VU User’s Manual Users
User Manual: Pdf
Open the PDF directly: View PDF
.
Page Count: 368 [warning: Documents this large are best viewed by clicking the View PDF Link!]
- VU USER'S MANUAL
- About This Manual
- Changes Since Release of 5th Edition
- VU Overview
- Data/Calculation Basic Specifications
- Micro Mode
- Micro Mode Instruction Reference
- Micro Mode Instruction Set
- Upper Instruction Reference
- ABS : Absolute Value
- ADD : Add
- ADDi : Add to I Register
- ADDq : Add to Q Register
- ADDbc : Broadcast Add
- ADDA : Add; to Accumulator
- ADDAi : Add I Register; to Accumulator
- ADDAq : Add Q Register; to Accumulator
- ADDAbc : Broadcast Add; to Accumulator
- CLIP : Clipping Judgment
- FTOI0 : Convert to Fixed Point
- FTOI4 : Convert to Fixed Point
- FTOI12 : Convert to Fixed Point
- FTOI15 : Convert to Fixed Point
- ITOF0 : Convert to Floating-Point Number
- ITOF4 : Convert to Floating-Point Number
- ITOF12 : Convert to Floating-Point Number
- ITOF15 : Convert to Floating-Point Number
- MADD : Product Sum
- MADDi : Product Sum; with I Register
- MADDq : Product Sum; by Q Register
- MADDbc : Broadcast Product Sum
- MADDA : Product Sum; to Accumulator
- MADDAi : Product Sum; by I register, to Accumulator
- MADDAq : Product Sum; by Q Register, to Accumulator
- MADDAbc : Broadcast Product Sum; to Accumulator
- MAX : Maximum Value
- MAXi : Maximum Value
- MAXbc : Maximum Value
- MINI : Minimum Value
- MINIi : Minimum Value
- MINIbc : Minimum Value
- MSUB : Multiply and Subtract
- MSUBi : Multiply and Subtract; with I Register
- MSUBq : Multiply and Subtract; by Q Register
- MSUBbc : Broadcast Multiply and Subtract
- MSUBA : Multiply and Subtract; to Accumulator
- MSUBAi : Multiply and Subtract; with I Register, to Accumulator
- MSUBAq : Multiply and Subtract; by Q Register, to Accumulator
- MSUBAbc : Broadcast Multiply and Subtract; to Accumulator
- MUL : Multiply
- MULi : Multiply by I Register
- MULq : Multiply by Q Register
- MULbc : Multiply by Broadcast
- MULA : Multiply; to Accumulator
- MULAi : Multiply by I Register, to Accumulator
- MULAq : Multiply by Q Register, to Accumulator
- MULAbc : Broadcast Multiply by broadcast, to Accumulator
- NOP : No Operation
- OPMULA : Vector Outer Product
- OPMSUB : Vector Outer Product
- SUB : Subtract
- SUBi : Subtract I Register
- SUBq : Subtract Q Register
- SUBbc : Broadcast Subtract
- SUBA : Substract; to Accumulator
- SUBAi : Subtract I Register; to Accumulator
- SUBAq : Subtract Q Register; to Accumulator
- SUBAbc : Broadcast Subtract; to Accumulator
- Lower Instruction Reference
- B : Unconditional Branch
- BAL : Unconditional Branch with Saving Address
- DIV : Divide
- EATAN : Arctangent
- EATANxy : Arctangent
- EATANxz : Arctangent
- EEXP : Exponent
- ELENG : Length
- ERCPR : Reciprocal Number
- ERLENG : Reciprocal Number of Length
- ERSADD : Reciprocal Number
- ERSQRT : Reciprocal Number of Square Root
- ESADD : Sum of Square Numbers
- ESIN : Sine
- ESQRT : Square Root
- ESUM : Sum of Each Field
- FCAND : Test Clipping Flag
- FCEQ : Test Clipping Flag
- FCGET : Get Clipping Flag
- FCOR : Test Clipping Flag
- FCSET : Setting Clipping Flag
- FMAND : Test MAC Flag Check
- FMEQ : Test MAC Flag Check
- FMOR : Test MAC Flag Check
- FSAND : Test Status Flag Check
- FSEQ : Test Status Flag Check
- FSOR : Test Status Flag
- FSSET : Set Sticky Flags
- IADD : ADD Integer
- IADDI : Add Immediate Value Integer
- IADDIU : Add Immediate Integer
- IAND : Logical Product
- IBEQ : Conditional Branch
- IBGEZ : Conditional Branch
- IBGTZ : Conditional Branch
- IBLEZ : Conditional Branch
- IBLTZ : Conditional Branch
- IBNE : Conditional Branch
- ILW : Integer Load with Offset Specification
- ILWR : Integer Load
- IOR : Logical Sum
- ISUB : Integer Subtract
- ISUBIU : Immediate Value Integer Subtract
- ISW : Integer Store with Offset
- ISWR : Integer Store
- JALR : Unconditional Jump with Address Saving
- JR : Unconditional Jump
- LQ : Load Qword
- LQD : Load Qword with Pre-Decrement
- LQI : Load with Post-Increment
- MFIR : Move from Integer Register to Floating-Point Register
- MFP : Move from P Register to Floating-Point Register
- MOVE : Transfer between Floating-Point Registers
- MR32 : Move with Rotate
- MTIR : Move from Floating-Point Register to Integer Register
- RGET : Get Random Number
- RINIT : Random Number Intialize
- RNEXT : Next Random Number
- RSQRT : Square Root Division
- RXOR : Random Number Set
- SQ : Store Qword with Offset
- SQD : Store Qword with Pre-Decrement
- SQI : Store with Post-Increment
- SQRT : Square Root
- WAITP : P Register Syncronize
- WAITQ : Q Register Syncronize
- XGKICK : GIF Control
- XITOP : VIF Control
- XTOP : VIF Control
- Macro Mode
- Macro Mode Instruction Reference
- Macro Instruction Operation Code
- Macro Instruction Set
- BC2F : Branch on COP2 Conditional Signal
- BC2FL : Branch on COP2 Conditional Signal
- BC2T : Branch on COP2 Conditional Signal
- BC2TL : Branch on COP2 Conditional signal
- CFC2 : Transfer Integer Data from VU to EE Core
- CTC2 : Transfer Integer Data from EE Core to VU
- LQC2 : Floating-Point Data Transfer from EE Core to VU
- QMFC2 : Floating-Point Data Transfer from VU to EE Core
- QMTC2 : Floating-Point Data Transfer from EE Core to VU
- SQC2 : Floating-Point Data Transfer from VU to EE Core
- VABS : Absolute Value
- VADD : Add
- VADDi : Add to I Register
- VADDq : Add to Q Register
- VADDbc : Broadcast Add
- VADDA : Add to Accumulator
- VADDAi : Add I Register to Accumulator
- VADDAq : Add Q Register to Accumulator
- VADDAbc : Broadcast Add to Accumulator
- VCALLMS : Start Micro Sub-Routine
- VCALLMSR : Start Micro Sub-Routine by Register
- VCLIP : Clipping Judgment
- VDIV : Divide
- VFTOI0 : Conversion to Fixed Point
- VFTOI4 : Conversion to Fixed Point
- VFTOI12 : Conversion to Fixed Point
- VFTOI15 : Conversion to Fixed Point
- VIADD : Add Integer
- VIADDI : Add Immediate Value Integer
- VIAND : Logical Product
- VILWR : Integer Load
- VIOR : Logical Sum
- VISUB : Integer Subtract
- VISWR : Integer Store
- VITOF0 : Conversion to Floating-Point Number
- VITOF4 : Conversion to Floating-Point Number
- VITOF12 : Conversion to Floating-Point Number
- VITOF15 : Conversion to Floating-Point Number
- VLQD : Load with Pre-Decrement
- VLQI : Load with Post-Increment
- VMADD : Product Sum
- VMADDi : Product Sum; with I Register
- VMADDq : Product Sum; with Q Register
- VMADDbc : Broadcast Product Sum
- VMADDA : Product Sum; to Accumulator
- VMADDAi : Product Sum; with I Register, to Accumulator
- VMADDAq : Product Sum; with Q Register, to Accumulator
- VMADDAbc : Broadcast Product Sum; to Accumulator
- VMAX : Maximum Value
- VMAXi : Maximum Value
- VMAXbc : Maximum Value
- VMFIR : Transfer from Integer Register to Floating-Point Register
- VMINI : Minimum Value
- VMINIi : Minimum Value
- VMINIbc : Minimum Value
- VMOVE : Transfer between Floating-Point Registers
- VMR32 : Vector Rotate
- VMSUB : Multiply and Subtract
- VMSUBi : Multiply and Subtract with I Register
- VMSUBq : Multiply and Subtract; Q Register
- VMSUBbc : Broadcast Multiply and Subtract
- VMSUBA : Multiply and Subtract; to Accumulator
- VMSUBAi : Multiply and Subtract; with I Register, to Accumulator
- VMSUBAq : Multiply and Subtract; with Q Register, to Accumulator
- VMSUBAbc : Broadcast Multiply and Subtract; to Accumulator
- VMTIR : Transfer from Floating-Point Register to Integer Register
- VMUL : Multiply
- VMULi : Multiply; by I Register
- VMULq : Multiply; by Q Register
- VMULbc : Broadcast Multiply
- VMULA : Multiply; to Accumulator
- VMULAi : Multiply by I Register; to Accumulator
- VMULAq : Multiply by Q Register; to Accumulator
- VMULAbc : Broadcast Multiply; to Accumulator
- VNOP : No Operation
- VOPMULA : Vector Outer Product
- VOPMSUB : Vector Outer Product
- VRGET : Get Random Numbers
- VRINIT : Random Number Initial Set
- VRNEXT : New Random Numbers
- VRSQRT : Square Root Division
- VRXOR : Random Number Set
- VSQD : Store with Pre-Decrement
- VSQI : Store with Post-Increment
- VSQRT : Square Root
- VSUB : Subtract
- VSUBi : Subtract I Register
- VSUBq : Subtract Q Register
- VSUBbc : Broadcast Subtract
- VSUBA : Subtract; to Accumulator
- VSUBAi : Subtract I Register; to Accumulator
- VSUBAq : Subtract Q Register; to Accumulator
- VSUBAbc : Broadcast Subtract; to Accumulator
- VWAITQ : Q Register Synchronize
- Appendix

VU User's Manual
Copyright © 2002 Sony Computer Entertainment Inc.
All Rights Reserved.
SCE Confidential

SCE CONFIDENTIAL VU User's Manual Version 6.0
© SCEI
-2-
© 2002 Sony Computer Entertainment Inc.
Publication date: April 2002
Sony Computer Entertainment Inc.
1-1, Akasaka 7-chome, Minato-ku
Tokyo 107-0052 Japan
Sony Computer Entertainment America
919 East Hillsdale Blvd.
Foster City, CA 94404, U.S.A.
Sony Computer Entertainment Europe
30 Golden Square
London W1F 9LD, U.K.
The VU User’s Manual is supplied pursuant to and subject to the terms of the Sony Computer Entertainment
PlayStation® license agreements.
The VU User’s Manual is intended for distribution to and use by only Sony Computer Entertainment licensed
Developers and Publishers in accordance with the PlayStation® license agreements.
Unauthorized reproduction, distribution, lending, rental or disclosure to any third party, in whole or in part, of
this book is expressly prohibited by law and by the terms of the Sony Computer Entertainment PlayStation®
license agreements.
Ownership of the physical property of the book is retained by and reserved by Sony Computer Entertainment.
Alteration to or deletion, in whole or in part, of the book, its presentation, or its contents is prohibited.
The information in the VU User’s Manual is subject to change without notice. The content of this book is
Confidential Information of Sony Computer Entertainment.
® and PlayStation® are registered trademarks, and GRAPHICS SYNTHESIZERTM and
EMOTION ENGINETM are trademarks of Sony Computer Entertainment Inc. All other trademarks are property
of their respective owners and/or their licensors.

SCE CONFIDENTIAL VU User's Manual Version 6.0
© SCEI
-3-
About This Manual
The "VU User's Manual" describes the operational functions of the VPU (Vector Operation Unit) built into the
Emotion Engine. For information on data and microprogram transfers to the VPU, refer to the "EE User's
Manual".
- Chapter 1 "VU Overview" describes the configurations of the VPU and the VU (the core of the VPU), the
differences between the two VPUs (VPU0/VPU1) that are embedded, and the operation modes.
- Chapter 2 "Data/Calculation Basic Specifications" describes the numerical data formats used by the VU,
rounding-off operations in calculations, and exception specifications. Note that the description does not
fully conform to the requirements of the IEEE 754 standard.
- Chapter 3 "Micro Mode" describes the architecture and operation of micro mode, in which the VU operates
as a stand-alone processor.
- Chapter 4 "Micro Mode Instruction Reference" describes the individual micro mode instructions.
- Chapter 5 "Macro Mode" describes the architecture and operation of macro mode, in which VPU0 operates
as a coprocessor of the EE Core. This chapter also explains how to control VPU1 from the EE Core.
- Chapter 6 "Macro Mode Instruction Reference" describes the individual macro mode instructions.
- Chapter 7 "Appendix" gives other information, including sample micro programs.
Changes Since Release of 5th Edition
Since release of the 5th Edition of the VU User’s Manual, the following changes have been made.
Note that each of these changes is indicated by a revision bar in the margin of the affected page.
Ch. 1: VU Overview
• Information about the derivation of the M series polynomial was added to “RANDU” in section 1.1.2.
Lower Execution Unit, on page 17.
Ch. 3: Micro Mode
• A correction was made to the description following the figure in Section 3.4.9. XGKICK Pipeline, on
page 52.
Ch. 4: Micro Mode Instruction Reference
• A correction was made to the “Operation Code” figure in the EATANxz reference on page 134.
• A correction was made to “Example” in the IBGTZ reference on page 164.
• A correction was made to “Example” in the IBLEZ reference on page 165.
• A correction was made to “Example” in the IBLTZ reference on page 166.
• A correction was made to “Mnemonic” in the ISW reference on page 173.
• Information about the XGKIXK pipeline and XGKICK synchronization was added to “Remarks” in
the XGKICK reference on page 196.
• Information was added to “Operation” in the XITOP reference on page 197.
Ch. 6: Macro Mode Instruction Reference
• A correction was made to “Operation” in the QMTC2 reference on page 238.

SCE CONFIDENTIAL VU User's Manual Version 6.0
© SCEI
-4-
(This page is left blank intentionally)

SCE CONFIDENTIAL VU User's Manual Version 6.0
© SCEI
-5-
Glossary
Term Definition
EE Emotion Engine. CPU of the PlayStation 2.
EE Core Generalized computation and control unit of EE. Core of the CPU.
COP0 EE Core system control coprocessor.
COP1 EE Core floating-point operation coprocessor. Also referred to as FPU.
COP2 Vector operation unit coupled as a coprocessor of EE Core. VPU0.
GS Graphics Synthesizer.
Graphics processor connected to EE.
GIF EE Interface unit to GS.
IOP Processor connected to EE for controlling input/output devices.
SBUS Bus connecting EE to IOP.
VPU (VPU0/VPU1) Vector operation unit.
EE contains 2 VPUs: VPU0 and VPU1.
VU (VU0/VU1) VPU core operation unit.
VIF (VIF0/VIF1) VPU data decompression unit.
VIFcode Instruction code for VIF.
SPR Quick-access data memory built into EE Core (Scratchpad memory).
IPU EE Image processor unit.
word Unit of data length: 32 bits
qword Unit of data length: 128 bits
Slice Physical unit of DMA transfer: 8 qwords or less
Packet Data to be handled as a logical unit for transfer processing.
Transfer list A group of packets transferred in serial DMA transfer processing.
Tag Additional data indicating data size and other attributes of packets.
DMAtag Tag positioned first in DMA packet to indicate address/size of data and address
of the following packet.
GS primitive Data to indicate image elements such as point and triangle.
Context A set of drawing information (e.g. texture, distant fog color, and dither matrix)
applied to two or more primitives uniformly. Also referred to as the drawing
environment.
GIFtag Additional data to indicate attributes of GS primitives.
Display list A group of GS primitives to indicate batches of images.

SCE CONFIDENTIAL VU User's Manual Version 6.0
© SCEI
-6-
(This page is left blank intentionally)

SCE CONFIDENTIAL VU User's Manual Version 6.0
© SCEI
-7-
Contents
1. VU Overview .........................................................................................................................................................................15
1.1. VPU Structure ................................................................................................................................................................16
1.1.1. Upper Execution Unit ...........................................................................................................................................16
1.1.2. Lower Execution Unit ...........................................................................................................................................17
1.1.3. Floating-Point Registers ........................................................................................................................................18
1.1.4. Integer Register.......................................................................................................................................................18
1.1.5. VU Mem..................................................................................................................................................................18
1.1.6. Micro Mem..............................................................................................................................................................19
1.2. VU Execution Mode .....................................................................................................................................................20
1.3. VU Operation Status.....................................................................................................................................................21
1.3.1. Ready State ..............................................................................................................................................................21
1.3.2. Run State .................................................................................................................................................................21
1.3.3. Stop State.................................................................................................................................................................21
1.4. VU Usage........................................................................................................................................................................23
1.4.1. VU1 Usage Outline................................................................................................................................................23
1.4.2. VU0 Usage Outline................................................................................................................................................23
2. Data/Calculation Basic Specifications................................................................................................................................25
2.1. Data Format ................................................................................................................................................................... 26
2.1.1. Floating-Point Values ............................................................................................................................................26
2.1.2. Fixed-Point Values.................................................................................................................................................26
2.2. Rounding Off Floating-Point Values..........................................................................................................................27
2.3. Exception Processing ....................................................................................................................................................28
2.4. Differences from IEEE 754......................................................................................................................................... 29
3. Micro Mode............................................................................................................................................................................31
3.1. Micro Mode Register Set...............................................................................................................................................32
3.1.1. Floating-Point Registers ........................................................................................................................................32
3.1.2. Integer Registers.....................................................................................................................................................32
3.1.3. ACC Registers......................................................................................................................................................... 33
3.1.4. I Register..................................................................................................................................................................33
3.1.5. Q Register................................................................................................................................................................34
3.1.6. R Register ................................................................................................................................................................ 34
3.1.7. P Register................................................................................................................................................................. 34
3.2. Micro Instruction Set Overview .................................................................................................................................. 35
3.2.1. Upper Instructions ................................................................................................................................................. 35
3.2.2. Lower Instructions.................................................................................................................................................37
3.3. Flags................................................................................................................................................................................. 39
3.3.1. MAC Flags............................................................................................................................................................... 39
3.3.2. Status Flags (SF) .....................................................................................................................................................39
3.3.3. Clipping Flags (CF) ................................................................................................................................................ 40
3.3.4. Flag Set Instructions ..............................................................................................................................................40

SCE CONFIDENTIAL VU User's Manual Version 6.0
© SCEI
-8-
3.3.5. Flag Changes for Each Instruction.......................................................................................................................41
3.3.6. Flag Changes for Exception Occurrences...........................................................................................................41
3.4. Pipeline Operation .........................................................................................................................................................44
3.4.1. Hazards.....................................................................................................................................................................44
3.4.2. Upper Instruction and Lower Instruction...........................................................................................................44
3.4.3. Priority for Writing to a Register ..........................................................................................................................44
3.4.4. FMAC Pipeline........................................................................................................................................................45
3.4.5. FDIV Pipeline .........................................................................................................................................................46
3.4.6. EFU Pipeline ...........................................................................................................................................................48
3.4.7. IALU Pipeline .........................................................................................................................................................49
3.4.8. Conditional Branching and Pipeline.....................................................................................................................50
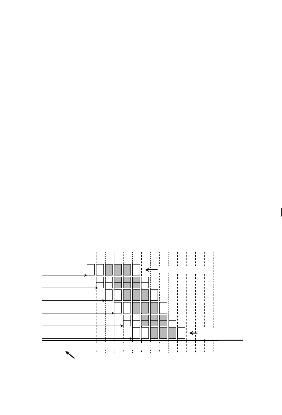
3.4.9. XGKICK Pipeline ..................................................................................................................................................52
3.5. Micro Subroutine Execution.........................................................................................................................................53
3.5.1. How to Execute a Micro Subroutine ...................................................................................................................53
3.5.2. How to Terminate a Micro Subroutine ...............................................................................................................53
3.5.3. Operation of Execution and Termination...........................................................................................................53
3.6. Other Functions .............................................................................................................................................................55
3.6.1. Data Transfer with VU Mem/Micro Mem .........................................................................................................55
3.6.2. Debug Support Function.......................................................................................................................................55
4. Micro Mode Instruction Reference .....................................................................................................................................57
4.1. Micro Mode Instruction Set..........................................................................................................................................58
4.1.1. Types of Upper Instruction...................................................................................................................................58
4.1.2. Types of Lower Instructions.................................................................................................................................59
4.1.3. Operation Fields for Micro Instructions .............................................................................................................61
4.2. Upper Instruction Reference ........................................................................................................................................65
ABS : Absolute Value...................................................................................................................................................66
ADD : Add....................................................................................................................................................................67
ADDi : Add to I Register ............................................................................................................................................68
ADDq : Add to Q Register .........................................................................................................................................69
ADDbc : Broadcast Add .............................................................................................................................................70
ADDA : Add; to Accumulator ...................................................................................................................................71
ADDAi : Add I Register; to Accumulator.................................................................................................................72
ADDAq : Add Q Register; to Accumulator .............................................................................................................73
ADDAbc : Broadcast Add; to Accumulator.............................................................................................................74
CLIP : Clipping Judgment ...........................................................................................................................................75
FTOI0 : Convert to Fixed Point.................................................................................................................................77
FTOI4 : Convert to Fixed Point.................................................................................................................................78
FTOI12 : Convert to Fixed Point ..............................................................................................................................79
FTOI15 : Convert to Fixed Point ..............................................................................................................................80
ITOF0 : Convert to Floating-Point Number............................................................................................................81
ITOF4 : Convert to Floating-Point Number............................................................................................................82
ITOF12 : Convert to Floating-Point Number..........................................................................................................83
ITOF15 : Convert to Floating-Point Number..........................................................................................................84
MADD : Product Sum.................................................................................................................................................85
MADDi : Product Sum; with I Register ....................................................................................................................86
MADDq : Product Sum; by Q Register.....................................................................................................................87

SCE CONFIDENTIAL VU User's Manual Version 6.0
© SCEI
-9-
MADDbc : Broadcast Product Sum..........................................................................................................................88
MADDA : Product Sum; to Accumulator................................................................................................................ 89
MADDAi : Product Sum
;
by I register, to Accumulator ........................................................................................90
MADDAq : Product Sum; by Q Register, to Accumulator.................................................................................... 91
MADDAbc : Broadcast Product Sum; to Accumulator ......................................................................................... 92
MAX : Maximum Value ..............................................................................................................................................93
MAXi : Maximum Value.............................................................................................................................................94
MAXbc : Maximum Value .......................................................................................................................................... 95
MINI : Minimum Value .............................................................................................................................................. 96
MINIi : Minimum Value .............................................................................................................................................97
MINIbc : Minimum Value .......................................................................................................................................... 98
MSUB : Multiply and Subtract.................................................................................................................................... 99
MSUBi : Multiply and Subtract; with I Register.....................................................................................................100
MSUBq : Multiply and Subtract; by Q Register .....................................................................................................101
MSUBbc : Broadcast Multiply and Subtract........................................................................................................... 102
MSUBA : Multiply and Subtract; to Accumulator.................................................................................................103
MSUBAi : Multiply and Subtract; with I Register, to Accumulator ....................................................................104
MSUBAq : Multiply and Subtract; by Q Register, to Accumulator.....................................................................105
MSUBAbc : Broadcast Multiply and Subtract; to Accumulator ..........................................................................106
MUL : Multiply...........................................................................................................................................................107
MULi : Multiply by I Register...................................................................................................................................108
MULq : Multiply by Q Register................................................................................................................................109
MULbc : Multiply by Broadcast ...............................................................................................................................110
MULA : Multiply; to Accumulator ..........................................................................................................................111
MULAi : Multiply by I Register, to Accumulator ..................................................................................................112
MULAq : Multiply by Q Register, to Accumulator ...............................................................................................113
MULAbc : Broadcast Multiply by broadcast, to Accumulator.............................................................................114
NOP : No Operation.................................................................................................................................................115
OPMULA : Vector Outer Product..........................................................................................................................116
OPMSUB : Vector Outer Product...........................................................................................................................117
SUB : Subtract ............................................................................................................................................................118
SUBi : Subtract I Register..........................................................................................................................................119
SUBq : Subtract Q Register ......................................................................................................................................120
SUBbc : Broadcast Subtract......................................................................................................................................121
SUBA : Substract; to Accumulator ..........................................................................................................................122
SUBAi : Subtract I Register; to Accumulator.........................................................................................................123
SUBAq : Subtract Q Register; to Accumulator......................................................................................................124
SUBAbc : Broadcast Subtract; to Accumulator .....................................................................................................125
4.3. Lower Instruction Reference......................................................................................................................................126
B : Unconditional Branch..........................................................................................................................................127
BAL : Unconditional Branch with Saving Address ...............................................................................................128
DIV : Divide ............................................................................................................................................................... 129
EATAN : Arctangent ................................................................................................................................................130
EATANxy : Arctangent ............................................................................................................................................132
EATANxz : Arctangent ............................................................................................................................................134
EEXP : Exponent......................................................................................................................................................136

SCE CONFIDENTIAL VU User's Manual Version 6.0
© SCEI
-10-
ELENG : Length....................................................................................................................................................... 137
ERCPR : Reciprocal Number .................................................................................................................................. 138
ERLENG : Reciprocal Number of Length............................................................................................................ 139
ERSADD : Reciprocal Number .............................................................................................................................. 140
ERSQRT : Reciprocal Number of Square Root.................................................................................................... 141
ESADD : Sum of Square Numbers ........................................................................................................................ 142
ESIN : Sine................................................................................................................................................................. 143
ESQRT : Square Root............................................................................................................................................... 144
ESUM : Sum of Each Field...................................................................................................................................... 145
FCAND : Test Clipping Flag................................................................................................................................... 146
FCEQ : Test Clipping Flag....................................................................................................................................... 147
FCGET : Get Clipping Flag..................................................................................................................................... 148
FCOR : Test Clipping Flag....................................................................................................................................... 149
FCSET : Setting Clipping Flag................................................................................................................................. 150
FMAND : Test MAC Flag Check ........................................................................................................................... 151
FMEQ : Test MAC Flag Check............................................................................................................................... 152
FMOR : Test MAC Flag Check............................................................................................................................... 153
FSAND : Test Status Flag Check............................................................................................................................ 154
FSEQ : Test Status Flag Check................................................................................................................................ 155
FSOR : Test Status Flag............................................................................................................................................ 156
FSSET : Set Sticky Flags........................................................................................................................................... 157
IADD : ADD Integer ............................................................................................................................................... 158
IADDI : Add Immediate Value Integer ................................................................................................................. 159
IADDIU : Add Immediate Integer ......................................................................................................................... 160
IAND : Logical Product ........................................................................................................................................... 161
IBEQ : Conditional Branch...................................................................................................................................... 162
IBGEZ : Conditional Branch................................................................................................................................... 163
IBGTZ : Conditional Branch................................................................................................................................... 164
IBLEZ : Conditional Branch ................................................................................................................................... 165
IBLTZ : Conditional Branch.................................................................................................................................... 166
IBNE : Conditional Branch...................................................................................................................................... 167
ILW : Integer Load with Offset Specification ....................................................................................................... 168
ILWR : Integer Load................................................................................................................................................. 169
IOR : Logical Sum ..................................................................................................................................................... 170
ISUB : Integer Subtract............................................................................................................................................. 171
ISUBIU : Immediate Value Integer Subtract......................................................................................................... 172
ISW : Integer Store with Offset............................................................................................................................... 173
ISWR : Integer Store ................................................................................................................................................. 174
JALR : Unconditional Jump with Address Saving ................................................................................................ 175
JR : Unconditional Jump........................................................................................................................................... 176
LQ : Load Qword...................................................................................................................................................... 177
LQD : Load Qword with Pre-Decrement.............................................................................................................. 178
LQI : Load with Post-Increment............................................................................................................................. 179
MFIR : Move from Integer Register to Floating-Point Register......................................................................... 180
MFP : Move from P Register to Floating-Point Register..................................................................................... 181
MOVE : Transfer between Floating-Point Registers............................................................................................ 182

SCE CONFIDENTIAL VU User's Manual Version 6.0
© SCEI
-11-
MR32 : Move with Rotate.........................................................................................................................................183
MTIR : Move from Floating-Point Register to Integer Register .........................................................................184
RGET : Get Random Number ................................................................................................................................185
RINIT : Random Number Intialize.........................................................................................................................186
RNEXT : Next Random Number ...........................................................................................................................187
RSQRT : Square Root Division ...............................................................................................................................188
RXOR : Random Number Set .................................................................................................................................189
SQ : Store Qword with Offset .................................................................................................................................190
SQD : Store Qword with Pre-Decrement ..............................................................................................................191
SQI : Store with Post-Increment..............................................................................................................................192
SQRT : Square Root ..................................................................................................................................................193
WAITP : P Register Syncronize ...............................................................................................................................194
WAITQ : Q Register Syncronize .............................................................................................................................195
XGKICK : GIF Control...........................................................................................................................................196
XITOP : VIF Control................................................................................................................................................196
XTOP : VIF Control .................................................................................................................................................198
5. Macro Mode.........................................................................................................................................................................199
5.1. Macro Mode Register Set............................................................................................................................................200
5.1.1. Floating-Point Registers ......................................................................................................................................200
5.1.2. Integer Registers...................................................................................................................................................200
5.1.3. Control Registers..................................................................................................................................................200
5.1.4. Special Registers ...................................................................................................................................................205
5.2. Macro Instruction Set Overview................................................................................................................................206
5.2.1. MIPS COP2 Instructions ....................................................................................................................................206
5.2.2. Coprocessor Transfer Instructions ....................................................................................................................206
5.2.3. Coprocessor Branch Instructions ......................................................................................................................206
5.2.4. Coprocessor Calculation Instructions ...............................................................................................................206
5.2.5. Micro Subroutine Execution Instructions ........................................................................................................208
5.3. Flags............................................................................................................................................................................... 209
5.4. Macro Mode Pipeline ..................................................................................................................................................210
5.4.1. Pipeline Structure of Macroinstructions............................................................................................................210
5.4.2. Hazards in Macro Mode......................................................................................................................................210
5.4.3. Macroinstruction Operation ...............................................................................................................................211
5.4.4. Operation when Transferring Data with EE Core..........................................................................................211
5.4.5. Operation when Executing a Micro Subroutine ..............................................................................................215
5.4.6. Micro Subroutine and Data Transfer Operations............................................................................................216
5.4.7. Q Register Synchronization ................................................................................................................................218
5.4.8. Notes on Other Pipeline Operations.................................................................................................................218
5.5. VU1 Control.................................................................................................................................................................220
5.5.1. MIPS COP2 Condition Signal............................................................................................................................220
5.5.2. MIPS COP2 Control Register ............................................................................................................................220
5.5.3. Floating-Point Registers ......................................................................................................................................221
5.5.4. Integer Registers...................................................................................................................................................222
5.5.5. Control Registers..................................................................................................................................................222
6. Macro Mode Instruction Reference..................................................................................................................................225
6.1. Macro Instruction Operation Code...........................................................................................................................226

SCE CONFIDENTIAL VU User's Manual Version 6.0
© SCEI
-12-
6.1.1. Macro Instruction Operation Type ................................................................................................................... 226
6.1.2. Macro Instruction Operation Field ................................................................................................................... 227
6.2. Macro Instruction Set ................................................................................................................................................. 229
BC2F : Branch on COP2 Conditional Signal......................................................................................................... 230
BC2FL : Branch on COP2 Conditional Signal...................................................................................................... 231
BC2T : Branch on COP2 Conditional Signal ........................................................................................................ 232
BC2TL : Branch on COP2 Conditional signal ...................................................................................................... 233
CFC2 : Transfer Integer Data from VU to EE Core ........................................................................................... 234
CTC2 : Transfer Integer Data from EE Core to VU ........................................................................................... 235
LQC2 : Floating-Point Data Transfer from EE Core to VU.............................................................................. 236
QMFC2 :
Floating-Point Data Transfer from VU to EE Core........................................................................... 237
QMTC2 :
Floating-Point Data Transfer from EE Core to VU .......................................................................... 238
SQC2 :
Floating-Point Data Transfer from VU to EE Core............................................................................... 239
VABS : Absolute Value............................................................................................................................................. 240
VADD : Add.............................................................................................................................................................. 241
VADDi : Add to I Register ...................................................................................................................................... 242
VADDq : Add to Q Register ................................................................................................................................... 243
VADDbc : Broadcast Add ....................................................................................................................................... 244
VADDA : Add to Accumulator .............................................................................................................................. 245
VADDAi : Add I Register to Accumulator ........................................................................................................... 246
VADDAq : Add Q Register to Accumulator ........................................................................................................ 247
VADDAbc : Broadcast Add to Accumulator........................................................................................................ 248
VCALLMS : Start Micro Sub-Routine.................................................................................................................... 249
VCALLMSR : Start Micro Sub-Routine by Register............................................................................................. 250
VCLIP : Clipping Judgment..................................................................................................................................... 251
VDIV : Divide............................................................................................................................................................ 252
VFTOI0 : Conversion to Fixed Point..................................................................................................................... 253
VFTOI4 : Conversion to Fixed Point..................................................................................................................... 254
VFTOI12 : Conversion to Fixed Point .................................................................................................................. 255
VFTOI15 : Conversion to Fixed Point .................................................................................................................. 256
VIADD : Add Integer............................................................................................................................................... 257
VIADDI : Add Immediate Value Integer .............................................................................................................. 258
VIAND : Logical Product ........................................................................................................................................ 259
VILWR : Integer Load.............................................................................................................................................. 260
VIOR : Logical Sum.................................................................................................................................................. 261
VISUB : Integer Subtract.......................................................................................................................................... 262
VISWR : Integer Store .............................................................................................................................................. 263
VITOF0 : Conversion to Floating-Point Number................................................................................................ 264
VITOF4 : Conversion to Floating-Point Number................................................................................................ 265
VITOF12 : Conversion to Floating-Point Number.............................................................................................. 266
VITOF15 : Conversion to Floating-Point Number.............................................................................................. 267
VLQD : Load with Pre-Decrement ........................................................................................................................ 268
VLQI : Load with Post-Increment.......................................................................................................................... 269
VMADD : Product Sum........................................................................................................................................... 270
VMADDi : Product Sum; with I Register .............................................................................................................. 271
VMADDq : Product Sum; with Q Register........................................................................................................... 272

SCE CONFIDENTIAL VU User's Manual Version 6.0
© SCEI
-13-
VMADDbc : Broadcast Product Sum.....................................................................................................................273
VMADDA : Product Sum; to Accumulator...........................................................................................................274
VMADDAi : Product Sum; with I Register, to Accumulator..............................................................................275
VMADDAq : Product Sum; with Q Register, to Accumulator ...........................................................................276
VMADDAbc : Broadcast Product Sum; to Accumulator ....................................................................................277
VMAX : Maximum Value .........................................................................................................................................278
VMAXi : Maximum Value........................................................................................................................................279
VMAXbc : Maximum Value.....................................................................................................................................280
VMFIR : Transfer from Integer Register to Floating-Point Register..................................................................281
VMINI : Minimum Value .........................................................................................................................................282
VMINIi : Minimum Value ........................................................................................................................................283
VMINIbc : Minimum Value.....................................................................................................................................284
VMOVE : Transfer between Floating-Point Registers.........................................................................................285
VMR32 : Vector Rotate.............................................................................................................................................286
VMSUB : Multiply and Subtract ..............................................................................................................................287
VMSUBi : Multiply and Subtract with I Register...................................................................................................288
VMSUBq : Multiply and Subtract; Q Register........................................................................................................289
VMSUBbc : Broadcast Multiply and Subtract........................................................................................................290
VMSUBA : Multiply and Subtract; to Accumulator..............................................................................................291
VMSUBAi : Multiply and Subtract; with I Register, to Accumulator .................................................................292
VMSUBAq : Multiply and Subtract; with Q Register, to Accumulator ..............................................................293
VMSUBAbc : Broadcast Multiply and Subtract; to Accumulator .......................................................................294
VMTIR : Transfer from Floating-Point Register to Integer Register .................................................................295
VMUL : Multiply........................................................................................................................................................296
VMULi : Multiply; by I Register...............................................................................................................................297
VMULq : Multiply; by Q Register............................................................................................................................298
VMULbc : Broadcast Multiply .................................................................................................................................299
VMULA : Multiply; to Accumulator .......................................................................................................................300
VMULAi : Multiply by I Register; to Accumulator ...............................................................................................301
VMULAq : Multiply by Q Register; to Accumulator ............................................................................................302
VMULAbc : Broadcast Multiply; to Accumulator.................................................................................................303
VNOP : No Operation..............................................................................................................................................304
VOPMULA : Vector Outer Product.......................................................................................................................305
VOPMSUB : Vector Outer Product........................................................................................................................306
VRGET : Get Random Numbers............................................................................................................................307
VRINIT : Random Number Initial Set...................................................................................................................308
VRNEXT : New Random Numbers.......................................................................................................................309
VRSQRT : Square Root Division ............................................................................................................................310
VRXOR : Random Number Set ..............................................................................................................................311
VSQD : Store with Pre-Decrement.........................................................................................................................312
VSQI : Store with Post-Increment ..........................................................................................................................313
VSQRT : Square Root ...............................................................................................................................................314
VSUB : Subtract .........................................................................................................................................................315
VSUBi : Subtract I Register ......................................................................................................................................316
VSUBq : Subtract Q Register ...................................................................................................................................317
VSUBbc : Broadcast Subtract...................................................................................................................................318

SCE CONFIDENTIAL VU User's Manual Version 6.0
© SCEI
-14-
VSUBA : Subtract; to Accumulator ........................................................................................................................ 319
VSUBAi : Subtract I Register; to Accumulator ..................................................................................................... 320
VSUBAq : Subtract Q Register; to Accumulator .................................................................................................. 321
VSUBAbc : Broadcast Subtract; to Accumulator.................................................................................................. 322
VWAITQ : Q Register Synchronize ....................................................................................................................... 323
7. Appendix.............................................................................................................................................................................. 325
7.1. Sample Micro Programs ............................................................................................................................................. 326
7.2. EFU Processing........................................................................................................................................................... 353
7.3. Micro Subroutine Debugging .................................................................................................................................... 362
7.3.1. Debug Flow.......................................................................................................................................................... 362
7.3.2. Notes on Re-execution........................................................................................................................................ 363
7.4. Throughput / Latency List ........................................................................................................................................ 365

SCE CONFIDENTIAL VU User's Manual Version 6.0
© SCEI
-15-
1. VU Overview
The VU is a vector ALU that efficiently performs four-element floating-point vector calculations. It is part of
the VPU, along with the VU Mem (VU Data Memory) and the VIF (compressed data expansion engine).
Two VPUs are mounted on the EE as shown in Figure 1-1.
Main Memory
GIF
EE
core
VIF0
VU0
Micro Mem0
4KByte
VU Mem0
4KByte
VUcore
VU regs.
VPU0
VIF1
VU1
Micro Mem1
16KByte
VU Mem1
16KByte
VUcore
VU regs
.
VPU1
EFU
Figure 1-1 VPU System Outline
VU0 is joined to the EE Core as COP2 via a coprocessor connection. It assists the EE Core in non-stationary
geometry processing. It has a 4-Kbyte instruction memory (MicroMem0) and a 4-Kbyte data memory (VU
Mem0).
VU1 operates independently, and is chiefly in charge of background stationary geometry processing. VU1 has
an Elementary Function Unit (EFU), as well as a 16-Kbyte instruction memory (MicroMem1) and a 16-Kbyte
data memory (VU Mem1). VU1 is also connected to the GIF (the interface unit to the Graphics Synthesizer),
and the GIF control instruction (XGKICK instruction) is mounted. VU1's floating-point and integer registers
are mapped to VPU0's VU Mem0.

SCE CONFIDENTIAL VU User's Manual Version 6.0
© SCEI
-16-
1.1. VPU Structure
Figure 1-2 is a block diagram of the VPU including the VU.
Micro Mem
4KByte or 16KByte
Upper Instruction Lower Instruction
63 0
64
32 32
bold line : 128 bit
Micro instruction fetch unit
FMACw
FMACz
FMACy
FMACx
Upper Execution Unit
RANDU/etc
LSU
IALU
EFU
Lower Execution Unit
floating
registers
VF00-VF31
(COP2 data registers)
127 0
BRU
VU Mem
4KByte or 16KByte
integer
registers
VI00`VI15
16
16
16
QMTC2
/ LQC2
QMFC2
/ SQC2
CTC2
32
CFC2
32
special
registers
VI16`VI31
COP2
control
registers
External Units
Vector Unit :VU
Vector Processing Unit:VPU
FDIV
VIF
Figure 1-2 VU Outline Block Diagram
The VPU consists of the VU, VU Mem (VU Data Memory), and the VIF (compressed data expansion engine).
The VU loads data in 128-bit units (single-precision floating-point number x 4) from the VU Mem, performs
calculations according to micro programs in the VU's internal MicroMem, and stores the results in the VU Mem.
The VU Mem may be used as a temporary area depending on the micro program.
Micro programs employ 64-bit length LIW (Long Instruction Word) instruction sets. They can concurrently
execute a floating-point product-sum calculation in the upper 32 bits (the Upper instruction field) and a floating-
point division or integer calculation in the lower 32 bits (the Lower instruction field).
There are 32 128-bit floating-point registers (single-precision floating-point x 4). There are 16 16-bit integer
registers.
1.1.1. Upper Execution Unit
FMAC
This unit adds, subtracts, multiplies, and does product-sum operations on floating-point numbers. Four
units are mounted in order to efficiently execute four-element vector calculations: FMACx, FMACy,
FMACz, and FMACw. To increase the efficiency of pipeline processing, the latency of the instructions that
use the FMAC has been unified at four cycles.

SCE CONFIDENTIAL VU User's Manual Version 6.0
© SCEI
-17-
1.1.2. Lower Execution Unit
FDIV
This unit performs self-synchronous high-speed floating-point division/square root calculations. It uses a
single-precision floating-point value as input, then stores the calculation result in the dedicated Q register.
The next FDIV instruction cannot be executed while the FDIV is executing. The FDIV stalls if this is
attempted.
LSU
This unit controls Load/Store to and from VU Mem.
Load/Store must be performed in units of 128 bits, but the x, y, z, and w field units can be masked.
There are two ways of specifying addresses. The first specifies a base (Integer) register and offsets in the
operation code field. The second specifies the base register only, not the offsets, and performs post-
incrementing or pre-decrementing. Incrementing/Decrementing is +1/-1 in 128-bit word address units.
IALU
This unit performs 16-bit integer calculations.
Loop counter calculation and Load/Store address calculation are performed using the Integer registers.
BRU
This unit controls jumping and conditional branching.
Most instructions specify PC-relative addresses for the jump target address. The offset is specified by an 11-
bit immediate value, so it is possible to jump within a range of 8 Kbytes before and after the PC. The JR and
JALR instructions are register indirect jump instructions, which use the data in a register as an absolute
address.
Conditional branching is performed by a comparison with one or two Integer registers. When doing
conditional branching based on the results of floating-point calculations, the results of the AND operation
with the MAC flag, status flag, or clipping flag and the appropriate mask value are temporarily stored in an
Integer register. Branching is performed by comparing with this register.
RANDU
This unit generates floating-point random numbers in the range +1.0<r<+2.0. Using the M series, the
mantissa is created from the type that the user specified. Due to a feature of the M series, +1.0 does not
appear in the random numbers. When 0 is specified as the type, only +1.0 is created, not a random number.
This M series is represented by the following polynomial:
p(x) = x23 + x5 + 1
EFU
This is the Elementary Function Unit, which performs calculations such as exponential, logarithmic, and
trigonometric functions. This unit is mounted only on VU1.
The EFU uses a scalar value (a single floating-point value) or vector value (four floating-point values) as
input, then stores the scalar value from the calculation result in the dedicated P register. Calculation latency
varies for each function. The next EFU instruction cannot be executed while the EFU is executing. The
EFU stalls if this is attempted.

SCE CONFIDENTIAL VU User's Manual Version 6.0
© SCEI
-18-
1.1.3. Floating-Point Registers
The VU has 32 128-bit floating-point registers (VF00 – VF31), which are equivalent to four single-precision
floating-point values each. For a product-sum calculation, two 128-bit registers can be specified as source
registers and one 128-bit register can be specified as the destination register.
1.1.4. Integer Register
The VU has sixteen 16-bit Integer registers (VI00 – VI15). These registers are used for loop counters and
load/store address calculations.
1.1.5. VU Mem
The VU data memory capacity is 4 Kbytes for VU0, and 16 Kbytes for VU1. This memory is connected to the
LSU (Load/Store Unit) at a width of 128 bits, and the address is qword (16 bytes) aligned. The effective data
address must be divisible by 16: the address divided by 16 is specified in some instructions.
Address
0x0000 w z y x
0x0010 w z y x
:
:
0x0ff0 w z y x
:
Mounted on VU1 only
:
0x3ff0 w z y x
Furthermore, VU1 registers are mapped to addresses 0x4000 to 0x43ff in VU0.

SCE CONFIDENTIAL VU User's Manual Version 6.0
© SCEI
-19-
1.1.6. Micro Mem
This on-chip memory stores 64-bit length LIW (Long Instruction Word) microinstructions. The capacity is 4
Kbytes for VU0, and 16 Kbytes for VU1.
Since the instruction length is 64 bits, instruction addresses must be divisible by 8. The address divided by 8 is
specified in branches and other instructions.
Address
0x0000 Upper Lower
0x0008 Upper Lower
:
:
0x0ff8 Upper Lower
:
Mounted on VU1 only
:
0x3ff8 Upper Lower

SCE CONFIDENTIAL VU User's Manual Version 6.0
© SCEI
-20-
1.2. VU Execution Mode
There are two VU execution modes: micro mode and macro mode.
In micro mode, the VU functions as a stand-alone processor. It executes microinstruction programs stored in
Micro Mem. VU1 operates in this mode.
In macro mode, the VU functions as COP2 (Coprocessor 2) of the EE Core. VU0 chiefly operates in this
mode.
Macroinstructions lack some of the microinstruction-equivalent functions. Upper instructions and Lower
instructions cannot be executed simultaneously in macroinstructions. However, it is possible to execute
CALLMS instructions, which execute microinstruction programs in MicroMem as subroutines, and COP2 data
transfer instructions, which transfer data to and from a VU register.
Micro mode (VU1/VU0) Macro mode (VU0)
Operation Operates as a stand-alone processor Operates as a coprocessor of EE Core.
Operation code 64-bit long LIW instructions 32-bit MIPS COP2 instructions
Instruction set
Upper instruction+
Lower instruction
(Can be specified simultaneously)
EFU instructions (VU1 only)
External unit control instructions
(VU1 only)
Upper instruction
Lower instruction (partial)
VCALLMS, VCALLMSR
COP2 transfer instructions
Total instruction
count
127 instructions 90 instructions
EFU Is usable as an option (VU1 only) Is not supported
Registers Floating-point registers: 32 x 128 bits
Integer registers: 16
Special registers: ACC, I, Q, R (,P)
Floating-point registers: 32 x 128 bits
Integer registers: 16
Special registers: ACC, I, Q, R
Control registers: 16

SCE CONFIDENTIAL VU User's Manual Version 6.0
© SCEI
-21-
1.3. VU Operation Status
The VU has three operation states: Ready, Run, and Stop. The following sections explain these states and their
transitions to other states. See also "5.1.3. Control Registers" for information regarding state transitions.
1.3.1. Ready State
The Ready state is a stand-by state. When power is turned on, the VU goes into the Ready state, and receives
micro subroutine start-up, macroinstructions, and coprocessor transfer instructions from the EE Core. The VU
can also receive micro program start-up from the VIF.
The VU shifts from the Ready state to the Run state when a micro subroutine is started or a macroinstruction is
executed. On reset, the control register is initialized and the VU goes into the Ready state again.
The VU enters the Stop state if a ForceBreak occurs.
1.3.2. Run State
The Run state is an execution state. In this state, the VU cannot receive micro subroutine start-up nor
macroinstructions from the EE Core. If it does, the EE Core stalls. A coprocessor transfer instruction may or
may not stall, according to the user specification.
The VU shifts from the Run state to the Ready state at micro subroutine E bit termination or macroinstruction
execution termination. The VU shifts to the Stop state when a D bit halt, T bit halt, or ForceBreak occurs
during execution of a micro subroutine.
1.3.3. Stop State
The Stop state is used for debugging. In this state, the VU can receive micro subroutine start-up and
coprocessor transfer instructions from the EE Core. Operation is indeterminate if a macroinstruction is
executed. The VU cannot receive micro program start-up from the VIF.
The VU shifts from the Stop state to the Run state when the VCALLMS or VCALLMSR instruction is
executed, or the CMSAR1 register is written to. The control register is initialized by resetting, then the VU
enters the Ready state. There is no status shift with a ForceBreak.
From the point of view of the VIF, there is no difference between the Run state and the Stop state.

SCE CONFIDENTIAL VU User's Manual Version 6.0
© SCEI
-22-
Ready
Run Stop
VCALLMS
VCALLMSR
Writing to CMSAR1(VI31)
D bit
T bit
ForceBreak
Reset
ForceBreak
E bit
Macro calculation instruction end
Reset
VCALLMS
VCALLMSR
Micro subroutine start from VIF
Writing to CMSAR1(VI31)
Macroinstruction execution
Power-on
Reset
ForceBreak
Figure 1-3 VU Status Shift

SCE CONFIDENTIAL VU User's Manual Version 6.0
© SCEI
-23-
1.4. VU Usage
This section briefly explains VU usage from the point of view of the EE Core. For details, see the document
"EE User's Manual".
1.4.1. VU1 Usage Outline
VU1 performs independently of the EE Core, as a preprocessor of the GS. For this reason, it has a unique on-
chip data memory (VU Mem1) and instruction memory (MicroMem1), and is directly connected to the GS via
the GIF.
Microinstruction programs executed in VU1 are DMA-transferred from main memory to MicroMem1 via VIF1.
Data required by VU1 is transferred to VU Mem1 via VIF1.
Two methods are used to start the microinstruction programs transferred to VU1:
1) Write the execution address to the control register (CMSAR1).
2) Specify the execution address by the VIFcode (MSCAL/MSCALF).
1) is used when returning from the Stop state and 2) is used in ordinary cases.
1.4.2. VU0 Usage Outline
Since VU0 is joined to the EE Core via a coprocessor connection, the VU0 resources can be controlled directly
by EE Core instructions (Macro mode).
By transferring a microinstruction program to VU0 on-chip instruction memory (MicroMem0) in the same way
as VU1, VU0 can be activated as a micro subroutine (Micro Mode).
MicroMem0 and VUMem0 are accessible by EE Core instructions and via VIF0 in the same way as VU1.
Two methods are used to start microinstruction programs in VU0:
1) Execute VCALLMS/VCALLMSR instruction.
2) Specify the execution address by the VIFcode (MSCAL/MSCALF).

SCE CONFIDENTIAL VU User's Manual Version 6.0
© SCEI
-24-
(This page is left blank intentionally)

SCE CONFIDENTIAL VU User's Manual Version 6.0
© SCEI
-25-
2. Data/Calculation Basic Specifications

SCE CONFIDENTIAL VU User's Manual Version 6.0
© SCEI
-26-
2.1. Data Format
Data used by the VU consists of single-precision floating-point values based on IEEE 754 and four types of 32-
bit fixed-point values. The formats are explained below.
2.1.1. Floating-Point Values
Only single-precision (32-bit) floating-point values are supported. The bit fields comply with IEEE 754 as
follows:
31 30 29 28 27 26 25 24 23 22 21 20 19 18 17 16 15 14 13 12 11 10 09 08 07 06 05 04 03 02 01 00
S E F
1 8 bits 23 bits
Sign S: 1 bit
Exponents E: 8 bits Biased exponent for bias value 127
Mantissa F: 23 bits Excluding hidden bits
The actual mantissa adds 1 hidden bit to the beginning, becoming 1.F. The normalized value is
(-1)S x 1.F x 2(E-127) and zero is E = (F =) 0. The VU does not support non-numeric, infinity, and non-
normalized values based on IEEE 754. See the table below.
Exponent E Mantissa F Value with IEEE 754 Value with VU
255 Other than 0 Non numeric x 2(+128)
255 0 +/- infinity x 2(+128)
254 x 2(+127) x 2(+127)
::: ::: :::
128 x 2(+1) x 2(+1)
127 x 2(+0) x 2(+0)
::: ::: :::
1
Normalization
count
(-1)S x 1.F
x 2(-126)
Normalization
count
(-1)S x 1.F
x 2(-126)
0 Other than 0 Non-normalized value 0
0 0 0 0
2.1.2. Fixed-Point Values
The VU supports four formats of 32-bit fixed-point values. The formats specify the number of bits to the right
of the decimal point: 0 bit, 4 bits, 12 bits, and 15 bits. 2's complement expressions are used for negative
numbers.
Format Range of values Expression precision
0-bit fixed point +2147483647 – -2147483648 1
4-bit fixed point +134217720 – -134217720 0.0625
12-bit fixed point +524287.96875 – -524287.96875 0.000244140625
15-bit fixed point +65535.99609375 – -65535.99609375 0.000030517578125

SCE CONFIDENTIAL VU User's Manual Version 6.0
© SCEI
-27-
2.2. Rounding Off Floating-Point Values
When calculating floating-point values and converting them to and from fixed-point values, rounding off is
performed as follows:
• Calculation
A 24-bit calculation including hidden bits is performed, and the result is truncated. The rounding-off
operation in IEEE 754 is performed in the 0 direction, so the values for the least significant bit may vary.
• Conversion to fixed point
When converting from floating point to fixed point, truncation is made in the 0 direction.
• Conversion from fixed point
When converting from fixed point to floating point, truncation is made in the 0 direction. If the valid bit
count of the fixed-point value exceeds 24 bits, the upper 24 valid bits of the absolute value become the
mantissa, which includes the hidden bits. The remaining bits are truncated.

SCE CONFIDENTIAL VU User's Manual Version 6.0
© SCEI
-28-
2.3. Exception Processing
An exception in the VU means that calculation results differ from normal results (such as division by 0 and
overflow). The VU does not pause when an exception is generated. A flag is set, clamping of the calculation
results is performed, then processing continues.
Exceptions in floating-point calculations are shown in the table below.
Exception Calculation
result
MAC / status flag Sticky flag
0/0 (0 is valid sign) +MAX/-MAX I flag = 1 IS flag = 1
x (x < 0) |x| I flag = 1 IS flag = 1
0 division +MAX/-MAX D flag = 1 DS flag = 1
Exponent overflow +MAX/-MAX Ox/Oy/Oz/Ow/O flag = 1 OS flag = 1
Exponent underflow +0/-0 Ux/Uy/Uz/Uw/U flag = 1
Zx/Zy/Zz/Zw/Z flag = 1
US flag = 1
ZS flag = 1
Conversion overflow
(Floating point count ->
fixed point count)
+MAX/-MAX None None
Note: D flag is not set for 0/0.

SCE CONFIDENTIAL VU User's Manual Version 6.0
© SCEI
-29-
2.4. Differences from IEEE 754
The following are differences between VU calculations and the IEEE 754 standard:
• Precision
The VU supports only single-precision floating-point values.
• Rounding off
Of the four IEEE 754 rounding-off modes, the VU performs rounding similar to a 0 direction truncation.
Since the least significant bit may vary, this method is not exactly the same as IEEE 754.
• Non-numeral/infinity/non-normalized number
The VU does not support non-numerals, infinity, and non-normalized numbers. Therefore, exceptions
related to these items are not generated.
• Overflow/underflow
Overflow and underflow are detected only by the overflow and underflow of the exponent. Underflow in
particular is not considered to lose the precision prescribed by IEEE 754.
• Trap for exception
IEEE 754 recommends that a trap be settable for a calculation result exception. In the VU, processing
continues by just setting a flag. If a trap is necessary, use a flag check instruction after the calculation
instruction.

SCE CONFIDENTIAL VU User's Manual Version 6.0
© SCEI
-30-
(This page is left blank intentionally)

SCE CONFIDENTIAL VU User's Manual Version 6.0
© SCEI
-31-
3. Micro Mode
In Micro mode, the VU executes microinstruction programs (micro subroutines) in MicroMem as a stand-alone
processor. Using the VU in micro mode maximizes the degree of parallelism, and the highest performance can
be achieved.
Microinstructions are 64-bit long LIW instructions. It is possible to specify both an Upper instruction and a
Lower instruction at the same time. The Upper instruction controls four floating-point product-sum ALUs
(FMAC), and the Lower instruction controls one floating-point division/square root ALU (FDIV), one load-
store unit (LSU), and one integer operation unit (IALU), etc. A maximum of six units can execute concurrently.

SCE CONFIDENTIAL VU User's Manual Version 6.0
© SCEI
-32-
3.1. Micro Mode Register Set
In micro mode, 32 floating-point registers, 16 integer registers, and other special registers can be used. These
registers are explained below.
3.1.1. Floating-Point Registers
There are 32 floating-point registers, VF00 - VF31. These are 128-bit long vector registers, which consist of
four single-precision floating-point fields.
The four 32-bit fields have a little-endian arrangement. From the least to the most significant bit, they are
referred to as field x, field y, field z, and field w.
32 bits 32 bits 32 bits 32 bits
127 96 95 64 63 32 31 0
VF00 VF00w VF00z VF00y VF00x
VF01 VF01w VF01z VF01y VF01x
VF02 VF02w VF02z VF02y VF02x
VF03 VF03w VF03z VF03y VF03x
:
:
VF31 VF31w VF31z VF31y VF31x
VF00 is the constant register. Its fields are set to the following values:
• VF00x: 0.0 (Single-precision floating number)
• VF00y: 0.0 (Single-precision floating number)
• VF00z: 0.0 (Single-precision floating number)
• VF00w: 1.0 (Single-precision floating number)
3.1.2. Integer Registers
There are 16 16-bit long integer registers, VI00 - VI15. VI00 is the constant register and is set to 0.

SCE CONFIDENTIAL VU User's Manual Version 6.0
© SCEI
-33-
15 0
VI00 0 Register
VI01
VI02
VI03
VI04
VI05
VI06
VI07
VI08
VI09
VI10
VI11
VI12
VI13
VI14 Stack pointer (recommended)
VI15 Link register (recommended)
3.1.3. ACC Registers
The ACC registers are accumulators for floating-point product-sum calculations. Four registers exist for four
product-sum ALUs: ACCx, ACCy, ACCz, and ACCw. The ACC registers not only work as destinations of
instructions such as ADDA and MULA but also store the intermediate results of the vector outer product
calculated by OPMULA and OPMULB.
Stalls due to data dependency, described later in this document, do not occur to the ACC register.
3.1.4. I Register
The I register is a 32-bit single-precision floating-point register in which immediate values are stored. When the
I bit (bit 63) of the Upper OP field is set, the content of the Lower OP field is written to the I register at the T
stage of the instruction as a single-precision floating-point number. It is used by the next instruction to be
executed, such as ADDi/MULi. This operation can be described with the LOI pseudo instruction.
No stalls due to data dependency are generated for the I register. Figure 3-1 illustrates a pipeline operation
example in which the I register is used.
MUL.xyzw VF05, VF10, VF20
LOI 100.0 (floating point count imm value)
MULi.xyzw VF10, VF11, I
NOP (MOVE VF00, VF00)
clock cycle 12345678
M T X Y Z S
M T X Y Z S
M T X Y Z S
M X Y Z ST
Figure 3-1 Usage Example of I Register
For more information on pipeline operation, see "3.4. Pipeline Operation".

SCE CONFIDENTIAL VU User's Manual Version 6.0
© SCEI
-34-
3.1.5. Q Register
The Q register is a floating-point register in which results of division, square root operations, and square root
division are stored. Because these calculations differ in latency from other floating-point calculations, a special
register (the Q register) is needed.
No stalls due to data dependency are generated for the Q register, and it is necessary to use the WAITQ
instruction for synchronization.
3.1.6. R Register
The R register is a 23-bit register in which random number values are stored.
3.1.7. P Register
The P register is a 32-bit register in which the EFU instruction results are stored. Because elementary function
calculations differ in latency from other floating-point calculations, a special register (the P register) is needed.
No stalls due to data dependency are generated for the P register, and it is necessary to use the WAITP
instruction for synchronization.

SCE CONFIDENTIAL VU User's Manual Version 6.0
© SCEI
-35-
3.2. Micro Instruction Set Overview
A microinstruction is a 64-bit LIW (Long Instruction Word). It can specify instructions in the Upper instruction
field (the upper 32 bits) and the Lower instruction field (the lower 32 bits) independently.
Instructions that use floating-point product-sum ALUs (FMAC) are usually specified in the Upper instruction
field, and other instructions are specified in the Lower instruction field.
63 62 61 60 59 58 57 56 55 54 53 52 51 50 49 48 47 46 45 44 43 42 41 40 39 38 37 36 35 34 33 32
Upper Instruction Field
Upper Instruction
32 bits
31 30 29 28 27 26 25 24 23 22 21 20 19 18 17 16 15 14 13 12 11 10 09 08 07 06 05 04 03 02 01 00
Lower Instruction Field
Lower Instruction
32 bits
3.2.1. Upper Instructions
The Upper instructions are mainly related to floating-point calculations. There are 59 instructions.
Category Instruction Function
ABS absolute Floating- point
calculation ADD addition
ADDi ADD broadcast I register
ADDq ADD broadcast Q register
ADDbc ADD broadcast bc field
ADDA ADD output to ACC
ADDAi ADD output to ACC broadcast I register
ADDAq ADD output to ACC broadcast Q register
ADDAbc ADD output to ACC broadcast bc field
SUB subtraction
SUBi SUB broadcast I register
SUBq SUB broadcast Q register
SUBbc SUB broadcast bc field
SUBA SUB output to ACC
SUBAi SUB output to ACC broadcast I register
SUBAq SUB output to ACC broadcast Q register
SUBAbc SUB output to ACC broadcast bc field
MUL multiply
MULi MUL broadcast I register
MULq MUL broadcast Q register
MULbc MUL broadcast bc field
MULA MUL output to ACC
MULAi MUL output to ACC broadcast I register
MULAq MUL output to ACC broadcast Q register
MULAbc MUL output to ACC broadcast bc field
MADD MUL and ADD
MADDi MUL and ADD broadcast I register
MADDq MUL and ADD broadcast Q register
MADDbc MUL and ADD broadcast bc field

SCE CONFIDENTIAL VU User's Manual Version 6.0
© SCEI
-36-
Category Instruction Function
MADDA MUL and ADD output to ACC
MADDAi MUL and ADD output to ACC broadcast I register
MADDAq MUL and ADD output to ACC broadcast Q register
MADDAbc MUL and ADD output to ACC broadcast bc field
MSUB MUL and SUB
MSUBi MUL and SUB broadcast I register
MSUBq MUL and SUB broadcast Q register
MSUBbc MUL and SUB broadcast bc field
MSUBA MUL and SUB output to ACC
MSUBAi MUL and SUB output to ACC broadcast I register
MSUBAq MUL and SUB output to ACC broadcast Q register
MSUBAbc MUL and SUB output to ACC broadcast bc field
MAX maximum
MAXi MAX broadcast I register
MAXbc MAX broadcast bc field
MINI minimum
MINIi MINI broadcast I register
MINIbc MINI broadcast bc field
OPMULA outer product MULA
OPMSUB outer product MSUB
NOP no operation
FTOI0 float to integer, fixed point 0 bit
FTOI4 float to integer, fixed point 4 bits
FTOI12 float to integer, fixed point 12 bits
Floating-
point/fixed-
point
conversion FTOI15 float to integer, fixed point 15 bits
ITOF0 integer to float, fixed point 0 bit
ITOF4 integer to float, fixed point 4 bits
ITOF12 integer to float, fixed point 12 bits
ITOF15 integer to float, fixed point 15 bits
Clipping
judgment
CLIP clipping

SCE CONFIDENTIAL VU User's Manual Version 6.0
© SCEI
-37-
3.2.2. Lower Instructions
The Lower instructions are floating-point division, integer calculation, transfer between registers, flag operation,
branching, and elementary function calculation, and other control instructions. There are 69 instructions listed
below.
The NOP instruction is not included in the Lower instructions. If necessary, use meaningless instructions such
as MOVE VF00, VF00 in place of NOP.
Category Instruction Function
DIV floating divide
SQRT floating square-root
Floating-point
division
RSQRT floating reciprocal square-root
IADD integer ADD Integer
calculation IADDI integer ADD immediate
IADDIU integer ADD immediate unsigned
IAND integer AND
IOR integer OR
ISUB integer SUB
ISUBIU integer SUB immediate unsigned
MOVE move floating register Register-
register transfer MFIR move from integer register
MTIR move to integer register
MR32 move rotate 32 bits
Load/Store LQ Load Quadword
LQD Load Quadword with pre-decrement
LQI Load Quadword with post-increment
SQ Store Quadword
SQD Store Quadword with pre-decrement
SQI Store Quadword with post-increment
ILW integer load word
ISW integer store word
ILWR integer load word register
ISWR integer store word register
LOI Load immediate value to I register (pseudo instruction)
RINIT random-unit init R register Random
numbers RGET random-unit get R register
RNEXT random-unit next M sequence
RXOR random-unit XOR R register
Synchroniza-
tion
WAITQ wait Q register
Flag operation FSAND flag-operation status flag AND
FSEQ flag-operation status flag EQ
FSOR flag-operation status flag OR
FSSET flag-operation set status flag
FMAND flag-operation MAC flag AND
FMEQ flag-operation MAC flag EQ
FMOR flag-operation MAC flag OR
FCAND flag-operation clipping flag AND
FCEQ flag-operation clipping flag EQ
FCOR flag-operation clipping flag OR
FCSET flag-operation clipping flag set
FCGET flag-operation clipping flag get
Branching IBEQ integer branch on equal

SCE CONFIDENTIAL VU User's Manual Version 6.0
© SCEI
-38-
Category Instruction Function
IBGEZ integer branch on greater than or equal to zero
IBGTZ integer branch on greater than zero
IBLEZ integer branch on less than or equal to zero
IBLTZ integer branch on less than zero
IBNE integer branch on not equal
B branch (PC relative address)
BAL branch and link (PC relative address)
JR jump register (absolute address)
JALR jump and link register (absolute address)
EFU transfer MFP move from P register
EFU
synchroniza-
tion
WAITP wait P register
ESADD Elementary-function Square and ADD
ERSADD Elementary-function Reciprocal Square and ADD
Vector
elementary
function ELENG Elementary-function Length
ERLENG Elementary-function Reciprocal Length
EATANxy Elementary-function ArcTAN y/x
EATANxz Elementary-function ArcTAN z/x
ESUM Elementary-function Sum
ERCPR Elementary-function Reciprocal
ESQRT Elementary-function Square-root
Scalar
elementary
function ERSQRT Elementary-function Reciprocal Square-root
ESIN Elementary-function SIN
EATAN Elementary-function ArcTAN
EEXP Elementary-function Exponential
XGKICK Kick external unit (GIF) External unit
control XTOP Read VIF data (TOP register)
XITOP Read VIF data (ITOP register)

SCE CONFIDENTIAL VU User's Manual Version 6.0
© SCEI
-39-
3.3. Flags
VU flags are roughly divided into 3 types: MAC flags which show floating-point calculation results, status flags
which show total calculation results, and clipping flags which show clipping judgment results.
3.3.1. MAC Flags
The MAC flags show the FMAC calculation results of the Upper instruction (or the macroinstruction
corresponding to it). There are four flag types, z, s, u and o, and each of them has 1 bit corresponding to the
four floating-point calculation units, FMACx, FMACy, FMACz, and FMACw (16 bits in total).
15 14 13 12 11 10 09 08 07 06 05 04 03 02 01 00
O field U field S field Z field
Ox Oy Oz Ow Ux Uy Uz Uw Sx Sy Sz Sw Zx Zy Zz Zw
4 bits 4 bits 4 bits 4 bits
Z field: Zero flag
This flag is set to 1 when the calculation results are 0, and set to 0 when the calculation results are non-zero.
S field: Sign flag
This flag is set to 1 when the calculation results are negative, and set to 0 when the calculation results are
positive or 0.
U field: Underflow flag
This flag is set to 1 when the calculation results cause an underflow.
O field: Overflow flag
This flag is set to 1 when the calculation results cause an overflow.
The flags of ALUs that do not operate are cleared to 0. In the ADD.xyz instruction, for example, the Zw, Sw,
Uw, and Ow flags become 0 since FMACw does not operate.
Also, the MAC flags do not change when NOPs are executed.
When an overflow or underflow occurs, the Z and S flags are set according to the clamped results (+MAX/-
MAX/+0/-0).
3.3.2. Status Flags (SF)
Status flags consist of the following 12 bits. There are flags to show MAC flag status, flags to show invalid
calculation, and flags to show their accumulation (sticky flag).
11 10 09 08 07 06 05 04 03 02 01 00
DS IS OS US SS ZS D I O U S Z
Z: Zero flag
This flag is set to 1 when any of the Zx, Zy, Zz, and Zw bits of the MAC flags is set to 1.
S: Sign flag
This flag is set to 1 when any of the Sx, Sy, Sz, and Sw bits of the MAC flags is set to 1.

SCE CONFIDENTIAL VU User's Manual Version 6.0
© SCEI
-40-
U: Underflow flag
This flag is set to 1 when any of the Ux, Uy, Uz, and Uw bits of the MAC flags is set to 1.
O: Overflow flag
This flag is set to 1 when any of the Ox, Oy, Oz, and Ow bits of the MAC flags is set to 1.
I: Invalid flag
This flag is set to 1 when a 0/0 calculation is executed by the DIV instruction or a root calculation of
negative number is executed by the SQRT/RSQRT instruction.
D: Zero division flag
This flag is set to 1 when 0 division (except 0/0) is performed by the DIV/RSQRT instruction, and set to 0
when the SQRT instruction is executed regardless of the results.
ZS/SS/US/OS/IS/DS: Sticky flag
Six flags, ZS, SS, US, OS, IS, and DS, are called Sticky Flags, and indicate the accumulation values of the Z,
S, U, O, I, and D flags, respectively. For example, the ZS flag value becomes the logical OR of the Z flag
value and the ZS flag value from the results of the most-recently performed instruction.
In product-sum calculations, a single instruction, such as MADD/MSUB, performs addition and subtraction
following multiplication. Addition and subtraction results are reflected in the Z/ZS/S/SS/U/US/O/OS
flags, and multiplication results are reflected only in the ZS/SS/US/OS flags.
3.3.3. Clipping Flags (CF)
The clipping flags are set according to the results of the clipping judgment (CLIP) instruction.
-x flag Set to 1 when x < -|w|.
+x flag Set to 1 when x > +|w|.
-y flag Set to 1 when y < -|w|.
+y flag Set to 1 when y > +|w|.
-z flag Set to 1 when z < -|w|.
+z flag Set to 1 when z > +|w|.
There are four sets of clipping flags, as shown below. The clipping flag is shifted 6 bits to the left each time the
CLIP instruction is executed, so clipping information for the four most recent vertices is always maintained.
23 22 21 20 19 18 17 16 15 14 13 12 11 10 09 08 07 06 05 04 03 02 01 00
3rd previous
judgment
2nd previous
judgment
Previous
judgment
Current
judgment
-z +z -y +y -x +x -z +z -y +y -x +x -z +z -y +y -x +x -z +z -y +y -x +x
6 bits 6 bits 6 bits 6 bits
3.3.4. Flag Set Instructions
The following instructions (Lower instructions) are used to set the flags to a specific value.
FSSET instruction: Sets the status flag.
FCSET instruction: Sets the clipping flag.
The effect on the flag of the simultaneous Upper instruction is ignored and; the flag reflects only the results of
the flag setting instructions.

SCE CONFIDENTIAL VU User's Manual Version 6.0
© SCEI
-41-
3.3.5. Flag Changes for Each Instruction
The flag changes for each micorinstruction are shown in the table below.
"-" means "no flag change" and "X" means "flag change according to calculation results".
For the MAC flags, x, y, z, and w are grouped in the same column. Instructions of the same kind are grouped
with "*", for example ADD*.
Upper Instruction
MAC Flag Status Flag Instruction
OUSZ DIOUSZ
SSSSSS
DIOUSZ
Clipping Flag
ABS ---- ------ ------ -
ADD* XXXX --XXXX --XXXX -
ADDA* XXXX --XXXX --XXXX -
CLIP ---- ------ ------ X
FTOI* ---- ------ ------ -
ITOF* ---- ------ ------ -
MADD* XXXX --XXXX --XXXX -
MADDA* XXXX --XXXX --XXXX -
MAX* ---- ------ ------ -
MINI* ---- ------ ------ -
MSUB* XXXX --XXXX --XXXX -
MSUBA* XXXX --XXXX --XXXX -
MUL* XXXX --XXXX --XXXX -
MULA* XXXX --XXXX --XXXX -
NOP ---- ------ ------ -
OPMULA XXXX --XXXX --XXXX -
OPMSUB XXXX --XXXX --XXXX -
SUB* XXXX --XXXX --XXXX -
SUBA* XXXX --XXXX --XXXX -
Lower Instruction
MAC Flag Status Flag Instruction
OUSZ DIOUSZ
SSSSSS
DIOUSZ
Clipping Flag
DIV ---- XX---- XX---- -
RSQRT ---- XX---- XX---- -
SQRT ---- -X---- 0X---- -
FCSET ---- ------ ------ X
FSSET ---- XXXXXX ------ -
Others ---- ------ ------ -
3.3.6. Flag Changes for Exception Occurrences
Flag changes in the basic instructions (except MADD/MSUB)
The following table shows the results and flag changes for instructions other than MADD or MSUB in
which calculation exceptions are generated.

SCE CONFIDENTIAL VU User's Manual Version 6.0
© SCEI
-42-
MAC Flag Status Flag Sticky Flag Exception Calculation
Results Z* S* U* O* Z S U O ZS SS US OS
No exception X X X 0 0 X X 0 0 X X - -
Overflow MAX 0 X 0 1 0 X 0 1 - X - 1
Underflow 0 1 X 1 0 1 X 1 0 1 X 1 -
X: 1 or 0 according to the calculation results -: Same as past values
MAC Flag is set to 0 when the corresponding FMAC unit is not used.
Flag change in MADD instruction
In the MADD instruction, addition/subtraction with the accumulator is performed following the
multiplication. There is a double exception generation factor in one instruction, and flags are set in
compliance with both the multiplication and addition/subtraction. Therefore, flag settings in this instruction
are complicated.
Exception Factor MAC Flag Status Flag Sticky Flag
ACC Multiplication
Calculation
Results Z* S* U* O* Z S U O ZS SS US OS
0/Normalized
value
No exception X X X 0 0 X X 0 0 X X - -
0/Normalized
value
OVF +/-MAX 0 X 0 1 0 X 0 1 - X - 1
0/Normalized
value
UDF - X X 0 0 X X 0 0 X X 1 -
+/-MAX No exception +/-MAX 0 X 0 1 0 X 0 1 b c - 1
+MAX OVF(+MAX) +MAX 0 0 0 1 0 0 0 1 - b - 1
+MAX OVF(-MAX) -MAX 0 1 0 1 0 1 0 1 - 1 - 1
-MAX OVF(+MAX) +MAX 0 0 0 1 0 0 0 1 - b - 1
-MAX OVF(-MAX) -MAX 0 1 0 1 0 1 0 1 - 1 - 1
+/-MAX UDF +/-MAX 0 X 0 1 0 X 0 1 1 c 1 1
Addition/Subtraction
OFV/UDF
+/-MAX/0 X X X X X X X X c c a a
X: 1 or 0 according to the calculation results of addition -: Same as past values
a: Logical OR of the flag value that shows calculation results of addition and the past flag values
b: Logical OR of the flag value that shows calculation results of multiplication and the past flag values
c: Logical OR of the flag values that show calculation results of addition and multiplication and the past flag values
MAC Flag is set to 0 when the corresponding FMAC unit is not used.

SCE CONFIDENTIAL VU User's Manual Version 6.0
© SCEI
-43-
Flag changes in MSUB instruction
The flag changes in the MSUB instruction are almost the same as those in the MADD instruction, but
positive and negative signs are changed when an overflow occurs to multiplication.
Exception Factor MAC Flag Status Flag Sticky Flag
ACC Multiplication
Calculation
Results Z* S* U* O* Z S U O ZS SS US OS
0/Normalized
value
No exception X X X 0 0 X X 0 0 X X - -
0/Normalized
value
OVF +/-MAX 0 X 0 1 0 X 0 1 - X - 1
0/Normalized
value
UDF - X X 0 0 X X 0 0 X X 1 -
+/-MAX No exception +/-MAX 0 X 0 1 0 X 0 1 b c - 1
+MAX OVF(+MAX) -MAX 0 1 0 1 0 1 0 1 - 1 - 1
+MAX OVF(-MAX) +MAX 0 0 0 1 0 0 0 1 - b - 1
-MAX OVF(+MAX) -MAX 0 1 0 1 0 1 0 1 - 1 - 1
-MAX OVF(-MAX) +MAX 0 0 0 1 0 0 0 1 - b - 1
+/-MAX UDF +/-MAX 0 X 0 1 0 X 0 1 1 c 1 1
Addition/Subtraction
OFV/UDF
+/-MAX/0 X X X X X X X X c c a a
X: 1 or 0 according to the calculation results of addition -: Same as past values
a: Logical add of the flag value that shows calculation results of addition and the past flag values
b: Logical add of the flag value that shows calculation results of multiplication and the past flag values
c: Logical add of the flag values that show calculation results of addition and multiplication and the past flag values
MAC Flag is set to 0 when the corresponding FMAC unit is not used.

SCE CONFIDENTIAL VU User's Manual Version 6.0
© SCEI
-44-
3.4. Pipeline Operation
3.4.1. Hazards
VU calculations are performed concurrently via the pipeline, but some operations may stall occasionally under
the conditions specified below. For concrete operations, see sections "3.4.4. FMAC Pipeline" and following.
DIV Resource Hazards
An instruction (DIV/SQRT/RSQRT) that uses the floating-point divider unit when another instruction of
this type is being executed.
EFU Resource Hazards
An instruction (such as ESIN) that uses the EFU when another instruction of this type is being executed.
Floating-Point Register Data Hazards
An instruction that uses a floating-point register when another instruction that uses the register as the
destination is being executed (until the value is fixed).
Data hazard checks are performed independently in each field of x/y/z/w. VF00 is a constant register, and
is not subject to hazard checks.
Integer Register Data Hazards
An instruction that uses the values of an integer register when a load/store instruction to the integer register
is being executed.
Since integer calculation latency is 1 clock, data hazards due to calculations are not generated. VI00 is not
subject to hazard checks.
Data hazards are not generated for the special registers such as ACC, I, Q, P, and R. It is possible to make the
Q and P registers synchronize with each other by using the WAITQ/WAITP instruction.
When transferring data to an external unit (GS) by the XGKICK instruction, stalls continue until the data can be
transferred.
3.4.2. Upper Instruction and Lower Instruction
In micro mode, there is an Upper instruction pipeline and a Lower instruction pipeline. The Upper and Lower
instructions are issued concurrently, so both pipelines stall if hazards occur to either of them.
3.4.3. Priority for Writing to a Register
When the Upper and Lower instructions write data to the same register at the same time, priority is given to the
Upper instruction and the result of the Lower instruction is discarded. Moreover, when a coprocessor transfer
instruction (COP2) writes data at the same time, it is given priority.
COP2 Transfer Instruction> Upper Instruction> Lower Instruction
The above is performed in register units, so note that the result of the Lower instruction is discarded even when
the Upper and Lower instructions write data to different fields as shown in the following example.

SCE CONFIDENTIAL VU User's Manual Version 6.0
© SCEI
-45-
ADD.xy VF01, VF01, VF23 MOVE.w VF01, VF09
3.4.4. FMAC Pipeline
Figure 3-2 illustrates the FMAC pipeline. All instructions except some of the Lower instructions (DIV, SQRT,
RSQRT, integer calculation, and conditional branching) are executed according to this pipeline. Load/Store of
integer registers also follows this pipeline.
The MAC flag, status flag and clipping flag, which show the results of the calculation, are set at the S stage.
M T X Y Z S
access MicroMem
read VPU register write back
execute1
execute2
execute3
Figure 3-2 FMAC Pipeline
An example of the FMAC pipeline is illustrated below.
MUL.xyzw VF05, VF10, VF20
NOP (MOVE VF00, VF00)
MADDA.xyzw ACC, VF12, VF22
NOP (MOVE VF00, VF00)
MADD.xyzw VF06, VF13, VF23
NOP (MOVE VF00, VF00)
MUL.xyzw VF07, VF05, VF24
NOP (MOVE VF00, VF00)11
MULA.xyzw ACC, VF11, VF21
NOP (MOVE VF00, VF00)
MUL.xyzw VF08, VF15, VF25
NOP (MOVE VF00, VF00)
clock cycle12345678910 11
M
M
T
T
X
X
Y
Y
Z
Z
S
S
M
M
T
T
X
X
Y
Y
Z
Z
S
S
M
M
T
T
X
X
Y
Y
Z
Z
S
S
M
M
T
T
X
X
Y
Y
Z
Z
S
S
M
M
T
T
X
X
Y
Y
Z
Z
S
S
M
M
T
T
X
X
Y
Y
Z
Z
S
S
Instruction
1
2
3
4
5
6
Figure 3-3 FMAC Pipeline Operation Example
Figure 3-3 illustrates a normal operation example of the FMAC pipeline. Calculation results of Instruction 1 are
used for Instruction 5, but stalls do not occur because other instructions are being executed between them.

SCE CONFIDENTIAL VU User's Manual Version 6.0
© SCEI
-46-
MUL.xyzw VF10, VF10, VF10
NOP (MOVE VF00, VF00)
ADDw.z VF10z, VF10z, VF10w
NOP (MOVE VF00, VF00)
NOP
MOVE.z VF20z, VF10z
NOP
NOP (MOVE VF00, VF00)
ADDy.x VF10x, VF10x, VF10y
NOP (MOVE VF00, VF00)
NOP
NOP (MOVE VF00, VF00)
clock cycle 1234567891011
Ts: T stage stall Ms: M stage stall
stall
stall
non-stall
M
M
T
T
X
X
Y
Y
Z
Z
S
S
M
M
Ts
Ts
Ts
Ts
Ts
Ts
T
T
X
X
Y
Y
Z
Z
S
S
Ms
Ms
Ms
Ms
Ms
Ms
M
M
T
T
X
X
Y
Y
Z
Z
S
S
M
M
Ts
Ts
Ts
Ts
Ts
Ts
T
T
X
X
Ms
Ms
Ms
Ms
Ms
Ms
M
M
T
T
M
M
Instruction
1
2
3
4
5
6
Figure 3-4 Stalls due to FMAC Pipeline Data Hazards
Figure 3-4 shows an example of FMAC pipeline stall. VF10x of Instruction 1 output is used for Instruction 2.
Therefore, execution of Instruction 2 is delayed until Instruction 1 reaches the S stage.
Between Instruction 3 and Instruction 4, data hazards occur to VF10z.
Stalls do not occur between Instruction 2 and Instruction 3. The output VF10x of Instruction 2 and the input
VF10z and VF10w of Instruction 3 are in the same register, but data hazards are not generated since they are in
different fields. (Data hazards are generated in the macroinstruction.)
Stalls due to data dependency do not occur between the Upper instruction and the Lower instruction in the
same instruction, though this is not shown in this example. For the relationship with COP2 instructions, see
"5.4.4. Operation when Transferring Data with EE Core".
3.4.5. FDIV Pipeline
The following figures illustrate the pipelines related to the floating-point division unit.
M
access MicroMem
read VU register
write back
self time DIV/SQRT execute
TD1 D2 D3 D4 D5 D6 F
Figure 3-5 FDIV Pipeline (DIV / SQRT)
M
access MicroMem
read VPU register
write back
self time RSQRT execute
TD1 D2 D3 D4 D5 D6 D7 D8 D9 DA DB DC F
Figure 3-6 FDIV Pipeline (RSQRT)
The next DIV/SQRT/RSQRT instruction stalls with the generation of resource hazards during execution of
D1- D6 stage of DIV/SQRT instruction and D1- DC stage of RSQRT instruction.

SCE CONFIDENTIAL VU User's Manual Version 6.0
© SCEI
-47-
M
NOP
DIV Q, VF10, VF20
clock cycle 1234567891011
NOP
NOP (MOVE VF00, VF00)
MULq.xyzw VF13, VF23, Q
NOP (MOVE VF00, VF00)
NOP
NOP (MOVE VF00, VF00)
NOP
NOP (MOVE VF00, VF00)
NOP
NOP (MOVE VF00, VF00)
NOP
NOP (MOVE VF00, VF00)
NOP
NOP (MOVE VF00, VF00)
M
T
T
X
D1
Y
D2
Z
D3
S
D4 D5 D6 F
M
M
T
T
X
X
Y
Y
Z
Z
S
S
M
M
T
T
X
X
Y
Y
Z
Z
S
S
M
M
T
T
X
X
Y
Y
Z
Z
S
S
M
M
T
T
X
X
Y
Y
Z
Z
S
S
M
M
T
T
X
X
Y
Y
Z
Z
S
S
M
M
T
T
X
X
Y
Y
Z
Z
S
S
M
M
T
T
X
X
Y
Y
Z
Z
Instruction
1
2
3
4
5
6
7
8
Figure 3-7 FDIV Pipeline Operation Example
Figure 3-7 illustrates a normal operation example of the FDIV pipeline. The DIV calculation results can be
received and calculation can be performed by inserting six or more other instructions between the DIV
instruction (Instruction 1) and the MULq instruction (Instruction 8) which uses the Q register, the results of the
DIV instruction, after the DIV instruction (Instruction 1).
NOP
DIV Q, VF10, VF20
MULq.xyzw VF12, VF22, Q
NOP (MOVE VF00, VF00)
clock cycle 1 234567891011
MULq.xyzw VF13, VF23, Q
DIV Q, VF11, VF21
M
NOP
NOP (MOVE VF00, VF00)
NOP
NOP (MOVE VF00, VF00)
NOP
NOP (MOVE VF00, VF00)
M
T
T
X
D1
Y
D2
Z
D3
S
D4 D5 D6 F
M
M
T
T
X
X
Y
Y
Z
Z
S
S
M
M
Ts
Ts
Ts
Ts
Ts
Ts
Ts
Ts
Ts
Ts
T
T
X
D1
Y
D2
Z
D3
Ms
Ms
Ms
Ms
Ms
Ms
Ms
Ms
Ms
Ms
M
M
T
T
X
X
Y
Y
M
M
T
T
X
X
M
M
T
T
Instruction
1
2
3
4
5
6
Figure 3-8 FDIV Pipeline Continuous Execution Example
Figure 3-8 shows an example of FDIV pipeline continuous execution. The next DIV instruction (Instruction 3)
is started during the DIV instruction (Instruction 1) execution, and Instruction 3 stalls until the D6 stage of
Instruction 1 ends.
Although Instruction 2 is a MULq instruction, data dependency is not checked regarding the Q register, so the
Q register value previously obtained is used here, not the calculation results of Instruction 1.
The MULq of Instruction 3 uses the calculation results of Instruction 1, which was written to the Q register at
the F stage, due to stalls.

SCE CONFIDENTIAL VU User's Manual Version 6.0
© SCEI
-48-
NOP
DIV Q, VF10, VF20
clock cycle 1234567891011
MULq.xyzw VF13, VF23, Q
WAITQ
M
NOP
NOP (MOVE VF00, VF00)
NOP
NOP (MOVE VF00, VF00)
NOP
NOP (MOVE VF00, VF00)
NOP
NOP (MOVE VF00, VF00)
M
T
T
X
D1
Y
D2
Z
D3
S
D4 D5 D6 F
M
M
Ts
Ts
Ts
Ts
Ts
Ts
Ts
Ts
Ts
Ts
Ts
Ts
X
X
Y
Y
Z
Z
T
T
Ms
Ms
Ms
Ms
Ms
Ms
Ms
Ms
Ms
Ms
Ms
Ms
M
M
T
T
X
X
Y
Y
M
M
T
T
X
X
M
M
T
T
M
M
Instruction
1
2
3
4
5
6
Figure 3-9 WAITQ Instruction Operation Example
Figure 3-9 illustrates an example of synchronization using the WAITQ instruction. Due to the WAITQ
instruction of Instruction 2, subsequent instructions stall until the output of the DIV instruction (Instruction 1)
is fixed. The results of Instruction 1 can be used from the Upper instruction of Instruction 2.
3.4.6. EFU Pipeline
Figure 3-10 illustrates the EFU pipeline. During execution of N1 - Nn-1 stages, the next elementary function
calculation instruction stalls with the generation of resource hazards. Unlike the FDIV pipeline, the resource
hazards are not generated during execution of the Nn stage, the final stage to be executed.
M
access MicroMem
read VPU register
write back
EFU execute
TN1 N2 Nn-1 Nn P
..................
Figure 3-10 EFU Pipeline
NOP
MFP
M
NOP
ESADD P, VF10
clock cycle
12345 13141516
NOP
ESADD P, VF10
NOP
NOP (MOVE VF00, VF00)
NOP
NOP (MOVE VF00, VF00)
NOP
NOP (MOVE VF00, VF00)
......
......
......
......
M
T
T
X
N
Y
N
Z
N N P
M
M
Ts
Ts
Ts
Ts
Ts
Ts
T
T
X
N
Y
N
Z
N
S
N
Ms
Ms
Ms
Ms
Ms
Ms
M
M
T
T
X
X
Y
Y
Z
Z
M
M
T
T
X
X
Y
Y
M
M
T
T
X
X
M
M
T
T
Instruction
1
2
3
4
5
6
17
Figure 3-11 EFU Pipeline Continuous Execution Example

SCE CONFIDENTIAL VU User's Manual Version 6.0
© SCEI
-49-
Figure 3-11 illustrates a pipeline operation example in which the EFU instruction is continuously executed.
Since the ESADD instruction (Latency 11, Throughput 10) is executed by Instruction 1 and a new ESADD
instruction (Instruction 2) is executed before the end of the current ESADD instruction, stalls are generated at
the T stage of Instruction 2. Unlike the FDIV pipeline, the stall is cleared at the Nn stage (one stage before the
P stage).
M
NOP
ESADD P, VF10
clock cycle 12345 131415
NOP
WAITP
NOP
MFP
NOP
NOP (MOVE VF00, VF00)
NOP
NOP (MOVE VF00, VF00)
NOP
MFP
......
......
......
......
6
M
T
T
X
N
Y
N
Z
N
S
N N P
M
M
T
T
X
X
Y
Y
Z
Z
M
M
Ts
Ts
Ts
Ts
Ts
Ts
T
T
X
X
Y
Y
Ms
Ms
Ms
Ms
Ms
Ms
M
M
T
T
X
X
M
M
T
T
M
M
Instruction
1
2
3
4
5
6
Figure 3-12 WAITP Instruction Operation Example
Figure 3-12 illustrates a synchronization example using the WAITP instruction. Due to the WAITP instruction
of Instruction 3, a stall occurs and continues until the end of the ESADD instruction of Instruction 1 and is
cleared at the Nn stage, then the succeeding instruction is executed.
Similar to the Q register, the data dependency is not checked in the P register. In the MFP instruction of
Instruction 2, the P register values gained prior to Instruction 1 are used. In the MFP instruction of Instruction
4, the P register values gained from Instruction 1 are used as a result of the stall.
3.4.7. IALU Pipeline
Figure 3-13 illustrates the IALU pipeline, which performs Integer calculation.
M T X y z S
access MicroMem
read VPU register write back
execute
dummy1
dummy2
Figure 3-13 Actual IALU Pipeline
IALU execution ends in one cycle, but the y stage and z stage exist as dummy stages in order to adjust the timing
with the FMAC pipeline. Although the results are actually stored in the integer register at the S stage, there is no
latency in effect for the dummy stages since the results are bypassed from the X/y/z/S stage to the T stage.
The latency for the dummy stages appears only when the microinstruction calculation results are transferred
after the Integer register has been written at the S stage by the CFC2 instruction (a coprocessor transfer
macroinstruction).

SCE CONFIDENTIAL VU User's Manual Version 6.0
© SCEI
-50-
clock cycle 1234567891011
M
MADD.xyzw VF14, VF23, VF13
IADD VI07, VI06, VI04
MADDA.xyzw ACC, VF22, VF12
IADD VI06, VI05, VI04
MADDA.xyzw ACC, VF21, VF11
IADDI VI05, VI05, -1
LOOP:
MULA.xyzw ACC, VF20, VF10
IADD VI04, VI03, VI02
MULA.xyzw ACC, VF20, VF10
LQI.xyzw VF10, (VI04++)
M
T
T
X
X
Y
y
Z
z
S
S
M
M
T
T
X
X
Y
y
Z
z
S
S
M
M
T
T
X
X
Y
y
Z
z
S
S
Calculation results bypass
M
M
T
T
X
X
Y
y
Z
z
S
S
Calculation results bypass
M T X Y Z S
M T X Y Z S
1
2
3
4
5
Instruction
Figure 3-14 IALU Pipeline Bypass Example
Figure 3-14 illustrates an operation example of the IALU pipeline. The IADD instruction of Instruction 3 uses
the results of Instruction 1 and Instruction 2, so bypasses are generated between the y stage of Instruction 1 and
the T stage of Instruction 3, and between the X stage of Instruction 2 and the T stage of Instruction 3.
Similarly, bypasses are generated between the z stage of Instruction 1 and the T stage of Instruction 4, and
between the X stage of Instruction 3 and the T stage of Instruction 4.
3.4.8. Conditional Branching and Pipeline
Figure 3-15 illustrates an example of pipeline operation, which accompanies conditional branching.
clock cycle 1 2 3 4 5 6 7 8 9 10 11
M
Branch delay slot
MADD.xyzw VF14, VF22, VF12
SQI.xyzw VF14, (VI05++)
MADDA.xyzw ACC, VF21, VF11
IBNE VI03, VI00, Loop:
MADDA.xyzw ACC, VF20, VF10
LQI.xyzw VF10, (VI04++)
Loop:
MULA.xyzw ACC, VF23, VF13
IADDI VI03, VI03, -1
Branch delay slot
MADD.xyzw VF14, VF22, VF12
SQI.xyzw VF14, (VI05++)
MADDA.xyzw ACC, VF21, VF11
IBNE VI03, VI00, Loop:
MADDA.xyzw ACC, VF20, VF10
LQI.xyzw VF10, (VI04++)
Loop:
MULA.xyzw ACC, VF23, VF13
IADDI VI03, VI03, -1
M
T
T
X
X
Y
y
Z
z
S
S
M
M
T
T
X
X
Y
Y
Z
Z
S
S
M
M
T
T
X
X
Y
Y
Z
Z
S
S
M
M
T
T
X
X
Y
Y
Z
Z
S
S
M
M
T
T
X
X
Y
y
Z
z
S
S
M
M
T
T
X
X
Y
Y
Z
Z
S
S
M
M
T
T
X
X
Y
Y
Z
Z
S
S
M
M
T
T
X
X
Y
Y
Z
Z
1
2
3
4
5
6
Instruction
7
8
Figure 3-15 Operation Example of Integer Calculation Branching Instruction
In Figure 3-15, a loop has been created between Instruction 1 and Instruction 4. A conditional branch is
performed in Instruction 3 according to the results of the Lower instruction of Instruction 1, and it branches to
the beginning of the loop (Instruction 5) after the one-instruction branch delay slot (Instruction 4).
As mentioned above, a one-instruction slot is necessary between a branch condition setting instruction and a
condition branching instruction. Flag check instructions (FCAND, FCEQ, FCGET, FCOR, FMAND, FMEQ,
FMOR, FSAND, FSEQ, and FSOR) are an exception, and a conditional branch instruction can be placed
immediately after them.

SCE CONFIDENTIAL VU User's Manual Version 6.0
© SCEI
-51-
clock cycle 1 2 3 4 5 6 7 8 9 10 11
M
Branch delay slot
NOP
NOP (MOVE VF00, VF00)
ADD.xyzw VF07, VF12, VF22
NOP (MOVE VF00, VF00)
ADD.xyzw VF06, VF11, VF21
NOP (MOVE VF00, VF00)
MUL.xyzw VF05, VF10, VF20
NOP (MOVE VF00, VF00)
ADD.xyzw VF09, VF14, VF24
FSAND VI01, SF, 0xfff:
MUL.xyzw VF05, VF20, VF10
LQI.xyzw VF10, (VI04++)
ADD.xyzw VF08, VF13, VF23
NOP (MOVE VF00, VF00)
ADD.xyzw VF10, VF15, VF25
IBNE VI01, VI00, Label:
M
T
T
X
X
Y
Y
Z
Z
S
S
M
M
T
T
X
X
Y
Y
Z
Z
S
S
M
M
T
T
X
X
Y
Y
Z
Z
S
S
M
M
T
T
X
X
Y
Y
Z
Z
S
S
M
M
T
T
X
X
Y
y
Z
z
S
S
M
M
T
T
X
X
Y
y
Z
z
S
S
M
M
T
T
X
X
Y
Y
Z
Z
S
S
M
M
T
T
X
X
Y
Y
Z
Z
Instruction
1
2
3
4
5
6
7
8
Figure 3-16 Example of Floating-Point Calculation Branch Instruction (1)
Figure 3-16 shows an example of branching according to floating-point calculation results. A conditional branch
is performed according to the results of Instruction 1, and the calculation results are written to the status flag at
the S stage. The logical AND of the status flag and the immediate value is written to VI01 in Instruction 5, after
inserting Instructions 2 to 4. Then, the conditional branch is performed according to the value of VI01 in
Instruction 6.
clock cycle 4567891011
Y
Branch delay slot
NOP
NOP (MOVE VF00, VF00)
ADD.xyzw VF07, VF12, VF06
NOP (MOVE VF00, VF00)
ADD.xyzw VF06, VF11, VF05
NOP (MOVE VF00, VF00)
MUL.xyzw VF05, VF10, VF20
NOP (MOVE VF00, VF00)
ADD.xyzw VF09, VF14, VF24
FSAND VI01, SF, 0xfff
Label:
MUL.xyzw VF05, VF20, VF10
LQI.xyzw VF10, (VI04++)
ADD.xyzw VF08, VF13, VF23
NOP (MOVE VF00, VF00)
12 13 14
ADD.xyzw VF10, VF15, VF25
IBNE VI01, VI00, Label:
Y
Z
Z
S
S
Ts
Ts
Ts
Ts
T
T
X
X
Y
Y
Z
Z
S
S
Ms
Ms
Ms
Ms
M
M
Ts
Ts
Ts
Ts
Ts
Ts
T
T
X
X
Y
Y
Z
Z
S
S
Ms
Ms
Ms
Ms
Ms
Ms
M
M
T
T
X
X
Y
Y
Z
Z
M
M
T
T
X
X
Y
y
M
M
T
T
X
X
M
M
T
T
M
M
Instruction
1
2
3
4
5
6
7
8
Figure 3-17 Example of Floating-Point Calculation Branch Instruction (2)
Figure 3-17 shows an example in which stalls are generated due to data hazards. As a result, the status flag
referred to by Instruction 5 shows the calculation results of Instruction 2.
As mentioned above, when reading the status flag, it is necessary to pay attention to the timing.

SCE CONFIDENTIAL VU User's Manual Version 6.0
© SCEI
-52-
3.4.9. XGKICK Pipeline
The stage structure of the XGKICK pipeline that activates GIF transfer via PATH1 is basically the same as that
of the FMAC pipeline, but the XGKICK instruction performs a special pipeline operation that makes the
subsequent instructions stall on the T stage when continuously executed.
MUL.xyzw VF03, VF10, VF20
XGKICK
MUL.xyzw VF05, VF012, VF22
NOP (MOVE VF00, VF00)
MUL.xyzw VF06, VF13, VF23
NOP (MOVE VF00, VF00)
MUL.xyzw VF07, VF14, VF24
NOP (MOVE VF00, VF00)
MUL.xyzw VF04, VF11, VF21
XGKICK
MUL.xyzw VF08, VF15, VF25
NOP (MOVE VF00, VF00)
clock cycle 1234567 mn
M
M
T
T
X
X
Y
Y
Z
Z
S
S
M
M
T
T
X
X
Y
Y
Z
Z
S
S
M
M
Ts
Ts
Ts
Ts
Ts
Ts
Ts
Ts
Ms
Ms
Ms
Ms
Ms
Ms
Ms
Ms
T
T
X
X
Y
Y
Z
Z
M
M
T
T
X
X
Y
Y
Instruction
1
2
3
4
5
6
Ts
Ts
Ms
Ms
Figure 3-18 XGKICK Pipeline Operation
Figure 3-18 shows an XGKICK pipeline operation example. The XGKICK in Instruction 1 executes without
stalling. However, at the XGKICK in Instruction 2, since the transfer via PATH1 activated in Instruction 1 is
in process, the pipeline stalls until the PATH1 transfer caused by the preceding XGKICK instruction ends. At
this time, not Instruction 2, but the following Instruction 3 is delayed. Note that the Upper instruction of
Instruction 2 is executed without stalling.

SCE CONFIDENTIAL VU User's Manual Version 6.0
© SCEI
-53-
3.5. Micro Subroutine Execution
3.5.1. How to Execute a Micro Subroutine
There are three ways to execute a micro subroutine:
Macroinstruction VCALLMS / VCALLMSR instruction Executable in VU0
Write the execution address to the control register Executable in VU1
MSCAL/MSCALF of VIFcode Executable in VU0/VU1
Operation is indeterminate if VCALLMS/VCALLMSR instruction from the EE Core and start-up from the VIF
are specified concurrently.
3.5.2. How to Terminate a Micro Subroutine
There are three ways to terminate a micro subroutine:
By a microinstruction that sets the E bit to 1.
By a microinstruction that sets the T bit or D bit to 1.
By a Force Break from an external source.
A micro subroutine is normally terminated by a microinstruction that sets the E bit to 1. Other termination
methods are only for debugging purposes. See "7.3. Micro Subroutine Debugging".
3.5.3. Operation of Execution and Termination
Figure 3-19 shows an example of executing a micro subroutine.
address : 0x0100
MUL
NOP
address : 0x0110
MADDA
NOP
address : 0x0118
MADD
NOP
address : 0x0120
MUL
NOP
address : 0x0108
MULA
NOP
address : 0x0128
MUL
NOP
clock cycle 1234567891011
M
12 13 14 15 16 17
E bit
Address specified by callms
Stop position according to E bit
E bit delay Slot
(1 instruction)
address : 0x0130
MUL
NOP
Address stored in TPC
M
T
T
X
X
Y
Y
Z
Z
S
S
M
M
T
T
X
X
Y
Y
Z
Z
S
S
M
M
T
T
X
X
Y
Y
Z
Z
S
S
M
M
T
T
X
X
Y
Y
Z
Z
S
S
M
M
T
T
X
X
Y
Y
Z
Z
S
S
M
M
T
T
X
X
Y
Y
Z
Z
S
S
Instruction
1
2
3
4
5
6
7
[Instruction address unit : bytes]
Figure 3-19 Execution by callms and Termination by the E bit

SCE CONFIDENTIAL VU User's Manual Version 6.0
© SCEI
-54-
In Figure 3-19, micro subroutine execution starts from Instruction 1. The E bit, which indicates the end of the
micro subroutine, is set in Instruction 5. There is a one-instruction E-bit delay slot, in which Instruction 6 is
executed; then the micro subroutine stops execution and returns to macro mode. The address of Instruction 7
is stored in the termination position program counter (TPC).
The following kinds of instructions cannot be placed in the E bit delay slot:
• Branch instructions
• Instructions that synchronize to external units, such as XTOP and XITOP
• XGKICK
• VU Mem load/store instruction
• Microinstructions that set the E bit to 1
If a micro subroutine is terminated during the execution of the FDIV or EFU instruction, the FDIV or EFU
process is continued, and the results are stored in the P or Q register at a given latency.

SCE CONFIDENTIAL VU User's Manual Version 6.0
© SCEI
-55-
3.6. Other Functions
3.6.1. Data Transfer with VU Mem/Micro Mem
VU Mem and Micro Mem are I/O-mapped to the main memory of the EE Core. When the VPU is not
operating, these memory locations are accessible directly from the EE Core.
The address map is shown in the following table.
Memory Address
MicroMem0 0x1100_0000 - 0x1100_0ff0
VUMem0 0x1100_4000 - 0x1100_4ff0
MicroMem1 0x1100_8000 - 0x1100_bff0
VUMem1 0x1100_c000 - 0x1100_fff0
3.6.2. Debug Support Function
Execution of a micro subroutine can be suspended for debugging by setting the D bit in the operation code field
to 1. For further information, see "7.3. Micro Subroutine Debugging".

SCE CONFIDENTIAL VU User's Manual Version 6.0
© SCEI
-56-
(This page is left blank intentionally)

SCE CONFIDENTIAL VU User's Manual Version 6.0
© SCEI
-57-
4. Micro Mode Instruction Reference

SCE CONFIDENTIAL VU User's Manual Version 6.0
© SCEI
-58-
4.1. Micro Mode Instruction Set
4.1.1. Types of Upper Instruction
There are four types of Upper instructions that primarily execute floating-point calculations:
UpperOP field type 0
Specifies three registers (VF[fs],VF[ft],VF[fd]) and a broadcast field (e.g. ADDbc instruction), and performs scalar
calculations as follows:
Example: ADDx.xyzw VF10xyzw, VF20xyzw, VF30x
Operation: VF10x = VF20x + VF30x
VF10y = VF20y + VF30x
VF10z = VF20z + VF30x
VF10w = VF20w + VF30x
Upper 32-bit word: UpperOP field type 0
63 62 61 60 59 58 57 56 55 54 53 52 51 50 49 48 47 46 45 44 43 42 41 40 39 38 37 36 35 34 33 32
I E M D T - - dest ft reg fs reg fd reg OPCODE bc
- - - - - 0 0 ---- ----- ----- ----- ---- --
1 1 1 1 1 1 1 4 bits 5 bits 5 bits 5 bits 4 bits 2 bits
UpperOP field type 1
Specifies three registers (VF[fs],VF[ft],VF[fd] ), e.g. ADD instruction, and performs vector calculations as
follows:
Example: ADD.xyzw VF10xyzw, VF20xyzw, VF30xyzw
Operation: VF10x = VF20x + VF30x
VF10y = VF20y + VF30y
VF10z = VF20z + VF30z
VF10w = VF20w + VF30w
Upper 32-bit word: UpperOP field type 1
63 62 61 60 59 58 57 56 55 54 53 52 51 50 49 48 47 46 45 44 43 42 41 40 39 38 37 36 35 34 33 32
I E M D T - - dest ft reg fs reg fd reg OPCODE
- - - - - 0 0 ---- ----- ----- ----- ------
1 1 1 1 1 1 1 4 bits 5 bits 5 bits 5 bits 6 bits
UpperOP field type 2
Specifies two registers (VF[fs],VF[ft]) and a broadcast field, e.g. ADDAbc instruction, and performs scalar
calculations as follows:
Example: ADDAx.xyzw ACCxyzw, VF20xyzw, VF30x
Operation: ACCx = VF20x + VF30x
ACCy = VF20y + VF30x
ACCz = VF20z + VF30x
ACCw = VF20w + VF30x

SCE CONFIDENTIAL VU User's Manual Version 6.0
© SCEI
-59-
Upper 32-bit word: UpperOP field type 2
63 62 61 60 59 58 57 56 55 54 53 52 51 50 49 48 47 46 45 44 43 42 41 40 39 38 37 36 35 34 33 32
I E M D T - - dest ft reg fs reg OPCODE bc
- - - - - 0 0 ---- ----- ----- ----- 1111 --
1 1 1 1 1 1 1 4 bits 5 bits 5 bits 9 bits 2 bits
UpperOP field type 3
Specifies two registers (VF[fs],VF[ft]), e.g. ADDA instruction. Performs vector calculations as follows:
Example: ADDA.xyzw ACCxyzw, VF20xyzw, VF30xyzw
Operation: ACCx = VF20x + VF30x
ACCy = VF20y + VF30y
ACCz = VF20z + VF30z
ACCw = VF20w + VF30w
Upper 32-bit word: UpperOP field type 3
63 62 61 60 59 58 57 56 55 54 53 52 51 50 49 48 47 46 45 44 43 42 41 40 39 38 37 36 35 34 33 32
I E M D T - - dest ft reg fs reg OPCODE
- - - - - 0 0 ---- ----- ----- ----- 1111 --
1 1 1 1 1 1 1 4 bits 5 bits 5 bits 11 bits
4.1.2. Types of Lower Instructions
There are 7 types of Lower instructions:
LowerOP field type 1
Specifies 3 registers, e.g. IADD instruction.
Lower 32-bit word: LowerOP field type 1
31 30 29 28 27 26 25 24 23 22 21 20 19 18 17 16 15 14 13 12 11 10 09 08 07 06 05 04 03 02 01 00
Lower OP. dest ft reg fs reg fd reg OPCODE
1000000 ---- ----- ----- ----- ------
7 bits 4 bits 5 bits 5 bits 5 bits 6 bits
LowerOP field type 3
Specifies up to two registers and a dest field, e.g. MOVE instruction.
Example: MOVE.xyzw VF10xyzw, VF20xyzw
Operation: VF10x = VF20x
VF10y = VF20y
VF10z = VF20z
VF10w = VF20w
Lower 32-bit word: LowerOP field type 3
31 30 29 28 27 26 25 24 23 22 21 20 19 18 17 16 15 14 13 12 11 10 09 08 07 06 05 04 03 02 01 00
Lower OP. dest ft reg fs reg OPCODE
1000000 ---- ----- ----- ----- 1111 --
7 bits 4 bits 5 bits 5 bits 11 bits

SCE CONFIDENTIAL VU User's Manual Version 6.0
© SCEI
-60-
LowerOP field type 4
Specifies 2 floating-point registers with a specific field for each, e.g. DIV instruction.
Example: DIV Q, VF10x, VF20y
Operation: Q = VF10x ÷ VF20y
Lower 32-bit word: LowerOP field type 4
31 30 29 28 27 26 25 24 23 22 21 20 19 18 17 16 15 14 13 12 11 10 09 08 07 06 05 04 03 02 01 00
Lower OP. ftf fsf ft reg fs reg OPCODE
1000000 -- -- ----- ----- ----- 1111 --
7 bits 2 bits 2 bits 5 bits 5 bits 11 bits
LowerOP field type 5
Specifies 2 registers and a 5-bit immediate value, e.g. IADDI instruction.
Lower 32-bit word: LowerOP field type 5
31 30 29 28 27 26 25 24 23 22 21 20 19 18 17 16 15 14 13 12 11 10 09 08 07 06 05 04 03 02 01 00
Lower OP. dest it reg is reg Imm5 OPCODE
1000000 0000 ----- ----- ----- ------
7 bits 4 bits 5 bits 5 bits 5 bits 6 bits
LowerOP field type 7
Specifies 2 registers and an 11-bit immediate value, e.g. ILW instruction.
Lower 32-bit word: LowerOP field type 7
31 30 29 28 27 26 25 24 23 22 21 20 19 18 17 16 15 14 13 12 11 10 09 08 07 06 05 04 03 02 01 00
Lower OP. dest it reg fs reg Imm11
0------ ---- ----- ----- -----------
7 bits 4 bits 5 bits 5 bits 11 bits
LowerOP field type 8
Specifies 2 registers and a 15-bit immediate value.
Lower 32-bit word: LowerOP field type 8
31 30 29 28 27 26 25 24 23 22 21 20 19 18 17 16 15 14 13 12 11 10 09 08 07 06 05 04 03 02 01 00
Lower OP. Imm15 it reg fs reg Imm15
0------ ---- ----- ----- -----------
7 bits 4 bits 5 bits 5 bits 11 bits
LowerOP field type 9
Specifies a 24-bit immediate value, e.g. FCAND instruction.
Lower 32-bit word: LowerOP field type 9
31 30 29 28 27 26 25 24 23 22 21 20 19 18 17 16 15 14 13 12 11 10 09 08 07 06 05 04 03 02 01 00
Lower OP. - Imm24
0------ 0 ------------------------
7 bits 1 24 bits

SCE CONFIDENTIAL VU User's Manual Version 6.0
© SCEI
-61-
4.1.3. Operation Fields for Micro Instructions
Various operation fields in operation codes are explained in this section.
dest field (Upper/Lower)
Upper 32-bit word: UpperOP field type 0
63
62
61
60
59
58
57 56 55 54 53 52
51
50
49
48
47
46
45
44
43
42
41
40
39
38
37
36
35
34
33
32
I
E
M
D
T
-
- dest ft reg
fs reg
fd reg
OPCODE
bc
-
-
-
-
-
0
0 ---- -----
-----
-----
----
--
1
1
1
1
1
1
1 4 bits 5 bits
5 bits
5 bits
4 bits
2 bits
Lower 32-bit word: LowerOP field type 1
31
30
29
28
27
26
25 24 23 22 21 20
19
18
17
16
15
14
13
12
11
10
09
08
07
06
05
04
03
02
01
00
Lower OP. dest ft reg
fs reg
fd reg
OPCODE
1000000 ---- -----
-----
-----
------
7 bits 4 bits 5 bits
5 bits
5 bits
6 bits
The dest field specifies the FMAC units to be operated in parallel; that is, either the x, y, z or w field of the 128-
bit data to be operated on.
The dest field is 4 bits: bits 56 through 53 for Upper instructions and bits 24 through 21 for Lower instructions.
Each of the 4 bits can be specified independently; when the bit is set to 1, the corresponding FMAC unit /field
becomes effective.
Bit
Upper Lower
Corresponding FMAC /Field
56 24 x
55 23 y
54 22 z
53 21 w
bc field (Upper)
Upper 32-bit word: UpperOP field type 0
63
62
61
60
59
58
57
56
55
54
53
52
51
50
49
48
47
46
45
44
43
42
41
40
39
38
37
36
35
34 33 32
I
E
M
D
T
-
-
dest
ft reg
fs reg
fd reg
OPCODE
bc
-
-
-
-
-
0
0
----
-----
-----
-----
---- --
1
1
1
1
1
1
1
4 bits
5 bits
5 bits
5 bits
4 bits 2 bits
Lower 32-bit word: LowerOP field type 1
31
30
29
28
27
26
25
24
23
22
21
20
19
18
17
16
15
14
13
12
11
10
09
08
07
06
05
04
03
02
01
00
Lower OP.
dest
ft reg
fs reg
fd reg
OPCODE
1000000
----
-----
-----
-----
------
7 bits
4 bits
5 bits
5 bits
5 bits
6 bits
The bc field is bits 33 and 32, and specifies the broadcast field as below.
Specified value of bc field Broadcast field
00 x
01 y
10 z
11 w

SCE CONFIDENTIAL VU User's Manual Version 6.0
© SCEI
-62-
fsf/ftf field
Upper 32-bit word: UpperOP field type 0
63
62
61
60
59
58
57
56
55
54
53
52
51
50
49
48
47
46
45
44
43
42
41
40
39
38
37
36
35
34
33
32
I
E
M
D
T
-
-
dest
ft reg
fs reg
fd reg
OPCODE
bc
-
-
-
-
-
0
0
----
-----
-----
-----
----
--
1
1
1
1
1
1
1
4 bits
5 bits
5 bits
5 bits
4 bits
2 bits
Lower 32-bit word: LowerOP field type 4
31
30
29
28
27
26
25
24
23 22 21 20
19
18
17
16
15
14
13
12
11
10
09
08
07
06
05
04
03
02
01
00
Lower OP.
ftf fsf ft reg
fs reg
OPCODE
1000000
-- -- -----
-----
-----
1111
--
7 bits
2 bits 2 bits 5 bits
5 bits
11 bits
The combinations of the fsf field with the fs reg field and the ftf field with the ft reg field specify the field to be
calculated by the instruction. Bits 22 and 21 of the Lower instruction are used for the fsf field, and bits 24 and
23 are used for the ftf field.
Specified value for fsf/ftf field Field to be operated
00 x
01 y
10 z
11 w
I bit (Upper)
Upper 32-bit word: UpperOP field type 0
63 62
61
60
59
58
57
56
55
54
53
52
51
50
49
48
47
46
45
44
43
42
41
40
39
38
37
36
35
34
33
32
I E
M
D
T
-
-
dest
ft reg
fs reg
fd reg
OPCODE
bc
- -
-
-
-
0
0
----
-----
-----
-----
----
--
1 1
1
1
1
1
1
4 bits
5 bits
5 bits
5 bits
4 bits
2 bits
Lower 32-bit word: LowerOP field type 1
31
30
29
28
27
26
25
24
23
22
21
20
19
18
17
16
15
14
13
12
11
10
09
08
07
06
05
04
03
02
01
00
Lower OP.
dest
ft reg
fs reg
fd reg
OPCODE
1000000
----
-----
-----
-----
------
7 bits
4 bits
5 bits
5 bits
5 bits
6 bits
The I bit is specified when loading an immediate value into the I register. When bit 63 of the Upper instruction
field is set to 1, the contents of the Lower instruction field are loaded into the I register as a single-precision
floating-point immediate value.

SCE CONFIDENTIAL VU User's Manual Version 6.0
© SCEI
-63-
E bit (Upper)
Upper 32-bit word: UpperOP field type 0
63 62 61 60 59 58 57 56 55 54 53 52 51 50 49 48 47 46 45 44 43 42 41 40 39 38 37 36 35 34 33 32
I E M
D
T
-
-
dest
ft reg
fs reg
fd reg
OPCODE
bc
- - -
-
-
0
0
----
-----
-----
-----
----
--
1 1 1
1
1
1
1
4 bits
5 bits
5 bits
5 bits
4 bits
2 bits
Lower 32-bit word: LowerOP field type 1
31
30
29
28
27
26
25
24
23
22
21
20
19
18
17
16
15
14
13
12
11
10
09
08
07
06
05
04
03
02
01
00
Lower OP.
dest
ft reg
fs reg
fd reg
OPCODE
1000000
----
-----
-----
-----
------
7 bits
4 bits
5 bits
5 bits
5 bits
6 bits
The E bit is bit 62 of the Upper instruction field; it is used when designating termination of a micro subroutine.
When the E bit is set to 1, the VU terminates execution of the micro subroutine after the next instruction and
returns to macro mode.
M bit (Upper)
Upper 32-bit word: UpperOP field type 0
63
62 61 60
59
58
57
56
55
54
53
52
51
50
49
48
47
46
45
44
43
42
41
40
39
38
37
36
35
34
33
32
I
E M D
T
-
-
dest
ft reg
fs reg
fd reg
OPCODE
bc
- - -
-
-
0
0
----
-----
-----
-----
----
--
1
1 1 1
1
1
1
4 bits
5 bits
5 bits
5 bits
4 bits
2 bits
Lower 32-bit word: LowerOP field type 1
31
30
29
28
27
26
25
24
23
22
21
20
19
18
17
16
15
14
13
12
11
10
09
08
07
06
05
04
03
02
01
00
Lower OP.
dest
ft reg
fs reg
fd reg
OPCODE
1000000
----
-----
-----
-----
------
7 bits
4 bits
5 bits
5 bits
5 bits
6 bits
The M bit is bit 61 of the Upper instruction field; it specifies QMTC2 / CTC2 instruction interlock. The
QMTC2 / CTC2 instruction is executed without interlocking when the M bit is set to 1. Refer to "5.4. Macro
Mode Pipeline".
D bit (Upper)
Upper 32-bit word: UpperOP field type 0
63
62
61 60 59
58
57
56
55
54
53
52
51
50
49
48
47
46
45
44
43
42
41
40
39
38
37
36
35
34
33
32
I
E
M D T
-
-
dest
ft reg
fs reg
fd reg
OPCODE
bc
- - -
-
-
0
0
----
-----
-----
-----
----
--
1
1
1 1 1
1
1
4 bits
5 bits
5 bits
5 bits
4 bits
2 bits
Lower 32-bit word: LowerOP field type 1
31
30
29
28
27
26
25
24
23
22
21
20
19
18
17
16
15
14
13
12
11
10
09
08
07
06
05
04
03
02
01
00
Lower OP.
dest
ft reg
fs reg
fd reg
OPCODE
1000000
----
-----
-----
-----
------
7 bits
4 bits
5 bits
5 bits
5 bits
6 bits
The D bit is bit 60 of the Upper instruction; it specifies a debug break instruction. When the D bit is set to 1
and the instruction is executed, the VU is halted and an interrupt signal is sent to the host processor. The
interrupt can be enabled/disabled by the DE bit (D bit Enable) of the control register FBRST.

SCE CONFIDENTIAL VU User's Manual Version 6.0
© SCEI
-64-
T bit (Upper)
Upper 32-bit word: UpperOP field type 0
63
62
61
60 59 58
57
56
55
54
53
52
51
50
49
48
47
46
45
44
43
42
41
40
39
38
37
36
35
34
33
32
I
E
M
D T -
-
dest
ft reg
fs reg
fd reg
OPCODE
bc
-
-
-
- - 0
0
----
-----
-----
-----
----
--
1
1
1
1 1 1
1
4 bits
5 bits
5 bits
5 bits
4 bits
2 bits
Lower 32-bit word: LowerOP field type 1
31
30
29
28
27
26
25
24
23
22
21
20
19
18
17
16
15
14
13
12
11
10
09
08
07
06
05
04
03
02
01
00
Lower OP.
dest
ft reg
fs reg
fd reg
OPCODE
1000000
----
-----
-----
-----
------
7 bits
4 bits
5 bits
5 bits
5 bits
6 bits
The T bit is bit 59 of the Upper instruction; it specifies debug halt instruction. In the same manner as the D bit,
when the T bit is set to 1 and the instruction is executed, the VU is halted, and an interrupt signal is sent to the
host processor. The interrupt can be enabled/disabled by the TE bit (T bit Enable) of the control register
FBRST.

SCE CONFIDENTIAL VU User's Manual Version 6.0
© SCEI
-65-
4.2. Upper Instruction Reference
This section describes the function, operation code, mnemonic, operation, flag changes, and throughput/latency
of Upper instructions. They are listed in alphabetical order in mnemonic form. The descriptions also include
examples, programming notes, and reference information.

SCE CONFIDENTIAL VU User's Manual Version 6.0
© SCEI
-66-
ABS : Absolute Value
Calculates the absolute value of VF[fs] and stores the result in VF[ft].
Operation Code
Upper 32-bit word: UpperOP field type 3
63 62 61 60 59 58 57 56 55 54 53 52 51 50 49 48 47 46 45 44 43 42 41 40 39 38 37 36 35 34 33 32
I E M D T - - dest ft reg fs reg ABS
- - - - - 0 0 ---- ----- ----- 00111 1111 01
1 1 1 1 1 1 1 4 bits 5 bits 5 bits 11 bits
Mnemonic
ABS.dest VF[ft]dest, VF[fs]dest
Operation
if (x ⊆ dest) then VF[ft]x = |VF[fs]x|
if (y ⊆ dest) then VF[ft]y = |VF[fs]y|
if (z ⊆ dest) then VF[ft]z = |VF[fs]z|
if (w ⊆ dest) then VF[ft]w = |VF[fs]w|
Flag Changes
MAC flag status flag
Oxyzw Uxyzw Sxyzw Zxyzw DS IS OS US SS ZS D I O U S Z
clipping
flag
---- ---- ---- ---- - - - - - - - - - - - - -
Throughput/latency
1 / 4
Example
ABS.xyzw VF10xyzw, VF20xyzw
VF10x = |VF20x|
VF10y = |VF20y|
VF10z = |VF20z|
VF10w = |VF20w|

SCE CONFIDENTIAL VU User's Manual Version 6.0
© SCEI
-67-
ADD : Add
Calculates the sum of VF[fs] and VF[ft], and stores the result in VF[fd].
Operation Code
Upper 32-bit word: UpperOP field type 1
63 62 61 60 59 58 57 56 55 54 53 52 51 50 49 48 47 46 45 44 43 42 41 40 39 38 37 36 35 34 33 32
I E M D T - - dest ft reg fs reg fd reg ADD
- - - - - 0 0 ---- ----- ----- ----- 101000
1 1 1 1 1 1 1 4 bits 5 bits 5 bits 5 bits 6 bits
Mnemonic
ADD.dest VF[fd]dest, VF[fs]dest, VF[ft]dest
Operation
if (x ⊆ dest) then VF[fd]x = VF[fs]x + VF[ft]x
if (y ⊆ dest) then VF[fd]y = VF[fs]y + VF[ft]y
if (z ⊆ dest) then VF[fd]z = VF[fs]z + VF[ft]z
if (w ⊆ dest) then VF[fd]w = VF[fs]w + VF[ft]w
Flag Changes
MAC flag status flag
Oxyzw Uxyzw Sxyzw Zxyzw DS IS OS US SS ZS D I O U S Z
clipping
flag
XXXX XXXX XXXX XXXX - - X X X X - - X X X X -
Throughput/Latency
1 / 4
Example
ADD.xyzw VF10xyzw, VF20xyzw, VF30xyzw
VF10x = VF20x + VF30x
VF10y = VF20y + VF30y
VF10z = VF20z + VF30z
VF10w = VF20w + VF30w

SCE CONFIDENTIAL VU User's Manual Version 6.0
© SCEI
-68-
ADDi : Add to I Register
Adds each field of VF[fs] and the I register, and stores the sum in the corresponding field of VF[fd].
Operation Code
Upper 32-bit word: UpperOP field type 1
63 62 61 60 59 58 57 56 55 54 53 52 51 50 49 48 47 46 45 44 43 42 41 40 39 38 37 36 35 34 33 32
I E M D T - - dest ft reg fs reg fd reg ADDi
- - - - - 0 0 ---- 00000 ----- ----- 100010
1 1 1 1 1 1 1 4 bits 5 bits 5 bits 5 bits 6 bits
Mnemonic
ADDi.dest VF[fd]dest, VF[fs]dest, I
Operation
if (x ⊆ dest) then VF[fd]x = VF[fs]x + I
if (y ⊆ dest) then VF[fd]y = VF[fs]y + I
if (z ⊆ dest) then VF[fd]z = VF[fs]z + I
if (w ⊆ dest) then VF[fd]w = VF[fs]w + I
Flag Changes
MAC flag status flag
Oxyzw Uxyzw Sxyzw Zxyzw DS IS OS US SS ZS D I O U S Z
clipping
flag
XXXX XXXX XXXX XXXX - - X X X X - - X X X X -
Throughput/Latency
1 / 4
Example
ADDi.xyzw VF10xyzw, VF20xyzw, I
VF10x = VF20x + I
VF10y = VF20y + I
VF10z = VF20z + I
VF10w = VF20w + I

SCE CONFIDENTIAL VU User's Manual Version 6.0
© SCEI
-69-
ADDq : Add to Q Register
Adds each field of VF[fs] and the Q register, and stores the sum in the corresponding field of VF[fd].
Operation Code
Upper 32-bit word: UpperOP field type 1
63 62 61 60 59 58 57 56 55 54 53 52 51 50 49 48 47 46 45 44 43 42 41 40 39 38 37 36 35 34 33 32
I E M D T - - dest ft reg fs reg fd reg ADDq
- - - - - 0 0 ---- 00000 ----- ----- 100000
1 1 1 1 1 1 1 4 bits 5 bits 5 bits 5 bits 6 bits
Mnemonic
ADDq.dest VF[fd]dest, VF[fs]dest, Q
Operation
if (x ⊆ dest) then VF[fd]x = VF[fs]x + Q
if (y ⊆ dest) then VF[fd]y = VF[fs]y + Q
if (z ⊆ dest) then VF[fd]z = VF[fs]z + Q
if (w ⊆ dest) then VF[fd]w = VF[fs]w + Q
Flag Changes
MAC flag status flag
Oxyzw Uxyzw Sxyzw Zxyzw DS IS OS US SS ZS D I O U S Z
clipping
flag
XXXX XXXX XXXX XXXX - - X X X X - - X X X X -
Throughput/Latency
1 / 4
Example
ADDq.xyzw VF10xyzw, VF20xyzw, Q
VF10x = VF20x + Q
VF10y = VF20y + Q
VF10z = VF20z + Q
VF10w = VF20w + Q

SCE CONFIDENTIAL VU User's Manual Version 6.0
© SCEI
-70-
ADDbc : Broadcast Add
Calculates the sum of each field of VF[fs] and the specified field of VF[ft], and stores the sum in the
corresponding field of VF[fd].
Operation Code
Upper 32-bit word: UpperOP field type 0
63 62 61 60 59 58 57 56 55 54 53 52 51 50 49 48 47 46 45 44 43 42 41 40 39 38 37 36 35 34 33 32
I E M D T - - dest ft reg fs reg fd reg ADD? bc
- - - - - 0 0 ---- ----- ----- ----- 0000 --
1 1 1 1 1 1 1 4 bits 5 bits 5 bits 5 bits 4 bits 2 bits
Mnemonic
ADDbc.dest VF[fd]dest, VF[fs]dest, VF[ft]bc
Operation
if (x ⊆ dest) then VF[fd]x = VF[fs]x + VF[ft]bc
if (y ⊆ dest) then VF[fd]y = VF[fs]y + VF[ft]bc
if (z ⊆ dest) then VF[fd]z = VF[fs]z + VF[ft]bc
if (w ⊆ dest) then VF[fd]w = VF[fs]w + VF[ft]bc
Flag Changes
MAC flag status flag
Oxyzw Uxyzw Sxyzw Zxyzw DS IS OS US SS ZS D I O U S Z
clipping
flag
XXXX XXXX XXXX XXXX - - X X X X - - X X X X -
Throughput/Latency
1 / 4
Example
ADDx.xyzw VF10xyzw, VF20xyzw, VF30x
VF10x = VF20x + VF30x
VF10y = VF20y + VF30x
VF10z = VF20z + VF30x
VF10w = VF20w + VF30x

SCE CONFIDENTIAL VU User's Manual Version 6.0
© SCEI
-71-
ADDA : Add; to Accumulator
Adds VF[fs] and VF[ft], and stores the sum in ACC.
Operation Code
Upper 32-bit word: UpperOP field type 3
63 62 61 60 59 58 57 56 55 54 53 52 51 50 49 48 47 46 45 44 43 42 41 40 39 38 37 36 35 34 33 32
I E M D T - - dest ft reg fs reg ADDA
- - - - - 0 0 ---- ----- ----- 01010 1111 00
1 1 1 1 1 1 1 4 bits 5 bits 5 bits 11 bits
Mnemonic
ADDA.dest ACCdest, VF[fs]dest, VF[ft]dest
Operation
if (x ⊆ dest) then ACCx = VF[fs]x + VF[ft]x
if (y ⊆ dest) then ACCy = VF[fs]y + VF[ft]y
if (z ⊆ dest) then ACCz = VF[fs]z + VF[ft]z
if (w ⊆ dest) then ACCw = VF[fs]w + VF[ft]w
Flag Changes
MAC flag status flag
Oxyzw Uxyzw Sxyzw Zxyzw DS IS OS US SS ZS D I O U S Z
clipping
flag
XXXX XXXX XXXX XXXX - - X X X X - - X X X X -
Throughput/Latency
1 / 4
Example
ADDA.xyzw ACCxyzw, VF20xyzw, VF30xyzw
ACCx = VF20x + VF30x
ACCy = VF20y + VF30y
ACCz = VF20z + VF30z
ACCw = VF20w + VF30w

SCE CONFIDENTIAL VU User's Manual Version 6.0
© SCEI
-72-
ADDAi : Add I Register; to Accumulator
Adds each field of VF[fs] and the I register, and stores the sum in the corresponding field of ACC.
Operation Code
Upper 32-bit word: UpperOP field type 3
63 62 61 60 59 58 57 56 55 54 53 52 51 50 49 48 47 46 45 44 43 42 41 40 39 38 37 36 35 34 33 32
I E M D T - - dest ft reg fs reg ADDAi
- - - - - 0 0 ---- 00000 ----- 01000 1111 10
1 1 1 1 1 1 1 4 bits 5 bits 5 bits 11 bits
Mnemonic
ADDAi.dest ACCdest, VF[fs]dest, I
Operation
if (x ⊆ dest) then ACCx = VF[fs]x + I
if (y ⊆ dest) then ACCy = VF[fs]y + I
if (z ⊆ dest) then ACCz = VF[fs]z + I
if (w ⊆ dest) then ACCw = VF[fs]w + I
Flag Changes
MAC flag status flag
Oxyzw Uxyzw Sxyzw Zxyzw DS IS OS US SS ZS D I O U S Z
clipping
flag
XXXX XXXX XXXX XXXX - - X X X X - - X X X X -
Throughput/Latency
1 / 4
Example
ADDAi.xyzw ACCxyzw, VF20xyzw, I
ACCx = VF20x + I
ACCy = VF20y + I
ACCz = VF20z + I
ACCw = VF20w + I

SCE CONFIDENTIAL VU User's Manual Version 6.0
© SCEI
-73-
ADDAq : Add Q Register; to Accumulator
Adds each field of VF[fs] and the Q register, and stores the sum in the corresponding field of ACC.
Operation Code
Upper 32-bit word: UpperOP field type 3
63 62 61 60 59 58 57 56 55 54 53 52 51 50 49 48 47 46 45 44 43 42 41 40 39 38 37 36 35 34 33 32
I E M D T - - dest ft reg fs reg ADDAq
- - - - - 0 0 ---- 00000 ----- 01000 1111 00
1 1 1 1 1 1 1 4 bits 5 bits 5 bits 11 bits
Mnemonic
ADDAq.dest ACCdest, VF[fs]dest, Q
Operation
if (x ⊆ dest) then ACCx = VF[fs]x + Q
if (y ⊆ dest) then ACCy = VF[fs]y + Q
if (z ⊆ dest) then ACCz = VF[fs]z + Q
if (w ⊆ dest) then ACCw = VF[fs]w + Q
Flag Changes
MAC flag status flag
Oxyzw Uxyzw Sxyzw Zxyzw DS IS OS US SS ZS D I O U S Z
clipping
flag
XXXX XXXX XXXX XXXX - - X X X X - - X X X X -
Throughput/Latency
1 / 4
Example
ADDAq.xyzw ACCxyzw, VF20xyzw, Q
ACCx = VF20x + Q
ACCy = VF20y + Q
ACCz = VF20z + Q
ACCw = VF20w + Q

SCE CONFIDENTIAL VU User's Manual Version 6.0
© SCEI
-74-
ADDAbc : Broadcast Add; to Accumulator
Adds each field of VF[fs] and the specified field of VF[ft], and stores the sum in ACC.
Operation Code
Upper 32-bit word: UpperOP field type 2
63 62 61 60 59 58 57 56 55 54 53 52 51 50 49 48 47 46 45 44 43 42 41 40 39 38 37 36 35 34 33 32
I E M D T - - dest ft reg fs reg ADDA? bc
- - - - - 0 0 ---- ----- ----- 00000 1111 --
1 1 1 1 1 1 1 4 bits 5 bits 5 bits 9 bits 2 bits
Mnemonic
ADDAbc.dest ACCdest, VF[fs]dest, VF[ft]bc
Operation
if (x ⊆ dest) then ACCx = VF[fs]x + VF[ft]bc
if (y ⊆ dest) then ACCy = VF[fs]y + VF[ft]bc
if (z ⊆ dest) then ACCz = VF[fs]z + VF[ft]bc
if (w ⊆ dest) then ACCw = VF[fs]w + VF[ft]bc
Flag Changes
MAC flag status flag
Oxyzw Uxyzw Sxyzw Zxyzw DS IS OS US SS ZS D I O U S Z
clipping
flag
XXXX XXXX XXXX XXXX - - X X X X - - X X X X -
Throughput/Latency
1 / 4
Example
ADDAx.xyzw ACCxyzw, VF20xyzw, VF30x
ACCx = VF20x + VF30x
ACCy = VF20y + VF30x
ACCz = VF20z + VF30x
ACCw = VF20w + VF30x

SCE CONFIDENTIAL VU User's Manual Version 6.0
© SCEI
-75-
CLIP : Clipping Judgment
Performs clipping judgment by the x,y,z field of VF[fs] and the w field of VF[ft] and sets the clipping flag (CF)
to the result.
Operation Code
Upper 32-bit word: UpperOP field type 3
63 62 61 60 59 58 57 56 55 54 53 52 51 50 49 48 47 46 45 44 43 42 41 40 39 38 37 36 35 34 33 32
I E M D T - - dest ft reg fs reg CLIPw
- - - - - 0 0 1110 ----- ----- 00111 1111 11
1 1 1 1 1 1 1 4 bits 5 bits 5 bits 11 bits
Mnemonic
CLIPw.xyz VF[fs]xyz, VF[ft]w
Operation
CF = CF << 6
if (VF[fs]x > +|VF[ft]w|) then {set +x flag}
if (VF[fs]x < -|VF[ft]w|) then {set -x flag}
if (VF[fs]y > +|VF[ft]w|) then {set +y flag}
if (VF[fs]y < -|VF[ft]w|) then {set -y flag}
if (VF[fs]z > +|VF[ft]w|) then {set +z flag}
if (VF[fs]z < -|VF[ft]w|) then {set -z flag}
Flag Changes
MAC flag status flag
Oxyzw Uxyzw Sxyzw Zxyzw DS IS OS US SS ZS D I O U S Z
clipping
flag
---- ---- ---- ---- - - - - - - - - - - - - X
Throughput/Latency
1 / 4
Example
CLIPw.xyz VF10xyz, VF10w
Under the following condition:
VF10x > +|VF10w|,
-|VF10w| < VF10y < +|VF10w|,
VF10z < -|VF10w|

SCE CONFIDENTIAL VU User's Manual Version 6.0
© SCEI
-76-
Before Execution
23 22 21 20 19 18 17 16 15 14 13 12 11 10 09 08 07 06 05 04 03 02 01 00
3rd previous
judgment
2nd previous
judgment
Previous
judgment
Current
judgment
-
z
+
z
-
y
+
y
-
x
+
x
-
z
+
z
-
y
+
y
-
x
+
x
-
z
+
z
-
y
+
y
-
x
+
x
-
z
+
z
-
y
+
y
-
x
+
x
0 1 0 1 0 0 0 0 0 0 0 0 0 0 0 0 1 0 1 0 1 0 1 0
6 bits 6 bits 6 bits 6 bits
↓
After Execution
23 22 21 20 19 18 17 16 15 14 13 12 11 10 09 08 07 06 05 04 03 02 01 00
3rd previous
judgment
2nd previous
judgment
Previous
judgment
Current
judgment
-
z
+
z
-
y
+
y
-
x
+
x
-
z
+
z
-
y
+
y
-
x
+
x
-
z
+
z
-
y
+
y
-
x
+
x
-
z
+
z
-
y
+
y
-
x
+
x
0 0 0 0 0 0 0 0 0 0 1 0 1 0 1 0 1 0 1 0 0 0 0 1
6 bits 6 bits 6 bits 6 bits
Remarks
In order to branch according to the results of clipping judgment, the Lower instructions
FCAND/FCEQ/FCGET/FCOR are available.

SCE CONFIDENTIAL VU User's Manual Version 6.0
© SCEI
-77-
FTOI0 : Convert to Fixed Point
Converts the value of VF[fs] into a fixed-point number whose fractional part is 0 bit, and stores the result in
VF[ft].
Operation Code
Upper 32-bit word: UpperOP field type 3
63 62 61 60 59 58 57 56 55 54 53 52 51 50 49 48 47 46 45 44 43 42 41 40 39 38 37 36 35 34 33 32
I E M D T - - dest ft reg fs reg FTOI0
- - - - - 0 0 ---- ----- ----- 00101 1111 00
1 1 1 1 1 1 1 4 bits 5 bits 5 bits 11 bits
Mnemonic
FTOI0.dest VF[ft]dest, VF[fs]dest
Operation
if (x ⊆ dest) then
VF[ft]x = float_to_integer0(VF[fs]x)
if (y ⊆ dest) then
VF[ft]y = float_to_integer0(VF[fs]y)
if (z ⊆ dest) then
VF[ft]z = float_to_integer0(VF[fs]z)
if (w ⊆ dest) then
VF[ft]w = float_to_integer0(VF[fs]w)
Flag Changes
MAC flag status flag
Oxyzw Uxyzw Sxyzw Zxyzw DS IS OS US SS ZS D I O U S Z
clipping
flag
---- ---- ---- ---- - - - - - - - - - - - - -
Throughput/Latency
1 / 4
Example
FTOI0.xyzw VF10xyzw, VF20xyzw
VF10x = float_to_integer0(VF20x)
VF10y = float_to_integer0(VF20y)
VF10z = float_to_integer0(VF20z)
VF10w = float_to_integer0(VF20w)
Remarks
A few examples are shown in the following table:
x float_to_integer0(x)
-0.45 0
0.45 0
0.55 0
123.45 123

SCE CONFIDENTIAL VU User's Manual Version 6.0
© SCEI
-78-
FTOI4 : Convert to Fixed Point
Converts the value of VF[fs] into a fixed-point number whose fractional part is 4 bits, and stores the result in
VF[ft].
Operation Code
Upper 32-bit word: UpperOP field type 3
63 62 61 60 59 58 57 56 55 54 53 52 51 50 49 48 47 46 45 44 43 42 41 40 39 38 37 36 35 34 33 32
I E M D T - - dest ft reg fs reg FTOI4
- - - - - 0 0 ---- ----- ----- 00101 1111 01
1 1 1 1 1 1 1 4 bits 5 bits 5 bits 11 bits
Mnemonic
FTOI4.dest VF[ft]dest, VF[fs]dest
Operation
if (x ⊆ dest) then
VF[ft]x = float_to_integer4(VF[fs]x)
if (y ⊆ dest) then
VF[ft]y = float_to_integer4(VF[fs]y)
if (z ⊆ dest) then
VF[ft]z = float_to_integer4(VF[fs]z)
if (w ⊆ dest) then
VF[ft]w = float_to_integer4(VF[fs]w)
Flag Changes
MAC flag status flag
Oxyzw Uxyzw Sxyzw Zxyzw DS IS OS US SS ZS D I O U S Z
clipping
flag
---- ---- ---- ---- - - - - - - - - - - - - -
Throughput/Latency
1 / 4
Example
FTOI4.xyzw VF10xyzw, VF20xyzw
VF10x = float_to_integer4(VF20x)
VF10y = float_to_integer4(VF20y)
VF10z = float_to_integer4(VF20z)
VF10w = float_to_integer4(VF20w)
Remarks
A few examples are shown in the following table:
x float_to_integer4(x)
-0.45 -7
0.45 7
0.55 8
123.45 1975

SCE CONFIDENTIAL VU User's Manual Version 6.0
© SCEI
-79-
FTOI12 : Convert to Fixed Point
Converts the value of VF[fs] into a fixed-point number whose fractional part is 12 bits, and stores the result in
VF[ft].
Operation Code
Upper 32-bit word: UpperOP field type 3
63 62 61 60 59 58 57 56 55 54 53 52 51 50 49 48 47 46 45 44 43 42 41 40 39 38 37 36 35 34 33 32
I E M D T - - dest ft reg fs reg FTOI12
- - - - - 0 0 ---- ----- ----- 00101 1111 10
1 1 1 1 1 1 1 4 bits 5 bits 5 bits 11 bits
Mnemonic
FTOI12.dest VF[ft]dest, VF[fs]dest
Operation
if (x ⊆ dest) then
VF[ft]x = float_to_integer12(VF[fs]x)
if (y ⊆ dest) then
VF[ft]y = float_to_integer12(VF[fs]y)
if (z ⊆ dest) then
VF[ft]z = float_to_integer12(VF[fs]z)
if (w ⊆ dest) then
VF[ft]w = float_to_integer12(VF[fs]w)
Flag Changes
MAC flag status flag
Oxyzw Uxyzw Sxyzw Zxyzw DS IS OS US SS ZS D I O U S Z
clipping
flag
---- ---- ---- ---- - - - - - - - - - - - - -
Throughput/Latency
1 / 4
Example
FTOI12.xyzw VF10xyzw, VF20xyzw
VF10x = float_to_integer12(VF20x)
VF10y = float_to_integer12(VF20y)
VF10z = float_to_integer12(VF20z)
VF10w = float_to_integer12(VF20w)
Remarks
A few examples are shown in the following table:
x float_to_integer12(x)
-0.45 -1843
0.45 1843
0.55 2252
123.45 505651

SCE CONFIDENTIAL VU User's Manual Version 6.0
© SCEI
-80-
FTOI15 : Convert to Fixed Point
Converts the value of VF[fs] into a fixed-point number whose fractional part is 15 bits, and stores the result in
VF[ft].
Operation Code
Upper 32-bit word: UpperOP field type 3
63 62 61 60 59 58 57 56 55 54 53 52 51 50 49 48 47 46 45 44 43 42 41 40 39 38 37 36 35 34 33 32
I E M D T - - dest ft reg fs reg FTOI15
- - - - - 0 0 ---- ----- ----- 00101 1111 11
1 1 1 1 1 1 1 4 bits 5 bits 5 bits 11 bits
Mnemonic
FTOI15.dest VF[ft]dest, VF[fs]dest
Operation
if (x ⊆ dest) then
VF[ft]x = float_to_integer15(VF[fs]x)
if (y ⊆ dest) then
VF[ft]y = float_to_integer15(VF[fs]y)
if (z ⊆ dest) then
VF[ft]z = float_to_integer15(VF[fs]z)
if (w ⊆ dest) then
VF[ft]w = float_to_integer15(VF[fs]w)
Flag Changes
MAC flag status flag
Oxyzw Uxyzw Sxyzw Zxyzw DS IS OS US SS ZS D I O U S Z
clipping
flag
---- ---- ---- ---- - - - - - - - - - - - - -
Throughput/Latency
1 / 4
Example
FTOI15.xyzw VF10xyzw, VF20xyzw
VF10x = float_to_integer15(VF20x)
VF10y = float_to_integer15(VF20y)
VF10z = float_to_integer15(VF20z)
VF10w = float_to_integer15(VF20w)
Remarks
A few examples are shown in the following table:
x float_to_integer15(x)
-0.45 -14745
0.45 14745
0.55 18022
123.45 4045209

SCE CONFIDENTIAL VU User's Manual Version 6.0
© SCEI
-81-
ITOF0 : Convert to Floating-Point Number
Considers the value of VF[fs] as a fixed-point number whose fractional part is 0 bit, and converts it into floating
point and stores the result in VF[ft].
Operation Code
Upper 32-bit word: UpperOP field type 3
63 62 61 60 59 58 57 56 55 54 53 52 51 50 49 48 47 46 45 44 43 42 41 40 39 38 37 36 35 34 33 32
I E M D T - - dest ft reg fs reg ITOF0
- - - - - 0 0 ---- ----- ----- 00100 1111 00
1 1 1 1 1 1 1 4 bits 5 bits 5 bits 11 bits
Mnemonic
ITOF0.dest VF[ft]dest, VF[fs]dest
Operation
if (x ⊆ dest) then
VF[ft]x = integer_to_float0(VF[fs]x)
if (y ⊆ dest) then
VF[ft]y = integer_to_float0(VF[fs]y)
if (z ⊆ dest) then
VF[ft]z = integer_to_float0(VF[fs]z)
if (w ⊆ dest) then
VF[ft]w = integer_to_float0(VF[fs]w)
Flag Changes
MAC flag status flag
Oxyzw Uxyzw Sxyzw Zxyzw DS IS OS US SS ZS D I O U S Z
clipping
flag
---- ---- ---- ---- - - - - - - - - - - - - -
Throughput/Latency
1 / 4
Example
ITOF0.xyzw VF10xyzw, VF20xyzw
VF10x = integer_to_float0(VF20x)
VF10y = integer_to_float0(VF20y)
VF10z = integer_to_float0(VF20z)
VF10w = integer_to_float0(VF20w)
Remarks
A few examples are shown in the following table:
x integer_to_float0 (x)
-12 -12.0
1 1.0
123 123.0
1843 1843.0

SCE CONFIDENTIAL VU User's Manual Version 6.0
© SCEI
-82-
ITOF4 : Convert to Floating-Point Number
Considers the value of VF[fs] as a fixed-point number whose fractional part is 4 bits, and converts it into
floating point and stores the result in VF[ft].
Operation Code
Upper 32-bit word: UpperOP field type 3
63 62 61 60 59 58 57 56 55 54 53 52 51 50 49 48 47 46 45 44 43 42 41 40 39 38 37 36 35 34 33 32
I E M D T - - dest ft reg fs reg ITOF4
- - - - - 0 0 ---- ----- ----- 00100 1111 01
1 1 1 1 1 1 1 4 bits 5 bits 5 bits 11 bits
Mnemonic
ITOF4.dest VF[ft]dest, VF[fs]dest
Operation
if (x ⊆ dest) then
VF[ft]x = integer_to_float4(VF[fs]x)
if (y ⊆ dest) then
VF[ft]y = integer_to_float4(VF[fs]y)
if (z ⊆ dest) then
VF[ft]z = integer_to_float4(VF[fs]z)
if (w ⊆ dest) then
VF[ft]w = integer_to_float4(VF[fs]w)
Flag Changes
MAC flag status flag
Oxyzw Uxyzw Sxyzw Zxyzw DS IS OS US SS ZS D I O U S Z
clipping
flag
---- ---- ---- ---- - - - - - - - - - - - - -
Throughput/Latency
1 / 4
Example
ITOF4.xyzw VF10xyzw, VF20xyzw
VF10x = integer_to_float4(VF20x)
VF10y = integer_to_float4(VF20y)
VF10z = integer_to_float4(VF20z)
VF10w = integer_to_float4(VF20w)
Remarks
A few examples are shown in the following table:
x integer_to_float4(x)
-12 -0.750000
1 0.062500
123 7.687500
1843 115.187500

SCE CONFIDENTIAL VU User's Manual Version 6.0
© SCEI
-83-
ITOF12 : Convert to Floating-Point Number
Considers the value of VF[fs] as a fixed-point number whose fractional part is 12 bits, and converts it into
floating point and stores the result in VF[ft].
Operation Code
Upper 32-bit word: UpperOP field type 3
63 62 61 60 59 58 57 56 55 54 53 52 51 50 49 48 47 46 45 44 43 42 41 40 39 38 37 36 35 34 33 32
I E M D T - - dest ft reg fs reg ITOF12
- - - - - 0 0 ---- ----- ----- 00100 1111 10
1 1 1 1 1 1 1 4 bits 5 bits 5 bits 11 bits
Mnemonic
ITOF12.dest VF[ft]dest, VF[fs]dest
Operation
if (x ⊆ dest) then
VF[ft]x = integer_to_float12(VF[fs]x)
if (y ⊆ dest) then
VF[ft]y = integer_to_float12(VF[fs]y)
if (z ⊆ dest) then
VF[ft]z = integer_to_float12(VF[fs]z)
if (w ⊆ dest) then
VF[ft]w = integer_to_float12(VF[fs]w)
Flag Changes
MAC flag status flag
Oxyzw Uxyzw Sxyzw Zxyzw DS IS OS US SS ZS D I O U S Z
clipping
flag
---- ---- ---- ---- - - - - - - - - - - - - -
Throughput/Latency
1 / 4
Example
ITOF12.xyzw VF10xyzw, VF20xyzw
VF10x = integer_to_float12(VF20x)
VF10y = integer_to_float12(VF20y)
VF10z = integer_to_float12(VF20z)
VF10w = integer_to_float12(VF20w)
Remarks
A few examples are shown in the following table:
x integer_to_float12(x)
-12 -0.002930
1 0.000244
123 0.030029
1843 0.449951

SCE CONFIDENTIAL VU User's Manual Version 6.0
© SCEI
-84-
ITOF15 : Convert to Floating-Point Number
Considers the value of VF[fs] as a fixed-point number whose fractional part is 15 bits, and converts it into
floating point and stores the result in VF[ft].
Operation Code
Upper 32-bit word: UpperOP field type 3
63 62 61 60 59 58 57 56 55 54 53 52 51 50 49 48 47 46 45 44 43 42 41 40 39 38 37 36 35 34 33 32
I E M D T - - dest ft reg fs reg ITOF15
- - - - - 0 0 ---- ----- ----- 00100 1111 11
1 1 1 1 1 1 1 4 bits 5 bits 5 bits 11 bits
Mnemonic
ITOF15.dest VF[ft]dest, VF[fs]dest
Operation
if (x ⊆dest) then
VF[ft]x = integer_to_float15(VF[fs]x)
if (y ⊆ dest) then
VF[ft]y = integer_to_float15(VF[fs]y)
if (z ⊆ dest) then
VF[ft]z = integer_to_float15(VF[fs]z)
if (w ⊆ dest) then
VF[ft]w = integer_to_float15(VF[fs]w)
Flag Changes
MAC flag status flag
Oxyzw Uxyzw Sxyzw Zxyzw DS IS OS US SS ZS D I O U S Z
clipping
flag
---- ---- ---- ---- - - - - - - - - - - - - -
Throughput/Latency
1 / 4
Example
ITOF15.xyzw VF10xyzw, VF20xyzw
VF10x = integer_to_float15(VF20x)
VF10y = integer_to_float15(VF20y)
VF10z = integer_to_float15(VF20z)
VF10w = integer_to_float15(VF20w)
Remarks
A few examples are shown in the following table:
x integer_to_float15(x)
-12 -0.000366
1 0.000031
123 0.003754
1843 0.056244

SCE CONFIDENTIAL VU User's Manual Version 6.0
© SCEI
-85-
MADD : Product Sum
Adds the value of ACC to the product of VF[fs] and VF[ft], and stores the result in VF[fd].
Operation Code
Upper 32-bit word: UpperOP field type 1
63 62 61 60 59 58 57 56 55 54 53 52 51 50 49 48 47 46 45 44 43 42 41 40 39 38 37 36 35 34 33 32
I E M D T - - dest ft reg fs reg fd reg MADD
- - - - - 0 0 ---- ----- ----- ----- 101001
1 1 1 1 1 1 1 4 bits 5 bits 5 bits 5 bits 6 bits
Mnemonic
MADD.dest VF[fd]dest, VF[fs]dest, VF[ft]dest
Operation
if (x ⊆ dest) then VF[fd]x = ACCx + VF[fs]x × VF[ft]x
if (y ⊆ dest) then VF[fd]y = ACCy + VF[fs]y × VF[ft]y
if (z ⊆ dest) then VF[fd]z = ACCz + VF[fs]z × VF[ft]z
if (w ⊆ dest) then VF[fd]w = ACCw + VF[fs]w × VF[ft]w
Flag Changes
MAC flag status flag
Oxyzw Uxyzw Sxyzw Zxyzw DS IS OS US SS ZS D I O U S Z
clipping
flag
XXXX XXXX XXXX XXXX - - X X X X - - X X X X -
Throughput/Latency
1 / 4
Example
MADD.xyzw VF10xyzw, VF20xyzw, VF30xyzw
VF10x = ACCx + VF20x × VF30x
VF10y = ACCy + VF20y × VF30y
VF10z = ACCz + VF20z × VF30z
VF10w = ACCw + VF20w × VF30w
Remarks
There is an operation error of 1 bit in multiplication, so the value multiplied by 1 may not be the same as the
original value. By using VF[fs] as a multiplicand, the results of multiplication with 1 are guaranteed to be
accurate.

SCE CONFIDENTIAL VU User's Manual Version 6.0
© SCEI
-86-
MADDi : Product Sum; with I Register
Multiplies each field of VF[fs] by the I register, then adds the product to the corresponding field of ACC, and
stores the result in VF[fd].
Operation Code
Upper 32-bit word: UpperOP field type 1
63 62 61 60 59 58 57 56 55 54 53 52 51 50 49 48 47 46 45 44 43 42 41 40 39 38 37 36 35 34 33 32
I E M D T - - dest ft reg fs reg fd reg MADDi
- - - - - 0 0 ---- 00000 ----- ----- 100011
1 1 1 1 1 1 1 4 bits 5 bits 5 bits 5 bits 6 bits
Mnemonic
MADDi.dest VF[fd]dest, VF[fs]dest, I
Operation
if (x ⊆ dest) then VF[fd]x = ACCx + VF[fs]x × I
if (y ⊆ dest) then VF[fd]y = ACCy + VF[fs]y × I
if (z ⊆ dest) then VF[fd]z = ACCz + VF[fs]z × I
if (w ⊆ dest) then VF[fd]w = ACCw + VF[fs]w × I
Flag Changes
MAC flag status flag
Oxyzw Uxyzw Sxyzw Zxyzw DS IS OS US SS ZS D I O U S Z
clipping
flag
XXXX XXXX XXXX XXXX - - X X X X - - X X X X -
Throughput/Latency
1 / 4
Example
MADDi.xyzw VF10xyzw, VF20xyzw, I
VF10x = ACCx + VF20x × I
VF10y = ACCy + VF20y × I
VF10z = ACCz + VF20z × I
VF10w = ACCw + VF20w × I
Remarks
There is an operation error of 1 bit in multiplication, so the value multiplied by 1 may not be the same as the
original value. By using VF[fs] as a multiplicand, the results of multiplication with 1 are guaranteed to be
accurate.

SCE CONFIDENTIAL VU User's Manual Version 6.0
© SCEI
-87-
MADDq : Product Sum; by Q Register
Multiplies each field of VF[fs] by the Q register, then adds the product to the corresponding field of ACC, and
stores the result in VF[fd].
Operation Code
Upper 32-bit word: UpperOP field type 1
63 62 61 60 59 58 57 56 55 54 53 52 51 50 49 48 47 46 45 44 43 42 41 40 39 38 37 36 35 34 33 32
I E M D T - - dest ft reg fs reg fd reg MADDq
- - - - - 0 0 ---- 00000 ----- ----- 100001
1 1 1 1 1 1 1 4 bits 5 bits 5 bits 5 bits 6 bits
Mnemonic
MADDq.dest VF[fd]dest, VF[fs]dest, Q
Operation
if (x ⊆ dest) then VF[fd]x = ACCx + VF[fs]x × Q
if (y ⊆ dest) then VF[fd]y = ACCy + VF[fs]y × Q
if (z ⊆ dest) then VF[fd]z = ACCz + VF[fs]z × Q
if (w ⊆ dest) then VF[fd]w = ACCw + VF[fs]w × Q
Flag Changes
MAC flag status flag
Oxyzw Uxyzw Sxyzw Zxyzw DS IS OS US SS ZS D I O U S Z
clipping
flag
XXXX XXXX XXXX XXXX - - X X X X - - X X X X -
Throughput/Latency
1 / 4
Example
MADDq.xyzw VF10xyzw, VF20xyzw, Q
VF10x = ACCx + VF20x × Q
VF10y = ACCy + VF20y × Q
VF10z = ACCz + VF20z × Q
VF10w = ACCw + VF20w × Q
Remarks
There is an operation error of 1 bit in multiplication, so the value multiplied by 1 may not be the same as the
original value. By using VF[fs] as a multiplicand, the results of multiplication with 1 are guaranteed to be
accurate.

SCE CONFIDENTIAL VU User's Manual Version 6.0
© SCEI
-88-
MADDbc : Broadcast Product Sum
Multiplies each field of VF[fs] by the specified field of VF[ft], then adds the product to the corresponding field
of ACC and stores the result in VF[fd].
Operation Code
Upper 32-bit word: UpperOP field type 0
63 62 61 60 59 58 57 56 55 54 53 52 51 50 49 48 47 46 45 44 43 42 41 40 39 38 37 36 35 34 33 32
I E M D T - - dest ft reg fs reg fd reg MADD? bc
- - - - - 0 0 ---- ----- ----- ----- 0010 --
1 1 1 1 1 1 1 4 bits 5 bits 5 bits 5 bits 4 bits 2 bits
Mnemonic
MADDbc.dest VF[fd]dest, VF[fs]dest, VF[ft]bc
Operation
if (x ⊆ dest) then VF[fd]x = ACCx + VF[fs]x × VF[ft]bc
if (y ⊆ dest) then VF[fd]y = ACCy + VF[fs]y × VF[ft]bc
if (z ⊆ dest) then VF[fd]z = ACCz + VF[fs]z × VF[ft]bc
if (w ⊆ dest) then VF[fd]w = ACCw + VF[fs]w × VF[ft]bc
Flag Changes
MAC flag status flag
Oxyzw Uxyzw Sxyzw Zxyzw DS IS OS US SS ZS D I O U S Z
clipping
flag
XXXX XXXX XXXX XXXX - - X X X X - - X X X X -
Throughput/Latency
1 / 4
Example
MADDx.xyzw VF10xyzw, VF20xyzw, VF30x
VF10x = ACCx + VF20x × VF30x
VF10y = ACCy + VF20y × VF30x
VF10z = ACCz + VF20z × VF30x
VF10w = ACCw + VF20w × VF30x
Remarks
There is an operation error of 1 bit in multiplication, so the value multiplied by 1 may not be the same as the
original value. By using VF[fs] as a multiplicand, the results of multiplication with 1 are guaranteed to be
accurate.

SCE CONFIDENTIAL VU User's Manual Version 6.0
© SCEI
-89-
MADDA : Product Sum; to Accumulator
Multiplies VF[fs] by VF[ft], then adds the product to ACC and stores the result in ACC.
Operation Code
Upper 32-bit word: UpperOP field type 3
63 62 61 60 59 58 57 56 55 54 53 52 51 50 49 48 47 46 45 44 43 42 41 40 39 38 37 36 35 34 33 32
I E M D T - - dest ft reg fs reg MADDA
- - - - - 0 0 ---- ----- ----- 01010 1111 01
1 1 1 1 1 1 1 4 bits 5 bits 5 bits 11 bits
Mnemonic
MADDA.dest ACCdest, VF[fs]dest, VF[ft]dest
Operation
if (x ⊆ dest) then ACCx = ACCx + VF[fs]x × VF[ft]x
if (y ⊆ dest) then ACCy = ACCy + VF[fs]y × VF[ft]y
if (z ⊆ dest) then ACCz = ACCz + VF[fs]z × VF[ft]z
if (w ⊆ dest) then ACCw = ACCw + VF[fs]w × VF[ft]w
Flag Changes
MAC flag status flag
Oxyzw Uxyzw Sxyzw Zxyzw DS IS OS US SS ZS D I O U S Z
clipping
flag
XXXX XXXX XXXX XXXX - - X X X X - - X X X X -
Throughput/Latency
1 / 4
Example
MADDA.xyzw ACCxyzw, VF20xyzw, VF30xyzw
ACCx = ACCx + VF20x × VF30x
ACCy = ACCy + VF20y × VF30y
ACCz = ACCz + VF20z × VF30z
ACCw = ACCw + VF20w × VF30w
Remarks
There is an operation error of 1 bit in multiplication, so the value multiplied by 1 may not be the same as the
original value. By using VF[fs] as a multiplicand, the results of multiplication with 1 are guaranteed to be
accurate.

SCE CONFIDENTIAL VU User's Manual Version 6.0
© SCEI
-90-
MADDAi : Product Sum
;
by I register, to Accumulator
Multiplies each field of VF[fs] by the I register, then adds the product to the corresponding field of ACC and
stores the result in ACC.
Operation Code
Upper 32-bit word: UpperOP field type 3
63 62 61 60 59 58 57 56 55 54 53 52 51 50 49 48 47 46 45 44 43 42 41 40 39 38 37 36 35 34 33 32
I E M D T - - dest ft reg fs reg MADDAi
- - - - - 0 0 ---- 00000 ----- 01000 1111 11
1 1 1 1 1 1 1 4 bits 5 bits 5 bits 11 bits
Mnemonic
MADDAi.dest ACCdest, VF[fs]dest, I
Operation
if (x ⊆ dest) then ACCx = ACCx + VF[fs]x × I
if (y ⊆ dest) then ACCy = ACCy + VF[fs]y × I
if (z ⊆ dest) then ACCz = ACCz + VF[fs]z × I
if (w ⊆ dest) then ACCw = ACCw + VF[fs]w × I
Flag Changes
MAC flag status flag
Oxyzw Uxyzw Sxyzw Zxyzw DS IS OS US SS ZS D I O U S Z
clipping
flag
XXXX XXXX XXXX XXXX - - X X X X - - X X X X -
Throughput/Latency
1 / 4
Example
MADDAi.xyzw ACCxyzw, VF20xyzw, I
ACCx = ACCx + VF20x × I
ACCy = ACCy + VF20y × I
ACCz = ACCz + VF20z × I
ACCw = ACCw + VF20w × I
Remarks
There is an operation error of 1 bit in multiplication, so the value multiplied by 1 may not be the same as the
original value. By using VF[fs] as a multiplicand, the results of multiplication with 1 are guaranteed to be
accurate.

SCE CONFIDENTIAL VU User's Manual Version 6.0
© SCEI
-91-
MADDAq : Product Sum; by Q Register, to Accumulator
Multiplies each field of VF[fs] by the Q register, then adds the product to the corresponding field of ACC and
stores the result in ACC.
Operation Code
Upper 32-bit word: UpperOP field type 3
63 62 61 60 59 58 57 56 55 54 53 52 51 50 49 48 47 46 45 44 43 42 41 40 39 38 37 36 35 34 33 32
I E M D T - - dest ft reg fs reg MADDAq
- - - - - 0 0 ---- 00000 ----- 01000 1111 01
1 1 1 1 1 1 1 4 bits 5 bits 5 bits 11 bits
Mnemonic
MADDAq.dest ACCdest, VF[fs]dest, Q
Operation
if (x ⊆ dest) then ACCx = ACCx + VF[fs]x × Q
if (y ⊆ dest) then ACCy = ACCy + VF[fs]y × Q
if (z ⊆ dest) then ACCz = ACCz + VF[fs]z × Q
if (w ⊆ dest) then ACCw = ACCw + VF[fs]w × Q
Flag Changes
MAC flag status flag
Oxyzw Uxyzw Sxyzw Zxyzw DS IS OS US SS ZS D I O U S Z
clipping
flag
XXXX XXXX XXXX XXXX - - X X X X - - X X X X -
Throughput/Latency
1 / 4
Example
MADDAq.xyzw ACCxyzw, VF20xyzw, Q
ACCx = ACCx + VF20x × Q
ACCy = ACCy + VF20y × Q
ACCz = ACCz + VF20z × Q
ACCw = ACCw + VF20w × Q
Remarks
There is an operation error of 1 bit in multiplication, so the value multiplied by 1 may not be the same as the
original value. By using VF[fs] as a multiplicand, the results of multiplication with 1 are guaranteed to be
accurate.

SCE CONFIDENTIAL VU User's Manual Version 6.0
© SCEI
-92-
MADDAbc : Broadcast Product Sum; to Accumulator
Multiplies each field of VF[fs] by the specified field of VF[ft], then adds the product to the corresponding field
of ACC and stores the result in ACC.
Operation Code
Upper 32-bit word: UpperOP field type 2
63 62 61 60 59 58 57 56 55 54 53 52 51 50 49 48 47 46 45 44 43 42 41 40 39 38 37 36 35 34 33 32
I E M D T - - dest ft reg fs reg MADDA? bc
- - - - - 0 0 ---- ----- ----- 00010 1111 --
1 1 1 1 1 1 1 4 bits 5 bits 5 bits 9 bits 2 bits
Mnemonic
MADDAbc.dest ACCdest, VF[fs]dest, VF[ft]bc
Operation
if (x ⊆ dest) then ACCx = ACCx + VF[fs]x × VF[ft]bc
if (y ⊆ dest) then ACCy = ACCy + VF[fs]y × VF[ft]bc
if (z ⊆ dest) then ACCz = ACCz + VF[fs]z × VF[ft]bc
if (w ⊆ dest) then ACCw = ACCw + VF[fs]w × VF[ft]bc
Flag Changes
MAC flag status flag
Oxyzw Uxyzw Sxyzw Zxyzw DS IS OS US SS ZS D I O U S Z
clipping
flag
XXXX XXXX XXXX XXXX - - X X X X - - X X X X -
Throughput/Latency
1 / 4
Example
MADDAx.xyzw ACCxyzw, VF20xyzw, VF30x
ACCx = ACCx + VF20x × VF30x
ACCy = ACCy + VF20y × VF30x
ACCz = ACCz + VF20z × VF30x
ACCw = ACCw + VF20w × VF30x
Remarks
There is an operation error of 1 bit in multiplication, so the value multiplied by 1 may not be the same as the
original value. By using VF[fs] as a multiplicand, the results of multiplication with 1 are guaranteed to be
accurate.

SCE CONFIDENTIAL VU User's Manual Version 6.0
© SCEI
-93-
MAX : Maximum Value
Compares VF[fs] with VF[ft] and stores the greater value in VF[fd].
Operation Code
Upper 32-bit word: UpperOP field type 1
63 62 61 60 59 58 57 56 55 54 53 52 51 50 49 48 47 46 45 44 43 42 41 40 39 38 37 36 35 34 33 32
I E M D T - - dest ft reg fs reg fd reg MAX
- - - - - 0 0 ---- ----- ----- ----- 101011
1 1 1 1 1 1 1 4 bits 5 bits 5 bits 5 bits 6 bits
Mnemonic
MAX.dest VF[fd]dest, VF[fs]dest, VF[ft]dest
Operation
if (x ⊆ dest) then
if (VF[fs]x > VF[ft]x)
{VF[fd]x = VF[fs]x}
else
{VF[fd]x = VF[ft]x}
(The same operation is performed for the y and z fields.)
if (w ⊆ dest) then
if (VF[fs]w > VF[ft]w)
{VF[fd]w = VF[fs]w}
else
{VF[fd]w = VF[ft]w}
Flag Changes
MAC flag status flag
Oxyzw Uxyzw Sxyzw Zxyzw DS IS OS US SS ZS D I O U S Z
clipping
flag
---- ---- ---- ---- - - - - - - - - - - - - -
Throughput/Latency
1 / 4
Example
MAX.xyzw VF10xyzw, VF20xyzw, VF30xyzw
if (VF20x > VF30x) then {VF10x = VF20x} else {VF10x = VF30x}
if (VF20y > VF30y) then {VF10y = VF20y} else {VF10y = VF30y}
if (VF20z > VF30z) then {VF10z = VF20z} else {VF10z = VF30z}
if (VF20w > VF30w) then {VF10w = VF20w} else {VF10w = VF30w}

SCE CONFIDENTIAL VU User's Manual Version 6.0
© SCEI
-94-
MAXi : Maximum Value
Compares each field of VF[fs] with the I register and stores the greater field in the corresponding field of
VF[fd].
Operation Code
Upper 32-bit word: UpperOP field type 1
63 62 61 60 59 58 57 56 55 54 53 52 51 50 49 48 47 46 45 44 43 42 41 40 39 38 37 36 35 34 33 32
I E M D T - - dest ft reg fs reg fd reg MAXi
- - - - - 0 0 ---- 00000 ----- ----- 011101
1 1 1 1 1 1 1 4 bits 5 bits 5 bits 5 bits 6 bits
Mnemonic
MAXi.dest VF[fd]dest, VF[fs]dest, I
Operation
if (x ⊆ dest) then
if (VF[fs]x > I) then
VF[fd]x = VF[fs]x
else
VF[fd]x = I
(The same operation is performed for the y and z fields.)
if (w ⊆ dest) then
if (VF[fs]w > I) then
VF[fd]w = VF[fs]w
else
VF[fd]w = I
Flag Changes
MAC flag status flag
Oxyzw Uxyzw Sxyzw Zxyzw DS IS OS US SS ZS D I O U S Z
clipping
flag
---- ---- ---- ---- - - - - - - - - - - - - -
Throughput/Latency
1 / 4
Example
MAXi.xyzw VF10xyzw, VF20xyzw, I
if (VF20x > I) then {VF10x = VF20x} else {VF10x = I}
if (VF20y > I) then {VF10y = VF20y} else {VF10y = I}
if (VF20z > I) then {VF10z = VF20z} else {VF10z = I}
if (VF20w > I) then {VF10w = VF20w} else {VF10w = I}

SCE CONFIDENTIAL VU User's Manual Version 6.0
© SCEI
-95-
MAXbc : Maximum Value
Compares value of each field of VF[fs] with the specified field of VF[ft] and stores the greater value in the
corresponding field of VF[fd].
Operation Code
Upper 32-bit word: UpperOP field type 0
63 62 61 60 59 58 57 56 55 54 53 52 51 50 49 48 47 46 45 44 43 42 41 40 39 38 37 36 35 34 33 32
I E M D T - - dest ft reg fs reg fd reg MAX? bc
- - - - - 0 0 ---- ----- ----- ----- 0100 --
1 1 1 1 1 1 1 4 bits 5 bits 5 bits 5 bits 4 bits 2 bits
Mnemonic
MAXbc.dest VF[fd]dest, VF[fs]dest, VF[ft]bc
Operation
if (x ⊆ dest) then
if (VF[fs]x > VF[ft]bc)
{VF[fd]x = VF[fs]x}
else
{VF[fd]x = VF[ft]bc}
(The same operation is performed for the y and z fields.)
if (w ⊆ dest) then
if (VF[fs]w > VF[ft]bc)
{VF[fd]w = VF[fs]w}
else
{VF[fd]w = VF[ft]bc}
Flag Changes
MAC flag status flag
Oxyzw Uxyzw Sxyzw Zxyzw DS IS OS US SS ZS D I O U S Z
clipping
flag
---- ---- ---- ---- - - - - - - - - - - - - -
Throughput/Latency
1 / 4
Example
MAXw.xyzw VF01xyzw, VF01xyzw, VF00w
A value of less than 1.0 in each field of VF01 is replaced with 1.0.

SCE CONFIDENTIAL VU User's Manual Version 6.0
© SCEI
-96-
MINI : Minimum Value
Compares VF[fs] with VF[ft] and stores the smaller value in VF[fd].
Operation Code
Upper 32-bit word: UpperOP field type 1
63 62 61 60 59 58 57 56 55 54 53 52 51 50 49 48 47 46 45 44 43 42 41 40 39 38 37 36 35 34 33 32
I E M D T - - dest ft reg fs reg fd reg MINI
- - - - - 0 0 ---- ----- ----- ----- 101111
1 1 1 1 1 1 1 4 bits 5 bits 5 bits 5 bits 6 bits
Mnemonic
MINI.dest VF[fd]dest, VF[fs]dest, VF[ft]dest
Operation
if (x ⊆ dest) then
if (VF[fs]x < VF[ft]x)
{VF[fd]x = VF[fs]x}
else
{VF[fd]x = VF[ft]x}
(The same operation is performed for the y and z fields.)
if (w ⊆ dest) then
if (VF[fs]w < VF[ft]w)
{VF[fd]w = VF[fs]w}
else
{VF[fd]w = VF[ft]w}
Flag Changes
MAC flag status flag
Oxyzw Uxyzw Sxyzw Zxyzw DS IS OS US SS ZS D I O U S Z
clipping
flag
---- ---- ---- ---- - - - - - - - - - - - - -
Throughput/Latency
1 / 4
Example
MINI.xyzw VF10xyzw, VF20xyzw, VF30xyzw
if (VF20x < VF30x) then {VF10x = VF20x} else {VF10x = VF30x}
if (VF20y < VF30y) then {VF10y = VF20y} else {VF10y = VF30y}
if (VF20z < VF30z) then {VF10z = VF20z} else {VF10z = VF30z}
if (VF20w < VF30w) then {VF10w = VF20w} else {VF10w = VF30w}

SCE CONFIDENTIAL VU User's Manual Version 6.0
© SCEI
-97-
MINIi : Minimum Value
Compares each field of VF[fs] with the I register and stores the smaller value in the corresponding field of
VF[fd].
Operation Code
Upper 32-bit word: UpperOP field type 1
63 62 61 60 59 58 57 56 55 54 53 52 51 50 49 48 47 46 45 44 43 42 41 40 39 38 37 36 35 34 33 32
I E M D T - - dest ft reg fs reg fd reg MINIi
- - - - - 0 0 ---- 00000 ----- ----- 011111
1 1 1 1 1 1 1 4 bits 5 bits 5 bits 5 bits 6 bits
Mnemonic
MINIi.dest VF[fd]dest, VF[fs]dest, I
Operation
if (x ⊆ dest) then
if (VF[fs]x < I) then
VF[fd]x = VF[fs]x
else
VF[fd]x = I
(The same operation is performed for the y and z fields.)
if (w ⊆ dest) then
if (VF[fs]w < I) then
VF[fd]w = VF[fs]w
else
VF[fd]w = I
Flag Changes
MAC flag status flag
Oxyzw Uxyzw Sxyzw Zxyzw DS IS OS US SS ZS D I O U S Z
clipping
flag
---- ---- ---- ---- - - - - - - - - - - - - -
Throughput/Latency
1 / 4
Example
MINIi.xyzw VF10xyzw, VF20xyzw, I
if (VF20x < I) then {VF10x = VF20x} else {VF10x = I}
if (VF20y < I) then {VF10y = VF20y} else {VF10y = I}
if (VF20z < I) then {VF10z = VF20z} else {VF10z = I}
if (VF20w < I) then {VF10w = VF20w} else {VF10w = I}

SCE CONFIDENTIAL VU User's Manual Version 6.0
© SCEI
-98-
MINIbc : Minimum Value
Compares each field of VF[fs] with the specified field of VF[ft] and stores the smaller value in the corresponding
field of VF[fd].
Operation Code
Upper 32-bit word: UpperOP field type 0
63 62 61 60 59 58 57 56 55 54 53 52 51 50 49 48 47 46 45 44 43 42 41 40 39 38 37 36 35 34 33 32
I E M D T - - dest ft reg fs reg fd reg MINI? bc
- - - - - 0 0 ---- ----- ----- ----- 0101 --
1 1 1 1 1 1 1 4 bits 5 bits 5 bits 5 bits 4 bits 2 bits
Mnemonic
MINIbc.dest VF[fd]dest, VF[fs]dest, VF[ft]bc
Operation
if (x ⊆ dest) then
if (VF[fs]x < VF[ft]bc)
{VF[fd]x = VF[fs]x}
else
{VF[fd]x = VF[ft]bc}
(The same operation is performed for the y and z fields.)
if (w ⊆ dest) then
if (VF[fs]w < VF[ft]bc)
{VF[fd]w = VF[fs]w}
else
{VF[fd]w = VF[ft]bc}
Flag Changes
MAC flag status flag
Oxyzw Uxyzw Sxyzw Zxyzw DS IS OS US SS ZS D I O U S Z
clipping
flag
---- ---- ---- ---- - - - - - - - - - - - - -
Throughput/Latency
1 / 4
Example
MINIx.xyzw VF10xyzw, VF20xyzw, VF30x
if (VF20x < VF30x) then {VF10x = VF20x} else {VF10x = VF30x}
if (VF20y < VF30x) then {VF10y = VF20y} else {VF10y = VF30x}
if (VF20z < VF30x) then {VF10z = VF20z} else {VF10z = VF30x}
if (VF20w < VF30x) then {VF10w = VF20w} else {VF10w = VF30x}

SCE CONFIDENTIAL VU User's Manual Version 6.0
© SCEI
-99-
MSUB : Multiply and Subtract
Multiplies VF[fs] and VF[ft], then subracts the product obtained from the value of ACC, and stores the result in
VF[fd].
Operation Code
Upper 32-bit word: UpperOP field type 1
63 62 61 60 59 58 57 56 55 54 53 52 51 50 49 48 47 46 45 44 43 42 41 40 39 38 37 36 35 34 33 32
I E M D T - - dest ft reg fs reg fd reg MSUB
- - - - - 0 0 ---- ----- ----- ----- 101101
1 1 1 1 1 1 1 4 bits 5 bits 5 bits 5 bits 6 bits
Mnemonic
MSUB.dest VF[fd]dest, VF[fs]dest, VF[ft]dest
Operation
if (x ⊆ dest) then VF[fd]x = ACCx - VF[fs]x × VF[ft]x
if (y ⊆ dest) then VF[fd]y = ACCy - VF[fs]y × VF[ft]y
if (z ⊆ dest) then VF[fd]z = ACCz - VF[fs]z × VF[ft]z
if (w ⊆ dest) then VF[fd]w = ACCw - VF[fs]w × VF[ft]w
Flag Changes
MAC flag status flag
Oxyzw Uxyzw Sxyzw Zxyzw DS IS OS US SS ZS D I O U S Z
clipping
flag
XXXX XXXX XXXX XXXX - - X X X X - - X X X X -
Throughput/Latency
1 / 4
Example
MSUB.xyzw VF10xyzw, VF20xyzw, VF30xyzw
VF10x = ACCx - VF20x × VF30x
VF10y = ACCy - VF20y × VF30y
VF10z = ACCz - VF20z × VF30z
VF10w = ACCw - VF20w × VF30w
Remarks
There is an operation error of 1 bit in multiplication, so the value multiplied by 1 may not be the same as the
original value. By using VF[fs] as a multiplicand, the results of multiplication with 1 are guaranteed to be
accurate.

SCE CONFIDENTIAL VU User's Manual Version 6.0
© SCEI
-100-
MSUBi : Multiply and Subtract; with I Register
Multiplies each field of VF[fs] by the I register, then subtracts the product from the corresponding field of ACC
and stores the result in the corresponding field of VF[fd].
Operation Code
Upper 32-bit word: UpperOP field type 1
63 62 61 60 59 58 57 56 55 54 53 52 51 50 49 48 47 46 45 44 43 42 41 40 39 38 37 36 35 34 33 32
I E M D T - - dest ft reg fs reg fd reg MSUBi
- - - - - 0 0 ---- 00000 ----- ----- 100111
1 1 1 1 1 1 1 4 bits 5 bits 5 bits 5 bits 6 bits
Mnemonic
MSUBi.dest VF[fd]dest, VF[fs]dest, I
Operation
if (x ⊆ dest) then VF[fd]x = ACCx - VF[fs]x × I
if (y ⊆ dest) then VF[fd]y = ACCy - VF[fs]y × I
if (z ⊆ dest) then VF[fd]z = ACCz - VF[fs]z × I
if (w ⊆ dest) then VF[fd]w = ACCw - VF[fs]w × I
Flag Changes
MAC flag status flag
Oxyzw Uxyzw Sxyzw Zxyzw DS IS OS US SS ZS D I O U S Z
clipping
flag
XXXX XXXX XXXX XXXX - - X X X X - - X X X X -
Throughput/Latency
1 / 4
Example
MSUBi.xyzw VF10xyzw, VF20xyzw, I
VF10x = ACCx - VF20x × I
VF10y = ACCy - VF20y × I
VF10z = ACCz - VF20z × I
VF10w = ACCw - VF20w × I
Remarks
There is an operation error of 1 bit in multiplication, so the value multiplied by 1 may not be the same as the
original value. By using VF[fs] as a multiplicand, the results of multiplication with 1 are guaranteed to be
accurate.

SCE CONFIDENTIAL VU User's Manual Version 6.0
© SCEI
-101-
MSUBq : Multiply and Subtract; by Q Register
Multiplies each field of VF[fs] by the Q register, then subtracts the product from the corresponding field of
ACC and stores the result in the corresponding field of VF[fd].
Operation Code
Upper 32-bit word: UpperOP field type 1
63 62 61 60 59 58 57 56 55 54 53 52 51 50 49 48 47 46 45 44 43 42 41 40 39 38 37 36 35 34 33 32
I E M D T - - dest ft reg fs reg fd reg MSUBq
- - - - - 0 0 ---- 00000 ----- ----- 100101
1 1 1 1 1 1 1 4 bits 5 bits 5 bits 5 bits 6 bits
Mnemonic
MSUBq.dest VF[fd]dest, VF[fs]dest, Q
Operation
if (x ⊆ dest) then VF[fd]x = ACCx - VF[fs]x × Q
if (y ⊆ dest) then VF[fd]y = ACCy - VF[fs]y × Q
if (z ⊆ dest) then VF[fd]z = ACCz - VF[fs]z × Q
if (w ⊆ dest) then VF[fd]w = ACCw - VF[fs]w × Q
Flag Changes
MAC flag status flag
Oxyzw Uxyzw Sxyzw Zxyzw DS IS OS US SS ZS D I O U S Z
clipping
flag
XXXX XXXX XXXX XXXX - - X X X X - - X X X X -
Throughput/Latency
1 / 4
Example
MSUBq.xyzw VF10xyzw, VF20xyzw, Q
VF10x = ACCx - VF20x × Q
VF10y = ACCy - VF20y × Q
VF10z = ACCz - VF20z × Q
VF10w = ACCw - VF20w × Q
Remarks
There is an operation error of 1 bit in multiplication, so the value multiplied by 1 may not be the same as the
original value. By using VF[fs] as a multiplicand, the results of multiplication with 1 are guaranteed to be
accurate.

SCE CONFIDENTIAL VU User's Manual Version 6.0
© SCEI
-102-
MSUBbc : Broadcast Multiply and Subtract
Multiplies each field of VF[fs] by the specified field of VF[ft], then subtracts the product from the
corresponding field of ACC and stores the result in the corresponding field of VF[fd].
Operation Code
Upper 32-bit word: UpperOP field type 0
63 62 61 60 59 58 57 56 55 54 53 52 51 50 49 48 47 46 45 44 43 42 41 40 39 38 37 36 35 34 33 32
I E M D T - - dest ft reg fs reg fd reg MSUB? bc
- - - - - 0 0 ---- ----- ----- ----- 0011 --
1 1 1 1 1 1 1 4 bits 5 bits 5 bits 5 bits 4 bits 2 bits
Mnemonic
MSUBbc.dest VF[fd]dest, VF[fs]dest, VF[ft]bc
Operation
if (x ⊆ dest) then VF[fd]x = ACCx - VF[fs]x × VF[ft]bc
if (y ⊆ dest) then VF[fd]y = ACCy - VF[fs]y × VF[ft]bc
if (z ⊆ dest) then VF[fd]z = ACCz - VF[fs]z × VF[ft]bc
if (w ⊆ dest) then VF[fd]w = ACCw - VF[fs]w × VF[ft]bc
Flag Changes
MAC flag status flag
Oxyzw Uxyzw Sxyzw Zxyzw DS IS OS US SS ZS D I O U S Z
clipping
flag
XXXX XXXX XXXX XXXX - - X X X X - - X X X X -
Throughput/Latency
1 / 4
Example
MSUBx.xyzw VF10xyzw, VF20xyzw, VF30x
VF10x = ACCx - VF20x × VF30x
VF10y = ACCy - VF20y × VF30x
VF10z = ACCz - VF20z × VF30x
VF10w = ACCw - VF20w × VF30x
Remarks
There is an operation error of 1 bit in multiplication, so the value multiplied by 1 may not be the same as the
original value. By using VF[fs] as a multiplicand, the results of multiplication with 1 are guaranteed to be
accurate.

SCE CONFIDENTIAL VU User's Manual Version 6.0
© SCEI
-103-
MSUBA : Multiply and Subtract; to Accumulator
Multiplies VF[fs] and VF[ft], then subtracts the product from ACC and stores the result in ACC.
Operation Code
Upper 32-bit word: UpperOP field type 3
63 62 61 60 59 58 57 56 55 54 53 52 51 50 49 48 47 46 45 44 43 42 41 40 39 38 37 36 35 34 33 32
I E M D T - - dest ft reg fs reg MSUBA
- - - - - 0 0 ---- ----- ----- 01011 1111 01
1 1 1 1 1 1 1 4 bits 5 bits 5 bits 11 bits
Mnemonic
MSUBA.dest ACCdest, VF[fs]dest, VF[ft]dest
Operation
if (x ⊆ dest) then ACCx = ACCx - VF[fs]x × VF[ft]x
if (y ⊆ dest) then ACCy = ACCy - VF[fs]y × VF[ft]y
if (z ⊆ dest) then ACCz = ACCz - VF[fs]z × VF[ft]z
if (w ⊆ dest) then ACCw = ACCw - VF[fs]w × VF[ft]w
Flag Changes
MAC flag status flag
Oxyzw Uxyzw Sxyzw Zxyzw DS IS OS US SS ZS D I O U S Z
clipping
flag
XXXX XXXX XXXX XXXX - - X X X X - - X X X X -
Throughput/Latency
1 / 4
Example
MSUBA.xyzw ACCxyzw, VF20xyzw, VF30xyzw
ACCx = ACCx - VF20x × VF30x
ACCy = ACCy - VF20y × VF30y
ACCz = ACCz - VF20z × VF30z
ACCw = ACCw - VF20w × VF30w
Remarks
There is an operation error of 1 bit in multiplication, so the value multiplied by 1 may not be the same as the
original value. By using VF[fs] as a multiplicand, the results of multiplication with 1 are guaranteed to be
accurate.

SCE CONFIDENTIAL VU User's Manual Version 6.0
© SCEI
-104-
MSUBAi : Multiply and Subtract; with I Register, to Accumulator
Multiplies each field of VF[fs] and the I register, then subtracts the product from the corresponding field of
ACC and stores the result in ACC.
Operation Code
Upper 32-bit word: UpperOP field type 3
63 62 61 60 59 58 57 56 55 54 53 52 51 50 49 48 47 46 45 44 43 42 41 40 39 38 37 36 35 34 33 32
I E M D T - - dest ft reg fs reg MSUBAi
- - - - - 0 0 ---- 00000 ----- 01001 1111 11
1 1 1 1 1 1 1 4 bits 5 bits 5 bits 11 bits
Mnemonic
MSUBAi.dest ACCdest, VF[fs]dest, I
Operation
if (x ⊆ dest) then ACCx = ACCx - VF[fs]x × I
if (y ⊆ dest) then ACCy = ACCy - VF[fs]y × I
if (z ⊆ dest) then ACCz = ACCz - VF[fs]z × I
if (w ⊆ dest) then ACCw = ACCw - VF[fs]w × I
Flag Changes
MAC flag status flag
Oxyzw Uxyzw Sxyzw Zxyzw DS IS OS US SS ZS D I O U S Z
clipping
flag
XXXX XXXX XXXX XXXX - - X X X X - - X X X X -
Throughput/Latency
1 / 4
Example
MSUBAi.xyzw ACCxyzw, VF20xyzw, I
ACCx = ACCx - VF20x × I
ACCy = ACCy - VF20y × I
ACCz = ACCz - VF20z × I
ACCw = ACCw - VF20w × I
Remarks
There is an operation error of 1 bit in multiplication, so the value multiplied by 1 may not be the same as the
original value. By using VF[fs] as a multiplicand, the results of multiplication with 1 are guaranteed to be
accurate.

SCE CONFIDENTIAL VU User's Manual Version 6.0
© SCEI
-105-
MSUBAq : Multiply and Subtract; by Q Register, to Accumulator
Multiplies VF[fs] by the Q register, then subtracts the product from the corresponding field of ACC and stores
the result in the corresponding field of ACC.
Operation Code
Upper 32-bit word: UpperOP field type 3
63 62 61 60 59 58 57 56 55 54 53 52 51 50 49 48 47 46 45 44 43 42 41 40 39 38 37 36 35 34 33 32
I E M D T - - dest ft reg fs reg MSUBAq
- - - - - 0 0 ---- 00000 ----- 01001 1111 01
1 1 1 1 1 1 1 4 bits 5 bits 5 bits 11 bits
Mnemonic
MSUBAq.dest ACCdest, VF[fs]dest, Q
Operation
if (x ⊆ dest) then ACCx = ACCx - VF[fs]x × Q
if (y ⊆ dest) then ACCy = ACCy - VF[fs]y × Q
if (z ⊆ dest) then ACCz = ACCz - VF[fs]z × Q
if (w ⊆ dest) then ACCw = ACCw - VF[fs]w × Q
Flag Changes
MAC flag status flag
Oxyzw Uxyzw Sxyzw Zxyzw DS IS OS US SS ZS D I O U S Z
clipping
flag
XXXX XXXX XXXX XXXX - - X X X X - - X X X X -
Throughput/Latency
1 / 4
Example
MSUBAq.xyzw ACCxyzw, VF20xyzw, Q
ACCx = ACCx - VF20x × Q
ACCy = ACCy - VF20y × Q
ACCz = ACCz - VF20z × Q
ACCw = ACCw - VF20w × Q
Remarks
There is an operation error of 1 bit in multiplication, so the value multiplied by 1 may not be the same as the
original value. By using VF[fs] as a multiplicand, the results of multiplication with 1 are guaranteed to be
accurate.

SCE CONFIDENTIAL VU User's Manual Version 6.0
© SCEI
-106-
MSUBAbc : Broadcast Multiply and Subtract; to Accumulator
Multiplies each field of VF[fs] and the specified field of VF[ft], then subtracts the product from the
corresponding field of ACC and stores the result in the corresponding field of ACC.
Operation Code
Upper 32-bit word: UpperOP field type 2
63 62 61 60 59 58 57 56 55 54 53 52 51 50 49 48 47 46 45 44 43 42 41 40 39 38 37 36 35 34 33 32
I E M D T - - dest ft reg fs reg MSUBA? bc
- - - - - 0 0 ---- ----- ----- 00011 1111 --
1 1 1 1 1 1 1 4 bits 5 bits 5 bits 9 bits 2 bits
Mnemonic
MSUBAbc.dest ACCdest, VF[fs]dest, VF[ft]bc
Operation
if (x ⊆ dest) then ACCx = ACCx - VF[fs]x × VF[ft]bc
if (y ⊆ dest) then ACCy = ACCy - VF[fs]y × VF[ft]bc
if (z ⊆ dest) then ACCz = ACCz - VF[fs]z × VF[ft]bc
if (w ⊆ dest) then ACCw = ACCw - VF[fs]w × VF[ft]bc
Flag Changes
MAC flag status flag
Oxyzw Uxyzw Sxyzw Zxyzw DS IS OS US SS ZS D I O U S Z
clipping
flag
XXXX XXXX XXXX XXXX - - X X X X - - X X X X -
Throughput/Latency
1 / 4
Example
MSUBAx.xyzw ACCxyzw, VF20xyzw, VF30x
ACCx = ACCx - VF20x × VF30x
ACCy = ACCy - VF20y × VF30x
ACCz = ACCz - VF20z × VF30x
ACCw = ACCw - VF20w × VF30x
Remarks
There is an operation error of 1 bit in multiplication, so the value multiplied by 1 may not be the same as the
original value. By using VF[fs] as a multiplicand, the results of multiplication with 1 are guaranteed to be
accurate.

SCE CONFIDENTIAL VU User's Manual Version 6.0
© SCEI
-107-
MUL : Multiply
Multiplies VF[fs] by VF[ft] and stores the result in VF[fd].
Operation Code
Upper 32-bit word: UpperOP field type 1
63 62 61 60 59 58 57 56 55 54 53 52 51 50 49 48 47 46 45 44 43 42 41 40 39 38 37 36 35 34 33 32
I E M D T - - dest ft reg fs reg fd reg MUL
- - - - - 0 0 ---- ----- ----- ----- 101010
1 1 1 1 1 1 1 4 bits 5 bits 5 bits 5 bits 6 bits
Mnemonic
MUL.dest VF[fd]dest, VF[fs]dest, VF[ft]dest
Operation
if (x ⊆ dest) then VF[fd]x = VF[fs]x × VF[ft]x
if (y ⊆ dest) then VF[fd]y = VF[fs]y × VF[ft]y
if (z ⊆ dest) then VF[fd]z = VF[fs]z × VF[ft]z
if (w ⊆ dest) then VF[fd]w = VF[fs]w × VF[ft]w
Flag Changes
MAC flag status flag
Oxyzw Uxyzw Sxyzw Zxyzw DS IS OS US SS ZS D I O U S Z
clipping
flag
XXXX XXXX XXXX XXXX - - X X X X - - X X X X -
Throughput/Latency
1 / 4
Example
MUL.xyzw VF10xyzw, VF20xyzw, VF30xyzw
VF10x = VF20x × VF30x
VF10y = VF20y × VF30y
VF10z = VF20z × VF30z
VF10w = VF20w × VF30w
Remarks
There is an operation error of 1 bit in multiplication, so the value multiplied by 1 may not be the same as the
original value. By using VF[fs] as a multiplicand, the results of multiplication with 1 are guaranteed to be
accurate.

SCE CONFIDENTIAL VU User's Manual Version 6.0
© SCEI
-108-
MULi : Multiply by I Register
Multiplies each field of VF[fs] by the I register and stores the result in the corresponding field of VF[fd].
Operation Code
Upper 32-bit word: UpperOP field type 1
63 62 61 60 59 58 57 56 55 54 53 52 51 50 49 48 47 46 45 44 43 42 41 40 39 38 37 36 35 34 33 32
I E M D T - - dest ft reg fs reg fd reg MULi
- - - - - 0 0 ---- 00000 ----- ----- 011110
1 1 1 1 1 1 1 4 bits 5 bits 5 bits 5 bits 6 bits
Mnemonic
MULi.dest VF[fd]dest, VF[fs]dest, I
Operation
if (x ⊆ dest) then VF[fd]x = VF[fs]x × I
if (y ⊆ dest) then VF[fd]y = VF[fs]y × I
if (z ⊆ dest) then VF[fd]z = VF[fs]z × I
if (w ⊆ dest) then VF[fd]w = VF[fs]w × I
Flag Changes
MAC flag status flag
Oxyzw Uxyzw Sxyzw Zxyzw DS IS OS US SS ZS D I O U S Z
clipping
flag
XXXX XXXX XXXX XXXX - - X X X X - - X X X X -
Throughput/Latency
1 / 4
Example
MULi.xyzw VF10xyzw, VF20xyzw, I
VF10x = VF20x × I
VF10y = VF20y × I
VF10z = VF20z × I
VF10w = VF20w × I
Remarks
There is an operation error of 1 bit in multiplication, so the value multiplied by 1 may not be the same as the
original value. By using VF[fs] as a multiplicand, the results of multiplication with 1 are guaranteed to be
accurate.

SCE CONFIDENTIAL VU User's Manual Version 6.0
© SCEI
-109-
MULq : Multiply by Q Register
Multiplies each field of VF[fs] by the Q register and stores the result in the corresponding field of VF[fd].
Operation Code
Upper 32-bit word: UpperOP field type 1
63 62 61 60 59 58 57 56 55 54 53 52 51 50 49 48 47 46 45 44 43 42 41 40 39 38 37 36 35 34 33 32
I E M D T - - dest ft reg fs reg fd reg MULq
- - - - - 0 0 ---- 00000 ----- ----- 011100
1 1 1 1 1 1 1 4 bits 5 bits 5 bits 5 bits 6 bits
Mnemonic
MULq.dest VF[fd]dest, VF[fs]dest, Q
Operation
if (x ⊆ dest) then VF[fd]x = VF[fs]x × Q
if (y ⊆ dest) then VF[fd]y = VF[fs]y × Q
if (z ⊆ dest) then VF[fd]z = VF[fs]z × Q
if (w ⊆ dest) then VF[fd]w = VF[fs]w × Q
Flag Changes
MAC flag status flag
Oxyzw Uxyzw Sxyzw Zxyzw DS IS OS US SS ZS D I O U S Z
clipping
flag
XXXX XXXX XXXX XXXX - - X X X X - - X X X X -
Throughput/Latency
1 / 4
Example
MULq.xyzw VF10xyzw, VF20xyzw, Q
VF10x = VF20x × Q
VF10y = VF20y × Q
VF10z = VF20z × Q
VF10w = VF20w × Q
Remarks
There is an operation error of 1 bit in multiplication, so the value multiplied by 1 may not be the same as the
original value. By using VF[fs] as a multiplicand, the results of multiplication with 1 are guaranteed to be
accurate.

SCE CONFIDENTIAL VU User's Manual Version 6.0
© SCEI
-110-
MULbc : Multiply by Broadcast
Multiplies each field of VF[fs] by the specified field of VF[ft] and stores the result in the corresponding field of
VF[fd].
Operation Code
Upper 32-bit word: UpperOP field type 0
63 62 61 60 59 58 57 56 55 54 53 52 51 50 49 48 47 46 45 44 43 42 41 40 39 38 37 36 35 34 33 32
I E M D T - - dest ft reg fs reg fd reg MUL? bc
- - - - - 0 0 ---- ----- ----- ----- 0110 --
1 1 1 1 1 1 1 4 bits 5 bits 5 bits 5 bits 4 bits 2 bits
Mnemonic
MULbc.dest VF[fd]dest, VF[fs]dest, VF[ft]bc
Operation
if (x ⊆ dest) then VF[fd]x = VF[fs]x × VF[ft]bc
if (y ⊆ dest) then VF[fd]y = VF[fs]y × VF[ft]bc
if (z ⊆ dest) then VF[fd]z = VF[fs]z × VF[ft]bc
if (w ⊆ dest) then VF[fd]w = VF[fs]w × VF[ft]bc
Flag Changes
MAC flag status flag
Oxyzw Uxyzw Sxyzw Zxyzw DS IS OS US SS ZS D I O U S Z
clipping
flag
XXXX XXXX XXXX XXXX - - X X X X - - X X X X -
Throughput/Latency
1 / 4
Example
MULx.xyzw VF10xyzw, VF20xyzw, VF30x
VF10x = VF20x × VF30x
VF10y = VF20y × VF30x
VF10z = VF20z × VF30x
VF10w = VF20w × VF30x
Remarks
There is an operation error of 1 bit in multiplication, so the value multiplied by 1 may not be the same as the
original value. By using VF[fs] as a multiplicand, the results of multiplication with 1 are guaranteed to be
accurate.

SCE CONFIDENTIAL VU User's Manual Version 6.0
© SCEI
-111-
MULA : Multiply; to Accumulator
Multiplies VF[fs] by VF[ft] and stores the result in ACC.
Operation Code
Upper 32-bit word: UpperOP field type 3
63 62 61 60 59 58 57 56 55 54 53 52 51 50 49 48 47 46 45 44 43 42 41 40 39 38 37 36 35 34 33 32
I E M D T - - dest ft reg fs reg MULA
- - - - - 0 0 ---- ----- ----- 01010 1111 10
1 1 1 1 1 1 1 4 bits 5 bits 5 bits 11 bits
Mnemonic
MULA.dest ACCdest, VF[fs]dest, VF[ft]dest
Operation
if (x ⊆ dest) then ACCx = VF[fs]x × VF[ft]x
if (y ⊆ dest) then ACCy = VF[fs]y × VF[ft]y
if (z ⊆ dest) then ACCz = VF[fs]z × VF[ft]z
if (w ⊆ dest) then ACCw = VF[fs]w × VF[ft]w
Flag Changes
MAC flag status flag
Oxyzw Uxyzw Sxyzw Zxyzw DS IS OS US SS ZS D I O U S Z
clipping
flag
XXXX XXXX XXXX XXXX - - X X X X - - X X X X -
Throughput/Latency
1 / 4
Example
MULA.xyzw ACCxyzw, VF20xyzw, VF30xyzw
ACCx = VF20x × VF30x
ACCy = VF20y × VF30y
ACCz = VF20z × VF30z
ACCw = VF20w × VF30w
Remarks
There is an operation error of 1 bit in multiplication, so the value multiplied by 1 may not be the same as the
original value. By using VF[fs] as a multiplicand, the results of multiplication with 1 are guaranteed to be
accurate.

SCE CONFIDENTIAL VU User's Manual Version 6.0
© SCEI
-112-
MULAi : Multiply by I Register, to Accumulator
Multiplies each field of VF[fs] by the value of the I register and stores the result in ACC.
Operation Code
Upper 32-bit word: UpperOP field type 3
63 62 61 60 59 58 57 56 55 54 53 52 51 50 49 48 47 46 45 44 43 42 41 40 39 38 37 36 35 34 33 32
I E M D T - - dest ft reg fs reg MULAi
- - - - - 0 0 ---- 00000 ----- 00111 1111 10
1 1 1 1 1 1 1 4 bits 5 bits 5 bits 11 bits
Mnemonic
MULAi.dest ACCdest, VF[fs]dest, I
Operation
if (x ⊆ dest) then ACCx = VF[fs]x × I
if (y ⊆ dest) then ACCy = VF[fs]y × I
if (z ⊆ dest) then ACCz = VF[fs]z × I
if (w ⊆ dest) then ACCw = VF[fs]w × I
Flag Changes
MAC flag status flag
Oxyzw Uxyzw Sxyzw Zxyzw DS IS OS US SS ZS D I O U S Z
clipping
flag
XXXX XXXX XXXX XXXX - - X X X X - - X X X X -
Throughput/Latency
1 / 4
Example
MULAi.xyzw ACCxyzw, VF20xyzw, I
ACCx = VF20x × I
ACCy = VF20y × I
ACCz = VF20z × I
ACCw = VF20w × I
Remarks
There is an operation error of 1 bit in multiplication, so the value multiplied by 1 may not be the same as the
original value. By using VF[fs] as a multiplicand, the results of multiplication with 1 are guaranteed to be
accurate.

SCE CONFIDENTIAL VU User's Manual Version 6.0
© SCEI
-113-
MULAq : Multiply by Q Register, to Accumulator
Multiplies each field of VF[fs] by the Q register, and stores the result in ACC.
Operation Code
Upper 32-bit word: UpperOP field type 3
63 62 61 60 59 58 57 56 55 54 53 52 51 50 49 48 47 46 45 44 43 42 41 40 39 38 37 36 35 34 33 32
I E M D T - - dest ft reg fs reg MULAq
- - - - - 0 0 ---- 00000 ----- 00111 1111 00
1 1 1 1 1 1 1 4 bits 5 bits 5 bits 11 bits
Mnemonic
MULAq.dest ACCdest, VF[fs]dest, Q
Operation
if (x ⊆ dest) then ACCx = VF[fs]x × Q
if (y ⊆ dest) then ACCy = VF[fs]y × Q
if (z ⊆ dest) then ACCz = VF[fs]z × Q
if (w ⊆ dest) then ACCw = VF[fs]w × Q
Flag Changes
MAC flag status flag
Oxyzw Uxyzw Sxyzw Zxyzw DS IS OS US SS ZS D I O U S Z
clipping
flag
XXXX XXXX XXXX XXXX - - X X X X - - X X X X -
Throughput/Latency
1 / 4
Example
MULAq.xyzw ACCxyzw, VF20xyzw, Q
ACCx = VF20x × Q
ACCy = VF20y × Q
ACCz = VF20z × Q
ACCw = VF20w × Q
Remarks
There is an operation error of 1 bit in multiplication, so the value multiplied by 1 may not be the same as the
original value. By using VF[fs] as a multiplicand, the results of multiplication with 1 are guaranteed to be
accurate.

SCE CONFIDENTIAL VU User's Manual Version 6.0
© SCEI
-114-
MULAbc : Broadcast Multiply by broadcast, to Accumulator
Multiplies each field of VF[fs] by the specified field of VF[ft] and stores the result in the corresponding field of
ACC.
Operation Code
Upper 32-bit word: UpperOP field type 2
63 62 61 60 59 58 57 56 55 54 53 52 51 50 49 48 47 46 45 44 43 42 41 40 39 38 37 36 35 34 33 32
I E M D T - - dest ft reg fs reg MULA? bc
- - - - - 0 0 ---- ----- ----- 00110 1111 --
1 1 1 1 1 1 1 4 bits 5 bits 5 bits 9 bits 2 bits
Mnemonic
MULAbc.dest ACCdest, VF[fs]dest, VF[ft]bc
Operation
if (x ⊆ dest) then ACCx = VF[fs]x × VF[ft]bc
if (y ⊆ dest) then ACCy = VF[fs]y × VF[ft]bc
if (z ⊆ dest) then ACCz = VF[fs]z × VF[ft]bc
if (w ⊆ dest) then ACCw = VF[fs]w × VF[ft]bc
Flag Changes
MAC flag status flag
Oxyzw Uxyzw Sxyzw Zxyzw DS IS OS US SS ZS D I O U S Z
clipping
flag
XXXX XXXX XXXX XXXX - - X X X X - - X X X X -
Throughput/Latency
1 / 4
Example
MULAx.xyzw ACCxyzw, VF20xyzw, VF30x
ACCx = VF20x × VF30x
ACCy = VF20y × VF30x
ACCz = VF20z × VF30x
ACCw = VF20w × VF30x
Remarks
There is an operation error of 1 bit in multiplication, so the value multiplied by 1 may not be the same as the
original value. By using VF[fs] as a multiplicand, the results of multiplication with 1 are guaranteed to be
accurate.

SCE CONFIDENTIAL VU User's Manual Version 6.0
© SCEI
-115-
NOP : No Operation
No operation is performed.
Operation Code
Upper 32-bit word: UpperOP field type 3
63 62 61 60 59 58 57 56 55 54 53 52 51 50 49 48 47 46 45 44 43 42 41 40 39 38 37 36 35 34 33 32
I E M D T - - dest ft reg fs reg NOP
- - - - - 0 0 0000 00000 00000 01011 1111 11
1 1 1 1 1 1 1 4 bits 5 bits 5 bits 11 bits
Mnemonic
NOP
Operation
None
Flag Changes
MAC flag status flag
Oxyzw Uxyzw Sxyzw Zxyzw DS IS OS US SS ZS D I O U S Z
clipping
flag
---- ---- ---- ---- - - - - - - - - - - - - -
Throughput/Latency
1 / 4

SCE CONFIDENTIAL VU User's Manual Version 6.0
© SCEI
-116-
OPMULA : Vector Outer Product
Calculates the first part of the vector outer product of VF[fs] and VF[ft] and stores the result in ACC.
Operation Code
Upper 32-bit word: UpperOP field type 3
63 62 61 60 59 58 57 56 55 54 53 52 51 50 49 48 47 46 45 44 43 42 41 40 39 38 37 36 35 34 33 32
I E M D T - - dest ft reg fs reg OPMULA
- - - - - 0 0 1110 ----- ----- 01011 1111 10
1 1 1 1 1 1 1 4 bits 5 bits 5 bits 11 bits
Mnemonic
OPMULA.xyz ACCxyz, VF[fs]xyz, VF[ft]xyz
Operation
ACCx = VF[fs]y × VF[ft]z
ACCy = VF[fs]z × VF[ft]x
ACCz = VF[fs]x × VF[ft]y
Flag Changes
MAC flag status flag
Oxyzw Uxyzw Sxyzw Zxyzw DS IS OS US SS ZS D I O U S Z
clipping
flag
XXXX XXXX XXXX XXXX - - X X X X - - X X X X -
Throughput/Latency
1 / 4
Example
Vector Outer Product: VF20 × VF30(Be careful to the description order of VF20 and VF30.)
OPMULA.xyz ACCxyz, VF20xyz, VF30xyz
OPMSUB.xyz VF10xyz, VF30xyz, VF20xyz
VF10x = VF20y × VF30z - VF30y × VF20z
VF10y = VF20z × VF30x - VF30z × VF20x
VF10z = VF20x × VF30y - VF30x × VF20y
Remarks
The fields subject to the operation are fixed to x,y,z.
There is an operation error of 1 bit in multiplication, so the value multiplied by 1 may not be the same as the
original value.

SCE CONFIDENTIAL VU User's Manual Version 6.0
© SCEI
-117-
OPMSUB : Vector Outer Product
Calculates the last part of the vector outer product of VF[fs], VF[ft] and ACC and stores the result in VF[fd].
Operation Code
Upper 32-bit word: UpperOP field type 1
63 62 61 60 59 58 57 56 55 54 53 52 51 50 49 48 47 46 45 44 43 42 41 40 39 38 37 36 35 34 33 32
I E M D T - - dest ft reg fs reg fd reg OPMSUB
- - - - - 0 0 1110 ----- ----- ----- 101110
1 1 1 1 1 1 1 4 bits 5 bits 5 bits 5 bits 6 bits
Mnemonic
OPMSUB.xyz VF[fd]xyz, VF[fs]xyz, VF[ft]xyz
Operation
VF[fd]x = ACCx - VF[fs]y × VF[ft]z
VF[fd]y = ACCy - VF[fs]z × VF[ft]x
VF[fd]z = ACCz - VF[fs]x × VF[ft]y
Flag Changes
MAC flag status flag
Oxyzw Uxyzw Sxyzw Zxyzw DS IS OS US SS ZS D I O U S Z
clipping
flag
XXXX XXXX XXXX XXXX - - X X X X - - X X X X -
Throughput/Latency
1 / 4
Example
Vector Outer Product: VF20 × VF30(Be careful with the description order of VF20 and VF30.)
OPMULA.xyz ACCxyz, VF20xyz, VF30xyz
OPMSUB.xyz VF10xyz, VF30xyz, VF20xyz
VF10x = VF20y × VF30z - VF30y × VF20z
VF10y = VF20z × VF30x - VF30z × VF20x
VF10z = VF20x × VF30y - VF30x × VF20y
Remarks
The fields subject to the operation are fixed to x,y,z.
There is an operation error of 1 bit in multiplication, so the value multiplied by 1 may not be the same as the
original value.

SCE CONFIDENTIAL VU User's Manual Version 6.0
© SCEI
-118-
SUB : Subtract
Subtracts VF[ft] from VF[fs] and stores the result in VF[fd].
Operation Code
Upper 32-bit word: UpperOP field type 1
63 62 61 60 59 58 57 56 55 54 53 52 51 50 49 48 47 46 45 44 43 42 41 40 39 38 37 36 35 34 33 32
I E M D T - - dest ft reg fs reg fd reg SUB
- - - - - 0 0 ---- ----- ----- ----- 101100
1 1 1 1 1 1 1 4 bits 5 bits 5 bits 5 bits 6 bits
Mnemonic
SUB.dest VF[fd]dest, VF[fs]dest, VF[ft]dest
Operation
if (x ⊆ dest) then VF[fd]x = VF[fs]x - VF[ft]x
if (y ⊆ dest) then VF[fd]y = VF[fs]y - VF[ft]y
if (z ⊆ dest) then VF[fd]z = VF[fs]z - VF[ft]z
if (w ⊆ dest) then VF[fd]w = VF[fs]w - VF[ft]w
Flag Changes
MAC flag status flag
Oxyzw Uxyzw Sxyzw Zxyzw DS IS OS US SS ZS D I O U S Z
clipping
flag
XXXX XXXX XXXX XXXX - - X X X X - - X X X X -
Throughput/Latency
1 / 4
Example
SUB.xyzw VF01xyzw, VF00xyzw, VF00xyzw
The values of all fields of VF01 all become 0.0.
Remarks
When VF00 is specified as the destination, the instruction is used to compare VF[fs] with VF[ft].

SCE CONFIDENTIAL VU User's Manual Version 6.0
© SCEI
-119-
SUBi : Subtract I Register
Subtracts the I register from each field of VF[fs] and stores the result in the corresponding fields of VF[fd].
Operation Code
Upper 32-bit word: UpperOP field type 1
63 62 61 60 59 58 57 56 55 54 53 52 51 50 49 48 47 46 45 44 43 42 41 40 39 38 37 36 35 34 33 32
I E M D T - - dest ft reg fs reg fd reg SUBi
- - - - - 0 0 ---- 00000 ----- ----- 100110
1 1 1 1 1 1 1 4 bits 5 bits 5 bits 5 bits 6 bits
Mnemonic
SUBi.dest VF[fd]dest, VF[fs]dest, I
Operation
if (x ⊆ dest) then VF[fd]x = VF[fs]x - I
if (y ⊆ dest) then VF[fd]y = VF[fs]y - I
if (z ⊆ dest) then VF[fd]z = VF[fs]z - I
if (w ⊆ dest) then VF[fd]w = VF[fs]w - I
Flag Changes
MAC flag status flag
Oxyzw Uxyzw Sxyzw Zxyzw DS IS OS US SS ZS D I O U S Z
clipping
flag
XXXX XXXX XXXX XXXX - - X X X X - - X X X X -
Throughput/Latency
1 / 4
Example
SUBi.xyzw VF10xyzw, VF20xyzw, I
VF10x = VF20x - I
VF10y = VF20y - I
VF10z = VF20z - I
VF10w = VF20w - I
Remarks
When VF00 is specified as the destination, the instruction is used to compare each field of VF[fs] with the I
register.

SCE CONFIDENTIAL VU User's Manual Version 6.0
© SCEI
-120-
SUBq : Subtract Q Register
Subtracts the Q register from each field of VF[fs] and stores the result in the corresponding field of VF[ft].
Operation Code
Upper 32-bit word: UpperOP field type 1
63 62 61 60 59 58 57 56 55 54 53 52 51 50 49 48 47 46 45 44 43 42 41 40 39 38 37 36 35 34 33 32
I E M D T - - dest ft reg fs reg fd reg SUBq
- - - - - 0 0 ---- 00000 ----- ----- 100100
1 1 1 1 1 1 1 4 bits 5 bits 5 bits 5 bits 6 bits
Mnemonic
SUBq.dest VF[fd]dest, VF[fs]dest, Q
Operation
if (x ⊆ dest) then VF[fd]x = VF[fs]x - Q
if (y ⊆ dest) then VF[fd]y = VF[fs]y - Q
if (z ⊆ dest) then VF[fd]z = VF[fs]z - Q
if (w ⊆ dest) then VF[fd]w = VF[fs]w - Q
Flag Changes
MAC flag status flag
Oxyzw Uxyzw Sxyzw Zxyzw DS IS OS US SS ZS D I O U S Z
clipping
flag
XXXX XXXX XXXX XXXX - - X X X X - - X X X X -
Throughput/Latency
1 / 4
Example
SUBq.xyzw VF10xyzw, VF20xyzw, Q
VF10x = VF20x - Q
VF10y = VF20y - Q
VF10z = VF20z - Q
VF10w = VF20w - Q
Remarks
When VF00 is specified as the destination, the instruction is used to compare each field of VF[fs] with the Q
register .

SCE CONFIDENTIAL VU User's Manual Version 6.0
© SCEI
-121-
SUBbc : Broadcast Subtract
Subtracts the specified field of VF[ft] from each field of VF[fs] and stores the result in the corresponding field of
VF[fd].
Operation Code
Upper 32-bit word: UpperOP field type 0
63 62 61 60 59 58 57 56 55 54 53 52 51 50 49 48 47 46 45 44 43 42 41 40 39 38 37 36 35 34 33 32
I E M D T - - dest ft reg fs reg fd reg SUB? bc
- - - - - 0 0 ---- ----- ----- ----- 0001 --
1 1 1 1 1 1 1 4 bits 5 bits 5 bits 5 bits 4 bits 2 bits
Mnemonic
SUBbc.dest VF[fd]dest, VF[fs]dest, VF[ft]bc
Operation
if (x ⊆ dest) then VF[fd]x = VF[fs]x - VF[ft]bc
if (y ⊆ dest) then VF[fd]y = VF[fs]y - VF[ft]bc
if (z ⊆ dest) then VF[fd]z = VF[fs]z - VF[ft]bc
if (w ⊆ dest) then VF[fd]w = VF[fs]w - VF[ft]bc
Flag Changes
MAC flag status flag
Oxyzw Uxyzw Sxyzw Zxyzw DS IS OS US SS ZS D I O U S Z
clipping
flag
XXXX XXXX XXXX XXXX - - X X X X - - X X X X -
Throughput/Latency
1 / 4
Example
SUBx.xyzw VF10xyzw, VF20xyzw, VF30x
VF10x = VF20x - VF30x
VF10y = VF20y - VF30x
VF10z = VF20z - VF30x
VF10w = VF20w - VF30x
Remarks
When VF00 is specified as the destination, the instruction is used to compare each field of VF[fs] with the
VF[ft]bc field.

SCE CONFIDENTIAL VU User's Manual Version 6.0
© SCEI
-122-
SUBA : Substract; to Accumulator
Subtracts VF[ft] from VF[fs] and stores the result in ACC.
Operation Code
Upper 32-bit word: UpperOP field type 3
63 62 61 60 59 58 57 56 55 54 53 52 51 50 49 48 47 46 45 44 43 42 41 40 39 38 37 36 35 34 33 32
I E M D T - - dest ft reg fs reg SUBA
- - - - - 0 0 ---- ----- ----- 01011 1111 00
1 1 1 1 1 1 1 4 bits 5 bits 5 bits 11 bits
Mnemonic
SUBA.dest ACCdest, VF[fs]dest, VF[ft]dest
Operation
if (x ⊆ dest) then ACCx = VF[fs]x - VF[ft]x
if (y ⊆ dest) then ACCy = VF[fs]y - VF[ft]y
if (z ⊆ dest) then ACCz = VF[fs]z - VF[ft]z
if (w ⊆ dest) then ACCw = VF[fs]w - VF[ft]w
Flag Changes
MAC flag status flag
Oxyzw Uxyzw Sxyzw Zxyzw DS IS OS US SS ZS D I O U S Z
clipping
flag
XXXX XXXX XXXX XXXX - - X X X X - - X X X X -
Throughput/Latency
1 / 4
Example
SUBA.xyzw ACCxyzw, VF20xyzw, VF30xyzw
ACCx = VF20x - VF30x
ACCy = VF20y - VF30y
ACCz = VF20z - VF30z
ACCw = VF20w - VF30w

SCE CONFIDENTIAL VU User's Manual Version 6.0
© SCEI
-123-
SUBAi : Subtract I Register; to Accumulator
Subtracts the I register from each field of VF[fs] and stores the result in the corresponding field of ACC.
Operation Code
Upper 32-bit word: UpperOP field type 3
63 62 61 60 59 58 57 56 55 54 53 52 51 50 49 48 47 46 45 44 43 42 41 40 39 38 37 36 35 34 33 32
I E M D T - - dest ft reg fs reg SUBAi
- - - - - 0 0 ---- 00000 ----- 01001 1111 10
1 1 1 1 1 1 1 4 bits 5 bits 5 bits 11 bits
Mnemonic
SUBAi.dest ACCdest, VF[fs]dest, I
Operation
if (x ⊆ dest) then ACCx = VF[fs]x - I
if (y ⊆ dest) then ACCy = VF[fs]y - I
if (z ⊆ dest) then ACCz = VF[fs]z - I
if (w ⊆ dest) then ACCw = VF[fs]w - I
Flag Changes
MAC flag status flag
Oxyzw Uxyzw Sxyzw Zxyzw DS IS OS US SS ZS D I O U S Z
clipping
flag
XXXX XXXX XXXX XXXX - - X X X X - - X X X X -
Throughput/Latency
1 / 4
Example
SUBAi.xyzw ACCxyzw, VF20xyzw, I
ACCx = VF20x - I
ACCy = VF20y - I
ACCz = VF20z - I
ACCw = VF20w - I

SCE CONFIDENTIAL VU User's Manual Version 6.0
© SCEI
-124-
SUBAq : Subtract Q Register; to Accumulator
Subtracts the Q register from each field of VF[fs] and stores the result in the corresponding field of ACC.
Operation Code
Upper 32-bit word: UpperOP field type 3
63 62 61 60 59 58 57 56 55 54 53 52 51 50 49 48 47 46 45 44 43 42 41 40 39 38 37 36 35 34 33 32
I E M D T - - dest ft reg fs reg SUBAq
- - - - - 0 0 ---- 00000 ----- 01001 1111 00
1 1 1 1 1 1 1 4 bits 5 bits 5 bits 11 bits
Mnemonic
SUBAq.dest ACCdest, VF[fs]dest, Q
Operation
if (x ⊆ dest) then ACCx = VF[fs]x - Q
if (y ⊆ dest) then ACCy = VF[fs]y - Q
if (z ⊆ dest) then ACCz = VF[fs]z - Q
if (w ⊆ dest) then ACCw = VF[fs]w - Q
Flag Changes
MAC flag status flag
Oxyzw Uxyzw Sxyzw Zxyzw DS IS OS US SS ZS D I O U S Z
clipping
flag
XXXX XXXX XXXX XXXX - - X X X X - - X X X X -
Throughput/Latency
1 / 4
Example
SUBAq.xyzw ACCxyzw, VF20xyzw, Q
ACCx = VF20x - Q
ACCy = VF20y - Q
ACCz = VF20z - Q
ACCw = VF20w - Q

SCE CONFIDENTIAL VU User's Manual Version 6.0
© SCEI
-125-
SUBAbc : Broadcast Subtract; to Accumulator
Subtracts the specified field of VF[ft] from each field of VF[fs] and stores the result in the corresponding field of
ACC.
Operation Code
Upper 32-bit word: UpperOP field type 2
63 62 61 60 59 58 57 56 55 54 53 52 51 50 49 48 47 46 45 44 43 42 41 40 39 38 37 36 35 34 33 32
I E M D T - - dest ft reg fs reg SUBA? bc
- - - - - 0 0 ---- ----- ----- 00001 1111 --
1 1 1 1 1 1 1 4 bits 5 bits 5 bits 9 bits 2 bits
Mnemonic
SUBAbc.dest ACCdest, VF[fs]dest, VF[ft]bc
Operation
if (x ⊆ dest) then ACCx = VF[fs]x - VF[ft]bc
if (y ⊆ dest) then ACCy = VF[fs]y - VF[ft]bc
if (z ⊆ dest) then ACCz = VF[fs]z - VF[ft]bc
if (w ⊆ dest) then ACCw = VF[fs]w - VF[ft]bc
Flag Changes
MAC flag status flag
Oxyzw Uxyzw Sxyzw Zxyzw DS IS OS US SS ZS D I O U S Z
clipping
flag
XXXX XXXX XXXX XXXX - - X X X X - - X X X X -
Throughput/Latency
1 / 4
Example
SUBAx.xyzw ACCxyzw, VF20xyzw, VF30x
ACCx = VF20x - VF30x
ACCy = VF20y - VF30x
ACCz = VF20z - VF30x
ACCw = VF20w - VF30x

SCE CONFIDENTIAL VU User's Manual Version 6.0
© SCEI
-126-
4.3. Lower Instruction Reference
This section describes the function, operation code, mnemonic, operation, flag changes, and throughput/latency
of Lower instructions. They are listed in alphabetical order in mnemonic form. The descriptions also include
examples, programming notes, and reference information.

SCE CONFIDENTIAL VU User's Manual Version 6.0
© SCEI
-127-
B : Unconditional Branch
Branches to the PC relative address specified with the immediate value.
Operation Code
Lower 32-bit word: LowerOP field type 7
31 30 29 28 27 26 25 24 23 22 21 20 19 18 17 16 15 14 13 12 11 10 09 08 07 06 05 04 03 02 01 00
B dest it reg is reg Imm11
0100000 0000 00000 00000 -----------
7 bits 4 bits 5 bits 5 bits 11 bits
Mnemonic
B Imm11
Imm11 is a signed interger of 11-bit long; specify the value obtained by dividing the offset to branch
destination by 8.
Operation
PC = PC + Imm11 × 8
The branch destination is determined by adding the value of Imm11, to the address of the instruction in the
branch delay slot (one instruction).
Flag Changes
MAC flag status flag
Oxyzw Uxyzw Sxyzw Zxyzw DS IS OS US SS ZS D I O U S Z
clipping
flag
---- ---- ---- ---- - - - - - - - - - - - - -
Throughput/Latency
2 / 2
Example
In the example below, the branch destination varies when VI10 matches with either VI01, VI02, or VI03.
NOP BEQ VI10, VI01, PROG1
NOP NOP
NOP BEQ VI10, VI02, PROG2
NOP NOP
NOP BEQ VI10, VI03, PROG3
NOP NOP
NOP B DEFAULT
Remarks
This instruction cannot be placed in the E bit delay slot.

SCE CONFIDENTIAL VU User's Manual Version 6.0
© SCEI
-128-
BAL : Unconditional Branch with Saving Address
Stores the address before branching in VI[it] and branches to the PC relative address specified with the
immediate value.
Operation Code
Lower 32-bit word: LowerOP field type 7
31 30 29 28 27 26 25 24 23 22 21 20 19 18 17 16 15 14 13 12 11 10 09 08 07 06 05 04 03 02 01 00
BAL dest it reg is reg Imm11
0100001 0000 ----- 00000 -----------
7 bits 4 bits 5 bits 5 bits 11 bits
Mnemonic
BAL VI[it], Imm11
Imm11 is an 11-bit signed integer; specify the value obtained by dividing the offset to branch destination by
8.
Operation
VI[it] = PC + (2 × 8)
PC = PC + Imm11 × 8
The address of the instruction next to the branch delay slot (one instruction) is stored in VI[it].
The branch destination is determined by adding the value of Imm11 to the address of the instruction in the
slot.
Flag Changes
MAC flag status flag
Oxyzw Uxyzw Sxyzw Zxyzw DS IS OS US SS ZS D I O U S Z
clipping
flag
---- ---- ---- ---- - - - - - - - - - - - - -
Throughput/Latency
2 / 2
Example
BAL VI15, LABEL:
VI15 = PC+(2 × 8)
Branches to LABEL (PC relative address)
Remarks
This instruction cannot be placed in the E bit delay slot.

SCE CONFIDENTIAL VU User's Manual Version 6.0
© SCEI
-129-
DIV : Divide
Divides fsf field of VF[fs] by ftf field of VF[ft] and stores the result in the Q register.
Operation Code
Lower 32-bit word: LowerOP field type 4
31 30 29 28 27 26 25 24 23 22 21 20 19 18 17 16 15 14 13 12 11 10 09 08 07 06 05 04 03 02 01 00
Lower OP. ftf fsf ft reg fs reg DIV
1000000 -- -- ----- ----- 01110 1111 00
7 bits 2 bits 2 bits 5 bits 5 bits 11 bits
Mnemonic
DIV Q, VF[fs]fsf, VF[ft]ftf
Operation
Q = VF[fs]fsf ÷ VF[ft]ftf
Flag Changes
MAC flag status flag
Oxyzw Uxyzw Sxyzw Zxyzw DS IS OS US SS ZS D I O U S Z
clipping
flag
---- ---- ---- ---- X X - - - - X X - - - - -
Throughput/Latency
7 / 7
Example
DIV Q, VF10x, VF20y
Q = VF10x ÷ VF20y
Remarks
A data dependency check is not performed with the Q register. To execute subsequent instructions after the
results of the DIV instruction are written to the Q register, use the WAITQ instruction for synchronization.

SCE CONFIDENTIAL VU User's Manual Version 6.0
© SCEI
-130-
EATAN : Arctangent
Calculates the arc tangent of fsf field of VF[fs] and stores the result in the P register.
Operation Code
Lower 32-bit word: LowerOP field type 4
31 30 29 28 27 26 25 24 23 22 21 20 19 18 17 16 15 14 13 12 11 10 09 08 07 06 05 04 03 02 01 00
Lower OP. ftf fsf ft reg fs reg EATAN
1000000 00 -- 00000 ----- 11111 1111 01
7 bits 2 bits 2 bits 5 bits 5 bits 11 bits
Mnemonic
EATAN P, VF[fs]fsf
Operation
P = arctan( VF[fs]fsf )
The following approximation formula is used for calculating arctan.
Calculation is valid for: 0 <= x <= 1
4
)
()arctan(
15
8
13
7
11
6
9
5
7
4
5
3
3
21
π
+×+×+×+×+
×+×+×+×=
tTtTtTtT
tTtTtTtTx
Provided )1(
)1(
+
−
=x
x
t
Single precision floating-point expressions Constants Decimal expressions
S E F
Hex.
Expressions
T1 0.999999344348907 0 01111110 11111111111111111110101 3f7ffff5
T2 -0.333298563957214 1 01111101 01010101010011000011100 beaaa61c
T3 0.199465364217758 0 01111100 10011000100000010100110 3e4c40a6
T4 -0.139085337519646 1 01111100 00011100110110001100011 be0e6c63
T5 0.096420042216778 0 01111011 10001010111011111011111 3dc577df
T6 -0.055909886956215 1 01111010 11001010000000111000100 bd6501c4
T7 0.021861229091883 0 01111001 01100110001011001010010 3cb31652
T8 -0.004054057877511 1 01110111 00001001101011111100111 bb84d7e7
π/4 0.785398185253143 0 01111110 10010010000111111011011 3f490fdb
Flag Changes
MAC flag status flag
Oxyzw Uxyzw Sxyzw Zxyzw DS IS OS US SS ZS D I O U S Z
clipping
flag
---- ---- ---- ---- - - - - - - - - - - - - -
Throughput/Latency
53 / 54
Example
EATAN P, VF10x
P = arctan( VF10x )

SCE CONFIDENTIAL VU User's Manual Version 6.0
© SCEI
-131-
Remarks
A data dependency check is not performed with the P register. To execute subsequent instructions after the
results of the EATAN instruction are written to the P register, use the WAITP instruction for
synchronization.

SCE CONFIDENTIAL VU User's Manual Version 6.0
© SCEI
-132-
EATANxy : Arctangent
Calculates the arctangent based on the x, y fields of VF[fs] and stores in the P register.
Operation Code
Lower 32-bit word: LowerOP field type 3
31 30 29 28 27 26 25 24 23 22 21 20 19 18 17 16 15 14 13 12 11 10 09 08 07 06 05 04 03 02 01 00
Lower OP. dest ft reg fs reg EATANxy
1000000 1100 00000 ----- 11101 1111 00
7 bits 4 bits 5 bits 5 bits 11 bits
Mnemonic
EATANxy P, VF[fs]
Operation
P = arctan( VF[fs]y / VF[fs]x )
The following approximation formula is used for calculating arctan.
Calculation is valid for: 0 <= y <= x (Excluding 0 = y =x)
4
)
()arctan(
15
8
13
7
11
6
9
5
7
4
5
3
3
21
π
+×+×+×+×+
×+×+×+×=
tTtTtTtT
tTtTtTtTx
Provided )(
)1(
xy
y
t+
−
=
Single precision floating-point expressions Constants Decimal Expressions
S E F
Hex.
expressions
T1 0.999999344348907 0 01111110 11111111111111111110101 3f7ffff5
T2 -0.333298563957214 1 01111101 01010101010011000011100 beaaa61c
T3 0.199465364217758 0 01111100 10011000100000010100110 3e4c40a6
T4 -0.139085337519646 1 01111100 00011100110110001100011 be0e6c63
T5 0.096420042216778 0 01111011 10001010111011111011111 3dc577df
T6 -0.055909886956215 1 01111010 11001010000000111000100 bd6501c4
T7 0.021861229091883 0 01111001 01100110001011001010010 3cb31652
T8 -0.004054057877511 1 01110111 00001001101011111100111 bb84d7e7
π/4 0.785398185253143 0 01111110 10010010000111111011011 3f490fdb
Flag Changes
MAC flag status flag
Oxyzw Uxyzw Sxyzw Zxyzw DS IS OS US SS ZS D I O U S Z
clipping
flag
---- ---- ---- ---- - - - - - - - - - - - - -
Throughput/Latency
53 / 54
Example
EATANxy P, VF10
P = arctan( VF10y / VF10x )

SCE CONFIDENTIAL VU User's Manual Version 6.0
© SCEI
-133-
Remarks
A data dependency check is not performed with the P register. To execute subsequent instructions after the
results of the EATANxy instruction are written to the P register, use the WAITP instruction for
synchronization.

SCE CONFIDENTIAL VU User's Manual Version 6.0
© SCEI
-134-
EATANxz : Arctangent
Calculates the arctangent based on the x, z fields of VF[fs] and stores in the P register.
Operation Code
Lower 32-bit word: LowerOP field type 3
31 30 29 28 27 26 25 24 23 22 21 20 19 18 17 16 15 14 13 12 11 10 09 08 07 06 05 04 03 02 01 00
Lower OP. dest ft reg fs reg EATANxz
1000000 1010 00000 ----- 11101 1111 01
7 bits 4 bits 5 bits 5 bits 11 bits
Mnemonic
EATANxz P, VF[fs]
Operation
P = arctan( VF[fs]z / VF[fs]x )
The following approximation formula is used for calculating arctan.
Calculation is valid for: 0 <= z <= x (Excluding 0 = z =x)
4
)
()arctan(
15
8
13
7
11
6
9
5
7
4
5
3
3
21
π
+×+×+×+×+
×+×+×+×=
tTtTtTtT
tTtTtTtTx
Provided )(
)(
xz
xz
t+
−
=
Single precision floating-point expressions Constants Decimal Expressions
S E F
Hex.
expressions
T1 0.999999344348907 0 01111110 11111111111111111110101 3f7ffff5
T2 -0.333298563957214 1 01111101 01010101010011000011100 beaaa61c
T3 0.199465364217758 0 01111100 10011000100000010100110 3e4c40a6
T4 -0.139085337519646 1 01111100 00011100110110001100011 be0e6c63
T5 0.096420042216778 0 01111011 10001010111011111011111 3dc577df
T6 -0.055909886956215 1 01111010 11001010000000111000100 bd6501c4
T7 0.021861229091883 0 01111001 01100110001011001010010 3cb31652
T8 -0.004054057877511 1 01110111 00001001101011111100111 bb84d7e7
π/4 0.785398185253143 0 01111110 10010010000111111011011 3f490fdb
Flag Changes
MAC flag status flag
Oxyzw Uxyzw Sxyzw Zxyzw DS IS OS US SS ZS D I O U S Z
clipping
flag
---- ---- ---- ---- - - - - - - - - - - - - -
Throughput/Latency
53 / 54
Example
EATANxz P, VF10
P = arctan( VF10z / VF10x )

SCE CONFIDENTIAL VU User's Manual Version 6.0
© SCEI
-135-
Remarks
A data dependency check is not performed with the P register. To execute subsequent instructions after the
results of the EATANxz instruction are written to the P register, use the WAITP instruction for
synchronization.

SCE CONFIDENTIAL VU User's Manual Version 6.0
© SCEI
-136-
EEXP : Exponent
Calculates the exponent of fsf field of VF[fs] and stores the result in the P register.
Operation Code
Lower 32-bit word: LowerOP field type 4
31 30 29 28 27 26 25 24 23 22 21 20 19 18 17 16 15 14 13 12 11 10 09 08 07 06 05 04 03 02 01 00
Lower OP. ftf fsf ft reg fs reg EEXP
1000000 00 -- 00000 ----- 11111 1111 10
7 bits 2 bits 2 bits 5 bits 5 bits 11 bits
Mnemonic
EEXP P, VF[fs]fsf
Operation
P = exp( - VF[fs]fsf )
The following approximation formula is used for calculating exp.
Calculation is valid for: 0 <= x <= +MAX
eExExExExExEx
x−=+×+×+×+×+×+×
1
112
2
3
3
4
4
5
5
6
64
()
Single precision floating-point expressions Constants Decimal Expressions
S E F
Hex.
expressions
E1 0.249998688697815 0 01111100 11111111111111110101000 3e7fffa8
E2 0.031257584691048 0 01111010 00000000000011111110100 3d0007f4
E3 0.002591371303424 0 01110110 01010011101001111111111 3b29d3ff
E4 0.000171562001924 0 01110010 01100111110010101010011 3933e553
E5 0.000005430199963 0 01101101 01101100011010100010000 36b63510
E6 0.000000690600018 0 01101010 01110010110000110101100 353961ac
Flag Changes
MAC flag status flag
Oxyzw Uxyzw Sxyzw Zxyzw DS IS OS US SS ZS D I O U S Z
clipping
flag
---- ---- ---- ---- - - - - - - - - - - - - -
Throughput/Latency
43 / 44
Example
EEXP P, VF10x
P = exp( - VF10x )
Remarks
A data dependency check is not performed with the P register. To execute subsequent instructions after the
results of the EEXP instruction are written to the P register, use the WAITP instruction for synchronization.

SCE CONFIDENTIAL VU User's Manual Version 6.0
© SCEI
-137-
ELENG : Length
Calculates the length from the origin, with the x, y, z fields of VF[fs] as the three-dimensional coordinates, and
stores the result in the P register.
Operation Code
Lower 32-bit word: LowerOP field type 3
31 30 29 28 27 26 25 24 23 22 21 20 19 18 17 16 15 14 13 12 11 10 09 08 07 06 05 04 03 02 01 00
Lower OP. dest ft reg fs reg ELENG
1000000 1110 00000 ----- 11100 1111 10
7 bits 4 bits 5 bits 5 bits 11 bits
Mnemonic
ELENG P, VF[fs]
Operation
P = {(VF[fs]x)2+(VF[fs]y)2+(VF[fs]z)2}
Flag Changes
MAC flag status flag
Oxyzw Uxyzw Sxyzw Zxyzw DS IS OS US SS ZS D I O U S Z
clipping
flag
---- ---- ---- ---- - - - - - - - - - - - - -
Throughput/Latency
17 / 18
Example
ELENG P, VF10
P = {(VF10x)2+(VF10y)2+(VF10z)2}
Remarks
A data dependency check is not performed with the P register. To execute subsequent instructions after the
results of the ELENG instruction are written to the P register, use the WAITP instruction for
synchronization.

SCE CONFIDENTIAL VU User's Manual Version 6.0
© SCEI
-138-
ERCPR : Reciprocal Number
Calculates the reciprocal of the fsf field of VF[fs] and stores it in the P register.
Operation Code
Lower 32-bit word: LowerOP field type 4
31 30 29 28 27 26 25 24 23 22 21 20 19 18 17 16 15 14 13 12 11 10 09 08 07 06 05 04 03 02 01 00
Lower OP. ftf fsf ft reg fs reg ERCPR
1000000 00 -- 00000 ----- 11110 1111 10
7 bits 2 bits 2 bits 5 bits 5 bits 11 bits
Mnemonic
ERCPR P, VF[fs]fsf
Operation
P = 1 / VF[fs]fsf
Flag Changes
MAC flag status flag
Oxyzw Uxyzw Sxyzw Zxyzw DS IS OS US SS ZS D I O U S Z
clipping
flag
---- ---- ---- ---- - - - - - - - - - - - - -
Throughput/Latency
11 / 12
Example
ERCPR P, VF10x
P = 1 / VF10x
Remarks
A data dependency check is not performed with the P register. To execute subsequent instructions after the
results of the ERCPR instruction are written to the P register, use the WAITP instruction for
synchronization.

SCE CONFIDENTIAL VU User's Manual Version 6.0
© SCEI
-139-
ERLENG : Reciprocal Number of Length
Calculates the reciprocal of the length from the origin, using the x, y, z fields of VF[fs] as the three-dimensional
coordinates, and stores the result in the P register.
Operation Code
Lower 32-bit word: LowerOP field type 3
31 30 29 28 27 26 25 24 23 22 21 20 19 18 17 16 15 14 13 12 11 10 09 08 07 06 05 04 03 02 01 00
Lower OP. dest ft reg fs reg ERLENG
1000000 1110 00000 ----- 11100 1111 11
7 bits 4 bits 5 bits 5 bits 11 bits
Mnemonic
ERLENG P, VF[fs]
Operation
P = 1
{(VF[fs]x)2+(VF[fs]y)2+(VF[fs]z)2}
Flag Changes
MAC flag status flag
Oxyzw Uxyzw Sxyzw Zxyzw DS IS OS US SS ZS D I O U S Z
clipping
flag
---- ---- ---- ---- - - - - - - - - - - - - -
Throughput/Latency
23 / 24
Example
ERLENG P, VF10
P = 1
{(VF10x)2+(VF10y)2+(VF10z)2}
Remarks
A data dependency check is not performed with the P register. To execute subsequent instructions after the
results of the ERLENG instruction are written to the P register, use the WAITP instruction for
synchronization.

SCE CONFIDENTIAL VU User's Manual Version 6.0
© SCEI
-140-
ERSADD : Reciprocal Number
Calculates the reciprocal of the sum of the squares of the x, y, z fields of VF[fs] and stores the result in the P
register.
Operation Code
Lower 32-bit word: LowerOP field type 3
31 30 29 28 27 26 25 24 23 22 21 20 19 18 17 16 15 14 13 12 11 10 09 08 07 06 05 04 03 02 01 00
Lower OP. dest ft reg fs reg ERSADD
1000000 1110 00000 ----- 11100 1111 01
7 bits 4 bits 5 bits 5 bits 11 bits
Mnemonic
ERSADD P, VF[fs]
Operation
P = 1 / { (VF[fs]x)2 + (VF[fs]y)2 + (VF[fs]z)2 }
Flag Changes
MAC flag status flag
Oxyzw Uxyzw Sxyzw Zxyzw DS IS OS US SS ZS D I O U S Z
clipping
flag
---- ---- ---- ---- - - - - - - - - - - - - -
Throughput/Latency
17 / 18
Example
ERSADD P, VF10
P = 1 / { (VF10x)2 + (VF10y)2 + (VF10z)2 }
Remarks
A data dependency check is not performed with the P register. To execute subsequent instructions after the
results of the ERSADD instruction are written to the P register, use the WAITP instruction for
synchronization.

SCE CONFIDENTIAL VU User's Manual Version 6.0
© SCEI
-141-
ERSQRT : Reciprocal Number of Square Root
Calculates the reciprocal of the square root of the fsf field of VF[fs] and stores the result in the P register.
Operation Code
Lower 32-bit word: LowerOP field type 4
31 30 29 28 27 26 25 24 23 22 21 20 19 18 17 16 15 14 13 12 11 10 09 08 07 06 05 04 03 02 01 00
Lower OP. ftf fsf ft reg fs reg ERSQRT
1000000 00 -- 00000 ----- 11110 1111 01
7 bits 2 bits 2 bits 5 bits 5 bits 11 bits
Mnemonic
ERSQRT P, VF[fs]fsf
Operation
P = 1
VF[fs]fsf
Flag Changes
MAC flag status flag
Oxyzw Uxyzw Sxyzw Zxyzw DS IS OS US SS ZS D I O U S Z
clipping
flag
---- ---- ---- ---- - - - - - - - - - - - - -
Throughput/Latency
17 / 18
Example
ERSQRT P, VF10x
P = 1
VF10x
Remarks
A data dependency check is not performed with the P register. To execute subsequent instructions after the
results of the ERSQRT instruction are written to the P register, use the WAITP instruction for
synchronization.

SCE CONFIDENTIAL VU User's Manual Version 6.0
© SCEI
-142-
ESADD : Sum of Square Numbers
Calculates the sum of the squares of the x, y, z fields of VF[fs] and stores the result in the P register.
Operation Code
Lower 32-bit word: LowerOP field type 3
31 30 29 28 27 26 25 24 23 22 21 20 19 18 17 16 15 14 13 12 11 10 09 08 07 06 05 04 03 02 01 00
Lower OP. dest ft reg fs reg ESADD
1000000 1110 00000 ----- 11100 1111 00
7 bits 4 bits 5 bits 5 bits 11 bits
Mnemonic
ESADD P, VF[fs]
Operation
P = (VF[fs]x)2 + (VF[fs]y)2 + (VF[fs]z)2
Flag Changes
MAC flag status flag
Oxyzw Uxyzw Sxyzw Zxyzw DS IS OS US SS ZS D I O U S Z
clipping
flag
---- ---- ---- ---- - - - - - - - - - - - - -
Throughput/Latency
10 / 11
Example
ESADD P, VF10
P = (VF10x)2 + (VF10y)2 + (VF10z)2
Remarks
A data dependency check is not performed with the P register. To execute subsequent instructions after the
results of the ESADD instruction are written to the P register, use the WAITP instruction for
synchronization.

SCE CONFIDENTIAL VU User's Manual Version 6.0
© SCEI
-143-
ESIN : Sine
Calculates the sine of the fsf field of VF[fs] and stores the result in the P register.
Operation Code
Lower 32-bit word: LowerOP field type 4
31 30 29 28 27 26 25 24 23 22 21 20 19 18 17 16 15 14 13 12 11 10 09 08 07 06 05 04 03 02 01 00
Lower OP. ftf fsf ft reg fs reg ESIN
1000000 00 -- 00000 ----- 11111 1111 00
7 bits 2 bits 2 bits 5 bits 5 bits 11 bits
Mnemonic
ESIN P, VF[fs]fsf
Operation
P = sin( VF[fs]fsf )
The following approximation formula is used for calculating sin.
Calculation is valid for: -π/2 <= x <= +π/2
sin( )xSxSxSxSxSx=×+×+×+×+×
12
3
3
5
4
7
5
9
Single precision floating-point expressions Constants Decimal Expressions
S E F
Hex.
expressions
S1 1.00000000000000 0 01111111 00000000000000000000000 3f800000
S2 -0.166666567325592 1 01111100 01010101010101010100100 be2aaaa4
S3 0.008333025500178 0 01111000 00010001000011100111110 3c08873e
S4 -0.000198074136279 1 01110010 10011111011001000011111 b94fb21f
S5 0.000002601886990 0 01101100 01011101001110000010100 362e9c14
Flag Changes
MAC flag status flag
Oxyzw Uxyzw Sxyzw Zxyzw DS IS OS US SS ZS D I O U S Z
clipping
flag
---- ---- ---- ---- - - - - - - - - - - - - -
Throughput/Latency
28 / 29
Example
ESIN P, VF10x
P = sin( VF10x )
Remarks
A data dependency check is not performed with the P register. To execute subsequent instructions after the
results of the ESIN instruction are written to the P register, use the WAITP instruction for synchronization.

SCE CONFIDENTIAL VU User's Manual Version 6.0
© SCEI
-144-
ESQRT : Square Root
Calculates the square root of the fsf field of VF[fs] and stores the result in the P register.
Operation Code
Lower 32-bit word: LowerOP field type 4
31 30 29 28 27 26 25 24 23 22 21 20 19 18 17 16 15 14 13 12 11 10 09 08 07 06 05 04 03 02 01 00
Lower OP. ftf fsf ft reg fs reg ESQRT
1000000 00 -- 00000 ----- 11110 1111 00
7 bits 2 bits 2 bits 5 bits 5 bits 11 bits
Mnemonic
ESQRT P, VF[fs]fsf
Operation
P = VF[fs]fsf
Flag Changes
MAC flag status flag
Oxyzw Uxyzw Sxyzw Zxyzw DS IS OS US SS ZS D I O U S Z
clipping
flag
---- ---- ---- ---- - - - - - - - - - - - - -
Throughput/Latency
11 / 12
Example
ESQRT P, VF10x
P = VF10x
Remarks
A data dependency check is not performed with the P register. To execute subsequent instructions after the
results of the ESQRT instruction are written to the P register, use the WAITP instruction for
synchronization.

SCE CONFIDENTIAL VU User's Manual Version 6.0
© SCEI
-145-
ESUM : Sum of Each Field
Calculates the total sum of the four fields of VF[fs] and stores the result in the P register.
Operation Code
Lower 32-bit word: LowerOP field type 3
31 30 29 28 27 26 25 24 23 22 21 20 19 18 17 16 15 14 13 12 11 10 09 08 07 06 05 04 03 02 01 00
Lower OP. dest ft reg fs reg ESUM
1000000 1111 00000 ----- 11101 1111 10
7 bits 4 bits 5 bits 5 bits 11 bits
Mnemonic
ESUM P, VF[fs]
Operation
P = VF[fs]x + VF[fs]y + VF[fs]z + VF[fs]w
Flag Changes
MAC flag status flag
Oxyzw Uxyzw Sxyzw Zxyzw DS IS OS US SS ZS D I O U S Z
clipping
flag
---- ---- ---- ---- - - - - - - - - - - - - -
Throughput/Latency
11 / 12
Example
ESUM P, VF10
P = VF10x + VF10y + VF10z + VF10w
Remarks
A data dependency check is not performed with the P register. To execute subsequent instructions after the
results of the ESUM instruction are written to the P register, use the WAITP instruction for synchronization.

SCE CONFIDENTIAL VU User's Manual Version 6.0
© SCEI
-146-
FCAND : Test Clipping Flag
Tests the value of the clipping flag and stores the result in VI01.
Operation Code
Lower 32-bit word: LowerOP field type 9
31 30 29 28 27 26 25 24 23 22 21 20 19 18 17 16 15 14 13 12 11 10 09 08 07 06 05 04 03 02 01 00
FCAND
−
Imm24
0010010 0
------------------------
7 bits 1 24 bits
Mnemonic
FCAND VI01, Imm24
Operation
Calculates the AND (logical product) of the clipping flag and Imm24 for every bit. A 1 is written to VI01 if
there is at least one 1 in the results; a 0 is written to VI01 if there are no 1's.
Flag Changes
MAC flag status flag
Oxyzw Uxyzw Sxyzw Zxyzw DS IS OS US SS ZS D I O U S Z
clipping
flag
---- ---- ---- ---- - - - - - - - - - - - - -
Throughput/Latency
1 / 1
Example
; Checks if there is "+x" even only one time in the 4 previous clipping tests or not.
NOP FCAND VI01, 0x041041
NOP IBEQ VI01, VI00, NEVER_CLIP_X
NOP B CLIP_X

SCE CONFIDENTIAL VU User's Manual Version 6.0
© SCEI
-147-
FCEQ : Test Clipping Flag
Tests the value of clipping flag and stores the result in VI01.
Operation Code
Lower 32-bit word: LowerOP field type 9
31 30 29 28 27 26 25 24 23 22 21 20 19 18 17 16 15 14 13 12 11 10 09 08 07 06 05 04 03 02 01 00
FCEQ
−
Imm24
0010000 0
------------------------
7 bits 1 24 bits
Mnemonic
FCEQ VI01, Imm24
Operation
Compares clipping flag and Imm24. A 1 is written to VI01 if they are the same; a 0 is written if they are not.
Flag Changes
MAC flag status flag
Oxyzw Uxyzw Sxyzw Zxyzw DS IS OS US SS ZS D I O U S Z
clipping
flag
---- ---- ---- ---- - - - - - - - - - - - - -
Throughput/Latency
1 / 1
Example
; Checks if all of the results of the 4 previous clipping tests are "+x" or not.
NOP FCEQ VI01, 0x041041
NOP IBEQ VI01, VI00, IN_RANGE_X
NOP B OUT_OF_RANGE_X

SCE CONFIDENTIAL VU User's Manual Version 6.0
© SCEI
-148-
FCGET : Get Clipping Flag
Stores a part of the values of the clipping flag in VI[it].
Operation Code
Lower 32-bit word: LowerOP field type 8
31 30 29 28 27 26 25 24 23 22 21 20 19 18 17 16 15 14 13 12 11 10 09 08 07 06 05 04 03 02 01 00
FCGET Imm15 it reg is reg Imm15
0011100 0000 ----- 00000 00000000000
7 bits 4 bits 5 bits 5 bits 11 bits
Mnemonic
FCGET VI[it]
Operation
The lower 12 bits of the clipping flag (information from the two most recent checks) are written into VI[it].
0 is written to the upper 4 bits of VI[it].
Flag Changes
MAC flag status flag
Oxyzw Uxyzw Sxyzw Zxyzw DS IS OS US SS ZS D I O U S Z
clipping
flag
---- ---- ---- ---- - - - - - - - - - - - - -
Throughput/Latency
1 / 1
Example
FCGET VI01

SCE CONFIDENTIAL VU User's Manual Version 6.0
© SCEI
-149-
FCOR : Test Clipping Flag
Tests the value of clipping flag and stores the result in VI01.
Operation Code
Lower 32-bit word: LowerOP field type 9
31 30 29 28 27 26 25 24 23 22 21 20 19 18 17 16 15 14 13 12 11 10 09 08 07 06 05 04 03 02 01 00
FCOR
−
Imm24
0010011 0
------------------------
7 bits 1 24 bits
Mnemonic
FCOR VI01, Imm24
Operation
Calculates the OR (logical sum) of the clipping flag and Imm24 at every bit. A 1 is written into VI01 if all of
the results are 1, and 0 is written if they are not all 1's.
Flag Changes
MAC flag status flag
Oxyzw Uxyzw Sxyzw Zxyzw DS IS OS US SS ZS D I O U S Z
clipping
flag
---- ---- ---- ---- - - - - - - - - - - - - -
Throughput/Latency
1 / 1
Example
FCOR VI01, 0xffdf7d ;B1111,1111,1101,1111,0111,1101
VI01 becomes 1 if all of the results of the 3 previous clipping tests are "-x."

SCE CONFIDENTIAL VU User's Manual Version 6.0
© SCEI
-150-
FCSET : Setting Clipping Flag
Sets the value of the clipping flag.
Operation Code
Lower 32-bit word: LowerOP field type 9
31 30 29 28 27 26 25 24 23 22 21 20 19 18 17 16 15 14 13 12 11 10 09 08 07 06 05 04 03 02 01 00
FCSET
−
Imm24
0010001 0
------------------------
7 bits 1 24 bits
Mnemonic
FCSET Imm24
Operation
Sets Imm24 to the clipping flag. It is set is at the S stage of the basic pipeline.
Flag Changes
MAC flag status flag
Oxyzw Uxyzw Sxyzw Zxyzw DS IS OS US SS ZS D I O U S Z
clipping
flag
---- ---- ---- ---- - - - - - - - - - - - - X
Throughput/Latency
1 / 4
Example
FCSET 0x000000 ;B0000,0000,0000,0000,0000,0000
Clears the clipping flag.

SCE CONFIDENTIAL VU User's Manual Version 6.0
© SCEI
-151-
FMAND : Test MAC Flag Check
Calculates the logical product of the MAC flag and VI[is] and stores the result in VI[it].
Operation Code
Lower 32-bit word: LowerOP field type 8
31 30 29 28 27 26 25 24 23 22 21 20 19 18 17 16 15 14 13 12 11 10 09 08 07 06 05 04 03 02 01 00
FMAND Imm15 it reg is reg Imm15
0011010 0000 ----- ----- 00000000000
7 bits 4 bits 5 bits 5 bits 11 bits
Mnemonic
FMAND VI[it], VI[is]
Operation
Calculates the AND (logical product) of the MAC flag and VI[is] at every bit and stores the result in VI[it].
Flag Changes
MAC flag status flag
Oxyzw Uxyzw Sxyzw Zxyzw DS IS OS US SS ZS D I O U S Z
clipping
flag
---- ---- ---- ---- - - - - - - - - - - - - -
Throughput/Latency
1 / 1
Example
; Branches if the Z field of the calculation result is negative.
NOP IADDIU VI10, VI00, 0x0020
NOP FMAND VI01, VI10
NOP IBNE VI01, VI00, Z_MINUS

SCE CONFIDENTIAL VU User's Manual Version 6.0
© SCEI
-152-
FMEQ : Test MAC Flag Check
Compares the MAC flag and VI[is] and stores the result in VI[it].
Operation Code
Lower 32-bit word: LowerOP field type 8
31 30 29 28 27 26 25 24 23 22 21 20 19 18 17 16 15 14 13 12 11 10 09 08 07 06 05 04 03 02 01 00
FMEQ Imm15 it reg is reg Imm15
0011000 0000 ----- ----- 00000000000
7 bits 4 bits 5 bits 5 bits 11 bits
Mnemonic
FMEQ VI[it], VI[is]
Operation
Writes 1 into VI[it] if the values of the MAC flag and VI[is] are the same, and writes 0 if they are not.
Flag Changes
MAC flag status flag
Oxyzw Uxyzw Sxyzw Zxyzw DS IS OS US SS ZS D I O U S Z
clipping
flag
---- ---- ---- ---- - - - - - - - - - - - - -
Throughput/Latency
1 / 1
Example
; Branches if only the Z field of the calculation result is negative.
NOP IADDIU VI10, VI00, 0x0020
NOP FMEQ VI01, VI10
NOP IBNE VI01, VI00, Z_MINUS

SCE CONFIDENTIAL VU User's Manual Version 6.0
© SCEI
-153-
FMOR : Test MAC Flag Check
Calculates the logical sum of the MAC flag and VI[is] and stores the result in VI[it].
Operation Code
Lower 32-bit word: LowerOP field type 8
31 30 29 28 27 26 25 24 23 22 21 20 19 18 17 16 15 14 13 12 11 10 09 08 07 06 05 04 03 02 01 00
FMOR Imm15 it reg is reg Imm15
0011011 0000 ----- ----- 00000000000
7 bits 4 bits 5 bits 5 bits 11 bits
Mnemonic
FMOR VI[it], VI[is]
Operation
Calculates the OR (logical sum) of the MAC flag and VI[is] at every bit and stores the result in VI[it] .
Flag Changes
MAC flag status flag
Oxyzw Uxyzw Sxyzw Zxyzw DS IS OS US SS ZS D I O U S Z
clipping
flag
---- ---- ---- ---- - - - - - - - - - - - - -
Throughput/Latency
1 / 1
Example
FMOR VI01, VI10

SCE CONFIDENTIAL VU User's Manual Version 6.0
© SCEI
-154-
FSAND : Test Status Flag Check
Calculates the logical product (AND) of the status flag and the immediate value and stores the result in VI[it].
Operation Code
Lower 32-bit word: LowerOP field type 8
31 30 29 28 27 26 25 24 23 22 21 20 19 18 17 16 15 14 13 12 11 10 09 08 07 06 05 04 03 02 01 00
FSAND Imm12 it reg is reg Imm12
0010110 000- ----- 00000 -----------
7 bits 4 bits 5 bits 5 bits 11 bits
Mnemonic
FSAND VI[it], Imm12
Operation
Calculates the logical product (AND) of the status flag and Imm12 at every bit and stores the result in VI[it].
Flag Changes
MAC flag status flag
Oxyzw Uxyzw Sxyzw Zxyzw DS IS OS US SS ZS D I O U S Z
clipping
flag
---- ---- ---- ---- - - - - - - - - - - - - -
Throughput/Latency
1 / 1
Example
; Checks if there was an overflow in the past.
NOP FSAND VI01, 0x0200
NOP IBNE VI01, VI00, OVERFLOW

SCE CONFIDENTIAL VU User's Manual Version 6.0
© SCEI
-155-
FSEQ : Test Status Flag Check
Compares the status flag and the immediate value and stores the result in VI[it].
Operation Code
Lower 32-bit word: LowerOP field type 8
31 30 29 28 27 26 25 24 23 22 21 20 19 18 17 16 15 14 13 12 11 10 09 08 07 06 05 04 03 02 01 00
FSEQ Imm12 it reg is reg Imm12
0010100 000- ----- 00000 -----------
7 bits 4 bits 5 bits 5 bits 11 bits
Mnemonic
FSEQ VI[it], Imm12
Operation
Writes 1 into VI[it] if the values of the status flag and Imm12 are the same, and writes 0 if they are not.
Flag Changes
MAC flag status flag
Oxyzw Uxyzw Sxyzw Zxyzw DS IS OS US SS ZS D I O U S Z
clipping
flag
---- ---- ---- ---- - - - - - - - - - - - - -
Throughput/Latency
1 / 1
Example
; Checks if there was an overflow immediately before.
NOP FSEQ VI01, 0x0008
NOP IBNE VI01, VI00, OVERFLOW

SCE CONFIDENTIAL VU User's Manual Version 6.0
© SCEI
-156-
FSOR : Test Status Flag
Calculates the logical sum of the status flag and the immediate value and stores the result in VI[it].
Operation Code
Lower 32-bit word: LowerOP field type 8
31 30 29 28 27 26 25 24 23 22 21 20 19 18 17 16 15 14 13 12 11 10 09 08 07 06 05 04 03 02 01 00
FSOR Imm12 it reg is reg Imm12
0010111 000- ----- 00000 -----------
7 bits 4 bits 5 bits 5 bits 11 bits
Mnemonic
FSOR VI[it], Imm12
Operation
Calculates the logical sum (OR) of the status flag and Imm12 at every bit and stores the result in VI[it].
Flag Changes
MAC flag status flag
Oxyzw Uxyzw Sxyzw Zxyzw DS IS OS US SS ZS D I O U S Z
clipping
flag
---- ---- ---- ---- - - - - - - - - - - - - -
Throughput/Latency
1 / 1
Example
FSOR VI01, chk_flag

SCE CONFIDENTIAL VU User's Manual Version 6.0
© SCEI
-157-
FSSET : Set Sticky Flags
Writes the immediate value to the sticky flags. (DS-ZS)
Operation Code
Lower 32-bit word: LowerOP field type 8
31 30 29 28 27 26 25 24 23 22 21 20 19 18 17 16 15 14 13 12 11 10 09 08 07 06 05 04 03 02 01 00
FSSET Imm12 it reg is reg Imm12
0010101 000- 00000 00000 -----000000
7 bits 4 bits 5 bits 5 bits 11 bits
Mnemonic
FSSET Imm12
Operation
Writes the upper 6 bits of Imm 12 to the upper 6 bits (sticky flag) of the 12-bit status flag. The lower 6 bits
of Imm 12 are not set, and are therefore ignored. It is set at the S stage of the basic pipleline.
Flag Changes
MAC flag status flag
Oxyzw Uxyzw Sxyzw Zxyzw DS IS OS US SS ZS D I O U S Z
clipping
flag
---- ---- ---- ---- X X X X X X - - - - - - -
Throughput/Latency
1 / 4
Example
FSSET 0x0
Clears all the sticky flag.

SCE CONFIDENTIAL VU User's Manual Version 6.0
© SCEI
-158-
IADD : ADD Integer
Adds VI[is] and VI[it] and stores the result in VI[id].
Operation Code
Lower 32-bit word: LowerOP field type 1
31 30 29 28 27 26 25 24 23 22 21 20 19 18 17 16 15 14 13 12 11 10 09 08 07 06 05 04 03 02 01 00
Lower OP. dest it reg is reg id reg IADD
1000000 0000 ----- ----- ----- 110000
7 bits 4 bits 5 bits 5 bits 5 bits 6 bits
Mnemonic
IADD VI[id], VI[is], VI[it]
Operation
VI[id] = VI[is] + VI[it]
Flag Changes
MAC flag status flag
Oxyzw Uxyzw Sxyzw Zxyzw DS IS OS US SS ZS D I O U S Z
clipping
flag
---- ---- ---- ---- - - - - - - - - - - - - -
Throughput/Latency
1 / 1
Example
IADD VI04, VI05, VI06
VI04 = VI05 + VI06

SCE CONFIDENTIAL VU User's Manual Version 6.0
© SCEI
-159-
IADDI : Add Immediate Value Integer
Adds the immediate value to VI[is] and stores the result in VI[it].
Operation Code
Lower 32-bit word : LowerOP field type 5
31 30 29 28 27 26 25 24 23 22 21 20 19 18 17 16 15 14 13 12 11 10 09 08 07 06 05 04 03 02 01 00
Lower OP. dest it reg is reg Imm5 IADDI
1000000 0000 ----- ----- ----- 110010
7 bits 4 bits 5 bits 5 bits 5 bits 6 bits
Mnemonic
IADDI VI[it], VI[is], Imm5
Operation
VI[it] = VI[is] + Imm5
Imm5 is considered as a signed integer.
Flag Changes
MAC flag status flag
Oxyzw Uxyzw Sxyzw Zxyzw DS IS OS US SS ZS D I O U S Z
clipping
flag
---- ---- ---- ---- - - - - - - - - - - - - -
Throughput/Latency
1 / 1
Example
IADDI VI04, VI05, -1
VI04 = VI05 - 1

SCE CONFIDENTIAL VU User's Manual Version 6.0
© SCEI
-160-
IADDIU : Add Immediate Integer
Adds the immediate value to VI[is] and stores the result in VI[it].
Operation Code
Lower 32-bit word: LowerOP field type 8
31 30 29 28 27 26 25 24 23 22 21 20 19 18 17 16 15 14 13 12 11 10 09 08 07 06 05 04 03 02 01 00
IADDIU Imm15 it reg is reg Imm15
0001000 ---- ----- ----- ---------------
7 bits 4 bits 5 bits 5 bits 11 bits
Mnemonic
IADDIU VI[it], VI[is], Imm15
Operation
VI[it] = VI[is] + Imm15
Imm15 is considered as a unsigned integer.
Flag Changes
MAC flag status flag
Oxyzw Uxyzw Sxyzw Zxyzw DS IS OS US SS ZS D I O U S Z
clipping
flag
---- ---- ---- ---- - - - - - - - - - - - - -
Throughput/Latency
1 / 1
Example
IADDIU VI04, VI05, 1
VI04 = VI05 + 1

SCE CONFIDENTIAL VU User's Manual Version 6.0
© SCEI
-161-
IAND : Logical Product
Calculates the AND (logical product) of VI[is] and VI[it] at every bit and stores the result in VI[id].
Operation Code
Lower 32-bit word: LowerOP field type 1
31 30 29 28 27 26 25 24 23 22 21 20 19 18 17 16 15 14 13 12 11 10 09 08 07 06 05 04 03 02 01 00
Lower OP. dest it reg is reg id reg IAND
1000000 0000 ----- ----- ----- 110100
7 bits 4 bits 5 bits 5 bits 5 bits 6 bits
Mnemonic
IAND VI[id], VI[is], VI[it]
Operation
VI[id] = VI[is] AND VF[it]
Flag Changes
MAC flag status flag
Oxyzw Uxyzw Sxyzw Zxyzw DS IS OS US SS ZS D I O U S Z
clipping
flag
---- ---- ---- ---- - - - - - - - - - - - - -
Throughput/Latency
1 / 1
Example
IAND VI04, VI05, VI06
VI04 = VI05 AND VI06

SCE CONFIDENTIAL VU User's Manual Version 6.0
© SCEI
-162-
IBEQ : Conditional Branch
Branches to the relative address specified by the immediate value if the contents of VI[is] and VI[it] are equal.
Operation Code
Lower 32-bit word: LowerOP field type 7
31 30 29 28 27 26 25 24 23 22 21 20 19 18 17 16 15 14 13 12 11 10 09 08 07 06 05 04 03 02 01 00
IBEQ dest it reg is reg Imm11
0101000 0000 ----- ----- -----------
7 bits 4 bits 5 bits 5 bits 11 bits
Mnemonic
IBEQ VI[it], VI[is], Imm11
Imm11 is an 11-bit signed integer and holds the value of offset to the branch destination by 8.
Operation
if (VI[it] == VI[is]) then jump (PC+Imm11 × 8)
An 11-bit signed offset Imm11 multiplied by 8 is added to the address of the instruction following the
branch (NOT the branch itself), in the branch delay slot, to form a PC-relative effective target address.
If the contents of VI[it] and VI[is] are equal, a branch to the PC-relative effective target address after the
instruction in the delay slot is executed.
Flag Changes
MAC flag status flag
Oxyzw Uxyzw Sxyzw Zxyzw DS IS OS US SS ZS D I O U S Z
clipping
flag
---- ---- ---- ---- - - - - - - - - - - - - -
Throughput/Latency
2 / 2
Example
IBEQ VI04, VI05, LABEL:
Remarks
This instruction cannot be placed in the E bit delay slot.
After the instruction for setting the value to VI[is] or VI[it], leave a slot for one instruction, then write IBEQ
instruction. Refer to "3.4.8. Conditional Branching and Pipeline."

SCE CONFIDENTIAL VU User's Manual Version 6.0
© SCEI
-163-
IBGEZ : Conditional Branch
Branches to the relative address specified by the immediate value if the contents of VI[is] is greater than or equal
to 0.
Operation Code
Lower 32-bit word: LowerOP field type 7
31 30 29 28 27 26 25 24 23 22 21 20 19 18 17 16 15 14 13 12 11 10 09 08 07 06 05 04 03 02 01 00
IBGEZ dest it reg is reg Imm11
0101111 0000 00000 ----- -----------
7 bits 4 bits 5 bits 5 bits 11 bits
Mnemonic
IBGEZ VI[is], Imm11
Imm11 is an 11-bit signed integer and holds the value of offset to the branch target address divided by 8.
Operation
if (VI[is] >= 0) then jump (PC+Imm11 × 8)
An 11-bit signed offset Imm11 multiplied by 8 is added to the address of the instruction following the
branch (NOT the branch itself), in the branch delay slot, to form a PC-relative effective target address.
If the contents of VI[is] are greater than or equal to 0, a branch to the PC-relative effective target address
after the instruction in the delay slot is executed.
Flag Changes
MAC flag status flag
Oxyzw Uxyzw Sxyzw Zxyzw DS IS OS US SS ZS D I O U S Z
clipping
flag
---- ---- ---- ---- - - - - - - - - - - - - -
Throughput/Latency
2 / 2
Example
IBGEZ VI04, LABEL:
Remarks
This instruction cannot be placed in the E bit delay slot.
After an instruction that writes a value to VI[is], leave a slot for one instruction before an IBGEZ
instruction. Refer to "3.4.8. Conditional Branching and Pipeline."

SCE CONFIDENTIAL VU User's Manual Version 6.0
© SCEI
-164-
IBGTZ : Conditional Branch
Branches to the relative address specified by the immediate value if the value of VI[is] is greater than 0.
Operation Code
Lower 32-bit word: LowerOP field type 7
31 30 29 28 27 26 25 24 23 22 21 20 19 18 17 16 15 14 13 12 11 10 09 08 07 06 05 04 03 02 01 00
IBGTZ dest it reg is reg Imm11
0101101 0000 00000 ----- -----------
7 bits 4 bits 5 bits 5 bits 11 bits
Mnemonic
IBGTZ VI[is], Imm11
Imm11 is an 11-bit signed integer and holds the value of offset to the branch target address divided by 8.
Operation
if (VI[is] > 0) then jump (PC+Imm11 × 8)
An 11-bit signed offset Imm11 multiplied by 8 is added to the address of the instruction following the
branch (NOT the branch itself), in the branch delay slot, to form a PC-relative effective target address.
If the contents of VI[is] are greater than 0, a branch to the PC-relative effective target address after the
instruction in the delay slot is executed.
Flag Changes
MAC flag status flag
Oxyzw Uxyzw Sxyzw Zxyzw DS IS OS US SS ZS D I O U S Z
clipping
flag
---- ---- ---- ---- - - - - - - - - - - - - -
Throughput/Latency
2 / 2
Example
IBGTZ VI04, LABEL:
Remarks
This instruction cannot be placed in the E bit delay slot.
After an instruction that writes a value to VI[is], leave a slot for one instruction before the IBGTZ
instruction. Refer to "3.4.8. Conditional Branching and Pipeline."

SCE CONFIDENTIAL VU User's Manual Version 6.0
© SCEI
-165-
IBLEZ : Conditional Branch
Branches to the relative address specified by the immediate value if the value of VI[is] is less than or equal to 0.
Operation Code
Lower 32-bit word: LowerOP field type 7
31 30 29 28 27 26 25 24 23 22 21 20 19 18 17 16 15 14 13 12 11 10 09 08 07 06 05 04 03 02 01 00
IBLEZ dest it reg is reg Imm11
0101110 0000 00000 ----- -----------
7 bits 4 bits 5 bits 5 bits 11 bits
Mnemonic
IBLEZ VI[is], Imm11
Imm11 is an 11-bit signed integer and holds the value of offset to branch destination by 8.
Operation
if (VI[is] <= 0) then jump (PC+Imm11 × 8)
An 11-bit signed offset Imm11 multiplied by 8 is added to the address of the instruction following the
branch (NOT the branch itself), in the branch delay slot, to form a PC-relative effective target address.
If the contents of VI[is] are less than or equal to 0, a branch to the PC-relative effective target address after
the instruction in the delay slot is executed.
Flag Changes
MAC flag status flag
Oxyzw Uxyzw Sxyzw Zxyzw DS IS OS US SS ZS D I O U S Z
clipping
flag
---- ---- ---- ---- - - - - - - - - - - - - -
Throughput/Latency
2 / 2
Example
IBLEZ VI04, LABEL:
Remarks
This instruction cannot be placed in the E bit delay slot.
After an instruction that writes a value to VI[is], leave a slot for one instruction before the IBLEZ
instruction. Refer to "3.4.8. Conditional Branching and Pipeline."

SCE CONFIDENTIAL VU User's Manual Version 6.0
© SCEI
-166-
IBLTZ : Conditional Branch
Branches to the relative address specified by the immediate value, if the contents of VI[is] are less than 0.
Operation Code
Lower 32-bit word: LowerOP field type 7
31 30 29 28 27 26 25 24 23 22 21 20 19 18 17 16 15 14 13 12 11 10 09 08 07 06 05 04 03 02 01 00
IBLTZ dest it reg is reg Imm11
0101100 0000 00000 ----- -----------
7 bits 4 bits 5 bits 5 bits 11 bits
Mnemonic
IBLTZ VI[is], Imm11
Imm11 is an 11-bit signed integer and holds the value of offset to the branch target address divided by 8.
Operation
if (VI[is] < 0) then jump (PC+Imm11 × 8)
An 11-bit signed offset Imm11 multiplied by 8 is added to the address of the instruction following the
branch (NOT the branch itself), in the branch delay slot, to form a PC-relative effective target address.
If the contents of VI[is] are less than 0, a branch to the PC-relative effective target address after the
instruction in the delay slot is executed.
Flag Changes
MAC flag status flag
Oxyzw Uxyzw Sxyzw Zxyzw DS IS OS US SS ZS D I O U S Z
clipping
flag
---- ---- ---- ---- - - - - - - - - - - - - -
Throughput/Latency
2 / 2
Example
IBLTZ VI04, LABEL:
Remarks
This instruction cannot be placed in the E bit delay slot.
After an instruction that writes a value to VI[is], leave a slot for one instruction before the IBLTZ
instruction. Refer to "3.4.8. Conditional Branching and Pipeline."

SCE CONFIDENTIAL VU User's Manual Version 6.0
© SCEI
-167-
IBNE : Conditional Branch
Branches to the PC relative address determined by the immediate value, if the contents of VI[is] and VI[it] are
not equal.
Operation Code
Lower 32-bit word: LowerOP field type 7
31 30 29 28 27 26 25 24 23 22 21 20 19 18 17 16 15 14 13 12 11 10 09 08 07 06 05 04 03 02 01 00
IBNE dest it reg is reg Imm11
0101001 0000 ----- ----- -----------
7 bits 4 bits 5 bits 5 bits 11 bits
Mnemonic
IBNE VI[it], VI[is], Imm11
Imm11 is an 11-bit signed integer and holds the value of offset to the branch target address divided by 8.
Operation
if (VI[it] != VI[is]) then jump (PC+Imm11 × 8)
An 11-bit signed offset Imm11 multiplied by 8 is added to the address of the instruction following the
branch (NOT the branch itself), in the branch delay slot, to form a PC-relative effective target address.
If the contents of VI[is] and VI[it] are not equal, a branch to the PC-relative effective target address after the
instruction in the delay slot is executed.
Flag Changes
MAC flag status flag
Oxyzw Uxyzw Sxyzw Zxyzw DS IS OS US SS ZS D I O U S Z
clipping
flag
---- ---- ---- ---- - - - - - - - - - - - - -
Throughput/Latency
2 / 2
Example
IBNE VI04, VI05, LABEL:
Remarks
This instruction cannot be placed in the E bit delay slot.
After an instruction that writes values to VI[is] and VI[it], leave a slot for one instruction before the IBNE
instruction. Refer to "3.4.8. Conditional Branching and Pipeline."

SCE CONFIDENTIAL VU User's Manual Version 6.0
© SCEI
-168-
ILW : Integer Load with Offset Specification
Loads the specific field of data, whose address is specified by VI[is] and the immediate value, to VI[it] from VU
Mem.
Operation Code
Lower 32-bit word: LowerOP field type 7
31 30 29 28 27 26 25 24 23 22 21 20 19 18 17 16 15 14 13 12 11 10 09 08 07 06 05 04 03 02 01 00
ILW dest it reg is reg Imm11
0000100 ---- ----- ----- -----------
7 bits 4 bits 5 bits 5 bits 11 bits
Mnemonic
ILW.dest VI[it], Imm11(VI[is])dest
Specifies any one of x, y, z or w for dest. Operation is undefined when multiple specifications are made.
Imm11 is an 11-bit signed integer. For Imm11 and VI[is], specifies the address divided by 16.
Operation
VI[it] = VU_MEMdest((Imm11 + VI[is]) × 16)
Loads the lower 16 bits of dest field of data located in VU Mem, whose address is determined with Imm11
and VI[is] to VI[it].
Flag Changes
MAC flag status flag
Oxyzw Uxyzw Sxyzw Zxyzw DS IS OS US SS ZS D I O U S Z
clipping
flag
---- ---- ---- ---- - - - - - - - - - - - - -
Throughput/Latency
1 / 4
Example
ILW.y VI10, offset(VI04)y
VI10 = VU_MEMy(offset + VI04)
Remarks
This instruction cannot be placed in the E bit delay slot.

SCE CONFIDENTIAL VU User's Manual Version 6.0
© SCEI
-169-
ILWR : Integer Load
Loads the specific field of data, whose address is specified by VI[is], to VI[it] from VU Mem.
Operation Code
Lower 32-bit word: LowerOP field type 3
31 30 29 28 27 26 25 24 23 22 21 20 19 18 17 16 15 14 13 12 11 10 09 08 07 06 05 04 03 02 01 00
Lower OP. dest it reg is reg ILWR
1000000 ---- ----- ----- 01111 1111 10
7 bits 4 bits 5 bits 5 bits 11 bits
Mnemonic
ILWR.dest VI[it], (VI[is])dest
Specifies any one of x, y, z or w for dest. Operation is undefined when multiple specifications are made. For
VI[is], specifies the address divided by 16.
Operation
VI[it] = VU_MEMdest(VI[is] × 16)
Loads lower 16 bits of dest field of data located in VU Mem, whose address is determined by VI[is] to VI[it].
Flag Changes
MAC flag status flag
Oxyzw Uxyzw Sxyzw Zxyzw DS IS OS US SS ZS D I O U S Z
clipping
flag
---- ---- ---- ---- - - - - - - - - - - - - -
Throughput/Latency
1 / 4
Example
ILWR.y VI10, (VI04) y
VI10 = VU_MEMy(VI04)
Remarks
This instruction cannot be placed in the E bit delay slot.

SCE CONFIDENTIAL VU User's Manual Version 6.0
© SCEI
-170-
IOR : Logical Sum
Calculates the logical sum of VI[is] and VI[it] at every bit and stores the result in VI[id].
Operation Code
Lower 32-bit word: LowerOP field type 1
31 30 29 28 27 26 25 24 23 22 21 20 19 18 17 16 15 14 13 12 11 10 09 08 07 06 05 04 03 02 01 00
Lower OP. dest it reg is reg id reg IOR
1000000 0000 ----- ----- ----- 110101
7 bits 4 bits 5 bits 5 bits 5 bits 6 bits
Mnemonic
IOR VI[id], VI[is], VI[it]
Operation
VI[id] = VI[is] OR VI[it]
Flag Changes
MAC flag status flag
Oxyzw Uxyzw Sxyzw Zxyzw DS IS OS US SS ZS D I O U S Z
clipping
flag
---- ---- ---- ---- - - - - - - - - - - - - -
Throughput/Latency
1 / 1
Example
IOR VI04, VI05, VI06
VI04 = VI05 OR VI06

SCE CONFIDENTIAL VU User's Manual Version 6.0
© SCEI
-171-
ISUB : Integer Subtract
Subtracts VI[it] from VI[is] and stores the result in VI[id].
Operation Code
Lower 32-bit word: LowerOP field type 1
31 30 29 28 27 26 25 24 23 22 21 20 19 18 17 16 15 14 13 12 11 10 09 08 07 06 05 04 03 02 01 00
Lower OP. dest it reg is reg id reg ISUB
1000000 0000 ----- ----- ----- 110001
7 bits 4 bits 5 bits 5 bits 5 bits 6 bits
Mnemonic
ISUB VI[id], VI[is], VI[it]
Operation
VI[id] = VI[is] - VI[it]
Flag Changes
MAC flag status flag
Oxyzw Uxyzw Sxyzw Zxyzw DS IS OS US SS ZS D I O U S Z
clipping
flag
---- ---- ---- ---- - - - - - - - - - - - - -
Throughput/Latency
1 / 1
Example
ISUB VI04, VI05, VI06
VI04 = VI05 - VI06

SCE CONFIDENTIAL VU User's Manual Version 6.0
© SCEI
-172-
ISUBIU : Immediate Value Integer Subtract
Subtracts the immediate value from VI[is] and stores the result in VI[it].
Operation Code
Lower 32-bit word: LowerOP field type 8
31 30 29 28 27 26 25 24 23 22 21 20 19 18 17 16 15 14 13 12 11 10 09 08 07 06 05 04 03 02 01 00
ISUBIU Imm15 it reg is reg Imm15
0001001 ---- ----- ----- ---------------
7 bits 4 bits 5 bits 5 bits 11 bits
Mnemonic
ISUBIU VI[it], VI[is], Imm15
Operation
VI[it] = VI[is] - Imm15
Imm15 is considered as unsigned integer.
Flag Changes
MAC flag status flag
Oxyzw Uxyzw Sxyzw Zxyzw DS IS OS US SS ZS D I O U S Z
clipping
flag
---- ---- ---- ---- - - - - - - - - - - - - -
Throughput/Latency
1 / 1
Example
ISUBIU VI04, VI05, 1
VI04 = VI05 - 1

SCE CONFIDENTIAL VU User's Manual Version 6.0
© SCEI
-173-
ISW : Integer Store with Offset
Stores data from VI[it] in VU Mem. The destination is the field specified with dest of the address determined by
VI[is] and the immediate value.
Operation Code
Lower 32-bit word: LowerOP field type 7
31 30 29 28 27 26 25 24 23 22 21 20 19 18 17 16 15 14 13 12 11 10 09 08 07 06 05 04 03 02 01 00
ISW dest it reg is reg Imm11
0000101 ---- ----- ----- -----------
7 bits 4 bits 5 bits 5 bits 11 bits
Mnemonic
ISW.dest VI[it], Imm11(VI[is])dest
Imm11 is a 11-bit signed integer. For Imm11 and VI[is], specifies the value obtained by dividing the address
by 16.
Operation
if (x ⊆ dest) then VU_MEMx(Imm11 + VI[is]) = VI[it]
if (y ⊆ dest) then VU_MEMy(Imm11 + VI[is]) = VI[it]
if (z ⊆ dest) then VU_MEMz(Imm11 + VI[is]) = VI[it]
if (w ⊆ dest) then VU_MEMw(Imm11 + VI[is]) = VI[it]
The value of VI[it] is stored in the lower 16 bits of dest field of data located in VU Mem, whose address is
determined by Imm11 and VI[is]. The upper 16 bits are filled with 0.
Flag Changes
MAC flag status flag
Oxyzw Uxyzw Sxyzw Zxyzw DS IS OS US SS ZS D I O U S Z
clipping
flag
---- ---- ---- ---- - - - - - - - - - - - - -
Throughput/Latency
1 / 4
Example
ISW.y VI10, offset(VI04)y
VU_MEMy(offset + VI04) = VI10
Remarks
This instruction cannot be placed in the E bit delay slot.

SCE CONFIDENTIAL VU User's Manual Version 6.0
© SCEI
-174-
ISWR : Integer Store
Stores data from VI[it] in VU Mem. The destination is the field specified with dest of the address determined by
VI[is].
Operation Code
Lower 32-bit word: LowerOP field type 3
31 30 29 28 27 26 25 24 23 22 21 20 19 18 17 16 15 14 13 12 11 10 09 08 07 06 05 04 03 02 01 00
Lower OP. dest it reg is reg ISWR
1000000 ---- ----- ----- 01111 1111 11
7 bits 4 bits 5 bits 5 bits 11 bits
Mnemonic
ISWR.dest VI[it], (VI[is])dest
For VI[is], specifies the value obtained by dividing the address by 16.
Operation
if (x ⊆ dest) then VU_MEMx(VI[is]) = VI[it]
if (y ⊆ dest) then VU_MEMy(VI[is]) = VI[it]
if (z ⊆ dest) then VU_MEMz(VI[is]) = VI[it]
if (w ⊆ dest) then VU_MEMw(VI[is]) = VI[it]
The value of VI[it] is stored in lower 16 bits of dest field of data located in VU Mem, whose address is
determined by VI[is]. The upper 16 bits are filled with 0.
Flag Changes
MAC flag status flag
Oxyzw Uxyzw Sxyzw Zxyzw DS IS OS US SS ZS D I O U S Z
clipping
flag
---- ---- ---- ---- - - - - - - - - - - - - -
Throughput/Latency
1 / 4
Example
ISWR.y VI10, (VI04)y
VU_MEMy(VI04) = VI10
Remarks
This instruction cannot be placed in the E bit delay slot.

SCE CONFIDENTIAL VU User's Manual Version 6.0
© SCEI
-175-
JALR : Unconditional Jump with Address Saving
Stores the instruction address in VI[it] and jumps to the address specified with VI[is].
Operation Code
Lower 32-bit word: LowerOP field type 7
31 30 29 28 27 26 25 24 23 22 21 20 19 18 17 16 15 14 13 12 11 10 09 08 07 06 05 04 03 02 01 00
JALR dest it reg is reg Imm11
0100101 0000 ----- ----- 00000000000
7 bits 4 bits 5 bits 5 bits 11 bits
Mnemonic
JALR VI[it], VI[is]
For VI[is], specifies the branch destination address aligned on a dword boundary.
Operation
VI[it] = PC + (2 × 8)
PC = VI[is]
The branch delay slot is one instruction.
The addresss of the next instruction after the branch delay slot is stored in VI[it].
Flag Changes
MAC flag status flag
Oxyzw Uxyzw Sxyzw Zxyzw DS IS OS US SS ZS D I O U S Z
clipping
flag
---- ---- ---- ---- - - - - - - - - - - - - -
Throughput/Latency
2 / 2
Example
; Calls a subroutine indicated with the label SYMBOL
IADDIU VI04, VI00, SYMBOL
NOP
JALR VI15, VI04
Remarks
This instruction cannot be placed in the E bit delay slot.

SCE CONFIDENTIAL VU User's Manual Version 6.0
© SCEI
-176-
JR : Unconditional Jump
Jumps to the address specified with VI[is].
Operation Code
Lower 32-bit word: LowerOP field type 7
31 30 29 28 27 26 25 24 23 22 21 20 19 18 17 16 15 14 13 12 11 10 09 08 07 06 05 04 03 02 01 00
JR dest it reg is reg Imm11
0100100 0000 00000 ----- 00000000000
7 bits 4 bits 5 bits 5 bits 11 bits
Mnemonic
JR VI[is]
As the branch destination, specifies the address in dword alignment for VI[is].
Operation
It jumps to the address specified with VI[is]. The branch delay slot is one instruction.
Flag Changes
MAC flag status flag
Oxyzw Uxyzw Sxyzw Zxyzw DS IS OS US SS ZS D I O U S Z
clipping
flag
---- ---- ---- ---- - - - - - - - - - - - - -
Throughput/Latency
2 / 2
Example
JR VI04
Branches to the address indicated by VI04.
Remarks
This instruction cannot be placed in the E bit delay slot.

SCE CONFIDENTIAL VU User's Manual Version 6.0
© SCEI
-177-
LQ : Load Qword
Loads data from a qword, whose address is specified with VI[is] and the immediate value, to VF[ft] from VU
Mem.
Operation Code
Lower 32-bit word: LowerOP field type 7
31 30 29 28 27 26 25 24 23 22 21 20 19 18 17 16 15 14 13 12 11 10 09 08 07 06 05 04 03 02 01 00
LQ dest ft reg is reg Imm11
0000000 ---- ----- ----- -----------
7 bits 4 bits 5 bits 5 bits 11 bits
Mnemonic
LQ.dest VF[ft]dest, Imm11(VI[is])
Imm11 is a 11-bit signed integer.
For Imm11 and VI[is], specifies the value obtained by dividing the address by 16.
Operation
if (x ⊆ dest) then VF[ft]x = VU_MEMx((Imm11 + VI[is]) × 16)
if (y ⊆ dest) then VF[ft]y = VU_MEMy((Imm11 + VI[is]) × 16)
if (z ⊆ dest) then VF[ft]z = VU_MEMz((Imm11 + VI[is]) × 16)
if (w ⊆ dest) then VF[ft]w = VU_MEMw((Imm11 + VI[is]) × 16)
Flag Changes
MAC flag status flag
Oxyzw Uxyzw Sxyzw Zxyzw DS IS OS US SS ZS D I O U S Z
clipping
flag
---- ---- ---- ---- - - - - - - - - - - - - -
Throughput/Latency
1 / 4
Example
LQ.xyzw VF10xyzw, offset(VI04)
VF10x = VU_MEMx((offset + VI04) × 16)
VF10y = VU_MEMy((offset + VI04) × 16)
VF10z = VU_MEMz((offset + VI04) × 16)
VF10w = VU_MEMw((offset + VI04) × 16)
Remarks
This instruction cannot be placed in the E bit delay slot.
When an Upper instruction in the same cycle writes data to the VF[ft] register, the result of this instruction is
discarded with priority given to the Upper instruction, regardless of whether the data is written to the same
field or not.

SCE CONFIDENTIAL VU User's Manual Version 6.0
© SCEI
-178-
LQD : Load Qword with Pre-Decrement
Subtracts 1 from VI[is] and loads data from a qword specified by VI[is] from VU Mem to VF[ft].
Operation Code
Lower 32-bit word: LowerOP field type 3
31 30 29 28 27 26 25 24 23 22 21 20 19 18 17 16 15 14 13 12 11 10 09 08 07 06 05 04 03 02 01 00
Lower OP. dest ft reg is reg LQD
1000000 ---- ----- ----- 01101 1111 10
7 bits 4 bits 5 bits 5 bits 11 bits
Mnemonic
LQD.dest VF[ft]dest, (--VI[is])
For VI[is], specifies the value obtained by dividing the address by 16.
Operation
VI[is] = VI[is] - 1
if (x ⊆ dest) then VF[ft]x = VU_MEMx(VI[is] × 16)
if (y ⊆ dest) then VF[ft]y = VU_MEMy(VI[is] × 16)
if (z ⊆ dest) then VF[ft]z = VU_MEMz(VI[is] × 16)
if (w ⊆ dest) then VF[ft]w = VU_MEMw(VI[is] × 16)
Flag Changes
MAC flag status flag
Oxyzw Uxyzw Sxyzw Zxyzw DS IS OS US SS ZS D I O U S Z
clipping
flag
---- ---- ---- ---- - - - - - - - - - - - - -
Throughput/Latency
1 / 4
Example
LQD.xyzw VF10xyzw, (--VI04)
VI04 = VI04 - 1
VF10x = VU_MEMx(VI04 × 16)
VF10y = VU_MEMy(VI04 × 16)
VF10z = VU_MEMz(VI04 × 16)
VF10w = VU_MEMw(VI04 × 16)
Remarks
This instruction cannot be placed in the E bit delay slot.
When an Upper instruction in the same cycle writes data to the VF[ft] register, the result of this instruction is
discarded with priority given to the Upper instruction, regardless of whether the data is written to the same
field or not.

SCE CONFIDENTIAL VU User's Manual Version 6.0
© SCEI
-179-
LQI : Load with Post-Increment
Loads data from VI[is] from VU Mem to VF[ft] and adds 1 to VI[is].
Operation Code
Lower 32-bit word: LowerOP field type 3
31 30 29 28 27 26 25 24 23 22 21 20 19 18 17 16 15 14 13 12 11 10 09 08 07 06 05 04 03 02 01 00
Lower OP. dest ft reg is reg LQI
1000000 ---- ----- ----- 01101 1111 00
7 bits 4 bits 5 bits 5 bits 11 bits
Mnemonic
LQI.dest VF[ft]dest, (VI[is]++)
For VI[is], specifies the value obtained by dividing the address by 16.
Operation
if (x ⊆ dest) then VF[ft]x = VU_MEMx(VI[is] × 16)
if (y ⊆ dest) then VF[ft]y = VU_MEMy(VI[is] × 16)
if (z ⊆ dest) then VF[ft]z = VU_MEMz(VI[is] × 16)
if (w ⊆ dest) then VF[ft]w = VU_MEMw(VI[is] × 16)
VI[is] = VI[is] + 1
Flag Changes
MAC flag status flag
Oxyzw Uxyzw Sxyzw Zxyzw DS IS OS US SS ZS D I O U S Z
clipping
flag
---- ---- ---- ---- - - - - - - - - - - - - -
Throughput/Latency
1 / 4
Example
LQI.xyzw VF10xyzw, (VI04++)
VF10x = VU_MEMx(VI04 × 16)
VF10y = VU_MEMy(VI04 × 16)
VF10z = VU_MEMz(VI04 × 16)
VF10w = VU_MEMw(VI04 × 16)
VI04 = VI04 + 1
Remarks
This instruction cannot be placed in the E bit delay slot.
When an Upper instruction in the same cycle writes data to the VF[ft] register, the result of this instruction is
discarded with priority given to the Upper instruction, regardless of whether the data is written to the same
field or not.

SCE CONFIDENTIAL VU User's Manual Version 6.0
© SCEI
-180-
MFIR : Move from Integer Register to Floating-Point Register
Moves the data of VI[is] to VF[ft].
Operation Code
Lower 32-bit word: LowerOP field type 3
31 30 29 28 27 26 25 24 23 22 21 20 19 18 17 16 15 14 13 12 11 10 09 08 07 06 05 04 03 02 01 00
Lower OP. dest ft reg is reg MFIR
1000000 ---- ----- ----- 01111 1111 01
7 bits 4 bits 5 bits 5 bits 11 bits
Mnemonic
MFIR.dest VF[ft]dest, VI[is]
Operation
if (x ⊆ dest) then VF[ft]x = VI[is]
if (y ⊆ dest) then VF[ft]y = VI[is]
if (z ⊆ dest) then VF[ft]z = VI[is]
if (w ⊆ dest) then VF[ft]w = VI[is]
The data of VI[is] is sign extended from 16 bits to 32 bits.
Flag Changes
MAC flag status flag
Oxyzw Uxyzw Sxyzw Zxyzw DS IS OS US SS ZS D I O U S Z
clipping
flag
---- ---- ---- ---- - - - - - - - - - - - - -
Throughput/Latency
1 / 4
Example
MFIR.y VF10y, VI12
VF10y = VI12
Remarks
When an Upper instruction in the same cycle writes data to the VF[ft] register, the result of this instruction is
discarded with priority given to the Upper instruction, regardless of whether the data is written to the same
field or not.

SCE CONFIDENTIAL VU User's Manual Version 6.0
© SCEI
-181-
MFP : Move from P Register to Floating-Point Register
Moves the value of the P register to VF[ft].
Operation Code
Lower 32-bit word: LowerOP field type 3
31 30 29 28 27 26 25 24 23 22 21 20 19 18 17 16 15 14 13 12 11 10 09 08 07 06 05 04 03 02 01 00
Lower OP. dest ft reg fs reg MFP
1000000 ---- ----- 00000 11001 1111 00
7 bits 4 bits 5 bits 5 bits 11 bits
Mnemonic
MFP.dest VF[ft]dest, P
Operation
if (x ⊆ dest) then VF[ft]x = P
if (y ⊆ dest) then VF[ft]y = P
if (z ⊆ dest) then VF[ft]z = P
if (w ⊆ dest) then VF[ft]w = P
Flag Changes
MAC flag status flag
Oxyzw Uxyzw Sxyzw Zxyzw DS IS OS US SS ZS D I O U S Z
clipping
flag
---- ---- ---- ---- - - - - - - - - - - - - -
Throughput/Latency
1 / 4
Example
MFP.x VF10x, P
VF10x = P
Remarks
A data dependency check is not performed with the P register. To read the appropriate operation results,
use the WAITP instruction for synchronization.
When an Upper instruction in the same cycle writes data to the VF[ft] register, the result of this instruction is
discarded with priority given to the Upper instruction, regardless of whether the data is written to the same
field or not.

SCE CONFIDENTIAL VU User's Manual Version 6.0
© SCEI
-182-
MOVE : Transfer between Floating-Point Registers
Transfers the value of VF[fs] to VF[ft].
Operation Code
Lower 32-bit word: LowerOP field type 3
31 30 29 28 27 26 25 24 23 22 21 20 19 18 17 16 15 14 13 12 11 10 09 08 07 06 05 04 03 02 01 00
Lower OP. dest ft reg fs reg MOVE
1000000 ---- ----- ----- 01100 1111 00
7 bits 4 bits 5 bits 5 bits 11 bits
Mnemonic
MOVE.dest VF[ft]dest, VF[fs]dest
Operation
if (x ⊆ dest) then VF[ft]x = VF[fs]x
if (y ⊆ dest) then VF[ft]y = VF[fs]y
if (z ⊆ dest) then VF[ft]z = VF[fs]z
if (w ⊆ dest) then VF[ft]w = VF[fs]w
Flag Changes
MAC flag status flag
Oxyzw Uxyzw Sxyzw Zxyzw DS IS OS US SS ZS D I O U S Z
clipping
flag
---- ---- ---- ---- - - - - - - - - - - - - -
Throughput/Latency
1 / 4
Example
MOVE.xyzw VF10xyzw, VF20xyzw
VF10x = VF20x
VF10y = VF20y
VF10z = VF20z
VF10w = VF20w
Remarks
When an Upper instruction in the same cycle writes data to the VF[ft] register, the result of this instruction is
discarded with priority given to the Upper instruction, regardless of whether the data is written to the same
field or not.

SCE CONFIDENTIAL VU User's Manual Version 6.0
© SCEI
-183-
MR32 : Move with Rotate
Moves the value of VF[fs] to VF[ft], rotating field by field.
Operation Code
Lower 32-bit word: LowerOP field type 3
31 30 29 28 27 26 25 24 23 22 21 20 19 18 17 16 15 14 13 12 11 10 09 08 07 06 05 04 03 02 01 00
Lower OP. dest ft reg fs reg MR32
1000000 ---- ----- ----- 01100 1111 01
7 bits 4 bits 5 bits 5 bits 11 bits
Mnemonic
MR32.dest VF[ft]dest, VF[fs]dest
Operation
if (x ⊆ dest) then VF[ft]x = VF[fs]y
if (y ⊆ dest) then VF[ft]y = VF[fs]z
if (z ⊆ dest) then VF[ft]z = VF[fs]w
if (w ⊆ dest) then VF[ft]w = VF[fs]x
Flag Changes
MAC flag status flag
Oxyzw Uxyzw Sxyzw Zxyzw DS IS OS US SS ZS D I O U S Z
clipping
flag
---- ---- ---- ---- - - - - - - - - - - - - -
Throughput/Latency
1 / 4
Example
MR32.xyzw VF10xyzw, VF20xyzw
VF10x = VF20y
VF10y = VF20z
VF10z = VF20w
VF10w = VF20x
Remarks
When an Upper instruction in the same cycle writes data to the VF[ft] register, the result of this instruction is
discarded with priority given to the Upper instruction, regardless of whether the data is written to the same
field or not.

SCE CONFIDENTIAL VU User's Manual Version 6.0
© SCEI
-184-
MTIR : Move from Floating-Point Register to Integer Register
Moves the lower 16 bits of the fsf field of VF[fs] to VI[it].
Operation Code
Lower 32-bit word: LowerOP field type 4
31 30 29 28 27 26 25 24 23 22 21 20 19 18 17 16 15 14 13 12 11 10 09 08 07 06 05 04 03 02 01 00
Lower OP. ftf fsf it reg fs reg MTIR
1000000 00 -- ----- ----- 01111 1111 00
7 bits 2 bits 2 bits 5 bits 5 bits 11 bits
Mnemonic
MTIR VI[it], VF[fs]fsf
Operation
VI[it] = VF[fs]fsf
Only the lower 16 bits of VF[fs]fsf are transferred.
Flag Changes
MAC flag status flag
Oxyzw Uxyzw Sxyzw Zxyzw DS IS OS US SS ZS D I O U S Z
clipping
flag
---- ---- ---- ---- - - - - - - - - - - - - -
Throughput/Latency
1 / 1
Example
MTIR VI12, VF10y
VI12 = VF10y

SCE CONFIDENTIAL VU User's Manual Version 6.0
© SCEI
-185-
RGET : Get Random Number
Gets a random number and stores it in VF[ft].
Operation Code
Lower 32-bit word: LowerOP field type 3
31 30 29 28 27 26 25 24 23 22 21 20 19 18 17 16 15 14 13 12 11 10 09 08 07 06 05 04 03 02 01 00
Lower OP. dest ft reg fs reg RGET
1000000 ---- ----- 00000 10000 1111 01
7 bits 4 bits 5 bits 5 bits 11 bits
Mnemonic
RGET.dest VF[ft]dest, R
Operation
if (x ⊆ dest) then VF[ft]x = R*
if (y ⊆ dest) then VF[ft]y = R*
if (z ⊆ dest) then VF[ft]z = R*
if (w ⊆ dest) then VF[ft]w = R*
The random number obtained here (R*) consists of the 23-bit R register as mantissa and 001111111 as sign
and exponent. The value range is: +1.0 < R* < +2.0
Flag Changes
MAC flag status flag
Oxyzw Uxyzw Sxyzw Zxyzw DS IS OS US SS ZS D I O U S Z
clipping
flag
---- ---- ---- ---- - - - - - - - - - - - - -
Throughput/Latency
1 / 4
Example
RGET.x VF10x, R
RNEXT.y VF10y, R
RNEXT.z VF10z, R
Remarks
When multiple fields are specified as destinations, the same value is stored in each field.
When an Upper instruction in the same cycle writes data to the VF[ft] register, the result of this instruction is
discarded with priority given to the Upper instruction, regardless of whether the data is written to the same
field or not.

SCE CONFIDENTIAL VU User's Manual Version 6.0
© SCEI
-186-
RINIT : Random Number Intialize
Sets the R register to the field specified by the fsf field of VF[fs].
Operation Code
Lower 32-bit word: LowerOP field type 4
31 30 29 28 27 26 25 24 23 22 21 20 19 18 17 16 15 14 13 12 11 10 09 08 07 06 05 04 03 02 01 00
Lower OP. ftf fsf ft reg fs reg RINIT
1000000 00
-- 00000 ----- 10000 1111 10
7 bits 2 bits 2 bits 5 bits 5 bits 11 bits
Mnemonic
RINIT R, VF[fs]fsf
Operation
R = VF[fs]fsf
The lower 23 bits of VF[fs]fsf are transferred to the R register.
Flag Changes
MAC flag status flag
Oxyzw Uxyzw Sxyzw Zxyzw DS IS OS US SS ZS D I O U S Z
clipping
flag
---- ---- ---- ---- - - - - - - - - - - - - -
Throughput/Latency
1 / 1
Example
RINIT R, VF10x

SCE CONFIDENTIAL VU User's Manual Version 6.0
© SCEI
-187-
RNEXT : Next Random Number
Generates a new random number and stores it in VF[ft].
Operation Code
Lower 32-bit word: LowerOP field type 3
31 30 29 28 27 26 25 24 23 22 21 20 19 18 17 16 15 14 13 12 11 10 09 08 07 06 05 04 03 02 01 00
Lower OP. dest ft reg fs reg RNEXT
1000000 ---- ----- 00000 10000 1111 00
7 bits 4 bits 5 bits 5 bits 11 bits
Mnemonic
RNEXT.dest VF[ft]dest, R
Operation
R = next( R )
if (x ⊆ dest) then VF[ft]x = R*
if (y ⊆ dest) then VF[ft]y = R*
if (z ⊆ dest) then VF[ft]z = R*
if (w ⊆ dest) then VF[ft]w = R*
Random numbers are generated in M series.
The random number obtained here (R*) consists of the 23-bit R register as mantissa and 001111111 as sign
and exponent. The value range is: +1.0 < R* < +2.0
Flag Changes
MAC flag status flag
Oxyzw Uxyzw Sxyzw Zxyzw DS IS OS US SS ZS D I O U S Z
clipping
flag
---- ---- ---- ---- - - - - - - - - - - - - -
Throughput/Latency
1 / 4
Example
RGET.x VF10x, R
RNEXT.y VF10y, R
RNEXT.z VF10z, R
Remarks
When multiple fields are specified as destinations, the same value is stored in each field.
When an Upper instruction in the same cycle writes data to the VF[ft] register, the result of this instruction is
discarded with priority given to the Upper instruction, regardless of whether the data is written to the same
field or not.

SCE CONFIDENTIAL VU User's Manual Version 6.0
© SCEI
-188-
RSQRT : Square Root Division
Divides the fsf field of VF[fs] by the square root of the ftf field of VF[ft] and stores the result in the Q register.
Operation Code
Lower 32-bit word: LowerOP field type 4
31 30 29 28 27 26 25 24 23 22 21 20 19 18 17 16 15 14 13 12 11 10 09 08 07 06 05 04 03 02 01 00
Lower OP. ftf fsf ft reg fs reg RSQRT
1000000 -- -- ----- ----- 01110 1111 10
7 bits 2 bits 2 bits 5 bits 5 bits 11 bits
Mnemonic
RSQRT Q, VF[fs]fsf, VF[ft]ftf
Operation
Q = VF[fs]fsf ÷ VF[ft]ftf
Flag Changes
MAC flag status flag
Oxyzw Uxyzw Sxyzw Zxyzw DS IS OS US SS ZS D I O U S Z
clipping
flag
---- ---- ---- ---- X X - - - - X X - - - - -
Throughput/Latency
13 / 13
Example
RSQRT Q, VF10x, VF20y
Q = VF10x ÷ |VF20y|
Remarks
A data dependency check is not performed with the Q register. To execute subsequent instructions after the
results of the RSQRT instruction are written to the Q register, use the WAITQ instruction for
synchronization.

SCE CONFIDENTIAL VU User's Manual Version 6.0
© SCEI
-189-
RXOR : Random Number Set
Sets the exclusive logical sum of the R register and the fsf field of VF[fs] to the R register.
Operation Code
Lower 32-bit word: LowerOP field type 4
31 30 29 28 27 26 25 24 23 22 21 20 19 18 17 16 15 14 13 12 11 10 09 08 07 06 05 04 03 02 01 00
Lower OP. ftf fsf ft reg fs reg RXOR
1000000 00
-- 00000 ----- 10000 1111 11
7 bits 2 bits 2 bits 5 bits 5 bits 11 bits
Mnemonic
RXOR R, VF[fs]fsf
Operation
R = xor( R, VF[fs]fsf )
Only the lower 23 bits of VF[fs]fsf are used.
Flag Changes
MAC flag status flag
Oxyzw Uxyzw Sxyzw Zxyzw DS IS OS US SS ZS D I O U S Z
clipping
flag
---- ---- ---- ---- - - - - - - - - - - - - -
Throughput/Latency
1 / 1
Example
RXOR R, VF10x

SCE CONFIDENTIAL VU User's Manual Version 6.0
© SCEI
-190-
SQ : Store Qword with Offset
Stores the data of VF[fs] in the VU Mem address specified by VI[it] and the immediate value.
Operation Code
Lower 32-bit word: LowerOP field type 7
31 30 29 28 27 26 25 24 23 22 21 20 19 18 17 16 15 14 13 12 11 10 09 08 07 06 05 04 03 02 01 00
SQ dest it reg fs reg Imm11
0000001 ---- ----- ----- -----------
7 bits 4 bits 5 bits 5 bits 11 bits
Mnemonic
SQ.dest VF[fs]dest, Imm11(VI[it])
Imm11 is a 11-bit signed integer.
For Imm11 and VI[it], specify the value obtained by dividing the address by 16.
Operation
if (x ⊆ dest) then VU_MEMx((Imm11 + VI[it]) × 16) = VF[fs]x
if (y ⊆ dest) then VU_MEMy((Imm11 + VI[it]) × 16) = VF[fs]y
if (z ⊆ dest) then VU_MEMz((Imm11 + VI[it]) × 16) = VF[fs]z
if (w ⊆ dest) then VU_MEMw((Imm11 + VI[it]) × 16) = VF[fs]w
Flag Changes
MAC flag status flag
Oxyzw Uxyzw Sxyzw Zxyzw DS IS OS US SS ZS D I O U S Z
clipping
flag
---- ---- ---- ---- - - - - - - - - - - - - -
Throughput/Latency
1 / 4
Example
SQ.xyzw VF10xyzw, offset(VI04)
VU_MEMx((offset + VI04) × 16) = VF10x
VU_MEMy((offset + VI04) × 16) = VF10y
VU_MEMz((offset + VI04) × 16) = VF10z
VU_MEMw((offset + VI04) × 16) = VF10w
Remarks
This instruction cannot be placed in the E bit delay slot.

SCE CONFIDENTIAL VU User's Manual Version 6.0
© SCEI
-191-
SQD : Store Qword with Pre-Decrement
Subtracts 1 from VI[it] and stores the data of VF[fs] to the address of VU Mem.
Operation Code
Lower 32-bit word: LowerOP field type 3
31 30 29 28 27 26 25 24 23 22 21 20 19 18 17 16 15 14 13 12 11 10 09 08 07 06 05 04 03 02 01 00
Lower OP. dest it reg fs reg SQD
1000000 ---- ----- ----- 01101 1111 11
7 bits 4 bits 5 bits 5 bits 11 bits
Mnemonic
SQD.dest VF[fs]dest, (--VI[it])
For VI[it], specifies the value obtained by dividing the address by 16.
Operation
VI[is] = VI[is] – 1
if (x ⊆ dest) then VU_MEMx(VI[it] × 16) = VF[fs]x
if (y ⊆ dest) then VU_MEMy(VI[it] × 16) = VF[fs]y
if (z ⊆ dest) then VU_MEMz(VI[it] × 16) = VF[fs]z
if (w ⊆ dest) then VU_MEMw(VI[it] × 16) = VF[fs]w
Flag Changes
MAC flag status flag
Oxyzw Uxyzw Sxyzw Zxyzw DS IS OS US SS ZS D I O U S Z
clipping
flag
---- ---- ---- ---- - - - - - - - - - - - - -
Throughput/Latency
1 / 4
Example
SQD.xyzw VF10xyzw, (--VI04)
VI04 = VI04 – 1
VU_MEMx(VI04 × 16) = VF10x
VU_MEMy(VI04 × 16) = VF10y
VU_MEMz(VI04 × 16) = VF10z
VU_MEMw(VI04 × 16) = VF10w
Remarks
This instruction cannot be placed in the E bit delay slot.

SCE CONFIDENTIAL VU User's Manual Version 6.0
© SCEI
-192-
SQI : Store with Post-Increment
Stores the data of VF[fs] to the VU Mem address specified by VI[it] and adds 1 to VI[it].
Operation Code
Lower 32-bit word: LowerOP field type 3
31 30 29 28 27 26 25 24 23 22 21 20 19 18 17 16 15 14 13 12 11 10 09 08 07 06 05 04 03 02 01 00
Lower OP. dest it reg fs reg SQI
1000000 ---- ----- ----- 01101 1111 01
7 bits 4 bits 5 bits 5 bits 11 bits
Mnemonic
SQI.dest VF[fs]dest, (VI[it]++)
For VI[it], specifies the value obtained by dividing the address by 16.
Operation
if (x ⊆ dest) then VU_MEMx(VI[it] × 16) = VF[fs]x
if (y ⊆ dest) then VU_MEMy(VI[it] × 16) = VF[fs]y
if (z ⊆ dest) then VU_MEMz(VI[it] × 16) = VF[fs]z
if (w ⊆ dest) then VU_MEMw(VI[it] × 16) = VF[fs]w
VI[is] = VI[is] + 1
Flag Changes
MAC flag status flag
Oxyzw Uxyzw Sxyzw Zxyzw DS IS OS US SS ZS D I O U S Z
clipping
flag
---- ---- ---- ---- - - - - - - - - - - - - -
Throughput/Latency
1 / 4
Example
SQI.xyzw VF10xyzw, (VI04++)
VU_MEMx(VI04 × 16) = VF10x
VU_MEMy(VI04 × 16) = VF10y
VU_MEMz(VI04 × 16) = VF10z
VU_MEMw(VI04 × 16) = VF10w
VI04 = VI04 + 1
Remarks
This instruction cannot be placed in the E bit delay slot.

SCE CONFIDENTIAL VU User's Manual Version 6.0
© SCEI
-193-
SQRT : Square Root
Obtains the square root of the ftf field of VF[ft] and stores the result in the Q register.
Operation Code
Lower 32-bit word: LowerOP field type 4
31 30 29 28 27 26 25 24 23 22 21 20 19 18 17 16 15 14 13 12 11 10 09 08 07 06 05 04 03 02 01 00
Lower OP. ftf fsf ft reg fs reg SQRT
1000000 -- 00
----- 00000 01110 1111 01
7 bits 2 bits 2 bits 5 bits 5 bits 11 bits
Mnemonic
SQRT Q, VF[ft]ftf
Operation
Q = |VF[ft]ftf|
Flag Changes
MAC flag status flag
Oxyzw Uxyzw Sxyzw Zxyzw DS IS OS US SS ZS D I O U S Z
clipping
flag
---- ---- ---- ---- X X - - - - X X - - - - -
Throughput/Latency
7 / 7
Example
SQRT Q, VF10x
Q = |VF10x|
Remarks
A data dependency check is not performed with the Q register. To execute subsequent instructions after the
results of the SQRT instruction are written to the Q register, use the WAITQ instruction for
synchronization.

SCE CONFIDENTIAL VU User's Manual Version 6.0
© SCEI
-194-
WAITP : P Register Syncronize
Waits until the calculation result is written to the P register.
Operation Code
Lower 32-bit word: LowerOP field type 3
31 30 29 28 27 26 25 24 23 22 21 20 19 18 17 16 15 14 13 12 11 10 09 08 07 06 05 04 03 02 01 00
Lower OP. dest ft reg fs reg WAITP
1000000 0000 00000 00000 11110 1111 11
7 bits 4 bits 5 bits 5 bits 11 bits
Mnemonic
WAITP
Operation
Interlocks until the calculation result of the previous EFU instruction (e.g. ESIN) is written to the P register.
Flag Changes
MAC flag status flag
Oxyzw Uxyzw Sxyzw Zxyzw DS IS OS US SS ZS D I O U S Z
clipping
flag
---- ---- ---- ---- - - - - - - - - - - - - -
Throughput/Latency
1~54 / 1~54
Example
NOP ELENG P, VF10
NOP WAITP
NOP MFP.x VF20.x, P
Remarks
A data dependency check is not performed with the P register. Use the WAITP instruction to synchronize
after an EFU instruction, if the subsequent instruction uses the result.

SCE CONFIDENTIAL VU User's Manual Version 6.0
© SCEI
-195-
WAITQ : Q Register Syncronize
Waits until the calculation result is written into Q register.
Operation Code
Lower 32-bit word: LowerOP field type 3
31 30 29 28 27 26 25 24 23 22 21 20 19 18 17 16 15 14 13 12 11 10 09 08 07 06 05 04 03 02 01 00
Lower OP. dest ft reg fs reg WAITQ
1000000 0000 00000 00000 01110 1111 11
7 bits 4 bits 5 bits 5 bits 11 bits
Mnemonic
WAITQ
Operation
Interlocks until the calculation result of the previous FDIV instruction (DIV/SQRT/RSQRT) is written into
Q register.
Flag Changes
MAC flag status flag
Oxyzw Uxyzw Sxyzw Zxyzw DS IS OS US SS ZS D I O U S Z
clipping
flag
---- ---- ---- ---- - - - - - - - - - - - - -
Throughput/Latency
1~13 / 1~13
Example
NOP SQRT Q, VF10x
NOP WAITQ
ADDq.xyzw VF20xyzw, VF11xyzw, Q NOP
Remarks
A data dependency check is not performed with the Q register. Use the WAITQ instruction to synchronize
after the FDIV instruction, if the subsequent instruction uses the result.

SCE CONFIDENTIAL VU User's Manual Version 6.0
© SCEI
-196-
XGKICK : GIF Control
Activates GIF transfer via PATH1 using the value of VI[is].
Operation Code
Lower 32-bit word: LowerOP field type 3
31 30 29 28 27 26 25 24 23 22 21 20 19 18 17 16 15 14 13 12 11 10 09 08 07 06 05 04 03 02 01 00
Lower OP. dest ft reg is reg XGKICK
1000000 0000 00000 ----- 11011 1111 00
7 bits 4 bits 5 bits 5 bits 11 bits
Mnemonic
XGKICK VI[is]
Operation
Provides the value of VI[is] for the external unit (GIF) and gives an instruction to start transfer via PATH1.
If the preceding transfer via PATH1 is still in process, stalls until it ends.
Flag Changes
MAC flag status flag
Oxyzw Uxyzw Sxyzw Zxyzw DS IS OS US SS ZS D I O U S Z
clipping
flag
---- ---- ---- ---- - - - - - - - - - - - - -
Throughput/Latency
1~ / 1~
Example
XGKICK VI10
Remarks
XGKICK instruction may be used only on VU1.
It cannot be placed in the E bit delay slot. If the E bit is set by an Upper instruction in the same cycle, the
VIFcode FLUSH may not wait for the end of the XGKICK instruction properly. For details, see "FLUSH"
in the "EE User’s Manual".
For operations with stalls, refer to "3.4.9. XGKICK Pipeline".
GIF considers the provided value of VI[is] as a GS packet (leading GIFtag) address, and transfers data.
Since the XGKICK instruction itself ends when the GIF starts transferring, caution should be taken against
rewriting data in the VU Mem during data transfer.
In addition, give attention to the latency of a store instruction so that the transfer starts after the data stored
immediately before the XGKICK instruction is written in the VU Mem.

SCE CONFIDENTIAL VU User's Manual Version 6.0
© SCEI
-197-
XITOP : VIF Control
Reads the value of the ITOP register of VIF and stores it in VI[it].
Operation Code
Lower 32-bit word: LowerOP field type 3
31 30 29 28 27 26 25 24 23 22 21 20 19 18 17 16 15 14 13 12 11 10 09 08 07 06 05 04 03 02 01 00
Lower OP. dest it reg is reg XITOP
1000000 0000 ----- 00000 11010 1111 01
7 bits 4 bits 5 bits 5 bits 11 bits
Mnemonic
XITOP VI[it]
Operation
VI[it] = ITOP
Reads the value of the ITOP register of the external unit (VIF). The value is read at the T stage.
In VU0, whose data memory capacity is 4 Kbytes, the lower 8 bits of the VIF0_ITOP register are zero-
extended and read. In VU1, the lower 10 bits of the VIF1_ITOP register are zero-extended and read.
Flag Changes
MAC flag status flag
Oxyzw Uxyzw Sxyzw Zxyzw DS IS OS US SS ZS D I O U S Z
clipping
flag
---- ---- ---- ---- - - - - - - - - - - - - -
Throughput/Latency
1 / 1
Example
XITOP VI10
Remarks
This instruction cannot be placed in the E bit delay slot.

SCE CONFIDENTIAL VU User's Manual Version 6.0
© SCEI
-198-
XTOP : VIF Control
Reads the value of the TOP register of VIF and stores it in VI[it].
Operation Code
Lower 32-bit word: LowerOP field type 3
31 30 29 28 27 26 25 24 23 22 21 20 19 18 17 16 15 14 13 12 11 10 09 08 07 06 05 04 03 02 01 00
Lower OP. dest it reg is reg XTOP
1000000 0000 ----- 00000 11010 1111 00
7 bits 4 bits 5 bits 5 bits 11 bits
Mnemonic
XTOP VI[it]
Operation
VI[it] = TOP
Reads the value of the TOP register from the external unit (VIF). The value is read at the T stage.
Flag Changes
MAC flag status flag
Oxyzw Uxyzw Sxyzw Zxyzw DS IS OS US SS ZS D I O U S Z
clipping
flag
---- ---- ---- ---- - - - - - - - - - - - - -
Throughput/Latency
1 / 1
Example
XTOP VI10
Remarks
XTOP can be used only on VU1.
This instruction cannot be placed in the E bit delay slot.

SCE CONFIDENTIAL VU User's Manual Version 6.0
© SCEI
-199-
5. Macro Mode
Macro mode is an operation mode that exists only for VU0. From the point of view of the EE Core, the VU
operates as a coprocessor (COP2) in this mode. Operation of the VU can be specified by coprocessor
instructions.
The VU can be used as an FPU by using coprocessor calculation instructions in macro mode. Basic floating-
point instructions such as add, subtract, multiply, and divide are defined.
In addition, it is possible to transfer data to VU registers by using coprocessor transfer instructions, and to make
the VU execute micro subroutines by using micro subroutine execution instructions. Since the VU then enters
micro mode and operates independently, high performance can be realized.
This chapter describes the method of controlling VU1 from the EE Core as well as macro mode in VU0.

SCE CONFIDENTIAL VU User's Manual Version 6.0
© SCEI
-200-
5.1. Macro Mode Register Set
5.1.1. Floating-Point Registers
The VU0 floating-point registers are allocated to the COP2 data register. The register fields etc. are the same as
those in the micro mode. For details, see "3.1.1. Floating-Point Registers".
32 bits 32 bits 32 bits 32 bits
127 96 95 64 63 32 31 0
CPR[2,00] VF00w VF00z VF00y VF00x
CPR[2,01] VF01w VF01z VF01y VF01x
CPR[2,02] VF02w VF02z VF02y VF02x
CPR[2,03] VF03w VF03z VF03y VF03x
:
:
CPR[2,31] VF31w VF31z VF31y VF31x
5.1.2. Integer Registers
The VU0 integer registers are allocated to the lower 16 bits of the first 16 COP2 control registers. For details of
the integer registers, see "3.1.2. Integer Registers".
31 15 0
CCR[2,00] 0000000000000000 VI00 (0 register)
CCR[2,01] 0000000000000000 VI01
CCR[2,02] 0000000000000000 VI02
CCR[2,03] 0000000000000000 VI03
CCR[2,04] 0000000000000000 VI04
CCR[2,05] 0000000000000000 VI05
CCR[2,06] 0000000000000000 VI06
CCR[2,07] 0000000000000000 VI07
CCR[2,08] 0000000000000000 VI08
CCR[2,09] 0000000000000000 VI09
CCR[2,10] 0000000000000000 VI10
CCR[2,11] 0000000000000000 VI11
CCR[2,12] 0000000000000000 VI12
CCR[2,13] 0000000000000000 VI13
CCR[2,14] 0000000000000000 VI14 (Stack pointer: recommended)
CCR[2,15] 0000000000000000 VI15 (Link register: recommended)
5.1.3. Control Registers
Control registers such as flag registers are allocated to the last 16 COP2 control registers.
These control registers can be accessed only by the CTC2/CFC2 instruction, and cannot be accessed by other
macroinstructions and microinstructions.

SCE CONFIDENTIAL VU User's Manual Version 6.0
© SCEI
-201-
31 23 15 7 0
CCR[2,16] Status flag
CCR[2,17] MAC flag
CCR[2,18] clipping flag
CCR[2,19] reserved
CCR[2,20] R register
CCR[2,21] I register
CCR[2,22] Q register
CCR[2,23] reserved
CCR[2,24] reserved
CCR[2,25] reserved
CCR[2,26] TPC register
CCR[2,27] CMSAR0 register
CCR[2,28] FBRST register
CCR[2,29] VPU-STAT register
CCR[2,30] reserved
CCR[2,31] CMSAR1 register
The initial values and access limits of the control registers are shown in the table below. r* and w* indicate the
necessity of inserting a VNOP instruction considering the access timing.
Control register Initial value VU0 is stopped VU0 is operating
(Running state)
status flag all 0 r/w r*/w*
MAC flag all 0 r/- r*/-
clipping flag all 0 r/w r*/w*
R register indeterminate r/w -/-
I register indeterminate r/w -/-
Q register indeterminate r/w -/-
TPC register indeterminate r/- -/-
CMSAR0 register indeterminate r/w r/w
FBRST register all 0 r/w r/w
VPU-STAT register all 0 r/- r/-
CMSAR1 register indeterminate -/w -/w
Writes to the CMSAR1 register are ignored while VU1 is operating.
Status flag
31 24 23 16 15 8 7 0
00000000 00000000 0000
D
S
I
S
O
S
U
S
S
S
Z
S
DI OU S Z
The 12-bit status flag, which reflects VU0 calculation results, is allocated to the lower 12 bits of the control
register, CCR[2,16]. For details of the flag, see "3.3.2. Status Flags (SF)".
When accessing the status flag during VU0 operation, it is necessary to insert a VNOP instruction etc.
considering the timing. When performing a write operation, values written to the lower 6 bits (D, I, O, U, S, Z)
are ignored.

SCE CONFIDENTIAL VU User's Manual Version 6.0
© SCEI
-202-
MAC flag
31 24 23 16 15 8 7 0
00000000 00000000
O
x
O
y
O
z
O
w
U
x
U
y
U
z
U
w
S
x
S
y
S
z
S
w
Z
x
Z
y
Z
z
Z
w
The 16-bit MAC flag, which reflects VU0 calculation results, is allocated to the lower 16 bits of the control
register, CCR[2,17]. For details of the flag, see "3.3.1. MAC Flags".
When accessing the MAC flag during VU0 operation, an instruction such as VNOP should be inserted in
consideration of access timing.
Clipping flag
31 24 23 16 15 8 7 0
00000000 -
z
+
z
-
y
+
y
-
x
+
x
-
z
+
z
-
y
+
y
-
x
+
x
-
z
+
z
-
y
+
y
-
x
+
x
-
z
+
z
-
y
+
y
-
x
+
x
The 24-bit clipping flag, which reflects VU0 clipping judgment results, is allocated to the lower 24 bits of the
control register, CCR[2,18]. For details of the flag, see "3.3.3. Clipping Flags (CF)".
When accessing the clipping flag during VU0 operation, an instruction such as VNOP should be inserted in
consideration of access timing.
R, I, Q register
31 24 23 16 15 8 7 0
00000000 0 R
I
Q
These registers are used for accessing the R, I, Q registers in VU0 during debugging.
TPC register
31 24 23 16 15 8 7 0
00000000 00000000 TPC
This register indicates the PC (Program Counter) at which the micro subroutine has stopped. The cause of the
stop can be checked with the VPU-STAT register.
CMSAR0 register
31 24 23 16 15 8 7 0
00000000 00000000 CMSAR0
This register specifies the starting address when attempting to make VU0 execute a micro subroutine by means
of the VCALLMSR instruction.

SCE CONFIDENTIAL VU User's Manual Version 6.0
© SCEI
-203-
FBRST register
31 24 23 16 15 8 7 0
00000000 00000000 0000
T
E
1
D
E
1
R
S
1
F
B
1
0000
T
E
0
D
E
0
R
S
0
F
B
0
This register controls the operation status of VU0 and VU1. The function of each bit is shown in the table
below.
Bit Function Write Read
FB0 VU0 Force Break 0: -
1: Force Break
Always 0
RS0 VU0 Reset 0: -
1: Reset
Always 0
DE0 VU0 D bit enable 0: Disable
1: Enable
Current setting
TE0 VU0 T bit enable 0: Disable
1: Enable
Current setting
FB1 VU1 Force Break 0: -
1: Force Break
Always 0
RS1 VU1 Reset 0: -
1: Reset
Always 0
DE1 VU1 D bit enable 0: Disable
1: Enable
Current setting
TE1 VU1 T bit enable 0: Disable
1: Enable
Current setting
For details of the status of VU operations such as Force Break and Reset, see "1.3. VU Operation Status".
VPU-STAT register
31 24 23 16 15 8 7 0
00000000 00000000 0
E
F
U
1
D
I
V
1
V
G
W
1
V
F
S
1
V
T
S
1
V
D
S
1
V
B
S
1
I
B
S
0
0
D
I
V
0
0
V
F
S
0
V
T
S
0
V
D
S
0
V
B
S
0
This is a read-only register, which reflects the operation status of VU0 and VU1. The bits are described in the
table below.

SCE CONFIDENTIAL VU User's Manual Version 6.0
© SCEI
-204-
Bit Definition
VBS0 VU0 operation status
0: idle (Stopped by E bit or Reset)
1: busy (Executing micro subroutine)
VDS0 VU0 operation status
0: Operating or stopped by a factor other than D bit
1: Stopped by D bit
VTS0 VU0 operation status
0: Operating or stopped by a factor other than T bit
1: Stopped by T bit
VFS0 VU0 operation status
0: Operating or stopped by a factor other than Force Break
1: Stopped by Force Break
DIV0 VU0 DIV unit operation status
0: idle
1: busy
IBS0 VIF0 operation status
0: idle
1: busy
VBS1 VU1 operation status
0: idle (Stopped by E bit or Reset)
1: busy (Executing micro subroutine)
VDS1 VU1 operation status
0: Not D bit stop
1: Stopped by D bit
VTS1 VU1 operation status
0: Not T bit stop
1: Stopped by T bit
VFS1 VU1 operation status
0: Not Force Break stop
1: Stopped by Force Break
VGW1 VU1 XGKICK related status
0: Not-waiting
1: Waiting for sync with external unit
DIV1 VU1 DIV unit operation status
0: idle
1: busy
EFU1 VU1 EFU unit operation status
0: idle
1: busy
CMSAR1 register
31 24 23 16 15 8 7 0
00000000 00000000 CMSAR1
This is the control register to activate a VU1 micro subroutine. By writing a 16-bit address (an address in byte
units in Micro Mem) to this register when VU1 is in the stopped state, VU1 starts micro subroutine execution
from this address. (In contrast to CMSAR0, a VU1 micro subroutine can be activated just with a write
operation.)

SCE CONFIDENTIAL VU User's Manual Version 6.0
© SCEI
-205-
5.1.4. Special Registers
ACC, I, Q, and R registers in the macro mode function in the same way as those in the micro mode. See "3.1.
Micro Mode Register Set".
Since the macro instruction set does not have the I bit and the Lower instruction field, a coprocessor transfer
instruction is used to set the I register to a floating-point immediate value.

SCE CONFIDENTIAL VU User's Manual Version 6.0
© SCEI
-206-
5.2. Macro Instruction Set Overview
5.2.1. MIPS COP2 Instructions
Macro instructions conform to the MIPS COP2 Instruction format. They are broadly divided into four
classifications:
• Coprocessor transfer instructions
• Coprocessor branch instructions
• Macro (primitive) calculation instructions
• Micro subroutine execution instructions
The VU macroinstructions start with the letter "V" to differentiate them from other MIPS instructions.
5.2.2. Coprocessor Transfer Instructions
Coprocessor transfer instructions are used to transfer data between VU0 registers and the EE Core.
When VU0 is executing a micro subroutine, the user can specify whether or not the EE Core operation
interlocks. For details, see the description of each instruction.
Category Instruction Function
QMFC2 Floating-point data transfer from VU to EE Core
QMTC2 Floating-point data transfer from EE Core to VU
LQC2 Floating-point data transfer from EE Core to VU
SQC2 Floating-point data transfer from VU to EE Core
CFC2 Integer data transfer from VU to EE Core
Coprocessor
transfer
instruction
CTC2 Integer data transfer from EE Core to VU
5.2.3. Coprocessor Branch Instructions
Coprocessor branch instructions branch by means of the MIPS COP2 condition signal. They are used to judge
VU1 status. For details, see the description of each instruction.
Category Instruction Function
BC2F Branch on COP2 condition signal
BC2FL Branch on COP2 condition signal
BC2T Branch on COP2 condition signal
Coprocessor
branch
instruction
BC2TL Branch on COP2 condition signal
5.2.4. Coprocessor Calculation Instructions
Coprocessor calculation instructions are the instructions to make VU0 execute floating-point calculations such
as add, subtract, multiply, and divide. Since they are a subset of the micro mode instructions, refer to Chapter 3
if necessary.

SCE CONFIDENTIAL VU User's Manual Version 6.0
© SCEI
-207-
Category Instruction Function
VABS absolute
VADD addition
Floating-point
calculation
instruction VADDi ADD broadcast I register
VADDq ADD broadcast Q register
VADDbc ADD broadcast bc field
VADDA ADD output to ACC
VADDAi ADD output to ACC broadcast I register
VADDAq ADD output to ACC broadcast Q register
VADDAbc ADD output to ACC broadcast bc field
VSUB subtraction
VSUBi SUB broadcast I register
VSUBq SUB broadcast Q register
VSUBbc SUB broadcast bc field
VSUBA SUB output to ACC
VSUBAi SUB output to ACC broadcast I register
VSUBAq SUB output to ACC broadcast Q register
VSUBAbc SUB output to ACC broadcast bc field
VMU multiply
VMULi MUL broadcast I register
VMULq MUL broadcast Q register
VMULbc MUL broadcast bc field
VMULA MUL output to ACC
VMULAi MUL output to ACC broadcast I register
VMULAq MUL output to ACC broadcast Q register
VMULAbc MUL output to ACC broadcast bc field
VMADD MUL and ADD (SUB)
VMADDi MUL and ADD (SUB) broadcast I register
VMADDq MUL and ADD (SUB) broadcast Q register
VMADDbc MUL and ADD (SUB) broadcast bc field
VMADDA MUL and ADD (SUB) output to ACC
VMADDAi MUL and ADD (SUB) output to ACC broadcast I register
VMADDAq MUL and ADD (SUB) output to ACC broadcast Q register
VMADDAbc MUL and ADD (SUB) output to ACC broadcast bc field
VMSUB Multiply and SUB
VMSUBi Multiply and SUB broadcast I register
VMSUBq Multiply and SUB broadcast Q register
VMSUBbc Multiply and SUB broadcast bc field
VMSUBA Multiply and SUB output to ACC
VMSUBAi Multiply and SUB output to ACC broadcast I register
VMSUBAq Multiply and SUB output to ACC broadcast Q register
VMSUBAbc Multiply and SUB output to ACC broadcast bc field
VMAX maximum
VMAXi maximum broadcast I register
VMAXbc maximum broadcast bc field
VMINI minimum
VMINIi minimum broadcast I register
VMINIbc minimum broadcast bc field
VOPMULA outer product MULA
VOPMSUB outer product MSUB
VNOP no operation

SCE CONFIDENTIAL VU User's Manual Version 6.0
© SCEI
-208-
Category Instruction Function
VFTOI0 float to integer, fixed point 0 bit
VFTOI4 float to integer, fixed point 4 bits
VFTOI12 float to integer, fixed point 12 bits
Floating-point/
fixed point
conversion
instructions VFTOI15 float to integer, fixed point 15 bits
VITOF0 integer to float, fixed point 0 bit
VITOF4 integer to float, fixed point 4 bits
VITOF12 integer to float, fixed point 12 bits
VITOF15 integer to float, fixed point 15 bits
Clipping
judgment
instruction
VCLIP clipping
VDIV floating divide
VSQRT floating square-root
Floating-point
divider
instructions VRSQRT floating reciprocal square-root
VIADD integer ADD
VIADDI integer ADD immediate
Integer calculation
instructions
VIAND integer AND
VIOR integer OR
VISUB integer SUB
VMOVE move floating register Register-register
transfer
instructions
VMFIR move from integer register
VMTIR move to integer register
VMR32 rotate right 32 bits
VLQD Load Quadword with pre-decrement Load/Store
instructions VLQI Load Quadword with post-increment
VSQD Store Quadword with pre-decrement
VSQI Store Quadword with post-increment
VILWR integer load word register
VISWR integer store word register
VRINIT random-unit init R register Random numbers
VRGET random-unit get R register
VRNEXT random-unit next M sequence
VRXOR random-unit XOR R register
Synchronization
instruction
VWAITQ wait Q register
5.2.5. Micro Subroutine Execution Instructions
Micro subroutine execution instructions execute microinstruction programs in the Micro Mem. For details, see
the description of each instruction.
Category Instruction Function
VCALLMS Call micro subroutine Micro subroutine
execution
instruction
VCALLMSR Call micro subroutine register

SCE CONFIDENTIAL VU User's Manual Version 6.0
© SCEI
-209-
5.3. Flags
Functions and operations of MAC flags, status flags, and clipping flags in the macro mode are the same as those
in the micro mode. See "3.3.1. MAC Flags", "3.3.2. Status Flags (SF)", and "3.3.3. Clipping Flags (CF)"
respectively.
Since there is no flag set instruction in the macro mode, the CFC2 instruction is used to set a value to the flag.

SCE CONFIDENTIAL VU User's Manual Version 6.0
© SCEI
-210-
5.4. Macro Mode Pipeline
5.4.1. Pipeline Structure of Macroinstructions
Figure 5-1 illustrates the pipeline structure of macroinstructions.
VCALLMS
/VCALLMSR
VDIV/VSQRT
VRSQRT
I Q
EE core instruction
QMTC2/CTC2
QMFC2/CFC2
SQC2
LQC2
(E bit)
I, Q : instruction fetch(EE Core)
R : instruction decode, read GPR(EE Core)
A : execute(EE Core)
W : write( EE Core)
T: read VGPR
D : data transaction between EE Core and VPU
M : read micro-Mem
X -Z : execution stage
S : store VGPR
D1- : FDIV execution stage
R A D W
I Q R T D W
I Q R A T X Y Z S
I Q R A T D1 D2 D3 D4 D5 D6 F
I Q R A T D1 D2 D3 D4 D5 D6 D7 D8 D9 DA DB DC F
I Q R A D M T X Y Z S
M T X Y Z S
M T X Y Z S
I Q R T D W
I Q R A D W S
I Q R A D W S
I Q R A D MsMsMsMsW S
LQC2 (cache miss)
General macroinstruction
Figure 5-1 Macroinstruction Pipeline List
5.4.2. Hazards in Macro Mode
The following situations can generate stalls in macro mode:
DIV resource hazard
When a macroinstruction that uses the floating-point divider unit (VDIV/VSQRT/VRSQRT) is being
executed, and another macroinstruction of this type is executed concurrently.
VDIV
VDIV
I Q R A D W
I Q R A T D1 D2 D3 D4 D5 D6 F
I Q R As As As As As As A T X Y Z S
I Q R As As As As As As A D W
D cache miss
When a D cache miss occurs, the LQC2/SQC2 instruction stalls at the M stage. Since this is a blocking load,
the next instruction stalls at the same time.

SCE CONFIDENTIAL VU User's Manual Version 6.0
© SCEI
-211-
LQC2
pipe 1
pipe 0(core)
I Q R A D W
I Q R A D M M M M M M W S
Data hazard
An instruction that uses the value in a register is executed before instruction results are written to the register
(RAW: Read After Write Hazard), or the next instruction writes the results to the same register before
instruction results are written to the register (WAW: Write After Write Hazard).
In macro mode, register data dependency checks are performed in units of register numbers. Unlike micro
mode, no distinction is made between the respective fields of the floating-point register. Moreover, the
floating-point register and integer register of the same number are regarded as the same register, and may
cause hazards occasionally.
VF00 and VI00 are not subject to hazard checks.
Data hazards do not occur to the special registers (ACC/I/Q/R). For the Q register, however,
synchronization is enabled by means of the VWAITQ instruction.
5.4.3. Macroinstruction Operation
The following figure illustrates the normal macroinstruction pipeline operation.
COP2M
COP2M
I Q R A T X Y Z S
I Q A R T X Y Z S
When there is a data hazard between macroinstructions, stalls occur as below.
COP2M
COP2M
I Q R A T X Y Z S
I Q R As As As A T X Y Z S
5.4.4. Operation when Transferring Data with EE Core
After a QMTC2/CTC2/LQC2 instruction which transfers data from the EE Core to the VU, the next
macroinstruction always stalls for one cycle. This allows the next macroinstruction to use the transferred data.
QMTC2 VF1, r4
COP2M VF3, VF2, VF1
I Q R A D W S
I Q R A Ts T X Y Z S
When a D cache miss is generated with the LQC2 instruction, stalls occur as illustrated below.

SCE CONFIDENTIAL VU User's Manual Version 6.0
© SCEI
-212-
LQC2 VF1, 0(r4)
COP2M VF3, VF2, VF1
I Q R A
I Q R A
DMMMW S
Ts Ts Ts Ts T X Y Z S
If the output register is the same when transferring data to the VU in the QMTC2/CTC2/LQC2 instruction
following a macroinstruction, a WAW hazard occurs and results in stalls as illustrated below.
No WAW hazard
COP2M
QMTC2
Ipipe 1
pipe 0
pipe 0
pipe 1
Q R A D W
I Q R A T X
I Q R A D W
I Q R A D W
Y Z S
S
WAW hazard
COP2M
QMTC2
I Q R A T X
I Q R A Ds Ds
Y Z S
D W S
I Q R A D W
I Q R A Ds Ds D W
When transferring data successively with the QMTC2/CTC2/LQC2 instruction, if there is not a D cache miss,
stalls do not occur.
No D cache miss
QMTC2
QMTC2
I Q R A D W
I Q R A D W S
I Q R T D W
I Q R A D W
S
D cache miss
QMTC2
LQC2
I Q R A D W
I Q R A D M M
I Q R A Ds Ds
I Q R A Ds Ds
M M W S
Ds Ds D W
Ds Ds D W
S
When data is transferred from the VU to the EE Core with the QMFC2/CFC2/SQC2 instruction, stalls do not
occur normally as illustrated below.

SCE CONFIDENTIAL VU User's Manual Version 6.0
© SCEI
-213-
QMFC2
COP2M
I Q R A D W
I Q R T D W
I Q R A T X Y Z S
I Q R A D W
Even when executing QMFC2/CFC2/SQC2 instructions successively, no stalls occur as long as the SQC2
instruction does not overflow the store buffer.
Normal conditions
QMFC2
QMFC2
I Q R T D W
I Q R A D W
I Q R T D W
I Q R A D W
Store buffer full
QMFC2
SQC2
I Q R T D W
I Q R A D W
I Q R T Ds Ds Ds Ds D W
I Q R A Ds Ds Ds Ds D W
When transferring macroinstruction results to the EE Core with the QMFC2/CFC2/SQC2 instruction, stalls
occur as illustrated below.
COP2M
QMFC2
I Q R A T X Y Z S
I Q R Ts Ts Ts Ts T D W
The flow of transferring data from the EE Core, processing it with a macroinstruction, and returning it to the
EE Core is summarized in the figure below:
QMTC2 r4, VF1
COP2M VF3, VF4, VF1
I
QMFC2 r9, VF3
Q R A D
I Q R A D
W
W S
I Q R As A
I Q R Ts Ts
T X
Ts Ts
Y Z S
Ts Ts T D W
I Q Rs Rs Rs Rs Rs Rs R A D
To read a VI register that is incremented/decremented by a VLQI/VLQD/VSQI/VSQD instruction, using the
CFC2 instruction, the program should be written to enable the following pipeline operation:

SCE CONFIDENTIAL VU User's Manual Version 6.0
© SCEI
-214-
VLQI VF1, (VI1++)
VNOP
VNOP
pipe 0
pipe 0
pipe 0
VNOP
VNOP
I
VNOP
CFC2 r2, VI1
pipe 0
pipe 0
pipe 0
pipe 1
Q R A T X
I Q R A T X
Y Z S
Y Z S
I Q R A T X
I Q R A T X
Y Z S
Y Z S
I Q R A T X Y Z S
I Q R T D W W
I Q R A T X Y Z S
Furthermore, if there is a RAW hazard when reading data with QMFC2/CFC2/SQC2 immediately after the data
is transferred from the EE Core with QMTC2/CTC2/LQC2, stalls occur for two cycles.
No RAW hazard
QMTC2
QMFC2
I Q R A D W
I Q R A D W S
I Q R T D W
I Q R A D W
RAW hazard
QMTC2
QMFC2
I Q R A D W
I Q R A D W S
I Q R Ts Ts T D W
I Q R As As A D W
Conversely, QMTC2/CTC2/LQC2 after QMFC2/CFC2/SQC2 does not stall as long as a D cache miss is not
generated or the store buffer is not full.
Normal conditions
QMFC2
QMTC2
I Q R T D W
I Q R A D W
I Q R A D W
I Q R A D W
S
D cache miss
QMFC2
LQC2
I Q R T D W
I Q R A D W
I Q R A D M
I Q R A D W
MMM Z S
I Q R A Ds Ds Ds Ds D W
I Q R A Ds Ds Ds Ds D W

SCE CONFIDENTIAL VU User's Manual Version 6.0
© SCEI
-215-
Status flag read/write
The following figure shows an example in which the VU0 status flag (CCR[2,16] register) is read with the
CFC2 instruction.
pipe 0
COP2M
VNOP
pipe 0
pipe 0
pipe 0
I Q R A T X Y Z S
I Q R A T X Y Z S
I Q R A T X Y Z S
I Q R A T X Y
VNOP
CFC2 r0, VI16
VNOP
VNOP
VNOP
Z S
I Q R A T X Y Z S
I Q R Ts T D W
pipe 0
pipe 0
I Q R A T X Y Z S
pipe 1
The following figure shows an example in which the status flag is written by means of the CTC2 instruction.
pipe 1
COP2M
VNOP
pipe 0
pipe 0
pipe 0
I Q R A T X Y Z S
I Q R A T X Y Z S
I Q R A T X Y Z S
I Q R As A D W S
VNOP
CTC2 r0, VI16
5.4.5. Operation when Executing a Micro Subroutine
A VCALLMS instruction executed following a macroinstruction always stalls for one cycle. This enables the
micro subroutine to use the results of the preceding macroinstruction.
COP2M
VCALLMS
I Q R A T X Y Z S
I Q R A Ds D M T X Y Z S
M T X Y Z S
A macroinstruction executed following VCALLMS stalls at the T stage overlapping with the S stage of the last
microinstruction. This enables the subsequent macroinstruction to use the results of the micro subroutine.
COP2M
VCALLMS
E bit
...
I Q R A D M T X Y Z S
M T X Y Z S
M T X Y Z S
I Q R As As As As As As As A T X Y
When two VCALLMS instructions are executed successively, the second VCALLMS stalls while the first
VCALLMS is executing the microinstruction. If there is a data hazard between the called microinstructions,
stalls are generated in the microinstruction.

SCE CONFIDENTIAL VU User's Manual Version 6.0
© SCEI
-216-
‚l s
VCALLMS
VCALLMS
E bit
E bit
VCALLMS
VCALLMS
E bit
E bit
I Q R A D M T X Y Z S
M T X Y Z S
M T X Y Z S
I Q R A Ds Ds Ds Ds D M T X Y Z S
M T X Y Z S
M T X Y Z S
I Q R A D M T X Y Z S
M T X Y Z S
M T X Y Z S
I Q R A Ds Ds Ds Ds D M Ts T X Y Z
M T X Y Z S
M T X Y Z S
S
5.4.6. Micro Subroutine and Data Transfer Operations
The VCALLMS instruction does not stall after transferring data from the EE Core with QMTC2/CTC2/LQC2,
if there is no D cache miss. However, the transferred data can be used for the micro subroutine as illustrated
below.
Normal conditions
QMTC2
VCALLMS I Q R A D M
I Q R A D W S
T X Y Z S
M T X Y Z S
M T X Y Z S
D cache miss with LQC2
LQC2
VCALLMS I Q R A Ds Ds Ds Ds D M
I Q R A D M M
I Q R A Ds Ds
M M W S
T X Y Z S
M T X Y Z
M T X Y
Ds Ds D W
When transferring the micro subroutine results to the EE Core, a QMFC2.i/CFC2.i instruction with interlocks
is used. QMFC2.i/CFC2.i stalls in the same way as the macroinstruction that follows VCALLMS, and can read
the calculation results of the final instruction of the micro subroutine.

SCE CONFIDENTIAL VU User's Manual Version 6.0
© SCEI
-217-
VCALLMS
QMFC2.i
I Q R A D M T X Y Z S
M T X Y Z S
M T X Y Z S
I Q R Ts Ts Ts Ts Ts Ts Ts Ts T D W
E bit
Examples of transferring data from the EE Core, executing a micro subroutine, and reading the results are
shown below.
QMTC2 VF1, r4
VCALLMS
I
QMFC2.i
Q R A D
I Q R A D
W
W S
I Q R A D M
M
T X
T X Y Z S
I Q R Ts Ts Ts Ts Ts Ts Ts Ts
Y Z S
I Q Rs Rs Rs Rs Rs Rs Rs Rs Rs
Ts T D W
R A D
E bit
M T X Y Z S
The interlock-free QMFC2.ni/CFC2.ni/SQC2 instruction is executed independently of the preceding
VCALLMS instruction and does not stall. This method can be used to read the data, which is irrelevant to the
micro subroutine.
VCALLMS
QMFC2.ni
E bit
I Q R A D M T X Y Z S
M T X Y Z S
M T X Y Z S
I Q R T D W
When transferring data to the VU with QMTC2/CTC2/LQC2 during execution of a micro subroutine,
operation is determined by the specification of interlock and the M bit of the microinstruction.
When transferring data with LQC2 and QMTC2.ni/CTC2.ni without interlocks, no stalls are generated, as
shown below. This method can be used to write registers irrelevant to the micro subroutine.
VCALLMS
QMTC2.ni
E bit
I Q R A D M T X Y Z S
M T X Y Z S
M T X Y Z S
I Q R A D W S
When transferring data with QMTC2.i/CTC2.i with interlocks, stalls occur and continue until a
microinstruction, which sets the M bit to 1, is executed in the micro subroutine. This means that prohibition
and cancellation of data transfer to the VU can be controlled on the micro subroutine side. In the following
example, stalls are cancelled by setting the M bit in the second microinstruction to 1.
VCALLMS
QMTC2.i
E bit
M:0
M:1
M:1
I Q R A D M T X Y Z S
M T X Y Z S
M T X Y Z S
I Q R As As As As A D W S

SCE CONFIDENTIAL VU User's Manual Version 6.0
© SCEI
-218-
Using this method, the next input data can be set during execution of the micro subroutine and performance can
be improved.
Once stalls are cancelled, set the M bit in all the instructions to 1 until the completion of the micro subroutine.
Operations that repeat prohibition and cancellation of data transfer are undefined.
VCALLMSR instruction execution timing
The VCALLMSR instruction is executed after writing the micro subroutine address in the CMSAR0 register
with the CTC2 instruction. Execute this with the following timing:
CTC2 CMSAR0
VCALLMSR
I
VNOP
VNOP
Q R A D S
I Q R T X Y Z S
I Q R T X Y Z S
I Q R A M T X Y Z S
M T X Y Z S
M T X Y Z S
5.4.7. Q Register Synchronization
The VWAITQ instruction stalls until the VDIV/VSQRT/VRSQRT instruction executed most recently
completes. Insertion of this VWAITQ enables the next macroinstruction to use the results of
VDIV/VSQRT/VRSQRT.
VWAITQ
VDIV Q, VF2, VF1 I Q R A T D1 D2 D3 D4 D5 D6 F
I Q R As As As As As As A T X Y Z S
VMULq VF5, VF4, Q I Q Rs Rs Rs Rs Rs Rs R A T X Y Z S
There are many factors that stop the instruction stream, such as cache miss and interrupt in micro mode. So if
the Q register is referred to following an instruction such as VDIV, calculation results are not guaranteed to be
correct. Therefore, perform synchronization with VWAITQ before accessing the Q register.
5.4.8. Notes on Other Pipeline Operations
W stage kill
W stage kill occurs when EE Core exceptions are generated. All the instructions operating concurrently are
stopped by the W stage kill. However, COP2 divide instructions (VDIV, VSQRT, and VRSQRT) continue
operation. For this reason, if a COP2 divide instruction follows an instruction to read the Q register within
two cycles, it may overwrite the Q register value to be read at the occurrence of an exception. To avoid this,
place two VNOP or five NOP instructions between the instruction to read the Q register and a COP2 divide
instruction.

SCE CONFIDENTIAL VU User's Manual Version 6.0
© SCEI
-219-
ADD r1, r4, r5
VDIV
Pipe1 any
pipe 1
pipe 0
pipe 1
I
W stage kill
nullify
nullify
nullify
Pipe0 any pipe 0
Q R A D
I Q R A T D1 D2 D3 D4 D5 D6 F
I Q R
I Q R
D stage stall
D stage stall occurs as a cache resource hazard when D cache misses are overlapped. The pipeline operation
is shown below. The VDIV instruction is executed regardless of the D stage stall.
LW r1, 0(r2)
COP2M
COP2M
pipe 1
pipe 0
pipe 0
VDIV
pipe 1
pipe 0
I Q R A Ds
I Q R A Ts
I Q R As
I Q R A Ds Ds Ds
I Q R A T D1 D2 D3 D4 D5 D6 F
Ds
Ts
As
Ds
Ts
As
Ds
Ts
As
D W
T X Y Z S
A T X Y Z S
LW r1, 0(r2) Ds D W

SCE CONFIDENTIAL VU User's Manual Version 6.0
© SCEI
-220-
5.5. VU1 Control
Since VU1 is not connected to the EE Core via a coprocessor connection, it does not have macro mode. VU1
is controlled by the registers, which are mapped to VU0 data memory (VU Mem0), and some other control
registers.
5.5.1. MIPS COP2 Condition Signal
The COP2 condition signal becomes TRUE when a VU1 micro subroutine is operating, and FALSE when not
operating. By performing polling with instructions such as BC2T, VU1 operation status can be checked.
5.5.2. MIPS COP2 Control Register
As described in "5.1.3. Control Registers", the VU control registers are allocated to the last 16 COP2 control
registers. The registers related to VU1 are shown below.
FBRST register
31 24 23 16 15 8 7 0
00000000 00000000 0000
T
E
1
D
E
1
R
S
1
F
B
1
0000
T
E
0
D
E
0
R
S
0
F
B
0
This register controls the operation status of VU0 and VU1. The function of each bit related to VU1 is shown
in the table below.
Bit Function Write Read
FB1 VU1 Force Break 0: -
1: Force Break
Always 0
RS1 VU1 Reset 0: -
1: Reset
Always 0
DE1 VU1 D bit enable 0: Disable
1: Enable
Current setting
TE1 VU1 T bit enable 0: Disable
1: Enable
Current setting
For details of the status of VU operations such as Force Break and Reset, see "1.3. VU Operation Status".
VPU-STAT register
31 24 23 16 15 8 7 0
00000000 00000000 0
E
F
U
1
D
I
V
1
V
G
W
1
V
F
S
1
V
T
S
1
V
D
S
1
V
B
S
1
I
B
S
0
0
D
I
V
0
0
V
F
S
0
V
T
S
0
V
D
S
0
V
B
S
0
This is a read only register, which reflects the operation status of VU0 and VU1. The bits related to VU1 are
described in the table below.

SCE CONFIDENTIAL VU User's Manual Version 6.0
© SCEI
-221-
Bit Definition
VBS1 VU1 operation status
0: idle (Stopped by E bit or Reset)
1: busy (Executing micro subroutine)
VDS1 VU1 operation status
0: Operating or stopped by a factor other than D bit
1: Stopped by D bit
VTS1 VU1 operation status
0: Operating or stopped by a factor other than T bit
1: Stopped by T bit
VFS1 VU1 operation status
0: Operating or stopped by a factor other than Force Break
1: Stopped by Force Break
VGW1 VU1 XGKICK-related status
0: Not-waiting
1: Waiting for sync with external unit
DIV1 VU1 DIV unit operation status
0: idle
1: busy
EFU1 VU1 EFU unit operation status
0: idle
1: busy
CMSAR1 register
31 24 23 16 15 8 7 0
00000000 00000000 CMSAR1
This is the control register to activate a VU1 micro subroutine. By writing a 16-bit address (an address in byte
units in Micro Mem) to this register when VU1 is in the stopped state, VU1 starts micro subroutine execution
from this adress.
5.5.3. Floating-Point Registers
VU1 floating-point registers are mapped to VU Mem0 as shown below. These registers are readable/writable
only when VU1 is stopped. Access while VU1 is operating causes an indeterminate result.
VU Mem0 32 bits 32 bits 32 bits 32 bits
Address 127 96 95 64 63 32 31 0
0x4000 VF00w VF00z VF00y VF00x
0x4010 VF01w VF01z VF01y VF01x
0x4020 VF02w VF02z VF02y VF02x
0x4030 VF03w VF03z VF03y VF03x
:
:
0x41F0 VF31w VF31z VF31y VF31x

SCE CONFIDENTIAL VU User's Manual Version 6.0
© SCEI
-222-
5.5.4. Integer Registers
VU1 integer registers are mapped to the VU Mem0 as below. These registers are readable/writable only when
VU1 is stopped. Access while VU1 is operating causes an indeterminate result.
VU Mem0
Address 127 15 0
0x4200 all 0 VI00 ( 0 register)
0x4210 all 0 VI01
0x4220 all 0 VI02
0x4230 all 0 VI03
0x4240 all 0 VI04
0x4250 all 0 VI05
0x4260 all 0 VI06
0x4270 all 0 VI07
0x4280 all 0 VI08
0x4290 all 0 VI09
0x42A0 all 0 VI10
0x42B0 all 0 VI11
0x42C0 all 0 VI12
0x42D0 all 0 VI13
0x42E0 all 0 VI14 (Stack pointer recommended)
0x42F0 all 0 VI15 (Link register recommended)
5.5.5. Control Registers
VU1 flag registers and special registers are mapped to the VU Mem0 as below. These registers are
readable/writable only when VU1 and the GIF are both stopped. Access while either of them is operating
causes an indeterminate result.
VU Mem0
address 127 31 0
0x4300 all 0 Status flag
0x4310 all 0 MAC flag
0x4320 all 0 Clipping flag
0x4330 all 0 Reserved
0x4340 all 0 R register
0x4350 all 0 I register
0x4360 all 0 Q register
0x4370 all 0 P register
0x4380 all 0 Reserved
0x4390 all 0 Reserved
0x43A0 all 0 TPC
0x43B0 all 0 Reserved
0x43C0 all 0 Reserved
0x43D0 all 0 Reserved
0x43E0 all 0 Reserved
0x43F0 all 0 Reserved

SCE CONFIDENTIAL VU User's Manual Version 6.0
© SCEI
-223-
The initial value and access limit of each register are shown in the table below.
Control register Initial Value VU1/GIF is stopped VU1/GIF is operating
Status flag all 0 r/w -/-
MAC flag all 0 r/- -/-
Clipping flag all 0 r/w -/-
R register Indeterminate r/w -/-
I register Indeterminate r/w -/-
Q register Indeterminate r/w -/-
P register Indeterminate r/w -/-
TPC register Indeterminate r/- -/-
Status flag: VU Mem0 0x4300
127 16 15 8 7 0
all 0 0000 D
S
I
S
O
S
U
S
S
S
Z
S DI OU S Z
The status flag (12-bit), which reflects VU1 calculation results, is allocated to the lower 12 bits. When
performing a write operation, values written to the lower 6 bits are ignored.
MAC flag: VU Mem0 0x4310
127 16 15 8 7 0
all 0 O
x
O
y
O
z
O
w
U
x
U
y
U
z
U
w
S
x
S
y
S
z
S
w
Z
x
Z
y
Z
z
Z
w
The MAC flag (16-bit), which reflects VU1 calculation results, is allocated to the lower 16 bits.
Clipping flag: VU Mem0 0x4320
127 24 23 16 15 8 7 0
all 0 -
z
+
z
-
y
+
y
-
x
+
x
-
z
+
z
-
y
+
y
-
x
+
x
-
z
+
z
-
y
+
y
-
x
+
x
-
z
+
z
-
y
+
y
-
x
+
x
The clipping flag (24-bit), which reflects VU1 clipping judgment results, is allocated to the lower 24 bits.
R, I, Q, P register: VU Mem0 0x4340, 0x4350, 0x4360, 0x4370
127 32 31 24 23 0
all 0 0 R register
all 0 I register
all 0 Q register
all 0 P register
These registers are used for accessing the R, I, Q, P registers during debugging.
TPC register: VU Mem0 0x43A0
127 16 15 0
all 0 TPC
This register indicates the PC (Program Counter) in which the micro subroutine has stopped.

SCE CONFIDENTIAL VU User's Manual Version 6.0
© SCEI
-224-
(This page is left blank intentionally)

SCE CONFIDENTIAL VU User's Manual Version 6.0
© SCEI
-225-
6. Macro Mode Instruction Reference

SCE CONFIDENTIAL VU User's Manual Version 6.0
© SCEI
-226-
6.1. Macro Instruction Operation Code
6.1.1. Macro Instruction Operation Type
There are seven types of macro instructions:
MacroOP field type 0
32-bit word: MacroOP field type 0
31 30 29 28 27 26 25 24 23 22 21 20 19 18 17 16 15 14 13 12 11 10 09 08 07 06 05 04 03 02 01 00
COP2 co dest ft reg fs reg fd reg OPCODE bc
010010 1 ---- ----- ----- ----- ---- --
6 bits 1 4 bits 5 bits 5 bits 5 bits 4 bits 2 bits
Specifies three registers and the broadcast field.
MacroOP field type 1
32-bit word: MacroOP field type 1
31 30 29 28 27 26 25 24 23 22 21 20 19 18 17 16 15 14 13 12 11 10 09 08 07 06 05 04 03 02 01 00
COP2 co dest ft reg fs reg fd reg OPCODE
010010 1 ---- ----- ----- ----- ------
6 bits 1 4 bits 5 bits 5 bits 5 bits 6 bits
Specifies three registers.
MacroOP field type 2
32-bit word: MacroOP field type 2
31 30 29 28 27 26 25 24 23 22 21 20 19 18 17 16 15 14 13 12 11 10 09 08 07 06 05 04 03 02 01 00
COP2 co dest ft reg fs reg OPCODE? bc
010010 1 ---- ----- ----- ----- 1111 --
6 bits 1 4 bits 5 bits 5 bits 9 bits 2 bits
Specifies two registers and the broadcast field.
MacroOP field type 3
32-bit word: MacroOP field type 3
31 30 29 28 27 26 25 24 23 22 21 20 19 18 17 16 15 14 13 12 11 10 09 08 07 06 05 04 03 02 01 00
COP2 co dest ft reg fs reg OPCODE
010010 1 ---- ----- ----- ----- 1111 --
6 bits 1 4 bits 5 bits 5 bits 11 bits
Specifies two registers.
MacroOP field type 4
32-bit word: MacroOP field type 4
31 30 29 28 27 26 25 24 23 22 21 20 19 18 17 16 15 14 13 12 11 10 09 08 07 06 05 04 03 02 01 00
COP2 co ftf fsf ft reg fs reg OPCODE
010010 1 -- -- ----- ----- ----- 1111 --
6 bits 1 2 bits 2 bits 5 bits 5 bits 11 bits
Specifies one field each of two registers.

SCE CONFIDENTIAL VU User's Manual Version 6.0
© SCEI
-227-
MacroOP field type 5
32-bit word: MacroOP field type 5
31 30 29 28 27 26 25 24 23 22 21 20 19 18 17 16 15 14 13 12 11 10 09 08 07 06 05 04 03 02 01 00
COP2 co dest it reg is reg Imm5 OPCODE
010010 1 0000 ----- ----- ----- ------
6 bits 1 4 bits 5 bits 5 bits 5 bits 6 bits
Specifies two registers and a 5-bit immediate value.
MacroOP field type 6
32-bit word: MacroOP field type 6
31 30 29 28 27 26 25 24 23 22 21 20 19 18 17 16 15 14 13 12 11 10 09 08 07 06 05 04 03 02 01 00
COP2 co dest Imm15 OPCODE
010010 1 0000 --------------- ------
6 bits 1 4 bits 15 bits 6 bits
Specifies a 15-bit immediate value.
MacroOP field type 11
32-bit word: MacroOP field type 11
31 30 29 28 27 26 25 24 23 22 21 20 19 18 17 16 15 14 13 12 11 10 09 08 07 06 05 04 03 02 01 00
COP2 opcode rt reg id reg ---------- I
010010 0---- ----- ----- 00 0000 0000 -
6 bits 5 bits 5 bits 5 bits 10 bits 1
Coprocessor transfer instructions, e.g. CFC2. The I bit (bit 0) specifies whether or not to wait for the
completion of the preceding VCALLMS instruction. If the I bit is set to1, the EE Core stalls, and starts
transferring upon completion of the micro sub-routine.
MacroOP field type 12
32-bit word: MacroOP field type 12
31 30 29 28 27 26 25 24 23 22 21 20 19 18 17 16 15 14 13 12 11 10 09 08 07 06 05 04 03 02 01 00
opcode base ft reg offset
----- ----- ----- ----------------
6 bits 5 bits 5 bits 16 bits
Branch instruction using COP2 conditional signal and transfer instruction for main memory and coprocessor
register.
6.1.2. Macro Instruction Operation Field
This section explains the operation fields used in operation codes.
dest field
32-bit word: MacroOP field type 0
31
30
29
28
27
26
25 24 23 22 21 20
19
18
17
16
15
14
13
12
11
10
09
08
07
06
05
04
03
02
01
00
COP2
co dest ft reg
fs reg
fd reg
OPCODE
?
bc
010010
1 ---- -----
-----
-----
----
--
6 bits
1 4 bits 5 bits
5 bits
5 bits
4 bits
2 bits
The dest field specifies the FMAC units to be operated in parallel: that is, the x, y, z or w fields of the 128-bit
data to be operated on. Bits 24 through 21 can be specified independently. When the bit is set to 1, the
corresponding FMAC unit/field becomes effective.

SCE CONFIDENTIAL VU User's Manual Version 6.0
© SCEI
-228-
Bit Corresponding FMAC/field
24 x
23 y
22 z
21 w
bc field
32-bit word: MacroOP field type 0
31
30
29
28
27
26
25
24
23
22
21
20
19
18
17
16
15
14
13
12
11
10
09
08
07
06
05
04
03
02 01 00
COP2
co
dest
ft reg
fs reg
fd reg
OPCODE bc
010010
1
----
-----
-----
-----
---- --
6 bits
1
4 bits
5 bits
5 bits
5 bits
4 bits 2 bits
The bc field specifies the field to be broadcasted for broadcast-series instructions, as follows:
Specified value of bc field Broadcast field
00 x
01 y
10 z
11 w
fsf/ftf field
32-bit word: MacroOP field type 4
31
30
29
28
27
26
25
24
23 22 21 20
19
18
17
16
15
14
13
12
11
10
09
08
07
06
05
04
03
02
01
00
COP2
co
ftf fsf ft reg
fs reg
OPCODE
010010
1
-- -- -----
-----
-----
1111
--
6 bits
1
2 bits 2 bits 5 bits
5 bits
11 bits
The combinations of the fsf field with the fs reg field and the ftf field with the ft reg field specify the field to be
calculated by the instruction. Bits 22 and 21 are used for the fsf field, and bits 24 and 23 for the ftf field.
Specified value for fsf/ftf field Field to be an arithmetic object
00 x
01 y
10 z
11 w

SCE CONFIDENTIAL VU User's Manual Version 6.0
© SCEI
-229-
6.2. Macro Instruction Set
This section describes the function, operation code, mnemonic, operation, flag changes, and throughput/latency
of macroinstructions. They are listed in alphabetical order in mnemonic form. The descriptions also include
examples, programming notes, and reference information.

SCE CONFIDENTIAL VU User's Manual Version 6.0
© SCEI
-230-
BC2F : Branch on COP2 Conditional Signal
Branches if COP2 conditional signal is FALSE, i.e., branches if VU1 is not active.
Operation Code
32-bit word: MacroOP field type 12
31 30 29 28 27 26 25 24 23 22 21 20 19 18 17 16 15 14 13 12 11 10 09 08 07 06 05 04 03 02 01 00
COP2 BC BCF offset
010010 01000 00000 ----------------
6 bits 5 bits 5 bits 16 bits
Mnemonic
BC2F offset
Operation
If the COP2 condition signal (CPCOND) sampled during execution of the previous instruction is FALSE,
the program branches to the specified PC relative address. The branch delay slot is one instruction.
The branch target address is obtained by adding a signed 16-bit offset multiplied by 4 to the branch delay
slot.
Throughput/Latency
2 / 2
Example
// no operation during VU execution
vu_run:
bc2f vu_idle
nop
j vu_run
nop
vu_idle:
(The rest is omitted.)

SCE CONFIDENTIAL VU User's Manual Version 6.0
© SCEI
-231-
BC2FL : Branch on COP2 Conditional Signal
Branches if COP2 conditional signal is FALSE, i.e. ,VU1 is not activated.
Operation Code
32-bit word: MacroOP field type 12
31 30 29 28 27 26 25 24 23 22 21 20 19 18 17 16 15 14 13 12 11 10 09 08 07 06 05 04 03 02 01 00
COP2 BC BCFL offset
010010 01000 00010 ----------------
6 bits 5 bits 5 bits 16 bits
Mnemonic
BC2FL offset
Operation
Branches to the specified PC-relative address, and one instruction delay occurs, if the COP2 condition signal
(CPCOND) sampled during execution of the previous instruction is FALSE. If a conditional branch does
not occur, the instruction in the branch delay slot is nullified.
The branch target address is obtained by adding the signed 16-bit offset multiplied by 4 to the address of the
instruction in the branch delay slot.
Throughput/Latency
2 / 2
Example
// no operation during VU execution
vu_run:
bc2fl vu_idle
nop
j vu_run
nop
vu_idle:
(The rest is omitted.)

SCE CONFIDENTIAL VU User's Manual Version 6.0
© SCEI
-232-
BC2T : Branch on COP2 Conditional Signal
Branches if COP2 conditional signal is TRUE, i.e., VU1 is activated.
Operation Code
32-bit word: MacroOP field type 12
31 30 29 28 27 26 25 24 23 22 21 20 19 18 17 16 15 14 13 12 11 10 09 08 07 06 05 04 03 02 01 00
COP2 BC BCT offset
010010 01000 00001 ----------------
6 bits 5 bits 5 bits 16 bits
Mnemonic
BC2T offset
Operation
Branches to the specified PC-relative address, and one instruction delay occurs, if the COP2 condition signal
(CPCOND) sampled during execution of the previous instruction is TRUE.
The branch target address is obtained by adding the signed 16-bit offset multiplied by 4 to the address of the
instruction in the branch delay slot.
Throughput/Latency
2 / 2
Example
// no operation while VU is stopped
vu_idle:
bc2t vu_run
nop
j vu_idle
nop
vu_run:
(The rest is omitted.)

SCE CONFIDENTIAL VU User's Manual Version 6.0
© SCEI
-233-
BC2TL : Branch on COP2 Conditional signal
Branches if COP2 conditional signal is TRUE, i.e., VU1 is activated.
Operation Code
32-bit word: MacroOP field type 12
31 30 29 28 27 26 25 24 23 22 21 20 19 18 17 16 15 14 13 12 11 10 09 08 07 06 05 04 03 02 01 00
COP2 BC BCTL offset
010010 01000 00011 ----------------
6 bits 5 bits 5 bits 16 bits
Mnemonic
BC2TL offset
Operation
Branches to the specified PC-relative address, and one instruction delay occurs, if the COP2 condition signal
(CPCOND) sampled during execution of the previous instruction is TRUE. If a conditional branch does
not occur, the instruction in the branch delay slot is nullified.
The branch target address is obtained by adding the signed 16-bit offset multiplied by 4 to the address of the
instruction in the branch delay slot.
Throughput/Latency
2 / 2
Example
// no operation while VU is stopped
vu_idle:
bc2tl vu_run
nop
j vu_idle
nop
vu_run:
(The rest is omitted.)

SCE CONFIDENTIAL VU User's Manual Version 6.0
© SCEI
-234-
CFC2 : Transfer Integer Data from VU to EE Core
Transfers the content of CCR[2,id] to GPR[rt].
Operation Code
32-bit word: MacroOP field type 11
31 30 29 28 27 26 25 24 23 22 21 20 19 18 17 16 15 14 13 12 11 10 09 08 07 06 05 04 03 02 01 00
COP2 CFC2 rt reg id reg ---------- I
010010 00010 ----- ----- 00 0000 0000 -
6 bits 5 bits 5 bits 5 bits 10 bits 1
Mnemonic
CFC2 rt, id (I=0: Without interlock)
CFC2.NI rt, id (I=0: Without interlock)
CFC2.I rt, id (I=1: With interlock)
Operation
Transfers the sign-extended 32-bit data of CCR[2,id], the COP2 control register in which the VU0
integer/control register is mapped, to GPR[rt], a CPU general purpose register. (However, the integer
registers VI00 through VI15 are 16 bits and are mapped to the lower 16 bits of CCR[2,0] through CCR[2,15],
therefore, these registers are in fact not sign-extended.)
When interlocking is specified, the CFC2 instruction stalls until the previously executed VCALLMS (micro
subroutine) instruction completes, and therefore the results of the micro subroutine instruction can be read.
When interlocking is not specified, the CFC2 instruction does not stall, and it immediately reads the contents
of the CCR[2,id] register.
Throughput/Latency
1 / 1
Example
// Copies VI01 to t0.
cfc2 t0, vi1
sw t0, 0(t1)
Remarks
The interlock specification does not affect synchronization with macro instructions. When the preceding
macro instruction writes to the CCR[2,id] register or the CPR[2,id] register, the CFC2 instruction stalls until
the macro instruction completes, regardless of the interlock specification.

SCE CONFIDENTIAL VU User's Manual Version 6.0
© SCEI
-235-
CTC2 : Transfer Integer Data from EE Core to VU
Transfers the contents of GPR[rt] to CCR[2,id].
Operation Code
32-bit word: MacroOP field type 11
31 30 29 28 27 26 25 24 23 22 21 20 19 18 17 16 15 14 13 12 11 10 09 08 07 06 05 04 03 02 01 00
COP2 CTC2 rt reg id reg ---------- I
010010 00110 ----- ----- 00 0000 0000 -
6 bits 5 bits 5 bits 5 bits 10 bits 1
Mnemonic
CTC2 rt, id (I=0: Without interlock)
CTC2.NI rt, id (I=0: Without interlock)
CTC2.I rt, id (I=1: With interlock)
Operation
Transfers the lower 32-bit data of GPR[rt], the CPU general purpose register, to CCR[2,id], the COP2
control register in which the integer/control register of VU0 is mapped.
When interlocking is specified, the CTC2 instruction stalls until the preceding VCALLMS (micro sub-
routine) instruction completes or until a micro instruction with the M bit set to 0 is executed in that micro
sub-routine. When interlocking is not specified, the CTC2 instruction immediately writes the data into the
CCR[2,id] register even if the micro sub-routine is currently being executed.
Throughput/Latency
1 / 1
Example
// Copies t0 to VI01.
lq t0, 0(t1)
ctc2 t0, vi1
Remarks
The interlock specification does not affect synchronization with macro instructions. When the preceding
macro instruction writes to the CCR[2,id] register or the CPR[2,id] register, the CTC2 instruction stalls until
the macro instruction completes, regardless of the interlock specification.

SCE CONFIDENTIAL VU User's Manual Version 6.0
© SCEI
-236-
LQC2 : Floating-Point Data Transfer from EE Core to VU
Transfers the 128-bit data specified with GPR[base] and the immediate value offset to CPR[2,ft].
Operation Code
32-bit word: MacroOP field type 12
31 30 29 28 27 26 25 24 23 22 21 20 19 18 17 16 15 14 13 12 11 10 09 08 07 06 05 04 03 02 01 00
LQC2 base ft reg offset
110110 ----- ----- ----------------
6 bits 5 bits 5 bits 16 bits
Mnemonic
LQC2 ft, offset(base)
Operation
Transfers the 128-bit data located at the address obtained by adding the sign-extended offset to the
GPR[base] register, to the CPR[2,ft] register (VF[ft] floating-point register of VU0).
Throughput/Latency
1 / 1
Example
lqc2 vf1, 0(t0) ;VF01 = t0[0]
qmtc2 a0, vf2 ;VF02 = a0
vmul vf3, vf2, vf1 ;VF03 = VF02 * VF01
qmfc2 a1, vf3 ;a1 = VF03
sqc2 vf3, 0(t1) ;t1[0] = VF03
Remarks
Synchronization with micro instructions is not taken into consideration. LQC2 writes to the CPR[2,ft]
register (VF[ft] register) even when a micro sub-routine is currently being executed.
If a D-cache error occurs, LQC2 stalls as well as the subsequent instructions.
If the effective address (GPR[base]+offset) is not on a 128-bit boundary, that is, when the lower 4 bits of the
effective address are not all 0, an address error exception is generated on the EE Core side.

SCE CONFIDENTIAL VU User's Manual Version 6.0
© SCEI
-237-
QMFC2 :
Floating-Point Data Transfer from VU to EE Core
Transfers data from CPR[2,fd] (VF[fd] register of VU0) to GPR[rt].
Operation Code
32-bit word: MacroOP field type 11
31 30 29 28 27 26 25 24 23 22 21 20 19 18 17 16 15 14 13 12 11 10 09 08 07 06 05 04 03 02 01 00
COP2 QMFC2 rt reg fd reg ---------- I
010010 00001 ----- ----- 00 0000 0000 -
6 bits 5 bits 5 bits 5 bits 10 bits 1
Mnemonic
QMFC2 rt, fd (I=0: Without Interlock)
QMFC2.NI rt, fd (I=0: Without Interlock)
QMFC2.I rt, fd (I=1: With Interlock)
Operation
Transfers the contents of the CPR[2,fd] register (the floating-point register VF[fd] of VU0) to GPR[rt].
When interlocking is specified, the QMFC2 instruction stalls until the preceding VCALLMS instruction
(micro sub-routine) completes, and QMFC2 reads the results of the micro sub-routine. When interlocking is
not specified, QMFC2 reads the contents of CPR[2,fd] immediately even if the micro sub-routine is currently
being executed.
Throughput/Latency
1 / 1
Example
lqc2 vf1, 0(t0) ;VF01 = t0[0]
qmtc2 a0, vf2 ;VF02 = a0
vmul vf3, vf2, vf1 ;VF03 = VF02 * VF01
qmfc2 a1, vf3 ;a1 = VF03
sqc2 vf3, 0(t1) ;t1[0] = VF03
Remarks
The interlock specification does not affect synchronization with macro-instructions. When the preceding
macro-instruction writes to CCR[2,fd] or CPR[2,fd], QMFC2 stalls until the instruction completes, regardless
of the interlock specification.

SCE CONFIDENTIAL VU User's Manual Version 6.0
© SCEI
-238-
QMTC2 :
Floating-Point Data Transfer from EE Core to VU
Transfers data from GPR[rt] to CPR[2,fd] (VF[fd] register).
Operation Code
32-bit word: MacroOP field type 11
31 30 29 28 27 26 25 24 23 22 21 20 19 18 17 16 15 14 13 12 11 10 09 08 07 06 05 04 03 02 01 00
COP2 QMTC2 rt reg fd reg ---------- I
010010 00101 ----- ----- 00 0000 0000 -
6 bits 5 bits 5 bits 5 bits 10 bits 1
Mnemonic
QMTC2 rt, fd (I=0: Without Interlock)
QMTC2.NI rt, fd (I=0: Without Interlock)
QMTC2.I rt, fd (I=1: With Interlock)
Operation
Transfers the contents of GPR[rt] to CPR[2,fd] (the VF[fd] register of VU0).
When interlocking is specified, QMTC2 stalls until the preceding VCALLMS instruction (micro sub-routine)
completes or until a micro instruction with the M bit set to 0 is executed in that micro sub-routine. When
interlocking is not specified, QMTC2 immediately writes data to CPR[2,fd] (the VF[fd] register) even if the
micro sub-routine is currently being executed.
Throughput/Latency
1 / 1
Example
lqc2 vf1, 0(t0) ;VF01 = t0[0]
qmtc2 a0, vf2 ;VF02 = a0
vmul vf3, vf2, vf1 ;VF03 = VF02 * VF01
qmfc2 a1, vf3 ;a1 = VF03
sqc2 vf3, 0(t1) ;t1[0] = VF03
Remarks
The interlock specification does not affect synchronization with macro-instructions. When the preceding
macro-instruction writes to CCR[2,fd] register or CPR[2,fd] register, QMTC2 stalls until the instruction
terminates, regardless of the interlock specification.

SCE CONFIDENTIAL VU User's Manual Version 6.0
© SCEI
-239-
SQC2 :
Floating-Point Data Transfer from VU to EE Core
Stores data from CPR[2,ft] (VF[ft] register) in the memory address specified with GPR[base] and offset.
Operation Code
32-bit word: MacroOP field type 12
31 30 29 28 27 26 25 24 23 22 21 20 19 18 17 16 15 14 13 12 11 10 09 08 07 06 05 04 03 02 01 00
SQC2 base ft reg offset
111110 ----- ----- ----------------
6 bits 5 bits 5 bits 16 bits
Mnemonic
SQC2 ft, offset(base)
Operation
Stores data from the CPR[2,ft] register (VF[ft] register of VU0) in the address obtained by adding the sign-
extended offset to GPR[base].
Throughput/Latency
1 / 1
Example
lqc2 vf1, 0(t0) ;VF01 = t0[0]
qmtc2 a0, vf2 ;VF02 = a0
vmul vf3, vf2, vf1 ;VF03 = VF02 * VF01
qmfc2 a1, vf3 ;a1 = VF03
sqc2 vf3, 0(t1) ;t1[0] = VF03
Remarks
Synchronization with micro instructions is not taken into consideration. SQC2 immediately reads the
contents of CPR[2,ft] (VF[ft] register of VU0) even if the micro sub-routine program is currently being
executed.
When the preceding macro-instruction writes to CPR[2,ft] or CCR[2,ft], the SQC2 instruction stalls until the
macro-instruction completes.
If the effective address (GPR[base]+offset) is not on a 128-bit boundary, that is, when the lower 4 bits of the
execution address are not all 0, an address error exception is generated on the EE Core side.

SCE CONFIDENTIAL VU User's Manual Version 6.0
© SCEI
-240-
VABS : Absolute Value
Calculates the absolute value of VF[fs] and stores the result in VF[ft].
Operation Code
32-bit word: MacroOP field type 3
31 30 29 28 27 26 25 24 23 22 21 20 19 18 17 16 15 14 13 12 11 10 09 08 07 06 05 04 03 02 01 00
COP2 co dest ft reg fs reg VABS
010010 1 ---- ----- ----- 00111 1111 01
6 bits 1 4 bits 5 bits 5 bits 11 bits
Mnemonic
VABS.dest ftdest, fsdest
Operation
Same as the micro instruction ABS. For details, refer to the appropriate pages in "4.2. Upper Instruction
Reference".

SCE CONFIDENTIAL VU User's Manual Version 6.0
© SCEI
-241-
VADD : Add
Calculates the sum of VF[fs] and VF[ft] and stores it in VF[fd].
Operation Code
32-bit word: MacroOP field type 1
31 30 29 28 27 26 25 24 23 22 21 20 19 18 17 16 15 14 13 12 11 10 09 08 07 06 05 04 03 02 01 00
COP2 co dest ft reg fs reg fd reg VADD
010010 1 ---- ----- ----- ----- 101000
6 bits 1 4 bits 5 bits 5 bits 5 bits 6 bits
Mnemonic
VADD.dest fddest, fsdest, ftdest
Operation
Same as the micro instruction ADD. For details, refer to "4.2. Upper Instruction Reference".

SCE CONFIDENTIAL VU User's Manual Version 6.0
© SCEI
-242-
VADDi : Add to I Register
Calculates the sum of VF[fs] and the I register and stores the sum in VF[fd].
Operation Code
32-bit word: MacroOP field type 1
31 30 29 28 27 26 25 24 23 22 21 20 19 18 17 16 15 14 13 12 11 10 09 08 07 06 05 04 03 02 01 00
COP2 co dest ft reg fs reg fd reg VADDi
010010 1 ---- 00000 ----- ----- 100010
6 bits 1 4 bits 5 bits 5 bits 5 bits 6 bits
Mnemonic
VADDi.dest fddest, fsdest, I
Operation
Same as the micro instruction ADDi. For details, refer to "4.2. Upper Instruction Reference".

SCE CONFIDENTIAL VU User's Manual Version 6.0
© SCEI
-243-
VADDq : Add to Q Register
Calculates the sum of VF[fs] and the Q register and stores the sum in VF[fd].
Operation Code
32-bit word: MacroOP field type 1
31 30 29 28 27 26 25 24 23 22 21 20 19 18 17 16 15 14 13 12 11 10 09 08 07 06 05 04 03 02 01 00
COP2 co dest ft reg fs reg fd reg VADDq
010010 1 ---- 00000 ----- ----- 100000
6 bits 1 4 bits 5 bits 5 bits 5 bits 6 bits
Mnemonic
VADDq.dest fddest, fsdest, Q
Operation
Same as the micro instruction ADDq. For details, refer to "4.2. Upper Instruction Reference".

SCE CONFIDENTIAL VU User's Manual Version 6.0
© SCEI
-244-
VADDbc : Broadcast Add
Calculates the sum of each field of VF[fs] and the specified field of VF[ft] and stores the sum in the
corresponding field of VF[fd].
Operation Code
32-bit word: MacroOP field type 0
31 30 29 28 27 26 25 24 23 22 21 20 19 18 17 16 15 14 13 12 11 10 09 08 07 06 05 04 03 02 01 00
COP2 co dest ft reg fs reg fd reg VADD? bc
010010 1 ---- ----- ----- ----- 0000 --
6 bits 1 4 bits 5 bits 5 bits 5 bits 4 bits 2 bits
Mnemonic
VADDx.dest fddest, fsdest, ftx
VADDy.dest fddest, fsdest, fty
VADDz.dest fddest, fsdest, ftz
VADDw.dest fddest, fsdest, ftw
Operation
Same as the micro instruction ADDbc. Refer to "4.2. Upper Instruction Reference".

SCE CONFIDENTIAL VU User's Manual Version 6.0
© SCEI
-245-
VADDA : Add to Accumulator
Calculates the sum of VF[fs] and VF[ft] and stores the sum in ACC.
Operation Code
32-bit word: MacroOP field type 3
31 30 29 28 27 26 25 24 23 22 21 20 19 18 17 16 15 14 13 12 11 10 09 08 07 06 05 04 03 02 01 00
COP2 co dest ft reg fs reg VADDA
010010 1 ---- ----- ----- 01010 1111 00
6 bits 1 4 bits 5 bits 5 bits 11 bits
Mnemonic
VADDA.dest ACCdest, fsdest, ftdest
Operation
Same as the micro instruction ADDA. Refer to "4.2. Upper Instruction Reference".

SCE CONFIDENTIAL VU User's Manual Version 6.0
© SCEI
-246-
VADDAi : Add I Register to Accumulator
Calculates the sum of VF[fs] and the I register and stores the sum in ACC.
Operation Code
32-bit word: MacroOP field type 3
31 30 29 28 27 26 25 24 23 22 21 20 19 18 17 16 15 14 13 12 11 10 09 08 07 06 05 04 03 02 01 00
COP2 co dest ft reg fs reg VADDAi
010010 1 ---- 00000 ----- 01000 1111 10
6 bits 1 4 bits 5 bits 5 bits 11 bits
Mnemonic
VADDAi.dest ACCdest, fsdest, I
Operation
Same as the micro instruction ADDAi. Refer to "4.2. Upper Instruction Reference".

SCE CONFIDENTIAL VU User's Manual Version 6.0
© SCEI
-247-
VADDAq : Add Q Register to Accumulator
Calculates the sum of VF[fs] and the Q register and stores the sum in ACC.
Operation Code
32-bit word: MacroOP field type 3
31 30 29 28 27 26 25 24 23 22 21 20 19 18 17 16 15 14 13 12 11 10 09 08 07 06 05 04 03 02 01 00
COP2 co dest ft reg fs reg VADDAq
010010 1 ---- 00000 ----- 01000 1111 00
6 bits 1 4 bits 5 bits 5 bits 11 bits
Mnemonic
VADDAq.dest ACCdest, fsdest, Q
Operation
Same as the micro instruction ADDAq. Refer to "4.2. Upper Instruction Reference".

SCE CONFIDENTIAL VU User's Manual Version 6.0
© SCEI
-248-
VADDAbc : Broadcast Add to Accumulator
Calculates sum of each field of VF[fs] and the specified field of VF[ft] and stores the sum in ACC.
Operation Code
32-bit word: MacroOP field type 2
31 30 29 28 27 26 25 24 23 22 21 20 19 18 17 16 15 14 13 12 11 10 09 08 07 06 05 04 03 02 01 00
COP2 co dest ft reg fs reg VADDA? bc
010010 1 ---- ----- ----- 00000 1111 --
6 bits 1 4 bits 5 bits 5 bits 9 bits 2 bits
Mnemonic
VADDAx.dest ACCdest, fsdest, ftx
VADDAy.dest ACCdest, fsdest, fty
VADDAz.dest ACCdest, fsdest, ftz
VADDAw.dest ACCdest, fsdest, ftw
Operation
Same as the micro instruction ADDAbc. Refer to "4.2. Upper Instruction Reference".

SCE CONFIDENTIAL VU User's Manual Version 6.0
© SCEI
-249-
VCALLMS : Start Micro Sub-Routine
Starts the micro sub-routine at the address specified by the immediate value.
Operation Code
32-bit word: MacroOP field type 6
31 30 29 28 27 26 25 24 23 22 21 20 19 18 17 16 15 14 13 12 11 10 09 08 07 06 05 04 03 02 01 00
COP2 co dest Imm15 VCALLMS
010010 1 0000 --------------- 111000
6 bits 1 4 bits 15 bits 6 bits
Mnemonic
VCALLMS Imm15
For Imm15, specify the address divided by 8.
Operation
Starts the sub-routine in MicroMem0 at the address specified with Imm15.
Example
qmtc2 vf1, a0 Micro Program
qmtc2 vf2, a1 MulMatrix:
qmtc2 vf3, a2 NOP MULAx ACC, VF02, VF01x
qmtc2 vf4, a3 NOP MADDAy ACC, VF02, VF01y
qmtc2 vf5, a4 NOP MADDAz ACC, VF02, VF01z
vcallms MulMatrix NOP MADDAw VF01, VF02, VF01w
qmfc2 vf1, a0 NOP NOP @ E
Remarks
When executed at the same time as other external micro sub-routine calls such as MSCAL of VIFcode, the
operation is undefined.

SCE CONFIDENTIAL VU User's Manual Version 6.0
© SCEI
-250-
VCALLMSR : Start Micro Sub-Routine by Register
Starts the micro sub-routine at the address specified by the CMSAR0 register.
Operation Code
32-bit word: MacroOP field type 1
31 30 29 28 27 26 25 24 23 22 21 20 19 18 17 16 15 14 13 12 11 10 09 08 07 06 05 04 03 02 01 00
COP2 co dest ft reg fs reg fd reg VCALLMSR
010010 1 0000 00000 11011 00000 111001
6 bits 1 4 bits 5 bits 5 bits 5 bits 6 bits
Mnemonic
VCALLMSR VI27
Operation
Starts the micro sub-routine in MicroMem0. The address of the micro sub-routine must be set to CMSAR0
(CCR[2,27] register) in advance using the CTC2 instruction. (Specify the address divided by 8.)
Example
CTC2 rt, id
VNOP ;requires two VNOP instructions in order to adjust
timing.
VNOP
VCALLMSR VI27
Remarks
When executed at the same time as other external micro sub-routine calls such as MSCAL of VIFcode, the
operation is undefined.

SCE CONFIDENTIAL VU User's Manual Version 6.0
© SCEI
-251-
VCLIP : Clipping Judgment
Performs clipping judgment with the x, y, z fields of VF[fs] and the w field of VF[ft] and puts the result in the
clipping flag (CF).
Operation Code
32-bit word: MacroOP field type 3
31 30 29 28 27 26 25 24 23 22 21 20 19 18 17 16 15 14 13 12 11 10 09 08 07 06 05 04 03 02 01 00
COP2 co dest ft reg fs reg VCLIP
010010 1 1110 ----- ----- 00111 1111 11
6 bits 1 4 bits 5 bits 5 bits 11 bits
Mnemonic
VCLIPw.xyz fsxyz, ftw
Operation
Same as the micro instruction CLIP. Refer to "4.2. Upper Instruction Reference".

SCE CONFIDENTIAL VU User's Manual Version 6.0
© SCEI
-252-
VDIV : Divide
Divides the fsf field of VF[fs] by the ftf field of VF[ft] and stores the quotient in the Q register.
Operation Code
32-bit word: MacroOP field type 4
31 30 29 28 27 26 25 24 23 22 21 20 19 18 17 16 15 14 13 12 11 10 09 08 07 06 05 04 03 02 01 00
COP2 co ftf fsf ft reg fs reg VDIV
010010 1 -- -- ----- ----- 01110 1111 00
6 bits 1 2 bits 2 bits 5 bits 5 bits 11 bits
Mnemonic
VDIV Q, fsfsf, ftftf
Operation
Same as the micro instruction DIV. Refer to "4.3. Lower Instruction Reference".

SCE CONFIDENTIAL VU User's Manual Version 6.0
© SCEI
-253-
VFTOI0 : Conversion to Fixed Point
Converts the contents of VF[fs] into a fixed-point number whose fractional portion is 0 bit, and stores the result
in VF[ft].
Operation Code
32-bit word: MacroOP field type 3
31 30 29 28 27 26 25 24 23 22 21 20 19 18 17 16 15 14 13 12 11 10 09 08 07 06 05 04 03 02 01 00
COP2 co dest ft reg fs reg VFTOI0
010010 1 ---- ----- ----- 00101 1111 00
6 bits 1 4 bits 5 bits 5 bits 11 bits
Mnemonic
VFTOI0.dest ftdest, fsdest
Operation
Same as the micro instruction FTOI0. Refer to "4.2. Upper Instruction Reference".

SCE CONFIDENTIAL VU User's Manual Version 6.0
© SCEI
-254-
VFTOI4 : Conversion to Fixed Point
Converts the contents of VF[fs] into a fixed-point number whose fractional portion is 4 bits and stores the result
in VF[ft].
Operation Code
32-bit word: MacroOP field type 3
31 30 29 28 27 26 25 24 23 22 21 20 19 18 17 16 15 14 13 12 11 10 09 08 07 06 05 04 03 02 01 00
COP2 co dest ft reg fs reg VFTOI4
010010 1 ---- ----- ----- 00101 1111 01
6 bits 1 4 bits 5 bits 5 bits 11 bits
Mnemonic
VFTOI4.dest ftdest, fsdest
Operation
Same as the micro instruction FTOI4. Refer to "4.2. Upper Instruction Reference".

SCE CONFIDENTIAL VU User's Manual Version 6.0
© SCEI
-255-
VFTOI12 : Conversion to Fixed Point
Converts the contents of VF[fs] into a fixed-point number whose fractional portion is 12 bits and stores the
result in VF[ft].
Operation Code
32-bit word: MacroOP field type 3
31 30 29 28 27 26 25 24 23 22 21 20 19 18 17 16 15 14 13 12 11 10 09 08 07 06 05 04 03 02 01 00
COP2 co dest ft reg fs reg VFTOI12
010010 1 ---- ----- ----- 00101 1111 10
6 bits 1 4 bits 5 bits 5 bits 11 bits
Mnemonic
VFTOI12.dest ftdest, fsdest
Operation
Same as the micro instruction FTOI12. Refer to "4.2. Upper Instruction Reference".

SCE CONFIDENTIAL VU User's Manual Version 6.0
© SCEI
-256-
VFTOI15 : Conversion to Fixed Point
Converts the contents of VF[fs] into a fixed-point number whose fractional portion is 15 bits and stores the
result in VF[ft].
Operation Code
32-bit word: MacroOP field type 3
31 30 29 28 27 26 25 24 23 22 21 20 19 18 17 16 15 14 13 12 11 10 09 08 07 06 05 04 03 02 01 00
COP2 co dest ft reg fs reg VFTOI15
010010 1 ---- ----- ----- 00101 1111 11
6 bits 1 4 bits 5 bits 5 bits 11 bits
Mnemonic
VFTOI15.dest ftdest, fsdest
Operation
Same as the micro instruction FTOI15. Refer to "4.2. Upper Instruction Reference".

SCE CONFIDENTIAL VU User's Manual Version 6.0
© SCEI
-257-
VIADD : Add Integer
Adds VI[is] and VI[it] and stores the result in VI[id].
Operation Code
32-bit word: MacroOP field type 1
31 30 29 28 27 26 25 24 23 22 21 20 19 18 17 16 15 14 13 12 11 10 09 08 07 06 05 04 03 02 01 00
COP2 co dest it reg is reg id reg VIADD
010010 1 0000 ----- ----- ----- 110000
6 bits 1 4 bits 5 bits 5 bits 5 bits 6 bits
Mnemonic
VIADD id, is, it
Operation
Same as the micro instruction IADD. Refer to "4.3. Lower Instruction Reference".

SCE CONFIDENTIAL VU User's Manual Version 6.0
© SCEI
-258-
VIADDI : Add Immediate Value Integer
Adds the immediate value to VI[is] and stores the sum in VI[it].
Operation Code
32-bit word: MacroOP field type 5
31 30 29 28 27 26 25 24 23 22 21 20 19 18 17 16 15 14 13 12 11 10 09 08 07 06 05 04 03 02 01 00
COP2 co dest it reg is reg Imm5 VIADDI
010010 1 0000 ----- ----- ----- 110010
6 bits 1 4 bits 5 bits 5 bits 5 bits 6 bits
Mnemonic
VIADDI it, is, Imm5
Operation
Same as the micro instruction IADDI. Refer to the appropriate page in "4.3. Lower Instruction
Reference".

SCE CONFIDENTIAL VU User's Manual Version 6.0
© SCEI
-259-
VIAND : Logical Product
Calculates the AND (logical product) of VI[is] and VI[it] at every bit and stores the result in VI[id].
Operation Code
32-bit word: MacroOP field type 1
31 30 29 28 27 26 25 24 23 22 21 20 19 18 17 16 15 14 13 12 11 10 09 08 07 06 05 04 03 02 01 00
COP2 co dest it reg is reg id reg VIAND
010010 1 0000 ----- ----- ----- 110100
6 bits 1 4 bits 5 bits 5 bits 5 bits 6 bits
Mnemonic
VIAND id, is, it
Operation
Same as the micro instruction IAND. Refer to "4.3. Lower Instruction Reference".

SCE CONFIDENTIAL VU User's Manual Version 6.0
© SCEI
-260-
VILWR : Integer Load
Loads the specific field of the data, whose address is specified with VI[is], to VI[it] from VU Mem.
Operation Code
32-bit word: MacroOP field type 3
31 30 29 28 27 26 25 24 23 22 21 20 19 18 17 16 15 14 13 12 11 10 09 08 07 06 05 04 03 02 01 00
COP2 co dest it reg
is reg VILWR
010010 1 ---- ----- ----- 01111 1111 10
6 bits 1 4 bits 5 bits 5 bits 11 bits
Mnemonic
VILWR.dest it, (is)dest
Operation
Same as the micro instruction ILWR. Refer to "4.3. Lower Instruction Reference".

SCE CONFIDENTIAL VU User's Manual Version 6.0
© SCEI
-261-
VIOR : Logical Sum
Calculates the logical sum of VI[is] and VI[it] at every bit and stores the result in VI[id].
Operation Code
32-bit word: MacroOP field type 1
31 30 29 28 27 26 25 24 23 22 21 20 19 18 17 16 15 14 13 12 11 10 09 08 07 06 05 04 03 02 01 00
COP2 co dest it reg is reg id reg VIOR
010010 1 0000 ----- ----- ----- 110101
6 bits 1 4 bits 5 bits 5 bits 5 bits 6 bits
Mnemonic
VIOR id, is, it
Operation
Same as the micro instruction IOR. Refer to "4.3. Lower Instruction Reference".

SCE CONFIDENTIAL VU User's Manual Version 6.0
© SCEI
-262-
VISUB : Integer Subtract
Subtracts VI[it] from VI[is] and stores the result in VI[id].
Operation Code
32-bit word: MacroOP field type 1
31 30 29 28 27 26 25 24 23 22 21 20 19 18 17 16 15 14 13 12 11 10 09 08 07 06 05 04 03 02 01 00
COP2 co dest it reg is reg id reg VISUB
010010 1 0000 ----- ----- ----- 110001
6 bits 1 4 bits 5 bits 5 bits 5 bits 6 bits
Mnemonic
VISUB id, is, it
Operation
Same as the micro instruction ISUB. Refer to "4.3. Lower Instruction Reference".

SCE CONFIDENTIAL VU User's Manual Version 6.0
© SCEI
-263-
VISWR : Integer Store
Stores data from VI[it] in VU Mem. The destination address is the dest field specified by VI[is].
Operation Code
32-bit word: MacroOP field type 3
31 30 29 28 27 26 25 24 23 22 21 20 19 18 17 16 15 14 13 12 11 10 09 08 07 06 05 04 03 02 01 00
COP2 co dest it reg
is reg VISWR
010010 1 ---- ----- ----- 01111 1111 11
6 bits 1 4 bits 5 bits 5 bits 11 bits
Mnemonic
VISWR.dest it, (is)dest
Operation
Same as the micro instruction ISWR. Refer to "4.3. Lower Instruction Reference".

SCE CONFIDENTIAL VU User's Manual Version 6.0
© SCEI
-264-
VITOF0 : Conversion to Floating-Point Number
Considers the value of VF[fs] as a fixed-point number whose fractional portion is 0 bits, converts it to floating-
point, and stores the result in VF[ft].
Operation Code
32-bit word: MacroOP field type 3
31 30 29 28 27 26 25 24 23 22 21 20 19 18 17 16 15 14 13 12 11 10 09 08 07 06 05 04 03 02 01 00
COP2 co dest ft reg fs reg VITOF0
010010 1 ---- ----- ----- 00100 1111 00
6 bits 1 4 bits 5 bits 5 bits 11 bits
Mnemonic
VITOF0.dest ftdest, fsdest
Operation
Same as the micro instruction ITOF0. Refer to "4.2. Upper Instruction Reference".

SCE CONFIDENTIAL VU User's Manual Version 6.0
© SCEI
-265-
VITOF4 : Conversion to Floating-Point Number
Considers the value of VF[fs] as a fixed-point number whose fractional portion is 4 bits, converts it to floating-
point, and stores the result in VF[ft].
Operation Code
32-bit word: MacroOP field type 3
31 30 29 28 27 26 25 24 23 22 21 20 19 18 17 16 15 14 13 12 11 10 09 08 07 06 05 04 03 02 01 00
COP2 co dest ft reg fs reg VITOF4
010010 1 ---- ----- ----- 00100 1111 01
6 bits 1 4 bits 5 bits 5 bits 11 bits
Mnemonic
VITOF4.dest ftdest, fsdest
Operation
Same as the micro instruction ITOF4. Refer to "4.2. Upper Instruction Reference".

SCE CONFIDENTIAL VU User's Manual Version 6.0
© SCEI
-266-
VITOF12 : Conversion to Floating-Point Number
Considers the value of VF[fs] as a fixed-point number whose fractional portion is 12 bits, converts it to floating-
point, and stores the result in VF[ft].
Operation Code
32-bit word: MacroOP field type 3
31 30 29 28 27 26 25 24 23 22 21 20 19 18 17 16 15 14 13 12 11 10 09 08 07 06 05 04 03 02 01 00
COP2 co dest ft reg fs reg VITOF12
010010 1 ---- ----- ----- 00100 1111 10
6 bits 1 4 bits 5 bits 5 bits 11 bits
Mnemonic
VITOF12.dest ftdest, fsdest
Operation
Same as the micro instruction ITOF12. Refer to "4.2. Upper Instruction Reference".

SCE CONFIDENTIAL VU User's Manual Version 6.0
© SCEI
-267-
VITOF15 : Conversion to Floating-Point Number
Considers the value of VF[fs] as a fixed-point number whose fractional portion is 15 bits, converts it to floating-
point, and stores the result in VF[ft].
Operation Code
32-bit word: MacroOP field type 3
31 30 29 28 27 26 25 24 23 22 21 20 19 18 17 16 15 14 13 12 11 10 09 08 07 06 05 04 03 02 01 00
COP2 co dest ft reg fs reg VITOF15
010010 1 ---- ----- ----- 00100 1111 11
6 bits 1 4 bits 5 bits 5 bits 11 bits
Mnemonic
VITOF15.dest ftdest, fsdest
Operation
Same as the micro instruction ITOF15. Refer to "4.2. Upper Instruction Reference".

SCE CONFIDENTIAL VU User's Manual Version 6.0
© SCEI
-268-
VLQD : Load with Pre-Decrement
Loads data from VU Mem at the address VI[is] - 1 into VF[ft].
Operation Code
32-bit word: MacroOP field type 3
31 30 29 28 27 26 25 24 23 22 21 20 19 18 17 16 15 14 13 12 11 10 09 08 07 06 05 04 03 02 01 00
COP2 co dest ft reg
is reg VLQD
010010 1 ---- ----- ----- 01101 1111 10
6 bits 1 4 bits 5 bits 5 bits 11 bits
Mnemonic
VLQD.dest ftdest, (--is)dest
Operation
Same as the micro instruction LQD. Refer to "4.3. Lower Instruction Reference".

SCE CONFIDENTIAL VU User's Manual Version 6.0
© SCEI
-269-
VLQI : Load with Post-Increment
Loads the data specified by VI[is] from VU Mem to VF[ft] and adds 1 to VI[is].
Operation Code
32-bit word: MacroOP field type 3
31 30 29 28 27 26 25 24 23 22 21 20 19 18 17 16 15 14 13 12 11 10 09 08 07 06 05 04 03 02 01 00
COP2 co dest ft reg
is reg VLQI
010010 1 ---- ----- ----- 01101 1111 00
6 bits 1 4 bits 5 bits 5 bits 11 bits
Mnemonic
VLQI.dest ftdest, (is++)dest
Operation
Same as the micro instruction LQI. Refer to "4.3. Lower Instruction Reference".

SCE CONFIDENTIAL VU User's Manual Version 6.0
© SCEI
-270-
VMADD : Product Sum
Adds the value of ACC to the product of VF[fs] and VF[ft], and stores the result in VF[fd].
Operation Code
32-bit word: MacroOP field type 1
31 30 29 28 27 26 25 24 23 22 21 20 19 18 17 16 15 14 13 12 11 10 09 08 07 06 05 04 03 02 01 00
COP2 co dest ft reg fs reg fd reg VMADD
010010 1 ---- ----- ----- ----- 101001
6 bits 1 4 bits 5 bits 5 bits 5 bits 6 bits
Mnemonic
VMADD.dest fddest, fsdest, ftdest
Operation
Same as the micro instruction MADD. Refer to "4.2. Upper Instruction Reference".

SCE CONFIDENTIAL VU User's Manual Version 6.0
© SCEI
-271-
VMADDi : Product Sum; with I Register
Adds the product of each field of VF[fs] and the I register to the corresponding value of ACC, and stores the
result in VF[fd].
Operation Code
32-bit word: MacroOP field type 1
31 30 29 28 27 26 25 24 23 22 21 20 19 18 17 16 15 14 13 12 11 10 09 08 07 06 05 04 03 02 01 00
COP2 co dest ft reg fs reg fd reg VMADDi
010010 1 ---- 00000 ----- ----- 100011
6 bits 1 4 bits 5 bits 5 bits 5 bits 6 bits
Mnemonic
VMADDi.dest fddest, fsdest, I
Operation
Same as the micro instruction MADDi. Refer to "4.2. Upper Instruction Reference".

SCE CONFIDENTIAL VU User's Manual Version 6.0
© SCEI
-272-
VMADDq : Product Sum; with Q Register
Adds the product of each field of VF[fs] and the Q register to the corresponding value of ACC and stores the
result in VF[fd].
Operation Code
32-bit word: MacroOP field type 1
31 30 29 28 27 26 25 24 23 22 21 20 19 18 17 16 15 14 13 12 11 10 09 08 07 06 05 04 03 02 01 00
COP2 co dest ft reg fs reg fd reg VMADDq
010010 1 ---- 00000 ----- ----- 100001
6 bits 1 4 bits 5 bits 5 bits 5 bits 6 bits
Mnemonic
VMADDq.dest fddest, fsdest, Q
Operation
Same as the micro instruction MADDq. Refer to "4.2. Upper Instruction Reference".

SCE CONFIDENTIAL VU User's Manual Version 6.0
© SCEI
-273-
VMADDbc : Broadcast Product Sum
Adds the product of each field of VF[fs] and the specified field of VF[ft] to the corresponding value of ACC and
stores the result in VF[fd].
Operation Code
32-bit word: MacroOP field type 0
31 30 29 28 27 26 25 24 23 22 21 20 19 18 17 16 15 14 13 12 11 10 09 08 07 06 05 04 03 02 01 00
COP2 co dest ft reg fs reg fd reg VMADD? bc
010010 1 ---- ----- ----- ----- 0010 --
6 bits 1 4 bits 5 bits 5 bits 5 bits 4 bits 2 bits
Mnemonic
VMADDx.dest fddest, fsdest, ftx
VMADDy.dest fddest, fsdest, fty
VMADDz.dest fddest, fsdest, ftz
VMADDw.dest fddest, fsdest, ftw
Operation
Same as the micro instruction MADDbc. Refer to "4.2. Upper Instruction Reference".

SCE CONFIDENTIAL VU User's Manual Version 6.0
© SCEI
-274-
VMADDA : Product Sum; to Accumulator
Adds the product of VF[fs] and VF[ft] to the value of ACC and stores the result in ACC.
Operation Code
32-bit word: MacroOP field type 3
31 30 29 28 27 26 25 24 23 22 21 20 19 18 17 16 15 14 13 12 11 10 09 08 07 06 05 04 03 02 01 00
COP2 co dest ft reg fs reg VMADDA
010010 1 ---- ----- ----- 01010 1111 01
6 bits 1 4 bits 5 bits 5 bits 11 bits
Mnemonic
VMADDA.dest ACCdest, fsdest, ftdest
Operation
Same as the micro instruction MADDA. Refer to "4.2. Upper Instruction Reference".

SCE CONFIDENTIAL VU User's Manual Version 6.0
© SCEI
-275-
VMADDAi : Product Sum; with I Register, to Accumulator
Adds the product of each field of VF[fs] and the I register to the corresponding value of ACC and stores the
result in ACC.
Operation Code
32-bit word: MacroOP field type 3
31 30 29 28 27 26 25 24 23 22 21 20 19 18 17 16 15 14 13 12 11 10 09 08 07 06 05 04 03 02 01 00
COP2 co dest ft reg fs reg VMADDAi
010010 1 ---- 00000 ----- 01000 1111 11
6 bits 1 4 bits 5 bits 5 bits 11 bits
Mnemonic
VMADDAi.dest ACCdest, fsdest, I
Operation
Same as the micro instruction MADDAi. Refer to "4.2. Upper Instruction Reference".

SCE CONFIDENTIAL VU User's Manual Version 6.0
© SCEI
-276-
VMADDAq : Product Sum; with Q Register, to Accumulator
Adds the product of each field of VF[fs] and the Q register to the corresponding field of ACC and stores the
result in ACC.
Operation Code
32-bit word: MacroOP field type 3
31 30 29 28 27 26 25 24 23 22 21 20 19 18 17 16 15 14 13 12 11 10 09 08 07 06 05 04 03 02 01 00
COP2 co dest ft reg fs reg VMADDAq
010010 1 ---- 00000 ----- 01000 1111 01
6 bits 1 4 bits 5 bits 5 bits 11 bits
Mnemonic
VMADDAq.dest ACCdest, fsdest, Q
Operation
Same as the micro instruction MADDAq. Refer to "4.2. Upper Instruction Reference".

SCE CONFIDENTIAL VU User's Manual Version 6.0
© SCEI
-277-
VMADDAbc : Broadcast Product Sum; to Accumulator
Adds the product of each field of VF[fs] and the specified field of VF[ft] to the corresponding field of ACC and
stores the result in ACC.
Operation Code
32-bit word: MacroOP field type 2
31 30 29 28 27 26 25 24 23 22 21 20 19 18 17 16 15 14 13 12 11 10 09 08 07 06 05 04 03 02 01 00
COP2 co dest ft reg fs reg VMADDA? bc
010010 1 ---- ----- ----- 00010 1111 --
6 bits 1 4 bits 5 bits 5 bits 9 bits 2 bits
Mnemonic
VMADDAx.dest ACCdest, fsdest, ftx
VMADDAy.dest ACCdest, fsdest, fty
VMADDAz.dest ACCdest, fsdest, ftz
VMADDAw.dest ACCdest, fsdest, ftw
Operation
Same as the micro instruction MADDAbc. Refer to "4.2. Upper Instruction Reference".

SCE CONFIDENTIAL VU User's Manual Version 6.0
© SCEI
-278-
VMAX : Maximum Value
Compares the value of VF[fs] with that of VF[ft] and stores the greater value in VF[fd].
Operation Code
32-bit word: MacroOP field type 1
31 30 29 28 27 26 25 24 23 22 21 20 19 18 17 16 15 14 13 12 11 10 09 08 07 06 05 04 03 02 01 00
COP2 co dest ft reg fs reg fd reg VMAX
010010 1 ---- ----- ----- ----- 101011
6 bits 1 4 bits 5 bits 5 bits 5 bits 6 bits
Mnemonic
VMAX.dest fddest, fsdest, ftdest
Operation
Same as the micro instruction MAX. Refer to "4.2. Upper Instruction Reference".

SCE CONFIDENTIAL VU User's Manual Version 6.0
© SCEI
-279-
VMAXi : Maximum Value
Compares the value of each field of VF[fs] with that of the I register and stores the greater value in the
corresponding field of VF[fd].
Operation Code
32-bit word: MacroOP field type 1
31 30 29 28 27 26 25 24 23 22 21 20 19 18 17 16 15 14 13 12 11 10 09 08 07 06 05 04 03 02 01 00
COP2 co dest ft reg fs reg fd reg VMAXi
010010 1 ---- 00000 ----- ----- 011101
6 bits 1 4 bits 5 bits 5 bits 5 bits 6 bits
Mnemonic
VMAXi.dest fddest, fsdest, I
Operation
Same as the micro instruction MAXi. Refer to "4.2. Upper Instruction Reference".

SCE CONFIDENTIAL VU User's Manual Version 6.0
© SCEI
-280-
VMAXbc : Maximum Value
Compares each field of VF[fs] with the specified field of VF[ft] and stores the greater value in the corresponding
field of VF[fd].
Operation Code
32-bit word: MacroOP field type 0
31 30 29 28 27 26 25 24 23 22 21 20 19 18 17 16 15 14 13 12 11 10 09 08 07 06 05 04 03 02 01 00
COP2 co dest ft reg fs reg fd reg VMAX? bc
010010 1 ---- ----- ----- ----- 0100 --
6 bits 1 4 bits 5 bits 5 bits 5 bits 4 bits 2 bits
Mnemonic
VMAXx.dest fddest, fsdest, ftx
VMAXy.dest fddest, fsdest, fty
VMAXz.dest fddest, fsdest, ftz
VMAXw.dest fddest, fsdest, ftw
Operation
Same as the micro instruction MAXbc. Refer to "4.2. Upper Instruction Reference".

SCE CONFIDENTIAL VU User's Manual Version 6.0
© SCEI
-281-
VMFIR : Transfer from Integer Register to Floating-Point Register
Transfers the contents of VI[is] to VF[ft].
Operation Code
32-bit word: MacroOP field type 3
31 30 29 28 27 26 25 24 23 22 21 20 19 18 17 16 15 14 13 12 11 10 09 08 07 06 05 04 03 02 01 00
COP2 co dest ft reg is reg VMFIR
010010 1 ---- ----- ----- 01111 1111 01
6 bits 1 4 bits 5 bits 5 bits 11 bits
Mnemonic
VMFIR.dest ftdest, is
Operation
Same as the micro instruction MFIR. Refer to "4.2. Upper Instruction Reference".

SCE CONFIDENTIAL VU User's Manual Version 6.0
© SCEI
-282-
VMINI : Minimum Value
Compares the contents of VF[fs] with VF[ft] and stores the smaller value in VF[fd].
Operation Code
32-bit word: MacroOP field type 1
31 30 29 28 27 26 25 24 23 22 21 20 19 18 17 16 15 14 13 12 11 10 09 08 07 06 05 04 03 02 01 00
COP2 co dest ft reg fs reg fd reg VMINI
010010 1 ---- ----- ----- ----- 101111
6 bits 1 4 bits 5 bits 5 bits 5 bits 6 bits
Mnemonic
VMINI.dest fddest, fsdest, ftdest
Operation
Same as the micro instruction MINI. Refer to "4.2. Upper Instruction Reference".

SCE CONFIDENTIAL VU User's Manual Version 6.0
© SCEI
-283-
VMINIi : Minimum Value
Compares each field of VF[fs] with the I register and stores the smaller value in the corresponding field of
VF[fd].
Operation Code
32-bit word: MacroOP field type 1
31 30 29 28 27 26 25 24 23 22 21 20 19 18 17 16 15 14 13 12 11 10 09 08 07 06 05 04 03 02 01 00
COP2 co dest ft reg fs reg fd reg VMINIi
010010 1 ---- 00000 ----- ----- 011111
6 bits 1 4 bits 5 bits 5 bits 5 bits 6 bits
Mnemonic
VMINIi.dest fddest, fsdest, I
Operation
Same as the micro instruction MINIi. Refer to "4.2. Upper Instruction Reference".

SCE CONFIDENTIAL VU User's Manual Version 6.0
© SCEI
-284-
VMINIbc : Minimum Value
Compares each field of VF[fs] with the specified field of VF[ft] and stores the smaller value in the corresponding
field of VF[fd].
Operation Code
32-bit word: MacroOP field type 0
31 30 29 28 27 26 25 24 23 22 21 20 19 18 17 16 15 14 13 12 11 10 09 08 07 06 05 04 03 02 01 00
COP2 co dest ft reg fs reg fd reg VMINI? bc
010010 1 ---- ----- ----- ----- 0101 --
6 bits 1 4 bits 5 bits 5 bits 5 bits 4 bits 2 bits
Mnemonic
VMINIx.dest fddest, fsdest, ftx
VMINIy.dest fddest, fsdest, fty
VMINIz.dest fddest, fsdest, ftz
VMINIw.dest fddest, fsdest, ftw
Operation
Same as the micro instruction MINIbc. Refer to "4.2. Upper Instruction Reference".

SCE CONFIDENTIAL VU User's Manual Version 6.0
© SCEI
-285-
VMOVE : Transfer between Floating-Point Registers
Transfers the value of VF[fs] to VF[ft].
Operation Code
32-bit word: MacroOP field type 3
31 30 29 28 27 26 25 24 23 22 21 20 19 18 17 16 15 14 13 12 11 10 09 08 07 06 05 04 03 02 01 00
COP2 co dest ft reg fs reg VMOVE
010010 1 ---- ----- ----- 01100 1111 00
6 bits 1 4 bits 5 bits 5 bits 11 bits
Mnemonic
VMOVE.dest ftdest, fsdest
Operation
Same as the micro instruction MOVE. Refer to "4.3. Lower Instruction Reference".

SCE CONFIDENTIAL VU User's Manual Version 6.0
© SCEI
-286-
VMR32 : Vector Rotate
Rotates the fields of VF[fs] to the right and transfers them to VF[ft].
Operation Code
32-bit word: MacroOP field type 3
31 30 29 28 27 26 25 24 23 22 21 20 19 18 17 16 15 14 13 12 11 10 09 08 07 06 05 04 03 02 01 00
COP2 co dest ft reg fs reg VMR32
010010 1 ---- ----- ----- 01100 1111 01
6 bits 1 4 bits 5 bits 5 bits 11 bits
Mnemonic
VMR32.dest ftdest, fsdest
Operation
Same as the micro instruction MR32. Refer to "4.3. Lower Instruction Reference".

SCE CONFIDENTIAL VU User's Manual Version 6.0
© SCEI
-287-
VMSUB : Multiply and Subtract
Subtracts the product of VF[fs] and VF[ft] from the value of ACC and stores the result in VF[fd].
Operation Code
32-bit word: MacroOP field type 1
31 30 29 28 27 26 25 24 23 22 21 20 19 18 17 16 15 14 13 12 11 10 09 08 07 06 05 04 03 02 01 00
COP2 co dest ft reg fs reg fd reg VMSUB
010010 1 ---- ----- ----- ----- 101101
6 bits 1 4 bits 5 bits 5 bits 5 bits 6 bits
Mnemonic
VMSUB.dest fddest, fsdest, ftdest
Operation
Same as the micro instruction MSUB. Refer to "4.2. Upper Instruction Reference".

SCE CONFIDENTIAL VU User's Manual Version 6.0
© SCEI
-288-
VMSUBi : Multiply and Subtract with I Register
Subtracts the product of the values of each field of VF[fs] and the I register from the corresponding field of
ACC, and stores the result in the corresponding field of VF[fd].
Operation Code
32-bit word: MacroOP field type 1
31 30 29 28 27 26 25 24 23 22 21 20 19 18 17 16 15 14 13 12 11 10 09 08 07 06 05 04 03 02 01 00
COP2 co dest ft reg fs reg fd reg VMSUBi
010010 1 ---- 00000 ----- ----- 100111
6 bits 1 4 bits 5 bits 5 bits 5 bits 6 bits
Mnemonic
VMSUBi.dest fddest, fsdest, I
Operation
Same as the micro instruction MSUBi. Refer to "4.2. Upper Instruction Reference".

SCE CONFIDENTIAL VU User's Manual Version 6.0
© SCEI
-289-
VMSUBq : Multiply and Subtract; Q Register
Subtracts the product of the values of each field of VF[fs] and the Q register from the corresponding field of
ACC, and stores the result in the corresponding field of VF[fd].
Operation Code
32-bit word: MacroOP field type 1
31 30 29 28 27 26 25 24 23 22 21 20 19 18 17 16 15 14 13 12 11 10 09 08 07 06 05 04 03 02 01 00
COP2 co dest ft reg fs reg fd reg VMSUBq
010010 1 ---- 00000 ----- ----- 100101
6 bits 1 4 bits 5 bits 5 bits 5 bits 6 bits
Mnemonic
VMSUBq.dest fddest, fsdest, Q
Operation
Same as the micro instruction MSUBq. Refer to "4.2. Upper Instruction Reference".

SCE CONFIDENTIAL VU User's Manual Version 6.0
© SCEI
-290-
VMSUBbc : Broadcast Multiply and Subtract
Subtracts the product of each field of VF[fs] and the specified field of VF[ft] from the corresponding field of
ACC, and stores the result in the corresponding field of VF[fd].
Operation Code
32-bit word: MacroOP field type 0
31 30 29 28 27 26 25 24 23 22 21 20 19 18 17 16 15 14 13 12 11 10 09 08 07 06 05 04 03 02 01 00
COP2 co dest ft reg fs reg fd reg VMSUB? bc
010010 1 ---- ----- ----- ----- 0011 --
6 bits 1 4 bits 5 bits 5 bits 5 bits 4 bits 2 bits
Mnemonic
VMSUBx.dest fddest, fsdest, ftx
VMSUBy.dest fddest, fsdest, fty
VMSUBz.dest fddest, fsdest, ftz
VMSUBw.dest fddest, fsdest, ftw
Operation
Same as the micro instruction MSUBbc. Refer to "4.2. Upper Instruction Reference".

SCE CONFIDENTIAL VU User's Manual Version 6.0
© SCEI
-291-
VMSUBA : Multiply and Subtract; to Accumulator
Subtracts the product of VF[fs] and VF[ft] from ACC, and stores the result in ACC.
Operation Code
32-bit word: MacroOP field type 3
31 30 29 28 27 26 25 24 23 22 21 20 19 18 17 16 15 14 13 12 11 10 09 08 07 06 05 04 03 02 01 00
COP2 co dest ft reg fs reg VMSUBA
010010 1 ---- ----- ----- 01011 1111 01
6 bits 1 4 bits 5 bits 5 bits 11 bits
Mnemonic
VMSUBA.dest ACCdest, fsdest, ftdest
Operation
Same as the micro instruction MSUBA. Refer to "4.2. Upper Instruction Reference".

SCE CONFIDENTIAL VU User's Manual Version 6.0
© SCEI
-292-
VMSUBAi : Multiply and Subtract; with I Register, to Accumulator
Subtracts the product of each field of VF[fs] and the I register from the corresponding field of ACC, and stores
the result in ACC.
Operation Code
32-bit word: MacroOP field type 3
31 30 29 28 27 26 25 24 23 22 21 20 19 18 17 16 15 14 13 12 11 10 09 08 07 06 05 04 03 02 01 00
COP2 co dest ft reg fs reg VMSUBAi
010010 1 ---- 00000 ----- 01001 1111 11
6 bits 1 4 bits 5 bits 5 bits 11 bits
Mnemonic
VMSUBAi.dest ACCdest, fsdest, I
Operation
Same as the micro instruction MSUBAi. Refer to "4.2. Upper Instruction Reference".

SCE CONFIDENTIAL VU User's Manual Version 6.0
© SCEI
-293-
VMSUBAq : Multiply and Subtract; with Q Register, to Accumulator
Subtracts the product of each field of VF[fs] and the Q register from the corresponding field of ACC, and stores
the result in the corresponding field of ACC.
Operation Code
32-bit word: MacroOP field type 3
31 30 29 28 27 26 25 24 23 22 21 20 19 18 17 16 15 14 13 12 11 10 09 08 07 06 05 04 03 02 01 00
COP2 co dest ft reg fs reg VMSUBAq
010010 1 ---- 00000 ----- 01001 1111 01
6 bits 1 4 bits 5 bits 5 bits 11 bits
Mnemonic
VMSUBAq.dest ACCdest, fsdest, Q
Operation
Same as the micro instruction MSUBAq. Refer to "4.2. Upper Instruction Reference".

SCE CONFIDENTIAL VU User's Manual Version 6.0
© SCEI
-294-
VMSUBAbc : Broadcast Multiply and Subtract; to Accumulator
Subtracts the product of each field of VF[fs] and the specified field of VF[ft] from the corresponding field of the
ACC, and stores the result in the corresponding field of ACC.
Operation Code
32-bit word: MacroOP field type 2
31 30 29 28 27 26 25 24 23 22 21 20 19 18 17 16 15 14 13 12 11 10 09 08 07 06 05 04 03 02 01 00
COP2 co dest ft reg fs reg VMSUBA? bc
010010 1 ---- ----- ----- 00011 1111 --
6 bits 1 4 bits 5 bits 5 bits 9 bits 2 bits
Mnemonic
VMSUBAx.dest ACCdest, fsdest, ftx
VMSUBAy.dest ACCdest, fsdest, fty
VMSUBAz.dest ACCdest, fsdest, ftz
VMSUBAw.dest ACCdest, fsdest, ftw
Operation
Same as the micro instruction MSUBAbc. Refer to "4.2. Upper Instruction Reference".

SCE CONFIDENTIAL VU User's Manual Version 6.0
© SCEI
-295-
VMTIR : Transfer from Floating-Point Register to Integer Register
Transfers the lower 16 bits of the field specified by fsf of VF[fs] to VI[it].
Operation Code
32-bit word: MacroOP field type 4
31 30 29 28 27 26 25 24 23 22 21 20 19 18 17 16 15 14 13 12 11 10 09 08 07 06 05 04 03 02 01 00
COP2 co ftf fsf it reg fs reg VMTIR
010010 1 00 -- ----- ----- 01111 1111 00
6 bits 1 2 bits 2 bits 5 bits 5 bits 11 bits
Mnemonic
VMTIR it, fsfsf
Operation
Same as the micro instruction MTIR. Refer to "4.3. Lower Instruction Reference".

SCE CONFIDENTIAL VU User's Manual Version 6.0
© SCEI
-296-
VMUL : Multiply
Multiplies VF[fs] and VF[ft], and stores the product in VF[fd].
Operation Code
32-bit word: MacroOP field type 1
31 30 29 28 27 26 25 24 23 22 21 20 19 18 17 16 15 14 13 12 11 10 09 08 07 06 05 04 03 02 01 00
COP2 co dest ft reg fs reg fd reg VMUL
010010 1 ---- ----- ----- ----- 101010
6 bits 1 4 bits 5 bits 5 bits 5 bits 6 bits
Mnemonic
VMUL.dest fddest, fsdest, ftdest
Operation
Same as the micro instruction MUL. Refer to "4.2. Upper Instruction Reference".

SCE CONFIDENTIAL VU User's Manual Version 6.0
© SCEI
-297-
VMULi : Multiply; by I Register
Multiplies the values of each field of VF[fs] by the I register, and stores the product in the corresponding field of
VF[fd].
Operation Code
32-bit word: MacroOP field type 1
31 30 29 28 27 26 25 24 23 22 21 20 19 18 17 16 15 14 13 12 11 10 09 08 07 06 05 04 03 02 01 00
COP2 co dest ft reg fs reg fd reg VMULi
010010 1 ---- 00000 ----- ----- 011110
6 bits 1 4 bits 5 bits 5 bits 5 bits 6 bits
Mnemonic
VMULi.dest fddest, fsdest, I
Operation
Same as the micro instruction MULi. Refer to "4.2. Upper Instruction Reference".

SCE CONFIDENTIAL VU User's Manual Version 6.0
© SCEI
-298-
VMULq : Multiply; by Q Register
Multiplies the values of each field of VF[fs] by the value of the Q register, and stores the product in the
corresponding field of VF[fd].
Operation Code
32-bit word: MacroOP field type 1
31 30 29 28 27 26 25 24 23 22 21 20 19 18 17 16 15 14 13 12 11 10 09 08 07 06 05 04 03 02 01 00
COP2 co dest ft reg fs reg fd reg VMULq
010010 1 ---- 00000 ----- ----- 011100
6 bits 1 4 bits 5 bits 5 bits 5 bits 6 bits
Mnemonic
VMULq.dest fddest, fsdest, Q
Operation
Same as the micro instruction MULq. Refer to "4.2. Upper Instruction Reference".

SCE CONFIDENTIAL VU User's Manual Version 6.0
© SCEI
-299-
VMULbc : Broadcast Multiply
Multiplies each field of VF[fs] by the specified field of VF[ft], and stores the product in the corresponding field
of VF[fd].
Operation Code
32-bit word: MacroOP field type 0
31 30 29 28 27 26 25 24 23 22 21 20 19 18 17 16 15 14 13 12 11 10 09 08 07 06 05 04 03 02 01 00
COP2 co dest ft reg fs reg fd reg VMUL? bc
010010 1 ---- ----- ----- ----- 0110 --
6 bits 1 4 bits 5 bits 5 bits 5 bits 4 bits 2 bits
Mnemonic
VMULx.dest fddest, fsdest, ftx
VMULy.dest fddest, fsdest, fty
VMULz.dest fddest, fsdest, ftz
VMULw.dest fddest, fsdest, ftw
Operation
Same as the micro instruction MULbc. Refer to "4.2. Upper Instruction Reference".

SCE CONFIDENTIAL VU User's Manual Version 6.0
© SCEI
-300-
VMULA : Multiply; to Accumulator
Multiplies VF[fs] by VF[ft] and stores the product in ACC.
Operation Code
32-bit word: MacroOP field type 3
31 30 29 28 27 26 25 24 23 22 21 20 19 18 17 16 15 14 13 12 11 10 09 08 07 06 05 04 03 02 01 00
COP2 co dest ft reg fs reg VMULA
010010 1 ---- ----- ----- 01010 1111 10
6 bits 1 4 bits 5 bits 5 bits 11 bits
Mnemonic
VMULA.dest ACCdest, fsdest, ftdest
Operation
Same as the micro instruction MULA. Refer to "4.2. Upper Instruction Reference".

SCE CONFIDENTIAL VU User's Manual Version 6.0
© SCEI
-301-
VMULAi : Multiply by I Register; to Accumulator
Multiplies each field of VF[fs] by the value of the I register, and stores the product in ACC.
Operation Code
32-bit word: MacroOP field type 3
31 30 29 28 27 26 25 24 23 22 21 20 19 18 17 16 15 14 13 12 11 10 09 08 07 06 05 04 03 02 01 00
COP2 co dest ft reg fs reg VMULAi
010010 1 ---- 00000 ----- 00111 1111 10
6 bits 1 4 bits 5 bits 5 bits 11 bits
Mnemonic
VMULAi.dest ACCdest, fsdest, I
Operation
Same as the micro instruction MULAi. Refer to "4.2. Upper Instruction Reference".

SCE CONFIDENTIAL VU User's Manual Version 6.0
© SCEI
-302-
VMULAq : Multiply by Q Register; to Accumulator
Multiplies each field of VF[fs] by value of the Q register, and stores the product in ACC.
Operation Code
32-bit word: MacroOP field type 3
31 30 29 28 27 26 25 24 23 22 21 20 19 18 17 16 15 14 13 12 11 10 09 08 07 06 05 04 03 02 01 00
COP2 co dest ft reg fs reg VMULAq
010010 1 ---- 00000 ----- 00111 1111 00
6 bits 1 4 bits 5 bits 5 bits 11 bits
Mnemonic
VMULAq.dest ACCdest, fsdest, Q
Operation
Same as the micro instruction MULAq. Refer to "4.2. Upper Instruction Reference".

SCE CONFIDENTIAL VU User's Manual Version 6.0
© SCEI
-303-
VMULAbc : Broadcast Multiply; to Accumulator
Multiplies each field of VF[fs] by the specified field of VF[ft], and stores the product in the corresponding field
of ACC.
Operation Code
32-bit word: MacroOP field type 2
31 30 29 28 27 26 25 24 23 22 21 20 19 18 17 16 15 14 13 12 11 10 09 08 07 06 05 04 03 02 01 00
COP2 co dest ft reg fs reg VMULA? bc
010010 1 ---- ----- ----- 00110 1111 --
6 bits 1 4 bits 5 bits 5 bits 9 bits 2 bits
Mnemonic
VMULAx.dest ACCdest, fsdest, ftx
VMULAy.dest ACCdest, fsdest, fty
VMULAz.dest ACCdest, fsdest, ftz
VMULAw.dest ACCdest, fsdest, ftw
Operation
Same as the micro instruction MULAbc. Refer to "4.2. Upper Instruction Reference".

SCE CONFIDENTIAL VU User's Manual Version 6.0
© SCEI
-304-
VNOP : No Operation
No operation is performed.
Operation Code
32-bit word: MacroOP field type 3
31 30 29 28 27 26 25 24 23 22 21 20 19 18 17 16 15 14 13 12 11 10 09 08 07 06 05 04 03 02 01 00
COP2 co dest ft reg fs reg VNOP
010010 1 0000 00000 00000 01011 1111 11
6 bits 1 4 bits 5 bits 5 bits 11 bits
Mnemonic
VNOP
Operation
No operation is performed. The status flag does not change.
Throughput/Latency
1 / 4

SCE CONFIDENTIAL VU User's Manual Version 6.0
© SCEI
-305-
VOPMULA : Vector Outer Product
Calculates the first part of the vector outer product of VF[fs] and VF[ft] and stores the result in ACC.
Operation Code
32-bit word: MacroOP field type 3
31 30 29 28 27 26 25 24 23 22 21 20 19 18 17 16 15 14 13 12 11 10 09 08 07 06 05 04 03 02 01 00
COP2 co dest ft reg fs reg VOPMULA
010010 1 1110 ----- ----- 01011 1111 10
6 bits 1 4 bits 5 bits 5 bits 11 bits
Mnemonic
VOPMULA.xyz ACCxyz, fsxyz, ftxyz
Operation
Same as the micro instruction OPMULA. Refer to "4.2. Upper Instruction Reference".

SCE CONFIDENTIAL VU User's Manual Version 6.0
© SCEI
-306-
VOPMSUB : Vector Outer Product
Calculates the last part of the vector outer product using VF[fs], VF[ft] and ACC, and stores the result in VF[fd].
Operation Code
32-bit word: MacroOP field type 1
31 30 29 28 27 26 25 24 23 22 21 20 19 18 17 16 15 14 13 12 11 10 09 08 07 06 05 04 03 02 01 00
COP2 co dest ft reg fs reg fd reg VOPMSUB
010010 1 1110 ----- ----- ----- 101110
6 bits 1 4 bits 5 bits 5 bits 5 bits 6 bits
Mnemonic
VOPMSUB.xyz fdxyz, fsxyz, ftxyz
Operation
Same as the micro instruction OPMSUB. Refer to "4.2. Upper Instruction Reference".

SCE CONFIDENTIAL VU User's Manual Version 6.0
© SCEI
-307-
VRGET : Get Random Numbers
Obtains random numbers and stores them in VF[ft].
Operation Code
32-bit word: MacroOP field type 3
31 30 29 28 27 26 25 24 23 22 21 20 19 18 17 16 15 14 13 12 11 10 09 08 07 06 05 04 03 02 01 00
COP2 co dest ft reg fs reg VRGET
010010 1 ---- ----- 00000 10000 1111 01
6 bits 1 4 bits 5 bits 5 bits 11 bits
Mnemonic
VRGET.dest ftdest, R
Operation
Same as the micro instruction RGET. Refer to "4.3. Lower Instruction Reference".

SCE CONFIDENTIAL VU User's Manual Version 6.0
© SCEI
-308-
VRINIT : Random Number Initial Set
Sets the R register to the field specified by fsf of VF[fs].
Operation Code
32-bit word: MacroOP field type 4
31 30 29 28 27 26 25 24 23 22 21 20 19 18 17 16 15 14 13 12 11 10 09 08 07 06 05 04 03 02 01 00
COP2 co ftf fsf ft reg fs reg VRINIT
010010 1 00 -- 00000 ----- 10000 1111 10
6 bits 1 2 bits 2 bits 5 bits 5 bits 11 bits
Mnemonic
VRINIT R, fsfsf
Operation
Same as the micro instruction RINIT. Refer to "4.3. Lower Instruction Reference".

SCE CONFIDENTIAL VU User's Manual Version 6.0
© SCEI
-309-
VRNEXT : New Random Numbers
Generates new random numbers and stores them in VF[ft].
Operation Code
32-bit word: MacroOP field type 3
31 30 29 28 27 26 25 24 23 22 21 20 19 18 17 16 15 14 13 12 11 10 09 08 07 06 05 04 03 02 01 00
COP2 co dest ft reg fs reg VRNEXT
010010 1 ---- ----- 00000 10000 1111 00
6 bits 1 4 bits 5 bits 5 bits 11 bits
Mnemonic
VRNEXT.dest ftdest, R
Operation
Same as the micro instruction RNEXT. Refer to "4.3. Lower Instruction Reference".

SCE CONFIDENTIAL VU User's Manual Version 6.0
© SCEI
-310-
VRSQRT : Square Root Division
Divides the fsf field of VF[fs] by the square root of the ftf field of VF[ft], and stores the result in the Q register.
Operation Code
32-bit word: MacroOP field type 4
31 30 29 28 27 26 25 24 23 22 21 20 19 18 17 16 15 14 13 12 11 10 09 08 07 06 05 04 03 02 01 00
COP2 co ftf fsf ft reg fs reg VRSQRT
010010 1 -- -- ----- ----- 01110 1111 10
6 bits 1 2 bits 2 bits 5 bits 5 bits 11 bits
Mnemonic
VRSQRT Q, fsfsf, ftftf
Operation
Same as the micro instruction RSQRT. Refer to "4.3. Lower Instruction Reference".

SCE CONFIDENTIAL VU User's Manual Version 6.0
© SCEI
-311-
VRXOR : Random Number Set
Takes the exclusive OR of the field specified with fsf of VF[fs] and the R register, and sets the R register to the
result.
Operation Code
32-bit word: MacroOP field type 4
31 30 29 28 27 26 25 24 23 22 21 20 19 18 17 16 15 14 13 12 11 10 09 08 07 06 05 04 03 02 01 00
COP2 co ftf fsf ft reg fs reg VRXOR
010010 1 00 -- 00000 ----- 10000 1111 11
6 bits 1 2 bits 2 bits 5 bits 5 bits 11 bits
Mnemonic
VRXOR R, fsfsf
Operation
Same as the micro instruction RXOR. Refer to "4.3. Lower Instruction Reference".

SCE CONFIDENTIAL VU User's Manual Version 6.0
© SCEI
-312-
VSQD : Store with Pre-Decrement
Stores the contents of VF[fs] at the VU Mem0 address VI[it] - 1.
Operation Code
32-bit word: MacroOP field type 3
31 30 29 28 27 26 25 24 23 22 21 20 19 18 17 16 15 14 13 12 11 10 09 08 07 06 05 04 03 02 01 00
COP2 co dest it reg
fs reg VSQD
010010 1 ---- ----- ----- 01101 1111 11
6 bits 1 4 bits 5 bits 5 bits 11 bits
Mnemonic
VSQD.dest fsdest, (--it)dest
Operation
Same as the micro instruction SQD. Refer to "4.3. Lower Instruction Reference".

SCE CONFIDENTIAL VU User's Manual Version 6.0
© SCEI
-313-
VSQI : Store with Post-Increment
Stores the contents of VF[fs] in the VU Mem0 address specified by VI[it] and adds 1 to VI[it].
Operation Code
32-bit word: MacroOP field type 3
31 30 29 28 27 26 25 24 23 22 21 20 19 18 17 16 15 14 13 12 11 10 09 08 07 06 05 04 03 02 01 00
COP2 co dest it reg fs reg VSQI
010010 1 ---- ----- ----- 01101 1111 01
6 bits 1 4 bits 5 bits 5 bits 11 bits
Mnemonic
VSQI.dest fsdest, (it++)dest
Operation
Same as the micro instruction SQI. Refer to "4.3. Lower Instruction Reference".

SCE CONFIDENTIAL VU User's Manual Version 6.0
© SCEI
-314-
VSQRT : Square Root
Obtains the square root of the field specified by the ftf field of VF[ft], and stores the result in the Q register.
Operation Code
32-bit word: MacroOP field type 4
31 30 29 28 27 26 25 24 23 22 21 20 19 18 17 16 15 14 13 12 11 10 09 08 07 06 05 04 03 02 01 00
COP2 co ftf fsf ft reg fs reg VSQRT
010010 1 -- 00 ----- 00000 01110 1111 01
6 bits 1 2 bits 2 bits 5 bits 5 bits 11 bits
Mnemonic
VSQRT Q, ftftf
Operation
Same as the micro instruction SQRT. Refer to "4.3. Lower Instruction Reference".

SCE CONFIDENTIAL VU User's Manual Version 6.0
© SCEI
-315-
VSUB : Subtract
Subtracts VF[ft] from VF[fs] and stores the result in VF[fd].
Operation Code
32-bit word: MacroOP field type 1
31 30 29 28 27 26 25 24 23 22 21 20 19 18 17 16 15 14 13 12 11 10 09 08 07 06 05 04 03 02 01 00
COP2 co dest ft reg fs reg fd reg VSUB
010010 1 ---- ----- ----- ----- 101100
6 bits 1 4 bits 5 bits 5 bits 5 bits 6 bits
Mnemonic
VSUB.dest fddest, fsdest, ftdest
Operation
Same as the micro instruction SUB. Refer to "4.2. Upper Instruction Reference".

SCE CONFIDENTIAL VU User's Manual Version 6.0
© SCEI
-316-
VSUBi : Subtract I Register
Subtracts the I register from each field of VF[fs], and stores the result in the corresponding field of VF[fd].
Operation Code
32-bit word: MacroOP field type 1
31 30 29 28 27 26 25 24 23 22 21 20 19 18 17 16 15 14 13 12 11 10 09 08 07 06 05 04 03 02 01 00
COP2 co dest ft reg fs reg fd reg VSUBi
010010 1 ---- 00000 ----- ----- 100110
6 bits 1 4 bits 5 bits 5 bits 5 bits 6 bits
Mnemonic
VSUBi.dest fddest, fsdest, I
Operation
Same as the micro instruction SUBi. Refer to "4.2. Upper Instruction Reference".

SCE CONFIDENTIAL VU User's Manual Version 6.0
© SCEI
-317-
VSUBq : Subtract Q Register
Subtracts the Q register from each field of VF[fs], and stores the result in the corresponding field of VF[ft].
Operation Code
32-bit word: MacroOP field type 1
31 30 29 28 27 26 25 24 23 22 21 20 19 18 17 16 15 14 13 12 11 10 09 08 07 06 05 04 03 02 01 00
COP2 co dest ft reg fs reg fd reg VSUBq
010010 1 ---- 00000 ----- ----- 100100
6 bits 1 4 bits 5 bits 5 bits 5 bits 6 bits
Mnemonic
VSUBq.dest fddest, fsdest, Q
Operation
Same as the micro instruction SUBq. Refer to "4.2. Upper Instruction Reference".

SCE CONFIDENTIAL VU User's Manual Version 6.0
© SCEI
-318-
VSUBbc : Broadcast Subtract
Subtracts the specified field of VF[ft] from each field of VF[fs] and stores the result in the corresponding field of
VF[fd].
Operation Code
32-bit word: MacroOP field type 0
31 30 29 28 27 26 25 24 23 22 21 20 19 18 17 16 15 14 13 12 11 10 09 08 07 06 05 04 03 02 01 00
COP2 co dest ft reg fs reg fd reg VSUB? bc
010010 1 ---- ----- ----- ----- 0001 --
6 bits 1 4 bits 5 bits 5 bits 5 bits 4 bits 2 bits
Mnemonic
VSUBx.dest fddest, fsdest, ftx
VSUBy.dest fddest, fsdest, fty
VSUBz.dest fddest, fsdest, ftz
VSUBw.dest fddest, fsdest, ftw
Operation
Same as the micro instruction SUBbc. Refer to "4.2. Upper Instruction Reference".

SCE CONFIDENTIAL VU User's Manual Version 6.0
© SCEI
-319-
VSUBA : Subtract; to Accumulator
Subtracts VF[ft] from VF[fs], and stores the result in ACC.
Operation Code
32-bit word: MacroOP field type 3
31 30 29 28 27 26 25 24 23 22 21 20 19 18 17 16 15 14 13 12 11 10 09 08 07 06 05 04 03 02 01 00
COP2 co dest ft reg fs reg VSUBA
010010 1 ---- ----- ----- 01011 1111 00
6 bits 1 4 bits 5 bits 5 bits 11 bits
Mnemonic
VSUBA.dest ACCdest, fsdest, ftdest
Operation
Same as the micro instruction SUBA. Refer to "4.2. Upper Instruction Reference".

SCE CONFIDENTIAL VU User's Manual Version 6.0
© SCEI
-320-
VSUBAi : Subtract I Register; to Accumulator
Subtracts the I register from each field of VF[fs], and stores the result in the corresponding field of ACC.
Operation Code
32-bit word: MacroOP field type 3
31 30 29 28 27 26 25 24 23 22 21 20 19 18 17 16 15 14 13 12 11 10 09 08 07 06 05 04 03 02 01 00
COP2 co dest ft reg fs reg VSUBAi
010010 1 ---- 00000 ----- 01001 1111 10
6 bits 1 4 bits 5 bits 5 bits 11 bits
Mnemonic
VSUBAi.dest ACCdest, fsdest, I
Operation
Same as the micro instruction SUBAi. Refer to "4.2. Upper Instruction Reference".

SCE CONFIDENTIAL VU User's Manual Version 6.0
© SCEI
-321-
VSUBAq : Subtract Q Register; to Accumulator
Subtracts the Q register from each field of VF[fs], and stores the result in the corresponding field of ACC.
Operation Code
32-bit word: MacroOP field type 3
31 30 29 28 27 26 25 24 23 22 21 20 19 18 17 16 15 14 13 12 11 10 09 08 07 06 05 04 03 02 01 00
COP2 co dest ft reg fs reg VSUBAq
010010 1 ---- 00000 ----- 01001 1111 00
6 bits 1 4 bits 5 bits 5 bits 11 bits
Mnemonic
VSUBAq.dest ACCdest, fsdest, Q
Operation
Same as the micro instruction SUBAq. Refer to "4.2. Upper Instruction Reference".

SCE CONFIDENTIAL VU User's Manual Version 6.0
© SCEI
-322-
VSUBAbc : Broadcast Subtract; to Accumulator
Subtracts the specified field of VF[ft] from each field of VF[fs], and stores the result in the corresponding field
of ACC.
Operation Code
32-bit word: MacroOP field type 2
31 30 29 28 27 26 25 24 23 22 21 20 19 18 17 16 15 14 13 12 11 10 09 08 07 06 05 04 03 02 01 00
COP2 co dest ft reg fs reg VSUBA? bc
010010 1 ---- ----- ----- 00001 1111 --
6 bits 1 4 bits 5 bits 5 bits 9 bits 2 bits
Mnemonic
VSUBAx.dest fddest, fsdest, ftx
VSUBAy.dest fddest, fsdest, fty
VSUBAz.dest fddest, fsdest, ftz
VSUBAw.dest fddest, fsdest, ftw
Operation
Same as the micro instruction SUBAbc. Refer to "4.2. Upper Instruction Reference".

SCE CONFIDENTIAL VU User's Manual Version 6.0
© SCEI
-323-
VWAITQ : Q Register Synchronize
Stops the VU until the result is written to the Q register.
Operation Code
32-bit word: MacroOP field type 3
31 30 29 28 27 26 25 24 23 22 21 20 19 18 17 16 15 14 13 12 11 10 09 08 07 06 05 04 03 02 01 00
COP2 co dest ft reg fs reg VWAITQ
010010 1 0000 00000 00000 01110 1111 11
6 bits 1 4 bits 5 bits 5 bits 11 bits
Mnemonic
VWAITQ
Operation
Same as the micro instruction WAITQ. Refer to "4.3. Lower Instruction Reference".

SCE CONFIDENTIAL VU User's Manual Version 6.0
© SCEI
-324-
(This page is left blank intentionally)

SCE CONFIDENTIAL VU User's Manual Version 6.0
© SCEI
-325-
7. Appendix

SCE CONFIDENTIAL VU User's Manual Version 6.0
© SCEI
-326-
7.1. Sample Micro Programs
Examples of micro programs are shown below. Note that these programs are insufficient as practical programs,
since they have been created as samples.
NOP* indicates a NOP that can be deleted. (When deleted, however, the subsequent instruction stalls). There
is no NOP in the Lower instruction, so substitute a meaningless instruction such as MOVE VF00, VF00 for
NOP.
Register allocation
;Floating point register
; x y z w
;VF00: 0 0 0 1 ; Special constant register
;VF01: 1 1 1 1 ; All 1 register (would be helpful to have)
;VF02: L0x L1x L2x L3x ; Normalized light source vector (X)
;VF03: L0y L1y L2y L3y ; Normalized light source vector (Y)
;VF04: L0z L1z L2z L3z ; Normalized light source vector (Z)
;VF05: R0 G0 B0 - ; Light source color RGB 0
;VF06: R1 G1 B1 - ; Light source color RGB 1
;VF07: R2 G2 B2 - ; Light source color RGB 2
;VF08: R3 G3 B3 - ; Light source color RGB 3
;VF09: Ra Ga Ba r0 ; Peripheral light
;VF10: M00 M01 M02 M03 ; Coordinate conversion matrix (row 0)
;VF11: M10 M11 M12 M13 ; Coordinate conversion matrix (row 1)
;VF12: M20 M21 M22 M23 ; Coordinate conversion matrix (row 2)
;VF13: M30 M31 M32 M33 ; Coordinate conversion matrix (row 3)
;VF14: MINI MAX SEED MR ; MINI=0, MAX=255
;VF15: - - - -
;VF16: Locally used by each subroutine
;VF17: Locally used by each subroutine
;VF18: Locally used by each subroutine
;VF19: Locally used by each subroutine
;VF20: Locally used by each subroutine
;VF21: Locally used by each subroutine
;VF22: Locally used by each subroutine
;VF23: Locally used by each subroutine
;VF24: Locally used by each subroutine
;VF25: Locally used by each subroutine
;VF26: Locally used by each subroutine
;VF27: Locally used by each subroutine
;VF28: - - - -
;VF29: u_0 v_0 - - ; Texture coordinate temporary memory
;VF30: Delta u Delta v - - ; Texture coordinate Delta
;VF31: 1/32 1/16 1/8 1/4
;
; Integer register
;VI00: 0 register
;VI01: u counter (0 - 32)
;VI02: v counter (0 - 32)
;VI03: -
;VI04: -
;VI05: -
;VI06: -
;VI07: -
;VI08: -

SCE CONFIDENTIAL VU User's Manual Version 6.0
© SCEI
-327-
;VI09: -
;VI10: -
;VI11: Base register for Buffer 0
;VI12: Base register for Buffer 1
;VI13: Buffer 0, 1 swap temporary, and texture output pointer
;VI14: Stack pointer recommended
;VI15: Link register
Curve generation
This program generates a Bezier curve. A Bezier curve represented by 16 control points is replaced with a plane
polygon divided into 32 x 32 two-dimensional meshes and is output as 33 x 33 vertex columns.
;--------------------------------------------------------------------
; SURF subroutine temporary register
; Floating point register
;VF16: ; BTv load temporary (BTu temp when optimized)
;VF17: ; BTu load temporary
;VF18: ; Output register
;VF19: ; Control point temporary 1
;VF20: ; Control point temporary 2
;VF21: ; Control point temporary 3
;VF22: ; Control point temporary 4
;VF23: ; SUM (BTu X CP) temporary 1 tmp1
;VF24: ; SUM (BTu X CP) temporary 2 tmp2
;VF25: ; SUM (BTu X CP) temporary 3 tmp3
;VF26: ; SUM (BTu X CP) temporary 4 tmp4
;VF27: ; Output register (use when optimized)
;Integer register
;VI00: 0 register
;VI01: u counter (0 - 32)
;VI02: v counter (0 - 32)
;VI03: i counter (0 - 3)
;VI04: pBTu (pointer to u blending table)
;VI05: pBTv (pointer to v blending table)
;VI06: pCP (pointer to control point)
;VI07: Output vertex column pointer (dummy is output right before the pointer when optimized)
; :
;VI14: Stack pointer recommended
;VI15: Link register
; Curve generation subroutine (u one-column 33-vertex)
;--------------------------------------
; Non-optimized version (for understanding the algorithms)
;--------------------------------------
SURF:
NOP LQI VF16, (VI05++) ; load BTv
NOP LQI VF19, (VI06++) ; load CP
NOP LQI VF20, (VI06++) ; load CP
NOP LQI VF21, (VI06++) ; load CP
NOP LQI VF22, (VI06++) ; load CP
MULAx.xyzw ACC, VF19, VF16x LQI VF19, (VI06++) ; tmp1=CP*BTv
MADDAy.xyzw ACC, VF20, VF16y LQI VF20, (VI06++) ; +=CP*BTv
MADDAz.xyzw ACC, VF21, VF16z LQI VF21, (VI06++) ; +=CP*BTv
MADDw.xyzw VF23, VF22, VF16w LQI VF22, (VI06++) ; +=CP*BTv
MULAx.xyzw ACC, VF19, VF16x LQI VF19, (VI06++) ; tmp2=CP*BTv
MADDAy.xyzw ACC, VF20, VF16y LQI VF20, (VI06++) ; +=CP*BTv

SCE CONFIDENTIAL VU User's Manual Version 6.0
© SCEI
-328-
MADDAz.xyzw ACC, VF21, VF16z LQI VF21, (VI06++) ; +=CP*BTv
MADDw.xyzw VF24, VF22, VF16w LQI VF22, (VI06++) ; +=CP*BTv
MULAx.xyzw ACC, VF19, VF16x LQI VF19, (VI06++) ; tmp3=CP*BTv
MADDAy.xyzw ACC, VF20, VF16y LQI VF20, (VI06++) ; +=CP*BTv
MADDAz.xyzw ACC, VF21, VF16z LQI VF21, (VI06++) ; +=CP*BTv
MADDw.xyzw VF25, VF22, VF16w LQI VF22, (VI06++) ; +=CP*BTv
MULAx.xyzw ACC, VF19, VF16x LQI VF19, (VI06++) ; tmp4=CP*BTv
MADDAy.xyzw ACC, VF20, VF16y LQI VF20, (VI06++) ; +=CP*BTv
MADDAz.xyzw ACC, VF21, VF16z LQI VF21, (VI06++) ; +=CP*BTv
MADDw.xyzw VF26, VF22, VF16w LQI VF22, (VI06++) ; +=CP*BTv
NOP IADDI VI01, VI00, 33
Lu:
NOP LQI VF17, (VI04++) ; load BTu
NOP NOP
NOP NOP
NOP NOP
MULAx.xyzw ACC, VF23, VF17x NOP ; = tmp1*BTu
MADDAy.xyzw ACC, VF24, VF17y NOP ; += tmp2*BTu
MADDAz.xyzw ACC, VF25, VF17z NOP ; += tmp3*BTu
MADDw.xyzw VF18, VF26, VF17w NOP ; += tmp4*BTu
NOP NOP
NOP NOP
NOP IADDI VI01, VI01, -1
NOP SQI VF18, (VI07++) ; store Data
NOP NOP
NOP IBNE VI01, VI00, Lu: ; loop
NOP NOP ; BDSlot
NOP JR (VI15) ; return
NOP NOP ; BDSlot
;--------------------------------------
; Optimized version
;--------------------------------------
; Lu: Loop unrolls twice and makes the load delay no longer visible.
; Therefore, the looping count is not 33 loops, but is instead 16 loops + epilog (for 1 loop).
SURF_O:
NOP LQI VF16, (VI05++) ; load BTv
NOP LQI VF19, (VI06++) ; load CP
NOP LQI VF20, (VI06++) ; load CP
NOP LQI VF21, (VI06++) ; load CP
NOP LQI VF22, (VI06++) ; load CP
MULAx.xyzw ACC, VF19, VF16x LQI VF19, (VI06++) ; tmp1=CP*BTv
MADDAy.xyzw ACC, VF20, VF16y LQI VF20, (VI06++) ; +=CP*BTv
MADDAz.xyzw ACC, VF21, VF16z LQI VF21, (VI06++) ; +=CP*BTv
MADDw.xyzw VF23, VF22, VF16w LQI VF22, (VI06++) ; +=CP*BTv
MULAx.xyzw ACC, VF19, VF16x LQI VF19, (VI06++) ; tmp2=CP*BTv
MADDAy.xyzw ACC, VF20, VF16y LQI VF20, (VI06++) ; +=CP*BTv
MADDAz.xyzw ACC, VF21, VF16z LQI VF21, (VI06++) ; +=CP*BTv
MADDw.xyzw VF24, VF22, VF16w LQI VF22, (VI06++) ; +=CP*BTv
MULAx.xyzw ACC, VF19, VF16x LQI VF19, (VI06++) ; tmp3=CP*BTv
MADDAy.xyzw ACC, VF20, VF16y LQI VF20, (VI06++) ; +=CP*BTv

SCE CONFIDENTIAL VU User's Manual Version 6.0
© SCEI
-329-
MADDAz.xyzw ACC, VF21, VF16z LQI VF21, (VI06++) ; +=CP*BTv
MADDw.xyzw VF25, VF22, VF16w LQI VF22, (VI06++) ; +=CP*BTv
MULAx.xyzw ACC, VF19, VF16x LQI VF17, (VI04++) ; tmp4.. ,ld BTu
MADDAy.xyzw ACC, VF20, VF16y NOP ; +=CP*BTv
MADDAz.xyzw ACC, VF21, VF16z IADDI VI07,VI07,-1 ; +=CP*BTv
MADDw.xyzw VF26, VF22, VF16w IADDI VI01,VI00,16 ; +=CP*BTv
Lu:
MULAx.xyzw ACC, VF23, VF17x LQI VF16, (VI04++) ; = tmp1*BTu
MADDAy.xyzw ACC, VF24, VF17y NOP ; += tmp2*BTu
MADDAz.xyzw ACC, VF25, VF17z IADDI VI01,VI01,-1 ; += tmp3*BTu
MADDw.xyzw VF18, VF26, VF17w SQI VF27, (VI07++) ; += tmp4*BTu
MULAx.xyzw ACC, VF23, VF16x LQI VF17, (VI04++) ; = tmp1*BTu
MADDAy.xyzw ACC, VF24, VF16y NOP ; += tmp2*BTu
MADDAz.xyzw ACC, VF25, VF16z IBNE VI01, VI00, Lu: ; loop
MADDw.xyzw VF27, VF26, VF16w SQI VF18, (VI07++) ; BDSlot
MULAx.xyzw ACC, VF23, VF17x NOP ; = tmp1*BTu
MADDAy.xyzw ACC, VF24, VF17y NOP ; += tmp2*BTu
MADDAz.xyzw ACC, VF25, VF17z NOP ; += tmp3*BTu
MADDw.xyzw VF18, VF26, VF17w SQI VF27, (VI07++) ; += tmp4*BTu
NOP* NOP*
NOP* NOP*
NOP JR (VI15) ; return
NOP SQI VF28, (VI07++) ; last store
Perspective conversion
This program performs perspective conversion to each vertex of the mesh.
;--------------------------------------------------------------------
; PRSP subroutine temporary register
; Floating point register
;VF16: ; Input vertex
;VF17: ; Vertex after coordinate conversion
;VF18: ; Output vertex
;VF19: ; Temporary for optimized version
; Integer register
;VI00: 0 register
;VI01: u counter (0 - 32)
;VI02: v counter (0 - 32)
;VI03: i counter (0 - 3)
;VI04: Input vertex pointer
;VI05: Output vertex pointer (Two dummies are written before this pointer in optimized version)
; :
;VI14: Stack pointer recommended
;VI15: Link register
; Coordinate conversion and perspective conversion (for 33 vertices)
;--------------------------------------
; Non-optimized version (for understanding the algorithms)
;--------------------------------------
PRSP:
MULw.w VF23w, VF01w, VF01w IADDI VI01, VI00, 33 ; VF23w=1
Lp: NOP LQI VF16, (VI04++) ; load V
NOP NOP
NOP NOP

SCE CONFIDENTIAL VU User's Manual Version 6.0
© SCEI
-330-
NOP NOP
MULAx.xyzw ACC, VF10, VF16x NOP
MADDAy.xyzw ACC, VF11, VF16y NOP
MADDAz.xyzw ACC, VF12, VF16z NOP
MADDw.xyzw VF17, VF13, VF16w NOP
NOP NOP
NOP NOP
NOP NOP
NOP DIV Q, VF00w, VF17w
NOP NOP
NOP NOP
NOP NOP
NOP NOP
NOP NOP
NOP NOP
MULq.xyz VF18, VF17, Q NOP
NOP NOP
NOP NOP
NOP IADDI VI01, VI01, -1
NOP SQI VF18, (VI05++)
NOP NOP
NOP IBNE VI01, VI00, Lp:
NOP NOP ; BDSlot
NOP JR (VI15) ; return
NOP NOP ; BDSlot
;--------------------------------------
; Optimized version
;--------------------------------------
PRSP_O:
MULw.w VF23w, VF01w, VF01w IADDI VI01, VI00, 33 ; VF23w=1
NOP LQI VF16, (VI04++) ; load V
NOP IADDI VI05, VI05, -2
NOP NOP
Lp: MULq.xyz VF18, VF19, Q DIV Q, VF00w, VF17w
MULAx.xyzw ACC, VF10, VF16x MOVE.xyzw VF19, VF17
MADDAy.xyzw ACC, VF11, VF16y NOP
MADDAz.xyzw ACC, VF12, VF16z IADDI VI01, VI01, -1
MADDw.xyzw VF17, VF13, VF16w LQI VF16, (VI04++) ; load V
NOP IBNE VI01, VI00, Lp:
NOP SQI VF18, (VI05++) ; BDSlot
MULq.xyz VF18, VF19, Q DIV Q, VF00w, VF17w
NOP MOVE.xyzw VF19, VF17
NOP* NOP*
NOP* NOP*
NOP SQI VF18, (VI05++)
NOP* NOP*
NOP WAITQ
MULq.xyz VF18, VF19, Q NOP
NOP* NOP*
NOP* NOP*
NOP JR (VI15) ; return
NOP SQI VF18, (VI05++) ; BDSlot

SCE CONFIDENTIAL VU User's Manual Version 6.0
© SCEI
-331-
Normalization
This program obtains the normal for each vertex according to the vector product of the vector to two adjoining
vertices, and normalizes it so that the length becomes 1.
;--------------------------------------------------------------------
; NORM subroutine temporary register
; Floating point register
;VF16: ; Input vertex 1
;VF17: ; Input vertex 2
;VF18: ; Input vertex 3
;VF19: ; Input vector 1
;VF20: ; Input vector 2
;VF21: ; Vector product results
;VF22: ; Vector product calculation temporary
;VF23: ; Output normal
;VF24: ; Temporary during optimization
;VF25: ; Temporary during optimization
;VF26: ; Temporary during optimization
; Integer register
;VI00: 0 register
;VI01: u counter (0 - 32)
;VI02: v counter (0 - 32)
;VI03: i counter (0 - 3)
;VI04: Input vertex pointer (previous column)
;VI05: Input vertex pointer (current column)
;VI06: Output normal pointer (Two dummies are written before this pointer in optimized version)
; :
;VI14: Stack pointer recommended
;VI15: Link register
; Normal calculation (for 33 vertices)
;--------------------------------------
; Non-optimized version (for understanding the algorithms)
;--------------------------------------
NORM:
MULw.w VF23w, VF01w, VF01w IADDI VI01, VI00, 33 ; VF23w=1
NOP IADDI VI01, VI01, -1
Ln: NOP LQ VF17, (VI04 + 1)
NOP LQI VF16, (VI04++)
NOP LQI VF18, (VI05++)
NOP NOP
NOP NOP
SUB.xyz VF19xyz, VF17xyz, VF16xyz NOP
SUB.xyz VF20xyz, VF18xyz, VF16xyz NOP
NOP NOP
NOP NOP
NOP NOP
OPMULA.xyz ACCxyz,VF19xyz,VF20xyz NOP
OPMSUB.xyz VF21xyz,VF19xyz,VF20xyz NOP
NOP NOP
NOP NOP
NOP NOP
MUL.xyz VF22xyz, VF21xyz, VF21xyz NOP
NOP NOP
NOP NOP
NOP NOP
ADDy.x VF22x, VF22x, VF22y NOP
NOP NOP

SCE CONFIDENTIAL VU User's Manual Version 6.0
© SCEI
-332-
NOP NOP
NOP NOP
ADDz.x VF22x, VF22x, VF22z NOP
NOP NOP
NOP NOP
NOP NOP
NOP RSQRT Q, VF00w, VF22x
NOP NOP
NOP NOP
NOP NOP
NOP NOP
NOP NOP
NOP NOP
NOP NOP
NOP NOP
NOP NOP
NOP NOP
NOP NOP
NOP NOP
MULq.xyz VF23xyz, VF21xyz, Q NOP
NOP NOP
NOP NOP
NOP IADDI VI01, VI01, -1
NOP SQI VF23, (VI06++)
NOP NOP
NOP IBNE VI01, VI00, Ln:
NOP NOP ; BDSlot
NOP JR (VI15) ; return
NOP NOP ; BDSlot
; Vertex that obtains the differential varies in the final normal.
NOP LQ VF17, (VI04 - 1) ;***
NOP LQI VF16, (VI04++)
NOP LQI VF18, (VI05++)
NOP NOP
NOP NOP
SUB.xyz VF19xyz, VF17xyz, VF16xyz NOP
SUB.xyz VF20xyz, VF18xyz, VF16xyz NOP
NOP NOP
NOP NOP
NOP NOP
OPMULA.xyz ACCxyz,VF20xyz,VF19xyz NOP ;***
OPMSUB.xyz VF21xyz,VF20xyz,VF19xyz NOP ;***
NOP NOP
NOP NOP
NOP NOP
MUL.xyz VF22xyz, VF21xyz, VF21xyz NOP
NOP NOP
NOP NOP
NOP NOP
ADDy.x VF22x, VF22x, VF22y NOP
NOP NOP
NOP NOP
NOP NOP
ADDz.x VF22x, VF22x, VF22z NOP
NOP NOP
NOP NOP
NOP NOP
NOP RSQRT Q, VF00w, VF22x
NOP NOP

SCE CONFIDENTIAL VU User's Manual Version 6.0
© SCEI
-333-
NOP NOP
NOP NOP
NOP NOP
NOP NOP
NOP NOP
NOP NOP
NOP NOP
NOP NOP
NOP NOP
NOP NOP
NOP NOP
MULq.xyz VF23xyz, VF21xyz, Q NOP
NOP NOP
NOP NOP
NOP IADDI VI01, VI01, -1
NOP SQI VF23, (VI06++)
NOP NOP
NOP IBNE VI01, VI00, Ln:
NOP NOP ; BDSlot
NOP JR (VI15) ; return
NOP NOP ; BDSlot
;--------------------------------------
; Optimized version (also performs texture coordinate calculations)
;--------------------------------------
NORM_TEXD:
MULw.w VF23w, VF01w, VF01w IADDI VI01, VI00,(33-2); VF23w=1
NOP LQ.xyzw VF17, (VI04 + 1)
NOP LQI.xyzw VF16, (VI04++)
NOP LQI.xyzw VF18, (VI05++)
NOP IADDI VI05, VI05, -3
NOP SQI XY, VF29, VI13
Ln: MULq.xyz VF23xyz, VF24xyz, Q RSQRT Q, VF00w, VF25x
SUB.xyz VF19xyz, VF17xyz, VF16xyz MOVE.xyzw VF24, VF26
SUB.xyz VF20xyz, VF18xyz, VF16xyz MOVE.xyzw VF26, VF21
ADDy.x VF22x, VF22x, VF22y IADDI VI01, VI01, -1
ADD.x VF29x, VF29x, VF30x SQI.xyzw VF23, (VI06++) ; TEXD
NOP NOP
OPMULA.xyz ACCxyz,VF19xyz,VF20xyz LQ.xyzw VF17, (VI04 + 1)
OPMSUB.xyz VF21xyz,VF19xyz,VF20xyz LQI.xyzw VF16, (VI04++)
ADDz.x VF25x, VF22x, VF22z SQI.xy VF29xy, (VI13++) ; TEXD
NOP LQI.xyzw VF18, (VI05++)
NOP NOP
MUL.xyz VF22xyz, VF21xyz, VF21xyz IBNE VI01, VI00, Ln:
NOP WAITQ ; BDSlot
; This is a gigantic epilog. The vertex that obtains the differential varies in the final normal.
; Expels 29 vertices, Q of 30 vertices, normalize of 31 vertices
; Vector product of 32 vertices, texture coordinates of 33 vertices
MULq.xyz VF23xyz, VF24xyz, Q RSQRT Q, VF00w, VF25x
SUB.xyz VF19xyz, VF17xyz, VF16xyz MOVE.xyzw VF24, VF26
SUB.xyz VF20xyz, VF18xyz, VF16xyz MOVE.xyzw VF26, VF21
ADDy.x VF22x, VF22x, VF22y NOP
ADD.x VF29x, VF29x, VF30x SQI.xyzw VF23, (VI06++) ; TEXD
NOP* NOP*
OPMULA.xyz ACCxyz,VF19xyz,VF20xyz LQ.xyzw VF17, (VI04 - 1)
OPMSUB.xyz VF21xyz,VF19xyz,VF20xyz LQI.xyzw VF16, (VI04++)
ADDz.x VF25x, VF22x, VF22z SQI.xy VF29xy, (VI13++) ; TEXD

SCE CONFIDENTIAL VU User's Manual Version 6.0
© SCEI
-334-
NOP LQI.xyzw VF18, (VI05++)
NOP* NOP*
MUL.xyz VF22xyz, VF21xyz, VF21xyz IADDI VI01, VI01, -1
NOP WAITQ
; Expels 30 vertices, Q of 31 vertices, normalize of 32 vertices
; Vector product of 33 vertices
MULq.xyz VF23xyz, VF24xyz, Q RSQRT Q, VF00w, VF25x
SUB.xyz VF19xyz, VF17xyz, VF16xyz MOVE.xyzw VF24, VF26
SUB.xyz VF20xyz, VF18xyz, VF16xyz MOVE.xyzw VF26, VF21
ADDy.x VF22x, VF22x, VF22y NOP
ADD.x VF29x, VF29x, VF30x SQI.xyzw VF23, (VI06++) ; TEXD
NOP* NOP*
OPMULA.xyz ACCxyz,VF19xyz,VF20xyz NOP
OPMSUB.xyz VF21xyz,VF19xyz,VF20xyz NOP
ADDz.x VF25x, VF22x, VF22z NOP
NOP NOP
NOP* NOP*
NOP* NOP*
MUL.xyz VF22xyz, VF21xyz, VF21xyz NOP
NOP WAITQ
; Expels 31 vertices, Q of 32 vertices, normalize of 33 vertices
MULq.xyz VF23xyz, VF24xyz, Q RSQRT Q, VF00w, VF25x
NOP MOVE.xyzw VF24, VF26
ADDy.x VF22x, VF22x, VF22y MOVE.xyzw VF26, VF21
NOP* NOP*
NOP SQI.xyzw VF23, (VI06++)
NOP* NOP*
ADDz.x VF25x, VF22x, VF22z NOP
NOP* NOP*
NOP* NOP*
NOP* NOP*
NOP* NOP*
NOP* NOP*
NOP WAITQ
; Expels 32 vertices, Q of 33 vertices
MULq.xyz VF23xyz, VF24xyz, Q RSQRT Q, VF00w, VF25x
NOP MOVE.xyzw VF24, VF26
NOP* NOP*
NOP* NOP*
NOP SQI.xyzw VF23, (VI06++)
NOP* NOP*
NOP* NOP*
NOP* NOP*
NOP* NOP*
NOP* NOP*
NOP* NOP*
NOP* NOP*
NOP WAIT
; Expels 33 vertices
MULq.xyz VF23xyz, VF24xyz, Q NOP
NOP* NOP*
NOP* NOP*
NOP JR (VI15) ; return
NOP SQI.xyzw VF23, (VI06++) ; BDSlot

SCE CONFIDENTIAL VU User's Manual Version 6.0
© SCEI
-335-
Parallel light source
This program obtains the color of each vertex from the light source color, the direction vector of the light
source, and the normal.
;--------------------------------------------------------------------
; LIGHT subroutine temporary register
; Floating point register
;VF16: ; Input normal
;VF17: ; cos (theta) 0, cos (theta) 1, cos (theta) 2, cos (theta) 3
;VF18: ; cos (theta)^ns temporary
;VF19: ; Output R, G, B
; Integer register
;VI00: 0 register
;VI01: u counter (0 - 32)
;VI02: v counter (0 - 32)
;VI03: i counter (0 - 3)
;VI04: Input normal pointer
;VI05: Output RGB pointer
;VI06: NS (=0, 1, 2, 4, ....)
; :
;VI13 :
;VI14: Stack pointer recommended
;VI15: Link register
; Illumination processing of parallel light source (for 33 vertices)
;--------------------------------------
; Non-optimized version (for understanding algorithms)
;--------------------------------------
LIGHT:
MULw.w VF23w, VF01w, VF01w IADDI VI01, VI00, 33 ; VF23w=1
Ll: NOP LQI VF16, (VI04++)
NOP IADDI VI06, VI00, NS
NOP NOP
NOP NOP
MULAx.xyzw ACC, VF02, VF16x NOP ; lighting
MADDAy.xyzw ACC, VF03, VF16y NOP ; calculate cos (theta)
MADDz.xyzw VF17, VF04, VF16z NOP
NOP NOP
NOP NOP
NOP NOP
MAXx.xyzw VF17, VF17, VF14x NOP ; clipping MINI=0
NOP NOP
NOP NOP
MUL.xyzw VF18, VF01, VF01 NOP ; VF18=(1,1,1,1)
Lns:
MUL.xyzw VF18, VF18, VF17 IADDI VI06, VI06, -1 ; cos(theta)^(1,2,4,8,...)
NOP NOP
NOP IBNE VI06, VI00, Lns:
NOP NOP ; BDSlot
MULAy.xyzw ACC, VF09, VF00w NOP ; Ra, Ga, Ba
MADDAx.xyzw ACC, VF05, VF18x NOP ; R0,G0,B0*cos(theta)^NS
MADDAy.xyzw ACC, VF06, VF18y NOP ; R1,G1,B1*cos(theta)^NS
MADDAz.xyzw ACC, VF07, VF18z NOP ; R2,G2,B2*cos(theta)^NS
MADDw.xyzw VF19, VF08, VF18w NOP ; R3,G3,B3*cos(theta)^NS
NOP NOP
NOP NOP
NOP NOP

SCE CONFIDENTIAL VU User's Manual Version 6.0
© SCEI
-336-
MINIy.xyzw VF19, VF19, VF14y NOP ; clipping MAX=255
NOP NOP
NOP NOP
NOP IADDI VI01, VI01, -1
NOP SQI VF19, (VI05++)
NOP NOP
NOP IBNE VI01, VI00, Ll:
NOP NOP ; BDSlot
NOP JR (VI15) ; return
NOP NOP ; BDSlot
;--------------------------------------
; Optimized version
;--------------------------------------
LIGHT_O:
MULw.w VF23w, VF01w, VF01w IADDI VI01, VI00, 33 ; VF23w=1
NOP IADDI VI05 VI05 -1
Ll:
MULAy.xyzw ACC, VF09, VF00w LQI VF16, (VI04++) ; Ra, Ga, Ba
MADDAx.xyzw ACC, VF05, VF18x NOP ; R0,G0,B0*cos(theta)^NS
MADDAy.xyzw ACC, VF06, VF18y NOP ; R1,G1,B1*cos(theta)^NS
MADDAz.xyzw ACC, VF07, VF18z NOP ; R2,G2,B2*cos(theta)^NS
MADDw.xyzw VF19, VF08, VF18w NOP ; R3,G3,B3*cos(theta)^NS
MULAx.xyzw ACC, VF02, VF16x NOP ; lighting
MADDAy.xyzw ACC, VF03, VF16y NOP ; calculate cos (theta)
MADDz.xyzw VF17, VF04, VF16z NOP
MINIy.xyzw VF19, VF19, VF14y NOP ; clipping MAX=255
NOP* NOP*
NOP* NOP*
MAXx.xyzw VF17, VF17, VF14x NOP ; clipping MINI=0
NOP SQI VF19, (VI05++)
NOP* NOP*
MUL.xyzw VF18, VF01, VF01 IADDI VI01, VI01, -1 ; VF18=(1,1,1,1)
Lns:
MUL.xyzw VF18, VF18, VF17 IADDI VI06, VI06, -1 ; cos(theta)^(1,2,4,8,...)
NOP NOP
NOP IBNE VI06, VI00, Lns:
NOP NOP ; BDSlot
NOP IBNE VI01, VI00, Ll:
NOP NOP ; BDSlot
MULAy.xyzw ACC, VF09, VF00w NOP ; Ra, Ga, Ba
MADDAx.xyzw ACC, VF05, VF18x NOP ; R0,G0,B0*cos (theta)^NS
MADDAy.xyzw ACC, VF06, VF18y NOP ; R1,G1,B1*cos (theta)^NS
MADDAz.xyzw ACC, VF07, VF18z NOP ; R2,G2,B2*cos (theta)^NS
MADDw.xyzw VF19, VF08, VF18w NOP ; R3,G3,B3*cos (theta)^NS
NOP* NOP*
NOP* NOP*
NOP* NOP*
MINIy.xyzw VF19, VF19, VF14y NOP ; clipping MAX=255
NOP* NOP*
NOP* NOP*
NOP JR (VI15) ; return
NOP SQI VF19, (VI05++) ; BDSlot

SCE CONFIDENTIAL VU User's Manual Version 6.0
© SCEI
-337-
Point light source
This program obtains the color of each vertex from the light source color, light source position, and the normal.
;--------------------------------------------------------------------
; LIGHTP subroutine temporary register
In the case of point light source, there are coordinates for four point light sources:
VF02: L0x L0y L0z - ; Light source coordinate 0
VF03: L1x L1y L1z - ; Light source coordinate 1
VF04: L2x L2y L2z - ; Light source coordinate 2
VF15: L3x L3y L3z - ; Light source coordinate 3
; Floating point register
;VF16: ; Input normal
;VF17: ; cos (theta) 0, cos (theta) 1, cos (theta) 2, cos (theta) 3
;VF18: ; cos(theta)^ns temporary
;VF19: ; Output R, G, B
;VF20: ; Input vetex coordinates
;VF21: ; Light source vector temporary
;VF22: ; Light source vector temporary
;VF23: ; Light source vector temporary
;VF24: ; Light source vector temporary
;VF25: ; Light source vector temporary 2
;VF26: ; Light source vector temporary 2
;VF27: ; Light source vector temporary 2
;VF28: ; Light source vector temporary 2
;VF29: ; 1/ri
; Integer register
;VI00: 0 register
;VI01: u counter (0 - 32)
;VI02: v counter (0 - 32)
;VI03: i counter (0 - 3)
;VI04: Input normal pointer
;VI05: Output RGB pointer
;VI06: NS (=0, 1, 2, 4, ....)
;VI07: Input vertex pointer
; :
;VI13:
;VI14: Stack pointer recommended
;VI15: Link register
; Illumination processing of point light source (for 33 vertices)
;--------------------------------------
; Non-optimized version (for understanding algorithms)
;--------------------------------------
LIGHTP:
MULw.w VF23w, VF01w, VF01w IADDI VI01, VI00, 33 ; VF23w=1
Ll:
NOP LQI VF20, (VI07++)
NOP IADDI, VI06, VI00, NS
NOP NOP
NOP NOP
SUB.xyzw VF21, VF02, VF20 NOP ; L0: calc lx, ly, lz
SUB.xyzw VF22, VF03, VF20 NOP ; L1: calc lx, ly, lz
SUB.xyzw VF23, VF04, VF20 NOP ; L2: calc lx, ly, lz
SUB.xyzw VF24, VF15, VF20 NOP ; L3: calc lx, ly, lz
MUL.xyzw VF25, VF21, VF21 NOP ; L0: lx^2, ly^2, lz^2
MUL.xyzw VF26, VF22, VF22 NOP ; L1: lx^2, ly^2, lz^2

SCE CONFIDENTIAL VU User's Manual Version 6.0
© SCEI
-338-
MUL.xyzw VF27, VF23, VF23 NOP ; L2: lx^2, ly^2, lz^2
MUL.xyzw VF28, VF24, VF24 NOP ; L3: lx^2, ly^2, lz^2
MULAx.x ACCx, VF21x, VF21x NOP ; L0: lx^2
MADDAy.x ACCx, VF01x, VF25y NOP ; L0: lx^2+ly^2
MADDz.x VF25x, VF01x, VF25z NOP ; L0: lx^2+ly^2+lz^2
MULAx.x ACCx, VF22x, VF22x NOP ; L1: lx^2
MADDAy.x ACCx, VF01x, VF26y NOP ; L1: lx^2+ly^2
MADDz.x VF26x, VF01x, VF26z NOP ; L1: lx^2+ly^2+lz^2
MULAx.x ACCx, VF23x, VF23x NOP ; L2: lx^2
MADDAy.x ACCx, VF01x, VF27y NOP ; L2: lx^2+ly^2
MADDz.x VF27x, VF01x, VF27z NOP ; L2: lx^2+ly^2+lz^2
MULAx.x ACCx, VF24x, VF24x NOP ; L3: lx^2
MADDAy.x ACCx, VF01x, VF28y NOP ; L3: lx^2+ly^2
MADDz.x VF28x, VF01x, VF28z NOP ; L3: lx^2+ly^2+lz^2
NOP RSQRT Q, VF25x ; L0
NOP NOP
NOP NOP
NOP NOP
NOP NOP
NOP NOP
NOP NOP
NOP NOP
NOP NOP
NOP NOP
NOP NOP
NOP NOP
NOP NOP
MULq.x VF29x, VF01x, Q NOP ; L0: move Q
NOP NOP
NOP NOP
NOP NOP
MULz.xyz VF23xyz, VF23xyz, VF29z NOP ; L2: normalize
NOP NOP
NOP NOP
NOP NOP
MULx.z VF25z, VF01z, VF23x NOP ; L2: transpose
MULy.z VF26z, VF01z, VF23y NOP ; L2: transpose
MULz.z VF27z, VF01z, VF23z NOP ; L2: transpose
NOP NOP
NOP NOP
NOP RSQRT Q, VF26x ; L1
NOP NOP
NOP NOP
NOP NOP
NOP NOP
NOP NOP
NOP NOP
NOP NOP
NOP NOP
NOP NOP
NOP NOP
NOP NOP
NOP NOP

SCE CONFIDENTIAL VU User's Manual Version 6.0
© SCEI
-339-
MULq.y VF29y, VF01y, Q NOP ; L1: move Q
NOP NOP
NOP NOP
NOP NOP
MULy.xyz VF22xyz, VF22xyz, VF29y NOP ; L1: normalize
NOP NOP
NOP NOP
NOP NOP
MULx.y VF25y, VF01y, VF22x NOP ; L1: transpose
MULy.y VF26y, VF01y, VF22y NOP ; L1: transpose
MULz.y VF27y, VF01y, VF22z NOP ; L1: transpose
NOP NOP
NOP NOP
NOP RSQRT Q, VF27x ; L2
NOP NOP
NOP NOP
NOP NOP
NOP NOP
NOP NOP
NOP NOP
NOP NOP
NOP NOP
NOP NOP
NOP NOP
NOP NOP
NOP NOP
MULq.z VF29z, VF01z, Q NOP ; L2: move Q
NOP NOP
NOP NOP
NOP NOP
MULx.xyz VF21xyz, VF21xyz, VF29x NOP ; L0: normalize
NOP NOP
NOP NOP
NOP NOP
MULx.x VF25x, VF01x, VF21x NOP ; L0: transpose
MULy.x VF26x, VF01x, VF21y NOP ; L0: transpose
MULz.x VF27x, VF01x, VF21z NOP ; L0: transpose
NOP NOP
NOP NOP
NOP RSQRT Q, VF28x ; L3
NOP NOP
NOP NOP
NOP NOP
NOP NOP
NOP NOP
NOP NOP
NOP NOP
NOP NOP
NOP NOP
NOP NOP
NOP NOP
NOP NOP
MULq.w VF29w, VF01w, Q NOP ; L3: move Q
NOP NOP
NOP NOP
NOP NOP
MULw.xyz VF24xyz, VF24xyz, VF29w NOP ; L3: normalize

SCE CONFIDENTIAL VU User's Manual Version 6.0
© SCEI
-340-
NOP NOP
NOP NOP
NOP NOP
MULx.w VF25w, VF01w, VF24x NOP ; L3: transpose
MULy.w VF26w, VF01w, VF24y NOP ; L3: transpose
MULz.w VF27w, VF01w, VF24z NOP ; L3: transpose
MULw.xyzw VF29, VF29, VF09w NOP ; 1.ri * r0
NOP NOP
NOP NOP
NOP NOP
MULw.xyzw VF29, VF29, VF29 NOP; (r0/ri)^2
NOP NOP
NOP NOP
NOP NOP
MINIy.xyzw VF29, VF29, VF00w NOP; (r0/ri)^2>1 ? 1: (r0/ri)^2
NOP NOP
NOP NOP
NOP NOP
MULx.xyzw VF21, VF05, VF29x NOP; R0,G0,B0*(r0/ri)^2
MULx.xyzw VF22, VF06, VF29y NOP ;R1,G1,B1*(r0/ri)^2
MULx.xyzw VF23, VF07, VF29z NOP; R2,G2,B2*(r0/ri)^2
MULx.xyzw VF24, VF08, VF29w NOP; R3,G3,B3*(r0/ri)^2
NOP LQI VF16, (VI04++)
NOP NOP
NOP NOP
NOP NOP
MULAx.xyzw ACC, VF25, VF16x NOP ; lighting
MADDAy.xyzw ACC, VF26, VF16y NOP ; calculate cos(theta)
MADDz.xyzw VF17, VF27, VF16z NOP
NOP NOP
NOP NOP
NOP NOP
MAXx.xyzw VF17, VF17, VF14y NOP ; clipping MINI=0
NOP NOP
NOP NOP
MUL.xyzw VF18, VF01, VF01 NOP ; VF18=(1,1,1,1)
Lns:
MUL.xyzw VF18, VF18, VF17 IADDI VI06, VI06, -1 ; cos(theta)^(1,2,4,8,...)
NOP NOP
NOP IBNE VI06, VI00, Lns:
NOP NOP ; BDSlot
MULAy.xyzw ACC, VF09, VF00w NOP ; Ra, Ga, Ba
MADDAx.xyzw ACC, VF21, VF18x NOP ; R0,G0,B0*cos(theta)^NS
MADDAy.xyzw ACC, VF22, VF18y NOP ; R1,G1,B1*cos(theta)^NS
MADDAz.xyzw ACC, VF23, VF18z NOP ; R2,G2,B2*cos(theta)^NS
MADDw.xyzw VF19, VF24, VF18w NOP ; R3,G3,B3*cos(theta)^NS
NOP NOP
NOP NOP
NOP NOP
MINIy.xyzw VF19, VF19, VF14x NOP ; clipping MAX=255
NOP NOP
NOP NOP
NOP IADDI VI01, VI01, -1
NOP SQI VF19, (VI05++)
NOP NOP

SCE CONFIDENTIAL VU User's Manual Version 6.0
© SCEI
-341-
NOP IBNE VI01, VI00, Ll:
NOP NOP ; BDSlot
NOP JR (VI15) ; return
NOP NOP ; BDSlot
;Illumination processing of point light source (for 33 vertices)
;----------------
;Optimized version
;----------------
LIGHTP_O:
NOP LQI VF20, (VI07++)
MULw.w VF23w, VF01w, VF01w IADDI VI01, VI00, 33; VF23w=1
NOP IADDI VI05, VI05, -1
NOP NOP
Ll:
SUB.xyzw VF21, VF02, VF20 IADDI VI06,VI00,NS; L0: calc lx,ly,lz
SUB.xyzw VF22, VF03, VF20 NOP; L1: calc lx, ly, lz
SUB.xyzw VF23, VF04, VF20 NOP; L2: calc lx, ly, lz
SUB.xyzw VF24, VF15, VF20 NOP; L3: calc lx, ly, lz
MUL.xyzw VF25, VF21, VF21 NOP; L0: lx^2, ly^2, lz^2
MULAx.x ACCx, VF21x, VF21x NOP; L0: lx^2
MADDAy.x ACCx, VF01x, VF25y NOP; L0: lx^2+ly^2
MADDz.x VF25x, VF01x, VF25z NOP; L0: lx^2+ly^2+lz^2
MUL.xyzw VF26, VF22, VF22 NOP; L1: lx^2, ly^2, lz^2
MUL.xyzw VF27, VF23, VF23 NOP; L2: lx^2, ly^2, lz^2
MUL.xyzw VF28, VF24, VF24 NOP; L3: lx^2, ly^2, lz^2
MULAx.x ACCx, VF22x, VF22x RSQRT Q, VF25x; L1: lx^2,L0: 1/square root
MADDAy.x ACCx, VF01x, VF26y NOP; L1: lx^2+ly^2
MADDz.x VF26x, VF01x, VF26z NOP; L1: lx^2+ly^2+lz^2
MULAx.x ACCx, VF23x, VF23x NOP; L2: lx^2
MADDAy.x ACCx, VF01x, VF27y NOP; L2: lx^2+ly^2
MADDz.x VF27x, VF01x, VF27z NOP; L2: lx^2+ly^2+lz^2
MULAx.x ACCx, VF24x, VF24x NOP; L3: lx^2
MADDAy.x ACCx, VF01x, VF28y NOP; L3: lx^2+ly^2
MADDz.x VF28x, VF01x, VF28z NOP; L3: lx^2+ly^2+lz^2
MINIy.xyzw VF19, VF19, VF14x NOP; result: clipping MAX=255
NOP* NOP*
NOP* NOP*
NOP* NOP*
MULq.x VF29x, VF01x, Q RSQRT Q, VF26x; L0: moveQ,L1: 1/square root
NOP SQI VF19, (VI05++); store result***
NOP* NOP*
NOP* NOP*
MULx.xyz VF21xyz, VF21xyz, VF29x NOP; L0 normalize
NOP* NOP*
NOP* NOP*
NOP* NOP*
MULx.x VF25x, VF01x, VF21x NOP; L0: transpose
MULy.x VF26x, VF01x, VF21y NOP; L0: transpose
MULz.x VF27x, VF01x, VF21z NOP; L0: transpose
NOP* NOP*
NOP* NOP*
MULq.y VF29y, VF01y, Q RSQRT Q, VF27x; L1: moveQ,L2: 1/squre root

SCE CONFIDENTIAL VU User's Manual Version 6.0
© SCEI
-342-
NOP* NOP*
NOP* NOP*
NOP* NOP*
MULy.xyz VF22xyz, VF22xyz, VF29y NOP; L1: normalize
NOP* NOP*
NOP* NOP*
NOP* NOP*
MULx.y VF25y, VF01y, VF22x NOP; L1: transpose
MULy.y VF26y, VF01y, VF22y NOP; L1: transpose
MULz.y VF27y, VF01y, VF22z NOP; L1: transpose
NOP* NOP*
NOP* NOP*
MULq.z VF29z, VF01z, Q RSQRT Q, VF28x; L2: moveQ,L3: 1/square root
NOP* NOP*
NOP* NOP*
NOP* NOP*
MULz.xyz VF23xyz, VF23xyz, VF29z NOP; L2: normalize
NOP* NOP*
NOP* NOP*
NOP* NOP*
MULx.z VF25z, VF01z, VF23x NOP; L2: transpose
MULy.z VF26z, VF01z, VF23y NOP; L2: transpose
MULz.z VF27z, VF01z, VF23z NOP; L2: transpose
NOP* NOP*
NOP* NOP*
MULq.w VF29w, VF01w, Q NOP; L3: move Q
NOP* NOP*
NOP* NOP*
NOP* NOP*
MULw.xyzw VF29, VF29, VF09w NOP; 1/ri * r0
MULq.xyz VF24xyz, VF24xyz, Q NOP; L3: normalize
NOP* NOP*
NOP* NOP*
MULw.xyzw VF29, VF29, VF29 NOP; (r0/ri)^2
MULx.w VF25w, VF01w, VF24x NOP; L3: transpose
MULy.w VF26w, VF01w, VF24y NOP; L3: transpose
MULz.w VF27w, VF01w, VF24z LQI VF16, (VI04++); L3: transpose
MINIy.xyzw VF29, VF29, VF00y NOP; (r0/ri)^2>1 ? 1: (r0/ri)^2
NOP* NOP*
NOP* NOP*
MUL.xyzw VF18, VF01, VF01 NOP ; VF18=(1,1,1,1)
MULAx.xyzw ACC, VF25, VF16x NOP ; lighting
MADDAy.xyzw ACC, VF26, VF16y NOP ; calculate cos (theta)
MADDz.xyzw VF17, VF27, VF16z NOP
MULx.xyzw VF21, VF05, VF29x NOP; R0,G0,B0*(r0/ri)^2
MULx.xyzw VF22, VF06, VF29y NOP; R1,G1,B1*(r0/ri)^2
MULx.xyzw VF23, VF07, VF29z NOP; R2,G2,B2*(r0/ri)^2
MAXx.xyzw VF17, VF17, VF14y NOP ; clipping MINI=0
MULx.xyzw VF24, VF08, VF29w NOP; R3,G3,B3*(r0/ri)^2
NOP LQI VF20, (VI07++)
NOP IADDI VI01,VI01,-1
Lns:
MUL.xyzw VF18, VF18, VF17 IADDI VI06,VI06,-1;
NOP NOP
NOP IBNE VI06,VI00,Lns;

SCE CONFIDENTIAL VU User's Manual Version 6.0
© SCEI
-343-
MULAw.xyzw ACC, VF09, VF00w NOP
MADDAx.xyzw ACC, VF21, VF18x NOP
MADDAy.xyzw ACC, VF22, VF18y NOP
MADDAz.xyzw ACC, VF23, VF18z IBNE VI01,VI00,Ll;
MADDw.xyzw VF19, VF24, VF18w NOP
NOP* NOP*
NOP* NOP*
NOP* NOP*
MINIy.xyzw VF19, VF19, VF14x NOP ; clipping MAX=255
NOP* NOP*
NOP* NOP*
NOP JR (VI15) ; return
NOP SQI VF19, (VI05++) ; BDSlot
Texture coordinates partitioning
This program obtains the coordinate values of the texture for each vertex.
;--------------------------------------------------------------------
;TEXD subroutine temporary register
;Floating point register
VF29: u_0 v_0 - - ; Texture coordinates temporary memory
VF30: Delta u Delta v - -; Texture coordinates Delta
;Integer register
;VI00: 0 register
;VI01: u counter (0 - 32)
;VI02: v counter (0 - 32)
;VI03: i counter (0 - 3)
; :
;VI13: Output RGB pointer
;VI14: Stack pointer recommended
;VI15: Link register
;Texture coordinates partitioning (for 33 vertices)
;--------------------------------------
;Non-optimized version (for understanding algorithms)
;--------------------------------------
TEXD:
NOP IADDI VI01, VI00, 33
Lt: ADD.x VF29x, VF29x, VF30x NOP
NOP NOP
NOP NOP
NOP IADDI VI01, VI01, -1
NOP SQI.xy VF29xy, (VI13++)
NOP NOP
NOP IBNE VI01, VI00, Lt:
NOP NOP ; BDSlot
ADD.y VF29y, VF29y, VF30y LQ.x VF29x, (VI00, #pTEX)
NOP JR (VI15) ; return
NOP NOP ; BDSlot
;--------------------------------------
;Optimized version
;--------------------------------------
;Is positioned so there is no conflict with the register and is embedded inside the NORM routine.

SCE CONFIDENTIAL VU User's Manual Version 6.0
© SCEI
-344-
;--------------------------------------------------------------------
;OUTP subroutine temporary register
;Floating point register
;VF16: -
;VF17: -
;VF18: -
;VF19: -
;VF20: -
;VF21: -
;VF22: -
;VF23: -
;VF24: ; Input vertex coordinate 0
;VF25: ; Input texture coordinate 0
;VF26: ; Input RGB 0
;VF27: ; Input vertex coordinate 1
;VF28: ; Input texture coordinate 1
;VF29: ; Input RGB 1
;Integer register
;VI00: 0 register
;VI01: u counter (0 - 32)
;VI02: v counter (0 - 32)
;VI03: i counter (0 - 3)
;VI04: Input vertex coordinate 0 pointer
;VI05: Input vertex coordinate 1 pointer
;VI06: Input texture coordinate 0 pointer
;VI07: Input texture coordinate 1 pointer
;VI08: Input RGB0 pointer
;VI09: Input RGB1 pointer
;VI10: Output pointer (output by strip triangle)
;VI11: -
;VI12: -
;VI13: -
;VI14: Stack pointer recommended
;VI15: Link register
;Consecutive polygon/strip triangle output (33 vertices)
;--------------------------------------
;Non-optimized version (for understanding algorithms)
;--------------------------------------
OUTP:
NOP IADDI VI01, VI00, 33
Lo: NOP IADDI VI01, VI01, -1
NOP LQI VF24, (VI04++)
NOP LQI VF25, (VI06++)
NOP LQI VF26, (VI08++)
NOP LQI VF27, (VI05++)
NOP LQI VF28, (VI07++)
NOP LQI VF29, (VI09++)
NOP SQI VF24, (VI10++)
NOP SQI VF25, (VI10++)
NOP SQI VF26, (VI10++)
NOP SQI VF27, (VI10++)
NOP SQI VF28, (VI10++)
NOP IBNE VI01, VI00, Lo:
NOP SQI VF29, (VI10++) ; BDSlot
NOP JR (VI15) ; return
NOP NOP ; BDSlot

SCE CONFIDENTIAL VU User's Manual Version 6.0
© SCEI
-345-
;--------------------------------------
;Optimized version
;--------------------------------------
; Same as above
Displacement Mapping
This program adds offsets, which vary from vertex to vertex, to the coordinate values of respective vertices.
The arrangement of the above offset values is called displacement, and is given by input displacement table.
;--------------------------------------------------------------------
;DISP subroutine temporary register
;Floating point register
;VF16: ; Input displacement data
;VF17: ; Input vertex coordinate 0
;VF18: ; Input normal vector 0
;VF19: ; Input vertex coordinate 1
;VF20: ; Input normal vector 1
;VF21: ; Output vertex coordinate 0
;VF22: ; Output vertex coordinate 1
;Integer register
;VI00: 0 register
;VI01: u counter (0 - 32)
;VI02: v counter (0 - 32)
;VI03: i counter (0 - 3)
;VI04: Input vertex coordinate pointer
;VI05: Input normal pointer
;VI06: Input displacement table pointer
;VI07: Output vertex coordinate pointer
; :
;VI13 :
;VI14: Stack pointer recommended
;VI15: Link register
;Table displacement mapping (33 vertices)
; It is assumed that the displacement data is continuous in the x, y, z, w fields.
; Eight loops are invoked by 32/4. The final vertex is calculated outside the loop.
;--------------------------------------
;Non-optimized version (for understanding the algorithms)
;--------------------------------------
DISP:
NOP IADDI VI01, VI00, 8
Ld: NOP LQI VF16, (VI06++)
NOP LQI VF17, (VI04++)
NOP LQI VF18, (VI05++)
NOP NOP
NOP NOP
MULA.xyzw ACC, VF01, VF17 NOP
MADDx.xyzw VF21, VF18, VF16x NOP
NOP NOP
NOP NOP
NOP NOP
NOP SQI VF21, (VI07++)
NOP LQI VF19, (VI04++)
NOP LQI VF20, (VI05++)
NOP NOP
NOP NOP
MULA.xyzw ACC, VF01, VF19 NOP

SCE CONFIDENTIAL VU User's Manual Version 6.0
© SCEI
-346-
MADDy.xyzw VF22, VF20, VF16y NOP
NOP NOP
NOP NOP
NOP NOP
NOP SQI VF22, (VI07++)
NOP LQI VF17, (VI04++)
NOP LQI VF18, (VI05++)
NOP NOP
NOP NOP
MULA.xyzw ACC, VF01, VF17 NOP
MADDz.xyzw VF21, VF18, VF16z NOP
NOP NOP
NOP NOP
NOP NOP
NOP SQI VF21, (VI07++)
NOP LQI VF19, (VI04++)
NOP LQI VF20, (VI05++)
NOP NOP
NOP NOP
MULA.xyzw ACC, VF01, VF19 NOP
MADDw.xyzw VF22, VF20, VF16w NOP
NOP NOP
NOP NOP
NOP IADDI VI01, VI01, -1
NOP SQI VF22, (VI07++)
NOP NOP
NOP IBNE VI01, VI00, Ld:
NOP NOP ; BDSlot
NOP LQI VF16, (VI06++)
NOP LQI VF17, (VI04++)
NOP LQI VF18, (VI05++)
NOP NOP
NOP NOP
MULA.xyzw ACC, VF01, VF17 NOP
MADDx.xyzw VF21, VF18, VF16x NOP
NOP NOP
NOP NOP
NOP NOP
NOP SQI VF21, (VI07++)
NOP JR (VI15) ; return
NOP NOP ; BDSlot
;--------------------------------------
;Optimized version
;--------------------------------------
DISP_O:
NOP IADDI VI01, VI00, 8
NOP LQI VF16, (VI06++)
Ld: NOP LQI VF17, (VI04++)
NOP LQI VF18, (VI05++)
NOP LQI VF19, (VI04++)
NOP LQI VF20, (VI05++)
MULA.xyzw ACC, VF01, VF17 LQI VF17, (VI04++)

SCE CONFIDENTIAL VU User's Manual Version 6.0
© SCEI
-347-
MADDx.xyzw VF21, VF18, VF16x LQI VF18, (VI05++)
MULA.xyzw ACC, VF01, VF19 LQI VF19, (VI04++)
MADDy.xyzw VF22, VF20, VF16y LQI VF20, (VI05++)
MULA.xyzw ACC, VF01, VF17 NOP
MADDz.xyzw VF21, VF18, VF16z SQI VF21, (VI07++)
MULA.xyzw ACC, VF01, VF19 IADDI VI01, VI01, -1
MADDw.xyzw VF22, VF20, VF16w SQI VF22, (VI07++)
NOP LQI VF16, (VI06++)
NOP SQI VF21, (VI07++)
NOP IBNE VI01, VI00, Ld:
NOP SQI VF22, (VI07++) ; BDSlot
NOP LQI VF17, (VI04++)
NOP LQI VF18, (VI05++)
NOP* NOP*
NOP* NOP*
MULA.xyzw ACC, VF01, VF17 NOP
MADDx.xyzw VF21, VF18, VF16x NOP
NOP* NOP*
NOP* NOP*
NOP JR (VI15) ; return
NOP SQI VF21, (VI07++) ; BDSlot
Random number displacement mapping
This subroutine obtains the displacement value from random numbers, not from the table.
;--------------------------------------------------------------------
;DISPR subroutine temporary register
;Floating point register
;VF16: ; Input displacement data
;VF17: ; Input vertex coordinate 0
;VF18: ; Input normal vector 0
;VF19: ; Input vertex coordinate 1
;VF20: ; Input normal vector 1
;VF21: ; Output vertex coordinate 0
;VF22: ; Output vertex coordinate 1
;Integer register
;VI00: 0 register
;VI01: u counter (0 - 32)
;VI02: v counter (0 - 32)
;VI03: i counter (0 - 3)
;VI04: Input vertex coordinate pointer
;VI05: Input normal pointer
;VI06: Input displacement table pointer
;VI07: Output vertex coordinate pointer
; :
;VI13:
;VI14: Stack pointer recommended
;VI15: Link register
;Random number displacement mapping (33 vertices)
; Random numbers are created by the RNEXT instruction within the range +1.0 to +2.0.
; Scaling to 0 - MR by RNEXT(1 - 2) x MR - MR.
; Eight loops are invoked by 32/4 and the final vertex is calculated outside the loop.
;Non-optimized version (for understanding algorithms)
;--------------------------------------
DISPR:

SCE CONFIDENTIAL VU User's Manual Version 6.0
© SCEI
-348-
;--------------------------------------
NOP IADDI VI01, VI00, 8
Lr:
NOP RNEXT VF16x
NOP NOP
NOP NOP
NOP NOP
MULAw.x ACCx, VF16x, VF14w LQI VF17, (VI04++); Rnad x MR
MSUBw.x VF16x, VF01x, VF14w LQI VF18, (VI05++); RNEXT x MR – MR
NOP NOP
NOP NOP
MULA.xyzw ACC, VF01, VF17 NOP
MADDx.xyzw VF21, VF18, VF16x NOP
NOP NOP
NOP NOP
NOP NOP
NOP SQI VF21, (VI07++)
NOP RNEXT VF16y
NOP NOP
NOP NOP
NOP NOP
MULAw.y ACCy, VF16y, VF14w LQI VF19, (VI04++); Rnad x MR
MSUBw.y VF16y, VF01y, VF14w LQI VF20, (VI05++); RNEXT x MR – MR
NOP NOP
NOP NOP
MULA.xyzw ACC, VF01, VF19 NOP
MADDy.xyzw VF22, VF20, VF16y NOP
NOP NOP
NOP NOP
NOP NOP
NOP SQI VF22, (VI07++)
NOP RNEXT VF16z
NOP NOP
NOP NOP
NOP NOP
MULAw.z ACCz, VF16z, VF14w LQI VF17, (VI04++); Rnad x MR
MSUBw.z VF16z, VF01z, VF14w LQI VF18, (VI05++); RNEXT x MR – MR
NOP NOP
NOP NOP
MULA.xyzw ACC, VF01, VF17 NOP
MADDz.xyzw VF21, VF18, VF16z NOP
NOP NOP
NOP NOP
NOP NOP
NOP SQI VF21, (VI07++)
NOP RNEXT VF16w
NOP NOP
NOP NOP
NOP NOP
MULAw.w ACCw, VF16w, VF14w LQI VF19, (VI04++); Rnad x MR
MSUBw.w VF16w, VF01w, VF14w LQI VF20, (VI05++); RNEXT x MR – MR
NOP NOP
NOP NOP
MULA.xyzw ACC, VF01, VF19 NOP
MADDw.xyzw VF22, VF20, VF16w NOP

SCE CONFIDENTIAL VU User's Manual Version 6.0
© SCEI
-349-
NOP NOP
NOP NOP
NOP IADDI VI01, VI01, -1
NOP SQI VF22, (VI07++)
NOP NOP
NOP IBNE VI01, VI00, Lr:
NOP NOP ; BDSlot
NOP RNEXT VF16x
NOP NOP
NOP NOP
NOP NOP
MULAw.x ACCx, VF16x, VF14w LQI VF17, (VI04++)
MSUBw.x VF16x, VF01x, VF14w LQI VF18, (VI05++)
NOP NOP
NOP NOP
MULA.xyzw ACC, VF01, VF17 NOP
MADDx.xyzw VF21, VF18, VF16x NOP
NOP NOP
NOP NOP
NOP NOP
NOP SQI VF21, (VI07++)
NOP JR (VI15) ; return
NOP NOP ; BDSlot
;--------------------------------------
;Optimized version
;--------------------------------------
DISPR_O:
NOP IADDI VI01, VI00, 8
NOP LQI VF16, (VI06++)
NOP RNEXT VF16x
NOP* NOP*
NOP RNEXT VF16y
NOP* NOP*
lr: MULAw.x ACCx, VF16x, VF14w LQI VF17, (VI04++)
MSUBw.x VF16x, VF01x, VF14w LQI VF18, (VI05++)
MULAw.y ACCy, VF16y, VF14w LQI VF19, (VI04++)
MSUBw.y VF16y, VF01y, VF14w LQI VF20, (VI05++)
MULA.xyzw ACC, VF01, VF17 RNEXT VF16z
MADDx.xyzw VF21, VF18, VF16x NOP
MULA.xyzw ACC, VF01, VF19 RNEXT VF16w
MADDy.xyzw VF22, VF20, VF16y NOP
MULAw.z ACCz, VF16z, VF14w LQI VF17, (VI04++)
MSUBw.z VF16z, VF01z, VF14w LQI VF18, (VI05++)
MULAw.w ACCw, VF16w, VF14w LQI VF19, (VI04++)
MSUBw.w VF16w, VF01w, VF14w LQI VF20, (VI05++)
MULA.xyzw ACC, VF01, VF17 SQI VF21, (VI07++)
MADDz.xyzw VF21, VF18, VF16z SQI VF22, (VI07++)
MULA.xyzw ACC, VF01, VF19 RNEXT VF16x
MADDw.xyzw VF22, VF20, VF16w RNEXT VF16y
NOP IADDI VI01, VI01, -1
NOP SQI VF21, (VI07++)
NOP IBNE VI01, VI00, Lr:
NOP SQI VF22, (VI07++) ; BDSlot

SCE CONFIDENTIAL VU User's Manual Version 6.0
© SCEI
-350-
NOP RNEXT VF16x
NOP* NOP*
NOP* NOP*
NOP* NOP*
MULAw.x ACCx, VF16x, VF14w LQI VF17, (VI04++)
MSUBw.x VF16x, VF01x, VF14w LQI VF18, (VI05++)
NOP* NOP*
NOP* NOP*
MULA.xyzw ACC, VF01, VF17 NOP
MADDx.xyzw VF21, VF18, VF16x NOP
NOP* NOP*
NOP* NOP*
NOP JR (VI15) ; return
NOP SQI VF21, (VI07++) ; BDSlot
Main routine
Processing such as initialization or polygon generation should be performed by the EE Core originally. This
program, however, is described as a sample using micro mode instructions.
;--------------------------------------------------------------------
;main routine
;--------------------------------------------------------------------
; This was originally a EE Core program.
; pBASE0 Base address 0 for temporary buffer
; pBASE1 Base address 1 for temporary buffer
; pTEX(VI00) is the address in which the texture coordinates reside.
; pBT32(VI00) is the address in which the 32-part partition blending table resides.
; pCO_P0(VI00) is the address in which the patch 0 control point resides.
; The following buffers take each of VI11 and VI12 as the base address.
; pQP(VI11) and pQP(VI12) are the output buffer addresses for partition coordinates of curved
surface partitioning
; pOP(VI11) and pOP(VI12) are the output buffer addresses for coordinate conversion +
perspective converted coordinates
; pOtex(VI11) and pOtex(VI11) are the output buffer addresses for partitioned texture coordinates
; pN(VI11) and pN(VI12) are normal output buffer addresses
; pRGB(VI11) and pRGB(VI12) are RGB output buffer addresses
; Main routine
; Main routine initialization processing
NOP IADDI VI01, VI00, SEED
NOP RINIT VI01 ; SEED set
NOP IADDI VI11, VI00, #pBASE0
NOP IADDI VI12, VI00, #pBASE1
; Texture partitioning initialization processing
NOP IADDI VI04, VI00, #pTEX
NOP LQI.xy VF29xy, (VI04++)
NOP LQI.xy VF30xy, (VI04++)
NOP NOP
NOP NOP
NOP NOP
SUB.xy VF30xy, VF30xy, VF29xy NOP
NOP NOP
NOP NOP
NOP NOP

SCE CONFIDENTIAL VU User's Manual Version 6.0
© SCEI
-351-
MULx.xy VF30xy, VF30xy, VF31x NOP ; (x,y) * 1/32
NOP IADDI VI02, VI00, 33
Lmain:
; Curved surface generation (Generates nth column, 33 vertices)
NOP IADDI VI04, VI00, #pBT32
NOP IADDI VI05, VI00, #pBT32+1
NOP IADDI VI06, VI00, #pCP_P0
NOP BAL VI15, SURF_OUTP: ; subroutine call
NOP IADDI VI07, VI12, #pQP; BDSlot
; Coordinate conversion + perspective conversion
NOP IADDI VI04, VI12, #pQP
NOP BAL VI15, PRSP_O: ; subroutine call
NOP IADDI VI05, VI12, #pOP; BDSlot
; Using the vertices for two columns, the vector product is calculated, normal is derived, and the light source is calculated.
; Illumination processing is performed by the vertex in the modeling coordinate system prior to coordinate conversion + perspective
conversion.
;Normal calculation + texture coordinate partitioning
; Setting parameters for texture coordinate partitioning
NOP IADDI VI13, VI12, #pOtex; BDSlot
;Setting parameters for normal (vector product) calculation
NOP IADDI VI04, VI11, #pQP
NOP IADDI VI05, VI12, #pQP
NOP BAL VI15, NORM_TEXD: ; subroutine call
NOP IADDI VI06, VI12, #pN; BDSlot
;Processing illumination using four parallel light sources
NOP IADDI VI04, VI12, #pN
NOP IADDI VI06, VI00, NS
NOP BAL VI15, LIGHT_O: ; subroutine call
NOP IADDI VI05, VI12, #pRGB; BDSlot
; Outputting strip triangles
NOP IADDI VI04, VI12, #pOP
NOP IADDI VI05, VI11, #pOP
NOP IADDI VI06, VI12, #pOtex
NOP IADDI VI07, VI11, #pOtex
NOP IADDI VI08, VI12, #pRGB
NOP BAL VI15, OUTP: ; subroutine call
NOP IADDI VI09, VI11, #pRGB
;* * * * * * * * * * * * * * * * * * *
;swap VI11<-->VI12
NOP IADD VI13, VI00, VI11
NOP IADD VI11, VI00, VI12
NOP IADD VI12, VI00, VI13
; v loop
NOP IADDI VI02, VI02, -1
NOP IBNE VI02, VI00, Lmain:
NOP NOP ; BDSlot
; Outputting final strip triangles
NOP IADDI VI08, VI11, #pOP
NOP IADDI VI09, VI12, #pOP
NOP IADDI VI10, VI11, #pOtex
NOP IADDI VI11, VI12, #pOtex
NOP IADDI VI12, VI11, #pRGB
NOP BAL VI15, OUTP: ; subroutine call

SCE CONFIDENTIAL VU User's Manual Version 6.0
© SCEI
-352-
NOP IADDI VI13, VI12, #pRGB; BDSlot

SCE CONFIDENTIAL VU User's Manual Version 6.0
© SCEI
-353-
7.2. EFU Processing
The processing of the elementary function calculation unit, EFU, built into VU1, is shown as pseudo
microinstructions for reference purpose.
Registers
Input registers
VN00: 32 bits: x reg
VN01: 32 bits: y reg (Can be used with tmp3)
VN02: 32 bits: z reg (Can be used with tmp2)
VN03: 32 bits: w reg (Can be used with tmp1)
Output register
VN04: 32 bits: p reg
tmp registers
VN05: 32 bits: tmp1
VN06: 32 bits: tmp2
VN07: 32 bits: tmp3
Constant registers
VN08: 32 bits: 1
VN09: 32 bits: S1
VN10: 32 bits: S2
VN11: 32 bits: S3
VN12: 32 bits: S4
VN13: 32 bits: S5
VN14: 32 bits: T1
VN15: 32 bits: T2
VN16: 32 bits: T3
VN17: 32 bits: T4
VN18: 32 bits: T5
VN19: 32 bits: T6
VN20: 32 bits: T7
VN21: 32 bits: T8
VN22: 32 bits: PI/4
VN23: 32 bits: E1
VN24: 32 bits: E2
VN25: 32 bits: E3
VN26: 32 bits: E4
VN27: 32 bits: E5
VN28: 32 bits: E6
VN29: 32 bits: ----
VN30: 32 bits: ----
VN31: 32 bits: ----

SCE CONFIDENTIAL VU User's Manual Version 6.0
© SCEI
-354-
Others
ACC
The input copies the four fields (128 bits) of the source register to the x, y, z, and w registers or copies an arbitrary field (32 bits) of the
source register to the x register.
The output register is p.

SCE CONFIDENTIAL VU User's Manual Version 6.0
© SCEI
-355-
EATAN
[description]
x <- VF[fs]fsf
p = arctan(x) (0 =< x =< 1)
p = ( T1 x Y + T2 x Y^3 + T3 x Y^5 + T4 x Y^7
+ T5 x Y^9 + T6 x Y^11 + T7 x Y^13 + T8 x Y^15 )+ PI/4
Y = (X - 1) / (X + 1)
[nano code]
ADD tmp1, x, 1
SUB tmp2, x, 1
nop ; Arctans are the same after this.
nop
nop
DIV x, tmp2, tmp1
nop
nop
nop
nop
nop
nop
nop
MUL tmp3, x, x ; x^2
MULA ACC, T1, x
nop
nop
MUL tmp1, tmp3, x ; x^3
nop
nop
nop
MUL tmp2, tmp1, tmp3 ; x^5
MADDA ACC, tmp1, T2
nop
nop
MUL tmp1, tmp2, tmp3 ; x^7
MADDA ACC, tmp2, T3
nop
nop
MUL tmp2, tmp1, tmp3 ; x^9
MADDA ACC, tmp1, T4
nop
nop
MUL tmp1, tmp2, tmp3 ; x^11
MADDA ACC, tmp2, T5
nop
nop
MUL tmp2, tmp1, tmp3 ; x^13
MADDA ACC, tmp1, T6
nop
nop
MUL tmp1, tmp2, tmp3 ; x^15
MADDA ACC, tmp2, T7
MADDA ACC, 1, PI/4
nop
MADD p, tmp1, T8
nop
nop
nop
Outputting p.

SCE CONFIDENTIAL VU User's Manual Version 6.0
© SCEI
-356-
EATANxy
[description]
x <- VF[ft]x
y <- VF[ft]y
z <- VF[ft]z
w <- VF[ft]w
p = arctan(y/x) (0 =< y =< x)
[nano code]
ADD tmp1, y, x
SUB tmp2, y, x
nop ; Same processing as arctan follows.
......
EATANxz
[description]
x <- VF[ft]x
y <- VF[ft]y
z <- VF[ft]z
w <- VF[ft]w
p = arctan(z/x) (0 =< z =< x)
[nano code]
ADD tmp1, z, x
SUB tmp2, z, x
nop ; Same processing as arctan follows.
......

SCE CONFIDENTIAL VU User's Manual Version 6.0
© SCEI
-357-
EEXP
[description]
x <- VF[fs]fsf
p = exp(-x) (0 =< x =< +MAX)
[nano code]
MUL tmp1, x, x ; x^2
MULA ACC, x, E1 ; E1 * x
nop
nop
MUL tmp2, tmp1, x ; x^3
MADDA ACC, tmp1, E2 ; E2 * x^2
nop
nop
MUL tmp1, tmp2, x ; x^4
MADDA ACC, tmp2, E3 ; E3 * x^3
nop
nop
MUL tmp2, tmp1, x ; x^5
MADDA ACC, tmp1, E4 ; E4 * x^4
nop
nop
MUL tmp1, tmp2, x ; x^6
MADDA ACC, tmp2, E5 ; E5 * x^5
MADDA ACC, 1, 1 ; + 1
nop
MADD p, tmp1, E6 ; E6 * x^6
nop
nop
nop
MUL p, p, p ; p^2
nop
nop
nop
MUL p, p, p ; p^4
nop
nop
nop
DIV p, 1, p
nop
nop
nop
nop
nop
nop
nop
Outputting p.

SCE CONFIDENTIAL VU User's Manual Version 6.0
© SCEI
-358-
ELENG
[description]
x <- VF[ft]x
y <- VF[ft]y
z <- VF[ft]z
w <- VF[ft]w
p = (x*x+y*y+z*z)
[nano code]
MULA ACC, x, x
MADDA ACC, y, y
MADD p, z, z
nop
nop
nop
SQRT p, 1, p
nop
nop
nop
nop
nop
nop
nop
Outputting p.
ERCPR
[description]
x <- VF[fs]fsf
p = 1 / x
[nano code]
DIV p, 1, x
nop
nop
nop
nop
nop
nop
nop
Outputting p.
ERLENG
[description]
x <- VF[ft]x
y <- VF[ft]y
z <- VF[ft]z
w <- VF[ft]w
p = 1
(x*x+y*y+z*z)
[nano code]
MULA ACC, x, x
MADDA ACC, y, y
MADD p, z, z
nop
nop
nop
RSQRT p, 1, p
nop
nop
nop
nop
nop
nop
nop
nop
nop
nop
nop
nop
nop
Outputting p.

SCE CONFIDENTIAL VU User's Manual Version 6.0
© SCEI
-359-
ERSADD
[description]
x <- VF[ft]x
y <- VF[ft]y
z <- VF[ft]z
w <- VF[ft]w
p = 1 / (x*x + y*y + z*z)
[nano code]
MULA ACC, x, x
MADDA ACC, y, y
MADD p, z, z
nop
nop
nop
DIV p, 1, p
nop
nop
nop
nop
nop
nop
nop
Outputting p.
ERSQRT
[description]
x <- VF[fs]dest
p = 1
x
[nano code]
RSQRT p, 1, x
nop
nop
nop
nop
nop
nop
nop
nop
nop
nop
nop
nop
nop
Outputting p.
ESADD
[description]
x <- VF[ft]x
y <- VF[ft]y
z <- VF[ft]z
w <- VF[ft]w
p = x*x + y*y + z*z
[nano code]
MULA ACC, x, x
MADDA ACC, y, y
MADD p, z, z
nop
nop
nop
Outputting p.

SCE CONFIDENTIAL VU User's Manual Version 6.0
© SCEI
-360-
ESIN
[description]
x <- VF[fs]fsf
p = sin(x) (-π/2 =< x =< +π/2)
p = S1 x X + S2 x X^3 + S3 x X^5 + S4 x X^7 + S5 x X^9
[nano code]
MUL tmp3, x, x ; x^2
MULA ACC, x, S1
nop
nop
MUL tmp1, tmp3, x ; x^3
nop
nop
nop
MUL tmp2, tmp1, tmp3 ; x^5
MADDA ACC, tmp1, S2
nop
nop
MUL tmp1, tmp2, tmp3 ; x^7
MADDA ACC, tmp2, S3
nop
nop
MUL tmp2, tmp1, tmp3 ; x^9
MADDA ACC, tmp1, S4
nop
nop
MADD p, tmp2, S5
nop
nop
nop
Outputting p.

SCE CONFIDENTIAL VU User's Manual Version 6.0
© SCEI
-361-
ESQRT
[description]
x <- VF[fs]fsf
p = x
[nano code]
SQRT p, 1, x
nop
nop
nop
nop
nop
nop
nop
Outputting p.
ESQUR
[description]
x <- VF[fs]fsf
p = x*x
[nano code]
MUL p, x, x
nop
nop
nop
Outputting p.
ESUM
[description]
x <- VF[ft]x
y <- VF[ft]y
z <- VF[ft]z
w <- VF[ft]w
p = x + y + z + w
[nano code]
MULA ACC, x, 1
MADDA ACC, y, 1
MADDA ACC, z, 1
MADD p, w, 1
nop
nop
nop
Outputting p.

SCE CONFIDENTIAL VU User's Manual Version 6.0
© SCEI
-362-
7.3. Micro Subroutine Debugging
7.3.1. Debug Flow
Micro subroutines can be debugged as follows: Stop the micro subroutine with the D bit or the T bit, examine
the VU status by using CFC2 or other instructions, and restart execution referring to the TPC.
Stop of Micro Subroutine
When the D bit or the T bit is set to 1 in a microinstruction, the VU enters the Stop state after executing the
instruction, an interrupt is sent to the EE Core, and the address after the last instruction executed is stored in the
TPC. Unlike when setting the E bit, there is no delay slot, and the following microinstruction is canceled during
its execution.
However, if the D bit or T bit is set in a branch instruction, the following instruction is the last instruction
executed, and the branch destination address is stored in the TPC.
The D bit and the T bit function similarly, but use the T bit in the application since the debugger uses the D bit.
Forcible Stop of Micro Subroutine
To forcibly stop execution of a micro subroutine externally, write 1 to the FB bit of the FBRST register using
the CTC2 instruction. This generates a ForceBreak, and the VU enters the Stop state.
However, correct re-execution of the micro subroutine after the forcible stop is not guaranteed.
Access to VU Resources
The methods of accessing the VU registers and other resources are shown in the table below. For details, refer
to "5. Macro Mode", and other corresponding macro instruction descriptions.
VU0 Resource Access Method
Floating-point register COP2 data register (CPR[2,00] - CPR[2,31])
Integer register COP2 control register (CCR[2,00] - CCR[2,15])
Special register COP2 control register (CCR[2,20] - CCR[2,22])
Flag COP2 control register (CCR[2,16] - CCR[2,18])
VU Mem0 Main memory 0x1100_4000 - 0x1100_4ff0
(or VLQD/VLQI/VSQD/VSQI instruction)
MicroMem0 Main memory 0x1100_0000 - 0x1100_0ff0
Accesses to VU Mem0 and MicroMem0 are possible only when VU0 is stopped.
VU1 Resource Access Method
Floating-point register VU Mem0 addresses 0x4000 - 0x41ff
Integer register VU Mem0 addresses 0x4200 - 0x42ff
Special register VU Mem0 addresses 0x4340 - 0x437f
Flag VU Mem0 addresses 0x4300 - 0x432f
VU Mem1 Main memory 0x1100_c000 - 0x1100_fff0
MicroMem1 Main memory 0x1100_8000 - 0x1100_bff0
Accesses to VU Mem1 and MicroMem1 are possible only when VU1 is stopped. Since the above methods of accessing VU Mem1 and
MicroMem1 are strictly for the purpose of debugging with a considerable speed penalty involved, transfer data via VIF in ordinary cases.
Execution Restart
To restart execution of a VU0 micro subroutine, read the TPC with an instruction such as CFC2, transfer the
value to CMSAR0 with the CTC2 instruction, and restart execution with VCALLMSR.
In VU1, read the TPC with an instruction such as VILWR or CFC2 and transfer the value to CMSAR1 with the
CTC2 instruction to restart execution.

SCE CONFIDENTIAL VU User's Manual Version 6.0
© SCEI
-363-
Control of Debugging Function
Stopping micro programs with the D bit/T bit can be controlled with the DE bit/TE bit of the control register.
Stopping a microprogram with the D bit is permitted only when the DE bit is set to 1; similarly for the T bit and
TE bit.
Debugging efficiency can be improved by setting the DE bit only when a routine that becomes a problem is
executed while debugging a large-scale program.
7.3.2. Notes on Re-execution
Since the VU performs pipeline operation, continuous execution of a micro subroutine and re-execution after
stopping during its execution may sometimes cause different results. It is recommended to stop at a place where
the re-execution result is guaranteed by paying attention to the instructions before and after the stop by the D
bit.
The figures below show how results can differ between continuous execution of a micro subroutine and re-
execution after stopping during its execution with the D bit.
MUL
NOP
MADDA
NOP
MADD
NOP
MUL
FSAND
MULA
NOP
MUL
NOP
clock cycle
234567891011
M
12 13 14
D bit
D bit
15 16 17
FSAND of Instruction 5 refers to
MUL calculation result flag of Instruction 1
M
T
T
X
X
Y
Y
Z
Z
S
S
M
M
T
T
X
X
Y
Y
Z
Z
S
S
M
M
T
T
X
X
Y
Y
Z
Z
S
S
M
M
T
T
X
X
Y
Y
Z
Z
S
S
M
M
T
T
X
X
Y
Y
Z
Z
S
S
M
M
T
T
X
X
Y
Y
Z
Z
S
S
1
Instruction
1
2
3
4
5
6
MUL
NOP
MADDA
NOP
MADD
NOP
MUL
FSAND
MULA
NOP
MUL
NOP
clock cycle 1 234567891011
M
12 13 14
D bit
15 16 17
FSAND of Instruction 5 refers to
MADD calculation result flag of Instruction 4
M
T
T
X
X
Y
Y
Z
Z
S
S
M
M
T
T
X
X
Y
Y
Z
Z
S
S
M
M
T
T
X
X
Y
Y
Z
Z
S
S
M
M
T
T
X
X
Y
Y
Z
Z
S
S
M
M
T
T
X
X
Y
Y
Z
Z
S
S
M
M
T
T
X
X
Y
Y
Z
Z
S
S
Stop by D bit
Instruction
1
2
3
4
5
6

SCE CONFIDENTIAL VU User's Manual Version 6.0
© SCEI
-364-
A flag is referred to by the FSAND instruction in Instruction 5. Although it is the calculation result of
Instruction 1 in continuous execution, the calculation result of Instruction 4 is referred to in re-execution after
stopping.
The following figure illustrates an example in which the value of the Q register (to be referred to when the micro
subroutine is re-executed after the stop) is changed.
MUL
DIV
MADDA
NOP
MADD
NOP
MULq
NOP
MULA
NOP
MUL
NOP
clock cycle 1234567891011
M
12 13 14
D bit
15 16 17
M
T
T
X
D1
Y
D2
Z
D3
S
D4 D5 D6 F
M
M
T
T
X
X
Y
Y
Z
Z
S
S
M
M
T
T
X
X
Y
Y
Z
Z
S
S
M
M
T
T
X
X
Y
Y
Z
Z
S
S
M
M
T
T
X
X
Y
Y
Z
Z
S
S
M
M
T
T
X
X
Y
Y
Z
Z
S
S
DIV of Instruction 1 is referred to
for re-execution after the stop.
Stop by D bit
1
2
3
4
5
6
Instruction

SCE CONFIDENTIAL VU User's Manual Version 6.0
© SCEI
-365-
7.4. Throughput / Latency List
Micro Instruction Macro Instruction Throughput Latency
ABS VABS 1 4
ADD VADD 1 4
ADDi ADDq VADDi VADDq 1 4
ADDbc VADDbc 1 4
ADDA VADDA 1 4
ADDAi ADDAq VADDAi VADDAq 1 4
ADDAbc VADDAbc 1 4
B ----- 2 2
BAL ----- 2 2
----- BC2F 2 2
----- BC2FL 2 2
----- BC2T 2 2
----- BC2TL 2 2
----- VCALLMS ----- -----
----- VCALLMSR ----- -----
CLIP VCLIP 1 4
----- CFC2 1 1
----- CTC2 1 1
DIV VDIV 7 7
EATAN ----- 53 54
EATANxy ----- 53 54
EATANxz ----- 53 54
EEXP ----- 43 44
ELENG ----- 17 18
ERCPR ----- 11 12
ERLENG ----- 23 24
ERSADD ----- 17 18
ERSQRT ----- 17 18
ESADD ----- 10 11
ESIN ----- 28 29
ESQRT ----- 11 12
ESUM ----- 11 12
FCAND ----- 1 1
FCEQ ----- 1 1
FCGET ----- 1 1
FCOR ----- 1 1
FCSET ----- 1 4
FMAND ----- 1 1
FMEQ ----- 1 1
FMOR ----- 1 1
FSAND ----- 1 1
FSEQ ----- 1 1
FSOR ----- 1 1
FSSET ----- 1 4
FTOI0 FTOI4
FTOI12 FTOI15
VFTOI0 VFTOI4
VFTOI12 VFTOI15
1 4
IADD VIADD 1 1
IADDI VIADDI 1 1
IAND VIAND 1 1

SCE CONFIDENTIAL VU User's Manual Version 6.0
© SCEI
-366-
Micro Instruction Macro Instruction Throughput Latency
IADDIU ----- 1 1
IBEQ ----- 2 2
IBGEZ ----- 2 2
IBGTZ ----- 2 2
IBLEZ ----- 2 2
IBLTZ ----- 2 2
IBNE ----- 2 2
ILW ----- 1 4
ILWR VILWR 1 4
IOR VIOR 1 1
ISUB VISUB 1 1
ISUBIU ----- 1 1
ISW ----- 1 4
ISWR VISWR 1 4
ITOF0 ITOF4
ITOF12 ITOF15
VITOF0 VITOF4
VITOF12 VITOF15
1 4
JALR ----- 2 2
JR ----- 2 2
LQ ----- 1 4
----- LQC2 1 1
LQD VLQD 1 4
LQI VLQI 1 4
MADD VMADD 1 4
MADDi MADDq VMADDi VMADDq 1 4
MADDbc VMADDbc 1 4
MADDA VMADDA 1 4
MADDAi MADDAq VMADDAi
VMADDAq
1 4
MADDAbc VMADDAbc 1 4
MAX VMAX 1 4
MAXi VMAXi 1 4
MAXbc VMAXbc 1 4
MFIR VMFIR 1 4
MFP ----- 1 4
MINI VMINI 1 4
MINIi VMINIi 1 4
MINIbc VMINIbc 1 4
MOVE VMOVE 1 4
MR32 VMR32 1 4
MSUB VMSUB 1 4
MSUBi MSUBq VMSUBi VMSUBq 1 4
MSUBbc VMSUBbc 1 4
MSUBA VMSUBA 1 4
MSUBAi MSUBAq VMSUBAi MSUBAq 1 4
MSUBAbc VMSUBAbc 1 4
MTIR VMTIR 1 1
MUL VMUL 1 4
MULi MULq VMULi VMULq 1 4
MULbc VMULbc 1 4
MULA VMULA 1 4
MULAi MULAq VMULAi VMULAq 1 4
MULAbc VMULAbc 1 4
NOP VNOP 1 4

SCE CONFIDENTIAL VU User's Manual Version 6.0
© SCEI
-367-
Micro Instruction Macro Instruction Throughput Latency
OPMULA VOPMULA 1 4
OPMSUB VOPMSUB 1 4
----- QMFC2 1 1
----- QMTC2 1 1
RGET VRGET 1 4
RINIT VRINIT 1 1
RNEXT VRNEXT 1 4
RSQRT VRSQRT 13 13
RXOR VRXOR 1 1
SUB VSUB 1 4
SUBi SUBq VSUBi VSUBq 1 4
SUBbc VSUBbc 1 4
SUBA VSUBA 1 4
SUBAi SUBAq VSUBAi VSUBAq 1 4
SUBAbc VSUBAbc 1 4
SQ ----- 1 4
----- SQC2 1 1
SQD VSQD 1 4
SQI VSQI 1 4
SQRT VSQRT 7 7
WAITP ----- 1~54 1~54
WAITQ VWAITQ 1~13 1~13
XGKICK ----- 1~ 1~
XITOP ----- 1 1
XTOP ----- 1 1

SCE CONFIDENTIAL VU User's Manual Version 6.0
© SCEI
-368-
(This page is left blank intentionally)