC1251 1180002020 S.REG BA033FP-E2 T 79.5/5.2
IC1301 1130012690 S.IC HN58X24256FPIE (SOP8) T 81.4/36.2
IC1302 1140013133 S.IC HD64F2377VFQ33V T 54.9/25.2
IC1303 1110005771 S.IC S-80942CNMC-G9CT2G T 81.2/10.4
IC1304 1130011551 S.IC RX-4581NB-F B 71.9/7.2
IC1402 1130012780 S.IC SN74AHC2G04HDCTR T 79.1/18.9
IC2002 1130012841 S.IC CY7C1021CV33-15BAXIT B 32.7/28.3
IC2101 1130012850 S.IC SN74LVC3G34DCUR T 44.5/44.7
IC2102 1130012850 S.IC SN74LVC3G34DCUR T 44.4/41.2
IC2201 1140012541 S.IC ADSP-BF532SBBCZ400 B 28.6/17.7
Q201 1550000110 S.FET RTQ035P02TR B 18.9/42.7
Q1101 1530002060 S.TR 2SC4081 T106 R T 82.1/20.3
Q1102 1590003520 S.TR BCR108T T 81.8/22.7
Q1103 1510000510 S.TR 2SA1576A T106R T 81.8/16.4
Q1201 1590003520 S.TR BCR108T T 44.8/13.2
D201 1750001280 S.DIO CUS02 (TE85L,Q) B 19.2/45.3
D1001 1750000370 S.DIO DA221 TL B 64.5/36.8
D1002 1750000370 S.DIO DA221 TL B 64.9/34.5
D1101 1790001250 S.DIO MA2S111-(TX) T 81.9/18.4
D1106 1750000950 S.DIO MA732 (TX) T 80.1/29.6
D1107 1790001670 S.DIO RB706F-40T106 T 82.4/31.3
D1110 1790001670 S.DIO RB706F-40T106 T 75.7/32.3
D1111 1790001670 S.DIO RB706F-40T106 T 75.3/29.3
D1112 1790001670 S.DIO RB706F-40T106 B 79.2/29.1
D1113 1790001670 S.DIO RB706F-40T106 B 82.3/30.6
D1201 1790001250 S.DIO MA2S111-(TX) B 83/40.4
D1301 1790000660 S.DIO MA728 (TX) B 77.5/2.9
D1304 1750000370 S.DIO DA221 TL T 76.1/19.9
D1305 1750000370 S.DIO DA221 TL T 75.8/16.8
D1306 1750000370 S.DIO DA221 TL B 49.3/32.9
D1307 1750000370 S.DIO DA221 TL B 51.4/33.3
D1311 1790001250 S.DIO MA2S111-(TX) B 80.9/19.6
D1312 1790001250 S.DIO MA2S111-(TX) B 83.1/18.5
D1313 1790001250 S.DIO MA2S111-(TX) B 80/22.6
D1314 1790001240 S.DIO MA2S728-(TX) B 81.7/22.4
D1331 1790001250 S.DIO MA2S111-(TX) B 65.6/17.5
X1201 6050012140 S.XTL CR-805 [USA] B 61.3/3.1
6050012150 S.XTL CR-806 [Others] B 61.3/3.1
X1301 6050012190 S.XTL CR-809 B 60.4/30.8
L201 6200011900 S.COL LQH43CN100K03L T 16/41.9
L202 6200009491 S.COL CDRH6D28NP-100NC B 13.3/41.4
L551 6200005011 S.COL NLV25T-100J T 11/9.8
L552 6200005011 S.COL NLV25T-100J T 10.4/5.8
L1202 6200002041 S.COL NLV25T-101J B 52.3/2.3
L1203 6200002041 S.COL NLV25T-101J T 66.7/3.5
L1204 6200002041 S.COL NLV25T-101J B 57.9/10.3
L2101 6200005011 S.COL NLV25T-100J T 40.9/45
L2102 6200005011 S.COL NLV25T-100J T 40.2/41.5
R2 7030005090 S.RES ERJ2GEJ 104 X (100 kΩ) T 39.5/30.1
R3 7030005090 S.RES ERJ2GEJ 104 X (100 kΩ) T 39.5/32.3
R4 7030005090 S.RES ERJ2GEJ 104 X (100 kΩ) T 31.8/45.8
R5 7030005090 S.RES ERJ2GEJ 104 X (100 kΩ) T 30.9/45.8
R6 7030005090 S.RES ERJ2GEJ 104 X (100 kΩ) T 30/45.8
R203 7030000010 S.RES MCR10EZHJ JPW T 20.7/45.6
R301 7030004980 S.RES ERJ2GEJ 101 X (100 Ω) T 25.4/45.8
R302 7030005050 S.RES ERJ2GEJ 103 X (10 kΩ) T 26.9/45.8
R303 7030005050 S.RES ERJ2GEJ 103 X (10 kΩ) T 27.8/45.8
R306 7030005050 S.RES ERJ2GEJ 103 X (10 kΩ) B 37.3/32.2
R307 7030005050 S.RES ERJ2GEJ 103 X (10 kΩ) T 22/41.4
R308 7030005050 S.RES ERJ2GEJ 103 X (10 kΩ) T 22/40.5
R310 7030005050 S.RES ERJ2GEJ 103 X (10 kΩ) B 36.7/35.4
R312 7030010040 S.RES ERJ2GEJ-JPW B 33.6/45.9
R313 7030010040 S.RES ERJ2GEJ-JPW B 35.6/43.3
S.=Surface mount
REF ORDER DESCRIPTION M. H/V
NO. NO.
LOCATION
[LOGIC UNIT]
REF ORDER DESCRIPTION M. H/V
NO. NO.
LOCATION
[DRIVER UNIT]
Q504 1590003060 S.FET PD55015 T 20/9.7
R102 7070000271 RES ERG1SJ 101 (100
Ω)
C101 4030004750 S.CER C2012 JB 1H 103K-T T 24.6/18.2
C102 4030011230 S.CER GRM31M2C2H390JV01L T 11.2/4.2
J101 6910016830 CNR IMSA-9230B-1-04Z149-PT1
J102 6910016830 CNR IMSA-9230B-1-04Z149-PT1
J103 6910016830 CNR IMSA-9230B-1-04Z149-PT1
J104 6910016830 CNR IMSA-9230B-1-04Z149-PT1
J107 6910016830 CNR IMSA-9230B-1-04Z149-PT1

5 - 18
M.=Mounted side (T: Mounted on the Top side, B: Mounted on the Bottom side)
REF ORDER DESCRIPTION M. H/V
NO. NO.
LOCATION
[LOGIC UNIT]
R314 7030010040 S.RES ERJ2GEJ-JPW B 35.6/40.6
R413 7030004980 S.RES ERJ2GEJ 101 X (100 Ω) B 18.1/16.8
R414 7030004980 S.RES ERJ2GEJ 101 X (100 Ω) T 16.3/19.9
R415 7030004980 S.RES ERJ2GEJ 101 X (100 Ω) B 19/16.8
R416 7030004980 S.RES ERJ2GEJ 101 X (100 Ω) B 17.2/16.8
R462 7030004980 S.RES ERJ2GEJ 101 X (100 Ω) B 33.8/7.4
R463 7030004980 S.RES ERJ2GEJ 101 X (100 Ω) T 43.6/8.8
R464 7030004980 S.RES ERJ2GEJ 101 X (100 Ω) B 26.2/5.7
R465 7030009270 S.RES ERJ2GEJ 821 X (820 Ω) B 28.6/5.2
R467 7030004980 S.RES ERJ2GEJ 101 X (100 Ω) B 31.3/4.3
R469 7030009270 S.RES ERJ2GEJ 821 X (820 Ω) B 30.4/4.3
R470 7030009140 S.RES ERJ2GEJ 272 X (2.7 kΩ) T 29.4/3
R471 7030009140 S.RES ERJ2GEJ 272 X (2.7 kΩ) T 34/3.3
R472 7030005040 S.RES ERJ2GEJ 472 X (4.7 kΩ) T 38.6/4.2
R473 7030005040 S.RES ERJ2GEJ 472 X (4.7 kΩ) T 38.6/3.2
R474 7030009140 S.RES ERJ2GEJ 272 X (2.7 kΩ) B 24.8/7.1
R475 7030009140 S.RES ERJ2GEJ 272 X (2.7 kΩ) B 33.8/9.2
R476 7030005040 S.RES ERJ2GEJ 472 X (4.7 kΩ) T 40.2/3.3
R507 7030004980 S.RES ERJ2GEJ 101 X (100 Ω) T 26/3.5
R508 7030004980 S.RES ERJ2GEJ 101 X (100 Ω) T 31.6/8.9
R510 7030005040 S.RES ERJ2GEJ 472 X (4.7 kΩ) T 32.5/8.9
R511 7030005040 S.RES ERJ2GEJ 472 X (4.7 kΩ) T 28.9/8.9
R512 7030004980 S.RES ERJ2GEJ 101 X (100 Ω) T 29.8/8.9
R514 7030005050 S.RES ERJ2GEJ 103 X (10 kΩ) T 34.9/8.8
R515 7030005050 S.RES ERJ2GEJ 103 X (10 kΩ) T 34.9/7.9
R516 7030005040 S.RES ERJ2GEJ 472 X (4.7 kΩ) T 39/12.8
R517 7030005040 S.RES ERJ2GEJ 472 X (4.7 kΩ) T 36.5/11
R518 7030009140 S.RES ERJ2GEJ 272 X (2.7 kΩ) T 36.4/5.6
R519 7030009140 S.RES ERJ2GEJ 272 X (2.7 kΩ) T 26.4/5.6
R520 7030005040 S.RES ERJ2GEJ 472 X (4.7 kΩ) T 41.3/12.8
R551 7030004980 S.RES ERJ2GEJ 101 X (100 Ω) T 16.5/13.4
R553 7030004980 S.RES ERJ2GEJ 101 X (100 Ω) T 14.7/13.4
R554 7030005090 S.RES ERJ2GEJ 104 X (100 kΩ) T 15.4/3.2
R568 7030004980 S.RES ERJ2GEJ 101 X (100 Ω) T 12.9/13.4
R569 7030004980 S.RES ERJ2GEJ 101 X (100 Ω) T 15.6/13.4
R570 7030004980 S.RES ERJ2GEJ 101 X (100 Ω) T 13.8/13.4
R571 7030009320 S.RES ERJ2GEJ 4R7 X (4.7 Ω) B 20.7/8.4
R601 7030004980 S.RES ERJ2GEJ 101 X (100 Ω) T 6.2/12.6
R602 7030007300 S.RES ERJ2GEJ 332 X (3.3 kΩ) T 9.2/9.2
R603 7030005040 S.RES ERJ2GEJ 472 X (4.7 kΩ) B 12.3/4.8
R604 7030005040 S.RES ERJ2GEJ 472 X (4.7 kΩ) B 13.2/4.8
R605 7030007300 S.RES ERJ2GEJ 332 X (3.3 kΩ) B 14.4/5.1
R606 7030007300 S.RES ERJ2GEJ 332 X (3.3 kΩ) B 12.8/7.2
R607 7030005290 S.RES ERJ2GEJ 682 X (6.8 kΩ) B 13.8/7.2
R608 7030005290 S.RES ERJ2GEJ 682 X (6.8 kΩ) B 14.8/6.4
R609 7030005040 S.RES ERJ2GEJ 472 X (4.7 kΩ) B 3.3/12.4
R610 7030005040 S.RES ERJ2GEJ 472 X (4.7 kΩ) B 8.9/4.2
R611 7030005040 S.RES ERJ2GEJ 472 X (4.7 kΩ) B 9.8/4.2
R612 7030007300 S.RES ERJ2GEJ 332 X (3.3 kΩ) B 11.4/5.6
R613 7030007300 S.RES ERJ2GEJ 332 X (3.3 kΩ) B 8.8/6.9
R614 7030005290 S.RES ERJ2GEJ 682 X (6.8 kΩ) B 9.7/6.9
R615 7030005290 S.RES ERJ2GEJ 682 X (6.8 kΩ) B 10.6/6.9
R618 7030005120 S.RES ERJ2GEJ 102 X (1 kΩ) B 14.4/4.2
R619 7030005120 S.RES ERJ2GEJ 102 X (1 kΩ) B 10.7/4.2
R701 7030005050 S.RES ERJ2GEJ 103 X (10 kΩ) B 4.6/22.8
R702 7030005050 S.RES ERJ2GEJ 103 X (10 kΩ) B 4.6/23.7
R703 7030005050 S.RES ERJ2GEJ 103 X (10 kΩ) B 4.5/25.9
R705 7030005120 S.RES ERJ2GEJ 102 X (1 kΩ) B 5/21
R706 7030005050 S.RES ERJ2GEJ 103 X (10 kΩ) B 4.4/17.1
R707 7030007250 S.RES ERJ2GEJ 220 X (22 Ω) B 4.4/15.5
R1001 7030005120 S.RES ERJ2GEJ 102 X (1 kΩ) B 70.8/37
R1002 7030005050 S.RES ERJ2GEJ 103 X (10 kΩ) B 65.9/32.3
R1003 7030005160 S.RES ERJ2GEJ 105 X (1 MΩ) B 70.4/35.8
R1004 7030005240 S.RES ERJ2GEJ 473 X (47 kΩ) B 66.1/18.5
R1006 7030005120 S.RES ERJ2GEJ 102 X (1 kΩ) B 52/34.8
R1007 7030005120 S.RES ERJ2GEJ 102 X (1 kΩ) B 53.2/32
R1008 7030005120 S.RES ERJ2GEJ 102 X (1 kΩ) B 75.1/20.4
R1010 7030005240 S.RES ERJ2GEJ 473 X (47 kΩ) B 76.7/19.8
R1012 7030005000 S.RES ERJ2GEJ 471 X (470 Ω) B 66.5/34.2
R1013 7030005000 S.RES ERJ2GEJ 471 X (470 Ω) B 66.5/36.2
R1015 7030005240 S.RES ERJ2GEJ 473 X (47 kΩ) B 50.4/34.8
R1016 7030005240 S.RES ERJ2GEJ 473 X (47 kΩ) B 51/31.7
R1018 7030007340 S.RES ERJ2GEJ 153 X (15 kΩ) B 63.3/34.4
R1019 7030007340 S.RES ERJ2GEJ 153 X (15 kΩ) B 62.9/36.1
R1101 7030008290 S.RES ERJ2GEJ 183 X (18 kΩ) T 80.1/15.4
R1102 7030008010 S.RES ERJ2GEJ 123 X (12 kΩ) T 79.9/21.9
R1103 7030005120 S.RES ERJ2GEJ 102 X (1 kΩ) T 79.9/22.8
R1104 7030005120 S.RES ERJ2GEJ 102 X (1 kΩ) T 74.5/20.7
R1105 7030005050 S.RES ERJ2GEJ 103 X (10 kΩ) T 79.6/14.2
R1106 7030005240 S.RES ERJ2GEJ 473 X (47 kΩ) T 83.3/14.4
R1107 7030005090 S.RES ERJ2GEJ 104 X (100 kΩ) T 79.2/15.4
R1108 7030005090 S.RES ERJ2GEJ 104 X (100 kΩ) T 78.3/14.8
R1109 7030005160 S.RES ERJ2GEJ 105 X (1 MΩ) T 78.3/21.9
R1110 7030005240 S.RES ERJ2GEJ 473 X (47 kΩ) T 76.7/21.4
R1111 7030005090 S.RES ERJ2GEJ 104 X (100 kΩ) T 77.4/14.8
R1113 7030007290 S.RES ERJ2GEJ 222 X (2.2 kΩ) T 83.2/29.3
R1114 7030007300 S.RES ERJ2GEJ 332 X (3.3 kΩ) T 82.3/29.3
R1115 7030005120 S.RES ERJ2GEJ 102 X (1 kΩ) T 76.8/26.3
R1116 7030005120 S.RES ERJ2GEJ 102 X (1 kΩ) T 76.9/28.1
R1117 7030005120 S.RES ERJ2GEJ 102 X (1 kΩ) B 82.7/22.2
R1118 7030007300 S.RES ERJ2GEJ 332 X (3.3 kΩ) B 83/23.8
R1119 7030007300 S.RES ERJ2GEJ 332 X (3.3 kΩ) B 83.8/22.2
R1120 7030005120 S.RES ERJ2GEJ 102 X (1 kΩ) B 84.1/23.8
R1123 7030005160 S.RES ERJ2GEJ 105 X (1 MΩ) B 66.9/24.4
R1124 7030005120 S.RES ERJ2GEJ 102 X (1 kΩ) B 82/20
R1126 7030005160 S.RES ERJ2GEJ 105 X (1 MΩ) B 66.9/23.5
R1127 7030010040 S.RES ERJ2GEJ-JPW T 73.7/18.5
R1128 7030005120 S.RES ERJ2GEJ 102 X (1 kΩ) B 83.2/20.1
R1129 7030007300 S.RES ERJ2GEJ 332 X (3.3 kΩ) B 81.9/28.4
R1131 7030005090 S.RES ERJ2GEJ 104 X (100 kΩ) B 78.5/26.1
R1132 7030005090 S.RES ERJ2GEJ 104 X (100 kΩ) B 81.4/24.4
R1201 7030005160 S.RES ERJ2GEJ 105 X (1 MΩ) B 62.7/7.6
R1202 7030005050 S.RES ERJ2GEJ 103 X (10 kΩ) B 49.2/7.5
R1203 7030005050 S.RES ERJ2GEJ 103 X (10 kΩ) B 49.2/8.4
R1204 7030005050 S.RES ERJ2GEJ 103 X (10 kΩ) B 49.7/9.6
R1205 7030010040 S.RES ERJ2GEJ-JPW B 49.2/3.1
R1206 7030007570 S.RES ERJ2GEJ 122 X (1.2 kΩ) B 46.1/9.6
R1207 7030007570 S.RES ERJ2GEJ 122 X (1.2 kΩ) B 43.9/9.6
R1208 7030007570 S.RES ERJ2GEJ 122 X (1.2 kΩ) B 43.5/11.4
R1209 7030009710 S.RES ERJ2GEJ 203 X (20 kΩ) B 48.8/9.6
R1210 7030007350 S.RES ERJ2GEJ 393 X (39 kΩ) B 47.9/9.6
R1211 7030005050 S.RES ERJ2GEJ 103 X (10 kΩ) B 48.9/11.4
R1212 7030005050 S.RES ERJ2GEJ 103 X (10 kΩ) B 48/11.4
R1213 7030005050 S.RES ERJ2GEJ 103 X (10 kΩ) B 47.1/11.4
R1214 7030009710 S.RES ERJ2GEJ 203 X (20 kΩ) B 46.2/11.4
R1215 7030007350 S.RES ERJ2GEJ 393 X (39 kΩ) B 45.3/11.4
R1216 7030005050 S.RES ERJ2GEJ 103 X (10 kΩ) B 44.7/12.6
R1217 7030005050 S.RES ERJ2GEJ 103 X (10 kΩ) B 44.7/13.5
R1218 7030005050 S.RES ERJ2GEJ 103 X (10 kΩ) B 44.7/14.4
R1219 7030005040 S.RES ERJ2GEJ 472 X (4.7 kΩ) B 74.4/41.1
R1220 7030009710 S.RES ERJ2GEJ 203 X (20 kΩ) B 44.7/15.3
R1221 7030005040 S.RES ERJ2GEJ 472 X (4.7 kΩ) B 82.9/41.6
R1222 7030005040 S.RES ERJ2GEJ 472 X (4.7 kΩ) B 74.4/40.2
R1223 7030005040 S.RES ERJ2GEJ 472 X (4.7 kΩ) B 74.4/39.3
R1224 7030005040 S.RES ERJ2GEJ 472 X (4.7 kΩ) B 82.9/39.3
R1225 7030005240 S.RES ERJ2GEJ 473 X (47 kΩ) B 83.1/35.7
R1226 7030005240 S.RES ERJ2GEJ 473 X (47 kΩ) B 74.4/37.5
R1227 7030005240 S.RES ERJ2GEJ 473 X (47 kΩ) B 73.8/38.4
R1228 7030005240 S.RES ERJ2GEJ 473 X (47 kΩ) B 82.2/35.7
R1229 7030007350 S.RES ERJ2GEJ 393 X (39 kΩ) B 43.5/15.4
R1230 7030004970 S.RES ERJ2GEJ 470 X (47 Ω) B 49.2/2.2
R1231 7030005050 S.RES ERJ2GEJ 103 X (10 kΩ) B 48.8/5.4
R1232 7030005220 S.RES ERJ2GEJ 223 X (22 kΩ) B 40.3/3.2
R1235 7030007270 S.RES ERJ2GEJ 151 X (150 Ω) T 66.2/5.9
R1236 7030007270 S.RES ERJ2GEJ 151 X (150 Ω) T 66.2/7
R1237 7030007290 S.RES ERJ2GEJ 222 X (2.2 kΩ) B 61.1/7.6
R1251 7030011250 S.RES ERJ1TY 390U (39 Ω) T 70.3/5.8
R1301 7030005220 S.RES ERJ2GEJ 223 X (22 kΩ) T 78.1/37.8
R1302 7030005050 S.RES ERJ2GEJ 103 X (10 kΩ) T 78.1/36
R1303 7030005240 S.RES ERJ2GEJ 473 X (47 kΩ) B 66/21.2
R1304 7030005240 S.RES ERJ2GEJ 473 X (47 kΩ) B 66/20.3
R1305 7030009160 S.RES ERJ2GEJ 181 X (180 Ω) T 68.5/25.9
R1306 7030005060 S.RES ERJ2GEJ 333 X (33 kΩ) T 78.7/11.4
R1307 7030005040 S.RES ERJ2GEJ 472 X (4.7 kΩ) T 68/21.9
R1308 7030005110 S.RES ERJ2GEJ 224 X (220 kΩ) T 67.5/20
R1309 7030005110 S.RES ERJ2GEJ 224 X (220 kΩ) T 69/19.4
R1310 7030005110 S.RES ERJ2GEJ 224 X (220 kΩ) T 67.5/18.8
R1311 7030005110 S.RES ERJ2GEJ 224 X (220 kΩ) T 69/18.2
R1312 7030005110 S.RES ERJ2GEJ 224 X (220 kΩ) T 67.5/17.6
R1313 7030005110 S.RES ERJ2GEJ 224 X (220 kΩ) T 69/17
R1314 7030005110 S.RES ERJ2GEJ 224 X (220 kΩ) T 67.5/16.4
R1315 7030005110 S.RES ERJ2GEJ 224 X (220 kΩ) T 69/15.8
R1316 7030005110 S.RES ERJ2GEJ 224 X (220 kΩ) B 66.6/12.3
R1317 7030005110 S.RES ERJ2GEJ 224 X (220 kΩ) B 65.7/12.3
R1318 7030005110 S.RES ERJ2GEJ 224 X (220 kΩ) B 64.8/12.3
R1319 7030005110 S.RES ERJ2GEJ 224 X (220 kΩ) B 63.9/12.3
R1320 7030005110 S.RES ERJ2GEJ 224 X (220 kΩ) B 63/12.3
R1321 7030005110 S.RES ERJ2GEJ 224 X (220 kΩ) B 62.1/12.3
R1322 7030005110 S.RES ERJ2GEJ 224 X (220 kΩ) B 61.2/12.3
R1323 7030005110 S.RES ERJ2GEJ 224 X (220 kΩ) B 60.3/12.1
R1324 7030005050 S.RES ERJ2GEJ 103 X (10 kΩ) T 80.5/12.6
R1325 7030007350 S.RES ERJ2GEJ 393 X (39 kΩ) T 78.1/9.8
R1326 7030005010 S.RES ERJ2GEJ 681 X (680 Ω) B 78.9/2
R1327 7030005240 S.RES ERJ2GEJ 473 X (47 kΩ) B 66/19.4
R1328 7030005050 S.RES ERJ2GEJ 103 X (10 kΩ) B 75.9/6.4
R1329 7030005240 S.RES ERJ2GEJ 473 X (47 kΩ) B 75.9/5
R1331 7030010040 S.RES ERJ2GEJ-JPW B 75.9/3.2
R1332 7030005040 S.RES ERJ2GEJ 472 X (4.7 kΩ) B 75.9/4.1
R1333 7030005110 S.RES ERJ2GEJ 224 X (220 kΩ) T 67.4/26.9
R1334 7030005050 S.RES ERJ2GEJ 103 X (10 kΩ) T 78.3/12.6
R1335 7030010040 S.RES ERJ2GEJ-JPW B 78.5/5.1
R1337 7030005240 S.RES ERJ2GEJ 473 X (47 kΩ) T 40.9/15.5
R1338 7030005240 S.RES ERJ2GEJ 473 X (47 kΩ) T 40.9/16.4
R1339 7030007290 S.RES ERJ2GEJ 222 X (2.2 kΩ) B 65.5/22.4
R1401 7030005240 S.RES ERJ2GEJ 473 X (47 kΩ) B 62.7/24.2
R1402 7030005240 S.RES ERJ2GEJ 473 X (47 kΩ) B 76.7/21.8
R1403 7030005240 S.RES ERJ2GEJ 473 X (47 kΩ) B 78.3/22.1
R1404 7030005240 S.RES ERJ2GEJ 473 X (47 kΩ) B 76.7/22.9
R1405 7030005240 S.RES ERJ2GEJ 473 X (47 kΩ) T 50.7/12.9
R1406 7030005240 S.RES ERJ2GEJ 473 X (47 kΩ) T 69/20.6
R1407 7030005240 S.RES ERJ2GEJ 473 X (47 kΩ) T 41.7/33.4
R1408 7030005240 S.RES ERJ2GEJ 473 X (47 kΩ) B 76.7/25.3
S.=Surface mount
REF ORDER DESCRIPTION M. H/V
NO. NO.
LOCATION
[LOGIC UNIT]

5 - 19
M.=Mounted side (T: Mounted on the Top side, B: Mounted on the Bottom side)
REF ORDER DESCRIPTION M. H/V
NO. NO.
LOCATION
[LOGIC UNIT]
R1409 7030005240 S.RES ERJ2GEJ 473 X (47 kΩ) B 78.3/24.7
R1410 7030005240 S.RES ERJ2GEJ 473 X (47 kΩ) B 78.3/23.5
R1411 7030005240 S.RES ERJ2GEJ 473 X (47 kΩ) B 76.7/24.1
R1412 7030005240 S.RES ERJ2GEJ 473 X (47 kΩ) B 43.6/24.7
R1413 7030005240 S.RES ERJ2GEJ 473 X (47 kΩ) T 42.4/17.9
R1502 7030007300 S.RES ERJ2GEJ 332 X (3.3 kΩ) B 80.9/28.4
R2101 7030005050 S.RES ERJ2GEJ 103 X (10 kΩ) T 48.1/44.9
R2102 7030005050 S.RES ERJ2GEJ 103 X (10 kΩ) T 47.7/42.7
R2103 7030005050 S.RES ERJ2GEJ 103 X (10 kΩ) T 47.6/40.5
R2104 7030005050 S.RES ERJ2GEJ 103 X (10 kΩ) T 47.7/43.7
R2105 7030005050 S.RES ERJ2GEJ 103 X (10 kΩ) T 47.5/41.7
R2110 7030010040 S.RES ERJ2GEJ-JPW B 21.4/22.5
R2112 7030005040 S.RES ERJ2GEJ 472 X (4.7 kΩ) T 38.5/44.4
R2201 7030004980 S.RES ERJ2GEJ 101 X (100 Ω) T 31.5/11.1
R2202 7030005050 S.RES ERJ2GEJ 103 X (10 kΩ) T 30.6/11.1
R2203 7030005050 S.RES ERJ2GEJ 103 X (10 kΩ) T 21.5/22.4
R2204 7030005050 S.RES ERJ2GEJ 103 X (10 kΩ) T 35.2/15.5
R2205 7030005050 S.RES ERJ2GEJ 103 X (10 kΩ) T 35.2/16.4
R2206 7030005050 S.RES ERJ2GEJ 103 X (10 kΩ) T 21.5/21.5
R2214 7030005050 S.RES ERJ2GEJ 103 X (10 kΩ) T 27.5/11.1
R2215 7030005050 S.RES ERJ2GEJ 103 X (10 kΩ) T 28.4/11.1
R2216 7030010040 S.RES ERJ2GEJ-JPW T 34.8/37.3
C1 4030016930 S.CER ECJ0EB1A104K T 16.9/25.1
C2 4030016930 S.CER ECJ0EB1A104K B 38.1/36.1
C3 4030016930 S.CER ECJ0EB1A104K B 39.5/29
C4 4030016930 S.CER ECJ0EB1A104K B 42.4/35.8
C5 4550007310 S.TAN F930J227MNMBMA T 40.8/23.4
C51 4030016930 S.CER ECJ0EB1A104K B 19.2/27.4
C52 4030016930 S.CER ECJ0EB1A104K B 19.2/28.3
C53 4550007310 S.TAN F930J227MNMBMA B 11.4/29.8
C201 4030016930 S.CER ECJ0EB1A104K B 19/40.2
C202 4550007310 S.TAN F930J227MNMBMA B 4.4/42.9
C203 4030018960 S.CER C3216 JB 1C 106MT-N T 18.8/45.5
C204 4030016930 S.CER ECJ0EB1A104K T 11.9/40.2
C205 4030016930 S.CER ECJ0EB1A104K T 11.9/41.8
C206 4030016930 S.CER ECJ0EB1A104K B 8.8/43.4
C207 4030018960 S.CER C3216 JB 1C 106MT-N B 9/46.5
C208 4550006780 S.TAN TEESVB2 0J 476M8R T 11.5/46.1
C209 4550006780 S.TAN TEESVB2 0J 476M8R T 4.6/46
C302 4030016930 S.CER ECJ0EB1A104K T 30.2/40.4
C303 4030016930 S.CER ECJ0EB1A104K T 30.4/37.8
C304 4030016930 S.CER ECJ0EB1A104K T 26.9/37.2
C305 4030016930 S.CER ECJ0EB1A104K T 34.1/45.8
C306 4030016930 S.CER ECJ0EB1A104K T 29.2/37.2
C307 4030016930 S.CER ECJ0EB1A104K B 36.8/38.6
C308 4030016930 S.CER ECJ0EB1A104K T 27.3/39.3
C309 4030016930 S.CER ECJ0EB1A104K T 30.6/39.1
C310 4030016930 S.CER ECJ0EB1A104K T 24.5/45.8
C311 4030016930 S.CER ECJ0EB1A104K T 22/42.3
C312 4030016930 S.CER ECJ0EB1A104K T 27.8/40.5
C313 4030016930 S.CER ECJ0EB1A104K T 22/39.6
C314 4030016930 S.CER ECJ0EB1A104K T 29.1/45.8
C315 4030016930 S.CER ECJ0EB1A104K T 27.3/38.4
C316 4030016930 S.CER ECJ0EB1A104K T 30.4/36.9
C317 4030016930 S.CER ECJ0EB1A104K T 26.9/40.5
C318 4030016930 S.CER ECJ0EB1A104K T 31.1/40.4
C319 4030016930 S.CER ECJ0EB1A104K T 29.3/40.4
C320 4030016930 S.CER ECJ0EB1A104K T 27.8/37.2
C413 4030018960 S.CER C3216 JB 1C 106MT-N B 21.3/19.6
C414 4030016930 S.CER ECJ0EB1A104K B 16.3/16.8
C415 4030018960 S.CER C3216 JB 1C 106MT-N B 15.6/26.3
C461 4030016930 S.CER ECJ0EB1A104K B 34.2/4.3
C462 4030018960 S.CER C3216 JB 1C 106MT-N B 35.3/5.8
C463 4030018960 S.CER C3216 JB 1C 106MT-N T 42/8.7
C464 4030016930 S.CER ECJ0EB1A104K T 43.6/10.4
C465 4030017740 S.CER ECJ0EB1E821K B 27.4/5.5
C466 4030017760 S.CER ECJ0EB1H222K B 29.5/4.3
C467 4030017740 S.CER ECJ0EB1E821K B 30.7/5.5
C468 4030018560 S.CER C2012 JB 1A 475K-T T 31.8/2.6
C469 4030016930 S.CER ECJ0EB1A104K B 24.8/8.7
C470 4030016930 S.CER ECJ0EB1A104K B 33.8/8.3
C471 4030018560 S.CER C2012 JB 1A 475K-T T 36.2/4.2
C472 4030018560 S.CER C2012 JB 1A 475K-T T 36.2/2.5
C473 4030016930 S.CER ECJ0EB1A104K T 40.2/4.2
C509 4030018960 S.CER C3216 JB 1C 106MT-N T 24.2/5.5
C510 4030016930 S.CER ECJ0EB1A104K T 26/4.4
C511 4030017760 S.CER ECJ0EB1H222K T 30.7/8.9
C512 4030017690 S.CER ECJ0EC1H121J T 32.1/7.7
C513 4030017690 S.CER ECJ0EC1H121J T 29.4/7.7
C514 4030016930 S.CER ECJ0EB1A104K T 36.4/6.5
C515 4030018860 S.CER ECJ0EB0J105K T 36.5/9.2
C516 4030018860 S.CER ECJ0EB0J105K T 36.5/8.3
C517 4030018860 S.CER ECJ0EB0J105K T 36.5/10.1
C518 4030016930 S.CER ECJ0EB1A104K T 26.1/6.8
C519 4030016930 S.CER ECJ0EB1A104K T 41.3/11.9
C522 4030017780 S.CER ECJ0EB1E472K B 38.9/9.8
C523 4030017780 S.CER ECJ0EB1E472K B 34/3
C524 4030017780 S.CER ECJ0EB1E472K T 2.5/8
C525 4030017780 S.CER ECJ0EB1E472K T 22.5/3
C526 4030017780 S.CER ECJ0EB1E472K T 43/4
C527 4030017780 S.CER ECJ0EB1E472K B 26/3
C551 4030018520 S.CER C1608 JB 0J 225M-T T 20/13.8
C553 4030016930 S.CER ECJ0EB1A104K T 19/13.9
C563 4030018960 S.CER C3216 JB 1C 106MT-N B 18.9/6.6
C564 4030016930 S.CER ECJ0EB1A104K T 18.1/13.9
C565 4030016930 S.CER ECJ0EB1A104K T 17.8/3.2
C566 4030016930 S.CER ECJ0EB1A104K T 19.4/3.2
C567 4030018960 S.CER C3216 JB 1C 106MT-N B 21.3/12.3
C569 4030018960 S.CER C3216 JB 1C 106MT-N B 19.2/12.3
C601 4030018960 S.CER C3216 JB 1C 106MT-N T 5.6/8.7
C602 4030016930 S.CER ECJ0EB1A104K T 7.8/11.8
C603 4030018820 S.CER ECJ0EB1H561K B 13.4/6
C604 4510008640 S.ELE 6 CE 100 FE B 4.8/7
C605 4030016930 S.CER ECJ0EB1A104K B 3.3/11.4
C606 4030018580 S.CER C1608 CH 1H 821J-T B 9.6/5.6
C607 4030017440 S.CER ECJ0EC1H221J B 13.3/8.4
C608 4030017440 S.CER ECJ0EC1H221J B 14.8/8
C609 4030018860 S.CER ECJ0EB0J105K B 15.8/13.7
C610 4030010760 S.CER C1608 CH 1H 331J-T B 9.6/8.3
C611 4030010760 S.CER C1608 CH 1H 331J-T B 11.8/7.7
C612 4030018960 S.CER C3216 JB 1C 106MT-N B 8.8/13.7
C613 4550006780 S.TAN TEESVB2 0J 476M8R B 20.6/2.7
C614 4550006780 S.TAN TEESVB2 0J 476M8R T 5/4.1
C651 4030017460 S.CER ECJ0EB1E102K B 65.5/31.4
C652 4030017460 S.CER ECJ0EB1E102K B 66/16.4
C653 4030017460 S.CER ECJ0EB1E102K B 77.1/20.9
C654 4030017430 S.CER ECJ0EC1H101J B 77.2/28.2
C655 4030017430 S.CER ECJ0EC1H101J B 76.5/27.1
C656 4030017430 S.CER ECJ0EC1H101J B 76.1/26.2
C701 4030016930 S.CER ECJ0EB1A104K B 3/13.5
C702 4030017780 S.CER ECJ0EB1E472K B 4.4/18.8
C703 4030017780 S.CER ECJ0EB1E472K B 7.5/26.1
C704 4030017780 S.CER ECJ0EB1E472K B 19.7/26.2
C705 4030017430 S.CER ECJ0EC1H101J B 4.6/21.9
C706 4030017430 S.CER ECJ0EC1H101J B 4.6/24.6
C707 4030017430 S.CER ECJ0EC1H101J B 3.9/27.2
C708 4030017430 S.CER ECJ0EC1H101J B 6.6/26.1
C709 4030017430 S.CER ECJ0EC1H101J T 2.5/20.1
C711 4550007310 S.TAN F930J227MNMBMA T 5.5/18.9
C715 4030017460 S.CER ECJ0EB1E102K T 2.2/17.6
C716 4030017460 S.CER ECJ0EB1E102K T 2.2/18.6
C717 4030017460 S.CER ECJ0EB1E102K T 2.2/16.6
C1001 4030017780 S.CER ECJ0EB1E472K B 76.7/18.9
C1002 4030017780 S.CER ECJ0EB1E472K B 70.4/38.2
C1101 4030017780 S.CER ECJ0EB1E472K T 79.9/23.7
C1102 4030017780 S.CER ECJ0EB1E472K T 73.6/20.7
C1103 4030016930 S.CER ECJ0EB1A104K T 81.8/14.5
C1106 4030017780 S.CER ECJ0EB1E472K T 79.7/31.9
C1107 4030018900 S.CER ECJ0EB0J474K B 80.1/25.5
C1108 4030018900 S.CER ECJ0EB0J474K B 81.4/25.4
C1109 4030017780 S.CER ECJ0EB1E472K T 79.7/26.3
C1110 4030017780 S.CER ECJ0EB1E472K T 80.7/26.3
C1111 4030017780 S.CER ECJ0EB1E472K T 81.7/26.3
C1112 4030017780 S.CER ECJ0EB1E472K B 82.9/28.4
C1201 4030016930 S.CER ECJ0EB1A104K B 50.6/4.3
C1202 4030017780 S.CER ECJ0EB1E472K B 53.2/4.3
C1203 4030017650 S.CER ECJ0EC1H270J B 62.7/6.7
C1204 4030016930 S.CER ECJ0EB1A104K B 47.9/8
C1205 4030016930 S.CER ECJ0EB1A104K B 45.2/9.6
C1206 4030016930 S.CER ECJ0EB1A104K B 43.5/13.8
C1207 4030017430 S.CER ECJ0EC1H101J B 47/9.6
C1208 4030017430 S.CER ECJ0EC1H101J B 43.9/8.7
C1209 4030017430 S.CER ECJ0EC1H101J B 44.4/11.4
C1210 4030017650 S.CER ECJ0EC1H270J B 61.1/6.7
C1211 4030018860 S.CER ECJ0EB0J105K B 60.2/10.5
C1212 4030016930 S.CER ECJ0EB1A104K B 49.7/4.3
C1213 4030016930 S.CER ECJ0EB1A104K B 49.2/6.6
C1214 4030016930 S.CER ECJ0EB1A104K B 40.3/4.8
C1215 4030016930 S.CER ECJ0EB1A104K B 64.2/19.3
C1216 4030016930 S.CER ECJ0EB1A104K B 53.7/30.3
C1217 4030016930 S.CER ECJ0EB1A104K B 57.5/29.2
C1218 4030016930 S.CER ECJ0EB1A104K B 44.8/23.9
C1219 4030016930 S.CER ECJ0EB1A104K B 46.3/13.2
C1220 4030016930 S.CER ECJ0EB1A104K B 56/8.8
C1221 4030016930 S.CER ECJ0EB1A104K B 60.5/13.7
C1222 4030016930 S.CER ECJ0EB1A104K B 60.9/25.6
C1223 4030016930 S.CER ECJ0EB1A104K T 52.7/12.3
C1225 4030018960 S.CER C3216 JB 1C 106MT-N T 67/10.2
C1251 4030012610 S.CER C2012 JB 1C 474K-T T 73.2/9.2
C1252 4550007320 S.TAN F930J226MAABMA T 73.4/4.1
C1301 4030016930 S.CER ECJ0EB1A104K T 80.1/40.3
C1302 4030018960 S.CER C3216 JB 1C 106MT-N T 47.9/11.4
C1303 4030016790 S.CER ECJ0EB1C103K T 67.9/30.4
C1304 4030016930 S.CER ECJ0EB1A104K T 41.7/31.5
C1305 4030018960 S.CER C3216 JB 1C 106MT-N T 44.3/37.2
C1306 4030016790 S.CER ECJ0EB1C103K T 64/37.5
C1307 4030016930 S.CER ECJ0EB1A104K T 48.4/12.9
C1308 4030016930 S.CER ECJ0EB1A104K T 63.1/13.1
C1309 4030016930 S.CER ECJ0EB1A104K T 46.1/37.2
C1310 4030016930 S.CER ECJ0EB1A104K T 67/30.9
S.=Surface mount
REF ORDER DESCRIPTION M. H/V
NO. NO.
LOCATION
[LOGIC UNIT]

5 - 20
M.=Mounted side (T: Mounted on the Top side, B: Mounted on the Bottom side)
REF ORDER DESCRIPTION M. H/V
NO. NO.
LOCATION
[LOGIC UNIT]
C1311 4030016930 S.CER ECJ0EB1A104K T 67/25.7
C1312 4030017620 S.CER ECJ0EC1H100C T 67.4/29.1
C1313 4030017620 S.CER ECJ0EC1H100C T 67.4/28.2
C1314 4030016930 S.CER ECJ0EB1A104K T 79/9.8
C1315 4030017030 S.CER ECJ0EB1A273K T 83.3/10.8
C1316 4030016930 S.CER ECJ0EB1A104K B 75.9/2.3
C1317 4030018960 S.CER C3216 JB 1C 106MT-N B 84.4/3
C1319 4030018960 S.CER C3216 JB 1C 106MT-N B 16.8/6.6
C2016 4030016930 S.CER ECJ0EB1A104K B 37.7/30.2
C2017 4030016930 S.CER ECJ0EB1A104K B 37.7/31.3
C2101 4030016930 S.CER ECJ0EB1A104K T 44/43
C2102 4030016930 S.CER ECJ0EB1A104K T 45.8/43
C2202 4030016930 S.CER ECJ0EB1A104K T 27/16.5
C2204 4030016930 S.CER ECJ0EB1A104K T 26.5/19.2
C2205 4030016930 S.CER ECJ0EB1A104K T 30.2/19.7
C2206 4030016930 S.CER ECJ0EB1A104K T 26.6/11.1
C2207 4030016930 S.CER ECJ0EB1A104K T 27.7/19.7
C2208 4030016930 S.CER ECJ0EB1A104K T 21.5/23.4
C2209 4030016930 S.CER ECJ0EB1A104K T 29.8/17.6
C2210 4030016930 S.CER ECJ0EB1A104K T 26.6/17.8
C2211 4030016930 S.CER ECJ0EB1A104K T 32.4/11.1
C2212 4030016930 S.CER ECJ0EB1A104K T 35.2/14.6
C2213 4030016930 S.CER ECJ0EB1A104K T 29.3/16.4
C2214 4030016930 S.CER ECJ0EB1A104K T 35.2/17.3
C2215 4030016930 S.CER ECJ0EB1A104K T 29.3/11.1
C2217 4030016930 S.CER ECJ0EB1A104K T 29.8/18.5
C2218 4030016930 S.CER ECJ0EB1A104K T 26.5/20.1
C2219 4030016930 S.CER ECJ0EB1A104K T 30.2/16.4
C2220 4030016930 S.CER ECJ0EB1A104K T 26.1/16.5
C2221 4030016930 S.CER ECJ0EB1A104K T 27.9/16.5
C2222 4030016930 S.CER ECJ0EB1A104K T 29.3/19.7
J651 6510024810 S.CNR AXK6S60635P B 71/24.9
J701 6510022070 S.CNR AXK6S30635P B 10.9/20.4
J1201 6510018890 S.CNR 52559-1390 B 77.5/38.2
J2101 6510020130 S.CNR AXN810535P T 52.4/42.9
BT1301 3020000330 LTM ML920S/F9D
EP2 6910012350 S.BEA MMZ1608Y 102BT T 18.8/38.2
EP51 6910012350 S.BEA MMZ1608Y 102BT B 18.1/29.7
EP201 6910014730 S.BEA MPZ2012S331A-T T 13.3/40.6
EP301 6910012350 S.BEA MMZ1608Y 102BT T 19.1/40
EP701 6910012350 S.BEA MMZ1608Y 102BT B 5.6/15
EP2002 6910012350 S.BEA MMZ1608Y 102BT B 38.2/28
EP2202 6910012350 S.BEA MMZ1608Y 102BT T 19.1/22
EP2205 6910014730 S.BEA MPZ2012S331A-T T 18.4/17.7
EP2217 6910015970 S.BEA MMZ1608B 301CT-AS B 20.9/16.1
IC51 1190001811 S.IC AD9833BRMZ T 33.8/7
IC52 1130012780 S.IC SN74AHC2G04HDCTR T 45/5.6
IC61 1130012610 S.IC SN74AHC1GU04DCKR T 37.5/7.5
IC62 1130012850 S.IC SN74LVC3G34DCUR T 51.3/24.7
IC251 1180002321 S.REG TK11218CMCL-G B 29.5/16.2
IC301 1190002101 S.IC SN65LVDS391D T 37.5/28.2
IC401 1110004080 S.IC µPC2709T-E3 T 50.1/47
IC451 1110006430 S.IC µPC1678GV-E1-A T 34.1/50.2
IC801 1110006430 S.IC µPC1678GV-E1-A T 18/13.7
IC901 1130012720 S.IC CD74HC4094PWR T 5.4/64.7
Q1 1530002381 S.TR 2SC4215-Y (YE85R ,F) T 20.4/3.1
Q101 1530002561 S.TR 2SC4403-3-TL-E T 26.5/6.4
Q151 1530003151 S.TR 2SC4673D-TD-E T 41.4/13.7
Q201 1530003431 S.TR 2SC5226-4-TL-E T 43.4/19.4
Q211 1530003431 S.TR 2SC5226-4-TL-E B 43.5/15.2
Q301 1590000680 S.TR DTC114EUA T106 B 45.4/32.2
Q901 1590003530 S.TR BCR08PN T 4/58.7
Q902 1590003530 S.TR BCR08PN T 4.1/55.1
Q903 1590003530 S.TR BCR08PN T 7.2/55.1
Q904 1590003530 S.TR BCR08PN T 7.2/58.7
Q905 1590003530 S.TR BCR08PN T 4.1/70.7
Q906 1590003530 S.TR BCR08PN T 4.1/74.2
Q907 1590003530 S.TR BCR08PN T 7.1/70.7
Q908 1590003530 S.TR BCR08PN T 7.1/74.2
Q1101 1530002060 S.TR 2SC4081 T106 R T 40.9/53.9
Q1102 1540000451 S.TR 2SD1623T-TD-E T 45.5/54.3
D301 1750000620 S.DIO MA717WK (TX) B 44.8/35.9
D341 1790001621 S.DIO 1SV308 (TPL3, F) B 45.2/39.7
D451 1750000581 S.DIO 1SV307 (TPH3, F) T 44.2/47.7
D452 1750000581 S.DIO 1SV307 (TPH3, F) T 44/44.8
D453 1790001621 S.DIO 1SV308 (TPL3, F) T 43.3/36.6
D454 1750000581 S.DIO 1SV307 (TPH3, F) T 38.3/48.3
D456 1750000620 S.DIO MA717WK (TX) B 35.1/42.8
D458 1750000581 S.DIO 1SV307 (TPH3, F) T 33.8/45.6
D459 1750000581 S.DIO 1SV307 (TPH3, F) T 31.3/38.8
D471 1750000620 S.DIO MA717WK (TX) T 33.2/36.7
D501 1750000581 S.DIO 1SV307 (TPH3, F) B 26.2/42.6
D502 1750000581 S.DIO 1SV307 (TPH3, F) T 3/50.6
D551 1750000581 S.DIO 1SV307 (TPH3, F) T 25.9/45.1
D552 1750000581 S.DIO 1SV307 (TPH3, F) T 2.9/45.3
D601 1750000581 S.DIO 1SV307 (TPH3, F) T 27.2/39.9
D602 1750000581 S.DIO 1SV307 (TPH3, F) T 2.9/40.1
D651 1750000581 S.DIO 1SV307 (TPH3, F) T 27.2/34.8
D652 1750000581 S.DIO 1SV307 (TPH3, F) T 2.9/34.9
D701 1750000581 S.DIO 1SV307 (TPH3, F) T 27.2/29.5
D702 1750000581 S.DIO 1SV307 (TPH3, F) T 2.9/29.7
D751 1750000581 S.DIO 1SV307 (TPH3, F) T 27/24.4
D752 1750000581 S.DIO 1SV307 (TPH3, F) T 2.9/24.6
D801 1750000581 S.DIO 1SV307 (TPH3, F) T 28.3/21.6
D802 1750000581 S.DIO 1SV307 (TPH3, F) T 2.9/19.3
D1101 1750000301 S.DIO 1SS302 (TE85R, F) T 40.9/57.7
D1102 1160000080 S.DIO DAP202K T146 B 27.9/63
FI101 2010002660 S.XTL FL-391 (124.032 MHz) T 29.3/10.7
FI201 2040001860 S.SAW NSVS776 T 34.5/16.5
X1 6050012160 S.XTL CR-788 (24.8064 MHz) T 14.2/3.9
L1 6200002641 S.COL NLV25T-R15J T 26/3.7
L51 6200005011 S.COL NLV25T-100J B 35.6/4.2
L52 6200005011 S.COL NLV25T-100J B 38.8/3.8
L53 6200003241 S.COL NLV32T-221J B 43.4/8.7
L101 6200003540 S.COL MLF1608D R22K-T T 24.2/8.8
L105 6200004730 S.COL MLF1608A 1R2K-T T 23.7/5.2
L151 6200004470 S.COL MLF1608D R12K-T T 44.7/12.8
L153 6200004150 S.COL MLF1608D 47NM-T T 46.9/15.7
L201 6200004150 S.COL MLF1608D 47NM-T T 44.5/21.5
L202 6200005661 S.COL ELJRE 10NGFA B 37.5/12.4
L204 6200003540 S.COL MLF1608D R22K-T T 41.5/19.3
L205 6200005711 S.COL ELJRE 27NGFA B 47.1/21.7
L206 6200005701 S.COL ELJRE 22NGFA B 46.2/20.4
L210 6200005701 S.COL ELJRE 22NGFA B 47/19.1
L212 6200002581 S.COL NLV25T-033J B 41.9/12.8
L213 6200005681 S.COL ELJRE 15NGFA B 40.1/17.8
L301 6140002810 S.COL LR-317 T 48.5/30
L302 6140002810 S.COL LR-317 T 48.7/38.9
L303 6200004150 S.COL MLF1608D 47NM-T B 41.9/35.7
L304 6200003960 S.COL MLF1608A 1R0K-T T 48.9/33.2
L321 6200011370 S.COL ELJNJ R10J T 50.4/34.7
L322 6200011370 S.COL ELJNJ R10J T 47.8/34.7
L323 6200010860 S.COL C2520C-R10G-A T 53.7/30.6
L331 6200011540 S.COL ELJQE 47NJ T 47.6/43.1
L332 6200011540 S.COL ELJQE 47NJ T 50.2/43.1
L341 6200004470 S.COL MLF1608D R12K-T B 41.1/37
S.=Surface mount
REF ORDER DESCRIPTION M. H/V
NO. NO.
LOCATION
[DDS UNIT]

5 - 21
M.=Mounted side (T: Mounted on the Top side, B: Mounted on the Bottom side)
REF ORDER DESCRIPTION M. H/V
NO. NO.
LOCATION
[DDS UNIT]
L401 6200001981 S.COL NLV25T-1R0J T 50.2/49.9
L411 6200011700 S.COL ELJQE 39NJ T 47.3/48.3
L456 6140002810 S.COL LR-317 T 40.1/44.9
L458 6200011540 S.COL ELJQE 47NJ B 37.5/42.1
L461 6200011570 S.COL ELJQE 10NJ B 39.3/41.7
L464 6200002631 S.COL NLV25T-R10J T 28.8/50.6
L465 6200004470 S.COL MLF1608D R12K-T T 42.9/39.5
L466 6200011710 S.COL ELJQE 33NJ T 39.1/41.1
L467 6200011560 S.COL ELJQE 12NJ T 27.7/47.1
L468 6200011350 S.COL ELJQE 18NJ T 26.1/48.3
L469 6200011360 S.COL ELJQE 15NJ T 33.6/41.3
L471 6140002810 S.COL LR-317 T 38.7/37.2
L472 6200011540 S.COL ELJQE 47NJ T 33.4/39.3
L473 6200011340 S.COL ERJQE 22NJ T 35.5/40.4
L501 6200002611 S.COL NLV25T-R47J B 21.7/43.6
L502 6200002631 S.COL NLV25T-R10J B 18.1/46.7
L503 6200002431 S.COL NLV25T-082J B 15/46.4
L504 6200002411 S.COL NLV25T-056J T 14.3/49.4
L505 6200002421 S.COL NLV25T-068J T 11.2/50.2
L506 6200002421 S.COL NLV25T-068J T 8.2/49.7
L507 6200002611 S.COL NLV25T-R47J T 3.8/48.2
L551 6200002611 S.COL NLV25T-R47J T 24.9/42.6
L552 6200002421 S.COL NLV25T-068J T 20.3/43
L553 6200002411 S.COL NLV25T-056J T 17.6/42.9
L554 6200002601 S.COL NLV25T-047J T 14.7/45
L555 6200002601 S.COL NLV25T-047J T 12/44.3
L556 6200002581 S.COL NLV25T-033J T 9.2/45
L557 6200002611 S.COL NLV25T-R47J T 4.5/42.8
L601 6200002611 S.COL NLV25T-R47J T 25.3/37.4
L602 6200002601 S.COL NLV25T-047J T 22.6/39.6
L603 6200002591 S.COL NLV25T-039J T 19.7/39.1
L604 6200003891 S.COL NLV25T-027J T 16.8/39.9
L605 6200002601 S.COL NLV25T-047J T 14.1/37.9
L606 6200002601 S.COL NLV25T-047J T 11.4/37.7
L607 6200002421 S.COL NLV25T-068J T 8.6/37.7
L608 6200002601 S.COL NLV25T-047J T 5.1/37.7
L651 6200002611 S.COL NLV25T-R47J T 26/32.2
L652 6200002591 S.COL NLV25T-039J T 22.4/32.5
L653 6200002591 S.COL NLV25T-039J T 19.6/32.8
L654 6200002591 S.COL NLV25T-039J T 14/34.6
L655 6200002591 S.COL NLV25T-039J T 11.2/33.9
L656 6200002601 S.COL NLV25T-047J T 16.7/32.5
L657 6200002581 S.COL NLV25T-033J T 7.9/34.6
L658 6200002611 S.COL NLV25T-R47J T 5.2/32.6
L701 6200002611 S.COL NLV25T-R47J T 26/26.9
L702 6200002581 S.COL NLV25T-033J T 22.9/29.2
L703 6200002581 S.COL NLV25T-033J T 20.2/28.7
L704 6200003891 S.COL NLV25T-027J T 17.3/29.5
L705 6200002591 S.COL NLV25T-039J T 14.6/27.3
L706 6200002581 S.COL NLV25T-033J T 11.8/27.3
L707 6200002581 S.COL NLV25T-033J T 9.1/27.2
L708 6200002611 S.COL NLV25T-R47J T 4.5/27.2
L751 6200002611 S.COL NLV25T-R47J T 25.9/22
L752 6200003881 S.COL NLV25T-022J T 22.4/22.4
L753 6200003891 S.COL NLV25T-027J T 19.7/22.2
L754 6200002581 S.COL NLV25T-033J T 16.9/22.5
L755 6200003891 S.COL NLV25T-027J T 14.2/24.2
L756 6200003891 S.COL NLV25T-027J T 11.4/23.5
L757 6200003881 S.COL NLV25T-022J T 8.7/24.2
L758 6200002611 S.COL NLV25T-R47J T 3.9/22.2
L801 6200002181 S.COL NLV25T-R12J T 28.3/17.5
L803 6200005711 S.COL ELJRE 27NGFA T 26.3/17.6
L804 6200011350 S.COL ELJQE 18NJ T 25/15.6
L805 6200011360 S.COL ELJQE 15NJ T 23.1/14.9
L806 6200005641 S.COL ELJRE 6N8ZFA T 21.5/19
L807 6200011560 S.COL ELJQE 12NJ T 18.7/18.2
L808 6200004720 S.COL MLF1608D R10K-T T 17.9/10
L812 6200005711 S.COL ELJRE 27NGFA T 14.8/14.4
L813 6200011350 S.COL ELJQE 18NJ T 15.7/17.2
L814 6200011360 S.COL ELJQE 15NJ T 13.8/18.2
L815 6200005641 S.COL ELJRE 6N8ZFA T 10.1/18
L816 6200011560 S.COL ELJQE 12NJ T 6.6/17.8
L818 6200002181 S.COL NLV25T-R12J T 4.6/17
L851 6200002181 S.COL NLV25T-R12J B 26.8/30.6
L852 6200002611 S.COL NLV25T-R47J B 26.4/34.1
L853 6200002181 S.COL NLV25T-R12J B 3.4/22.8
L854 6200002611 S.COL NLV25T-R47J B 5.4/26
L901 6200007420 S.COL ELJFC 101K-F B 3.7/65.9
L953 6200002041 S.COL NLV25T-101J B 56.4/44.6
L954 6200002041 S.COL NLV25T-101J B 55.7/42.1
L955 6200002041 S.COL NLV25T-101J B 55.9/39.6
L956 6200002041 S.COL NLV25T-101J B 56.1/37.1
L957 6200002041 S.COL NLV25T-101J B 55.9/34.6
L959 6200011300 S.COL EXCML16A 270U T 54.9/34.3
L960 6200002041 S.COL NLV25T-101J B 56.5/30.8
L962 6200011300 S.COL EXCML16A 270U B 59.2/32.2
L963 6200011300 S.COL EXCML16A 270U B 60.4/32.2
L1001 6200003241 S.COL NLV32T-221J B 53.7/50.8
L1002 6200003241 S.COL NLV32T-221J B 47.9/55
L1103 6200002041 S.COL NLV25T-101J B 42.2/61.2
L1105 6200002041 S.COL NLV25T-101J B 40.8/71.8
L1106 6200002041 S.COL NLV25T-101J T 36.4/62.3
L1107 6200002041 S.COL NLV25T-101J B 34.9/74.7
L1110 6200002041 S.COL NLV25T-101J T 32.4/62.3
L1111 6200002041 S.COL NLV25T-101J B 26.1/69.8
L1112 6200002041 S.COL NLV25T-101J T 29.9/62.3
L1152 6200003590 S.COL EXCCL3225U1 T 48.3/69.2
L1153 6200002041 S.COL NLV25T-101J T 45.5/69.3
L1154 6200002041 S.COL NLV25T-101J T 53.6/69.2
R2 7030007290 S.RES ERJ2GEJ 222 X (2.2 kΩ) T 19.1/4.5
R3 7030005040 S.RES ERJ2GEJ 472 X (4.7 kΩ) T 18.6/1.8
R4 7030004990 S.RES ERJ2GEJ 221 X (220 Ω) T 22.2/2.6
R5 7030004980 S.RES ERJ2GEJ 101 X (100 Ω) T 21.1/6.7
R8 7030003630 S.RES ERJ3GEYJ 393 V (39 kΩ) B 13.6/7.1
R9 7030003610 S.RES ERJ3GEYJ 273 V (27 kΩ) B 13.6/9.7
R10 7030005220 S.RES ERJ2GEJ 223 X (22 kΩ) T 8/3.2
R11 7030010040 S.RES ERJ2GEJ-JPW T 9.2/3.7
R51 7030005120 S.RES ERJ2GEJ 102 X (1 kΩ) T 34.3/8.6
R52 7030005120 S.RES ERJ2GEJ 102 X (1 kΩ) T 46.1/2.3
R53 7030005120 S.RES ERJ2GEJ 102 X (1 kΩ) T 42.8/3.5
R54 7030005120 S.RES ERJ2GEJ 102 X (1 kΩ) T 42.8/2.6
R55 7030008280 S.RES ERJ2GEJ 271 X (270 Ω) T 34.7/7
R56 7030010090 S.RES ERJ2GEJ 180 X (18 Ω) T 33.4/8.6
R57 7030008280 S.RES ERJ2GEJ 271 X (270 Ω) T 32.5/8.6
R61 7030005050 S.RES ERJ2GEJ 103 X (10 kΩ) T 39.3/8.1
R62 7030005530 S.RES ERJ2GEJ 100 X (10 Ω) T 49.3/23.1
R101 7030005000 S.RES ERJ2GEJ 471 X (470 Ω) T 25.2/7.8
R102 7030004980 S.RES ERJ2GEJ 101 X (100 Ω) T 22.7/7.8
R103 7030005570 S.RES ERJ2GEJ 820 X (82 Ω) T 31.8/11.1
R104 7030004980 S.RES ERJ2GEJ 101 X (100 Ω) T 33/11.5
R105 7030005570 S.RES ERJ2GEJ 820 X (82 Ω) T 34.2/11.1
R106 7030005100 S.RES ERJ2GEJ 154 X (150 kΩ) T 23.9/7.4
R121 7030005040 S.RES ERJ2GEJ 472 X (4.7 kΩ) T 38.5/11.1
R150 7030005570 S.RES ERJ2GEJ 820 X (82 Ω) T 45.8/10.7
R151 7030004980 S.RES ERJ2GEJ 101 X (100 Ω) T 44.9/10.7
R154 7030005050 S.RES ERJ2GEJ 103 X (10 kΩ) T 41.4/10.6
R155 7030005530 S.RES ERJ2GEJ 100 X (10 Ω) T 46.3/12.6
R157 7030007270 S.RES ERJ2GEJ 151 X (150 Ω) T 48.8/18.2
R158 7030009200 S.RES ERJ2GEJ 390 X (39 Ω) T 48/16.7
R159 7030007270 S.RES ERJ2GEJ 151 X (150 Ω) T 47.9/18.2
R160 7030005300 S.RES ERJ2GEJ 150 X (15 Ω) T 44.2/15.9
R161 7030005300 S.RES ERJ2GEJ 150 X (15 Ω) T 45.1/15.9
R162 7030005300 S.RES ERJ2GEJ 150 X (15 Ω) T 45/14.6
R201 7030005530 S.RES ERJ2GEJ 100 X (10 Ω) T 45.8/22
R202 7030000700 S.RES MCR10EZHJ 470 kΩ T 45.6/18.8
R211 7030003400 S.RES ERJ3GEYJ 471 V (470 Ω) B 37.3/17.8
R212 7030003440 S.RES ERJ3GEYJ 102 V (1 kΩ) B 40.8/16.2
R213 7030003200 S.RES ERJ3GEYJ 100 V (10 Ω) B 44.5/11.4
R214 7030003280 S.RES ERJ3GEYJ 470 V (47 Ω) B 46.8/16.3
R301 7030005120 S.RES ERJ2GEJ 102 X (1 kΩ) T 34.2/22.2
R303 7030010040 S.RES ERJ2GEJ-JPW T 40/22.2
R304 7030005120 S.RES ERJ2GEJ 102 X (1 kΩ) T 42/24.6
R305 7030005710 S.RES ERJ2GEJ 121 X (120 Ω) T 44.1/28.9
R306 7030005120 S.RES ERJ2GEJ 102 X (1 kΩ) T 31.5/25.6
R309 7030005120 S.RES ERJ2GEJ 102 X (1 kΩ) T 31.2/29.4
R310 7030005120 S.RES ERJ2GEJ 102 X (1 kΩ) T 31.2/30.5
R311 7030005120 S.RES ERJ2GEJ 102 X (1 kΩ) T 31.2/31.5
R312 7030010040 S.RES ERJ2GEJ-JPW T 32.9/31.7
R313 7030005710 S.RES ERJ2GEJ 121 X (120 Ω) T 43.2/28.5
R314 7030009140 S.RES ERJ2GEJ 272 X (2.7 kΩ) T 43/31.8
R315 7030005120 S.RES ERJ2GEJ 102 X (1 kΩ) T 33.5/32.6
R316 7030005050 S.RES ERJ2GEJ 103 X (10 kΩ) T 34.6/33.8
R317 7030007570 S.RES ERJ2GEJ 122 X (1.2 kΩ) T 43.9/31.8
R341 7030003440 S.RES ERJ3GEYJ 102 V (1 kΩ) B 44.3/38.3
R342 7030003440 S.RES ERJ3GEYJ 102 V (1 kΩ) B 45.9/41.2
R451 7030005120 S.RES ERJ2GEJ 102 X (1 kΩ) T 44.5/46.2
R453 7030010090 S.RES ERJ2GEJ 180 X (18 Ω) T 34.1/47.4
R454 7030008280 S.RES ERJ2GEJ 271 X (270 Ω) T 32.9/47
R455 7030008280 S.RES ERJ2GEJ 271 X (270 Ω) T 32.9/47.9
R456 7030010040 S.RES ERJ2GEJ-JPW T 34.9/52.4
R457 7030005120 S.RES ERJ2GEJ 102 X (1 kΩ) T 38.1/49.7
R458 7030004990 S.RES ERJ2GEJ 221 X (220 Ω) T 31.6/43.6
R459 7030005090 S.RES ERJ2GEJ 104 X (100 kΩ) T 42.1/50
R460 7030003680 S.RES ERJ3GEYJ 104 V (100 kΩ) T 30.7/41
R461 7030005090 S.RES ERJ2GEJ 104 X (100 kΩ) T 29.6/39.1
R462 7030003860 S.RES ERJ3GE JPW V T 45/43.3
R463 7030003400 S.RES ERJ3GEYJ 471 V (470 Ω) T 33.3/44
R464 7030004980 S.RES ERJ2GEJ 101 X (100 Ω) T 40.8/47.9
R465 7030005570 S.RES ERJ2GEJ 820 X (82 Ω) T 40.3/50
R467 7030005570 S.RES ERJ2GEJ 820 X (82 Ω) T 40.8/48.8
R468 7030005570 S.RES ERJ2GEJ 820 X (82 Ω) T 41.2/50
R469 7030003320 S.RES ERJ3GEYJ 101 V (100 Ω) B 37.7/39.9
R471 7030005000 S.RES ERJ2GEJ 471 X (470 Ω) T 41.6/37.7
R472 7030004990 S.RES ERJ2GEJ 221 X (220 Ω) T 30.3/43.3
R473 7030007270 S.RES ERJ2GEJ 151 X (150 Ω) T 31.7/34.6
R474 7030009200 S.RES ERJ2GEJ 390 X (39 Ω) T 31.3/35.8
R475 7030007270 S.RES ERJ2GEJ 151 X (150 Ω) T 30.1/35.3
R476 7030005000 S.RES ERJ2GEJ 471 X (470 Ω) T 29.9/37.9
R477 7030003320 S.RES ERJ3GEYJ 101 V (100 Ω) B 37.3/38.6
R501 7030003390 S.RES ERJ3GEYJ 391 V (390 Ω) B 21/46.1
S.=Surface mount
REF ORDER DESCRIPTION M. H/V
NO. NO.
LOCATION
[DDS UNIT]

5 - 22
M.=Mounted side (T: Mounted on the Top side, B: Mounted on the Bottom side)
REF ORDER DESCRIPTION M. H/V
NO. NO.
LOCATION
[DDS UNIT]
R502 7030009280 S.RES ERJ2GEJ 391 X (390 Ω) T 5.8/46.8
R503 7030005090 S.RES ERJ2GEJ 104 X (100 kΩ) T 14.3/46.8
R505 7030005570 S.RES ERJ2GEJ 820 X (82 Ω) T 6.5/48.6
R506 7030005570 S.RES ERJ2GEJ 820 X (82 Ω) T 6/49.8
R507 7030005570 S.RES ERJ2GEJ 820 X (82 Ω) T 5.6/48.6
R551 7030009280 S.RES ERJ2GEJ 391 X (390 Ω) T 23.1/42
R552 7030009280 S.RES ERJ2GEJ 391 X (390 Ω) T 6.3/42
R553 7030005090 S.RES ERJ2GEJ 104 X (100 kΩ) T 10.1/41.6
R554 7030009200 S.RES ERJ2GEJ 390 X (39 Ω) T 6.4/45.7
R555 7030007270 S.RES ERJ2GEJ 151 X (150 Ω) T 7.1/44.4
R556 7030007270 S.RES ERJ2GEJ 151 X (150 Ω) T 6.2/44.3
R601 7030008280 S.RES ERJ2GEJ 271 X (270 Ω) T 23.2/36.1
R602 7030009280 S.RES ERJ2GEJ 391 X (390 Ω) T 6.8/36.6
R603 7030005090 S.RES ERJ2GEJ 104 X (100 kΩ) T 19.6/36.4
R604 7030004980 S.RES ERJ2GEJ 101 X (100 Ω) T 20.8/36.1
R651 7030009280 S.RES ERJ2GEJ 391 X (390 Ω) T 24.2/31.2
R652 7030009280 S.RES ERJ2GEJ 391 X (390 Ω) T 6.3/30.5
R653 7030005090 S.RES ERJ2GEJ 104 X (100 kΩ) T 9.9/31.2
R701 7030009280 S.RES ERJ2GEJ 391 X (390 Ω) T 23.8/25.8
R702 7030009280 S.RES ERJ2GEJ 391 X (390 Ω) T 6.5/26
R703 7030005090 S.RES ERJ2GEJ 104 X (100 kΩ) T 19.9/26
R704 7030004980 S.RES ERJ2GEJ 101 X (100 Ω) T 7.2/27.2
R705 7030005580 S.RES ERJ2GEJ 560 X (56 Ω) T 6.7/28.4
R706 7030004980 S.RES ERJ2GEJ 101 X (100 Ω) T 6.3/27.2
R751 7030009280 S.RES ERJ2GEJ 391 X (390 Ω) T 24.2/21
R752 7030009280 S.RES ERJ2GEJ 391 X (390 Ω) T 5.9/20.8
R753 7030005090 S.RES ERJ2GEJ 104 X (100 kΩ) T 10.3/20.8
R755 7030004980 S.RES ERJ2GEJ 101 X (100 Ω) T 6.6/22.6
R756 7030005580 S.RES ERJ2GEJ 560 X (56 Ω) T 6.6/24.2
R757 7030004980 S.RES ERJ2GEJ 101 X (100 Ω) T 5.7/23.3
R801 7030008280 S.RES ERJ2GEJ 271 X (270 Ω) T 27.2/14.5
R805 7030005570 S.RES ERJ2GEJ 820 X (82 Ω) T 13.9/10.3
R806 7030005570 S.RES ERJ2GEJ 820 X (82 Ω) T 14.2/11.7
R807 7030005570 S.RES ERJ2GEJ 820 X (82 Ω) T 13/11.3
R808 7030003390 S.RES ERJ3GEYJ 391 V (390 Ω) B 3.6/17.9
R810 7030005090 S.RES ERJ2GEJ 104 X (100 kΩ) T 27.2/15.4
R841 7030005710 S.RES ERJ2GEJ 121 X (120 Ω) T 21.2/12.5
R851 7030009280 S.RES ERJ2GEJ 391 X (390 Ω) T 27.1/37.3
R852 7030008280 S.RES ERJ2GEJ 271 X (270 Ω) T 5.7/13.7
R853 7030010090 S.RES ERJ2GEJ 180 X (18 Ω) T 6.9/14
R854 7030008280 S.RES ERJ2GEJ 271 X (270 Ω) T 6.9/13
R855 7030003390 S.RES ERJ3GEYJ 391 V (390 Ω) B 5.5/29.5
R901 7030005120 S.RES ERJ2GEJ 102 X (1 kΩ) T 2.1/62.6
R902 7030005120 S.RES ERJ2GEJ 102 X (1 kΩ) T 2.2/60.9
R903 7030005120 S.RES ERJ2GEJ 102 X (1 kΩ) T 2.2/58.7
R951 7030003360 S.RES ERJ3GEYJ 221 V (220 Ω) B 59.2/6.9
R952 7030004990 S.RES ERJ2GEJ 221 X (220 Ω) T 55.1/9.2
R953 7030003360 S.RES ERJ3GEYJ 221 V (220 Ω) B 59.5/3.3
R954 7030004990 S.RES ERJ2GEJ 221 X (220 Ω) T 54.5/8.3
R955 7030004990 S.RES ERJ2GEJ 221 X (220 Ω) T 55.1/7.3
R956 7030003360 S.RES ERJ3GEYJ 221 V (220 Ω) B 59.2/4.9
R957 7030003360 S.RES ERJ3GEYJ 221 V (220 Ω) B 56.6/5
R958 7030004990 S.RES ERJ2GEJ 221 X (220 Ω) T 47.2/6.1
R959 7030003360 S.RES ERJ3GEYJ 221 V (220 Ω) B 57.9/51
R960 7030003280 S.RES ERJ3GEYJ 470 V (47 Ω) B 57.5/49
R961 7030004990 S.RES ERJ2GEJ 221 X (220 Ω) T 54.6/11.6
R962 7030003860 S.RES ERJ3GE JPW V T 51.3/21
R1051 7030003860 S.RES ERJ3GE JPW V B 10.8/73
R1101 7030005120 S.RES ERJ2GEJ 102 X (1 kΩ) T 40.5/52.1
R1102 7030005050 S.RES ERJ2GEJ 103 X (10 kΩ) T 42.1/52.1
R1103 7030004980 S.RES ERJ2GEJ 101 X (100 Ω) T 39.3/63.4
R1104 7030005050 S.RES ERJ2GEJ 103 X (10 kΩ) T 44.2/51.2
R1105 7030004980 S.RES ERJ2GEJ 101 X (100 Ω) T 38.7/60.9
R1106 7030007290 S.RES ERJ2GEJ 222 X (2.2 kΩ) T 31.8/59.6
R1107 7030007290 S.RES ERJ2GEJ 222 X (2.2 kΩ) T 28.1/59.6
R1108 7030005240 S.RES ERJ2GEJ 473 X (47 kΩ) T 46.9/8.3
R1109 7030005240 S.RES ERJ2GEJ 473 X (47 kΩ) T 47.8/8
C1 4030016950 S.CER ECJ0EB1A473K T 18.6/5.7
C2 4030017780 S.CER ECJ0EB1E472K T 20.9/5
C3 4030017510 S.CER ECJ0EC1H680J T 24.8/1.7
C4 4030017780 S.CER ECJ0EB1E472K T 22.3/4.6
C5 4030017680 S.CER ECJ0EC1H820J T 26/2
C6 4030017510 S.CER ECJ0EC1H680J T 27.2/1.7
C7 4030016930 S.CER ECJ0EB1A104K T 8/4.1
C51 4030017780 S.CER ECJ0EB1E472K T 33.8/7
C52 4030017780 S.CER ECJ0EB1E472K T 36.1/5.3
C53 4030017780 S.CER ECJ0EB1E472K T 35.2/8.6
C54 4030016930 S.CER ECJ0EB1A104K T 34.9/4.4
C55 4510008580 S.ELE EEE0JA470SR T 30.6/3.9
C56 4030016930 S.CER ECJ0EB1A104K T 34.9/2.8
C57 4030016930 S.CER ECJ0EB1A104K T 42.8/5
C58 4030016930 S.CER ECJ0EB1A104K T 41/5.9
C59 4030017720 S.CER ECJ0EB1H331K T 41.9/6.6
C60 4030017690 S.CER ECJ0EC1H121J T 42.2/7.8
C61 4030017720 S.CER ECJ0EB1H331K T 42.8/6.6
C62 4030016930 S.CER ECJ0EB1A104K T 35.6/6.5
C63 4030016930 S.CER ECJ0EB1A104K T 49.3/22.2
C101 4030017580 S.CER ECJ0EC1H060C T 26.4/8.7
C102 4030017660 S.CER ECJ0EC1H330J T 23.1/2.6
C104 4030017780 S.CER ECJ0EB1E472K T 21.1/7.6
C105 4030017460 S.CER ECJ0EB1E102K T 24.8/6.5
C120 4030017780 S.CER ECJ0EB1E472K T 37.3/11.5
C126 4030017780 S.CER ECJ0EB1E472K T 22.7/6.9
C150 4030017780 S.CER ECJ0EB1E472K T 44/10.7
C151 4030017780 S.CER ECJ0EB1E472K T 46.3/13.6
C152 4030017640 S.CER ECJ0EC1H150J T 43.3/16
C154 4030017660 S.CER ECJ0EC1H330J T 46.6/14.6
C155 4030017600 S.CER ECJ0EC1H080C T 46.4/16.7
C156 4030017660 S.CER ECJ0EC1H330J T 47/18.2
C157 4030007090 S.CER C1608 CH 1H 470J-T B 53/16
C202 4030017590 S.CER ECJ0EC1H070C T 43.8/17.2
C203 4030007060 S.CER C1608 CH 1H 270J-T B 37.8/15.9
C204 4030016930 S.CER ECJ0EB1A104K T 35.1/20.1
C206 4030017560 S.CER ECJ0EC1H2R5B T 43.4/21.7
C207 4030007110 S.CER C1608 CH 1H 680J-T B 44/21.7
C208 4030009910 S.CER C1608 CH 1H 040B-T B 40.9/21.7
C209 4030007060 S.CER C1608 CH 1H 270J-T B 43.1/20.4
C210 4030009910 S.CER C1608 CH 1H 040B-T B 40.8/19.1
C211 4030017460 S.CER ECJ0EB1E102K T 42.2/17.6
C216 4030017780 S.CER ECJ0EB1E472K T 46.3/20.8
C217 4030007120 S.CER C1608 CH 1H 820J-T B 43.9/19.1
C218 4030011770 S.CER C1608 CH 1H 060B-T B 43.2/17.8
C219 4030007010 S.CER C1608 CH 1H 100D-T B 46.2/17.8
C221 4030006880 S.CER C1608 JB 1H 472K-T B 46/15
C222 4030009910 S.CER C1608 CH 1H 040B-T B 40.7/14.7
C223 4030006880 S.CER C1608 JB 1H 472K-T B 46/13.5
C224 4030018630 S.CER C2012 CH 1H 472J-T B 39.2/11.4
C251 4030011600 S.CER C1608 JB 1E 104K-T B 27.6/12.2
C252 4030011600 S.CER C1608 JB 1E 104K-T B 28.7/23.5
C253 4550007090 S.TAN TEESVA 1A 226M8R B 29.6/21.7
C254 4030011600 S.CER C1608 JB 1E 104K-T B 29.2/12.2
C255 4550007090 S.TAN TEESVA 1A 226M8R B 29.5/19.3
C301 4030016930 S.CER ECJ0EB1A104K T 35.1/22.2
C302 4030016930 S.CER ECJ0EB1A104K T 36.2/22.2
C303 4030016930 S.CER ECJ0EB1A104K T 37.3/22.2
C304 4030016930 S.CER ECJ0EB1A104K T 38.2/22.2
C305 4030016930 S.CER ECJ0EB1A104K T 39.1/22.2
C306 4030016930 S.CER ECJ0EB1A104K T 43.6/24.6
C307 4030016930 S.CER ECJ0EB1A104K T 31.2/28.3
C308 4030016930 S.CER ECJ0EB1A104K T 43.6/25.5
C309 4030016930 S.CER ECJ0EB1A104K T 43/26.7
C310 4030016930 S.CER ECJ0EB1A104K T 43.9/26.7
C312 4030016930 S.CER ECJ0EB1A104K T 43.4/30.6
C314 4030017780 S.CER ECJ0EB1E472K T 36.2/33.8
C317 4030011600 S.CER C1608 JB 1E 104K-T B 42.6/26.2
C318 4030006880 S.CER C1608 JB 1H 472K-T B 38.6/25.4
C319 4030011600 S.CER C1608 JB 1E 104K-T B 36.6/26.3
C320 4030018960 S.CER C3216 JB 1C 106MT-N B 37.3/32.3
C321 4030017660 S.CER ECJ0EC1H330J T 51.2/30.2
C323 4030017510 S.CER ECJ0EC1H680J T 47.2/33.3
C325 4030017660 S.CER ECJ0EC1H330J T 48.8/35.7
C326 4030017640 S.CER ECJ0EC1H150J T 51/33
C327 4030006880 S.CER C1608 JB 1H 472K-T B 36.4/30.3
C331 4030017390 S.CER ECJ0EC1H180J T 46.6/44.5
C333 4030017670 S.CER ECJ0EC1H390J T 48.4/44.5
C335 4030017390 S.CER ECJ0EC1H180J T 50.2/44.5
C341 4030007090 S.CER C1608 CH 1H 470J-T B 42.5/39.7
C342 4030007090 S.CER C1608 CH 1H 470J-T B 43.7/42.1
C343 4030007140 S.CER C1608 CH 1H 121J-T B 41.3/39
C344 4030007100 S.CER C1608 CH 1H 560J-T B 42.7/34.3
C345 4030017510 S.CER ECJ0EC1H680J T 45.5/37.9
C346 4030017510 S.CER ECJ0EC1H680J T 45.7/39.7
C401 4030017460 S.CER ECJ0EB1E102K T 51.1/44.5
C402 4030017460 S.CER ECJ0EB1E102K T 52.3/48.9
C403 4030017430 S.CER ECJ0EC1H101J T 47.9/46.1
C411 4030017400 S.CER ECJ0EC1H220J T 48.1/49.7
C412 4030017630 S.CER ECJ0EC1H120J T 47.7/47.3
C413 4030017400 S.CER ECJ0EC1H220J T 46.7/49.4
C451 4030017420 S.CER ECJ0EC1H470J T 40.2/40.6
C453 4030017460 S.CER ECJ0EB1E102K T 46.1/46.8
C454 4030017460 S.CER ECJ0EB1E102K T 35.3/47.9
C456 4030016930 S.CER ECJ0EB1A104K T 31.2/48
C457 4030017460 S.CER ECJ0EB1E102K T 35.3/47
C458 4030017460 S.CER ECJ0EB1E102K T 30.5/49.8
C459 4030017460 S.CER ECJ0EB1E102K T 27/50.6
C460 4030017780 S.CER ECJ0EB1E472K T 39.3/50
C461 4030006880 S.CER C1608 JB 1H 472K-T T 30.7/42.2
C463 4030017420 S.CER ECJ0EC1H470J T 40.6/41.8
C464 4030017690 S.CER ECJ0EC1H121J T 41.5/40.2
C465 4030017400 S.CER ECJ0EC1H220J T 37.7/41.8
C466 4030017570 S.CER ECJ0EC1H040B T 38.1/40.6
C467 4030017400 S.CER ECJ0EC1H220J T 37.2/40.6
C468 4030017360 S.CER ECJ0EC1H030B T 29/48
C469 4030017370 S.CER ECJ0EC1H3R5B T 29/47.1
C470 4030017380 S.CER ECJ0EC1H050B T 29/46.2
C471 4030017380 S.CER ECJ0EC1H050B T 35.6/43.9
C472 4030017660 S.CER ECJ0EC1H330J T 34.7/41.8
C473 4030017570 S.CER ECJ0EC1H040B T 34/43
C474 4030017460 S.CER ECJ0EB1E102K T 41.6/36.7
C475 4030017460 S.CER ECJ0EB1E102K T 30.5/36.7
S.=Surface mount
REF ORDER DESCRIPTION M. H/V
NO. NO.
LOCATION
[DDS UNIT]

5 - 23
REF ORDER DESCRIPTION M. H/V
NO. NO.
LOCATION
[DDS UNIT]
C476 4030017780 S.CER ECJ0EB1E472K T 29.6/40
C477 4030017780 S.CER ECJ0EB1E472K T 42.4/48.8
C478 4030006880 S.CER C1608 JB 1H 472K-T B 39.8/39.1
C479 4030006880 S.CER C1608 JB 1H 472K-T B 38/37.3
C480 4030017630 S.CER ECJ0EC1H120J T 35.6/41.8
C481 4030017360 S.CER ECJ0EC1H030B T 35.6/43
C501 4030007080 S.CER C1608 CH 1H 390J-T B 19/42.6
C502 4030007120 S.CER C1608 CH 1H 820J-T B 18.3/44.1
C503 4030007060 S.CER C1608 CH 1H 270J-T B 16.1/43.8
C504 4030017780 S.CER ECJ0EB1E472K T 16.1/49.3
C505 4030017660 S.CER ECJ0EC1H330J T 12.6/47.2
C506 4030017620 S.CER ECJ0EC1H100C T 12.1/48.4
C507 4030017500 S.CER ECJ0EC1H560J T 11.4/47.2
C508 4030017580 S.CER ECJ0EC1H060C T 10.5/48.4
C509 4030017420 S.CER ECJ0EC1H470J T 10.2/47.2
C510 4030017350 S.CER ECJ0EC1H020B T 8.9/47.5
C511 4030017670 S.CER ECJ0EC1H390J T 7.7/47.2
C512 4030017780 S.CER ECJ0EB1E472K T 5.5/50.7
C513 4030017780 S.CER ECJ0EB1E472K T 15.9/46.8
C551 4030017650 S.CER ECJ0EC1H270J T 22.5/45.4
C552 4030017500 S.CER ECJ0EC1H560J T 21.1/45
C553 4030017650 S.CER ECJ0EC1H270J T 19.2/45.4
C554 4030017780 S.CER ECJ0EB1E472K T 15.6/43.2
C555 4030017670 S.CER ECJ0EC1H390J T 14.5/42
C556 4030017350 S.CER ECJ0EC1H020B T 14/43.2
C557 4030017420 S.CER ECJ0EC1H470J T 13.1/42
C558 4030017590 S.CER ECJ0EC1H070C T 10/43.2
C559 4030017420 S.CER ECJ0EC1H470J T 8.9/42
C560 4030017630 S.CER ECJ0EC1H120J T 8.4/43.2
C561 4030017660 S.CER ECJ0EC1H330J T 7.9/42
C562 4030017780 S.CER ECJ0EB1E472K T 4.9/45.3
C563 4030017780 S.CER ECJ0EB1E472K T 11.7/41.6
C601 4030017780 S.CER ECJ0EB1E472K T 24.7/39.9
C602 4030017400 S.CER ECJ0EC1H220J T 23.3/37.6
C603 4030017360 S.CER ECJ0EC1H030B T 21.9/37.8
C604 4030017630 S.CER ECJ0EC1H120J T 13.3/40.4
C605 4030017620 S.CER ECJ0EC1H100C T 11.6/40.4
C606 4030017660 S.CER ECJ0EC1H330J T 18.4/36.9
C607 4030017600 S.CER ECJ0EC1H080C T 17.7/38.1
C608 4030017650 S.CER ECJ0EC1H270J T 17.2/36.9
C609 4030017640 S.CER ECJ0EC1H150J T 16.1/38.1
C610 4030017640 S.CER ECJ0EC1H150J T 15.9/36.9
C611 4030017440 S.CER ECJ0EC1H221J T 12.1/39.5
C612 4030017510 S.CER ECJ0EC1H680J T 10.2/40
C613 4030017620 S.CER ECJ0EC1H100C T 8.2/40.1
C614 4030017640 S.CER ECJ0EC1H150J T 5.4/40.3
C615 4030017670 S.CER ECJ0EC1H390J T 6.8/39.9
C616 4030017780 S.CER ECJ0EB1E472K T 6.8/38.2
C617 4030017780 S.CER ECJ0EB1E472K T 22/36.4
C618 4030017650 S.CER ECJ0EC1H270J T 3.3/37.1
C651 4030017620 S.CER ECJ0EC1H100C T 24.6/34.8
C652 4030017450 S.CER ECJ0EB1E271K T 23.7/34.8
C653 4030017590 S.CER ECJ0EC1H070C T 21.7/35.2
C654 4030017680 S.CER ECJ0EC1H820J T 20.4/34.8
C655 4030017600 S.CER ECJ0EC1H080C T 19.2/35.2
C656 4030017420 S.CER ECJ0EC1H470J T 17.9/34.8
C657 4030017630 S.CER ECJ0EC1H120J T 16.5/35.2
C658 4030017340 S.CER ECJ0EC1H010B T 13.3/32.8
C659 4030017360 S.CER ECJ0EC1H030B T 9.4/32.6
C660 4030017640 S.CER ECJ0EC1H150J T 14.6/32.3
C661 4030017650 S.CER ECJ0EC1H270J T 12.8/31.6
C662 4030017400 S.CER ECJ0EC1H220J T 8.5/31.6
C663 4030017380 S.CER ECJ0EC1H050B T 8/32.8
C664 4030017460 S.CER ECJ0EB1E102K T 5.4/34.9
C665 4030017390 S.CER ECJ0EC1H180J T 7.6/31.6
C666 4030017780 S.CER ECJ0EB1E472K T 11.5/31.2
C701 4030017460 S.CER ECJ0EB1E102K T 25/29.3
C702 4030017640 S.CER ECJ0EC1H150J T 23.6/27.2
C703 4030017540 S.CER ECJ0EC1HR75B T 22.2/27.4
C704 4030017650 S.CER ECJ0EC1H270J T 18.7/26.4
C705 4030017350 S.CER ECJ0EC1H020B T 18.2/27.7
C706 4030017400 S.CER ECJ0EC1H220J T 17.5/26.4
C707 4030017570 S.CER ECJ0EC1H040B T 16.6/27.7
C708 4030017390 S.CER ECJ0EC1H180J T 16.3/26.4
C709 4030017590 S.CER ECJ0EC1H070C T 13.9/30
C710 4030017500 S.CER ECJ0EC1H560J T 12.5/29.1
C711 4030017380 S.CER ECJ0EC1H050B T 11.9/30
C712 4030017500 S.CER ECJ0EC1H560J T 10.7/29.3
C713 4030017380 S.CER ECJ0EC1H050B T 9.5/29.6
C714 4030017710 S.CER ECJ0EC1H181J T 8.1/29.7
C715 4030017630 S.CER ECJ0EC1H120J T 6.9/29.3
C716 4030017780 S.CER ECJ0EB1E472K T 21.5/26
C717 4030017460 S.CER ECJ0EB1E102K T 5.3/29.3
C751 4030017590 S.CER ECJ0EC1H070C T 24.8/24.5
C752 4030017710 S.CER ECJ0EC1H181J T 23.9/24.5
C753 4030017380 S.CER ECJ0EC1H050B T 21.4/24.8
C754 4030017500 S.CER ECJ0EC1H560J T 20.4/23.9
C755 4030017380 S.CER ECJ0EC1H050B T 19.8/24.8
C756 4030017650 S.CER ECJ0EC1H270J T 18.6/24.4
C757 4030017600 S.CER ECJ0EC1H080C T 16.7/24.8
C758 4030017610 S.CER ECJ0EC1H090C T 15/21.9
M.=Mounted side (T: Mounted on the Top side, B: Mounted on the Bottom side)
S.=Surface mount
REF ORDER DESCRIPTION M. H/V
NO. NO.
LOCATION
[DDS UNIT]
C759 4030017530 S.CER ECJ0EC1H0R5B T 14.1/22.2
C760 4030017640 S.CER ECJ0EC1H150J T 13.2/21.9
C761 4030017350 S.CER ECJ0EC1H020B T 9.7/22.2
C762 4030017630 S.CER ECJ0EC1H120J T 8.6/21.2
C763 4030017360 S.CER ECJ0EC1H030B T 8.2/22.4
C764 4030017620 S.CER ECJ0EC1H100C T 7.7/21.2
C765 4030017460 S.CER ECJ0EB1E102K T 5.3/24.6
C766 4030017780 S.CER ECJ0EB1E472K T 11.9/20.8
C802 4030017590 S.CER ECJ0EC1H070C T 26.5/19.3
C803 4030017380 S.CER ECJ0EC1H050B T 25.2/18.9
C804 4030017570 S.CER ECJ0EC1H040B T 24.3/18.9
C806 4030017600 S.CER ECJ0EC1H080C T 24.3/17.2
C807 4030017360 S.CER ECJ0EC1H030B T 23.4/18.9
C808 4030017660 S.CER ECJ0EC1H330J T 23/16.7
C809 4030017570 S.CER ECJ0EC1H040B T 23/17.6
C810 4030017570 S.CER ECJ0EC1H040B T 21.7/16.6
C811 4030017590 S.CER ECJ0EC1H070C T 21.2/17.9
C812 4030017610 S.CER ECJ0EC1H090C T 20.8/16.6
C813 4030017350 S.CER ECJ0EC1H020B T 19.7/18.7
C814 4030017580 S.CER ECJ0EC1H060C T 19.7/17
C815 4030017460 S.CER ECJ0EB1E102K T 20.3/12.5
C816 4030017460 S.CER ECJ0EB1E102K T 15.1/10.8
C817 4030017730 S.CER ECJ0EB1E471K T 19/9
C824 4030017590 S.CER ECJ0EC1H070C T 13/13
C825 4030017380 S.CER ECJ0EC1H050B T 14.2/13.4
C826 4030017570 S.CER ECJ0EC1H040B T 13/15.1
C827 4030017620 S.CER ECJ0EC1H100C T 14.6/15.5
C828 4030017360 S.CER ECJ0EC1H030B T 13.9/16.4
C829 4030017660 S.CER ECJ0EC1H330J T 12.7/16.9
C830 4030017570 S.CER ECJ0EC1H040B T 11.8/17.6
C831 4030017570 S.CER ECJ0EC1H040B T 11.8/19.2
C832 4030017590 S.CER ECJ0EC1H070C T 10.3/19.1
C833 4030017610 S.CER ECJ0EC1H090C T 8.4/19.1
C834 4030017350 S.CER ECJ0EC1H020B T 8/17.9
C835 4030017580 S.CER ECJ0EC1H060C T 7/19.5
C838 4030017460 S.CER ECJ0EB1E102K T 5.3/19.5
C839 4030017780 S.CER ECJ0EB1E472K T 25.4/14.5
C840 4030017460 S.CER ECJ0EB1E102K T 6.5/15.6
C841 4030006860 S.CER C1608 JB 1H 102K-T B 3.6/22.2
C851 4030017780 S.CER ECJ0EB1E472K T 4.5/14
C901 4030017780 S.CER ECJ0EB1E472K T 2.4/68.4
C902 4030017430 S.CER ECJ0EC1H101J T 16/53.2
C951 4030016930 S.CER ECJ0EB1A104K T 52.3/38.2
C952 4030011600 S.CER C1608 JB 1E 104K-T T 58.3/46.9
C953 4030016930 S.CER ECJ0EB1A104K T 54/18.3
C954 4030017780 S.CER ECJ0EB1E472K T 54.1/28.1
C955 4030016930 S.CER ECJ0EB1A104K T 52.8/33.2
C956 4030016930 S.CER ECJ0EB1A104K T 49.2/21
C957 4030016930 S.CER ECJ0EB1A104K T 53.8/35.9
C958 4030017780 S.CER ECJ0EB1E472K T 52.8/34.1
C959 4030017780 S.CER ECJ0EB1E472K T 52.8/35
C960 4030016930 S.CER ECJ0EB1A104K T 53.5/38.9
C961 4030016930 S.CER ECJ0EB1A104K T 52.3/39.8
C962 4030016930 S.CER ECJ0EB1A104K T 52.3/44.6
C963 4030016930 S.CER ECJ0EB1A104K T 53.5/38
C964 4030017460 S.CER ECJ0EB1E102K T 55/44.8
C966 4030016930 S.CER ECJ0EB1A104K T 52.3/41.4
C967 4030016930 S.CER ECJ0EB1A104K T 52.3/43
C968 4030018960 S.CER C3216 JB 1C 106MT-N B 42/43.9
C972 4030018970 S.CER C3225 JB 1C 226MT-N B 42.2/3.5
C973 4030018970 S.CER C3225 JB 1C 226MT-N B 29/2.7
C974 4030018970 S.CER C3225 JB 1C 226MT-N B 32/2.7
C975 4550007140 S.TAN TEESVD 1C 107M12R B 16.7/4.1
C976 4550007140 S.TAN TEESVD 1C 107M12R B 23.5/10.5
C977 4550007140 S.TAN TEESVD 1C 107M12R B 23.5/19.5
C978 4550007140 S.TAN TEESVD 1C 107M12R B 32.3/10.5
C981 4030016930 S.CER ECJ0EB1A104K T 54.4/12.5
C982 4030006860 S.CER C1608 JB 1H 102K-T B 14/67.1
C983 4030006860 S.CER C1608 JB 1H 102K-T B 7.4/74
C991 4030006860 S.CER C1608 JB 1H 102K-T B 10/68.1
C992 4030006860 S.CER C1608 JB 1H 102K-T B 7.2/67.3
C993 4030006860 S.CER C1608 JB 1H 102K-T B 4.2/74
C994 4030006860 S.CER C1608 JB 1H 102K-T B 5.6/71.3
C995 4030006860 S.CER C1608 JB 1H 102K-T B 2.2/59.2
C996 4030006860 S.CER C1608 JB 1H 102K-T B 5/58.8
C997 4030006860 S.CER C1608 JB 1H 102K-T B 2.9/55
C998 4030006860 S.CER C1608 JB 1H 102K-T B 3.1/62.6
C1001 4030011600 S.CER C1608 JB 1E 104K-T T 58.3/48.4
C1051 4030006880 S.CER C1608 JB 1H 472K-T B 20.2/65.3
C1052 4030006880 S.CER C1608 JB 1H 472K-T B 19.2/60.3
C1101 4030017780 S.CER ECJ0EB1E472K T 38.9/52.1
C1102 4030017780 S.CER ECJ0EB1E472K T 44.2/50.3
C1104 4030017780 S.CER ECJ0EB1E472K T 42.2/62.2
C1105 4030017780 S.CER ECJ0EB1E472K T 40.6/59.9
C1106 4030017780 S.CER ECJ0EB1E472K T 40.4/55.9
C1107 4030017780 S.CER ECJ0EB1E472K T 43.3/56.9
C1108 4030017460 S.CER ECJ0EB1E102K T 40.1/62.2
C1109 4030006880 S.CER C1608 JB 1H 472K-T B 35.1/76.9
C1110 4030017780 S.CER ECJ0EB1E472K T 33.5/59.6
C1111 4030017780 S.CER ECJ0EB1E472K T 29.7/59.6
C1112 4030017780 S.CER ECJ0EB1E472K T 38.2/63.4

5 - 24
M.=Mounted side (T: Mounted on the Top side, B: Mounted on the Bottom side)
REF ORDER DESCRIPTION M. H/V
NO. NO.
LOCATION
[DDS UNIT]
C1113 4030017780 S.CER ECJ0EB1E472K T 37.1/59.7
C1114 4030017780 S.CER ECJ0EB1E472K T 24.4/60.6
C1115 4030017780 S.CER ECJ0EB1E472K T 35.3/59.8
C1116 4030017460 S.CER ECJ0EB1E102K T 23.1/63.7
C1117 4030006860 S.CER C1608 JB 1H 102K-T B 20.9/63.9
C1151 4030017780 S.CER ECJ0EB1E472K T 50.5/66.3
C1152 4030017780 S.CER ECJ0EB1E472K T 46.4/66.3
C1153 4030017780 S.CER ECJ0EB1E472K T 43.7/68.2
C1154 4030017780 S.CER ECJ0EB1E472K T 52/66.3
C1155 4030017780 S.CER ECJ0EB1E472K T 57.9/68.3
RL1101 6330001721 RLY ATN207-K1
J151 6510007020 CNR TMP-J01X-V6
J851 6510018450 CNR TMP-S01X-B1
J951 6510024880 S.CNR 52689-3087 T 59.2/35.3
J952 6510024880 S.CNR 52689-3087 T 59.2/12.4
J1001 6510003520 CNR S04B-EH-S
J1051 6450001790 CNR HLJ7000-01-3010
J1101 6450001641 CNR TCS5044-0141177
J1151 6450001841 CNR TCS7568-43-201
EP6 6910012350 S.BEA MMZ1608Y 102BT B 12.9/8.4
EP251 6910012350 S.BEA MMZ1608Y 102BT B 33.1/18.7
EP301 6910012350 S.BEA MMZ1608Y 102BT B 49.7/25
EP302 6910012350 S.BEA MMZ1608Y 102BT B 32.9/27.8
EP303 6910012350 S.BEA MMZ1608Y 102BT B 32.9/26.1
EP304 6910012350 S.BEA MMZ1608Y 102BT B 35.8/28.4
EP305 6910012350 S.BEA MMZ1608Y 102BT B 41/27.1
EP451 6910012350 S.BEA MMZ1608Y 102BT B 39.9/47.8
EP452 6910012350 S.BEA MMZ1608Y 102BT B 48.6/44.6
EP809 6910012350 S.BEA MMZ1608Y 102BT B 16.6/7.1
EP951 6910012350 S.BEA MMZ1608Y 102BT B 53.3/24.3
EP952 6910012350 S.BEA MMZ1608Y 102BT B 49.9/22.6
EP953 6910012350 S.BEA MMZ1608Y 102BT T 54/43.4
EP954 6910012350 S.BEA MMZ1608Y 102BT T 54/42.1
EP955 6910012350 S.BEA MMZ1608Y 102BT T 54.2/40
EP956 6910012350 S.BEA MMZ1608Y 102BT T 54.6/37
EP957 6910012350 S.BEA MMZ1608Y 102BT B 39.5/46.1
EP958 6910012350 S.BEA MMZ1608Y 102BT B 55.9/47.4
EP959 6910012350 S.BEA MMZ1608Y 102BT B 55.9/32.7
EP960 6910012350 S.BEA MMZ1608Y 102BT B 56.9/28.9
EP964 6910012350 S.BEA MMZ1608Y 102BT B 53.3/22.2
EP981 6910012350 S.BEA MMZ1608Y 102BT T 55.3/14.2
EP1003 6910016790 S.BEA FHH-1M3216-601 T 57.3/50.3
EP1004 6910016790 S.BEA FHH-1M3216-601 T 53.9/50
EP1051 6910012350 S.BEA MMZ1608Y 102BT B 20.2/66.8
EP1052 6910012350 S.BEA MMZ1608Y 102BT B 19.2/58.7
EP1100 6910012350 S.BEA MMZ1608Y 102BT B 38.7/63.4
EP1101 6910012350 S.BEA MMZ1608Y 102BT T 27.5/63.3
EP1102 6910012350 S.BEA MMZ1608Y 102BT T 34.4/62.4
EP1103 6910012350 S.BEA MMZ1608Y 102BT T 51.1/69.2
EP1104 6910012350 S.BEA MMZ1608Y 102BT T 56.1/69.2
EP1105 6910014730 S.BEA MPZ2012S331A-T B 41/67.8
EP1106 6910014730 S.BEA MPZ2012S331A-T B 34.7/61.7
EP1107 6910014730 S.BEA MPZ2012S331A-T B 31.4/61.7
EP1108 6910014730 S.BEA MPZ2012S331A-T B 27.5/73.6
S.=Surface mount
J1 6510000370 CNR MR-DS
J2 6510000370 CNR MR-DS
SP1 2510000991 SP VS-C66Y0811A
MF1 2710000790 FAN AFB0512HB-4L50
W1 8600037110 WIR SP CABLE (P01CH)
W3 8900015210 CBL OPC-1448A (P0.5, N28, L60)
W4 8900015210 CBL OPC-1448A (P0.5, N28, L60)
W5 8900015220 CBL OPC-1461A (P0.5, N30, L40)
W6 8900015220 CBL OPC-1461A (P0.5, N30, L40)
W7 8900013970 CBL OPC-1450 (N=10, L=53)
W11 8600037122 WIR P02*J03CH-2 M500
W15 8970024620 WIR 1.5D COAXIAL 95 mm
W17 8970024630 WIR 1.5D COAXIAL 170 mm
REF ORDER DESCRIPTION M. H/V
NO. NO.
LOCATION
[CHASSIS UNIT]
J1 6510019971 S.CNR 52808-1071
W1 8900014810 CBL OPC-1579
REF ORDER DESCRIPTION M. H/V
NO. NO.
LOCATION
[CONNECT UNIT]

5 - 25
M.=Mounted side (T: Mounted on the Top side, B: Mounted on the Bottom side)
REF ORDER DESCRIPTION M. H/V
NO. NO.
LOCATION
[HM-151]
IC1 1140011490 S.IC µPD789071MC-041-5A4-E1 B 51.1/24.5
IC3 1110006310 S.IC BD5245G-TR B 67.3/34.8
Q1 1530001941 S.TR 2SC2712-BL (TE85R,F) B 26.1/11
Q2 1590000680 S.TR DTC114EUA T106 B 21.6/34.8
Q3 1590001330 S.TR DTA114EUA T106 B 24.7/34.8
Q5 1510000771 S.TR 2SA1586-GR (TE85R,F) B 54.8/37.7
D1 1790000950 S.ZEN MA8056-M (TX) B 23.1/17
D3 1750000940 S.DIO ISS400 TE61 B 64.7/23.2
D4 1750000940 S.DIO ISS400 TE61 B 64.7/29.2
D6 1750000940 S.DIO ISS400 TE61 B 58.7/20.8
D7 1750000940 S.DIO ISS400 TE61 B 42.8/16.7
D9 1750000940 S.DIO ISS400 TE61 B 34.1/16.3
D10 1750000940 S.DIO ISS400 TE61 B 34.9/17.8
D11 1750000940 S.DIO ISS400 TE61 B 38.8/14.5
D16 1730002280 S.ZEN MA8091-M (TX) B 55.2/14.5
D17 1730002280 S.ZEN MA8091-M (TX) B 48.8/14.5
D18 1730002280 S.ZEN MA8091-M (TX) B 13.1/13.7
X1 6060000610 S.CER EFOS4914E3 B 42.6/22.3
L1 6200005051 S.COL NLV25T-330J B 12.3/28.9
L2 6200005011 S.COL NLV25T-100J B 11/13.9
R2 7030000400 S.RES MCR10EZHJ 1.5 kΩ B 24.2/8.3
R3 7030000400 S.RES MCR10EZHJ 1.5 kΩ B 41.9/8.3
R4 7030000400 S.RES MCR10EZHJ 1.5 kΩ B 57.3/8.2
R5 7030003400 S.RES ERJ3GEYJ 471 V (470Ω) B 28.6/11.2
R6 7030003620 S.RES ERJ3GEYJ 333 V (33 kΩ) B 26.8/34.7
R7 7030003620 S.RES ERJ3GEYJ 333 V (33 kΩ) B 23.3/36.8
R8 7030003550 S.RES ERJ3GEYJ 822 V (8.2 kΩ) B 19.1/33.7
R11 7030003480 S.RES ERJ3GEYJ 222 V (2.2 kΩ) B 53/35
R12 7030003560 S.RES ERJ3GEYJ 103 V (10 kΩ) B 55/34.2
R14 7030003440 S.RES ERJ3GEYJ 102 V (1 kΩ) B 47.2/6.1
R18 7030003560 S.RES ERJ3GEYJ 103 V (10 kΩ) B 41.6/33.6
R19 7030003640 S.RES ERJ3GEYJ 473 V (47 kΩ) B 38.4/34.5
R22 7030003520 S.RES ERJ3GEYJ 472 V (4.7 kΩ) B 37.9/18.7
R23 7030003520 S.RES ERJ3GEYJ 472 V (4.7 kΩ) B 56.1/18.1
R24 7030003520 S.RES ERJ3GEYJ 472 V (4.7 kΩ) B 58/18.6
R25 7030003520 S.RES ERJ3GEYJ 472 V (4.7 kΩ) B 59.8/18.9
R27 7030003560 S.RES ERJ3GEYJ 103 V (10 kΩ) B 68.1/32.5
R35 7030000400 S.RES MCR10EZHJ 1.5 kΩ B 69.1/11.9
R36 7030003560 S.RES ERJ3GEYJ 103 V (10 kΩ) B 20.5/30.6
R37 7030003460 S.RES ERJ3GEYJ 152 V (1.5 kΩ) B 19.1/30.6
R39 7030003480 S.RES ERJ3GEYJ 222 V (2.2 kΩ) B 24.4/5.7
R40 7030003480 S.RES ERJ3GEYJ 222 V (2.2 kΩ) B 24.4/3
R41 7030003580 S.RES ERJ3GEYJ 153 V (15 kΩ) B 17/32.7
R42 7030003860 S.RES ERJ3GE JPW V B 68.4/21.6
R44 7030003440 S.RES ERJ3GEYJ 102 V (1 kΩ) B 57.3/22.1
R45 7030003440 S.RES ERJ3GEYJ 102 V (1 kΩ) B 53.9/18
R46 7030003440 S.RES ERJ3GEYJ 102 V (1 kΩ) B 37.8/15.8
R47 7030003440 S.RES ERJ3GEYJ 102 V (1 kΩ) B 37.6/17.1
R48 7030003440 S.RES ERJ3GEYJ 102 V (1 kΩ) B 45.3/17.6
R49 7030003440 S.RES ERJ3GEYJ 102 V (1 kΩ) B 57.3/26.2
R50 7030003440 S.RES ERJ3GEYJ 102 V (1 kΩ) B 58.1/23.4
C1 4030006850 S.CER C1608 JB 1H 471K-T B 52/16.9
C2 4510008500 S.ELE EEE1CA101WP B 35.5/5.8
C5 4030007050 S.CER C1608 CH 1H 220J-T B 14.9/30.4
C9 4030007050 S.CER C1608 CH 1H 220J-T B 20.8/16.8
C10 4030007050 S.CER C1608 CH 1H 220J-T B 19.8/11.6
C11 4030007050 S.CER C1608 CH 1H 220J-T B 17/5.6
C12 4030011600 S.CER C1608 JB 1E 104K-T B 64.9/34.4
C13 4030011600 S.CER C1608 JB 1E 104K-T B 44.3/27.6
C14 4030006900 S.CER C1608 JB 1H 103K-T B 67.5/37.2
C16 4030006860 S.CER C1608 JB 1H 102K-T B 14.7/13.6
C17 4030006880 S.CER C1608 JB 1H 472K-T B 11.7/17.4
C18 4030006880 S.CER C1608 JB 1H 472K-T B 10.4/17.4
C19 4030011600 S.CER C1608 JB 1E 104K-T B 13/25.8
C21 4030011600 S.CER C1608 JB 1E 104K-T B 11.7/25.8
C22 4030011600 S.CER C1608 JB 1E 104K-T B 10.4/28.5
C23 4030011600 S.CER C1608 JB 1E 104K-T B 23.1/14
C24 4030011600 S.CER C1608 JB 1E 104K-T B 67.2/12.1
C25 4030011600 S.CER C1608 JB 1E 104K-T B 25.6/32.2
C26 4030011600 S.CER C1608 JB 1E 104K-T B 44.5/6.1
C27 4030011600 S.CER C1608 JB 1E 104K-T B 51.7/35
C29 4510008540 S.ELE EEE1CA100SR B 26.4/16
C30 4030010210 S.CER C3216 JB 1C 105M-T B 19.8/4.6
C31 4510008540 S.ELE EEE1CA100SR B 28.3/4.9
C32 4030011600 S.CER C1608 JB 1E 104K-T B 55/35.7
J1 6510023110 CNR 3008L-8P8C
DS1 5010000120 S.LED LN1371G-(TR) T 21.9/11
DS2 5010000120 S.LED LN1371G-(TR) T 21.9/32
DS3 5010000120 S.LED LN1371G-(TR) T 39.3/11
DS4 5010000120 S.LED LN1371G-(TR) T 39.3/32
DS5 5010000120 S.LED LN1371G-(TR) T 55.9/2.5
DS6 5010000120 S.LED LN1371G-(TR) T 56.2/26.8
DS7 5010000120 S.LED LN1371G-(TR) T 71.7/14.8
DS8 5010000120 S.LED LN1371G-(TR) T 72.2/33.8
DS10 5040002890 S.LED SML-310FT T86 T 51.6/5
DS11 5040002620 S.LED SML-311UT T86 T 51.6/38
MC1 7700002310 MIC EM-140
S1 2260000980 SW SKHHLP014A
W1 8900011270 WIR OPC-1153
EP1 6910012350 S.BEA MMZ1608Y 102BT B 10.4/25.8
EP2 6910012350 S.BEA MMZ1608Y 102BT B 14.3/17.4
EP3 6910012350 S.BEA MMZ1608Y 102BT B 13/17.4
EP4 6910012350 S.BEA MMZ1608Y 102BT B 14.7/11
EP5 6910012350 S.BEA MMZ1608Y 102BT B 15/25
S.=Surface mount
REF ORDER DESCRIPTION M. H/V
NO. NO.
LOCATION
[HM-151]

SECTION 6 MECHANICAL PARTS AND DISASSEMBLY
6 - 1
[MAIN UNIT]
MP1 8510017200 2427 A-shield plate 1
MP2 8930067510 2427 B-earth spring 1
MP3 8930030380 Ferrite sheet (C) 15 × 8 × 2 1
MP4 8930068000 Shield sponge (AT) 1
MP101 8510017330 2427 LPF case Y807 1
MP102* 8930068000 Shield sponge (AT) 1
MP201 8510017210 2427 B-shield plate 1
MP501* 8510017620 2427 mix shield plate 1
MP802 8930067500 2427 A-earth spring 1
MP1951 8510017200 2427 A-shield plate 1
MP2001 8510017170 2427 mic plate 1
MP2002 8930068240 2427 C-earth spring 1
ORDER
NO.
REF.
NO. DESCRIPTION QTY.
[FRONT UNIT]
W1 8900013940 Cable OPC-1447 (N=10, L=30) 1
W2 8900013990 Cable OPC-1445 1
DS1 5030002820 LCD LTA025A161A 1
EP1 0880001670 Encoder EX-2832 1
MP1 8210021760 2427 front panel 1
MP2 8210021770 2427 rear panel 1
MP4 8310063800 2427 window plate 1
MP5 8930069540 2427 A-window sheet 1
MP11 8610012370 Knob N328 1
MP12 8610012380 Knob N328 (A) 1
MP13 8610012390 Knob N329 1
MP14 8610012400 Knob N330 1
MP18 8930065660 2427 brake button 1
MP19 8930065541 2427 power button-1 1
MP20 8930065550 2427 release button 1
MP21 8610012340 Knob K246 1
MP22 8610012330 Knob K247 1
MP23 8610012320 Knob K248 1
MP24 8610012311 Knob K249-1 1
MP25 8610012300 Knob K250 1
MP26 8610012290 Knob K251 1
MP27 8610012280 Knob K252 1
MP28 8610012270 Knob K253 1
MP29 8610012260 Knob K254 1
MP30 8610012250 Knob K255 1
MP31 8610012240 Knob K255 (A) 1
MP32 8610012210 Knob K256 1
MP33 8610012220 Knob K257 1
MP34 8610012230 Knob K258 1
MP35 8930065530 2427 TS lock button 1
MP41 8930065590 2427 LCD holder 1
MP42 8210021790 2427 reflector 1
MP43 8850002610 Plain washer (AI) 1
MP44 8830002440 2427 nut 1
MP51 8930065570 2427 A-release button 1
MP52 8930065580 2427 B-release button 1
MP61 8950006480 2427 B-contact base 1
MP64 8930065610 2427 LCD filter 1
MP65 8930069670 2427 A-LCD sheet 1
MP67 8930065600 Coil spring (AI) 2
MP72 8830001010 Hex nut (A) 2
MP74 8930036740 1691 brake pad 2
MP81 8810009220 Screw PH B0 M2 × 8 ZK (BT) 3
MP82 8810009220 Screw PH B0 M2 × 8 ZK (BT) 2
MP83 8930066680 Coil spring (AJ) 2
MP84 8850000110 Flat washer M2 NI BS 2
MP85 8810008640 Screw FH BT M2 × 4 NI-ZU 2
MP86 8930065560 2427 slide button 1
MP87 8010020110 2427 LCD frame 1
MP88 8930066450 2427 A-prism sheet 1
MP89 8930066440 2427 B-prism sheet 1
MP90 8930062190 Double side tape (AJ) 2
MP91 8610012551 Knob N331 assembly -1 1
(incl: Base, Cover, Finger reset, etc)
MP101 8930066760 2427 A-sponge 2
MP102 8930066750 2427 B-sponge 1
MP103 8930066740 2427 C-sponge 1
MP104 8930066730 2427 D-sponge 1
MP106 8930067580 Insulation sheet (LG) 1
MP107 8930049260 Himelon sheet CA 2
MP108 8930067710 2427 A-sheet 1
MP109 8930067720 2427 B-sheet 1
MP110 8930067700 2427 B.P. sheet 1
MP111 8930067960 Sponge (IQ) 1
ORDER
NO.
REF.
NO. DESCRIPTION QTY.
[DISPLAY UNIT]
MP1 8510016980 2427 shield case 1
MP2 8510016970 2427 shield plate 1
ORDER
NO.
REF.
NO. DESCRIPTION QTY.
[VR UNIT]
R1 7210003230 Variable resistor TP96D00A-17F-10KBX2 1
S1 2250000170 Encoder TP90D96AE20-17F (1352) 1
ORDER
NO.
REF.
NO. DESCRIPTION QTY.
[LOGIC UNIT]
BT1301 3020000330 Lithium battery ML920S/F9D 1
MP1 8510017000 2427 logic case 1
MP2 8510016990 2427 logic cover 1
MP3 8930068080 Thermally sheet (AU) 1
MP5 8930068370 2427 A-magnetic shield 1
MP6 8930056010 Enboss tape (K) 2
MP7 8930068370 2427 A-magnetic shield 1
MP201 8930055051 Thermally sheet (V)-1 1
MP301 8930062210 Thermally sheet (AL) 1
MP1301 8930052770 Double coated tape (Y) 1
MP2221 8930055051 Thermally sheet (V)-1 1
ORDER
NO.
REF.
NO. DESCRIPTION QTY.
[DDS UNIT]
J1051 6450001790 Connector HLJ7000-01-3010 1
J1101 6450001640 Connector TCS5044-01-4111 1
J1151 6450001840 Connector TCS7568-43-201 1
MP201 8510017200 2427 A-shield plate 1
MP202* 8510017440 2427 B-DDS plate 1
MP301* 8510017230 2427 DDS case 1
MP302 8930024170 Earth spring (G) 1
MP321* 8510017250 2427 DDS plate 1
MP451 8510017500 2427 C-shield plate 1
MP452* 8510017240 2427 A-DDS case 1
MP453* 8930063970 Shield sponge (AM) 1
MP601 8930067520 2427 DDS spring 1
MP801* 8930024170 Earth spring (G) 1
MP851 8510017260 2427 A-DDS plate 1
MP1101 8930067530 Sponge (IP) 1
MP1102 8930067520 2427 DDS springe 1
ORDER
NO.
REF.
NO. DESCRIPTION QTY.
*: Refer to SEC 8 BOARD LAYOUTS.

Screw abbreviations BT, B0: Self-tapping
FH: Flat head PH: Pan head
ZK: Black BS: Brass
NI: Nickel NI-ZU: Nickel-Zinc
F2
W2
W1
EP1 P1
F1
MP1
EP2
MC1
P2
6 - 2
[ACCESSORIES]
P1 5610000050 Plug AP330 1
P2 5610000170 Plug AP370B 1
F1 5210000840 Fuse ATC-30 2
F2 5210000940 Fuse 1205 1
W1 8900013980 Cable OPC-1457 [USA], [EXP] only 1
W2 8900006110 Cable OPC-596 1
EP1 0880001680 Cable OPC-1457R except [USA], [EXP] 1
EP2 6910011940 Bead ZCAT2436 except [USA], [EXP] 1
MC1
Optional product
Microphone HM-151 1
MP1 8930007300 Mic hanger 1
ORDER
NO.
REF.
NO. DESCRIPTION QTY.
[CHASSIS PARTS]
J1 6510000370 Connector MR-DS 1
J2 6510000370 Connector MR-DS 1
W1 8600037110 SP cable 1
W3 8900015210 Cable OPC-1448A (N=28, L=60) 1
W4 8900015210 Cable OPC-1448A (N=28, L=60) 1
W5 8900015220 Cable OPC-1461A (N=30, L=40) 1
W6 8900015220 Cable OPC-1461A (N=30, L=40) 1
W7 8900013970 Cable OPC-1450 (N=10, L=53) 1
W11 8600037122 Cable SX2427 P02 × J03CH-2 M500 1
W15 8970024620 Wire 1.5D 95MM C31/C31 1
W17 8970024630 Wire 1.5D170MM C31/C31 1
SP1 2510000991 Speaker VS-C66Y0811A 1
MF1 2710000790 Fan AFB0512HB-4L50 1
EP2 9010001410 Tube 1
MP1 8010019970 2427 chassis 1
MP2 8110008491 2427 U-cover assembly -1 1
(incl: U-cover, SP net, A net, B net, etc)
MP3 8110008341 2427 L-cover-1 1
MP4 8860001370 2427 ANT lug 2
MP5 8930065990 2427 ANT plate 2
MP6 8210021781 2427 chassis panel-1 1
MP11 8930042440 1897 SP holder 1
MP13 8930002910 Rubber foot (B) 2
MP14 8810008660 Screw PH BT M3 × 8 NI-ZU 17
MP15 8810008660 Screw PH BT M3 × 8 NI-ZU 4
MP16 8810010590 Screw PH BT M3 × 20 NI-ZU 4
MP17 8810009560 Screw PH BT M2 × 6 ZK 1
MP18 8810004280 Screw PH M3 × 5 ZK 7
MP19 8810004430 Screw PH M3 × 6 ZK 4
MP20 8810009040 Setscrew H M2.6 × 10 NI 8
MP21 8810008020 Setscrew C M2.6 × 12 ZK 2
MP22 8810009610 Screw FH M2.6 × 6 ZK 16
MP23 8810009610 Screw FH M2.6 × 6 ZK 4
MP24 8810009070 Screw PH M2.6 × 8 ZK 2
MP25 8930048550 2177 clip 1
MP31 8930005790 Foot (A) 1
MP32 8930005800 Foot (B) 1
MP33 8930065980 2427 stand 1
MP35 8930065920 2427 fan holder 1
MP36 8930065930 2427 fan rubber 1
MP37 8810008660 Screw PH BT M3 × 8 NI-ZU 2
MP38 8930065910 2427 earth spring 1
MP40 8930065630 2427 fuse sheet 1
MP41 8930065910 2427 earth spring 1
MP42 8310064590 2427 plate 1
MP43 8820000530 Bolt M4 × 8 NI 1
MP44 8850000140 Flat washer M4 NI BS 1
MP45 8850001560 Washer M4 1
MP46 8930066720 2427 USB sheet 1
MP47 8930067490 2427 fan spring 1
MP48 8930067540 2427 shield tape 4
MP49 8930067740 2427 magnetic shield 1
MP50 8930067980 Shield sponge (AS) 1
MP51 8930068000 Shield sponge (AT) 1
MP52 8930068000 Shield sponge (AT) 1
MP53 8930063970 Shield sponge (AM) 1
MP54 8930063970 Shield sponge (AM) 1
MP55 8930027730 Sponge (DC) 1
MP56 8930063430 CU sheet (S) 1
MP57 8930068260 Thermally sheet (AV) 2
MP58 8930067980 Shield sponge (AS) 1
MP59 8930068390 2427 D-earth spring 1
MP60 8930068420 Sponge (IS) 1
MP61 8930068380 Sponge (IR) 1
MP62 8930032100 Sponge (DP) 2
MP63 8930069070 Shield sponge (AU) 1
MP64 8930043800 Double coated tape (S) 1
ORDER
NO.
REF.
NO. DESCRIPTION QTY.
[DRIVER UNIT]
MP1 8410002480 2429 PA heatsink 1
ORDER
NO.
REF.
NO. DESCRIPTION QTY.
[CONNECT UNIT]
W1 8900014810 Cable OPC-1579 1
MP1 8950006470 2427 A-contact base 1
ORDER
NO.
REF.
NO. DESCRIPTION QTY.
[PA UNIT]
F1 5220000340 Holder FHA010-03 1
F2 5210000940 Fuse 1205 1
W701 8900013900 Cable OPC-1455 1
MP201* 8930068250 2427 PA plate 1
MP251* 8930014140 Earth spring (D) 1
MP301 8860001130 2177 PA shield plate 1
MP302 8860001130 2177 PA shield plate 1
MP401 8860001360 2427 PA shield plate 1
MP402 8930014140 Earth spring (D) 1
MP403* 8930014140 Earth spring (D) 1
MP404* 8930014140 Earth spring (D) 1
MP405 8930067570 2427 A-PA spring 1
MP410 8930067290 Shield sponge (AR) 1
MP501 8510016950 2427 PA cover 1
MP502* 8930014140 Earth spring (D) 1
MP531 8930068400 2427 E-earth spring 1
MP551* 8510012150 2177 PA S-plate 1
MP871* 8930014140 Earth spring (D) 1
MP901* 8930014140 Earth spring (D) 1
ORDER
NO.
REF.
NO. DESCRIPTION QTY.
*: Refer to SEC 8 BOARD LAYOUTS.

6 - 3
MP2 (C)
MP50 (C)
MP58 (C)
MP48 (C)
MP22 (C)
MP53 (C)
MP48 (C)
MP23 (C)
MP48 (C)
MP54 (C)
MP51 (C)
MP52 (C)
MP13 (C)
MP13 (C)
MP24 (C)
MP32 (C)
MP57 (C)
MP31 (C)
MP19 (C) MP19 (C)
MP3 (C)
MP48 (C)
MP22 (C)
MP24 (C)
MP33 (C)
MP21 (F)
MP13 (F)
MP21 (F)
MP5 (F) MP25 (F)
MP26 (F)MP4 (F)
MP11 (F)
MP12 (F)
MP14 (F)
MP19 (F)
MP33 (F)
MP34 (F)
MP91 (F)
MP23 (F)
MP24 (F)
MP29 (F) MP31 (F)
MP28 (F)
MP27 (F) MP35 (F)
MP32 (F)
MP30 (F)
J1051 (DD) J1101 (DD) J1151 (DD) W11 (C)
J2602 (M)
J1 (C)
W701 (P)J2 (C)
J2402 (M)
J2401 (M)
J2407 (M)
J2003 (M)
MP43 (C)
+
MP45 (C)
+
MP44 (C)
MP46 (C)

B
K
L
MP3 (L)
MP14 (C)
MP1 (L)
MP6 (L)
MP201 (L)
MP6 (L)
MP14 (C)
MP5 (L)
W11 (C)
MP451
(DD)
MP2221 (L)
LOGIC UNIT
DDS UNIT
MAIN UNIT
MP14 (C)
MP14 (C)
MP302
(DD)
MP601
(DD)
MP1102
(DD)
MP1101
(DD)
MP851(DD)
W17 (C)
W15 (C)
MP201
(DD)
MP1301 (L)
BT1301 (L)
MP301 (L)
MP7 (L)
MP2 (L)
W5 (C)
MP25 (C)
W6 (C)
MP2001 (M)
MP2 (M)
MP4 (M)
MP14 (C)
MP3 (M)
SP1 (C)
W1 (C)
MP11 (C)
MP14 (C)
MP101 (M)
W7 (C)
MP55 (C)
MP2
MP62 (C)
W3 (C)
MP
2002
(M) MP1
(M) MP501
(M)
MP1951 (M)
W4 (C)
MP201 (M)
MP47 (C)
MP60 (C)
MP37 (C)
MP35 (C)
MP410 (P)
MP56 (C)
MP49 (C)
MP44 (C)
MP45 (C)
MP43 (C)
MP46 (C)
MP5 (C)
MP4 (C)
J1 (C) MP15 (C)
MP15 (C)
J2 (C)
MP4 (C)
MP5 (C)
W701 (P)
MP531 (P)
MP14 (C)
MP14 (C)
PA UNIT
MP401 (P)
MP20 (C)
MP402 (P)
MP501
(P)
MP301 (P)
MP20 (C)
MP302
(P)
F1 (P)
MP405 (P)
F2 (P)
MP14 (C)
MP14 (C)
MP1 (C)
MP63 (C)
DRIVER UNIT
MP38 (C)
MP1 (DR)
MP21 (C)
MP41 (C)
Unit abbreviations (C): CHASSIS PARTS (F): FRONT UNIT
(M): MAIN UNIT (DI): DISPLAY UNIT
(L): LOGI UNIT (V): VR UNIT
(P): PA UNIT (CO): CONNECT UNIT
(DR): DRIVER UNIT (DD): DDS UNIT
EP2 (C)
MP61 (C)
MP18 (C)
MP6 (C)
MP18 (C)
MP18 (C)
MP40 (C)
MP42 (C)
MP18 (C)
MP64 (CO)
W1 (CO)
MP1 (CO)
MP17 (C)
CONNECT UNIT
MF1 (C)
MP16 (C)
MP14 (C)
MP16 (C)
MP16 (C)
MP802 (M)
MP59 (C)
MP36 (C)
MP81
MP81
MP81
MP107
MP61
MP83
MP51
MP84
MP85
MP107
MP86
MP52
MP83
MP84
MP2 (DI)
MP1 (DI)
MP82
MP82
MP104
MP65
MP42
MP64
MP88
MP89
MP102
MP101
MP103
DISPLAY UNIT
MP90
MP87
DS1
MP106
MP21
MP22
MP23
MP24
MP25
MP26
MP27
MP28
MP29 MP30
MP4+MP5
MP31
MP12
MP11
MP13
MP72
MP14
MP32
MP1
W2
MP111
EP1
MP33
MP34
MP91
MP44
MP43 MP74
MP74
MP18
MP110
MP108
MP35
MP20
MP67
W1
MP19
R1(V)
VR UNIT
S1(V)
MP109
Unit : mm (inch)
FRONT UNIT
MP30
MP41
I
L
F
E
D
C
C
E
F
D
A
G
A
HB
K
J
H
G
J
I
11.9(
15/32
)
160(6
5/16
)
21
(
13/16
)
42(1
21/32
)
167(6
9/16
)
58(2
9/32
)
1.3(
1/16
)2(
3/32
)
6 - 4

VOLTAGE LINE
Explanatory notes
TX LINE
J1
Q2
DTC114EU
Q3
DTA114EU
Q5
2SA1586
D1
MA8056
D16
MA8091
D17
MA8091
D18 MA8091
DS1
LN1371G
DS2
LN1371G
DS3
LN1371G
DS4
LN1371G
DS5
LN1371G
DS6
LN1371G
DS7
LN1371G
DS8
LN1371G
DS10
SML-310FT
DS11
SML-311UT
MC1
EM-140
S2
S3
S4
MAIN UNIT
S5
S6S7 S8
S9 S10 S11 S12
S13 S14 S15 S16
S17 S18 S19 S20
S21 S22 S23 S24
S25
S26
IC3 BD5245G
1VOUT
2VDD
3GND 4
NC
5
CT
X1
EFOS4914E3
EP2
EP5
EP3
EP4
EP1
S1
SKHHLP014A
C23 0.1
C24 0.1
C25 0.1
C27
0.1
C32
0.1
C26 0.1
C16 0.001
C17 0.0047
C18 0.0047
C19 0.1
C21 0.1
C22 0.1
C13
0.1
C12 0.1
C1
470p
C2 100
C29
10
C5 22p
C9 22p
C10 22p
C11 22p
C14 0.01
C30 1
C31
10
R5 470
R35
1.5k
R4
1.5k
R3
1.5k
R2
1.5k
R6 33kR7 33k
R8 8.2k
R36
10k
R41 15k
R37
1.5k
R39 2.2kR40 2.2k
R12
10k
R11 2.2k
R18 10k
R19 47k
R27 10k
R42 0
L1 33µ
L2 10µ
D5
1SS400
D3
1SS400
D11
1SS400
D9
1SS400
D4
1SS400
D6
1SS400
D10
1SS400
D7
1SS400
Q1
2SC2712
IC1
µPD789071MC-041-5A4
1P10
2P31/BZO90
3VPP
4RESET
5X2
6X1
7VSS
8VDD
9P30/TO90
10 P27/TI80/TO80
11 P26/INTP2/CPT90
12 P25/INTP1
13 P24/INTP0
14 P23/SS20
15 P22/SI120/RXD20 16
P21/SO20/TXD20
17
P20/SCK20/ASCK20
18
P07
19
P06
20
P05
21
P04
22
P03
23
P02
24
P01
25
P00
26
P15
27
P14
28
P13
29
P12
30
P11
R44 1k
R45 1k
R46 1k
R47 1k
R48 1k
R49 1k
R50 1k
R51 1k
R22 4.7k
R23 4.7k
R24 4.7k
R25 4.7k
MKEY-I0
MKEY-I1
MKEY-I2
MKEY-I3
MKEY-07
MKEY-06
MKEY-05
MKEY-04
MKEY-03
MKEY-02
MKEY-01
MKEY-00
R14 1k
PTT
V/M
MW
SPCH
LOCK
TUNER/
CALL
XFCUP DN
1.8
(1)
3.5
(2)
7
(3)
10
(4)
14
(5)
18
(6)
28
(9)
24
(8)
21
(7)
144
(0)
50
(.)
430
(CE)
MODE FIL GENE F-INP
ENT
F-2
F-1
M8V M8V
5V 5V 5V
5V
5V
5V
5V
5V
5V
5V
5V
5V
MU/D
M8VSW
PTT
MICE MICE
MICE
MICEMICE
MIC
E
MDATA MDATA
to the IC-7000
MAIN unit J2003
[CHASSIS PARTS]
W1 8900011270 Cable OPC-1153 1
MP1 8210021920 2839 front panel (C) 1
MP2 8210018840 2539 rear panel 1
MP3 8930057380 2539 PTT button 1
MP4 8930057390 2539 LED lens 2
MP5 8930057570 2539 SW rubber 1
MP6 8930066540 2539 keyboard (C) 1
MP8 8810009370 Screw PH BT M3 × 12 ZK 2
MP9 8810009560 Screw PH BT M2 × 6 ZK 3
ORDER
NO.
REF.
NO. DESCRIPTION QTY.
Screw abbreviations BT: Self-tapping
PH: Pan head ZK: Black
[MAIN UNIT]
J1 6510023110 Connector 3008L-8P8C 1
S1 2260000980 Switch SKHHLP014A 1
MC1 7700002310 Microphone EM-140 1
ORDER
NO.
REF.
NO. DESCRIPTION QTY.
MP2 (C)
MP8 (C)
MP3 (C)
MP9 (C)
S1 (M)
MP6 (C)
MC1 (M)
J1 (M)
MP4 (C)
MP1 (C)
MP5 (C)
W1 (C)
Unit abbreviations
(C):CHASSIS PARTS
(M): MAIN UNIT
MAIN UNIT
31.5
(1 1/4)
61.0
(2 13/32)
104.0
(4 3/32)
54.3
(2 1/8)
Unit: mm (inch)
6 - 5
• HM-151

SECTION 7 SEMI-CONDUCTOR INFORMATION
• TRANSISTORS AND FET'S
B
E
C
B
E
C
B
C
E
B
E
C
B
E
C
B
C
E
B
E
C
B
C
E
B
E
C
B
E
C
B
C
E
B
C
E
G
S
D
S
G
D
S
G
D
S
D
B
E
C
B
E
C
E1
C2
B1
C1
E2
B2
G1
G2
S
D
G1
G2
S
D
B
E
C
B
E
C
D
D
D
D
G
S
S
S
G
S
D
S
SD
G
G
S
D
S
G
D
S
D
D
G
D
D
S
S
D
G
G
S
D
S
D
G
G
S
D
S
D
G
G
S
D
D
D
G
D
D
S
E1
C2
B1
C1
E2
B2
2SA1576A T106 R 2SA1586 GR 2SB1132 T100 R 2SC4081 T106 R 2SC4213 B
2SC4215 Y 2SC4403 3 TL 2SC4673 D TD 2SC5226 4 TL 2SC5551
2SD1619 T TD 2SD1623 TD 2SK2854 2SK3018 T106 2SK3065 T100
3SK195 3SK291 BCR08PN BCR108T BCR183T
DTA114 EE TL DTC114EUA T106 ECH8301-TL PD55015 RD01MUS1
RD60HUF1 RD70HHF1 RD70HVF1 RSQ035P03 RSR025N03
RTQ035P02 XP4601
(Symbol: FR) (Symbol: SG) (Symbol: BAR) (Symbol: BR) (Symbol: AB)
(Symbol: QY) (Symbol: LY3) (Symbol: CO) (Symbol: LN4) (Symbol: EB)
(Symbol: DB) (Symbol: DF) (Symbol: UP) (Symbol: KN) (Symbol: KE)
(Symbol: UJ) (Symbol: UF) (Symbol: WFs) (Symbol: WHs) (Symbol: WMs)
(Symbol: 14) (Symbol: 24) (Symbol: JA)
(Symbol: RD60HUF1) (Symbol: RD70HH01) (Symbol: RD70HVF1)
(Symbol: PD55015) (Symbol: K2)
(Symbol: TM) (Symbol: QY)
(Symbol: TL) (Symbol: 5C)
7 - 1

• DIODES
AC AC ACAC
A
C2
C1
C
A1
A2
C
A1
A2
green
AC AC
AC
C
A1
A2
AC
AC
AC
AC AC ACAC AC
AC
AC
AC
AC
AC
BLACK LINE
AC
1SS302 1SV271 1SV305 1SV307 1SV308
CUS02 DA221 TL DAN202 K T146 DAN202 U T106 DAP202K T146
DSA3A1 HSB88WSTR HSM88AS TR MA2S111 MA2S728
MA2SD10 MA2SV05 MA357 MA717 WK
MA728
MA729 MA732 MA77 MA8036 L
MA8039 L
MA8043 L MA8047 M MA8075 L RB706F-40 T106 SM240A-T
UM9401F XB15A407
(Symbol: C3) (Symbol: TG) (Symbol: TV) (Symbol: TX) (Symbol: TX)
(Symbol: 2) (Symbol: K) (Symbol: N) (Symbol: N) (Symbol: P)
(Color: Green) (Symbol: Silver line) (Symbol: C1) (Symbol: A) (Symbol: B)
(Symbol: 2L) (Symbol: 3A) (Symbol: 7K) (Symbol: M3D) (Symbol: 2A)
(Symbol: 2B) (Symbol: 2C) (Symbol: 4B) (Symbol: 3_6) (Symbol: 3_9)
(Symbol: 240A)
(Symbol: 4_3) (Symbol: 4-7)
(Symbol: none)
(Symbol: 7_5) (Symbol: 3J)
(Symbol: none)
7 - 2

H5 H10 H15 H20 H25 H30 H35 H40 H45 H50 H55 H60 H65 H70 H75 H80 H85 H90 H95 H100 H105 H110 H115 H120 H125 H130 H135 H140 H145 H150 H155 H160H0
V5
V10
V15
V0
V25
V30
V35
V20
V45
V50
V40
SECTION 8 BOARD LAYOUTS
8 - 1
8-1 DISPLAY UNIT
• TOP VIEW
8-2 VR UNIT
• TOP VIEW
H5 H10H0
V5
V10
V15
V0
V25
V30
V35
V20
V45
V40
110
to DISPLAY unit J401
J1
PBTK
VRK
S2BK
S1BK
AFV
SQL
S2AK
S1AK
3R3V
GND

H5H10H15H20H25H30H35H40H45H50H55H60H65H70H75H80H85H90H95H100H105H110H115H120H125H130H135H140H145H150H155H160 H0
V5
V10
V15
V0
V25
V30
V35
V20
V45
V50
V40
3R3K1
4
to FRONT EP1
J202
MDBK
MDAK
GND
F8VM1
8
to FRONT W2
J303
U/D
AF
PTT
MICLE
MICL
GND
SQLS
STH124
1
to FRONT DS1
(LCD)
J601
OEH
Q2H
CLK1
CLK2
CLK3
GND
BLUE
GREEN
RED
VB
RL
STH2
VEE
VCOM
VGON
VDD
STV2
OEV
CPV
UD
STV1
VSS
VGOFF
GND10
1
to VR unit J1
J401
3R3V
S1AK
S2AK
SQL
AFV
S1BK
S2BK
VRK
PBTK
PHONES/SP
YY
-VIDEO
YGND
LRXD
LTXD
MIC
MICE
to CONNECT unit MP1
AFO
GND
PWK
F8V
C2016
C2015
8 - 2
• BOTTOM VIEW (DISPLAY UNIT)
• BOTTOM VIEW (VR UNIT)
H5H10 H0
V5
V10
V15
V0
V25
V30
V35
V20
V45
V40
AF RF/SQL PBT/M-ch RIT

H5 H10 H15 H20 H25 H30 H35 H40 H45 H50 H55 H60 H65 H70 H75 H80 H85 H90 H95 H100H0
V5
V10
V15
V0
V25
V30
V35
V20
V45
V50
V55
V40
V65
V70
V75
V60
V80
V90
V95
V100
V85
V105
V110
V115
V125
V130
V135
V120
V140
to LOGIC unit J701
30 16
J2251
3R3V
3R3V
5V
5V
8V
8V
HV
DREF
NC
NC
NC
VSTB
SCK
MOSI
AFMS
115
DSPI2
GND
DSPI1
GND
GND
GND
GND
NC
GND
DOUT
GND
DSPO1
GND
DSPO2
GND
31 to LOGIC unit J651
30
J2252
NC
IMR2
NC
MMSL
NC
IMR
NC
REFCV
NC
RTKI
2MBS
THML
DPTL
SNDL
ALCL
REFL
FORL
MUDL
KEY
START
CIVE
GND
GND
GND
GND
GND
GND
GND
PWRK
VOUT
POWS
RXS
TXS
4T8V
2T8V
SDSS
SNDS
NC
MCK
MDT
MST
NC
60
1
CIV
LTXD
LRXD
WFML
DASK
DOTK
SQSS
MMDK
VDL
NC
LOST
PRES#
1CN1
1CN0
PCK
PDT
3DST
1DST
1 30
to DDS unit J952
J2406
GND
3DST
1CN1
1CN0
PDT
PCK
1DST
PRES
LOST
GND
3LOE
NC
3LO
3LOE
REFCV
NC
NC
8VA
8VA
NC
GND
DREF
GND
GND
5V
GND
3R3V
GND
8V
GND
1 30
to DDS unit J951
J2405
GND
GND
GND
14V
14V
14V
14V
14V
14V
GND
GND
GND
DOUT
SQLS
DPTL
DINO
AF
BANV
KEY
EALC
RTKI
MODA
START
SNDS
SNDL
SDSS
DOTK
DASK
GND
GND
1
27 28
2
to PA
unit J2
J2004
ID3V
ID2V
POWS
HV
GND
GND
GND
GND
GND
8V
14V
14V
14V
14V
ID1V
H6CR8
ICH
ICL
GND
GND
GND
GND
GND
8V
14V
14V
14V
14V
1
27 28
2
to PA
unit J980
J2005
FDAT
MCK
MST
3R3V
GND
NC
AT13
THER
TB1V
TB2V
PHT8
PT8V
ID4V
IDRV
GND
PRES
GND
HFOR
HREF
P2R8
P4R8
PR4S
PR3S
2M8L
VUFOR
PT8V
P4T8
P2T8
FANG3
1
to CHASSIS
MF1
J2403
NC
FANV
MIC1 2
910
to CONNECT
unit J1
J2002
GND
NC
NC
LRXD
MICE
AFO
PWK
F8V
LTXD
8VM1
8
to Microphone
J2003
U/DM
MAFM
SENM
MCEM
MICM
GND
SQSM
ESPE2
1
to CHASSIS SP1
J2601
ISPO
YGND2
1
to CONNECT
unit W1
J2231
YY-VIDEO
from PA unit J451 HRX
P401
from DDS unit J851
1LO P4
from DDS unit J151
2LO P6
from PA unit J101
YGR P101
MP102
R35 R34 R33
8-3 MAIN UNIT
• TOP VIEW
8 - 3

H5H10H15H20H25H30H35H40H45H50H55H60H65H70H75H80H85H90H95H100 H0
V5
V10
V15
V0
V25
V30
V35
V20
V45
V50
V55
V40
V65
V70
V75
V60
V80
V90
V95
V100
V85
V105
V110
V115
V125
V130
V135
V120
V145
V140
EXT-SPRTTYREMOTEVIDEO
C2069
• BOTTOM VIEW
(MAIN UNIT)
8 - 4

H5 H10 H15 H20 H25 H30 H35 H40 H45 H50 H55 H60 H65 H70 H75 H80 H85 H90 H95 H100 H105 H110 H115 H120 H125 H130 H135 H140 H145 H150 H155H0
V5
V10
V15
V0
V25
V30
V35
V20
V45
V50
V55
V40
V65
V70
V75
V60
V80
V90
V95
V100
V85
V105
V110
V115
V125
V130
V135
V120
V140
28
2
127
to MAIN unit J2004
J2
ID3V
ID2V
POWS
HV
GND
GND
GND
GND
GND
8V
14V
14V
14V
14V
ID1V
H6CR8
ICH
ICL
GND
GND
GND
GND
GND
8V
14V
14V
14V
14V
28
2
127
to MAIN unit J2005
J980
FDAT
MCK
MST
3R3V
GND
NC
AT13
THER
TB1V
TB2V
PHT8
PT8V
ID4V
IDRV
GND
PRES
GND
HFOR
HREF
P2R8
P4R8
PR4S
PR3S
2M8L
VUFOR
PT8V
P4T8
P2T8
to MAIN
unit J1
YGR P101
to MAIN
unit J101
HRX P401
W702
W701
DC 13.8V
Q988
8-4 PA UNIT
• TOP VIEW
8 - 5

H5H10H15H20H25H30H35H40H45H50H55H60H65H70H75H80H85H90H95H100H105H110H115H120H125H130H135H140H145H150H155 H0
V5
V10
V15
V0
V25
V30
V35
V20
V45
V50
V55
V40
V65
V70
V75
V60
V80
V90
V95
V100
V85
V105
V110
V115
V125
V130
V135
V120
V140
MP502
from DRIVER
unit J102
DRIVO
from DRIVER
unit J101
DRIVI
from DRIVER
unit J103
GND
from DRIVER
unit J104
GND
from DRIVER
unit J107
GND
C484
C485
C520
D511
C528
R518
C1002
• BOTTOM VIEW (PA UNIT)
8 - 6

H5 H10 H15 H20 H25 H30 H35 H40 H45 H50 H55 H60H0
V5
V10
V15
V0
V25
V30
V35
V20
V45
V50
V55
V40
V65
V70
V75
V60
V80
V85
1 30
to MAIN unit J2406
J952
GND
3DST
1CN1
1CN0
PDT
PCK
1DST
PRES
LOST
GND
3LOE
NC
3LO
3LOE
REFCV
NC
NC
8VA
8VA
NC
GND
DREF
GND
GND
5V
GND
3R3V
GND
8V
GND
1 30
to MAIN unit J2405
J951
GND
GND
GND
14V
14V
14V
14V
14V
14V
GND
GND
GND
DOUT
SQLS
DPTL
DINO
AF
BANV
KEY
EALC
RTKI
MODA
START
SNDS
SNDL
SDSS
DOTK
DASK
GND
GND
41
to CHASSIS W11
(TUNER)
J1001
ETE
ET14
ETST
ETKY
ELE-KEY
ACC
DATA
MP1101
GNDA
8VA
SEND1
BDTA
14VA
SEND2
ALCA
BANA
KEYA
FSKA
MODA
AFA
AFOD
SQLD DOTD
GND
DIND
PTTD
SQLA
from MAIN unit J401 1LO
P5
from MAIN unit J801
2LO P7
MP453
8-5 DDS UNIT
• TOP VIEW
8 - 7

H5H10H15H20H25H30H35H40H45H50H55H60 H0
V5
V10
V15
V0
V25
V30
V35
V20
V45
V50
V55
V40
V65
V70
V75
V60
V80
EP1108
EP1105
EP1107
EP1106
C841
• BOTTOM VIEW (DDS UNIT)
8 - 8

H5 H10 H15 H20 H25 H30 H35 H40 H45 H50 H55 H60 H65 H70 H75 H80 H85H0
V5
V10
V15
V0
V25
V30
V35
V20
V45
V40
3V1
J2101
GND
GND
TDO
GND
2
910
EMU
TMS
TCK
TRST
TDI
C524
C525
C526
8-6 LOGIC UNIT
• TOP VIEW
8 - 9

H5H10H15H20H25H30H35H40H45H50H55H60H65H70H75H80H85 H0
V5
V10
V15
V0
V25
V30
V35
V20
V45
V40
to MAIN unit J2251
J701
AFMS15
1
16
30
MOSI
SCK
VSTB
NC
NC
NC
24M
HV
8V
8V
5V
5V
3V
3V
GND
DSPO2
GND
DSPO1
GND
DOUT
GND
NC
GND
GND
GND
GND
DSPI1
GND
DSPI2
to MAIN unit J2252
J651
CIVE
START
KEY
MUDL
FORL
REFL
ALCL
SNDL
DPTL
THML
CPU_P12
RTKI
CPU_P22
CPU_P94
CPU_P95
IMR
CPU_PF6
MMSL
NC
IMR2
NC
RS_TXD
MST
MDT
MCK
NC
SNDS
SDSS
2T8V
4T8V
TXS
RXS
POWS
VOUT
PWRK
GND
GND
GND
GND
GND
GND
GND
CIV
LRXD
LTXD
WFML
DASK
DOTK
SQSS
MMDK
VDL
3031
160 1DST
3DST
PDT
PCK
1CN0
1CN1
PRES#
LOST
RS_RXD
C527
C523
BT1301
• BOTTOM VIEW (LOGIC UNIT)
8 - 10

H5 H10 H15 H20 H25 H30 H35 H40H0
V5
V10
V15
V0
V20 14
to PA unit
J102
DRIVO
DRIVO
DRIVO
DRIVO
14
to PA unit
J104
GND
GND
GND
GND
14
to PA unit
J107
GND
GND
GND
GND
14
to PA unit
J101
DRIVI
DRIVI
DRIVI
DRIVI
14
to PA unit
J103
GND
GND
GND
GND
H5 H10 H15H0
V5
V10
V15
V0
V20
10
to MAIN
unit J2002
9
2
1
J1
MICE
AFO
PWK
F8V
LTXD
MIC
GND
NC
NC
LRXD
21
to MAIN
unit J2231
W1
YGND
YY-VIDEO
8-7 CONNECT UNIT
• TOP VIEW
8-8 DRIVER UNIT
• TOP VIEW
8 - 11
H5 H10 H15 H20 H25 H30 H35 H40 H45 H50 H55 H60 H65 H70 H75 H80H0
V5
V10
V15
V0
V25
V30
V35
V20
V45
V40
SPCH
/LOCK TUNER
/CALL
UP
DOWN F-1
F-2
MODE
FIL
GENE
F-INP
ENT
430
(CE)
144
(0)
50
(.)
28
(9)
24
(8)
21
(7)
18
(6)
14
(5)
10
(4)
7
(3)
3.5
(2)
1.8
(1)
V/M
MW
XFC
8-9 HM-151
• TOP VIEW

H5H10H15H20H25H30H35H40 H0
V5
V10
V15
V0
V20
H5H10H15 H0
V5
V10
V15
V0
V20
F8V
to DISPLAY unit
PWK
GND
AFO
MICE
MIC
LTXD
LRXD
YGND
YY-VIDEO
8 - 12
• BOTTOM VIEW (CONNECT UNIT)
• BOTTOM VIEW (DRIVER UNIT)
• BOTTOM VIEW (HM-151)
H5H10H15H20H25H30H35H40H45H50H55H60H65H70H75H80 H0
V5
V10
V15
V0
V25
V30
V35
V20
V45
V40
71
to the IC-7000
MAIN unit J2003
82
J1
M DATA
MIC
PTT
MU/D
E
MICE
M8VSW
M8V
PTT

SECTION 9 WIRING DIAGRAM
9 - 1
HF/50 MHz
J1
J2
GND
HV
HV
GND
U/DM
MAFM
SENM
MCEM
MICM
GND
SQSM
ESPE
CIVE
NC
NC
CIV
GND
GND
SEND
NC
NC
NC
FSKK
J2602
J2401
J2402
J2407
ESPO
ISPO
NC
8VM
J2003
144/430 MHz
HRX
PA UNIT
YGR
DC13.8V
MIC
EXT SP
REMOTE
RTTY
VIDEO
TUNER
ELE-KEY
ACC
DATA
1LO 2LO
J451
P101
ID1V
J2
W3
ID3V
H6CR8
ID2V
ICH
POWS
ICL
HV
GND
GND
GND
GND
GND
GND
GND
GND
GND
GND
8V
8V
14V
14V
14V
14V
14V
14V
14V
14V
GND
J980
FDAT
PRES
MCK
GND
MST
HFOR
3R3V
HREF
GND
P2R8
NC
P4R8
AT13
PR4S
THML
PR3S
TN1V
2M8L
TN2V
VUFOR
PHT8
PT8V
PT8V
P4T8
P2T8
ID4V
IDRV
GND
J2005
FDAT
PRES
MCK
GND
MST
HFOR
3R3V
HREF
GND
P2R8
NC
P4R8
AT13
PR4S
THER
PR3S
TB1V
2M8L
TB2V
VUFOR
PHT8
PT8V
PT8V
P4T8
P2T8
ID4V
IDRV
W4
ID1V
J2004
ID3V
H6CR8
ID2V
ICH
POWS
ICL
HV
GND
GND
GND
GND
GND
GND
GND
GND
GND
GND
8V
8V
14V
14V
14V
14V
14V
14V
14V
14V
GND
J952
3DST
1CN1
1CN0
PDT
PCK
1DST
PRES
LOST
GND
3LOE
NC
3LO
3LOE
REFCV
NC
NC
8VA
8VA
NC
GND
DREF
GND
GND
5V
3R3V
GND
GND
8V
GND
GND
J951
GND
GND
14V
14V
14V
14V
14V
14V
GND
GND
GND
DOUT
SQLS
DPTL
DINO
AF
BANV
KEY
EALC
RTKI
MODA
START
SNDS
SNDL
DOTK
SDSS
DASK
GND
GND
GND
J2405
GND
GND
14V
14V
14V
14V
14V
14V
GND
GND
GND
DOUT
SQLS
DPTL
DINO
AF
BANV
KEY
EALC
RTKI
MODA
START
SNDS
SNDL
DOTK
SDSS
DASK
GND
GND
GND
J2406
3DST
1CN1
1CN0
PDT
PCK
1DST
PRES
LOST
GND
3LOE
NC
3LO
3LOE
REFCV
NC
NC
8VA
8VA
NC
GND
DREF
GND
GND
5V
3R3V
GND
GND
8V
GND
W5
W6
P401
J101
J101 J1
DRIVER UNIT
LOGIC UNIT
VDL
J651
MMDK
SQSS
DOTK
DASK
WFML
LTX D
LRXD
CIV
CIVE
START
KEY
MUDL
FORL
REFL
ALCL
SNDL
DPTL
THML
CPU_P12
RTKI
CPU_P22
CPU_P94
CPU_P95
IMR
CPU_PF6
MMSL
NC
IMR2
NC
1DST
3DST
PDT
PCK
1CN0
1CN1
PRES#
LOST
RS_RXD
RS_TXD
MST
MDT
MCK
NC
SNDS
SDSS
2T8V
4T8V
TXS
RXS
POWS
VOUT
PWRK
DSPI2
J701
GND
DSPI1
GND
GND
GND
GND
NC
GND
DOUT
GND
DSPO1
GND
DSPO2
GND
J801J401
P4
W15
W17
P6
P5
J851
ETKY
DOTK
GNDA
BDTA
SEND1
14VA
SEND2
AFA
MODA
SQLA
8VA
DOTD
SQLD
GND
PTTD
DIND
AFOD
KEYA
ALCA
FSKA
BANA
DASK
GND
J1001
J1051
J1101
J1151
P1001J5
W1
-
W4
ETST
ET14
ETE
ETKY
ETST
ET14
ETE
J151
P7
3V
3V
5V
5V
8V
8V
HV
24M
NC
NC
NC
VSTB
SCK
MOSI
AFMS
GND
GND
GND
GND
GND
GND
GND
MAIN UNIT
CONNECT UNIT
FRONT UNIT
DISPLAY UNIT
EX-2832
LCD
PHONE
MAIN DIAL
MIC
VR UNIT
VDL
J2252
MMDK
SQSS
DOTK
DASK
WFML
LRXD
LTX D
CIV
CIVE
START
KEY
MUDL
FORL
REFL
ALCL
SNDL
DPTL
THML
2MBS
RTKI
NC
REFCV
NC
IMR
NC
MMSL
NC
IMR2
NC
1DST
3DST
PDT
PCK
1CN0
1CN1
PRES#
LOST
NC
NC
MST
MDT
MCK
NC
SNDS
PBTK
J401
J303 W2
W1 J1
VRK
S2BK
S1BK
AFV
SQL
S2AK
S1AK
3R3V
GND
F8VM
U/D
AF
PTT
MICLE
MICL
GND
SQLS
F8VM
U/D
AF
PTT
MICLE
MICL
GND
3R3V
J2
MDBK
MDAK
GND
3R3V
J202
MDBK
MDAK
GND
PBTK
VRK
S2BK
S1BK
AFV
SQL
S2AK
S1AK
3R3V
GND
SDSS
2T8V
4T8V
TXS
RXS
POWS
VOUT
PWRK
DSPI2
J2251
GND
DSPI1
GND
GND
GND
GND
NC
GND
DOUT
GND
DSPO1
GND
DSPO2
GND
3R3V
3R3V
5V
5V
8V
8V
HV
DREF
NC
NC
NC
VSTB
SCK
MOSI
AFMS
GND
GND
GND
GND
GND
GND
GND
STH1
J601 DS601
OEH
Q2H
CLK1
CLK2
CLK3
GND
BLUE
GREEN
RED
VB
RL
STH2
VEE
VCOM
VGON
VDD
STV2
OEV
CPV
UD
STV1
VSS
VGOFF
STH1
AFO
J251
PHK
AFO
GND
OEH
Q2H
CLK1
CLK2
CLK3
GND
BLUE
GREEN
RED
VB
RL
STH2
VEE
VCOM
VGON
VDD
STV2
OEV
CPV
UD
STV1
VSS
VGOFF
MIC
J2002 W7 J1 MP1
MICE
YGND
YY-VIDEO
GND
FANV
J2403
NC
J2601 P1
W1
SP1
MF1
MOTOR2
ESPO
ISPO
FANG
AFO
NC
PWK
NC
F8V
LRXD
LTX D
MIC
MICE
GND
YGND
YY-VIDEO
AFO
NC
PWK
NC
F8V
LRXD
LTX D
YY-VIDEO
YGND
LRXD
LTXD
MIC
MICE
AFO
GND
PWK
F8V
YY-VIDEO
YGND
LRXD
LTXD
MIC
MICE
AFO
GND
PWK
F8V
DDS UNIT
DRIVO
J102
DRIVO
DRIVO
DRIVO
DRIVI
J101
DRIVI
DRIVI
DRIVI
DRIVO
DRIVO
DRIVO
DRIVO
DRIVI
DRIVI
DRIVI
DRIVI
W1
J2231

SECTION 10 BLOCK DIAGRAM
10 - 1
DRIVER BOARD
VR BOARD
LOGIC
DDS
MAIN
FRONT
PA
VDET
DET
D801
HSB88WS
Q701
3SK195
IF
AMP
IF
AMP
IF
AMP
IF
AMP
IF
AMP
IF
AMP
IF
AMP
AMP
AT T AT TAMP
LPF
LPF
CTRL
CTRL
CTRL
CTRL
TVAS
Q1201:BCR08
IC1202:TC4W53
IC2501: TS462
IC2551 TS462 1/2
IC2601
TC4W53
IC2602
LA4425
Q2602
ECH8301
EXT
-
SP
JACK
SP
JACK
MIC
JACK
REMOTE
JACK
RTTY
JACK
VIDEO
JACK
VIDEO
I/F
Q2601
2SK3018
Q2608
BCR108
D2601
DAN202K
LPF
LPF
SPS
CIV,CIVE
SQSM
MSQDS
SQSS,MMDK
MMSL,SNDL,MUDL
SNDL,RTKI
MIC
I/F
IC2007 1/2: TS462
Q2159,Q2160: BCR08PN×2
D2173: MA2S111
D2201: MA8047
IC1402: SN74AHC2G04
Q1101: 2SC4081
Q1103: 2SA1576
Q1101: MA2S111
RTTY
I/F
3.3V
REG
CI
-
V
I/F
IC1303
S
-
80942
RESET
TUNER
I/F
TIMER
IC
EEPROM
RTCIRQ
RTCCK,RTCDT,RTCCE
PDT,PCK,1DST,3DST
MDT,MCK,MST
TDAT
TKEY,TRD
Q1102: BCR108
D1304,1305: DA221
CTXD,CRXD/CBSY
START,KEY
AT T
THML
AMP
RES#
IC1304
RX
-
4581
IC1301
NH58X24256
IC401
BU9480F
IC2201
ADSP
-
BF532
IC2002
CY7C1021CV33
SRAM
64X10 DC
-
DC
3.3V
5V
8V
Q201: RTQ035
D201: MA2SD100L
DOUT
(TO DATA)
YY
-
VIDEO
BA033FP
HV
IC1251
H3V
RTKI
(TO LOGIC CPU)
WFMS
AMS
IC1201
TC4W53
WFM8
AMOD
(FROM ACC)
AF
(FROM ACC/DATA)
DIN
(FROM DATA)
CTRL
LPF A/D
A/D
A/D
D/A
D/A
DSP
IC1302
HD64F2377VFQ33V
CPU
IC301
ADSP
-
BF532
SRAM
64Kx16
IC51
CY7C1021CV33
IC1
TC58FVM6T2AFT65
IC701
SN74AHC1G04
IC1226
S1D13706
IC1212
BH7236AF
SNDL
(FROM LOGIC CPU)
SEND
CTRL
EX
-
PA NDER
ELE-KEY
JACK
TUNER
JACK
J1001J1051
AT T
LPF
LPF
DDS
AMP
LPF AT T
RF
AMP
RF
AMP
AT T
X2
X4
REG
SAW
24.8064MHz
438.85kHz
3LO
LPF
DDS
AMP
AMP
AT T
D301
MA717
X2
3.3V
BDBR
BPF
HPF
X5
X3
BLF5
Q201
2SC5226
AMP
PDT
3DST
IC51: AD9833
IC61
SN74AHC1GU04
Q151: 2SC4673
IC301
AD9951
IC251
TK11218
124.517
-
594.487MHz
1LO
124.0327MHz
2LO
FI201: NSVS776 Q211: 2SC5226
1DST,PCK,PDT
PRES(FROM LOGIC CPU),1CN0(FROM LOGIC CPU),1CN1(FROM LOGIC CPU)
FI101: FL391 Q101: 2SC4403
BUFF INV
PCK
PDT
PCK
LOST
SDSS
(FROM LOGIC CPU)
VOUT
VDET
TVVS
DOTK,DASK
YY
-
VIDEO
YY
-
VIDEO
IC2231
NJM2244
SEND1
(TO ACC)
SEND2
(TO ACC)
IC901
CD74HC4094(1)
Q1
2SC4215
D501 1SV307
D551 1SV307
D502
1SV307
D552
1SV307 D1608
MA2S111
D1607
MA2S111
D1606
MA2S111
BUFF
BPF
BPF
BPF
BPF
BPF
BPF
BPF
AT T
554.5
-
574.5MHz
270.0
-
324.5MHz
225.0
-
270.0MHz
187.0
-
225.0MHz
154.5
-
187.0MHz
AMP
BLF0
BLF1
D601 1SV307
D602
1SV307
IC1601
NJM13403
1/4
IC1601
NJM13403
1/4
Q1604
2SA1586
IC1601
NJM13403
1/4
IC1601
NJM13403
1/4
Q1606
2SK3018
ALCL
(TO LOGIC CPU)
12/
-
15V
DC
-
DC
BUFF
Q1601
2SC4213
DET
CTRL
DET
CTRL
CTRL
R8 REG 8V REG
8V REG
U8V
T8 REG
5V REG
YY
-
VIDEO
R1
AFV
SQL
VRK
PUSH1
PUSH1
S1 TP96D00A
EX
-
2832
CLKK
MDAK,MDBK RESET
CPU
BLV
KLV
TP90D96AE20
KEY
BACK
LIGHT
LCD
BACK
LIGHT
D801
-
D804
MA8047M×4
Q802
2SB1132
IC2003
HD64F38024
X501
CR-805
3.579545MHz(NTSC)
CR-806
4.433619MHz(PAL)
IC651:B15532
Q651-654:XP4601
FSQS,FSQOS
FMDK,PTTL,PTTS
X2001
CR-747
9.8304MHz
IC2007
R3112N281A
FMLS,FUDL_ J303
J251
KEY
LIGHT
CTRL
MIC
I/F
MIC
JACK
EXT
-
SP
JACK
LCD
LIGHT
CTRL
PBTK
PWRK
LRXD,LTXD
S701
-
S704,S721
-
S724
S741
-
S744,S761
-
S764
S781,S782
: LS9J2M
-
1FG
-
T×18
Q2002: BCR183T
Q701,Q721,Q741
Q761,Q771,Q781
: 2SC4081×6
IC301: TA75S01
Q301: 2SK3065
Q302: BCR108T
Q303: BCR08
D301: MA2S111
D302: MA8075
MIC,MICE
AFO
8V 3.3V
REG
Q1605
2SC4213 Q2151: 2SB1132
Q2156: BCR108
Q1703: 2SD1619
Q1704: BCR108T
IC101
TA 7 805F
IC151
RN5RZ33BA
SQL,AFV,VRK,PBTK
S1AK,S1BK,S2AK,S2BK
D1
LTA025A161A
LCD
DRIVER
IC506
AN2533FH
LEVEL
CON
LCD
IC1: XC9504B092
Q1: RSQ035P03TR
Q51: RSR025N03
RXS
(FROM LOGIC CPU)
TXS
(FROM LOGIC CPU)
Q1701: 2SD1619
Q1702: BCR108T
IC1901
TA 7 808F
IC2001
TA 7 808F
BLF2
D651 1SV307
D652
1SV307
ALC
AMP
APC
AMP DELAY
CTRL UNSB
PT8V
ALC
T8
12V
5V
3.3V
-
15V
ADJL
8V
R8
APC
AMP
APC
AMP
LEVEL
SHIFT
APC
CTRL
Q1603: BCR108T
D1604,D1605: MA2S111×2
D1609: MA8036
EALC
(FROM ACC)
BLF3
D701 1SV307
D702
1SV307
BLF4
D751 1SV307
X2
X2
X2
X2
X1
D752
1SV307
X4
D801
1SV307
D454
1SV307
D2
1SV307
EX
-
PA NDER
EX
-
PA NDER
EX
-
PA NDER
EX
-
PA NDER
EX
-
PA NDER DRIVER
CTRL PHT8
LPF
LPF
LPF
LPF
LPF
LPF
LPF
LPF
144/430MHz
LPF
HPF
CTRL
CTRL
HEAT
CTRL
IC1801
BA033FP
IC1951
XC9201
IC1952
BA033FP Q2401: 2SD1619
D2401: DAN202K
8V
REG
HV
21
430
144
DC13.8V
D401
-
D404: MA2S728×4
D406,D407: XB15A407×2
D408
-
D410: UM9401F×3
D506,D510: XB15A407×2
D507
-
D509: UM9401F×3
D501
-
D504
MA729×4
D453,D454
1SV305×2
D455,D456
1SV305×2
Q504
PD55015
Q552
BCR108T
Q551
3SK291
Q452
BCR108T
Q451
3SK291
Q453
BCR108T
Q501
RD70HVF1
D551,D552
1SV307×2
D553,D554: MA2SV05×2
D555: 1SV307
D556: MA357
D558: MA357
D559,D560: MA2SV05×2
D557: 1SV307
D451,D452
1SV307×2
Q502,Q503
DTC114EU×2
D705
DAN202K
3.3V
REG
5V
DC
-
DC
MF1
AFB0512HB
-
BS
FAN
CTRL
3.3V
REG
Q700
BCR108T
POWS
(FROM LOGIC CPU)
D703
DAN202K
D701,D702
DSA3A1×2
IC701
BA08FP
D402,D403: DTC114EU×2
D411: MA2S111
D412: DAN202K
D706: MA2S728
UFOR P4T8
P2T8
VFOR
VUFOR
D704: MA2S728
LPF
CTRL
LPFBIAS
PWR
AMP
DET
P2T8
8V
14V
FANV
3.3V5V
3.3V B
ICL
ICH
THML
AT 1 3
AT T
LPF
CTRL P2R8
TN1V
PR4S
2MBL
TN1V
AT 1 3
ID3V
HPF
HPF
D301: DAN202U
D302: DAN202U
Q401
RD60HUF1
Q301: RD70HHF1
Q302: RD70HHF1
BPF
AT TBPFBPF
BPF
BIAS
P4R8
P2R8
PT8V
IDRV
430M
144M
BIAS
Q101
2SK2854
Q102
RD01MUS1
PRE
DRIVE
PRE
DRIVE
PWR
AMP
PWR
AMP
BIAS
BIAS
BIAS
430M
ID4V
148M
ID1V
ID2V
HF+50M
CTRL
2MBL
TN2V
TN2V
CTRL
PRE
AMP
PRE
AMP
DRIVE
AMP
PRE
AMP
PR3S
PWR
DET
PWR
DET
TX/RX
SW
TX/RX
SW
L1
L2
L3
L4
L5
L6
L7
2M
4M
8M
15M
22M
30M
60M
HFOR BUFF
BUFF
PWR/
SWR
DET
D961,D962
HSM88AS×2
HF/50MHz
IC960
NJM2904M
IC960
NJM2904M
HREF
D820,840,860,880
900,920,940
1SS302
60M
LPF TX/RX
SW
L1
-
L7
IC981
CD74HC4094
Q980
-
Q986
BCR108T×7
Q987
BCR108T
D964,D965: UM9957
D801: 1SS302
(2)
D1
1SV307
FI3
LFSC25N12B0440B
FI2
LFSC25N12B0440B
IC2: TA4001
Q204: BCR0108
Q1905: BCR08
Q202
BCR108
Q1906
BCR08
IC2151
CD74HC4094
Q201
BCR108D5
1SV307
D104
1SV307
Q102
BCR108
Q103: BCR08
D114: MA2S111
D105
1SV307
D112
1SV307
D152
MA2S111
D113
1SV307
D151
1SV307
Q101
2SC4213
D103
1SV307
(4)
B0
-
B7
IC2152
CD74HC4094
IC2153
CD74HC4094
IC2154
CD74HC4094
Q2232: BCR08
Q2233: BCR08
D462
1SV307
Q1254
BCR08
Q1255
BCR08
Q1904
BCR08
Q1904
BCR08
D461
1SV307 IC471
µPC3215TB
Q1907
BCR08
PR1S,TVVS
BHF,PROF
BHF6,ADJL,MSQOS
MAFOS(TO CP1603),SPS
FDAT,IDS,RTRS(TO CP1604)
TVAS,AMS
UNSB,MODS
FANH
D9
MA77
D8
MA77
D6
MA77
D7
MA77
144M
B7
T8
P2T8
P4T8AT T S
430M
D455
DAN202K
D458
1SV307
D459
1SV307
D451
1SV307
D452
1SV307
D456: MA717
D471: MA717
D453
1SV307 D802
1SV307
BLF5
BLF6
BLF0
BLF1
X1
CR
-
788
24.8064MHz
Q901
-
Q908
BCR08PN×7
BDBR
BLF0
-
BLF6
DRIVER
DBRS
LOF0
-
LOF6
Q1101: 2SC4081
Q1102: 2SD1623
D1101: 1SS302
D1102: DAP202K
SNDS
(FROM LOGIC CPU)
IC1218
SN74AHC2G86
IC1217
TC7WU04
IC1201
CY22150
X1201
CR-805: 3.579545MHz(NTSC)
CR-806: 4.433619MHz(PAL)
FLASH
ROM
4Mx16
LCD
CTRL
CLOCK
GEN
VIDEO
ENCODE
CLOCK
15.9744MHz
X1301
CR-809
C
-
SNC
ENCODE
DSP
LPF
LPF
R8
LPF
LPF
CTRL
CTRL
J2602
J2601
J2003
J2401
J2402
J2407
CTRL
AF
AMP
MIC
AMP
IC2007
TS462 1/2
Q2603: 2SC4081
D2402: MA2S111
Q2301: 2SC4081
AFMS
3rd IF 16.15kHz
2nd IF 455kHz
AGC
R8
R8
T8
CTRL
CTRL
CTRL CTRL
LPF
LPF
AT TATT AMP
LPF
CTRL
B1
B2
B3
B4
B5
B6 B7
MDT
P2TB
PT8V
P2R8
P4R8
WFM8
WFMS
POS8
AT 1 3
AT 1 3
AMS
POCV
VUFOR
HREF
(FROM PA)
FORL
(TO LOGIC CPU)
8V
ICH
IDS
ICL
HFOR
BCR08
1S8V
POST
1S15
PR3S
-
PR4S
WFMS
L8
L9
(3)
MCK
MST
R8
R8
R8
CTRL
CTRL
CTRL
CTRL
CTRL
CTRL B0
1.8M
CTRL
CTRL
CTRL
CTRL
CTRL
CTRL
CTRL
CTRL
CTRL
CTRL
CTRL
AT T
ATT RF SW
BHF
PHT8
AT 1 3
BHF06
FDAT
MCK
MST
T8
RX PHT8
H6CR8
H6C8
YGR
AMP
HPF
HPF
AT T AT T
LPF
D101,D102: 1SS302×2
CTRL
CTRL
CTRL PR1S P4R8
1.8M
40M
Q205:BCR108
Q206:BCR108
Q207:BCR108
Q208:BCR108
Q209:BCR108
Q210:BCR108
40M
50
-
54M
1.8
-
2M
30
-
40M
2M
3.4M
6.9M
13.9M
20.9M
40
-
60M TX
HPF
HPF
HPF
HPF
HPF
PRE
AMP
HPF LPF
BPF BPF
BPF
HPF
P2R8
CTRL PROF
CTRL
TVAS
AGC
T8
R8
TA G C
ALC
Q702
3SK195
XTAL
BPF
XTAL
BPF
XTAL
1S8V
T8DRIV
POS8
WFM8
BW=15kHz
BW=8MHz
BW=15kHz
BW=15kHz
BW=280kHz
10.7MHz
BW=280kHz
10.7MHz
FI1402
SFECV10.7MA
-
5S FI1401
SFECV10.7MA
-
5S
IC2101
NJM13403
IC2102
NJM13403
IC2103
NJM3403
fc=32kHz
Q1501: BCR08
Q402,403: BCR08
Q1909: BCR08Q1903: BCR08Q1902: BCR08
Q1901: BCR08
B0
BHF6
H6CR8H6C8
R8
BPF
BPF
BPF
IC1502
M52342FP
D704: 1SV307 D702
1SV307
D604
1SV307 FI601
FL
-
374 Q502
2SC5551
D603
1SV307
D601
1SV307
D504
1SV307
D505
1SV307
D502
1SV307 D305
1SV307
D306
1SV307
D803
1SV307
D904
1SV307
D903
1SV307
Q901
3SK195
FI1001
CFUCG455F
Q1001
3SK195
IC1101
NJM2594V
IC801
µPC2709
IC1301
TA4107
D1301
1SV307 D1302
1SV307
WFM
DET
IC1401
LA1225M
P2T8
P4T8
2MBL
2T8V
(FROM LOGIC CPU)
(FROM LOGIC CPU)
VSTB,SCK,MOSI
(FROM LOGIC CPU)
4T8V
2MBS
MODS
IC451,IC452
TS462×2
IC601 TS462
IC601 TS462
Q2606
2SD1623
IC2551
TS462 1/2
IC551: AK4528
FMTL
SPORT0(SECOND)
RSS,DRES
SPORT1
(DCK,DTFS,DRFS,DTXD,DRXD)
IC502,IC452
TS462×2
R8
Q1402
2SC4081
Q1401
2SC4081
Q2152: 2SB1132
Q2157: BCR108
Q2153: 2SB1132
Q2158: BCR108
IC2156
BU4052
IC2251
TC4WS3
Q2150: BCR108
Q2605: BCR108
IF
AMP
IF
AMP
IF
AMP
IC2155
BH2221 AGCI,IDRI
POCI,DRII
AGC,IDRV
POCV,DRIV
ID1I,ID2I
ID3I,ID4I
ID1V,ID2V
ID3V,ID4V
BANI,FANI
TN1I,TN2I
BANV(TO ACC)
FANV
TN1V,TN2V
AMP
D/A
AMP
AMP
LPF
Q902
3SK195
D802
1SV307
FI901
CFUCG455F
CERAMIC
BPF
CERAMIC
BPF
CERAMIC
BPF
CERAMIC
BPF
1S8V
T8
ALC
AGC
WFM8
10.7M
R8
D107
1SV307
D304
1SV307 D302
1SV307
D111
MA2S728
D106
1SV307
D214
1SV307
D215
1SV307
D204
1SV307
D205
1SV307
D208
1SV307
D209
1SV307
D210
1SV307
D211
1SV307
Q211
2SC5551
D219
1SV307
D218
1SV307
D217
1SV307
D216
1SV307
D220
1SV307
D221
1SV307
D3
1SV307
D4
1SV307
U8V
IC3: TA4002
D212
1SV307
D213
1SV307
D203
1SV307
D110
MA2S728
D301
1SV307
D303
1SV307
D503
1SV307
D108
MA732
Q301
2SC5551
D109
MA732
PRE
AMP
RXS
(FROM LOGIC CPU)
TXS
(FROM LOGIC CPU)
IC401
SPM5001
D501
1SV271
D602
1SV307
D703: 1SV307 D701: 1SV307
SFSCC4.5MC2 [USA], [EXP]
SFSCC5.5MC2 [EUR], [FRA], [ESP]
SFSCC6.0MC2 [UK]
FI1501 IC1501
TA4019
FI1502 TSB6221D except [UK]
TSB6322C [UK]
1st IF: 124.487MHz (except WFM)
134.732MHz (WFM)
1st IF: 45.75MHz except [UK]
Q1521: 2SC4081
D1521,D1522: 1SV271×2
39.50MHz [UK]
AFO
fc=30MHz
fc=500kHz
DATA
CTRL
TX
RX
COMMON
VOLTAGE LINE
IC421
IC401
IC451 IC801
IC1
µPC2709
µPC2709
µPC1678µPC1678
µPC2709T
Explanatory notes
IC1203: TS462

VOLTAGE LINE
Explanatory notes
TX LINE
RX LINE
DISPLAY UNIT (1)
4
5
6
3
2
1
DISPLAY
UNIT (2)
7
1
2
3
4
5
6
8
9
10
11
12
13
14
15
16
56
55
54
53
52
51
50
49
48
47
46
45
44
43
42
41
65
66
67
68
69
70
71
72
73
74
75
76
77
78
79
8021
22
23
24
25
26
27
28
29
30
31
32
33
34
35
36
AVCC
P13/TMIG
P14/IRQ4/ADTRG
P16
P17/IRQ3/TMIF
X1
X2
VSS=AVSS
OSC2
OSC1
TEST
RES
P50/WKP0/SEG1
P51/WKP1/SEG2
P52/WKP2/SEG3
P53/WKP3/SEG4
P60/SEG9
P61/SEG10
P62/SEG11
P63/SEG12
P64/SEG13
P65/SEG14
P66/SEG15
P67/SEG16
P70/SEG17
P71/SEG18
P72/SEG19
P73/SEG20
P74/SEG21
P75/SEG22
P76/SEG23
P77/SEG24
PB7/AN7
PB6/AN6
PB5/AN5
PB4/AN4
PB3/AN3/IRQ1/TMIC
PB2/AN2
PB1/AN1
PB0/AN0
P43/IRQ0
P42/TXD32
P41/RXD32
P40/SCK32
P37/AEVL
P36/AEVH
P35
P34
P92
P91/PWM2
P90/PWM1
VSS
VCC
V1
V2
V3
PA0/COM1
PA 1 / C O M 2
PA 2 / C O M 3
PA 3 / C O M 4
P87/SEG32
P86/SEG31
P85/SEG30
P84/SEG29
IC2003
HD64338020SB68HV
37
P80/SEG25
38
P81/SEG26
39
P82/SEG27
40
P83/SEG28
64
P33
63
P32/TMOFH
62
P31/TMOFL
61
P30/UD
57
P93
58
P94
59
P95
60
IRQAEC
17
P54/WKP4/SEG5
18
P55/WKP5/SEG6
19
P56/WKP6/SEG7
20
P57/WKP7/SEG8
EXT1
VDD
FB1
PWM1
EN1
EXT2
GND
FB2
PWM2
EN2
IC1
XC9504B092ARN
1
2
3
4
5
10
9
8
7
6
BUS LINE1
LTX D
LRXD
YGND
YY
-
VIDEO
MICE
AFO
MIC
GND
PWK
F8V
L851
HF50ACC322513
-
B
L855
HF50ACC322513
-
B
C852
10
L852 HF50ACC322513
-
B
L853 100µ
L854 100µ
MIC
AFO
MICE
YY
-
VIDEO
YGND
LRXD
LTX D
MP1
GND
PWK
F8V
MIC
AFO
MICE
YY
-
VIDEO
YGND
LRXD
LTX D
GND
PWK
F8V
NC
NC
PWK
MIC
MICE
GND
AFO
F8V
LRXD
LTX D
YY
-
VIDEO
YGND
CONNECT UNIT
to
MAIN
unit
J2231
to
MAIN
unit
J2002
SQL
S1BK
AFV
GND
3R3V
S1AK
S2AK
J401
S2BK
VRK
PBTK
SQL
AFV
S1BK
AFV
GND
3R3V
S1AK
S2AK
J1
S2BK
VRK
PBTK
S1BK
SQL
GND
3R3V
S1AK
S2AK
S2BK
VRK
PBTK
UP
E
DN
UP
DN
E
S1
TP90D96AE20
-
17F
-
1352
R1
TP96D00A
-
17F
-
B103
EP4
EP5
EP6
EP7
EP8
EP9
EP10
EP11
R3
ERJ3GE
-
JPW
R2
ERJ3GE
-
JPW
MICLE
GND
MICL
F8VM
U/D
AF
PTT
J303
SQLS
FRONT
W2
J202
MDBK
3R3K
MDAK
MAIN
DIAL
VR UNIT
A
B
5V
3R3V
R2019
47k
Q2002
BCR183T
DS2002
CL
-
170UR
-
CD
-
D
R2031 330
DS2001
SML
-
512MW
R2030
150
Q2001
BCR108T
DS2004
SML
-
512MW
R2033 150
CP401
R2026
47k
CP403
CP402
R2027
47k
R2010
100k
D2002
RB706F
-
40
CP2002
CP2001
OUT
VDD
VSS
CD
NC
IC2007
R3112N281A
1
2
3
5
4
C2007
10
C2008
0.027
R2015
10k
R2012 12k
R2002 47k
D2006
DA221
D2003
RB706F
-
40
PTTL
SQL
C2012 0.0047
C2013 0.0047
C2006 0.1
C2009 0.1
C2010 0.1
R2018 6.8k
AFV
PHK
R2005 10k
R2006 10k
R2003 10k
R2004 10k
R2017 6.8k
R2014 6.8k
R2013 47k
R2016 47k
D2004
DA221
D2005
DA221
R2028
47k
R2023
47k
R2040 15k
LTX D
LRXD
R2035 1k
R2034 1k
Q1
RSQ035P03TR
D1
MA729
GND
VDD
VOUT
CE
NC
IC151
RN5RZ33BA
1
2
3
5
4
IC101
TA7805F
G
OI
L101 10µ
L151 10µ
R202 0
R201 0
CP2003
L252 HF50ACC322513
-
B
L251 HF50ACC322513
-
B
L307 100µ
4
5
6
3
2
1
Q303
BCR08PN
L302 10µ
L309 100µ
L310 100µ
L303 100µ
L312 100µ
L313 100µ
CP301
CP302
L306 100µ
L301 100µ
C312
0.0047
R301
1k
D301
MA2S111
R304
3.3k
Q302
BCR108T
Q301
2SK3065
-
14
3
IC301
TA75S01F
+2
5
L3 100µ
MDBK
MDAK
E7_7
FZMD
E7_1
E7_5
R2020 1.2k
R2021
47k
R2022
47k
R2024
47k
R2025
47k
C251 470p
C252 470p
C253 470p
C254 470p
R251 1k
R255
220
R253 220
R252 220
R254 220
S251
HSW0880
-
01
-
210
AFO
PHK
FUDL_
FMSL
MICE
MIC
FSQOS
FSQS
PTTS
PTTL
S1AK
S2AK
SQL
AFV
S1BK
S2BK
VRK
PBTK
FMDK
YY
-
VIDEO
LRXD
LTX D
MIC
MICE
AFO
PWK
C301 0.0047
C302
0.0047
C303
0.0047
C305
0.0047
R306
1k
R305 3.3k
C304 0.0047
R302
10k
R303
1k
C315
0.0047
C316
0.0047
C317
0.0047
C318
0.0047
C319
0.0047
C320
0.0047
C321
0.0047
C322
0.0047
C306
0.0047
R308
330k
R309
120k
R310
12k
R307
10k
D302
MA8075
J1
VRK
PBTK
TUNK
TSK
LCKK
BUPK
BDNK
FMSL
FSQOS
LCK
LDT
LDST
PTTS
FSQS
KLVB
BLV
KI2L
KI1L
KI0L
FUDL_
C2002
0.0047
R2009
47k
R2007
2.2k
R2041
15k
S201
SPVP110100
C2003
12p
C2004 12p
X2001
CR
-
747
R2011
1M
C2001
2.2
R2008
22k
R2042
10k
C101
10
C104
0.1
C103
0.1
C102
10
C154
0.1
C152
10
C153
0.1
C151
10
C53 10
C55 10
C51
47p
R51
220k
R52
56k
R53
22k
D51
MA2SD1000L
L51
100µ
Q51
RSR025N03
C56
10
C57
1
C9
10
C2
10
EP1
L1
100µ
C3
10
R54 10k
R55 10k
R4 10k
R5 10k
R3
180k
C8 10
C6 10
R1
220k
R2
39k
C4
47p
MDAK
MDBK
FMDK
E7_5
FZMD
E7_1
E7_7
SQL
AF
OUT
SIDE
IN
SIDE
L53 100µ
a
J251
PHONE
S1AK
S1BK
S2AK
S2BK
D2001
MA732
R2037 47k
R2036 47k
L152
10µ
L2
100µ
C2011 0.1
C851
0.0047
C2014 0.1
C2005 0.01
EP1
FRONT UNIT
GND
3R3V
AFO
PHK
AFO
GND
to
Microphone
<
<<
FRONT W1
W1
3R3V
R2039
47k
3R3V
3R3V
5V
5V
3R3V
5V
3R3V
3R3V
3R3V
R2029
47k
C2015
0.1
C2016 0.1
SECTION 11 CIRCUIT DIAGRAMS
11 - 1
11-1 DISPLAY/ VR/ CONNECT UNITS

11 - 2
VOLTAG E L INE
Explanatory n o tes
DISPLAY UNIT (2)
J601
CLK1
Q2H
OEH
STH1
DISPLAY
UNIT (1)
CLK2
CLK3
GND
BLUE
GREEN
RED
VB
RL
STH2
VEE
VCOM
VGON
VDD
STV2
OEV
CPV
UD
STV1
VSS
VGOFF
123
654
Q651
XP4601
123
654
Q653
XP4601
49
50
51
52
53
54
56
57
58
59
60
61
62
63
64
32
31
30
29
28
27
26
25
24
23
22
21
20
19
18
17
33
34
35
36
37
38
39
40
41
42
43
44
45
46
47
48
1
2
3
4
5
6
7
8
9
10
11
12
13
14
15
16
LOAD
SCLK
DATA
RST1
RST2
HMC
QHSEL
R
-
MON
GND1
B
-
MON
Y
-
IN
TRAP
Y
-
DET
B
-
Y IN
C/R
-
Y IN
ACC DET
APCDET
VXO0
VXO1
KILLDET
B
-
CH_DET
VCC1
VREF
G
-
CH_DET
R
-
CH_DET
TEST CLK/YS
COMMON OUT
R
-
CH_AVEDET
VCC2
G
-
CH_AVEDET
B
-
CH_AVEDET
B
-
OUT
HSSIN
SYNC_OUT
V
-
SYNC_IN
COM DC ADJ
VCO ADJ
QH OUT
VSS
PCH
VDD
STV3
AFC DET
VSCLK1
VSCLK2
STV1
STV2
VCC3
HSCLK1
HSCLK2
HSCLK3
HSCLK4
OEV
STH1
STH2
STH3
HD
VD
R
-
IN
G
-
IN
B
-
IN
GND2
R
-
OUT
G
-
OUT
IC506
AN2533FH
-
V
55
IC651
BA15532F
21
3
-
+
4
8
GND
V+
IC651
BA15532F R653 33k
C658 27p
123
654
Q652
XP4601
Q654
XP4601
456
321
IC651
BA15532F
67
5
-
+
R658 100k
S701
LS9J2M
-
1FG
-
T
MODE
2
4
65
3
1
S702
LS9J2M
-
1FG
-
T
P.AMP/ATT
2
4
65
3
1
S703
LS9J2M
-
1FG
-
T
MENU/GRP DOWN
2
4
65
3
1
S704
LS9J2M
-
1FG
-
T
MENU/GRP P
2
4
65
3
1
S721
LS9J2M
-
1FG
-
T
F1
2
4
65
3
1
S722
LS9J2M
-
1FG
-
T
F2
2
4
65
3
1
S723
LS9J2M
-
1FG
-
T
F3
2
4
65
3
1
S724
LS9J2M
-
1FG
-
T
F4
2
4
65
3
1
S741
LS9J2M
-
1FG
-
T
NB/LEVEL
2
4
65
3
1
S742
LS9J2M
-
1FG
-
T
NR/LEVEL
2
4
65
3
1
S743
LS9J2M
-
1FG
-
T
NOTCH/ANF
2
4
65
3
1
S744
LS9J2M
-
1FG
-
T
SET/REC
2
4
65
3
1
S761
LS9J2M
-
1FG
-
T
TS
2
4
65
3
1
S763
LS9J2M
-
1FG
-
T
UP
2
4
65
3
1
S764
LS9J2M
-
1FG
-
T
DOWN
2
4
65
3
1
S762
LS9J2M
-
1FG
-
T
LOCK
2
4
65
3
1
C537 0.1
C530 0.1
C531 22
C538 0.1
C532 0.1
C539 4.7
C542 4.7
C544 4.7
CP504
L508
10µ
Q701
2SC4081
L651
100µ
L802
100µ
DS808
NSSW008B
D804
MA8047
D803
MA8047
DS807
NSSW008B
DS806
NSSW008B
D802
MA8047
D801
MA8047
DS805
NSSW008B
L801
10µ
L509
10µ
CP506
CP507
R536 0
R549 0
R537 0
R550 0
R538 0
R551 0
R540 0
R802
150
D602
MA732
D601
MA732
R803
1k
L605
10µ
L604
10µ
L603
10µ
L602
10µ
C526 0.0082
C540 4.7R532 10k
CP503
CP502
Q721
2SC4081
Q741
2SC4081
Q761
2SC4081
R743 2.2k
Q771
2SC4081
S782
LS9J2M
-
1FG
-
T
TUNER/CALL
2
4
65
3
1
S781
LS9J2M
-
1FG
-
T
POWER
2
4
65
3
1
Q781
2SC4081
L702
100µ
L506
10µ
C701
10
L701
100µ
L505 47µ
C519 0.1
C520 0.1
R522 0
C513 0.1
C514 0.1
C518
39p (USA)
27p (Others)
X501
CR
-
805 (USA)
CR
-
806 (Others)
C536
20p
C534
0.022
R531
5.6k
C533
1
R703 2.2k R704 4.7k
R705 15k
R723 2.2k R724 4.7k
R725 15k
R744 4.7k
R745 15k
R761
220
R762
330
R741
220
R742
330
R721
220
R722
330
R701
220
R702
330
R771
220
R772
330
R781
220
R782
330
A
B
5V
3R3V
BUS LINE1
L601
100µ
R608
0
R609
4.7k
R601 3.9k
R603 3.9k
R604 3.9k
C601 0.1
C611 47
R533
0
C541 22
L507
10µ
C523
22
C525
0.1
R546 0
R544 0
R534 0
R548 0
C529 22
C524 150p
R529 10k
R528 0
R530 82k
R553 0
R541 5k
C528
470p
C527
680p
C515
1
R521
560
C516
4.7
C517
1
R523 0
R524
75
C559
0.001
C802
0.1
C801
0.1
R801
47k
Q802
2SB1132
R602 3.9k
R605 3.9k
R606 3.9k
R610 0
R612 4.7k
C602 0.1
C603 0.1
C604 10
C605 0.1
C606 10
C607 0.1
C608 10
C609 0.1
C610 10
C652
10
R651
10k
R654
68k
C654
1
C656
2.2
R660
56k
R661
22k
R662
39k
R659
22k
R666
100
R668
100
R652
22k
C655
0.01
R657
33k
R665
22k
R663
22k
R667
100
R669
100
C560
10
C561
0.1
C562
0.0047
R656
220k
R655
100k R664
15k
C657
2.2
R545
56k
C521
10
C522
0.1
C501
100
C502
100
C543
10
C545
0.1
C702
10
STH1
OEH
Q2H
CLK1
CLK2
CLK3
GND
BLUE
GREEN
RED
VB
RL
STH2
VEE
VCOM
VGON
VDD
STV2
OEV
CPV
UD
STV1
VSS
VGOFF
DS1
LCD
a
L703 100µ
R547 0
C549 10
C551 10
C550 10
R539
56k
C651
10
C653
0.1
C659
0.0047
CP501
KLVB
TSK
BUPK
BDNK
LCKK
BLV
KI2L
KI1L
KI0L
PWK
TUNK
YY
-
VIDEO
LDT
LCK
LDST
5V
3R3V
5V
3R3V
FRONT

11-2 MAIN UNIT
11 - 3
10
C6
R33
0
R34 0
0.001
C126
0.001
C125
0.001
C127
1S8V
C1910 0.001
R2003 0
TA4001F
IC2
1SV307
D1
µPC2709T
IC1
14V
T8
82p
C291
14V
14V
8V
8V
100p
C228
8V
R8
14V14V
1LO
2LO
14V
14V
14V
14V
14V
T8
8V
14V
8V
T8
R8
14V
14V
8V
T8
R8
14V
8V
5
6
7
8
4
3
2
1
14V
5V
H6CB
B0
PT8V
390
R128
390
R125
BHF6
PHT8
e
LR
-
518A
L243
d
c
H6CR8
1S15
PR1S
PROF
B5
B4
B6
B3
B2
f
a
b
unit J851
to DDS
J801
B1
BHF
H6CB
AT 1 3
P4T8
U8V
3R3V_B
P2T8
P4R8
P2R8
C1972 0.1
C1955 10
C1954 10
C1953 10
C1952 10
C1951 10
10
C1968
0.1
C1973
22
C1969
22
C1970
EP1952
0.1
C1966
10
C1965
EP1953
L1953 100µ
G
OI
BA033FP
IC1952
100µ
L1954
4.7
C1958
22
C1959
C1907 0.1
R1901 100k
C1909 0.1 C1903 0.1
C1902 0.1
C1901 0.1
56
R105
1SV307
D101
0.1
C104
R7 820
BCR08PN
Q1907
1
2
3
6
5
4
BCR08PN
Q1909
1
2
3
6
5
4
BCR08PN
Q1903
1
2
3
6
5
4
BCR08PN
Q1902
1
2
3
6
5
4
BCR08PN
Q1901
1
2
3
6
5
4
0.1
C324
39p
C322
82p
C318
33p
C314
100µ
L314
4p
C320
12p
C316
100µ
L315
390
R315
390
R314
1SV307
D305
0.15µ
L312
0.12µ
L310
1SV307
D306
3p
C325
6p
C321
8p
C317
5p
C313
7p
C323
4p
C319
1p
C315
10n
L313
15n
L311
18n
L309
100µ
L308
390
R312
390
R311
1SV307
D303
0.1
C312
1SV307
D304
100µ
L307
270
R309
2.2k
R308
0.1
C310
1k
R305
0.1
C305
0.1
C309
0.1
C308
100µ
L306
100
R307
0.1
C307
LR
-
517A
L304
2SC5551
Q301
0.1
C301
0.1
C302
47
R303
R304 100
100µ
L303
100µ
L302
100µ
L301
390
R302
390
R301
1SV307
D301
0.1
C303
1SV307
D302
1.8
R1902
10
C1917
10
C1916
O
G
I
TA7808F
IC1901
RSQ035P03TR
Q1960
1
2
3
6
5
4
39k
R1957
220k
R1956
56p
C1963
SM240A
-
T
D1951
100µ
L1951
XC9201D09AKRN
IC1951
56k
R1958
470p
C1961
220p
C1962
30k
R1955
0.1
C1964
1
C1960
0.1
C1971
470k
R1954
0.15
R1953
0.15
R1952
ERJ12
-
JPW
R1981
0.1
C1957
EP1951
10
C1956
100µ
L1952
EP1954
1SV307
D221
0.0047
C293
C2012C
-
R15G
L247
C2012C
-
R22G
L246
10µ
L248
0.0015
C290
82p
C288
47p
C289
120p
C287
68p
C286
82p
C242
22p
C240
6p
C282
5p
C285
6p
C241
C2012C
-
R15G
L220
C2012C
-
R12G
L219
10µ
L218
0.1
C239
BCR108T
Q204
10k
R225
1SV307
D213
10µ
L242
10µ
L245
0.1
C281
1SV307
D220
0.1
C283
2SC5551
Q211
2.7k
R228
0.1
C292
1k
R227
0.1
C278
47
R218
0.1
C238
C2012C
-
R22G
L217
56p
C237
C2012C
-
R18G
L215
220p
C229
0.1
C227
10µ
L213
BCR108T
Q202
10k
R217
1SV307
D212
BCR108T
Q210
R216 100k
0.1
C279
0.0047
C284
100µ
L239
0.47µ
L244 270p
C272
0.33µ
L241
820p
C268
100µ
L240
1SV307
D219
470p
C274
100p
C270
150p
C266
1SV307
D211
BCR108T
Q209
100k
R208
0.0047
C276
100µ
L238
0.82µ
L237
390p
C271
0.56µ
L235
0.0012
C267
0.1
C264 100µ
L233
1SV307
D218
390p
C273
180p
C269
270p
C265
1SV307
D210
BCR108T
Q208
0.1
C263
1µ
L234
1.5µ
L236
0.0047
C275 100µ
L231
68p
C295
680p
C258
0.0022
C254
220p
C294
100µ
L232
100k
R207
1SV307
D217
680p
C260
330p
C256
470p
C252
1SV307
D209
R205 390 R226 390
100k
R206
0.0047
C262
3.9µ
L229
2.7µ
L227
0.1
C250
220p
C215
560p
C214
100µ
L230
0.0018
C257
0.0047
C253
100µ
L225
BCR108T
Q207
1SV307
D216
0.0012
C259
820p
C255
0.0012
C251
1SV307
D208
100k
R204
BCR108T
Q206
0.0047
C261
4.7µ
L228
4.7µ
L226
0.1
C249
100µ
L223
0.0033
C247
0.0082
C244
100µ
L224
1SV307
D215
0.0047
C248
0.0015
C246
0.0047
C243
1SV307
D205
D214 1SV307
0.1
C245
100µ
L222
R203 100k
BCR108T
Q205
0.1
C226
1SV307
D204
0.0047
C433
10
R424
0.0047
C434
0.18µ
L421
6
5
4
1
2
3
µPC2709T
IC421
C432 0.0047
R423 270
R422 270
18
R421
unit J151
to DDS
100k
R202
0.1
C208
BCR108T
Q201
68p
C213
150p
C211
82p
C209
100µ
L204
27p
C212
9p
C210
0.22µ
L207
0.27µ
L205
1SV307
D203
C11 0.1
0.1
C112
BCR108T
Q102
C59 150p
R21 27
C58 150p
R20 27
1SV307
D5
R8 39
0.1
C117
100µ
L4
100k
R17
0.1
C12
0.1
C118
MA732
D109
MA732
D108
D114 MA2S111
10µ
L117
8.2µ
L110
12µ
L116
10µ
L109
0.1
C108
100k
R112
100µ
L105
0.0068
C115
0.0027
C116
0.0015
C114
0.1
C109
100k
R113
390
R117
390
R116
100µ
L108
100µ
L107
390
R114
390
R115
1SV307
D106
390
R127
390
R126
0.0012
C111
0.0027
C106
560p
C110
4.7µ
L104
4.7µ
L103
1SV307
D103
1SV307
D104
1SV307
D105
0.1
C107
470
R108
470
R107
470
R111
2SC4213
Q101
1k
R102
10k
R101
0.1
C101
10k
R103
1SV307
D102
470
R106
0.1
C105
0.1
C103
0.1
C102
0.1
C122
100µ
L114
C121 0.1
100k
R104
0.1
C124
100µ
L101
100µ
L106
0.1
C123
EP104
1SV307
D113
100µ
L113
390
R123
390
R122
1SV307
D112
0.1
C120
0.0047
C119
1SV307
D107
100k
R120
R118 390
390
R119
100µ
L112
MA2S728
D111
MA2S728
D110
C40 470p
C7 0.1
R29 100
0.82µ
L3
22µ
L18
0.1
C54
680
R24
2.2k
R23
1k
R25
0
R22
MA77
D7
MA77
D9
1k
R27
0.1
C8
MA77
D8
68n
L21
100p
C52
0.1
C53
4.7µ
L23
15p
C51
15p
C50
4.7µ
L22
MA77
D6
0.1
C55
L221 100µ
C326 0.0047
BUS LINE2
8V
BCR08PN
Q103
T8
R8
R310 100k
C311 0.1
100µ
L305
270
R306
100µ
L102
CLK
CC/GAIN
VOUT/FB
VSS
CE/SS
VIN
LSEN
EXT
J401
VCC
GND
OUT
IN
GND
GND
100k
R121
1
2
3
6
5
4
J101
unit J451
from PA
820
R6
0.1
C13
5.6
R5
0.1
C10
4
5
6
3
2
1
OUT
GND
VCC
GND
GND
IN
SLF7045T
-
102MR14
-
PF
L24
0.1
C1309
1
C56
0.1
C9
TA4002F
IC3
R16 ERJ3GE
-
JPW
0.0047
C27
100k
R13
ERJ3GE
-
JPW
R19
1SV307
D10
1SV307
D3
100µ
L19
0.001
C5
0.0047
C37
100k
R15
470p
C42
47p
C44
0
R12
470
R9
470p
C21
1SV307
D2
R10 1k
LFSC25N
FI2
OI
18n
L14
5p
C35
5p
C34
LFSC25N
FI3
OI
R30 180
150
R18
150
R31
1SV307
D4
39
R32
0.0047
C38
1
4
3
2
470p
C36
C43 47p
C30 470p
470p
C41
1.5µ
L5
0.001
C14
56n
L16
6p
C33
0.5p
C31
0.18µ
L13 33p
C32
7p
C29
0.12µ
L12
0.5p
C28
0.18µ
L11 33p
C26
6p
C25
56n
L10
56n
L8
10p
C18
0
R35
0.001
C17
15
R11
C16 0.001
C15 0.001
3
4
1
2
5.6
R1
820
R3
820
R2
J1
unit J101
from PA
14V
5V
(2)
UNIT
MAIN
BUS LINE3
BUS LINE1
MAIN UNIT (1)

11 - 4
VOLTAGE LINE
Explanatory notes
TX LINE
RX LINE
COMMON LINE
8V
T8
3R3V
8V
3R3V
100p
C1618
EP511
0.001
C511
POST
C514 0.1
WFM8
5V5V
0.1
C814
5V
T8
8V
14V
3R3V
8V
14V
14V
R804 10
0.1
C1102
ALC
3SK195
Q901
ALC
D903 1SV307
8
7
6
54
3
2
1
WFM8
39k
R1215
0.1
C1108
ALC
14V
R8
5V
C1514 0.0047
ALC
WFM8
R8
0.0047
C1407
L1403 100µ
8
10
9
ALC
5V
T8
8V
14V
5V
T8
8V
14V14V
T8
5V
8V
R8
14V
8V
T8
R8
5V
C1906 0.1
T8
R8
5V
8V
R8
ALC
R8
5V
14V
C711 0.001
WFM8
3R3V
T8
R8
5V
3R3V
5V
R8
T8
5V
R8
T8
EALC
2SC4081
Q1402
6
7
8
9
10
5
4
3
2
1
0.56µ
L1505
8V
f
5
6
7
8
4
3
2
1
3LOE
R1301 0
C1523 0.1
3LO
VDET
WFML
RXIF
TXIF
TVAS
UNSB
ALCL
TXS
RXS
c
B7
d
WFMS
REFL
IDS
ICL
ICH
AMS
FORL
HFOR
VUFOR
POCV
R803 1k
10k
R916
FL
-
374
FI601
0.0047
C616
DRIV2
0.1
C914
0.1
C701
3SK195
Q701
AGC
1S8V
DRIV
1.8µ
L610
470
R604
100k
R606
a
b
e
SFSCC5.5MC2 [Others]
SFSCC4.5MC2 [USA]
FI1502
GOI
C1503 0.1
L1507 18µ
R1508 22k
C1520 47
R1510 10k
LS
-
535 [Others]
LS
-
534 [USA]
L1506
47p [Others]
68p [USA]
C1524
39p
C1522
68
R1511
0.47
C1525
R1509 390k
C1521 82p
GOI
TPSCC5.5MB [Others]
TPSCC4.5MB [USA]
FI1503
15µ
L1508
330
R1513
R1512 1k
C1512 0.0047
0.1
C1516
5
4
3
2
1
TSB6321D [Others]
TSB6221D [USA]
FI1501
NJM13403V
IC1601
11
4
100
R1630
10
C1519
0.1
C1610
10
C1526
2.2k
R1515
10
C1515
2.2k
R1505
2.2k
R1514
470p
C1517
0.47
C1513
47
R1504
0.0047
C1510
8
7
6
54
3
2
1
TA4019F
IC1501
2.2M
R1641
2.2M
R1636
2.2M
R1627
10k
R1626
4.7k
R1634
MA2S111
D1610
470p
C1614
R1501 0
C1509 0.0047
2SK3018
Q1606
0.18µ
L1503
0.18µ
L1502
39p [Others]
22p [USA]
C1491
0.33µ [Others]
0.27µ [USA]
L1491
33p
C1493
270p [Others]
330p [USA]
C1495
39p [Others]
47p [USA]
C1494
0.33µ [Others]
0.27µ [USA]
L1492
33p
C1496
39p [Others]
22p [USA]
C1498
24p
C1501
68p
C1504
24p
C1507
47
R1516
R1523 1k
C1508 0.0047
0.0047
C1533
1k
R1526
0.0047
C1532
1SV271
D1522
1SV271
D1521
3.3k
R1525
1k
R1524
10µ
L1501
0.0047
C1506
L1504 10µ
1
C1531
100k
R1521
0.0047
C1534
R1522 47k
2SC4081
Q1521
150k
R1503
0.01
C1511
150k
R1502
39k
R1507
0.01
C1518
39k
R1506
M52342FP
IC1502
TS462CPT
IC1203
10k
R1218
1k
R1027
1
C1212
2.2k
R1217
R1219 10k
1
C1211
2.2k
R1216
5
6
7
+
-
1k
R1213
0.0047
C1210
1k
R1212
0.0047
C1207
0.0047
C1206
1k
R1211
TS462CPT
IC1203
C1209 560p
0.0018
C1208
3
2
1
+
-
0.1
C1202
TC4W53FU
IC1202
R1206 100k
47k
R1207
100
R1209
47k
R1204
470
R1205
0.1
C1203
0.1
C1213
470
R1201
0.1
C1201
47k
R1202
47k
R1203
TC4W53FU
IC1201
8
7
6
54
3
2
1
4
8
TS462CPT
IC1203
10
C1204
C1311 10
C1306 0.1
C1305 0.1
1k
R1309
1
C1303
R1308 3.3k
C1312 1
C1304 0.1
R1310 NTCG16
R1208 100
C1308 0.1
TA4107F
IC1301
0.1
C1310
L1302 100µ
L1301 100µ
R1306 1k
L1303 100µ
C1307 0.1
R1305 1k
0.1
C1302
1k
R1304
1SV307
D1302
1k
R1302
1SV307
D1301
0.1
C1301
1k
R1303
L1405 100µ
C1423 20p
R1416 3.9k
C1422 15p
C1420 47p
2.7µ
L1404
10
C1421
2p
C1418
0.056
C1419
C1416 0.047
C1415 100
R1414 15k
C1413 1
C1412 0.047
C1411 1
LA1225M
IC1401
0.047
C1414
R1422 220
220
R1420
GOI
SFECV10.7MA5S
FI1402
R1421 150
C1408 0.0047
0.0047
C1409
R1409 47
R1407 1k
330
R1408
6.8k
R1406
SFECV10.7MA5S
FI1401
GOI
1
C1609
82
R1624
C1611 0.1
2SC4081
Q1401
C1406 0.0047
R1405 47
R1403 2.2k
150p
C1404
150p
C1402
27p
C1403
0.47µ
L1402
0.0047
C1405
330
R1404
12k
R1402
1k
R1401
0.1
C1401
L1401 100µ
BCR108T
Q1603
82k
R1619
68k
R1607
NJM13403V
IC1601
R1629 10k
1k
R1628
MA8036
D1609
100k
R1640
D1605 MA2S111
D1604 MA2S111
R1620 18k
R1622 0
56k
R1617
+
-
NJM13403V
IC1601
2SA1586
Q1604
220
R1625
MA2S111
D1608
1M
R1621
100k
R1616
4.7k
R1615
MA2S111
D1607
7
5
6
+
-
NJM13403V
IC1601
33k
R1612
10k
R1618
1.5M
R1614
33k
R1610
68k
R1606
0.0047
C1601
DTA114EE
Q1602
1k
R1602
2SC4213
Q1601
4.7
C1616
270
R1638
NJM13403V
IC1601
2.2M
R1609
MA2S111
D1606
0.0047
C1607
470
R1623
2.2M
R1637
C1615 47p
1
3
2
+
-
R1611 330k
C1605 0.1
C1604 0.0047
R1604 2.2k
100k
R1605
0
R1613
100k
R1608
0
R1603
1k
R1639
MA2S728
D1602
D1601 MA2S728
CP1601
100k
R1631
14 13
12
+
-
1
C1702
BCR108T
Q1704
RB706F
-
40
D1702
2SD1619
Q1703
330
R1708
330
R1707
330
R1706
R1705 4.7
1
C1701
RB706F
-
40
D1701
BCR108T
Q1702
R1701 4.7
330
R1704
330
R1703
330
R1702
2SD1619
Q1701
C1908 0.1 C1905 0.1 C1904 0.1
R810 18
270
R809
270
R811
47
R703
0.0047
C704
C720 5p
LS
-
549
L702
8p
C712
3.3k
R717
0.0047
C717
2.7k
R711
R712 1k
C721 0.0047
C714 0.001
R713 10k
3SK195
Q702
LS
-
550
L703
120
R716
0.0047
C718
1SV307
D704
C803 0.0047
R802 1k
LR
-
317
L801
D703 1SV307
HSB88WS
-
E
D801
LR
-
317
L803
1SV307
D803
0.1
C801
1SV307
D802
L806 1.2µ
150p
C810
150p
C811
R808 47
1.2µ
L807
150p
C812
150p
C813
1k
R807
0.1
C807
C808 680p
C809 0.0047
10µ
L804
12µ
L805
C819 0.0027
C818 0.0012
LS
-
551
L904
C911 150p
10k
R1019
3SK195
Q1001
3SK195
Q902
CFUCG455F
FI901
0.0047
C924
3.3k
R913
1000µ
L901
0.1
C922
1000µ
L906
0.1
C901
R914 5.6k
R915 2.2k
0.001
C920
R917 47
C921 0.1
100
R919
2.2k
R918
0.1
C923
CFUCG455F
FI1001
L908 1000µ
C925 150p
C1001 0.0047
5.6k
R1009
C1016 0.1
R1018 2.2k
0.0047
C1009
0.001
C1018
C1023 47
C1022 47
R1024 100
C1020 0.1
R1022 NTCG16
C1019 0.1
R1023 820
33
R1025
C1104 1
C1105 10
L1003 1000µ
470
R1020
0.1
C1021
1
C1101
NJM2594V
IC1101
1
2
3
4
8
7
6
5
L1102 100µ
68n
L808
C816 22p
22p
C817
0.001
C815
0.1
C804
0.56µ
L802
270
R801
18
R805
270
R806
0.001
C805
4
5
6
3
2
1
µPC2709T
IC801
0.1
C916
0.1
C918
R912 8.2k
470
R908
R909 3.9k
C917 0.0047
R907 220
C915 0.1
0.1
C913
2.2k
R906
1000µ
L905
100
R905
180p
C910
R710 1k
8.2k
R709
100
R707
0.0047
C710
0.27µ
L704
R708 2.2k
C709 0.0047
0.001
C708
NTCG16
R718
R706 820
0.1
C707
R705 220
R701 22k
C719 1p
47
C703
0.1
C702
C705 8p
1SV307
D701
LS
-
550
L701
R607 1k
1SV307
D603
LS
-
548
L612
0.0047
C614
0
R605
1.8µ
L611
C613 10p
9p
C612
2
4
56
3
1
LS
-
548
L604
C605 10p
0.0047
C604
1.8µ
L603
470
R603
1.8µ
L605
1.8µ
L509
470
R602
1k
R520
1SV307
D505
C618 10p
L609 47n
C610 10p
C617 10p
L607 47n
C606 10p
6p
C609
1.5p
C608
4p
C602
470
R521
C528 0.1
0.01
C526
R519 2.2k
R518 2.2k
0.1
C527
1.0µ
L507
100
R512
0
R517
0.1
C525
1SV307
D503
1.8µ
L503
56
R509
0.0047
C515
22
R510
2SC5551
Q502
L508 0.12µ
C518 4p
6p
C516
D601 1SV307
L601 1.8µ
R601 470
1SV271
D504
47n
L511
1SV271
D501
1k
R524
0.001
C530
0.0047
C512
1k
R502
39n
L512
1SV307
D506
1k
R523
39p
C529
270
R418
270
R417
18
R416
0.001
C429
#617DB
-
1327=P3
L406
0.1
C425
0.1
C431
#617DB
-
1327=P3
L404
0.1
C427
33
R412
33
R411
C422 0.1
0
R401
R402 0
100
R414
100
R403
1
2
3
6
5
4
SPM5001
IC401
C423 0.1
0
R405
0.1
C426
0.1
C424
100µ
L403
T8
R8
3R3V
0.1
C1801
47
C1802
GOI
10
C1803
0.1
C1804
BA033FP
IC1801
V+
GND
BCR08PN
Q1201
1
2
3
6
5
4
V+
OUT1
OUT2
GND
NC
CAR IN
BYPASS
SIG IN
IF1
IF2
GND
LO2
RF1
RF2
VCC
LO1
BCR08PN
Q1501
1
2
3
6
5
4
V+
GND
1.8µ
L501
1k
R501
OUT2
OUT1
GND
VCC
MGC2
MGC1
IN2
IN1
OUT
OUT
OUT
GND
IN
13
14
15
16
17
18
19
20
21
22
23
24
LIMIT IN
AFT SW/NPSW
QIF OUT
VCC
VCC
VCO COIL
VCO COIL
VREG OUT
VREG OUT
VIDEO OUT
APC FIL
EQ F/B
AUDIO OUT
NFB
IF AGC FIL
QIF DET IN
GND
GND
GND
VIF IN
VIF IN
RF AGC OUT
AFTOUT
RF AGC DELAY
12
11
10
9
8
7
6
5
4
3
2
1
ROUT
DET
LIMAMP D
IF BUFF
SD
VCC
SMETERD
GND
REG
IF IN
OUT
GND
VCC
GND
GND
IN
1SV307
D904
0.0047
C715
47
R715
C716 1p
C2012C
-
R10G
L705
1SV307
D702
R702 1k
C611 0.0047
BCR08PN
Q1908
1
2
3
6
5
4
BCR08PN
Q1906
1
2
3
6
5
4
BCR08PN
Q1905
1
2
3
6
5
4
BCR08PN
Q1904
1
2
3
6
5
4
C615 0.0047
1SV307
D604
OUT
GND
GND
IN
1SV307
D602
0.0047
C603
0.1
C513
1SV307
D502
G1
D1
D2
G2
S1
S2
0.1
C415
0
R404
C413 0.1
R407 47 R406 47
LR
-
520
L402
0.1
C418
0.1
C401
6
5
43
2
1
BCR08PN
Q403
1
2
3
6
5
4
BCR08PN
Q402
1
2
3
6
5
4
BUS LINE2
8V
T8
R8
5V
MAIN UNIT (2)
14V
(3)
UNIT
MAIN
BUS LINE3
5V
BUS LINE1
14V
(1)
UNIT
MAIN
BUS LINE3
BUS LINE1

11 - 5
VOLTAGE LINE
Explanatory notes
TX LINE
RX LINE
4.7
C2214
0.0047
C2617
10
C2055
100µ
L2053
14V
8V
8V_
8V
T8
14V
8V_
14V
8V
14V
8V_
C2054 10
8V_
T8
14V
T8
14V
T8
R8
3R3V
5V
5V
10
C2235
10
C2236
8V_
C2286 0.1
R8
8V
8V_
14V
T8
R8
14V
8V_
3R3V
5V
R8
T8
DRIV2
C1613 0.1
10
C2205
MA8043
D2205
0.1
C2204
1k
R2156
2SB1132
Q2153
BCR108T
Q2158
47k
R2155
0.0047
C2053
1k
R2154
2SB1132
Q2152
0.0047
C2052
47k
R2153
BCR108T
Q2157
1k
R2169
10k
R2231
0.0047
C2233
0.0047
C2049
0.0047
C2050
DAN202K
D2231
RB706F
-
40
D2232
10k
R2232
R2208 100k
0.47
02168
0.0047
C2206
100
R2209
330
R2217
10
C2211
MA8043
D2211
100k
R2207
10k
R2204
82k
R2203
4.7k
R2205
2.2
C2203
0
R2202
0.0047
C2201
10
C2212
270
R2220
330
R2219
100
C2213
TS462CPT
IC2007
10µ
L2201
10µ
L2202
150
R2218
47
C2620
47
R2624
2SD1623
Q2606
680µ
L2601
680µ
L2605
470
C2606
3.9k
R2562
0.0033
C2556
0.0022
C2555
0.056
C2554
0.022
C2553
3.9k
R2561
3.9k
R2560
100p
C2565
4.7k
R2568
0.0018
C2564
R2559 0
10
C2562
4.7k
R2569
0.0082
C2566
4.7k
R2556
1k
R2552
0.1
C2551
1k
R2551
0.1
C2557
10
C2558
MA8039
D2551
390
R2565
BCR108T
Q2608
DAN202K
D2601
MA2S111
D2602
C2502 10
10
C2058
470
R2513
0.0047
C2506
0.022
C2503
TS462CPT
IC2501
1k
R2510
0.039
C2505
1k
R2509
1k
R2508
56k
R2506
3.9k
R2505
1
C2507
3.9k
R2503
0.1
C2501
10
C2552
100
R2555
10
C2164
0.0047
C2163
47k
R2171
470k
R2170
47k
R2172
C2167 10
8.2k
R2177
0.47
C2166
R2176 470k
R2175 470k
R2174 470k
BCR108T
Q2605
R2623 47k
220
C2303
75
R2304
120
R2303
10
C2232
0.1
C2231
100µ
L2231
22
R2301
4.7
C2301
18k
R2302
4.7
C2302
470
C2613
10k
R2614
10k
R2611
0.1
C2612
82k
R2613
C2624 0.1
R2612 100k
0.1
C2605
4.7
R2608
0.1
C2608
100
C2622
100
C2621
220
C2607
0.01
C2604
1
C2603
1.8k
R2604
BCR108T
Q2607
47k
R2603
0
R2607
0
R2010
1k
R2012
TVVS
2SC4081
Q2301
75
R2230
220
C2234
VDET
MODA
DSPI2
DIN
BCR108T
Q2231
SQSS
MA2S111
D2173
2T8V
150
R2206
470
C2610
FAFO
8V_
CP1603
CP1604
AGCI
BANI
MCEM
MICM
C2161 10
C2156 0.1
100µ
L2151
ID1I
ID2I
ID3I
ID4I
IDRI
FANI
TN1I
TN2I
C2101 0.1
C2103 10
C2102 0.1
C2105 10
C2104 0.1
NJM3403AV
IC2103
11
4
V+
GND
GND
V+
4
11
NJM13403V
IC2101
NJM13403V
IC2102
11
4
V+
GND
AT T S
AT 1 3
AT 1 3
BCR08PN
Q2232
1
2
3
6
5
4
BCR08PN
Q2233
1
2
3
6
5
4
2MBS
2MBL
BCR08PN
Q2150
1
2
3
6
5
4
VOUT
i
1
2
3
4
8
7
6
5
NJM2244M
IC2231
VIN1
SW1
VIN2
SW2
GND
VOUT
V+
VIN3
L8
L9
L8
L9
P4R8
P2R8
MODS
MODS
h
BCR08PN
Q2155
1
2
3
6
5
4
BCR08PN
Q2154
1
2
3
6
5
4
C2208 470p
TS462CPT
IC2007
4
8
V+
GND
DSPI1
+
-
31
2
4T8V
MSQOS
SQLS
SQSM
BCR08PN
Q2160
1
2
3
6
5
4
BCR08PN
Q2159
1
2
3
6
5
4
BCR108T
Q2156
47k
R2151
1k
R2152
2SB1132
Q2151
0.1
C2051
TS462CPT
IC2501
4
8
V+
GND
R2501 100k
R2502 100k
100
R2507
AF
R2278 100k
+
-
57
6
+
-
31
2
TS462CPT
IC2501
TXIF
R2277 100k
R2274 470
P4T8
P2T8
PT8V
DSPO1
5
6
7
8
4
3
2
1
TC7W53FU
IC2251
A
CH1
CH0
VCC
GND
VEE
INH
COM
RXIF
98 B
VSS
10
7A
VEE
11
6
X3
INH
12
13
14
15
16
5
4
3
2
1
BU4052BCFV
IC2156
X0
X
X1
X2
VDD
Y1
Y3
Y
Y2
Y0
0.1
C2601
R2628 47k
R2602 470
100k
R2564
R2566 10k
100
C2563
1k
R2605
TVAS
WFMS
AMS
AFMS
TS462CPT
IC2551
4
8
V+
GND
DSPO2
10
C2561
10k
R2567
+
-
31
2
TS462CPT
IC2551
+
-
TS462CPT
IC2551
7
5
6
g
100µ
L2041
8V
5V
3R3V
0
R2601
5
6
7
8
4
3
2
1
TC4W53FU
IC2601
2SK3018
Q2601
3
5
LA4425A
IC2602
4
2
1
5
6
7
4
3
2
81
ECH8301
Q2602
D
D
D
D
G
S
S
S
EP2602
IMR
IMR2
B2
B1
B0
UNSB
AMS
POST
WFMS
B6
B5
B3
B2
B1
B0
PR4S
PR3S
PROF
D2160 MA2S111
D2162 MA2S111 [USA]
D2163 MA2S111 [EUR], [FRA], [ESP], [UK]
D2166 MA2S111 [ESP]
D2169 MA2S111 [EUR], [ESP], [USA], [EXP]
D2168 MA2S111 [EUR], [ESP], [UK]
D2171 MA2S111 [FRA], [ESP], [EXP]
D2170 MA2S111 [EUR], [USA], [EXP]
D2172 MA2S111
D2175 MA2S111
D2174 MA2S111
D2176 MA2S111
D2151 MA2S111 [USA]
D2153 MA2S111 [USA]
D2156 MA2S111
D2155 MA2S111
D2157 MA2S111 except [FRA]
D2159 MA2S111
D2158 MA2S111
FDAT
IDS
UNSB
AMS
PR4S
PR3S
TVVS
B7
B6
B5
B4
MSQOS
AT T S
BHF6
POST
1S15
WFMS
TVAS
PR1S
BHF
B3
B2
B1
B0
R2165 10
R2164 10
R2163 10
R2162 10
R2161 10
R2160 10
C2159 0.1
C2158 0.1
0.1
C2157
10
C2162
0.1
C2160
100µ
L2152
PRES#
R2168 10
R2167 10
R2166 10
MCK
MDT
MST
POCI
DRII
MOSI
SCK
VSTB
R2159 10
R2158 10
R2157 10
98
QS1GND
10
7
QS2
Q3
11
6
Q7Q2
12
13
14
15
16
5
4
3
2
1
CD74HC4094PW
IC2154
Q6
Q5
Q4
OE
VCC
Q1
Q0
CP
DATA
STROBE
98
QS1GND
10
7
QS2
Q3
11
6
Q7Q2
12
13
14
15
16
5
4
3
2
1
CD74HC4094PW
IC2153
Q6
Q5
Q4
OE
VCC
Q1
Q0
CP
DATA
STROBE
98
QS1GND
10
7
QS2
Q3
11
6
Q7Q2
12
13
14
15
16
5
4
3
2
1
CD74HC4094PW
IC2152
Q6
Q5
Q4
OE
VCC
Q1
Q0
CP
DATA
STROBE
98
QS1GND
10
7
QS2
Q3
11
6
Q7Q2
12
13
14
15
16
5
4
3
2
1
CD74HC4094PW
IC2151
Q6
Q5
Q4
OE
VCC
Q1
Q0
CP
DATA
STROBE
1
20 NC
GND
2
19
AO3AO2
3
18
AO4AO1
4
17
AO5
DI
5
16
AO6CLK
6
7
8
9
10
15
14
13
12
11
BH2221FV
IC2155
AO7
AO8
AO9
AO10
VDD
LD
NC
AD12
AD11
VCC
100k
R2132
100k
R2133
100k
R2134
100k
R2135
330k
R2137
330k
R2138
100k
R2131
100k
R2105
0
R2126
180k
R2121
220k
R2125
0
R2147
TN2V
NJM3403AV
IC2103
TN2I
14
12
13
+
180k
R2120
220k
R2124
0
R2146
TN1V
NJM3403AV
IC2103
TN1I
-
8
10
9
+
-
100k
R2119
390k
R2123
0
R2145
FANV
NJM3403AV
IC2103
FANI
7
5
6
+
100k
R2118
150k
R2122
470
R2129
BANV
NJM3403AV
IC2103
BANI
-
1
3
2
+
-
100k
R2113
150k
R2117
0
R2144
ID4V
NJM13403V
IC2102
ID4I
14
12
13
+
100k
R2112
150k
R2116
0
R2143
ID3V
NJM13403V
IC2102
ID3I
-
8
10
9
+
-
100k
R2111
150k
R2115
0
R2142
ID2V
NJM13403V
IC2102
ID2I
7
5
6
+
100k
R2110
150k
R2114
0
R2141
ID1V
NJM13403V
IC2102
ID1I
-
1
3
2
+
-
100k
R2104
39k
R2109
470
R2136
AGC
NJM13403V
IC2101
AGCI
14
12
13
+
100k
R2103
150k
R2108
470
R2128
IDRV
NJM13403V
IC2101
IDRI
-
8
10
9
+
-
100k
R2102
56k
R2107
100
R2140
POCV
NJM13403V
IC2101
POCI
7
5
6
+
-
DRII DRIV
NJM13403V
IC2101
100
R2139
56k
R2106
100k
R2101
1
3
2
+
-
8V
T8
R8
3R3V
MAIN UNIT (3)
14V
(4)
UNIT
MAIN
BUS LINE3
BUS LINE1
14V
(2)
UNIT
MAIN
BUS LINE3
5V
BUS LINE1

11 - 6
VOLTAGE LINE
Explanatory notes
TX LINE
RX LINE
470p
C2069
EP2606
EP2605
FSKK
100p
C2067
0.001
C2068
C2405 0.1
C2409 0.1 C2407 0.1
0.1
C2256
C2255 0.1
0.1
C2257
8V
5V
0.1
C2254
5V
3R3V
10k
R2214
0
R2002
0.0047
C2001
47
C2062
EALC
3R3V
14V
5V
8V_
5V
3R3V
8V_
14V
14V
0.0047
C2616
SEND
FSKK
14V
14V
EP2001
8V
14V
14V
14V
8V
0.1
C2260
R2311 18k
4.7
C2312
0.1
C2311
3.9k
R2312
15k
R2618
0.0047
C2619
0.001
C2237
2SD1619
Q2401
10k
R2402
470
R2401
C2417 0.1
C2415 0.0047
C2412 47
C2424 47
0.0047
C2403
DAN202K
D2401
0
R2418
0
R2405
120k
R2212
4.7k
R2215
12k
R2213
0.1
C2169
MA8047
D2201
10k
R2221
330k
R2211
4.7k
R2617
MA2S111
D2402
33k
R2619
2SC4081
Q2603
100p
C2618
i
FSKK
h
MCEM
MICM
MMDK
+
-
5
76
TS462CPT
IC2007
g
CP2021
CP1602
ESPO
4.7
R2011
10
C2027
10
C2026
IO
TA7808F
IC2001
G
4.7µ
L2042
8V
3R3V_B
VSTB
SCK
MOSI
AFMS
1DST
3DST
PDT
PCK
1CN0
1CN1
PRES#
LOST
MST
MDT
MCK
2T8V
4T8V
TXS
RXS
VOUT
ID2V
ID3V
IDRV
ID4V
PT8V
PHT8
TN2V
TN1V
THML
AT 1 3
MST
FDAT
L2011 EXCML16A270U
L2012 EXCML16A270U
0.1
C2020
0.1
C2017
PRES#
HFOR
REFL
P2R8
P4R8
PR4S
PR3S
2MBL
VUFOR
P4T8
P2T8
ID1V
H6CR8
ICH
ICL
IMR2
MMSL
IMR
REFCV
RTKI
2MBS
THML
DPTL
SNDL
ALCL
REFL
FORL
MUDL
KEY
START
CIVE
CIV
LTX D
LRXD
WFML
DASK
DOTK
SQSS
MMDK
DSPO2
DSPO1
DOUT
DSPI1
DSPI2
3DST
1CN1
1CN0
PDT
PCK
1DST
PRES#
LOST
5V
3LOE
3LO
REFCV
DOUT
SQLS
DPTL
DIN
AF
BANV
KEY
EALC
RTKI
MODA
START
DOTK
DASK
LTX D
LRXD
U8V
FAFO
SQSM
SNDL
MMSL
MUDL
8V_
EP2231
FANV
ESPO
EP2604
EP2403
EP2402
0
R2417
EP2413
47p
C2423
CIVE
CIV
EP2405
EP2404
R2251 220
R2281 220
R2256 220
R2255 220
R2254 220
L2272 100µ
R2273 220
R2272 220
R2621 1k
R2620 1k
R2271 220
R2270 47
R2269 220
R2268 220
R2267 220
R2264 220
R2263 220
R2262 220
R2261 220
R2260 220
R2259 220
R2258 220
R2257 220
R2279 1k
100
R2280
0.1
C2002
0.1
C2041
0.1
C2037
0.1
C2009
0.0047
C2012
0.0047
C2046
0.0047
C2040
0.0047
C2043
0.0047
C2005
0.0047
C2045
0.1
C2065
0.1
C2029
0.1
C2030
0.0047
C2047
0.0047
C2003
0.1
C2028
0.0047
C2048
0.1
C2008
0.0047
C2034
0.0047
C2010
0.0047
C2044
0.1
C2042
0.1
C2033
0.0047
C2039
0.1
C2006
0.0047
C2004
10
C2064
L2033 EXCML16A270U
R2005 220
R2006 220R2004 220
R2007 220
L2015 100µ
L2036 100µ
L2008 100µ
L2030 100µ
L2007 100µ
L2013 100µ
L2026 100µ
L2003 100µ
L2016 100µ
L2017 100µ
L2035 100µ
L2010 100µ
L2006 100µ
L2029 100µ
L2032 100µ
L2028 100µ
L2009 10µ
L2034 10µ
0.0047
C2007
0.1
C2036
0.1
C2013
0.1
C2011
0.1
C2066
L2002 100µ
L2037 100µ
L2025 100µ
L2001 10µ
L2031 100µ
L2027 100µ
L2266 100µ
0.1
C2261
0.1
C2283
0.1
C2282
0.1
C2281
0.1
C2269
47p
C2280
0.1
C2277
0.1
C2262
0.1
C2278
0.1
C2279
0.1
C2276
0.1
C2274
0.1
C2272
0.0047
C2270
0.1
C2268
0.1
C2266
0.1
C2264
0.1
C2285
0.1
C2275
L2268 100µ
L2267 100µ
L2004 100µ
L2265 100µ
L2264 100µ
L2263 100µ
L2260 100µ
EP2266
EP2264
EP2265
EP2262
EP2261
EP2259
EP2260
EP2257
EP2256
EP2254
EP2253
L2256 100µ
L2257 100µ
EP2255
EP2258
EP2271
EP2252
EP2251
EP2263
C2426 0.1
R2409 220
R2410 220
R2411 220
R2412 220
R2413 220
R2414 220
R2415 220
R2416 220
EP2417
EP2416
EP2412
EP2411
C2427 1
L2409 100µ
L2408 EXCML16A270U
L2406 100µ
L2405 100µ
L2404 100µ
L2403 100µ
L2402 100µ
R2408 47
R2406 220
0.1
C2422
0.1
C2408
0.1
C2401
0.1
C2402
0.001
C2406
0.1
C2410
0.1
C2411
0.1
C2413
0.0047
C2414
0.1
C2418
0.1
C2419
EXCML16A270U
L2411
EP2414
EP2410
EP2415
EP2003
EP2002
470p
C2063
0.0047
C2025
0.0047
C2018
0.0047
C2021
0.0047
C2015
0.0047
C2014
R2008 0
EP2008
EP2007
EP2006
EP2004
EP2409
EP2408
0.0047
C2016
0.0047
C2019
0.0047
C2032
0.0047
C2022
0.0047
C2035
0.0047
C2024
L2024 100µ
L2018 100µ
L2019 100µ
L2022 100µ
L2020 100µ
L2023 100µ
0.0047
C2038
L2021 10µ
3R3V
MF1
CHASSIS
+
-
M
SP1
CHASSIS
+
-
P1
SP
E
unit W1
CONNECT
to
GND
J2231
EXT
-
SP
J2602
J2402
RTTY
VIDEO
J2407
REMOTE
J2401
GND
ISPO
J2601
FANG
NC
FANV
J2403
3DST
1CN1
1CN0
PDT
PCK
1DST
PRES
LOST
GND
3LOE
NC
3LO
3LOE
REFCV
NC
NC
8VA
8VA
NC
GND
DREF
unit J952
DDS
to
GND
GND
5V
GND
3R3V
GND
8V
GND
J2406
GND
GND
GND
GND
14V
14V
14V
14V
14V
14V
GND
GND
GND
DOUT
SQLS
DPTL
DINO
AF
BANV
KEY
EALC
RTKI
MODA
unit J951
DDS
to
START
SNDS
SNDL
SDSS
DOTK
DASK
GND
GND
J2405
LTX D
LRXD
unit J1
CONNECT
to
F8V
NC
PWK
NC
AFO
GND
MICE
MIC
J2002
MIC
SQSM
GND
MICM
MCEM
SENM
MAFM
U/DM
8VM
J2003
PT8V
IDRV
PHT8
J2005
ID4V
P2T8
P4T8
PT8V
VUFOR
2MBL
PR3S
PR4S
NC
P4R8
P2R8
HREF
HFOR
GND
GND
PRES
unit J980
PA
to
TB1V
FDAT
TB2V
THER
MCK
MST
3R3V
AT 1 3
GND
14V
14V
14V
J2004
14V
14V
14V
14V
14V
8V
GND
GND
GND
GND
GND
GND
ICL
ICH
ID1V
H6CR8
unit J2
PA
to
GND
ID3V
8V
GND
GND
HV
POWS
ID2V
GND
GND
POWS
NC
NC
IMR2
MMSL
GND
NC
IMR
NC
REFCV
GND
NC
RTKI
2MBS
THML
DPTL
SNDL
ALCL
2T8V
TXS
SDSS
4T8V
GND
RXS
PWRK
VOUT
GND
GND
GND
PDT
1DST
PCK
J2252
3DSTMMDK
SQSS
DOTK
DASK
WFML
LRXD
NC
LTX D
CIV
CIVE
START
SNDS
KEY
FORL
REFL
MUDL
unit J651
LOGIC
to
1CN1
NC
1CN0
PRES#
LOST
MST
MDT
MCK
NC
AFMS
MOSI
SCK
VSTB
NC
NC
NC
DREF
HV
8V
8V
5V
5V
3R3V_B
3R3V_B
J2251
DSPI2
GND
DSPI1
GND
GND
GND
GND
NC
GND
DOUT
GND
DSPO1
DSPO2
GND
GND
unit J701
LOGIC
to
MAIN UNIT (4)
14V
(3)
UNIT
MAIN
BUS LINE3
BUS LINE1

11 - 7
11-3 LOGIC UNIT
VOLTAGE LINE
Explanatory notes
TX LINE
RX LINE
0.0047
C523
C527 0.0047
C526 0.0047
C525 0.0047
C524 0.0047
22
R707
C715 0.001
0.001
C716
C717 0.001
H3V
C569 10
C567 10
C566 0.1
1R2V
_3V
_1R2V
_3V
EP2217
_3V
_1R2V
_3V
H3V
_1R2V
_3V
_3V
_3V
3V
H3V
3V
H3V
HV
TDO
GND
GND
GND
C565 0.1
5V
3V
8V
5V
3V
HV
3V
NC
NC
NC
NC
GND
GND
GND
GND
GND
GND
GND
GND
GND
LOGIC UNIT (1)
0.1
C564
10
C563
10
C1319
0.0047
C703
CLK
ADIN
CLK
COFS
COCK
CODO
CODI
CLK
0.0047
C704
R554 100k
EMUA
CODI
UNIT (2)
LOGIC
C1301 0.1
10k
R1302
22k
R1301
0.027
C1315
EDT
ECK
5
6
7
8
4
3
2
1
HN58X24256FPIE
IC1301
SDA
SCL
WP
VCC
VSS
A2
A1
A0
AFMS
MOSI
SCK
VSTB
DOUT
a
b
c
d
4.7k
R610
d
c
b
a
0.0047
C522
MOSI
SCK
OSTB
CRES
FMTL
CLK
100
R414
0.1
C414
10
C413
C513 120p
R511 4.7k
0.0022
C511
100
R508
2.7k
R518
C512 120p
0.1
C518
2.7k
R519
100
R512
1
C516
0.1
C519
4.7k
R516
4.7k
R520
0.1
C514
4.7k
R517
10k
R515
10k
R514
1
C517
1
C515
R510 4.7k
0.0022
C466
C465 820p
R465 820
0.1
C469
2.7k
R474
100
R464
C467 820p
R469 820
2.7k
R475
0.1
C470
100
R467
2.7k
R471
4.7
C471
4.7k
R472
0.1
C473
4.7k
R476
4.7k
R473
4.7
C472
2.7k
R470
4.7
C468
C553 0.1
C551 2.2
EMUA
TMSA
TRSTA
TCKA
A08B
A06B
A03B
TDOA
DTCK
DTPA
A07B
A05B
A02B
A01B
A04B
DTFA
AWEB
DRCK
DRFA
DRPA
ADIN
MISO
CODO
COFS
COCK
MOSB
SPIS
SCKB
SRES
SSTB
EP2205
0.1
C2209
0.1
C2210
100
R2201
0.1
C2206
0.1
C2205
0.1
C2204
0.1
C2202
0.1
C2207
0.1
C2208
0.1
C2215
0.1
C2214
0.1
C2213
0.1
C2212
0.1
C2211
AWEB
D15B
D14B
D13B
D12B
D11B
D10B
D09B
D08B
D07B
D06B
D05B
D04B
D03B
D02B
D01B
D00B
AMSOB
AREB
A16B
A15B
A14B
A13B
A12B
A11B
A10B
A09B
A08B
A07B
A06B
A05B
A04B
A03B
A02B
A01B
0.1
C2017
0.1
C2016
0
R1335
ML920S1F9D
BT1301
680
R1326
MA728
D1301
10k
R1324
47k
R1329
10k
R1328
10
C1317
0.1
C1316
39k
R1325
0.1
C1314
22
C1252
0.47
C1251
39
R1251
10k
R1334
33k
R1306
FZMD
FZTX
FZRX
JPG6
JPG5
JPG4
JP53
WDTOVF
R1228 47k
R1219 4.7k
R1221 4.7k
R1222 4.7k
R1223 4.7k
R1224 4.7k
R1227 47k
R1225 47k
TRSTA
TRSTA
TDIA
TCKA
TCKA
TMSA
EMUA
TMSA
C2102 0.1
4.7k
R2112
0.1
C2101
10µ
L2102
10µ
L2101
10k
R2105
10k
R2104
10k
R2103
10k
R2102
10k
R2101
4.7k
R609
100
C604
0.1
C605
47
C614
47
C613
4.7k
R604
4.7k
R611
1k
R619
3.3k
R612
R603 4.7k
1k
R618
3.3k
R605
560p
C603
820p
C606
330p
C611
220p
C608
6.8k
R614
R615 6.8k
R613 3.3k
R608 6.8k
6.8k
R607
330p
C610
220p
C607
R606 3.3k
10
C612
1
C609
C708 100p
C707 100p
R703 10k
C706 100p
R702 10k
C705 100p
R701 10k
100p
C709
0.0047
C702
1k
R705
EP701
10k
R706
0.1
C701
R2216 0
C601 10
C602 0.1
C510 0.1
C509 10
C463 10
C464 0.1
C462 10
C461 0.1
TS462CPT
IC601
8
GND
V+
R601 100
44
R507 100
V+
GND
8
TS462CPT
IC502
TS462CPT
IC452
8
GND
V+
R463 100
4
TS462CPT
IC451
8
GND
V+
R462 100
4
RTCIRQ
RTCCK
RTCDT
RTCCE
4
5
3
2
1
S
-
80942CNMC
-
G9C
IC1303
NC
CD
VSS
VDD
OUT
21
3
IO
G
BA033FP
IC1251
11
VDD
10
FOUT
14
9
NC
FOE
15
8
NC
/AIRQ
16
7
NC
/TIRQ
17
6
NC
18
19
20
21
22
5
4
3
2
1
RX
-
4581
IC1304
NC
NC
NC
NC
NC
DO
DI
CE0
CE1
GND
CLK
C2222 0.1
C2221 0.1
C2220 0.1
C2219 0.1
C2218 0.1
C2217 0.1
10k
R2204
10k
R2205
H3V
1R2V
10µ
L552
10µ
L551
R1226 47k
RES#
CP1201
D1201 MA2S111
10k
R2202
10k
R2214
R2215 10k
10k
R2206
e
e
R2110 0
D12B
D09B
D06B
D03B
D00B
A15B
A09B
A10B
A11B
D13B
D10B
D07B
D04B
D01B
A16B
A14B
A13B
A12B
D15B
D14B
D11B
D08B
D05B
BUS LINE2
R2203 10k
AMSOB
AREB
EP2202
D02B
SN74LVC3G34DCUR
IC2102
7
8
6
54
3
2
1
SN74LVC3G34DCUR
IC2101
1
2
3
45
6
8
7
C711 220
EP2002
CLK
SN74AHC1G04DCK
IC701
3
2
1
4
5
DOUT
10
C415
R418 100
R416 100
R415 100
R568 100
R570 100
R553 100
R569 100
R551 100
R571 4.7
3.3k
R602
+
-
5
76
TS462CPT
IC601
+
-
3
12
TS462CPT
IC601
5
6
7
8
4
3
2
1
BU9480F
IC401
LRCLK
SDATA
BCLK
VCC
OUTL
GND
REF
OUTR
1514
CDTISDTI
1613
CCLKSDTO
1712
CSN
BICK
1811
DFS
LRCK
1910
PDN
MCLK
20
9
DEM0
P/S
21
8
DEM1
VA
22
7
VT
AGND
23
6
VD
24
25
26
27
28
5
4
3
2
1
AK4528VFP
-
E2/P
IC551
DGND
AOUTL
-
AOUTL+
AOUTR
-
AOUTR+
AINL
-
AINL+
AINR
-
AINR+
VCOM
VREF
+
-
57
6
TS462CPT
IC502
+
-
31
2
TS462CPT
IC502
+
-
57
6
TS462CPT
IC452
+
-
57
6
TS462CPT
IC451
+
-
31
2
TS462CPT
IC451
+
-
31
2
TS462CPT
IC452
VSS
VSS
VCC
FZMD
FZTX
FZRX
JPG6
RES#
JPG5
JRESI
WDTOVF
JP53
JPG4
J1201
VDL
TDI
TRST
TCK
TMS
EMU
J2101
5V
3V
BUS LINE1
unit J2251
to MAIN
MOSI
AFMS
DSPO2
SCK
DSPO1
VSTB
DOUT
DSPI1
DSPI2
24M
HV
8V
8V
5V
5V
3V
3V
J701
E6D1
VSSVSS
E3B5 NCCE
E4B2 NC
BHE
G5A2 WEOE
H1A1 NC
BLE
G2D3 NCNC
H6A6 NCNC
G1F4
I/015
A15
F1F3
I/014
A14
F2G4
I/013
A13
E2G3
I/012
A12
D2H5
I/011
A11
C2H4
I/010
A10
C1H3
I/09
A9
B1H2
I/08
A8
G6D4
I/07
A7
F6C4
I/06
A6
F5C3
I/05
A5
E5B4
I/04
A4
D5
C5
C6
B6
E1
B3
A5
A4
A3
D6
CY7C1021CV33
-
15BAIT
IC2002
I/03
I/02
I/01
I/00
VCC
A3
A2
A1
A0
VCC
A1
VDDEXT
A2
PF8
A3
PF9
A4
PF10
A5
PF11
A6
PF14
A7
PPI2
A8
PTXO
A9
PTXI
A10 GND
A11
XTAL
A12
P14
GND
CLKIN
P13
P12
ADDR18
P11
ADDR19
P10
BG P9
DATA2
P8
DATA5
P7
DATA8
P6
D ATA 1 1
P5
D ATA 1 4
P4
ADDR12
N14
ADDR17
P1
TCK
VDDEXT
P2
P3
EMU
M2
TMR1
M1
ADDR3
L14
ADDR6
L13
ADDR8
L12
VDDEXT
L11
GND L10
VDDINT
L9
GND
L8
VDDEXT
L7
GND
L6
GND
L5
DT0PRI
H1
DT0SEC
H2
D ATA 1 5
TFS0
C12
VDDEXT
H3
BMODE1
C10
C11
RESET
GND
ARE
G14 AOE
G13
AMS3
G12 GND
G11
VDDEXT
G4
DR1PRI
G3
RFS1
G2
RSCLK1
G1
AMS1
F14
AMS2
F13
VDDEXT
F12 GND
F11 GND
F4
DR1SEC
F3
DT1PRI
F2
ADSP
-
BF532SBBC400
IC2201
GND
GND
ABE1
ABE0
AWE
TSCLK0
DR0SEC
RFSO
VDDEXT
VDDINT
VDDEXT
ADDR4
ADDR1
DR0PRI
TMR2
TX
GND
GND
ADDR7
ADDR5
ADDR2
RSCLK0
TMR0
RX
VDDINT
TDI
GND
D ATA 1 2
DATA9
DATA6
DATA3
DATA0
GND
ADDR15
ADDR9
ADDR10
AFFR11
TRST
TMS
TDO
BMODEO
D ATA 1 3
D ATA 1 0
DATA7
DATA4
DATA1
BGH
ADDR16
ADDR14
ADDR13
TSCLK1
AMSO
ARDY
SA10
VDDINT
VDDINT
DT1SEC
MISO
TFS1
BR
SRAS
SWE
GND
GND
VDDEXT
GND
GND
VDDINT
VDDEXT
GND
MOSI
PF0
SCK
SCAS
SMS
PPI_CLK
PPIO
VDDEXT
PF15
GND
GND
PF3
PF2
PF1
CLKOUT
SCKE
VROUT1
GND
NMI
VDDRTC
PPI1
PPI3
PF13
PF12
PF7
PF6
PF5
PF4
GND
VROUT0
F1
E14
E13
E12
E11
E4
E3
E2
E1
D14
D13
D12
D11
D10
D9
D8
D7
D6
D5
D4
D3
D2
D1
C14
C13
N13
N12
N11
N10
N9
N8
N7
N6
N5
N4
N3
N2
N1
M14
M13
M12
M11
M10
M9
M8
M3
M4
M5
M6
H4
H11
H12
H13
H14
J1
J2
J3
J4
J11
J12
J13
J14
K1
K2
K3
K4
K11
K12
K13
K14
L1
L2
L3
L4
M7
C9
C8
C7
C6
C5
C4
C3
C2
C1
B14
B13
B12
B11
B10
B9
B8
B7
B6
B5
B4
B3
B2
B1
A14
A13

11 - 8
VOLTAGE LINE
Explanatory notes
H3V
H3V
H3V
H3V
3V
H3V
1R2V
5V
3V
5V
H3V
H3V
H3V
H3V
4.7k
R1307
3V
3V
3V
3V
3V
2.2k
R1237
CYDT
22k
R1232
R1231 10k
3V
0.1
C1213
3V
1R2V
5V
3V
LOGIC UNIT (2)
R1304 47k
R1303 47k
FMTL
47k
R1338
MA2S111
D1331
R1411 47k
R1406 47k
1M
R1003
0.0047
C1002
WFML
R1001 1k
WFML_
R1008 1k
0.0047
C1001
PWRK
PWRK_
47k
R1010
FZMD
47k
R1409
47k
R1408
47k
R1405
10k
R1002
47k
R1401
47k
R1337
R1407 47k
R1410 47k
R1402 47k
UNIT (3)
LOGIC
UNIT (1)
LOGIC
15k
R1018
47k
R1015
47k
R1016
15k
R1019
R1124 1k
R1128 1k
3.3k
R1129
3.3k
R1502
0.0047
C1112
0.0047
C1111
0.0047
C1110
0.0047
C1109
THML
DPTL
SNDL
ALCL
REFL
FORL
WDTOVF
C1305 10
C1306 0.01
C1302 10
C1303 0.01
0.1
C1310
0.1
C1309
0.1
C1308
0.1
C1307
0.1
C1304
MMSL
DTFS
DTXUD
RTCIRQ
RTCCK
RTCDT
RTCCE
CYCK
CYDT
H8_A17
H8_A16
H8_A15
H8_A14
H8_A13
H8_A12
H8_A11
H8_A10
H8_A9
H8_A8
H8_A7
H8_A6
H8_A5
H8_A4
H8_A3
H8_A2
f
f
IMR2
LOST
MST
CPU_P12
RTKI
MMDK
DRES
PRES#
SQSS
MCK
MDT
CPU_P22
CTXD
CRXD/CBSY
SNDS
SDSS
TDAT
DRXUD
DRFS
DCK
H8_D7
H8_D6
H8_D5
H8_D4
H8_D3
H8_D2
H8_D1
XTAL
EXTAL
DTXD
DRXD
2T8V
1CN0
1CN1
XTAL
EXTAL
4T8V
TXS
RXS
POWS
H8_D8
H8_D9
H8_D10
H8_D11
H8_D12
H8_D13
H8_D14
H8_WAIT#
H8_LWR#
H8_HWR#
H8_RD#
RES#
PDT
1DST
PCK
3DST
PWRK_
LRXD_
LTX D _
TRD
TKEY
CPU_P95
CPU_P94
VDL
WFML_
DOTK_
DASK_
MUDL_
THML_
DPTL_
SNDL_
ALCL_
REFL_
FORL_
EDT
ECK
FZTX
FZRX
JP53
JPG6
JPG5
H8_D0
H8_D1
H8_D2
H8_D3
H8_D4
H8_D5
H8_D6
H8_D7
H8_D9
H8_D10
H8_D11
H8_D12
H8_D13
H8_D14
H8_CS1#
H8_WAIT#
H8_PHI
H8_RD#
H8_HWR#
H8_LWR#
H8_A17
H8_A1
H8_A2
H8_A3
H8_A4
H8_A5
H8_A6
H8_A7
H8_A8
H8_A9
H8_A10
H8_A11
H8_A12
H8_A13
H8_A14
H8_A15
H8_A16
CYCK
47
R1230
0.1
C1201
0.1
C1212
0.1
C1214
0.1
C1222
0.1
C1221
0.1
C1220
0.1
C1219
0.1
C1218
0.1
C1217
0.1
C1216
0.1
C1215
LCD_R3
LCD_R2
LCD_R1
LCD_G3
LCD_G2
LCD_G1
LCD_B3
LCD_B2
LCD_B1
LCD_R0
LCD_G0
LCD_B0
CR
-
806 (Others)
CR
-
805 (USA)
X1201
27p
C1210
27p
C1203
R1201 1M
1
C1211
100µ
L1204
C1202 0.0047
0
R1205
100µ
L1202
BCR108T
Q1201
LCD_R3
LCD_R2
LCD_R1
LCD_R0
LCD_G3
LCD_G2
LCD_G1
LCD_G0
LCD_B3
LCD_B2
LCD_B0
R1210 39k
R1215 39k
R1229 39k
0.1
C1206
0.1
C1204
0.1
C1205
1.2k
R1206
1.2k
R1207
1.2k
R1208
100p
C1209
100p
C1208
100p
C1207
VOUT
0.1
C1223
R1236 150
R1235 150
10
C1225
100µ
L1203
180
R1305
C1311 0.1
R1006 1k
R1007 1k
R1012 470
R1013 470
LTX D
LRXD
DOTK
DASK
LTX D _
LRXD_
DOTK_
DASK_
DA221
D1307
DA221
D1306
DA221
D1002
DA221
D1001
BUS LINE2
4.7k
R1332
R1331 0
H8_PHI
H8_CS1#
R1327 47k
PRES#
CPU_PF6
R1333 220k
10p
C1313
10p
C1312
CR
-
809
X1301
H8_A1
IMR
RSS
D1312 MA2S111
D1311 MA2S111
D1314 MA2S728
D1313 MA2S111
0.47
C1108
100k
R1132
0.47
C1107
100k
R1131
1M
R1123
1M
R1126
1R2V
5V
3V
BUS LINE1
R1120 1k
R1119 3.3k
R1118 3.3k
R1117 1k
R1116 1k
R1115 1k
RB706F
-
40
D1113
RB706F
-
40
D1112
RB706F
-
40
D1111
THML_
DPTL_
SNDL_
ALCL_
REFL_
FORL_
RB706F
-
40
D1110
JPG4
PRES#
H8_D0
R1317 220k
R1322 220k
R1316 220k
R1323 220k
R1321 220k
R1320 220k
R1319 220k
R1318 220k
R1308 220k
R1309 220k
R1310 220k
R1311 220k
R1312 220k
R1313 220k
R1314 220k
R1315 220k
H8_D15
H8_D8
H8_D15
98
LCLK3LCLK2
10
7
SCLK
LCLK1
11
6
VDDL
12
13
14
15
16
5
4
3
2
1
CY22150FZXCT
IC1201
LCLK4
VSS
CLK5
CLK6
XOUT
AVSS
SDAT
AVDD
VDD
XIN
VSSL
TC7WU04FU
IC1217
7
8
6
54
3
2
1
SN74AHC2G86HDCT
IC1218
7
8
6
54
3
2
1
LCD_B1
1213
VCC1
NC
1114
SYNCOUT
NC
1015
SYNCIN
COUT
9
16 NC
YOUT
8
17
BFPOUT
YTRAP
7
18
NT/PAL
NC
6
19
SCIN
5
4
3
2
1
20
21
22
23
24
BH7236AF
IC1212
NC
BIN
GIN
RIN
GND1
VOUT
BOUT
GOUT
ROUT
GND2
VCC2
R1202 10k
R1203 10k
R1209 20k
R1204 10k
R1211 10k
R1212 10k
R1214 20k
R1213 10k
R1216 10k
R1217 10k
R1218 10k
R1220 20k
H3V
1R2V
BUS LINE2
HD64F2377VFQ33V
IC1302
5V
3V
BUS LINE1
S1D13706F00A
IC1226
HIOVDD
DB8
DB7
DB6
DB5
DB4
DB3
DB2
DB1
DB0
VSS
NIOVDD
PWMOUT
GPIO6
GPIO5
GPIO4
GPIO3
GPIO2
GPIO1
GPIO0
CVOUT
GPO
DRDY
NIOVDD
VSS
COREVDD
FPFRAME
FPLINE
FPSHIFT
FPDAT0
FPDAT1
FPDAT2
FPDAT3
FPDAT4
FPDAT5
FPDAT6
VSS
NIOVDD
FPDAT7
FPDAT8
FPDAT9
FPDAT10
FPDAT11
FPDAT12
FPDAT13
FPDAT14
FPDAT15
FPDAT16
FPDAT17
VSS
VSS
DB9
DB10
DB11
DB12
DB13
DB14
DB15
WAIT#
HIOVDD
CLKI
VSS
RESET#
RD/WR#
WE1#
WE0#
RD#
BS#
M/R#
CS#
AB0
AB1
AB2
AB3
COREVDD
VSS
AB4
AB5
AB6
AB7
AB8
AB9
AB10
AB11
AB12
AB13
AB14
AB15
AB16
TESTEN
CNF0
CNF1
CNF2
CNF3
CNF4
CNF5
CNF6
CNF7
CLKI2
NIOVDD
25
24
23
22
21
20
19
18
17
16
15
14
13
12
11
10
9
8
7
6
5
4
3
2
1
75
74
73
72
71
70
69
68
67
66
65
64
63
62
61
60
59
58
57
56
51
52
53
54
26
27
28
29
30
31
32
33
34
35
36
37
38
39
40
41
42
43
44
45
46
47
48
49
50
55
100
99
98
97
96
95
94
93
92
91
90
89
88
87
86
85
84
83
82
81
80
79
78
77
76
144 MD1
143 MD0
142
P30/TXD0/IRTXD
141
P31/TXD1
140
P32/RXD0/IRRXD/SDA1
139
P33/RXD1/SCL1
138
P34/SCK0/SCK4/SDA0
137
P35/SCK1/SCL0/(OE)/(CKE)
136
P53/ADTRG/IRQ3
135
P52/SCK2/IRQ2
134
P51/RXD2/IRQ1
P50/TXD2/IRQ0
PG6/BREQ
PG5/BACK
PG4/BREQ0
AVSS
P97/AN15/DA5
P96/AN14/DA4
P95/AN13/DA3
P94/AN12/DA2
P93/AN11
P92/AN10
P91/AN9
P90/AN8
P47/AN7/DA1
P46/AN6/DA0
P45/AN5
P44/AN4
P43/AN3
P42/AN2
P41/AN1
P40/AN0
VREF
AVCC
PG3/CS3/RAS3/CAS
PG2/CS2/RAS2/RAS
133
132
131
130
129
128
127
126
125
124
123
122
121
120
119
118
117
116
115
114
113
112
111
110
109
PD1/D9
73
PD0/D8
74
75
PD2/D10
PD3/D11
76
77
PD4/D12
PD5/D13
78
79
PD6/D14
PD7/D15
80
81
P60/TMRIO/DREQ0/IRQ8
P61/TMRI1/DREQ1/IRQ9
82
83
P62/TMCI0/TENDO/IRQ10
PF0/WAIT
84
85
PF1/IRQ14/UCAS/DQMU
PF2/IRQ15/LCAS/DQML
86
87
PF3/LWR
PF4/HWR
88
89
PF5/RD
PF6/AS
90
91
PLLVCC
RES
92
93
PLLVSS
PF7/
94
95
VSS
XTAL
96
97
EXTAL
VCC
98
99
VCC
NC
100
101
NC
VSS 102
103
STBY
P63/TMCI1/TEND1/IRQ11
104
105
P64/TMO0/DACK0/IRQ12
P65/TMO1/DACK1/IRQ13
106
107
PG0/CS0
PG1/CS1
108
72
VCC
PE7/D7
71
70
VSS
PE6/D6
69
68
PE5/D5
PE4/D4
67
66
PE3/D3
PE2/D2
65
64
PE1/D1
PE0/D0
63
62
DCTL
P85/(IRQ5)/SCK3/EDACK3
61
60
P84/(IRQ4)/EDACK2
P83/(IRQ3)/RXD3/ETEND3
59
58
P27/PO7/TIOCB5/(IRQ15)
P26/PO6/TIOCA5/(IRQ14)
57
56
P25/PO5/TIOCB4/(IRQ13)
P24/PO4/TIOCA4/RXD4/(IRQ12)
55
54
P23/PO3/TIOCD3/TXD4/(IRQ11)
P22/PO2/TIOCC3/(IRQ10)
53
52
P21/PO1/TIOCB3/(IRQ9)
P20/PO0/TIOCA3/(IRQ8)
51
50
VSS
P17/PO15/TIOCB2/TCLKD/EDRAK3
49
48
P16/PO14/TIOCA2/EDRAK2
P15/PO13/TIOCB1/TCLKC
47
46
P14/PO12/TIOCA1
P13/PO11/TIOCD0/TCLKB
45
44
P12/PO10/TIOCC0/TCLKA
P11/PO9/TIOCB0
43
42
P10/PO8/TIOCA0
VCC
41
40
NMI
WDTOVF
39
38
PH3/CS7/(IRQ7)/OEI/CKE
PH2/CS6/(IRQ6)
37
36
PH1/CS5/RAS5/SDRAM
35
PH0/CS4/RAS4/WE
34
PB2/(IRQ2)/ETEND2
33
PB1/(IRQ1)/TXD3/EDREQ3
32
EMLE
31
PA7/A23/IRQ7
30
PA6/A22/IRQ6
29
PA5/A21/IRQ5
28
PA4/A20/IRQ4
27
PA3/A19
PA2/A18
26
VSS
PA1/A17
PA0/A16
PB7/A15
PB6/A14
PB5/A13
PB4/A12
VSS
PB3/A11
PB2/A10
PB1/A9
PB0/A8
PC7/A7
PC6/A6
PC5/A5
VSS
PC4/A4
PC3/A3
PC2/A2
PC1/A1
PC0/A0
VCC
PB0/(IRQ0)/EDREQ2
VSS
MD2
25
24
23
22
21
20
19
18
17
16
15
14
13
12
11
10
9
8
7
6
5
4
3
2
1

11 - 9
VOLTAGE LINE
Explanatory notes
C652 0.001
C654 100p
C655 100p
C656 100p
C653 0.001
0.001
C651
3V_
3V
1R2V_
3V_
1R2V_
3V_
1R2V_
3V_
3V_
3V_
3V
3V
3V
3V
1R2V_
5V
5V
3V
1R2V
1R2V
5V
3V
LOGIC UNIT (3)
1M
R1109
DTCK
12k
R1102
CP302
47k
R1413
47k
R1412
R1404 47k
R1403 47k
R1339 2.2k
R1004 47k
UNIT (2)
LOGIC
IMR2
PWRK
VOUT
POWS
RXS
TXS
4T8V
2T8V
SDSS
SNDS
MCK
MDT
MST
MMSL
CPU_PF6
IMR
CPU_P95
CPU_P94
CPU_P22
RTKI
CPU_P12
THML
DPTL
SNDL
ALCL
REFL
FORL
MUDL
KEY
START
CIV
LOST
LRXD
PRES#
LTX D
1CN1
WFML
1CN0
DASK
PCK
DOTK
PDT
SQSS
3DST
MMDK
1DST
VDL
0.1
C2
0.1
C3
0.1
C1
220
C5
0.1
C4
0.1
C52
0.1
C51
AWE
D15
D14
D13
D12
D11
D10
D09
D08
D07
D06
D05
D04
D03
D02
D01
D00
0
R313
100
R301
CP301
DRES
OSTB
VSTB
MOSB
SRES
AFMS
SPIS
CLK
FBK2
FBK0
RSS
CRES
ARE
AMS3
DTXD
DTFS
AMS2
DRXD
DCK
AMS0
MISO
DRFS
MOSI
SSTB
SCK
DTPA
DTFA
AWE
DRFA
A04
A01
DRPA
SCKB
DRXUD
A07
A05
A02
DRCK
DTXUD
A08
A06
A03
D12
D09
D06
D03
D00
A15
A09
A10
A11
D13
D10
D07
D04
D01
A16
A14
A13
A12
D15
D14
D11
D08
D05
D02
A19
A18
A17
START
KEY
MA732
D1106
2.2k
R1113
3.3k
R1114
RB706F
-
40
D1107
BCR108T
Q1102
47k
R1110
R1103 1k
R1104 1k
0.0047
C1106
2SC4081
Q1101
2SA1576
Q1103
CIV
18k
R1101
10k
R1105
MA2S111
D1101
R1127 0
0.1
C1103
100k
R1108
100k
R1111
100k
R1107
C314 0.1
C313 0.1
C312 0.1
C311 0.1
C310 0.1
C309 0.1
C308 0.1
C307 0.1
C306 0.1
C305 0.1
C304 0.1
C303 0.1
C302 0.1
EMUA
TDIA
TRSTA
TMSA
TCKA
RTQ035P02
Q201
CP304
MUDL
MUDL_
TDAT
0.0047
C1102
0.0047
C1101
TKEY
47k
R1106
TRD
CTXD
CRXD/CBSY
SN74AHC2G04HDCT
IC1402
1
2
3
45
6
8
7
DA221
D1305
DA221
D1304
0.1
C204
220
C53
C320 0.1
C319 0.1
C318 0.1
C317 0.1
C316 0.1
C315 0.1
C202 220
C207 10
C206 0.1
R310 10k
R306 10k
MCR10
-
JPW
R203
10µ
L202
D201 CUS02
C209 47
C208 47
C203 10
C201 0.1
10µ
L201
C205 0.1
EP201
1
2
3
6
5
4
CP310
CP309
10k
R303
0
R312
10k
R302
R314 0
CP307
CP306
CP308
CP305
CP303
10k
R307
10k
R308
TDOA
EP301
100k
R2
100k
R5
100k
R4
100k
R6
AMS3
AMS0
FBK0
FBK2
A01
SN74AHC1G04DCK
IC4
3
2
1
4
5
4
SN74AHC2G08HDCT3
IC3
1
2
3
5
6
8
7
4
SN74AHC2G08HDCT3
IC2
1
2
3
5
6
8
7
BUS LINE2
ARE
D00
D08
D01
D09
D02
D10
D03
D11
D04
D12
D05
D13
D06
D14
D07
D15
A17
AMS2
ARE
A16
A15
A14
A13
A12
A11
A10
A09
A08
A07
A06
A05
A04
A03
A02
A01
EP51
A02
A03
A04
A05
A06
A07
A08
A18
A19
DRES
AWE
A9
A10
A11
A12
A13
A14
A15
A16
100k
R3
EP2
BUS LINE1
3V
5V
1R2V
IMR2
MMSL
IMR
CPU_PF6
CPU_P95
CPU_P94
PWRK
CPU_P22
VOUT
RTKI
POWS
CPU_P12
RXS
THML
TXS
DPTL
4T8V
SNDL
2T8V
ALCL
SDSS
REFL
SNDS
FORL
MUDL
MCK
KEY
MDT
START
MST
unit J2252
to MAIN
CIVE
CIV
LRXD
LTX D
WFML
DASK
DOTK
SQSS
MMDK
VDL
LOST
PRES#
1CN1
1CN0
PCK
PDT
3DST
1DST
J651
2524 A0A1
2623 CEA2
2722
VSS
A3
2821 OEA4
2920
DQ0
3019
DQ8
A6
3118
DQ1
A7
3217
DQ9A17
3316
DQ2A18
3415
DQ10
RY/BY
3514
DQ3
WP/ACC
3613
DQ11
A21
3712
VDD
RESET
3811
DQ4
WE
3910
DQ11
A20
40
9
DQ5A19
41
8
DQ13
A8
42
7
DQ6
A9
43
6
DQ14
A5
44
45
46
47
48
5
4
3
2
1
TC58FVM6T5BTG65GCH
IC1
DQ7
DQ15/A
-
1
VSS
BYTE
A16
A11
A12
A13
A14
A15
A10
E6D1
VSSVSS
E3B5 NCCE
E4B2 NC
BHE
G5A2 WEOE
H1A1 NC
G2D3 NCNC
H6A6 NCNC
G1F4
I/015
A15
F1F3
I/014
A14
F2G4
I/013
A13
E2G3
I/012
A12
D2H5
I/011
A11
C2H4
I/010
A10
C1H3
I/09
A9
B1H2
I/08
A8
G6D4
I/07
A7
F6C4
I/06
A6
F5C3
I/05
A5
E5B4
I/04
BLE
D5
C5
C6
B6
E1
B3
A5
A4
A3
D6
CY7C1021CV33
-
15BAIT
IC51
I/03
I/02
I/01
I/00
VCC
A3
A2
A1
A0
VCC
A4
A1
VDDEXT
A2
PF8
A3
PF9
A4
PF10
A5
PF11
A6
PF14
A7
PPI2
A8
PTX0
A9
PTXI
A10 GND
A11
XTAL
CLKIN
A12
P14
GND P13
ADDR17
P12
ADDR18
P11
ADDR19
P10
BG P9
D ATA 2
P8
D ATA 5
P7
D ATA 8
P6
D ATA 1 1
P5
D ATA 1 4
P4
D ATA 1 5
BMODE1
P3
P2
TCK
VDDEXT
P1
ADDR12
N14
EMU
M2
TMR1
M1
ADDR3
L14
ADDR6
L13
ADDR8
L12
VDDEXT
L11
GND L10
VDDINT
L9
GND
L8
VDDEXT
L7
GND
L6
GND
L5
DT0PRI
H1
DT0SEC
H2
TFS0
H3
C12
VDDEXT
C11 GND
RESET
C10
ARE
G14 AOE
G13
AMS3
G12 GND
G11
VDDEXT
G4
DR1PRI
G3
RFS1
G2
RSCLK1
G1
AMS1
F14
AMS2
F13
VDDEXT
F12 GND
F11 GND
F4
DR1SEC
F3
DT1PRI
F2
ADSP
-
BF532SBBC400
IC301
GND
GND
ABE1
ABE0
AWE
TSCLK0
DR0SEC
RFSO
VDDEXT
VDDINT
VDDEXT
ADDR4
ADDR1
DR0PRI
TMR2
TX
GND
GND
ADDR7
ADDR5
ADDR2
RSCLK0
TMR0
RX
VDDINT
TDI
GND
D ATA 1 2
D ATA 9
D ATA 6
D ATA 3
D ATA 0
GND
ADDR15
ADDR9
ADDR10
AFFR11
TRST
TMS
TDO
BMODEO
D ATA 1 3
D ATA 1 0
D ATA 7
D ATA 4
D ATA 1
BGH
ADDR16
ADDR14
ADDR13
TSCLK1
AMSO
ARDY
SA10
VDDINT
VDDINT
DT1SEC
MISO
TFS1
BR
SRAS
SWE
GND
GND
VDDEXT
GND
GND
VDDINT
VDDEXT
GND
MOSI
PF0
SCK
SCAS
SMS
PPI_CLK
PPIO
VDDEXT
PF15
GND
GND
PF3
PF2
PF1
CLKOUT
SCKE
VROUT1
GND
NMI
VDDRTC
PPI1
PPI3
PF13
PF12
PF7
PF6
PF5
PF4
GND
VROUT0
F1
E14
E13
E12
E11
E4
E3
E2
E1
D14
D13
D12
D11
D10
D9
D8
D7
D6
D5
D4
D3
D2
D1
C14
C13
N13
N12
N11
N10
N9
N8
N7
N6
N5
N4
N3
N2
N1
M14
M13
M12
M11
M10
M9
M8
M3
M4
M5
M6
H4
H11
H12
H13
H14
J1
J2
J3
J4
J11
J12
J13
J14
K1
K2
K3
K4
K11
K12
K13
K14
L1
L2
L3
L4
M7
C9
C8
C7
C6
C5
C4
C3
C2
C1
B14
B13
B12
B11
B10
B9
B8
B7
B6
B5
B4
B3
B2
B1
A14
A13

11 - 10
11-4 PA/DRIVER UNITS
VOLTAGE LINE
Explanatory notes
TX LINE
RX LINE
0.001
C485
10p
C484
EP763
EP754
EP743
100k
R462
µPC3215TB
IC471
TN1V
470p
C561
0.001
C308
100p
C320
0.001
C306
100p
C319
0.001
C307
6.8
R319
100
R302
14V
_P2T8
8V
0.001
C751
0.0047
C750
0.1
C749
8V
DRIVO
DRIVI
P401
P101
8V
14V
C725 22
ERJ3GE
-
JPW
R773
100p
C723
P2R8
2M8L
0.001
C560
PT8V
YGR
ID1V
H6CR8
HV
ICH
ID3V
ID2V
POWS
ICL
0.001
C478
0.001
C435
ERJ1W
-
JPW
R705
0.1
C720
0.1
C752
100p
C722
EXCML16A270U
L707
EXCML16A270U
L706
22
R307
22
R305
DAN202U
D302
DAN202U
D301
0.1
C313
0.1
C309
0.1
C332
0.1
C331
100
R306
100
R304
39p
C102
100
R201
0.001
C205
4.7k
R202
0.001
C206
0.1
C208
220p
C209
0.001
C207
0.1
C204
1k
R204
56
R205
0.1
C217
0.001
C201
470p
C724
4.7k
R733
4.7k
R735
0.1µ
L107
12p
C120
100p
C118
ERJ3GE
-
JPW
R117
0.1
C113
0.1
C741
L104 100µ
L103 100µ
L105 HF50ACC322513
-
B
100
C122
0.1
C114
0.1
C112
0.47µ
L108
470
R116
RD01MUS1
Q102
560
R111
0.1
C109
56
R110
6.8k
R113
3.9k
R112
0.1
C108
0.1
C106
0.1
C107
6.8n
L102
33
R109
680
R105
470
R108
470
C105
0.1
C104
5.6k
R107
2.2k
R106
0.1
C102
68
R104
0.1
C103
0.68
C327
12p
C326
LA
-
262
L306
L304 LR
-
507
R318 10
R317 10
C325 330p
C324 390p
C323 120p
R309 2.2k
0.68
R311
R315 39
R314 33
R313 33
R312 39
0.68
R310
0.0068
C315
0.0068
C314
2.2k
R308
0.0068
C312
ERJ1W
-
JPW
R303
0.1
C303
CP201 CP202
0.001
C340
EXC
-
ELDR25C
L302
470
C305
0.1
C304
120p
C302
0.001
C301
220p
C218
330p
C214
220p
C215
10n
L203
10n
L204
22n
L551
0.001
C552
68n
L553
1SV307
D552
1SV307
D551
0.0047
C551
1.8k
R551
4.7
R552
33
R553
33n
L552
1k
R555
4.7k
R577
0.001
C554
330k
R557
MA357
D556
0.001
C567
6.8k
R578
1SV307
D555
MA2SV05
D553
MA2SV05
D554
100k
R554
10µ
L554
100k
R556
470p
C553
BCR108T
Q552
220k
R559
180k
R558
0.001
C555
220k
R560
330k
R561
0.1
C556
0.001
C557
39
R562
3SK291
Q551
680
R563
0.001
C558
12
R564
2.7µ
L555
0.001
C559
10µ
L556
1SV307
D557
1k
R565
D558 MA357
R567 100k
4.7k
R575
0.001
C563
6.8k
R576
100k
R568
MA2SV05
D560
MA2SV05
D559
27n
L558
82n
L557
0.001
C562
0.001
C564
0.001
C565
330
R570
0.47µ
L560
1SV307
D462
0.001
C477
0.001
C453
1.8k
R451
4.7n
L451
4.7
R452
1SV307
D451
1SV307
D452
33
R453
3.5p
C456
ERJ3GE
-
JPW
R454
12n
L452
47k
R455
47k
R467
1SV305
D454
1SV305
D453
0.001
C458
390k
R457
BCR108T
Q452
3SK291
Q451
150k
R456
180k
R458
330k
R459
0.1
C461
0.1
C462
330k
R460
0.001
C463
0.1
C464
0.1
C465
0.001
C466
0.001
C467
39
R461
1SV305
D455
12p
C468
4.7k
R463
0.1
C470
0.001
C471
12
R464
0.5p
C472
15n
L453
15n
L454
100k
R465
18p
C473
1SV305
D456
150
R473
150
R472
3p
C474
39
R471
0.001
C475
0.001
C476
47p
C480
100
R470
0.001
C481
0.001
C482
ERJ3GE
-
JPW
R466
220
R477
150
R475
39
R476
0.001
C483
150
R474
1SV307
D461
1k
R152
MA2S111
D152
4.7k
R153
0.001
C154
0.1
C153
0.1
C151
0.1
C101
18
R102
270
R103
270
R101
JPRES
J3R3V
PR4S
PR3S
P2R8
AT 1 3
TN2V
JHREF
PHT8
P4T8
P4R8
JHFOR
JMST
JMCK
THML
2M8L
JFDAT
TN1V
VUFOR
IDRV
PT8V
_P2T8
ID4V
C761 0.0047
C759 0.0047
C760 0.0047
C735 0.1
C757 0.1
C746 0.1
C747 0.1
BUS LINE2
b
12p
C452
145MHz RX
430MHz RX
a
BCR108T
Q453
TN2V
PR3S
AT 1 3
ERJ12
-
JPW
R468
TN1V
P4R8
PR4S
TN2V
4
6
1
2
3
5
ID1V
ID2V
RD70HHF1
Q302
RD70HHF1
Q301
HF03
0.0068
C311
ERJ1W
-
JPW
R301
LR
-
506
L305
LR
-
400
L303
0.001
C342
0.001
C341
220p
C219
330p
C333
LR
-
383
L301
DRIVER UNIT
0.01
C101
100
R102
PD55015
Q504
J104
J102
J107
J103
J101
NTCG20
R734
R736 NTCG20
THML
2SK2854
Q101
DAN202K
D705
47k
R742
1k
R743
BCR108T
Q741
2SB1132
Q742
P2T8
14V
IDRV
EP202
0.001
C202
LR
-
515
L201
100p
C119
27p
C116
33µ
L101
H6CR8
0.0047
C152
330
R151
47µ
L152
5.6µ
L151
HRX
1SV307
D151
YGR
1SS302
D102
1SS302
D101
W401
W402
HRX
J451
unit J101
to MAIN
W102
W101
YGR
J101
unit J1
to MAIN
12
3
IO
G
BA08FP
IC701
C733 0.1
C765 0.1
C743 0.001
C732 0.1
C762 0.0047
C742 0.1
C763 0.0047
C744 0.1
C736 0.1
C739 0.1
C737 0.1
C738 0.1
C734 0.001
C754 0.001
C764 0.0047
C753 0.0047
R744 ERJ3GE
-
JPW
R749 ERJ3GE
-
JPW
R750 ERJ3GE
-
JPW
EP760
EP762
EP761
EP752
EP748
EP747
EP753
EP779
EP756
EP759
EP777
EP758
EP778
C745 0.1
EP776
EP774
EP775
EP751
EP741
EP767
EP772
EP742
GND
JPRES
J3R3V
GND
PR4S
PR3S
P2R8
AT13
TN2V
JHREF
1
3
5
7
9
11
13
15
17
19
21
23
PHT8
24
22
20
28
ID4V
P2T8
PT8V
J980
IDRV
18
27
16
14
12
VUFOR
unit J2005
MAIN
to
TN1V
JFDAT
2M8L
THML
JMCK
JMST
JHFOR
P4R8
GND
10
8
PT8V
6
4
26
2
25
P4T8
ID1V
H6CR8
HV
ICH
GND
GND
GND
GND
GND
8V
1
3
5
7
9
11
13
15
17
19
21
23
25
27
2
4
6
8
10
12
14
16
18
20
22
24
26
28
14V
14V
14V
14V
14V
14V
14V
J2
14V
GND
unit J2004
MAIN
to
GND
ID3V
8V
GND
ID2V
POWS
ICL
GND
GND
PA UNIT (1)
BUS LINE1
UNIT (2)
PA

11 - 11
VOLTAGE LINE
Explanatory notes
TX LINE
RX LINE
COMMON LINE
1SV307
D511
0.001
C528
10p
C520
1k
R518
P2R8
0.0047
C1002
1
2
3
6
5
4
BCR08PN
Q988
1p
C443
R519
MCR10
-
JPW
4.7µ
L705
C766 0.001
C1001 0.1
0.001
C426
ICH
ICL
7p
C602
5p
C601
15n
L603
22n
L602
10n
L601
0.15µ
L417
10
R417
10
R416
MA2S111
D411
0.001
C439
0.001
C434
3.3
R413
2p
C427
UX9401F
-
F
-
STD
D408
15n
L415
P4T8
0.001
C479
DAN202K
D412
MCR10
-
JPW
R418
39
R415
0.25
-
1.9
-
13TL
L416
UX9401F
-
F
-
STD
D410
UX9401F
-
F
-
STD
D409
470p
C440
470p
C430
470p
C438
5p
C432
22n
L412
15n
L414
15n
L413
68p
C429
7p
C433
5p
C431
7p
C428
0.001
C436
430MHz RX
145MHz RX
ERJ3GE
-
JPW
R516
1µ
L509
10
R515
0.001
C523
C524 0.5p
UX9401F
-
F
-
STD
D509
UX9401F
-
F
-
STD
D507
UX9401F
-
F
-
STD
D508
54n
L507
18p
C514
0.001
C525
0.001
C518
470p
C522
12p
C517
24p
C521
27p
C519
47n
L510
47n
L508
8p
C516
33n
L506
0.001
C515
68n
L505
0.001
C513
100
R517
100
R513
22p
C252
22p
C251
15p
C254
100
R402
100
R404
6p
C253
4.7k
R403
0.001
C404
2p
C415
15p
C411
18p
C409
15p
C410
18p
C408
18p
C417
10n
L410
10n
L441
10p
C418
7p
C441
MA2S728
D404
MA2S728
D401
6.8k
R411
6.8k
R405
ERJ3GE
-
JPW
R408
ERJ3GE
-
JPW
R406
MA2S728
D402
MA2S728
D403
1k
R410
1k
R409
1k
R407
47p
C423
3.3k
R412
0.001
C406
0.001
C726
MA2S728
D706
0.001
C727
MA2S728
D704
4.7k
R508
150p
C509
10k
R512
0.001
C728
0.001
C715
1k
R507
1k
R510
150p
C526
150p
C527
6.8k
R511
6.8k
R505
MA729
D502
D501 MA729
D504 MA729
D503 MA729
56n
L502
120p
C542
100p
C544
5p
C503
4p
C541
68n
L541
200p
C405
0.001
C412
EXC
-
ELDR25C
L409
EXC
-
ELDR25C
L408
68p
C537
LA
-
604
L531
56p
C535
39p
C530
68p
C545
56p
C538
0.0047
C416
0.001
C413
0.001
C533
0.001
C532
0.001
C531
47p
C536
56p
C534
220p
C267
330p
C262
680p
C266
0.001
C263
120p
C261
1µ
L501
4.7k
R503
0.001
C501
100
R504
100
R502
UX9401F
-
F
-
STD
D964
UX9401F
-
F
-
STD
D965
39p
C805
56p
C803
33p
C801
0.75p
C802
15p
C804
0.1
C808
0.12µ
L802
82n
L801
0.0047
C806
0.1
C807
1SS302
D801
0.0047
C783
0.01
C782
0.001
C781
W702
F1
F2
21
3
12
4.7
R723
100µ
L803
180
R1003
150
R1002
100µ
L981
JV
-
12
-
KT
RL701
BCR108T
Q700
100µ
L960
0.1
C961
0.1
C1003
DAN202K
D703
R703 3.3k
R701 3.3k
CP702CP701
0.02
R722
0.02
R721
220p
C712
220p
C711
470p
C710
0.001
C709
0.01
C708
0.1
C718
0.1
C719
0.1
C705
3.3k
R704
3.3k
R702
0.1
C703
0.1
C707
470
C713
DSA3A1
D702
DSA3A1
D701
1000
C706
1000
C704
0.001
C702
0.1
C701
Q7
Q6
Q5
Q4
Q3
Q2
Q1
C997 47p
C996 47p
C998 47p
C994 0.1
C995 0.0047
R996 10k
R995 10k
R997 10k R994 10k
100µ
L980
100µ
L982
R1001 100
R998 100
R999 100
R1000 100
PHT8PHT8
d
c
HRX
A
14VR
HF03
-
+
ATN207
-
K1
RL801
BCR108T
Q987
0.0047
C979
PHT8
BCR108T
Q986
0.0047
C993
Q1 L1
BCR108T
Q985
0.0047
C992
Q2 L2
BCR108T
Q984
0.0047
C991
Q3 L3
BCR108T
Q983
0.0047
C990
Q4 L4
BCR108T
Q982
0.0047
C988
Q6 L6
BCR108T
Q981
0.0047
C989
Q5 L5
BCR108T
Q980
0.0047
C987
L7Q7
BUS LINE3
POWS
NJM2904M
IC960
V+
GND
8
4
J3R3V
JPRES
JMCK
JFDAT
JMST
98
QS1GND
10
7
QS2
Q3
11
6
Q7Q2
12
13
14
15
16
5
4
3
2
1
CD74HC4094PW
IC981
Q6
Q5
Q4
OE
VCC
Q1
Q0
CP
DATA
STROBE
BUS LINE2
HV
EP703
b
a
BUS LINE1
UNIT (3)
PA
DTC114EU
Q403
DTC114EU
Q402
DTC114EU
Q502
DTC114EU
Q503
P2T8
VUFOR
ID4V
ID3V
XB15A407
D407
XB15A407
D406
1µ
L411
C425 22p
1p
C421
7p
C424
10p
C422
1p
C419
6p
C420
RD60HUF1
Q401
33n
L407
1µ
L504
0.001
C511
56n
L404
2p
C505
33p
C504
C506 10p
2p
C507
C508 5p
XB15A407
D510
XB15A407
D506
RD70HVF1
Q501
14V
PA UNIT (2)
BUS LINE1
UNIT (1)
PA

11 - 12
Explanatory notes
COMMON LINE
22p
C1011
14VR
14VR
100µ
L943
CP601
CP901
14VR
14VR14VR
14VR
18M/21M
3.5M/3.8M
10M/14M
1.8M
50M
4.63M/5M/7M
24M/28M
W901
0.68
C972
33
R966
470p
C968
470p
C969
330
R961
330
R960
470p
C967
47k
R967
0.0047
C963
1k
R963
0.001
C1000
0.001
C999
1k
R962
0.0047
C962
100k
R970
470p
C971
22k
R969
47k
R965
HSM88AS
-
E
D962
HSM88AS
-
E
D961
33k
R974
33k
R973
33k
R972
2P
-
50
-
W1L301
R971
ERJ3GE
-
JPW
R968
ERJ3GE
-
JPW
R964
47p
C973
330p
C970
0.0047
C966
330p
C960
10p
C964
0.0047
C947
12µ
L944
0.1
C948
0.0047
C929
100µ
L923
0.1
C930
0.0047
C908
56µ
L904
0.1
C909
100µ
L883
0.1
C894
0.0047
C893
0.1
C872
0.0047
C871
4.7µ
L864
0.0047
C874
0.0047
C854
100µ
L844
0.0047
C852
0.1
C853
18µ
L823
0.1
C829
0.0047
C831
0.0047
C828
L822 LR
-
396L821 LR
-
229
L922 LR
-
214L921 LR
-
214
C825 47pC823 15p
C925 82p
C931 82p
C923 100p
56p
C827
68p
C826
33p
C830
120p
C824
100p
C833
56p
C822
56p
C1004
390p
C928
390p
C927
470p
C926
470p
C924
470p
C1121
680p
C922
100p
C933
100p
C932
56p
C907
220p
C905
220p
C902
C904 56p
C906 56pC903 47p
L903 LR
-
293L902 LR
-
293L901 LR
-
293
L881 LR
-
294 L882 LR
-
295
C1007 68p
C889 82p
C884 390p
680p
C882
680p
C883
100p
C887
120p
C886
0.0022
C885
0.0016
C890
18p
C870
22p
C869
47p
C868
39p
C866
56p
C864
5p
C873
C876 3p
C867 4pC865 9p
C863 18p
L863 LA
-
548L862 LA
-
550L861 LA
-
547
L843 LR
-
216L842 LR
-
216L841 LR
-
218
C848 27p
C849 22p
C1005 68p
C845 82p
C843 430p
100p
C858
120p
C837
120p
C836
120p
C835
120p
C851
390p
C850
390p
C847
56p
C856
100p
C855
330p
C846
100p
C844
120p
C857
82p
C1006
100p
C842
56p
C1009
27p
C946
33p
C950
82p
C1010
100p
C944
56p
C942
C949 3p
C945 8p
C943 33p
L942 LR
-
388L941 LR
-
387
0.0047
C832
18µ
L820
0.0047
C821
0.1
C820
1SS302
D820
100µ
L840
0.0047
C841
0.1
C840
1SS302
D840
4.7µ
L860
0.0047
C861
0.1
C860
1SS302
D860
100µ
L880
0.0047
C881
0.1
C880
1SS302
D880
56µ
L900
0.0047
C901
0.1
C900
1SS302
D900
100µ
L920
1SS302
D920
0.1
C920
0.0047
C921
1SS302
D940
0.0047
C941
0.1
C940
12µ
L940
L6
L3
L7
L1
L4
L2
L5
13.8V
DC
(BLACK)
(RED)
W701
c
d
MHz
144/430
CHASSIS J2
JHFOR
JHREF
NJM2904M
IC960
NJM2904M
IC960
67
5
-
+
+
-
31
2
LR
-
391
L961
HF/50MHz
CHASSIS J1
A
14VR
BUS LINE3
-
+
ATN207
-
K1
RL941
-
+
ATN207
-
K1
RL921
-
+
ATN207
-
K1
RL901
-
+
ATN207
-
K1
RL881
-
+
ATN207
-
K1
RL821
-
+
ATN207
-
K1
RL861
-
+
ATN207
-
K1
RL841
-
+
ATN207
-
K1
RL940
-
+
ATN207
-
K1
RL920
-
+
ATN207
-
K1
RL900
-
+
ATN207
-
K1
RL880
-
+
ATN207
-
K1
RL860
-
+
ATN207
-
K1
RL840
-
+
ATN207
-
K1
RL820
PA UNIT (3)
BUS LINE1
UNIT (2)
PA

11 - 13
11-5 DDS UNIT
VOLTAGE LINE
Explanatory notes
DDS
UNIT (2)
5V
J952
GND
8V
GND
3R3V
GND
GND
5V
GND
to
MAIN
unit
J2406
DREF
GND
NC
8VA
8VA
NC
NC
REFCV
3LOE
3LO
NC
3LOE
GND
LOST
PRES
1DST
PCK
PDT
1CN0
1CN1
3DST
GND
J951
GND
GND
DASK
DOTK
SDSS
SNDS
SNDL
START
to
MAIN
unit
J2406
MODA
RTKI
EALC
KEY
BANV
AF
DINO
DPTL
SQLS
DOUT
GND
GND
GND
14V
14V
14V
14V
14V
14V
GND
GND
GND
1234
5678
9
10 11 12
13
1
2
4
3
8
7
12
11
13
10
6
9
5
8VA
GNDA
BDTA
SEND1
14VA
SEND2
AFA
MODA
SQLA
FSKA
ALCA
KEYA
BANA
RL1101
ATN207
-
K1
+
-
1
2
3
4
5
6
7
8
9
10
11
36
35
34
33
32
31
30
29
28
27
26
25
37
38
39
40
41
42
43
44
45
46
47
4813
14
15
16
17
18
19
20
21
22
23
24
I/O UPDATE
DVDD
DGND
AVDD
AGND
AVDD
AGND
OSC/REFCLK
OSC/REFCLK
CRYSTAL OUT
CLKMODESELECT
AVDD
AGND
AGND
AVDD
AGND
AVDD
AVDD
IOUT
IOUT
AGND
DACBP
DAC RSET
DGND
DGND
OSK
SYNC CLK
SYNC IN
DVDD I/O
DGND
SDIO
SCLK
CS
SDO
IOSYNC
RESET
PWRDWNCTL
DVDD
DGND
AGND
AGND
AGND
AVDD
AGND
AVDD
AGND
AVDD
IC301
AD9951YSV
12
LOOP FILTER
ACC
21
3
56
4
J1151
DATA
BUS LINE2
8V_
2LO
1
2
3
4
5
VOUT
AGND
FSYNC
SCLK
SDATA
COMP
VDD
CAP/+2.5V
DGND
MCLK
IC51
AD9833BRM
10
9
7
8
6
3DST
3PCK
PDT
R52 1k
R53 1k
R54 1k
C58 0.1
3LO
IC61
SN74AHC1GU04DCK
3
2
4
15
C52
0.0047
L51
10µ
1
2
VCC
OUT
VCON
GND
X1
CR
-
788
4
3
EP957
R961 220
EP6
R9 27k
653784
21
FI101
FL
-
391
CP151
BUS LINE1
3R3V
R213
10
Q211
2SC5226
1
2
3
OUT
OUT
GND
GND
IN
IN
FI201
NSVS776
7
6
5
8
41
2
3
VIN
GND
VOUT
CONT
GND
N.BYPASS
IC251
TK11218CM
6
5
4
EP251EP301
7
8
6
54
3
2
1
7
8
6
54
3
2
1
EP964
EP954
EP955
EP958
EP960
EP959
EP956
R959 220
R960 47
L953 100µ
L954 100µ
L955 100µ
L956 100µ
L957 100µ
L959 270µ
L960 100µ
L963 270µ
L962 270µ
C954 0.0047
C955 0.1
C957 0.1
C958 0.0047
C959 0.0047
C960 0.1
C961 0.1
C962 0.1
C963 0.1
C964 0.001
C966 0.1
C967 0.1
C952
0.1
EP305
C305 0.1
EP303
EP302 EP304
R316
10k
R310 1k
D1101
1SS302
D1102
DAP202K
IC52
SN74AHC2G04HDCT
IC62
SN74LVC3G34DCUR
Q1101
2SC4081
SDSS
CS
SDIO
PCK
PRES#
PRES
SCLK
R1051
ERJ3GE
-
JPW
EP1052
EP1051
EP952
EP951
EP981
R958 220
R957 220
R956 220
R955 220
R954 220
R953 220
R952 220
R951 220
R8 39k
CP951
C968
10
C953
0.1
C972
22
C951
0.1
L1001 220µ
L1002 220µ
EP1003
C1001
0.1
C1051
0.0047
C1052
0.0047
L1105 100µ
L1106 100µ
L1107 100µ
L1110 100µ
L1111 100µ
L1112 100µ
EP1102
L1152 EXCCL3225U
L1153 100µ
L1154 100µ
EP1103
EP1104
DOUT
SQLS
AF
DPTL
DIND
RTKI
EALC
KEY
BANV
CP1101
C1109
0.0047
C1108
0.001
C1105
0.0047
C1111
0.0047
C1104
0.0047
C1110
0.0047
C1115
0.0047
C1114
0.0047
C1113
0.0047
C1112
0.0047
C1155
0.0047
C1154
0.0047
C1153
0.0047
C1152
0.0047
C1151
0.0047
START
MODA
DOTK
DASK
DASK
DOTK
SDSS
SNDL
SNDS
START
MODA
RTKI
EALC
KEY
BANV
AF
DIND
DPTL
SQLS
DOUT
R1106
2.2k
R1107
2.2k
C1106
0.0047
R1102
10k
C1101
0.0047
R1101
1k
1DST
PDT
C301 0.1
C302 0.1
C303 0.1
C304 0.1
R303
0
C306
0.1
R304
1k
C320
10
C314 0.0047
C327 0.0047
C308 0.1
C309 0.1
C310 0.1
C312 0.1
R314
2.7k
R317
1.2k
R306 1k
R309 1k
R311 1k
R312
0
1CN1
SDIO
SCLK
CS
1CN0
PRES
R62
10
C63
0.1
3PCK
C251
0.1
C254 0.1
C255 22
C252 0.1
C253 22
L204
0.22µ
C211
0.001
C216
0.0047
R201
10
C202
7p
R202
470k
L201
47n
C206
2.5p
C208
4p
C210
4p
C218
6p
L213
15n
C207
15p
L205
27n
L206
22n
C209
27p
C217
82p
L210
22n
C219
10p
R211
470
R212
1k
C224
0.0047
L212
33n
C221
0.0047
R214
47
L202
10n
C222
4p
C203
27p
GND
GND
C126
0.0047
C105
0.001
L105
1.2µ
R106
150k
C102
27p
R101
470
L101
0.22µ
C101
6p
C104
0.0047
R102 100
Q101
2SC4403
IO
R103
82
R105
82
R121
4.7k
C150
0.0047
R150
82
R151
100
R154
10k
L151
0.12µ
R155
10
C152
15p
R160
15
C151
0.0047
R104
100
C120
0.0047
Q151
2SC4673
R161
15
C154
33p
C156
33p
R159
150
R157
150
R158
39
L153
47n
C155
8p
C956
0.1
C973
22
C974
22
C975
100
C976
100
C977
100
C978
100
R11
ERJ2GE
-
JPW
R10
22k
C7
0.1
R2
2.2k
C1
0.047
R3
4.7k
C3
68p
C6
68p
C51
0.0047
R55
270
R56
18
R57
270
R4
220
C5
82p
L1
0.15µ
C2
0.0047
C4
0.0047
R5 100
C53
0.0047
R51
1k
DREF
R61 10k
C54
0.1
C62
0.1
C56 0.1
C55 47
C59
330p
C61
330p
C60
120p
L53
220µ
W1
W2
W3
W4
ELE
-
KEY
J1051
J1001P1001
J5
EP953
DREF
3LO
LOST
PRES#
1DST
PCK
PDT
1CN0
1CN1
3DST
C981
0.1
EP1101
EP1004
TUNER
ETKY
ETST
ET14
ETE
J1101
SQLD
DOTD
GND
R1103 100
R1105
100
L1103
100µ
Q1102
2SD1623
R1104
10k
C1102
0.0047
C1107
0.0047
SNDS
L52 10µ
C57
0.1
Q201
2SC5226
Q1
2SC4215
C204
0.1
R162
15
R315
1k
C317
0.1
C318
0.0047
C319
0.1
R301 1k
a
c
b
d
DDS UNIT (1)
DIND
PTTD
AFOD
SNDL
R1108 47k
R1109 47k
C307
0.1
R962 0
C1116
0.001
C1117
0.001
EP1100
EP1106
EP1105
EP1107
EP1108

11 - 14
VOLTAGE LINE
Explanatory notes
DDS
UNIT (1)
5V
D751
1SV307
D701
1SV307
D651
1SV307
D601
1SV307
D551
1SV307
D501
1SV307
D552
1SV307
to
MAIN
unit
J401
4
5
6
3
2
1
Q901
BCR08PN
2
1
3
6
5
4
Q902
BCR08PN
2
1
3
6
5
4
Q903
BCR08PN
2
1
3
6
5
4
Q904
BCR08PN
2
1
3
6
5
4
Q905
BCR08PN
2
1
3
6
5
4
Q906
BCR08PN
2
1
3
6
5
4
Q907
BCR08PN
2
1
3
6
5
4
Q908
BCR08PN
IN
GND
GND
GND
VCC
GND
GND
OUT
IC451
µPC1678GV
1
2
3
4
8
7
6
5
D802
1SV307
IN
GND
GND
GND
VCC
GND
GND
OUT
IC801
µPC1678GV
1
2
3
4
8
7
6
5
D801
1SV307
L456
LR-317
D456
MA717WK
D458
1SV307
L471
LR-317
D471
MA717WK
D459
1SV307
D453
1SV308
D452
1SV307
D451
1SV307
D454
1SV307
L302
LR-317
D301
MA717WK
L301
LR-317
OUT
IN
GND
GND
GND
VCC
IC401
µPC2709T
3
2
1
4
5
6
L332
47n
L331
47n
C401
0.001
Q301
DTC114EU
BLF6
BLF6
LOF6
LOF5
LOF4
LOF3
LOF2
LOF1
LOF0
DBRS
BLF5
BLF4
BLF3
BLF2
BLF1
BLF0
BUS LINE2
12
14
13
15
16
IC901
CD74HC4094PW
10
11
GND
Q3
Q2
Q1
Q0
CP
DATA
STROBE
QS1
QS2
Q7
Q6
Q5
Q4
OE
VCC
8
7
6
5
4
3
2
1
9
C902
100p
LOST
PDT
PCK
R901 1k
R902 1k
R903 1k
PRES#
C901
0.0047
L901
100µ
8V_
to
MAIN
unit
J801
2LO
2LO
2LO
3R3V
BUS LINE1
d
LOF2
LOF1
LOF0
DBRS
LOF6
LOF5
LOF4
LOF3
L304
1µ
C326
15p
L323
0.1µ
C321
33p
C325
33p
C323
68p
L321
0.1µ
L322
0.1µ
R305 120
R313 120
D341
1SV308
R341
1k
C345
68p
C346
68p
R342
1k
C344
33p
C343
120p
C331
18p
C333
39p
C335
18p
L341
0.12µ
L303
82n
C342
47p
C341
47p
C403
100p
C402
0.001
L401
1.0µ
L411
39n
C412
12p
C453
0.001
C413
22p
C411
22p
R471
470
R477
100
C479
0.0047
C474
0.001
L472
47n
R473
150
R475
150
R476
470
R474
39
C475
0.001
R472
220
R461
100k
C476
0.0047
L461
10n
C478
0.0047
C465
22p
C467
22p
L465
0.12µ
C464
120p
L466
33n
C451
47p
R469
100
C463
47p
C466
4p
L458
47n
L473
22n
L469
15n
R463
470
C472
33p
C480
12p
C471
5p
C481
3p
C473
4p
C477
0.0047
R459
100k
C460
0.0047
R467
82
R465
82
R464
100
R456
0
R468
82
C457
0.001
R453
18
C454
0.001
R457
1k
R454
270
R455
270
C456
0.1
C468
3p
C470
5p
L464
0.1µ
C459
0.001
L467
12n
L468
18n
C469
3.5p
C458
0.001 EP451
EP452
EP809
L851
0.12µ
L852
0.47µ
R851
390
L801
0.12µ
C803
5p
C806
8p
C808
33p
L803
27n
L804
18n
L805
15n
C810
4p
C812
9p
C814
6p
C802
7p
C804
4p
C807
3p
C809
4p
L806
6.8n
L807
12n
C811
7p
C813
2p
C815
0.001
R805
82
R807
82
C825
5p
C827
10p
C829
33p
C835
6p
C833
9p
C831
4p
L808
0.1µ
C816
0.001
R806
82
C824
7p
C826
4p
C828
3p
C830
4p
L815
6.8n
L816
12n
C832
7p
C834
2p
C838
0.001
L812
27n
L813
18n
L814
15n
R841 120
R810 100k
L818
0.12µ
R808
390
L854
0.47µ
R855
390
L853
0.12µ
R801
270
C839 0.0047
C840
0.001
BLF0
BLF1
BLF2
BLF3
BLF4
BLF5
L751
0.47µ
L752
22n
L753
27n
L754
33n
L758
0.47µ
L755
27n
L756
27n
L757
22n
C751
7p
C753
5p
C755
5p
C757
8p
C765
0.001
C759
0.5p
C761
2p
C763
3p
R751
390
C752
180p
C754
56p
C756
27p
C758
9p
C760
15p
C762
12p
C764
10p
R752
390
R753
100k
C766
0.0047
C701
0.001
C709
7p
C711
5p
C713
5p
C715
12p
C702
15p
C704
27p
C706
22p
C708
18p
C710
56p
C712
56p
C714
180p
C703
0.75p
C705
2p
C707
4p
L705
39n
L706
33n
L707
33n
L708
0.47µ
R706
100
R704
100
R702
390
R701
390
L701
0.47µ
L702
33n
L703
33n
L704
27n
R705
56
C717
0.001
D702
1SV307
D752
1SV307
R703
100k
C716
0.0047
C651
10p
C664
0.001
C658
1p
C659
3p
C663
5p
C652
270p
C654
82p
C656
47p
C660
15p
C661
27p
C662
22p
C665
18p
R652
390
R651
390
L651
0.47µ
L652
39n
L653
39n
L656
47n
L658
0.47µ
L654
39n
L655
39n
L657
33n
C653
7p
C655
8p
C657
12p
D652
1SV307
L602
47n
L603
39n
L604
27n
C611
220p
C612
68p
C615
39p
C610
15p
C608
27p
C606
33p
C602
22p
R601
270
C601
0.0047
C604
12p
C605
10p
C613
10p
C614
15p
C603
3p
C607
8p
C609
15p
L601
0.47µ
L607
68n
L606
47n
L605
47n
L608
47n
R602
390
D602
1SV307
R604 100
C617
0.0047
C618
27p
R553
100k
R603
100k
C563
0.0047
C616
0.0047
L551
0.47µ
L552
68n
L553
56n
L557
0.47µ
R551
390
R556
150
R555
150
C552
56p
C555
39p
C557
47p
C559
47p
C561
33p
L554
47n
L555
47n
L556
33n
C562
0.0047
C554
0.0047
C553
27p
C551
27p
C556
2p
C558
7p
C560
12p
R554
39
R552
390
L501
0.47µ
C503
27p
L502
0.1µ
L503
82n
C504
0.0047
R501
390
L506
68n
C502
82p
L505
68n
C505
33p
C507
56p
L504
56n
C509
47p
C511
39p
C501
39p
C506
10p
C508
6p
C510
2p
C512
0.0047
L507
0.47µ
R502
390
R852
270
R854
270
D502
1SV307
C851
0.0047
R853
18
R503
100k
C513
0.0047
R653
100k
C666
0.0047
a
b
c
R451
1k
R460
100k
C461
0.0047
CP851
CP852
1LO<124.8264MHz>
0.03
-
29.999999MHz
30.0
-
59.999999MHz
60.0
-
115.512999MHz
115.513
-
148.0MHz
148.000001
-
199.999999MHz
400
-
470MHz
R462
ERJ3GE
-
JPW
DDS UNIT (2)
CP152
1LO
J851
J151
R458
220
C982
0.001
C983
0.001
C998
0.001
C995
0.001
C997
0.001
C996
0.001
C994
0.001
C993
0.001
C992
0.001
C991
0.001
R507
82
R505
82
R506
82
R755
100
R756
56
R757
100
C841 0.001
C817
470p

6F No.68, Sec. 1 Cheng-Teh Road, Taipei, Taiwan, R.O.C.
Phone : +886 (02) 2559 1899 Fax : +886 (02) 2559 1874
URL : http://www.asia-icom.com
E-mail : sales@asia-icom.com
Zac de la Plaine, 1, Rue Brindejonc des Moulinais
BP 5804, 31505 Toulouse Cedex, France
Phone : +33 (5) 61 36 03 03 Fax : +33 (5) 61 36 03 00
URL : http://www.icom-france.com
E-mail : icom@icom-france.com
Unit 9, Sea St., Herne Bay, Kent, CT6 8LD, U.K.
Phone : +44 (01227) 741741 Fax : +44 (01227) 741742
URL : http://www.icomuk.co.uk
E-mail : info@icomuk.co.uk
Ctra. Rubi, 88, 08190, Sant Cugat del Valles, Barcelona, SPAIN
Phone : +34 (93) 590 26 70 Fax : +34 (93) 589 04 46
URL : http://www.icomspain.com
E-mail : icom@icomspain.com
<Corporate Headquarters>
2380 116th Avenue N.E., Bellevue, WA 98004, U.S.A.
Phone : +1 (425) 454-8155 Fax : +1 (425) 454-1509
URL : http://www.icomamerica.com
E-mail : sales@icomamerica.com
<Customer Service>
Phone : +1 (425) 454-7619
Glenwood Centre #150-6165
Highway 17 Delta, B.C., V4K 5B8, Canada
Phone : +1 (604) 952-4266 Fax : +1 (604) 952-0090
URL : http://www.icomcanada.com
E-mail : info@icomcanada.com
A.B.N. 88 006 092 575
Unit 1 / 103 Garden Road, Clayton VIC 3168 Australia
Phone : +61 (03) 9549-7500 Fax : +61 (03) 9549-7505
URL : http://www.icom.net.au
E-mail : sales@icom.net.au
146A Harris Road, East Tamaki,
Auckland, New Zealand
Phone : +64 (09) 274 4062 Fax : +64 (09) 274 4708
URL : http://www.icom.co.nz
E-mail : inquiries@icom.co.nz
Room C01, 10th Floor, Long Silver Mansion, No. 88,
Yong Ding Road, Haidian District, Beijing, 100039, China
Phone : +86 (010) 5889 4250 Fax : +86 (010) 5889 4250
URL : http://www.bjicom.com
E-mail : bjicom@bjicom.com
Sopot, 3 Maja 54 Poland
Phone : +48 (58) 550 7135 Fax : +48 (58) 551 0484
E-mail : icompolska@icompolska.com.pl
1-1-32, Kamiminami, Hirano-ku, Osaka 547-0003, Japan
Phone : +81 (06) 6793 5302
Fax : +81 (06) 6793 0013
URL : http://www.icom.co.jp/world/index.html
Communication Equipment
Himmelgeister Str. 100, D-40225 Dusseldorf, Germany
Phone : +49 (0211) 346047 Fax : +49 (0211) 333639
URL : http://www.icomeurope.com
E-mail : info@icomeurope.com

1-1-32, Kamiminami, Hirano-ku, Osaka 547-0003, Japan S-14214HZ-C1
© 2005 Icom Inc.